- Tổng quan
- Nội dung
- Tiêu chuẩn liên quan
- Lược đồ
- Tải về
Tiêu chuẩn Quốc gia TCVN 7878-1:2018 Các đại lượng cơ bản và phương pháp đánh giá tiếng ồn
| Số hiệu: | TCVN 7878-1:2018 | Loại văn bản: | Tiêu chuẩn Việt Nam |
| Cơ quan ban hành: | Bộ Khoa học và Công nghệ | Lĩnh vực: | Tài nguyên-Môi trường , Khoa học-Công nghệ |
|
Ngày ban hành:
Ngày ban hành là ngày, tháng, năm văn bản được thông qua hoặc ký ban hành.
|
28/12/2018 |
Hiệu lực:
|
Đã biết
|
| Người ký: | Đang cập nhật |
Tình trạng hiệu lực:
Cho biết trạng thái hiệu lực của văn bản đang tra cứu: Chưa áp dụng, Còn hiệu lực, Hết hiệu lực, Hết hiệu lực 1 phần; Đã sửa đổi, Đính chính hay Không còn phù hợp,...
|
Đã biết
|
TÓM TẮT TIÊU CHUẨN VIỆT NAM TCVN 7878-1:2018
Tiêu chuẩn Quốc gia TCVN 7878-1:2018 về Đánh giá Tiếng ồn Môi trường
Ngày 28/12/2018, Bộ Khoa học và Công nghệ đã công bố Tiêu chuẩn Quốc gia TCVN 7878-1:2018, tương đương với ISO 1996-1:2016. Tiêu chuẩn này có hiệu lực từ ngày công bố, nhằm cung cấp hướng dẫn về mô tả, đo và đánh giá tiếng ồn trong môi trường.
Tiêu chuẩn này áp dụng cho việc đo đạc và đánh giá tiếng ồn tại các khu vực dân cư, bao gồm các đại lượng cơ bản và phương pháp đánh giá tiếng ồn từ nhiều nguồn khác nhau. Mục tiêu chính là đưa ra các công cụ để cơ quan có thẩm quyền xây dựng quy chuẩn kỹ thuật về tiếng ồn, bảo vệ sức khỏe cộng đồng và quản lý tiếng ồn một cách hiệu quả.
Nội dung Chính của Tiêu chuẩn
Đại lượng Cơ Bản: TCVN 7878-1:2018 định nghĩa các đại lượng cơ bản để mô tả tiếng ồn, như mức áp suất âm và mức áp suất âm liên tục tương đương (Leq). Các mức này được đo bằng đơn vị decibel (dB) và có thể điều chỉnh dựa trên tính chất của âm hoặc thời gian trong ngày.
Phương Pháp Đánh Giá: Tiêu chuẩn cung cấp các phương pháp đánh giá phản ứng của cộng đồng đối với tiếng ồn qua các mức áp suất âm điều chỉnh. Các phương pháp này cho phép đánh giá được mức độ khó chịu của tiếng ồn đối với nhiều nguồn khác nhau, từ tiếng ồn giao thông cho đến tiếng ồn công nghiệp.
Giới Hạn Tiếng Ồn: Mặc dù tiêu chuẩn không quy định cụ thể mức giới hạn tiếng ồn, nhưng nó tạo khuôn khổ cho các cơ quan có thẩm quyền xây dựng các giới hạn này. Sự khác biệt về phản ứng của cộng đồng đối với những loại âm thanh khác nhau cũng được lưu ý, nhằm đảm bảo căng thẳng và sức khỏe tâm lý cho người dân.
Các Ký Hiệu và Thuật Ngữ: Tiêu chuẩn cũng chỉ ra cách sử dụng các ký hiệu để đo và biểu thị các mức độ tiếng ồn khác nhau, từ mức âm tổng đến âm cụ thể, giúp dễ dàng trong việc thu thập và so sánh số liệu.
Tham Khảo Tài Liệu: TCVN 7878-1:2018 đề xuất tham khảo một số tài liệu khác để áp dụng hiệu quả, như TCVN 12527-1 (IEC 61672-1) về yêu cầu máy đo âm.
Tiêu chuẩn này đóng vai trò quan trọng trong việc chuẩn hóa và cải thiện chất lượng môi trường sống, giúp các cơ quan quản lý có công cụ cần thiết để xử lý các vấn đề liên quan đến tiếng ồn hiện nay.
Tải tiêu chuẩn Việt Nam TCVN 7878-1:2018
TIÊU CHUẨN QUỐC GIA
TCVN 7878-1:2018
ISO 1996-1:2016
ÂM HỌC - MÔ TẢ, ĐO VÀ ĐÁNH GIÁ TIẾNG ỒN MÔI TRƯỜNG PHẦN 1: CÁC ĐẠI LƯỢNG CƠ BẢN VÀ PHƯƠNG PHÁP ĐÁNH GIÁ
Acoustics - Description, measurement and assessment of environmental noise- Part 1: Basic quantities and assessment procedures
Lời nói đầu
TCVN 7878-1:2018 thay thế TCVN 7878-1:2008.
TCVN 7878-1:2018 hoàn toàn tương đương với ISO 1996-1:2016.
TCVN 7878-1:2018 do Ban kỹ thuật Tiêu chuẩn Quốc gia TCVN/TC 43 "Âm học" biên soạn, Tổng cục Tiêu chuẩn Đo lường Chất lượng đề nghị, Bộ Khoa học và Công nghệ công bố.
Bộ tiêu chuẩn TCVN 7878, Âm học - Mô tả, đo và đánh giá tiếng ồn môi trường, gồm hai phần sau:
- TCVN 7878-1:2018 (ISO 1996-1: 2016), Phần 1: Các đại lượng cơ bản và phương pháp đánh giá.
- TCVN 7878- 2:2018 (ISO 1996-2: 2017), Phần 2: Xác định mức áp suất âm.
Lời giới thiệu
Để sử dụng trong thực tiễn, bất kỳ phương pháp mô tả, phép đo và phương pháp đánh giá nào về tiếng ồn môi trường đều liên quan theo một cách nào đó đến phản ứng của con người với tiếng ồn. Có nhiều hậu quả bất lợi của việc gia tăng tiếng ồn môi trường, nhưng mối quan hệ chính xác liên đới giữa mức ồn với phản ứng vẫn tiếp tục là chủ đề tranh luận mang tính khoa học. Ngoài ra, điều quan trọng là tất cả các phương pháp được dùng phải có tính thực tế trong khuôn khổ bối cảnh chung về chính trị, kinh tế, xã hội mà các phương pháp đó được sử dụng. Vì lý do này, hiện tại trên thế giới đang sử dụng rất nhiều phương pháp khác nhau cho các loại tiếng ồn khác nhau, và điều này tạo nên những khó khăn đáng kể cho việc so sánh và thông hiểu quốc tế.
Mục đích chung của bộ tiêu chuẩn TCVN 7878 (ISO 1996) là góp phần hài hòa quốc tế về các phương pháp mô tả, đo và đánh giá tiếng ồn môi trường từ tất cả các nguồn ồn.
Phương pháp và quy trình được mô tả trong tiêu chuẩn này nhằm áp dụng cho tiếng ồn từ các nguồn ồn khác nhau, riêng lẻ hay kết hợp, mà đều gây ra mức tiếp xúc tiếng ồn tổng thể tại một địa điểm. Với công nghệ hiện tại, việc đánh giá tiếng ồn gây khó chịu trong thời gian dài được coi là phù hợp nhất bằng cách chấp nhận sử dụng mức áp suất âm liên tục tương đương theo trọng số A được điều chỉnh và gọi là “mức đánh giá”.
Mục đích của bộ tiêu chuẩn TCVN 7878 (ISO 1996) là cung cấp cho các cơ quan có thẩm quyền một tài liệu về phương pháp mô tả và đánh giá tiếng ồn trong môi trường dân cư. Dựa trên các nguyên tắc được nêu trong tiêu chuẩn này, có thể xây dựng các tiêu chuẩn, quy chuẩn kỹ thuật quốc gia và các giới hạn có thể chấp nhận tương ứng đối với tiếng ồn.
ÂM HỌC - MÔ TẢ, ĐO VÀ ĐÁNH GIÁ TIẾNG ỒN MÔI TRƯỜNG PHẦN 1: CÁC ĐẠI LƯỢNG CƠ BẢN VÀ PHƯƠNG PHÁP ĐÁNH GIÁ
Acoustics - Description, measurement and assessment of environmental noise- Part 1: Basic quantities and assessment procedures
1 Phạm vi áp dụng
Tiêu chuẩn này xác định các đại lượng cơ bản sử dụng để mô tả tiếng ồn trong môi trường dân cư và mô tả các phương pháp đánh giá cơ bản. Tiêu chuẩn này cũng quy định các phương pháp đánh giá tiếng ồn môi trường và đưa ra những hướng dẫn về dự đoán phản ứng khó chịu tiềm ẩn của cộng đồng khi tiếp xúc lâu dài với nhiều loại tiếng ồn môi trường khác nhau. Các nguồn âm có thể riêng lẻ hoặc kết hợp lại với nhau. Áp dụng phương pháp này để dự đoán phản ứng khó chịu được giới hạn ở các khu vực dân cư và liên quan đến việc sử dụng đất đai lâu dài.
Phản ứng của cộng đồng với tiếng ồn có thể là khác nhau khi các nguồn âm có cùng mức âm. Tiêu chuẩn này đề cập đến việc điều chỉnh các âm có đặc tính khác nhau. Thuật ngữ “mức đánh giá” thường dùng để mô tả các dự đoán âm về mặt vật lý hoặc phép đo đã được cộng thêm một hoặc vài điều chỉnh. Trên cơ sở mức đánh giá này, có thể ước tính sự phản ứng của cộng đồng trong thời gian dài.
Âm được đánh giá là âm đơn lẻ hoặc âm kết hợp, khi cần thì những đánh giá này cho phép cơ quan có thẩm quyền xem xét đặc tính đặc biệt của âm xung, âm sắc, âm tần số thấp, và xem xét các đặc tính khác của tiếng ồn giao thông đường bộ, các dạng khác của tiếng ồn giao thông (như tiếng ồn máy bay) và tiếng ồn công nghiệp.
Tiêu chuẩn này không quy định các giới hạn đối với tiếng ồn môi trường.
CHÚ THÍCH 1: Trong âm học, một số phép đo vật lý khác mô tả âm có mức được thể hiện bằng dexiben (dB) (ví dụ: áp suất âm, áp suất âm lớn nhất, áp suất âm liên tục tương đương). Các mức tương ứng với các phép đo vật lý này thường sẽ khác nhau đối với âm cùng loại. Điều này thường dẫn đến sự nhầm lẫn. Do vậy cần xác định đại lượng vật lý cụ thể (ví dụ: mức áp suất âm, mức áp suất âm lớn nhất, mức áp suất âm liên tục tương đương).
CHÚ THÍCH 2: Trong tiêu chuẩn này, các đại lượng biểu thị các mức được thể hiện bằng dexiben (dB). Tuy nhiên ở một vài quốc gia lại biểu thị các đại lượng vật lý như áp suất âm lớn nhất bằng pascal (Pa) hoặc mức tiếp xúc âm biểu thị bằng pascal bình phương giây (Pa2s).
CHÚ THÍCH 3: Trong TCVN 7878-2 (ISO 1996-2) đề cập đến việc xác định các mức áp suất âm.
2 Tài liệu viện dẫn
Các tài liệu viện dẫn sau là rất cần thiết cho việc áp dụng tiêu chuẩn này. Đối với các tài liệu viện dẫn ghi năm công bố thì áp dụng bản được nêu. Đối với các tài liệu viện dẫn không ghi năm công bố thì áp dụng phiên bản mới nhất (bao gồm cả sửa đổi).
TCVN 12527-1 (IEC 61672-1), Điện âm - Máy đo mức âm - Phần 1: Các yêu cầu.
3 Thuật ngữ và định nghĩa
Trong tiêu chuẩn này áp dụng các thuật ngữ và định nghĩa sau:
3.1 Biểu thị các mức
CHÚ THÍCH: Với các mức được định nghĩa trong phần từ 3.1.1 đến 3.1.6, mà áp dụng trọng số tần số hoặc dải tần số hoặc nếu áp dụng trọng số thời gian thì nên quy định.
3.1.1
Mức áp suất âm theo trọng số tần số và trọng số thời gian (time-weighted and frequency-weighted sound pressure level)
Mười lần logarit cơ số 10 của bình phương của tỷ số giữa bình phương mức áp suất âm theo thời gian và bình phương của giá trị tham chiếu, thu được theo trọng số tần số chuẩn và trọng số thời gian chuẩn.
CHÚ THÍCH 1: Mức áp suất âm được biểu thị theo đơn vị pascal (Pa).
CHÚ THÍCH 2: Giá trị tham chiếu là 20 µPa.
CHÚ THÍCH 3: Mức áp suất âm theo trọng số tần số và trọng số thời gian biểu thị theo đơn vị dexiben (dB).
CHÚ THÍCH 4: Trọng số tần số chuẩn là trọng số A và trọng số C như quy định tại TCVN 12527-1 (IEC 61672-1), trọng số theo thời gian chuẩn là trọng số F và trọng số S quy định tại TCVN 12527-1 (IEC 61672-1).
3.1.2
Mức áp suất âm theo trọng số tần số và trọng số thời gian lớn nhất (maxium time-weighted and frequency-weighted sound pressure level)
Mức áp suất âm theo trọng số tần số và trọng số thời gian lớn nhất trong một khoảng thời gian cho trước.
CHÚ THÍCH: Mức áp suất âm theo trọng số tần số và trọng số thời gian lớn nhất được đo bằng dexiben (dB).
3.1.3
Mức vượt N phần trăm (N percent exceedance level)
Mức áp suất âm theo trọng số tần số và trọng thời gian vượt quá N % khoảng thời gian xem xét.
CHÚ THÍCH: Mức vượt N % tính bằng dexiben (dB).
VÍ DỤ: LAF95,1h là mức áp suất âm theo trọng số tần số A và trọng số thời gian F vượt quá 95 % mức áp suất âm của 1 h.
3.1.4
Mức áp suất âm đỉnh (peak sound pressure level)
Mười lần logarit cơ số 10 của tỷ số giữa bình phương của áp suất âm đỉnh với bình phương của áp suất âm tham chiếu.
CHÚ THÍCH 1: Giá trị tham chiếu là 20 µPa.
CHÚ THÍCH 2: Mức áp suất âm đỉnh được biểu thị bằng dexiben (dB).
CHÚ THÍCH 3: Áp suất âm đỉnh được xác định bằng thiết bị tách sóng như quy định tại TCVN 12527-1 (IEC 61672-1). TCVN 12527-1 (IEC 61672-1) chỉ quy định độ chính xác của thiết bị tách sóng khi sử dụng trọng số C.
CHÚ THÍCH 4: Áp suất âm đỉnh là giá trị tuyệt đối lớn nhất của áp suất âm tức thời trong khoảng thời gian định trước.
3.1.5
Mức tiếp xúc âm (sound exposure level)
LE
Mười lần logarit cơ số 10 của tỷ số giữa âm tiếp xúc, E, với mức tham chiếu E0, âm tiếp xúc là tích phân theo thời gian của bình phương áp suất âm p trong một khoảng thời gian xác định, hoặc một khoảng thời gian kéo dài, T (bắt đầu tại t1 và kết thúc tại t2).

Trong đó

CHÚ THÍCH 1: Âm tiếp xúc tính bằng pascal bình phương giây (Pa2s). Mức áp suất âm tiếp xúc tính bằng dexiben (dB).
CHÚ THÍCH 2: Do các hạn chế thực tế của các dụng cụ đo, p2 luôn được hiểu là biểu thị bình phương của áp suất âm theo trọng số tần số và trong một băng tần giới hạn. Nếu áp dụng trọng số tần số cụ thể như quy định tại TCVN 12527-1 (IEC 61672-1), thì biểu thị bằng các chỉ số thích hợp; ví dụ: EA,1h biểu thị mức tiếp xúc âm theo trọng số A trong 1 h.
CHÚ THÍCH 3: Khoảng thời gian, T, để lấy tích phân nằm hoàn toàn trong khoảng thời gian thì không cần báo cáo. Để đo mức tiếp xúc âm trong một khoảng thời gian xác định, phải báo cáo khoảng thời gian lấy tích phân và ký hiệu là LET.
CHÚ THÍCH 4: Đối với mức tiếp xúc âm của một tình huống, thì phải nêu rõ bản chất của tình huống đó.
CHÚ THÍCH 5: Khi áp dụng cho một tình huống đơn lẻ, thì mức tiếp xúc âm được gọi là "mức tiếp xúc âm của tình huống đơn lẻ".
3.1.6
Mức áp suất âm liên tục tương đương (equivalent continuous sound pressure level)
Leq,T
Mười lần logarit cơ số 10 của tỷ số giữa trung bình thời gian của bình phương áp suất âm p, trong một khoảng thời gian xác định T (bắt đầu từ t1 và kết thúc t2),với bình phương áp suất âm tham chiếu p0.
CHÚ THÍCH 1: Mức áp suất âm liên tục tương đương theo trọng số A là:

Trong đó
pA(t) là áp suất âm tức thời theo trọng số A, tại thời điểm t;
p0 bằng 20 µPa.
CHÚ THÍCH 2: Mức áp suất âm liên tục tương đương cũng được gọi là “mức áp suất âm trung bình theo thời gian", được tính theo dexiben (dB).
3.2 Khoảng thời gian
3.2.1
Khoảng thời gian tham chiếu (reference time interval)
Khoảng thời gian được tham chiếu khi đánh giá âm.
CHÚ THÍCH 1: Khoảng thời gian tham chiếu có thể được quy định trong các tiêu chuẩn tiêu chuẩn quốc gia hoặc quốc tế hoặc do các cơ quan có thẩm quyền địa phương quy định nhằm kiểm soát hết các loại hoạt động điển hình của con người và sự biến đổi trong hoạt động của nguồn âm. Ví dụ, khoảng thời gian tham chiếu có thẻ là một phần của ngày, cả ngày hoặc cả tuần, ở một vài quốc gia có thể quy định khoảng thời gian tham chiếu dài hơn.
CHÚ THÍCH 2: Có thể quy định các khoảng thời gian tham chiếu khác nhau cho các mức hoặc các loạt mức khác nhau.
3.2.2
Khoảng thời gian dài (long-term time interval)
Khoảng thời gian được quy định, trong đó thời gian đo âm của một loạt khoảng thời gian tham chiếu được lấy trung bình hoặc được đánh giá.
CHÚ THÍCH 1: Khoảng thời gian dài được xác định để mô tả tiếng ồn môi trường, vì điều này thường do cơ quan có thẩm quyền quy định
CHÚ THÍCH 2: Để đánh giá và lập kế hoạch sử dụng đất đai, thì phải sử dụng khoảng thời gian dài đại diện cho phần thời gian đáng kể của một năm (ví dụ ba tháng, sáu tháng và một năm).
3.3 Đánh giá
3.3.1
Điều chỉnh (adjustment)
Bất kỳ một trị số nào, là dương hoặc âm, là không đổi hoặc thay đổi được cộng vào mức âm đo được hay dự đoán được để tính cho một vài đặc tính âm, về thời gian trong ngày hoặc loại nguồn âm.
3.3.2
Mức đánh giá (rating level)
Bất kỳ mức âm đo được hay dự đoán được mà đã được cộng thêm một trị số điều chỉnh.
CHÚ THÍCH 1: Các phép đo như mức áp suất âm ngày/đêm hoặc mức áp suất âm ngày/tối/đêm là những ví dụ của các mức đánh giá vì chúng được tính toán từ âm đo được hoặc dự đoán được trong những khoảng thời gian tham chiếu khác nhau và các giá trị điều chỉnh được cộng vào cho các mức áp suất âm liên tục tương đương trong khoảng thời gian tham chiếu theo thời gian trong ngày.
CHÚ THÍCH 2: Mức đánh giá có thể được tạo ra bằng cách cộng thêm các giá trị điều chỉnh vào mức đo được hoặc mức dự đoán được có tính đến vài loại âm như âm đơn sắc hoặc âm xung.
CHÚ THÍCH 3: Mức đánh giá có thể được tạo ra bằng cách cộng thêm các giá trị điều chỉnh vào mức đo được hoặc mức dự đoán được để tính toán sự khác nhau giữa các loại nguồn âm. Ví dụ: dùng giao thông đường bộ như nguồn âm cơ sở, việc điều chỉnh có thể áp dụng cho các mức của nguồn âm của máy bay hoặc đường sắt.
3.4 Định danh âm
CHÚ THÍCH: Xem Hình 1.
3.4.1
Âm tổng (total sound)
Toàn bộ âm giới hạn trong một tình huống nhất định tại một thời điểm nhất định, thông thường gồm các âm từ nhiều nguồn xa và gần.
3.4.2
Âm riêng (specific sound)
Thành phần của âm tổng mà có thể phân định một cách cụ thể và liên quan với một nguồn âm riêng.
3.4.3
Âm dư (residual sound)
Âm tổng còn lại tại một vị trí nhất định trong một tình huống nhất định khi các âm riêng đang xem xét bị triệt tiêu.
3.4.4
Âm ban đầu (initial sound)
Âm tổng ở trạng thái ban đầu trước khi xảy ra bất kỳ biến đổi nào so với trạng thái đang có.

a) Ba loại âm riêng A, B và C xem xét, âm dư và âm tổng

b) Hai loại âm riêng A và B xem xét, âm dư và âm tổng
CHÚ DẪN
1 âm tổng
2 âm riêng A
3 âm riêng B
4 âm riêng C
5 âm dư
CHÚ THÍCH 1: Mức âm dư thấp nhất thu được khi tất cả các âm riêng bị triệt tiêu.
CHÚ THÍCH 2: Vùng chấm chấm chỉ ra âm dư khi các âm A, B, và C bị triệt tiêu.
CHÚ THÍCH 3: Trong Hình 1 b), âm dư bao gồm âm riêng C do nó không được xem xét
Hình 1 - Định danh âm tổng, âm riêng và âm dư
3.4.5
Âm dao động (fluctuating sound)
Âm liên tục có mức áp suất âm thay đổi đáng kể nhưng không phải là dạng xung trong khoảng thời gian xem xét.
3.4.6
Âm ngắt quãng (intermittent sound)
Âm chỉ xuất hiện tại vị trí người quan sát trong những khoảng thời gian nhất định xảy ra đều đặn hoặc bất thường và sao cho thời lượng của mỗi lần xuất hiện đó lớn hơn 5 s.
VÍ DỤ: Tiếng ồn xe động cơ khi lượng giao thông nhỏ, hoặc tiếng ồn tàu hỏa, tiếng ồn máy bay và tiếng ồn máy nén khí.
3.4.7
Âm trội (sound emergency)
Âm tổng tăng lên ở một tình huống cụ thể do đưa vào một số âm riêng.
3.4.8
Âm xung (impulsive sound)
Âm được đặc trưng bởi sự tăng đột ngột của áp suất âm.
CHÚ THÍCH: Khoảng thời gian âm xung đơn lẻ thường không quá 1 s.
3.4.9
Âm sắc (tonal sound)
Âm đặc trưng bởi thành phần tần số đơn lẻ hoặc các thành phần dải hẹp nghe nổi trội từ âm tổng.
3.5 Nguồn âm xung
CHÚ THÍCH: Hiện nay không có mô tả toán học nào có thể định nghĩa rõ ràng âm xung hoặc có thể tách bạch những âm xung nêu từ 3.5.1 đến 3.5.3. Tuy nhiên ba nguồn này có mối liên quan nhất với phản ứng của cộng đồng. Do vậy các nguồn âm được nêu từ 3.5.1 đến 3.5.3 được dùng để xác định các nguồn âm xung.
3.5.1
Nguồn âm xung năng lượng cao (highly-energy impulsive sound source)
Bất kỳ nguồn gây nổ nào tương đương khối lượng thuốc nổ trên 50 g TNT hoặc các nguồn có đặc tính và mức tác động tương tự.
CHÚ THÍCH: Các nguồn âm cường độ lớn như máy bay, tên lửa, đạn pháo, đạn súng cối và các nguồn tương tự khác. Loại nguồn này không bao gồm các nguồn âm sinh ra trong khoảng thời gian ngắn do tiếng nổ của các súng cầm tay loại nhỏ và các nguồn tương tự khác.
VÍ DỤ: Nổ khai thác đá, khai thác mỏ, nguồn âm cường độ lớn, các quá trình trong phá hủy hay công nghiệp sử dụng chất nổ mạnh, máy nghiền đập trong công nghiệp, vũ khí trong quân đội (ví dụ xe bọc thép, pháo, súng cối, bom, khởi động nổ của rocket và tên lửa).
3.5.2
Nguồn âm xung cao (highly impulsive sound source)
Bất kỳ nguồn nào có đặc tính xung và mức độ tác động cao.
VÍ DỤ: Vũ khí nhỏ khai hỏa, đóng búa lên kim loại hoặc gỗ, súng bắn đinh, búa đóng cọc, búa rèn, máy đột dập, búa hơi, máy phá mặt đường, tiếng va chạm kim loại trong hoạt động chuyển hướng đường sắt.
3.5.3
Nguồn âm xung thông thường (regular impulsive sources)
Những nguồn âm xung mà không phải là nguồn âm xung năng lượng cao và không phải là nguồn âm xung cao.
CHÚ THÍCH: Dạng xung này bao gồm những âm mà đôi khi được cho là xung nhưng thường không được đánh giá về tính tác động như âm xung cao.
VÍ DỤ: Tiếng đóng cửa xe ô tô, trò chơi bóng ngoài trời như bóng đá hoặc bóng rổ, và tiếng chuông nhà thờ. Tiếng máy bay của quân đội khi bay thấp rất nhanh qua-cũng có thể xếp ở loại này.
3.6 Các mức âm ngày, tối, đêm
3.6.1
Mức âm ngày (day sound levels)
Lday,h
Mức áp suất âm liên tục tương đương khi khoảng thời gian tham chiếu là ngày.
CHÚ THÍCH 1: Chỉ số h cho biết số giờ, ví dụ: Lday,12.
CHÚ THÍCH 2: Một ngày thường là 12 h từ 7 h đến 19 h hoặc 15 h trong khoảng thời gian từ 7 h đến 22 h. Tuy nhiên, mỗi quốc gia xác định ngày khác nhau, ví dụ: 6 h đến 18 h hoặc 6 h đến 22 h.
3.6.2
Mức âm tối (evening sound level)
Levening,h
Mức áp suất âm liên tục tương đương khi khoảng thời gian tham chiếu là tối.
CHÚ THÍCH 1: Chỉ số h cho biết số giờ, ví dụ: Levening,4.
CHÚ THÍCH 2: Tối thường là 4 h từ 19 h đến 23 h. Tuy nhiên, mỗi quốc gia quy định tối một cách khác nhau, ví dụ: 18 h đến 22 h.
3.6.3
Mức âm đêm (night sound level)
Lnight,h
Mức áp suất âm liên tục tương đương khi khoảng thời gian tham chiếu là đêm.
CHÚ THÍCH 1: Chỉ số h cho biết số giờ, ví dụ: Lnight,8.
CHÚ THÍCH 2: Tối thường là 8 h từ 23 h đến 7 h, hoặc 9 h từ 22 h đến 7 h. Tuy nhiên, mỗi quốc gia xác định tối một cách khác nhau, ví dụ: 22 h đến 6 h.
3.6.4
Mức âm ngày-tối-đêm (day-evening-night sound level)
Lden
Mức áp suất âm trọng số ngày-tối-đêm được xác định như sau:

trong đó tday, tevening , và tnight được biểu thị theo giờ và tday + tevening + tnight = 24 h.
CHÚ THÍCH: Các giá trị mặc định tday, tevening , và tnight tương ứng là 12 h, 4 h và 8 h, nhưng các quốc gia cụ thể riêng, ví dụ: Các quốc gia thành viên EU sẽ giảm khoảng thời gian tối.
3.6.5
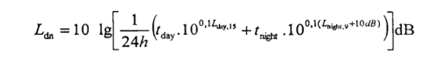
Mức âm ngày-đêm (day-night sound level)
Ldn
Mức áp suất âm ngày-đêm được xác định như sau:

trong đó tday và tnight được biểu thị theo giờ và tday + tnight = 24 h.
CHÚ THÍCH: Các giá trị mặc định tương ứng cho tday, và tnight là 15 h và 9 h.
3.6.6
Mức dung sai cho phép của cộng đồng (community tolerance level)
Lct
Mức âm ngày-đêm, trong đó 50 % số người trong một cộng đồng cụ thể được dự đoán là rất khó chịu do tiếp xúc với tiếng ồn.
CHÚ THÍCH 1: Lct được sử dụng như một thông số tính toán sự chênh lệch giữa các nguồn và/hoặc các cộng đồng dân cư khi dự đoán tỷ lệ phần trăm bị rất khó chịu do tiếp xúc với tiếng ồn.
CHÚ THÍCH 2: Phụ lục H cung cấp thêm thông tin về Lct.
4 Ký hiệu
Các ký hiệu nêu ở Bảng 1, trong đó trọng số tần số A và trọng số thời gian F đưa ra chỉ có mục đích minh họa (ngoại trừ LCpeak trong đó trọng số C thường được sử dụng nhưng một số khác trọng số, trừ trọng số A, có thể được sử dụng). Các trọng số tần số và trọng số thời gian khác quy định trong TCVN 12527-1 (IEC 61672-1) sẽ được thay thế khi thích hợp và/hoặc theo yêu cầu của cơ quan có trách nhiệm.
Bảng 1 - Ký hiệu mức áp suất âm và mức tiếp xúc âm
| Đại lượng | Ký hiệu |
| Mức áp suất âm trung bình theo trọng số thời gian và theo trọng số tần số | LpAF |
| Mức áp suất âm trung bình theo trọng số thời gian và theo trọng số tần số lớn nhất | LAF max |
| Mức phần trăm vượt | LAFNT |
| Mức áp suất âm đỉnh | LCpeak |
| Mức tiếp xúc âm | LEA |
| Mức áp suất âm liên tục tương đương | Leq,T |
| Mức tiếp xúc âm đánh giá | LRE |
| Mức liên tục tương đương đánh giá | LReq,T |
5 Đại lượng mô tả tiếng ồn môi trường
5.1 Tình huống đơn lẻ
5.1.1 Các đại lượng mô tả
Âm của các tình huống đơn lẻ (như ô tô tải đi qua, máy bay bay qua hoặc tiếng nổ tại mỏ đá) đều là ví dụ của các âm đơn lẻ. Một âm đơn lẻ có thể được đặc trưng bằng nhiều đại lượng. Những ký hiệu này bao gồm các đại lượng vật lý và các mức tương ứng đo bằng dexiben (dB). Ba đại lượng thường được dùng để miêu tả âm của các tình huống đơn lẻ. Trọng số tần số A không được dùng cho các âm xung năng lượng cao hoặc các âm có tần số rất thấp. Ba đại lượng thường sử dụng này là:
a) Mức tiếp xúc âm với trọng số tần số quy định;
b) Mức áp suất âm lớn nhất với trọng số thời gian và trọng số tần số quy định;
c) Mức áp suất âm đỉnh với trọng số tần số quy định.
CHÚ THÍCH: Không khuyến nghị sử dụng mức âm đỉnh theo trọng số A (xem Điều 4).
5.1.2 Khoảng thời gian của tình huống
Khoảng thời gian của tình huống cần được quy định tương quan theo vài đặc tính của âm, như số lần mà một số mức đã định bị vượt quá.
VÍ DỤ: Khoảng thời gian của một tình huống âm có thể xác định là thời gian tổng mà mức áp suất âm không nhỏ quá 10 dB so với mức áp suất âm lớn nhất của nó.
CHÚ THÍCH: Trong khi mức tiếp xúc âm gồm mức âm và khoảng thời gian, thi khái niệm khoảng thời gian của tình huống có thể là hữu ích để phân biệt các tình huống. Ví dụ một máy bay bay qua có thể có khoảng thời gian từ 10 s đến 20 s trong khi đó tiếng nổ của súng ngắn có khoảng thời gian ít hơn 1 s.
5.2 Tình huống đơn lẻ lặp lại
Âm môi trường đơn lẻ lặp lại là điển hình của hiện tượng âm đơn lẻ lặp lại. Ví dụ tiếng ồn máy bay, tiếng ồn tàu hỏa, hoặc tiếng ồn giao thông đường bộ với lưu lượng giao thông thấp, có thể được xem như tổng tiếng ồn của nhiều trường hợp đơn lẻ. Cũng như vậy tiếng nổ của súng là tổng âm từ nhiều tiếng súng riêng biệt. Trong tiêu chuẩn này, việc mô tả tất cả các nguồn âm đơn lẻ lặp lại sử dụng mức tiếp xúc âm của các tình huống âm đơn lẻ và số tình huống tương ứng để xác định mức áp suất âm liên tục tương đương.
5.3 Âm liên tục
Âm biến áp, quạt và tháp làm lạnh là những ví dụ của các nguồn âm liên tục. Mức áp suất âm của nguồn âm liên tục có thể là không đổi, dao động hoặc biến đổi chậm theo thời gian. Thường mô tả âm liên tục bằng mức áp suất âm liên tục tương đương theo trọng số A trong một khoảng thời gian xác định. Đối với âm dao động và không liên tục (ngắt quãng), mức áp suất âm lớn nhất theo trọng số A với trọng số thời gian xác định cũng được sử dụng.
CHÚ THÍCH: Phụ thuộc vào tình huống, tiếng ồn giao thông có thể xếp loại như nguồn liên tục hoặc tổng của nhiều tình huống âm đơn lẻ lặp lại.
6 Sự khó chịu do tiếng ồn
6.1 Các đại lượng mô tả tiếng ồn công cộng
Tiêu chuẩn này cung cấp hướng dẫn việc đánh giá tiếng ồn môi trường của các nguồn riêng biệt hoặc của bất kỳ nguồn kết hợp nào. Cơ quan có thẩm quyền có thể quyết định kết hợp những nguồn nào, nếu có, và áp dụng điều chỉnh, nếu có. Nếu âm có những đặc tính đặc biệt, thì mức áp suất âm liên tục tương đương sẽ là số đo chính dùng để mô tả âm. Các phép đo khác như mức áp suất âm lớn nhất, mức tiếp xúc âm (đã điều chỉnh) hoặc mức áp suất âm đỉnh cũng cần được quy định. Nghiên cứu chỉ ra rằng riêng trọng số tần số A không đủ để đánh giá những âm có đặc tính như âm sắc, âm xung hoặc âm tần số rất thấp. Để đánh giá phản ứng khó chịu trong thời gian dài của cộng đồng đối với những âm có các đặc tính đặc biệt, thì cộng thêm giá trị điều chỉnh, tính bằng dexiben, vào mức tiếp xúc âm có trọng số A hoặc mức áp suất âm liên tục tương đương có trọng số A. Nghiên cứu cũng chỉ ra rằng, các âm giao thông khác nhau hoặc âm công nghiệp với mức áp suất âm liên tục tương đương theo trọng số A như nhau, gây ra những phản ứng khó chịu khác nhau cho cộng đồng. Tiêu chuẩn này có kèm theo thư mục các báo cáo và tài liệu đã công bố trình bày cơ sở kỹ thuật của phương pháp đánh giá và dự đoán.
6.2 Trọng số tần số
Trọng số tần số A thường dùng để đánh giá cho tất cả các nguồn âm trừ các âm xung năng lượng cao hoặc các âm cường độ lớn tần số thấp. Không dùng trọng số tần số A để đo các mức áp suất âm đỉnh.
6.3 Các mức điều chỉnh
6.3.1 Các mức tiếp xúc âm điều chỉnh
Khi các mức tiếp xúc âm của các tình huống đơn lẻ có thể đo được riêng biệt hoặc tính toán được, lúc đó sử dụng phương pháp sau. Trong một tình huống đo, nếu các âm từ các tình huống đơn lẻ không phân biệt với các nguồn khác thì áp dụng phương pháp nêu tại 6.3.2.
Đối với bất kỳ âm đơn lẻ nào trừ âm xung năng lượng cao hoặc âm cường độ lớn có tần số thấp thì mức tiếp xúc âm điều chỉnh LREij bằng mức tiếp xúc âm LEij của âm đơn lẻ thứ i cộng với mức điều chỉnh Kj cho loại âm thứ j, đo bằng dexiben (dB). Hướng dẫn điều chỉnh các âm cụ thể và các loại nguồn và tình huống cụ thể được đưa ra trong Phụ lục A, Phụ lục B, Phụ lục E và Phụ lục F.
Ký hiệu bằng Công thức toán học:
LREij = LEij + Kj (1)
CHÚ THÍCH: Điều 3.6.6 của tiêu chuẩn này giới thiệu khái niệm về mức dung sai cho phép của cộng đồng, Lct; xem Tài liệu tham khảo [7] và [18] để hiểu rõ hơn và đánh giá sự khó chịu thường gặp trong cộng đồng. Mức dung sai cho phép của cộng đồng được giải thích trong Phụ lục H. Phụ lục E cung cấp một tập hợp điều chỉnh thống nhất cho mức âm ngày-tối-đêm, Lden, và mức âm ngày-đêm, Ldn, có thể theo trực tiếp, và do đó, chính xác từ việc sử dụng Lct. Phụ lục F cung cấp một tập hợp điều chỉnh thống nhất cho Lden và Ldn có thể theo gián tiếp từ sự chênh lệch giữa các hàm số về sự khó chịu thường gặp phù hợp với ba loại nguồn tiếng ồn từ giao thông sử dụng cách tiếp cận truy hồi của Tài liệu tham khảo [15], Dự kiến các quốc gia sẽ áp dụng các điều chỉnh trong Phụ lục E hoặc các điều chỉnh trong Phụ lục F.
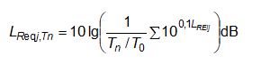
6.3.2 Mức áp suất âm liên tục tương đương điều chỉnh
Trong khoảng thời gian Tn, mức áp suất âm liên tục tương đương điều chỉnh hoặc mức đánh giá LReqj,Tn cho nguồn thứ j, bằng mức áp suất âm liên tục tương đương thực tế LAeqj,Tn cộng với mức điều chỉnh Kj cho nguồn thứ j, đo bằng dexiben (dB). Hướng dẫn điều chỉnh cho các loại nguồn âm cụ thể và các tình huống cụ thể đưa ra ở Phụ lục A, Phụ lục E và Phụ lục F.
Ký hiệu bằng công thức toán học:
LReqj,Tn = LAeqj,Tn + Kj (2)
Khi điều chỉnh các đại lượng có liên quan đến tính chất của âm, thì những điều chỉnh này chỉ áp dụng trong khoảng thời gian mà tính chất đặc trưng tồn tại. Ví dụ nếu âm có tính chất âm sắc thì việc điều chỉnh chỉ áp dụng khi âm sắc đó có thể nhận biết được.
6.4 Mức đánh giá
6.4.1 Một nguồn âm
Nếu trong khoảng thời gian, Tn, chỉ có một nguồn âm liên quan thì mức đánh giá là mức áp suất âm liên tục tương đương được tính bằng Công thức (3) từ mức tiếp xúc âm điều chỉnh đã cho ở 6.3.1, hoặc mức áp suất âm liên tục tương đương điều chỉnh đã cho ở 6.3.2. Mức đánh giá có thể mở rộng cho bất kỳ khoảng thời gian nào được trình bày ở 3.2.
(3)
Trong đó t0 = 1 s.
6.4.2 Nguồn kết hợp
Phụ lục G đưa ra hướng dẫn chung để đánh giá mức đánh giá cho các nguồn kết hợp. Mức đánh giá của nguồn âm kết hợp có thể mở rộng cho bất kỳ khoảng thời gian nào được trình bày ở 3.2. Nói chung khoảng thời gian T được chia nhỏ thành Tnj cho mỗi nguồn j. Giá trị Tnj được chọn sao cho giá trị điều chỉnh ở trong LReqj,Tn là hằng số. Việc chia nhỏ T có thể khác nhau đối với các nguồn khác nhau. Mức áp suất âm liên tục tương đương đánh giá được cho theo công thức:
(4)
Trong đó:

cho mỗi nguồn j.
CHÚ THÍCH: Trên thực tế, Công thức (4) thường được dùng để đánh giá một nguồn tại một thời điểm.
6.5 Mức đánh giá tổng hợp cả ngày
Một phương pháp khác được sử dụng rộng rãi để mô tả môi trường tiếng ồn công cộng là đánh giá mức đánh giá tổng hợp cho cả ngày từ các mức đánh giá ở trong những khoảng thời gian khác nhau của một ngày. Ví dụ, mức đánh giá ngày-đêm LRdn được tính bằng công thức:
(5)
Trong đó:
d là số giờ của ngày;
LRd là mức đánh giá cho thời gian ngày, bao gồm điều chỉnh nguồn âm và đặc điểm âm;
LRn là mức đánh giá cho thời gian đêm, bao gồm điều chỉnh nguồn âm và đặc điểm âm;
Kd là điều chỉnh cho thời gian ngày;
Kn là điều chỉnh cho thời gian đêm.
Công thức tương tự có thể áp dụng để tính mức đánh giá ngày-tối-đêm, LRden

Trong đó
e là số giờ tối;
LRe là mức đánh giá vào tối, đã bao gồm điều chỉnh theo nguồn âm và đặc điểm âm;
Ke là điều chỉnh cho thời gian tối.
và các ký hiệu khác như trong Công thức (5).
Các cơ quan có thẩm quyền nên chọn khoảng thời gian ngày và các giờ trong ngày.
Nếu thời gian bao gồm điều chỉnh cuối tuần, thì mức đánh giá sẽ được tính riêng cho các ngày trong tuần, các ngày thứ bảy và các ngày chủ nhật. Trung bình hàng năm phải bao gồm tỷ lệ chính xác các ngày trong tuần, các ngày thứ bảy và các ngày chủ nhật để mô tả toàn bộ khoảng thời gian.
7 Yêu cầu về giới hạn tiếng ồn
7.1 Quy định chung
Giới hạn tiếng ồn do cơ quan có thẩm quyền quy định trên cơ sở hiểu biết về ảnh hưởng của tiếng ồn đối với sức khỏe, sinh hoạt của con người (đặc biệt liên quan đến mức phản ứng khó chịu) đồng thời tính đến các yếu tố xã hội và kinh tế.
Các giới hạn đó phụ thuộc vào nhiều yếu tố như thời gian trong ngày (ví dụ ngày, tối, đêm, hoặc cả 24 h), các hoạt động cần được bảo vệ (ví dụ bên ngoài hoặc trong nhà, giảng dạy trong trường học, giải trí trong công viên), các loại nguồn âm, tình huống (ví dụ sự phát triển dân số trong tình hình hiện thời, xây dựng giao thông hoặc khu công nghiệp mới gần vùng dân cư, và các biện pháp khắc phục hiện thời).
Quy định giới hạn tiếng ồn gồm cả giá trị giới hạn và quy trình mô tả hoàn cảnh tuân thủ những quy định đó đều có thể kiểm chứng được. Các quy trình này có thể vừa dựa vào tính toán từ các mô hình dự đoán âm hoặc dựa vào những phép đo.
Một quy trình như vậy cần phải bao gồm các yếu tố sau:
a) Một hoặc nhiều đại lượng mô tả âm;
b) Khoảng thời gian liên quan;
c) Nguồn và chế độ hoạt động và môi trường của nó;
d) (Các) vị trí nơi giới hạn tiếng ồn được đo;
e) Điều kiện truyền âm từ nguồn đến nơi tiếp nhận;
f) Phương pháp để tính đến các độ không đảm bảo cho quy trình dự đoán hoặc quy trình đo;
g) Loại và đặc điểm của khu vực mà giới hạn tiếng ồn được áp dụng;
h) Tiêu chí để đánh giá sự tuân thủ giới hạn tiếng ồn.
7.2 Quy định kỹ thuật
7.2.1 Các đại lượng mô tả tiếng ồn
Đại lượng mô tả tiếng ồn được ưu tiên áp dụng cho quy định kỹ thuật của giới hạn tiếng ồn là mức đánh giá trong một hoặc nhiều khoảng thời gian tham chiếu. Khi sử dụng mức đánh giá, giá trị điều chỉnh nào phải tính đến thì cần phải được quy định.
Ở một số quốc gia, sự khác nhau trong việc đánh giá nguồn âm là không tính đến điều chỉnh mà theo các giới hạn cụ thể của nguồn âm. Giới hạn áp dụng cho các tình huống âm có thể được quy định theo mức tiếp xúc âm hoặc mức âm cực đại. Trong cả hai trường hợp, giá trị (thống kê) mà giới hạn đó tương quan theo thì cần nêu ra (ví dụ, mức âm cực đại trong khoảng thời gian đã cho, trung bình của các mức âm cực đại đối với loại âm ồn nhất của một nguồn đã nêu).
Nếu các giới hạn bổ sung được quy định theo các đại lượng khác như âm trội, thì phương pháp xác định các giá trị đó cần phải được quy định.
7.2.2 Khoảng thời gian liên quan
Cần phải quy định khoảng thời gian tham chiếu mà phép đánh giá tham chiếu theo. Những khoảng thời gian này cần phải tương ứng với các hoạt động của con người và các biến đổi theo hoạt động của nguồn âm.
Cần phải nêu rõ là sự biến đổi nào của bức xạ âm và truyền dẫn âm cần phải tính đến trong các khoảng thời gian tham chiếu khi kiểm tra sự tuân thủ với giới hạn.
Thêm vào đó, cần phải quy định khoảng thời gian lâu dài (xem 3.2.2).
7.2.3 Nguồn âm và điều kiện hoạt động của chúng
Cần quy định giới hạn tiếng ồn áp dụng cho các nguồn âm. Khi thích hợp, điều kiện hoạt động của nguồn âm cũng cần được quy định.
7.2.4 Vị trí
Cần quy định rõ các vị trí mà giới hạn tiếng ồn không được vượt quá. Nếu phải kiểm chứng giới hạn tiến ồn đo được từ các phép đo gần các cao ốc hoặc các vật phản xạ kích thước lớn khác, thì cần phải theo hướng dẫn nêu tại TCVN 7878-2 (ISO 1996-2).
7.2.5 Điều kiện truyền dẫn
Âm lan truyền ngoài trời thì sự biến đổi của các điều kiện khí tượng có thể ảnh hưởng đến mức áp suất âm nhận được. Trong trường hợp đó, giới hạn tiếng ồn phải dựa trên giá trị trung bình đối với tất cả các điều kiện truyền âm liên quan hoặc đối với một điều kiện cụ thể.
7.2.6 Độ không đảm bảo
Cần phải nêu rõ phương pháp tính độ không đảm bảo trong phương pháp dự tính hay quy trình đo khi đánh giá sự tuân thủ với các giới hạn tiếng ồn. Trong trường hợp tính độ không đảm bảo của phép đo thì cần quy định số lượng tối thiểu các phép đo độc lập mang tính thống kê.
CHÚ THÍCH: Hướng dẫn thêm về tính không đảm bảo được cho trong TCVN 7878-2 (ISO 1996-2).
8 Báo cáo đánh giá tiếng ồn môi trường và ước tính phản ứng khó chịu lâu dài của cộng đồng
8.1 Ước tính phản ứng khó chịu lâu dài của cộng đồng
Sự đánh giá tiếng ồn diễn ra trong một khoảng thời gian dài, điển hình là một năm, được dùng để ước tính phản ứng khó chịu của cộng đồng theo tình huống âm tổng thể và ổn định.
Có thể sử dụng Phụ lục E hoặc Phụ lục F để đánh giá phản ứng khó chịu lâu dài của cộng đồng với tiếng ồn của sân bay, giao thông đường bộ hoặc tiếng ồn đường sắt. Mỗi phụ lục này cung cấp ước tính tỷ lệ phần trăm dân số điển hình có thể sẽ rất khó chịu bởi tiếng ồn môi trường do mức âm ngày-đêm được điều chỉnh trung bình hàng năm cụ thể. Dữ liệu của các Phụ lục E và F cho thấy sự phân tán cao, điều này được minh chứng bằng các giá trị cho các khoảng dự đoán 95 %. Phản ứng trong bất kỳ cộng đồng cụ thể nào cũng có thể khác nhiều so với giá trị điển hình. Sự thay đổi từ cộng đồng này so với cộng đồng khác được định lượng bằng cách sử dụng mức dung sai cho phép của cộng đồng được nêu trong Phụ lục H và được sử dụng trong các Phụ lục A, D và E.
8.2 Báo cáo thử nghiệm
8.2.1 Báo cáo bao gồm các mục sau, nếu liên quan:
a) Khoảng thời gian tham chiếu;
b) Khoảng thời gian lâu dài;
c) Các phép đo, dụng cụ đo, việc hiệu chuẩn thiết bị và cách bố trí, và khoảng thời gian đo;
d) Mức đánh giá và các thành phần âm, kể cả các loại mức âm dùng cho mức đánh giá;
e) Bản mô tả nguồn âm hoặc các loại nguồn mà khoảng thời gian tham chiếu đã tham chiếu theo;
f) Bản mô tả các điều kiện hoạt động của nguồn âm;
g) Bản mô tả địa điểm đánh giá kể cả địa hình, hình dáng cao ốc, bề mặt và hoàn cảnh của nền địa điểm đó;
h) Bản mô tả phương pháp đã dùng để điều chỉnh tạp âm do âm dư và mô tả âm dư đó;
i) Kết quả của việc đánh giá phản ứng khó chịu lâu dài của cộng đồng, bao gồm khoảng dự đoán 95 %;
j) Bản mô tả điều kiện thời tiết trong khi đo và nhất là hướng và tốc độ gió, đã có mây bao phủ và mưa;
k) Độ không đảm bảo của kết quả và phương pháp dùng để tính độ không đảm bảo đó (xem 7.2.6);
l) Để tính toán, nguồn dữ liệu đầu vào và các hoạt động thực hiện kiểm tra tính xác thực của dữ liệu đầu vào.
CHÚ THÍCH: Chi tiết các mục c), h), j) và k) xem trong TCVN 7878-2 (ISO 1996-2).
Mặc dù trong tiêu chuẩn này sử dụng mức áp suất âm và mức đánh giá tính bằng dexiben, nhưng vẫn có giá trị tương đương để thể hiện các kết quả theo các đại lượng vật lý cơ bản, như mức tiếp xúc âm đo bằng pascal bình phương giây (Pa2s). Các giá trị điều chỉnh bổ sung vào các mức âm cần được chuyển đổi theo các hệ số tương ứng với các đại lượng vật lý.
8.2.2 Các yêu cầu bổ sung cho báo cáo tuân thủ với giới hạn tiếng ồn như sau
a) Phần liên quan của quy định giới hạn tiếng ồn.
b) Nếu phương pháp dự đoán được sử dụng thì bổ sung thêm bản mô tả mô hình dự đoán và những giả định được lấy làm cơ sở.
c) Nếu phương pháp dự đoán được sử dụng thì bổ sung thêm độ không đảm bảo kèm theo giá trị dự đoán được của đại lượng âm đó.
Phụ lục A
(tham khảo)
Điều chỉnh đối với các mức đánh giá nguồn âm
A.1 Quy định chung
Bằng chứng khoa học chỉ ra rằng sự khó chịu của nguồn âm giao thông là khác nhau đối với từng phương thức vận chuyển. Thực tế thường thấy là đối với cùng mức áp suất âm liên tục tương đương nhưng tiếng ồn của máy bay thì khó chịu hơn tiếng ồn giao thông đường bộ. Cũng như vậy, tiếng ồn của tàu hỏa ít khó chịu hơn tiếng ồn giao thông đường bộ. Tuy nhiên, người dùng được cảnh báo rằng phương pháp phân tích mức dung sai cho phép (Lct) của Phụ lục E và các kết quả nghiên cứu mới của Nhật Bản (xem Tài liệu tham khảo [22]) cho thấy mức điều chỉnh tiếng ồn đường sắt thông thường điển hình là +2 dB đến +3 dB. Sự điều chỉnh âm (-) lên đến 9 dB chỉ tồn tại trong các trường hợp đặc biệt có các mức rung và lắc lách cách, chủ yếu lan truyền qua mặt đất, nhưng cũng có những tiếng rung do tiếng ồn của tàu hỏa gây ra là thấp vì các yếu tố như mặt đất làm giảm rung lắc hoặc các đường ray làm rung lắc bị cô lập.
CHÚ THÍCH: Tiêu chuẩn này sử dụng mức đánh giá như được nêu trong Điều 6. Đối với mức đánh giá, những thay đổi dương (+) về cơ bản là tăng thêm và những thay đổi âm (-) là giảm đi. Điều này có nghĩa là nếu Lct cho nguồn A lớn hơn 5 dB so với Lct cho nguồn B, thì nguồn B sẽ tạo ra một mức tăng thêm 5 dB đối với nguồn A.
Vì vậy, trong đoạn thứ nhất của A.1, mức 2 dB đến 3 dB nên cộng vào Ldn của các đoàn tàu hỏa gây tiếng rung lắc để so sánh mức đánh giá của tiếng ồn tàu hỏa với giao thông đường bộ. Tương tự, sự thay đổi bằng -9 dB chỉ ra rằng 9 dB nên bị trừ khỏi Ldn để biến nó thành mức đánh giá tương ứng với lưu lượng giao thông đường bộ. Tất cả các bảng trong các phụ lục đều tuân theo quy ước này.
Về cơ bản, những tình huống rung và lắc thấp này xảy ra khi tàu hỏa là loại tàu thường; tàu chở khách chạy bằng điện, và sự truyền rung từ sự tương tác giữa tàu hỏa và xe lửa bị suy giảm. Dữ liệu hạn chế cho thấy có sự điều chỉnh dương (+) khá lớn đối với tàu cao tốc, tức là tàu có tốc độ vượt quá 230 km/h.
Có thể sử dụng Lct để kiểm tra sự thay đổi về tỷ lệ gây rất khó chịu theo thời gian. Hình A.1 từ Tài liệu tham khảo [7] cho thấy có sự giảm nhỏ trong Lct đối với tiếng ồn máy bay với thời gian khoảng 0,2 dB trên năm từ khoảng năm 1960 đến năm 2005 cho một sự thay đổi tổng cộng gần 10 dB. Tài liệu tham khảo [10] báo cáo một sự thay đổi tương tự bằng cách sử dụng nhiều hoặc ít hơn cùng một dữ liệu trong khoảng thời gian tương tự. Phân tích của họ được thực hiện từ năm 1967 đến năm 2005 và sử dụng hồi quy để cho thấy sự gia tăng phản ứng khó chịu ở mức độ tiếp xúc nhất định là tương đương với sự gia tăng về mức bằng khoảng 10 dB.
Đối với âm xung cao hoặc đều đặn thì có nhiều bằng chứng là với cùng mức áp suất âm liên tục tương đương, sự khó chịu do âm xung gây ra là nhiều hơn so với tiếng ồn giao thông đường bộ. Giống như vậy, các số liệu thử nghiệm cho biết, với âm có đặc tính âm trội thì ở cùng mức áp suất liên tục tương đương, sự khó chịu cao hơn với tiếng ồn giao thông đường bộ. Điều chỉnh đối với âm sắc và âm xung đã được đề xuất trong tất cả các phần của ISO 1996 kể từ khi bắt đầu vào năm 1971. Tiêu chuẩn này tiếp tục lý thuyết đó và chấp nhận điều chỉnh âm xung như trong TCVN 7878-2 (ISO 1996-2).

CHÚ DẪN
X năm bắt đầu nghiên cứu tiếng ồn của máy bay
Y mức dung sai cho phép Lct, tính bằng dexiben (dB)
CHÚ THÍCH: Hình A.1 có đường hồi quy khớp với dữ liệu. Đường hồi quy này có độ dốc -0,2 dB/năm. Xu hướng này rõ ràng hướng xuống.
Hình A.1 - Thay đổi của Lct trong các nghiên cứu tiếng ồn máy bay so với năm bắt đầu nghiên cứu
Đối với tiếng ồn công nghiệp liên tục, không có thông tin đầy đủ về mối quan hệ của phản ứng và mức ồn tiếp xúc. Kinh nghiệm của một số quốc gia cho thấy rằng tiếng ồn công nghiệp có thể gây khó chịu hơn tiếng ồn giao thông, thậm chí nó không có những âm điệu hoặc âm xung nghe được rõ ràng, ở một số quốc gia, sự khó chịu gây ra bởi các nguồn tiếng ồn công nghiệp được giả định là phụ thuộc vào âm trội. Tuy nhiên, nhiều tiếng ồn công nghiệp có âm sắc (quạt và bơm) hoặc xung theo bản chất của nguồn âm, và những âm này được đánh giá với những điều chỉnh cho tính chất duy nhất của chúng.
Các điều chỉnh về thời gian trong ngày hiện nay được chấp nhận ở nhiều quốc gia và gần đây được đề nghị vào trong một số quy định pháp lý quan trọng mới. Những điều chỉnh này được dùng để nâng cao tính tương thích giữa phản ứng của cộng đồng với các âm trong những khoảng thời gian cụ thể trong ngày hoặc trong tuần. Tiêu chuẩn này giới thiệu việc áp dụng điều chỉnh cho thời gian tối, đêm và cuối tuần. Các giá trị điều chỉnh thời gian trong ngày là tùy chọn có thể do các cơ quan có thẩm quyền quyết định áp dụng.
A.2 Điều chỉnh
Do sự khó chịu là khác nhau đối với tiếng ồn của những nguồn khác nhau về âm, đặc tính âm, thời gian trong ngày v.v.. giá trị điều chỉnh được cộng vào mức đo hoặc mức dự đoán. Các giá trị điều chỉnh này phải cộng vào mức tiếp xúc âm hay mức áp suất âm liên tục tương đương đo được hoặc dự đoán, theo như 6.3. Đối với các âm đơn lẻ, thì việc điều chỉnh tại 6.3 được áp dụng cho mức tiếp xúc âm của từng tình huống phù hợp, đối với nguồn âm liên tục, việc điều chỉnh này được áp dụng để đo hoặc dự đoán mức áp suất âm liên tục tương đương.
CHÚ THÍCH: Những điều chỉnh này chỉ được cộng thêm vào các mức âm cụ thể, chứ không cộng vào các mức âm dư. Ví dụ, nếu một nhà máy dập cũng có tiếng ồn từ một bộ xử lý không khí và cả hai được phát ra vào cộng đồng, mức tăng thêm cho tiếng ồn xung chỉ gắn với tiếng ồn máy dập mà không dùng với tiếng ồn không khí.
Có thể áp dụng các điều chỉnh thời gian trong ngày cho mức tiếp xúc âm hoặc mức áp suất âm liên tục tương đương, khi thích hợp. Vì việc điều chỉnh thời gian trong ngày là không đổi cho tất cả các nguồn âm trong suốt khoảng thời gian nên kết quả là giống nhau. Ví dụ: có thể cộng thêm 5 dB cho mỗi mức tiếp xúc âm của máy bay trong thời gian tối hoặc là có thể cộng thêm 5 dB cho mức áp suất âm liên tục tương đương của máy bay trong thời gian tối, kết quả là như nhau. Bảng A.1. đưa ra các giá trị điều chỉnh khuyến nghị.
Phân tích mức dung sai cho phép của cộng đồng (Lct) trực tiếp dẫn đến việc điều chỉnh nguồn như tại Bảng A.1 và được nêu trong Bảng E.3, ví dụ, Bảng E.3 cho thấy sự điều chỉnh +5 dB đối với tiếng ồn máy bay so với tiếng ồn giao thông đường bộ. Lct cũng có khả năng kiểm tra những thay đổi về tỷ lệ của mức rất khó chịu đối với một nguồn ồn theo thời gian. Hình A.1 minh họa xu hướng thời gian của Lct, 73,3 dB là mức trung bình tổng thể cho tiếng ồn máy bay xảy ra trong năm 1988. Đường ngoại suy hồi quy tuyến tính trong Hình A.1 đến năm 2012 cho thấy mức Lct hiện tại là 68,0 dB, giảm hơn 5 dB so với giá trị trong Bảng E.3. Tuy nhiên, việc thay đổi Lct đối với tiếng ồn máy bay thành 68 dB là không được khuyến nghị tại thời điểm này vì những thay đổi trong tương lai theo thời gian có thể đảo ngược hướng nhưng điều này không thể biết được cho đến khi nhiều thời gian qua đi.
Do độ không đảm bảo của các dữ liệu tổng thể và thực tế là các dữ liệu chỉ được cung cấp cho năm 2005, điều chỉnh tiếng ồn sân bay cho phép trong Bảng A.1 là +5 dB đến +8 dB thay vì dải điều chỉnh +3 dB đến +6 dB, (như trong các phiên bản trước của tiêu chuẩn này). Đó là, mặc dù thay đổi của Lct được chỉ định trong sân bay là 5 dB, nhưng tại thời điểm này chỉ khuyến nghị thay đổi 0 dB đến 2 dB, với sự thay đổi tương ứng trong điều chỉnh tiếng ồn máy bay trong Bảng A.1 tăng 2 dB từ dải 3 dB đến 6 dB đến dải từ 5 dB đến 8 dB với điều chỉnh khuyến nghị tăng từ 5 dB đến 7 dB.
Với phương pháp Lct, chuyển đổi từ một mức tăng thêm 5 dB đối với tiếng ồn của máy bay thành mức tăng thêm 7 dB được thực hiện đơn giản bằng cách giảm mức dung sai cho phép của cộng đồng, Lct, xuống 2 dB. Với phương pháp đường cong hồi quy, chức năng hiện có liên quan cụ thể đến tiếng ồn của máy bay với tỷ lệ phần trăm dân số cảm thấy rất khó chịu và biểu hiện khoảng thay đổi 5 dB từ chức năng giao thông đường bộ tương ứng đã lỗi thời. Như một phép tính xấp xỉ, có thể cộng điều chỉnh 2 dB vào mức âm của máy bay và sau đó đánh giá mức độ khó chịu khi sử dụng chức năng tiếng ồn máy bay Tài liệu tham chiếu [15], chức năng được nêu trong Phụ lục F và thể hiện mức tăng thêm 5 dB đối với tiếng ồn giao thông đường bộ. Các quốc gia muốn tăng sự điều chỉnh tiếng ồn máy bay có thể chọn sử dụng phương pháp Lct (xem Phụ lục E) vì khả năng họ phải trực tiếp đối mặt với loại thay đổi này.
Bảng A.1 - Mức điều chỉnh điển hình dựa theo loại nguồn âm và thời gian trong ngày
| Loại | Đặc điểm kỹ thuật | Mức điều chỉnh, dB |
| Nguồn âm | Giao thông đường bộ | 0 |
| Máy bay | 5 đến 8a | |
| Đường sắt | - 3 đến - 6b | |
| Công nghiệp | 0c | |
| Đặc tính của nguồn | Xung thông thường | 5d,e,f |
| Xung cao | 12 | |
| Xung năng lượng cao | Xem phụ lục B | |
| Âm trội | 3 đến 6g | |
| Khoảng thời gian | Tối | 5 |
| Đêm | 10 | |
| Cuối tuần | 5h | |
| a Dải điều chỉnh tiếng ồn máy bay đã được thay đổi từ +3 dB đến +6 dB trong phiên bản trước của tiêu chuẩn này (TCVN 7878-1:2008 (ISO 1996-1:2003)) thành dải điều chỉnh +5 dB đến +8 dB trong tiêu chuẩn này. b Điều chỉnh này áp dụng cho các tàu chở khách đường sắt thông thường với động cơ điện và điều kiện đường ray hoặc đất rung bị cô lập, không có lợi cho việc lan truyền rung. c Không có mức điều chỉnh nào được nêu cho tiếng ồn công nghiệp nói chung do thiếu các thông tin đầy đủ về mối quan hệ mức ồn-phản ứng ở giai đoạn này. d Các điều chỉnh cho tính chất nguồn xung chỉ nên được áp dụng cho các nguồn âm xung có thể nghe được tại vị trí máy thu. Các điều Chỉnh cho tính chất âm sắc chỉ áp dụng khi tổng âm nghe được rõ ràng ở vị trí máy thu. CHÚ THÍCH: Khả năng nghe và âm nổi là chủ đề của TCVN 7878-2 (ISO 1996-2). e Khi âm được tạo ra bởi một nguồn xung quá thấp đến nỗi nó không thể tách rời khỏi âm do các nguồn khác tạo ra hoặc xung không thường xuyên đến mức chúng không ảnh hưởng đến kết quả, thì những xung này không cần phải xem xét. Việc điều chỉnh phải là 5 dB khi các tình huống xung xảy ra tại hoặc vượt quá một tỷ lệ được chỉ định bởi các cơ quan có trách nhiệm. Thông thường, tỷ lệ này dao động từ vài giây một lần đến vài phút một lần. Sự tách âm xung từ âm dư là vấn đề đo lường và được xử lý trong TCVN 7878-2 (ISO 1996-2). Tuy nhiên, vì đây là một yêu cầu khá mới, sau đây khuyến nghị cần xem xét và góp ý. Việc sử dụng D' được triển khai để đánh giá cả âm và khả năng nhận biết của âm trong sự hiện diện của âm dư [19]. D' là tỷ số tín hiệu tiếng ồn được điều chỉnh theo chiều rộng băng tần và được lấy là 4 dB cho âm nghe được và 14 dB cho âm nhận biết được. Khuyến nghị là D' bằng 14 dB là giới hạn dưới cho khi âm xung nên được tách ra khỏi âm dư, như bất kỳ các mức thấp hơn không được nhận thấy. f Một số quốc gia áp dụng các thử nghiệm âm trội để đánh giá liệu các nguồn âm là âm xung thông thường không. s Nếu sự hiện diện của âm trội không rõ ràng, thì TCVN 7878-2 (ISO 1996-2) cung cấp các quy trình đo để kiểm tra điều đó. h Các điều chỉnh ngày vào cuối tuần (thông thường từ 7 giờ đến 22 giờ) trên các nguồn phải tuân thủ quy định áp dụng để cho phép nghỉ ngơi và hồi phục đầy đủ và tính cho số lượng người ở nhà lớn hơn. | ||
Ví dụ về xu hướng đảo chiều theo thời gian, Hình A.2 minh họa xu hướng thời gian về Lct đối với tiếng ồn giao thông đường bộ. Kiểm tra toàn bộ dữ liệu giao thông đường bộ cho thấy rằng xu hướng không khác biệt đáng kể từ 0, và mối tương quan với đường hồi quy là rất nhỏ. Tuy nhiên, nếu chỉ xem xét giai đoạn 15 năm từ năm 1969 đến năm 1983, có thể kết luận rằng độ dốc của đường hồi quy là -0,3 dB/năm; và nếu kiểm tra dữ liệu trong khoảng thời gian 15 năm từ 1989 đến 2003, có thể kết luận rằng độ dốc của đường hồi quy là +0,9 dB / năm.

CHÚ DẪN
X năm bắt đầu nghiên cứu tiếng ồn giao thông đường bộ
Y mức dung sai công cộng Lct, tính bằng dexiben(dB)
CHÚ THÍCH 1: Hình A.2 chứa đường hồi quy không theo dữ liệu. Đường hồi quy này có độ dốc -0,1 dB / năm. Tuy nhiên, không giống như Hình A.1. xu hướng KHÔNG rõ ràng hướng xuống. Dường như có những giai đoạn tăng hoặc giảm trong thời gian dài, nhưng xu hướng lâu dài tổng thể dường như bằng không.
CHÚ THÍCH 2: Lct sử dụng ở đây với mục đích kiểm tra những thay đổi về mức độ khó chịu như một hàm thời gian (tính theo năm). Một phân tích tương tự có thể được thực hiện theo thời gian bằng cách sử dụng một số hàm lý thuyết khác, hoặc có thể sử dụng đường cong phù hợp nhưng hạn chế dữ liệu cho dữ liệu gần đây hơn (ví dụ: mới hơn 2000).
Hình A.2 - Thay đổi của Lct trong các nghiên cứu tiếng ồn giao thông đường bộ so với năm bắt đầu nghiên cứu
Phụ lục B
(tham khảo)
Âm xung năng lượng cao
B.1 Quy định chung
Phương pháp trong phụ lục này dựa trên nghiên cứu đã công bố của Đức, Hà lan và Mỹ và trong một tạp chí năm 1996 nghiên cứu của Hội đồng Nghiên cứu Quốc gia, Ủy ban Thính giác, Âm Sinh học, và Cơ Sinh học (xem Tài liệu tham khảo [29]).
B.2 Đại lượng cơ bản
Đối với âm xung năng lượng cao trong tình huống đơn lẻ, đại lượng cơ bản là mức tiếp xúc âm theo trọng số C, LEC.
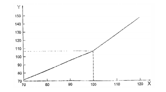
B.3 Tính toán mức tiếp xúc âm điều chỉnh cho âm xung năng lượng cao từ mức tiếp xúc âm theo trọng số C
Mức tiếp xúc âm LRE điều chỉnh cho mỗi âm xung năng lượng cao trong tình huống đơn lẻ được tính từ mức tiếp xúc âm theo trọng số C, LEC. theo Công thức sau:
LRE = 2 LEC - 93 dB với LEC ≥ 100dB (B.1)
LRE =1,18 LEC - 11 dB với LEC < 100 dB (B.2)
CHÚ THÍCH: Công thức (B.2) chỉ được xác định ở mức 70 dB. Dưới mức này, năng lượng là quá thấp để trở thành năng lượng cao và nó không liên quan đến phản ứng của con người nữa.
Hai công thức đó giao nhau ở mức tiếp xúc âm theo trọng số C là 100 dB. Mức tiếp xúc âm đánh giá đối với mức tiếp xúc âm theo trọng số C của 100 dB là 107 dB. Mối liên hệ giữa chúng được thể hiện bằng đồ thị trên Hình B.1.

CHÚ DẪN
X mức tiếp xúc âm theo trọng số C, LEC, tính bằng dexiben(dB)
Y mức tiếp xúc âm đánh giá, LRE, tính bằng dexiben(dB)
CHÚ THÍCH: Đường nét đứt thể hiện giao điểm của hai đường cong tại mức đánh giá bằng 107 dB khi LEC bằng 100 dB.
Hình B.1 - Mức tiếp xúc âm đánh giá là hàm số của mức tiếp xúc âm theo trọng số C đối với âm xung năng lượng cao
B.4 Phương pháp đánh giá khác để tính mức tiếp xúc âm điều chỉnh
Dựa vào các dữ liệu hiện trường hoặc trong phòng thí nghiệm với các âm thực, 2 mô hình liên quan được xây dựng để đánh giá một dải các âm của tiếng nổ phát ra từ súng ngắn đến các vũ khí trung bình (ví dụ loại 35 mm) và đến vũ khí cỡ lớn (ví dụ loại 155 mm). Mỗi loại mô hình áp dụng tính khác nhau giữa mức trọng số C và mức trọng số A được kết hợp với chính mức trọng số A hoặc mức trọng số C. Như vậy, mô hình này giống như các phương pháp dựa theo hàm số của độ ồn, là nhạy hơn phương pháp phổ với riêng trọng số A.
Trong một mô hình (xem Tài liệu tham khảo [32]). Công thức cơ bản là:
LRE = 1.40 LEC - 0,92 (LCFmax - LAFmax) - 21,9 dB (B.3)
Mô hình này sử dụng sự khác nhau giữa mức áp suất âm lớn nhất theo trọng số C và theo trọng số A, cả trọng số thời gian F, khi kết hợp với mức tiếp xúc âm trọng số C, ba đại lượng này thường có đủ tỷ lệ tín hiệu ồn cho các phép đo phù hợp.
Trong một mô hình khác (xem Tài liệu tham khảo [34]), Công thức chung là:
LRE = LEA + 12dB + 0,015 (LEC - LEA) (LEA - 47 dB) (B.4)
Ở đây, sự khác nhau giữa mức tiếp xúc âm trọng số C và A được sử dụng kết hợp với mức tiếp xúc âm trọng số A. Tuy nhiên, khó có thể đo mức tiếp xúc âm trọng số A khi tiếng súng nổ ở khoảng cách xa, do vậy cần có một mô hình truyền âm thích hợp để sử dụng.
Phụ lục C
(tham khảo)
Âm có tần số thấp mạnh
C.1 Quy định chung
Các nghiên cứu cho thấy cảm nhận và ảnh hưởng của những âm có tần số thấp khác biệt đáng kể so với âm có tần số trung bình hoặc cao. Nguyên nhân chính của sự khác biệt này là:
- Sự suy yếu của cảm giác về cao độ khi tần số âm giảm xuống dưới 60 Hz;
- Tiếp nhận âm như các xung và dao động;
- Độ ồn và sự khó chịu tăng nhanh hơn cùng với sự tăng mức áp suất âm tại tần số thấp so với tần số vừa và cao;
- Phàn nàn về cảm giác của áp suất lên tai;
- Sự khó chịu do hiệu ứng thứ cấp như tiếng cọt kẹt của các kết cấu nhà, cửa sổ và cửa ra vào hoặc tiếng va chạm leng keng của các đồ đạc trong nhà;
- Khả năng cách âm ở tần số thấp của các kết cấu xây dựng kém hơn ở tần số vừa hoặc cao.
Để đánh giá âm cường độ lớn có tần số thấp thì phương pháp đánh giá cần được cải biên. Vị trí đo có thể thay đổi và trọng số tần số bị ảnh hưởng vì âm cường độ lớn có tần số thấp gây ra khó chịu hơn so với đã dự đoán theo mức áp suất âm trọng số A.
C.2 Yếu tố phân tích
Các yếu tố chính như sau:
a) Dải tần số quan tâm xuất hiện khoảng 5 Hz đến khoảng 100 Hz. Ở dải tần số thấp hơn khoảng 20 Hz, một số quốc gia sử dụng trọng số G để đánh giá âm. Ở dải tần số trên 15 Hz, một vài quốc gia sử dụng dải một octa hoặc 1/3 octa để phân tích dải từ 16 Hz đến 100 Hz.
CHÚ THÍCH: Trọng số G được quy định trong ISO 7196.
b) Các quốc gia có phương pháp riêng để đánh giá âm tần số thấp thì không sử dụng trọng số A theo cùng cách thức vì trọng số A được dùng để đánh giá cho âm tần số vừa và cao. Đúng hơn là các quốc gia đó đánh giá âm tần số thấp chỉ ở dải tần số hạn chế đã nói ở trên.
c) Một số quốc gia đã xây dựng bộ tiêu chí tiếng ồn tần số thấp dựa trên phép đo âm trong nhà thay cho các phép đo âm ngoài hiện trường. Một số quốc gia khác sử dụng cả hai phép đo trong nhà và ngoài trời trong tiêu chuẩn quốc gia của họ.
d) Một trong các vấn đề đánh giá tiếng ồn tần số thấp là hiện tượng cộng hưởng trong phòng ở tần số thấp có thể tạo ra tình huống khó cho dự đoán các phép đo bên ngoài nhà. Điều này đặc biệt quan trọng trong việc đánh giá âm trong một nhà ở cụ thể. Tuy nhiên, với mục đích ước tính sự rất khó chịu phổ biến trong một cộng đồng dân cư rộng thì các phép đo bên ngoài nhà có thể là đủ.
e) Các âm lách cách trong thành phần kết cấu nhà là các thông số quan trọng cần xác định để đánh giá sự khó chịu do tần số thấp gây ra. Phương pháp ở Phụ lục B đặc biệt tính đến tiếng lách cách này khi liên quan đến âm xung năng lượng cao. Như đã nói đến ở c) và d), đối với âm liên tục, thì một số quốc gia đã xây dựng các tiêu chí trong phòng có kết hợp giữa âm nghe được và tiếng lách cách. Một số quốc gia khác đã xây dựng các giới hạn bên trong nhà tách riêng để đánh giá âm tiềm ẩn do tiếng lách cách sinh ra.
Phụ lục D
(tham khảo)
Các mối tương quan để ước tính tỷ lệ phần trăm dân số rất khó chịu và khoảng dự đoán 95 % là hàm số của các mức âm ngày-tối-đêm và ngày-đêm có điều chỉnh
D.1 Quy định chung
Năm 1978, Tài liệu tham khảo [19] công bố mối liên hệ giữa phần trăm dân cư có biểu hiện rất khó chịu đối với tiếng ồn máy bay, giao thông đường bộ và đường sắt và mức âm ngày-đêm theo trọng số A tương ứng. Một vài năm sau, Tài liệu tham khảo [11] cho rằng phản ứng của cộng đồng với tiếng ồn giao thông vận tải không thể biểu diễn bằng một đường cong đơn đối với các mức ngày-đêm như nhau; số phần trăm dân cư rất khó chịu do tiếng ồn máy bay là cao hơn và số phần trăm dân cư rất khó chịu do âm đường sắt là thấp hơn tiếng ồn giao thông đường bộ.
Kể từ năm 1978, đã có một số phân tích tổng hợp. Mỗi phân tích tổng hợp này tìm ra sự khác biệt có hệ thống giữa máy bay, giao thông đường bộ và đường sắt, sự khác biệt thuộc loại được đề xuất bởi Tài liệu tham khảo [11], Trừ Tài liệu tham khảo [7] và [18] còn tất cả các phân tích tổng hợp đều khớp các đường cong đối với dữ liệu đo. Trong khi hầu hết các phân tích tổng hợp khớp với các đường cong để phân dữ liệu nhóm, Tài liệu tham khảo [15] khớp các đường cong đối với dữ liệu cụ thể.
Ngược lại với việc khớp các đường cong, Tài liệu tham khảo [7] và [18] đã lý thuyết hóa thành hàm số, và trong quá trình này, như được giải thích trong hai tài liệu tham khảo này, một biến được tạo ra cho biết vị trí của hàm lý thuyết này dọc theo trục Ldn.
D.2 Hàm số của mức ồn-phản ứng
Các mối quan hệ mức ồn-phản ứng chì được quy định cho phạm vi của mức âm trung bình ngày-tối- đêm, Lden hoặc mức âm đêm, Ldn, từ 45 dB đến 75 dB. Các hàm liên quan đến tỷ lệ khó chịu, bực bội cao trong cộng đồng với Lden hoặc Ldn thu được theo Tài liệu tham khảo [7] và [18] đối với tiếng ồn máy bay và tiếng ồn giao thông đường bộ, được trình bày trong Phụ lục E là rất giống nhau nhưng không giống hệt các hàm thu được theo Tài liệu tham khảo [15] trình bày trong Phụ lục F.
CHÚ THÍCH 1: "Được quy định" có nghĩa là đã tuyên bố, ghi lại hoặc trình bày. Các hàm này dựa trên tất cả các dữ liệu có sẵn nhưng chỉ một phạm vi giới hạn hơn được lập bảng và phạm vi thậm chí nhỏ hơn “được đề xuất" để sử dụng thực tế.
CHÚ THÍCH 2: Sự chênh lệch giữa Lden và Ldn được lấy là 0,6 dB, mặc dù trong trường hợp đặc biệt, sự chênh lệch này có thể lớn hơn đáng kể.
D.3 Khoảng dự đoán 95 %
Phụ lục E bao gồm khoảng dự đoán xấp xỉ 95 % đại diện cho phạm vi trong đó có thể xuất hiện 95 % dữ liệu nhóm. Nói chung, với cùng giá trị số của âm ngày-đêm và mức âm ngày-tối-đêm, khoảng dự đoán 95 % là lớn hơn một chút so với giá trị mức âm đêm, nhưng thường không quá vài phần trăm Vì vậy, để đảm bảo thận trọng, trong tiêu chuẩn này chỉ sử dụng khoảng dự đoán 95 % dựa trên mức âm ngày đêm. Chúng được sử dụng với các dự đoán dựa trên mức âm buổi ngày-tối-đêm, như cũng như mức âm ngày-đêm của Phụ lục E có sử dụng phương pháp mức dung sai cho phép của cộng đồng (Lct). Các khoảng dự đoán tương tự gần đúng được sử dụng với các dự đoán của Phụ lục F dựa trên phương pháp của Tài liệu tham khảo [15].
CHÚ THÍCH: Khoảng dự đoán 95 % được tính toán như là một phần của việc xây dựng tiêu chuẩn này và sử dụng các dữ liệu nhóm của Tài liệu tham khảo [7]. Mặc dù các dữ liệu nhóm và khoảng dự đoán này không tương ứng với phương pháp thống kê theo Tài liệu tham khảo [15] mà dựa trên dữ liệu của đối tượng riêng lẻ (xem Tài liệu tham khảo [9] để biết thêm thông tin về độ không đảm bảo theo thống kê), cả hai đều dựa trên cùng một tập hợp các cuộc điều tra về tiếng ồn sân bay được thực hiện trên toàn thế giới trong vòng 35 năm.
D.4 Khả năng ứng dụng của hàm số mức ồn - phản ứng [Công thức (E.1) đến (E.9) và (F.1) đến (F.8)]
D.4.1 Các công thức này chỉ áp dụng cho âm môi trường diễn ra trong thời gian lâu dài như lấy trung bình năm.
D.4.2 Các công thức này không sử dụng với khoảng thời gian ngắn như cuối tuần, một mùa hoặc “các ngày nhộn nhịp”. Thay vào đó, cần phải áp dụng khoảng thời gian trung bình năm hoặc một số khoảng thời gian lâu dài khác.
D.4.3 Các Công thức này không áp dụng được cho âm môi trường diễn ra trong thời gian ngắn như từ việc tăng tiếng ồn giao thông đường bộ do dự án xây dựng trong khoảng thời gian ngắn.
D.4.4 Các Công thức này chỉ áp dụng cho tình huống hiện thời.
Trong tình huống mới tạo ra, đặc biệt khi cộng đồng dân cư chưa quen với nguồn âm được hỏi, thì có thể dự đoán là số người của cộng đồng khó chịu với tiếng ồn là cao hơn. Sự khác biệt này có thể tương đương với mức đến 5 dB. Nghiên cứu chỉ ra rằng đang có một kỳ vọng lớn hơn cho giá trị âm áp dụng tại khu vực “yên tĩnh” trong môi trường nông thôn yên tĩnh. Trong vùng nông thôn yên tĩnh thì kỳ vọng lớn lao này cho khu vực “yên tĩnh” có thể tương đương mức đến 10 dB.
Hai yếu tố ở trên là các yếu tố bổ sung. Một nguồn âm mới, chưa quen thuộc được đặt ở một vùng nông thôn yên tĩnh thì có thể sinh ra mức khó chịu lớn hơn mức được đánh giá một cách thông thường bằng các Công thức này. Sự tăng mức khó chịu có thể tương đương với việc thêm 15 dB vào mức đo được hay dự đoán được.
Phụ lục E
(tham khảo)
Ước tính tỷ lệ phần trăm dân số rất khó chịu dưới dạng một hàm số của các mức âm ngày-tối-đêm hoặc ngày-đêm được điều chỉnh bằng cách sử dụng công thức về mức dung sai cho phép của cộng đồng
E.1 Tiếng ồn máy bay
E.1.1 Tiếng ồn máy bay sử dụng mức âm ngày-đêm, Ldn
Công thức (E.1) và Bảng E.1 tương ứng xác định mức rất khó chịu như một hàm của Ldn đối với tiếng ồn máy bay dựa trên Tài liệu tham khảo [7]. Tỷ lệ rất khó chịu, PHA; được biểu thị bằng phần trăm theo:
(E.1)
Khi Lct được đặt là 71,3 dB để áp dụng điều chỉnh 7 dB cho tiếng ồn máy bay đối với tiếng ồn giao thông đường bộ, thì:
(E.2)
Theo Bảng A.1 mức điều chỉnh được khuyến nghị từ +5 dB đến +8 dB cho dải mức tiếng ồn máy bay. Công thức (E.2), với hằng số bằng 66 dB, tức là thực hiện điều chỉnh 7 dB, do đó, để thực hiện điều chỉnh 5 dB, 6 dB hoặc 8 dB, cộng thêm 2 dB, cộng thêm 1 dB hoặc trừ đi 1 dB, tương ứng, từ hằng số 66 dB trong Công thức (E.2). Ví dụ, điều chỉnh 8 dB sẽ có hằng số là 65 dB. Ngoài ra, sử dụng Bảng E.1 với các số nhập vào trong cột mức âm ngày-đêm hoặc cột mức âm ngày-tối-đêm chuyển từ điều chỉnh 7 dB (cột 2) bằng cách cộng thêm 2 dB, cộng thêm 1 dB hoặc trừ đi 1 dB tương ứng. Ví dụ, giá trị hiện tại đối với mức rất khó chịu cho mức ngày đêm là 60 dB, sử dụng cột điều chỉnh 7 dB, là 22 %. Để thay đổi điều Chỉnh tiếng ồn máy bay từ 7 dB đến 8 dB, thay đổi mức âm trong cột điều chỉnh 7 dB xuống một hàng, do đó, số nhập là 59 dB khi mức rất khó chịu là 22 %.
E.1.2 Tiếng ồn máy bay sử dụng mức âm ngày-tối-đêm, Lden
Độ lệch thông thường giữa mức âm ngày-đêm, Ldn, và mức âm ngày-tối-đêm, Lden, là 0,6 dB. Tức là, để biểu thị PHA như một hàm của Lden; (Lden - 0,6 dB) được trừ cho Ldn trong Công thức (E.1) là:
(E.3)
Dữ liệu cho Công thức (E.3) được đánh giá theo các bước 1 dB cũng được nêu trong Bảng E.1
Bảng E.1 - Mức rất khó chịu và khoảng dự đoán 95% tương ứng các hàm số Ldn hoặc Lden cho tiếng ồn máy bay lấy xấp xỉ mức tăng thêm 5 dB hoặc 7 dB so với giao thông đường bộ
| Ldn hoặc Lden áp dụng mức tăng thêm 5 dB so với tiếng ồn giao thông đường bộ dB | Ldn hoặc Lden áp dụng mức tăng thêm 5 dB so với tiếng ồn giao thông đường bộ dB | Khoảng dự đoán cao hơn 95% % | Khoảng dự đoán dưới 95% % | Phần trăm rất khó chịu sử dụng Ldn dựa theo Tài liệu tham khảo [7] % | Phần trăm rất khó chịu sử dụng Lden dựa theo Tài liệu tham khảo [7] % |
| 45 | 43 | 33,5 | 0,3 | 0,7 | 0,6 |
| 46 | 44 | 35,7 | 0,4 | 1,0 | 0,9 |
| 47 | 45 | 38,0 | 0,4 | 1,4 | 1,2 |
| 48 | 46 | 40,3 | 0,5 | 1,9 | 1,6 |
| 49 | 47 | 42,7 | 0,6 | 2,4 | 2,1 |
| 50 | 48 | 45,1 | 0,7 | 3 1 | 2,7 |
| 51 | 49 | 47,5 | 0,9 | 3,9 | 3,4 |
| 52 | 50 | 49,9 | 1,0 | 4,9 | 4,3 |
| 53 | 51 | 52,3 | 1,2 | 6,0 | 5,3 |
| 54 | 52 | 54,7 | 1,4 | 7,2 | 6,5 |
| 55 | 53 | 57,1 | 1,7 | 8,6 | 7,7 |
| 56 | 54 | 59,5 | 1,9 | 10,1 | 9,2 |
| 57 | 55 | 61,8 | 2,2 | 11,8 | 10,8 |
| 58 | 56 | 64,1 | 2,6 | 13,6 | 12,5 |
| 59 | 57 | 66,3 | 3,0 | 15,5 | 14,4 |
| 60 | 58 | 68,5 | 3,4 | 17,6 | 16,4 |
| 61 | 59 | 70,6 | 3,9 | 19,8 | 18,5 |
| 62 | 60 | 72,7 | 4,4 | 22,0 | 20,7 |
| 63 | 61 | 74,7 | 5,0 | 24,4 | 22,9 |
| 64 | 62 | 76,6 | 5,7 | 26,8 | 25,3 |
| 65 | 63 | 78,4 | 6,4 | 29,2 | 27,7 |
| 66 | 64 | 80,1 | 7,2 | 31,7 | 30,2 |
| 67 | 65 | 81,8 | 8,1 | 34,3 | 32,7 |
| 68 | 66 | 83,4 | 9,0 | 36,8 | 35,3 |
| 69 | 67 | 84,8 | 10,0 | 39,3 | 37,8 |
| 70 | 68 | 86,2 | 11,1 | 41,9 | 40,3 |
| 71 | 69 | 87,5 | 12,3 | 44,4 | 42,9 |
| 72 | 70 | 88,7 | 13,6 | 46,8 | 45,4 |
| 73 | 71 | 89,9 | 15,0 | 49,3 | 47,8 |
| 74 | 72 | 90,9 | 16,4 | 51,7 | 50,2 |
| 75 | 73 | 91,9 | 18,0 | 54,0 | 52,6 |
| 76 | 74 | 92,7 | 19,6 | 56,3 | 54,9 |
| 77 | 75 | 93,6 | 21,3 | 58,5 | 57,1 |
| 78 | 76 | 94,3 | 23,1 | 60,6 | 59,3 |
| CHÚ THÍCH: Bốn cột ngoài cùng bên phải (cột 3 đến cột 6) được áp dụng mức tăng thêm với cột đầu tiên lên 5 dB hoặc mức tăng thêm với cột thứ hai lên 7 dB tương ứng với tiếng ồn giao thông đường bộ. | |||||
Các giá trị trong Bảng E.1 là về các điều chỉnh +5 dB hoặc +7 dB đối với tiếng ồn máy bay liên quan đến tiếng ồn giao thông đường bộ. Tức là, Lct được đặt là 78,3 dB đối với tiếng ồn giao thông đường bộ và Lct là 73,3 dB đối với tiếng ồn máy bay tạo sự chênh lệch 5 dB từ tiếng ồn giao thông đường bộ (cột 1) hoặc Lct là 71,3 dB đối với tiếng ồn máy bay tạo sự chênh lệch 7 dB từ tiếng ồn giao thông đường bộ (cột 2).
Để áp dụng đầy đủ, ví dụ, điều chỉnh +7 dB này, khi (người) sử dụng phải trừ 2 dB (chênh lệch giữa điều chỉnh mong muốn và +5 dB) từ mỗi giá trị trong cột đầu tiên của Bảng E.1.
Hình E.1 minh họa các số liệu trong Bảng E.1 khi sử dụng cột đầu tiên để nhập các mức Ldn hoặc Lden vào bảng, cột tương ứng với mức tăng thêm khoảng 5 dB đối với tiếng ồn máy bay so với tiếng ồn giao thông đường bộ. Khi sử dụng trục khác thay thế trong Hình E.1. thì hình vẽ minh họa dữ liệu trong Bảng E.1 khi sử dụng cột thứ hai đề nhập các mức Ldn hoặc Lden vào bảng, cột tương ứng với khoảng 7 dB đối với tiếng ồn máy bay so với tiếng ồn giao thông đường bộ.

CHÚ DẪN
X1 mức âm ngày-tối-đêm, Lden tính bằng dB cho mức tăng thêm 5 dB
X2 mức âm ngày-tối-đêm, Lden, tính bằng dB cho mức tăng thêm 7 dB
Y mức rất khó chịu PHA, tính bằng %
CHÚ THÍCH 1: Hình E.1 dự kiến áp dụng cho cả Ldn và Lden khi không cần độ chính xác cao, và sự chênh lệch giữa Ldn và Lden trong Bảng E.1 về mức rất khó chịu là tối đa 1,5 %. Hình E.1 dựa trên Ldn từ Bảng E.1. Độ chính xác sẽ cao hơn khi sử dụng các mức Ldn, thấp hơn khoảng 0,6 dB. Sự chênh lệch này là 0,6 dB rất khó phát hiện một cách trực quan, do đó, chỉ có một hình đã được đưa vào, thay vì hai con số gần như giống hệt nhau.
CHÚ THÍCH 2: Trục thứ hai, X2, cho thấy sự thay đổi 2 dB thành mức dung sai cho phép của cộng đồng (Lct), chênh 7 dB so với hàm số Lct đối với tiếng ồn giao thông đường bộ.
CHÚ THÍCH 3: Hình E.1 có hai tập hợp các giá trị trung bình Lden. Tập phía trên, X1, áp dụng mức tăng thêm 5 dB đối với tiếng ồn máy bay so với tiếng ồn giao thông đường bộ và tập thấp hơn, X2, áp dụng mức tăng thêm 7 dB. Để thay đổi Hình E.1 cần xem xét mức tăng thêm 7 dB liên quan đến tiếng ồn giao thông đường bộ, chỉ cần đánh dấu lại các mức âm thay đổi từ 45 dB đến 43 dB, 55 dB đến 53 dB, v.v..., như được hiển thị với trục thay thế X2.
Hình E.1 - Mức rất khó chịu đối với tiếng ồn máy bay (đường liền nét) và khoảng dự đoán 95 % tương ứng (đường đứt nét là giới hạn trên và dưới) so với Lden dựa trên Tài liệu tham khảo [7]
Các điểm dữ liệu được mô tả trong Hình E1 là dữ liệu nhóm từ Tài liệu tham chiếu [7], và các đường đứt nét là khoảng dự đoán xấp xỉ 95 % phù hợp với dữ liệu nhóm này. Những dữ liệu này chỉ ra khoảng thời gian trong đó 95 % các tình huống về tiếng ồn môi trường mới được tạo nên ở đó. Ví dụ, nếu mức Lden tại một sân bay mới được dự đoán là 58 dB và một là sử dụng mức tăng thêm 5 dB của cột đầu tiên (hoặc 7 dB của cột thứ hai), sau đó từ Bảng E.1, mức rất khó chịu, PHA, dự đoán là 12,5 % (hoặc 16,4 %) và 95 % cộng đồng như vậy (19 trong số 20) thực sự có tỷ lệ rất khó chịu, dao động từ 2,6 % tới 64,1 % (hoặc 3,4 % đến 68,5 %), và 1 trong số 20 nhóm người sẽ nằm ngoài phạm vi này.
E.2 Tiếng ồn giao thông đường bộ
E. 2.1 Tiếng ồn giao thông đường bộ sử dụng mức âm ngày-đêm, Ldn
Công thức (E.4) và Bảng E.2 tương ứng định lượng phần trăm mức rất khó chịu như một hàm của Ldn đối với tiếng ồn giao thông đường bộ dựa trên Tài liệu tham khảo [18]. Mức rất khó chịu, PHA được biểu thị bằng phần trăm là:
(E.4)
Hình E.2 minh họa các kết quả này, khi Let được lấy là 78,3 dB để dự đoán mức rất khó chịu đối với tiếng ồn giao thông đường bộ mà không có sự điều chỉnh.
E.2.2 Tiếng ồn giao thông đường bộ sử dụng mức âm ngày-tối-đêm, Lden
Sự chênh lệch điển hình giữa mức âm ngày-đêm, Ldn, và mức âm ngày-tối-đêm, Lden, là 0,6 dB. Tức là, để biểu thị PHA như một hàm của Lden, (Lden -0,6 dB) được thay cho Lden trong Công thức (E.4) sẽ có:
(E.5)
Dữ liệu cho Công thức (E.5) được đánh giá theo các bước 1 dB cũng được nêu trong Bảng E.2.
Hình E.2 minh họa các dữ liệu trong Bảng E.2. Những dữ liệu này cho biết khoảng dự đoán xấp xỉ 95 %, là khoảng mà trong đó 95 % các tình huống tiếng ồn môi trường mới được tạo nên ở đó. Ví dụ, nếu mức Lden ở một con đường mới được dự đoán là 53 dB, thì từ Bảng E.2, mức rất khó chịu PHA, được dự đoán là 1,6 % và 95 % của các cộng đồng đó (19 trong tổng số 20) phần trăm thực sự thể hiện mức rất khó chịu trong khoảng từ 0,0 % đến 18,3 % và 1 trong 20 sẽ nằm ngoài phạm vi này.

CHÚ DẪN
X mức âm ngày-tối-đêm, Lden, dB
Y Phần trăm mức rất khó chịu, PHA, %
CHÚ THÍCH 1: Tương tự Hình E.1, Hình E.2 được thiết kế để áp dụng cho cả Ldn và Lden, xem Chú thích 1, Hình E.1.
CHÚ THÍCH 2: Các giá trị thấp hơn cho khoảng dự đoán 95 % về cơ bản là bằng không trong toàn bộ phạm vi quan tâm, và do đó không hiển thị trong hình.
Hình E.2 - Mức rất khó chịu đối với tiếng ồn giao thông đường bộ (đường liền nét) và khoảng dự đoán 95 % tương ứng (đường đứt nét là giới hạn trên) so với Lden dựa trên Tài liệu tham khảo [18]
E.3 Tiếng ồn đường sắt
E.3.1 Quy định chung
Các dữ liệu tiếng ồn đường sắt thông thường được phân loại thành mức thấp hoặc cao dựa trên cơ sở các mức độ rung do tàu hỏa gây ra, hoặc thông qua không khí hoặc qua mặt đất. Đường ray thông thường có độ rung thấp thường dùng cho các đoàn tàu chở khách với động cơ điện và đường ray bị cô lập hoặc điều kiện đất không thuận lợi cho việc truyền độ rung. Đường ray thông thường có độ rung cao thường là tất cả các tuyến đường sắt khác với loại đường ray được mô tả ở trên.
Bảng E.3 liệt kê các giá trị Lct theo Tài liệu tham khảo [18] cho hai loại đường sắt và cho tiếng ồn giao thông đường bộ. Bảng E.3 cũng bao gồm tiếng ồn máy bay như trong Tài liệu tham khảo [7].
Bảng E.4 cung cấp độ lệch chuẩn của các dữ liệu về đường sắt từ Tài liệu tham khảo [18].
Bảng E.2 - Tỷ lệ mức rất khó chịu và khoảng dự đoán 95% tương ứng các hàm số Ldn hoặc Lden cho tiếng ồn giao thông đường bộ
| Ldn hoặc Lden | Khoảng dự đoán cao hơn 95% | Khoảng dự đoán thấp hơn 95% | Phần trăm mức rất khó chịu sử dụng Ldn dựa theo Tài liệu tham khảo [18] | Phần trăm mức rất khó chịu sử dụng Lden dựa theo Tài liệu tham khảo [18] |
| dB | % | % | % | % |
| 45 | 8,2 | 0,0 | 0,1 | 0,1 |
| 46 | 9,1 | 0,0 | 0,2 | 0,1 |
| 47 | 10,2 | 0,0 | 0,2 | 0,2 |
| 48 | 11,3 | 0,0 | 0,4 | 0,3 |
| 49 | 12,5 | 0,0 | 0,5 | 0,4 |
| 50 | 13,8 | 0,0 | 0,7 | 0,6 |
| 51 | 15,2 | 0,0 | 1,0 | 0,9 |
| 52 | 16,7 | 0,0 | 1,4 | 1,2 |
| 53 | 18,3 | 0,0 | 1,9 | 1,6 |
| 54 | 19,9 | 0,0 | 2,4 | 2,1 |
| 55 | 21,7 | 0,0 | 3,1 | 2,7 |
| 56 | 23,5 | 0,0 | 3,9 | 3,4 |
| 57 | 25,5 | 0,0 | 4,9 | 4,3 |
| 58 | 27,5 | 0,0 | 6,0 | 5,3 |
| 59 | 29,5 | 0,0 | 7,2 | 6,5 |
| 60 | 31,7 | 0,0 | 8,6 | 7,7 |
| 61 | 33,9 | 0,0 | 10,1 | 9,2 |
| 62 | 36,2 | 0,0 | 11,8 | 10,8 |
| 63 | 38,5 | 0,0 | 13,6 | 12,5 |
| 64 | 40,8 | 0,0 | 15,5 | 14,4 |
| 65 | 43,2 | 0,0 | 17,6 | 16,3 |
| 66 | 45,7 | 0,0 | 19 8 | 18,4 |
| 67 | 48,1 | 0,0 | 22,0 | 20,7 |
| 68 | 50,6 | 0,0 | 24,4 | 22,9 |
| 69 | 53,0 | 0,0 | 26,8 | 25,3 |
| 70 | 55,4 | 0,0 | 29,2 | 27,7 |
| 71 | 57,8 | 0,0 | 31,7 | 30,2 |
| 72 | 60,2 | 0,1 | 34,3 | 32,7 |
| 73 | 62,6 | 0,1 | 36,8 | 35,3 |
| 74 | 64,9 | 0,1 | 39,3 | 37,8 |
| 75 | 67,1 | 0,1 | 41,9 | 40,3 |
| CHÚ THÍCH: Các giá trị này là dành cho Lct = 78,3 dB, Lct tổng thể đối với tiếng ồn giao thông đường bộ. | ||||
Bảng E.3 - Các giá trị Lct trung bình đối với các nguồn tiếng ồn giao thông khác nhau
| Nguồn | Lc, dB | Chênh lệch so với tiếng ồn giao thông đường bộ |
| Tiếng ồn giao thông đường bộ | 78,3 | 0 |
| Tiếng ồn sân bay | 73,3 | 5 |
| Đường ray thông thường có độ rung thấp | 87,8 | -9,5 |
| Đường ray thông thường có độ rung cao | 75,8 | 2,5 |
| CHÚ THÍCH: Đối với tàu cao tốc (vận tốc > 230 km/h), ngay cả đối với các mức rung thấp, chênh lệch của Lct đối với đường sắt tốc độ cao so với tiếng ồn giao thông đường bộ có thể là rất cao (nghiêm trọng). | ||
Bảng E.4 - Độ lệch chuẩn của các dữ liệu đường sắt
| Nguồn và điều kiện | Lct trung bình dB | Chênh lệch so với đường bộ dB | Độ lệch chuẩn dB | Khoảng dự đoán 95 % dB |
| Đường sắt (độ rung thấp) | 87,8 | -9,5 | 3,5 | 87,8 ± 7,0 |
| Đường sắt (độ rung cao) | 75,8 | 2,5 | 4,2 | 75,8 ± 8,4 |
E.3.2 Tiếng ồn đường sắt sử dụng Lden
Công thức (E.6) và (E.7) mô tả phần trăm mức rất khó chịu đối với tiếng ồn đường sắt thông thường, độ rung cao và độ rung thấp, tương ứng, sử dụng Lden
Khi Lct = 75,8 dB đối với độ rung cao, từ Công thức (E.3) có:
(E.6)
và khi Lct = 87,8 dB đối với độ rung thấp, từ Công thức (E.3) có:
(E.7)
E.3.3 Tiếng ồn đường sắt sử dụng Ldn
Công thức (E.8) và (E.9) mô tả phần trăm mức rất khó chịu đối với tiếng ồn đường sắt thông thường, độ rung cao và độ rung thấp, tương ứng, sử dụng Ldn
Khi Lct = 75,8 dB đối với độ rung cao, từ Công thức (E.1) có:
(E.8)
và khi Lct = 87,8 dB đối với độ rung thấp, từ Công thức (E.1) có:
(E.9)
Phụ lục F
(tham khảo)
Ước tính tỷ lệ dân số bị khó chịu dưới dạng một hàm điều chỉnh mức âm ngày-tối-đêm hoặc ngày-đêm được điều chỉnh bằng cách sử dụng phương trình hồi quy
F.1 Tiếng ồn máy bay
F.1.1 Tiếng ồn máy bay sử dụng mức âm ngày-tối-đêm, Lden
Công thức (F.1) và Bảng F.1 tương ứng xác định mức rất khó chịu như một hàm của Lden đối với tiếng ồn máy bay dựa trên Tài liệu tham khảo [15]. Mức rất khó chịu, PHA, biểu thị theo phần trăm, như sau:
PHA = -9,199 x 10-5(Lden - 42 dB)3 + 3,932 x 10-2(Lden - 42 dB)2 + 0,294(Lden - 42 dB) (F.1)
Việc sử dụng Công thức (F.1) dẫn đến mức tăng thêm khoảng 5 dB đối với tiếng ồn giao thông đường bộ.
Theo Phụ lục A, giá trị điều chỉnh dạng số được khuyến nghị cho tiếng ồn máy bay đối với tiếng ồn giao thông đường bộ là 7 dB. Để chuyển đổi Công thức (F.1) sao cho nó tương ứng xấp xỉ với áp dụng mức điều chỉnh 7 dB, chỉ cần trừ 2 từ từng "42" trong Công thức (F.1) sẽ có:
PHA = -9,199 x 10-5(Lden - 40 dB)3 + 3,932 x 10-2(Lden - 40 dB)2 + 0,294(Lden - 40 dB) (F.2)
F.1.2 Tiếng ồn máy bay sử dụng mức âm ngày-đêm, Ldn
Công thức (F.3) và Bảng F.1 tương ứng xác định mức rất khó chịu như hàm số của Lden đối với tiếng ồn máy bay dựa trên Tài liệu tham khảo [15]. Mức rất khó chịu, PHA, biểu thị theo phần trăm, như sau:
PHA = -1,395 x 10-4(Ldn - 42 dB)3 + 4,081 x 10-2(Ldn - 42 dB)2 + 0,342(Lden - 42 dB) (F.3)
Việc sử dụng Công thức (F.3) dẫn đến mức tăng thêm khoảng 5 dB đối với tiếng ồn giao thông đường bộ.
Theo Phụ lục A, giá trị điều chỉnh dạng số được khuyến nghị cho tiếng ồn máy bay đối với tiếng ồn giao thông đường bộ là 7 dB. Để chuyển đổi Công thức (F.3) sao cho nó tương ứng với ứng dụng mức điều chỉnh 7 dB, chỉ cần trừ 2 từ từng "42" trong Công thức (F.3) sẽ có:
PHA = -1,395 x 10-4(Ldn - 40 dB)3 + 4,081 x 10-2(Ldn - 40 dB)2 + 0,342(Lden - 40 dB) (F.4)
CHÚ THÍCH: Công thức (F.1) đến (F.4) và Công thức (F.5) đến (F.8) đối với các nguồn khác, là xấp xỉ đa thức của mô hình cơ bản và chỉ có giá trị cho Lden hoặc Ldn khoảng giữa 45 dB và 75 dB. Thông tin chi tiết về phương pháp thống kê, hồi quy theo nhóm đa cấp về dữ liệu đối tượng riêng lẽ có tính đến cả hai phương sai riêng và phương sai nghiên cứu, có thể tham khảo trong Tài liệu tham khảo [9].
Bảng F.1 - Mức rất khó chịu và khoảng dự đoán 95 % tương ứng cho tiếng ồn máy bay, theo hàm Lden hoặc Ldn lấy mức tăng thêm 5 dB hoặc 7 dB so với tiếng ồn giao thông đường bộ bằng cách sử dụng hàm số của tiếng ồn máy bay (xem Phụ lục D)
| Ldn hoặc Lden sử dụng hàm tiếng ồn sân bay có mức tăng thêm xấp xỉ 5 dB so với tiếng ồn giao thông đường bộ | Ldn hoặc Lden sử dụng mức tăng thêm xấp xỉ 7 dB so với tiếng ồn giao thông đường bộ | Khoảng dự đoán cao hơn 95 % | Khoảng dự đoán thấp hơn 95 % | Mức rất khó chịu theo Ldn dựa theo Tài liệu tham khảo [15] | Mức rất khó chịu theo Lden dựa theo Tài liệu tham khảo [15] |
| dB | dB | % | % | % | % |
| 45 | 43 | 33,5 | 0,3 | 1,4 | 1,2 |
| 46 | 44 | 35,7 | 0,4 | 2,0 | 1,8 |
| 47 | 45 | 38,0 | 0,4 | 2,7 | 2,4 |
| 48 | 46 | 40,3 | 0,5 | 3,5 | 3,2 |
| 49 | 47 | 42,7 | 0,6 | 4,3 | 4,0 |
| 50 | 48 | 45,1 | 0,7 | 5,3 | 4,8 |
| 51 | 49 | 47,5 | 0,9 | 6,3 | 5,8 |
| 52 | 50 | 49,9 | 1,0 | 7,4 | 6,8 |
| 53 | 51 | 52,3 | 1,2 | 8,5 | 7,9 |
| 54 | 52 | 54,7 | 1,4 | 9,7 | 9,0 |
| 55 | 53 | 57,1 | 1,7 | 11,0 | 10,3 |
| 56 | 54 | 59,5 | 1,9 | 12,4 | 11,6 |
| 57 | 55 | 61,8 | 2,2 | 13,8 | 12,9 |
| 58 | 56 | 64,1 | 2,6 | 15,3 | 14,4 |
| 59 | 57 | 66,3 | 3,0 | 16,9 | 15,9 |
| 60 | 58 | 68,5 | 3,4 | 18,6 | 17,5 |
| 61 | 59 | 70,6 | 3,9 | 20,3 | 19,1 |
| 62 | 60 | 72,7 | 4,4 | 22,0 | 20,9 |
| 63 | 61 | 74,7 | 5,0 | 23,9 | 22,7 |
| 64 | 62 | 76,6 | 5,7 | 25,8 | 24,5 |
| 65 | 63 | 78,4 | 6,4 | 27,8 | 26,4 |
| 66 | 64 | 80,1 | 7,2 | 29,8 | 28,4 |
| 67 | 65 | 81,8 | 8,1 | 31,9 | 30,5 |
| 68 | 66 | 83,4 | 9,0 | 34,0 | 32,6 |
| 69 | 67 | 84,8 | 10,0 | 36,2 | 34,8 |
| 70 | 68 | 86,2 | 11,1 | 38,5 | 37,0 |
| 71 | 69 | 87,5 | 12,3 | 40,8 | 39,3 |
| 72 | 70 | 88,7 | 13,6 | 43,2 | 41,7 |
| 73 | 71 | 89,9 | 15,0 | 45,7 | 44,2 |
| 74 | 72 | 90,9 | 16,4 | 48,2 | 46,7 |
| 75 | 73 | 91,9 | 18,0 | 50,7 | 49,2 |
| CHÚ THÍCH: Bốn cột ngoài cùng bên phải (cột 3 đến cột 6) được áp dụng mức tăng thêm với cột đầu tiên là 5 dB hoặc mức tăng thêm với cột thứ hai là 7 dB tương ứng với tiếng ồn giao thông đường bộ. | |||||
Hình F.1 minh họa các số liệu trong Bảng F.1 khi sử dụng cột đầu tiên để nhập các mức Ldn hoặc Lden vào bảng, cột tương ứng với mức tăng thêm khoảng 5 dB đối với tiếng ồn máy bay so với tiếng ồn giao thông đường bộ. Khi sử dụng trục khác thay thế trong Hình F.1, thì hình vẽ minh họa các dữ liệu trong Bảng F.1 khi sử dụng cột thứ hai để nhập các mức Ldn hoặc Lden vào bảng, cột tương ứng với khoảng 7 dB đối với tiếng ồn máy bay so với tiếng ồn giao thông đường bộ.

CHÚ DẪN
X1 mức âm ngày-tối-đêm, Lden, tính bằng dB cho mức tăng thêm 5 dB
X2 mức âm ngày-tối-đêm, Lden, tính bằng dB cho mức tăng thêm 7 dB
Y mức rất khó chịu PHA, tính bằng %
CHÚ THÍCH 1: Hình F.1 có hai tập hợp các giá trị trung bình Lden. Tập phía trên, X1, áp dụng mức tăng thêm 5 dB đối với tiếng ồn máy bay so với tiếng ồn giao thông đường bộ và tập thấp hơn, X2, áp dụng mức tăng thêm 7 dB. Để thay đổi Hình F.1 cần xem xét mức tăng thêm 7 dB liên quan đến tiếng ồn giao thông đường bộ, chỉ cần đánh dấu lại các mức âm thay đổi từ 45 dB đến 43 dB, 55 dB đến 53 dB, v.v..., như được hiển thị với trục thay thế X2.
Hình F.1 - Mức rất khó chịu đối với tiếng ồn máy bay (đường liền nét) theo Lden hoặc Ldn dựa trên Tài liệu tham khảo [15] và khoảng dự đoán 95 % tương ứng (đường đứt nét là giới hạn trên và dưới)
Các điểm dữ liệu được mô tả trong Hình F.1 là dữ liệu nhóm từ Tài liệu tham khảo [7], và các đường đứt nét là khoảng dự đoán xấp xỉ 95 % phù hợp với dữ liệu nhóm này. Những dữ liệu này chỉ ra khoảng mà trong đó 95 % các tình huống tiếng ồn môi trường mới được tạo nên có ở đó. Ví dụ, nếu mức Lden tại một sân bay mới được dự đoán là 58 dB và nếu sử dụng mức tăng thêm 5 dB của cột đầu tiên (hoặc mức 7 dB của cột thứ hai), thì từ Bảng F.1. tỷ lệ phần trăm rất khó chịu, PHA, được dự đoán là 14,5 % (hoặc 17,5 %) và 95 % của các cộng đồng đó (19 trong số 20) sẽ thực sự có mức độ rất khó chịu, PHA, trong khoảng từ 2,6 % đến 64,1 % (hoặc 3,4 % đến 68,5 %), và 1 trong 20 cộng đồng sẽ ngoài phạm vi này.
F.2 Tiếng ồn giao thông đường bộ
F.2.1 Tiếng ồn giao thông đường bộ sử dụng mức âm ngày-tối-đêm, Lden
Công thức (F.5) và Bảng F.2 tương ứng xác định mức rất khó chịu theo hàm Lden đối với tiếng ồn giao thông đường bộ dựa trên Tài liệu tham khảo [15]. Mức rất khó chịu, PHA, biểu thị bằng phần trăm:
PHA = 9,868 x 10-4(Lden - 42 dB)3 -1,436 x10-2(Lden - 42 dB)2 + 0,512(Lden - 42 dB) (F.5)
Các điểm dữ liệu được mô tả trong Hình F.2 là dữ liệu nhóm từ Tài liệu tham khảo [18], và các đường đứt nét là khoảng dự đoán xấp xỉ 95 % phù hợp với dữ liệu nhóm này.
F.2.2 Tiếng ồn giao thông đường bộ sử dụng mức âm ngày-đêm, Ldn
Công thức (F.6) và Bảng F.2 tương ứng định lượng mức rất khó chịu như một hàm của Lden đối với tiếng ồn giao thông đường bộ dựa trên Tài liệu tham khảo [15], Mức rất khó chịu, PHA. biểu thị theo phần trăm, như sau:
PHA = 9,994 x 10-4(Ldn - 42 dB)3 -1,523 x10-2(Ldn - 42 dB)2 + 0,538(Lden - 42 dB) (F.6)
Bảng F.2 - Mức rất khó chịu và khoảng dự đoán tương ứng 95 % theo các hàm số Lden hoặc Ldn đối với tiếng ồn giao thông đường bộ
| Lden hoặc Ldn | Khoảng dự đoán cao hơn 95% | Khoảng dự đoán thấp hơn 95 % | Mức rất khó chịu theo Ldn dựa trên Tài liệu tham khảo [15] | Mức rất khó chịu theo Lden dựa trên Tài liệu tham khảo [15] |
| dB | % | % | % | % |
| 45 | 8,0 | 0,0 | 1,5 | 1,4 |
| 46 | 9,0 | 0,0 | 2,0 | 1,9 |
| 47 | 10,0 | 0,0 | 2,4 | 2,3 |
| 48 | 11,1 | 0,0 | 2,9 | 2,8 |
| 49 | 12,3 | 0,0 | 3,4 | 3,2 |
| 50 | 13,6 | 0,0 | 3,8 | 3,7 |
| 51 | 15,0 | 0,0 | 4,3 | 4,2 |
| 52 | 16,5 | 0,0 | 4,9 | 4,7 |
| 53 | 18,1 | 0,0 | 5,4 | 5,2 |
| 54 | 19,7 | 0,0 | 6,0 | 5,8 |
| 55 | 21,5 | 0,0 | 6,6 | 6,4 |
| 56 | 23,3 | 0,0 | 7,3 | 7,1 |
| 57 | 25,2 | 0,0 | 8,0 | 7,8 |
| 58 | 27,3 | 0,0 | 8,8 | 8,6 |
| 59 | 29,3 | 0,0 | 9,7 | 9,4 |
| 60 | 31,5 | 0,0 | 10,6 | 10,3 |
| 61 | 33,7 | 0,0 | 11,6 | 11,3 |
| 62 | 36,0 | 0,0 | 12,7 | 12,4 |
| 63 | 38,3 | 0,0 | 13,8 | 13,6 |
| 64 | 40,7 | 0,0 | 15,1 | 14,8 |
| 65 | 43,1 | 0,0 | 16,5 | 16,2 |
| 66 | 45,5 | 0,0 | 18,0 | 17,7 |
| 67 | 48,0 | 0,0 | 19,5 | 19,2 |
| 68 | 50,4 | 0,0 | 21,3 | 20,9 |
| 69 | 52,9 | 0,0 | 23,1 | 22,8 |
| 70 | 55,3 | 0,0 | 25,1 | 24,7 |
| 71 | 57,8 | 0,0 | 27,2 | 26,8 |
| 72 | 60,2 | 0,1 | 29,4 | 29,1 |
| 73 | 62,5 | 0,1 | 31,8 | 31,5 |
| 74 | 64,8 | 0,1 | 34,4 | 34,0 |
| 75 | 67,1 | 0,1 | 37,1 | 36,7 |

CHÚ DẪN
X mức âm ngày-tối-đêm, Lden tính bằng dB
Y tỷ lệ mức rất khó chịu PHA, tính bằng %
CHÚ THÍCH 1: Các giá trị thấp hơn cho khoảng dự đoán 95 % về cơ bản là bằng không (zero) trong toàn bộ phạm vi quan tâm, và do đó không (zero) hiển thị trong hình này.
Hình F.2 - Mức rất khó chịu đối với tiếng ồn giao thông đường bộ (đường liền nét) so với Lden dựa trên Tài liệu tham khảo [18] và khoảng dự đoán 95 % tương ứng (đường đứt nét là giới hạn trên)
F.3 Tiếng ồn đường sắt
Các Công thức (F.7) và (F.8), dựa trên Tài liệu tham khảo [15], liên quan đến tập dữ liệu tổng thể về mức rất khó chịu đối với tiếng ồn tàu theo các hàm của Lden hoặc Ldn. Các Công thức này xử lý tất cả dữ liệu khảo sát về tàu hỏa như nhau và không tách các dữ liệu khảo sát mà có các mức rung và/hoặc tiếng lách cách cao ra khỏi các cuộc khảo sát mà không có mức rung và/hoặc tiếng lách cách cao.
Đối với Lden, mức rất khó chịu đối với tiếng ồn tàu hỏa, PHA, biểu thị bằng phần trăm, là:
PHA = 7,239 x 10-4(Lden - 42 dB)3 - 7,851 x 10-3(Lden - 42 dB)2 + 0,170(Lden - 42dB) (F.7)
Đối với Ldn mức rất khó chịu đối với tiếng ồn tàu hỏa, PHA, biểu thị bằng phần trăm, là:
PHA = 7,158 x 10-4(Ldn - 42 dB)3 - 7,774 x10-3(Ldn - 42 dB)2 + 0,163(Ldn - 42dB) (F.8)
Phụ lục G
(tham khảo)
Sự khó chịu do tiếp xúc với âm trong môi trường nhiều nguồn âm
G.1 Quy định chung
Phụ lục này trình bày ba trong số những khuôn khổ lý thuyết chung nhất để đánh giá mức khó chịu do tiếp xúc với âm trong môi trường có nhiều nguồn âm. Các phương pháp này là:
a) Phương pháp thứ nhất - Phương pháp này cho rằng mức khó chịu tổng thể liên quan tới mức đánh giá tổ hợp nguồn âm kết hợp như mô tả trong 6.4.2 và 6.5.
b) Phương pháp thứ hai - Phương pháp này cho rằng mức khó chịu tổng thể liên quan tới tổng năng lượng của tất cả các mức áp suất âm liên tục tương đương đã điều chỉnh của các nguồn âm.
Trên thực tế, khi các giá trị điều chỉnh (Phụ lục A) là hằng số thì hai phương pháp đều cho kết quả như nhau. Hai phương pháp này sẽ khác nhau khi các giá trị điều chỉnh không là hằng số (Phụ lục B).
c) Phương pháp thứ ba - Phương pháp này là sử dụng mê-tric kết hợp tất cả các nguồn mà không cần phân biệt loại nguồn âm hoặc kết hợp hầu hết các giá trị điều chỉnh đặc tính âm được mô tả trong tiêu chuẩn này.
Những phương pháp này đang trong quá trình xây dựng và được giới thiệu ngắn gọn tại G.2 đến G.4
G.2 Phương pháp tình huống đơn lẻ
Phương pháp tình huống đơn lẻ giả thiết rằng sự khó chịu tổng thể liên quan trực tiếp với mức tỷ lệ nguồn kết hợp như đã nêu ra trong Công thức (4). Về cụ thể, một là có thể tính toán một mức đánh giá cho cả ngày cho tổ hợp nguồn âm kết hợp. Với lựa chọn thích hợp giờ giấc trong ngày và điều chỉnh thời gian đêm, đại lượng này có thể là một mức đánh giá ngày/đêm của nguồn kết hợp (LRdn) như nêu tại Công thức (5). Vì thế, trong tiêu chuẩn này tiếng ồn giao thông là nguồn để các nguồn khác so sánh, như là phép xấp xỉ đầu tiên. Công thức (E.4) và (E.5), hoặc (F.6) và (F.5), có thể sử dụng để đánh giá phần trăm số người bị rất khó chịu, một là chọn phương pháp trong Phụ lục E hoặc Phụ lục F, tùy vào phương pháp đã chọn sẽ sử dụng Công thức trong Phụ lục E hoặc Phụ lục F. Nếu sử dụng Phụ lục E, thay LRdn cho Ldn trong Công thức (E.4) và thay LRden cho Lden trong Công thức (E.5), hoặc tra tìm số phần trăm trong Bảng E.2. Nếu sử dụng Phụ lục F, thay LRdn cho Ldn trong Công thức (F.6) và thay LRden cho Lden trong Công thức (F.5), hoặc tra tìm số phần trăm trong Bảng F.2.
G.3 Phương pháp mức tương đương
Phương pháp mức tương đương giả thiết rằng mức khó chịu tổng thể liên quan trực tiếp với tổng mức khó chịu gia tăng sinh ra bởi mức tương đương cho mỗi nguồn theo một ngày trung bình. Mô hình này cho rằng tích lũy một cách riêng biệt sự khó chịu (tổng số) từ từng nguồn và sau đó lại “tổng” của những tổng này.
Để áp dụng phương pháp này, khuyến nghị là nên đo mức tiếp xúc âm cho mỗi nguồn âm (mỗi lần vượt qua) và cộng chúng lại trên cơ sở cộng năng lượng. Đường cong phần ứng sự khó chịu tương ứng (cho giao thông đường bộ) được sử dụng để biến đổi số đo tiếng ồn (ví dụ mức tương đương điều chỉnh khoảng thời gian) thành số đo khó chịu tương ứng, ví dụ “cho điểm khó chịu”.
Phương pháp này có thể mở rộng cho trường hợp đa nguồn, như sau:
Đo mức tiếp xúc âm cho mỗi tình huống đơn lẻ của từng nguồn của các nguồn khác nhau, và cộng các thành phần đóng góp thêm trên cơ sở năng lượng để tìm mức tương đương tổng cho mỗi nguồn. Chọn một nguồn để so sánh chung, và sử dụng đường cong mức ổn-phản ứng khó chịu để biến đổi mức tương đương cho mỗi nguồn thành mức tương đương đã điều chỉnh về sự khó chịu tương tự (cho nguồn tham chiếu).
CHÚ THÍCH: Đối với Lct, điều chỉnh này là sự chênh lệch giữa Lct cho nguồn được đề cập và Lct đối với giao thông đường bộ, giả sử lưu lượng trên đường là nguồn tham chiếu.
Cộng các mức tương đương đã điều chỉnh này trên cơ sở năng lượng và sử dụng đường cong phản ứng khó chịu cho nguồn tham chiếu để tìm mức khó chịu tương ứng cho tình huống đa nguồn. Mức tương đương theo trọng số A, LAeq, hoặc đại lượng dẫn xuất Ldn hoặc Lden được khuyến nghị như là số đo mức tiếng ồn cho đường cong hàm số mức ồn - phản ứng khó chịu.
G.4 Phương pháp dựa trên âm to
Tính toán âm to và mức to theo trọng số là cả hai yếu tố được đề xuất để đánh giá sự khó chịu do tiếng ồn gây ra. Phương pháp âm to sử dụng tính toán âm to để đánh giá sự khó chịu của tiếng ồn. Các phép tính toán này sử dụng logarit cơ số 2 thường dùng trong đánh giá âm to.
Phương pháp trọng số mức âm to thay thế trọng số A bằng đường đồng mức âm to (xem ISO 226), bằng cách sử dụng một bộ lọc để thay đổi cả biên độ và tần số. Phương pháp này giữ lại logarit cơ số 10 được dùng hiện nay để đánh giá theo trọng số A và giữ nguyên quan điểm mức tương đương và mức tiếp xúc âm.
Phụ lục H
(tham khảo)
Các tiếp cận theo lý thuyết để dự đoán sự khó chịu tăng lên
Hình E.1 mô tả dữ liệu khảo sát độ ồn của máy bay có thể tìm được và đưa vào biểu của tỷ lệ phần trăm dân cư rất khó chịu như một hàm của Lden. Dữ liệu nằm trong một khoảng khá lớn. Đường cong khớp với dữ liệu thường là ít hơn 40 % phương sai và khoảng thời gian dự đoán là rất lớn. Ví dụ, tại mức Lden bằng 60 dB, tỷ lệ phần trăm dự đoán dân cư rất khó chịu là 16 %, nhưng khoảng dự đoán trong khoảng từ 3 % đến 69 %. Đó là, một là 95 % tin rằng tỷ lệ phần trăm thực tế sẽ là giữa 3 % và 69 % dân cư rất khó chịu, đó là một phạm vi rộng lớn. Tình trạng này có phần tương tự khi có một chuyến bay máy bay dự kiến cất cánh lúc 15 h, và chỉ biết rằng 19 lần trong số 20 lần, nó sẽ cất cánh trong khoảng từ 12 h đến 22 h. Phạm vi rộng của các dữ liệu khảo sát theo chiều dọc này do thiếu lý thuyết để giải thích sự thay đổi. Phụ lục này trình bày một giải thích dựa trên lý thuyết về sự thay đổi này.
Tài liệu tham khảo [7] và [18] đưa ra giả thuyết rằng tốc độ thay đổi mức khó chịu đối với mức âm trung bình ngày đêm, Ldn, của tiếng ồn từ các phương thức vận tải khác nhau gần giống với tính toán độ ồn được điều chỉnh theo thời gian sử dụng Ldn. Điều này được hiểu rằng độ ồn đó tỷ lệ với bình phương áp suất âm mũ 0,3. Nhưng cảm giác độ lớn chỉ tăng trong một phần nhỏ của giây, và sau đó trở nên không đổi độc lập với độ kéo dài của âm. Ngược lại, sự khó chịu dường như tăng theo tỷ lệ thu âm với thời lượng của âm. Vì vậy, Tài liệu tham khảo [7] và [18] chuyển đổi Ldn về các đơn vị áp suất bình phương, mũ 0,3, và tiếp tục tăng tỷ lệ trực tiếp với thời lượng của âm. Về thực chất, sự khó chịu được giả định là tỷ lệ với toàn bộ độ kéo dài theo thời gian của độ ồn lớn. Do đó, phép tính này được mô tả giống như phép tính độ ồn được điều chỉnh theo thời gian sử dụng Ldn. Trong các Tài liệu tham khảo [7] và [18], thế giới của các dữ liệu đã được xem xét tính chất, khẳng định lý thuyết này. Lý thuyết đánh giá cho 2/3 tính khả biến dữ liệu và nhận biết một số yếu tố gây ra tính khả biến này. Kết quả là, hơn 50 % phương sai được giải thích hơn là được giải thích do chỉ khớp các đường cong là các hàm của Ldn.
CHÚ THÍCH 1: Các Công thức chính xác để dự đoán độ ồn, như ISO 532, ANSI/ASA S3.4, hoặc DIN 45631, bao gồm các yếu tố khác nhau ảnh hưởng đến phép tính toán độ ồn. Tuy nhiên, đối với phép tính gần đúng bậc nhất, độ ồn của mức âm theo mũ 0,3.
Ngoài ra, giả định rằng mức rất khó chịu được dựa trên độ lớn của tiếp xúc tiếng ồn tích phần theo thời gian dưới dạng một hàm chuyển tiếp. Mối quan hệ hàm số này, dạng e-x, là hàm chuyển tiếp đơn giản nhất (một tham số). Khi tiếng ồn bắt đầu từ rất rất nhỏ đến rất rất lớn, hàm này chuyển đổi từ giá trị tiệm cận bằng 0 (0 % của cộng đồng bị khó chịu khi tiếng ồn là rất rất nhỏ) đến một giá trị tiệm cận bằng 100 (100 % của một cộng đồng rất khó chịu khi tiếng ồn là rất rất lớn).
Dự đoán của sự khó chịu dựa trên một họ của các hàm số chuyển tiếp, chỉ khác nhau độ chia theo trục tiếp xúc (Ldn), Thực tế để tính toán Lct chính xác đến 0,1 dB, trên một loạt các giá trị Lct xuống thấp hoặc tăng cao như người sử dụng mong muốn. Tuy nhiên, trong tiêu chuẩn này, phạm vi mà Ldn có thể thay đổi được giới hạn từ 45 dB đến 75 dB. Người sử dụng cần xem xét với phương pháp mức dung sai cho phép của cộng đồng (Lct), một là không khớp đường cong với dữ liệu, một là dữ liệu khớp với đường cong. Cụ thể, một tập hợp các kết quả khảo sát mang tính xã hội (nghĩa là, các cặp giá trị Ldn và PHA) được so sánh với họ các đường cong của hàm chuyển tiếp. Đường cong Lct, mà dữ liệu gần đúng nhất (được xác định theo cách khớp hợp lệ cực đại hoặc khớp với bình phương trung bình cực tiểu), được sử dụng để quy định Lct cho những dữ liệu đó.
Công thức (H.1) thể hiện phần trăm mức rất khó chịu, PHA, biểu thị như một hàm chuyển tiếp:
(H.1)
Trong đó m là một mức ồn có đơn vị là bình phương áp suất.
CHÚ THÍCH 2: Trong các cách làm trước của hàm dự đoán này, số mũ được xác định là thương số của biến vô hướng theo nhóm cộng đồng, A và mức ồn, m. Trong cách làm hiện tại, dạng của hàm dự đoán được kiểm soát chỉ bằng m, trong khi đại lượng Lct dùng để chuyển dịch hàm dự đoán theo trục hoành đến một vị trí cụ thể của cộng đồng.
Cụ thể, trong Công thức (H.1), x cho trước là 1/m và số mũ 0,3 chuyển đổi áp suất bình phương thành một giá trị tỉ lệ với độ ồn. Tổng mức ồn là
được thay thế cho m trong Công thức (H.1), thu được Công thức (H.2). Do đó, trong một cộng đồng, phần trăm mức rất khó chịu, PHA, từ nguồn tiếng ồn giao thông là:
(H.2)
Trong Công thức (H.2), đại lượng Lct được biểu thị theo đơn vị của Ldn.
CHÚ THÍCH 3: Công thức (H.2) giống với Công thức (E.1).
CHÚ THÍCH 4: Tìm giá trị số Lct bằng cách giảm thiểu chênh lệch bình phương trung bình giữa các tỷ lệ phần trăm quan sát theo kinh nghiệm và theo dự đoán sử dụng Công thức (H.2) làm cho Lct tương ứng với điểm 50 %, điểm giữa của hàm số. Hằng số 5,3 dB trong Công thức (H.2) chính xác là 5,306 dB khiến cho Lct là điểm 50 %. Với một giá trị khác cho hằng số này, điểm 10 % có thể đã được sử dụng hoặc điểm 33,3 %. Lựa chọn 50 % và hằng số tương ứng (khoảng) 5,3 dB hoàn toàn tùy ý và được chọn vì 50 % là điểm giữa của phân bố. Mặc dù tùy ý, khi đã chọn, giá trị 50 % không thể thay đổi; là một phần của định nghĩa Lct.
Tóm lại, lý thuyết sự khó chịu là tỷ lệ thuận với thời gian của độ ồn được chứng minh, hỗ trợ bởi các dữ liệu có sẵn và tính cho biến thiên xác định. Nhưng Ldn không cho phép các kết quả khác nhau về sự khó chịu đối với cùng một mức ồn. Với phương pháp này, sử dụng một biến bổ sung không phụ thuộc là Lct để tính toán biến thiên thống kê tỷ lệ với các cộng đồng, các nguồn khác nhau, v.v...
Hiện nay không có phương pháp dựa trên lý thuyết nào được công bố để dự đoán các giá trị Lct trong bất kỳ cộng đồng nào. Trong thực tế, giá trị của Lct cho một cộng đồng xác định được thiết lập bằng cách tìm giá trị của Lct để giảm thiểu sự chênh lệch giá trị r.m.s giữa Công thức (H.2) và các cặp quan sát thực nghiệm (Ldn và PHA) tại các điểm phỏng vấn trong một cuộc khảo sát xã hội. Điều này được thực hiện bằng cách dịch chuyển Công thức (H.2) dọc theo trục Ldn và tính toán các giá trị chênh lệch r.m.s. giữa dự đoán theo Công thức (H.2), và tỷ lệ phần trăm mức độ khó chịu quan sát được. Hình H.1 minh họa quá trình đối với các cặp giá trị (Ldn và PHA) được xác định trong một cuộc khảo sát xã hội về giao thông đường bộ của Áo.
CHÚ THÍCH 5: Khi, Lct không thể dự đoán được, nhiều yếu tố chung có thể ảnh hưởng đến giá trị Lct như thái độ đối với nguồn tiếng ồn, sự thành lập cộng đồng (đô thị, ngoại ô hoặc nông thôn), đặc điểm của âm (xung, âm đơn) và các mô hình tiếp xúc tạm thời.

| CHÚ DẪN |
|
| |
| X | mức âm ngày-đêm, dB | 2 | 69,3 dB |
| Y | mức rất khó chịu, PHA, % | 3 | 74,3 dB |
| 1 | 64,3 dB | 4 | 79,3 dB |
CHÚ THÍCH: Giá trị phù hợp nhất (bình phương tối thiểu) với dữ liệu khảo sát về giao thông đường bộ của Áo đã tìm được là 69,3 dB. Hình này cũng cho thấy đường cong Lct, trừ đi 5 dB, cộng với 5 dB và 10 dB tương ứng là 64,3 dB, 74,3 dB và 79,3 dB. Hình này cho thấy tất cả các dữ liệu ở bên phải của đường cong 64,3 dB, tất cả các dữ liệu ở bên trái hoặc chỉ trên đường cong 74,3 dB, và dữ liệu không gần đường cong 79,3 dB. Trong trường hợp thực tế, về bản chất, là vẽ đường cong Lct theo 0,1 dB và tìm ra sự khớp, sai số bình phương tối thiểu nhỏ nhất. Trong trường hợp này, sai số bình phương tối thiểu nhỏ nhất dẫn đến Lct = 69,3 dB.
Hình H.1 - Ví dụ về sự khớp với tập dữ liệu cho đường cong Lct
Ba điểm mạnh cơ bản của phương pháp dựa trên lý thuyết này là:
1) Lct là tham số dạng số cho phép phân biệt về số giữa các tình huống tiếp xúc khác nhau ví dụ như giữa các phương thức vận chuyển khác nhau, giữa các yếu tố khác nhau như quan hệ cộng đồng tốt hoặc xấu, giữa thời gian khác nhau trong ngày, giữa các cộng đồng khác nhau (thành thị hoặc nông thôn), v.v.và như đã nêu trong Phụ lục A, trong các năm khác nhau.
2) Tham số Lct chiếm hơn 50% phương sai so với chỉ sử dụng Ldn hoặc Lden.
3) Việc tìm kiếm Lct cho một nhóm các cuộc điều tra về thái độ chung ví dụ như tất cả các cuộc khảo sát về giao thông đường bộ cho phép để thực hiện các so sánh giữa và trong các phương thức vận tải. Tài liệu tham khảo [18] cho thấy điều chỉnh đối với các nhóm tiếng ồn giao thông khác nhau liên quan đến tiếng ồn giao thông đường bộ như được nêu trong Bảng H.1, trong đó liệt kê các giá trị Lct trung bình và độ lệch chuẩn đối với dữ liệu cho bốn nguồn và điều kiện âm.
CHÚ THÍCH 6: Bảng H.1 nhắc lại tài liệu tìm được trong Phụ lục E. nhưng ở đây dưới dạng bản tóm tắt để người đọc có thể xác định sự khác biệt giữa tất cả các nguồn được tìm thấy bằng cách sử dụng Lct.
Bảng H.1 - Giá trị trung bình Lct và độ lệch chuẩn
| Nguồn và điều kiện | Lct trung bình dB | Chênh lệch so với GT đường bộ dB | Số lượng khảo sát | Độ lệch chuẩn dB | Khoảng dự đoán 95 % dB |
| Máy bay | 73,3 | 5 | 43 | 7,1 | 73,3 ± 14,2 |
| Giao thông đường bộ | 78,3 | 0 | 37 | 5,1 | 78,3 ± 10,2 |
| Đường sắt (mức rung thấp) | 87,8 | -9,5 | 9 | 3,5 | 87,8 ± 7,0 |
| Đường sắt (mức rung cao) | 75,8 | 2,5 | 6 | 4,2 | 75,80 ± 8,4 |
Một sử dụng tiềm năng cho Lct là định lượng các lợi ích và các bất lợi của tiếng ồn khác nhau. Bởi vì Lct là một biến không phụ thuộc với các đơn vị của Ldn, có thể hình dung các nghiên cứu để định lượng câu trả lời cho các câu hỏi như là lợi ích của sự cách âm cho các khu vực cư trú; những lợi ích của một "góc yên tĩnh"; sự khác biệt giữa "rất khó chịu", "khó chịu vừa phải" và "một chút khó chịu"; hoặc không có lợi cho quan hệ cộng đồng xấu.
Với nghiên cứu sâu hơn, có thể mong đợi rằng người ta có thể dự đoán được Lct của các cộng đồng khác nhau dựa trên các thuộc tính, tiêu chuẩn và điều kiện trên toàn cộng đồng, v.v... (xem Tài liệu tham khảo [18]).
Thư mục tài liệu tham khảo
Chung
[1 ] ISO 226, Acoustics - Normal equal-loudness-level contours
[2] ISO 532 (tất cả các phần), Acoustics - Method for calculating loudness level
[3] ISO 1999, Acoustics - Estimation of noise-induced hearing loss
[4] ISO 9613 (tất cả các phần), Acoustics - Attenuation of sound during propagation outdoors
[5] ANSI/ASA S3.4, Procedure for the computation of loudness of steady sounds
[6] DIN 45631 and Amendment 1, Berechnung des Lautstärkepegels und der Lautheit aus dem Geräuschspektrum - Verfahren nach E. Zwicker (Calculation of loudness level and loudness from the sound spectrum - Zwicker method)
[7] Fidell S., Mestre V., Schomer P., Berry B., Gjestland T., Vallet M, A first-principles model for estimating the prevalence of annoyance with aircraft noise exposure. /. Acoust. Soc. Am. 2011, 130 (2) pp. 791-806
[8] Finegold L.S., Harris C.S., von Gierke H.E. Community annoyance and sleep disturbance: Updated criteria for assessing the impacts of general transportation noise on people. Noise Control Eng. J.1994, 42 (1) pp. 25-30
[9] Groothuis-Oudshoorn C.G.M., &Miedema H.M.E. Multilevel grouped regression for analyzing self- reported health in relation to environmental factors: the model and its application. Biom.J. 2006, 48 (1) pp. 67-82
[10] Janssen S.A., Vos H., van Kempen E.E.M.M., Breugelmans O.R.P., Miedema H.M.E. Trends in aircraft noise annoyance: the role of study and sample characteristics. /. Acoust. Soc. Am.2011, 129 (4) pp. 1953-1962
[11] Kryter K.D. Community annoyance from aircraft and ground vehicle noise./. Acoust. Soc. Am. 1982,72 pp. 1212-1242
[12] Kryter K.D. Effects of noise on man. Academic, New York, 1985
[13] Lercher P. Deviant dose response curves for traffic noise in sensitive areas. lnternoise98, Christchurch, New Zealand, pp. 1141-1145
[14] Miedema H.M.E., &Vos H. Exposure-response relationships for transportation noise./. Acoust. Soc. Am.1998, 104-(6) pp. 3432-3445
[15] Miedema H.M.E., &Oudshoorn C.G.M. Annoyance from transportation noise: Relationships with exposure metrics DNLand DENLand their confidence intervals. Environ. Health.2001, 109 pp. 409-416
[16] Miedema H.M.E. Relationship between exposure to multiple noise sources and noise annoyance. /. Acoust. Soc. Am.2004, 116 pp. 949-957
[17] Schomer P. Loudness-level weighting for environmental noise assessment. Ada Acustica. 2000, 86 (1)
[18] Schomer P., Mestre V., Fidell S., Berry B., Gjestland T., Vallet M. Role of a community tolerance value in predictions of the prevalence of annoyance due to road and rail noise./. Acoust. Soc. Am.2012, 131 (4) pp. 2772-2786
[19] Schultz T.J. Synthesis of social surveys on noise annoyance. ]. Acoust. Soc. Am. 1978, 64 (2) pp. 337-4-05
[20] Sneddon M., Pearsons K., Fidell S. Laboratory study of the noticeability and annoyance of low signal-to-noise ratio sounds. Noise Control Eng.]. 2003, 51 (5] pp. 300-305
[21] Viollon S., Marquis-Favre C., Junker F., Baumann C. Environmental assessment of industrial noises annoyance with the criterion "sound emergence". International Congress on Acoustics. 2004 Th5.XI.I pp. 3045-3048
[22] Yokoshima S., Yano T., Kawai K„ Morinaga M., Ota A. Representative dose-response curves for individual transportation noises in japan. Internoise, New York, 2012, pp. 1922.
[23] Vos ]. Annoyance caused by simultaneous impulse, road-traffic, and aircraft sounds: A quantitative model./. Acoust. Soc. Am. 1992, 91 (6) pp. 3330-3345
Âm xung
[24] ISO 1084-3, Acoustics - Methods for the description and physical measurement of single impulses or series of impulses
[25] Berry B.F., &Bisping R. CEC joint project on impulse noise: Physical quantification methods. Proc. 5th Inti. Congress on Noise as a Public Health Problem. Stockholm, '1988 pp. 153-158
[26] Buchta E. Annoyance caused by shooting noise - Determination of the penalty for various weapon calibers. lnternoise96, Liverpool, UK, pp. 495-2500
[27] Buchta E., & Vos J. A field survey on the annoyance caused by sounds from large firearms and road traffic./. Acoust. Soc. Am. 1998, 104 (5) pp. 2890-2902
[28] NRC. Assessment of community response to high-energy impulsive sounds. Report of Working Group 84, Committee on Hearing, Bioacoustics and Biomechanics (CHABA), National Research Council, National Academy of Science, Washington, D.C., 1981, NT1S ADA110100
[29] NRC. Community response to high-energy impulsive sounds: An assessment of the field since 1981. Committee on Hearing, Bioacoustics and Biomechanics (CHABA}, National Research Council, National Academy of Science. NT1S PB, Washington, D.C., 1996, pp. 97-124044.
[30] Schomer P.D. New descriptor for high-energy impulsive sounds. Noise Control Eng./. 1994, 42 (5} pp. 179-191
[31] Schomer P.D., &Sias J.W. Maglieri D. A comparative study of human response, indoors, to blast noise and sonic booms. Noise Control Eng.].1997, 45 (4) pp. 169-182
[32] Vos J. A review of research on the annoyance caused by impulse sounds produced by small firearms. lnternoise95, Newport Beach, USA, Vol. 2, pp. 875-878
[33] Vos J. Comments on a procedure for rating high-energy impulse sounds: Analyses of previous and new data sets, and suggestions for a revision. Noise Vib. Worldwide.2000, 31 (1) pp. 18-29
[34] Vos j. On the annoyance caused by impulse sounds produced by small, medium-large, and large firearms./. Acoust. Soc. Am.2001, 109 (1) pp. 244-253
Hiệu chỉnh âm
[35] Scharf B., Heilman R., Bauer J. Comparison of various methods for predicting the loudness and acceptability of noise. Office of Noise Abatement and Control (U. S. Environmental Protection Agency, Washington D.C., 1977), NTIS PB81-24-3826
[36] Scharf B., &Hellman R. Comparison of various methods for predicting the loudness and acceptability of noise, Part II, Effects of spectral pattern and tonal components. Office of Noise Abatement and Control (U. S. Environmental Protection Agency, Washington D.C., 1979), NTIS PB82-138702
Âm có tần số thấp mạnh
[37] ISO 7196, Acoustics - Frequency-weighting characteristic for infrasound measurements
[38] ANSI S12.9 Part 4, Quantities and procedures for description and measurement of environmental sound - Part 4: Noise assessment and prediction of long-term community response
[39] DIN 45680 and Supplement 1, Messung und Beurteilung tieffrequenter Gerauschimmissionen (Measurement and assessment of low-frequency noise immissions)
[40] Broner N., &Leventhall H.G. Low frequency noise annoyance assessment by low frequency noise rating (LFNR) curves./. Low Frequency Noise Vibration. 1983, 2 (1) pp. 20-28
[41] Broner N., &Leventhall H.G. Annoyance loudness and unacceptability of higher level low frequency noise. J Low Frequency Noise and Vibration. 1985, 4 (1) pp. 1-11
[42] Gottlob D.P.A. German standard for rating low-frequency noise immissions. lnternoise98, Christchurch, New Zealand
[43] Jakobsen J. Measurement and assessment of environmental low frequency noise and infrasound. lnternoise98, Christchurch, New Zealand, pp. 1199-1202
[44] Mirowska M. Results of measurements and limits proposal for low frequency noise in the living environment./ Low Frequency Noise and Vibration. '1995,14 pp. 135-141
[45] Piorr D., &Wietlake K.H. Assessment of low frequency noise in the vicinity of industrial noise sources./ Low Frequency Noise and Vibration. 1990, 9 p. 116
[46] Vercammen M.L.S. Low-frequency noise limits. / Low Frequency Noise and Vibration. 1992, pp. 7-12.
MỤC LỤC
Lời nói đầu
Lời giới thiệu
1 Phạm vi áp dụng
2 Tài liệu viện dẫn
3 Thuật ngữ và định nghĩa
4 Ký hiệu
5 Đại lượng mô tả tiếng ồn môi trường
6 Sự khó chịu do tiếng ồn
7 Yêu cầu về giới hạn tiếng ồn
8 Báo cáo đánh giá tiếng ồn môi trường và ước tính phản ứng khó chịu lâu dài của cộng đồng
Phụ lục A (tham khảo) Điều chỉnh đối với các mức đánh giá nguồn âm
Phụ lục B (tham khảo) Âm xung năng lượng cao
Phụ lục C (tham khảo) Âm có tần số thấp mạnh
Phụ lục D (tham khảo) Các mối tương quan để ước tính tỷ lệ phần trăm dân số rất khó chịu và khoảng dự đoán 95 % là hàm số của các mức âm ngày-tối-đêm và ngày-đêm có điều chỉnh
Phụ lục E (tham khảo) Ước tính tỷ lệ phần trăm dân số rất khó chịu dưới dạng một hàm số của các mức âm ngày-tối-đêm hoặc ngày-đêm được điều chỉnh bằng cách sử dụng công thức về mức dung sai cho phép của cộng đồng
Phụ lục F (tham khảo) Ước tính tỷ lệ dân số bị khó chịu dưới dạng một hàm điều chỉnh mức âm ngày-tối-đêm hoặc ngày-đêm được điều chỉnh bằng cách sử dụng phương trình hồi quy
Phụ lục G (tham khảo) Sự khó chịu do tiếp xúc với âm trong môi trường nhiều nguồn âm
Phụ lục H (tham khảo) Các tiếp cận theo lý thuyết để dự đoán sự khó chịu tăng lên
Thư mục tài liệu tham khảo
Bạn chưa Đăng nhập thành viên.
Đây là tiện ích dành cho tài khoản thành viên. Vui lòng Đăng nhập để xem chi tiết. Nếu chưa có tài khoản, vui lòng Đăng ký tại đây!