- Tổng quan
- Nội dung
- Tiêu chuẩn liên quan
- Lược đồ
- Tải về
Tiêu chuẩn quốc gia sửa đổi 1:2022 TCVN I-3:2017 Bộ tiêu chuẩn quốc gia về thuốc - Phần 3: Thành phẩm hóa dược
| Số hiệu: | TCVN I-3:2017/SĐ1:2022 | Loại văn bản: | Tiêu chuẩn Việt Nam |
| Cơ quan ban hành: | Bộ Khoa học và Công nghệ | Lĩnh vực: | Y tế-Sức khỏe , Thực phẩm-Dược phẩm |
|
Ngày ban hành:
Ngày ban hành là ngày, tháng, năm văn bản được thông qua hoặc ký ban hành.
|
04/11/2022 |
Hiệu lực:
|
Đã biết
|
| Người ký: | Đang cập nhật |
Tình trạng hiệu lực:
Cho biết trạng thái hiệu lực của văn bản đang tra cứu: Chưa áp dụng, Còn hiệu lực, Hết hiệu lực, Hết hiệu lực 1 phần; Đã sửa đổi, Đính chính hay Không còn phù hợp,...
|
Đã biết
|
TÓM TẮT TIÊU CHUẨN VIỆT NAM TCVN I-3:2017/SĐ1:2022
Tiêu chuẩn quốc gia sửa đổi 1:2022 TCVN I-3:2017 Bộ tiêu chuẩn quốc gia về thuốc - Phần 3: Thành phẩm hóa dược
Tiêu chuẩn quốc gia sửa đổi 1:2022 TCVN I-3:2017 được ban hành bởi Bộ Khoa học và Công nghệ với hiệu lực thi hành từ ngày 01/01/2023. Văn bản này là sự cập nhật và sửa đổi các quy định liên quan đến chất lượng và kiểm nghiệm thuốc ở Việt Nam, thay thế cho TCVN III:2014 nhằm đáp ứng các yêu cầu quản lý và kiểm tra chất lượng thuốc.
Theo đó, Tiêu chuẩn sửa đổi đã tiến hành sửa đổi, thay thế 6 tiêu chuẩn cụ thể, bao gồm:
- Ceftazidim pentahydrat
- Sulbactam natri
- Thuốc tiêm metoclopramid
- Viên nén glibenclamid và metformin
- Viên nén metoclopramid
- Cao khô lá bạch quả
Bộ tiêu chuẩn quy định chi tiết về các yêu cầu kỹ thuật, phương pháp kiểm nghiệm, bảo quản cho từng loại thành phẩm hóa dược. Trong đó, yêu cầu áp dụng các nguyên tắc xác định hàm lượng, kiểm tra độ tinh khiết và định tính để đảm bảo chất lượng thuốc tân dược ở Việt Nam.
Chủ yếu theo tiêu chuẩn, các tinh chất hóa dược như Ceftazidim pentahydrat yêu cầu có hàm lượng từ 95,0 % đến 102,0 %, trong khi đối với sulfabactam natri yêu cầu hàm lượng từ 97,0 % đến 102,0 %. Đối với thuốc tiêm metoclopramid, hàm lượng metoclopramid phải từ 90,0 % đến 110,0 % so với ghi trên nhãn.
Về kiểm tra các tạp chất liên quan, tiêu chuẩn này quy định không vượt quá 0,5% đối với một số tạp chất cụ thể nhằm đảm bảo tính an toàn và hiệu quả của thuốc. Đối với glibenclamid, hàm lượng phải từ 90,0 % đến 110,0 % với hàm lượng mỗi tạp chất không lớn hơn 1,0 % so với tổng lượng thuốc.
Ngoài ra, các tiêu chuẩn cũng yêu cầu việc định tính các hóa chất phải theo các phương pháp sắc ký lỏng, đảm bảo tính khách quan và chính xác trong việc xác định chất lượng. Đặc biệt, yêu cầu rằng tất cả thuốc phải được bảo quản trong điều kiện cấu trúc lý tưởng để tránh sự ảnh hưởng từ môi trường, giữ nguyên tính chất và hiệu quả của thuốc.
Tiêu chuẩn quốc gia sửa đổi 1:2022 TCVN I-3:2017 là văn bản quan trọng đối với ngành dược phẩm tại Việt Nam, nhằm nâng cao chất lượng thuốc, bảo vệ sức khỏe người dân và đảm bảo uy tín cho các sản phẩm dược phẩm trên thị trường.
Tải tiêu chuẩn Việt Nam TCVN I-3:2017/SĐ1:2022
TIÊU CHUẨN QUỐC GIA
SỬA ĐỔI 1:2022 TCVN III:2014
BỘ TIÊU CHUẨN QUỐC GIA VỀ THUỐC
Set of national standards for medicines
Lời nói đầu
SỬA ĐỔI 1:2022 TCVN III:2014 do Hội đồng Dược điển Việt Nam biên soạn, Tổng cục Tiêu chuẩn Đo lường Chất lượng đề nghị, Bộ khoa học và Công nghệ công bố.
Lời giới thiệu
Tiêu chuẩn quốc gia về thuốc là văn bản kỹ thuật về tiêu chuẩn hoá và kiểm nghiệm chất lượng thuốc.
SỬA ĐỔI 1:2022 TCVN III:2014 thay thế các chỉ tiêu không phù hợp, cập nhật các phương pháp mới để tăng độ chính xác cho phương pháp dựa trên sự sửa đổi và cập nhật của các dược điển các nước trên thế giới và yêu cầu quản lý, kiểm tra chất lượng thuốc ở Việt Nam.
SỬA ĐỔI 1:2022 TCVN III:2014 sửa đổi, thay thế 6 tiêu chuẩn trong bộ TCVN III:2014 sau:
1. Ceftazidim pentahydrat
2. Sulbactam natri
3. Thuốc tiêm metoclopramid
4. Viên nén glibenclamid và metformin
5. Viên nén metoclopramid
6. Cao khô lá bạch quả
Danh pháp, thuật ngữ trong Bộ tiêu chuẩn quốc gia về thuốc được viết theo quy định của Hội đồng Dược điển Việt Nam, Bộ Y tế. Các thuật ngữ dược phẩm được viết dựa trên nguyên tắc việt hoá tên chung quốc tế Latin (DCI Latin) một cách hợp lý nhằm giữ các ký tự cho sát với thuật ngữ quốc tế. Tên hợp chất hữu cơ được viết theo danh pháp do Hiệp hội quốc tế hoá học thuần tuý và ứng dụng (I.U.P.A.C) quy định. Trong một số trường hợp cá biệt, các thuật ngữ tiếng Việt đã quen dùng đối với một số nguyên tố, hoá chất hay tên dược liệu vẫn tiếp tục sử dụng.
BỘ TIÊU CHUẨN QUỐC GIA VỀ THUỐC
Set of national standards for medicines
1 Phạm vi áp dụng
Bộ tiêu chuẩn này quy định các yêu cầu kỹ thuật, phương pháp kiểm nghiệm, bảo quản và các yêu cầu có liên quan đến chất lượng đối với nguyên liệu hóa dược, thành phẩm hóa dược và dược liệu.
2 Tài liệu viện dẫn
Các tài liệu viện dẫn sau rất cần thiết cho việc áp dụng tiêu chuẩn này. Đối với các tài liệu viện dẫn có ghi năm công bố thì áp dụng phiên bản được nêu. Đối với các tài liệu không ghi năm công bố thì áp dụng phiên bản mới nhất, bao gồm cả sửa đổi bổ sung (nếu có).
TCVN I-1:2017, Bộ tiêu chuẩn quốc gia về thuốc - Phần 1: Phương pháp kiểm nghiệm thuốc; gồm quy định và các Phụ lục như sau:
TCVN I-1:2017, Bộ tiêu chuẩn quốc gia về thuốc - Phần 1: Phương pháp kiểm nghiệm thuốc; gồm 18 Phụ lục, cụ thể như sau:
Quy định chung;
Phụ lục 1: Từ phụ lục 1.1 đến phụ lục 1.24;
Phụ lục 2: Từ phụ lục 2.1 đến phụ lục 2.5;
Phụ lục 3: Từ phụ lục 3.1 đến phụ lục 3.6;
Phụ lục 4: Từ phụ lục 4.1 đến phụ lục 4.4;
Phụ lục 5: Từ phụ lục 5.1 đến phụ lục 5.7;
Phụ lục 6: Từ phụ lục 6.1 đến phụ lục 6.11;
Phụ lục 7: Từ phụ lục 7.1 đến phụ lục 7.11;
Phụ lục 8: Từ phụ lục 8.1 đến phụ lục 8.3;
Phụ lục 9: Từ phụ lục 9.1 đến phụ lục 9.10;
Phụ lục 10: Từ phụ lục 10.1 đến phụ lục 10.19;
Phụ lục 11: Từ phụ lục 11.1 đến phụ lục 11.8;
Phụ lục 12: Từ phụ lục 12.1 đến phụ lục 12.20;
Phụ lục 13: Từ phụ lục 13.1 đến phụ lục 13.10;
Phụ lục 16: Từ phụ lục 16.1 đến phụ lục 16.2;
Phụ lục 17: Từ phụ lục 17.1 đến phụ lục 17.8;
Phụ lục 18.
TCVN I-2:2017, Bộ tiêu chuẩn quốc gia về thuốc - Phần 2: Nguyên liệu hoá dược;
TCVN II:2012, Bộ tiêu chuẩn quốc gia về thuốc - Phần 1: Phương pháp kiểm nghiệm thuốc; gồm 5 phụ lục như sau: Phụ lục 1.25; phụ lục 4.5; phụ lục 6.12; phụ lục 12.21 và phụ lục 12.22; Phần 2: Nguyên liệu hoá dược.
TCVN III:2014, Bộ tiêu chuẩn quốc gia về thuốc - Phần 2: Nguyên liệu hoá dược.
TCVN IV:2015, Bộ tiêu chuẩn quốc gia về thuốc - Phần 1: Phương pháp kiểm nghiệm thuốc, gồm phụ lục 10.20; Phần 2: Nguyên liệu hoá dược.
TCVN V:2017, Bộ tiêu chuẩn quốc gia về thuốc - Phần 1: Phương pháp kiểm nghiệm thuốc và chuyên mục, gồm các phụ lục như sau: Phụ lục 1.26; phụ lục 6.13; phụ lục 10.21; phụ lục 10.22; phụ lục 11.9; phụ lục 11.10; Phần 2: Nguyên liệu hoá dược.
TCVN V:2017, Bộ tiêu chuẩn quốc gia về thuốc - Phần 1: Phương pháp kiểm nghiệm thuốc và chuyên mục; gồm các phụ lục như sau: Phụ lục 1.27; phụ lục 4.6; phụ lục 4.7; phụ lục 4.8; Phần 2: Nguyên liệu hoá dược.
3 Chữ viết tắt
Tên hóa chất, thuốc thử in nghiêng kèm theo các chữ viết tắt sau đây trong ngoặc đơn biểu thị thuốc thử đó phải đạt yêu cầu quy định tại Phụ lục 2.
| Chữ viết tắt | Ý nghĩa |
| CĐ | Chuẩn độ |
| TT | Thuốc thử |
| TT1, TT2, TT3,... | Thuốc thử 1, thuốc thử 2, thuốc thử 3,... |
NGUYÊN LIỆU HÓA DƯỢC
CEFTAZIDIM PENTAHYDRAT

Ceftazidim pentahydrat là (6R,7R)-7-[[(2Z)-2-(2-aminothiazol-4-yl)-2-[(1-carboxy-1 -methylethoxy)imino] acetyl]amino]-8-oxo-3-[(pyridin-1-ium-1-yl)methyl]-5-thia-1-azabicyclo[4.2.0]oct-2-en-2-carboxylat pentahydrat, được bán tổng hợp từ một sản phẩm lên men, phải chứa từ 95,0 % đến 102,0 % C22H22N6O7S2, tính theo chế phẩm khan.
Tính chất
Bột kết tinh màu trắng hay gần như trắng. Khó tan trong nước và trong methanol, thực tế không tan trong aceton và trong ethanol 96 %. Tan trong dung dịch acid và kiềm.
Định tính
Phổ hấp thụ hồng ngoại của chế phẩm (Phụ lục 4.2) phải phù hợp với phổ hồng ngoại của ceftazidim chuẩn.
Độ trong và màu sắc của dung dịch
Dung dịch S: Hòa tan 0,25 g chế phẩm trong nước không có carbon dioxyd (TT) và pha loãng thành 50.0 ml với cùng dung môi.
Dung dịch S phải trong (Phụ lục 9.2) và không màu (Phụ lục 9.3, phương pháp 2).
pH
Dung dịch S có pH từ 3,0 đến 4,0 (Phụ lục 6.2).
Tạp chất liên quan
Phương pháp sắc ký lỏng (Phụ lục 5.3).
Pha động A: Dung dịch chứa 0,36 % dinatri hydrophosphat (TT) và 0,14 % kali dihydrophosphat (TT) được điều chỉnh tới pH 3,4 bằng dung dịch acid phosphoric 10 % (TT).
Pha động B: Acetonitril dùng trong phương pháp sắc ký (TT).
Dung dịch thử: Phân tán 0,150 g chế phẩm trong 5 ml acetonitril (TT), thêm nước để hòa tan và pha loãng thành 100,0 ml bằng nước.
Dung dịch đối chiếu (1): Lấy 1,0 ml dung dịch thử, thêm 5 ml acetonitril (TT) và pha loãng thành 100,0 ml bằng nước. Pha loãng 1,0 ml dung dịch thu được thành 5,0 ml bằng nước.
Dung dịch đối chiếu (2): Để tạo tạp chất B, lấy 5 ml dung dịch thử đặt dưới ánh sáng tử ngoại tại bước sóng 254 nm trong 24 h.
Dung dịch đối chiếu (3): Hòa tan 13 mg ceftazidim chuẩn dùng để định tính pic (chứa các tạp chất A và G) trong 2,0 ml nước.
Điều kiện sắc ký:
Cột kích thước (25 cm x 4,6 mm), được nhồi pha tĩnh C (5 µm).
Nhiệt độ cột: 40 °C.
Detector quang phổ tử ngoại đặt tại bước sóng 254 nm.
Tốc độ dòng: 1,3 ml/min.
Thể tích tiêm: 10 µl.
Cách tiến hành:
Tiến hành sắc ký theo chương trình dung môi như sau:
| Thời gian | Pha động A | Pha động |
| (min) | (% tt/tt) | (% tt/tt) |
| 0 - 4 | 96 → 89 | 4 → 11 |
| 4 - 5 | 89 | 11 |
| 5 - 8 | 89 → 84 | 11 → 16 |
| 8 - 11 | 84 → 80 | 16 → 20 |
| 11 - 15 | 80 → 50 | 20 → 50 |
| 15 - 18 | 50 → 20 | 50 → 80 |
| 18 - 22 | 20 | 80 |
Tiến hành sắc ký các dung dịch đối chiếu (2) và (3).
Sử dụng sắc ký đồ đối chiếu đi kèm với chuẩn ceftazidim dùng để định tính pic và sắc ký đồ thu được từ dung dịch đối chiếu (3) để xác định các pic tạp chất A và G. Sử dụng sắc ký đồ thu được từ dung dịch đối chiếu (2) để xác định pic của tạp chất B.
Thời gian lưu tương đối của các pic tạp chất so với ceftazidim (thời gian lưu khoảng 8 min) như sau: pyridin khoảng 0,4; tạp chất G khoảng 0,8; tạp chất A khoảng 0,9; tạp chất B khoảng 1,4.
Kiểm tra tính phù hợp của hệ thống: Trên sắc ký đồ của dung dịch đối chiếu (3), độ phân giải giữa pic tạp chất A và ceftazidim không nhỏ hơn 4,0.
Tiến hành sắc ký dung dịch thử và dung dịch đối chiếu (1).
Để tính hàm lượng tạp chất G nhân diện tích pic với hệ số hiệu chỉnh bằng 3,0.
Giới hạn:
Tạp chất A, B, G: Với mỗi tạp chất, diện tích pic không được lớn hơn diện tích pic chính trên sắc ký đồ thu được từ dung dịch đối chiếu (1) (0,2 %).
Tạp chất khác: Với mỗi tạp chất, diện tích pic không được lớn hơn 0,5 lần diện tích pic chính trên sắc ký đồ thu được từ dung dịch đối chiếu (1) (0,10 %).
Tổng các tạp chất: Không được lớn hơn 5 lần diện tích pic chính trên sắc ký đồ thu được từ dung dịch đối chiếu (1) (1,0 %).
Bỏ qua các pic có diện tích bằng và nhỏ hơn 0,25 lần diện tích pic chính trên sắc ký đồ thu được từ dung dịch đối chiếu (1) (0,05%). Bỏ qua pic pyridin.
Ghi chú:
Tạp chất A: (2RS,6R,7R)-7-[[(2Z)-2-(2-aminothiazol-4-yl)-2-[(1-carboxy-1-methylethoxy)imino]acetyl]amino]-8-oxo- 3-[(pyridin-1-ium-1-yl)methyl]-5-thia-1-azabicyclo[4.2.0]oct-3-en-2-carboxylat (Δ-2-ceftazidim).
Tạp chất B: (6R,7R)-7-[[(2E)-2-(2-aminothiazol-4-yl)-2-[(1-carboxy-1-methylethoxy)imino]acetyl]amino]-8-oxo-3- [(pyridin-1-ium-1-yl)methyl]-5-thia-1-azabicyclo[4.2.0]oct-2-en-2-carboxylat.
Tạp chất G: Acid 2-[[[(1Z)-1-(2-aminothiazol-4-yl)-2-[(oxoethyl)amino]-2-oxoethyliden]amino]oxy]-2- methylpropanoic.
Pyridin (Tạp chất F)
Không được quá 0,05 %.
Phương pháp sắc ký lỏng (Phụ lục 5.3).
Pha động: Dung dịch amoni dihydrophosphat 2,88 % được điều chỉnh pH đến 7,0 bằng amoniac - acetonitril - nước (8 : 24 : 68).
Pha các dung dịch sau đây ngay trước khi dùng.
Dung môi pha mẫu: Dung dịch đệm phosphat pH 7,0 (TT4) - nước (10 : 90).
Dung dịch thử. Hòa tan 0,500 g chế phẩm trong dung môi pha mẫu và pha loãng thành 100,0 ml với cùng dung môi.
Dung dịch đối chiếu: Hòa tan 1,00 g pyridin (TT) trong nước và pha loãng thành 100,0 ml với cùng dung môi. Pha loãng 5,0 ml dung dịch này thành 200,0 ml với nước. Lấy 1,0 ml dung dịch thu được, pha loãng thành 100,0 ml bằng dung môi pha mẫu.
Dung dịch phân giải: Pha loãng 1,0 ml dung dịch thử thành 200,0 ml bằng dung môi pha mẫu. Lấy 1,0 ml dung dịch thu được, thêm 20,0 ml dung dịch đối chiếu và pha loãng thành 200,0 ml bằng dung môi pha mẫu.
Điều kiện sắc ký:
Cột kích thước (25 cm x 4,6 mm) được nhồi pha tĩnh C (5 µm).
Detector quang phổ tử ngoại đặt ở bước sóng 255 nm.
Tốc độ dòng: 1,0 ml/min.
Thể tích tiêm: 20 µl.
Thời gian tiến hành sắc ký: 10 min.
Cách tiến hành:
Tiến hành sắc ký dung dịch phân giải, phép thử chỉ có giá trị khi độ phân giải giữa pic tương ứng với ceftazidim và pic pyridin không nhỏ hơn 7,0.
Tiến hành sắc ký dung dịch thử và dung dịch đối chiếu.
Diện tích của pic tương ứng với pyridin trên sắc ký đồ của dung dịch thử không được lớn hơn diện tích của pic chính thu được trên sắc ký đồ của dung dịch đối chiếu.
Nước
Từ 13,0% đến 15,0%.
Dùng 0,100 g chế phẩm (Phụ lục 10.3).
Nội độc tố vi khuẩn
Không được quá 0,10 EU/mg (Phụ lục 13.2).
Nếu chế phẩm dự định để sản xuất thuốc tiêm mà không có quy trình thích hợp để loại bỏ nội độc tố vi khuẩn thì phải đáp ứng phép thử này.
Định lượng
Phương pháp sắc ký lỏng (Phụ lục 5.3).
Pha động: Hòa tan 4,3 g dinatri hydrophosphat (TT) và 2,7 g kali dihydrophosphat (TT) trong 980 ml nước, thêm 20 ml acetonitril (TT).
Dung dịch thử. Hòa tan 25,0 mg chế phẩm trong pha động và pha loãng thành 25,0 ml với cùng dung môi.
Dung dịch chuẩn: Hòa tan 25,0 mg ceftazidim chuẩn trong pha động và pha loãng thành 25,0 ml với cùng dung môi.
Dung dịch phân giải: Hòa tan 13 mg ceftazidim chuẩn dùng để định tính pic (chứa các tạp chất A và G) trong 3,0 ml pha động.
Điều kiện sắc ký:
Cột kích thước (15 cm x 4,6 mm) được nhồi hexylsilyl silica gel dùng cho sắc ký (5 µm).
Detector quang phổ tử ngoại đặt ở bước sóng 245 nm.
Tốc độ dòng: 2 ml/min.
Thể tích tiêm: 20 µl.
Thời gian tiến hành sắc ký: 6 min,
Cách tiến hành:
Tiến hành sắc ký dung dịch phân giải, độ phân giải giữa pic của tạp chất A và ceftazidim không nhỏ hơn 1,5. Thời gian lưu tương đối của pic tạp chất A so với ceftazidim (thời gian lưu khoảng 4,5 min) khoảng 0,7.
Tiến hành sắc ký dung dịch thử và dung dịch chuẩn.
Tinh hàm lượng ceftazidim, C22H22N6O7S2, trong chế phẩm dựa vào diện tích pic thu được trên sắc ký đồ của dung dịch thử, dung dịch chuẩn và hàm lượng C22H22N6O7S2 trong ceftazidim chuẩn.
Bảo quản
Trong đồ đựng kín. Nếu là chế phẩm vô khuẩn phải đựng trong đồ đựng vô khuẩn, kín, chống nhiễm khuẩn.
Loại thuốc
Kháng sinh nhóm cephalosporin.
Chế phẩm
Thuốc tiêm.
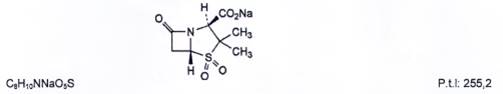
SULBACTAM NATRI

Sulbactam natri là natri (2S,5R)-3,3-dimethyl-7-oxo-4-thia-1-azabicyclo[3.2.0]heptan-2-carboxylat 4,4- dioxyd, được bán tổng hợp từ một sản phẩm lên men, phải chứa từ 97,0 % đến 102,0 % C8H10NNaO5S, tính theo chế phẩm khan.
Tính chất
Bột kết tinh trắng hoặc gần như trắng, hút ẩm.
Dễ tan trong nước, hơi tan trong ethyl acetat, rất khó tan trong ethanol 96 %. Dễ tan trong acid loãng.
Định tính
A. Phổ hấp thụ hồng ngoại (Phụ lục 4.2) của chế phẩm phải phù hợp với phổ hồng ngoại đối chiếu của sulbactam natri hoặc phổ hồng ngoại của sulbactam natri chuẩn.
B. Chế phẩm phải cho phản ứng định tính A của natri (Phụ lục 8.1).
Độ trong của dung dịch
Hòa tan 2,0 g chế phẩm trong nước và pha loãng thành 20 ml với cùng dung môi. Dung dịch thu được phải trong (Phụ lục 9.2).
Độ hấp thụ ánh sáng
Hòa tan 1,0 g chế phẩm trong nước và pha loãng thành 100,0 ml với cùng dung môi. Đo độ hấp thụ (Phụ lục 4.1) của dung dịch thu được ở bước sóng 430 nm. Độ hấp thụ đo được không được lớn hơn 0,10.
pH
Hòa tan 1,0 g chế phẩm trong nước không có carbon dioxyd (TT) và pha loãng thành 20 ml với cùng dung môi, dung dịch thu được phải có pH từ 4,5 đến 7,2 (Phụ lục 6.2). Với chế phẩm vô khuẩn, pH của dung dịch thu được phải từ 5,2 đến 7,2.
Góc quay cực riêng
Từ +219° đến + 233°, tính theo chế phẩm khan (Phụ lục 6.4).
Hòa tan 0,500 g chế phẩm trong nước, pha loãng thành 50,0 ml với cùng dung môi.
Tạp chất liên quan
Phương pháp sắc ký lỏng (Phụ lục 5.3).
Pha động A: Điều chỉnh pH dung dịch kali dihydrophosphat (TT) 5,44 g/l tới pH 4,0 bằng dung dịch acid phosphoric 10% (TT).
Pha động B: Pha động A - acetonitril dùng trong phương pháp sắc ký (40 : 60).
Dung dịch A: Điều chỉnh pH dung dịch kali dihydrophosphat (TT) 2,72 g/l tới pH 4,0 bằng dung dịch acid phosphoric 10 % (TT).
Dung dịch B: Pha loãng 2 ml acetonitril dùng trong phương pháp sắc ký (TT) thành 100,0 ml bằng dung dịch A.
Dung dịch thử: Phân tán 77,0 mg chế phẩm trong 2 ml acetonitril dùng trong phương pháp sắc ký (TT) và lắc siêu âm trong khoảng 5 mln. Pha loãng thành 100,0 ml với dung dịch A.
Dung dịch đối chiếu (1): Phân tán 70,0 mg sulbactam chuẩn trong 2 ml acetonitril dùng trong phương pháp sắc ký (TT) và lắc siêu âm trong khoảng 5 min. Pha loãng thành 100,0 ml với dung dịch A.
Dung dịch đối chiếu (2): Pha loãng 1,0 ml dung dịch đối chiếu (1) thành 100,0 ml với dung dịch B. Pha loãng 1,0 ml dung dịch này thành 10,0 ml với dung dịch B.
Dung dịch đối chiếu (3): Hòa tan 15,0 mg acid 6-amlnopenicilanic (tạp chất B) trong dung dịch A và pha loãng thành 50,0 ml với dung dịch A.
Dung dịch phân giải: Trộn 1 ml dung dịch đối chiếu (1) với 1 ml dung dịch đối chiếu (3) rồi pha loãng thành 25 ml với dung dịch B.
Dung dịch đối chiếu (4): Hòa tan 8 mg sulbactam chuẩn dùng để định tính pic (có chứa các tạp chất A, C, D, E và F) trong 1 ml acetonitril dùng trong phương pháp sắc ký (TT), lắc siêu âm trong khoảng 5 min và pha loãng thành 10 ml với dung dịch B.
Điều kiện sắc ký:
Cột kích thước (10 cm x 4 mm), được nhồi pha tĩnh end-capped octadecylsilyl silica gel dùng cho sắc ký (3,0 µm).
Nhiệt độ cột: 40 °C.
Detector quang phổ tử ngoại đặt tại bước sóng 215 nm.
Tốc độ dòng: 1,0 ml/min.
Thể tích tiêm: 20 µl.
Cách tiến hành:
Tiến hành sắc ký theo chương trình dung môi như sau:
| Thời gian | Pha động A | Pha động B |
| (min) | (% tt/tt) | (% tt/tt) |
| 0 - 2,0 | 98 | 2 |
| 2,0 - 9,5 | 98 → 50 | 2 → 50 |
| 9,5 - 12,0 | 50 | 50 |
Tiến hành sắc ký các dung dịch thử, dung dịch B, dung dịch đối chiếu (2), dung dịch phân giải và dung dịch đối chiếu (4).
Sử dụng sắc đồ đối chiếu cung cấp kèm theo sulactam chuẩn dùng để định tính pic và sắc ký đồ thu được từ dung dịch đối chiếu (4) để xác định các pic tạp chất A, C, D, E và F. Sử dụng sắc ký đồ thu được từ dung dịch phân giải để xác định pic của tạp chất B.
Thời gian lưu tương đối của các pic tạp so với sulbactam (thời gian lưu khoảng 3 min) như sau: tạp chất A khoảng 0,4; tạp chất B khoảng 0,7; tạp chất c khoảng 2,3; tạp chất D khoảng 3,1; tạp chất E khoảng 3,3; tạp chất F khoảng 3,9.
Kiểm tra tính phù hợp của hệ thống: Trên sắc ký đồ của dung dịch phân giải, độ phân giải giữa pic tạp chất B (acid 6-aminopenlcilanic) và sulbactam không nhỏ hơn 5,0.
Để tính hàm lượng mỗi tạp chất, sử dụng nồng độ của sulbactam trong dung dịch đối chiếu (2) và diện tích pic của từng tạp sau khi nhân với hệ số hiệu chỉnh tương ứng: tạp chất A bằng 0,6; tạp chất B bằng 0,5; tạp chất D bằng 0,5; tạp chất F bằng 0,6;
Giới hạn:
Tạp chất A: Không được quá 0,5 %.
Tạp chất B, D, F: Với mỗi tạp chất, không được quá 0,1 %.
Tạp chất C, E: Với mỗi tạp chất, không được quá 0,2 %.
Tạp chất khác: Với mỗi tạp chất, không được quá 0,10 %.
Tổng tạp chất: Không được quá 1,0 %.
Bỏ qua các tạp chất có hàm lượng nhỏ hơn 0,05 %.
Ghi chú:
Tạp chất A: Acid (2S)-2-amino-3-methyl-3-sulfinobutanoic,
Tạp chất B: Acid (2S,5R,6R)-6-amino-3,3-dimethyl-7-oxo-4-thia-1-azabicyclo[3.2.0]heptan-2-carboxylic (add 6- aminopenicilanic),
Tạp chất C: Acid (2S,5R,6R)-6-bromo-3,3-dimethyl-7-oxo-4-thia-1-azabicyclo[3.2.0]heptan-2-carboxylic 4,4- dioxyd (acid 6-bromopenicilanic sulfon),
Tạp chất D: Acid (2S,5R,6R)-6-bromo-3,3-dimethyl-7-oxo-4-thia-1-azabicyclo[3.2.0]heptan-2-carboxylic (acid 6- bromopenicilanic),
Tạp chất E: Acid (2S,5R)-6,6-dibromo-3,3-dimethyl-7-oxo-4-thia-1-azabicyclo[3.2,0]heptan-2-carboxylic 4,4- dioxyd (acid 6,6-dibromopenicilanic sulfon),
Tạp chất F: Acid (2S,5R)-6,6-dibromo-3,3-dimethyl-7-oxo-4-thia-1-azabicyclo[3.2.0]heptan-2-carboxylic (acid 6,6- dibromopenicilanic).
Acid 2-ethylhexanoic
Không được quá 0,5 % (Phụ lục 10.17).
Nước
Không được quá 1,0 % (Phụ lục 10.3).
Dùng 1,00 g chế phẩm.
Nội độc tố vi khuẩn
Không được quá 0,17 EU/mg (Phụ lục 13.2, phương pháp tạo gel).
Nếu chế phẩm được dùng để sản xuất thuốc tiêm mà không có qui trình thích hợp để loại bỏ nội độc tố vi khuẩn thì phải đáp ứng phép thử này.
Định lượng
Phương pháp sắc ký lỏng (Phụ lục 5.3).
Pha động, điều kiện sắc ký, chuẩn bị các dung dịch như mô tả trong mục Tạp chất liên quan.
Cách tiến hành:
Tiến hành sắc ký dung dịch thử và dung dịch đối chiếu (1).
Tính hàm lượng sulbactam dựa vào diện tích pic thu được từ dung dịch thử và dung dịch đối chiếu (1) và hàm lượng C8H11NO5S của sulbactam chuẩn.
Hàm lượng phần trăm sulbactam natri (C8H10NNaO5S) có trong chế phẩm bằng hàm lượng sulbactam nhân với 1,094.
Bảo quản
Trong đồ đựng kín. Nếu chế phẩm vô khuẩn, bảo quản trong bao bì tiệt trùng, kín, tránh nhiễm khuẩn.
Loại thuốc
Kháng sinh nhóm beta-lactam.
Chế phẩm
Bột pha tiêm.
THÀNH PHẨM HÓA DƯỢC
THUỐC TIÊM METOCLOPRAMID
Là dung dịch vô khuẩn của metoclopramid hydroclorid trong nước để pha tiêm. Chế phẩm phải đáp ứng yêu cầu trong chuyên luận “Thuốc tiêm, thuốc tiêm truyền” (Phụ lục 1.19) và các yêu cầu sau đây:
Hàm lượng metoclopramid, C14H22CIN3O2, từ 90,0 % đến 110,0 % so với lượng ghi trên nhãn.
Tính chất
Dung dịch trong, không màu.
Định tính
A. Trong phần Định lượng, sắc ký đồ của dung dịch thử phải có pic chính có thời gian lưu tương ứng với thời gian lưu của pic metoclopramid thu được trên sắc ký đồ của dung dịch chuẩn.
B. Trong phần Định lượng, phổ hấp thụ tử ngoại (Phụ lục 4,1) của pic chính thu được từ dung dịch thử phải tương ứng với phổ hấp thụ tử ngoại của pic metoclopramid thu được từ dung dịch chuẩn.
pH
Từ 2,5 đến 6,5 (Phụ lục 6.2).
Nội độc tố vi khuẩn (Phụ lục 13.2)
Không được quá 2,5 EU/mg metoclopramid.
Tạp chất liên quan
Phương pháp sắc ký lỏng (Phụ lục 5.3).
Pha động: Hòa tan 1,88 g natri hexansultonat (TT) trong 1000 ml hỗn hợp acetonitril - nước (60 : 40), điều chỉnh tới pH 4,0 bằng acid acetic băng (TT).
Dung dịch thử. Pha loãng một thể tích chính xác dung dịch chế phẩm với pha động để thu được dung dịch có nồng độ metoclopramid khoảng 1,0 mg/ml.
Dung dịch đối chiếu: Hòa tan một lượng chính xác metoclopramid hydroclorid chuẩn trong pha động để thu được dung dịch có nồng độ khoảng 5,5 pg/ml.
Điều kiện sắc ký.
Cột kích thước (25 cm x 4,6 mm) được nhồi pha tĩnh C (5 µm).
Detector quang phổ tử ngoại đặt ở bước sóng 265 nm.
Tốc độ dòng: 1,0ml/min.
Thể tích tiêm: 20 µl.
Cách tiến hành:
Kiểm tra tính phù hợp của hệ thống sắc ký: Tiến hành sắc ký dung dịch đối chiếu, hệ số đối xứng của pic metoclopramid không lớn hơn 1,8 và độ lệch chuẩn tương đối của diện tích pic metoclopramid từ 6 lần tiêm lặp lại không lớn hơn 5,0 %.
Tiến hành sắc ký dung dịch thử và dung dịch đối chiếu.
Tính hàm lượng mỗi tạp chất trong chế phẩm dựa vào diện tích pic của mỗi tạp chất thu được từ dung dịch thử, diện tích pic của metoclopramid thu được từ dung dịch đối chiếu và hàm lượng C14H22ClN3O2 trong metoclopramld hydroclorid chuẩn (phân tử lượng của metoclopramid là 299,80; phân tử lượng của metoclopramid hydroclorid khan là 336,26).
Giới hạn: Hàm lượng mỗi tạp chất không được lớn hơn 0,5 %.
Định lượng
Phương pháp sắc ký lỏng (Phụ lục 5.3).
Pha động: Hòa tan 2,7 g natri acetat (TT) trong 500 ml nước, thêm 500 ml acetonitril (TT), 2 ml dung dịch tetramethylamoni hydroxyd 20 %, điều chỉnh tới pH 6,5 bằng acid acetic băng (TT), lắc đều, lọc.
Dung dịch thử: Lấy chính xác một thể tích thuốc tiêm tương đương với 40 mg metoclopramid vào bình định mức 100 ml, thêm dung dịch acid phosphoric 0,01 M đến định mức, lắc đều, lọc. Pha loãng 10,0 ml dịch lọc thành 100,0 ml với dung dịch acid phosphoric 0,01 M.
Dung dịch chuẩn: Cân chính xác khoảng 45 mg metoclopramid hydroclorid chuẩn vào một bình định mức 100 ml, hòa tan bằng dung dịch acid phosphoric 0,01 M và pha loãng đến định mức với cùng dung môi, lắc đều. Pha loãng 10,0 ml dung dịch thu được thành 100,0 ml với dung dịch acid phosphoric 0,01 M.
Điều kiện sắc ký:
Cột kích thước (25 cm x 4,6 mm) được nhồi pha tĩnh C (5 µm đến 10 µm).
Detector quang phổ tử ngoại đặt ở bước sóng 305 nm (Lưu ý: Sử dụng detector chuỗi diod để thực hiện phép thử định tính B).
Tốc độ dòng: 1 ml/min.
Thể tích tiêm: 20 µl.
Cách tiến hành:
Tiến hành sắc ký với dung dịch chuẩn, hệ số đối xứng của pic metoclopramid không lớn hơn 2,0 và độ lệch chuẩn tương đối của diện tích pic từ 6 lần tiêm lặp lại không lớn hơn 2,0 %.
Tiến hành sắc ký lần lượt với dung dịch chuẩn và dung dịch thử.
Tính hàm lượng C14H22ClN3O2 trong thuốc tiêm dựa vào diện tích pic thu được trên sắc ký đồ của dung dịch chuẩn, dung dịch thử và hàm lượng C14H22ClN3O2.HCl của metoclopramid hydroclorid chuẩn.
Bảo quản
Nơi mát, tránh ánh sáng.
Loại thuốc
Thuốc chống nôn.
Hàm lượng thường dùng
10 mg/2 ml, hàm lượng tính theo metoclopramid.
VIÊN NÉN GLIBENCLAMID VÀ METFORMIN
Viên nén glyburid và metformin
Là viên nén hoặc viên nén bao phim chứa glibenclamid và metformin hydroclorid.
Chế phẩm phải đáp ứng các yêu cầu trong chuyên luận “Thuốc viên nén” (Phụ lục 1.20) và các yêu cầu sau đây:
Hàm lượng glibenclamid, C23H28ClN3O5S, từ 90,0 % đến 110,0 % so với lượng ghi trên nhãn.
Hàm lượng metformin hydroclorid, C4H11N5.HCl, từ 90,0 % đến 110,0 % so với lượng ghi trên nhãn.
Định tính
A. Trong mục Định lượng glibenclamid, pic chính thu được trên sắc ký đồ của dung dịch thử phải có thời gian lưu tương ứng với thời gian lưu của pic chính thu được trên sắc ký đồ của dung dịch chuẩn glibenclamid.
B. Trong mục Định lượng metformin hydroclorid, pic chính thu được trên sắc ký đồ của dung dịch thử phải có thời gian lưu tương ứng với thời gian lưu của pic chính thu được trên sắc ký đồ của dung dịch chuẩn metformin hydroclorid.
Độ hòa tan (Phụ lục 11.4)
Glibenclamid
Thiết bị: Kiểu cánh khuấy.
Môi trường hòa tan: 500 ml dung dịch acid boric và kali clorid 0,05 M được chuẩn bị bằng cách hòa tan 3,09 g acid boric (TT) và 3,73 g kali clorid (TT) trong khoảng 250 ml nước. Chỉnh pH đến 9,5 bằng dung dịch natri hydroxyd 1 M (TT), thêm nước vừa đủ 1000 ml.
Tốc độ quay: 75 r/min.
Thời gian: 30 min.
Xác định lượng glibenclamid hòa tan bằng phương pháp sắc ký lỏng (Phụ lục 5.3).
Pha động: Dung dịch đệm amoni phosphat - acetonitril (50 : 50), điều chỉnh đến pH 5,3 bằng dung dịch natri hydroxyd 1 M (TT). Điều chỉnh tỷ lệ nếu cần.
Dung dịch đệm amoni phosphat: Hòa tan 28,8 g amonl dihydrophosphat (TT) trong nước và pha loãng với nước vừa đủ 1000 ml.
Dung dịch thử: Lấy một phần môi trường sau khi hòa tan, lọc, bỏ dịch lọc đầu. Lọc lại qua màng lọc 0,45 μm.
Dung dịch chuẩn: Cân chính xác khoảng 25 mg glibenclamid chuẩn vào bình định mức 100 ml. Thêm 20 ml acetonitril (TT), lắc siêu âm để hòa tan. Thêm môi trường hòa tan vừa đủ, lắc đều. Pha loãng dung dịch này với môi trường hòa tan để có nồng độ tương đương dung dịch thử.
Điều kiện sắc ký:
Cột kích thước (15 cm x 4,6 mm) được nhồi pha tĩnh B (5 μm).
Nhiệt độ cột: 30 °C.
Detector quang phổ tử ngoại đặt ở bước sóng 230 nm.
Tốc độ dòng: 1,5 ml/min.
Thể tích tiêm: 200 µl.
Cách tiến hành:
Tiến hành sắc ký dung dịch chuẩn. Trên sắc ký đồ thu được, số đĩa lý thuyết xác định trên pic glibenclamid không nhỏ hơn 5000. Hệ số đối xứng của pic từ 0,8 đến 2,0. Độ lệch chuẩn tương đối của diện tích pic của 6 lần tiêm lặp lại không lớn hơn 2 %.
Tiến hành sắc ký các dung dịch thử. Từ diện tích pic thu được trên sắc ký đồ của dung dịch thử, dung dịch chuẩn và hàm lượng C23H28ClN3O5S của glibenclamid chuẩn, tính hàm lượng glibenclamid đã hòa tan trong mỗi viên.
Yêu cầu: Không ít hơn 85 % (Q) glibenclamid, C23H28ClN3O5S, so với lượng ghi trên nhãn được hòa tan trong 30 min.
Metformin hydroclorid
Thiết bị: Kiểu cánh khuấy.
Môi trường hòa tan: 1000 ml dung dịch đệm phosphat 0,05 M pH 6,8.
Dung dịch đệm phosphat 0,05 M pH 6,8: Hòa tan 6,8 g kali dihydrophosphat (TT) trong 1000 ml nước, chỉnh pH đến 6,8 ± 0,1 bằng dung dịch natri hydroxyd 0,2 M.
Tốc độ quay: 50 r/min.
Thời gian: 30 min.
Cách tiến hành:
Dung dịch thử: Lấy một phần môi trường sau khi hòa tan, lọc, bỏ dịch lọc đầu. Lọc lại qua màng lọc 0,45 µm hoặc 1 µm. Pha loãng (nếu cần) bằng môi trường hòa tan.
Dung dịch chuẩn: Dung dịch metformin hydroclorid chuẩn trong môi trường hòa tan có nồng độ tương đương nồng độ của dung dịch thử.
Đo độ hấp thụ tử ngoại (Phụ lục 4.1) của các dung dịch trên ở bước sóng cực đại khoảng 232 nm, cốc đo dày 1 cm, mẫu trắng là môi trường hòa tan. Từ độ hấp thụ của dung dịch thử, dung dịch chuẩn và hàm lượng C4HHN5.HCl của metformin hydroclorid chuẩn, tính lượng metformin hydroclorid đã hòa tan trong mỗi viên.
Yêu cầu: Không ít hơn 85 % (Q) metformin hydroclorid C4H11N5.HCl, so với lượng ghi trên nhãn được hòa tan trong 30 min.
Tạp chất liên quan của glibenclamid
Phương pháp sắc ký lỏng (Phụ lục 5.3).
Pha động, điều kiện sắc ký, dung môi pha mẫu, dung dịch thử, dung dịch thích hợp hệ thống thực hiện như mục Định lượng glibenclamid.
Dung dịch chuẩn: Pha loãng 1,0 ml dung dịch chuẩn ở phần Định lượng glibenclamid thành 100,0 ml bằng dung môi pha mẫu.
Để tính hàm lượng tạp chất A, nhân diện tích pic của tạp chất A với hệ số hiệu chỉnh là 0,83.
Giới hạn: Trên sắc ký đồ dung dịch thử:
Diện tích của pic tạp chất A đã hiệu chỉnh không được lớn hơn diện tích của pic chính trên sắc ký đồ dung dịch chuẩn (1,0 %).
Diện tích của các pic tạp chất khác không được lớn hơn 0,2 lần diện tích pic chính trên sắc ký đồ dung dịch chuẩn (0,2 %).
Tổng diện tích các pic tạp chất khác không được lớn hơn 0,5 lần diện tích pic chính trên sắc ký đồ dung dịch chuẩn (0,5 %).
Bỏ qua các pic có diện tích nhỏ hơn 0,05 lần diện tích pic chính trên sắc ký đồ dung dịch chuẩn (0,05 %).
Ghi chú:
Tạp chất A của glibenclamid: 5-cloro-2-methoxy-A/-[2-(4-sulphamoylphenyl)ethyl]benzamid.
Tạp chất liên quan của metformin hydrolorid
Phương pháp sắc ký lỏng (Phụ lục 5.3).
Pha động, điều kiện sắc ký, dung môi pha mẫu, dung dịch thử, dung dịch thích hợp hệ thống thực hiện như mục Định lượng metformin hydroclorid.
Cách tiến hành:
Tiến hành sắc ký dung dịch thử với thời gian gấp ít nhất là 3 lần thời gian lưu của pic metformin.
Tính phần trăm của mỗi tạp chất (nếu có) dựa vào diện tích pic của mỗi tạp chất và tổng diện tích của tất cả các pic trên sắc ký đồ của dung dịch thử.
Giới hạn:
Từng tạp chất: Không được quá 0,1 %.
Tổng tạp chất: Không được quá 0,5 %.
Bỏ qua các pic có trong mẫu trắng và các pic nhỏ hơn 0,05 %.
Ghi chú:
Tạp chất B của metformin: 1-methylbiguanid hydroclorid.
Độ đồng đều hàm lượng glibenclamid (Phụ lục 11.2)
Phương pháp sắc ký lỏng (Phụ lục 5.3).
Dung môi pha mẫu, dung dịch đệm amoni phosphat, dung dịch chuẩn, pha động và điều kiện sắc ký như mô tả ở mục Định lượng glibenclamid.
Dung dịch thử: Cho 1 viên vào bình định mức 100 ml, thêm 2 ml nước, lắc cho viên rã hoàn toàn. Thêm 70 ml dung môi pha mẫu và lắc siêu âm khoảng 30 min. Để nguội và thêm dung môi pha mẫu vừa đủ, lắc đều. Ly tâm với tốc độ 3000 r/min trong 10 min, sử dụng lớp dịch trong phía trên. Pha loãng dung dịch thu được (nếu cần) với dung môi pha mẫu để có nồng độ glibenclamid khoảng 0,025 mg/ml, Tiến hành lặp lại với 9 viên nữa.
Cách tiến hành:
Tiến hành sắc ký lần lượt các dung dịch chuẩn và dung dịch thử.
Tính hàm lượng glibenclamid, C23H28CIN3O5S, trong mỗi viên dựa vào diện tích pic thu được của dung dịch thử, dung dịch chuẩn và hàm lượng C23H28ClN3O5S của glibenclamid chuẩn.
Định lượng
Glibenclamid
Phương pháp sắc ký lỏng (Phụ lục 5.3).
Dung môi pha mẫu: Acetonitril - nước (1 :1).
Dung dịch đệm amoni phosphat: Hòa tan 28,8 g amoni dihydrophosphat (TT) trong nước và pha loãng với nước vừa đủ 1000 ml.
Pha động: Dung dịch đệm amoni phosphat - acetonitril (60 : 40), điều chỉnh đến pH 5,3 bằng dung dịch natri hydroxyd 1 M (TT). Điều chỉnh tỷ lệ nếu cần.
Dung dịch chuẩn: Cân chính xác khoảng 25 mg glibenclamid chuẩn vào bình định mức 100 ml. Thêm 50 ml acetonitril (TT), lắc siêu âm để hòa tan. Thêm nước vừa đủ, lắc đều. Pha loãng dung dịch này với dung môi pha mẫu để có nồng độ chính xác khoảng 0,025 mg/ml.
Dung dịch thích hợp hệ thống (1): Chuẩn bị dung dịch chứa 0,025 mg/ml tạp chất A chuẩn của giibenclamid trong dung môi pha mẫu. Pha loãng 50 μl dung dịch thu được thành 50,0 ml bằng dung dịch chuẩn.
Dung dịch thích hợp hệ thống (2): Chuẩn bị dung dịch chứa 5,0 mg/ml metformin hydroclorid chuẩn trong dung dịch thích hợp hệ thống (1).
Dung dịch thử: Hòa tan không ít hơn 5 viên trong dung môi pha mẫu bằng cách khuấy từ trong ít nhất 1 h. Pha loãng bằng dung môi pha mẫu để thu được dung dịch có nồng độ 0,025 mg/ml glibenclamid. Đem ly tâm dung dịch thu được ở 3000 r/min trong 10 min.
Điều kiện sắc ký:
Cột kích thước (15 cm x 4,6 mm) được nhồi pha tĩnh B (5 µm).
Nhiệt độ cột: 40 °C.
Detector quang phổ tử ngoại đặt ở bước sóng 230 nm.
Tốc độ dòng: 1,2 ml/min.
Thể tích tiêm: 100 µl.
Cách tiến hành:
Kiểm tra tính phù hợp của hệ thống sắc ký: Tiến hành sắc ký với dung dịch thích hợp hệ thống (2) (Thời gian lưu tương đối của pic tạp chất A so với glibenclamid khoảng 0,3). Độ lệch chuẩn tương đối của diện tích pic glibenclamid từ 6 lần tiêm lặp lại không lớn hơn 1,5 %; độ lệch chuẩn tương đối của diện tích pic tạp chất A không lớn hơn 10 %.
Tiến hành sắc ký dung dịch thử với thời gian rửa giải bằng 1,25 lần thời gian lưu của pic glibenclamid. Tính hàm lượng glibenclamid, C23H28ClN3O5S, trong chế phẩm dựa vào diện tích pic thu được của dung dịch thử, dung dịch chuẩn và hàm lượng C23H28ClN3O5S của glibenclamid chuẩn.
Metformin hydroclorid
Phương pháp sắc ký lỏng (Phụ lục 5.3).
Dung môi pha mẫu: Acetonitril - nước (1 : 40).
Dung dịch đệm: Hòa tan 1,0 g natri heptansulfonat (TT) và 1,0 g natri clorid (TT) trong 1800 ml nước.
Chỉnh pH đến 3,85 bằng dung dịch acid phosphoric 0,06 M. Thêm nước vừa đủ 2000 ml, trộn đều.
Pha động: Dung dịch đệm - acetonitril (90 :10).
Để đạt độ phân giải, có thể điều chỉnh pha động như sau: Dung dịch đệm - acetonitril (95 : 5).
Dung dịch chuẩn: Pha dung dịch metformin hydroclorid chuẩn trong dung môi pha mẫu có nồng độ chính xác khoảng 0,25 mg/ml (lắc siêu âm để hòa tan, nếu cần).
Dung dịch thích hợp hệ thống: Chuẩn bị dung dịch chứa 0,025 mg/ml tạp chất B chuẩn của metformin trong dung môi pha mẫu. Hút 0,5 ml dung dịch này vào bình định mức 50 ml, thêm dung dịch chuẩn vừa đủ thể tích.
Dung dịch thử: Pha loãng dung dịch thử ở mục Định lượng glibenclamid với nước để thu được dung dịch có nồng độ metformin hydroclorid khoảng 0,25 mg/ml.
Điều kiện sắc ký:
Cột kích thước (30 cm x 3,9 mm) được nhồi pha tĩnh C (10 µm).
Nhiệt độ cột: 30 °C.
Detector quang phổ tử ngoại đặt ở bước sóng 218 nm.
Tốc độ dòng: 1,0 ml/min.
Thể tích tiêm: 5 µl.
Cách tiến hành:
Kiểm tra tính phù hợp của hệ thống sắc ký: Tiến hành sắc ký với dung dịch thích hợp hệ thống. Thời gian lưu tương đối của pic tạp chất B so với metformin khoảng 0,86. Độ phân giải giữa pic tạp chất B và pic metformin không nhỏ hơn 1,5; hệ số đối xứng của pic metformin từ 0,8 đến 2,0. Độ lệch chuẩn tương đối của diện tích pic metformin từ 6 lần tiêm lặp lại không lớn hơn 1,5 %; độ lệch chuẩn tương đối của diện tích pic tạp chất B không lớn hơn 10 %.
Tiến hành sắc ký lần lượt các dung dịch chuẩn và dung dịch thử.
Tính hàm lượng metformin hydroclorid, C4H11N5.HCl, trong chế phẩm dựa vào diện tích pic thu được của dung dịch thử, dung dịch chuẩn và hàm lượng C4HHN5.HCl của metformin chuẩn.
Bảo quản
Để nơi khô mát, tránh ánh sáng.
Loại thuốc
Chống đái tháo đường.
Hàm lượng thường dùng
Metformin hydroclorid 500 mg và glibenclamid 5 mg.
Metformin hydroclorid 500 mg và glibenclamld 2,5 mg.
VIÊN NÉN METOCLOPRAMID
Là viên nén chứa metoclopramid hydroclorid.
Chế phẩm phải đáp ứng các yêu cầu trong chuyên luận “Thuốc viên nén” (Phụ lục 1.20) và các yêu cầu sau đây:
Hàm lượng metoclopramid, C14H22ClN3O2, từ 90,0 % đến 110,0 % so với lượng ghi trên nhãn.
Định tính
A. Trong phần Định lượng, sắc ký đồ của dung dịch thử phải có pic chính có thời gian lưu tương ứng với thời gian lưu của pic metoclopramid thu được trên sắc ký đồ của dung dịch chuẩn.
B. Trong phần Định lượng, phổ hấp thụ tử ngoại (Phụ lục 4.1) của pic chính thu được từ dung dịch thử phải tương ứng với phổ hấp thụ tử ngoại của pic metoclopramid thu được từ dung dịch chuẩn.
Độ hòa tan (Phụ lục 11.4)
Thiết bị: Kiểu giỏ quay.
Môi trường hòa tan: 900 ml nước.
Tốc độ quay: 50 r/min.
Thời gian: 30 min.
Cách tiến hành:
Dung dịch thử: Lấy một phần môi trường đã hòa tan mẫu thử, lọc, bỏ 20 ml dịch lọc đầu. Pha loãng dịch lọc thu được tới nồng độ thích hợp với nước, nếu cần.
Dung dịch chuẩn: Dung dịch metoclopramid hydroclorid chuẩn trong nước có nồng độ metoclopramid tương đương với nồng độ của dung dịch thử.
Đo độ hấp thụ (Phụ lục 4.1) của dung dịch thu được ở bước sóng hấp thụ cực đại khoảng 309 nm, cốc đo dày 1 cm, mẫu trắng là nước. Tính hàm lượng metoclopramid, C14H22ClN3O2, đã hòa tan dựa vào độ hấp thụ của dung dịch thử, dung dịch chuẩn và hàm lượng C14H22ClN3O2.HCl của metoclopramid hydroclorid chuẩn.
Yêu cầu: Không ít hơn 75 % (Q) lượng metoclopramid, C14H22ClN3O2, so với lượng ghi trên nhãn được hòa tan trong 30 min.
Tạp chất liên quan
Phương pháp sắc ký lỏng (Phụ lục 5.3).
Pha động: Hòa tan 1,88 g natri hexansulfonat (TT) trong 1000 ml hỗn hợp acetonitril - nước (60 : 40), điều chỉnh tới pH 4,0 bằng acid acetic băng (TT).
Dung dịch thử. Cân chính xác một lượng bột viên tương ứng với khoảng 100 mg metoclopramid, lắc với 20,0 ml methanol (TT) trong 5 min. Lọc, bỏ vài mililít dịch lọc đầu. Pha loãng một thể tích chính xác dịch lọc với pha động để thu được dung dịch có nồng độ metoclopramid khoảng 1,0 mg/ml.
Dung dịch đối chiếu: Hòa tan một lượng chính xác metoclopramld hydroclorid chuẩn trong pha động để thu được dung dịch có nồng độ khoảng 5,5 µg/ml.
Điều kiện sắc ký:
Cột kích thước (25 cm x 4,6 mm) được nhồi pha tĩnh C (5 µm).
Detector quang phổ tử ngoại đặt ở bước sóng 265 nm.
Tốc độ dòng: 1,0 ml/min.
Thể tích tiêm: 20 µl.
Cách tiến hành:
Kiểm tra tính phù hợp của hệ thống sắc ký: Tiến hành sắc ký dung dịch đối chiếu, hệ số đối xứng của pic metoclopramid không lớn hơn 1,8 và độ lệch chuẩn tương đối của diện tích pic metoclopramid từ 6 lần tiêm lặp lại không lớn hơn 5,0 %.
Tiến hành sắc ký dung dịch thử và dung dịch đối chiếu.
Tính hàm lượng mỗi tạp chất trong chế phẩm dựa vào diện tích pic của mỗi tạp chất thu được từ dung dịch thử, diện tích pic của metoclopramid thu được từ dung dịch đối chiếu và hàm lượng C14H22ClN3O2 trong metoclopramid hydroclorid chuẩn (phân tử lượng của metoclopramid là 299,80; phân tử lượng của metoclopramid hydroclorid khan là 336,26).
Giới hạn: Hàm lượng mỗi tạp chất không được lớn hơn 0,5 %.
Định lượng
Phương pháp sắc ký lỏng (Phụ lục 5.3).
Pha động: Hòa tan 2,7 g natri acetat (TT) trong 500 ml nước, thêm 500 ml acetonitril (TT), 2 ml dung dịch tetramethylamoni hydroxyd (TT) 20 %, điều chỉnh tới pH 6,5 bằng acid acetic băng (TT), lắc đều, lọc.
Dung dịch thử. Cân 20 viên, xác định khối lượng trung bình viên và nghiền thành bột mịn. Cân chính xác một lượng bột viên tương ứng với khoảng 40 mg metoclopramid vào bình định mức 100 ml, thêm 70 ml dung dịch acid phosphoric (TT) 0,01 M, lắc siêu âm trong 5 min, để nguội, thêm dung dịch acid phosphoric (TT) 0,01 M đến định mức, lắc đều, lọc. Pha loãng 10,0 ml dịch lọc thành 100,0 ml với dung dịch acid phosphoric (TT) 0,01 M.
Dung dịch chuẩn: Cân chính xác khoảng 45 mg metoclopramid hydroclorid chuẩn vào một bình định mức 100 ml, hòa tan bằng dung dịch acid phosphoric (TT) 0,01 M và pha loãng đến định mức với cùng dung môi, lắc đều. Pha loãng 10,0 ml dung dịch thu được thành 100,0 ml với dung dịch acid phosphoric (TT) 0,01 M.
Điều kiện sắc ký:
Cột kích thước (25 cm x 4,6 mm) được nhồi pha tĩnh C.
Detector quang phổ tử ngoại đặt ở bước sóng 305 nm (Lưu ý: Sử dụng detector chuỗi diod để thực hiện phép thử định tính B).
Tốc độ dòng: 1 ml/mln.
Thể tích tiêm: 20 µl.
Cách tiến hành:
Tiến hành sắc ký với dung dịch chuẩn, hệ số đối xứng của pic metoclopramld không lớn hơn 2,0 và độ lệch chuẩn tương đối của diện tích pic metoclopramid từ 6 lần tiêm lặp lại không lớn hơn 2,0 %.
Tiến hành sắc ký lần lượt với dung dịch chuẩn và dung dịch thử.
Tính hàm lượng metoclopramid, C14H22ClN3O2, trong viên dựa vào diện tích pic thu được trên sắc ký đồ của dung dịch thử, dung dịch chuẩn và hàm lượng C14H22ClN3O2.HCl của metoclopramid hydroclorid chuẩn.
Bảo quản
Tránh ánh sáng.
Loại thuốc
Phòng và chống nôn.
Hàm lượng thường dùng
5 mg, 10 mg. Hàm lượng tính theo metoclopramid.
DƯỢC LIỆU
CAO KHÔ LÁ BẠCH QUẢ
Etractum Folium Ginkgo Siccusum
Cao khô lá bạch quả được bào chế từ lá cây Bạch quả (Ginkgo biloba L,), họ Bạch quả (Ginkgoaceae) theo phương pháp thích hợp để cao khô có hàm lượng hoạt chất ổn định.
Cao khô phải đáp ứng các yêu cầu trong chuyên luận “Cao thuốc" (Phụ lục 1.1) và các yêu cầu sau đây:
Mô tả
Bột hoặc khối bở dễ vụn nát, có màu nâu vàng nhạt hoặc nâu đậm. Vị hơi đắng.
Định tính
A. Phương pháp sắc ký lớp mỏng (Phụ lục 5.4).
Bản mỏng: Silica gel F254 (5 - 10 μm).
Dung môi khai triển: Ethyl acetat - nước - acid acetic băng - acid formic (67,5 : 17,5 : 7,5 : 7,5).
Dung dịch đối chiếu: Hòa tan lần lượt các chất đối chiếu trong methanol (TT) để được dung dịch có chứa 0,15 mg/ml rutin, 0,05 mg/ml acid clorogenic.
Dung dịch thử: Hòa tan cao khô trong hỗn hợp methanol - nước (4 : 1) để có dung dịch chứa 2 mg cao khô trong 1 ml.
Thuốc thử 1: Dung dịch 2-aminoethyl diphenylborinat (TT) trong methanol (TT) có nồng độ 5 mg/ml.
Thuốc thử 2: Dung dịch polyethylen glycol 400 (TT) trong ethanol 96 % (TT) có nồng độ 50 mg/ml.
Cách tiến hành:
Chấm riêng biệt 20 µl mỗi dung dịch trên thành vạch lên bản mỏng, để khô vạch chấm. Triển khai sắc ký đến khi dung môi đi được khoảng 17 cm, lấy bản mỏng ra, sấy khô ở 105 °C trong 5 min. Ngay sau khi lấy bản mỏng còn nóng ra, phun thuốc thử 1, tiếp tục phun thuốc thử 2. Để khô trong không khí khoảng 30 min và quan sát dưới ánh sáng tử ngoại ở bước sóng 365 nm.
Trên sắc ký đồ của dung dịch thử phải có vết cùng màu và vị trí với vết rutin trên sắc ký đồ của dung dịch đối chiếu. Ngoài ra, trên sắc ký đồ của dung dịch thử phải cho các vết như sau:
- Vài vết bên dưới vết của rutin có huỳnh quang màu nâu vàng và xanh lá.
- Một hoặc hai vết có huỳnh quang màu xanh lá nằm giữa vết của rutin và vị trí tương ứng với vị trí vết acid clorogenic trên sắc ký đồ của dung dịch đối chiếu.
- Các vết nằm trên vị trí của vết tương ứng với vị trí vết acid clorogenic trong sắc ký đồ của dung dịch đối chiếu lần lượt từ dưới lên trên như sau: 01 vết phát huỳnh quang mạnh màu xanh dương nhạt hoặc đôi khi vết này bị chồng phủ bởi vết có huỳnh quang màu nâu lục nằm ngay gần vị trí của vết acid clorogenic, 01 vết phát huỳnh quang màu xanh lá, 01 vết phát huỳnh quang màu nâu, vài vết có màu yếu.
B. Trong phần Định lượng flavonol glycosid toàn phần, trên sắc ký đồ của dung dịch thử thời gian lưu của các pic quercetin, isorhamnetin và kaempferol phải tương ứng với thời gian lưu của các chất đó trên sắc ký đồ của dung dịch chuẩn. Trên sắc ký đồ của dung dịch thử, tỷ lệ diện tích pic của kaempferol và quercetin không nhỏ hơn 0,7 và tỷ lệ diện tích plc của isorhamnetin và quercetin không nhỏ hơn 0,1.
Độ ẩm
Không được quá 5,0 % (Phụ lục 9.6, 1,0 g, 105 °C, 2 h).
Giới hạn nhiễm khuẩn (Phụ lục 13.6)
Tổng số vi khuẩn hiếu khí: Không quá 104CFU/g;
Tổng số nấm: Không quá 103 CFU/g;
Không được có Salmonella và Escherichia coli trong 10 g.
Giới hạn rutin và quercetin
Không được quá 4 % đối với rutin và 0,5 % đối với quercetin.
Phương pháp sắc ký lỏng (Phụ lục 5.3).
Pha động A: Dung dịch acid formic (TT) 0,1 % trong nước.
Pha động B: Acetonitril (TT).
Dung dịch thử. Cân chính xác khoảng 0,1 g cao khô vào bình định mức dung tích 10 ml, thêm 7 ml methanol (TT), lắc siêu âm trong 15 min để hòa tan. Để nguội, bổ sung methanol (TT) vừa đủ, lắc đều, lọc qua màng lọc 0,45 μm.
Dung dịch chuẩn: Hòa tan rutin chuẩn và quercetin chuẩn trong methanol (TT) để được dung dịch có nồng độ chính xác khoảng 0,4 mg/ml đối với rutin và 0,05 mg/ml đối với quercetin.
Điều kiện sắc ký:
Cột kích thước (25 cm x 4,6 mm) được nhồi pha tĩnh C (5 µm).
Detector quang phổ tử ngoại đặt ở bước sóng 254 nm.
Tốc độ dòng: 1,0 ml/min.
Thể tích tiêm: 10 µl.
Nhiệt độ cột: 30 °C.
Cách tiến hành:
Tiến hành sắc ký theo chương trình dung môi như sau:
| Thời gian | Pha động A | Pha động B |
| (min) | (% tt/tt) | (% tt/tt) |
| 0 - 40 | 90 → 64 | 10 → 36 |
| 40 - 45 | 64 → 0 | 36 → 100 |
| 45 - 50 | 0 | 100 |
| 50 - 51 | 0 → 90 | 100 → 10 |
| 51 - 60 | 90 | 10 |
Kiểm tra sự phù hợp của hệ thống: Tiến hành sắc ký dung dịch chuẩn (thời gian lưu tương đối của rutin là 1,0 và của quercetin khoảng 1,8). Số dĩa lý thuyết của cột không được ít hơn 15 000 tính theo pic rutin và không được ít hơn 20 000 tính theo pic quercetin. Hệ số đối xứng của pic rutin phải từ 0,8 - 2,0. Độ lệch chuẩn tương đối của diện tích pic rutin thu được từ 6 lần tiêm lặp lại không được quá 2,0 %,
Ghi chú: Nếu hình dạng pic trên sắc ký đồ không đạt yêu cầu về hệ số đối xứng thì rửa cột bằng hỗn hợp acetonitril - nước (9 : 1) với tốc độ dòng 1,0 ml/min trong 30 mln hoặc sử dụng cột kích thước (25 cm x 4,6 mm) được nhồi pha tĩnh C (5 µm) loại end-capped.
Tiến hành sắc ký lần lượt dung dịch chuẩn và dung dịch thử. Sử dụng sắc ký đồ của dung dịch chuẩn để xác định pic của rutln và quercetin trên sắc ký đồ của dung dịch thử.
Tính hàm lượng rutin và quercetln trong cao khô dựa vào diện tích pic rutin và quercetin thu được trên sắc ký đồ của dung dịch thử, dung dịch chuẩn và hàm lượng C27H30O16 trong rutin chuẩn, hàm lượng C15H10O7 trong quercetin chuẩn.
Giới hạn acid ginkgolic toàn phần
Không được quá 5 phần triệu.
Phương pháp sắc ký lỏng (Phụ lục 5.3).
Pha động A: Pha loãng 0,1 ml acid trifluoroacetic (TT) thành 1000,0 ml bằng nước.
Pha động B: Pha loãng 0,1 ml acid trifluoroacetic (TT) thành 1000,0 ml bằng acetonltril (TT).
Dung dịch thử. Cân chính xác khoảng 0,5 g cao khô vào bình định mức dung tích 10 ml, thêm 8 ml methanol (TT), lắc siêu âm trong 15 min. Để nguội, bổ sung methanol (TT) vừa đủ, lắc đều, lọc qua màng lọc 0,45 μm.
Dung dịch chuẩn: Hòa tan acid ginkgolic toàn phần chuẩn trong methanol (TT) để được dung dịch chuẩn có nồng độ chính xác khoảng 0,2 mg/ml.
Điều kiện sắc ký:
Cột kích thước (25 cm x 4,6 mm) được nhồi pha tĩnh B (5 µm) (có thể dùng loại end-capped nếu không đạt yêu cầu hệ số đối xứng của các pic).
Detector quang phổ tử ngoại đặt ở bước sóng 210 nm.
Tốc độ dòng: 1,0 ml/min.
Thể tích tiêm: 50 µl.
Nhiệt độ cột: 35 °C.
Cách tiến hành:
Tiến hành sắc ký theo chương trình dung môi như sau:
| Thời gian | Pha động A | Pha động B |
| (min) | (% tt/tt) | (% tt/tt) |
| 0 - 30 | 25 → 10 | 7 5 → 9 0 |
| 30 - 35 | 10 | 90 |
| 35 - 36 | 10 → 25 | 90 → 75 |
| 36 - 45 | 25 | 75 |
Dựa vào sắc ký đồ được cung cấp kèm theo acid ginkgolic toàn phần chuẩn và sắc ký đồ thu được của dung dịch thử xác định các pic acid ginkgolic C13, C15 và C17.
Kiểm tra tính phù hợp của hệ thống: Tiến hành sắc ký với dung dịch chuẩn. Độ phân giải của hai pic acid ginkgolic C13 và C15 không được dưới 2,0. Hệ số đối xứng đối với mỗi pic acid ginkgolic C13, C15 và C17 phải từ 0,8 - 2,0.
Tiến hành sắc ký lần lượt dung dịch chuẩn và dung dịch thử.
Tính hàm lượng acid ginkgolic toàn phần theo phần triệu X (ppm) trong cao khô theo acid ginkgolic C17 theo công thức sau đây:
X (ppm) = (A1 x C x 10)/(A2 x m1)
Trong đó:
A1 là tổng diện tích pic của các acid glnkgolic C13, C15 và C17 trên sắc ký đồ của dung dịch thử.
A2 là diện tích pic acid ginkgolic C17 trên sắc ký đồ của dung dịch chuẩn.
m1 là khối lượng của cao khô dùng để chuẩn bị dung dịch thử (g).
C là nồng độ của acid ginkgolic C17 trong dung dịch chuẩn (µg/ml).
Định lượng
Flavonol glycosid toàn phần
Phương pháp sắc ký lỏng (Phụ lục 5.3).
Pha động: Methanol - nước - acid phosphoric (100 : 100 : 1).
Dung môi chiết: Ethanol 96 %- nước - acid hydrocloric (25 : 10 : 4).
Dung dịch chuẩn A: Dung dịch quercetin chuẩn trong methanol (TT) có nồng độ 0,125 mg/ml.
Dung dịch chuẩn B: Dung dịch kaempferol chuẩn trong methanol (TT) có nồng độ 0,125 mg/ml.
Dung dịch chuẩn C: Dung dịch isorhamnetin chuẩn trong methanol (TT) có nồng độ 0,03 mg/ml.
Dung dịch thử. Cân chính xác khoảng 0,3 g cao khô cho vào bình dung tích 250 ml lắp được với ống sinh hàn, thêm 78 ml dung môi chiết. Đun hồi lưu trong cách thủy trong 135 min (Dung dịch chuyển thành màu đỏ đậm. Màu của dung dịch không phải là chỉ thị cho phản ứng xảy ra hoàn toàn). Để nguội đến nhiệt độ phòng. Chuyển toàn bộ hỗn hợp vào bình định mức 100 ml, pha loãng bằng nước tới vạch, lắc đều, lọc, dùng dịch lọc làm dung dịch thử.
Điều kiện sắc ký:
Cột kích thước (25 cm x 4,6 mm) được nhồi pha tĩnh C (5 µm).
Detector quang phổ tử ngoại đặt ở bước sóng 370 nm.
Tốc độ dòng: 1,5 ml/min.
Thể tích tiêm: 20 µl.
Cách tiến hành:
Kiểm tra tính phù hợp của hệ thống: Tiến hành sắc ký với dung dịch chuẩn A, B và C. Thời gian lưu tương đối của các pic quercetin, kaempferol, isorhamnetin lần lượt là 1,0, 1,8 và 2,0.
Trên sắc ký đồ của dung dịch chuẩn A, độ lệch chuẩn tương đối của diện tích pic quercetin của 5 lần tiêm lặp lại không được lớn hơn 2,0 %.
Tiến hành sắc ký lần lượt các dung dịch chuẩn và dung dịch dịch thử.
Tính hàm lượng của mỗi flavonol glucosid trong cao khô (X %) theo công thức sau đây:
X (%) = (Ru/Rs) x (Cs/W) x F x 10
Trong đó:
Ru là diện tích pic của quercetin hoặc kaempferol hoặc isorhamnetin trên sắc ký đồ của dung dịch thử.
Rs là diện tích pic của quercetin hoặc kaempferol hoặc isorhamnetin trên sắc ký đồ của các dung dịch chuẩn tương ứng.
Cs là nồng độ của quercetin hoặc kaempterol hoặc isorhamnetin trong các dung dịch chuẩn (mg/ml).
W là lượng cân cao khô dùng để chuẩn bị dung dịch thử (g).
F là hệ số chuyển đổi thành flavonol glucosid tính theo khối lượng phân tử trung bình là 756,7: đối với quercetin là 2,504; đối với kaempferol là 2,588 và đối với isorhamnetin là 2,437.
Tính hàm lượng flavonoid toàn phần theo tổng các flavonol glycosid.
Hàm lượng flavonoid toàn phần tính theo flavonol glycosid (P.t.l = 756,7) phải từ 22,0 % đến 27,0 % tính theo cao khô khô kiệt.
Các terpen lacton
Phương pháp sắc ký lỏng (Phụ lục 5.3).
Dung môi pha loãng: Methanol - nước (1 : 1).
Dung dịch đệm: Hòa tan 1,19 g dinatri hydrophosphat dihydrat (TT) và 8,25 g kali dihydrophosphat (TT) trong 1000 ml nước, điều chỉnh đến pH 5,8 bằng acid phosphoric.
Pha động: Methanol và nước.
Tiến hành sắc ký theo chương trình dung môi như sau:
| Thời gian | Nước | Methanol |
| (min) | (% tt/tt) | (% tt/tt) |
| 0 → 23 | 75 → 52 | 25 → 48 |
| 23 → 28 | 52 | 48 |
| 28 → 30 | 52 → 25 | 48 → 75 |
| 30 → 35 | 25 → 10 | 75 → 90 |
| 35 → 40 | 10 → 75 | 90 → 25 |
| 40 → 50 | 75 | 25 |
Các dung dịch chuẩn: Chuẩn bị 5 dung dịch chuẩn có hàm lượng mỗi terpen lacton từ 5 - 500 µg/ml bằng cách hòa tan ginkgo terpen lacton chuẩn trong dung môi pha loãng và tính hàm lượng mỗi terpen lacton theo hàm lượng ghi trên nhãn, lắc siêu âm để hòa tan nếu cần. Lọc qua màng lọc 0,45 μm.
Dung dịch thử: Cân chính xác 120 mg cao khô, chuyển vào cốc có mỏ dung tích 25 ml, thêm 10 ml dung dịch đệm, siêu âm trong 5 min. Chuyển toàn bộ dung dịch thu được vào một cột thủy tinh dùng cho sắc ký đã được nhồi đầy đất silic có khả năng giữ được khoảng 20 ml pha lỏng. Rửa cốc có mỏ hai lần, mỗi lần với 5 ml dung dịch đệm và chuyển dịch rửa vào cột thủy tinh (tổng lượng dịch cho vào cột thủy tinh không vượt quá khả năng lưu giữ 20 ml của cột). Để dịch thấm vào pha tĩnh trong 15 min, rửa giải bằng 100 ml ethyl acetat (TT), thu lấy dịch rửa giải và bay hơi trong cách thủy ở nhiệt độ 50 °C đến khô. Hòa tan cắn trong 20,0 ml dung môi pha loãng.
Điều kiện sắc ký:
Cột kích thước (25 cm x 4,6 mm) được nhồi pha tĩnh C (5 µm).
Nhiệt độ cột: 25 °C ± 1 °C.
Detector tán xạ ánh sáng bay hơi. Điều chỉnh detector để đạt được tỷ số tín hiệu trên nhiễu là tốt nhất theo khuyến cáo của nhà sản xuất.
Tốc độ dòng: 1 ml/min.
Thể tích tiêm: 15 µl.
Cách tiến hành:
Tiến hành sắc ký lần lượt với các dung dịch chuẩn. Xác định các pic trên sắc ký đồ của dung dịch chuẩn bằng cách so sánh với sắc ký đồ cung cấp kèm theo ginkgo terpen lacton chuẩn. Vẽ đồ thị tương quan giữa logarit của nồng độ (mg/ml) và logarit của diện tích pic của từng chất.
Kiểm tra sự phù hợp của hệ thống: Sắc ký đồ thu được từ các dung dịch chuẩn phải tương tự sắc ký đồ cung cấp kèm theo ginkgo terpen lacton chuẩn. Độ lệch chuẩn tương đối của diện tích pic bilobalid không được lớn hơn 2,0 %. Hệ số tương quan của đường hồi qui được lập từ kết quả phân tích các dung dịch chuẩn không được nhỏ hơn 0,995.
Từ đồ thị thu được, xác định nồng độ C của các terpen lacton trong dung dịch thử. Tính hàm lượng phần trăm (X %) của mỗi terpen lacton là bilobalid (C15H18O8), glnkgolid A (C20H24O9), ginkgolid B (C20H24O10), ginkgolid C (C20H24O11) trong cao khô theo công thức sau:
X(%) = (C/W) x 2000
Trong đó:
C là nồng độ của mỗi terpen lacton trong dung dịch thử (mg/ml).
W là lượng cân cao khô đã dùng để chuẩn bị dung dịch thử (mg).
Tính hàm lượng terpen lacton toàn phần bằng tổng hàm lượng mỗi terpen lacton được tính ở trên, tính theo cao khô khô kiệt.
Hàm lượng terpen lacton toàn phần trong cao khô: 5,4 % -12,0 %.
Hàm lượng bilobalid: 2,6 % - 5,8 %.
Tổng hàm lượng glnkgolid A (C20H24O9), ginkgolid B (C20H24O10), ginkgolid C (C20H24O11): 2,8 % - 6,2 %.
Bảo quản
Trong đồ đựng kín, tránh ánh sáng, chống ẩm, ở nhiệt độ phòng.
Mục lục
Lời nói đầu
Lời giới thiệu
1 Phạm vi áp dụng
2 Tài liệu viện dẫn
3 Chữ viết tắt
Nguyên liệu hóa dược
Ceftazidim pentahydrat
Sulbactam natri
Thành phẩm hóa dược
Thuốc tiêm metoclopramid
Viên nén glibenclamid và metformin
Viên nén metoclopramid
Dược liệu
Cao khô lá bạch quả
Bạn chưa Đăng nhập thành viên.
Đây là tiện ích dành cho tài khoản thành viên. Vui lòng Đăng nhập để xem chi tiết. Nếu chưa có tài khoản, vui lòng Đăng ký tại đây!