- Tổng quan
- Nội dung
- VB gốc
- Tiếng Anh
- Hiệu lực
- VB liên quan
- Lược đồ
-
Nội dung hợp nhất
Tính năng này chỉ có tại LuatVietnam.vn. Nội dung hợp nhất tổng hợp lại tất cả các quy định còn hiệu lực của văn bản gốc và các văn bản sửa đổi, bổ sung, đính chính... trên một trang. Việc hợp nhất văn bản gốc và những văn bản, Thông tư, Nghị định hướng dẫn khác không làm thay đổi thứ tự điều khoản, nội dung.
Khách hàng chỉ cần xem Nội dung hợp nhất là có thể nắm bắt toàn bộ quy định hiện hành đang áp dụng, cho dù văn bản gốc đã qua nhiều lần chỉnh sửa, bổ sung.
- Tải về
Nghị quyết 27/2022/NQ-HĐND Quảng Bình Quy định định mức phân bổ NSNN thực hiện phát triển KTXH vùng đồng bằng DTTS
| Cơ quan ban hành: | Hội đồng nhân dân tỉnh Quảng Bình |
Số công báo:
Số công báo là mã số ấn phẩm được đăng chính thức trên ấn phẩm thông tin của Nhà nước. Mã số này do Chính phủ thống nhất quản lý.
|
Đang cập nhật |
| Số hiệu: | 27/2022/NQ-HĐND | Ngày đăng công báo: | Đang cập nhật |
| Loại văn bản: | Nghị quyết | Người ký: | Trần Hải Châu |
|
Ngày ban hành:
Ngày ban hành là ngày, tháng, năm văn bản được thông qua hoặc ký ban hành.
|
26/07/2022 |
Ngày hết hiệu lực:
Ngày hết hiệu lực là ngày, tháng, năm văn bản chính thức không còn hiệu lực (áp dụng).
|
Đang cập nhật |
|
Áp dụng:
Ngày áp dụng là ngày, tháng, năm văn bản chính thức có hiệu lực (áp dụng).
|
Đã biết
|
Tình trạng hiệu lực:
Cho biết trạng thái hiệu lực của văn bản đang tra cứu: Chưa áp dụng, Còn hiệu lực, Hết hiệu lực, Hết hiệu lực 1 phần; Đã sửa đổi, Đính chính hay Không còn phù hợp,...
|
Đã biết
|
| Lĩnh vực: | Tài chính-Ngân hàng, Chính sách |
TÓM TẮT NGHỊ QUYẾT 27/2022/NQ-HĐND
Nội dung tóm tắt đang được cập nhật, Quý khách vui lòng quay lại sau!
Tải Nghị quyết 27/2022/NQ-HĐND
|
HỘI ĐỒNG NHÂN DÂN Số: 27/2022/NQ-HĐND |
CỘNG HÒA XÃ HỘI CHỦ NGHĨA VIỆT NAM Quảng Bình, ngày 26 tháng 7 năm 2022 |
NGHỊ QUYẾT
Ban hành quy định về nguyên tắc, tiêu chí và định mức phân bổ nguồn ngân
sách nhà nước thực hiện Chương trình mục tiêu quốc gia phát triển kinh tế -
xã hội vùng đồng bào dân tộc thiểu số và miền núi giai đoạn 2021 – 2025 và
hằng năm trên địa bàn tỉnh Quảng Bình
____________________
HỘI ĐỒNG NHÂN DÂN TỈNH QUẢNG BÌNH
KHÓA XVIII, KỲ HỌP THỨ 6
Căn cứ Luật Tổ chức chính quyền địa phương ngày 19 tháng 6 năm 2015; Luật sửa đổi, bổ sung một số điều của Luật Tổ chức Chính phủ và Luật Tổ chức chính quyền địa phương ngày 22 tháng 11 năm 2019;
Căn cứ Luật Ngân sách nhà nước ngày 25 tháng 6 năm 2015;
Căn cứ Nghị quyết số 120/2020/QH14 ngày 19 tháng 6 năm 2020 của Quốc hội về phê duyệt chủ trương đầu tư Chương trình mục tiêu quốc gia phát triển kinh tế - xã hội vùng đồng bào dân thiểu số và miền núi giai đoạn 2021-2030;
Căn cứ Nghị quyết số 973/2020/UBTVQH14 ngày 08 tháng 7 năm 2020 của Ủy ban thường vụ Quốc hội quy định về các nguyên tắc, tiêu chí và định mức phân bổ vốn đầu tư công nguồn ngân sách nhà nước giai đoạn 2021-2025;
Căn cứ Quyết định số 39/2021/QĐ-TTg ngày 30 tháng 12 năm 2021 của Thủ tướng Chính phủ quy định nguyên tắc, tiêu chí, định mức phân bổ vốn ngân sách trung ương và tỷ lệ vốn đối ứng của ngân sách địa phương thực hiện Chương trình mục tiêu quốc gia phát triển kinh tế - xã hội vùng đồng bào dân tộc thiểu số và miền núi giai đoạn 2021-2030, giai đoạn I: từ năm 2021 đến năm 2025;
Xét Tờ trình số 1307/TTr-UBND ngày 19 tháng 7 năm 2022 của Ủy ban nhân dân tỉnh về việc đề nghị Hội đồng nhân dân tỉnh thông qua Nghị quyết ban hành quy định về nguyên tắc, tiêu chí và định mức phân bổ nguồn ngân sách nhà nước thực hiện Chương trình mục tiêu quốc gia phát triển kinh tế - xã hội vùng đồng bào dân tộc thiểu số và miền núi giai đoạn 2021-2025 và hằng năm trên địa bàn tỉnh Quảng Bình; Báo cáo thẩm tra Ban Văn hóa - Xã hội của HĐND tỉnh và ý kiến thảo luận của đại biểu Hội đồng nhân dân tại kỳ họp.
QUYẾT NGHỊ:
Điều 1. Ban hành kèm theo Nghị quyết này quy định về nguyên tắc, tiêu chí và định mức phân bổ nguồn ngân sách nhà nước thực hiện Chương trình mục tiêu quốc gia phát triển kinh tế - xã hội vùng đồng bào dân tộc thiểu số và miền núi giai đoạn 2021-2025 và hằng năm trên địa bàn tỉnh Quảng Bình.
Điều 2. Giao Ủy ban nhân dân tỉnh triển khai thực hiện Nghị quyết này; giao Thường trực Hội đồng nhân dân, các Ban của Hội đồng nhân dân tỉnh, các Tổ đại biểu và đại biểu Hội đồng nhân dân tỉnh trong phạm vi, nhiệm vụ quyền hạn của mình giám sát việc triển khai thực hiện Nghị quyết này.
Điều 3. Nghị quyết này đã được Hội đồng nhân dân tỉnh Quảng Bình Khóa XVIII, kỳ họp thứ 6 thông qua ngày 26 tháng 7 năm 2022 và có hiệu lực kể từ ngày 05 tháng 8 năm 2022./.
|
Nơi nhận: |
CHỦ TỊCH |
|
HỘI ĐỒNG NHÂN DÂN |
CỘNG HÒA XÃ HỘI CHỦ NGHĨA VIỆT NAM |
QUY ĐỊNH
Về nguyên tắc, tiêu chí và định mức phân bổ nguồn ngân sách nhà nước
thực hiện Chương trình mục tiêu quốc gia phát triển kinh tế - xã hội
vùng đồng bào dân tộc thiểu số và miền núi giai đoạn 2021 - 2025
và hằng năm trên địa bàn tỉnh Quảng Bình
(Kèm theo Nghị quyết số 27/2022/NQ-HĐND ngày 26 tháng 7 năm 2022
của Hội đồng nhân dân tỉnh Quảng Bình)
_________________
Chương I
NHỮNG QUY ĐỊNH CHUNG
Điều 1. Phạm vi điều chỉnh
Nghị quyết này quy định nguyên tắc, tiêu chí và định mức phân bổ nguồn ngân sách nhà nước thực hiện Chương trình mục tiêu quốc gia phát triển kinh tế - xã hội vùng đồng bào dân tộc thiểu số và miền núi giai đoạn 2021-2025 và hằng năm trên địa bàn tỉnh Quảng Bình (sau đây gọi là Chương trình); là căn cứ để lập kế hoạch, phân bổ vốn đầu tư trung hạn giai đoạn 2021-2025 và hằng năm nguồn ngân sách nhà nước thuộc Chương trình cho các sở, ban, ngành, Ủy ban nhân dân các huyện và các đơn vị sử dụng nguồn ngân sách nhà nước trên địa bàn tỉnh.
Điều 2. Đối tượng áp dụng
1. Các sở, ban, ngành, các tổ chức chính trị - xã hội cấp tỉnh; các huyện; các xã, thôn vùng đồng bào dân tộc thiểu số và miền núi trên địa bàn tỉnh và các đơn vị có quản lý, sử dụng vốn ngân sách nhà nước để thực hiện Chương trình (sau đây gọi là các sở, ngành và địa phương).
2. Cơ quan, tổ chức, cá nhân tham gia hoặc có liên quan đến lập kế hoạch đầu tư trung hạn và hằng năm nguồn ngân sách nhà nước thuộc Chương trình trong giai đoạn 2021-2025.
Điều 3. Nguyên tắc phân bổ vốn ngân sách trung ương trung hạn và hằng năm
1. Tổng nguồn vốn ngân sách trung ương trung hạn và hằng năm để thực hiện Chương trình phân bổ cho các sở, ngành và địa phương theo quy định tại Luật Ngân sách nhà nước, Luật đầu tư công và các văn bản hướng dẫn về nội dung này.
2. Việc lập, xây dựng kế hoạch, dự toán thực hiện Chương trình hằng năm của các sở, ngành và địa phương được thực hiện cùng với thời điểm xây dựng kế hoạch phát triển kinh tế - xã hội, kế hoạch đầu tư công và dự toán ngân sách hằng năm. Trình tự lập, xây dựng kế hoạch, dự toán và phân bổ ngân sách được thực hiện theo quy định của pháp luật và các văn bản hướng dẫn thực hiện.
3. Nguồn vốn phân bổ hằng năm của Chương trình phải phù hợp với kế hoạch trung hạn được phê duyệt và khả năng cân đối ngân sách hằng năm; ưu tiên bố trí vốn để hoàn thành các chương trình, dự án chuyển tiếp từ kế hoạch năm trước sang năm sau; ưu tiên các sở, ngành và địa phương giải ngân nhanh để sớm hoàn thành các mục tiêu, nhiệm vụ Chương trình.
Điều 4. Tiêu chí, định mức và phương pháp phân bổ nguồn vốn ngân sách trung ương thực hiện Chương trình
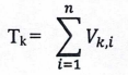
1. Tiêu chí, định mức và phương pháp tính toán, xác định nguồn vốn ngân sách trung ương (vốn đầu tư và vốn sự nghiệp) phân bổ cho các sở, ngành và địa phương được quy định chi tiết tại chương II của Nghị quyết này.

- i là dự án, tiểu dự án thứ i



- Vk,i: Vốn phân bổ của tiểu dự án, dự án thứ i cho địa phương thứ k.
- Xk,i: Số điểm dự án, tiểu dự án i của địa phương thứ k.
- Qi: Vốn định mức cho 01 điểm phân bổ của dự án, tiểu dự án i

Điều 5. Quy định tỷ lệ vốn đối ứng của ngân sách địa phương thực hiện Chương trình
Hằng năm, Tỉnh Quảng Bình nhận hỗ trợ từ ngân sách Trung ương mức từ 50% đến dưới 70%. Vì vậy, ngân sách địa phương đối ứng tối thiểu bằng 10% tổng ngân sách trung ương hỗ trợ thực hiện Chương trình. Về cơ cấu nguồn vốn đối ứng, cơ chế tài chính đối với từng dự án, tiểu dự án thuộc Chương trình thực hiện theo hướng dẫn của các bộ, ngành trung ương.
Chương II
NHỮNG QUY ĐỊNH CỤ THỂ
Điều 6. Phân bổ vốn ngân sách trung ương thực hiện Dự án 1: Giải quyết tình trạng thiếu đất ở, nhà ở, đất sản xuất, nước sinh hoạt
1. Phân bổ vốn đầu tư:
| TT | Nội dung tiêu chí | Số điểm | Số lượng | Tổng số điểm |
| 1 | Cứ 1 hộ được hỗ trợ đất ở | 0,4 | a | 0,4 x a |
| 2 | Cứ 1 hộ được hỗ trợ nhà ở | 0,4 | b | 0,4 x b |
| 3 | Cứ 1 hộ được hỗ trợ đất sản xuất | 0,225 | c | 0,225 x c |
|
| Tổng cộng |
|
| Xk,i |
b) Nội dung hỗ trợ nước sinh hoạt tập trung: Phân bổ theo danh mục đầu tư xây dựng công trình cụ thể đảm bảo tổng mức đầu tư cả giai đoạn theo đúng định mức quy định tại Quyết định số 39/2021/QĐ-TTg của Thủ tướng Chính phủ, trình cấp có thẩm quyền quyết định.
Phân bổ vốn cho các địa phương: Áp dụng phương pháp tính điểm theo các tiêu chí như sau:
|
TT |
Nội dung tiêu chí |
Số điểm |
Số lượng |
Tổng số điểm |
|
1 |
Cứ 1 hộ được hỗ trợ chuyển đổi nghề |
0,1 |
a |
0,1 x a |
|
2 |
Cứ 1 hộ được hỗ trợ nước sinh hoạt phân tán |
0,03 |
b |
0,03 x b |
|
|
Tổng cộng |
|
|
Xk,i |
Điều 7. Phân bổ vốn ngân sách trung ương thực hiện Dự án 2: Quy hoạch, sắp xếp, bố trí, ổn định dân cư ở những nơi cần thiết
Phân bổ cho các địa phương: Áp dụng phương pháp tính điểm theo các tiêu chí như sau:
|
TT |
Nội dung tiêu chí |
Số điểm |
|
1 |
Mỗi dự án có quy mô vốn đầu tư đến 01 tỷ đồng được tính 10 điểm |
10 |
|
2 |
Dự án có quy mô trên 01 tỷ đồng, cứ tăng thêm vốn đầu tư 100 triệu đồng được tính thêm |
01 |
|
3 |
Mỗi dự án tại xã biên giới được tính thêm |
5 |
|
|
Tổng cộng điểm |
Xk,i |
Phân bổ cho các địa phương: Áp dụng phương pháp tính điểm theo các tiêu chí như sau:
|
TT |
Nội dung tiêu chí |
Số điểm |
|
1 |
Mỗi dự án có quy mô vốn sự nghiệp đến 10 triệu đồng được tính 0,1 điểm; phần còn lại cứ tăng thêm vốn sự nghiệp 10 triệu được tính thêm |
0,1 |
|
|
Tổng cộng điểm |
Xk,i |
Điều 8. Phân bổ vốn ngân sách trung ương thực hiện Dự án 3: Phát triển sản xuất nông, lâm nghiệp bền vững, phát huy tiềm năng, thế mạnh của các vùng miền để sản xuất hàng hóa theo chuỗi giá trị
Phân bổ cho các địa phương: Áp dụng phương pháp tính điểm theo các tiêu chí như sau:
|
TT |
Nội dung tiêu chí |
Số điểm |
Số lượng (ha) |
Tổng số điểm |
|
1 |
Mỗi ha rừng được hỗ trợ khoán bảo vệ rừng đối với rừng đặc dụng, rừng phòng hộ. |
0,004 |
a |
0,004 x a |
|
2 |
Mỗi ha rừng bảo vệ rừng quy hoạch rừng phòng hộ và rừng sản xuất là rừng tự nhiên đã giao cho cộng đồng, hộ gia đình. |
0,004 |
b |
0,004 x b |
|
3 |
Mỗi ha rừng được hỗ trợ khoanh nuôi tái sinh có trồng rừng bổ sung |
0,016 |
c |
0,016 x c |
|
4 |
Mỗi ha rừng được hỗ trợ trồng rừng sản xuất, khai thác kinh tế dưới tán rừng và phát triển lâm sản ngoài gỗ. |
0,1 |
d |
0,1 x d |
|
5 |
Mỗi ha rừng được hỗ trợ trồng rừng phòng hộ |
0,3 |
đ |
0,3 x đ |
|
6 |
Mỗi tấn gạo trợ cấp trồng rừng cho hộ nghèo tham gia trồng rừng sản xuất, phát triển lâm sản ngoài gỗ, trồng rừng phòng hộ. |
0,12 |
e |
0,12 x e |
|
|
Tổng cộng điểm |
|
|
Xk,i |
2. Tiểu dự án 2: Hỗ trợ phát triển sản xuất theo chuỗi giá trị, vùng trồng dược liệu quý, thúc đẩy khởi sự kinh doanh, khởi nghiệp và thu hút đầu tư vùng đồng bào đồng bào dân tộc thiểu số và miền núi (vốn sự nghiệp)
a) Phân bổ vốn cho sở, ngành: Phân bổ cho Sở Nông nghiệp và Phát triển nông thôn tối đa 15%, Sở Công thương tối đa 4% tổng số vốn của Tiểu Dự án để hỗ trợ phát triển sản xuất theo chuỗi giá trị, vùng trồng dược liệu quý, thúc đẩy khởi sự kinh doanh, khởi nghiệp và thu hút đầu tư vùng đồng bào đồng bào dân tộc thiểu số và miền núi.
|
TT |
Nội dung tiêu chí |
Điểm |
Số lượng |
Tổng số điểm |
|
1 |
Mỗi xã ĐBKK (xã khu vực III) |
28 |
a |
28 x a |
|
2 |
Mỗi thôn ĐBKK không thuộc xã khu vực III (Số thôn ĐBKK được tính điểm phân bổ vốn không quá 04 thôn/xã) |
5 |
b |
5 x b |
|
3 |
Xã ĐBKK đồng thời là xã biên giới đất liền |
2 |
c |
2 x c |
|
4 |
Cứ 1% tỷ lệ hộ nghèo của xã ĐBKK |
0,15 |
d |
0,15 x d |
|
|
Tổng cộng điểm |
|
|
Xk,i |
Điều 9. Phân bổ vốn ngân sách trung ương thực hiện Dự án 4: Đầu tư cơ sở hạ tầng thiết yếu, phục vụ sản xuất, đời sống trong vùng đồng bào dân tộc thiểu số và miền núi
1. Phân bổ vốn đầu tư:
Áp dụng phương pháp tính điểm theo các tiêu chí như sau:
|
TT |
Nội dung tiêu chí |
Điểm |
Số lượng |
Tổng số điểm |
|
1 |
Mỗi xã ĐBKK (xã khu vực III) |
100 |
a |
100 x a |
|
2 |
Mỗi thôn ĐBKK không thuộc xã khu vực III (Số thôn ĐBKK được tính điểm phân bổ vốn không quá 04 thôn/xã ngoài khu vực III) |
15 |
b |
15 x b |
|
3 |
Xã ĐBKK (là xã biên giới) được tính |
10 |
c |
10 x c |
|
4 |
Cứ 01% tỷ lệ hộ nghèo của xã ĐBKK |
0,3 |
d |
0,3 x d |
|
|
Tổng cộng điểm |
|
|
Xk,i |
b) Các nội dung: Cứng hóa đường đến trung tâm xã, đường liên xã chưa được cứng hóa; xây mới, cải tạo nâng cấp chợ vùng dân tộc thiểu số và miền núi; cải tạo, nâng cấp sửa chữa trạm y tế xã phân bổ theo danh mục đầu tư xây dựng công trình cụ thể đảm bảo tổng mức đầu tư cả giai đoạn theo đúng định mức quy định tại Quyết định số 39/2021/QĐ-TTg của Thủ tướng Chính phủ, trình cấp có thẩm quyền quyết định.
Phân bổ vốn cho Sở Y tế và các địa phương triển khai thực hiện: Áp dụng phương pháp tính điểm theo các tiêu chí như sau:
|
TT |
Nội dung tiêu chí |
Điểm |
Số lượng |
Tổng số điểm |
|
1 |
Mỗi xã ĐBKK (xã khu vực III) |
9 |
a |
9 x a |
|
2 |
Mỗi thôn ĐBKK không thuộc xã khu vực III (Số thôn ĐBKK được tính điểm phân bổ vốn không quá 04 thôn/xã ngoài khu vực III) |
1,8 |
b |
1,8 x b |
|
3 |
Hỗ trợ trang thiết bị cho mỗi trạm y tế xây mới và cải tạo |
2,5 |
c |
2,5 x c |
|
4 |
Xã ĐBKK đồng thời là xã biên giới đất liền |
1 |
d |
1 x d |
|
5 |
Cứ 1% tỷ lệ hộ nghèo của xã ĐBKK |
0,03 |
đ |
0,03 x đ |
|
|
Tổng cộng điểm |
|
|
Xk,i |
Điều 10. Phân bổ vốn ngân sách trung ương thực hiện Dự án 5: Phát triển giáo dục đào tạo nâng cao chất lượng nguồn nhân lực
1. Tiểu dự án 1: Đổi mới hoạt động, củng cố phát triển các trường phổ thông dân tộc nội trú, trường phổ thông dân tộc bán trú, trường phổ thông có học sinh ở bán trú và xóa mù chữ cho người dân vùng đồng bào dân tộc thiểu số.
| TT | Nội dung tiêu chí | Số điểm | Số lượng | Tổng số điểm |
| 1 | Mỗi phòng công vụ giáo viên bổ sung, nâng cấp | 1,446 | a | 1,446 x a |
| 2 | Mỗi phòng ở cho học sinh bán trú, nội trú bổ sung, nâng cấp | 1,446 | b | 1,446 x b |
| 3 | Mỗi phòng quản lý cho học sinh bán trú, nội trú bổ sung, nâng cấp | 1,446 | c | 1,446 x c |
| 4 | Mỗi nhà ăn + nhà bếp bổ sung, nâng cấp | 5,784 | d | 5,784 x d |
| 5 | Mỗi nhà kho chứa lương thực bổ sung, nâng cấp | 4,5 | đ | 4,5 x đ |
| 6 | Mỗi công trình vệ sinh, nước sạch bổ sung, nâng cấp | 4,5 | e | 4,5 x e |
| 7 | Mỗi nhà sinh hoạt, giáo dục văn hóa dân tộc bổ sung, nâng cấp | 4,5 | g | 4,5 x g |
| 8 | Mỗi phòng học thông thường và phòng học bộ môn bổ sung, nâng cấp | 3,759 | h | 3,759 x h |
| 9 | Mỗi công trình phụ trợ khác (sân chơi, bãi tập, vườn ươm cây...) bổ sung, nâng cấp | 2 | k | 2 x k |
| 10 | Mỗi trường dân tộc nội trú cho huyện có đông đồng bào dân tộc thiểu số sinh sống nhưng chưa có hoặc phải đi thuê địa điểm để hoạt động | 450 | l | 450 x l |
|
| Tổng cộng điểm |
|
| Xk,i |
| TT | Nội dung tiêu chí | Điểm | Số lượng | Tổng số điểm |
| 1 | Mỗi người học xóa mù chữ | 0,5 | a | 0,5 x a |
| 2 | Mỗi lớp học xóa mù chữ | 10 | b | 10 x b |
| 3 | Mỗi bộ tài liệu, sách giáo khoa, văn phòng phẩm phát cho người học | 0,05 | c | 0,05 x b |
| 4 | Mỗi đơn vị (trường) mua sắm trang thiết bị | 500 | d | 500 x d |
|
| Tổng cộng điểm |
|
| Xk,i |
2. Tiểu dự án 2: Bồi dưỡng kiến thức dân tộc; đào tạo dự bị đại học, đại học và sau đại học đáp ứng nhu cầu nhân lực cho vùng đồng bào dân tộc thiểu số (vốn sự nghiệp)
Phân bổ 100% vốn Tiểu dự án cho Ban Dân tộc triển khai thực hiện.
| TT | Nội dung tiêu chí | Số điểm | Số lượng | Tổng điểm |
| 1 | Mỗi học viên được đào tạo nghề | 0,035 | a | 0,035 x a |
|
| Tổng cộng điểm |
|
| Xk,i |
4. Tiểu dự án 4: Đào tạo nâng cao năng lực cho cộng đồng và cán bộ triển khai Chương trình ở các cấp (vốn sự nghiệp)
Phân bổ 100% vốn Tiểu dự án cho Ban Dân tộc thực hiện.
Điều 11. Phân bổ vốn ngân sách trung ương thực hiện Dự án 6: Bảo tồn, phát huy giá trị văn hóa truyền thống tốt đẹp của các dân tộc thiểu số gắn với phát triển du lịch
|
TT |
Nội dung tiêu chí |
Số điểm |
Số lượng |
Tổng số điểm |
|
1 |
Hỗ trợ đầu tư xây dựng cho mỗi một điểm đến du lịch tiêu biểu |
7 |
a |
7 x a |
|
2 |
Hỗ trợ đầu tư bảo tồn mỗi một làng, bản truyền thống tiêu biểu của các dân tộc thiểu số |
60 |
b |
60 x b |
|
3 |
Hỗ trợ đầu tư xây dựng thiết chế văn hóa, thể thao tại các thôn, bản vùng đồng bào dân tộc thiểu số và miền núi |
2 |
c |
2 x c |
|
4 |
Hỗ trợ xây dựng mỗi một mô hình bảo tàng sinh thái nhằm bảo tàng hóa di sản văn hóa phi vật thể trong cộng đồng các dân tộc thiểu số, hướng tới phát triển cộng đồng du lịch |
60 |
d |
60 x d |
|
|
Tổng cộng điểm |
|
|
Xk,i |
2. Phân bổ vốn sự nghiệp:
|
TT |
Nội dung tiêu chí |
Số điểm |
Số lượng |
Tổng số điểm |
|
1 |
Khôi phục, bảo tồn và phát triển bản sắc văn hóa truyền thống cho mỗi dân tộc có khó khăn đặc thù |
50 |
a |
50 x a |
|
2 |
Khảo sát, kiểm kê, sưu tầm, tư liệu hóa di sản văn hóa truyền thống của đồng bào dân tộc thiểu số vùng đồng bào dân tộc thiểu số và miền núi |
10 |
b |
10 x b |
|
3 |
Tổ chức bảo tồn các loại hình văn hóa phi vật thể (mỗi lễ hội; mỗi mô hình văn hóa truyền thống; mỗi dự án nghiên cứu, phục dựng, bảo tồn; mỗi chương trình tuyên truyền, quảng bá văn hóa truyền thống văn hóa các dân tộc thiểu số…) |
3,5 |
c |
3,5 x c |
|
4 |
Tổ chức mỗi lớp tập huấn, truyền dạy, câu lạc bộ (mỗi lớp tập huấn; mỗi câu lạc bộ sinh hoạt văn hóa dân gian...) |
2 |
d |
2 x d |
|
5 |
Xây dựng nội dung, xuất bản mỗi ấn phẩm xuất bản sách, đĩa, đĩa phim tư liệu về văn hóa truyền thống đồng bào dân tộc thiểu số |
20 |
đ |
20 x đ |
|
6 |
Tổ chức Ngày hội, Giao lưu, Liên hoan về các loại hình văn hóa, nghệ thuật truyền thống của đồng bào dân tộc thiểu số |
10 |
e |
10 x e |
|
7 |
Hỗ trợ xây dựng tủ sách cộng đồng cho mỗi xã vùng đồng bào dân tộc thiểu số và miền núi |
0,3 |
g |
0,3 x g |
|
8 |
Tổ chức mỗi hoạt động thi đấu thể thao truyền thống trong các dân tộc thiểu số |
3 |
h |
3 x h |
|
|
Tổng cộng điểm |
|
|
Xk,i |
|
TT |
Nội dung tiêu chí |
Số điểm |
Số lượng |
Tổng số điểm |
|
1 |
Hỗ trợ mỗi nghệ nhân nhân dân, nghệ nhân ưu tú người dân tộc thiểu số trong việc lưu truyền, phổ biến hình thức sinh hoạt văn hóa truyền thống và đào tạo, bồi dưỡng những người kế cận |
0,6 |
i |
0,6 x i |
|
2 |
Hỗ trợ hoạt động cho mỗi đội văn nghệ truyền thống |
0,5 |
k |
0,5 x k |
|
3 |
Hỗ trợ trang thiết bị cho mỗi nhà văn hóa tại các thôn vùng đồng bào dân tộc thiểu số |
0,3 |
l |
0,3 x l |
|
|
Tổng cộng điểm |
|
|
Xk,i |
Phân bổ cho Sở Y tế triển khai thực hiện tại các huyện: Áp dụng phương pháp tính điểm của các tiêu chí như sau:
|
TT |
Nội dung tiêu chí |
Số điểm |
Số lượng |
Tổng số điểm |
|
1 |
Mỗi xã khu vực III |
50 |
a |
50 x a |
|
2 |
Mỗi xã khu vực II |
30 |
b |
30 x b |
|
3 |
Mỗi xã khu vực I |
15 |
c |
15 x c |
|
|
Tổng cộng điểm |
|
|
Xk,i |
Điều 13. Phân bổ vốn ngân sách trung ương thực hiện Dự án 8: Thực hiện bình đẳng giới và giải quyết vấn đề cấp thiết đối với phụ nữ và trẻ em (vốn sự nghiệp)
1. Phân bổ cho sở, ngành: Phân bổ cho Hội Liên hiệp phụ nữ tỉnh tối đa 40% tổng vốn sự nghiệp của dự án.
| TT | Nội dung tiêu chí | Điểm | Số lượng | Tổng số điểm |
| 1 | Mỗi xã ĐBKK (xã khu vực III) | 10 | a | 10 x a |
| 2 | Mỗi thôn ĐBKK không thuộc xã khu vực III (số thôn ĐBKK được tính điểm phân bổ vốn không quá 04 thôn/xã ngoài khu vực III) | 2 | b | 2 x b |
| 3 | Mỗi xã ĐBKK là xã biên giới được tính thêm | 1 | c | 1 x c |
|
| Tổng cộng điểm |
|
| Xk,i |
Điều 14. Phân bổ vốn ngân sách trung ương thực hiện Dự án 9: Đầu tư phát triển nhóm dân tộc thiểu số còn nhiều khó khăn và có khó khăn đặc thù
1. Tiểu Dự án 1: Đầu tư tạo sinh kế bền vững, phát triển kinh tế - xã hội nhóm dân tộc thiểu số còn nhiều khó khăn và có khó khăn đặc thù
a) Phân bổ vốn đầu tư: Phân bổ theo danh mục đầu tư xây dựng công trình cụ thể đảm bảo tổng mức đầu tư cả giai đoạn theo đúng định mức quy định tại Quyết định số 39/2021/QĐ-TTg của Thủ tướng Chính phủ đối với từng xã, thôn bản, trình cấp có thẩm quyền quyết định.
| TT | Nội dung tiêu chí | Điểm | Số lượng | Tổng số điểm |
| 1 | Mỗi hộ DTTS còn gặp nhiều khó khăn và có khó khăn đặc thù thuộc địa bàn đầu tư | 0,15 | a | 0,15 x a |
| 2 | Mỗi thôn ĐBKK có DTTS có khó khăn đặc thù sống thành cộng đồng thuộc diện đầu tư | 19 | b | 19 x b |
|
| Tổng cộng điểm |
|
| Xk,i |
2. Tiểu Dự án 2: Giảm thiểu tình trạng tảo hôn và hôn nhân cận huyết thống trong vùng đồng bào dân tộc thiểu số và miền núi (vốn sự nghiệp)
a) Phân bổ vốn cho sở, ngành: Phân bổ cho Ban Dân tộc tối đa 50% tổng vốn sự nghiệp của Tiểu Dự án.
| TT | Nội dung tiêu chí | Điểm | Số lượng | Tổng số điểm |
| 1 | Mỗi tỷ lệ tảo hôn + Tỷ lệ hôn nhân cận huyết thống | 5 | a | 5 x a |
| 2 | Mỗi xã khu vực I | 1 | b | 1 x b |
| 3 | Mỗi xã khu vực II | 1,5 | c | 1,5 x c |
| 4 | Mỗi xã khu vực III | 3 | d | 3 x d |
| 5 | Mỗi mô hình được thực hiện | 2 | đ | 2 x đ |
|
| Tổng cộng điểm |
|
| Xk,i |
Điều 15. Phân bổ vốn ngân sách trung ương thực hiện Dự án 10: Truyền thông, tuyên truyền, vận động trong vùng đồng bào dân tộc thiểu số và miền núi. Kiểm tra, giám sát, đánh giá việc tổ chức thực hiện Chương trình
1. Tiểu dự án 1: Biểu dương, tôn vinh điển hình tiên tiến, phát huy vai trò của người có uy tín; phổ biến, giáo dục pháp luật, trợ giúp pháp lý và tuyên truyền, vận động đồng bào; truyền thông phục vụ tổ chức triển khai thực hiện Đề án Tổng thể và Chương trình mục tiêu quốc gia phát triển kinh tế - xã hội vùng đồng bào dân tộc thiểu số và miền núi giai đoạn 2021-2030 (vốn sự nghiệp)
a) Phân bổ vốn cho sở, ngành: tối đa 67% tổng vốn sự nghiệp của Tiểu dự án (Ban Dân tộc: tối đa 61 %, Bộ Chỉ huy Bộ đội biên phòng: tối đa 2%, Sở Tư pháp: tối đa 1%, Sở Thông tin và Truyền thông: tối đa: 3%).
| TT | Nội dung tiêu chí | Điểm | Số lượng | Tổng số điểm |
| 1 | Mỗi xã thuộc vùng đồng bào DTTS được tính | 27 | a | 27 x a |
|
| Tổng cộng điểm |
|
| Xk,i |
2. Tiểu dự án 2: Ứng dụng công nghệ thông tin hỗ trợ phát triển kinh tế - xã hội và đảm bảo an ninh trật tự vùng đồng bào dân tộc thiểu số và miền núi
a) Phân bổ vốn đầu tư: Phân bổ theo danh mục đầu tư xây dựng công trình cụ thể đảm bảo tổng mức đầu tư cả giai đoạn theo đúng định mức quy định tại Quyết định số 39/2021/QĐ-TTg của Thủ tướng Chính phủ đối với từng xã, thôn bản, trình cấp có thẩm quyền quyết định.
| TT | Nội dung tiêu chí | Điểm | Số lượng | Tổng số điểm |
| 1 | Mỗi xã ĐBKK thuộc vùng đồng bào dân tộc thiểu số | 30 | a | 30 x a |
| 2 | Mỗi thôn ĐBKK không thuộc xã khu vực III (số thôn ĐBKK được tính điểm phân bổ vốn không quá 4 thôn/xã) | 0,5 | b | 0,5 x b |
|
| Tổng cộng điểm |
|
| Xk,i |
3. Tiểu dự án 3: Kiểm tra, giám sát, đánh giá, đào tạo, tập huấn tổ chức thực hiện Chương trình (vốn sự nghiệp)
a) Phân bổ cho các cơ quan cấp tỉnh: tối đa 55% tổng vốn sự nghiệp của Tiểu Dự án (Ban Dân tộc: tối đa 23,5%, Sở Nông nghiệp và Phát triển nông thôn: tối đa 2,5%, Sở Giáo dục và Đào tạo: tối đa 1%, Sở Y tế: tối đa 1%, Hội Liên hiệp Phụ nữ tỉnh: tối đa 1%, Ủy ban Mặt trận Tổ quốc Việt Nam tỉnh: tối đa 10%; Sở Văn hóa - Thể thao: tối đa 1%; Sở Du lịch: tối đa 1%; Sở Công thương: tối đa 1%, Sở Kế hoạch và Đầu tư: tối đa 1%, Sở Tài chính: tối đa 1%, Sở Giao thông Vận tải: tối đa 1%; Ngân hàng Nhà nước tỉnh: tối đa 1%, Ngân hàng chính sách xã hội tỉnh: tối đa 1%, Ban Dân vận: tối đa 1%, Sở Tư pháp: tối đa 1%, Sở Thông tin và Truyền thông: tối đa 1%, Liên minh Hợp tác xã: tối đa 1%, Hội nông dân: tối đa 1%, Tỉnh đoàn: tối đa 1%, Bộ Chỉ huy Bộ đội Biên phòng tỉnh: tối đa 1%, Sở Lao động Thương binh và Xã hội: tối đa 1%).
| TT | Nội dung tiêu chí | Điểm | Số lượng | Tổng số điểm |
| 1 | Mỗi xã khu vực III | 5 | a | 5 x a |
| 2 | Mỗi xã khu vực II | 2 | b | 2 x b |
| 3 | Mỗi xã khu vực I | 1 | c | 1 x c |
|
| Tổng số |
|
| Xk,i |
Bạn chưa Đăng nhập thành viên.
Đây là tiện ích dành cho tài khoản thành viên. Vui lòng Đăng nhập để xem chi tiết. Nếu chưa có tài khoản, vui lòng Đăng ký tại đây!
Bạn chưa Đăng nhập thành viên.
Đây là tiện ích dành cho tài khoản thành viên. Vui lòng Đăng nhập để xem chi tiết. Nếu chưa có tài khoản, vui lòng Đăng ký tại đây!