- Tổng quan
- Nội dung
- Tiêu chuẩn liên quan
- Lược đồ
- Tải về
Tiêu chuẩn Quốc gia TCVN 6636-2:2000 ISO 9963-2:1994 Chất lượng nước - Xác định độ kiềm - Phần 2: Xác định độ kiềm cacbonat
| Số hiệu: | TCVN 6636-2:2000 | Loại văn bản: | Tiêu chuẩn Việt Nam |
| Cơ quan ban hành: | Bộ Khoa học, Công nghệ và Môi trường | Lĩnh vực: | Tài nguyên-Môi trường |
|
Ngày ban hành:
Ngày ban hành là ngày, tháng, năm văn bản được thông qua hoặc ký ban hành.
|
2000 |
Hiệu lực:
|
Đã biết
|
| Người ký: | Đang cập nhật |
Tình trạng hiệu lực:
Cho biết trạng thái hiệu lực của văn bản đang tra cứu: Chưa áp dụng, Còn hiệu lực, Hết hiệu lực, Hết hiệu lực 1 phần; Đã sửa đổi, Đính chính hay Không còn phù hợp,...
|
Đã biết
|
TÓM TẮT TIÊU CHUẨN VIỆT NAM TCVN 6636-2:2000
Nội dung tóm tắt đang được cập nhật, Quý khách vui lòng quay lại sau!
Tải tiêu chuẩn Việt Nam TCVN 6636-2:2000
TIÊU CHUẨN VIỆT NAM
TCVN 6636 - 2 : 2000
ISO 9963 - 2 : 1994
CHẤT LƯỢNG NƯỚC - XÁC ĐỊNH ĐỘ KIỀM - PHẦN 2: XÁC ĐỊNH ĐỘ KIỀM CACBONAT
Water quality - Determination of alkalinity - Part 2: Determination of carbonate alkalinity
Lời nói đầu
TCVN 6636 - 2 : 2000 hoàn toàn tương đương với ISO 9963 - 2 : 1994.
TCVN 6636 - 2 : 2000 do Ban Kỹ thuật Tiêu chuẩn TCVN/TC 147
Chất lượng nước biên soạn, Tổng cục Tiêu chuẩn Đo lường Chất lượng đề nghị, Bộ Khoa học, Công nghệ và Môi trường ban hành
CHẤT LƯỢNG NƯỚC - XÁC ĐỊNH ĐỘ KIỀM - PHẦN 2: XÁC ĐỊNH ĐỘ KIỀM CACBONAT
Water quality - Determination of alkalinity - Part 2: Determination of carbonate alkalinity
1 Phạm vi áp dụng
Tiêu chuẩn này qui định phương pháp để chuẩn độ độ kiềm cacbonat trong nước tự nhiên và nước uống.
Do dùng một giá trị pH điểm cuối cao hơn phương pháp trong TCVN 6636-1: 2000 (ISO 9963-1), ảnh hưởng của các chất nhận hydro như anion của axit humic trong phương pháp này được giảm đi.
Phương pháp này nhằm đánh giá các mẫu có độ kiềm cacbonat giữa 0,01 mmol/l và 4 mmol/l (H+ tương đương). Các mẫu có nồng độ cao hơn thì lấy lượng mẫu nhỏ hơn để phân tích.
Độ kiềm cacbonat thường được gọi là độ kiềm tổng số và thông thường có giá trị gần với độ kiềm metyl da cam.
Xác định điểm cuối bằng pH mét ít bị ảnh hưởng hơn là dùng chỉ thị màu.
2 Tiêu chuẩn trích dẫn
ISO 385-1:1984 Dụng cụ thuỷ tinh trong phòng thí nghiệm - Burét - Phần 1: Những yêu cầu chung. TCVN 4851: 1989 (ISO 3696:1987) Nước dùng trong phòng thí nghiệm phân tích - Đặc tính và các phương pháp thử.
TCVN 5992: 1995 (ISO 5667-2:1991) Chất lượng nước - Lấy mẫu - Hướng dẫn kỹ thuật lấy mẫu.
TCVN 5981: 1995 (ISO 6107-2:1989) Chất lượng nước - Thuật ngữ - Phần 2
TCVN 6636 -1: 2000 (ISO 9963-1:1994) Chất lượng nước - Xác định độ kiềm - Phần 1: Xác định độ kiềm tổng số và độ kiềm composit.
IEC 746-2:1982 Biểu diễn kết quả các phân tích điện hoá - Phần 2: Giá trị pH.
3 Định nghĩa
Trong tiêu chuẩn này, những định nghĩa sau đây được áp dụng.
3.1 Độ kiềm (A): Dung lượng của môi trường nước phản ứng với ion hydro (TCVN 5981: 1995 (ISO 6107-2)).
Trong phương pháp này, điểm cuối được chọn để cacbonat được trung hoà hoàn toàn.
Thông thường các chất nhận proton (X) khác cacbonat ở nồng độ thấp có thể bỏ qua. Các chất như vậy thường là amoniac, phosphat, anion của axit humic và các axit hữu cơ khác.
4 Nguyên tắc
Độ kiềm được xác định bằng chuẩn độ với axit clohydric đồng thời với việc giải phóng khí cacbon dioxit. Như vậy điểm cuối là chính xác và không phụ thuộc nồng độ kiềm ban đầu. Điểm cuối càng gần điểm trung hoà càng tốt và cần phải chậm để cacbon dioxit kịp thoát ra. Trong tiêu chuẩn này điểm cuối được đặt ở pH 5,4 vì giá trị pH này dễ xác định bằng chỉ thị đã chọn. Sai số hệ thống phát sinh được hiệu chỉnh bằng chuẩn độ mẫu trắng.
5 Thuốc thử
Chỉ dùng các thuốc thử tinh khiết phân tích.
Có thể dùng những dung dịch mua ngoài thị trường.
5.1 Nước, độ 2 phù hợp với TCVN 4851: 1989 (ISO 3696), không chứa tạp chất axit hoặc kiềm, có độ dẫn nhỏ hơn 0,1 mS/m.
5.2 Khí, không chứa cacbon dioxit, nitơ hoặc khí khác thu được bằng cách cho không khí đi qua ống đựng vôi soda hoặc chất khác hấp thụ cacbon dioxit. Sau đó cho khí đi qua bình rửa chứa nước và cuối cùng đi vào ống phân phối khí (hình 1).

Hình 1 - Nguyên tắc hấp thụ cacbon dioxit từ không khí
5.3 Chỉ thị hỗn hợp pH 5,4
Hoà tan 0,040 g ± 0,005 g metyl đỏ và 0,060 g ± 0,005 g bromocresol xanh trong 100 ml etanol [> 90 % (V/V)]. Trung hoà dung dịch bằng khoảng 2 ml natri hydroxit 0,1 mol/l đến khi màu nâu xuất hiện. Kiểm tra độ trung hoà của dung dịch chỉ thị bằng cách chuẩn độ một mẫu đến điểm cuối. Nếu màu nâu không tồn tại sau khi thêm hơn 10 giọt chỉ thị thì điều chỉnh pH của dung dịch chỉ thị. Giữ trong bình thuỷ tinh mầu nâu, dung dịch bền ít nhất 6 tháng.
5.4 Dung dịch natri cacbonat, c (Na2CO3) ≈ 0,25 mol/l
Sấy khô natri cacbonat (Na2CO3) trong tủ sấy ở 250oC ± 10oC trong 4 h. Để nguội trong bình hút ẩm. Hoà tan 1,3 g ± 0,1 g (cân chính xác đến 0,001g) trong nước trong bình định mức 500 ml.
Dung dịch bền ít nhất 1 tháng nếu giữ trong tủ lạnh.
5.5 Axit clohydric, c (HCl) ≈ 0,020 mol/l
Pha loãng 1,7 ml ± 0,1 ml axit clohydric đặc (ρ ≈ 1,18 g/l) đến 1000 ml bằng nước trong bình định mức. Có thể dùng dung dịch mua ngoài thị trường.
Định chuẩn dung dịch hàng tuần như sau:
Hút bằng pipet 2,00 ml ± 0,02 ml dung dịch natri cacbonat Na2CO3 (5.4) vào bình chuẩn độ (6.2) và thêm 40 ml ± 5 ml nước (5.1). Chuẩn độ theo cách dùng điện cực (xem 8.1) hoặc dùng chỉ thị (8.2) để phát hiện điểm cuối.
Chuẩn độ ít nhất ba lần và ghi thể tích (V2) của axit clohydric đã tiêu tốn. Chênh lệch thể tích cao nhất và thấp nhất của axit clohydric đã tiêu tốn khi chuẩn độ phải nhỏ hơn 0,05 ml axit clohydric. Nếu quá thì tiếp tục chuẩn độ để ba lần liên tiếp đạt yêu cầu. Dùng 50 ml ± 5 ml nước (5.1) để xác định mẫu trắng và ghi thể tích V3, tính bằng mililit, axit đã tiêu tốn. Tính nồng độ của axit clohydric như sau:
![]()
trong đó
c(HCl) là nồng độ dung dịch axit clohydric (5.5), tính bằng mol trên lit;
m là lượng natri cacbonat lấy để pha dung dịch (5.4), tính bằng gam;
V1 là thể tích dung dịch natri cacbonat (5.4) lấy để chuẩn độ (thường là 2,0 ml), tính bằng mililit;
V2 là thể tích của dung dịch axit clohydric (5.5) đã tiêu tốn để chuẩn độ dung dịch natri cacbonat (5.4), tính bằng mililit;
V3 là thể tích của dung dịch axit clohydric (5.5) đã tiêu tốn để chuẩn độ mẫu trắng, tính bằng mililit.
6 Thiết bị, dụng cụ
Các thiết bị thông thường trong phòng thí nghiệm và cần các thứ sau:
6.1 Burét, dung tích 10 ml, chia độ 0,02 ml, phù hợp với yêu cầu của ISO 385-1.
6.2 Bình chuẩn độ, dùng phễu lọc thủy tinh cỡ lỗ 2 -3 và thể tích 75 ml, hoặc dùng ống phân phối khí nhúng sâu vào bình (một bình nón thể tích 100 ml).
6.3 pH mét, có điện cực thích hợp đo được tới ± 0,05 đơn vị pH trong khoảng từ 3 đến 10, dùng để xác định điểm cuối chuẩn độ. Thiết bị được lắp đặt và chuẩn hoá theo IEC 746-2. Có thể dùng máy chuẩn độ khác có cùng đặc tính kỹ thuật.
7 Lấy mẫu và xử lý mẫu
Lấy mẫu vào bình polyetylen hoặc thủy tinh bosilicat với thể tích ít nhất 100 ml. Lấy thật đầy bình và đậy nút sao cho không còn không khí ở trong bình. Phân tích mẫu ngay sau khi lấy. Nếu không được thì giữ mẫu ở nhiệt độ từ 4oC đến 8oC để tránh bị nitrat hoá và tạo váng (xem TCVN 5992: 1995 (ISO 5667-2)).
8 Cách tiến hành
Lắp thiết bị như hình 1.
Chú thích 1 - Mẫu có màu cản trở việc dùng chỉ thị màu để xác định điểm cuối. Cần phân tích mẫu này bằng cách dùng pH mét.
8.1 Xác định điểm cuối bằng pH mét
Dẫn khí (5.2) vào bình chuẩn độ (6.2) ở tốc độ tạo nhiều bọt, và lấy 50,0 ml ± 0,1 ml mẫu (V4) vào bình. Nhúng các điện cực và chuẩn độ chậm bằng axit clohydric (5.5) cho đến pH 5,4. Giá trị pH ổn định ít nhất là 30 s, nếu không cần chuẩn độ tiếp. Ghi số thể tích V5, tính bằng mililit, của axit tiêu tốn.
Nếu thể tích axit tiêu tốn vượt quá 10 ml, lấy thể tích mẫu (V4) nhỏ hơn và pha loãng đến 50 ml ± 5 ml bằng nước (5.1). Không để thể tích axit tiêu tốn nhỏ hơn 3 ml.
8.2 Xác định điểm cuối bằng chất chỉ thị
Dẫn khí (5.2) vào bình chuẩn độ (6.2) ở tốc độ tạo nhiều bọt, và lấy 50,0 ml ± 0,1 ml mẫu (V4) vào bình. Thêm ba giọt chỉ thị và chuẩn độ chậm bằng axit clohydric (5.5) đến khi mẫu chuyển thành xám với vệt màu đỏ. Màu này phải bền ít nhất 30 s, nếu không, phải chuẩn độ tiếp. Ghi thể tích V5, tính bằng mililit, axit đã tiêu tốn.
Nếu thể tích axit tiêu tốn vượt quá 10 ml thì lấy lượng mẫu nhỏ hơn và pha loãng bằng nước (5.1) đến 50 ml ± 5 ml. Trong trường hợp này, không để thể tích axit tiêu tốn nhỏ hơn 3 ml.
8.3 Mẫu trắng
Chuẩn độ 50 ml nước (5.1) giống như chuẩn độ mẫu. Làm ít nhất ba lần và lấy kết quả trung bình (V6).
9 Biểu thị kết quả
9.1 Tính toán
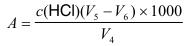
Tính độ kiềm, milimol trên lit, theo công thức sau
![]()
trong đó:
A là độ kiềm của mẫu tính bằng milimol trên lit;
c(HCl) là nồng độ dung dịch axit clohydric (5.5) tính bằng mol trên lit;
V4 là thể tích của mẫu tính bằng mililit;
V5 là thể tích axit clohydric (5.5) tiêu tốn bởi mẫu, tính bằng mililit;
V6 là thể tích axit clohydric (5.5) tiêu tốn bởi mẫu trắng (8.3) tính bằng mililit.
Báo cáo kết quả theo milimol trên lit với hai số có nghĩa.
9.2 Độ chính xác
Hai phép thử liên phòng thí nghiệm thực hiện năm 1988 và 1992 cho kết quả ghi trong bảng 1.
Hai phép hiệu chuẩn liên phòng thí nghiệm đã được một phòng thí nghiệm sử dụng, kết quả ghi trong bảng 2.
ở một phòng thí nghiệm, một dung dịch kiểm tra với nồng độ 0,200 mmol/l đã cho kết quả trung bình là 0,201 mmol/l và hệ số độ lệch là 2,0 % (số giá trị đo = 49).
10 Báo cáo kết quả
Báo kết quả cần có những thông tin sau:
a) trích dẫn tiêu chuẩn này;
b) nhận dạng mẫu;
c) kết quả biểu diễn bằng milimol trên lit với 2 số có nghĩa;
d) cách phát hiện điểm cuối đã dùng;
e) bất kỳ sai khác nào với phương pháp này và tình huống có thể ảnh hưởng đến kết quả.
Bảng 1 - Dữ liệu về độ chính xác
| Loại nước | Tham khảo | Số phòng thí nghiệm | Số loại bỏ | Nồng độ trung bình mmol/l | Hệ số biến động % |
| Nước uống | SNV 3535 | 70 69 69 | 2 3 4 | 2,984 4,480 0,933 | 3,6 3,6 4,0 |
| Nước tự nhiên | ITM 1993 | 100 101 100 101 | 2 1 1 1 | 1,142 0,884 1,406 1,188 | 3,4 3,4 3,0 3,5 |
Bảng 2 - So sánh kết quả sử dụng phương pháp này với các phương pháp khác đối khi xác định độ kiềm
| Loại nước | Tham khảo | Số phòng thí nghiệm | Số loại bỏ | Nồng độ, mmol/l | |
| Phương pháp này | Các phương pháp khác | ||||
| 9105 Mẫu A Mẫu B | NIVA 1991 |
20 20 |
1 1 |
0,298 0,358 |
0,300 0,358 |
| 9206 Mẫu A Mẫu B | NIVA 1992 |
20 20 |
13 13 |
0,042 0,151 |
0,047 0,155 |
Phụ lục A
(tham khảo)
THÔNG TIN VỀ HỆ SỐ CHUYỂN ĐỘ KIỀM THÀNH CÁC ĐƠN VỊ KHÁC
Độ kiềm có thể biểu diễn bằng nhiều đơn vị khác. Hệ số chuyển từ mmol/l là cho trong bảng A.1.
Bảng A.1
| Các đơn vị khác biểu diễn kết quả | Hệ số chuyển |
| mmol/l CaCO3 mg/l CaCO3 Độ Anh (= 1 độ Clark) Độ Đức Độ Pháp Độ Mỹ | 0,50 50 3,50 2,80 5,0 2,90 |
Phụ lục B
(tham khảo)
TÀI LIỆU THAM KHẢO
[1] Thoả ước về ô nhiễm không khí, Intercalibration 9105.
Progamme Centre, Norwegiam Tnstitute for Water Research, Oslo.
[2] Thoả ước về ô nhiễm không khí, Intercalibration 9206
Progamme Centre, Norwegiam Institute for Water Research, Oslo.
[3] STUMM, W. và MORGAN.JJ. Hoá học nước, J.Wiley (1981).
[4] ITM 1993. So sánh phép thử 1992-1. Cân bằng ion (Tóm tắt bằng tiếng Anh và Thuỵ Điển). Học viện nghiên cứu môi trường ứgn dụng, Đại học Tổng hợp Stockholm, Thuỵ Điển.
[5] SNV 3535. Chuẩn hoá 1988-1. Phân tích hoá học nước uống (tóm tắt bằng tiếng Anh và Thuỵ Điển). Cơ quan bảo vệ môi trường quốc gia Thụy Điển.
Bạn chưa Đăng nhập thành viên.
Đây là tiện ích dành cho tài khoản thành viên. Vui lòng Đăng nhập để xem chi tiết. Nếu chưa có tài khoản, vui lòng Đăng ký tại đây!