- Tổng quan
- Nội dung
- VB gốc
- Tiếng Anh
- Hiệu lực
- VB liên quan
- Lược đồ
-
Nội dung hợp nhất
Tính năng này chỉ có tại LuatVietnam.vn. Nội dung hợp nhất tổng hợp lại tất cả các quy định còn hiệu lực của văn bản gốc và các văn bản sửa đổi, bổ sung, đính chính... trên một trang. Việc hợp nhất văn bản gốc và những văn bản, Thông tư, Nghị định hướng dẫn khác không làm thay đổi thứ tự điều khoản, nội dung.
Khách hàng chỉ cần xem Nội dung hợp nhất là có thể nắm bắt toàn bộ quy định hiện hành đang áp dụng, cho dù văn bản gốc đã qua nhiều lần chỉnh sửa, bổ sung.
- Tải về
Thông tư 10/2021/TT-BTNMT kỹ thuật quan trắc môi trường và quản lý thông tin, dữ liệu
| Cơ quan ban hành: | Bộ Tài nguyên và Môi trường |
Số công báo:
Số công báo là mã số ấn phẩm được đăng chính thức trên ấn phẩm thông tin của Nhà nước. Mã số này do Chính phủ thống nhất quản lý.
|
Đang cập nhật |
| Số hiệu: | 10/2021/TT-BTNMT | Ngày đăng công báo: | Đang cập nhật |
| Loại văn bản: | Thông tư | Người ký: | Võ Tuấn Nhân |
|
Ngày ban hành:
Ngày ban hành là ngày, tháng, năm văn bản được thông qua hoặc ký ban hành.
|
30/06/2021 |
Ngày hết hiệu lực:
Ngày hết hiệu lực là ngày, tháng, năm văn bản chính thức không còn hiệu lực (áp dụng).
|
Đang cập nhật |
|
Áp dụng:
Ngày áp dụng là ngày, tháng, năm văn bản chính thức có hiệu lực (áp dụng).
|
Đã biết
|
Tình trạng hiệu lực:
Cho biết trạng thái hiệu lực của văn bản đang tra cứu: Chưa áp dụng, Còn hiệu lực, Hết hiệu lực, Hết hiệu lực 1 phần; Đã sửa đổi, Đính chính hay Không còn phù hợp,...
|
Đã biết
|
| Lĩnh vực: | Tài nguyên-Môi trường |
TÓM TẮT THÔNG TƯ 10/2021/TT-BTNMT
Theo đó, số liệu quan trắc hiện trường và phân tích môi trường phải được kiểm tra, xử lý thống kê và đánh giá. Kết quả quan trắc và phân tích môi trường chỉ được chấp nhận sau khi xem xét, đánh giá kết quả phân tích các mẫu QC đảm bảo độ tin cậy theo tiêu chí kiểm soát chất lượng của phòng thí nghiệm.
Thêm đó, toàn bộ tài liệu, dữ liệu, hồ sơ liên quan đến hoạt động quan trắc hiện trường và phân tích môi trường phải được tập hợp đầy đủ và lưu trữ theo quy định. Hồ sơ gốc hoạt động trên phải sẵn sàng cung cấp cho cơ quan có thẩm quyền khi được yêu cầu.
Ngoài ra, tổ chức thực hiện hoạt động quan trắc tại hiện trường phải thực hiện các yêu cầu về bảo đảm chất lượng và kiểm soát chất lượng như: Người được giao thực hiện quan trắc hiện trường phải được đào tạo với chuyên ngành phù hợp với công việc được giao; Hồ sơ, tài liệu, trang thiết bị, dụng cụ, hóa chất và chất chuẩn, phương tiện vận chuyển, an toàn bảo hộ lao động phải được chuẩn bị đầy đủ; Thực hiện lấy mẫu theo phương pháp phù hợp;…
Thông tư này có hiệu lực thi hành từ ngày 16/8/2021.
Xem chi tiết Thông tư 10/2021/TT-BTNMT có hiệu lực kể từ ngày 16/08/2021
Tải Thông tư 10/2021/TT-BTNMT
|
BỘ TÀI NGUYÊN VÀ MÔI TRƯỜNG ________ Số: 10/2021/TT-BTNMT |
CỘNG HOÀ XÃ HỘI CHỦ NGHĨA VIỆT NAM Độc lập - Tự do - Hạnh phúc ________________________ Hà Nội, ngày 30 tháng 6 năm 2021 |
THÔNG TƯ
Quy định kỹ thuật quan trắc môi trường và quản lý thông tin, dữ liệu quan trắc chất lượng môi trường
__________
BỘ TRƯỞNG BỘ TÀI NGUYÊN VÀ MÔI TRƯỜNG
Căn cứ Luật Bảo vệ môi trường ngày 23 tháng 6 năm 2014;
Căn cứ Luật Bảo vệ môi trường ngày 17 tháng 11 năm 2020;
Căn cứ Nghị định số 36/2017/NĐ-CP ngày 04 tháng 4 năm 2017 của Chính phủ quy định chức năng, nhiệm vụ, quyền hạn và cơ cấu tổ chức của Bộ Tài nguyên và Môi trường;
Căn cứ Nghị định số 127/2014/NĐ-CP ngày 31 tháng 12 năm 2014 của Chính phủ quy định điều kiện của tổ chức hoạt động dịch vụ quan trắc môi trường;
Căn cứ Nghị định số 38/2015/NĐ-CP ngày 24 tháng 4 năm 2015 của Chính phủ về quản lý chất thải và phế liệu;
Căn cứ Nghị định số 73/2017/NĐ-CP ngày 14 tháng 6 năm 2017 của Chính phủ về thu thập, quản lý, khai thác và sử dụng thông tin, dữ liệu tài nguyên và môi trường;
Căn cứ Nghị định số 40/2019/NĐ-CP ngày 13 tháng 5 năm 2019 của Chính phủ sửa đổi, bổ sung một số điều của các nghị định quy định chi tiết, hướng dẫn thi hành Luật Bảo vệ môi trường;
Theo đề nghị của Tổng Cục trưởng Tổng cục Môi trường, Vụ trưởng Vụ Khoa học và Công nghệ và Vụ trưởng Vụ Pháp chế;
Bộ trưởng Bộ Tài nguyên và Môi trường ban hành Thông tư quy định kỹ thuật quan trắc môi trường và quản lý thông tin, dữ liệu quan trắc môi trường.
Chương I
QUY ĐỊNH CHUNG
Điều 1. Phạm vi điều chỉnh
Thông tư này quy định kỹ thuật quan trắc môi trường và quản lý thông tin, dữ liệu quan trắc chất lượng môi trường, bao gồm:
1. Quy định kỹ thuật quan trắc môi trường đối với chất lượng không khí xung quanh, tiếng ồn và độ rung, nước mặt, nước dưới đất, nước biển, nước mưa, đất, trầm tích.
2. Quy định về kỹ thuật quan trắc các chất ô nhiễm hữu cơ khó phân hủy (POP) theo quy định của Công ước Stockholm và nguyên liệu, nhiên liệu, vật liệu, sản phẩm, hàng hóa, thiết bị có chứa POP.
3. Quy định kỹ thuật quan trắc môi trường đối với nước thải, khí thải công nghiệp, bùn thải từ hệ thống xử lý nước.
4. Quy định về bảo đảm chất lượng và kiểm soát chất lượng trong quan trắc môi trường.
5. Quy định về các yêu cầu cơ bản và đặc tính kỹ thuật của trạm quan trắc chất lượng nước mặt và chất lượng không khí xung quanh tự động, liên tục.
6. Quy định về các yêu cầu cơ bản và đặc tính kỹ thuật của hệ thống quan trắc nước thải và khí thải tự động, liên tục.
7. Yêu cầu về việc nhận, truyền và quản lý dữ liệu quan trắc môi trường tự động, liên tục.
8. Quản lý, cung cấp và chia sẻ thông tin, dữ liệu quan trắc chất lượng môi trường.
Điều 2. Đối tượng áp dụng
1. Thông tư này áp dụng đối với các tổ chức, cá nhân liên quan đến hoạt động quan trắc môi trường.
2. Chương II Thông tư này không áp dụng cho quan trắc môi trường đối với các hoạt động dầu khí trên biển.
Điều 3. Nguyên tắc áp dụng các phương pháp quan trắc môi trường
1. Việc áp dụng các phương pháp quan trắc môi trường phải tuân thủ theo các phương pháp được quy định tại Thông tư này và các quy chuẩn kỹ thuật quốc gia hiện hành về môi trường.
2. Phương pháp tiêu chuẩn quốc tế, khu vực hoặc của quốc gia khác được chấp nhận áp dụng nếu có độ chính xác tương đương hoặc cao hơn các phương pháp tiêu chuẩn quy định tại Thông tư này.
3. Các phương pháp quan trắc môi trường quy định tại Thông tư này được sửa đổi, bổ sung hoặc thay thế thì áp dụng theo các phương pháp mới.
4. Chương trình quan trắc môi trường có các thông số chưa được quy định về kỹ thuật quan trắc tại Thông tư này thì phải áp dụng các phương pháp tiêu chuẩn quốc gia hoặc quốc tế.
Điều 4. Giải thích thuật ngữ
Các thuật ngữ trong Thông tư này được hiểu như sau:
1. Bảo đảm chất lượng (quality assurance - viết tắt là QA) trong quan trắc môi trường: là một hệ thống tích hợp các hoạt động quản lý và kỹ thuật trong một tổ chức nhằm bảo đảm cho hoạt động quan trắc môi trường đạt được các tiêu chuẩn chất lượng đã quy định.
2. Kiểm soát chất lượng (quality control - viết tắt là QC) trong quan trắc môi trường: là việc thực hiện các biện pháp để đánh giá, theo dõi và kịp thời điều chỉnh để đạt được độ chụm, độ chính xác của các phép đo nhằm bảo đảm cho hoạt động quan trắc môi trường đạt các tiêu chuẩn chất lượng theo quy định.
3. Mẫu kiểm soát chất lượng (quality control sample - gọi chung là mẫu QC): là mẫu thực hoặc mẫu được tạo từ chuẩn được sử dụng để kiểm soát chất lượng cho quá trình quan trắc tại hiện trường và phân tích môi trường trong phòng thí nghiệm.
4. Độ chụm (precision): là mức độ gần nhau giữa các kết quả thử nghiệm độc lập nhận được trong điều kiện quy định.
5. Độ lặp lại (repeatability): là độ chụm trong các điều kiện lặp lại.
6. Độ tái lập (reproducibility): là độ chụm trong điều kiện tái lập.
7. Độ chính xác (accuracy): là mức độ gần nhau giữa kết quả thử nghiệm và giá trị quy chiếu được chấp nhận.
8. Mẻ mẫu (sample batch): là một nhóm mẫu thực được xử lý, phân tích trong cùng một điều kiện, với cùng một quy trình, phương pháp và trong cùng một khoảng thời gian. Mỗi mẻ mẫu phân tích phải bao gồm cả các mẫu kiểm soát chất lượng - mẫu QC.
9. Mẫu trắng hiện trường (field blank sample): là mẫu vật liệu sạch được sử dụng để kiểm soát sự nhiễm bẩn trong quá trình quan trắc tại hiện trường. Mẫu trắng hiện trường được xử lý, bảo quản, vận chuyển và phân tích các thông số trong phòng thí nghiệm tương tự như mẫu thực.
10. Mẫu lặp hiện trường (field replicate/duplicate sample): là hai mẫu trở lên được lấy tại cùng một vị trí, cùng một thời gian, được xử lý, bảo quản, vận chuyển và phân tích các thông số trong phòng thí nghiệm tương tự như nhau. Mẫu lặp hiện trường được sử dụng kiểm soát sai số trong hoạt động quan trắc tại hiện trường, phân tích trong phòng thí nghiệm và để đánh giá độ chụm của kết quả quan trắc.
11. Mẫu trắng vận chuyển (trip blank sample): là mẫu vật liệu sạch được sử dụng để kiểm soát sự nhiễm bẩn trong quá trình vận chuyển mẫu. Mẫu trắng vận chuyển được vận chuyển cùng với mẫu thực trong cùng một điều kiện, được bảo quản, phân tích các thông số trong phòng thí nghiệm tương tự như mẫu thực.
12. Mẫu trắng thiết bị (equipment blank sample): là mẫu vật liệu sạch được sử dụng để kiểm soát sự nhiễm bẩn của thiết bị lấy mẫu, đánh giá sự ổn định và độ nhiễu của thiết bị. Mẫu trắng thiết bị được xử lý như mẫu thực bằng thiết bị lấy mẫu, được bảo quản, vận chuyển và phân tích các thông số trong phòng thí nghiệm như mẫu thực.
13. Mẫu trắng phương pháp (method blank sample): là mẫu vật liệu sạch, được sử dụng để kiểm soát sự nhiễm bẩn dụng cụ và hóa chất, chất chuẩn trong quá trình phân tích mẫu. Mẫu trắng phương pháp được trải qua các bước xử lý, phân tích như mẫu thực.
14. Mẫu lặp phương pháp phòng thí nghiệm (laboratory replicate/ duplicate sample): gồm hai hoặc nhiều hơn các phần của cùng một mẫu được đồng nhất, được phân tích với cùng một phương pháp. Mẫu lặp phương pháp phòng thí nghiệm là mẫu được sử dụng để đánh giá độ chụm của kết quả phân tích.
15. Mẫu chuẩn, chất chuẩn (reference material): là vật liệu, đủ đồng nhất và ổn định về một hoặc nhiều tính chất quy định, được thiết lập phù hợp với việc sử dụng đã định trong một quá trình đo.
16. Mẫu chuẩn được chứng nhận (certified reference material - viết tắt là CRM): là mẫu chuẩn có kèm theo giấy chứng nhận, trong đó một hay nhiều giá trị về tính chất của nó được chứng nhận, theo đó các giá trị về tính chất được biểu thị ra và mỗi giá trị được chứng nhận có kèm theo thông tin về độ không đảm bảo tương ứng ở mức tin cậy quy định.
17. Mẫu kiểm soát phòng thí nghiệm (laboratory control sample): là một mẫu đã biết trước nồng độ được chuẩn bị từ chất chuẩn có nồng độ nằm trong phạm vi đo của thiết bị hoặc khoảng làm việc của đường chuẩn được sử dụng để kiểm tra quá trình hoạt động thiết bị, theo dõi quá trình phân tích.
18. Mẫu thêm chuẩn (spike sample/matrix spike): là mẫu đã được bổ sung một lượng chất cần phân tích biết trước nồng độ trên nền mẫu thực. Mẫu thêm chuẩn được chuẩn bị và phân tích như mẫu thực để đánh giá quá trình phân tích.
19. So sánh liên phòng thí nghiệm (interlaboratory comparisons): là việc tổ chức thực hiện và đánh giá các phép đo hoặc phép thử trên cùng mẫu thử hoặc trên mẫu thử tương tự nhau bởi hai hay nhiều phòng thí nghiệm theo những điều kiện xác định.
20. Thử nghiệm thành thạo (proficiency testing): là hoạt động đánh giá việc thực hiện của các bên tham gia đo, phân tích theo tiêu chí đã được thiết lập thông qua các so sánh liên phòng thí nghiệm.
21. Kế hoạch bảo đảm chất lượng (quality assurance project plan - viết tắt là QAPP): là bản kế hoạch mô tả toàn bộ các thủ tục bảo đảm chất lượng cần thiết, các hoạt động kiểm soát chất lượng và các hoạt động kỹ thuật khác cần được thực hiện của một chương trình quan trắc môi trường, để bảo đảm các kết quả thu được đáp ứng các yêu cầu đề ra.
22. Giới hạn phát hiện của phương pháp (method detection limit - viết tắt là MDL): là nồng độ nhỏ nhất của chất trong mẫu khi phân tích cho ra tín hiệu sai khác đáng kể so với tín hiệu của mẫu trắng với độ tin cậy 99%, nồng độ chất cần phân tích lớn hơn 0 và được xác định từ việc phân tích mẫu nền có chứa chất phân tích.
23. Giới hạn phát hiện của thiết bị (instrument detection limit - viết tắt là IDL): là giá trị thấp nhất của một chất cần phân tích được phát hiện lớn hơn năm lần tín hiệu nhiễu của thiết bị.
24. Kiểm tra kỹ thuật: là kiểm tra trạng thái hoạt động bình thường và cơ cấu chỉnh của phương tiện đo theo tài liệu kỹ thuật.
25. Kiểm định (kiểm định ban đầu trước khi đưa vào sử dụng, kiểm định định kỳ trong quá trình sử dụng và kiểm định sau sửa chữa): là hoạt động đánh giá, xác nhận đặc tính kỹ thuật đo lường của thiết bị quan trắc môi trường theo yêu cầu kỹ thuật đo lường và thực hiện biện pháp kiểm soát về đo lường.
26. Hiệu chuẩn: là hoạt động xác định, thiết lập mối quan hệ giữa giá trị đo của chuẩn đo lường, phương tiện đo với giá trị đo của đại lượng cần đo.
27. Quan trắc môi trường định kỳ: là hoạt động lấy mẫu, đo các thông số ngay tại hiện trường hoặc được bảo quản và vận chuyển về để xử lý, phân tích các thông số trong phòng thí nghiệm theo một kế hoạch lập sẵn về không gian và thời gian.
28. Quan trắc tự động, liên tục là quá trình đo đạc, phân tích liên tục theo thời gian các thông số môi trường bằng các thiết bị đo hoặc phân tích tự động.
29. Trạm/hệ thống quan trắc tự động cố định là trạm/hệ thống quan trắc được lắp đặt cố định và lâu dài tại vị trí xác định và có khả năng tự động quan trắc các thông số môi trường.
30. Phương pháp lấy mẫu đẳng động lực (isokinetic) là phương pháp lấy mẫu bảo đảm điều kiện vận tốc hút của bơm lấy mẫu tại đầu hút mẫu bằng vận tốc khí thải tại điểm hút mẫu.
31. Thiết bị đo trực tiếp là thiết bị được đưa vào môi trường cần đo và hiển thị tức thời giá trị của thông số đo.
32. Độ phân giải của thiết bị đo là sự thay đổi nhỏ nhất ở các giá trị đo được (không phải là giá trị 0) mà một thiết bị đo có thể đáp ứng để cho một số đo xác định.
33. Thời gian đáp ứng là khoảng thời gian giữa thời điểm khi giá trị đại lượng đầu vào của phương tiện đo hoặc hệ thống đo chịu sự thay đổi đột ngột giữa hai giá trị đại lượng không đổi đã quy định và thời điểm khi số chỉ tương ứng nằm trong giới hạn quy định quanh giá trị ổn định cuối cùng của nó.
34. Khoảng đo (khoảng làm việc) của thiết bị đo: là tập hợp các giá trị đại lượng cùng loại có thể đo được bằng thiết bị quan trắc tự động đã cho với độ không đảm bảo đo thiết bị cụ thể, trong những điều kiện xác định.
35. Liên kết chuẩn đo lường: là tính chất của kết quả đo nhờ đó kết quả có thể liên hệ tới mốc quy chiếu (chuẩn đo lường quốc tế hoặc chuẩn đo lường quốc gia) thông qua một chuỗi không đứt đoạn các phép hiệu chuẩn được lập thành tài liệu, mỗi phép hiệu chuẩn đóng góp vào độ không đảm bảo đo.
Chương II
KỸ THUẬT QUAN TRẮC CHẤT LƯỢNG MÔI TRƯỜNG ĐỊNH KỲ
Điều 5. Xây dựng chương trình quan trắc chất lượng môi trường định kỳ
1. Chương trình quan trắc chất lượng môi trường định kỳ được thiết kế xây dựng phù hợp với mục tiêu quan trắc môi trường. Việc xác định mục tiêu quan trắc chất lượng môi trường phải căn cứ vào chính sách, pháp luật về bảo vệ môi trường hiện hành, chiến lược, quy hoạch, kế hoạch quản lý và bảo vệ môi trường, quy hoạch mạng lưới quan trắc chất lượng môi trường, thông tin cần thu thập theo yêu cầu của cơ quan nhà nước về môi trường.
2. Căn cứ vào mục tiêu quan trắc chất lượng môi trường, các quy chuẩn kỹ thuật quốc gia, quy chuẩn kỹ thuật địa phương hiện hành và yêu cầu của cơ quan có thẩm quyền để xác định các thông số cần quan trắc đưa vào chương trình quan trắc với tần suất phù hợp.
3. Chương trình quan trắc chất lượng môi trường định kỳ cấp quốc gia và cấp tỉnh, thành phố trực thuộc Trung ương phục vụ công tác quản lý nhà nước về môi trường phải được xây dựng bảo đảm phù hợp với quy hoạch mạng lưới quan trắc chất lượng môi trường.
4. Chương trình quan trắc chất lượng môi trường định kỳ phải được thiết kế bao gồm việc lập kế hoạch thực hiện bảo đảm chất lượng và kiểm soát chất lượng quy định tại Phụ lục 1 ban hành kèm theo Thông tư này.
Điều 6. Quan trắc chất lượng không khí xung quanh
1. Thông số quan trắc và phương pháp quan trắc chất lượng không khí xung quanh quy định tại Phụ lục 2.1 ban hành kèm theo Thông tư này và các thông số khác theo quy định tại quy chuẩn kỹ thuật quốc gia về chất lượng không khí xung quanh hoặc theo yêu cầu của các chương trình quan trắc chất lượng môi trường.
2. Đối với chương trình quan trắc chất lượng môi trường cấp quốc gia và các thành phố trực thuộc Trung ương, tối thiểu phải lựa chọn các thông số: khí tượng, SO2, CO, NO2, TSP, PM2,5 với tần suất quan trắc tối thiểu 02 tháng/đợt (06 đợt/năm). Tùy thuộc vào mục tiêu chương trình quan trắc, đặc điểm của vị trí quan trắc, lựa chọn thêm các thông số khác để đưa vào chương trình quan trắc với tần suất phù hợp.
3. Đối với chương trình quan trắc chất lượng môi trường cấp tỉnh, tối thiểu phải lựa chọn các thông số: khí tượng, SO2, CO, NO2, TSP, PM10 với tần suất quan trắc tối thiểu 02 tháng/đợt (06 đợt/năm). Tùy thuộc vào mục tiêu chương trình quan trắc, đặc điểm của vị trí quan trắc, lựa chọn thêm thông số bụi PM2,5 và các thông số khác để đưa vào chương trình quan trắc với tần suất phù hợp.
Điều 7. Quan trắc tiếng ồn, độ rung
1. Thông số quan trắc tiếng ồn bao gồm: mức âm tương đương (Leq), mức âm tương đương cực đại (Lmax).
2. Thông số quan trắc độ rung: mức gia tốc rung (dB) hoặc gia tốc rung (m/s2).
3. Phương pháp quan trắc tiếng ồn tuân theo TCVN 7878 (gồm 2 phần TCVN 7878-1:2018 và TCVN 7878-2:2018) - Âm học - Mô tả, đo và đánh giá tiếng ồn môi trường.
4. Phương pháp quan trắc độ rung: tuân theo TCVN 6963:2001 - Rung và chấn động - Rung động do các hoạt động xây dựng và sản xuất công nghiệp - Phương pháp đo.
5. Đối với chương trình quan trắc chất lượng môi trường cấp quốc gia và cấp tỉnh, thành phố trực thuộc Trung ương, tần suất quan trắc tiếng ồn, độ rung tối thiểu 02 tháng/đợt (06 đợt/năm).
Điều 8. Quan trắc chất lượng nước mặt
1. Thông số quan trắc và phương pháp quan trắc chất lượng nước mặt quy định tại Phụ lục 2.2 ban hành kèm theo Thông tư này và các thông số khác theo quy định tại quy chuẩn kỹ thuật quốc gia về chất lượng nước mặt hoặc theo yêu cầu của các chương trình quan trắc chất lượng môi trường.
2. Đối với chương trình quan trắc chất lượng môi trường cấp quốc gia và cấp tỉnh, thành phố trực thuộc Trung ương, tối thiểu phải lựa chọn các thông số: pH, TSS, DO, COD, BOD5, NH4+; lựa chọn Tổng Nitơ hoặc NO3-; lựa chọn Tổng Phôtpho hoặc PO43; tổng Coliforms với tần suất quan trắc tối thiểu 02 tháng/đợt (06 đợt/năm). Tùy thuộc vào mục tiêu chương trình quan trắc, đặc điểm của vị trí quan trắc, lựa chọn thêm các thông số khác để đưa vào chương trình quan trắc với tần suất phù hợp.
Điều 9. Quan trắc chất lượng nước dưới đất
1. Thông số quan trắc và phương pháp quan trắc chất lượng nước dưới đất quy định tại Phụ lục 2.3 ban hành kèm theo Thông tư này và các thông số khác theo quy định tại quy chuẩn kỹ thuật quốc gia về chất lượng nước dưới đất hoặc theo yêu cầu của các chương trình quan trắc chất lượng môi trường.
2. Đối với chương trình quan trắc chất lượng môi trường cấp quốc gia và cấp tỉnh, thành phố trực thuộc Trung ương, tối thiểu phải lựa chọn các thông số: pH, TDS, chỉ số pecmanganat, NH4+, NO3-, Fe, As với tần suất quan trắc tối thiểu 03 tháng/đợt (04 đợt/năm). Tùy thuộc vào mục tiêu chương trình quan trắc, đặc điểm của vị trí quan trắc, lựa chọn thêm các thông số khác để đưa vào chương trình quan trắc với tần suất phù hợp.
Điều 10. Quan trắc chất lượng nước biển
1. Thông số quan trắc và phương pháp quan trắc chất lượng nước biển quy định tại Phụ lục 2.4 ban hành kèm theo Thông tư này và các thông số khác theo quy định tại quy chuẩn kỹ thuật quốc gia về chất lượng nước biển hoặc theo yêu cầu của các chương trình quan trắc chất lượng môi trường.
2. Đối với chương trình quan trắc chất lượng môi trường cấp quốc gia và cấp tỉnh, thành phố trực thuộc Trung ương, tối thiểu phải lựa chọn các thông số: pH, DO, TSS, NH4+, PO43-, dầu mỡ khoáng, với tần suất quan trắc chất lượng nước biển ven bờ tối thiểu 02 tháng/đợt (06 đợt/năm); các thông số pH, As, Cd, dầu mỡ khoáng cho nước biển gần bờ và nước biển xa bờ với tần suất tối thiểu 02 đợt/năm. Tùy thuộc vào mục tiêu chương trình quan trắc, đặc điểm của vị trí quan trắc, lựa chọn thêm các thông số khác để đưa vào chương trình quan trắc với tần suất phù hợp.
Điều 11. Quan trắc nước mưa
1. Thông số quan trắc và phương pháp quan trắc nước mưa quy định tại Phụ lục 2.5 ban hành kèm theo Thông tư này và các thông số theo yêu cầu của các chương trình quan trắc chất lượng môi trường.
2. Căn cứ vào mục tiêu quan trắc và yêu cầu của cơ quan nhà nước có thẩm quyền để xác định các thông số cần quan trắc.
3. Tần suất và thời gian quan trắc:
a) Mẫu nước mưa theo trận: các mẫu nước mưa được lấy theo mỗi trận mưa và phải xác định thời điểm bắt đầu và kết thúc mỗi trận mưa;
b) Mẫu nước mưa theo ngày: trường hợp không thể thực hiện việc lấy và phân tích mẫu theo mỗi trận mưa thì lấy mẫu theo ngày (liên tục trong 24 giờ). Thời gian lấy mẫu của một ngày bắt đầu từ 8 giờ sáng và mẫu phải được giữ nguyên vẹn trong và sau khi lấy (được bảo quản lạnh hoặc thêm các hóa chất bảo quản thích hợp);
c) Mẫu nước mưa theo tuần: trường hợp không thể thực hiện việc lấy và phân tích mẫu theo ngày thì có thể tiến hành lấy mẫu theo tuần (gộp các mẫu ngày lại trong vòng 01 tuần hoặc lấy liên tục trong 01 tuần khi mẫu được giữ nguyên vẹn trong và sau khi lấy, được bảo quản lạnh hoặc sử dụng các hóa chất bảo quản phù hợp).
Điều 12. Quan trắc chất lượng đất
1. Thông số quan trắc và phương pháp quan trắc chất lượng đất quy định tại Phụ lục 2.6 ban hành kèm theo Thông tư này và các thông số khác theo quy định tại quy chuẩn kỹ thuật quốc gia về giới hạn cho phép của một số chất ô nhiễm trong đất hoặc theo yêu cầu của các chương trình quan trắc chất lượng môi trường.
2. Căn cứ vào mục tiêu quan trắc, các quy chuẩn kỹ thuật quốc gia hiện hành về môi trường và yêu cầu của cơ quan nhà nước có thẩm quyền để xác định các thông số cần quan trắc với tần suất quan trắc tối thiểu 02 đợt/năm.
Điều 13. Quan trắc chất lượng trầm tích
1. Thông số quan trắc và phương pháp quan trắc chất lượng trầm tích quy định tại Phụ lục 2.7 ban hành kèm theo Thông tư này và các thông số khác theo quy định tại quy chuẩn kỹ thuật quốc gia về chất lượng trầm tích hoặc theo yêu cầu của các chương trình quan trắc chất lượng môi trường.
2. Căn cứ vào mục tiêu quan trắc, các quy chuẩn kỹ thuật quốc gia hiện hành về môi trường và yêu cầu của cơ quan nhà nước có thẩm quyền để xác định các thông số cần quan trắc với tần suất quan trắc tối thiểu 02 đợt/năm.
Chương III
KỸ THUẬT QUAN TRẮC CÁC CHẤT Ô NHIỄM HỮU CƠ KHÓ PHÂN HỦY (POP) TRONG NGUYÊN LIỆU, NHIÊN LIỆU, VẬT LIỆU, SẢN PHẨM, HÀNG HÓA, THIẾT BỊ
Điều 14. Danh sách các chất POP theo quy định của Công ước Stockholm và nguyên liệu, nhiên liệu, vật liệu, sản phẩm, hàng hóa, thiết bị có chứa POP
Danh sách các chất POP, lĩnh vực sử dụng, phát sinh các chất POP theo quy định tại các phụ lục A, B, C của Công ước Stockholm và nguyên liệu, nhiên liệu, vật liệu, sản phẩm, hàng hóa, thiết bị có chứa POP được quy định tại Phụ lục 3.1 ban hành kèm theo Thông tư này.
Điều 15. Quan trắc các chất POP trong nguyên liệu, nhiên liệu, vật liệu, sản phẩm, hàng hóa, thiết bị
1. Phương pháp quan trắc các chất POP trong nguyên liệu, nhiên liệu, vật liệu, sản phẩm, hàng hóa, thiết bị quy định tại Phụ lục 3.2 ban hành kèm theo Thông tư này.
2. Căn cứ vào mục tiêu quan trắc, các quy chuẩn kỹ thuật quốc gia về môi trường, các tiêu chuẩn quốc gia, quốc tế có liên quan và yêu cầu của cơ quan nhà nước có thẩm quyền để thực hiện quan trắc các chất POP trong nguyên liệu, nhiên liệu, vật liệu, sản phẩm, hàng hóa, thiết bị.
Chương IV
KỸ THUẬT QUAN TRẮC NƯỚC THẢI, KHÍ THẢI VÀ BÙN THẢI TỪ HỆ THỐNG XỬ LÝ NƯỚC
Điều 16. Quan trắc nước thải
1. Thông số quan trắc và phương pháp quan trắc nước thải quy định tại Phụ lục 4.1 ban hành kèm theo Thông tư này và các thông số khác theo quy định tại quy chuẩn kỹ thuật quốc gia về môi trường đối với nước thải hoặc theo yêu cầu của các chương trình quan trắc môi trường.
2. Căn cứ vào mục tiêu quan trắc, các quy chuẩn kỹ thuật quốc gia hiện hành về môi trường, loại hình sản xuất, quy mô, đặc điểm nguồn thải và yêu cầu của cơ quan nhà nước có thẩm quyền để xác định các thông số cần quan trắc và vị trí lấy mẫu quan trắc.
3. Tần suất quan trắc nước thải được thực hiện theo quy định của pháp luật hiện hành.
Điều 17. Quan trắc khí thải
1. Thông số quan trắc và phương pháp quan trắc khí thải quy định tại Phụ lục 4.2 ban hành kèm theo Thông tư này và các thông số khác theo quy định tại quy chuẩn kỹ thuật quốc gia về môi trường đối với khí thải hoặc theo yêu cầu của các chương trình quan trắc môi trường.
2. Căn cứ vào mục tiêu quan trắc, các quy chuẩn kỹ thuật quốc gia hiện hành về môi trường, loại hình sản xuất, quy mô, đặc điểm nguồn thải và yêu cầu của cơ quan nhà nước có thẩm quyền để xác định các thông số cần quan trắc.
3. Đối với các thông số SO2, NOx (NO và NO2), CO và O2: ngoài việc lấy mẫu tại hiện trường và phân tích trong phòng thí nghiệm, có thể sử dụng phương pháp đo trực tiếp tại hiện trường khi đáp ứng đầy đủ các điều kiện quy định tại Phụ lục 6 ban hành kèm theo Thông tư này.
4. Mẫu khí thải được lấy vào thời điểm cơ sở đang hoạt động ổn định và đạt tối thiểu 50% công suất thiết kế.
5. Tần suất quan trắc khí thải được thực hiện theo quy định của pháp luật hiện hành.
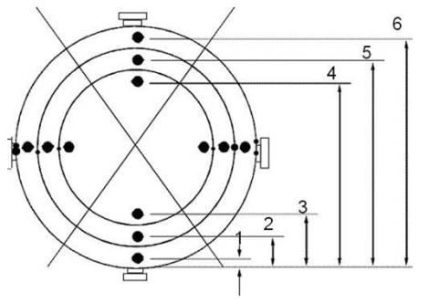
6. Ống khói phải có điểm (cửa) lấy mẫu khí thải với đường kính hoặc độ rộng theo quy định, có nắp đậy để điều chỉnh độ mở rộng, bố trí sàn thao tác đảm bảo an toàn, thuận lợi khi thực hiện việc lấy mẫu. Vị trí điểm lấy mẫu, đường kính hoặc độ rộng theo quy định tại Phụ lục 5 ban hành kèm theo Thông tư này.
Điều 18. Quan trắc bùn thải từ hệ thống xử lý nước
1. Thông số quan trắc và phương pháp quan trắc bùn thải từ hệ thống xử lý nước quy định tại Phụ lục 4.3 ban hành kèm theo Thông tư này và các thông số khác theo quy định tại quy chuẩn kỹ thuật quốc gia về môi trường đối với bùn thải từ hệ thống xử lý nước hoặc theo yêu cầu của các chương trình quan trắc môi trường.
2. Căn cứ vào các quy chuẩn kỹ thuật quốc gia hiện hành về môi trường, loại hình sản xuất, quy mô, đặc điểm nguồn thải và yêu cầu của cơ quan nhà nước có thẩm quyền để xác định các thông số cần quan trắc nhằm phân định bùn thải từ hệ thống xử lý nước theo quy định về quản lý chất thải.
Chương V
ĐẢM BẢO CHẤT LƯỢNG VÀ KIỂM SOÁT CHẤT LƯỢNG TRONG QUAN TRẮC MÔI TRƯỜNG
Điều 19. Yêu cầu về diện tích phòng thí nghiệm, công tác bảo vệ môi trường và an toàn lao động
1. Tổ chức tham gia hoạt động quan trắc môi trường phải có phòng thí nghiệm đủ diện tích để bố trí hợp lý các phân khu chức năng, tách biệt các hoạt động thử nghiệm không tương thích để không làm ảnh hưởng lẫn nhau và bố trí đủ không gian cần thiết theo yêu cầu cho từng hoạt động thử nghiệm.
2. Chất thải từ hoạt động của phòng thí nghiệm phải được phân loại theo tính chất, được thu gom, lưu giữ, vận chuyển và xử lý theo quy định pháp luật. Nước thải có tính chất nguy hại từ hoạt động phân tích, thử nghiệm trong phòng thí nghiệm phải được phân loại, lưu giữ theo tính chất, thành phần riêng biệt nhằm tránh các tương tác hóa học phát sinh chất độc hại ra môi trường.
3. Các hoạt động xử lý mẫu và phân tích mẫu làm bay hơi các chất độc hại ra môi trường phải thực hiện trong tủ hút.
4. Phải xây dựng chương trình, nội quy, quy định về phòng chống cháy nổ và an toàn lao động tại phòng thí nghiệm và khi đi quan trắc hiện trường để phổ biến, hướng dẫn cho toàn thể người lao động, trang bị đầy đủ phương tiện bảo hộ lao động cho người thực hiện quan trắc hiện trường và phân tích trong phòng thí nghiệm.
5. Người tham gia thực hiện quan trắc hiện trường phải được huấn luyện về an toàn lao động theo quy định tại Luật An toàn, vệ sinh lao động và các quy định pháp luật liên quan.
Điều 20. Hệ thống quản lý chất lượng quan trắc môi trường
1. Tổ chức tham gia hoạt động quan trắc môi trường phải áp dụng hệ thống quản lý chất lượng theo Tiêu chuẩn ISO/IEC 17025:2017 hoặc tương đương để xây dựng hệ thống quản lý chất lượng nội bộ nhằm đảm bảo chất lượng kết quả quan trắc. Hệ thống quản lý chất lượng phải thiết lập bằng văn bản và phổ biến cho người lao động để biết và thực hiện. Hệ thống quản lý chất lượng phải được duy trì và liên tục cải tiến phù hợp với phạm vi hoạt động, bảo đảm tính khách quan và chính xác của các kết quả quan trắc.
2. Hàng năm, tổ chức phải lập kế hoạch và tự đánh giá nội bộ hệ thống quản lý chất lượng. Việc đánh giá bao gồm đánh giá hệ thống hồ sơ tài liệu liên quan đến quản lý chất lượng và đánh giá các hoạt động quan trắc môi trường nhằm kiểm tra và xác nhận mức độ tuân thủ của tổ chức thực hiện đối với các yêu cầu của hệ thống quản lý chất lượng. Sau khi đánh giá, tổ chức phải có các biện pháp khắc phục, cải tiến các lỗi phát hiện (nếu có).
Điều 21. Hoạt động thử nghiệm thành thạo
1. Tổ chức đã được cấp Giấy chứng nhận đủ điều kiện hoạt động dịch vụ quan trắc môi trường phải tham gia các chương trình thử nghiệm thành thạo do các đơn vị có năng lực phù hợp theo ISO/IEC 17043:2010 tổ chức. Trong thời hạn của Giấy chứng nhận, Tổ chức phải tham gia các chương trình thử nghiệm thành thạo tối thiểu trên 01 nền mẫu cho các thông số đã được chứng nhận, theo các nhóm sau đây:
a) Tham gia tối thiểu 01 lần/năm đối với phân tích các thông số đã được chứng nhận thuộc nhóm thông số cơ bản gồm có: BOD5, COD, TSS, NH4+, Cl-, F-, NO3-, NO2-, PO43-;
b) Tham gia tối thiểu 01 lần/năm đối với phân tích các thông số đã được chứng nhận thuộc nhóm thông số kim loại gồm có: As, Cd, Pb, Tổng Cr, Cu, Zn, Ni, Mn, Hg, Fe;
c) Tham gia tối thiểu 01 lần trong thời hạn của Giấy chứng nhận đối với phân tích nhóm thông số được chứng nhận gồm có: Tổng phenol, Xyanua (CN-), chất hoạt động bề mặt, Hóa chất bảo vệ thực vật clo, Hóa chất bảo vệ thực vật photpho, PCB, Dioxin, PAHs.
2. Đối với các thông số quy định tại Điểm c Khoản 1 Điều này nhưng không có đơn vị trong nước đủ năng lực tổ chức chương trình thử nghiệm thành thạo, tổ chức có thể tham gia các chương trình thử nghiệm liên phòng với quy mô tối thiểu 03 phòng thí nghiệm tham gia hoặc tham gia chương trình thử nghiệm thành thạo do các tổ chức quốc tế có năng lực phù hợp theo ISO/IEC 17043:2010 tổ chức.
3. Trường hợp kết quả tham gia chương trình thử nghiệm thành thạo có giá trị |zscore|> 2, tổ chức phải có các biện pháp khắc phục, phòng ngừa các lỗi đã phát hiện.
Điều 22. Bảo đảm chất lượng và kiểm soát chất lượng trong hoạt động quan trắc hiện trường
Tổ chức thực hiện hoạt động quan trắc tại hiện trường phải thực hiện các yêu cầu về bảo đảm chất lượng và kiểm soát chất lượng như sau:
1. Thực hiện phân công nhiệm vụ cụ thể cho các cán bộ thực hiện quan trắc môi trường. Người thực hiện quan trắc hiện trường phải được đào tạo với chuyên ngành phù hợp với công việc được giao và chỉ được giao chính thức thực hiện quan trắc hiện trường khi được đánh giá là đạt theo yêu cầu của tiêu chí nội bộ và đã tham gia các khóa đào tạo về an toàn phục vụ công tác đi hiện trường được đánh giá là đạt yêu cầu.
2. Chuẩn bị đầy đủ hồ sơ, tài liệu, trang thiết bị, dụng cụ, hóa chất và chất chuẩn, phương tiện vận chuyển, an toàn bảo hộ lao động theo chương trình, kế hoạch quan trắc hiện trường đã thiết lập.
3. Hóa chất, mẫu chuẩn, chất chuẩn: được chuẩn bị đầy đủ theo quy định của từng phương pháp quan trắc, được đựng trong các bình chứa phù hợp, có dán nhãn thể hiện đầy đủ các thông tin về: tên hoặc loại hóa chất, mẫu chuẩn, chất chuẩn; tên nhà sản xuất; nồng độ; ngày chuẩn bị; người chuẩn bị; thời gian sử dụng và các thông tin khác (nếu có). Hóa chất, mẫu chuẩn, chất chuẩn phải được để tại khu vực riêng biệt, bảo quản phù hợp, đảm bảo an toàn. Đơn vị quan trắc phải có sổ kho hóa chất thể hiện lượng hóa chất, mẫu chuẩn, chất chuẩn nhập và xuất để sử dụng, định kỳ thực hiện kiểm kê và theo dõi thời hạn sử dụng của hóa chất, mẫu chuẩn, chất chuẩn.
4. Phải kiểm tra, bảo trì, bảo dưỡng và đảm bảo các thiết bị được hiệu chuẩn định kỳ theo quy định trước khi ra hiện trường.
5. Thực hiện lấy mẫu theo phương pháp phù hợp. Các mẫu được chứa vào dụng cụ chứa mẫu phải sạch và phù hợp với từng thông số quan trắc, không làm ảnh hưởng hoặc biến đổi chất lượng của mẫu và được dán nhãn để nhận biết. Nhãn mẫu thể hiện các thông tin về thông số quan trắc, mã mẫu (ký hiệu mẫu), thời gian lấy mẫu và các thông tin khác (nếu có).
6. Mẫu kiểm soát chất lượng (mẫu QC) được lấy tại hiện trường là mẫu trắng vận chuyển, mẫu trắng thiết bị, mẫu trắng hiện trường, mẫu lặp hiện trường hoặc các mẫu QC khác với số lượng phù hợp theo yêu cầu của chương trình quan trắc hoặc chương trình bảo đảm chất lượng quan trắc hiện trường đề ra. Chương trình quan trắc có số lượng dưới 30 mẫu thì tối thiểu phải lấy 01 mẫu lặp hiện trường (trừ các mẫu về mặt kỹ thuật không thực hiện được việc lấy mẫu lặp như các mẫu khí thải, bụi,...) và 01 mẫu trắng hiện trường hoặc mẫu trắng thiết bị. Chương trình quan trắc có số lượng từ 30 mẫu trở lên thì số lượng mẫu kiểm soát chất lượng được lấy tại hiện trường bằng 10% tổng lượng mẫu của chương trình quan trắc. Các mẫu QC hiện trường phải được giao nhận, mã hóa và phân tích trong phòng thí nghiệm như các mẫu khác.
7. Biên bản đo và lấy mẫu hiện trường được thực hiện và hoàn thành ngay sau khi kết thúc việc lấy mẫu tại hiện trường. Mẫu biên bản quan trắc hiện trường quy định tại Biểu 2, Biểu 3 và Biểu 4 của Phụ lục 5 ban hành kèm theo Thông tư này.
8. Phương pháp bảo quản và vận chuyển mẫu: mẫu được bảo quản và xử lý sơ bộ (nếu có) tại hiện trường phải phù hợp với các thông số quan trắc. Việc vận chuyển mẫu phải bảo toàn mẫu về chất lượng và số lượng. Thời gian vận chuyển và nhiệt độ bảo quản mẫu trong quá trình vận chuyển tuân theo các tiêu chuẩn lấy mẫu, phân tích hoặc các văn bản, quy định hiện hành đối với từng thông số quan trắc. Cần có phương án vận chuyển hợp lý để đảm bảo quy định thời gian tiến hành phân tích sau khi lấy mẫu đối với một số thông số quan trắc.
9. Giao và nhận mẫu: phải có biên bản giao và nhận mẫu, trong đó có đầy đủ tên, chữ ký của các bên có liên quan.
10. Phương pháp quan trắc tại hiện trường được lựa chọn phù hợp và được quy định tại Phụ lục 2, Phụ lục 3, Phụ lục 4 ban hành kèm theo Thông tư này. Đối với các thông số đo tại hiện trường thì phải sử dụng chất chuẩn (dung dịch chuẩn, khí chuẩn) để kiểm soát chất lượng các kết quả đo tại hiện trường. Khi thực hiện đo tại hiện trường phải tiến hành đo lặp mẫu để lấy trung bình của các kết quả đo.
Điều 23. Bảo đảm chất lượng và kiểm soát chất lượng trong hoạt động phân tích môi trường
Tổ chức thực hiện hoạt động phân tích môi trường phải thực hiện các yêu cầu về bảo đảm chất lượng và kiểm soát chất lượng như sau:
1. Có phân công nhiệm vụ cụ thể cho các cán bộ thực hiện phân tích môi trường. Người thực hiện phân tích phải được đào tạo trong lĩnh vực phân tích môi trường phù hợp với công việc được giao và chỉ được giao chính thức thực hiện phân tích khi được đánh giá là đạt theo yêu cầu của tiêu chí nội bộ.
2. Các phương pháp phân tích phải được phê duyệt để đánh giá sự phù hợp theo điều kiện áp dụng thực tế của phòng thí nghiệm trước khi đưa vào triển khai thực hiện. Việc phê duyệt phương pháp phải được lập thành báo cáo theo quy định tại Phụ lục 7 ban hành kèm theo Thông tư này.
3. Xây dựng quy trình thao tác chuẩn (SOP) cho các phương pháp phân tích đã được phê duyệt. Một quy trình thao tác chuẩn tối thiểu phải bao gồm các nội dung theo quy định tại Phụ lục 8 ban hành kèm theo Thông tư này.
4. Hóa chất, mẫu chuẩn, chất chuẩn: được chuẩn bị đầy đủ theo quy định của từng phương pháp quan trắc, được đựng trong các bình chứa phù hợp, có dán nhãn thể hiện đầy đủ các thông tin về: tên hoặc loại hóa chất, mẫu chuẩn, chất chuẩn; tên nhà sản xuất; nồng độ; ngày chuẩn bị; người chuẩn bị; thời gian sử dụng và các thông tin khác (nếu có). Hóa chất, mẫu chuẩn, chất chuẩn phải được đặt tại khu vực riêng biệt, bảo quản phù hợp, đảm bảo an toàn. Đơn vị quan trắc phải có sổ kho hóa chất thể hiện lượng hóa chất, mẫu chuẩn, chất chuẩn nhập và xuất để sử dụng, định kỳ thực hiện kiểm kê và theo dõi thời hạn sử dụng của hóa chất, mẫu chuẩn, chất chuẩn.
5. Kiểm tra, bảo trì, bảo dưỡng và hiệu chuẩn các thiết bị phân tích môi trường.
6. Kiểm soát các điều kiện môi trường phòng thí nghiệm, bảo đảm không ảnh hưởng đến kết quả phân tích hoặc không ảnh hưởng bất lợi đến chất lượng của các phép phân tích.
7. Quản lý mẫu: khi tiếp nhận để phân tích, mẫu phải đáp ứng các điều kiện về bảo quản mẫu phù hợp với từng thông số phân tích theo quy định. Mẫu phải được mã hóa và mã mẫu được gắn với mẫu trong suốt thời gian lưu mẫu tại tổ chức thực hiện phân tích môi trường. Sau khi được phân tích xong, các mẫu phải được lưu giữ và bảo quản theo chỉ dẫn trong các tiêu chuẩn phân tích, lấy mẫu tương ứng hoặc trong quy định hiện hành để sử dụng trong trường hợp cần kiểm tra và phân tích lại.
8. Kiểm soát chất lượng trong hoạt động phân tích môi trường: ngoài các mẫu QC hiện trường được phân tích, mẫu QC phòng thí nghiệm phải được phân tích trong từng mẻ mẫu. Số lượng mẫu QC tối thiểu cần thực hiện trong mỗi mẻ mẫu phải đủ để kiểm tra sự nhiễm bẩn của dụng cụ, hóa chất, thuốc thử, các yếu tố ảnh hưởng và đánh giá độ chụm, độ chính xác của kết quả phân tích. Tùy thuộc vào phương pháp phân tích áp dụng, mẫu QC sử dụng trong phòng thí nghiệm gồm: mẫu trắng thiết bị, mẫu trắng phương pháp, mẫu lặp, mẫu thêm chuẩn, mẫu chuẩn đối chứng, mẫu chuẩn được chứng nhận, mẫu chuẩn thẩm tra hoặc mẫu QC khác do phương pháp tiêu chuẩn và chương trình quan trắc yêu cầu hoặc chương trình bảo đảm chất lượng của tổ chức đề ra.
9. Xây dựng tiêu chí chấp nhận kiểm soát chất lượng theo phương pháp tiêu chuẩn yêu cầu và theo quy định tại Phụ lục 9 ban hành kèm theo Thông tư này.
Điều 24. Sử dụng và quản lý thiết bị quan trắc môi trường
1. Thiết bị quan trắc môi trường trước khi đưa vào sử dụng phải bảo đảm chất lượng, tiêu chuẩn, quy chuẩn kỹ thuật theo đúng quy định của pháp luật hiện hành về chất lượng, sản phẩm hàng hóa. Thiết bị quan trắc môi trường phải được kiểm soát về đo lường (kiểm định, hiệu chuẩn, thử nghiệm) theo quy định của pháp luật hiện hành về đo lường.
2. Sử dụng thiết bị quan trắc môi trường phải bảo đảm theo đúng hướng dẫn sử dụng của nhà sản xuất, quy trình sử dụng thiết bị, phù hợp với yêu cầu kỹ thuật đo lường quy định tại văn bản kỹ thuật đo lường Việt Nam.
3. Trước khi sử dụng, các thiết bị quan trắc môi trường phải được kiểm tra (kiểm tra bên ngoài, kiểm tra kỹ thuật và kiểm tra độ chính xác). Trường hợp phát hiện thiết bị không bảo đảm yêu cầu kỹ thuật đo lường theo quy định thì phải ngừng sử dụng, lập biên bản và lưu lại trong hồ sơ quản lý thiết bị quan trắc môi trường.
4. Bảo trì, bảo dưỡng, sửa chữa, thay thế thiết bị quan trắc môi trường: phải lập kế hoạch và thực hiện bảo trì, bảo dưỡng, sửa chữa và thay thế định kỳ các thiết bị quan trắc môi trường theo hướng dẫn của nhà sản xuất và quy trình sử dụng thiết bị.
5. Hồ sơ quản lý thiết bị quan trắc môi trường: tổ chức thực hiện hoạt động quan trắc môi trường có trách nhiệm lập hồ sơ quản lý thiết bị quan trắc môi trường. Hồ sơ quản lý thiết bị quan trắc môi trường được lưu giữ tại tổ chức thực hiện hoạt động quan trắc môi trường và sẵn sàng xuất trình hồ sơ khi có yêu cầu của cơ quan nhà nước có thẩm quyền. Hồ sơ quản lý thiết bị quan trắc môi trường gồm:
a) Danh mục và đặc tính kỹ thuật của thiết bị quan trắc; hướng dẫn sử dụng của nhà sản xuất;
b) Quy trình thao tác chuẩn, quy trình kiểm tra;
c) Sổ theo dõi giao nhận, sử dụng thiết bị;
d) Sổ theo dõi việc kiểm tra, bảo trì, bảo dưỡng, sửa chữa và thay thế linh, phụ kiện;
đ) Hồ sơ kiểm soát về đo lường của thiết bị quan trắc;
e) Giấy chứng nhận kèm theo báo cáo kết quả kiểm định, hiệu chuẩn, thử nghiệm và các hồ sơ chứng minh chủ sở hữu thiết bị.
Điều 25. Quản lý dữ liệu quan trắc môi trường
1. Số liệu quan trắc hiện trường và phân tích môi trường phải được kiểm tra, xử lý thống kê và đánh giá.
a) Kiểm tra kết quả: kiểm tra tổng hợp về tính hợp lý của kết quả quan trắc và phân tích môi trường. Việc kiểm tra dựa trên hồ sơ của mẫu (biên bản quan trắc tại hiện trường, biên bản giao và nhận mẫu, biên bản đo tại hiện trường, biểu ghi kết quả phân tích trong phòng thí nghiệm, ...) kết quả mẫu QC (mẫu trắng, mẫu lặp, mẫu chuẩn,...);
b) Kết quả quan trắc và phân tích môi trường chỉ được chấp nhận sau khi xem xét, đánh giá kết quả phân tích các mẫu QC đảm bảo độ tin cậy theo tiêu chí kiểm soát chất lượng của phòng thí nghiệm;
c) Xử lý thống kê: căn cứ theo lượng mẫu và nội dung của báo cáo, việc xử lý thống kê có thể sử dụng các phương pháp khác nhau nhưng tối thiểu phải có các số liệu thống kê về giá trị nhỏ nhất, giá trị lớn nhất, giá trị trung bình, số giá trị vượt chuẩn;
d) Đánh giá kết quả: so sánh, đối chiếu các kết quả quan trắc đã được kiểm tra, xử lý thống kê với các tiêu chuẩn, quy chuẩn kỹ thuật có liên quan.
2. Toàn bộ tài liệu, dữ liệu, hồ sơ có liên quan đến hoạt động quan trắc hiện trường và phân tích môi trường phải được tập hợp đầy đủ, bảo đảm tính trung thực, kịp thời và được lưu giữ, quản lý theo quy định.
3. Hồ sơ gốc của hoạt động quan trắc hiện trường và phân tích môi trường phải được lưu giữ và sẵn sàng cung cấp cho cơ quan có thẩm quyền khi được yêu cầu. Hồ sơ gốc bao gồm:
a) Hồ sơ quan trắc hiện trường gồm: biên bản lấy mẫu tại hiện trường, biên bản giao và nhận mẫu, phiếu kết quả đo tại hiện trường, biên bản đo lặp mẫu tại hiện trường (nếu có), dữ liệu gốc được lưu trong bộ nhớ từ các thiết bị đo trực tiếp tại hiện trường hoặc được sao lưu trực tiếp từ bộ nhớ các thiết bị đo trực tiếp tại hiện trường, kết quả tính toán, quan trắc hiện trường;
b) Hồ sơ phân tích môi trường gồm: biên bản phân tích, báo cáo kết quả phân tích, dữ liệu gốc được lưu trong bộ nhớ của các thiết bị phân tích hoặc được sao lưu trực tiếp từ bộ nhớ các thiết bị phân tích;
c) Hồ sơ thực hiện công tác bảo đảm chất lượng và kiểm soát chất lượng hiện trường và phân tích môi trường tối thiểu bao gồm biên bản lấy mẫu và kết quả mẫu kiểm soát chất lượng hiện trường, kết quả kiểm tra thiết bị bằng chất chuẩn tại hiện trường, kết quả mẫu kiểm soát chất lượng trong hoạt động phân tích môi trường.
4. Dữ liệu trong hoạt động quan trắc hiện trường và phân tích môi trường phải bảo đảm đầy đủ, thống nhất với hồ sơ quan trắc hiện trường và hồ sơ phân tích môi trường; phù hợp, thống nhất với thời gian, vị trí lấy mẫu và thời gian, thông số phân tích; phù hợp, thống nhất với phương pháp, thiết bị quan trắc; phù hợp với tiêu chí chấp nhận kết quả phép đo.
5. Trường hợp nghi ngờ có sai sót trong các hoạt động quan trắc môi trường thì phải kiểm tra lại số liệu hoặc hủy bỏ, không sử dụng số liệu cho mục đích viết báo cáo kết quả quan trắc. Các tài liệu, số liệu ban đầu trước khi hủy bỏ phải được lưu giữ như hồ sơ gốc để sử dụng trong các trường hợp cần tra cứu.
Chương VI
YÊU CẦU KỸ THUẬT CƠ BẢN VÀ ĐẶC TÍNH KỸ THUẬT CỦA TRẠM QUAN TRẮC CHẤT LƯỢNG NƯỚC MẶT VÀ KHÔNG KHÍ XUNG QUANH TỰ ĐỘNG, LIÊN TỤC
Điều 26. Yêu cầu cơ bản đối với trạm quan trắc chất lượng nước mặt tự động, liên tục
1. Thông số quan trắc:
a) Nhóm thông số bắt buộc gồm các thông số: nhiệt độ, pH, hàm lượng ôxy hoà tan (DO), Tổng chất rắn lơ lửng (TSS), Nhu cầu oxy hoá học (COD);
b) Ngoài các thông số quan trắc quy định tại Điểm a Khoản 1 Điều này, căn cứ vào mục tiêu quan trắc, đặc điểm khu vực quan trắc, trạm quan trắc nước mặt tự động có thể quan trắc các thông số gồm có: độ đục, TDS, NH4+, Tổng Nitơ, Tổng Phôtpho, PO43-, NO3-, TOC và các thông số khác theo mục tiêu quan trắc.
2. Vị trí quan trắc và các yêu cầu kỹ thuật:
a) Vị trí quan trắc:
Căn cứ vào mục tiêu quan trắc, các cơ quan, tổ chức có thể lắp đặt các trạm quan trắc chất lượng nước mặt tự động, liên tục để theo dõi diễn biến chất lượng nước và cảnh báo nguy cơ ô nhiễm môi trường, ưu tiên việc lắp đặt các trạm quan trắc tự động đảm bảo các tiêu chí sau đây:
a1) Điểm ở thượng lưu thuộc Vùng bảo hộ vệ sinh khu vực lấy nước sinh hoạt theo quy định của Luật Tài nguyên nước;
a2) Khu vực thượng lưu các dòng sông, gần biên giới với các quốc gia lân cận để theo dõi đánh giá chất lượng nước từ các quốc gia giáp ranh biên giới đổ vào Việt Nam;
a3) Điểm ở hạ lưu lân cận khu vực tập trung cơ sở sản xuất công nghiệp có quy mô xả thải lớn, tiềm ẩn nguy cơ về sự cố môi trường để theo dõi, kịp thời cảnh báo các hiện tượng ô nhiễm môi trường;
b) Yêu cầu kỹ thuật đối với vị trí quan trắc:
b1) Địa điểm lắp đặt trạm quan trắc được lựa chọn trên cơ sở xem xét các yếu tố: việc xây dựng trạm phải có tính khả thi, vị trí lấy mẫu có tính đại diện, nhu cầu quan trắc dài hạn, khả năng đảm bảo an toàn và duy trì chi phí vận hành trạm;
b2) Địa điểm lắp đặt trạm có điều kiện thuận lợi về giao thông, điện, nước sạch, viễn thông, khoảng cách phù hợp tới điểm quan trắc, khả năng lấy mẫu trong mùa khô, an toàn trong vận hành và bảo dưỡng, và các điều kiện cơ bản khác đảm bảo cho việc xây dựng nhà trạm;
b3) Đối với trạm quan trắc trên sông phải lựa chọn vị trí quan trắc ở đoạn sông thẳng, có chất lượng nước đồng đều; vận tốc và chế độ dòng chảy ổn định, có khoảng cách tối thiểu 01 km về phía hạ lưu các điểm xả nước thải hoặc cửa sông. Việc lựa chọn vị trí quan trắc tự động cần nhất quán, tương đồng với việc lựa chọn các vị trí quan trắc thông thường để đảm bảo tính liên tục của dữ liệu quan trắc;
b4) Đối với trạm quan trắc trên hồ (nguồn nước tĩnh), phải lựa chọn vị trí quan trắc ở những khu vực có chế độ trao đổi thủy lực tốt, mang tính đại diện cho chất lượng nước của hồ, tránh chọn vị trí quan trắc tại các khu vực nước tù, nước đọng hoặc những khu vực dễ xảy ra hiện tượng lắng trầm tích hoặc sinh sôi thực vật thủy sinh.
3. Yêu cầu cơ bản về thiết bị đối với các trạm quan trắc chất lượng nước mặt tự động, liên tục:
a) Căn cứ vào thông số quan trắc và nguyên lý đo, phân tích của thiết bị quan trắc để xác định phương án lắp đặt thiết bị quan trắc phù hợp, cụ thể:
- Phương án trực tiếp: các đầu đo được đặt trực tiếp tại vị trí quan trắc chất lượng nước mặt; vị trí đặt các đầu đo phải cách ít nhất 10 cm từ bề mặt nước mặt và ít nhất 15 cm từ đáy, có tính tới đảm bảo việc đo đạc trong mùa cạn;
- Phương án gián tiếp: nước mặt được bơm lên nhà trạm vào thùng chứa mẫu để đo trực tiếp bằng các đầu đo nhúng trực tiếp vào thùng hoặc chuyển tới hệ thiết bị phân tích tự động (nếu có);
b) Hệ thống nhận, truyền và quản lý dữ liệu (datalogger): để thu thập, lưu giữ và truyền dữ liệu quan trắc tự động, liên tục của hệ thống về cơ quan quản lý. Hệ thống nhận, truyền và quản lý dữ liệu được quy định chi tiết tại Điều 39 Thông tư này;
c) Dung dịch chuẩn để kiểm tra và hiệu chuẩn thiết bị quan trắc của trạm;
d) Camera: khuyến khích lắp đặt camera để cung cấp hình ảnh trực tuyến tại vị trí đặt các thiết bị quan trắc của trạm;
đ) Yêu cầu kỹ thuật của các thiết bị phụ trợ khác cho trạm quan trắc chất lượng nước mặt tự động, liên tục quy định tại Phụ lục 10 ban hành kèm theo Thông tư này.
Điều 27. Yêu cầu về đặc tính kỹ thuật đối với trạm quan trắc chất lượng nước mặt tự động, liên tục
Trạm quan trắc nước mặt tự động tối thiểu phải đáp ứng được các yêu cầu về đặc tính kỹ thuật như sau:
| STT | Thông số quan trắc | Đơn vị đo | Độ chính xác | Khoảng đo | Độ phân giải | Thời gian đáp ứng | |
| (% giá trị đọc) | (% khoảng đo) | ||||||
| 1 | Nhiệt độ | oC | ± 5% | ± 3% | 0 ÷ 80oC | 0,1 | ≤ 5 giây |
| 2 | pH | - | ± 0,1 | ± 0,1 | 0 ÷ 14 | 0,1 | ≤ 5 giây |
| 3 | TSS | mg/L | ± 5 % | ± 2% | 0 ÷ 500 | 0,1 | ≤ 10 giây |
| 4 | COD | mg/L | ± 5% | ± 5% | 0 ÷ 100 | 0,5 | ≤ 15 phút |
| 5 | DO | mg/L | ± 5% | ± 5% | 0 ÷ 20 | 0,1 | ≤ 120 giây |
| 6 | NO3- | mg/L | ± 5% | ± 3% | 0 ÷ 50 | 0,5 | ≤ 10 phút |
| 7 | PO43- | mg/L | ± 5% | ± 5% | 0 ÷ 2 | - | ≤ 10 phút |
| 8 | NH4+ | mg/L | ± 5% | ± 5% | 0 ÷ 5 | 0,2 | ≤ 30 phút |
| 9 | Tổng P | mg/L | ± 5 % | ± 3 % | 0 ÷ 2 | 0,1 | ≤ 30 phút |
| 10 | Tổng N | mg/L | ± 5 % | ± 3% | 0 ÷ 20 | 0,1 | ≤ 30 phút |
| 11 | TOC | mg/L | ± 5 % | ± 2 % | 0 ÷ 100 | 0,1 | ≤ 30 phút |
2. Dung dịch chuẩn để kiểm tra và hiệu chuẩn thiết bị quan trắc các thông số quy định tại Bảng 1 của trạm phải đảm bảo yêu cầu sau:
- Phải có độ chính xác tối thiểu ± 5% (đối với pH là ± 0,1 pH) và phải được liên kết chuẩn theo quy định của pháp luật về đo lường;
- Dung dịch chuẩn phải đáp ứng tối thiểu 01 điểm nồng độ trong dải đo của từng thiết bị tương ứng với từng thông số được quy định tại Bảng 1, trừ thông số nhiệt độ.
3. Khuyến khích sử dụng các thiết bị quan trắc đồng bộ của cùng một hãng sản xuất và đã được cấp chứng nhận bởi các tổ chức quốc tế gồm: Cơ quan bảo vệ môi trường Mỹ (US EPA), Tổ chức chứng nhận Anh (mCERTs), Cơ quan kiểm định kỹ thuật Đức (TÜV).
4. Có khả năng lưu giữ và kết xuất tự động kết quả quan trắc và thông tin trạng thái của thiết bị đo (tối thiểu bao gồm các trạng thái: đang đo, hiệu chuẩn và báo lỗi thiết bị). Các thông số lưu lượng, nhiệt độ không yêu cầu thông báo trạng thái hiệu chuẩn.
Điều 28. Yêu cầu về quản lý, vận hành trạm quan trắc chất lượng nước mặt tự động, liên tục
1. Trạm quan trắc chất lượng nước mặt tự động, liên tục phải có đầy đủ các hồ sơ liên quan gồm có: hồ sơ thông tin về trạm, hồ sơ về bảo dưỡng, thay thế thiết bị tại trạm, hồ sơ thiết bị, bản vẽ thiết kế kỹ thuật và các quy trình vận hành, bảo dưỡng, thay thế và sửa chữa trạm.
2. Đảm bảo chất lượng và kiểm soát chất lượng (QA/QC) đối với trạm quan trắc chất lượng nước mặt tự động, liên tục: trước khi trạm được đưa vào vận hành, Đơn vị vận hành trạm có trách nhiệm xây dựng quy trình thao tác chuẩn (SOP) trong quá trình quản lý, vận hành trạm. Quy trình thao tác chuẩn phải bao gồm các nội dung sau: quy trình vận hành, quy trình kiểm tra, bảo dưỡng các đầu đo và thiết bị, quy trình quản lý số liệu, quy trình khắc phục sự cố.
3. Cán bộ vận hành phải được đào tạo đầy đủ về công tác quản lý và vận hành trạm, khắc phục sự cố và công tác an toàn lao động.
4. Kiểm định, hiệu chuẩn và kiểm tra định kỳ đối với thiết bị quan trắc tự động, liên tục
a) Thiết bị phải được kiểm định, hiệu chuẩn theo quy định của pháp luật hiện hành về đo lường;
b) Thiết bị (trừ thiết bị đo nhiệt độ) phải được kiểm tra định kỳ bằng chất chuẩn theo khuyến cáo của nhà sản xuất nhưng phải bảo đảm tối thiểu 01 tháng/lần bởi đơn vị vận hành trạm; phải thực hiện kiểm định, hiệu chuẩn lại thiết bị đo theo quy định khi giá trị đo được trên thiết bị đo so với giá trị nồng độ của chất chuẩn có sai lệch ≥ 10%. Khuyến khích kiểm định, hiệu chuẩn lại thiết bị đo khi giá trị đo được trên thiết bị đo so với giá trị nồng độ của chất chuẩn có sai lệch
c) Khuyến khích kiểm tra thiết bị định kỳ thông qua việc đối chứng với kết quả quan trắc định kỳ theo các phương pháp quy định tại Phụ lục 2.2 ban hành kèm theo Thông tư này;
d) Hoạt động bảo trì sửa chữa, thay thế linh phụ kiện phải được đơn vị vận hành trạm lập kế hoạch và được quy định chi tiết trong quy trình vận hành chuẩn (SOP).
5. Việc quản lý, vận hành trạm phải có nhật ký vận hành ghi chép đầy đủ các nội dung: tình trạng hoạt động các thiết bị đo và các thiết bị phụ trợ khác; tình trạng truyền, nhận dữ liệu tại trạm; quá trình kiểm tra thiết bị bằng dung dịch chuẩn và kiểm định, hiệu chuẩn thiết bị (nếu có).
6. Đơn vị vận hành trạm căn cứ vào quy mô và phương pháp quan trắc của trạm để bố trí cán bộ quản lý và vận hành trạm theo các quy định về định mức sử dụng diện tích nhà xưởng, thiết bị và biên chế cho trạm quan trắc môi trường.
Điều 29. Phân loại các trạm quan trắc chất lượng không khí xung quanh tự động, liên tục
Các trạm quan trắc chất lượng không khí xung quanh tự động, liên tục được phân loại theo mục đích quan trắc cụ thể như sau:
1. Trạm quan trắc chất lượng không khí xung quanh là các trạm quan trắc đáp ứng quy định tại Điểm a Khoản 1, Khoản 2 Điều 30 và Điều 31 Thông tư này nhằm mục đích theo dõi thường xuyên, liên tục chất lượng không khí tại vị trí, khu vực quan trắc và được sử dụng dữ liệu để cung cấp cho cơ quan quản lý nhà nước, công bố thông tin cho cộng đồng về chất lượng không khí thường xuyên, liên tục thông qua chỉ số chất lượng không khí (AQI).
2. Trạm quan trắc tham khảo là các trạm quan trắc chất lượng không khí xung quanh không đảm bảo đầy đủ các yêu cầu kỹ thuật quy định Điểm a Khoản 1, Khoản 2 Điều 30 và Điều 31 Thông tư này, được sử dụng để quan trắc chất lượng không khí nhằm mục đích sử dụng nội bộ, nghiên cứu khoa học, cung cấp dữ liệu cho các mô hình tính toán, dự báo ô nhiễm và công bố số liệu quan trắc theo nồng độ chất ô nhiễm.
Điều 30. Yêu cầu cơ bản đối với trạm quan trắc chất lượng không khí xung quanh tự động, liên tục
Trạm quan trắc chất lượng không khí xung quanh tự động, liên tục phải đáp ứng các yêu cầu cơ bản như sau:
1. Thông số quan trắc:
Căn cứ vào mục tiêu quan trắc và đặc điểm khu vực quan trắc để lựa chọn các thông số môi trường cần quan trắc cho phù hợp và theo quy định dưới đây:
a) Nhóm các thông số tối thiểu đối với các trạm chất lượng không khí nhằm công bố thông tin qua chỉ số AQI gồm có: bụi PM2,5; ôzôn (O3) và một trong ba thông số nitơ đioxit (NO2), lưu huỳnh đioxit (SO2), cacbon monoxit (CO).
b) Nhóm các thông số khác: bụi tổng (TSP), bụi PM10, bụi PM1, benzen (C6H6), toluen (C7H8), ethyl benzen (C8H10), xylen (C8H10), metan (CH4) và các thông số độc hại khác.
c) Căn cứ theo mục tiêu quan trắc, các trạm quan trắc tham khảo có thể lựa chọn các thông số quy định tại Điểm a và Điểm b Khoản 1 Điều này.
2. Vị trí đặt trạm: trạm phải được đặt ở nơi thoáng gió, có thể đo được các thông số về khí tượng, không bị che chắn, đáp ứng mục tiêu quan trắc và đại diện cho chất lượng môi trường của khu vực quan trắc. Căn cứ vào mục tiêu quan trắc và yêu cầu kỹ thuật của từng loại trạm để lựa chọn vị trí cho phù hợp, cụ thể như sau:
a) Trạm nền: đặt tại các khu vực có ít tác động nhất từ các nguồn khí thải;
b) Trạm tổng hợp: trạm tổng hợp được đặt tại các khu vực có ảnh hưởng của nhiều nguồn tác động (đô thị, dân cư, giao thông, xây dựng, công nghiệp,...);
c) Trạm dân cư: đặt tại các khu vực điển hình của khu dân cư, không gần các trục đường lớn có nhiều phương tiện đi lại;
d) Trạm ven đường (giao thông): đặt tại đoạn đường thẳng, tránh gần các lối rẽ, điểm nút giao thông; đặt tại các đường cao tốc, đường quốc lộ có mật độ giao thông lớn nhất trong các tuyến đường của khu vực;
đ) Trạm công nghiệp: đặt trong khu dân cư gần nhất theo hướng gió chủ đạo so với khu công nghiệp, nguồn thải lớn. Đối với nguồn thải có ống khói cao có thể cần sử dụng mô hình lan truyền ô nhiễm không khí để xác định khu vực có mức độ ô nhiễm cao nhất, từ đó xác định vị trí đặt trạm.
3. Yêu cầu cơ bản về thiết bị đối với các trạm quan trắc chất lượng không khí xung quanh tự động, liên tục:
a) Thiết bị quan trắc tự động, liên tục: gồm một hoặc nhiều thiết bị đo và phân tích có khả năng đo tự động, liên tục và đưa ra kết quả quan trắc của các thông số trong không khí xung quanh;
b) Hệ thống nhận, truyền và quản lý dữ liệu (data logger): để thu thập, lưu giữ và truyền dữ liệu quan trắc tự động, liên tục về cơ quan nhà nước về môi trường. Hệ thống nhận, truyền và quản lý dữ liệu được quy định chi tiết tại Điều 39 Thông tư này;
c) Bình khí chuẩn hoặc chất chuẩn chuyên dùng khác: cung cấp chất chuẩn cho công tác kiểm tra và hiệu chuẩn thiết bị quan trắc của trạm;
d) Camera: khuyến khích lắp đặt camera để cung cấp hình ảnh trực tuyến tại vị trí đặt các thiết bị quan trắc của trạm;
đ) Yêu cầu kỹ thuật đối với các thiết bị phụ trợ khác cho trạm quan trắc chất lượng không khí xung quanh tự động, liên tục quy định tại Phụ lục 11 ban hành kèm theo Thông tư này.
Điều 31. Yêu cầu về đặc tính kỹ thuật đối với trạm quan trắc chất lượng không khí xung quanh tự động, liên tục
1. Trạm quan trắc chất lượng không khí xung quanh tự động, liên tục phải sử dụng các thiết bị đo theo Danh mục các phương pháp và thiết bị quan trắc tương đương do Cơ quan Bảo vệ môi trường Hoa Kỳ (US EPA) công bố hoặc các thiết bị quan trắc đã được chứng nhận bởi các tổ chức quốc tế gồm: Tổ chức chứng nhận Anh (mCERTs), Cơ quan kiểm định kỹ thuật Đức (TÜV).
| STT | Thông số quan trắc | Đơn vị đo | Độ chính xác | Khoảng đo | Độ phân giải | Thời gian đáp ứng | |
| (% giá trị đọc) | (% khoảng đo) | ||||||
| 1 | Nhiệt độ | oC | ± 5% | ± 5% | 0 ÷ 80 oC | 0,1 | ≤ 120 giây |
| 2 | NO2 | µg/Nm3 | ± 5% | ± 5% | 0 ÷ 500 | 0,1 | ≤ 300 giây |
| ppb | ± 5% | ± 5% | 0 ÷ 250 | 0,1 | |||
| 3 | CO | µg/Nm3 | ± 5% | ± 5% | 0÷100.000 | 0,1 | ≤ 200 giây |
| ppb | ± 5% | ± 5% | 0 ÷ 85.000 | 0,1 | |||
| 4 | SO2 | µg/Nm3 | ± 5% | ± 5% | 0 ÷ 1.000 | 0,1 | ≤ 200 giây |
| ppb | ± 5% | ± 5% | 0 ÷ 400 | 0,1 | |||
| 5 | O3 | µg/Nm3 | ± 5% | ± 5% | 0 ÷ 500 | 0,1 | ≤ 200 giây |
| ppb | ± 5% | ± 5% | 0 ÷ 250 | 0,1 | |||
| 6 | Bụi PM10 | µg/Nm3 | ± 5% | ± 3% | 0 ÷ 500 | 0,1 | ≤ 60 giây |
| 7 | Bụi PM2,5 | µg/Nm3 | ± 5% | ± 3% | 0 ÷ 150 | 0,1 | ≤ 60 giây |
3. Chất chuẩn
a) Chất chuẩn được sử dụng để hiệu chuẩn thiết bị quan trắc tự động chất lượng không khí xung quanh đối với các thông số quy định tại Bảng 2;
b) Chất chuẩn phải còn hạn sử dụng, có độ chính xác tối thiểu ± 5% và phải được liên kết chuẩn theo quy định của pháp luật đo lường.
4. Có khả năng lưu giữ và kết xuất tự động kết quả quan trắc và thông tin trạng thái của thiết bị đo (tối thiểu bao gồm các trạng thái: đang đo, hiệu chuẩn và báo lỗi thiết bị). Thông số nhiệt độ không yêu cầu thông báo trạng thái hiệu chuẩn.
Điều 32. Yêu cầu về quản lý, vận hành trạm quan trắc chất lượng không khí xung quanh tự động, liên tục
1. Trạm phải có đầy đủ các hồ sơ liên quan đến trạm: Hồ sơ thông tin về trạm, hồ sơ về bảo dưỡng, thay thế trạm, hồ sơ thiết bị, bản vẽ thiết kế kỹ thuật và các quy trình vận hành, bảo dưỡng, thay thế và sửa chữa trạm.
2. Đảm bảo chất lượng và kiểm soát chất lượng (QA/QC) đối với trạm quan trắc chất lượng không khí xung quanh tự động, liên tục: trước khi trạm được vận hành, Đơn vị vận hành trạm có trách nhiệm xây dựng quy trình thao tác chuẩn (SOP) trong quá trình quản lý, vận hành trạm. Quy trình thao tác chuẩn phải bao gồm các nội dung sau: quy trình vận hành, quy trình kiểm tra, bảo dưỡng các đầu đo và thiết bị, quy trình quản lý số liệu, quy trình khắc phục sự cố.
3. Cán bộ vận hành trạm phải được đào tạo đầy đủ về công tác quản lý và vận hành trạm, khắc phục sự cố và công tác an toàn lao động.
4. Kiểm định, hiệu chuẩn và kiểm tra định kỳ đối với thiết bị quan trắc tự động, liên tục
a) Thiết bị phải được kiểm định, hiệu chuẩn theo quy định của pháp luật hiện hành về đo lường;
b) Thiết bị quan trắc (trừ thiết bị đo nhiệt độ, bụi PM10, bụi PM2,5) phải được kiểm tra định kỳ bằng chất chuẩn theo khuyến cáo của nhà sản xuất nhưng phải bảo đảm tối thiểu 01 tháng/lần bởi đơn vị vận hành trạm; phải thực hiện kiểm định, hiệu chuẩn lại thiết bị đo khi giá trị đo được trên thiết bị đo so với giá trị nồng độ của chất chuẩn có sai lệch ≥ 10%. Khuyến khích kiểm định, hiệu chuẩn lại thiết bị đo khi giá trị đo được trên thiết bị đo so với giá trị nồng độ của chất chuẩn có sai lệch
c) Khuyến khích kiểm tra định kỳ thông qua việc đối chứng với kết quả quan trắc định kỳ theo các phương pháp quy định tại Phụ lục 2.1 ban hành kèm theo Thông tư này;
d) Hoạt động bảo trì, sửa chữa, thay thế linh phụ kiện phải được đơn vị vận hành lập kế hoạch và được quy định chi tiết trong quy trình vận hành chuẩn (SOP).
5. Việc quản lý, vận hành trạm phải có nhật ký vận hành ghi chép đầy đủ các nội dung: tình trạng hoạt động các thiết bị đo và các thiết bị phụ trợ khác; tình trạng truyền, nhận dữ liệu tại trạm; quá trình kiểm tra thiết bị bằng chất chuẩn và kiểm định, hiệu chuẩn thiết bị (nếu có).
6. Nhân lực quản lý và vận hành: căn cứ vào quy mô và phương pháp quan trắc của trạm để bố trí cán bộ quản lý và vận hành trạm theo quy định về định mức sử dụng diện tích nhà xưởng, thiết bị và biên chế cho trạm quan trắc môi trường.
Chương VII
QUY ĐỊNH VỀ YÊU CẦU CƠ BẢN VÀ ĐẶC TÍNH KỸ THUẬT CỦA HỆ THỐNG QUAN TRẮC NƯỚC THẢI VÀ KHÍ THẢI TỰ ĐỘNG, LIÊN TỤC
Điều 33. Yêu cầu cơ bản đối với hệ thống quan trắc nước thải tự động, liên tục
1. Thông số và vị trí quan trắc: căn cứ vào đặc thù của nguồn thải, hệ thống xử lý nước thải và yêu cầu quản lý, cơ quan Nhà nước có thẩm quyền yêu cầu các cơ sở thực hiện quan trắc tự động các thông số ô nhiễm và xác định vị trí lắp đặt hệ thống quan trắc nước thải tự động, liên tục theo quy định pháp luật.
2. Thành phần cơ bản của hệ thống quan trắc nước thải tự động, liên tục:
a) Thiết bị quan trắc tự động, liên tục: căn cứ vào thông số quan trắc và nguyên lý đo, phân tích của thiết bị quan trắc để xác định phương pháp lắp đặt thiết bị quan trắc phù hợp, cụ thể:
- Phương pháp trực tiếp: các thiết bị quan trắc (đầu đo pH, nhiệt độ,...) được đặt trực tiếp tại vị trí quan trắc sau hệ thống xử lý nước thải, vị trí đặt các đầu đo phải cách ít nhất 10 cm từ bề mặt nước thải và ít nhất 15 cm từ đáy;
- Phương pháp gián tiếp: nước thải sau khi xử lý được bơm lên nhà trạm vào thùng chứa mẫu để đo trực tiếp bằng các đầu đo nhúng trực tiếp vào thùng hoặc chuyển tới hệ thiết bị phân tích tự động (nếu có);
b) Hệ thống nhận, truyền và quản lý dữ liệu: được sử dụng để thu thập, lưu giữ và truyền dữ liệu quan trắc tự động, liên tục của hệ thống về cơ quan quản lý nhà nước về môi trường. Hệ thống nhận, truyền và quản lý dữ liệu được quy định chi tiết tại Điều 39 Thông tư này;
c) Chất chuẩn: để kiểm tra và hiệu chuẩn thiết bị quan trắc của hệ thống;
d) Thiết bị lấy mẫu tự động: để lấy và lưu mẫu nước khi một trong những thông số được giám sát vượt ngưỡng quy chuẩn cho phép hoặc theo yêu cầu của cơ quan nhà nước có thẩm quyền;
đ) Camera: để cung cấp hình ảnh trực tuyến tại vị trí đặt các thiết bị quan trắc và vị trí cửa xả của hệ thống xử lý nước thải trước khi đổ ra nguồn tiếp nhận, cụ thể như sau:
đ1) Trường hợp theo phương án lắp đặt thiết bị trực tiếp: 01 camera được lắp tại vị trí cửa xả của hệ thống xử lý nước thải;
đ2) Trường hợp theo phương án lắp đặt thiết bị gián tiếp: 01 camera được lắp bên trong nhà trạm và 01 camera được lắp bên ngoài nhà trạm tại vị trí cửa xả của hệ thống xử lý nước thải;
đ3) Camera phải bảo đảm có khả năng quay (ngang, dọc), có khả năng xem ban đêm, đảm bảo quan sát rõ ràng các đối tượng cần giám sát; có khả năng ghi lại hình ảnh theo khoảng thời gian, đặt lịch ghi hình;
e) Yêu cầu kỹ thuật đối với các thiết bị phụ trợ khác cho hệ thống quan trắc nước thải tự động, liên tục quy định tại Phụ lục 10 ban hành kèm theo Thông tư này.
Điều 34. Yêu cầu về đặc tính kỹ thuật đối với hệ thống quan trắc nước thải tự động, liên tục
Hệ thống quan trắc nước thải tự động, liên tục tối thiểu phải đáp ứng được các yêu cầu về đặc tính kỹ thuật như sau:
1. Thiết bị quan trắc tự động, liên tục
| STT | Thông số quan trắc | Đơn vị đo | Độ chính xác | Độ phân giải | Thời gian đáp ứng | |
| (% giá trị đọc) | (% khoảng đo) | |||||
| 1 | Lưu lượng | m3/h | ± 5% | ± 5% | - | ≤ 5 phút |
| 2 | Nhiệt độ | oC | ± 5% | ± 5% | 0,1 | ≤ 5 giây |
| 3 | Độ màu | Pt-Co | ± 5% | ± 5% | - | ≤ 5 phút |
| 4 | pH | - | ± 0,2 pH | ± 0,2 pH | 0,1 | ≤ 5 giây |
| 5 | TSS | mg/L | ± 5% | ± 3% | 0,1 | ≤ 10 giây |
| 6 | COD | mg/L | ± 5% | ± 3% | 0,5 | ≤ 15 phút |
| 7 | NH4+ | mg/L | ± 5 % | ± 5 % | 0,2 | ≤ 30 phút |
| 8 | Tổng Phôtpho | mg/L | ± 5 % | ± 3 % | 0,1 | ≤ 30 phút |
| 9 | Tổng Nitơ | mg/L | ± 5 % | ± 3% | 0,1 | ≤ 30 phút |
| 10 | TOC | mg/L | ± 5% | ± 5% | 0,1 | ≤ 30 phút |
| 11 | Clo dư | mg/L | ± 5 % | ± 2% | 0,1 | ≤ 30 phút |
b) Thiết bị quan trắc tự động phải có ít nhất 01 khoảng đo có khả năng đo được giá trị ≥ 3 lần của giá trị giới hạn quy định trong Quy chuẩn kỹ thuật quốc gia về môi trường được áp dụng cho cơ sở (trừ thông số nhiệt độ và pH);
c) Khuyến khích sử dụng các thiết bị quan trắc đồng bộ, được chứng nhận bởi các tổ chức quốc tế gồm có: Cơ quan Bảo vệ môi trường Hoa Kỳ (US EPA), Tổ chức chứng nhận Anh (mCERTs), Cơ quan kiểm định kỹ thuật Đức (TÜV);
d) Có khả năng lưu giữ và kết xuất tự động kết quả quan trắc và thông tin trạng thái của thiết bị đo (tối thiểu bao gồm các trạng thái: đang đo, hiệu chuẩn và báo lỗi thiết bị). Các thông số lưu lượng, nhiệt độ không yêu cầu thông báo trạng thái hiệu chuẩn.
2. Chất chuẩn
a) Chất chuẩn để kiểm tra định kỳ phải còn hạn sử dụng, có độ chính xác tối thiểu ± 5% (đối với pH là ± 0,1 pH) và phải được liên kết chuẩn theo quy định về pháp luật đo lường;
b) Chất chuẩn phải đáp ứng tối thiểu 01 điểm nồng độ trong dải đo của từng thiết bị tương ứng với từng thông số được quy định tại Bảng 3, trừ thông số nhiệt độ và lưu lượng.
3. Thiết bị lấy và lưu mẫu tự động
Thiết bị lấy và lưu mẫu tự động phải có các tính năng sau:
a) Tự động lấy mẫu (định kỳ, đột xuất hoặc theo thời gian) và lưu mẫu trong tủ bảo quản ở nhiệt độ 4 ± 2oC với thời gian phù hợp để phân tích các thông số;
b) Có khả năng nhận tín hiệu điều khiển từ các cơ quan nhà nước có thẩm quyền phục vụ việc tự động lấy mẫu từ xa;
c) Tủ lấy mẫu tự động phải được niêm phong và quản lý bởi Sở Tài nguyên và Môi trường.
Điều 35. Yêu cầu về quản lý, vận hành hệ thống quan trắc nước thải tự động, liên tục
1. Cài đặt khoảng đo của hệ thống: khi vận hành hệ thống quan trắc nước thải tự động, liên tục để truyền số liệu về đơn vị tiếp nhận, thiết bị phải được cài đặt khoảng đo có khả năng đo được giá trị ≥ 3 lần của giá trị giới hạn quy định trong Quy chuẩn kỹ thuật quốc gia về môi trường được áp dụng cho cơ sở.
2. Bảo đảm chất lượng của hệ thống
a) Nhân lực quản lý và vận hành: phải có đủ nhân lực am hiểu về hệ thống để thực hiện nhiệm vụ quản lý, duy trì và vận hành hệ thống;
b) Hồ sơ quản lý của hệ thống phải được lưu giữ tại đơn vị vận hành hệ thống và sẵn sàng xuất trình khi có yêu cầu của cơ quan nhà nước có thẩm quyền. Hồ sơ quản lý hệ thống bao gồm:
b1) Danh mục các thông số quan trắc;
b2) Danh mục, đặc tính kỹ thuật của các thiết bị quan trắc của nhà sản xuất thiết bị;
b3) Hướng dẫn sử dụng thiết bị;
b4) Bản vẽ thiết kế và mô tả về hệ thống;
b5) Quy trình vận hành chuẩn (SOP): tối thiểu bao gồm các nội dung về quy trình khởi động và vận hành hệ thống; quy trình kiểm tra hệ thống hàng ngày; tần suất và quy trình kiểm tra độ chính xác của thiết bị bằng dung dịch chuẩn; quy trình pha hóa chất, chất chuẩn và dựng đường chuẩn của các thiết bị phân tích (nếu có); tần suất và quy trình bảo trì, bảo dưỡng các thiết bị quan trắc; tần suất kiểm định, hiệu chuẩn thiết bị; tần suất thay thế phụ kiện, vật tư tiêu hao theo khuyến cáo của nhà sản xuất; quy trình khắc phục các lỗi, sự cố phát sinh; quy trình sao lưu dữ liệu; quy trình kiểm tra và báo cáo dữ liệu, quy định về an toàn trong vận hành hệ thống và quy trình lưu giữ, quản lý và xử lý chất thải phát sinh;
b6) Các trang thiết bị và linh phụ kiện dự phòng;
b7) Sổ nhật ký vận hành hệ thống, Sổ nhật ký về hoạt động bảo trì, bảo dưỡng, kiểm định, hiệu chuẩn thiết bị;
b8) Sổ tay một số lỗi thường gặp và cách khắc phục các sự cố trong quá trình quản lý, vận hành hệ thống;
b9) Sổ theo dõi, kiểm tra hoạt động hàng ngày của hệ thống;
b10) Giấy chứng nhận kèm theo báo cáo kết quả kiểm định, hiệu chuẩn các thiết bị quan trắc của hệ thống theo quy định;
b11) Biên bản kiểm tra hệ thống bằng dung dịch chuẩn.
3. Trước khi hệ thống được đưa vào vận hành chính thức, đơn vị vận hành hệ thống phải gửi hồ sơ liên quan về Sở Tài nguyên và Môi trường, bao gồm:
a) Thông tin về đơn vị đầu tư và vận hành hệ thống: tên, địa chỉ của đơn vị;
b) Thời gian lắp đặt thiết bị (thời gian bắt đầu, thời gian kết thúc) và thời gian, kết quả thực hiện việc kiểm soát chất lượng của hệ thống tuân theo quy định tại Khoản 6 Điều này;
c) Bản vẽ thiết kế và mô tả về hệ thống; danh mục thông số quan trắc và phương án lắp đặt thiết bị quan trắc (trực tiếp, gián tiếp); thông tin mô tả và hình ảnh, sơ đồ, bản đồ của vị trí quan trắc;
d) Danh mục và đặc tính kỹ thuật của các thiết bị đo và phân tích; hãng sản xuất và model thiết bị; giấy chứng nhận kèm theo báo cáo kết quả kiểm định, hiệu chuẩn thiết bị; hệ thống thu thập, lưu giữ dữ liệu quan trắc; địa chỉ IP tĩnh (giao thức truyền dữ liệu) gắn liền với hệ thống.
4. Kiểm định, hiệu chuẩn, thử nghiệm và kiểm tra định kỳ đối với thiết bị quan trắc tự động, liên tục
a) Thiết bị phải được kiểm định, hiệu chuẩn theo quy định của pháp luật hiện hành về đo lường;
b) Thiết bị phải được kiểm tra định kỳ bằng chất chuẩn theo khuyến cáo của nhà sản xuất nhưng phải bảo đảm tối thiểu 01 tháng/lần bởi đơn vị vận hành hệ thống; phải thực hiện kiểm định, hiệu chuẩn lại thiết bị đo khi giá trị đo được trên thiết bị đo so với giá trị nồng độ của dung dịch chuẩn có sai lệch ≥ 10%. Khuyến khích kiểm định, hiệu chuẩn lại thiết bị đo khi giá trị đo được trên thiết bị đo so với giá trị nồng độ của dung dịch chuẩn có sai lệch
c) Khuyến khích kiểm tra định kỳ thông qua việc đối chứng với kết quả quan trắc các thông số trong chương trình quan trắc môi trường định kỳ của cơ sở (nếu có);
d) Hoạt động bảo trì sửa chữa, thay thế linh phụ kiện phải được đơn vị vận hành hệ thống lập kế hoạch và được quy định chi tiết trong quy trình vận hành chuẩn (SOP).
5. Trường hợp cần thực hiện việc bảo trì, kiểm định, hiệu chuẩn, thay thế linh phụ kiện, sửa chữa, thay thế các thiết bị đo và phân tích chủ cơ sở phải thực hiện các yêu cầu sau:
a) Gửi thông báo bằng văn bản tới Sở Tài nguyên và Môi trường; nêu rõ kế hoạch thực hiện, thời gian kết thúc việc bảo trì, kiểm định, hiệu chuẩn, thay thế linh phụ kiện, sửa chữa, thay thế các thiết bị đo và phân tích;
b) Trong thời gian thiết bị quan trắc tự động ngừng hoạt động từ 48 tiếng trở lên, chủ cơ sở phải thực hiện quan trắc tối thiểu 01 lần/ngày đối với các thông số không được đo đạc bằng thiết bị quan trắc nước thải tự động, liên tục cho tới khi thiết bị quan trắc nước thải tự động, liên tục hoạt động trở lại. Kết quả quan trắc phải được lưu giữ và gửi cho Sở Tài nguyên và Môi trường.
6. Thực hiện kiểm soát chất lượng của hệ thống trước khi đưa vào vận hành chính thức và định kỳ 01 lần/năm bởi một đơn vị độc lập có năng lực thực hiện theo quy trình như sau:
a) Kiểm tra vị trí quan trắc đáp ứng theo quy định;
b) Kiểm tra tính năng thu thập, lưu giữ và truyền dữ liệu quan trắc tự động, liên tục của hệ thống;
c) Kiểm tra các thành phần, đặc tính kỹ thuật và tính năng khác của hệ thống;
| TT | Thông số | Giới hạn cho phép của RA (%) |
| 1 | pH | ≤ 20 |
| 2 | TSS | ≤ 30 |
| 3 | Độ màu | ≤ 20 |
| 3 | COD | ≤ 20 |
| 5 | N-NH4+ | ≤ 20 |
| 6 | Tổng P | ≤ 20 |
| 7 | Tổng N | ≤ 20 |
| 8 | TOC | ≤ 20 |
| 9 | Clo dư | ≤ 30 |
đ) Các thông tin kiểm soát chất lượng được ghi chép vào Biên bản kiểm tra các đặc tính kỹ thuật, tính năng và độ chính xác tương đối của hệ thống tại Phụ lục 13 ban hành kèm theo Thông tư này.
Điều 36. Yêu cầu cơ bản đối với hệ thống quan trắc khí thải tự động, liên tục
1. Thông số quan trắc: căn cứ vào đặc thù của nguồn thải, hệ thống xử lý khí thải và yêu cầu quản lý, cơ quan Nhà nước có thẩm quyền yêu cầu thực hiện các thông số quan trắc tự động theo quy định pháp luật.
2. Vị trí lỗ quan trắc:
a) Cách xác định vị trí lỗ quan trắc: tuân thủ theo quy định về xác định vị trí lỗ lấy mẫu tại Khoản 1 Mục III Phụ lục 5 ban hành kèm theo Thông tư này;
b) Đối với những chất ô nhiễm dạng khí: trường hợp ống khói không đáp ứng đủ điều kiện để xác định được vị trí lỗ quan trắc theo quy định tại Khoản 1 Mục III Phụ lục 5 thì việc lựa chọn vị trí lỗ quan trắc phải thỏa mãn điều kiện: không ở miệng ống khói; không ở vị trí ống bị co thắt, giãn nở; không ở gần quạt đẩy, quạt hút và ưu tiên chọn nơi có dòng khí chuyển động ổn định;
c) Đối với trường hợp cơ sở có nhiều nguồn phát sinh khí thải có tính chất giống nhau được thải ra môi trường thông qua 01 ống khói chung thì có thể lựa chọn thực hiện quan trắc tự động tại ống dẫn của từng nguồn thải hoặc quan trắc tự động trên ống khói chung. Đối với trường hợp cơ sở có nhiều nguồn phát sinh khí thải có tính chất khác nhau được thải ra môi trường thông qua 01 ống khói chung thì phải lắp đặt hệ thống quan trắc tự động cho từng nguồn thải.
3. Thành phần cơ bản của hệ thống quan trắc khí thải tự động liên tục:
a) Thiết bị quan trắc tự động, liên tục: Căn cứ vào thông số và nguyên lý đo, phân tích của thiết bị quan trắc để xác định phương pháp lắp đặt thiết bị quan trắc phù hợp, cụ thể:
- Phương pháp trực tiếp trên thân ống khói (in-situ): thiết bị quan trắc được gắn trực tiếp trên thân ống khói để đo các thông số khí thải và không sử dụng ống dẫn mẫu;
- Phương pháp gián tiếp thông qua việc trích hút mẫu (extractive): mẫu khí thải được trích từ trong thân ống khói nhờ ống hút mẫu và được dẫn theo ống dẫn mẫu tới thiết bị quan trắc;
b) Hệ thống nhận, truyền và quản lý dữ liệu: để thu thập, lưu giữ và truyền dữ liệu quan trắc tự động, liên tục về cơ quan nhà nước về môi trường. Hệ thống nhận, truyền và quản lý dữ liệu được quy định chi tiết tại Điều 39 Thông tư này;
c) Chất chuẩn: phục vụ cho công tác kiểm tra và hiệu chuẩn thiết bị quan trắc của hệ thống;
d) Camera: lắp đặt camera để cung cấp hình ảnh trực tuyến tại vị trí đặt các thiết bị quan trắc của hệ thống đảm bảo yêu cầu sau:
- Có camera quan sát được khí thải phát sinh từ tất cả các ống khói của cơ sở, đảm bảo quan sát được khí thải phát từ miệng các ống khói và quan sát được bộ điều khiển (data controller) lắp tại khu vực ống khói (nếu có), truyền hình ảnh về Sở Tài nguyên và Môi trường;
- Có camera lắp đặt bên trong nhà trạm đảm bảo quan sát bộ điều khiển (data controller) của thiết bị quan trắc để phục vụ mục tiêu an ninh cho nhà trạm, truyền và trích xuất dữ liệu camera khi được yêu cầu;
- Camera phải bảo đảm có khả năng quay (ngang, dọc); có khả năng xem ban đêm, đảm bảo quan sát rõ ràng các đối tượng cần giám sát; có khả năng ghi lại hình ảnh theo khoảng thời gian, đặt lịch ghi hình;
đ) Yêu cầu kỹ thuật đối với các thiết bị phụ trợ khác cho hệ thống quan trắc khí thải tự động, liên tục quy định tại Phụ lục 11 ban hành kèm theo Thông tư này.
Điều 37. Yêu cầu về đặc tính kỹ thuật đối với hệ thống quan trắc khí thải tự động, liên tục
Hệ thống quan trắc khí thải tự động, liên tục tối thiểu phải đáp ứng được các yêu cầu về đặc tính kỹ thuật như sau:
1. Thiết bị quan trắc khí thải tự động, liên tục
| STT | Thông số | Đơn vị đo | Độ chính xác | Độ phân giải | Thời gian đáp ứng | |
| (% giá trị đọc) | (% khoảng đo) | |||||
| 1 | Nhiệt độ | oC | ± 5% | ± 5% | - | ≤ 120 giây |
| 2 | Áp suất | kPa | ± 5% | ± 5% | - | ≤ 120 giây |
| mbar | ||||||
| 3 | NO | mg/m3 | ± 5% | ± 5% | 1 mg/m3 | ≤ 200 giây |
| ppm | 1 ppm | |||||
| 4 | NO2 | mg/m3 | ± 5% | ± 5% | 1 mg/m3 | ≤ 300 giây |
| ppm | 1 ppm | |||||
| 5 | CO | mg/m3 | ± 5% | ± 5% | 1 mg/m3 | ≤ 200 giây |
| ppm | 1 ppm | |||||
| 6 | SO2 | mg/m3 | ± 5% | ± 5% | 1 mg/m3 | ≤ 200 giây |
| ppm | 1 ppm | |||||
| 7 | O2 | %V | ± 0,5% | ± 0,5% | 0,1 %V | ≤ 200 giây |
| 8 | H2S | mg/m3 | ± 5% | ± 5% | 0,1 mg/m3 | ≤ 300 giây |
| ppm | 0,1 ppm | |||||
| 9 | NH3 | mg/m3 | ± 5% | ± 5% | 0,1 mg/m3 | ≤ 300 giây |
| ppm | 0,1 ppm | |||||
| 10 | Hơi Hg | mg/m3 | ± 5% | ± 5% | 0,1 mg/m3 | ≤ 900 giây |
| 11 | Bụi (PM) | mg/m3 | ± 10% | ± 5% | 0,1 mg/m3 | ≤ 60 giây |
b) Thiết bị quan trắc tự động phải có ít nhất 01 khoảng đo có khả năng đo được giá trị ≥ 3 lần của giá trị giới hạn quy định trong Quy chuẩn kỹ thuật quốc gia về môi trường được áp dụng cho cơ sở (trừ các thông số nhiệt độ, lưu lượng, áp suất);
c) Đối với thông số nhiệt độ, áp suất, bụi và lưu lượng, thiết bị đo phải gắn trên thân ống khói;
d) Đối với các thông số sử dụng phương án lắp đặt thiết bị quan trắc thông qua việc trích hút mẫu (extractive) thì hệ thống phải đáp ứng yêu cầu như sau:
d1) Ống hút mẫu (probe): làm bằng vật liệu thép không gỉ, được đặt vuông góc với thành ống khói. Ống hút mẫu có độ dài 01 m hoặc bằng 30% đường kính trong của ống khói (hoặc đường kính tương đương đối với ống khói hình chữ nhật);
d2) Ống dẫn mẫu từ vị trí lỗ quan trắc tới thiết bị quan trắc không bị co thắt, giãn nở hoặc không bị gấp khúc một góc nhỏ hơn 90 độ;
d3) Dòng khí thải đi qua ống dẫn mẫu phải được làm nóng để loại hết hơi ẩm trước khi đi vào thiết bị đo và phân tích;
đ) Khuyến khích sử dụng các thiết bị quan trắc đồng bộ, được chứng nhận bởi các tổ chức quốc tế: Cơ quan Bảo vệ môi trường Hoa Kỳ (US EPA), Tổ chức chứng nhận Anh (mCERTs), Cơ quan kiểm định kỹ thuật Đức (TÜV);
e) Có khả năng lưu giữ và kết xuất tự động kết quả quan trắc và thông tin trạng thái của thiết bị đo, tối thiểu bao gồm các trạng thái: đang đo, hiệu chuẩn và báo lỗi thiết bị. Trạng thái hiệu chuẩn không áp dụng đối với các thông số nhiệt độ, áp suất, lưu lượng, bụi (PM).
2. Chất chuẩn
a) Chất chuẩn được sử dụng để hiệu chuẩn thiết bị quan trắc tự động khí thải đối với các thông số quy định tại Bảng 5 (trừ các thông số nhiệt độ, bụi (PM), áp suất);
b) Đối với hệ thống quan trắc tự động sử dụng hệ trích hút mẫu (extractive), chất chuẩn phải được dẫn tới vị trí khí thải đi vào ống dẫn mẫu về sơ đồ hệ thống quan trắc khí thải tự động, liên tục. Đối với hệ thống quan trắc trực tiếp trên ống khói thì chấp nhận cách kiểm tra bằng chất chuẩn theo hướng dẫn của nhà sản xuất;
c) Chất chuẩn phải còn hạn sử dụng, có độ chính xác tối thiểu ± 5% và phải được liên kết chuẩn theo quy định của pháp luật đo lường;
d) Nồng độ chất chuẩn phải đáp ứng trong khoảng 10%-70% khoảng đo của từng thiết bị tương ứng với từng thông số được quy định tại Bảng 5.
Điều 38. Yêu cầu về quản lý, vận hành hệ thống quan trắc khí thải tự động, liên tục
1. Cài đặt khoảng đo của hệ thống: khi vận hành hệ thống quan trắc khí thải tự động, liên tục để truyền số liệu về đơn vị tiếp nhận, thiết bị phải được cài đặt khoảng đo có khả năng đo được giá trị ≥ 3 lần của giá trị giới hạn quy định trong Quy chuẩn kỹ thuật quốc gia về môi trường được áp dụng cho cơ sở.
2. Bảo đảm chất lượng của hệ thống:
a) Nhân lực quản lý và vận hành: phải có đủ nhân lực được đào tạo về hệ thống để thực hiện nhiệm vụ quản lý, duy trì và vận hành hệ thống;
b) Hồ sơ quản lý liên quan đến hệ thống phải được lưu giữ tại đơn vị vận hành hệ thống và sẵn sàng xuất trình khi có yêu cầu của cơ quan nhà nước có thẩm quyền. Hồ sơ quản lý hệ thống bao gồm:
b1) Danh mục các thông số quan trắc;
b2) Danh mục, đặc tính kỹ thuật của các thiết bị quan trắc của hệ thống;
b3) Hướng dẫn sử dụng thiết bị;
b4) Bản vẽ thiết kế và mô tả về hệ thống;
b5) Quy trình vận hành chuẩn (SOP): tối thiểu bao gồm các nội dung về quy trình khởi động và vận hành hệ thống; quy trình kiểm tra hệ thống hàng ngày; quy trình kiểm tra ống dẫn mẫu và kiểm tra bằng khí chuẩn (với tần suất 01 tháng/lần); tần suất và quy trình bảo trì, bảo dưỡng các thiết bị quan trắc; tần suất kiểm định, hiệu chuẩn thiết bị; tần suất thay thế phụ kiện, vật tư tiêu hao theo khuyến cáo của nhà sản xuất; quy trình khắc phục các lỗi, sự cố phát sinh; quy trình sao lưu dữ liệu; quy trình kiểm tra và báo cáo dữ liệu, quy định về an toàn trong vận hành hệ thống và quy trình lưu giữ, quản lý và xử lý chất thải phát sinh;
b6) Các trang thiết bị và linh phụ kiện dự phòng;
b7) Sổ nhật ký vận hành hệ thống, Sổ nhật ký về hoạt động bảo trì, bảo dưỡng, kiểm định, hiệu chuẩn thiết bị;
b8) Sổ tay một số lỗi thường gặp và cách khắc phục các sự cố trong quá trình quản lý, vận hành hệ thống;
b9) Sổ theo dõi, kiểm tra hoạt động hàng ngày của hệ thống;
b10) Giấy chứng nhận kèm theo báo cáo kết quả kiểm định, hiệu chuẩn các thiết bị quan trắc của hệ thống theo quy định;
b11) Biên bản kiểm tra hệ thống bằng chất chuẩn.
3. Trước khi hệ thống được đưa vào vận hành chính thức, đơn vị vận hành hệ thống phải gửi hồ sơ về Sở Tài nguyên và Môi trường, bao gồm:
a) Thông tin về đơn vị vận hành hệ thống: tên và địa chỉ, loại hình sản xuất, dây chuyền công nghệ, công suất thiết kế;
b) Thời gian lắp đặt thiết bị (thời gian bắt đầu, thời gian kết thúc) và thời gian, kết quả kiểm soát chất lượng của hệ thống theo quy định tại Khoản 6 Điều này;
c) Bản vẽ thiết kế và mô tả về hệ thống; danh mục thông số quan trắc và phương án lắp đặt thiết bị quan trắc; thông tin về ống khói (chiều cao, đường kính), vị trí và hình ảnh lỗ quan trắc trên ống khói;
d) Danh mục và đặc tính kỹ thuật của các thiết bị quan trắc, ống hút mẫu; hãng sản xuất và model thiết bị; giấy chứng nhận kèm theo báo cáo kết quả kiểm định, hiệu chuẩn thiết bị; hệ thống thu thập, lưu giữ dữ liệu quan trắc; tên hệ thống và địa chỉ IP tĩnh gắn liền với hệ thống.
4. Kiểm định, hiệu chuẩn, thử nghiệm và kiểm tra định kỳ đối với thiết bị quan trắc tự động, liên tục
a) Thiết bị phải được kiểm định, hiệu chuẩn theo quy định của pháp luật hiện hành về đo lường;
b) Thiết bị (trừ thiết bị đo nhiệt độ, áp suất, bụi PM) phải được kiểm tra định kỳ bằng chất chuẩn theo khuyến cáo của nhà sản xuất nhưng phải bảo đảm tối thiểu 01 tháng/lần bởi đơn vị vận hành hệ thống; phải thực hiện kiểm định, hiệu chuẩn lại thiết bị đo theo quy định khi giá trị đo được trên thiết bị đo so với giá trị nồng độ của chất chuẩn có sai lệch ≥ 10%. Khuyến khích thực hiện kiểm định, hiệu chuẩn lại thiết bị đo khi giá trị đo được trên thiết bị đo so với giá trị nồng độ của chất chuẩn có sai lệch
c) Khuyến khích kiểm tra định kỳ các các thiết bị quan trắc tự động thông qua việc đối chứng với kết quả quan trắc các thông số trong chương trình quan trắc môi trường định kỳ của cơ sở (nếu có);
d) Đối với các thiết bị đo nhiệt độ, áp suất, bụi PM, lưu lượng, đơn vị vận hành hệ thống thực hiện kiểm tra định kỳ thông qua việc đối chứng với kết quả quan trắc các thông số này trong chương trình quan trắc môi trường định kỳ của cơ sở (nếu có); phải thực hiện kiểm định, hiệu chuẩn lại thiết bị đo theo quy định khi giá trị đo được trên thiết bị đo so với giá trị đo trong chương trình quan trắc môi trường định kỳ có sai lệch ≥ 10%. Khuyến khích thực hiện kiểm định, hiệu chuẩn lại thiết bị đo khi giá trị đo được trên thiết bị đo so với giá trị đo trong chương trình quan trắc môi trường định kỳ có sai lệch
đ) Hoạt động bảo trì sửa chữa, thay thế linh phụ kiện phải được đơn vị vận hành hệ thống lập kế hoạch và được quy định chi tiết trong quy trình vận hành chuẩn (SOP).
5. Trường hợp cần thực hiện việc bảo trì, kiểm định, hiệu chuẩn, thay thế linh phụ kiện, sửa chữa, thay thế các thiết bị đo và phân tích chủ cơ sở phải thực hiện các yêu cầu sau:
a) Gửi thông báo bằng văn bản tới Sở Tài nguyên và Môi trường trong đó nêu rõ kế hoạch thực hiện, thời gian kết thúc việc bảo trì, kiểm định, hiệu chuẩn, thay thế linh phụ kiện, sửa chữa, thay thế các thiết bị đo và phân tích;
b) Trong thời gian thiết bị quan trắc tự động ngừng hoạt động từ 48 giờ trở lên thì thực hiện quan trắc (đối với các thông số thuộc nhóm bắt buộc phải quan trắc tự động theo quy định pháp luật và yêu cầu của cơ quan quản lý nhà nước) như sau:
- Chủ cơ sở phải thực hiện quan trắc tối thiểu 01 lần/02 ngày đối với các thông số khí thải không được đo đạc bằng thiết bị quan trắc tự động, liên tục cho tới khi thiết bị quan trắc tự động, liên tục hoạt động trở lại;
- Chủ cơ sở phải thực hiện quan trắc tối thiểu 01 lần/07 ngày đối với thông số bụi (PM) không được đo đạc bằng thiết bị quan trắc tự động, liên tục cho tới khi thiết bị quan trắc tự động, liên tục hoạt động trở lại;
- Sau khi hoàn thành việc đo đạc, phân tích, kết quả quan trắc phải được lưu giữ và gửi cho Sở Tài nguyên và Môi trường.
6. Thực hiện kiểm soát chất lượng của hệ thống trước khi đưa vào vận hành chính thức và định kỳ 01 lần/năm bởi một đơn vị độc lập có đủ năng lực thực hiện theo quy trình như sau:
a) Kiểm tra vị trí lỗ quan trắc: đáp ứng theo quy định tại Khoản 2 Điều 36;
b) Kiểm tra ống hút mẫu (probe): đáp ứng theo quy định tại Điểm d1 Khoản 1 Điều 37;
c) Kiểm tra ống dẫn mẫu: sử dụng khí chuẩn để kiểm tra ống dẫn mẫu theo quy định tại Điểm d2 Khoản 1 Điều 37. Trong thời gian đo khí chuẩn toàn bộ hệ thống bơm và thiết bị quan trắc vẫn hoạt động ở chế độ tương tự như chế độ đo và phân tích dòng khí thải, cụ thể như sau:
c1) Thời gian đo để kiểm tra bằng chất chuẩn tối thiểu là 20 phút/lần đo;
c2) Kết quả đo chất chuẩn nếu có sai khác
d) Kiểm tra tính năng đo và trả kết quả theo đơn vị mg/m3 đối với các thiết bị quan trắc thông số ô nhiễm;
đ) Kiểm tra tính năng thu thập, lưu giữ và truyền dữ liệu quan trắc tự động liên tục của hệ thống;
e) Kiểm tra thành phần, tính năng khác của hệ thống;
g) Đánh giá độ chính xác tương đối của hệ thống gồm:
g1) Thực hiện quan trắc đối chứng:
g1.1) Quan trắc đối chứng là việc quan trắc sử dụng các phương pháp quan trắc định kỳ được quy định tại Phụ lục 4.2 ban hành kèm theo Thông tư này hoặc được Cơ quan Bảo vệ môi trường Hoa Kỳ (US EPA) chấp nhận là phương pháp tương đương để đối chứng và so sánh kết quả thu được với kết quả quan trắc của hệ thống;
g1.2) Thực hiện quan trắc đối chứng riêng biệt cho từng thông số;
g1.3) Thực hiện lấy mẫu quan trắc đối chứng ít nhất 06 mẫu/thông số/01 lần thực hiện quan trắc đối chứng;
g1.4) Trong thời gian thực hiện quan trắc đối chứng, công suất hoạt động của cơ sở phải bảo đảm tối thiểu 50% công suất thiết kế;
g2) Đánh giá kết quả quan trắc đối chứng thông qua độ chính xác tương đối (RA) như sau:
g2.1) Tính toán kết quả quan trắc đối chứng, sử dụng kết quả quan trắc đối chứng giữa hệ thống và phương pháp quan trắc đối chứng để tính toán: độ sai khác, độ lệch chuẩn, hệ số tin cậy và độ chính xác tương đối (RA) cho từng thiết bị và từng thông số riêng biệt theo Phụ lục 12 ban hành kèm theo Thông tư này;
g2.2) Đánh giá kết quả RA như sau:
- Dữ liệu quan trắc của hệ thống được chấp nhận sử dụng khi RA ≤ 20%;
- Đối với các thông số không quy định tại Bảng 5, kết quả giá trị RA cho các thông số phải được gửi cơ quan tiếp nhận dữ liệu quan trắc tự động để xem xét, quyết định việc nhận và quản lý số liệu;
h) Các thông tin kiểm soát chất lượng được ghi chép vào Biên bản kiểm tra các đặc tính kỹ thuật, tính năng và độ chính xác tương đối của hệ thống tại Phụ lục 14 ban hành kèm theo Thông tư này.
Chương VIII
YÊU CẦU VỀ VIỆC NHẬN, TRUYỀN VÀ QUẢN LÝ DỮ LIỆU QUAN TRẮC MÔI TRƯỜNG TỰ ĐỘNG LIÊN TỤC
Điều 39. Yêu cầu đối với hệ thống nhận, truyền và quản lý dữ liệu (data logger) tại các trạm, hệ thống quan trắc môi trường tự động, liên tục
Hệ thống nhận, truyền và quản lý dữ liệu tại các trạm, hệ thống có lắp đặt thiết bị quan trắc môi trường (chất lượng nước, chất lượng không khí xung quanh, nước thải, khí thải) tự động, liên tục phải đáp ứng các yêu cầu tối thiểu như sau:
1. Nhận, lưu giữ và quản lý dữ liệu quan trắc môi trường tại data logger
a) Hệ thống phải kết nối trực tiếp đến các thiết bị đo, phân tích, bộ điều khiển (data controller), hệ thống lấy mẫu tự động (nếu có), không kết nối thông qua thiết bị khác;
b) Tín hiệu đầu ra của hệ thống là dạng số (digital);
c) Bảo đảm lưu giữ liên tục ít nhất là 60 ngày dữ liệu gần nhất. Các dữ liệu lưu giữ tối thiểu gồm: thông số đo, kết quả đo, đơn vị đo, thời gian đo, trạng thái của thiết bị đo (đang đo, hiệu chuẩn và báo lỗi thiết bị);
d) Đối với các hệ thống quan trắc nước thải, khí thải tự động, liên tục, các cổng kết nối không sử dụng để truyền, nhận dữ liệu về cơ quan quản lý phải được niêm phong bởi cơ quản quản lý nhà nước tại địa phương;
đ) Bảo đảm hiển thị các thông tin bao gồm: thông số đo, kết quả đo, đơn vị đo (theo đơn vị được quy định trong Quy chuẩn kỹ thuật quốc gia tương ứng để so sánh), thời gian đo, trạng thái của thiết bị đo và trích xuất dữ liệu tại hệ thống nhận, truyền và quản lý dữ liệu;
2. Truyền dữ liệu quan trắc môi trường
a) Truyền dữ liệu theo phương thức FTP hoặc FTPs hoặc sFTP tới địa chỉ máy chủ bằng tài khoản và địa chỉ do Sở Tài nguyên và Môi trường cung cấp; đường truyền internet tối thiểu ở mức 30Mb/s. Trường hợp đơn vị truyền và đơn vị tiếp nhận đủ khả năng đáp ứng các điều kiện về kỹ thuật, khuyến khích việc sử dụng các phương thức truyền dữ liệu hiện đại hơn phương thức quy định;
b) Dữ liệu phải được truyền theo thời gian thực chậm nhất sau 05 phút khi kết quả quan trắc được hệ thống trả ra, mỗi lần 01 tệp dữ liệu và các tệp này được lưu giữ vào các thư mục. Đối với các hệ thống quan trắc nước thải, khí thải tự động, liên tục, dữ liệu phải được truyền về Sở Tài nguyên và Môi trường từ địa chỉ IP tĩnh đã thông báo với Sở Tài nguyên và Môi trường;
c) Bảo đảm đồng bộ thời gian thực theo chuẩn quốc tế múi giờ Việt Nam (GMT+7);
d) Trường hợp việc truyền dữ liệu bị gián đoạn, ngay sau khi phục hồi, hệ thống phải tự động thực hiện truyền các dữ liệu của khoảng thời gian bị gián đoạn. Trong trường hợp việc truyền dữ liệu bị gián đoạn quá 12 tiếng, đơn vị vận hành hệ thống phải có thông báo ngay bằng văn bản và thư điện tử (email) về nguyên nhân, các biện pháp khắc phục về sự cố gián đoạn này với Cơ quan tiếp nhận dữ liệu quan trắc môi trường tự động, liên tục;
đ) Cho phép nhận tín hiệu điều khiển việc lấy mẫu tự động từ xa (nếu có) và lấy dữ liệu khi có yêu cầu.
3. Định dạng và nội dung tệp dữ liệu
a) Dữ liệu được định dạng theo dạng tệp; *.txt;
b) Nội dung tệp dữ liệu bao gồm 05 thông tin chính: thông số đo, kết quả đo, đơn vị đo, thời gian đo, trạng thái của thiết bị đo (đang đo, hiệu chuẩn và báo lỗi thiết bị). Cấu trúc, nội dung, quy định tên của tệp dữ liệu thực hiện theo quy định tại Phụ lục 15 ban hành kèm theo Thông tư này;
c) Thông tin từ các camera được truyền về Sở Tài nguyên và Môi trường sử dụng phương thức truyền RTSP. Dữ liệu camera phải được lưu trữ tối thiểu trong thời gian 03 tháng.
4. Bảo mật và tính toàn vẹn của dữ liệu
a) Sau khi hệ thống quan trắc nước thải, khí thải tự động, liên tục đi vào hoạt động chính thức, hệ thống data logger phải được kiểm soát truy cập bằng tài khoản và mật khẩu, các cổng kết nối phải được niêm phong. Tài khoản, mật khẩu tối cao (Admin, Host, Superhost, Master, Supervisor) của data logger phải được cung cấp cho Sở Tài nguyên và Môi trường để thực hiện việc quản lý, kiểm soát các cổng kết nối, cấu hình và quá trình nâng cấp phần mềm điều khiển (firmware) của data logger;
b) Cơ sở và các đơn vị vận hành hệ thống phải bảo đảm và chịu trách nhiệm về bảo mật, tính toàn vẹn của dữ liệu, tài khoản truy cập máy chủ FTP và địa chỉ IP tĩnh nơi truyền dữ liệu.
Điều 40. Yêu cầu đối với hệ thống nhận, truyền và quản lý dữ liệu tại các Sở Tài nguyên và Môi trường
Hệ thống nhận, truyền và quản lý dữ liệu tại Sở Tài nguyên và Môi trường tối thiểu đáp ứng các yêu cầu sau:
1. Tiếp nhận và quản lý dữ liệu từ cơ sở
a) Có tối thiểu 02 máy chủ có cấu hình tối thiểu như sau: bộ vi xử lý 2,5 GHz; bộ nhớ trong (RAM) 64 GB; ổ cứng 2 TB;
b) Đường truyền internet tối thiểu ở mức 30 Mb/s;
c) Phải có địa chỉ IP tĩnh và thông báo địa chỉ IP tĩnh này với Bộ Tài nguyên và Môi trường;
d) Có tối thiểu 02 màn hình (tối thiểu 40 inch) phục vụ hiển thị, theo dõi và giám sát dữ liệu quan trắc tự động liên tục theo thời gian thực;
đ) Cung cấp tài khoản truy cập vào máy chủ FTP để cơ sở truyền dữ liệu và cho phép cơ sở xem được các file dữ liệu mà cơ sở đã truyền lên trong 03 năm gần nhất;
e) Dữ liệu nhận được tại Sở Tài nguyên và Môi trường phải được xác thực theo địa chỉ IP tĩnh của cơ sở và tài khoản truy cập FTP đã được cấp cho cơ sở;
g) Có trách nhiệm thiết lập, quản lý tài khoản và mật khẩu truy cập hệ thống nhận, truyền và quản lý dữ liệu tại hệ thống quan trắc môi trường tự động, liên tục của cơ sở.
2. Yêu cầu về quản lý dữ liệu
a) Phải có cơ sở dữ liệu bảo đảm lưu giữ dữ liệu từ tất cả các trạm, hệ thống quan trắc tự động liên tục trên địa bàn tỉnh để quản lý tối thiểu những thông tin cơ bản: tên trạm/hệ thống, thông số đo, kết quả đo, đơn vị đo, thời gian đo và trạng thái của thiết bị đo (đang đo, hiệu chuẩn và báo lỗi thiết bị);
b) Phải sử dụng phần mềm do Bộ Tài nguyên và Môi trường phát triển và cung cấp để truyền dữ liệu về Bộ Tài nguyên và Môi trường.
3. Yêu cầu truyền dữ liệu về Bộ Tài nguyên và Môi trường (thông qua Tổng cục Môi trường)
a) Dữ liệu truyền về bao gồm: dữ liệu quan trắc và dữ liệu từ camera giám sát;
b) Dữ liệu quan trắc được định dạng theo dạng tệp *.txt;
c) Kết nối và truyền dữ liệu qua phương thức FTP hoặc FTPs hoặc sFTP tới địa chỉ máy chủ bằng tài khoản và địa chỉ FTP do Tổng cục Môi trường cung cấp. Trường hợp các Sở Tài nguyên và Môi trường và Tổng cục Môi trường đủ khả năng đáp ứng các điều kiện về kỹ thuật, khuyến khích sử dụng các phương thức truyền dữ liệu hiện đại hơn phương thức quy định;
d) Truyền dữ liệu quan trắc tự động theo tần suất 01 lần/giờ về Bộ Tài nguyên và Môi trường và chậm nhất 10 ngày khi có yêu cầu của Bộ Tài nguyên và Môi trường. Dữ liệu quan trắc truyền về là giá trị trung bình 01 giờ theo giờ chẵn (1:00 giờ, 2:00 giờ, 3:00 giờ... 24:00 giờ) của các thông số. Nội dung tệp dữ liệu về giá trị trung bình 01 giờ bao gồm các thông tin chính: thông số đo, kết quả đo, đơn vị đo, thời gian đo, trạng thái của thiết bị đo (đang đo, hiệu chuẩn và báo lỗi thiết bị). Cấu trúc, nội dung, quy định tên của tệp dữ liệu về giá trị đo trung bình 01 giờ theo quy định tại Phụ lục 15 ban hành kèm theo Thông tư này;
đ) Truyền dữ liệu quan trắc tự động, liên tục về Bộ Tài nguyên và Môi trường bảo đảm nhu cầu cung cấp, sử dụng thông tin và đạt tối thiểu 80% tổng số kết quả quan trắc đối với từng thông số quan trắc;
e) Bảo đảm đồng bộ thời gian thực theo chuẩn quốc tế múi giờ Việt Nam (GMT+7);
g) Trường hợp việc truyền dữ liệu bị gián đoạn, ngay sau khi phục hồi, hệ thống phải tự động thực hiện truyền các dữ liệu của khoảng thời gian bị gián đoạn. Trong trường hợp việc truyền dữ liệu bị gián đoạn quá 12 tiếng, Sở Tài nguyên và Môi trường phải có thông báo bằng văn bản hoặc thư điện tử (email) về nguyên nhân, các biện pháp khắc phục về sự cố gián đoạn này với Bộ Tài nguyên và Môi trường (thông qua Tổng cục Môi trường);
h) Sở Tài nguyên và Môi trường phải bảo đảm và chịu trách nhiệm về bảo mật, tính toàn vẹn của dữ liệu, tài khoản truy cập máy chủ FTP và địa chỉ IP tĩnh của cơ sở.
Điều 41. Yêu cầu đối với hệ thống truyền, nhận, quản lý dữ liệu quan trắc môi trường tự động, liên tục tại Tổng cục Môi trường, Bộ Tài nguyên và Môi trường
Hệ thống nhận, quản lý dữ liệu tại Tổng cục Môi trường, Bộ Tài nguyên và Môi trường phải đáp ứng các yêu cầu tối thiểu sau:
1. Tiếp nhận, lưu giữ dữ liệu
a) Có tối thiểu 03 máy chủ, mỗi máy chủ có cấu hình tối thiểu như sau: bộ vi xử lý 2,5 GHz; Bộ nhớ trong (RAM) 256 GB; ổ cứng 20 TB;
b) Bảo đảm đường truyền internet tốc độ tối thiểu là 100 Mb/s và có địa chỉ IP tĩnh;
c) Có tối thiểu 08 màn hình (tối thiểu 40 inch) phục vụ hiển thị, theo dõi và giám sát dữ liệu quan trắc tự động liên tục theo thời gian thực;
d) Cung cấp tài khoản truy cập vào máy chủ FTP để Sở Tài nguyên và Môi trường truyền dữ liệu;
đ) Kết quả quan trắc từ các trạm, hệ thống quan trắc môi trường tự động truyền trực tiếp về Bộ Tài nguyên và Môi trường bảo đảm nhu cầu cung cấp, sử dụng thông tin và đạt tối thiểu 80% tổng số kết quả quan trắc đối với từng thông số của trạm, hệ thống quan trắc.
2. Yêu cầu về quản lý dữ liệu
a) Có cơ sở dữ liệu để lưu giữ và quản lý dữ liệu từ tất cả các trạm, hệ thống quan trắc tự động với những thông tin tối thiểu sau: tên trạm/hệ thống, thông số đo, kết quả đo, đơn vị đo, thời gian đo và trạng thái của thiết bị đo (đang đo, hiệu chuẩn và báo lỗi thiết bị);
b) Có phần mềm đáp ứng các chức năng tối thiểu sau: trích xuất dữ liệu theo hình thức bảng biểu, biểu đồ; quản lý, hiển thị dữ liệu (tên trạm/hệ thống, thông số, thời gian, đơn vị đo, kết quả đo và trạng thái của thiết bị đo (đang đo, hiệu chuẩn và báo lỗi thiết bị); tính toán so sánh và biên tập dữ liệu (tính toán giá trị lớn nhất, nhỏ nhất, giá trị trung bình, so sánh kết quả đo với QCVN); theo dõi và cảnh báo trực tuyến (kết quả đo vượt giá trị giới hạn quy định tại QCVN, gián đoạn trong truyền dữ liệu); quản trị hệ thống (tạo và phân quyền các tài khoản);
c) Yêu cầu nhận dữ liệu từ Sở Tài nguyên và Môi trường: dữ liệu nhận được phải xác thực theo địa chỉ IP tĩnh của Sở Tài nguyên và Môi trường và tài khoản truy cập FTP đã được cấp cho Sở Tài nguyên và Môi trường.
3. Yêu cầu về truyền dữ liệu từ các trạm quan trắc chất lượng nước, chất lượng không khí tự động, liên tục do Bộ Tài nguyên và Môi trường quản lý:
a) Truyền dữ liệu quan trắc tự động, liên tục chất lượng nước, chất lượng không khí phải bảo đảm nhu cầu cung cấp, sử dụng thông tin và đạt tối thiểu 80% tổng số kết quả quan trắc dự kiến của trạm quan trắc;
b) Trường hợp việc truyền dữ liệu bị gián đoạn, ngay sau khi phục hồi, hệ thống phải tự động thực hiện truyền các dữ liệu của khoảng thời gian bị gián đoạn. Trong trường hợp việc truyền dữ liệu bị gián đoạn quá 12 tiếng, các đơn vị được giao quản lý, vận hành trạm phải có thông báo bằng văn bản và thư điện tử (email) về nguyên nhân, các biện pháp khắc phục về sự cố gián đoạn này với Tổng cục Môi trường, nêu rõ kế hoạch thực hiện, thời gian khắc phục về sự cố gián đoạn hoặc kế hoạch thực hiện việc bảo trì, kiểm định, hiệu chuẩn, thay thế linh phụ kiện, sửa chữa, thay thế các thiết bị đo và phân tích.
Chương IX
QUẢN LÝ, CUNG CẤP, CHIA SẺ THÔNG TIN, DỮ LIỆU QUAN TRẮC CHẤT LƯỢNG MÔI TRƯỜNG
Điều 42. Dữ liệu quan trắc chất lượng môi trường
1. Dữ liệu quan trắc chất lượng môi trường gồm: kết quả quan trắc chất lượng môi trường định kỳ, kết quả quan trắc chất lượng môi trường tự động, liên tục của các chương trình quan trắc chất lượng môi trường theo quy định.
2. Báo cáo kết quả quan trắc chất lượng môi trường, bao gồm: báo cáo kết quả quan trắc chất lượng môi trường theo đợt và theo năm (đối với quan trắc định kỳ); báo cáo kết quả quan trắc chất lượng môi trường theo quý và năm (đối với quan trắc tự động, liên tục).
3. Hình thức dữ liệu, báo cáo quan trắc chất lượng môi trường:
a) Định dạng dữ liệu quan trắc chất lượng môi trường: dữ liệu quy định tại Khoản 1 Điều 42 Thông tư này được lưu trong tệp (file) máy tính định dạng word (.doc hoặc .docx) đối với báo cáo quan trắc chất lượng môi trường; dạng file excel (.xls hoặc .xlsx) đối với kết quả quan trắc định kỳ; file text đối với kết quả quan trắc tự động, liên tục;
b) Mẫu báo cáo kết quả quan trắc định kỳ thực hiện theo quy định tại Biểu A1, Biểu A2; mẫu báo cáo kết quả quan trắc tự động, liên tục thực hiện theo quy định tại Biểu A3, Biểu A4 Phụ lục 16 ban hành kèm theo Thông tư này.
Điều 43. Chế độ báo cáo dữ liệu quan trắc chất lượng môi trường
1. Các đơn vị trực thuộc Bộ Tài nguyên và Môi trường, đơn vị thuộc mạng lưới quan trắc môi trường quốc gia được giao kinh phí từ nguồn ngân sách nhà nước để thực hiện các chương trình quan trắc chất lượng môi trường quốc gia có trách nhiệm gửi Tổng cục Môi trường báo cáo kết quả quan trắc chất lượng môi trường theo năm (đối với quan trắc định kỳ và quan trắc tự động, liên tục) quy định tại Khoản 2 Điều 42 Thông tư này. Báo cáo kết quả quan trắc chất lượng môi trường theo năm phải được gửi trước ngày 15 tháng 2 của năm tiếp theo. Báo cáo kết quả quan trắc môi trường định kỳ theo đợt và báo cáo kết quả quan trắc chất lượng môi trường tự động, liên tục theo quý được lưu giữ tại đơn vị.
2. Sở Tài nguyên và Môi trường gửi Bộ Tài nguyên và Môi trường (thông qua Tổng cục Môi trường) báo cáo kết quả quan trắc chất lượng môi trường theo năm (đối với quan trắc định kỳ và quan trắc tự động, liên tục) quy định tại Khoản 2 Điều 42 Thông tư này trước ngày 15 tháng 2 của năm tiếp theo. Báo cáo kết quả quan trắc chất lượng môi trường định kỳ theo đợt và báo cáo kết quả quan trắc chất lượng môi trường liên tục theo quý được lưu giữ tại đơn vị.
3. Các báo cáo kết quả quan trắc phải có chữ ký, đóng dấu của cơ quan báo cáo, gửi 01 bản đến cơ quan tiếp nhận thông qua Hệ thống quản lý văn bản và hồ sơ điện tử hoặc gửi trực tiếp báo cáo được đóng quyển. Trường hợp gửi trực tiếp bằng báo cáo đóng quyển thì gửi kèm các tệp báo cáo được gửi qua thư điện tử hoặc Cổng thông tin điện tử của cơ quan tiếp nhận.
Điều 44. Quản lý, lưu trữ cung cấp và chia sẻ số liệu quan trắc môi trường
1. Cơ quan được giao quản lý dữ liệu quan trắc môi trường có trách nhiệm lưu trữ theo quy định của pháp luật hiện hành.
2. Tổng cục Môi trường xây dựng cơ sở dữ liệu về quan trắc môi trường quốc gia; hướng dẫn Sở Tài nguyên và Môi trường xây dựng cơ sở dữ liệu về quan trắc môi trường địa phương đảm bảo thống nhất, đồng bộ và liên thông với hệ thống thông tin, cơ sở dữ liệu môi trường quốc gia.
3. Định kỳ hàng năm, Tổng cục Môi trường cập nhật, công bố kết quả quan trắc môi trường quốc gia trên Cổng thông tin điện tử của Bộ Tài nguyên và Môi trường và Tổng cục Môi trường.
4. Định kỳ hàng năm, Sở Tài nguyên và Môi trường cập nhật, công bố kết quả quan trắc môi trường của địa phương trên Cổng thông tin điện tử của Ủy ban nhân dân cấp tỉnh, trang thông tin điện tử của Sở Tài nguyên và Môi trường.
5. Các cơ quan, tổ chức, cá nhân không thuộc hệ thống quan trắc môi trường quốc gia, quan trắc môi trường cấp tỉnh khi thực hiện quan trắc chất lượng môi trường phục vụ mục đích công bố, công khai thông tin phải tuân thủ các quy định về yêu cầu kỹ thuật về quan trắc chất lượng môi trường tại Thông tư này và các quy định pháp luật về công bố, công khai thông tin.
Chương X
ĐIỀU KHOẢN THI HÀNH
Điều 45. Hiệu lực thi hành
1. Thông tư này có hiệu lực thi hành kể từ ngày 16 tháng 8 năm 2021, trừ trường hợp quy định tại Khoản 2 Điều này.
2. Chương III Thông tư này có hiệu lực thi hành kể từ ngày 01 tháng 01 năm 2022.
3. Thông tư số 24/2017/TT-BTNMT ngày 01 tháng 9 năm 2017 của Bộ trưởng Bộ Tài nguyên và Môi trường quy định quy trình kỹ thuật quan trắc môi trường và Chương III Thông tư số 43/2015/TT-BTNMT ngày 29 tháng 9 năm 2015 của Bộ trưởng Bộ Tài nguyên và Môi trường về báo cáo hiện trạng môi trường, bộ chỉ thị môi trường và quản lý số liệu quan trắc môi trường hết hiệu lực thi hành kể từ khi Thông tư này có hiệu lực.
Điều 46. Điều khoản chuyển tiếp
1. Các phương pháp, kỹ thuật quan trắc đã được chứng nhận trong các Giấy chứng nhận đủ điều kiện hoạt động dịch vụ quan trắc môi trường được tiếp tục sử dụng cho tới khi Giấy chứng nhận hết hiệu lực; khuyến khích các Tổ chức có Giấy chứng nhận còn hiệu lực đăng ký điều chỉnh Giấy chứng nhận theo các phương pháp, kỹ thuật quan trắc quy định tại Thông tư này.
2. Các trạm quan trắc chất lượng không khí xung quanh tự động, liên tục quy định tại Khoản 1 Điều 29 Thông tư này, trạm quan trắc chất lượng nước mặt tự động, liên tục và các hệ thống quan trắc nước thải, khí thải tự động, liên tục đã được đầu tư, vận hành trước thời điểm Thông tư này có hiệu lực nhưng chưa đảm bảo đáp ứng đầy đủ yêu cầu kỹ thuật tại Thông tư này được tiếp tục sử dụng trong thời gian 24 tháng kể từ ngày Thông tư này có hiệu lực. Sau 24 tháng kể từ ngày Thông tư này có hiệu lực, các thiết bị này phải được nâng cấp, thay thế bởi các thiết bị đáp ứng đầy đủ yêu cầu kỹ thuật theo quy định của Thông tư này.
Điều 47. Tổ chức thực hiện
1. Tổng cục Môi trường có trách nhiệm hướng dẫn, kiểm tra, giám sát việc thực hiện Thông tư này.
2. Bộ trưởng, Thủ trưởng cơ quan ngang Bộ, Thủ trưởng cơ quan thuộc Chính phủ, Chủ tịch Ủy ban nhân dân các cấp và tổ chức, cá nhân có liên quan chịu trách nhiệm thực hiện Thông tư này.
3. Trong quá trình thực hiện Thông tư này, nếu có khó khăn, vướng mắc đề nghị các cơ quan, tổ chức, cá nhân phản ánh về Bộ Tài nguyên và Môi trường (qua Tổng cục Môi trường) để kịp thời xem xét, giải quyết./.
|
Nơi nhận: - Thủ tướng Chính phủ; - Các Phó Thủ tướng Chính phủ; - Văn phòng Trung ương và các Ban của Đảng; - Văn phòng Quốc hội; - Văn phòng Chủ tịch nước; - Văn phòng Chính phủ; - Tòa án nhân dân tối cao; - Viện Kiểm sát nhân dân tối cao; - Các Bộ, cơ quan ngang bộ, cơ quan thuộc Chính phủ; - Kiểm toán Nhà nước; - Ủy ban Trung ương Mặt trận Tổ quốc Việt Nam; - Cơ quan trung ương của các đoàn thể; - Bộ trưởng Trần Hồng Hà; - Các Thứ trưởng Bộ TN&MT; - HĐND, UBND các tỉnh, thành phố trực thuộc Trung ương; - Cục Kiểm tra văn bản QPPL (Bộ Tư pháp); - Công báo, Cổng TTĐT của Chính phủ; - Các đơn vị trực thuộc Bộ TN&MT; - Sở TN&MT các tỉnh, thành phố trực thuộc Trung ương; - Cổng TTĐT của Bộ TN&MT; - Lưu: VT, KHCN, PC, TCMT,QLCL (300). |
KT. BỘ TRƯỞNG THỨ TRƯỞNG
Võ Tuấn Nhân |
Phụ lục 1
THIẾT KẾ CHƯƠNG TRÌNH QUAN TRẮC MÔI TRƯỜNG
(Ban hành kèm theo Thông tư số 10/2021/TT-BTNMT ngày 30 tháng 6 năm 2021 của Bộ trưởng Bộ Tài nguyên và Môi trường)
Thiết kế chương trình quan trắc môi trường:
1. Xác định mục tiêu của chương trình quan trắc môi trường và thành phần môi trường cần quan trắc.
2. Lập danh mục các thông số quan trắc theo thành phần môi trường: các thông số đo tại hiện trường, các thông số phân tích.
3. Thiết kế sơ bộ phương án lấy mẫu: xác định tuyến, điểm lấy mẫu và đánh dấu trên bản đồ hoặc sơ đồ; mô tả vị trí địa lý, tọa độ điểm quan trắc và ký hiệu các điểm quan trắc; mô tả sơ bộ các nguồn gây tác động, các vấn đề, đối tượng ảnh hưởng, các tác động đến khu vực quan trắc.
4. Khảo sát thực tế khu vực cần quan trắc.
5. Thiết kế chi tiết phương án lấy mẫu: xác định chính xác tuyến, điểm lấy mẫu và lập sơ đồ các điểm quan trắc, mô tả vị trí địa lý và tọa độ điểm quan trắc; mô tả thực trạng các nguồn gây tác động và các tác động của khu vực quan trắc; xác định ranh giới khu vực quan trắc và dự báo các tác động hoặc những biến đổi có thể xảy ra trong khu vực quan trắc.
6. Xác định tần suất, thời gian quan trắc.
7. Xác định phương pháp lấy mẫu và đo tại hiện trường và phương pháp phân tích trong phòng thí nghiệm.
8. Xác định quy trình lấy mẫu, thể tích mẫu cần lấy, loại dụng cụ chứa mẫu, loại hóa chất bảo quản, thời gian lưu mẫu, loại mẫu và số lượng mẫu kiểm soát chất lượng (mẫu QC).
9. Lập danh mục và kế hoạch bảo trì, bảo dưỡng, kiểm định, hiệu chuẩn các thiết bị quan trắc hiện trường và thiết bị phân tích môi trường, bao gồm cả thiết bị, dụng cụ, phương tiện bảo đảm an toàn lao động.
10. Xác định các phương tiện phục vụ hoạt động lấy mẫu, bảo quản và vận chuyển mẫu.
11. Lập kế hoạch thực hiện bảo đảm chất lượng và kiểm soát chất lượng (QA/QC) trong quan trắc môi trường. Việc lập kế hoạch bảo đảm chất lượng (QAPP) thực hiện theo hướng dẫn sau:
11.1. Xác định mục đích và các mục tiêu cụ thể của chương trình quan trắc.
11.2. Xác định đúng loại dữ liệu cần thu thập:
a) Xác định mục đích sử dụng dữ liệu (đánh giá hiện trạng, giám sát chất lượng môi trường, bổ sung dữ liệu cho cơ quan quản lý hay làm cơ sở cho việc ra các quyết định về môi trường...);
b) Thiết kế chương trình đáp ứng đúng nhu cầu của từng đối tượng sử dụng dữ liệu quan trắc: nhà quản lý, người lập kế hoạch của địa phương hay trung ương.;
c) Thiết kế chương trình bảo đảm sự phù hợp giữa mục tiêu chất lượng dữ liệu cần đạt được và các nguồn lực sẵn có;
d) Các lưu ý đối với việc xác định mục tiêu chất lượng dữ liệu như sau: Mục tiêu chất lượng dữ liệu mang tính định tính và định lượng, mô tả mức độ chấp nhận của dữ liệu hoặc tiện ích cho người khai thác, sử dụng dữ liệu. Mục tiêu chất lượng dữ liệu chỉ ra chất lượng cần có của dữ liệu nhằm đáp ứng các mục tiêu của chương trình quan trắc.
11.3. Thu thập các thông tin cơ bản để thiết kế chương trình quan trắc:
a) Khảo sát thực tế tại khu vực tiến hành quan trắc;
b) Thu thập thông tin về các chương trình quan trắc đã từng thực hiện trên địa bàn khu vực quan trắc;
c) Thu thập thông tin về các dữ liệu sẵn có, có thể được tham khảo để thiết kế chương trình quan trắc.
11.4. Điều chỉnh mục tiêu chương trình quan trắc: dựa vào các thông tin thu thập được và các thông tin, dữ liệu sẵn có, tiến hành điều chỉnh, đánh giá lại mục đích và các mục tiêu cụ thể của chương trình thiết kế ban đầu.
11.5. Xây dựng một kế hoạch thực hiện bao gồm cả công tác chuẩn bị của chương trình quan trắc.
11.6. Xây dựng các quy trình thao tác chuẩn (SOPs): Quy trình thao tác chuẩn mô tả chi tiết các quá trình thực hiện, các phương pháp áp dụng như một dạng sổ tay giúp các quan trắc viên thực hiện quan trắc một cách dễ dàng và bài bản. Có thể sử dụng các tiêu chuẩn hoặc hướng dẫn có sẵn và điều chỉnh cho phù hợp với chương trình quan trắc.
11.7. Thu thập thông tin phản hồi về SOP, xây dựng Kế hoạch bảo đảm chất lượng (QAPP).
11.8. Hoàn thiện QAPP dựa trên các ý kiến đánh giá:
a) Cụ thể hóa phương pháp sử dụng và thủ tục kiểm soát chất lượng;
b) Điều chỉnh các thủ tục cho phù hợp với yêu cầu;
c) Trình cấp có thẩm quyền thông qua.
11.9. Sau khi QAPP được thông qua, thực hiện chương trình quan trắc theo các thủ tục mô tả trong QAPP về sử dụng nhân lực, lấy mẫu, đo tại hiện trường, phân tích môi trường, xử lý số liệu và viết báo cáo.
11.10. Đánh giá và hoàn thiện chương trình quan trắc theo thời gian và phản ánh bất kỳ sự thay đổi nào trong QAPP:
a) Việc hoàn thiện chương trình quan trắc nên tiến hành đồng thời với quá trình thực hiện chương trình quan trắc;
b) Nếu có những thay đổi trong QAPP thì phải thông báo cho nhà quản lý và luôn sẵn sàng cho việc kiểm tra của nhà quản lý và người sử dụng dữ liệu.
11.12. Các nội dung cơ bản của QAPP
Các nội dung cơ bản của một QAPP như sau:
(1) Đối tượng sẽ sử dụng dữ liệu quan trắc;
(2) Mục đích, các mục tiêu, vấn đề của chương trình quan trắc;
(3) Những quyết định, chính sách có thể được đưa ra từ các dữ liệu quan trắc;
(4) Những vấn đề có thể phát sinh và những hành động giảm thiểu, khắc phục tác động của những vấn đề này;
(5) Mục tiêu chất lượng dữ liệu;
(6) Cách thức, thời gian và địa điểm thực hiện chương trình quan trắc;
(7) Phương pháp phân tích, đánh giá và báo cáo.
QAPP được xây dựng và thông qua trước khi bắt đầu chương trình quan trắc
Phụ lục 2
THÔNG SỐ VÀ PHƯƠNG PHÁP QUAN TRẮC CHẤT LƯỢNG MÔI TRƯỜNG
(Ban hành kèm theo Thông tư số 10/2021/TT-BTNMT ngày 30 tháng 6 năm 2021 của Bộ trưởng Bộ Tài nguyên và Môi trường)
Các từ viết tắt trong Phụ lục:
1. TCVN: tiêu chuẩn quốc gia.
2. ISO: tiêu chuẩn của Tổ chức tiêu chuẩn quốc tế.
3. SMEWW: viết tắt của cụm từ tiếng Anh “Standard Methods for the Examination of Water and Waste Water” là các phương pháp chuẩn kiểm tra nước và nước thải.
4. US EPA Method: phương pháp của Cơ quan Bảo vệ môi trường Hoa Kỳ.
5. NIOSH: tiêu chuẩn của Viện An toàn và Sức khỏe lao động Hoa Kỳ.
6. OSHA: viết tắt của cụm từ tiếng Anh “Occupational Safety and Health Administration” là Cơ quan An toàn Nghề nghiệp và Sức khỏe Hoa Kỳ.
7. MASA: viết tắt của cụm từ tiếng Anh “Method of Air Sampling and Analysis” là phương pháp lấy mẫu và phân tích mẫu khí của Tổ chức Intersociety Committee.
8. ASTM: viết tắt của cụm từ tiếng Anh “American Society for Testing and Materials” là Hiệp hội Vật liệu và Thử nghiệm Hoa Kỳ.
9. AS: viết tắt của cụm từ tiếng Anh “AUStralian Standard” là tiêu chuẩn quốc gia của Úc.
10. JIS: viết tắt của cụm từ tiếng Anh “Japanese IndUStrial Standard” là tiêu chuẩn công nghiệp của Nhật Bản.
11. IS: viết tắt của cụm từ tiếng Anh “Indian Standard” là tiêu chuẩn của Ấn Độ.
12. CFR: viết tắt của cụm từ tiếng Anh “Code of Ferderal Reguations” là mã số quy định liên bang của Hoa Kỳ
13. AS/NZS: viết tắt của cụm từ tiếng Anh “AUStralian/New Zealand Standard” là tiêu chuẩn của Úc và New Zealand.
Phụ lục 2.1. Phương pháp quan trắc không khí xung quanh
1. Lấy mẫu và đo tại hiện trường: lựa chọn phương pháp quy định tại quy chuẩn kỹ thuật quốc gia hiện hành tương ứng hoặc trong Bảng 6 dưới đây:
Bảng 6. Phương pháp lấy mẫu và đo tại hiện trường không khí xung quanh
|
STT |
Thông số |
Số hiệu phương pháp |
|
1 |
SO2 |
MASA 704A; MASA 704B; NIOSH 6004 |
|
2 |
CO |
MASA 128; ASTM D 3162; |
|
3 |
NO2 |
MASA 406; ASTM D1607 |
|
4 |
O3 |
|
|
5 |
H2S |
MASA 701 |
|
6 |
NH3 |
MASA 401 |
|
7 |
Benzen |
ISO 16017-1:2000; US EPA Method TO-17; MASA 834; NIOSH Method 1501; ASTM D 3686-95 |
|
8 |
Toluen |
ISO 16017-1:2000; US EPA Method TO-17; MASA 834; NIOSH Method 1501 ASTM D 3686-95; |
|
9 |
Xylen |
ASTM D 3686-95; ISO 16017-1:2000; US EPA Method TO-17; MASA 834; NIOSH Method 1501; ASTM D 3686-95 |
|
10 |
Styren |
ASTM D 3686-95; ISO 16017-1:2000; US EPA Method TO-17; MASA 834; NIOSH Method 1501; ASTM D 3686-95. |
|
11 |
Acetonitril |
NIOSH Method 1606 |
|
12 |
Benzidin |
NIOSH Method 5509 |
|
13 |
Naphtalen |
OSHA Method 35 |
|
14 |
Acetaldehyde |
NIOSH Method 2538 |
|
15 |
Anilin |
NIOSH Method 2002 |
|
16 |
Cloroform |
NIOSH Method 1003 |
|
17 |
Formaldehyt |
OSHA Method 52; NIOSH Method 2541; NIOSH Method 3500; US EPA Compendium Method TO-11A |
|
18 |
Tetracloetylen |
NIOSH 1003; US EPA Method TO-17 |
|
19 |
Vinyl clorua |
NIOSH 1007; US EPA Method TO-17 |
|
20 |
Phenol |
NIOSH 3502; MASA 121; NIOSH 2546 |
|
21 |
CH4 |
ASTM 1945; MASA 101 |
|
22 |
Mercaptan (tính theo Methyl mercaptan) |
ASTM D2913 - 96(2007); NIOSH Method 2452 |
|
23 |
Acrylonitril |
NIOSH Method 1604 |
|
24 |
Acrolein |
NIOSH Method 2501 |
|
25 |
Hydrocacbon |
NIOSH Method 1500 |
|
26 |
n-octan |
NIOSH Method 1500 |
|
27 |
Xyanua |
MASA 808 |
|
28 |
PAHs |
NIOSH Method 5515; US EPA Method TO-13A |
|
29 |
Cylohexan |
NIOSH Method 1500 |
|
30 |
n-heptan |
NIOSH Method 1500 |
|
31 |
Cl2 |
MASA 202 |
|
32 |
HF |
MASA 809; MASA 205; MASA 203F; NIOSH Method 7906 |
|
33 |
HCN |
NIOSH Method 6017; NIOSH Method 6010 |
|
34 |
H3PO4 |
NIOSH Method 7908 |
|
35 |
H2SO4 |
NIOSH Method 7908 |
|
36 |
HBr |
NIOSH Method 7907 |
|
37 |
HNO3 |
NIOSH Method 7907 |
|
38 |
HCl |
NIOSH Method 7907 |
|
39 |
Ni |
ASTM D4185-96; NIOSH Method 7300; US EPA Compendium Method IO-3.2; US EPA Compendium Method IO-3.3; US EPA Compendium Method IO-3.4 |
|
40 |
Hg |
ISO 6978- 2003; NIOSH Method 6009; OSHA Method ID 140; US EPA Method IO-5 |
|
41 |
Mn |
ASTM D4185-96; NIOSH 7300; US EPA Compendium Method IO-3.2; US EPA Compendium Method IO-3.3; US EPA Compendium Method IO-3.4 |
|
42 |
As |
NIOSH 7300; US EPA Compendium Method IO-3.2; US EPA Compendium Method IO-3.3; US EPA Compendium Method IO-3.4 |
|
43 |
Cd |
ASTM Method D4185-96; NIOSH Method 7048; NIOSH 7300; US EPA Compendium Method IO-3.2; US EPA Compendium Method IO-3.3; US EPA Compendium Method IO-3.4; ISO 11174:1996 |
|
44 |
Cr (VI) |
OSHA Method ID 215; NIOSH Method 7600; ASTM D 6832 |
|
45 |
Asin (AsH3) |
NIOSH Method 6001 |
|
46 |
Tổng bụi lơ lửng (TSP) |
US EPA Compendium Method IO-2.1 (high volume); ASTM D 4096 -17 |
|
47 |
PM10 |
40 CFR part 50 Method appendix J; AS/NZS 3580.9.7:2009; AS/NZS 3580.9.6:2003; US EPA Compendium Method IO-2.1 (high volume); US EPA Compendium Method IO-1.2; US EPA Compendium Method IO-2.3 |
|
48 |
PM2,5 |
40 CFR Part 50 Method Appendix L; AS/NZS 3580.9.7:2009; |
|
49 |
Pb |
ASTM D4185-96; NIOSH Method 7300; NIOSH Method 7301; NIOSH Method 7302; NIOSH Method 7303; NIOSH Method 7082; NIOSH Method 7105; US EPA Compendium Method IO-3.2; US EPA Compendium Method IO-3.3; US EPA Compendium Method IO-3.4 |
|
50 |
Polyclobiphenyl (PCB) |
US EPA Method TO-9A; US EPA Method TO-10A; US EPA Method TO-4A |
|
51 |
Dioxin/furan (PCDD/PCDF) |
US EPA Method TO-9A |
|
52 |
Các hợp chất Polyclobiphenyl tương tự Dioxin (dl-PCB) |
US EPA Method TO-9A |
|
53 |
Các thông số khí tượng (hướng gió, tốc độ gió, nhiệt độ, độ ẩm tương đối, áp suất) |
2. Phân tích trong phòng thí nghiệm: lựa chọn phương pháp quy định tại quy chuẩn kỹ thuật quốc gia hiện hành hoặc trong Bảng 7 dưới đây:
Bảng 7. Phương pháp phân tích trong phòng thí nghiệm
|
STT |
Thông số |
Số hiệu phương pháp |
|
1 |
SO2 |
MASA 704A; MASA 704B; NIOSH 6004; |
|
2 |
CO |
MASA 128; OSHA ID-209; OSHA ID 210 (sắc ký); ASTM D 3162 |
|
3 |
NO2 |
MASA 406; ASTM D1607 |
|
4 |
O3 |
|
|
5 |
H2S |
MASA 701 |
|
6 |
NH3 |
MASA 401 |
|
7 |
Benzen |
ASTM D 3686-95; ISO 16017-1:2000; US EPA Method TO-17; MASA 834; NIOSH Method 1501; ASTM D 3686-95; ISO 16017-1:2000; NIOSH Method 1501 |
|
8 |
Toluen |
ASTM D 3686-95; ISO 16017-1:2000; US EPA Method TO-17; MASA 834; NIOSH Method 1501; ASTM D 3686-95; ISO 16017-1:2000; NIOSH Method 1501 |
|
9 |
Xylen |
ASTM D 3686-95; ISO 16017-1:2000; US EPA Method TO-17; MASA 834; NIOSH Method 1501; ASTM D 3686-95; ISO 16017-1:2000; NIOSH Method 1501 |
|
10 |
Styren |
ASTM D 3686-95; ISO 16017-1:2000; US EPA Method TO-17; MASA 834; NIOSH Method 1501; ASTM D 3686-95; ISO 16017-1:2000; NIOSH Method 1501 |
|
11 |
Acetonitril |
NIOSH Method 1606 |
|
12 |
Benzidin |
NIOSH Method 5509 |
|
13 |
Naphtalen |
OSHA Method 35 |
|
14 |
Acetaldehyde |
NIOSH Method 2538 |
|
15 |
Anilin |
NIOSH Method 2002 |
|
16 |
Cloroform |
NIOSH Method 1003 |
|
17 |
Formaldehyt |
NIOSH Method 2541; NIOSH Method 3500; OSHA Method 52; US EPA Compendium Method TO-11A |
|
18 |
Tetracloetylen |
US.EPA Method TO-17; NIOSH Method 1003 |
|
19 |
Vinyl clorua |
USEPA Method TO-17; NIOSH Method 1007 |
|
20 |
Phenol |
NIOSH Method 3502; OSHA Method 32; NIOSH 2546 |
|
21 |
CH4 |
MASA 101; ASTM 1945 |
|
22 |
Mercaptan (tính theo Methyl mercaptan) |
ASTM D2913 - 96(2007); NIOSH Method 2452. |
|
23 |
Acrylonitril |
NIOSH Method 1604 |
|
24 |
Acrolein |
NIOSH Method 2501 |
|
25 |
Hydrocacbon |
NIOSH Method 1500 |
|
26 |
n-octan |
NIOSH Method 1500 |
|
27 |
Xyanua |
MASA 808 |
|
28 |
PAHs |
NIOSH Method 5515; US EPA Compendium Method TO-13A |
|
29 |
Cylohexan |
NIOSH Method 1500 |
|
30 |
n-heptan |
NIOSH Method 1500 |
|
31 |
Cl2 |
MASA 202 |
|
32 |
HF |
MASA 809; MASA 205; MASA 203F; NIOSH Method 7906 |
|
33 |
HCN |
NIOSH Method 6017; NIOSH Method 6010D |
|
34 |
H3PO4 |
NIOSH Method 7908 |
|
35 |
H2SO4 |
NIOSH Method 7908 |
|
36 |
HBr |
NIOSH Method 7907 |
|
37 |
HNO3 |
NIOSH Method 7907 |
|
38 |
HCl |
NIOSH Method 7907 |
|
39 |
Ni |
ASTM D4185-96; NIOSH 7 Method 300; US EPA Compendium Method IO-3.2; US EPA Compendium Method IO-3.3; US EPA Compendium Method IO-3.4 |
|
40 |
Hg |
ISO 17733:2015; NIOSH Method 6009; OSHA Method ID 140 |
|
41 |
Mn |
ASTM D4185-96; NIOSH 7300; US EPA Compendium Method IO-3.2; US EPA Compendium Method IO-3.3; US EPA Compendium Method IO-3.4 |
|
42 |
As |
NIOSH 7300; US EPA Compendium Method IO-3.2; US EPA Compendium Method IO-3.3; US EPA Compendium Method IO-3.4 |
|
43 |
Cd |
ASTM D4185-96; NIOSH Method 7048; NIOSH 7300; US EPA Compendium Method IO-3.2; US EPA Compendium Method IO-3.3; US EPA Compendium Method IO-3.4; ISO 11174:1996 |
|
44 |
Cr (VI) |
NIOSH Method 7600; OSHA Method ID 215; ASTM D 6832 |
|
45 |
Asin (AsH3) |
NIOSH Method 6001 |
|
46 |
Tổng bụi lơ lửng (TSP) |
US EPA Compendium Method IO-2.1 (high volume); ASTM D 4096 -17 |
|
47 |
PM10 |
40 CFR part 50 Method appendix J; AS/NZS 3580.9.7:2009; AS/NZS 3580.9.6:2003; US EPA Compendium Method IO-2.1 (high volume) |
|
48 |
PM2,5 |
40 CFR Part 50 Method appendix L; AS/NZS 3580.9.7:2009 |
|
49 |
Pb |
NIOSH Method 7300; NIOSH Method 7301; NIOSH Method 7302; NIOSH Method 7303; NIOSH Method 7082; NIOSH Method 7105; ASTM D4185-96; US EPA Compendium Method IO-3.2; US EPA Compendium Method IO-3.3; US EPA Compendium Method IO-3.4; ISO 9855:1993; ISO 8518:2001 |
|
50 |
Polyclobiphenyl (PCB) |
US EPA Method TO-9A; US EPA Method 1668A/B; TCVN 8601:2009; SMEWW 6630C:2017; Method EN-1948-4 WHO PCB; Method EN-1948-4 Marker PCB; US EPA Method 8270D |
|
51 |
Tổng dioxin/furan, PCDD/PCDF |
US EPA Method TO-9A; U.S. EPA Method 1613; U.S. EPA Method 8290; U.S. EPA Method 8280; JIS Methods K0311 and K0312; Method EN-1948 |
|
52 |
Các hợp chất polyclobiphenyl tương tự dioxin, dl-PCB |
US EPA Method TO-9A; US EPA Method 1668B |
Phụ lục 2.2. Phương pháp quan trắc chất lượng nước mặt
1. Lấy mẫu và đo tại hiện trường
a) Lấy và bảo quản, vận chuyển mẫu nước mặt: lựa chọn phương pháp quy định tại quy chuẩn kỹ thuật quốc gia hiện hành hoặc trong Bảng 8 dưới đây.
Bảng 8. Các phương pháp lấy mẫu nước mặt tại hiện trường
|
STT |
Loại mẫu |
Số hiệu phương pháp |
|
1 |
Mẫu nước sông, suối |
|
|
2 |
Mẫu nước ao hồ |
TCVN 6663-4:2018; |
|
3 |
Mẫu vi sinh |
|
|
4 |
Mẫu thực vật nổi |
SMEWW 10200.B:2017 |
|
5 |
Mẫu động vật nổi |
SMEWW 10200.B:2017 |
|
6 |
Mẫu động vật đáy |
SMEWW 10200.B:2017 |
b) Đo các thông số nước mặt tại hiện trường: lựa chọn phương pháp quy định tại quy chuẩn kỹ thuật quốc gia hiện hành hoặc trong Bảng 9 dưới đây.
Bảng 9. Các phương pháp đo tại hiện trường các thông số nước mặt tại hiện trường
|
STT |
Thông số đo |
Số hiệu phương pháp |
|
1 |
Nhiệt độ |
SMEWW 2550B:2017 |
|
2 |
pH |
|
|
3 |
DO |
|
|
4 |
EC |
SMEWW 2510B:2017 |
|
5 |
Độ đục |
SMEWW 2130B:2017; US EPA Method 180.1 |
|
6 |
Độ trong |
Đo bằng đĩa trắng (secchi) |
|
7 |
TDS |
Sử dụng thiết bị đo trực tiếp |
|
8 |
ORP |
SMEWW 2580B:2017; ASTM 1498:2014 |
|
9 |
Độ muối |
SMEWW 2520B:2017 |
|
10 |
Độ màu |
Sử dụng thiết bị đo trực tiếp |
2. Phân tích trong phòng thí nghiệm: lựa chọn phương pháp quy định tại quy chuẩn kỹ thuật quốc gia hiện hành hoặc trong Bảng 10 dưới đây.
Bảng 10. Các phương pháp phân tích các thông số nước mặt trong phòng thí nghiệm
|
STT |
Thông số |
Số hiệu phương pháp |
|
1 |
Độ màu |
TCVN 6185:2015 (Phương pháp C); ASTM D1209-05; SMEWW 2120C:2017 |
|
2 |
Độ kiềm |
TCVN 6636:1-2000; SMEWW 2320.B:2017 |
|
3 |
Độ cứng tổng số |
SMEWW 2340C:2017 |
|
4 |
TSS |
SMEWW 2540D:2017 |
|
5 |
BOD5 |
SMEWW 5210B:2017 |
|
6 |
COD |
SMEWW 5220.B:2017; SMEWW 5220.C:2017 |
|
7 |
TOC |
SMEWW 5310B:2017; SMEWW 5310C:2017 |
|
8 |
NH4+ |
SMEWW 4500-NH3.B&D:2017; SMEWW 4500-NH3.B&F:2017; SMEWW 4500-Nh3.B&H:2017 |
|
9 |
NO2- |
SMEWW 4500-NO2-.B:2017; SMEWW 4110B:2017; SMEWW 4110C:2017; US EPA Method 300.0 |
|
10 |
NO3- |
SMEWW 4110.B:2017; SMEWW 4110.C:2017; SMEWW 4500-NO3-.D:2017; SMEWW 4500-NO3-.E:2017; US EPA Method 300.0; US EPA Method 352.1 |
|
11 |
SO42- |
SMEWW 4110.B:2017; SMEWW 4110.C:2017; SMEWW 4500-SO42-.E:2017; US EPA Method 300.0 |
|
12 |
PO43- |
SMEWW 4110.B:2017; SMEWW 4110.C:2017; SMEWW 4500-P.D:2017; SMEWW 4500-P.E:2017; US EPA Method 300.0; US EPA Method 365.3 |
|
13 |
CN- |
SMEWW 4500-CN-.C&E:2017; ISO 14403-2:2017 |
|
14 |
Cl- |
SMEWW 4110B:2017; SMEWW 4110C:2017; SMEWW 4500.Cl-:2017; US EPA Method 300.0 |
|
15 |
F- |
TCVN 6195-1996; SMEWW 4500-F-.B&C:2017; SMEWW 4500-F-.B&D:2017; SMEWW 4110B:2017; SMEWW 4110C:2017; US EPA Method 300.0 |
|
16 |
S2- |
SMEWW 4500-s2-.B&D:2017 |
|
17 |
Tổng N |
TCVN 6624:1-2000; TCVN 6624:2-2000; SMEWW 4500-N.C:2017 |
|
18 |
Tổng P |
SMEWW 4500P.B&D:2017; SMEWW 4500P.B&E:2017; US EPA Method 365.3 |
|
19 |
Na |
TCVN 6196-3:1996; SMEWW 3111B:2017; SMEWW 3120B:2017; US EPA Method 200.7 |
|
20 |
K |
TCVN 6196-3:1996; SMEWW 3111B:2017; SMEWW 3120B:2017; US EPA Method 200.7 |
|
21 |
Ca |
SMEWW 3111B:2017; SMEWW 3120B:2017; US EPA Method 200.7 |
|
22 |
Mg |
SMEWW 3111.B:2017; SMEWW 3120.B:2017; US EPA Method 200.7; US EPA Method 6020B |
|
23 |
Fe |
ISO 15586:2003; SMEWW 3500-Fe.B.2017; SMEWW 3111B:2017; SMEWW 3113B:2017; SMEWW 3120B:2017; US EPA Method 200.7; US EPA Method 6020B |
|
24 |
Mn |
ISO 15586:2003; SMEWW 3111B:2017; SMEWW 3113B:2017; SMEWW 3120B:2017; SMEWW 3125B:2017; US EPA Method 200.7; US EPA Method 200.8; US EPA Method 6020B |
|
25 |
Cu |
ISO 15586:2003; SMEWW 3111B:2017; SMEWW 3113B:2017; SMEWW 3120B:2017; SMEWW 3125B:2017; US EPA Method 200.7; US EPA Method 200.8; US EPA Method 6020B |
|
26 |
Zn |
ISO 15586:2003; SMEWW 3111B:2017; SMEWW 3113B:2017; SMEWW 3120B:2017; SMEWW 3125B:2017; US EPA Method 200.7; US EPA Method 200.8; US EPA Method 6020B |
|
27 |
Ni |
ISO 15586:2003; SMEWW 3111B:2017; SMEWW 3113B:2017; SMEWW 3120B:2017; SMEWW 3125B:2017; US EPA Method 200.7; US EPA Method 200.8; US EPA Method 6020B |
|
28 |
Pb |
ISO 15586:2003; SMEWW 3113B:2017; SMEWW 3125B:2017; SMEWW 3130B:2017; US EPA Method 200.8; US EPA Method 6020B |
|
29 |
Cd |
ISO 15586:2003; SMEWW 3113B:2017; SMEWW 3125B:2017; US EPA Method 200.8; US EPA Method 200.7; US EPA Method 6020B |
|
30 |
As |
ISO 15586:2003; SMEWW 3114B:2017; SMEWW 3114C:2017; SMEWW 3113B:2017; SMEWW 3125B:2017; US EPA Method 200.7; US EPA Method 200.8; US EPA Method 6020B |
|
31 |
Hg |
SMEWW 3112B:2017; US EPA Method 200.7; US EPA Method 200.8; US EPA Method 7470A |
|
32 |
Tổng crôm (Cr) |
ISO 15586:2003; SMEWW 3113B:2017; SMEWW 3120B:2017; SMEWW 3125B:2017; US EPA Method 200.8; US EPA Method 200.7; US EPA Method 6020B |
|
33 |
Cr (VI) |
SMEWW 3500-Cr.B:2017 |
|
34 |
Coliform |
SMEWW 9221B:2017 |
|
35 |
Coliform chịu nhiệt |
SMEWW 9221:2017 |
|
36 |
E.Coli |
SMEWW 9221B:2017; SMEWW 9222B:2017 |
|
37 |
Tổng dầu, mỡ |
SMEWW 5520B:2017; SMEWW 5520C:2017 |
|
38 |
Tổng Phenol |
SMEWW 5530 B&C:2017; US EPA Method 420.1; ISO 14402:1999 |
|
39 |
Hoá chất bảo vệ thực vật clo hữu cơ |
TCVN 9241:2017; SMEWW 6630B:2017; SMEWW 6630C:2017; US EPA Method 8081B; US EPA Method 8270D; |
|
40 |
Hóa chất bảo vệ thực vật photpho hữu cơ |
US EPA Method 8141B; US EPA Method 8270D |
|
41 |
Tổng hoạt độ phóng xạ α |
SMEWW 7110B:2017; |
|
42 |
Tổng hoạt độ phóng xạ β |
SMEWW 7110B:2017 |
|
43 |
Polyclobiphenyl (PCB) |
SMEWW 6630C:2017; US EPA Method 1668B; US EPA Method 8082A; US EPA Method 8270D |
|
44 |
Dioxin/furan (PCDD/PCDF) |
US EPA Method 1613B; US EPA Method 8290A |
|
45 |
Các hợp chất polyclobiphenyl tương tự dioxin (dl-PCB) |
US EPA Method 1668C |
|
46 |
Decabromodiphenyl ete (DBDE) |
US EPA Method 1614A |
|
47 |
Hexabromobiphenyl (HBB) |
US EPA Method 8270D |
|
48 |
Hexabromodiphenyl ete và heptabromodiphenyl ete (HBDE) |
US EPA Method 1614A |
|
49 |
Hexachlorobutadiene (HCBD) |
US EPA Method 524.4; US EPA Method 8270D |
|
50 |
Pentachlorobenzene (PeCB) |
US EPA Method 8270D |
|
51 |
Pentachlorophenol (PCP), muối của chúng và các este |
US EPA Method 1653A; US EPA Method 1624/1625 |
|
52 |
Perfluorooctane sulfonic acid (PFOS), muối của chúng và perfluorooctane sulfonyl fluoride (PFOSF) |
US EPA Method 533; US EPA Method 537.1 |
|
53 |
Polychlorinated naphthalene (PCN) |
US EPA Method 8270D |
|
54 |
Các paraffin mạch ngắn chứa clo (SCCP) |
Áp dụng các phương pháp tiêu chuẩn quốc gia và quốc tế |
|
55 |
Tetrabromodiphenyl ete và Pentabromodiphenyl ete (POP-BDE) |
US EPA Method 1614A |
|
56 |
Hexabromocyclododec ane (HBCCD) |
Áp dụng các phương pháp tiêu chuẩn quốc gia và quốc tế |
|
57 |
Perfluorooctanoic acid (PFOA), muối của chúng và các hợp chất liên quan đến PFOA |
US EPA Method 533; US EPA Method 537.1; DIN 38407-42:2010; CEN/TS 15968 :2010; ISO 25101:2009 |
|
58 |
Chất hoạt động bề mặt |
SMEWW 5540 B&C:2017 |
|
59 |
Thực vật nổi |
SMEWW 10200:2017 |
|
60 |
Động vật nổi |
SMEWW 10200:2017 |
|
61 |
Động vật đáy |
SMEWW 10500:2017 |
Phụ lục 2.3. Phương pháp quan trắc chất lượng nước dưới đất
1. Lấy mẫu và đo tại hiện trường
a) Lấy và bảo quản, vận chuyển mẫu nước dưới đất: lựa chọn phương pháp quy định tại quy chuẩn kỹ thuật quốc gia hiện hành hoặc trong Bảng 11 dưới đây:
Bảng 11. Các phương pháp lấy mẫu nước dưới đất
|
TT |
Loại mẫu |
Số hiệu phương pháp sử dụng |
|
1 |
Mẫu nước dưới đất |
|
|
2 |
Mẫu vi sinh |
b) Đo tại hiện trường các thông số trong nước dưới đất: lựa chọn phương pháp quy định tại quy chuẩn kỹ thuật quốc gia hiện hành tương ứng hoặc trong Bảng 12 dưới đây.
Bảng 12. Các phương pháp đo mẫu nước dưới đất tại hiện trường
|
STT |
Thông số |
Số hiệu phương pháp |
|
1 |
Nhiệt độ |
SMEWW 2550.B:2017 |
|
2 |
pH |
SMEWW 4500 H+.B:2017 |
|
3 |
DO |
|
|
4 |
EC |
SMEWW 2510.B:2017 |
|
5 |
TDS |
Sử dụng thiết bị đo trực tiếp |
|
6 |
Độ đục |
SMeWW 2130.B:2017; EPA Method 180.1 (tương đương) |
|
7 |
ORP |
SMEWW 2580.B:2017; ASTM 1498:2014 |
|
8 |
Độ muối |
SMEWW 2520.B:2017 |
|
9 |
Độ màu |
Sử dụng thiết bị đo trực tiếp |
2. Phân tích trong phòng thí nghiệm: lựa chọn phương pháp quy định tại quy chuẩn kỹ thuật quốc gia hiện hành hoặc trong Bảng 13 dưới đây:
Bảng 13. Các phương pháp phân tích các thông số trong mẫu nước dưới đất trong phòng thí nghiệm
|
STT |
Thông số |
Số hiệu phương pháp |
|
1 |
Độ kiềm |
SMEWW 2320.B:2017 |
|
2 |
Độ màu |
TCVN 6185:2015 (phương pháp C) ; ASTM D1209-05 (2019) ; SMEWW 2120.C:2017 |
|
3 |
Độ cứng tổng số |
SMEWW 2340.C:2017 |
|
4 |
TSS |
SMEWW 2540D:2017 |
|
5 |
BOD5 |
SMEWW 5210B :2017 |
|
6 |
COD |
SMEWW 5220.B:2017; SMEWW 5220.C:2017 |
|
7 |
Chỉ số pecmanganat |
|
|
8 |
NH4+ |
SMEWW 4500-NH3.B&D:2017; SMEWW 4500-NH3.B&F:2017; SMEWW 4500-Nh3.B&H:2017 |
|
9 |
PO43- |
SMEWW 4110.B:2017; SMEWW 4110.C:2017; SMEWW 4500-P.D:2017; SMEWW 4500-P.E:2017; US EPA Method 300.0 |
|
10 |
NO2- |
SMEWW 4500-NO2-.B:2017; SMEWW 4110B:2017; SMEWW 4110C:2017; US EPA Method 300.0 |
|
11 |
NO3- |
SMEWW 4110B:2017; SMEWW 4110C:2017; SMEWW 4500-NO3-.D:2017; SMEWW 4500-NO3-.E:2017; US EPA Method 300.0; US EPA Method 352.1 |
|
12 |
HCO3- |
SMEWW 2320B:2017; |
|
13 |
SO42- |
SMEWW 4110B:2017; SMEWW 4110C:2017; SMEWW 4500-SO42-.E:2017; US EPA Method 300.0 |
|
14 |
CO32- |
SMEWW 2320B:2017; |
|
15 |
CN- |
SMEWW 4500-CN-.C&E:2017; ISO 14403-2: 2017 |
|
16 |
Cl- |
SMEWW 4110B:2017; SMEWW 4110C:2017; SMEWW 4500.Cl-:2017; US EPA Method 300.0 |
|
17 |
F- |
TCVN 6195-1996; SMEWW 4500-F-.B&C:2017; SMEWW 4500-F-.B&D:2017; SMEWW 4110B:2017; SMEWW 4110C:2017; US EPA Method 300.0 |
|
18 |
S2- |
SMEWW 4500-S2-.B&C&D:2017; SMEWW 4500-s2-.F:2017 |
|
19 |
Tổng N |
TCVN 6624:1-2000; TCVN 6624:2-2000; |
|
20 |
Tổng P |
SMEWW 4500-P.B&D:2017; SMEWW 4500-P.B&E:2017 |
|
21 |
Na+ |
TCVN 6196-3:1996; SMEWW 3111B:2017; SMEWW 3120B:2017 |
|
22 |
K+ |
TCVN 6196-3:1996; SMEWW 3111B:2017; SMEWW 3120B:2017 |
|
23 |
Ca2+ |
SMEWW 3111B:2017; SMEWW 3120B:2017 |
|
24 |
Mg2+ |
SMEWW 3111B:2017; SMEWW 3120B:2017 |
|
25 |
Fe |
ISO 15586:2003; SMEWW 3500-Fe.B.2017; SMEWW 3111B:2017; SMEWW 3113B:2017; SMEWW 3120B:2017; US EPA Method 6020B |
|
26 |
Mn |
ISO 15586:2003; SMEWW 3111B:2017; SMEWW 3113B:2017; SMEWW 3120B:2017; SMEWW 3125B: 2017; US EPA Method 200.8; US EPA Method 6020B |
|
27 |
Pb |
ISO 15586:2003; SMEWW 3113B:2017; SMEWW 3125B:2017; SMEWW 3130B:2017; US EPA Method 200.8; US EPA Method 6020B |
|
28 |
Cu |
ISO 15586:2003; SMEWW 3111B:2017; SMEWW 3113B:2017; SMEWW 3120B:2017; SMEWW 3125B: 2017; US EPA Method 200.8; US EPA Method 6020B |
|
29 |
Zn |
ISO 15586:2003; SMEWW 3111B:2017; SMEWW 3113B:2017; MEWW 3120B:2017; SMEWW 3125B:2017; US EPA Method 200.8; US EPA Method 6020B |
|
30 |
Ni |
ISO 15586:2003; SMEWW 3113B:2017; SMEWW 3120B:2017; SMEWW 3125B:2017; US EPAMethod 200.8; US EPA Method 6020B |
|
31 |
Cd |
ISO 15586:2003; SMEWW 3113B:2017; SMEWW 3125B: 2017; US EPA Method 200.8; US EPA Method 6020B |
|
32 |
As |
ISO 15586:2003; SMEWW 3114B:2017; SMEWW 3113B:2017; SMEWW 3125B:2017; US EPA Method 200.8; US EPA Method 6020B |
|
33 |
Hg |
SMEWW 3112B:2017; US EPA Method 7470A; US EPA Method 200.8 |
|
34 |
Se |
ISO 15586:2003; SMEWW 3114B:2017; US EPA Method 200.8; US EPA Method 6020B |
|
35 |
Al |
ISO 15586:2003; SMEWW 3111D:2017; SMEWW 3113B:2017; SMEWW 3120B:2017; SMEWW 3125B:2017; US EPA Method 200.8; US EPA Method 6020B |
|
36 |
Tổng crôm (Cr) |
ISO 15586:2003; SMEWW 3111B:2017; SMEWW 3113B:2017; MEWW 3120B:2017; SMEWW 3125B:2017; US EPA Method 200.8; US EPA Method 6020B |
|
37 |
Cr (VI) |
SMEWW 3500-Cr.B:2017; US EPA Method 7196A |
|
38 |
Co |
ISO 15586:2003; SMEWW 3111B:2017; SMEWW 3113B:2017; SMEWW 3120B:2017; SMEWW 3125B:2017; US EPA Method 200.8; US EPA Method 6020B |
|
39 |
Coliform |
SMEWW 9221B:2017; SMEWW 9222B:2017 |
|
40 |
E.coli |
SMEWW 9221B:2017; SMEWW 9222B:2017 |
|
41 |
Tổng dầu, mỡ |
SMEWW 5520B:2017; SMEWW 5520C:2017 |
|
42 |
Tổng phenol |
ISO 14402:1999; SMEWW 5530 B&C:2017; US EPA Method 420.1 |
|
43 |
Tổng hoạt độ phóng xạ α |
SMEWW 7110B:2017 |
|
44 |
Tổng hoạt độ phóng xạ β |
SMEWW 7110B:2017 |
|
45 |
PAHs |
SMEWW 6440B:2017; SMEWW 6440C:2017; US EPA Method 8100; US EPA Method 8310; US EPA Method 8270D |
|
46 |
Hoá chất bảo vệ thực vật clo hữu cơ |
TCVN 9241:2017; SMEWW 6630B:2017; SMEWW 6630C:2017; US EPA Method 8081B; US EPA Method 8270D |
|
47 |
Hóa chất bảo vệ thực vật photpho hữu cơ |
US EPA Method 8141B; US EPA Method 8270D |
|
48 |
Polyclobiphenyl (PCB) |
TCVN 8601:2009; TCVN 9241:2017; SMEWW 6630C:2017; US EPA Method 1668B; US EPA Method 8082A; US EPA Method 8270D |
|
49 |
Dioxin/furan (PCDD/PCDF) |
US EPA Method 1613B US EPA Method 8290A |
|
50 |
Các hợp chất polyclobiphenyl tương tự dioxin (dl-PCB) |
US EPA Method 1668B |
|
51 |
Decabromodiphenyl ete (DBDE) |
US EPA Method 1614A |
|
52 |
Hexabromobiphenyl (HBB) |
US EPA Method 8270D |
|
53 |
Hexabromodiphenyl ete và heptabromodiphenyl ete (HBDE) |
US EPA Method 1614A |
|
54 |
Hexachlorobutadiene (HCBD) |
US EPA Method 524.4; US EPA Method 8270D |
|
55 |
Pentachlorobenzene (PeCB) |
US EPA Method 8270D |
|
56 |
Pentachlorophenol (PCP), muối của chúng và các este |
US EPA Method 1653A; US EPA Method 1624/1625 |
|
57 |
Perfluorooctane sulfonic acid (PFOS), muối của chúng và perfluorooctane sulfonyl fluoride (PFOSF) |
US EPA Method 533; US EPA Method 537.1 |
|
58 |
Polychlorinated naphthalene (PCN) |
US EPA Method 8270D |
|
59 |
Các paraffin mạch ngắn chứa clo (SCCP) |
Áp dụng các phương pháp tiêu chuẩn quốc gia và quốc tế |
|
60 |
Tetrabromodiphenyl ete và Pentabromodiphenyl ete (POP-BDE) |
US EPA Method 1614A |
|
61 |
Hexabromocyclodod ecane (HBCDD) |
Áp dụng các phương pháp tiêu chuẩn quốc gia và quốc tế |
|
62 |
Perfluorooctanoic acid (PFOA), muối của chúng và các hợp chất liên quan đến PFOA |
EPA 533; EPA 537.1; DIN 38407-42:2010; CEN/TS 15968:2010; ISO 25101:2009 |
|
63 |
Chất hoạt động bề mặt |
SMEWW 5540 B&C:2017 |
Phụ lục 2.4. Phương pháp quan trắc chất lượng nước biển
1. Lấy mẫu và đo tại hiện trường
a) Lấy và bảo quản, vận chuyển mẫu nước biển: lựa chọn phương pháp quy định tại quy chuẩn kỹ thuật quốc gia hiện hành hoặc trong Bảng 14 dưới đây:
Bảng 14. Các phương pháp lấy mẫu nước biển
|
STT |
Loại mẫu |
Số hiệu phương pháp |
|
1 |
Mẫu nước biển |
ISO 5667-9:2015; |
|
2 |
Mẫu vi sinh |
|
|
3 |
Mẫu thực vật nổi |
SMEWW 10200.B:2017 |
|
4 |
Mẫu động vật nổi |
SMEWW 10200.B:2017 |
|
5 |
Mẫu động vật đáy |
SMEWW 10200.B:2017 |
b) Đo các thông số trong nước biển tại hiện trường: lựa chọn phương pháp quy định tại quy chuẩn kỹ thuật quốc gia hiện hành hoặc trong Bảng 15 dưới đây:
Bảng 15. Các phương pháp đo mẫu nước biển tại hiện trường
|
STT |
Thông số |
Số hiệu phương pháp |
|
1 |
Nhiệt độ |
SMEWW 2550.B:2017 |
|
2 |
Độ muối |
SMEWW 2520.B:2017 |
|
3 |
pH |
US EPA Method 9040 |
|
4 |
DO |
SMEWW 4500 O.G:2017 |
|
5 |
EC |
SMEWW 2510.B:2017 |
|
6 |
Độ trong |
Đo bằng đĩa trắng (secchi) |
|
7 |
Độ đục |
SMEWW 2130.B:2017; EPA 180.1 |
|
8 |
TDS |
Sử dụng thiết bị đo trực tiếp |
|
9 |
Các thông số khí tượng hải văn |
Sử dụng thiết bị đo trực tiếp |
2. Phân tích trong phòng thí nghiệm: lựa chọn phương pháp quy định tại quy chuẩn kỹ thuật quốc gia hiện hành hoặc trong Bảng 16 dưới đây:
Bảng 16. Các phương pháp phân tích mẫu nước biển trong phòng thí nghiệm
|
STT |
Thông số |
Số hiệu phương pháp |
|
1 |
TSS |
SMEWW 2540D:2017 |
|
2 |
BOD5 |
SMEWW 5210B:2017 |
|
3 |
NH4+ |
SMEWW 4500-NH3.B&F:2017; SMEWW 4500-Nh3.D:2017 |
|
4 |
PO43- |
SMEWW 4110B:2017; SMEWW 4110C:2017; SMEWW 4500-P.D:2017; SMEWW 4500-P.E:2017; US EPA Method 300.0 |
|
5 |
NO2- |
SMEWW 4500-NO2-.B:2017; SMEWW 4110B:2017; SMEWW 4110C:2017; US EPA Method 300.0 |
|
6 |
NO3- |
SMEWW 4110B:2017; SMEWW 4110C:2017; SMEWW 4500-NO3-.E:2017; US EPA Method 352.1 |
|
7 |
F- |
TCVN 6195-1996; SMEWW 4110.B:2017; SMEWW 4110C:2017; SMEWW 4500-F-.B&C:2017; SMEWW 4500-F-.B&D:2017; US EPA Method 300. |
|
8 |
S2- |
SMEWW 4500-S2-.B&C&D:2017; SMEWW 4500-s2-.F:2017 |
|
9 |
CN- |
SMEWW 4500-CN-.C&E:2017; ISO 14403-2:2017 |
|
10 |
Pb |
US EPA Method 1640; US EPA Method 200.10; US EPA Method 200.13; ASTM D6800 - 12. |
|
11 |
Fe |
ISO 15586:2003; SMEWW 3500-Fe.B:2017; SMEWW 3111B:2017; SMEWW 3113B:2017; US EPA Method 6020B |
|
12 |
Zn |
ISO 15586:2003; SMEWW 3111C:2017; SMEWW 3113B:2017; SMEWW 3125B:2017; US EPA Method 200.8; US EPA Method 6020B |
|
13 |
Cu |
ISO 15586:2003; SMEWW 3111C:2017; SMEWW 3113B:2017; SMEWW 3125B:2017; US EPA Method 200.8; US EPA Method 1640; US EPA Method 200.10; US EPA Method 200.12; US EPA Method 200.13; US EPA Method 6020B |
|
14 |
Mn |
SMEWW 3111B:2017; SMEWW 3113B:2017; SMEWW 3125B:2017; US EPA Method 200.8; US EPA Method 6020B |
|
15 |
Cd |
ISO 15586:2003; SMEWW 3113B:2017; SMEWW 3125B:2017; US EPA Method 200.8; US EPA Method 1640; US EPA Method 200.10; US EPA Method 200.12; US EPA Method 200.13; US EPA Method 6020B |
|
16 |
Hg |
SMEWW 3112B:2017 |
|
17 |
As |
ISO 15586:2003; SMEWW 3114B:2017; US EPA Method 1640 |
|
18 |
Tổng crôm (Cr) |
ISO 15586:2003; SMEWW 3111C:2017; SMEWW 3113B:2017; SMEWW 3125B:2017; US EPA Method 200.8; US EPA Method 6020B |
|
19 |
Cr (VI) |
SMEWW 3500-Cr.B:2017; US EPA Method 7196A |
|
20 |
Tổng N |
TCVN 6624:1-2000; TCVN 6624:2-2000; SMEWW 4500-N.C:2017 |
|
21 |
Tổng P |
SMEWW 4500- P.B&D:2017; SMEWW 4500-P.B&E:2017 |
|
22 |
Tổng dầu, mỡ |
SMEWW 5520B:2017; SMEWW 5520C:2017; US EPA Method 413.2; US EPA Method 1664 |
|
23 |
Tổng dầu mỡ khoáng |
SMEWW 5520B&F:2017; SMEWW 5520C&F:2017 |
|
24 |
Tổng phenol |
SMEWW 5530B&C:2017; SMEWW 5530B&D:2017; ISO 14402:1999 |
|
25 |
Động vật nổi |
SMEWW 10200:2017 |
|
26 |
Động vật đáy |
SMEWW 10500:2017 |
|
27 |
Hóa chất bảo vệ thực vật clo hữu cơ |
TCVN 9241:2017; SMEWW 6630B:2017; SMEWW 6630C:2017; US EPA Method 8081B; US EPA Method 8270D |
|
28 |
Hóa chất bảo vệ thực vật photpho hữu cơ |
US EPA Method 8141B; US EPA Method 8270D |
|
29 |
Decabromodiphenyl ete (DBDE) |
US EPA Method 1614A |
|
30 |
Hexabromobiphenyl (HBB) |
US EPA Method 8270D |
|
31 |
Hexabromodiphenyl ete và heptabromodiphenyl ete (HBDE) |
US EPA Method 1614A |
|
32 |
Hexachlorobutadiene (HCBD) |
US EPA Method 524.4; US EPA Method 8270D |
|
33 |
Pentachlorobenzene (PeCB) |
US EPA Method 8270D |
|
34 |
Pentachlorophenol (PCP), muối của chúng và các este |
US EPA Method 1653A; US EPA Method 1625 |
|
35 |
Perfluorooctane sulfonic acid (PFOS), muối của chúng và perfluorooctane sulfonyl fluoride (PFOSF) |
US EPA Method 533; US EPA Method 537.1 |
|
36 |
Polychlorinated naphthalene (PCN) |
US EPA Method 1653A; US EPA Method 1624/1625 |
|
37 |
Các paraffin mạch ngắn chứa clo (SCCP) |
Áp dụng các phương pháp tiêu chuẩn quốc gia và quốc tế |
|
38 |
Tetrabromodiphenyl ete và Pentabromodiphenyl ete (POP-BDE) |
US EPA Method 1614A |
|
39 |
Hexabromocyclododecane (HBCDD) |
Áp dụng các phương pháp tiêu chuẩn quốc gia và quốc tế |
|
40 |
Perfluorooctanoic acid (PFOA), muối của chúng và các hợp chất liên quan đến PFOA |
US EpA Method 533; US EPA Method 537.1; DIN 38407-42:2010; CEN/TS 15968 :2010; ISO 25101:2009 |
|
41 |
Coliform |
SMEWW 9221B:2017; |
Phụ lục 2.5. Phương pháp quan trắc chất lượng nước mưa
1. Lấy mẫu và đo tại hiện trường
a) Lấy mẫu nước mưa tại hiện trường: TCVN 5997:1995 về hướng dẫn lấy mẫu nước mưa;
b) Đo các thông số trong nước mưa tại hiện trường: lựa chọn phương pháp quy định tại quy chuẩn kỹ thuật quốc gia hiện hành tương ứng hoặc trong Bảng 17 dưới đây:
Bảng 17. Các phương pháp đo nước mưa tại hiện trường
|
STT |
Thông số |
Số hiệu phương pháp |
|
1 |
Nhiệt độ |
SMEWW 2550.B:2017 |
|
2 |
pH |
SMEWW 4500 H+.B:2017 |
|
3 |
EC |
SMEWW 2510.B:2017 |
|
4 |
TDS |
Sử dụng thiết bị quan trắc hiện trường |
|
5 |
Các thông số khí tượng |
c) Bảo quản và vận chuyển mẫu: mẫu nước mưa sau khi lấy được bảo quản và lưu giữ theo TCVN 6663-3:2016.
2. Phân tích trong phòng thí nghiệm
a) Việc phân tích các thông số trong nước mưa trong phòng thí nghiệm: lựa chọn phương pháp quy định tại quy chuẩn kỹ thuật quốc gia hiện hành tương ứng hoặc trong Bảng 18 dưới đây:
Bảng 18. Các phương pháp phân tích nước mưa trong phòng thí nghiệm
|
STT |
Thông số |
Số hiệu phương pháp |
|
1 |
Cl- |
SMEWW 4110B:2017; SMEWW 4110C:2017; SMEWW 4500.Cl-:2017; US EPA Method 300.0 |
|
2 |
F- |
SMEWW 4500-F-.B&C:2017; SMEWW 4110B:2017; SMEWW 4110C:2017; US EPA Method 300.0 |
|
3 |
NO2- |
SMEWW 4500-NO2-.B:2017; SMEWW 4110B:2017; SMEWW 4110C:2017; US EPA Method 300.0 |
|
4 |
NO3- |
SMEWW 4110B:2017; SMEWW 4110C:2017; US EPA Method 300.0 |
|
5 |
PO43- |
SMEWW 4110B:2017; SMEWW 4110C:2017; US EPA Method 300.0 |
|
6 |
SO42- |
SMEWW 4110B:2017; SMEWW 4110C:2017; US EPA Method 300.0 |
|
7 |
NH4+ |
|
|
8 |
Na+ |
TCVN 6196-3:1996; SMEWW 3111B:2017; SMEWW 3120B:2017; US EPA Method 200.7 |
|
9 |
K+ |
TCVN 6196-3:1996; SMEWW 3111B:2017; SMEWW 3120B:2017; US EPA Method 200.7 |
|
10 |
Ca2+ |
SMEWW 3111B:2017; SMEWW 3120B:2017; US EPA Method 200.7 |
|
11 |
Mg 2+ |
SMEWW 3111B:2017; SMEWW 3120B:2017; US EPA Method 200.7 |
Phụ lục 2.6. Phương pháp quan trắc chất lượng đất
1. Lấy mẫu tại hiện trường: lựa chọn phương pháp quy định tại quy chuẩn kỹ thuật quốc gia hiện hành hoặc trong bảng Bảng 19 dưới đây:
Bảng 19. Phương pháp lấy mẫu đất tại hiện trường
|
STT |
Tên phương pháp |
Số hiệu phương pháp |
|
1 |
Chất lượng đất - Phương pháp đơn giản để mô tả đất |
|
|
2 |
Lấy mẫu đất |
2. Phân tích trong phòng thí nghiệm: lựa chọn phương pháp quy định tại quy chuẩn kỹ thuật quốc gia hiện hành hoặc trong Bảng 20 dưới đây:
Bảng 20. Phương pháp phân tích trong phòng thí nghiệm
|
STT |
Thông số |
Số hiệu phương pháp |
|
1 |
Độ ẩm |
|
|
2 |
Thành phần cấp hạt |
|
|
3 |
pH |
|
|
4 |
EC |
|
|
5 |
Cl- |
US EPA Method 300.0 |
|
6 |
SO42- |
US EPA Method 300.0 |
|
7 |
PO43- |
US EPA Method 300.0 |
|
8 |
NO3- |
US EPA Method 300.0 |
|
9 |
NH4+ |
|
|
10 |
Tổng N |
|
|
11 |
Tổng P |
|
|
12 |
Tổng K |
|
|
13 |
Cacbon hữu cơ |
|
|
14 |
As |
US EPA Method 200.7; US EPA Method 200.8; US EPA Method 7010; US EPA Method 7062; US EPA Method 6020B; US EPA Method 3050B |
|
15 |
Cd |
US EPA Method 200.7; US EPA Method 200.8; US EPA Method 7000B; US EPA Method 7010; US EPA Method 6020B |
|
16 |
Pb |
US EPA Method 200.7; US EPA Method 200.8; US EPA Method 7000B; US EPA Method 7010; US EPA Method 6020B |
|
17 |
Zn |
US EPA Method 200.7; US EPA Method 200.8; US EPA Method 7000B; US EPA Method 7010; US EPA Method 6020B |
|
18 |
Hg |
US EPA Method 200.8; US EPA Method 7471B; US EPA Method 200.7; US EPA Method 3051A; US EPA Method 6020B |
|
19 |
Tổng crôm (Cr) |
US EPA Method 200.7; US EPA Method 200.8; US EPA Method 7000B; US EPA Method 7010; US EPA Method 6020B |
|
20 |
Cu |
US EPA Method 200.7; US EPA Method 200.8; US EPA Method 7000B; US EPA Method 7010; US EPA Method 6020B |
|
21 |
Hóa chất bảo vệ thực vật clo hữu cơ |
US EPA Method 8081B; US EPA Method 8270D |
|
22 |
Hóa chất bảo vệ thực vật phot pho hữu cơ |
US EPA Method 8141B; US EPA Method 8270D |
|
23 |
Polyclobiphenyl (PCB) |
US EPA Method 1668B; US EPA Method 8082A; US EPA Method 8270D |
|
24 |
Dioxin/Furan (PCDD/PCDF) |
US EPA Method 1613B |
|
25 |
Các hợp chất polyclobiphenyl tương tự dioxin (dl-PCB) |
US EPA Method 1668B; EPA Method 8082 |
|
26 |
Decabromodiphenyl ete (DBDE) |
US EPA Method 1614A |
|
27 |
Hexabromobiphenyl (HBB) |
US EPA Method 8270D |
|
28 |
Hexabromodiphenyl ete và Heptabromodiphenyl ete (HBDE) |
US EPA Method 1614A |
|
29 |
Hexachlorobutadiene (HCBD) |
US EPA Method 524.4; US EPA Method 8270D |
|
30 |
Pentachlorobenzene (PeCB) |
US EPA Method 8270D |
|
31 |
Pentachlorophenol (PCP), muối của chúng và các este |
US EPA Method 1653A; US EPA Method 1625 |
|
32 |
Perfluorooctane sulfonic acid (PFOS), muối của chúng và Perfluorooctane sulfonyl fluoride (PFOSF) |
US EPA Method 533; US EPA Method 537.1 |
|
33 |
Polychlorinated naphthalene (PCN) |
US EPA Method 8270D |
|
34 |
Các paraffin mạch ngắn chứa clo (SCCP) |
Áp dụng theo phương pháp tiêu chuẩn quốc gia và quốc tế |
|
35 |
Tetrabromodiphenyl ete và Pentabromodiphenyl ete (POP-BDE) |
US EPA Method 1614A |
|
36 |
Hexabromocyclododecane (HBCDD) |
Áp dụng theo phương pháp tiêu chuẩn quốc gia và quốc tế |
|
37 |
Perfluorooctanoic acid (PFOA), các muối của chúng và các hợp chất liên quan đến PFOA |
EPA 533; ePa 537.1; DIN 38407-42:2010; CEN/TS 15968 :2010; ISO 25101:2009 |
Phụ lục 2.7. Phương pháp quan trắc chất lượng trầm tích
1. Lấy mẫu tại hiện trường: lựa chọn phương pháp quy định tại quy chuẩn kỹ thuật quốc gia hiện hành tương ứng hoặc trong Bảng 21 dưới đây:
Bảng 21. Các phương pháp lấy mẫu trầm tích
|
STT |
Tên phương pháp |
Số hiệu phương pháp |
|
1 |
Lấy mẫu trầm tích |
ISO 5667-Part 12 |
2. Phân tích trong phòng thí nghiệm: lựa chọn phương pháp quy định tại quy chuẩn kỹ thuật quốc gia hiện hành tương ứng hoặc trong Bảng 22 dưới đây:
Bảng 22. Các phương pháp phân tích trong phòng thí nghiệm
|
STT |
Thông số |
Số hiệu phương pháp |
|
1 |
As |
US EPA Method 200.7; US EPA Method 200.8; US EPA Method 7010; US EPA Method 7062; US EPA Method 6020B |
|
2 |
Cd |
US EPA Method 200.7; US EPA Method 200.8; US EPA Method 7000B; US EPA Method 7010; US EPA Method 6020B |
|
3 |
Pb |
US EPA Method 200.7; US EPA Method 200.8; US EPA Method 7000B; US EPA Method 7010; US EPA Method 6020B |
|
4 |
Zn |
US EPA Method 200.7; US EPA Method 200.8; US EPA Method 7000B; US EPA Method 7010; US EPA Method 6020B |
|
5 |
Hg |
US EPA Method 200.8; US EPA Method 7471B; US EPA Method 200.7; US EPA Method 3051A; US EPA Method 6020B |
|
6 |
Tổng crôm (Cr) |
US EPA Method 200.7; US EPA Method 200.8; US EPA Method 7000B; US EPA Method 7010; US EPA Method 6020B |
|
7 |
Cu |
US EPA Method 200.7; US EPA Method 200.8; US EPA Method 7000B; US EPA Method 7010; US EPA Method 6020B |
|
8 |
Fe |
US EPA Method 200.7; US EPA Method 7000B; US EPA Method 7010; US EPA Method 6020B |
|
9 |
Phenol |
ISO 17182:2014; US EPA Method 8041A |
|
10 |
Xyanua |
ISO 17380:2013; US EPA Method 9014; US EPA Method 1312 |
|
11 |
Hóa chất bảo vệ thực vật clo hữu cơ |
US EPA Method 8081B; US EPA Method 8270D |
|
12 |
Hóa chất bảo vệ thực vật photpho hữu cơ |
US EPA Method 8141B; US EPA Method 8270D |
|
13 |
Polyclobiphenyl (PCB) |
US EPA Method 1668B; US EPA Method 8270D; US EPA Method 8082A |
|
14 |
Dioxin/furan (PCDD/PCDF) |
US EPA Method 1613B; |
|
15 |
Các hợp chất polyclobiphenyl tương tự dioxin (dl-PCB) |
US EPA Method 1668B; US EPA Method 8082 |
|
16 |
Các hợp chất hydrocacbon thơm đa vòng (PAHs) |
US EPA Method 8100; US EPA Method 8270D |
|
17 |
Decabromodiphenyl ete (DBDE) |
US EPA Method 1614A |
|
18 |
Hexabromobiphenyl (HBB) |
US EPA Method 8270D |
|
19 |
Hexabromodiphenyl ete và heptabromodiphenyl ete (HBDE) |
US EPA Method 1614A |
|
20 |
Hexachlorobutadiene (HCBD) |
US EPA Method 524.4; US EPA Method 8270D |
|
21 |
Pentachlorobenzene (PeCB) |
US EPA Method 8270D |
|
22 |
Pentachlorophenol (PCP), muối của chúng và các este |
US EPA Method 1653A; US EPA Method 1625 |
|
23 |
Perfluorooctane sulfonic acid (PFOS), muối của chúng và Perfluorooctane sulfonyl fluoride (PFOSF) |
US EPA Method 533; US EPA Method 537.1 |
|
24 |
Polychlorinated naphthalenes (PCN) |
US EPA Method 8270D |
|
25 |
Các paraffin mạch ngắn chứa clo (SCCP) |
Áp dụng theo phương pháp tiêu chuẩn quốc gia và quốc tế |
|
26 |
Tetrabromodiphenyl ete và Pentabromodiphenyl ete (POP-BDE) |
US EPA Method 1614A |
|
27 |
Hexabromocyclododecane (HBCD) |
Áp dụng theo phương pháp tiêu chuẩn quốc gia và quốc tế |
|
28 |
Perfluorooctanoic acid (PFOA), các muối của chúng và các hợp chất liên quan đến PFOA |
US EPA Method 533; US EPA Method 537.1; DIN 38407-42:2010; CEN/TS 15968 :2010; ISO 25101:2009 |
Phụ lục 3
DANH SÁCH VÀ PHƯƠNG PHÁP QUAN TRẮC CÁC CHẤT POP TRONG NGUYÊN LIỆU, NHIÊN LIỆU, VẬT LIỆU, SẢN PHẨM, HÀNG HÓA, THIẾT BỊ
(Ban hành kèm theo Thông tư số 10/2021/TT-BTNMT ngày 30 tháng 6 năm 2021 của Bộ trưởng Bộ Tài nguyên và Môi trường)
Phụ lục 3.1. Danh sách các chất POP, lĩnh vực sử dụng, phát sinh các chất POP theo quy định của Công ước Stockholm và nguyên liệu, nhiên liệu, vật liệu, sản phẩm, hàng hóa, thiết bị có chứa POP
|
STT |
Tên chất POP |
Phụ lục Công ước Stockholm |
Lĩnh vực sử dụng các chất POP |
Nguyên liệu, nhiên liệu, vật liệu, sản phẩm, hàng hóa, thiết bị có chứa POP |
|
Các chất POP ban đầu |
||||
|
1 |
Aldrin |
A |
Trong lĩnh vực y tế và nông nghiệp (hóa chất, chế phẩm diệt côn trùng, diệt khuẩn, thuốc bảo vệ thực vật) |
- Hóa chất, chế phẩm diệt côn trùng, diệt khuẩn; - Thuốc bảo vệ thực vật. |
|
2 |
Chlordane |
A |
- Hóa chất, chế phẩm diệt côn trùng, diệt khuẩn; - Thuốc bảo vệ thực vật. |
|
|
3 |
Dieldrin |
A |
- Hóa chất, chế phẩm diệt côn trùng, diệt khuẩn; - Thuốc bảo vệ thực vật. |
|
|
4 |
Endrin |
A |
- Thuốc bảo vệ thực vật. |
|
|
5 |
Heptachlor |
A |
- Hóa chất, chế phẩm diệt côn trùng, diệt khuẩn; - Thuốc bảo vệ thực vật. |
|
|
6 |
Mirex |
A |
- Hóa chất, chế phẩm diệt côn trùng, diệt khuẩn. - Thuốc bảo vệ thực vật. |
|
|
7 |
Toxaphene |
A |
- Hóa chất, chế phẩm diệt côn trùng, diệt khuẩn; - Thuốc bảo vệ thực vật. |
|
|
8 |
1,1,1-trichloro-2,2-bis (4- chlorophenyl) ethane (DDT) |
B |
- Hóa chất, chế phẩm diệt côn trùng, diệt khuẩn; - Thuốc bảo vệ thực vật. |
|
|
9 |
Hexachlorobenzene (HCB) |
A, C |
- Trong lĩnh vực y tế và nông nghiệp (thuốc trừ sâu, hóa chất, chế phẩm diệt côn trùng, diệt nấm...); - Trong lĩnh vực công nghiệp (là chất U-POP phát sinh từ hoạt động đốt chất thải, đốt nhiên liệu, luyện kim, xi măng...). |
- Thuốc diệt nấm trên các loại ngũ cốc, đặc biệt là lúa mì; - Thuốc trừ sâu, hóa chất, chế phẩm diệt côn trùng; - Thuốc nhuộm; - Chất bảo quản gỗ; - Vật liệu sản xuất điện cực. |
|
10 |
Polyclobiphenyl (PCB) |
A, C |
- Trong lĩnh vực công nghiệp (công nghiệp điện: Máy biến thế, dầu biến thế, tụ điện, thiết bị điện...); - Trong lĩnh vực công nghiệp (là chất U-POP phát sinh từ hoạt động đốt chất thải, đốt nhiên liệu, luyện kim, xi măng...). |
- Máy biến thế, dầu biến thế; - Tụ điện, thiết bị điện. |
|
11 |
Polychlorinated dibenzo- p-dioxin (PCDD) |
C |
Trong lĩnh vực công nghiệp (là chất U- POP phát sinh từ các hoạt động đốt chất thải, đốt nhiên liệu, luyện kim, xi măng...) |
|
|
12 |
Polychlorinated dibenzofuran (PCDF) |
C |
|
|
|
Các chất POP mới bổ sung |
||||
|
13 |
Chlordecone |
A |
Trong lĩnh vực y tế và nông nghiệp (thuốc bảo vệ thực vật, hóa chất, chế phẩm diệt côn trùng, diệt khuẩn...) |
- Thuốc bảo vệ thực vật. |
|
14 |
Alpha hexachlorocyclohexane |
A |
- Hóa chất, chế phẩm diệt côn trùng, diệt khuẩn; - Thuốc bảo vệ thực vật. |
|
|
15 |
Beta hexachlorocyclohexane |
A |
- Hóa chất, chế phẩm diệt côn trùng, diệt khuẩn; - Thuốc bảo vệ thực vật. |
|
|
16 |
Lindane |
A |
- Hóa chất, chế phẩm diệt côn trùng, diệt khuẩn; - Thuốc bảo vệ thực vật; - Chất bảo quản gỗ. |
|
|
17 |
Hexabromobiphenyl (HBB) |
A |
Trong lĩnh vực công nghiệp (sử dụng làm chất chống cháy trong các ngành nhựa, thiết bị điện tử, ngành sơn, bọt polyurethane trong phương tiện giao thông) |
- Chất dẻo chịu nhiệt ABS (Acrylonitrin Butadien Styren) sử dụng trong ngành công nghiệp xây dựng và công nghiệp sản xuất máy móc; - Các thiết bị điện (các bộ phận của tivi hoặc radio); - Làm chất chống cháy ở các lớp phủ và lớp sơn, ở trong bọt polyurethane trong đồ đệm của phương tiện giao thông. |
|
18 |
Hexabromodiphenyl ether và Heptabromodiphenyl ether (HBDE) |
A |
Trong lĩnh vực công nghiệp (sử dụng trong thiết bị điện và điện tử, phương tiện giao thông) |
- Chất làm chậm quá trình cháy; - Vật liệu sản xuất polymer, đặc biệt là ABS (Acrylonitrin Butadien Styren). |
|
19 |
Tetrabromodiphenyl ether và Pentabromodiphenyl ether (POP-BDE) |
A |
Trong lĩnh vực công nghiệp (sử dụng trong các sản phẩm nội thất, dệt may, vật liệu cách nhiệt) |
- Máy vi tính; - Thiết bị điện gia dụng, văn phòng; - Da, lớp chất dẻo và các linh kiện điện tử được sử dụng trong phương tiện giao thông; - Khuôn và bản xốp cho các bộ phận ô tô, ghế ngồi và bảng điều khiển; - Lớp bọc đệm, lớp phủ của đồ nội thất, các hợp phần tạo bọt trong chất dẻo; - Vật liệu lót đệm, đệm, quần áo bảo hộ, thảm, rèm cửa, vải bọc, lều...; - Vật liệu xây dựng: Bộ lọc bọt, các tấm cách điện, tấm chống bọt, tấm lót chất dẻo, nhựa, xốp cách nhiệt cho đường ống, xốp cứng; - Bọt polyurethane trong các vật liệu đóng gói bao bì. |
|
20 |
Pentachlorobenzene (PeCB) |
A, C |
- Trong lĩnh vực nông nghiệp (thuốc bảo vệ thực vật); - Trong lĩnh vực công nghiệp (sử dụng như là một chất chống cháy, chất trung gian hóa học); - Trong lĩnh vực công nghiệp (là chất U-POP phát sinh từ các hoạt động đốt chất thải rắn, đốt sinh khối và đốt than). |
- Thuốc trừ sâu và thuốc diệt nấm; - Dầu truyền nhiệt; - Chất làm chậm quá trình cháy. |
|
21 |
Perfluorooctane sulfonic acid (PFOS), muối của chúng và Perfluorooctane sulfonyl fluoride (PFOSF) |
B |
- Trong lĩnh vực y tế (thuốc diệt côn trùng); - Trong lĩnh vực công nghiệp: + Sử dụng trong lĩnh vực công nghiệp hóa chất như: Sản xuất hóa chất phụ gia có chứa PFOS, bọt chữa cháy, dầu thủy lực trong ngành hàng không; + Sử dụng trong lĩnh vực công nghiệp xi mạ; sản xuất giấy tráng; dệt may; sản xuất da và thảm; cao su và nhựa; sản xuất sơn; sản xuất mực in; sản xuất đồ gia dụng; điện tử; bán dẫn; nhiếp ảnh. |
- Thuốc diệt côn trùng nhằm kiểm soát mối và kiến lửa đỏ; - Bả côn trùng nhằm kiểm soát kiến xén lá từ Atta spp. và Acromyrmex spp.; - Bọt cứu hỏa; - Chất lỏng thủy lực hàng không; - Mạng che quang trong chất bán dẫn và ngành công nghiệp màn hình tinh thể lỏng; - Hóa chất và sản phẩm kim loại mạ cứng, mạ trang trí; - Sản phẩm điện tử và linh kiện điện tử cho một số máy in màu và máy photo màu; - Thảm tổng hợp; - Đồ da và quần áo đặc dụng (chống cháy, cách nhiệt, cách nước...); - Vật liệu, giấy và bao bì có tính chống thấm; - Cao su và nhựa cách nhiệt; - Chất tạo ảnh; - Vật liệu bán dẫn có lớp phủ cản quang và lớp chống chói. |
|
22 |
Endosulfan kỹ thuật và các đồng phân |
A |
Trong lĩnh vực nông nghiệp (thuốc bảo vệ thực vật) |
- Thuốc bảo vệ thực vật. |
|
23 |
Hexabromocyclododecane (HBCDD) |
A |
- Trong lĩnh vực xây dựng (sử dụng như một chất phụ gia chống cháy trong bọt cách nhiệt cho các tòa nhà); - Trong lĩnh vực công nghiệp (sử dụng trong thiết bị điện và điện tử). |
- Bọt cách nhiệt (polystyrene bọt); - Thiết bị điện và điện tử. |
|
24 |
Pentachlorophenol (PCP), muối của chúng và các ester |
A |
- Trong lĩnh vực nông nghiệp (thuốc bảo vệ thực vật); - Trong lĩnh vực công nghiệp (sử dụng trong lĩnh vực bảo quản gỗ, da, giấy, hệ thống nước làm lạnh...). |
- Thuốc bảo vệ thực vật, thuốc trừ sâu, thuốc diệt nấm, diệt khuẩn; - Chất bảo quản gỗ; - Chất bảo quản cho các sản phẩm dệt may và các sản phẩm da. |
|
25 |
Polychlorinated naphthalene (PCN) |
A, C |
- Trong lĩnh vực công nghiệp (sử dụng làm chất bảo quản gỗ, làm phụ gia cho nhựa, cao su, điện môi, tụ điện và dầu bôi trơn cho động cơ, làm chất cách điện cho dây dẫn điện); - Trong lĩnh vực công nghiệp (là chất U-POP phát sinh từ ngành công nghiệp kim loại màu thứ cấp, xi măng và sản xuất magie, luyện nhôm và luyện cốc). |
- Chất bảo quản gỗ; - Phụ gia dầu động cơ; - Hóa chất phủ mạ điện; - Nguyên liệu sản xuất thuốc nhuộm; - Phụ gia trong thuốc nhuộm; - Dầu tụ điện. |
|
26 |
Hexachlorobutadiene (HCBD) |
A, C |
- Trong lĩnh vực công nghiệp (sử dụng như chất phân hủy phụ trong quá trình làm dung môi cho các hóa chất chứa clo khác); - Trong lĩnh vực công nghiệp (là chất U-POP phát sinh trong quá trình sử dụng hóa chất). |
Dung môi trong ngành cao su, polymer. |
|
27 |
Decabromodiphenyl ether (DBDE) |
A |
- Trong lĩnh vực công nghiệp: + Sử dụng như một chất phụ gia chống cháy: nhựa, polyme, vật liệu tổng hợp, hàng dệt may, chất kết dính, chất phủ; + Vật liệu dẻo trong vỏ máy tính, ti vi, dây và cáp, đường ống |
- Phụ gia chất chống cháy: nhựa, polyme, vật liệu tổng hợp, chất kết dính, chất phủ. - Phụ gia trong nhựa gia dụng, thiết bị điện (vỏ của máy tính ti vi, dây và cáp điện, đường ống và thảm) và thiết bị gia dụng (sưởi ấm, bàn là, quạt, lò xo đun nước nóng); - Bọt Polyurethane cách nhiệt trong xây dựng. |
|
28 |
Các paraffin mạch ngắn chứa clo (SCCP) |
A |
Trong lĩnh vực công nghiệp (sử dụng trong cao su, da, sơn, phụ gia bôi trơn, gia công kim loại, chất dẻo thứ cấp...) |
- Chất làm chậm cháy trong cao su, mực, sơn, keo dính và chất phủ bề mặt. - Chế phẩm chứa dầu trong sản xuất da. - Phụ gia trong dầu bôi trơn hoặc chất làm lạnh trong cắt kim loại hoặc tạo hình kim loại. |
|
29 |
Dicofol |
A |
Trong lĩnh vực nông nghiệp (thuốc bảo vệ thực vật) |
Thuốc bảo vệ thực vật. |
|
30 |
Perfluorooctanoic acid (PFOA), các muối của chúng và các hợp chất liên quan đến PFOA |
A |
Trong lĩnh vực công nghiệp (sử dụng trong bọt chữa cháy, dệt may, nhiếp ảnh, sản xuất dây cáp điện cao thế) |
- Bọt chữa cháy; - Chất chống cháy, chống dầu, mỡ, chống ố và chống nước trong sản phẩm dệt may, nhiếp ảnh, sản xuất dây cáp điện cao thế. |
* Ghi chú:
- Phụ lục A Công ước Stockholm: Các chất POP phải loại trừ trong sản xuất và sử dụng;
- Phụ lục B Công ước Stockholm: Các chất POP phải hạn chế sản xuất và sử dụng;
- Phụ lục C Công ước Stockholm: Các chất POP phát sinh không chủ định (gọi là U-POP).
Phụ lục 3.2. Phương pháp quan trắc các chất POP trong nguyên liệu, nhiên liệu, vật liệu, sản phẩm, hàng hóa, thiết bị
1. Lấy mẫu tại hiện trường: lựa chọn phương pháp quy định tại quy chuẩn kỹ thuật, tiêu chuẩn quốc gia và quốc tế hiện hành tương ứng hoặc trong Bảng 23 dưới đây:
Bảng 23. Phương pháp lấy mẫu các chất POP (*)
|
STT |
Tên sản phẩm |
Phương pháp lấy mẫu |
|
1 |
Sản phẩm dệt may, sợi... |
|
|
1.1 |
Vật liệu dệt, xơ dệt - phương pháp lấy mẫu |
Áp dụng các phương pháp theo tiêu chuẩn quốc gia và quốc tế phù hợp |
|
1.2 |
Vải dệt kim - phương pháp lấy mẫu |
|
|
1.3 |
Sản phẩm may mặc - phương pháp lấy mẫu |
|
|
2 |
Sản phẩm hóa chất |
|
|
2.1 |
Sản phẩm hóa học - lấy mẫu và chuẩn bị mẫu |
|
|
2.2 |
Sản phẩm hóa học sử dụng trong công nghiệp - kỹ thuật lấy mẫu - sản phẩm hóa học rắn ở dạng hạt từ bột đến tảng thô |
(ISO 8213:1986) |
|
3 |
Sản phẩm thiết bị điện |
IEC 62321-2:2016 |
|
4 |
Cao su thiên nhiên và cao su tổng hợp - lấy mẫu và chuẩn bị mẫu |
|
|
5 |
Thép và gang - lấy mẫu và chuẩn bị mẫu thử để xác định thành phần hóa học |
(ISO 14284:1996) |
|
6 |
Ngành thực phẩm |
|
|
6.1 |
Thực phẩm - hướng dẫn chung về lấy mẫu |
|
|
6.2 |
Sản phẩm nông sản thực phẩm - thiết kế phương pháp chuẩn để lấy mẫu từ lô hàng |
(*) Áp dụng các phương pháp lấy mẫu theo tiêu chuẩn quốc gia và quốc tế phù hợp.
2. Phân tích trong phòng thí nghiệm: lựa chọn phương pháp quy định tại quy chuẩn kỹ thuật, tiêu chuẩn quốc gia và quốc tế hiện hành tương ứng hoặc trong bảng dưới đây:
Bảng 24. Phương pháp phân tích các chất POP trong phòng
thí nghiệm (*)
|
STT |
Tên chất |
Phụ lục Công ước Stockholm |
Phương pháp phân tích |
|
1 |
Aldrin |
A |
US EPA Method 8270E; US EPA Method 8081B |
|
2 |
Chlordane |
A |
US EPA Method 8270E; US EPA Method 8081B |
|
3 |
Dieldrin |
A |
US EPA Method 8270E; US EPA Method 8081B |
|
4 |
Endrin |
A |
US EPA Method 8270E; US EPA Method 8081B |
|
5 |
Heptachlor |
A |
US EPA Method 8270E; US EPA Method 8081B |
|
6 |
Mirex |
A |
US EPA Method 8270E; US EPA Method 8081B |
|
7 |
Toxaphene |
A |
US EPA Method 8270E; US EPA Method 8081B |
|
8 |
1,1,1-trichloro-2,2-bis (4- chlorophenyl) ethane (DDT) |
B |
US EPA Method 8270E; US EPA Method 8081B |
|
9 |
Hexachlorobenzene (HCB) |
A, C |
US EPA Method 8270E; US EPA Method 8081B |
|
10 |
Polyclobiphenyl (PCB) |
A, C |
US EPA Method 1668C; CEN Method EN-1948-4 WHO PCB; CEN Method EN-1948-4 Marker PCB; JIS Method K0311 và K0312; US EPA Method 8270E; US EPA Method 8081B |
|
11 |
Polychlorinated dibenzo-p-dioxin (PCDD) |
C |
US EPA Method 1613B; US EPA Method 8290; JIS Method K0311 và K0312; European Air Method EN- 1948 |
|
12 |
Polychlorinated dibenzofurans (PCDF) |
C |
US EPA Method 1613B; US EPA Method 8290; JIS Method K0311 và K0312; European Air Method EN- 1948 |
|
13 |
Chlordecone |
A |
US EPA Method 8270E; US EPA Method 8081B |
|
14 |
Alpha hexachlorocyclohexane |
A |
US EPA Method 8270E; US EPA Method 8081B |
|
15 |
Beta hexachlorocyclohexane |
A |
US EPA Method 8270E; |
|
|
|
|
US EPA Method 8081B |
|
16 |
Lindane |
A |
US EPA Method 8270E; US EPA Method 8081B |
|
17 |
Hexabromobiphenyl (HBB) |
A |
US EPA Method 8270E |
|
18 |
Hexabromodiphenyl ether và Heptabromodiphenyl ether (hBde) |
A |
US EPA Method 1614A |
|
19 |
Tetrabromodiphenyl ether và Pentabromodiphenyl ether (POP- BDE) |
A |
US EPA Method 1614A |
|
20 |
Pentachlorobenzene (PeCB) |
A, C |
US EPA Method 8270E |
|
21 |
Perfluorooctane sulfonic acid (PFOS), muối của chúng và Perfluorooctane sulfonyl fluoride (PFOSF) |
B |
US EPA Method 533; US EPA Method 537.1; DIN 38407-42:2010; CEN/TS 15968:2010; ISO 25101:2009 |
|
22 |
Endosulfan kỹ thuật và các đồng phân |
A |
US EPA Method 8270E; US EPA Method 8081B |
|
23 |
Hexabromocyclododecane (HBCDD) |
A |
Áp dụng các phương pháp theo tiêu chuẩn quốc gia và quốc tế phù hợp |
|
24 |
Pentachlorophenol (PCP), muối của chúng và các ester |
A |
Us EPA Method 1653A; US EPA Method 1624/1625 |
|
25 |
Polychlorinated naphthalene (PCN) |
A, C |
US EPA Method 8270E |
|
26 |
Hexachlorobutadiene (HCBD) |
A, C |
US EPA Method 524.4; US EPA Method 8270E |
|
27 |
Decabromodiphenyl ether (DBDE) |
A |
US EPA Method 1614A |
|
28 |
Các paraffin mạch ngắn chứa clo (SCCP) |
A |
Áp dụng các phương pháp theo tiêu chuẩn quốc gia và quốc tế phù hợp |
|
29 |
Dicofol |
A |
Us EPA Method 8270E |
|
30 |
Perfluorooctanoic acid (PFOA), các muối của chúng và các hợp chất liên quan đến PFOA |
A |
CEN/TS 15968:2010 |
(*) Áp dụng các phương pháp phân tích theo tiêu chuẩn quốc gia và quốc tế phù hợp.
Phụ lục 4
THÔNG SỐ VÀ PHƯƠNG PHÁP QUAN TRẮC ĐỐI VỚI NƯỚC THẢI, KHÍ THẢI VÀ BÙN THẢI
(Ban hành kèm theo Thông tư số 10/2021/TT-BTNMT ngày 30 tháng 6 năm 2021 của Bộ trưởng Bộ Tài nguyên và Môi trường)
Phụ lục 4.1. Phương pháp quan trắc nước thải
1. Lấy mẫu và đo tại hiện trường
a) Lấy và bảo quản, vận chuyển mẫu nước thải: lựa chọn phương pháp quy định tại quy chuẩn kỹ thuật quốc gia hiện hành tương ứng hoặc trong Bảng 25 dưới đây:
Bảng 25. Lấy và bảo quản, vận chuyển mẫu nước thải
|
TT |
Loại mẫu |
Số hiệu phương pháp sử dụng |
|
1 |
Mẫu nước thải |
|
|
2 |
Mẫu vi sinh |
b) Đo các thông số tại hiện trường: lựa chọn phương pháp quy định tại quy chuẩn kỹ thuật quốc gia hiện hành tương ứng hoặc trong Bảng 26 dưới đây:
Bảng 26. Các phương pháp đo các thông số trong nước thải tại hiện trường
|
STT |
Thông số |
Số hiệu phương pháp |
|
1 |
Nhiệt độ |
SMEWW 2550B:2017 |
|
2 |
pH |
SMEWW 4500 H+.B:2017 |
|
3 |
TDS |
Sử dụng thiết bị đo trực tiếp |
|
4 |
Vận tốc |
ISO 4064-5:2014 |
|
5 |
Lưu lượng |
Lưu lượng nước thải phải đo trong một ca sản xuất và chia làm nhiều lần đo, mỗi lần đo cách nhau tối đa là 1 giờ. Tổng thể tích nước thải và lưu lượng trung bình trong thời gian đo được tính như sau: V = Σ Qi .Δ ti QTB = V/ ΣΔti Trong đó: V - Tổng thể tích nước thải, m3; Qi - Lưu lượng tức thời tại thời điểm ti; A ti - Khoảng thời gian giữa 2 lần đo lưu lượng tức thời, giờ; QTB - Lưu lượng trung bình, m3/h. |
|
6 |
Clo dư |
SMEWW 4500-Cl:2017 |
|
7 |
Độ màu |
Sử dụng thiết bị đo trực tiếp |
2. Phân tích trong phòng thí nghiệm: lựa chọn phương pháp quy định tại quy chuẩn kỹ thuật quốc gia hiện hành hoặc trong Bảng 27 dưới đây:
Bảng 27. Các phương pháp phân tích các thông số trong nước thải trong phòng thí nghiệm
|
STT |
Thông số |
Số hiệu phương pháp |
|
1 |
pH |
SMEWW 4500 H+.B:2017 |
|
2 |
Độ màu |
TCVN 6185C:2015 (phương pháp C); ASTM D1209-05; SMEWW 2120C:2017 |
|
3 |
BOD5 |
SMEWW 5210B:2017 |
|
4 |
COD |
SMEWW 5220B:2017; SMEWW 5220C:2017; SMEWW 5220D:2017 |
|
5 |
TSS |
SMEWW 2540D:2017 |
|
6 |
NH4+ |
TCVN 5988-1995; TCVN 6179-1:1997; SMEWW 4500-NH3.B&D:2017; SMEWW 4500-NH3.B&F:2017; SMEWW 4500-NH3.B&H:2017; USEPA Method 350.2 |
|
7 |
Tổng N |
TCVN 6624:1-2000; TCVN 6624:2-2000; |
|
8 |
Tổng P |
SMEWW 4500-P.B&D:2017; SMEWW 4500-P.B&E:2017 |
|
9 |
NO2- |
SMEWW 4500-NO2-.B:2017; SMEWW 4110B:2017; SMEWW 4110C:2017; US EPA Method 300.0; US EPA Method 354.1 |
|
10 |
NO3- |
SMEWW 4110B:2017; SMEWW 4110C:2017; SMEWW 4500-NO3-.D:2017; SMEWW 4500-NO3-.E:2017; US EPA Method 300.0; US EPA Method 352.1 |
|
11 |
PO43- |
SMEWW 4110B:2017; SMEWW 4110C:2017; SMEWW 4500-P.D:2017; SMEWW 4500-P.E:2017; US EPA Method 300.0 |
|
12 |
Clo dư |
TCVN 6225-1:2017; TCVN 6225-2:2017; SMEWW 4500-Cl:2017 |
|
13 |
Cl- |
SMEWW 4110B:2017; SMEWW 4110C:2017; SMEWW 4500.Cl-:2017; US EPA Method 300.0 |
|
14 |
As |
ISO 15586: 2003; SMEWW 3113B:2017; SMEWW 3114B:2017; SMEWW 3125B:2017; US EPA Method 200.8 |
|
15 |
Cd |
SMEWW 3111B:2017; SMEWW 3113B:2017; SMEWW 3125B:2017; US EPA Method 200.8 |
|
16 |
Pb |
ISO 15586: 2003; SMEWW 3113B-2017; SMEWW 3125B:2017; US EPA Method 200.8 |
|
17 |
Cr (VI) |
SMEWW 3500-Cr.B:2017; US EPA Method 7198 |
|
18 |
Cr (III) |
SMEWW 3500-Cr.B:2017 |
|
19 |
Tổng crôm (Cr) |
ISO 15586:2003; SMEWW 3111B.2017; SMEWW 3113B:2017; SMEWW 3120B:2017; SMEWW 3125B:2017; US EPA Method 200.7; US EPA Method 200.8; US EPA Method 218.1 |
|
20 |
Cu |
ISO 15586:2003; SMEWW 3111B.2017; SMEWW 3113B:2017; SMEWW 3120B:2017; SMEWW 3125B:2017; US EPA Method 200.7; US EPA Method 200.8 |
|
21 |
F- |
SMEWW 4500-F-.B&C:2017; SMEWW 4500-F-.B&D:2017; SMEWW 4110B:2017; SMEWW 4110C:2017; US EPA Method 300.0 |
|
22 |
Zn |
ISO 15586:2003; SMEWW 3111B.2017; SMEWW 3113B:2017; SMEWW 3120B:2017; SMEWW 3125B:2017; US EPA Method 200.7; US EPA Method 200.8 |
|
23 |
Mn |
ISO 15586:2003; SMEWW 3111B.2017; SMEWW 3113B:2017; |
|
|
|
SMEWW 3120B:2017; SMEWW 3125B:2017; US EPA Method 200.7; US EPA Method 200.8 |
|
24 |
Ni |
ISO 15586:2003; SMEWW 3111B:2017; SMEWW 3113B:2017; SMEWW 3120B:2017; SMEWW 3125B:2017; US EPA Method 200.7; US EPA Method 200.8 |
|
25 |
Tổng Phenol |
ISO 14402:1999; SMEWW 5530C.2017 |
|
26 |
Fe |
ISO 15586:2003; SMEWW 3500-Fe.B.2017; SMEWW 3111B:2017; SMEWW 3113B:2017; SMEWW 3120:2017; US EPA Method 200.7 |
|
27 |
S2- |
SMEWW 4500 S2-.B&D:2017 |
|
28 |
CN- |
ISO 14403-2:2017; SMEWW 4500-CN-C&E:2017 |
|
29 |
Sn |
ISO 15586:2003; SMEWW 3111B.2017; SMEWW 3113B:2017; SMEWW 3120B:2017; SMEWW 3125B: 2017; US EPA Method 200.7; US EPA Method 200.8 |
|
30 |
Hg |
SMEWW 3112B:2017; US EPA Method 7470A |
|
31 |
Hóa chất bảo vệ thực vật photpho hữu cơ |
US EPA Method 8141B; US EPA Method 8270D |
|
32 |
Hóa chất bảo vệ thực vật clo hữu cơ |
TCVN 9241:2017; SMEWW 6630B:2017; US EPA Method 8081A; US EPA Method 8270D |
|
33 |
Các hợp chất polyclobiphenyl (PCB) |
TCVN 9241:2017; SMEWW 6630C:2017; US EPA Method 1668B; US EPA Method 8082A; US EPA Method 8270D |
|
34 |
Dioxin/furan (PCDD/PCDF) |
US EPA Method 1613B |
|
35 |
Các hợp chất polyclobiphenyl tương tự dioxin (dl-PCB) |
US EPA Method 1668B |
|
36 |
Pentachlorobenzene (PeCB) |
US EPA Method 8270D |
|
37 |
Pentachlorophenol (PCP), muối của chúng và các este |
US EPA Method 1653A; US EPA Method 1625 |
|
38 |
Perfluorooctane sulfonic acid (PFOS), muối của chúng và perfluorooctane sulfonyl fluoride (PFOSF) |
US EPA Method 533; US EPA Method 537.1 |
|
39 |
Polychlorinated naphthalenes (PCN) |
US EPA Method 8270D |
|
40 |
Các paraffin mạch ngắn chứa clo (SCCP) |
Áp dụng các phương pháp tiêu chuẩn quốc gia và quốc tế |
|
41 |
Tetrabromodiphenyl ete và Pentabromodiphenyl ete (POP-BDE) |
US EPA Method 1614A |
|
42 |
Hexabromocyclododecane (HBCDD) |
Áp dụng các phương pháp tiêu chuẩn quốc gia và quốc tế |
|
43 |
Perfluorooctanoic acid (PFOA), các muối của chúng và các hợp chất liên quan đến PFOA |
EPA 533; EPA 537.1; DIN 38407-42:2010; CEN/TS 15968 :2010; ISO 25101:2009 |
|
44 |
Dầu, mỡ động thực vật |
MEWW 5520B&F:2017; SMEWW 5520D&F:2017; US EPA Method 1664 |
|
45 |
Tổng dầu, mỡ khoáng |
SMEWW 5520B&F:2017; SMEWW 5520C&F:2017; SMEWW 5520D&F:2017; US EPA Method 1664 |
|
46 |
Tổng hoạt độ phóng xạ a |
SMEWW 7110B:2017 |
|
47 |
Tổng hoạt độ phóng xạ p |
SMEWW 7110B:2017 |
|
48 |
Coliform |
SMEWW 9221B:2017 |
|
49 |
Salmonella |
SMEWW 9260B:2017 |
|
50 |
Shigella |
SMEWW 9260E:2017 |
|
51 |
Vibrio cholerae |
SMEWW 9260H:2017 |
|
52 |
Halogen hữu cơ dễ bị hấp thụ (AoX) |
|
|
53 |
Chất hoạt động bề mặt |
TCVN 6622-2-2000; TCVN 6336-1998; SMEWW 5540 B&C:2017 |
Phụ lục 4.2. Phương pháp quan trắc khí thải
1. Quan trắc tại hiện trường: lựa chọn phương pháp quy định tại quy chuẩn kỹ thuật quốc gia hiện hành hoặc trong Bảng 28 dưới đây:
Bảng 28. Phương pháp đo đạc và lấy mẫu tại hiện trường
|
TT |
Thông số |
Số hiệu phương pháp |
|
1 |
Xác định vị trí lấy mẫu |
US EPA Method 1; US EPA Method 1A (ống khói có đường kính nhỏ hơn 300 mm) |
|
2 |
Vận tốc và lưu lượng |
US EPA Method 2; ISO 10780; TCVN 120-29:2018; EPA Method 2A; EPA Method 2C; EPA Method 2D |
|
3 |
Khối lượng mol phân tử khí khô |
US EPA Method 3; |
|
4 |
Hàm ẩm |
US EPA Method 4; Sử dụng thiết bị đo trực tiếp |
|
5 |
O2 |
Sử dụng thiết bị đo trực tiếp |
|
6 |
Nhiệt độ |
Sử dụng thiết bị đo trực tiếp |
|
7 |
Áp suất |
Sử dụng thiết bị đo trực tiếp |
|
8 |
CO2 |
Sử dụng thiết bị đo trực tiếp (IR) |
|
9 |
Bụi (PM) |
US EPA Method 5; ISO 10155:1995; ISO 9096:2017; AS 4323.2:1995; US EPA Method 17; JIS Z 8808:2013 |
|
10 |
SO2 |
TCVN 12030:2018 US EPA Method 6; US EPA Method 8; US EPA Method 8A; TCVN 6750:2005; JIS K 0103:2011; Sử dụng thiết bị đo trực tiếp |
|
11 |
NOx |
US EPA Method 7; JIS K 0104:2011; Sử dụng thiết bị đo trực tiếp |
|
12 |
H2SO4 |
US EPA Method 8; US EPA Method 8A |
|
13 |
Độ khói |
US EPA Method 9 |
|
14 |
CO |
US EPA Method 10; Sử dụng thiết bị đo trực tiếp |
|
15 |
H2S |
US EPA Method 15; JIS K 0108:2010 |
|
16 |
NH3 |
JIS K 0099:2004 |
|
17 |
Cacbonyl sunfua (COS) |
US EPA Method 15 |
|
18 |
CS2 |
US EPA Method 15 |
|
19 |
Pb |
US EPA Method 12; US EPA Method 29; |
|
20 |
Tổng florua (F-) |
US EPA Method 13 A; US EPA Method 13B |
|
21 |
Hợp chất hữu cơ dễ bay hơi (VOCs) |
US EPA Method 0010; US EPA Method 18 ; PD CEN/TS 13649 |
|
22 |
Polyclobiphenyl (PCB) |
US EPA Method 23; US EPA Method 23A |
|
23 |
Dioxin/furan (PCDD/PCDF) |
US EPA Method 23; US EPA Method 23A; BS EN 1948-1:2006; JIS Methods K0311 and K0312; Air Method EN-1948 |
|
24 |
Các hợp chất polyclobiphenyl tương tự dioxin (dl-PCB) |
US EPA Method 23A; BS EN 1948-1:2006 |
|
25 |
Tổng các chất hữu cơ không bao gồm metan (TGNMO) |
US EPA Method 25 |
|
26 |
HBr |
US EPA Method 26; US EPA Method 26A |
|
27 |
Cl2 |
US EPA Method 26; US EPA Method 26A |
|
28 |
Br2 |
US EPA Method 26; US EPA Method 26A |
|
29 |
HF |
US EPA Method 26; US EPA Method 26A |
|
30 |
HCl |
US EPA Method 26; US EPA Method 26A; JIS K 0107:2012 |
|
31 |
Kim loại gồm Sb, As, Ba, Be, Cd, Cr, Co, Cu, Mn, Ni, Se, Ag, Tl và Zn, Pb |
US EPA Method 29; |
|
32 |
Hg |
US EPA Method 29; US EPA Method 101A |
|
33 |
Hơi thủy ngân |
US EPA Method 30B |
|
34 |
Bụi PM10 |
US EPA Method 201; US EPA Method 201A |
|
35 |
Hợp chất hidrocacbon đa vòng thơm (PAHs) |
US EPA Method 23A; US EPA Method 23; US EPA Method 0010 |
2. Phân tích mẫu khí thải trong phòng thí nghiệm: lựa chọn phương pháp quy định tại quy chuẩn kỹ thuật quốc gia hiện hành hoặc trong Bảng 29 dưới đây:
Bảng 29. Phương pháp phân tích khí thải
|
STT |
Thông số |
Số hiệu phương pháp |
|
1 |
Bụi (PM) |
US EPA Method 5; US EPA Method 17; ISO 10155; AS 4323.2:1995; JIS Z 8808:2013; ISO 9096:2017 |
|
2 |
SO2 |
US EPA Method 6; US EPA Method 8; US EPA Method 8A; JIS K 0103:2011 |
|
3 |
NOx |
US EPA Method 7; JIS K 0104:2011; EPA Method 7A; US EPA Method 7B; US EPA Method 7C; US EPA Method 7D |
|
4 |
H2SO4 |
US EPA Method 8 |
|
5 |
CO |
US EPA Method 10 |
|
6 |
H2S |
US EPA Method 15; JIS K 0108:2010 |
|
7 |
NH3 |
JIS K 0099:2004 |
|
8 |
Cacbonyl sunfua (COS), |
US EPA Method 15 |
|
9 |
CS2 |
US EPA Method 15 |
|
10 |
Pb |
US EPA Method 12; US EPA Method 29; |
|
11 |
Tổng florua (F-) |
US EPA Method 13 A; US EPA Method 13B |
|
12 |
Hợp chất hữu cơ dễ bay hơi (VOCs) |
US EPA Method 18; US EPA 0010; TCVN 12031:2018; PD CEN/TS 13649 |
|
13 |
Polyclobiphenyl (PCB) |
TCVN 8601:2009; SMEWW 6630C:2017; US EPA Method 1668A/B; Method EN-1948-4 WHO PCB; Method EN-1948-4 Marker PCB; US EPA Method 8270D; US EPA Method 8081B |
|
14 |
Dioxin/furan (PCDD/PCDF) |
US EPA Method 23; BS EN 1948-3:2006; JIS Methods K0311 and K0312; European Air Method EN-1948 |
|
15 |
Các hợp chất polyclobiphenyl tương tự dioxin (dl-PCB) |
US EPA Method 0023A; BS EN 1948-3:2006 |
|
16 |
Tổng các chất hữu cơ không bao gồm metan (TGNMO) |
US EPA Method 25 |
|
17 |
HBr |
US EPA Method 26; US EPA Method 26A |
|
18 |
Cl2 |
US EPA Method 26; US EPA Method 26A |
|
19 |
Br2 |
US EPA Method 26; US EPA Method 26A |
|
20 |
HF |
US EPA Method 26; US EPA Method 26A |
|
21 |
HCl |
US EPA Method 26; US EPA Method 26A; JIS K 0107:2012 |
|
22 |
Kim loại gồm Sb, As, Ba, Be, Cd, Cr, Co, Cu, Mn, Ni, Se, Ag, Tl và Zn, Pb |
US EPA Method 29; |
|
23 |
Pb |
US EPA Method 29; |
|
24 |
Hg |
US EPA Method 29; US EPA Method 101A; |
|
25 |
Hơi thủy ngân |
US EPA Method 30B |
|
26 |
Bụi PM10 |
US EPA Method 201; US EPA Method 201A |
|
27 |
Hợp chất hidrocacbon đa vòng thơm (PAHs) |
US EPA Method 23; US EPA Method 0010 |
Phụ lục 4.3. Phương pháp quan trắc bùn thải từ hệ thống xử lý nước
1. Lấy mẫu bùn thải áp dụng theo hướng dẫn của các tiêu chuẩn quốc gia sau đây:
- TCVN 6663-13:2015 - Chất lượng nước. Lấy mẫu. Phần 13 hướng dẫn lấy mẫu bùn nước, bùn nước thải và bùn liên quan;
- TCVN 6663-15:2004 - Chất lượng nước - Lấy mẫu. Hướng dẫn bảo quản và xử lý mẫu bùn và trầm tích.
2. Phân tích trong phòng thí nghiệm: lựa chọn phương pháp quy định tại quy chuẩn kỹ thuật quốc gia hiện hành hoặc trong Bảng 30 dưới đây:
Bảng 30. Phương pháp phân tích bùn thải từ hệ thống xử lý nước
|
TT |
Thông số |
Số hiệu phương pháp |
|
1 |
pH |
US EPA 9040 C; US EPA 9040 D |
|
2 |
Asen |
US EPA Method 6010D; US EPA Method 6020B; US EPA Method 7010; US EPA Method 7062 |
|
3 |
Bari |
US EPA Method 6010D; US EPA Method 6020B; US EPA Method 7010; US EPA Method EPA 7000B; US EPA Method 6800 |
|
4 |
Bạc |
US EPA Method 6010D; US EPA Method 6020B; US EPA Method 7010; US EPA Method 7000B; US EPA Method 6800 |
|
5 |
Cadimi |
US EPA Method 6010D; US EPA Method 6020B; US EPA Method 7010; US EPA Method EPA 7000B; US EPA Method 6800 |
|
6 |
Chì |
US EPA Method 6010D; US EPA Method 6020B; US EPA Method 7010; US EPA Method EPA 7000B; US EPA Method 6800 |
|
7 |
Coban |
US EPA Method 6010D; US EPA Method 6020B; US EPA Method 7010; US EPA Method EPA 7000B; US EPA Method 6800 |
|
8 |
Kẽm |
US EPA Method 6010D; US EPA Method 6020B; US EPA Method 7010; US EPA Method EPA 7000B; US EPA Method 6800 |
|
9 |
Niken |
US EPA Method 6010D; US EPA Method 6020B; US EPA Method 7010; US EPA Method EPA 7000B; US EPA Method 6800 |
|
10 |
Selen |
US EPA Method 6010D; US EPA Method 6020B; US EPA Method 7010; US EPA Method EPA 7000B; US EPA Method 6800 |
|
11 |
Thủy ngân |
US EPA Method 6010D; US EPA Method 6020B; US EPA Method 6800; US EPA Method 7470; US EPA Method 7471B |
|
12 |
Crôm (VI) |
US EPA Method 7196A; US EPA Method 7199 |
|
13 |
Tổng Xyanua |
US EPA Method 9014; US EPA Method 1312 |
|
14 |
Tổng Dầu |
US EPA Method 9071B; US EPA Method 1664A |
|
15 |
Phenol |
US EPA Method 8041A |
|
16 |
Benzen |
US EPA Method 8260D |
|
17 |
Clobenzen |
US EPA Method 8260D |
|
18 |
Toluen |
US EPA Method 8260D; US EPA Method 8270E |
|
19 |
Naptalen |
|
|
20 |
Clodan |
US EPA Method 8260D |
|
21 |
2,4-Diclophenoxy axeticaxit (2,4-D) |
US EPA Method 8321B |
|
22 |
Lindan |
|
|
23 |
Metoxyclo |
|
|
24 |
Endrin |
|
|
25 |
Heptaclo |
|
|
26 |
Metyl parathion |
|
|
27 |
Parathion |
|
|
28 |
Hóa chất bảo vệ thực vật clo hữu cơ |
TCVN 9241:2017; US EPA Method 8270D; US EPA Method 8081B |
|
29 |
Polyclobiphenyl (PCB) |
TCVN 8601:2009; US EPA Method 1668A/B; Method EN-1948-4 WHO PCB; Method EN-1948-4 Marker PCB; US EPA Mrthod 8270E; US EPA Method 8082A |
|
30 |
Dioxin/furan (PCDD/PCDF) |
US EPA Method 1613; US EPA Method 8290; US EPA Method 8280; JIS Methods K0311 and K0312; Air Method EN-1948 |
|
31 |
Decabromodiphenyl ete (DBDE) |
US EPA Method 1614A |
|
32 |
Hexabromobiphenyl (HBB) |
US EPA Method 8270D |
|
33 |
Hexabromodiphenyl ete và heptabromodiphenyl ete (hBde) |
US EPA Method 1614A |
|
34 |
Hexachlorobutadiene (HCBD) |
US EPA Method 524.4; US EPA Method 8270D |
|
35 |
Pentachlorobenzene (PeCB) |
US EPA Method 8270D |
|
36 |
Pentachlorophenol (PCP), muối của chúng và các este |
US. EPA Method 1653A; US. EPA Method 1624/1625 |
|
37 |
Perfluorooctane sulfonic acid (PFOS), muối của chúng và perfluorooctane sulfonyl fluoride (PFOSF) |
US EPA Method 533; US EPA Method 537.1 |
|
38 |
Polychlorinated naphthalenes (PCN) |
US EPA Method 8270D |
|
39 |
Các paraffin mạch ngắn chứa clo (SCCP) |
Áp dụng các phương pháp tiêu chuẩn quốc gia và quốc tế |
|
40 |
Tetrabromodiphenyl ete và Pentabromodiphenyl ete (POP-BDE) |
US EPA Method 1614A |
|
41 |
Hexabromocyclododecane (HBCDD) |
Áp dụng các phương pháp tiêu chuẩn quốc gia và quốc tế |
|
42 |
Perfluorooctanoic acid (PFOA), muối của chúng và các hợp chất liên quan đến PFOA |
EPA 533; EPA 537.1; DIN 38407-42:2010; CEN/TS 15968 :2010; ISO 25101:2009 |
Phụ lục 5
XÁC ĐỊNH VỊ TRÍ, SỐ ĐIỂM QUAN TRẮC KHÍ THẢI VÀ CÁC MẪU BIÊN BẢN QUAN TRẮC HIỆN TRƯỜNG
(Ban hành kèm theo Thông tư số 10/2021/TT-BTNMT ngày 30 tháng 6 năm 2021 của Bộ trưởng Bộ Tài nguyên và Môi trường)
I. Quy định chung
Phụ lục này hướng dẫn tóm tắt phương pháp US EPA Method 1 nhằm hướng dẫn xác định vị trí và số điểm quan trắc khí thải.
Phương pháp này không áp dụng trong các trường hợp sau:
+ Dòng khí ở chế độ chảy xoáy hay chảy rối;
+ Ông khói có đường kính nhỏ hơn 0,3 m.
Khoảng cách từ vị trí lấy mẫu đến vị trí thay đổi dòng (cong, nở, thắt...) nhỏ hơn 2 lần đường kính theo chiều xuôi dòng khí và nhỏ hơn 0,5 lần đường kính ống khói (hoặc ống phóng không) theo chiều ngược dòng khí.
Việc xác định vị trí và số lượng điểm quan trắc đối với các ống khói có đường kính nhỏ hơn 0,3 m sử dụng phương pháp US EPA Method 1A.
Không lấy mẫu bụi và đo vận tốc khí thải ở điểm giữa (hay tâm) của tiết diện ống khói.
II. Thiết bị và dụng cụ
Thước dây, sổ ghi chép, bút chịu nhiệt.
Các loại đồng hồ đo chênh áp, áp kế dạng nghiêng, hình chữ U.
III. Quy trình thực hiện
Vị trí lỗ lấy mẫu và số điểm hút mẫu phụ thuộc vào mục tiêu xác định vận tốc khí thải, các chất ô nhiễm dạng khí hay bụi.
1. Xác định vị trí lỗ lấy mẫu
Nguyên tắc: vị trí lỗ lấy mẫu phải nằm trên mặt phẳng tiết diện của đoạn ống khói thẳng.
Cách xác định: vị trí lỗ lấy mẫu nằm trên ống khói dựa vào việc xác định đoạn A, đoạn B, đường kính trong D và thỏa mãn điều kiện: B ≥ 2D và A ≥ 0,5D. Trong trường hợp lý tưởng, vị trí lỗ lấy mẫu thỏa mãn điều kiện: B = 8D và A = 2D (Hình 1).
Minh họa A, B và D trên Hình 1:
- Đoạn A: là đoạn tính từ vị trí có sự thay đổi dòng đến vị trí lấy mẫu tính theo chiều ngược chiều dòng khí;
- Đoạn B: là đoạn tính từ vị trí có sự thay đổi dòng đến vị trí lấy mẫu tính theo chiều xuôi chiều dòng khí;
D: đường kính trong của ống khói tại vị trí lấy mẫu (đối với ống khói hình chữ nhật, đường kính trong D được tính theo công thức D = 4 x (diện tích tiết diện/chu vi).

Hình 1. Vị trí lỗ lấy mẫu
2. Yêu cầu lỗ lấy mẫu: lỗ lấy mẫu bảo đảm đường kính từ 90 mm đến 110 mm, có nắp đậy để điều chỉnh độ mở rộng;
Đối với ống khói hình tròn: yêu cầu ít nhất 02 lỗ lấy mẫu theo 02 phương vuông góc với nhau;
Đối với ống khói hình chữ nhật: căn cứ vào tỉ lệ giữa chiều dài, chiều rộng và số điểm hút mẫu của ống khói để chọn số lỗ lấy mẫu phù hợp theo phương vuông góc với nhau;
Đối với những ống khói có đường kính trong lớn, cần tăng thêm lỗ lấy mẫu đối xứng nhau để giảm yêu cầu của độ dài cần lấy mẫu.
3. Xác định số điểm hút mẫu
a) Điểm hút mẫu nằm trên tiết diện ngang của ống khói tại vị trí lỗ lấy mẫu. Tiết diện ngang của ống khói được chia thành những phần bằng nhau theo 02 phương vuông góc với nhau;
b) Phương pháp xác định số điểm hút mẫu trên tiết diện ngang của ống khói: dựa trên tỉ lệ giữa đoạn A và đường kính trong D (A/D) hoặc tỉ lệ giữa đoạn B và đường kính trong D (B/D), chia thành 2 trường hợp:
b1) Trường hợp 1 - xác định vận tốc khí thải (không bao gồm việc lấy mẫu bụi): sử dụng Hình 2 để xác định số điểm hút mẫu tối thiểu;

Hình 2. Đồ thị lựa chọn số điểm hút mẫu tối thiểu theo phương ngang (chỉ xác định vận tốc)
b1.1) Đối với ống khói hình tròn: chia mặt phẳng lấy mẫu thành những đường tròn đồng tâm, các điểm hút mẫu được chia đều trên 2 đường kính. Khoảng cách từ mỗi điểm hút mẫu đến thành trong của ống khói được xác định tại Bảng 31 dưới đây:
Bảng 31. Khoảng cách từ mỗi điểm hút mẫu đến thành trong của
ống khói
(Khoảng cách từ mỗi điểm hút mẫu đến thành trong của ống khói tròn được tính bằng % của đường kính trong của ống khói %D)
|
Kí hiệu điểm hút mẫu dọc theo đường kính ống khói |
Số điểm hút mẫu trên một đường kính ống khói |
|||||||||||||
|
2 |
4 |
6 |
8 |
10 |
12 |
14 |
16 |
18 |
20 |
22 |
24 |
|||
|
1 |
14,6 |
6,7 |
4,4 |
3,2 |
2,6 |
2,1 |
1,8 |
1,6 |
1,4 |
1,3 |
1,1 |
1,1 |
||
|
2 |
85,4 |
25,0 |
14,6 |
10,5 |
8,2 |
6,7 |
5,7 |
4,9 |
4,4 |
3,9 |
3,5 |
3,2 |
||
|
3 |
|
75,0 |
29,6 |
19,4 |
14,6 |
11,8 |
9,9 |
8,5 |
7,5 |
6,7 |
6,0 |
5,5 |
||
|
4 |
|
93,3 |
70,4 |
32,3 |
22,6 |
17,7 |
14,6 |
12,5 |
10,9 |
9,7 |
8,7 |
7,9 |
||
|
5 |
|
|
85,4 |
67,7 |
34,2 |
25,0 |
20,1 |
16,9 |
14,6 |
12,9 |
11,6 |
10,5 |
||
|
6 |
|
|
95,6 |
80,6 |
65,8 |
35,6 |
26,9 |
22,0 |
18,8 |
16,5 |
14,6 |
13,2 |
||
|
7 |
|
|
|
89,5 |
77,4 |
64,4 |
36,6 |
28,3 |
23,6 |
20,4 |
18,0 |
16,1 |
||
|
8 |
|
|
|
96,8 |
85,4 |
75,0 |
63,4 |
37,5 |
29,6 |
25,0 |
21,8 |
19,4 |
||
|
9 |
|
|
|
|
91,8 |
82,3 |
73,1 |
62,5 |
38,2 |
30,6 |
26,2 |
23,0 |
||
|
10 |
|
|
|
|
97,4 |
88,2 |
79,9 |
71,7 |
61,8 |
38,8 |
31,5 |
27,2 |
||
|
11 |
|
|
|
|
|
93,3 |
85,4 |
78,0 |
70,4 |
61,2 |
39,3 |
32,3 |
||
|
12 |
|
|
|
|
|
97,9 |
90,1 |
83,1 |
76,4 |
69,4 |
60,7 |
39,8 |
||
|
13 |
|
|
|
|
|
|
94,3 |
87,5 |
81,2 |
75,0 |
68,5 |
60,2 |
||
|
14 |
|
|
|
|
|
|
98,2 |
91,5 |
85,4 |
79,6 |
73,8 |
67,7 |
||
|
15 |
|
|
|
|
|
|
|
95,1 |
89,1 |
83,5 |
78,2 |
72,8 |
||
|
16 |
|
|
|
|
|
|
|
98,4 |
92,5 |
87,1 |
82,0 |
77,0 |
||
|
17 |
|
|
|
|
|
|
|
|
95,6 |
90,3 |
85,4 |
80,6 |
||
|
18 |
|
|
|
|
|
|
|
|
98,6 |
93,3 |
88,4 |
83,9 |
||
|
19 |
|
|
|
|
|
|
|
|
|
96,1 |
91,3 |
86,8 |
||
|
20 |
|
|
|
|
|
|
|
|
|
98,7 |
94,0 |
89,5 |
||
|
21 |
|
|
|
|
|
|
|
|
|
|
96,5 |
92,1 |
||
|
22 |
|
|
|
|
|
|
|
|
|
|
98,9 |
94,5 |
||
|
23 |
|
|
|
|
|
|
|
|
|
|
|
96,8 |
||
|
24 |
|
|
|
|
|
|
|
|
|
|
|
99,9 |
||

Hình 3: Phân bố 12 điểm hút mẫu đối với ống khói hình tròn
b1.2) Đối với ống khói hình chữ nhật: số điểm hút mẫu được quy định tại Bảng dưới. Sau khi xác định được số điểm hút mẫu, tiến hành chia tiết diện ngang ống khói thành các ô bằng nhau và điểm hút mẫu nằm ở tâm các ô đó.
Bảng ma trận số điểm hút mẫu đối với ống khói hình chữ nhật
|
Số điểm hút mẫu |
Ma trận |
|
9 |
3 x 3 |
|
12 |
4 x 3 |
|
16 |
4 x 4 |
|
20 |
5 x 4 |
|
25 |
5 x 5 |
|
30 |
6 x 5 |
|
36 |
6 x 6 |
|
42 |
7 x 6 |
|
49 |
7 x 7 |

Hình 4: Phân bố 12 điểm hút mẫu đối với ống khói hình chữ nhật
b2) Trường hợp 2 - xác định vận tốc khí thải (bao gồm việc lấy mẫu bụi): sử dụng Hình 5 để xác định số điểm hút mẫu tối thiểu:

Hình 5: Đồ thị lựa chọn số điểm hút mẫu tối thiểu theo phương ngang (bao gồm lấy mẫu bụi)
b2.1) Khi vị trí lấy mẫu thỏa mãn trường hợp lý tưởng (nằm trong đoạn 8D đến 2D), số điểm hút mẫu được chọn như sau:
Nếu D > 0,61 m: 12 điểm đối với ống khói hình chữ nhật hoặc hình tròn;
Nếu 0,3 m < D < 0,61 m: 8 điểm đối với ống khói hình tròn hoặc 9 điểm đối với ống khói hình chữ nhật.
b2.2) Để bảo đảm tính ổn định của dòng khí trong ống khói, điểm hút mẫu gần nhất tính từ thành ống khói theo phương ngang phải bảo đảm một khoảng cách nhất định:
- Đối với ống khói có D ≥ 0,61m: khoảng cách tối thiểu là 2,5cm;
- Đối với ống khói có D < 0,61m: khoảng cách tối thiểu là 1,3cm.
4. Xác định chế độ chảy của dòng khí tại vị trí lấy mẫu: phải xác định trước khi đo. Phương pháp xác định như sau: nối ống Pitot hình chữ S vào áp kế, hướng đầu của Pitot vuông góc với tiết diện ngang của ống khói, kiểm tra đồng hồ đo áp kế, nếu đồng hồ đo chênh áp hiển thị giá trị thì hệ thống được xác định là kín. Tiến hành quay ống Pitot một góc ± 90o nếu đồng hồ đo chênh áp hiển thị giá trị thì ở vị trí này dòng khí ở chế độ chảy xoáy, điều kiện lấy mẫu tại vị trí đó không bảo đảm và cần xác định vị trí khác.
5. Ghi chép biên bản xác định điểm hút mẫu: theo Biểu 1 Phụ lục này
Biểu 1
BIÊN BẢN XÁC ĐỊNH ĐIỂM HÚT MẪU
TÊN CƠ QUAN (thực hiện quan trắc):
…………………………………………………......……………………………
ĐT: ……….. / Fax:……..../E-mail:................../Địa chỉ: …………
BIÊN BẢN
Xác định điểm hút mẫu
Cơ sở:……………………………………………........Ngày:……………… ….
Địa chỉ: ………………….…………………………….Người lấy mẫu:………
Địa điểm lấy mẫu: ………………………………………………………………

…, ngày…… tháng…… năm …
|
Đại diện Cơ sở (Ký và ghi rõ họ tên) |
Trưởng nhóm quan trắc (Ký và ghi rõ họ tên) |
Người quan trắc (Ký và ghi rõ họ tên) |
Biểu 2
BIÊN BẢN LẤY MẪU TẠI HIỆN TRƯỜNG
|
Tên hoặc ký hiệu mẫu |
|
|
Loại hoặc dạng mẫu |
|
|
Vị trí quan trắc |
|
|
Tọa độ địa lý |
|
|
Ngày quan trắc |
h, ngày tháng năm |
|
Tên người quan trắc |
|
|
Đặc điểm thời tiết lúc quan trắc |
|
|
Thiết bị quan trắc |
|
|
Phương pháp quan trắc |
|
|
Phương pháp bảo quản (hóa chất, điều kiện) |
|
|
Lượng mẫu |
|
|
Thông tin khác (nếu có): |
|
|
Đại diện Cơ sở được lấy mẫu (Ký và ghi rõ họ tên) |
Trưởng nhóm quan trắc (Ký và ghi rõ họ tên) |
Người quan trắc (Ký và ghi rõ họ tên) |
* Chú thích:
Vị trí quan trắc: tên hoặc mô tả chính xác điểm quan trắc hoặc lấy mẫu.
Tọa độ điểm quan trắc: tọa độ chính xác của vị trí quan trắc hoặc lấy mẫu, sử dụng hệ tọa độ kinh độ/vĩ độ (Long/Lat).
Ngày quan trắc: nhập đầy đủ dưới dạng ngày/tháng/năm (dd/mm/yyyy).
Thiết bị quan trắc: tên các thiết bị, ký hiệu thiết bị quan trắc tại hiện trường.
Phương pháp quan trắc: số hiệu tiêu chuẩn, phương pháp dùng để quan trắc hiện trường (TCVN, ISO, tiêu chuẩn quốc tế khác được công nhận...).
Biểu 3
BIÊN BẢN ĐO MẪU TẠI HIỆN TRƯỜNG
|
Đơn vị quan trắc |
|
|
Vị trí đo mẫu |
|
|
Toạ độ địa lý |
KĐ: ° ' " VĐ: ° ' " |
|
Loại mẫu |
|
|
Tên hoặc ký hiệu mẫu |
|
|
Ngày đo |
Ngày tháng năm |
|
Thông tin khác (nếu có) |
|
KẾT QUẢ ĐO MẪU TẠI HIỆN TRƯỜNG
- Thể tích đo mẫu:
- Thiết bị đo: .....................................................................................................
|
TT |
Thông số |
Đơn vị |
Phương pháp đo |
Kết quả đo |
||
|
Thời gian đo lần 1 ............ |
Thời gian đo lần 2 (nếu có) ............. |
Thời gian đo lần 3 (nếu có) ................ |
||||
|
1 |
|
|
|
|
|
|
|
2 |
|
|
|
|
|
|
|
... |
|
|
|
|
|
|
|
Đại diện Cơ sở được đo mẫu (Ký và ghi rõ họ tên) |
Trưởng nhóm quan trắc (Ký và ghi rõ họ tên) |
Người quan trắc (Ký và ghi rõ họ tên) |
Biểu 4
BIÊN BẢN LẤY MẪU QC
|
Đơn vị quan trắc |
|
|
Thời gian lấy mẫu |
h, ngày tháng năm |
|
Thành phần môi trường |
|
|
Ký hiệu mẫu |
|
|
Loại mẫu QC |
|
|
Thông số phân tích |
|
|
Lượng mẫu |
|
|
Phương pháp bảo quản (hóa chất, điều kiện) |
|
|
Thông tin khác (nếu có) |
|
|
Người quan trắc (Ký và ghi rõ họ tên) |
Trưởng nhóm quan trắc hiện trường (Ký và ghi rõ họ tên) |
Phụ lục 6
YÊU CẦU KỸ THUẬT VÀ QUY TRÌNH ĐO CÁC CHẤT Ô NHIỄM DẠNG KHÍ TRONG KHÍ THẢI BẰNG THIẾT BỊ ĐO TRỰC TIẾP
(Ban hành kèm theo Thông tư số 10/2021/TT-BTNMT ngày 30 tháng 6 năm 2021 của Bộ trưởng Bộ Tài nguyên và Môi trường)
1. Quy định chung
Phụ lục này quy định yêu cầu kỹ thuật cơ bản và quy trình đo các thông số gồm NOx (NO và NO2), SO2, CO, O2 trong khí thải bằng thiết bị đo trực tiếp.
2. Yêu cầu kỹ thuật đối với thiết bị đo trực tiếp
2.1. Yêu cầu kỹ thuật của thiết bị
Thiết bị đo trực tiếp các chất ô nhiễm dạng khí trong khí thải tối thiểu phải đáp ứng các yêu cầu về đặc tính kỹ thuật theo quy định dưới Bảng 32:
Bảng 32. Yêu cầu kỹ thuật đối với thiết bị đo trực tiếp
|
STT |
Thông số đo |
Độ chính xác |
Độ phân giải |
Thời gian đáp ứng |
|
1 |
NO |
± 5% của giá trị đọc |
1 ppm |
<30s |
|
2 |
NO2 |
± 5% của giá trị đọc |
0,1 ppm |
<40s |
|
3 |
SO2 |
± 5% của giá trị đọc |
1 ppm |
<30s |
|
4 |
CO |
± 5% của giá trị đọc |
1 ppm |
<40s |
|
5 |
O2 |
± 0,3% toàn dải đo |
0,1%V |
<60s |
Khuyến khích sử dụng các thiết bị đo đã được cấp chứng chỉ kiểm định bởi một trong các tổ chức sau: Cơ quan Bảo vệ môi trường Hoa Kỳ (US EPA), Tổ chức chứng nhận Anh (mCERTs), Cơ quan kiểm định kỹ thuật Đức (TÜV).
2.2. Kiểm định và kiểm tra thiết bị
Thực hiện theo quy định tại Điều 24 Thông tư này.
Kiểm tra thiết bị bằng khí chuẩn tại hiện trường: trước khi đo nồng độ các chất ô nhiễm trong khí thải, cần thực hiện kiểm tra thiết bị bằng khí “không” và khí chuẩn tại hiện trường với tần suất tối thiểu là 1 lần trước mỗi ngày quan trắc.
Tất cả tài liệu liên quan đến quá trình kiểm tra bằng khí chuẩn tại hiện trường phải được ghi chép, lưu lại hồ sơ gồm biên bản, nhật ký hiện trường, dữ liệu gốc được in hoặc sao lưu trong bộ nhớ thiết bị đối với tất cả các giá trị, giấy chứng nhận của khí chuẩn được sử dụng và sẵn sàng cung cấp cho cơ quan có thẩm quyền khi được yêu cầu.
Khí chuẩn được sử dụng tại hiện trường phải còn hạn sử dụng, bảo đảm độ chính xác tối thiểu là ± 5% và phải được liên kết chuẩn theo quy định của pháp luật đo lường. Khí chuẩn được sử dụng có thể là khí đơn hoặc khí hỗn hợp.
3. Vị trí đo
Vị trí đo mẫu khí được xác định cùng với vị trí lấy mẫu bụi.
Trường hợp chỉ thực hiện đo các chất ô nhiễm dạng khí mà không lấy mẫu bụi thì vị trí đo mẫu khí phải thỏa mãn điều kiện: không ở miệng ống khói và ưu tiên chọn nơi có dòng khí chuyển động ổn định.
4. Quy trình đo tại hiện trường
4.1. Kiểm tra thiết bị tại hiện trường
Kiểm tra đầu đo: tất cả đầu đo của thiết bị phải được làm sạch đúng hướng dẫn của nhà sản xuất, sạch và khô ráo trước khi sử dụng;
Kiểm tra pin;
Khởi động thiết bị đo.
4.2. Kiểm tra thiết bị bằng khí chuẩn tại hiện trường
Kiểm tra điểm “không” (zero check): kiểm tra điểm “không” được thực hiện theo chế độ tự kiểm tra điểm “không” của thiết bị hoặc sử dụng khí không. Kết quả kiểm tra điểm không phải nhỏ hơn độ phân giải của thiết bị tương ứng với từng thông số. Trường hợp kết quả kiểm tra điểm không lớn hơn độ phân giải của thiết bị, phải tiến hành kiểm tra lặp lại cho đến khi đạt yêu cầu quy định.
Kiểm tra thiết bị bằng khí chuẩn (span check): kiểm tra tại điểm nồng độ khí chuẩn trong khoảng từ 10% đến 50% giá trị của toàn dải đo của thiết bị đối với các thông số SO2, NOx (NO và NO2); đối với thông số CO, điểm nồng độ khí chuẩn sử dụng để kiểm tra được xác định trong khoảng từ 30 - 50% so với giá trị quy định về ngưỡng tối đa cho phép trong các quy chuẩn kỹ thuật quốc gia về môi trường tương ứng. Hoạt động đo khí thải chỉ được thực hiện khi sự sai khác giữa kết quả đo khí chuẩn hiển thị trên thiết bị và nồng độ khí chuẩn được sử dụng để kiểm tra không quá 10%. Trường hợp sự sai khác lớn hơn 10%, phải tiến hành kiểm tra lặp lại bằng khí chuẩn cho đến khi đạt yêu cầu quy định.
4.3. Đo tại hiện trường
Sau khi khởi động thiết bị đo, đợi cho các giá trị hiển thị được ổn định thì bắt đầu tiến hành đọc và ghi giá trị đo.
Tại mỗi vị trí quan trắc phải thực hiện ít nhất 3 phép đo (3 mẫu) trong 1 lần quan trắc, kết quả báo cáo lấy giá trị trung bình các lần đo.
Thời gian đo tối thiểu cho 1 phép đo (1 mẫu) là 15 phút với tần suất đọc và ghi giá trị đo liên tục là khoảng 3 phút/1 giá trị.
5. Tính toán kết quả khi sử dụng thiết bị đo trực tiếp
Căn cứ vào các quy định hiện hành về đơn vị đo và điều kiện tiêu chuẩn trong các quy chuẩn kỹ thuật quốc gia về môi trường tương ứng, phải tính toán chuyển đổi đơn vị đo sang đơn vị mg/m3 tại điều kiện tiêu chuẩn tương ứng. Trường hợp kết quả đo của thiết bị là ppm và điều kiện tiêu chuẩn quy định là 25oC, 760 mmHg, nồng độ các chất ô nhiễm được tính theo công thức sau:
CO: ppm x 1,14 = mg/Nm3 SO2: ppm x 2,62 = mg/Nm3
NO2: ppm x 1,88 = mg/Nm3 NO: ppm x 1,23 = mg/Nm3
Trường hợp các quy chuẩn kỹ thuật quốc gia về môi trường hiện hành có quy định về nồng độ oxy tham chiếu, phải tính toán kết quả quan trắc theo công thức sau:

Trong đó:
Cstd: nồng độ chất ô nhiễm tại giá trị nồng độ ôxy tham chiếu, mg/Nm3.
Cm: nồng độ chất ô nhiễm tại giá trị nồng độ ô xy đo được, mg/Nm3.
%O2(std): nồng độ ô xy tham chiếu quy định tại QCVN tương ứng.
%O2(m): nồng độ ôxy đo được tại hiện trường.
Phụ lục 7
NỘI DUNG BÁO CÁO PHÊ DUYỆT PHƯƠNG PHÁP
(Ban hành kèm theo Thông tư số 10/2021/TT-BTNMT ngày 30 tháng 6 năm 2021 của Bộ trưởng Bộ Tài nguyên và Môi trường)
Báo cáo phê duyệt phương pháp tối thiểu gồm các nội dung sau:
1. Khoảng đo và khoảng tuyến tính (range and linearity đối với các phép đo thực hiện trên thiết bị đo).
2. Xác định Giới hạn phát hiện của phương pháp phân tích (MDL)
a) Cần phải trình bày xác định MDL theo hướng dẫn của tài liệu nào. Khuyến khích áp dụng hướng dẫn của US EPA tại 40 CFR Part 136, Appendix B: “Definition and Procedure for the Determination of the Method Detection Limit-Revision 2” cho các thông số phù hợp với nội dung tài liệu.
b) Cần phải trình bày cách lựa chọn nồng độ của mẫu phân tích đối với nền mẫu đưa ra là phù hợp và nồng độ mẫu được lựa chọn là mẫu có nồng độ thấp trong khoảng chấp nhận của tài liệu hướng dẫn xác định MDL;
c) Các kết quả thử nghiệm, đánh giá để xác định MDL đều phải được thể hiện trong báo cáo này.
d) Mỗi năm một lần hoặc khi có thay đổi về thiết bị, chất chuẩn... thì phải xác định lại Giới hạn phát hiện của phương pháp phân tích (MDL).
3. Xác định giới hạn định lượng của phương pháp (limit of quantitative). Giới hạn định lượng của phương pháp (LOQ) là nồng độ tối thiểu của một chất có trong mẫu thử có thể định lượng bằng phương pháp khảo sát và cho kết quả có độ chụm mong muốn. Giới hạn định lượng của phương pháp được khảo sát, tính toán cùng với giới hạn phát hiện của phương pháp.
4. Độ chính xác (accuracy): Cần trình bày cách tiếp cận, phương pháp thực hiện để xác định độ chính xác. Cần phân tích, đánh giá chi tiết các thông tin, dữ liệu thử nghiệm để chứng minh được năng lực của phương pháp phân tích đã lựa chọn đáp ứng các tiêu chí về độ chính xác. Cần thực hiện phân tích với tối thiểu 3 nồng độ sau khi thêm chuẩn: nồng độ gần với giới hạn định lượng, nồng độ nằm giữa đường chuẩn hoặc khoảng đo và nồng độ nằm khoảng cuối đường chuẩn hoặc khoảng đo.
5. Độ chụm (precision): Cần phân tích đánh giá các mẫu lặp, mẫu tái lập trong mỗi mẻ mẫu hoặc trong các mẻ mẫu khác nhau để đánh giá những ảnh hưởng do sự thay đổi điều kiện phân tích, điều kiện thiết bị, hóa chất đến kết quả quan trắc. Cần thực hiện phân tích tối thiểu mẫu lặp, mẫu tái lặp tại 3 nồng độ như xác định độ chính xác.
6. Độ không đảm bảo đo (uncertainty of measurement).
7. Công bố kết quả (kết luận) phê duyệt phương pháp theo nội dung trên và công bố giới hạn báo cáo của tổ chức.
Giới hạn báo cáo của phương pháp (RL) là: nồng độ tối thiểu của một chất có trong mẫu thử có thể định lượng bằng phương pháp khảo sát và cho kết quả có độ chụm mong muốn mà phòng thử nghiệm công bố sau khi thực hiện khảo sát và tính toán giới hạn định lượng của phương pháp. Giới hạn báo cáo của phương pháp không nhỏ hơn giới hạn định lượng của phương pháp.
8. Số liệu gốc phê duyệt phương pháp, kết quả thử nghiệm: Các tổ chức đánh giá phê duyệt giá trị của phương pháp cần phải công bố kèm theo các kết quả thử nghiệm trong phòng thí nghiệm trong phụ lục của báo cáo phê duyệt phương pháp.
Phụ lục 8
NỘI DUNG TÀI LIỆU QUY TRÌNH THAO TÁC CHUẨN (SOP)
(Ban hành kèm theo Thông tư số 10/2021/TT-BTNMT ngày 30 tháng 6 năm 2021 của Bộ trưởng Bộ Tài nguyên và Môi trường)
Quy trình thao tác chuẩn (SOP) phải căn cứ trên tiêu chuẩn gốc và điều kiện thực tế của phòng thí nghiệm để hướng dẫn cụ thể các nội dung và các bước thực hiện, nhằm hướng dẫn các kỹ thuật viên thực hiện thống nhất. SOP tối thiểu phải bao gồm các nội dung sau:
1. Phạm vi áp dụng: Nêu rõ phương pháp gốc hoặc tài liệu kỹ thuật sử dụng để xây dựng SOP. Phạm vi áp dụng bao gồm các thông tin về tổ chức và địa điểm áp dụng quy trình, các thông số phân tích, nền mẫu phân tích, thiết bị phân tích, các đặc tính của phương pháp dựa trên các giá trị được phê duyệt (khoảng đo, giới hạn phát hiện, ..
2. Giới thiệu chung về phương pháp.
3. Lấy mẫu và bảo quản.
4. Các yếu tố ảnh hưởng: Cần trình bày các yếu tố ảnh hưởng tới quá trình phân tích và kết quả phân tích. Từ đó cần đưa ra các biện pháp, cách thức làm giảm tối thiểu ảnh hưởng của từng yếu tố.
5. Thiết bị, dụng cụ: Cần liệt kê có hệ thống các thiết bị, dụng cụ cần thiết để thực hiện phân tích hiện có của phòng thí nghiệm. Cần cung cấp kèm theo các thông số kỹ thuật của các thiết bị dụng cụ.
6. Hóa chất và chất chuẩn: Cần cung cấp thông tin về các hóa chất và chất chuẩn cần sử dụng và cách thức chuẩn bị hóa chất và chất chuẩn.
7. Quy trình phân tích.
8. Dữ liệu phân tích và tính toán kết quả.
9. Kiểm soát chất lượng: Cần quy định rõ cách chuẩn bị và nồng độ mẫu QC, các tiêu chí kiểm soát chất lượng và đánh giá kết quả phân tích áp dụng đối với phòng thí nghiệm.
Phụ lục 9
TIÊU CHÍ CHẤP NHẬN CỦA KIỂM SOÁT CHẤT LƯỢNG VÀ BIỆN PHÁP KHẮC PHỤC
(Ban hành kèm theo Thông tư số 10/2021/TT-BTNMT ngày 30 tháng 6 năm 2021 của Bộ trưởng Bộ Tài nguyên và Môi trường)
I. Tiêu chí chấp nhận của kiểm soát chất lượng trong hoạt động quan trắc tại hiện trường
Việc đánh giá các mẫu QC trong hoạt động quan trắc hiện trường được thực hiện theo quy định như sau:
1. Mẫu lặp hiện trường
Đối với hai lần lặp, độ chụm được đánh giá dựa trên việc đánh giá RPD, được tính toán như sau:

Trong đó:
RPD: phần trăm sai khác tương đối của mẫu lặp;
LD1: kết quả phân tích lần thứ nhất;
LD2: kết quả phân tích lần thứ hai.
Giới hạn RPD được tổ chức thực hiện quan trắc thiết lập và không vượt quá 20% nhưng phải bảo đảm độ chụm theo phương pháp áp dụng.
2. Đối với mẫu đo lặp tại hiện trường: đánh giá độ chụm của mẫu đo lặp tại hiện trường dựa trên đánh giá RPD theo công thức tại mục I.1, trong đó LD1 là kết quả đo lần thứ nhất, LD2 là kết quả đo lần thứ 2. Giới hạn RDP được tổ chức thực hiện quan trắc thiết lập và không quá 15%.
3. Mẫu trắng hiện trường, mẫu trắng vận chuyển và mẫu trắng thiết bị
Giá trị của mẫu trắng được chấp nhận khi nhỏ hơn giới hạn phát hiện (MDL) của phương pháp phân tích.
Kiểm soát chất lượng tại hiện trường bằng chất chuẩn
Đối với thiết bị quan trắc khí thải: theo đúng quy định tại Phụ lục 03 ban hành kèm theo Thông tư này;
Đối với thiết bị quan trắc nước (nước mặt, nước dưới đất, nước mưa, nước biển, nước thải): sai số cho phép nằm trong khoảng ±5% giá trị đọc (riêng đối với thiết bị đo pH thì sai số cho phép nằm trong khoảng ± 0,05 pH khi giá trị độ chia 0,01 pH và ± 0,2 pH khi giá trị độ chia 0,1 pH).
4. Trong trường hợp kết quả thực hiện việc kiểm soát chất lượng không đáp ứng một trong các yêu cầu nêu trên cần tìm hiểu nguyên nhân và đưa ra các biện pháp khắc phục.
II. Tiêu chí chấp nhận của kiểm soát chất lượng trong hoạt động phân tích môi trường
Tổ chức thực hiện phân tích môi trường phải xây dựng tài liệu kiểm soát chất lượng để bảo đảm độ tin cậy của kết quả phân tích. Kết quả phân tích các mẫu QC chỉ có giá trị khi đưa ra được các tiêu chí để so sánh và xác định được sai số chấp nhận theo yêu cầu của tổ chức hoặc của chương trình quan trắc hoặc theo tiêu chí thống kê bằng các biểu đồ kiểm soát chất lượng do phòng thí nghiệm xây dựng.
Mỗi mẻ mẫu, tổ chức phải thực hiện phân tích tối thiểu các mẫu QC đã được quy định trong các phương pháp tiêu chuẩn áp dụng trong phòng thí nghiệm theo các mẫu kiểm soát sau đây: mẫu trắng phương pháp (để kiểm soát khả năng nhiễm bẩn của hóa chất, dụng cụ, thiết bị), mẫu chuẩn thẩm tra, mẫu thêm chuẩn (để đánh giá độ chính xác của kết quả phân tích), mẫu lặp (để đánh giá độ chụm của kết quả phân tích) hoặc có thể phân tích các mẫu chuẩn đối chứng.
1. Mẫu trắng phương pháp: được phân tích đầu tiên trong mỗi mẻ mẫu. Giá trị của mẫu trắng phương pháp được chấp nhận khi nhỏ hơn giới hạn phát hiện (MDL) của phương pháp phân tích.
2. Mẫu chuẩn thẩm tra: được đánh giá thông qua phần trăm độ thu hồi (%R) của mẫu thêm chuẩn trên nền mẫu trắng:

Trong đó:
R: Độ thu hồi (%);
Cf: Nồng độ của mẫu thêm chuẩn;
Ct: Nồng độ của mẫu chuẩn thẩm tra;
(Cf và Ct cùng thứ nguyên)
3. Mẫu thêm chuẩn: được đánh giá thông qua phần trăm độ thu hồi (%R) của mẫu thêm chuẩn trên nền mẫu môi trường:

Trong đó:
R: Độ thu hồi (%);
Cs: nồng độ của mẫu thêm chuẩn;
C: nồng độ của mâu nền;
S: nồng độ thêm vào mẫu nền.
(Cs, C và S cùng thứ nguyên)
Kết quả phân tích của mẫu chuẩn thẩm tra tại mục II.2 và mẫu thêm chuẩn được chấp nhận khi %R của mẫu chuẩn thẩm tra nằm trong khoảng kiểm soát do chính phòng thí nghiệm thiết lập dựa trên kết quả phê duyệt phương pháp đáp ứng theo yêu cầu về độ chính xác của phương pháp tiêu chuẩn áp dụng.
4. Mẫu lặp: đối với hai lần lặp, đánh giá độ chụm dựa trên đánh giá RPD tương tự như quy định tại Mục I.1 Phụ lục này.
Kết quả phân tích được chấp nhận khi RPD của mẫu lặp nằm trong khoảng kiểm soát do chính phòng thí nghiệm thiết lập dựa trên kết quả phê duyệt phương pháp đáp ứng theo yêu cầu về độ chụm của phương pháp tiêu chuẩn áp dụng nhưng không vượt quá 20%.
Ngoài việc đánh giá kết quả phân tích của các mẫu kiểm soát theo các tiêu chí nêu trên, tổ chức cần phải kiểm soát xu hướng, diễn biến của kết quả phân tích dựa trên phương pháp thống kê bằng cách xây dựng các biểu đồ kiểm soát chất lượng.
Ví dụ 1: biểu đồ kiểm soát chất lượng dạng X

Trong đó:
CL: Đường trung tâm của biểu đồ kiểm soát: là giá trị trung bình của các giá trị kiểm soát hoặc giá trị được chứng nhận;
CL± 2s: là giới hạn cảnh báo (nghĩa là 95% kết quả được phân bố trong khoảng giới hạn này); CL± 3s: là giới hạn kiểm soát (nghĩa là 99,7% kết quả được phân bố trong khoảng giới hạn này);
s: độ lệch chuẩn được tính toán dựa trên bộ số liệu xác định giá trị đường trung tâm.
Ví dụ 2: biểu đồ kiểm soát chất lượng dạng R
Khi phân tích mẫu lặp phòng thí nghiệm, ta xác định được % sai khác trung bình (RTB = D2*σ). Biểu đồ kiểm soát độ rộng hay biểu đồ kiểm soát khoảng trong trường hợp này có đường trung tâm là RTB = D2* σ, giới hạn cảnh báo (WL) là:
WL = Rtb + 2σ(R) = Rtb + 2/3 (D4*Rtb - Rtb)
Giới hạn kiểm soát (CL) được lấy là:
CL = Rtb + 3σ(R) = D4*RTB
Trong đó:
D2: hệ số chuyển đổi từ độ lệch chuẩn sang khoảng.
D4: hệ số chuyển đổi từ trung bình khoảng thành độ lệch chuẩn
σ: độ lệch chuẩn
σ(R) : độ lệch chuẩn của khoảng;
D2, D4 theo các số lần lặp khác nhau được xác định theo Bảng sau:
|
Số lần lặp (n) |
D2 |
D4 |
|
2 |
1,128 |
3,267 |
|
3 |
1,693 |
2,575 |
|
4 |
2,059 |
2,282 |
|
5 |
2,326 |
2,115 |
Kết quả tính toán đường trung tâm giới hạn cảnh báo và giới hạn kiểm soát theo các số lần lặp được xác định theo Bảng sau:
|
Số lần lặp |
Độ lệch chuẩn (σ) |
Đường trung tâm |
Giới hạn cảnh báo(WL) |
Giới hạn kiểm soát(CL) |
|
2 |
Mean range/1,128 |
1,128*σ |
2,833*σ |
3,686*σ |
|
3 |
Mean range/1,693 |
1,693*σ |
3,470*σ |
4,538*σ |
|
4 |
Mean range/2,059 |
2,059*σ |
3,818*σ |
4,698*σ |
|
5 |
Mean range/2,326 |
2,326*σ |
4,054*σ |
4,918*σ |
Trong trường hợp lặp 02 lần ta có biểu đồ kiểm soát chất lượng dạng R như sau:

|
Giả thiết |
Kết luận |
Biện pháp |
|
- Trường hợp 1: giá trị kiểm soát nằm trong giới hạn cảnh báo. - Trường hợp 2: giá trị kiểm soát nằm trong khoảng giữa giới hạn cảnh báo và giới hạn kiểm soát và hai giá trị kiểm soát trước đó đều nằm trong giới hạn cảnh báo |
Phương pháp được kiểm soát |
Kết quả phân tích được báo cáo |
|
- Trường hợp 1: giá trị kiểm soát nằm ngoài giới hạn kiểm soát. - Trường hợp 2: giá trị kiểm soát nằm giữa giới hạn cảnh báo và giới hạn kiểm soát và ít nhất một trong hai giá trị kiểm soát trước đó cũng nằm giữa giới hạn kiểm soát và giới hạn cảnh báo. |
Phương pháp nằm ngoài phạm vi kiểm soát |
Kết quả phân tích không được báo cáo. Kể từ giá trị kiểm soát cuối cùng được phát hiện, tất cả mẫu phải phân tích lại |
|
- Trường hợp 1: 7 giá trị kiểm soát tăng dần hoặc giảm dần liên tục. - Trường hợp 2: 10/11 giá trị kiểm soát liên tục nằm về cùng một phía của đường trung tâm. |
Phương pháp vẫn được kiểm soát nhưng có thể có xu hướng ra ngoài kiểm soát thống kê nếu tất cả các giá trị kiểm soát nằm trong giới hạn cảnh báo |
Kết quả phân tích có thể được báo cáo, nhưng cần phải xem xét để phát hiện sớm vấn đề đang phát sinh |
Phụ lục 10
YÊU CẦU KỸ THUẬT ĐỐI VỚI CÁC THIẾT BỊ SỬ DỤNG CHO CÁC TRẠM QUAN TRẮC CHẤT LƯỢNG NƯỚC MẶT VÀ HỆ THỐNG QUAN TRẮC NƯỚC THẢI TỰ ĐỘNG, LIÊN TỤC
(Ban hành kèm theo Thông tư số 10/2021/TT-BTNMT ngày 30 tháng 6 năm 2021 của Bộ trưởng Bộ Tài nguyên và Môi trường)
1. Nhà trạm: để chứa các thiết bị quan trắc của Hệ thống, đảm bảo môi trường an toàn và ổn định cho các thiết bị bên trong nhà trạm. Vị trí nhà trạm phải đáp ứng tối thiểu các yêu cầu sau:
a) Ít bị rung, lắc;
b) Ít bị tác động do bụi và các khí gây ăn mòn;
c) Có nguồn điện ổn định. Nguồn điện và các thiết bị lưu điện phải bảo đảm duy trì hoạt động liên tục, ổn định của Hệ thống và các thiết bị điện phải có các thiết bị đóng ngắt, chống quá dòng, quá áp, có thiết bị ổn áp với công suất phù hợp để bảo đảm Hệ thống hoạt động ổn định, có bộ lưu điện (UPS) bảo đảm hệ thống hoạt động tối thiểu 30 phút từ khi mất điện;
d) Thuận tiện cho công tác lắp đặt, bảo trì, an toàn cho người và thiết bị;
đ) Gần vị trí quan trắc.
2. Bơm lấy mẫu và ống dẫn nước (nếu có)
- Bơm lấy mẫu: hệ thống quan trắc tự động theo phương án gián tiếp phải được trang bị tối thiểu 02 bơm và hệ thống điều khiển để hoạt động luân phiên nhằm bảo đảm nước được bơm liên tục vào thùng chứa nước hoặc vào các thiết bị đo và phân tích mẫu, không tạo bọt khí trong ống dẫn và thùng chứa nước. Thân bơm, buồng bơm phải được chế tạo bằng thép không gỉ hoặc vật liệu không làm thay đổi chất lượng mẫu nước;
- Ống dẫn nước: phải làm bằng vật liệu bền, không gây ảnh hưởng đến chất lượng mẫu nước và có khả năng chống bám vi sinh và phải được thiết kế với hai ống song song và bảo đảm thuận tiện cho công tác làm sạch đường ống và bảo dưỡng định kỳ;
- Trong trường hợp sử dụng phương pháp lắp đặt thiết bị đo gián tiếp thì chiều dài của đường ống dẫn nước từ vị trí quan trắc đến các thùng chứa nước mặt được thiết kế càng ngắn càng tốt và đường kính ống phải đủ lớn (tối thiểu 027) để bảo đảm ống không bị tắc nghẽn.
3. Thiết bị báo cháy, báo khói, chống sét trực tiếp và lan truyền.
4. Thiết bị phụ trợ khác: tùy theo các phương pháp đo, phân tích và điều kiện cụ thể tại vị trí quan trắc, các thiết bị phụ trợ có thể bao gồm (nhưng không bắt buộc) các thành phần sau:
- Lưới chắn rác: để không cho rác và chất bẩn bám vào các đầu đo, làm ảnh hưởng đến kết quả đo. Lưới chắn rác được làm bằng thép không gỉ, có khả năng chịu được ăn mòn;
- Thùng chứa mẫu: để chứa mẫu nước mặt cần quan trắc và các đầu đo. Thùng chứa nước được làm bằng thép không gỉ hoặc vật liệu không gây ảnh hưởng đến chất lượng nước cần quan trắc, thuận tiện cho công tác bảo dưỡng và có thể tích phù hợp với yêu cầu lắp đặt thiết bị quan trắc (thể tích thùng chứa nước tối thiểu 15 lít) và được thiết kế để bảo đảm nước lưu thông liên tục, hạn chế tối đa tình trạng lắng đọng mẫu nước trong thùng chứa nước để bảo đảm tính chính xác và vẹn toàn của mẫu nước;
- Dụng cụ chứa chất thải: để lưu giữ chất thải từ các quá trình phân tích, các dung dịch chuẩn sau sử dụng. Dụng cụ chứa chất thải phải được làm bằng vật liệu chống ăn mòn hóa chất để ngăn chất thải bị rò rỉ ra môi trường bên ngoài. Nơi lưu giữ chất thải được bố trí ở khu vực riêng, có dán nhãn, biển cảnh báo và được quản lý, xử lý theo các quy định hiện hành về quản lý chất thải.
5. Có thiết bị đo nhiệt độ và độ ẩm bên trong nhà trạm.
Phụ lục 11
YÊU CẦU KỸ THUẬT ĐỐI VỚI CÁC THIẾT BỊ SỬ DỤNG CHO CÁC TRẠM QUAN TRẮC CHẤT LƯỢNG KHÔNG KHÍ VÀ HỆ THỐNG QUAN TRẮC KHÍ THẢI TỰ ĐỘNG, LIÊN TỤC
(Ban hành kèm theo Thông tư số 10/2021/TT-BTNMT ngày 30 tháng 6 năm 2021 của Bộ trưởng Bộ Tài nguyên và Môi trường)
1. Nhà trạm: để chứa các thiết bị quan trắc của Hệ thống. Tùy theo điều kiện cụ thể tại vị trí lắp đặt, nhà trạm có thể được xây dựng hoặc lắp đặt dưới nhiều hình thức khác nhau nhưng phải bảo đảm môi trường an toàn và ổn định cho các thiết bị bên trong nhà trạm. Vị trí nhà trạm phải đáp ứng tối thiểu các yêu cầu sau:
a) Ít bị rung, lắc;
b) Ít bị tác động do bụi và các khí gây ăn mòn;
c) Thuận tiện cho công tác lắp đặt, bảo trì, an toàn cho người và thiết bị;
d) Gần vị trí quan trắc.
2. Nguồn điện và các thiết bị lưu điện để bảo đảm duy trì hoạt động liên tục và ổn định của hệ thống. Ngoài ra, các thiết bị điện phải đáp có các thiết bị đóng cắt và chống quá dòng, quá áp; có thiết bị ổn áp và bộ lưu điện (UPS) với công suất phù hợp với hệ thống các thiết bị.
3. Thiết bị báo cháy, báo khói, chống sét trực tiếp và lan truyền.
4. Hệ thống phân phối khí: Đảm bảo độ kín của các ống dẫn và mối nối linh kiện. Hệ thống phải được thường xuyên vệ sinh, làm sạch..
5. Điều hòa nhiệt độ (nếu có): điều hòa nhiệt độ trong Trạm phải được bảo dưỡng định kỳ hàng năm. Quạt hút phải đặt ở chế độ tự động để đảm bảo ổn định nhiệt độ làm việc cho các thiết bị trong Trạm.
Phụ lục 12
TÍNH TOÁN ĐỘ CHÍNH KHÁC TƯƠNG ĐỐI (RA) GIỮA KẾT QUẢ QUAN TRẮC CỦA HỆ THỐNG QUAN TRẮC TỰ ĐỘNG, LIÊN TỤC VÀ PHƯƠNG PHÁP QUAN TRẮC ĐỐI CHỨNG
(Ban hành kèm theo Thông tư số 10/2021/TT-BTNMT ngày 30 tháng 6 năm 2021 của Bộ trưởng Bộ Tài nguyên và Môi trường)
1. Tính toán độ sai khác theo Công thức (1)

Trong đó:
d (difference): độ sai khác trung bình giữa 02 bộ số liệu;
n: tổng số lần thực hiện quan trắc đối chứng;
di: chênh lệch giá trị giữa kết quả của hệ thống và kết quả quan trắc đối chứng tại lần quan trắc đối chứng thứ i, di = CEMi - RMi;
CEMi: kết quả quan trắc của hệ thống tại lần thứ i;
RM,: kết quả quan trắc theo phương pháp quan trắc đối chứng tại lần thứ i.
2. Tính toán độ lệch chuẩn theo công thức (2)

Trong đó:
Stdev (Standard deviation): độ lệch chuẩn của hai bộ số liệu quan trắc đối chứng;
n: tổng số lần thực hiện quan trắc đối chứng;
di: chênh lệch giá trị giữa kết quả của hệ thống và kết quả quan trắc đối chứng tại lần quan trắc đối chứng thứ i, di = CEMi - RMi;
CEMi: kết quả quan trắc của hệ thống tại lần quan trắc đối chứng thứ i;
RMi: kết quả quan trắc theo phương pháp quan trắc đối chứng tại lần quan trắc đối chứng thứ i.
3. Tính toán hệ số tin cậy theo công thức (3):

Trong đó:
cc (confidence coefficient): hệ số tin cậy;
Stdev (Standard deviation): độ lệch tiêu chuẩn của hai bộ số liệu quan trắc đối chứng;
n: tổng số lần thực hiện quan trắc đối chứng;
t0;025: hệ số t được quy chiếu theo n như Bảng sau:
|
n - 1 |
5 |
6 |
7 |
8 |
9 |
10 |
11 |
12 |
13 |
14 |
|
t0;025 |
2,571 |
2,447 |
2,365 |
2,306 |
2,262 |
2,228 |
2,201 |
2,179 |
2,160 |
2,145 |
4. Tính toán độ chính xác tương đối (RA) theo công thức (4)

Trong đó:
- RA (relative accuracy): độ chính xác tương đối (%);
d: độ sai khác giữa 02 bộ số liệu được tính theo công thức (1);
cc: hệ số tin cậy được tính theo công thức (3);
(reference Method): giá trị trung bình của tất cả các kết quả quan trắc đối chứng.
< 50% giá trị giới hạn của Quy chuẩn kỹ thuật quốc gia được áp dụng cho cơ sở thì thay thế giá trị
tại mẫu số của Công thức (4) bằng Giá trị giới hạn của Quy chuẩn kỹ thuật quốc gia được áp dụng cho cơPhụ lục 13
BIÊN BẢN KIỂM TRA CÁC ĐẶC TÍNH VÀ ĐỘ CHÍNH XÁC TƯƠNG ĐỐI CỦA HỆ THỐNG QUAN TRẮC NƯỚC THẢI TỰ ĐỘNG, LIÊN TỤC
(Ban hành kèm theo Thông tư số 10/2021/TT-BTNMT ngày 30 tháng 6 năm 2021 của Bộ trưởng Bộ Tài nguyên và Môi trường)
I. Thông tin cơ sở
- Tên cơ sở:
- Địa chỉ:
II. Thông tin đơn vị thực hiện kiểm tra
- Tên đơn vị kiểm tra:
- Địa chỉ:
- Đại diện:
- Thời gian kiểm tra:
III. Mục đích của việc kiểm tra
□ Kiểm tra trước khi hệ thống đi vào hoạt động chính thức.
□ Kiểm tra định kỳ (1 lần/năm).
□ Kiểm tra, thanh tra đột xuất.
IV. Hạng mục kiểm tra
1. Thông số quan trắc:
2. Vị trí quan trắc:
|
- |
Sau hệ thống xử lý nước thải và trước khi xả ra nguồn tiếp nhận |
Đạt □ Không đạt □ |
3. Phương án lắp đặt thiết bị quan trắc
a) Phương án trực tiếp
Các thông số quan trắc sử dụng phương án trực tiếp:
............................
|
- |
Các thiết bị quan trắc được đặt trực tiếp trong bể nước thải sau hệ thống xử lý, vị trí đặt các đầu đo phải cách ít nhất 10 cm từ bề mặt nước thải và ít nhất 15 cm từ đáy |
Đạt □ Không đạt □ |
b) Phương án gián tiếp
Các thông số quan trắc sử dụng phương án gián tiếp:
4. Thiết bị quan trắc
|
a. |
Vận hành liên tục, ổn định 24/24h (có bằng chứng kèm theo: bảng kết quả quan trắc) |
Có □ Không □ |
|
b. |
Đo và trả kết quả theo đơn vị mg/L (có bằng chứng kèm theo: chụp ảnh màn hình hiển thị hoặc bảng kết quả quan trắc dữ liệu gốc) |
Có □ Không □ |
|
c. |
Kết quả kiểm soát độ chính xác tương đối của các thiết bị quan trắc |
|
|
c.1 |
Các thiết bị được hiệu chuẩn theo quy định (kèm theo giấy chứng nhận hiệu chuẩn thiết bị) |
Có □ Không □ |
|
c.2 |
Quan trắc đối chứng |
|
|
- |
Phương pháp quan trắc đối chứng đối với thông số cụ thể |
(tên phương pháp) |
|
- |
Số lần quan trắc đối chứng |
........................ lần |
|
- |
Kết quả tính toán từ hai bộ số liệu quan trắc đối chứng đối với từng thông số Kết luận: thiết bị đạt tiêu chuẩn để hoạt động Đạt □ Không đạt □ |
Độ sai khác: Độ lệch tiêu chuẩn: Hệ số tin cậy: Độ chính xác tương đối (RA): .....% |
5. Hệ thống khác
|
a. |
- Thiết bị có khả năng thu thập, lưu giữ, truyền dữ liệu liên tục, tự động. Kết luận: thiết bị thu thập, lưu giữ, truyền đạt tiêu chuẩn để hoạt động |
Có □ Không □ Đạt □ Không đạt □ |
|
b. |
- Các chất chuẩn đối với các thông số quan trắc (liệt kê tên các chất chuẩn). - Số lượng chất chuẩn/ số lượng thông số môi trường được quan trắc. - Chất chuẩn còn hạn sử dụng. - Chất chuẩn có độ chính xác tối thiểu ± 5% (đối với pH là ± 0,1pH) - Chất chuẩn được liên kết chuẩn theo quy định của pháp luật về đo lường Kết luận: Chất chuẩn đạt tiêu chuẩn để hoạt động (Có giấy chứng nhận về chất chuẩn kèm theo) |
........................ ........../............ Còn □ Không □ Có □ Không □ Có □ Không □ Đạt □ Không đạt □ |
V. Kết luận
- Điều kiện hoạt động của hệ thống quan trắc nước thải tự động, liên tục:
Đủ điều kiện □ Không đủ điều kiện □
- Nếu hệ thống không đủ điều kiện, nêu nguyên nhân:
.........................................................................................................................
- Hành động khắc phục:
.........................................................................................................................
............, ngày ... tháng .... năm........
|
Đại diện đơn vị kiểm tra (Ký và ghi rõ họ tên) |
Đại diện nhà máy (Ký và ghi rõ họ tên) |
Phụ lục 14
BIÊN BẢN KIỂM TRA CÁC ĐẶC TÍNH VÀ ĐỘ CHÍNH XÁC TƯƠNG ĐỐI CỦA HỆ THỐNG QUAN TRẮC KHÍ THẢI TỰ ĐỘNG, LIÊN TỤC
(Ban hành kèm theo Thông tư số 10/2021/TT-BTNMT ngày 30 tháng 6 năm 2021 của Bộ trưởng Bộ Tài nguyên và Môi trường)
I. Thông tin cơ sở
Tên cơ sở:
Địa chỉ:
Loại hình sản xuất:
Công suất tối đa:
II. Thông tin đơn vị thực hiện kiểm tra
Tên đơn vị kiểm tra:
Địa chỉ:
Đại diện đơn vị:
Thời gian kiểm tra:
III. Mục đích của việc kiểm tra
□ Kiểm tra trước khi hệ thống đi vào hoạt động chính thức.
□ Kiểm tra định kỳ (1 lần/năm).
□ Kiểm tra, thanh tra đột xuất.
IV. Hạng mục kiểm tra
1. Thông số quan trắc:
....................................................................................................................
2. Vị trí lỗ quan trắc:
....................................................................................................................
|
- |
Đạt vị trí lấy mẫu tối ưu |
Có □ Không □ |
|
- |
Nếu không đạt vị trí tối ưu, có thỏa mãn các điều kiện: không nằm ở miệng ống khói, không ở vị trí ống bị co thắt, không ở gần quạt đẩy |
Có □ Không □ |
|
|
Kết luận: Vị trí lỗ quan trắc |
Có □ Không □ |
3. Phương án lắp đặt thiết bị quan trắc
a) Phương án trực tiếp trên thân ống khói (in-situ):
Các thông số quan trắc sử dụng phương án trực tiếp:
b) Phương án gián tiếp thông qua việc trích hút mẫu (extractive)
b.1) Các thông số quan trắc sử dụng phương án gián tiếp:
b.2) Ống hút mẫu
|
- |
Ống hút mẫu làm bằng vật liệu thép không gỉ |
Đạt □ Không đạt □ |
|
- |
Ống hút mẫu được đặt vuông góc với thành ống khói |
Đạt □ Không đạt □ |
|
- |
Ống hút mẫu có độ dài 1m hoặc bằng 30% đường kính trong của ống khói (hoặc đường kính tương đương với ống khói hình chữ nhật) |
Đạt □ Không đạt □ |
|
|
Kết luận: Ống hút mẫu |
Đạt □ Không đạt □ |
b.3) Ống dẫn mẫu
|
- |
Ống dẫn mẫu không bị co thắt, giãn nở |
Đạt □ Không đạt □ |
|
- |
Ống dẫn mẫu không bị gấp khúc một góc nhỏ hơn 90o |
Đạt □ Không đạt □ |
|
- |
Kết quả sai khác so với nồng độ khí chuẩn khi đo khí chuẩn |
Đạt □ Không đạt □ |
|
- |
Dòng khí thải đi qua ống dẫn mẫu phải được làm nóng |
Đạt □ Không đạt □ |
|
|
Kết luận: Ống dẫn mẫu |
Đạt □ Không đạt □ |
4. Thiết bị quan trắc
|
a. |
Vận hành liên tục, ổn định 24/24h (có bằng chứng kèm theo: bảng kết quả quan trắc) |
Có □ Không □ |
|
b. |
Đo và trả kết quả theo đơn vị mg/m3 hoặc mg/Nm3 (có bằng chứng kèm theo: chụp ảnh màn hình hiển thị hoặc bảng kết quả quan trắc dữ liệu gốc) |
Có □ Không □ |
|
c. |
Kết quả kiểm soát độ chính xác tương đối của các thiết bị quan trắc |
|
|
c.1 |
Các thiết bị được hiệu chuẩn theo quy định (kèm theo giấy chứng nhận hiệu chuẩn thiết bị) |
Có □ Không □ |
|
c.2 |
Quan trắc đối chứng |
|
|
- |
Phương pháp quan trắc đối chứng đối với thông số cụ thể |
(tên phương pháp) |
|
- |
Số lần quan trắc đối chứng |
lần |
|
- |
Kết quả tính toán từ hai bộ số liệu quan trắc đối chứng đối với từng thông số Kết luận: thiết bị đạt tiêu chuẩn để hoạt động Đạt □ Không đạt □ |
Độ sai khác: Độ lệch tiêu chuẩn: Hệ số tin cậy: Độ chính xác tương đối (RA): ......% |
5. Hệ thống khác
|
a. |
- Thiết bị có khả năng thu thập, lưu giữ, truyền dữ liệu liên tục, tự động theo đơn vị mg/Nm3 Kết luận: thiết bị thu thập, lưu giữ, truyền đạt tiêu chuẩn để hoạt động |
Có □ Không □ Đạt □ Không đạt □ |
|
b. |
- Các bình khí chuẩn đối với các thông số quan trắc (liệt kê tên các bình khí chuẩn). - Số lượng bình/ số lượng thông số môi trường được quan trắc. - Khí chuẩn còn hạn sử dụng. - Khí chuẩn có độ chính xác tối thiểu ± 5% - Khí chuẩn được liên kết chuẩn đến một trong các tổ chức Kết luận: các bình khí chuẩn đạt tiêu chuẩn để hoạt động (Có giấy chứng nhận về khí chuẩn kèm theo) |
.......................... ......./ Còn □ Không □ Có □ Không □ Có □ Không □ Đạt □ Không đạt □ |
V. Kết luận
- Điều kiện hoạt động của hệ thống quan trắc khí thải tự động, liên tục:
Đủ điều kiện □ Không đủ điều kiện □
- Nếu hệ thống không đủ điều kiện, nêu nguyên nhân:
...........................................................................................................................
- Hành động khắc phục:
...........................................................................................................................
............, ngày ... tháng .... năm........
|
Đại diện đơn vị kiểm tra (Ký và ghi rõ họ tên) |
Đại diện nhà máy (Ký và ghi rõ họ tên) |
Phụ lục 15
TÊN, CẤU TRÚC VÀ NỘI DUNG CỦA TỆP DỮ LIỆU
(Ban hành kèm theo Thông tư số 10/2021/TT-BTNMT ngày 30 tháng 6 năm 2021 của Bộ trưởng Bộ Tài nguyên và Môi trường)
1. Tên tệp dữ liệu: TenTinh_TenCoso_TenTram_Thoigian.txt
Trong đó:
TenTinh(*): viết tắt tên tỉnh nơi trạm/hệ thống quan trắc tự động, liên tục được lắp đặt, viết liền không dấu, được quy định theo Bảng 33 dưới đây.
Bảng 33. Bảng ký hiệu tên tỉnh
|
STT |
Tên tỉnh, thành phố |
Ký hiệu |
STT |
Tên tỉnh, thành phố |
Ký hiệu |
|
1 |
An Giang |
AG |
33 |
Kon Tum |
KT |
|
2 |
Bắc Kạn |
BK |
34 |
Lai Châu |
LC |
|
3 |
Bình Dương |
BD |
35 |
Lâm Đồng |
LD |
|
4 |
Bình Định |
BD4 |
36 |
Lạng Sơn |
LS |
|
5 |
Bắc Giang |
BG |
37 |
Lào Cai |
LCa |
|
6 |
Bạc Liêu |
BL |
38 |
Long An |
LA |
|
7 |
Bắc Ninh |
BN |
39 |
Nam Định |
ND |
|
8 |
Bình Phước |
BP |
40 |
Nghệ An |
NA |
|
9 |
Bến Tre |
BT |
41 |
Ninh Bình |
NB |
|
10 |
Bình Thuận |
BTh |
42 |
Ninh Thuận |
NT |
|
11 |
Bà Rịa - Vũng Tàu |
BV |
43 |
Phú Thọ |
PT |
|
12 |
Cao Bằng |
CB |
44 |
Phú Yên |
PY |
|
13 |
Cà Mau |
CM |
45 |
Quảng Bình |
QB |
|
14 |
Cần Thơ |
CT |
46 |
Quảng Nam |
QNa |
|
15 |
Đà Nẵng |
DNa |
47 |
Quảng Ngãi |
QNg |
|
1’6’ |
Đắk Lắc |
DL |
48 |
Quảng Ninh |
QN |
|
17 |
Đắk Nông |
DNo |
49 |
Quảng Trị |
QT |
|
18 |
Điện Biên |
DB |
50 |
Tp. Hồ Chí Minh |
HCM |
|
19 |
Đồng Nai |
DN |
51 |
Sơn La |
SL |
|
20 |
Đồng Tháp |
DT |
52 |
Sóc Trăng |
ST |
|
21 |
Gia Lai |
GL |
53 |
Tây Ninh |
TN |
|
22 |
Hà Giang |
HG |
54 |
Thái Bình |
TB |
|
23 |
Hà Nam |
HNa |
55 |
Thái Nguyên |
TNg |
|
24 |
Hà Nội |
HN |
56 |
Thanh Hoá |
TH |
|
25 |
Hà Tĩnh |
HT |
57 |
Thừa Thiên Huế |
TTH |
|
26 |
Hải Dương |
HD |
58 |
Tiền Giang |
TG |
|
27 |
Hải Phòng |
HP |
59 |
Tuyên Quang |
TQ |
|
28 |
Hậu Giang |
HGi |
60 |
Trà Vinh |
TV |
|
29’ |
Hoà Bình |
HB |
61 |
Vĩnh Long |
VL |
|
30 |
Hưng Yên |
HY |
62 |
Vĩnh Phúc |
Vp |
|
31 |
Kiên Giang |
KG |
63 |
Yên Bái |
YB |
|
32 |
Khánh Hoà |
KH |
|
|
|
TenCoSo(*): tên viết tắt của cơ sở viết liền không dấu, bao gồm 4 ký tự.
Tên trạm, hệ thống(*): tên trạm/hệ thống viết tắt, viết liền không dấu, bao gồm 6 ký tự (trạm nước gồm 3 ký tự NUO và 3 ký tự tên trạm, trạm khí gồm 3 ký tự KHI và 3 ký tự tên trạm/hệ thống).
Thoigian: là thời gian của kết quả thông số quan trắc được theo định dạng yyyyMMddhhmmss
Trong đó:
yyyy: là định dạng năm gồm bốn chữ số
MM: là định dạng tháng gồm hai chữ số
dd: là định dạng ngày gồm hai chữ số hh: là định dạng giờ gồm hai chữ số
mm: là định dạng phút gồm hai chữ số
ss: là định dạng giây gồm hai chữ số
(*): là các thông tin không được thay đổi trong suốt quá trình hoạt động của trạm
2. Cấu trúc và nội dung tệp dữ liệu
|
Thông số đo 1 |
Kết quả thông |
Đơn vị thông |
Thời gian |
Trạng thái của |
|
Thông số đo 2 ........................ |
Kết quả thông |
Đơn vị thông |
Thời gian |
Trạng thái của |
Ghi chú:
- Các cột cách nhau một khoảng trắng tương đương với một phím TAB.
- Thông số đo: là ký hiệu thông số của trạm quan trắc
- Đơn vị đo: là ký hiệu đơn vị đo của thông số quan trắc.
- Ký hiệu thông số đo và đơn vị đo được ví dụ như Bảng 34 dưới đây:
Bảng 34. Ký hiệu thông số đo và đơn vị đo
|
STT |
Thông số đo |
Ký hiệu |
Đơn vị đo |
|
I |
Đối với trạm quan trắc nước mặt và hệ thống quan trắc nước thải tự động, liên tục |
||
|
1 |
Lưu lượng |
Flow - Đầu vào: Flow in 1, Flow in 2, .., - Đầu ra: Flow out 1, Flow out 2, ... |
m3/h |
|
2 |
Nhiệt độ |
Temp |
oC |
|
3 |
Độ màu |
Color |
Pt-Co |
|
4 |
pH |
pH |
- |
|
5 |
Tổng chất rắn lơ lửng |
TSS |
mg/L |
|
6 |
Nhu cầu oxy hóa học |
COD |
mg/L |
|
7 |
Amoni |
NH4+ |
mg/L |
|
8 |
Tổng phốt pho |
TP |
mg/L |
|
9 |
Tổng nitơ |
TN |
mg/L |
|
10 |
Tổng cacbon hữu cơ |
TOC |
mg/L |
|
11 |
Clo dư |
Cl |
mg/L |
|
II |
Đối với hệ thống quan trắc khí thải tự động, liên tục |
||
|
1 |
Nhiệt độ |
Temp |
oC |
|
2 |
Độ ẩm |
RH |
% |
|
3 |
Lưu lượng |
Flow |
m3/h |
|
4 |
Áp suất |
P |
kPa |
|
5 |
Nitơ monoxit |
NO |
mg/Nm3 |
|
6 |
Nitơ dioxit |
NO2 |
mg/Nm3 |
|
7 |
Cacbon monoxit |
CO |
mg/Nm3 |
|
8 |
Sunfua dioxit |
SO2 |
mg/Nm3 |
|
9 |
Oxy |
O2 |
%V |
|
10 |
Hydro sunfua |
H2S |
mg/Nm3 |
|
11 |
Amoniac |
NH3 |
mg/Nm3 |
|
12 |
Hơi thủy ngân |
VHg |
mg/Nm3 |
|
13 |
Bụi |
PM |
mg/Nm3 |
|
III |
Đối với trạm quan trắc chất lượng không khí tự động, liên tục |
||
|
1 |
Nhiệt độ |
Temp |
oC |
|
2 |
Độ ẩm |
RH |
% |
|
3 |
Nitơ dioxit |
NO2 |
µg/Nm3 |
|
4 |
Cacbon monoxit |
CO |
µg/Nm3 |
|
5 |
Sunfua dioxit |
SO2 |
µg/Nm3 |
|
6 |
Ozone |
O3 |
µg/Nm3 |
|
7 |
Bụi PM10 |
PM10 |
µg/Nm3 |
|
8 |
Bụi PM2,5 |
PM2,5 |
µg/Nm3 |
Kết quả thông số: Là kết quả quan trắc của các thông số mà trạm/hệ thống quan trắc trả ra.
Thời gian: Là thời gian gắn với kết quả của thông số quan trắc được, định dạng thời gian được quy định là yyyyMMddhhmmss.
Trạng thái của thiết bị đo (đang đo, hiệu chuẩn và báo lỗi thiết bị) được quy định bởi các mã số. Mỗi mã số tương ứng mỗi trạng thái của thiết bị đo theo Bảng 35 dưới đây.
Bảng 35. Mã số trạng thái đo của thiết bị
|
Mã số |
Trạng thái của thiết bị đo |
|
00 |
đang đo |
|
01 |
hiệu chuẩn |
|
02 |
báo lỗi thiết bị |
3. Yêu cầu về việc sắp xếp tệp dữ liệu truyền
Thư mục lưu trữ số liệu tại máy chủ phải được phân biệt theo ngày, tháng, năm riêng biệt như sau: (Tên ổ đĩa)://TramA/yyyy/mm/dd,
Trong đó:
- TramA là tên của trạm, hệ thống quan trắc môi trường tự động, liên tục A;
- yyyy là định dạng năm gồm 4 chữ số;
- mm: là định dạng tháng gồm 2 chữ số;
- dd: là định dạng ngày gồm 2 chữ số.
Ví dụ:

Phụ lục 16
BÁO CÁO SỐ LIỆU QUAN TRẮC CHẤT LƯỢNG MÔI TRƯỜNG
(Ban hành kèm theo Thông tư số 10/2021/TT-BTNMT ngày 30 tháng 6 năm 2021 của Bộ trưởng Bộ Tài nguyên và Môi trường)
Biểu A1. Báo cáo kết quả quan trắc chất lượng môi trường đợt.
Biểu A2. Báo cáo kết quả quan trắc chất lượng môi trường năm.
Biểu A3. Báo cáo tổng hợp kết quả quan trắc quý đối với trạm quan trắc chất lượng không khí và nước tự động, liên tục.
Biểu A4. Báo cáo tổng hợp kết quả quan trắc năm trạm quan trắc chất lượng không khí và nước tự động, liên tục.
Biểu A1. Báo cáo kết quả quan trắc chất lượng môi trường đợt
|
ĐƠN VỊ CHỦ QUẢN CẤP TRÊN ĐƠN VỊ CHỦ QUẢN ____________
BÁO CÁO KẾT QUẢ QUAN TRẮC CHẤT LƯỢNG MÔI TRƯỜNG VÙNG QUAN TRẮC....................... ĐỢT .................... NĂM....................
Cơ quan thực hiện: ......................................................
(ĐỊA PHƯƠNG)……………., THÁNG………NĂM…….
|
|
ĐƠN VỊ CHỦ QUẢN CẤP TRÊN ĐƠN VỊ CHỦ QUẢN ____________
BÁO CÁO KẾT QUẢ QUAN TRẮC CHẤT LƯỢNG MÔI TRƯỜNG VÙNG QUAN TRẮC..............................
Thời gian quan trắc: Từ ngày... tháng... đến ...ngày.... tháng....
Cơ quan chủ trì: ......................................................
Phụ trách đơn vị (Ký tên, đóng dấu)
(ĐỊA PHƯƠNG)……………., THÁNG………NĂM…….
|
1. Giới thiệu chung về chương trình quan trắc
- Giới thiệu sơ lược phạm vi thực hiện của nhiệm vụ (địa bàn thực hiện quan trắc).
Bảng 1. Thông tin về các điểm quan trắc
|
STT |
Tên điểm quan trắc |
Ký hiệu điểm quan trắc |
Thông số quan trắc |
Mô tả điểm quan trắc |
Vị trí lấy mẫu |
Tên sông, hồ, kênh, rạch (đối với nước mặt) |
|
|
Kinh độ |
Vĩ độ |
||||||
|
I |
Thành phần môi trường... |
||||||
|
1 |
Điểm quan trắc 1 |
Kí hiệu 1 |
pH, NH4+, COD, TSS.. |
Điểm gần nhà máy A |
106o08.465’ |
21o12.881 ’ |
Sông A |
|
2 |
Điểm quan trắc 2 |
|
nt |
|
|
|
Hồ B |
|
3 |
|
|
|
|
|
|
Rạch C |
|
II |
Thành phần môi trường... |
||||||
|
1 |
Điểm quan trắc 1 |
|
SO2, CO, NOx... |
Số 41 Phố X, Quận Y, Tp Z |
|
|
|
|
2 |
Điểm quan trắc 2 |
|
nt |
|
|
|
|
|
3 |
|
|
|
|
|
|
|
Chú ý:
- Tọa độ: theo quy định.
- Đối với điểm quan trắc nước trên cùng 1 dòng sông: sắp xếp các điểm quan trắc từ thượng nguồn tới hạ nguồn.
- nt: như trên
2. Nhận xét và đánh giá kết quả quan trắc
- Đánh giá về các số liệu và kết quả quan trắc của đợt theo từng khu vực và từng thành phần môi trường quy định trong chương trình quan trắc đã được phê duyệt so sánh với các QCVN và TCVN hiện hành. Tối thiểu thực hiện đánh giá đối với các thông số sau (trong trường hợp có thực hiện trong chương trình quan trắc):
+ Chất lượng nước mặt, nước biển ven bờ: COD, pH, nhiệt độ, TSS, DO, NH4+, Nitrat (hoặc Tổng Nitơ), phôtphat (hoặc Tổng Phốtpho), tổng Coliforms, dầu mỡ khoáng;
+ Chất lượng nước biển gần bờ và xa bờ: pH, As, Cd, Cu, Zn, Pb, dầu mỡ khoáng;
+ Chất lượng không khí xung quanh: SO2, NOx, CO, O3, bụi tổng TSP, PM10, PM2,5;
+ Chất lượng môi trường đất: pH, các kim loại nặng, hóa chất bảo vệ thực vật.
- Vẽ biểu đồ và nhận xét sơ bộ về chất lượng môi trường theo không gian của từng thành phần môi trường (các biểu đồ có dạng cơ bản như dạng cột, dạng đường...). Thống kê các điểm quan trắc có thông số vượt quy chuẩn và các vấn đề bất thường nếu có (sơ bộ giải thích nguyên nhân).
- So sánh chất lượng môi trường cùng thời điểm của những năm trước và với các đợt quan trắc khác trong năm (nếu có).
- Khuyến khích đánh giá chất lượng nước mặt bằng chỉ số chất lượng nước WQI.
3. Đánh giá việc thực hiện công tác QA/QC theo quy định
3.1. Kết quả QA/QC hiện trường
- Mô tả triển khai hoạt động QA/QC trong đo, lấy mẫu, bảo quản và vận chuyển mẫu hiện trường
- Thống kê số lượng mẫu thực và mẫu QC của đợt thực hiện quan trắc, so sánh kết quả phòng thí nghiệm và tính toán sai số theo công thức được lựa chọn (trình bày công thức áp dụng)...
- Nhận xét, đánh giá kết quả mẫu trắng hiện trường, mẫu trắng vận chuyển, mẫu đúp...
3.2. Kết quả QA/QC trong phòng thí nghiệm
- Công tác quản lý mẫu: mô tả các điều kiện về bảo quản mẫu theo các thông số phân tích, mã hóa mẫu, việc lưu giữ mẫu sau khi phân tích;
- Công tác thực hiện kiểm soát chất lượng trong hoạt động phân tích môi trường: việc thực hiện mẫu QC phòng thí nghiệm theo từng mẻ mẫu;
- Việc áp dụng các tiêu chí kiểm soát chất lượng theo phương pháp tiêu chuẩn yêu cầu và theo quy định tại Thông tư này;
- Nhận xét, đánh giá kết quả phân tích các mẫu lặp Phòng thí nghiệm, mẫu chuẩn thẩm tra, mẫu thêm chuẩn.
4. Kết luận
- Đánh giá chung về chất lượng môi trường theo từng thành phần quan trắc.
- Đánh giá diễn biến, xu hướng chất lượng môi trường so với kết quả quan trắc các đợt trước hoặc so với cùng thời điểm của các năm trước đối với từng thông số: xác định rõ xu hướng diễn biến tăng/giảm đối với từng thông số;
- Nhận định sơ bộ về nguyên nhân gây ra các kết quả hoặc diễn biến chất lượng môi trường căn cứ theo thời điểm thực tế quan trắc, điều kiện khí tượng thủy văn, các tác động có thể của bên ngoài lên môi trường (nội dung không bắt buộc thực hiện trong báo cáo).
PHỤ LỤC BÁO CÁO
Tổng hợp kết quả quan trắc đợt.
Biểu A2. Báo cáo kết quả quan trắc chất lượng môi trường năm
|
ĐƠN VỊ CHỦ QUẢN CẤP TRÊN ĐƠN VỊ CHỦ QUẢN _____________
BÁO CÁO TỔNG HỢP KẾT QUẢ QUAN TRẮC CHẤT LƯỢNG MÔI TRƯỜNG
VÙNG QUAN TRẮC............................. NĂM.......................
Cơ quan thực hiện: ......................................................
(ĐỊA PHƯƠNG)………….., THÁNG ….. NĂM …….
|
|
ĐƠN VỊ CHỦ QUẢN CẤP TRÊN ĐƠN VỊ CHỦ QUẢN _______________
BÁO CÁO TỔNG HỢP KẾT QUẢ QUAN TRẮC CHẤT LƯỢNG MÔI TRƯỜNG
VÙNG QUAN TRẮC............................ NĂM...........................
Cơ quan chủ trì: ........................................................
Phụ trách đơn vị (Ký tên, đóng dấu)
(ĐỊA PHƯƠNG)………….., THÁNG ….. NĂM …….
|
Mục lục
Danh mục từ viết tắt
Danh mục bảng biểu
Danh mục hình vẽ
Danh sách những người tham gia
Người chịu trách nhiệm chính
Những người thực hiện
1. MỞ ĐẦU
1.1. Giới thiệu chung nhiệm vụ
- Giới thiệu sơ lược phạm vi thực hiện của nhiệm vụ (địa bàn thực hiện quan trắc)
- Đơn vị tham gia phối hợp (ghi rõ các chứng chỉ kèm theo: ISO, Vilas, VIMCERTs - giấy chứng nhận đủ điều kiện quan trắc)
- Vị trí quan trắc (bản đồ/sơ đồ minh họa điểm quan trắc)
- Thời gian thực hiện chương trình quan trắc
- Giới thiệu chung về tần suất quan trắc, thời gian cụ thể tiến hành quan trắc của từng đợt trong năm.
Bảng 1. Số lượng các điểm quan trắc theo khu vực
|
Khu vực quan trắc |
Số điểm quan trắc |
||
|
Thành phần môi trường 1 |
Thành phần môi trường 2 |
Thành phần môi trường.... |
|
|
Khu vực 1 |
|
|
|
|
Khu vực 2 |
|
|
|
|
.... |
|
|
|
|
Tổng cộng |
|
|
|
Ghi chú: Khu vực quan trắc là tập hợp các điểm được chia theo vị trí địa lý hoặc được chia dựa theo thuyết minh được phê duyệt.
1.2. Tổng quan địa điểm, thông số, tần suất quan trắc
Bảng 2. Thông tin về các điểm quan trắc
|
STT |
Tên điểm quan trắc |
Ký hiệu điểm quan trắc |
Thông số quan trắc |
Mô tả điểm quan trắc (địa chỉ) |
Vị trí lấy mẫu |
Tần suất (đợt/ năm) |
Tên sông, hồ, kênh, rạch (đối với nước mặt) |
|
|
Kinh độ |
Vĩ độ |
|||||||
|
I |
Thành phần môi trường... |
|||||||
|
1 |
Điểm quan trắc 1 |
Kí hiệu 1 |
pH, NH4+, COD, TSS.. |
Điểm gần nhà máy A |
106o08.465’ |
21o12.881 ’ |
6 |
Sông A |
|
2 |
Điểm quan trắc 2 |
|
nt |
Nút giao thông |
|
|
6 |
Hồ B |
|
3 |
.... |
|
|
|
|
|
4 |
Rạch C |
|
II |
Thành phần môi trường... |
|||||||
|
1 |
Điểm quan trắc 1 |
|
SO2, CO, NOx... |
Số 41 Phố X, Quận Y, Tp Z |
|
|
12 |
|
|
2 |
Điểm quan trắc 2 |
|
|
|
|
|
4 |
|
|
3 |
|
|
|
|
|
|
|
|
Ghi chú:
- Tọa độ: theo quy định.
- Đối với điểm quan trắc nước trên cùng 1 dòng sông: sắp xếp các điểm quan trắc từ thượng nguồn tới hạ nguồn.
- nt: như trên
2. Nhận xét và đánh giá kết quả quan trắc
- Đánh giá về các số liệu và kết quả quan trắc của các đợt theo từng khu vực và từng thành phần môi trường trong chương trình quan trắc đã được phê duyệt so sánh với các QCVN và TCVN hiện hành. Tối thiểu thực hiện đánh giá đối với các thông số sau (trong trường hợp có thực hiện trong chương trình quan trắc):
+ Chất lượng nước mặt, nước biển ven bờ: COD, pH, nhiệt độ, TSS, DO, NH4+, Nitrat (hoặc Tổng Nitơ), phôtphat (hoặc Tổng Phốtpho), tổng Coliforms, dầu mỡ khoáng;
+ Chất lượng nước biển gần bờ và xa bờ: pH, As, Cd, Cu, Zn, Pb, dầu mỡ khoáng;
+ Chất lượng không khí xung quanh: SO2, NOx, CO, O3, bụi tổng TSP, PM10, PM2,5;
+ Chất lượng môi trường đất: pH, các kim loại nặng, hóa chất bảo vệ thực vật.
- Vẽ biểu đồ và nhận xét sơ bộ về chất lượng môi trường theo không gian của từng thành phần môi trường (các biểu đồ có dạng cơ bản như dạng cột, dạng đường...). Thống kê các điểm quan trắc có thông số vượt quy chuẩn và các vấn đề bất thường nếu có (sơ bộ giải thích nguyên nhân).
- So sánh với các kết quả quan trắc của các năm trước và giữa các đợt quan trắc khác trong năm nhằm đánh giá diễn biến chất lượng của từng thành phần môi trường theo thời gian.
- Khuyến khích tính toán chỉ số chất lượng nước (WQI) đối với kết quả quan trắc nước mặt. So sánh, đánh giá, nhận xét các kết quả WQI giữa các điểm và giữa các đợt trong năm và so sánh với năm trước.
3. Đánh giá việc thực hiện công tác QA/QC theo quy định và xử lý, thống kê số liệu quan trắc môi trường
3.1. Kết quả QA/QC hiện trường
- Mô tả triển khai hoạt động QA/QC trong đo, lấy mẫu, bảo quản và vận chuyển mẫu hiện trường
- Thống kê số lượng mẫu thực và mẫu QC của đợt thực hiện quan trắc, so sánh kết quả phòng thí nghiệm và tính toán sai số theo công thức được lựa chọn (trình bày công thức áp dụng)...
- Nhận xét, đánh giá kết quả mẫu trắng hiện trường, mẫu trắng vận chuyển, mẫu đúp...
3.2. Kết quả QA/QC trong phòng thí nghiệm
- Công tác quản lý mẫu: mô tả các điều kiện về bảo quản mẫu theo các thông số phân tích, mã hóa mẫu, việc lưu giữ mẫu sau khi phân tích;
- Công tác thực hiện kiểm soát chất lượng trong hoạt động phân tích môi trường: việc thực hiện mẫu QC phòng thí nghiệm theo từng mẻ mẫu;
- Việc áp dụng các tiêu chí kiểm soát chất lượng theo phương pháp tiêu chuẩn yêu cầu và theo quy định tại Thông tư này;
- Nhận xét, đánh giá kết quả phân tích các mẫu lặp Phòng thí nghiệm, mẫu chuẩn thẩm tra, mẫu thêm chuẩn.
3.3. Xử lý số số liệu quan trắc môi trường
Báo cáo sơ bộ việc xử lý số liệu quan trắc môi trường để lập báo cáo:
- Việc tính toán, thống kê kết quả quan trắc theo năm từ các số liệu quan trắc đợt (giá trị trung bình);
- Việc lựa chọn, loại bỏ các số liệu trong quá trình xử lý;
- Tính toán chỉ số WQI theo đợt và theo năm (nếu có).
4. Kết luận và kiến nghị
4.1. Kết luận
- Đánh giá chung về chất lượng môi trường theo từng thành phần quan trắc.
- Thống kê số lượng, tỷ lệ điểm quan trắc vượt mức QCVN so sánh theo từng thông số và khu vực quan trắc.
- Đánh giá diễn biến, xu hướng chất lượng môi trường so với kết quả quan trắc môi trường của các năm trước đối với từng thông số, xác định rõ xu hướng diễn biến tăng/giảm đối với từng thông số;
- Nhận định sơ bộ về nguyên nhân gây ra các kết quả hoặc diễn biến chất lượng môi trường căn cứ theo thời điểm thực tế quan trắc, điều kiện khí tượng thủy văn, các tác động có thể của bên ngoài lên môi trường, quá trình theo dõi số liệu quan trắc trong nhiều năm (nội dung không bắt buộc thực hiện trong báo cáo).
4.2. Kiến nghị
Đề xuất các kiến nghị
PHỤ LỤC
Tổng hợp kết quả quan trắc năm
Bảng 3. Kết quả quan trắc thành phần môi trường: Nước mặt, nước biển,
nước mưa, nước ngầm, không khí xung quanh, trầm tích, đất
|
STT |
Ký hiệu điểm quan trắc |
Ký hiệu mẫu |
Nhóm thông số |
Nhóm thông số |
||
|
Thông số |
Thông số |
Thông số |
Thông số |
|||
|
Đơn vị đo |
Đơn vị đo |
Đơn vị đo |
Đơn vị đo |
|||
|
1 |
Ký hiệu điểm 1 |
Đợt 01 |
|
|
|
|
|
Đợt 02 |
|
|
|
|
||
|
Đợt... |
|
|
|
|
||
|
Trung bình năm |
|
|
|
|
||
|
2 |
Ký hiệu điểm 2 |
Đợt 01 |
|
|
|
|
|
Đợt 02 |
|
|
|
|
||
|
Đợt... |
|
|
|
|
||
|
Trung bình năm |
|
|
|
|
||
|
3 |
Ký hiệu điểm ... |
Đợt 01 |
|
|
|
|
|
Đợt 02 |
|
|
|
|
||
|
Đợt... |
|
|
|
|
||
|
Trung bình năm |
|
|
|
|
||
|
Giá trị QCVN hiện hành |
|
|
|
|
|
|
Ghi chú:
- Kết quả quan trắc theo từng thành phần môi trường được biểu diễn thành các bảng riêng;
- Bảng có thể xoay dọc hoặc ngang tùy theo số lượng điểm/mẫu và thông số quan trắc.
Bảng 4. Kết quả quan trắc tiếng ồn và cường độ xe
|
STT |
Ký hiệu điểm quan trắc |
Đợt |
Giờ |
Độ ồn (dBA) |
Cường độ dòng xe (Chiếc) |
||||
|
LAeq |
LAmax |
Xe máy/Mô tô |
Xe con < 12 chỗ |
Xe tải, xe khách |
Xe cực lớn > 10 bánh |
||||
|
1 |
Ký hiệu điểm 1 |
Đợt 1 |
|
|
|
|
|
|
|
|
|
|
|
|
|
|
|
|||
|
Đợt 2 |
|
|
|
|
|
|
|
||
|
|
|
|
|
|
|
|
|||
|
... |
|
|
|
|
|
|
|
||
|
2 |
Ký hiệu điểm 2 |
Đợt 1 |
|
|
|
|
|
|
|
|
|
|
|
|
|
|
|
|||
|
Đợt 2 |
|
|
|
|
|
|
|
||
|
|
|
|
|
|
|
|
|||
|
.... |
|
|
|
|
|
|
|||
|
3 |
Ký hiệu điểm... |
|
|
|
|
|
|
|
|
|
|
|
|
|
|
|
|
|
||
|
Giá trị QCVN/TCVN hiện hành |
|
|
|
|
|
|
|
||
Bảng 5. Kết quả quan trắc sinh vật
|
STT |
Tên khoa học |
Ký hiệu điểm quan trắc |
|||||
|
Đợt 1 |
Đợt 2 |
Đợt ... |
|||||
|
Mẫu 1 |
Mẫu ... |
Mẫu 1 |
Mẫu ... |
Mẫu 1 |
Mẫu ... |
||
|
1 |
Ngành |
|
|
|
|
|
|
|
2 |
Lớp |
|
|
|
|
|
|
|
3 |
Bộ |
|
|
|
|
|
|
|
4 |
Họ |
|
|
|
|
|
|
|
5 |
Loài |
|
|
|
|
|
|
Biểu A3: Báo cáo tổng hợp kết quả quan trắc quý trạm quan trắc chất lượng không khí và nước mặt tự động, liên tục
|
ĐƠN VỊ CHỦ QUẢN CẤP TRÊN ĐƠN VỊ CHỦ QUẢN _____________
BÁO CÁO KẾT QUẢ QUAN TRẮC TRẠM QUAN TRẮC CHẤT LƯỢNG KHÔNG KHÍ VÀ NƯỚC MẶT TỰ ĐỘNG, LIÊN TỤC TẠI ............., QUÝ ............ NĂM ..............
Cơ quan thực hiện: ................................................
(ĐỊA PHƯƠNG)……………., THÁNG………NĂM…….
|
|
ĐƠN VỊ CHỦ QUẢN CẤP TRÊN ĐƠN VỊ CHỦ QUẢN ____________
BÁO CÁO KẾT QUẢ QUAN TRẮC TRẠM QUAN TRẮC CHẤT LƯỢNG KHÔNG KHÍ VÀ NƯỚC MẶT TỰ ĐỘNG, LIÊN TỤC TẠI ...................., QUÝ NĂM ..................
Cơ quan thực hiện: ......................................
Phụ trách đơn vị (Ký tên, đóng dấu)
(ĐỊA PHƯƠNG), NGÀY....THÁNG .... NĂM ....
|
1. Trạm quan trắc tự động chất lượng không khí xung quanh
1.1 Giới thiệu chung về các trạm quan trắc chất lượng không khí xung quanh trên địa bàn
- Giới thiệu vị trí/ khu vực đặt trạm quan trắc;
- Danh mục thông số quan trắc đối với từng trạm;
- Phương pháp, nguyên lý đo, hãng sản xuất, tên của các thiết bị;
- Tần suất, cách thức thu nhận, lưu trữ và truyền số liệu.
Bảng 1. Thông tin trạm quan trắc không khí tự động
|
STT |
Địa phương đặt trạm quan trắc |
Tên trạm |
Thời gian bắt đầu vận hành |
Công nghệ |
Đơn vị quản lý |
Mô tả vị trí quan trắc |
Thông số quan trắc |
Tình trạng hoạt động |
|
1 |
Đà Nẵng |
Trạm khí A |
2011 |
Trạm cố định |
|
Số 41 phố X, Quận Y, TP Z |
nhiệt độ, độ ẩm, SO2,NOx-NO- NO2,CO,O3... |
Ngừng hoạt động/hỏng đầu đo CO |
|
2 |
Khánh Hoà |
Trạm khí B |
2012 |
Trạm cố định/Cảm biến điện hóa |
Sở TNMT |
Trụ sở UBND xã X, huyện Y |
Bức xạ mặt trời, hướng gió, tốc SO2,NOx-NO-NO2, CO,O3. |
Đang hoạt động |
|
3 |
... |
... |
... |
... |
... |
... |
... |
... |
Bảng 2. Thông tin đặc tính kỹ thuật các thiết bị quan trắc tại trạm
|
STT |
Tên trạm |
Tên thiết bị đo |
Model thiết bị |
Hãng sản xuất/Quốc gia |
Hiện trạng hoạt động trong quý |
|
1 |
Trạm khí A |
Thiết bị đo SO2 |
|
Hãng A/Nhật bản |
Hoạt động bình thường |
|
Thiết bị đo NOx |
|
Hãng A /Nhật bản |
Không hoạt động từ 04/01 đến tháng 01/02 |
||
|
Thiết bị đo CO |
|
Hãng A /Nhật bản |
Đang ngừng hoạt động từ tháng 2 |
||
|
.... |
|
|
|
||
|
2 |
Trạm khí B |
Thiết bị đo SO2 |
.... |
.... |
.... |
|
Thiết bị đo NOx |
.... |
.... |
.... |
||
|
Thiết bị đo CO |
.... |
.... |
.... |
||
|
...... |
.... |
.... |
.... |
||
|
3 |
.... |
.... |
.... |
.... |
|
1.2. Nhận xét và đánh giá kết quả quan trắc chất lượng không khí
1.2.1. Mức độ đầy đủ của các kết quả quan trắc
- Đánh giá hiện trạng thu nhận, truyền nhận, lưu trữ số liệu trong quý;
- Đánh giá tỉ lệ số liệu thu được, tỉ lệ số liệu hợp lệ, giải thích nguyên nhân nếu số liệu nhận được không đầy đủ.
Ghi chú:
- Tỉ lệ số liệu thu được là tỉ số giữa số lượng số liệu thu thực tế so với số lượng số liệu thu được theo thiết kế.
- Tỉ lệ số liệu hợp lệ là tỉ số giữa số số liệu thu được sau khi đã loại bỏ các số liệu lôi, số liệu bất thường so với số liệu thu được theo thiết kế.
Bảng 3. Bảng thống kê số liệu quan trắc nhận được trong quý đối với 1
trạm
|
Nội dung |
Thông số 1 |
Thông số 2 |
Thông số 3 |
Thông số 4 |
Thông số |
Thông số n |
|
Số giá trị nếu quan trắc đầy đủ |
|
|
|
|
|
|
|
Số giá trị quan trắc nhận được |
|
|
|
|
|
|
|
Số giá trị quan trắc hợp lệ |
|
|
|
|
|
|
|
Tỷ lệ số liệu nhận được (%) |
|
|
|
|
|
|
|
Tỷ lệ số liệu hợp lệ (%) |
|
|
|
|
|
|
1.2.2. Kết quả quan trắc các thông số khí tượng
- Dựa trên kết quả quan trắc các thông số khí tượng (bức xạ mặt trời, nhiệt độ, độ ẩm, áp suất, tốc độ gió,...), xây dựng biểu đồ để đánh giá diễn biến các thông số khí tượng;
- Nhận xét và đánh giá chung về diễn biến của các thông số trong tháng, thời điểm cao nhất, thấp nhất.
1.2.3. Kết quả quan trắc các thông số môi trường
a. Kết quả quan trắc theo trung bình 24 giờ
- Tính toán kết quả quan trắc các thông số theo trung bình 24 giờ (Phụ lục 1).
- Biểu diễn các giá trị quan trắc đã tính toán dưới dạng biểu đồ kèm theo phân tích, đánh giá về chất lượng môi trường theo từng thông số. So sánh giá trị quan trắc các thông số với Quy chuẩn Việt Nam.
- Xác định quy luật diễn biến các thông số trong quý.
- Các trường hợp bất thường, các thông số có mức độ ô nhiễm cao, giải thích nguyên nhân.
b. Kết quả quan trắc theo trung bình 8 giờ (chỉ áp dụng đối với các thông số không quy định trung bình 24h nhưng có quy định trung bình 8 giờ trong QCVN)
- Tính toán kết quả quan trắc các thông số theo trung bình 8 giờ lớn nhất trong ngày (Phụ lục 2).
- Biểu diễn các giá trị quan trắc đã tính toán dưới dạng biểu đồ kèm theo phân tích, đánh giá về chất lượng môi trường theo từng thông số. So sánh giá trị quan trắc các thông số với QCVN.
- Xác định quy luật diễn biến các thông số trong quý.
- Các trường hợp bất thường, các thông số có mức độ ô nhiễm cao, giải thích nguyên nhân.
c. Kết quả quan trắc theo trung bình 1 giờ (chỉ áp dụng đối với các thông số không quy định trung bình 24h và trung bình 8h nhưng có quy định trung bình 1 giờ trong QCVN)
- Tính toán kết quả quan trắc các thông số theo trung bình 1 giờ lớn nhất trong ngày của Quý (Phụ lục 3). Biểu diễn các giá trị quan trắc đã tính toán dưới dạng biểu đồ kèm theo phân tích, đánh giá về chất lượng môi trường theo từng thông số. So sánh giá trị quan trắc các thông số với QCVN.
- Xác định quy luật diễn biến các thông số trong quý.
- Các trường hợp bất thường, các thông số có mức độ ô nhiễm cao, giải thích nguyên nhân.
d. Thống kê số ngày vượt quy chuẩn trong Quý:
Bảng 4. Số ngày trong quý vượt quy chuẩn theo từng thông số
|
Tên Trạm |
Thông số 1 (ngày) |
Thông số 2 (ngày) |
Thông số 3 (ngày) |
Thông số 4 (ngày) |
Thông số ..... (ngày) |
Thông số n (ngày) |
|
Trạm khí A |
11 |
02 |
.... |
.... |
.... |
.... |
|
Trạm khí B |
|
|
|
|
|
|
|
..... |
|
|
|
|
|
|
Ghi chú:
- Đối với các thông số không quy định trung bình 24 giờ trong QCVN thì sử dụng kết quả quan trắc trung bình 8 giờ lớn nhất;
- Đối với các thông số không quy định trung bình 24 giờ và trung bình 8 giờ trong QCVN thì sử dụng kết quả quan trắc trung bình 1 giờ lớn nhất.
1.2.4. Kết quả tính toán chỉ số chất lượng không khí (AQI)
- Tính toán giá trị AQI theo ngày
- Dựa trên kết quả tính toán AQI, nhận xét, đánh giá số ngày ở mức tốt, trung bình, kém...; đánh giá các thời điểm trong ngày có giá trị AQI cao nhất trong quý.
Bảng 5. Thống kê giá trị AQI ngày trong quý theo các khoảng giá trị
|
Khoảng giá trị AQI |
Chất lượng không khí |
Số ngày |
Tỷ lệ % |
|
0-50 |
Tốt |
|
|
|
51-100 |
Trung bình |
|
|
|
101-200 |
Kém |
|
|
|
201-300 |
Xấu |
|
|
|
Trên 300 |
Nguy hại |
|
|
2. Trạm quan trắc tự động chất lượng nước
2.1 Giới thiệu chung về các trạm quan trắc chất lượng nước trên địa bàn
- Giới thiệu vị trí/ khu vực đặt trạm quan trắc;
- Danh mục thông số quan trắc đối với từng trạm;
- Phương pháp, nguyên lý đo, hãng sản xuất, tên của các thiết bị;
- Tần suất, cách thức thu nhận, lưu trữ và truyền số liệu.
Bảng 6. Thông tin trạm quan trắc nước mặt
|
STT |
Địa phương đặt trạm quan trắc |
Tên trạm |
Thời gian bắt đầu vận hành |
Đơn vị quản lý |
Mô tả vị trí quan trắc |
Thông số quan trắc |
Tình trạng hoạt động |
|
1 |
Bình Dương |
Trạm nước A |
2014 |
Sở TNMT |
Khuôn viên của trạm thủy văn A tại ấp B, xã C, huyện D |
Nhiệt độ, Ph/ORP, OXY hòa tan (DO), độ dẫn điện,độ đục, tổng chất rắn lơ lửng, nitrat |
Đang hoạt động |
|
2 |
Thừa Thiên Huế |
Trạm nước B |
2014 |
Tổng cục Môi trường |
|
Nhiệt độ, Ph/ORP, OXY hòa tan (DO), độ dẫn điện,độ đục, tổng chất rắn lơ lửng, nitrat |
Đang hoạt động |
|
3 |
.... |
.... |
.... |
.... |
.... |
.... |
.... |
Bảng 7. Thông tin đặc tính kỹ thuật các thiết bị quan trắc tại trạm quan trắc chất lượng nước
|
STT |
Tên trạm |
Tên thiết bị đo |
Model |
Hãng sản xuất/Quốc gia |
Hiện trạng hoạt động trong quý |
|
1 |
Trạm nước A |
Thiết bị đo pH |
|
Hãng A/Mỹ |
Hoạt động bình thường |
|
Thiết bị đo DO |
|
Hãng A/Mỹ |
Không hoạt động từ tháng 04/01 đến tháng 03/02 |
||
|
Thiết bị đo TSS |
|
Hãng A/Mỹ |
Đang ngừng hoạt động từ tháng 2 |
||
|
... |
|
|
|
||
|
2 |
Trạm nước B |
Thiết bị đo pH |
.... |
.... |
.... |
|
Thiết bị đo DO |
.... |
.... |
.... |
||
|
Thiết bị đo TSS |
.... |
.... |
.... |
||
|
.... |
.... |
.... |
.... |
||
|
3 |
.... |
.... |
.... |
.... |
.... |
2.2. Nhận xét và đánh giá kết quả quan trắc chất lượng nước
2.2.1. Mức độ đầy đủ của các kết quả quan trắc
- Đánh giá hiện trạng thu nhận, truyền nhận, lưu trữ số liệu trong quý;
- Đánh giá tỉ lệ số liệu thu được, tỉ lệ số liệu hợp lệ, giải thích nguyên nhân nếu số liệu nhận được không đầy đủ.
Ghi chú:
- Tỉ lệ số liệu thu được là tỉ số giữa số lượng số liệu thu thực tế so với số lượng số liệu thu được theo thiết kế.
- Tỉ lệ số liệu hợp lệ là tỉ số giữa số số liệu thu được sau khi đã loại bỏ các số liệu lôi, số liệu sai so với số liệu thu được theo thiết kế trong trường hợp thiết bị hoạt động tốt).
Bảng 8. Bảng thống kê số liệu quan trắc nhận được trong quý đối với 1
trạm quan trắc chất lượng nước
|
Nội dung |
Thông số 1 |
Thông số 2 |
Thông số 3 |
Thông số 4 |
Thông số .... |
Thông số n |
|
Số giá trị nếu quan trắc đầy đủ |
|
|
|
|
|
|
|
Số giá trị quan trắc nhận được |
|
|
|
|
|
|
|
Số giá trị quan trắc hợp lệ |
|
|
|
|
|
|
|
Tỷ lệ số liệu nhận được (%) |
|
|
|
|
|
|
|
Tỷ lệ số liệu hợp lệ (%) |
|
|
|
|
|
|
2.2.2. Kết quả quan trắc các thông số chất lượng môi trường
- Tính toán giá trị trung bình ngày, trung bình tháng của mỗi thông số trong quý (Phụ lục 4).
- Biểu diễn các giá trị quan trắc đã tính toán dưới dạng biểu đồ so sánh với QCVN (bổ sung vào biểu đồ thông số khác có quan hệ tương quan nếu có). Chú ý, riêng đối với thông số DO và pH trên biểu đồ phải biểu diễn tương quan với thông số nhiệt độ. Phân tích, đánh giá về diễn biến mỗi thông số thông qua biểu đồ thu được.
- Xác định quy luật diễn biến các thông số trong quý.
- Trong các trường hợp bất thường, các thông số có mức độ ô nhiễm cao, giải thích nguyên nhân.
3. Kết luận và kiến nghị
- Đánh giá công tác duy trì, vận hành trạm trong quý
- Đánh giá tỉ lệ số liệu nhận được, tỉ lệ số liệu hợp lệ của trạm
- Đánh giá chất lượng nước thông qua kết quả quan trắc
- Đề xuất các kiến nghị.
PHỤ LỤC
- Phụ lục 1: Kết quả quan trắc chất lượng không khí trung bình 24 giờ
- Phụ lục 2: Kết quả quan trắc chất lượng không khí trung bình 8 giờ lớn nhất trong ngày
- Phụ lục 3: Kết quả quan trắc chất lượng không khí trung bình 1 giờ lớn nhất trong ngày
- Phụ lục 4: Kết quả quan trắc các thông số chất lượng nước theo trung bình ngày, trung bình tháng trong quý.
Phụ lục 1: Kết quả quan trắc chất lượng không khí trung bình 24 giờ
|
Thông số |
Thông số 1 |
Thông số 2 |
Thông số 3 |
... |
... |
|
Đơn vị |
ìg/m3 |
ìg/m3 |
ìg/m3 |
... |
... |
|
Ngày tháng |
|
|
|
|
|
|
01/... |
|
|
|
|
|
|
02/... |
|
|
|
|
|
|
.... |
|
|
|
|
|
|
30/.... |
|
|
|
|
|
Ghi chú: Trung bình 24 giờ: là trung bình số học các giá trị đo được trong khoảng thời gian 24 giờ (một ngày đêm).
Phụ lục 2: Kết quả quan trắc chất lượng không khí trung bình 8 giờ lớn
nhất trong ngày
|
Thông số |
Thông số 1 |
Thông số 2 |
Thông số 3 |
... |
... |
|
Đơn vị |
ìg/m3 |
ìg/m3 |
ìg/m3 |
... |
... |
|
Ngày |
|
|
|
|
|
|
1/... |
|
|
|
|
|
|
2/... |
|
|
|
|
|
|
|
|
|
|
|
|
|
30/... |
|
|
|
|
|
Ghi chú:
- Trung bình 8h: là trung bình số học các giá trị đo được trong khoảng thời gian 8 giờ liên tục.
- Trung bình 8 giờ lớn nhất trong ngày là giá trị lớn nhất trong số các giá trị trung bình 8 giờ trong 1 ngày đo.
Phụ lục 3: Kết quả quan trắc trung bình 1 giờ lớn nhất trong ngày
|
Thông số |
Thông số 1 |
Thông số 2 |
Thông số 3 |
... |
... |
... |
|
Đơn vị |
mg/m3 |
mg/m3 |
mg/m3 |
... |
... |
... |
|
Ngày |
|
|
|
|
|
|
|
1/... |
|
|
|
|
|
|
|
2/... |
|
|
|
|
|
|
|
|
|
|
|
|
|
|
|
30/... |
|
|
|
|
|
|
Ghi chú:
- Trung bình 1h: là trung bình số học các giá trị đo được trong khoảng thời gian 1 giờ liên tục.
- Trung bình 1 giờ lớn nhất trong ngày là giá trị lớn nhất trong số các giá trị trung bình 1 giờ trong 1 ngày đo.
Phụ lục 4. Kết quả quan trắc các thông số theo trung bình ngày, trung bình tháng trong quý
|
Thông số |
Thông số 1 |
Thông số 2 |
Thông số 3 |
... |
|
Tháng thứ 1 |
|
|
|
|
|
1/... |
|
|
|
|
|
2/... |
|
|
|
|
|
.... |
|
|
|
|
|
Trung bình tháng thứ 1 |
|
|
|
|
|
Tháng thứ 2 |
|
|
|
|
|
1/... |
|
|
|
|
|
2/... |
|
|
|
|
|
.... |
|
|
|
|
|
Trung bình tháng thứ 2 |
|
|
|
|
|
Tháng thứ 3 |
|
|
|
|
|
1/... |
|
|
|
|
|
2/... |
|
|
|
|
|
.... |
|
|
|
|
|
Trung bình tháng thứ 3 |
|
|
|
|
|
Trung bình quý |
|
|
|
|
Ghi chú:
- Kết quả trung bình ngày là trung bình số học các giá trị đo được trong khoảng thời gian 1 ngày.
- Kết quả trung bình tháng là trung bình số học các giá trị đo được trong khoảng thời gian 1 tháng.
Biểu A4: Báo cáo tổng hợp kết quả quan trắc chất lượng không khí và nước mặt tự động, liên tục theo năm
|
ĐƠN VỊ CHỦ QUẢN CẤP TRÊN ĐƠN VỊ CHỦ QUẢN ______________
BÁO CÁO KẾT QUẢ QUAN TRẮC TRẠM QUAN TRẮC CHẤT LƯỢNG KHÔNG KHÍ VÀ NƯỚC TỰ ĐỘNG, LIÊN TỤC TẠI NĂM ..............
Cơ quan thực hiện: ..................................................
(ĐỊA PHƯƠNG) , THÁNG ....... NĂM......
|
|
ĐƠN VỊ CHỦ QUẢN CẤP TRÊN ĐƠN VỊ CHỦ QUẢN ____________
BÁO CÁO KẾT QUẢ QUAN TRẮC TRẠM QUAN TRẮC CHẤT LƯỢNG KHÔNG KHÍ VÀ NƯỚC TẠI ............... NĂM..............
Cơ quan thực hiện: ......................................................
Phụ trách đơn vị (Ký tên, đóng dấu)
(ĐỊA PHƯƠNG), NGÀY ......... THÁNG .......... NĂM..........
|
MỤC LỤC
Danh mục từ viết tắt
Danh mục bảng biểu
Danh mục hình vẽ
Danh sách những người tham gia:
Người chịu trách nhiệm chính
Những người tham gia thực hiện
1. Trạm quan trắc tự động chất lượng không khí xung quanh
1.1 Giới thiệu chung về các trạm quan trắc chất lượng không khí xung quanh trên địa bàn
- Giới thiệu vị trí/ khu vực đặt trạm quan trắc;
- Danh mục thông số quan trắc đối với từng trạm;
- Phương pháp, nguyên lý đo, hãng sản xuất, tên của các thiết bị;
- Tần suất, cách thức thu nhận, lưu trữ và truyền số liệu.
Bảng 1. Thông tin trạm quan trắc không khí tự động
|
STT |
Địa phương đặt trạm quan trắc |
Tên trạm |
Thời gian bắt đầu vận hành |
Công nghệ/Loại trạm |
Đơn vị quản lý |
Mô tả vị trí quan trắc |
Thông số quan trắc |
Tình trạng hoạt động |
|
1 |
Đà Nẵng |
Trạm khí A |
2011 |
Trạm cố định |
BQL các KCN tỉnh |
Số 41 phố X, Quận Y, TP Z |
nhiệt độ, độ ẩm, SO2,NOx-NO-NO2, co, O3... |
Ngừng hoạt động/hỏng đầu đo CO |
|
2 |
Khánh Hoà |
Trạm khí B |
2012 |
Trạm cố định/Cảm biến điện hóa |
Sở TNMT |
Trụ sở UBND xã X |
Bức xạ mặt trời, hướng gió, tốc SO2, NOx- NO-NO2, CO, O3... |
Đang hoạt động |
|
3 |
.... |
.... |
.... |
.... |
.... |
.... |
.... |
.... |
Bảng 2. Thông tin đặc tính kỹ thuật các thiết bị quan trắc tại trạm
|
STT |
Tên trạm |
Tên thiết bị đo |
Model |
Hãng sản xuất/Quốc gia |
Thời điểm kiểm định/hiệu chuẩn gần nhất |
Hiện trạng hoạt động trong năm |
|
1 |
Trạm khí A |
Thiết bị đo SO2 |
|
Hãng A/Nhật bản |
12/2020 |
Hoạt động bình thường |
|
Thiết bị đo NOx |
|
Hãng A/Nhật bản |
|
Không hoạt động từ tháng 3 đến tháng 6 |
||
|
Thiết bị đo CO |
|
Hãng A/Nhật bản |
|
Đang ngừng hoạt động từ tháng 5 |
||
|
... |
|
|
|
|
||
|
2 |
Trạm khí B |
Thiết bị đo SO2 |
... |
... |
... |
... |
|
Thiết bị đo NOx |
... |
... |
|
... |
||
|
Thiết bị đo CO |
... |
... |
... |
... |
||
|
.... |
... |
... |
... |
... |
||
|
3 |
... |
... |
... |
... |
|
|
1.2. Nhận xét và đánh giá kết quả quan trắc chất lượng không khí
1.2.1. Mức độ đầy đủ của các kết quả quan trắc
- Đánh giá hiện trạng thu nhận, truyền nhận, lưu trữ số liệu trong năm;
- Đánh giá tỉ lệ số liệu thu được, tỉ lệ số liệu hợp lệ, giải thích nguyên nhân nếu số liệu nhận được không đầy đủ.
Ghi chú:
- Tỉ lệ số liệu thu được là tỉ số giữa số lượng số liệu thu thực tế so với số lượng số liệu thu được theo thiết kế.
- Tỉ lệ số liệu hợp lệ là tỉ số giữa số số liệu thu được sau khi đã loại bỏ các số liệu lôi, số liệu bất thường so với số liệu thu được theo thiết kế.
Bảng 3. Bảng thống kê số liệu quan trắc nhận được trong quý đối với 1
trạm trong năm
|
Nội dung |
Thông số 1 |
Thông số 2 |
Thông số 3 |
Thông số 4 |
Thông số ..... |
Thông số n |
|
Số giá trị nếu quan trắc đầy đủ |
|
|
|
|
|
|
|
Số giá trị quan trắc nhận được |
|
|
|
|
|
|
|
Số giá trị quan trắc hợp lệ |
|
|
|
|
|
|
|
Tỷ lệ số liệu nhận được (%) |
|
|
|
|
|
|
|
Tỷ lệ số liệu hợp lệ (%) |
|
|
|
|
|
|
1.2.2. Kết quả quan trắc các thông số khí tượng
- Dựa trên kết quả quan trắc các thông số khí tượng (bức xạ mặt trời, nhiệt độ, độ ẩm, áp suất, tốc độ gió, ...), xây dựng biểu đồ để đánh giá diễn biến các thông số khí tượng;
- Nhận xét và đánh giá chung về diễn biến của các thông số trong năm, thời điểm cao nhất, thấp nhất.
1.2.3. Kết quả quan trắc các thông số chất lượng không khí
a. Kết quả quan trắc theo trung bình 24 giờ
- Tính toán kết quả quan trắc các thông số theo trung bình 24 giờ (Phụ lục 1).
- Biểu diễn các giá trị quan trắc đã tính toán dưới dạng biểu đồ kèm theo phân tích, đánh giá về chất lượng môi trường theo từng thông số. So sánh giá trị quan trắc các thông số với Quy chuẩn Việt Nam.
- Xác định quy luật diễn biến các thông số trong năm.
- Các trường hợp bất thường, các thông số có mức độ ô nhiễm cao, giải thích nguyên nhân.
b. Kết quả quan trắc theo trung bình 8 giờ của các ngày trong năm (chỉ áp dụng đối với các thông số không quy định trung bình 24h, nhưng có quy định trung bình 8 giờ trong QCVN)
- Tính toán kết quả quan trắc các thông số theo trung bình 8 giờ lớn nhất trong ngày của năm (Phụ lục 2).
- Biểu diễn các giá trị quan trắc đã tính toán dưới dạng biểu đồ kèm theo phân tích, đánh giá về chất lượng môi trường theo từng thông số. So sánh giá trị quan trắc các thông số với QCVN.
- Các trường hợp bất thường, các thông số có mức độ ô nhiễm cao, giải thích nguyên nhân.
c. Kết quả quan trắc theo trung bình 1 giờ (chỉ áp dụng đối với các thông số không quy định trung bình 24h và trung bình 8h nhưng có quy định trung bình 1 giờ trong QCVN)
- Tính toán kết quả quan trắc các thông số theo trung bình 1 giờ lớn nhất trong ngày của năm (Phụ lục 3). Biểu diễn các giá trị quan trắc đã tính toán dưới
dạng biểu đồ kèm theo phân tích, đánh giá về chất lượng môi trường theo từng thông số. So sánh giá trị quan trắc các thông số với QCVN.
- Xác định quy luật diễn biến các thông số trong quý.
- Các trường hợp bất thường, các thông số có mức độ ô nhiễm cao, giải thích nguyên nhân.
d. Thống kê số ngày vượt quy chuẩn trong năm:
Bảng 4. Số ngày trong năm vượt quy chuẩn theo từng thông số
|
Tên trạm |
Thông số 1 (ngày) |
Thông số 2 (ngày) |
Thông số 3 (ngày) |
Thông số 4 (ngày) |
Thông số .... (ngày) |
Thông số n (ngày) |
|
Trạm khí A |
11 |
02 |
.... |
.... |
.... |
.... |
|
Trạm khí B |
|
|
|
|
|
|
|
|
|
|
|
|
|
|
Ghi chú:
- Đối với các thông số không quy định trung bình 24 giờ trong QCVN thì sử dụng kết quả quan trắc trung bình 8 giờ lớn nhất;
- Đối với các thông số không quy định trung bình 24 giờ và trung bình 8 giờ trong QCVN thì sử dụng kết quả quan trắc trung bình 1 giờ lớn nhất.
1.2.4. Kết quả tính toán chỉ số chất lượng không khí (AQI)
- Tính toán giá trị AQI theo ngày và theo giờ;
- Dựa trên kết quả tính toán AQI, nhận xét, đánh giá số ngày ở mức tốt, trung bình, kém...; đánh giá các thời điểm trong ngày có giá trị AQI cao nhất.
Bảng 5. Thống kê giá trị AQI ngày trong năm theo các khoảng giá trị
|
Khoảng giá trị AQI |
Chất lượng không khí |
Số ngày |
Tỷ lệ % |
|
0-50 |
Tốt |
|
|
|
51-100 |
Trung bình |
|
|
|
101-200 |
Kém |
|
|
|
201-300 |
Xấu |
|
|
|
Trên 300 |
Nguy hại |
|
|
2. Trạm quan trắc tự động chất lượng nước
2.1 Giới thiệu chung về các trạm quan trắc chất lượng nước trên địa bàn
- Giới thiệu vị trí/ khu vực đặt trạm quan trắc;
- Danh mục thông số quan trắc đối với từng trạm;
- Phương pháp, nguyên lý đo, hãng sản xuất, tên của các thiết bị;
- Tần suất, cách thức thu nhận, lưu trữ và truyền số liệu.
Bảng 6. Thông tin trạm quan trắc nước mặt
|
STT |
Địa phương đặt trạm quan trắc |
Tên trạm |
Thời gian bắt đầu vận hành |
Đơn vị quản lý |
Mô tả vị trí quan trắc |
Thông số quan trắc |
Tình trạng hoạt động |
|
1 |
Bình Dương |
Trạm nước A |
2014 |
Sở TNMT |
Khuôn viên của trạm thủy văn A tại ấp B, xã C, huyện D |
Nhiệt độ, Ph/ORP, OXY hòa tan (DO), độ dẫn điện,độ đục, tổng chất rắn lơ lửng, nitrat |
Đang hoạt động |
|
2 |
Thừa Thiên Huế |
Trạm nước B |
2014 |
Tổng cục Môi trường |
|
Nhiệt độ, Ph/ORP, OXY hòa tan (DO), độ dẫn điện,độ đục, tổng chất rắn lơ lửng, nitrat |
Đang hoạt động |
|
3 |
.... |
.... |
.... |
.... |
.... |
.... |
.... |
Bảng 7. Thông tin đặc tính kỹ thuật các thiết bị quan trắc tại trạm quan trắc chất lượng nước
|
STT |
Tên trạm |
Tên thiết bị đo |
Model |
Hãng sản xuất/Quốc gia |
Thời điểm kiểm định/hiệu chuẩn gần nhất |
Hiện trạng hoạt động trong năm |
|
1 |
Trạm nước A |
Thiết bị đo pH |
|
Hãng A/Mỹ |
08/2020 |
Hoạt động bình thường |
|
Thiết bị đo DO |
|
Hãng A/Mỹ |
|
Không hoạt động từ tháng 3 đến tháng 6 |
||
|
Thiết bị đo TSS |
|
Hãng A/Mỹ |
|
Đang ngừng hoạt động từ tháng 5 |
||
|
.... |
|
|
|
|
||
|
2 |
Trạm nước B |
Thiết bị đo pH |
.... |
.... |
|
.... |
|
Thiết bị đo DO |
.... |
.... |
|
.... |
||
|
Thiết bị đo TSS |
.... |
.... |
|
.... |
||
|
.... |
.... |
.... |
|
.... |
||
|
3 |
.... |
.... |
.... |
.... |
|
|
2.2. Nhận xét và đánh giá kết quả quan trắc chất lượng nước
2.2.1. Mức độ đầy đủ của các kết quả quan trắc
- Đánh giá hiện trạng thu nhận, truyền nhận, lưu trữ số liệu trong năm;
- Đánh giá tỉ lệ số liệu thu được, tỉ lệ số liệu hợp lệ, giải thích nguyên nhân nếu số liệu nhận được không đầy đủ.
Ghi chú:
- Tỉ lệ số liệu thu được là tỉ số giữa số lượng số liệu thu thực tế so với số lượng số liệu thu được theo thiết kế.
- Tỉ lệ số liệu hợp lệ là tỉ số giữa số số liệu thu được sau khi đã loại bỏ các số liệu lôi, số liệu sai so với số liệu thu được theo thiết kế trong trường hợp thiết bị hoạt động tốt)
Bảng 8. Bảng thống kê số liệu quan trắc nhận được trong năm đối với 1
trạm quan trắc chất lượng nước
|
Nội dung |
Thông số 1 |
Thông số 2 |
Thông số 3 |
Thông số 4 |
Thông số .... |
Thông số n |
|
Số giá trị nếu quan trắc đầy đủ |
|
|
|
|
|
|
|
Số giá trị quan trắc nhận được |
|
|
|
|
|
|
|
Số giá trị quan trắc hợp lệ |
|
|
|
|
|
|
|
Tỷ lệ số liệu nhận được (%) |
|
|
|
|
|
|
|
Tỷ lệ số liệu hợp lệ (%) |
|
|
|
|
|
|
2.2.2. Kết quả quan trắc các thông số chất lượng nước
- Tính toán giá trị trung bình ngày, trung bình tháng của mỗi thông số trong năm (Phụ lục 4).
- Biểu diễn các giá trị quan trắc đã tính toán dưới dạng biểu đồ so sánh với QCVN (bổ sung vào biểu đồ thông số khác có quan hệ tương quan nếu có). Chú ý, riêng đối với thông số DO và pH trên biểu đồ phải biểu diễn tương quan với thông số nhiệt độ. Phân tích, đánh giá về diễn biến mỗi thông số thông qua biểu đồ thu được.
- Xác định quy luật diễn biến các thông số trong năm.
- Trong các trường hợp bất thường, các thông số có mức độ ô nhiễm cao, giải thích nguyên nhân.
3. Kết luận và kiến nghị
- Đánh giá công tác duy trì, vận hành trạm trong năm
- Đánh giá tỉ lệ số liệu nhận được, tỉ lệ số liệu hợp lệ của trạm trong năm
- Đánh giá chất lượng nước thông qua kết quả quan trắc
- Đề xuất các kiến nghị.
PHỤ LỤC
- Phụ lục 1: Kết quả quan trắc chất lượng không khí trung bình 24 giờ
- Phụ lục 2: Kết quả quan trắc chất lượng không khí trung bình 8 giờ lớn nhất trong ngày
- Phụ lục 3: Kết quả quan trắc chất lượng không khí trung bình 1 giờ lớn nhất trong ngày của năm
- Phụ lục 4: Kết quả quan trắc chất lượng nước theo trung bình ngày, trung bình tháng trong năm.
Phụ lục 1: Kết quả quan trắc chất lượng không khí trung bình 24 giờ
|
Thông số |
Thông số 1 |
Thông số 2 |
Thông số 3 |
... |
... |
|
Đơn vị |
ìg/m3 |
ìg/m3 |
ìg/m3 |
... |
... |
|
Ngày tháng |
|
|
|
|
|
|
01/... |
|
|
|
|
|
|
02/... |
|
|
|
|
|
|
.... |
|
|
|
|
|
|
30/.... |
|
|
|
|
|
Ghi chú: Trung bình 24 giờ: là trung bình số học các giá trị đo được trong khoảng thời gian 24 giờ (một ngày đêm).
Phụ lục 2: Kết quả quan trắc chất lượng không khí trung bình 8 giờ lớn nhất trong ngày
|
Thông số |
Thông số 1 |
Thông số 2 |
Thông số 3 |
.... |
.... |
|
Đơn vị |
ìg/m3 |
ìg/m3 |
ìg/m3 |
.... |
.... |
|
Ngày |
|
|
|
|
|
|
1/... |
|
|
|
|
|
|
2/... |
|
|
|
|
|
|
|
|
|
|
|
|
|
30/... |
|
|
|
|
|
Ghi chú:
- Trung bình 8h: là trung bình số học các giá trị đo được trong khoảng thời gian 8 giờ liên tục.
- Trung bình 8 giờ lớn nhất trong ngày là giá trị lớn nhất trong số các giá trị trung bình 8 giờ trong 1 ngày đo.
Phụ lục 3: Kết quả quan trắc trung bình 1 giờ lớn nhất trong ngày
|
Thông số |
Thông số 1 |
Thông số 2 |
Thông số 3 |
.... |
.... |
.... |
|
Đơn vị |
mg/m3 |
mg/m3 |
mg/m3 |
.... |
.... |
.... |
|
Ngày |
|
|
|
|
|
|
|
1/... |
|
|
|
|
|
|
|
2/... |
|
|
|
|
|
|
|
...... |
|
|
|
|
|
|
|
30/... |
|
|
|
|
|
|
Ghi chú:
- Trung bình 1h: là trung bình số học các giá trị đo được trong khoảng thời gian 1 giờ liên tục.
- Trung bình 1 giờ lớn nhất trong ngày là giá trị lớn nhất trong số các giá trị trung bình 1 giờ trong 1 ngày đo.
Phụ lục 4. Kết quả quan trắc các thông số chất lượng nước theo trung bình ngày, trung bình tháng trong năm
|
Thông số |
Thông số 1 |
Thông số 2 |
Thông số 3 |
..... |
|
Tháng thứ 1 |
|
|
|
|
|
1/... |
|
|
|
|
|
2/... |
|
|
|
|
|
.... |
|
|
|
|
|
Trung bình tháng thứ 1 |
|
|
|
|
|
Tháng thứ 2 |
|
|
|
|
|
1/... |
|
|
|
|
|
2/... |
|
|
|
|
|
.... |
|
|
|
|
|
Trung bình tháng thứ 2 |
|
|
|
|
|
Tháng thứ 3 |
|
|
|
|
|
1/... |
|
|
|
|
|
2/... |
|
|
|
|
|
.... |
|
|
|
|
|
Trung bình tháng thứ . |
|
|
|
|
|
Trung bình năm |
|
|
|
|
|
Tháng thứ 1 |
|
|
|
|
|
1/... |
|
|
|
|
Ghi chú:
- Kết quả trung bình ngày là trung bình số học các giá trị đo được trong khoảng thời gian 1 ngày.
- Kết quả trung bình tháng là trung bình số học các giá trị đo được trong khoảng thời gian 1 tháng.
Bạn chưa Đăng nhập thành viên.
Đây là tiện ích dành cho tài khoản thành viên. Vui lòng Đăng nhập để xem chi tiết. Nếu chưa có tài khoản, vui lòng Đăng ký tại đây!
Bạn chưa Đăng nhập thành viên.
Đây là tiện ích dành cho tài khoản thành viên. Vui lòng Đăng nhập để xem chi tiết. Nếu chưa có tài khoản, vui lòng Đăng ký tại đây!