- Tổng quan
- Nội dung
- Tiêu chuẩn liên quan
- Lược đồ
- Tải về
Tiêu chuẩn Quốc gia TCVN 7724:2007 Xác định thuỷ ngân trong nước bằng phổ huỳnh quang nguyên tử
| Số hiệu: | TCVN 7724:2007 | Loại văn bản: | Tiêu chuẩn Việt Nam |
| Cơ quan ban hành: | Bộ Khoa học và Công nghệ | Lĩnh vực: | Tài nguyên-Môi trường |
|
Ngày ban hành:
Ngày ban hành là ngày, tháng, năm văn bản được thông qua hoặc ký ban hành.
|
26/12/2007 |
Hiệu lực:
|
Đã biết
|
| Người ký: | Đang cập nhật |
Tình trạng hiệu lực:
Cho biết trạng thái hiệu lực của văn bản đang tra cứu: Chưa áp dụng, Còn hiệu lực, Hết hiệu lực, Hết hiệu lực 1 phần; Đã sửa đổi, Đính chính hay Không còn phù hợp,...
|
Đã biết
|
TÓM TẮT TIÊU CHUẨN VIỆT NAM TCVN 7724:2007
Nội dung tóm tắt đang được cập nhật, Quý khách vui lòng quay lại sau!
Tải tiêu chuẩn Việt Nam TCVN 7724:2007
TIÊU CHUẨN QUỐC GIA
TCVN 7724 : 2007
ISO 17852 : 2006
CHẤT LƯỢNG NƯỚC - XÁC ĐỊNH THỦY NGÂN - PHƯƠNG PHÁP DÙNG PHỔ HUỲNH QUANG NGUYÊN TỬ
Water quality - Determination of mercury - Method using atomic fluorescence spectrometry
Lời nói đầu
TCVN 7724 : 2007 hoàn toàn tương đương với ISO 17852 : 2006.
TCVN 7724 : 2007 do Ban kỹ thuật Tiêu chuẩn TCVN / TC 147 "Chất lượng nước" biên soạn, Tổng cục Tiêu chuẩn Đo lường Chất lượng đề nghị, Bộ Khoa học và Công nghệ công bố.
Lời giới thiệu
Trong các nguồn nước tự nhiên, các hợp chất thủy ngân nói chung xuất hiện ở nồng độ rất thấp, nhỏ hơn 0,1 µg/l. Cũng có thể ở nồng độ cao hơn, ví dụ trong nước thải công nghiệp.
Thủy ngân xuất hiện ở dạng hợp chất vô cơ và hữu cơ. Thủy ngân cũng có thể tích tụ trong trầm tích và bùn.
Để phân hủy hoàn toàn tất cả các hợp chất của thủy ngân, cần phải có quá trình thủy phân. Quá trình thủy phân có thể loại bỏ chỉ khi chắc chắn đo được nồng độ thủy ngân mà không cần xử lý sơ bộ.
Người sử dụng phải có kiến thức về yêu cầu kỹ thuật của phương pháp.
CHẤT LƯỢNG NƯỚC - XÁC ĐỊNH THỦY NGÂN - PHƯƠNG PHÁP DÙNG PHỔ HUỲNH QUANG NGUYÊN TỬ
Water quality - Determination of mercury - Method using atomic fluorescence spectrometry
CẢNH BÁO - Người sử dụng tiêu chuẩn này cần phải thành thạo với các thực hành trong phòng thí nghiệm thông thường. Tiêu chuẩn này không đề cập đến mọi vấn đề an toàn liên quan đến người sử dụng. Trách nhiệm của người sử dụng là phải xác lập độ an toàn, đảm bảo sức khỏe và phù hợp với các quy định của quốc gia.
QUAN TRỌNG - Điều quan trọng là phép thử được tiến hành theo tiêu chuẩn này được thực hiện bởi nhân viên đã được đào tạo.
1. Phạm vi áp dụng
Tiêu chuẩn này quy định phương pháp xác định thủy ngân trong nước uống, nước mặt, nước dưới đất và nước mưa dùng quang phổ huỳnh quang nguyên tử.
CHÚ THÍCH Tiêu chuẩn này có thể áp dụng cho nước thải công nghiệp và nước thải sinh hoạt sau khi thêm giai đoạn phá mẫu trong những điều kiện thích hợp.
Đường chuẩn tuyến tính trong khoảng từ 1 ng/l đến 1 µg/l. Thực tế, khoảng làm việc thường từ 10 ng/l đến 10 µg/l.
Mẫu chứa thủy ngân ở nồng độ cao hơn khoảng làm việc ở trên có thể được phân tích bằng cách pha loãng mẫu thích hợp.
Giới hạn phát hiện của phương pháp (xDL) phụ thuộc vào những điều kiện vận hành đã chọn và khoảng chuẩn. Khi dùng thuốc thử tinh khiết cao, xDL có thể nhỏ hơn 1 ng/l.
Độ lệch chuẩn tương đối thường nhỏ hơn 5 % với nồng độ lớn hơn hai mươi lần giới hạn phát hiện của phương pháp.
Độ nhạy của phương pháp phụ thuộc vào những điều kiện vận hành đã chọn.
2. Tiêu chuẩn viện dẫn
Các tài liệu viện dẫn sau là rất cần thiết cho việc áp dụng tiêu chuẩn này. Đối với các tài liệu viện dẫn ghi năm ban hành thì áp dụng phiên bản được nêu. Đối với các tài liệu viện dẫn không ghi năm ban hành thì áp dụng phiên bản mới nhất (bao gồm cả sửa đổi).
TCVN 4851 (ISO 3696) Nước dùng để phân tích trong phòng thí nghiệm - Yêu cầu kỹ thuật và phương pháp thử.
TCVN 6663-1 (ISO 5667-1) Chất lượng nước - Lấy mẫu. Phần 1 : Hướng dẫn lập chương trình lấy mẫu.
TCVN 5992 (ISO 5667-2) Chất lượng nước - Lấy mẫu - Hướng dẫn kỹ thuật lấy mẫu.
TCVN 5993 (ISO 5667-3) Chất lượng nước - Lấy mẫu - Hướng dẫn bảo quản và xử lý mẫu.
3. Nguyên tắc
Huỳnh quang nguyên tử là một quá trình phát xạ, trong đó nguyên tử bị kích thích do hấp thụ chùm tia phóng xạ điện từ. Các nguyên tử bị kích thích sau đó trở lại trạng thái ban đầu đồng thời giải phóng năng lượng dưới dạng photon. Cường độ dòng photon này sẽ được đo.
Một lượng mẫu được phá bằng brôm và brôm clorua (BrCI)(1)[2]. Toàn bộ cơ thủy ngân được chuyển hóa thành thủy ngân (II) và được phân tích. Ngay trước khi phân tích, lượng dư brômua được loại đi bằng axit ascobic (xem A.2).
Hơi thủy ngân kim loại được điều chế từ mẫu đã phá bằng thiếc (II) clorua, rồi được thổi ra khỏi dung dịch bằng một dòng khí mang argon. Hơi ẩm tiếp tục được đuổi khỏi dòng khí mang và hơi thủy ngân được đo bằng phổ huỳnh quang nguyên tử (AFS). Quy trình này thường được tự động hóa nhờ bộ lấy mẫu tự động và phần mềm máy tính điểu khiển.
4. Cản trở
Nguy cơ thay đổi phản ứng có thể xảy ra trên thành bình, đó là quá trình hấp thụ và giải hấp thủy ngân.
Hơi thủy ngân có thể khuếch tán qua chất dẻo; cần chú ý hiện tượng này khi chọn vật liệu làm bình chứa. Có thể dùng bình thủy tinh hoặc bằng chất dẻo đặc biệt như FEP. Ví dụ bình silicon là không phù hợp.
Cần chú ý hiệu ứng do tín hiệu huỳnh quang nguyên tử bị suy giảm. Các khí hòa tan thường bị đuổi trong giai đoạn phá mẫu.
Hơi nước hoặc aerosol trong ngăn đo huỳnh quang có thể gây giảm tín hiệu. Hơi nước trong dòng khí mang cần phải được loại bỏ bằng màng ưa nước trước khi đi vào detector[3].
Các anion tạo phức mạnh với thủy ngân cũng gây suy giảm tín hiệu. Các anion này gồm sulfua, idoua và brômua. Thuốc thử kali brômua - kali brômat (5.4) không gây suy giảm tín hiệu, nếu được yêu cầu.
Các kim loại quý như vàng, bạc và platin tạo hỗn hống với hơi thủy ngân và do đó có thể gây suy giảm tín hiệu.
Các hợp chất hữu cơ bay hơi không gây cản trở phương pháp AFS[4].
5. Thuốc thử và tiêu chuẩn
Thuốc thử và nước có thể chứa thủy ngân như một tạp chất. Để độ nhạy cao, cần dùng các thuốc thử siêu tinh khiết hoặc các thuốc thử có lượng thủy ngân thấp hơn nồng độ thủy ngân thấp nhất phân tích được.
5.1. Nước, có độ tính khiết đạt loại 1 theo TCVN 4851 (ISO 3696) dùng để chuẩn bị mẫu và pha loãng.
5.2. Dung dịch kali bromat, c(KBrO3) = 0,0333 mol/l.
Hòa tan 1,39 g kali bromat trong 250 ml nước (5.1). Kali bromat cần làm sạch, nếu cần thì nung trong lò qua đêm ở nhiệt độ 250 °C ± 20 °C.
Dung dịch bền trong khoảng một tuần lễ.
5.3. Dung dịch kali bromua, c(KBr) = 0,2 mol/l.
Hòa tan 5,95 g kali bromua trong 250 ml nước (5.1). Kali bromua cần làm sạch, nếu cần thì nung trong lò qua đêm ở nhiệt độ 300 °C ± 20 °C.
Dung dịch bền trong khoảng một tháng.
5.4. Thuốc thử kali bromua - kali bromat
Trộn các thể tích bằng nhau dung dịch kali bromat (5.2) và dung dịch kali bromua (5.3). Thể tích tổng 200 ml cho phép phá 100 mẫu.
Chuẩn bị trong ngày dùng.
CHÚ THÍCH Dung dịch gốc kali bromua - bromat đựng trong ống gắn kín (ampul) có bán sẵn trên thị trường (xem C.1). Thuốc thử này có hàm lượng thủy ngân tạp chất rất thấp.
Thuốc thử hỗn hợp này có thể bền từ vài ngày đến một tuần lễ. Nên kiểm tra độ bền này.
5.5. Dung dịch axit L-ascobic, ρ(C6H8O6) = 100 g/l.
Hòa tan 10 g axit L-ascobic trong nước (5.1) trong bình định mức 100 ml rồi thêm nước đến vạch mức. Dung dịch này bền trong khoảng một tuần.
5.6. Axit nitric, ρ(HNO3) = 1,4 g/ml.
Xem C.2.
5.7. Axit clohydric, (HCI), ω(HCI) = 120 g/kg.
Pha loãng 167 ml axit clohydric tinh khiết cao ω(HCI) = 360 g/kg [ρ(HCI)] = 1,19 g/ml] đến 500 ml bằng nước (5.1).
5.8. Dung dịch thiếc(ll) clorua, ρ(SnCl2.2H20) = 20 g/l.
Thêm 10,0 g thiếc (II) clorua ngậm hai nước vào 150 ml axit clohydric (5.7). Đun đến tan. Pha loãng đến 500 ml bằng nước (5.1). Để loại hết vết thủy ngân cho sục khí argon, nitơ hoặc không khí vào dung dịch ví dụ ở tốc độ dòng 2 lít trên phút trong 15 min.
CHÚ THÍCH Axit clohydric dùng để chuẩn bị dung dịch này đạt cấp tinh khiết phân tích và cần đuổi vết thủy ngân bằng sục khí.
5.9. Thuốc thử trắng
Chuẩn bị 100 ml dung dịch chứa 15 ml axit clohydric (5.7) và 2 ml thuốc thử kali bromua - kali bromat (5.4). Cứ 10 ml dung dịch này[5] thì thêm 100 µl dung dịch axit ascobic (5.5). Điều quan trọng là các thuốc thử giống nhau được dùng để chuẩn bị mẫu và mẫu tiêu chuẩn cũng được dùng để chuẩn bị thuốc thử trắng, xử lý thuốc thử trắng giống như mẫu.
CHÚ THÍCH Trong hệ thống phân tích dòng chảy liên tục, dung dịch thuốc thử trắng coi như nền và được tự động trừ đi khi tính toán kết quả. Bởi vậy dung dịch này có thể chứa một lượng thủy ngân rất nhỏ.
5.10. Dung dịch tiêu chuẩn thủy ngân
5.10.1. Dung dịch gốc thủy ngân A, ρ(Hg) = 1 000 mg/l.
Dùng dung dịch tiêu chuẩn mua ngoài thị trường.
Dung dịch bền ít nhất sáu tháng.
Cách khác, có thể dùng dung dịch gốc được điều chế từ hóa chất siêu tinh khiết (99,99/99,999 % phần khối lượng tinh khiết). Hòa tan 0,1354 g thủy ngân (II) clorua HgCI2 trong 20 ml nước (5.1). Thêm 5 ml axit nitric (5.6) và pha loãng đến 100 ml.
CẢNH BÁO - Không sấy khô muối vô cơ vì rất độc.
5.10.2. Dung dịch gốc thủy ngân B, ρ(Hg) = 10 mg/l.
Pha loãng 1 ml dung dịch gốc A (5.10.1) đến khoảng 20 ml bằng nước (5.1). Thêm 2 ml thuốc thử kali bromua-kali bromat (5.4) và pha loãng đến 100 ml bằng nước trong bình định mức bosilicat.
Chuẩn bị dung dịch trong tuần.
5.10.3. Dung dịch gốc thủy ngân C, ρ(Hg) = 100 µg/l.
Pha loãng 1 ml dung dịch gốc B (5.10.2) đến 100 ml bằng thuốc thử trắng (5.9) trong bình định mức bosilicat.
Pha dung dịch dùng trong ngày.
5.10.4. Dung dịch gốc thủy ngân D, ρ(Hg) = 1 µg/l.
Pha loãng 1 ml dung dịch gốc C (5.10.3) đến 100 ml bằng thuốc thử trắng (5.9) trong bình định mức bosilicat.
Pha dung dịch này trước mỗi dãy đo.
5.10.5. Dung dịch chuẩn
Chuẩn bị ít nhất năm dung dịch tiêu chuẩn thủy ngân trải kín khoảng nồng độ cần đo bằng cách pha loãng dung dịch gốc D (5.10.4). Cứ 100 ml dung dịch tiêu chuẩn chứa 15 ml axit clohydric (5.7) và 2 ml thuốc thử kali bromua - kali bromat (5.4) trong bình định mức bosilicat. Không được dùng bình plastic nếu bình thấm hơi thủy ngân (0).
Chuẩn bị các dung dịch này trong ngày dùng.
Thành phần dung dịch thuốc thử trắng cần giống thành phần dung dịch tiêu chuẩn.
- Ví dụ, đối với khoảng nồng độ từ 10 ng/l đến 100 ng/l, cần thực hiện như sau:
Chuẩn bị 5 dung dịch chuẩn có nồng độ 10 ng/l, 30 ng/l, 50 ng/l, 70 ng/l và 100 ng/l bằng cách lấy lần lượt 1 ml, 3 ml, 5 ml, 7 ml và 10 ml dung dịch gốc D (5.10.4) và pha loãng đúng đến 100 ml bằng thuốc thử trắng (5.9).
- Ví dụ, đối với khoảng nồng độ từ 2 ng/l đến 20 ng/l, thực hiện như sau
Chuẩn bị một dung dịch gốc 100 ng/l bằng cách lấy 10 ml dung dịch gốc thủy ngân D (5.10.4) rồi pha loãng đúng đến 100 ml bằng thuốc thử trắng (5.9). Pha trong ngày dùng. Từ dung dịch này, pha các dung dịch chuẩn có nồng độ 2 ng/l, 5 ng/l, 10 ng/l, 15 ng/l và 20 ng/l bằng cách pha loãng 2 ml, 5 ml, 10 ml, 15 ml và 20 ml đúng đến 100 ml trong bình định mức borosilicat bằng thuốc thử trắng (5.9).
5.11. Hỗn hợp axit nitric để tráng
Pha loãng axit nitric (5.6) bằng nước (5.1) đến thể tích gấp đôi.
5.12. Hỗn hợp kali bromua - kali bromat dùng để tráng
Trong mỗi 100 ml dung dịch này chứa 2 ml kali bromua - kali bromat (5.4) và 15 ml axit clohydric (5.7). Chuẩn bị theo yêu cầu và đậy kín dung dịch.
6. Thiết bị và dụng cụ
6.1. Hệ thống huỳnh quang nguyên tử
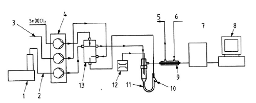
Ví dụ về sơ đồ hình khối hệ thống phân tích thủy ngân tự động được trình bày ở phụ lục B. Hệ thống này gồm một bộ phận lấy mẫu tự động (khi vận hành ở chế độ tự động), một bộ sinh dòng hơi liên tục, một bộ tách chất lỏng trong khí, một hệ thống loại hơi ẩm, một máy phổ huỳnh quang nguyên tử một máy tính điều khiển và bộ giao diện.
6.2. Bộ phận cấp khí
Dùng argon tinh khiết cao 99,99 % để đảm bảo độ nhạy cực đại. Bộ phận cấp khí phải có van điều chỉnh hai giai đoạn. Nên dùng bộ phận làm sạch khí có chứa than hoạt tính. Cũng có thể dùng khí nitơ nhưng độ nhạy sẽ bị giảm.
6.3. Loại hơi ẩm
Hơi ẩm được loại bằng màng ưa nước, chi tiết xem ở C.3. Argon hoặc nitơ (6.2) có thể dùng nhưng cần khô.
6.4. Dụng cụ
6.4.1. Khái quát
Khi phân tích thủy ngân ở nồng độ rất thấp cần phải chú ý đến sự nhiễm bẩn và mất mát. Nguồn nhiễm bẩn tiềm ẩn bao gồm dụng cụ phòng thí nghiệm làm sạch không đúng cách và sự nhiễm bẩn chung trong môi trường phòng thí nghiệm. Nên làm việc trong phòng thí nghiệm sạch chỉ dành cho xử lý mẫu chứa nguyên tố vết. Ít nhất là không khí sạch. Tất cả dụng cụ có thể dùng lại mà có tiếp xúc với mẫu cần được rửa sạch trước khi dùng. Dụng cụ thí nghiệm cần ngâm trong axit nitric sạch (5.11) trong 48 h và tráng ba lần bằng nước. [Tiếp theo nên nạp đầy dụng cụ bằng hỗn hợp kali bromua - kali bromat (5.12) và để yên trong 24 h. Thêm dư dung dịch axit L-ascobic (5.5) để loại brom tự do, cuối cùng tráng ba lần bằng nước]. Những dụng cụ bằng chất dẻo (dùng một lần) không yêu cầu rửa đặc biệt, miễn là chứng minh được sự nhiễm bẩn do lượng vết thủy ngân là rất nhỏ trong vật liệu. Dụng cụ sạch nên được giữ trong túi chất dẻo hai lớp, để ở nơi sạch đến khi dùng.
6.4.2. Bình mẫu/chứa mẫu
Bình hẹp cổ ví dụ bằng polytetrafloeten (PTFE), perflo(eten-propen) (FEP), thủy tinh bosilicat hoặc thạch anh.
6.4.3. Bình thuốc thử trong máy
Bình thuốc thử bằng thủy tinh có nắp và ống dẫn PTFE nối với bơm nhu động.
6.4.4. Lọ dùng cho lấy mẫu tự động
Dùng những lọ như polystyren hoặc vật liệu được quy định ở 6.4.2.
6.5. Thiết bị xử lý mẫu
6.5.1. Micro pipét
Hệ thống micropipet có khả năng lấy thể tích từ 10 µl đến 1000 µl có các đầu mũi không có kim loại, dùng một lần.
6.5.2. Cân
Cân phân tích với độ chính xác đến ± 0,1 mg hoặc cân một đĩa có độ chính xác đến ± 0,1 g.
7. Lấy mẫu và xử lý sơ bộ
Tiến hành lấy mẫu theo TCVN 6663-1 (ISO 5667-1), TCVN 5992 (ISO 5667-2) và TCVN 5993 (ISO 5667-3), dùng các bình chứa mẫu (như quy định trong 6.4.2). Kỹ thuật lưu giữ mẫu trình bày trong TCVN 5993 (ISO 5667-3) không áp dụng được cho kỹ thuật nêu ở tiêu chuẩn này. TCVN 5993 (ISO 5667-3) dùng HNO3 và K2Cr2O7 để lưu giữ mẫu trong khi tiêu chuẩn này dựa trên bước kết hợp giai đoạn lưu giữ và phá mẫu bằng thuốc thử kali bromua - kali bromat.
Cần đảm bảo rằng bình lấy mẫu không chứa thủy ngân và không gây mất thủy ngân do hấp phụ hoặc khuếch tán.
Trong phương pháp này, kết hợp bước lưu giữ mẫu và phá mẫu được thực hiện ngay tại chỗ.
Nên ổn định mẫu tại chỗ bằng cách thêm 15 ml axit clohydric (5.7) và 2 ml thuốc thử kali bromua - kali bromat (5.4) cho 100 ml mẫu. Để yên mẫu ít nhất 30 min. Nếu màu vàng của brom tự do biến mất sau 30 min thì thêm 1 ml thuốc thử kali bromua - kali bromat (5.4).
CHÚ THÍCH Cách kết hợp lưu giữ với phá mẫu này không phù hợp với thử liên phòng thí nghiệm (xem EN 13506)[7]. Tuy vậy, thực nghiệm cho thấy số liệu về độ chụm ít nhất đạt được như phụ lục D đã nêu.
Lưu ý cần hiệu chỉnh thể tích (xem 9.2).
Chuẩn bị thuốc thử trắng (5.9) với lượng các thuốc thử tương ứng và phân tích giống hệt mẫu.
Nếu lưu giữ mẫu, cần phân tích bảy ngày sau khi lấy mẫu.
Các bình chứa mẫu để lưu giữ, thu thập và xử lý mẫu nên làm bằng polytetrafloeten (PTFE), perflo(eten-propen) (FEP), thủy tinh bosilicat hoặc thạch anh (6.4.2).
Đối với tất cả các mẫu nước, cần chuẩn bị thuốc thử trắng và phân tích dung dịch đó. Dùng cùng loại bình chứa và lượng thuốc thử như khi lấy mẫu. Xử lý dung dịch trắng giống như mẫu.
8. Chuẩn bị máy
Lắp máy theo mô tả trong hướng dẫn của nhà sản xuất. Một ví dụ về cấu hình được nêu ở phụ lục B.
Kiểm tra ống dẫn hàng ngày và thay thế nếu cần. Khoảng cách ống dẫn giữa bộ phận lấy mẫu tự động, bộ tạo hơi và detector nên giữ ở mức tối thiểu.
Nạp đầy thuốc thử trắng (5.9) và dung dịch thiếc (II) clorua (5.8).
Bật bơm và đảm bảo rằng mọi đường đều được bơm tốt ở tỷ số tốc độ dòng không đổi. Tỷ số tốc độ dòng của thiếc (II) clorua (5.8) trên thuốc thử trắng/dung dịch mẫu là quan trọng và cần ổn định.
Mở khí argon để cung cấp dòng khí cần. Tốc độ dòng argon được đặt theo hướng dẫn của nhà sản xuất.
Lựa chọn độ khuếch đại yêu cầu cho detector huỳnh quang nguyên tử theo hướng dẫn của nhà sản xuất. Đảm bảo rằng độ khuếch đại cho detector phù hợp với nồng độ thủy ngân được xác định.
Đối với mẫu có nồng độ thủy ngân vượt quá thang đo của khoảng đã cho thì phân tích lại ở độ nhạy thấp hơn hoặc pha loãng mẫu chưa phá. Nếu pha loãng mẫu đã phá thì dùng dung dịch pha loãng là dung dịch thuốc thử trắng (5.9).
9. Cách tiến hành
9.1. Khái quát
Chạy phần mềm để phân tích định lượng.
Trước khi đo thêm ngay 100 ml dung dịch axit L-ascobic (5.5) cho 10 ml mẫu, mẫu tiêu chuẩn hoặc dung dịch thuốc thử trắng chuẩn bị theo 5.9. Việc thêm axit này là để đuổi hết brom dư và quá trình này được chỉ thị bằng sự biến mất màu vàng của mẫu. Đối với mẫu và thuốc thử trắng có thêm thuốc thử kali bromua- kali bromat (5.4), cũng có thể cần thêm dung dịch axit L-ascobic để loại hết brom dư.
CHÚ THÍCH Có thể dùng hydroxylamin hydroclorua thay cho axit ascobic. Tuy nhiên, việc này có thể sinh khí nitơ gây giảm tín hiệu.
Cho dung dịch trắng và thiếc (II) clorua đi vào bộ phận phân tách khí/lỏng, cần đảm bảo rằng hệ thống được điều chỉnh cân bằng nhờ monitoring để ổn định đường nền detector huỳnh quang. Nếu không đủ thời gian thì đường nền dectector được phép thay đổi trong một vòng phân tích.
Phân tích mẫu chuẩn, mẫu và thuốc thử trắng có thể tiến hành riêng rẽ hoặc tự động theo cách dưới đây.
Nạp khay lấy mẫu tự động chứa mẫu chuẩn, mẫu và dung dịch thuốc thử trắng rồi bắt đầu chạy chương trình lấy mẫu tự động. Phân tích dung dịch trắng xen kẽ với mẫu sẽ cho biết mẫu có bị nhiễm bẩn hay không. Nếu có nhiễm bẩn mẫu thì kết quả phân tích cần phải nghi ngờ. Ít nhất nên tiến hành đo lặp hai lần với từng mẫu và tính giá trị trung bình, cần đảm bảo đường nền ổn định với thuốc thử và dung dịch thuốc thử trắng. Tiếp tục phân tích số liệu và tính toán.
9.2. Tính toán
Nên áp dụng độ pha loãng cho từng mẫu. Nếu bất kỳ mẫu nào cũng pha loãng thì nên áp dụng hệ số thích hợp để tính nồng độ mẫu. Hiện chỉnh kết quả dựa vào dung dịch trắng. Nồng độ của mẫu đã thêm thuốc thử để mẫu được phá hoàn toàn hoặc để lưu giữ mẫu nên được hiệu chỉnh bằng cách trừ đi dung dịch thuốc thử trắng tương ứng.
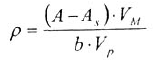
Tính toán dựa vào đường chuẩn tuyến tính, vẽ theo giá trị huỳnh quang (trục-Y) và nồng độ thủy ngân (trục-X). Đường chuẩn không cần phải đi qua gốc tọa độ. Tính nồng độ thủy ngân theo công thức sau:

Trong đó
ρ là nồng độ thủy ngân trong mẫu tính bằng nanogam trên lít, ng/l;
A là độ huỳnh quang của mẫu nước;
AS là độ huỳnh quang của dung dịch thuốc thử trắng;
b là độ dốc của đường chuẩn, là độ nhạy phép đo tính bằng lít trên nanogam, l/ng;
VM là thể tích của dung dịch đo, tính bằng mililít, ml;
Vp là thể tích mẫu dùng để chuẩn bi dung dịch đo, tính bằng mililít, ml;
Cũng có thể dùng đường chuẩn không tuyến tính.
9.3. Thể hiện kết quả
Máy được hiệu chuẩn toàn bộ dải đo phù hợp có sử dụng một dãy dung dịch tiêu chuẩn được chuẩn bị theo 5.10.5. Mẫu được phân tích trong cùng điều kiện và các giá trị của mẫu được tính toán từ đường chuẩn. Kết quả được trình bày theo đơn vị thích hợp có áp dụng hệ số pha loãng cho mỗi mẫu. Báo cáo kết quả với hai số có nghĩa.
VÍ DỤ
Thủy ngân (Hg) 0,17 µg/l
Thủy ngân (Hg) 14 ng/l
10. Báo cáo thử nghiệm
Báo cáo thử nghiệm nên quy định các nội dung sau:
a) Viện dẫn tiêu chuẩn này [TCVN 7424 (ISO 17852 : 2006)];
b) Nhận dạng đầy đủ mẫu;
c) Thể hiện kết quả như đã nêu trong 9.3;
d) Mọi chi tiết không quy định trong tiêu chuẩn này hoặc coi là tự chọn cũng như các yếu tố có thể ảnh hưởng đến kết quả thử nghiệm.
11. Độ chính xác
Một phép thử liên phòng thí nghiệm được cơ quan môi trường ở Anh (National laboratory service, Llanelli Laboratory) tổ chức vào tháng 11 năm 1999. Mười hai phòng thí nghiệm của Đan Mạch (L=1), Pháp (L=1), Đức (L=8), Nauy (L=2), Thụy Điển (L=2), Hà Lan (L=3) và Anh (L=3) tham gia. Dữ liệu thống kê kết quả được đánh giá theo TCVN 6910-2 (ISO 5725-2) và được trình bày ở phụ lục D.
PHỤ LỤC A
(Tham khảo)
THÔNG TIN THÊM
A.1. Phương pháp yêu cầu chú ý đặc biệt khi đo nồng độ thấp. Kỹ thuật ổn định khác đã được chứng minh, đặc biệt là việc thêm axit nitric tinh khiết cao.
A.2. Brom dư cũng có thể loại bằng thuốc thử hydroxylamin hydroclorua [ρ(NH2OH.HCI) = 120 g/l]. Điều này rất hữu ích khi chỉ dùng axit nitric làm chất bảo quản.
Khi bảo quản mẫu bằng những chất khác như đã nêu trong phương pháp, lượng hydroxylamin hydroclorua có thể tăng đáng kể gây ra sự hòa tan khí nitơ trong mẫu. Khí nitơ có thể gây ra hiện tượng suy giảm tín hiệu huỳnh quang và làm sai lệch kết quả. Khí nitơ có thể đuổi khỏi dung dịch bằng cách dùng sóng siêu âm trong khoảng 10 min. Điều đó cần phải được kiểm tra cẩn thận.
A.3. Phương pháp và những thay đổi phải đuợc kiểm tra cẩn thận bằng sử dụng số liệu thống kê, kiểm soát chất lượng phân tích kể cả chứng nhận vật liệu so sánh.
A.4. Có thể dùng bất kỳ khí trơ nào để giải phóng thủy ngân khỏi dung dịch, nhưng dùng khí argon sẽ cho tín hiệu tối ưu. Không khí hoặc nitơ thường được dùng nhưng sự suy giảm tín hiệu huỳnh quang thường xảy ra do lượng khác nhau.
A.5. Hơi nước có thể loại bằng ống hút ẩm. Cần chú ý khi sử dụng phương pháp này để tránh hơi ẩm ở trong ống giữ luôn cả thủy ngân.
A.6. Phương pháp được áp dụng để xác định thủy ngân ở nồng độ thấp. Đường chuẩn tuyến tính có thể đến 10 mg/l khi dùng kỹ thuật tiêm mẫu rời rạc.
A.7. Bình chứa mẫu bằng polypropen và polyeten không nên dùng vì chúng thấm hơi thủy ngân. Nếu phải đựng mẫu trong các bình như vậy thì phải phân tích trong ba ngày hoặc đổ bỏ.
PHỤ LỤC B
(Tham khảo)
SƠ ĐỒ KHỐI

Chú giải
1. Thiết bị lấy mẫu tự động
2. Mẫu
3. Dung dịch trắng
4. Bơm nhu động
5. Khí khô đi ra
6. Khí khô đi vào
7. Detector huỳnh quang
8. Máy tính
9. Ống hút ẩm
10. Thải
11. Bộ phận tách khí/lỏng
12. Đồng hồ đo khí mang argon
13. Van; vị trí mẫu; chọn mẫu tiêu chuẩn hoặc dung dịch trắng.
CHÚ THÍCH Máy tạo dòng hơi liên tục bao gồm một bơm nhu động tốc độ không đổi để cấp thiếc (II) clorua (5.8), thuốc thử trắng (5.9) và mẫu. Một van chuyển giữa thuốc thử trắng và mẫu hoặc dung dịch tiêu chuẩn. Máy tạo dòng hơi chuyển giữa thuốc thử và dung dịch mẫu theo chu trình đã định trước sao cho tín hiệu đo được liên hệ trực tiếp với nồng độ nền thủy ngân trong mẫu.
Hình B.1 - Sơ đồ Khối
PHỤ LỤC C
(Tham khảo)
NGUỒN THUỐC THỬ
C.1. Thuốc thử bromat - bromua trộn sẵn có thể mua, ví dụ của BDH Laboratory Suppliers, Poole, BH15 1 TD, UK (Part No 180731F). Các thuốc thử này cũng có thể mua từ Merck, Darmstadt, Đức (Part No. 1.099050.001)2)
C.2. Axit nitric có sẵn là ρ(HNO3) = 1,40 g/ml (w(HNO3) = 650 g/kg) và ρ(HNO3) = 1,42 g/ml [ω(HNO3) = 690 g/kg]. Cả hai loại này đều phù hợp để dùng cho phương pháp này miễn là lượng thủy ngân là nhỏ nhất.
C.3. Màng hút ẩmm Nafion3) để loại hơi ẩm có sẵn ví dụ của Perma Pure Inc., 8 Excutive Drive. PO Box 2105, Toms River, New Jersey 08754, USA. Những màng hút ẩm khác, ví dụ Teflon hoặc PVC cũng có thể phù hợp.
PHỤ LỤC D
(Tham khảo)
ĐỘ CHÍNH XÁC
Bảng D.1 - Độ chính xác
| Mẫu | Loại mẫu | l | n | o % | X ng/l |
ng/l | ŋ % | sR ng/l | CVR % | sr ng/l | CVr % |
| A | Trắng | 18 | 95 | 12,0 | 20 | 24,35 | 121,8 | 8,05 | 33,07 | 2,95 | 12,13 |
| B | Tiêu chuẩn | 17 | 101 | 15,1 | 100 | 102,25 | 102,3 | 22,35 | 22,61 | 4,93 | 4,99 |
| C | Tiêu chuẩn | 20 | 115 | 0 | 10 | 16,83 | 168,3 | 7,60 | 45,14 | 2,66 | 15,78 |
| D | Nước sông | 18 | 106 | 9,4 | 50 | 44,20 | 88,4 | 11,57 | 25,85 | 3,59 | 8,02 |
| E | Nước thải thương mại | 17 | 98 | 15,5 | 100 | 104,62 | 104,6 | 20,26 | 19,82 | 4,01 | 3,92 |
| Ký hiệu l: là số phòng thí nghiệm sau khi loại bỏ; n: là số giá trị sau khi đã loại bỏ; o: là phần trăm sau khi đã loại bỏ; X: là giá trị mong muốn
ŋ: là hiệu suất tìm thấy sR: là độ lệch chuẩn tái lập CVR : là hệ số độ lệch tái lập sr: là độ lệch chuẩn lặp lại CVr: là hệ số độ lệch lặp lại. | |||||||||||
THƯ MỤC TÀI LIỆU THAM KHẢO
[1] FAREY, B. J., NELSON, L.A. and ROLPH, M.G. Rapid technique for the breakdown of organic mercury compounds in natural waters and effluents. Analyst, 103, 1978, pp. 656-660.
[2] FAREY, B.J. and NELSON, L.A. break-down of organomercurials. Analytical chemistry, 50, 1978, p. 2147.
[3] CORNS, W.T., EBDON L., S.J. and STOCKWELL, P.B. Effects of moisture on the cold vapour determination of mercury and its removal by use of membrane dryer tubes. Analyst, 117, 1992, pp. 717- 720.
[4] WEST, C.D. Relative effect of molecular absorption on atomic absorption and atomic fluorescence spectrometry. Analytical chemistry, 46, 1974, pp. 797-799.
[5] MUNAF, E., GOTO, M., ISHII, D. and FRESENIUS, Z. matrix effects in the determination of mercury by continuous flow - cold vapour atomic absorption spectrometry in alkaline medium. Analytical chemistry, 334, 1989, p. 115.
[6] TCVN 6910-2 (ISO 5725-2) Độ chính xác (độ đúng và độ chụm) của phương pháp đo và kết quả đo. Phần 2: Phương pháp cơ bản xác định độ lặp lại và độ tái lập của phương pháp đo tiêu chuẩn.
[7] EN 13506. Water quality - Determination of mercury by atomic fluorescence spectrometry.
(1) PEP = perfluoro (eten-propen)
2) Đây là những ví dụ về nhà cung cấp sản phẩm này. Thông tin đưa ra để tạo thuận tiện cho người sử dụng Tiêu chuẩn này và không chỉ định bởi ISO,
3) Nafion và Terlon là trên thương mại của sản phẩm có trên thị trường. Thông tin đưa ra để tạo thuận tiện cho người sử dụng Tiêu chuẩn này và không chỉ định bởi ISO
Bạn chưa Đăng nhập thành viên.
Đây là tiện ích dành cho tài khoản thành viên. Vui lòng Đăng nhập để xem chi tiết. Nếu chưa có tài khoản, vui lòng Đăng ký tại đây!