- Tổng quan
- Nội dung
- Tiêu chuẩn liên quan
- Lược đồ
- Tải về
Tiêu chuẩn quốc gia TCVN 13943-16:2024 BS EN 14617-16:2005 Đá nhân tạo - Phương pháp thử - Phần 16: Xác định kích thước, đặc điểm hình học và chất lượng bề mặt
| Số hiệu: | TCVN 13943-16:2024 | Loại văn bản: | Tiêu chuẩn Việt Nam |
| Cơ quan ban hành: | Bộ Khoa học và Công nghệ | Lĩnh vực: | Xây dựng , Công nghiệp |
| Trích yếu: | BS EN 14617-16:2005 Đá nhân tạo - Phương pháp thử - Phần 16: Xác định kích thước, đặc điểm hình học và chất lượng bề mặt | ||
|
Ngày ban hành:
Ngày ban hành là ngày, tháng, năm văn bản được thông qua hoặc ký ban hành.
|
16/10/2024 |
Hiệu lực:
|
Đã biết
|
| Người ký: | Đang cập nhật |
Tình trạng hiệu lực:
Cho biết trạng thái hiệu lực của văn bản đang tra cứu: Chưa áp dụng, Còn hiệu lực, Hết hiệu lực, Hết hiệu lực 1 phần; Đã sửa đổi, Đính chính hay Không còn phù hợp,...
|
Đã biết
|
TÓM TẮT TIÊU CHUẨN VIỆT NAM TCVN 13943-16:2024
Tiêu chuẩn TCVN 13943-16:2024: Phương pháp thử xác định kích thước và chất lượng bề mặt đá nhân tạo
Tiêu chuẩn quốc gia TCVN 13943-16:2024 được ban hành nhằm xác định kích thước, đặc điểm hình học và chất lượng bề mặt của đá nhân tạo. Văn bản này được xây dựng dựa trên tiêu chuẩn BS EN 14617-16:2005 và được Viện Vật liệu Xây dựng biên soạn, Bộ Xây dựng đề nghị, đã được Tổng cục Tiêu chuẩn Đo lường Chất lượng thẩm định và Bộ Khoa học và Công nghệ công bố.
Tiêu chuẩn TCVN 13943:2024 bao gồm nhiều phần, trong đó phần 16 quy định rõ các phương pháp thử để xác định những đặc tính cơ bản như chiều dài, chiều rộng, độ dày, độ thẳng cạnh, độ vuông góc và độ phẳng bề mặt của các mẫu đá nhân tạo dạng mô-đun tấm ốp lát.
1. Phạm vi áp dụng tiêu chuẩn (Phần 1)
Tiêu chuẩn này quy định cách xác định các đặc tính kích thước (chiều dài, chiều rộng, độ dày,..) và chất lượng bề mặt của đá nhân tạo. Đặc biệt, các mẫu thử phải có kích thước tiêu chuẩn, thường là 12 mm về độ dày.
2. Xác định kích thước (Phần 2)
- Chiều dài và chiều rộng: Phải sử dụng dụng cụ đo chính xác như thước cặp calip. Việc đo thực hiện trên 10 viên mẫu và các giá trị đo phải chính xác đến 0,1 mm.
- Chiều dày: Sử dụng panme hoặc thiết bị tương tự để đo chiều dày tại các vị trí khác nhau trên viên mẫu.
- Độ thẳng cạnh và độ vuông góc: Cần dùng thiết bị đo độ thẳng cạnh và độ vuông góc, đồng thời sử dụng chuẩn cụ thể để đảm bảo tính chính xác.
3. Độ phẳng bề mặt (Phần 3)
Tiêu chuẩn quy định cách kiểm tra độ phẳng bề mặt đá nhân tạo bằng cách đo ở ba vị trí. Đo chính xác từ bề mặt mẫu xuống tấm chuẩn, kết quả phải biểu diễn bằng phần trăm hoặc milimét dựa trên kích thước làm việc.
4. Chất lượng bề mặt (Phần 4)
Tiêu chuẩn mô tả các khuyết tật bề mặt như nứt, mẻ, hoặc các điểm ô nhiễm. Việc xác định chất lượng bề mặt yêu cầu kiểm tra tối thiểu 10 viên mẫu trong điều kiện ánh sáng tiêu chuẩn và sử dụng những công cụ phù hợp. Kết quả được biểu diễn bằng tỷ lệ mẫu không có khuyết tật.
5. Báo cáo thử nghiệm
Báo cáo kết quả thử nghiệm cần cung cấp đầy đủ thông tin như viện dẫn tiêu chuẩn này, mô tả mẫu thử, các giá trị đo cụ thể, và tỷ lệ mẫu không có khuyết tật. Hình thức trình bày cũng cần nhất quán và dễ hiểu, nhằm phục vụ cho việc đánh giá và sử dụng sản phẩm đá nhân tạo trong xây dựng.
Kết luận, tiêu chuẩn TCVN 13943-16:2024 là cơ sở pháp lý quan trọng nhằm tăng cường chất lượng sản phẩm đá nhân tạo, từ đó đảm bảo tính an toàn, bền vững cho các công trình xây dựng và đáp ứng nhu cầu của thị trường.
Tải tiêu chuẩn Việt Nam TCVN 13943-16:2024
TIÊU CHUẨN QUỐC GIA
TCVN 13943-16:2024
BS EN 14617-16:2005
ĐÁ NHÂN TẠO - PHƯƠNG PHÁP THỬ
PHẦN 16: XÁC ĐỊNH KÍCH THƯỚC, ĐẶC ĐIỂM HÌNH HỌC VÀ CHẤT LƯỢNG BỀ MẶT
Agglomerated stone - Test Methods
Part 16: Determination of dimensions, geometric characteristics and surface quality
Lời nói đầu
TCVN 13943-16:2024 xây dựng dựa trên cơ sở tham khảo BS EN 14617-16:2005
TCVN 13943-16:2024 do Viện Vật liệu Xây dựng biên soạn, Bộ Xây dựng đề nghị, Tổng cục Tiêu chuẩn Đo lường Chất lượng thẩm định, Bộ Khoa học và Công nghệ công bố.
Tiêu chuẩn TCVN 13943:2024 Đá nhân tạo - Phương pháp thử, bao gồm các phần sau:
- TCVN 13943-1:2024 (BS EN 14617-1:2013) Phần 1: Xác định khối lượng thể tích và độ hút nước;
- TCVN 13943-2:2024 (BS EN 14617-2:2016) Phần 2: Xác định độ bền uốn (uốn gãy),
- TCVN 13943-4:2024 (BS EN 14617-4:2012) Phần 4: Xác định độ mài mòn;
- TCVN 13943-5:2024 (BS EN 14617-5:2012) Phần 5; Xác định độ bền đóng băng và tan băng;
- TCVN 13943-6:2024 (BS EN 14617-6:2012) Phần 6: Xác định độ bền sốc nhiệt;
- TCVN 13943-8:2024 (BS EN 14617-8:2007) Phần 8: Xác định độ bền lỗ chốt;
- TCVN 13943-9:2024 (BS EN 14617-9:2005) Phần 9: Xác định độ bền va đập;
- TCVN 13943-10:2024 (BS EN 14617-10:2012) Phần 10: Xác định độ bền hóa học;
- TCVN 13943-11:2024 (BS EN 14617-11:2005) Phần 11: Xác định hệ số giãn nở nhiệt dài;
- TCVN 13943-12:2024 (BS EN 14617-12:2012) Phần 12: Xác định độ ổn định kích thước;
- TCVN 13943-13:2024 (BS EN 14617-13:2013) Phần 13: Xác định độ cách điện;
- TCVN 13943-15:2024 (BS EN 14617-15:2005) Phần 15: Xác định cường độ chịu nén;
- TCVN 13943-16:2024 (BS EN 14617-16:2005) Phần 16: Xác định kích thước, đặc điểm hình học và chất lượng bề mặt.
ĐÁ NHÂN TẠO - PHƯƠNG PHÁP THỬ
PHẦN 16: XÁC ĐỊNH KÍCH THƯỚC, ĐẶC ĐIỂM HÌNH HỌC VÀ CHẤT LƯỢNG BỀ MẶT
Agglomerated stone - Test Methods
Part 16: Determination of dimensions, geometric characteristics and surface quality
1 Phạm vi áp dụng
Tiêu chuẩn này quy định các phương pháp xác định các đặc tính kích thước (chiều dài, chiều rộng, độ dày, độ thẳng của các cạnh, độ vuông góc, độ phẳng bề mặt) và chất lượng bề mặt của đá nhân tạo dạng mô-đun tấm ốp lát.
2 Thuật ngữ và định nghĩa
2.1
Tấm ốp lát mô-đun (Modular tile)
Viên mẫu nhân tạo có kích thước tiêu chuẩn, thường có độ dày 12 mm.
3 Xác định chiều dài và chiều rộng
3.1 Thiết bị, dụng cụ
Thước cặp calip, hoặc thiết bị thích hợp khác để đo chiều dài.
3.2 Mẫu thử nghiệm
Phải sử dụng mười viên mẫu để thử nghiệm.
3.3 Cách tiến hành
Đo chính xác đến 0,1 mm mỗi cạnh bên của mẫu được thử nghiệm, tại các vị trí cách các góc 5 mm.
3.4 Biểu thị kết quả
Với mẫu hình vuông, kích thước trung bình của cạnh là trung bình cộng của bốn giá trị đo. Kích thước trung bình của tổ mẫu thí nghiệm là trung bình cộng của 40 giá trị đo
Với mẫu hình chữ nhật, kích thước trung bình cạnh là trung bình của hai giá trị đo cạnh tương ứng của từng cặp cạnh mẫu. Kích thước trung bình cạnh dài, rộng của tổ mẫu thí nghiệm là trung bình cộng của 20 giá trị đo tương ứng.
3.5 Báo cáo thử nghiệm
Báo cáo thử nghiệm phải bao gồm các thông tin sau:
a) Viện dẫn đến tiêu chuẩn này;
b) Tên của nhà sản xuất và/hoặc nhà cung cấp:
c) Mô tả của mẫu;
d) Tất cả các giá trị đo chiều dài và chiều rộng;
e) Kích thước trung bình cạnh của từng viên mẫu thí nghiệm hình vuông và kích thước trung bình cạnh dài, rộng của mỗi viên mẫu hình chữ nhật;
f) Kích thước trung bình của 10 viên mẫu thí nghiệm hình vuông và kích thước trung bình cạnh dài, rộng của 10 viên mẫu hình chữ nhật;
g) Sai lệch kích thước trung bình của cạnh, tính bằng phần trăm của mỗi viên mẫu (hai cạnh hoặc bốn cạnh) so với kích thước làm việc;
h) Sai lệch kích thước trung bình của cạnh, tính bằng phần trăm của mỗi viên mẫu (hai hoặc bốn cạnh) so với kích thước trung bình của tổ mẫu 10 viên (20 cạnh hoặc 40 cạnh).
4 Xác định chiều dày
4.1 Thiết bị, dụng cụ
Panme, đường kính từ 5 mm đến 10 mm, hoặc thiết bị thích hợp khác.
4.2 Mẫu thử nghiệm
Phải sử dụng mười viên mẫu để thử nghiệm.
4.3 Cách tiến hành
Đối với tất cả các mẫu, Kẻ hai đường chéo nối các góc và đo chiều dày tại điểm dày nhất của bốn đoạn kẻ. Chiều dày trung bình của mỗi viên mẫu là giá trị trung bình của bốn vị trí đo, sai số đo lấy chính xác đến 0,1 mm.
4.4 Biểu thị kết quả
Đối với tất cả các viên mẫu, chiều dày trung bình của từng viên mẫu là giá trị trung bình của 4 số đo. Chiều dày trung bình của tổ mẫu thí nghiệm là giá trị trung bình của 40 giá trị đo.
4.5 Báo cáo thử nghiệm
Báo cáo thử nghiệm phải bao gồm các thông tin sau:
a) Viện dẫn tiêu chuẩn này;
b) Tên của nhà sản xuất và/hoặc nhà cung cấp;
c) Mô tả của mẫu;
d) Tất cả các giá trị đo chiều dày;
e) Chiều dày trung bình của mỗi viên mẫu;
f) Sai lệch chiều dày trung bình của mỗi viên mẫu với chiều dày làm việc tính bằng phần trăm hoặc tính bằng milimét (theo yêu cầu của tiêu chuẩn sản phẩm)
5 Xác định độ thẳng cạnh
5.1 Thuật ngữ và định nghĩa
Trong tiêu chuẩn này sử dụng các thuật ngữ và định nghĩa sau:
5.1.1
Độ thẳng cạnh (Straightness of sides)
Chênh lệch độ thẳng tại điểm giữa của một cạnh nằm trong một mặt phẳng của tấm.
Phép đo chỉ liên quan đến các cạnh thẳng của mẫu (Hình 1) và được tính theo phần trăm, sử dụng công thức:
![]()
Trong đó
C là chênh lệch độ thẳng cạnh tại điểm giữa cạnh đo;
L là chiều dài của cạnh được đo.
5.2 Thiết bị, dụng cụ
5.2.1 Thiết bị, dụng cụ như thể hiện trong Hình 1, hoặc bất kỳ thiết bị thích hợp nào khác.
Đồng hồ sơ (DF) được sử dụng để đo độ thẳng cạnh.
5.2.2 Tấm hiệu chuẩn, đạt độ chính xác về kích thước, thẳng cạnh và phẳng.
5.3 Mẫu thử nghiệm
Phải sử dụng mười viên mẫu để thử nghiệm.
5.4 Cách tiến hành
Chọn một thiết bị có kích thước thích hợp (5.2.1) để khi một viên mẫu được đặt vào thiết bị, trên các vấu đỡ (SA, SB, SC), các vấu định vị (IA, IB, IC) các đều mỗi góc là 5mm trên cạnh đo. (Xem Hình 1.)
Đặt chính xác tấm hiệu chuẩn thích hợp (5.2.2) vào vị trí trên thiết bị và điều chỉnh số đọc trên đồng hồ đo đến một giá trị xác định.
Tháo tắm hiệu chuẩn, đặt bề mặt thích hợp của viên mẫu lên các vấu định vị trong thiết bị và ghi lại số đọc trên đồng hồ sơ đặt tại tâm của cạnh đo. Nếu viên mẫu là hình vuông, xoay tấm để đo bốn lần. Lặp lại quy trình này cho từng viên được kiểm tra. Trong trường hợp mẫu hình chữ nhật, sử dụng các dụng cụ kích thước riêng biệt phù hợp để đo chiều dài và chiều rộng. Đo chính xác đến 0,1 mm.
5.5 Báo cáo thử nghiệm
Báo cáo thử nghiệm phải bao gồm các thông tin sau:
a) Viện dẫn tiêu chuẩn này;
b) Tên của nhà sản xuất và/hoặc nhà cung cấp;
c) Mô tả về mẫu;
d) Tất cả các giá trị đo độ thẳng cạnh của các cạnh;
e) Sai lệch độ thẳng cạnh lớn nhất tính theo phần trăm so với kích thước làm việc.
6 Xác định độ vuông góc
6.1 Thuật ngữ và định nghĩa
Trong tiêu chuẩn này sử dụng các thuật ngữ và định nghĩa sau:
6.1.1
Độ vuông góc (Deviation from rectangularly)
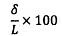
Sự sai lệch góc của viên mẫu khi được áp lên góc của tấm hiệu chuẩn (xem Hình 3), độ vuông góc, tính bằng phần trăm, theo công thức:
![]()
Trong đó
δ là chênh lệch góc tính theo cạnh kề góc đo của viên mẫu so với cạnh của tấm hiệu chuẩn (đo tại vị trí cách góc 5mm);
L là chiều dài của cạnh liền kề góc đo của viên mẫu
6.2 Thiết bị, dụng cụ
6.2.1 Thiết bị, dụng cụ như thể hiện trong Hình 1, hoặc bất kỳ thiết bị thích hợp nào khác.
Đồng hồ sơ (DA) được sử dụng để đo độ vuông góc.
6.2.2 Tấm hiệu chuẩn, đạt độ chính xác về kích thước, thẳng cạnh và phẳng.
6.3 Mẫu thử nghiệm
Phải sử dụng mười viên mẫu để thử nghiệm.
6.4 Cách tiến hành
Chọn một thiết bị có kích thước thích hợp (6.2.1) để khi một viên mẫu được đặt vào thiết bị, trên các vấu đỡ (SA, SB, SC), các vấu định vị (IA, IB, IC) cách đều mỗi góc có cạnh đo là 5mm trên cạnh đo. (Xem Hình 1.) Chốt đẩy của đồng hồ sơ (Da) cũng phải cách đều góc có cạnh được đo 5 mm. (Xem Hình 1.).
Đặt chính xác tấm hiệu chuẩn thích hợp (6.2.2) vào vị trí đo và điều chỉnh số đọc trên đồng hồ đo đến một giá trị xác định.
Tháo tấm hiệu chuẩn, đặt bề mặt thích hợp của viên mẫu lên các vấu định vị trong thiết bị và ghi lại số đọc trên đồng hồ sơ đặt tại tâm của cạnh đo. Nếu viên mẫu là hình vuông, xoay tấm để đo bốn lần. Lặp lại quy trình này cho mỗi cạnh của viên mẫu vuông. Lặp lại quy trình này cho từng viên mẫu được kiểm tra. Trong trường hợp mẫu mẫu hình chữ nhật, sử dụng các dụng cụ có kích thước riêng biệt phù hợp để đo chiều dài và chiều rộng. Đo chính xác đến 0,1 mm.
6.5 Báo cáo thử nghiệm
Báo cáo thử nghiệm phải bao gồm các thông tin sau:
a) Viện dẫn tiêu chuẩn này;
b) Tên của nhà sản xuất và/hoặc nhà cung cấp;
c) Mô tả về mẫu;
d) Tất cả giá trị đo độ vuông góc
e) Sai lệch độ vuông góc lớn nhất tính theo phần trăm so với kích thước làm việc
7 Xác định độ phẳng mặt (cong và vênh)
7.1 Thuật ngữ và định nghĩa
Trong tiêu chuẩn này sử dụng các thuật ngữ và định nghĩa sau:
7.1.1
Độ phẳng mặt (Surface flatness)
Được xác định bằng các phép đo ở ba vị trí trên bề mặt của viên mẫu.
7.1.2
Độ cong tâm (Centre curvature)
Sai lệch vị trí trung tâm trên mặt viên mẫu không cùng nằm trên mặt phẳng của ba trong bốn gọc viên mẫu so với đường chéo của viên mẫu. (Xem Hình 4)
7.1.3
Độ cong cạnh mép (Edge curvature)
Sai lệch vị trí mép cạnh của viên mẫu không cùng nằm trên mặt phẳng ba trong bốn góc viên mẫu so với đường chéo của viên mẫu. (Xem Hình 5)
7.1.4
Độ vênh góc (Warpage)
Sai lệch vị trí của một góc không cùng nằm trên mặt phẳng của ba góc kia so với đường chéo của viên mẫu. (Xem Hình 6)
7.2 Thiết bị, dụng cụ
7.2.1 Thiết bị, dụng cụ như thể hiện trong Hình 1, hoặc bất kỳ thiết bị thích hợp nào khác.
Để đo độ phẳng mặt của mẫu, các vấu đỡ (SA, SB, SC) phải có đường kính 5 mm. Với loại tấm ốp lát có bề mặt khác có thể dùng các vẫu đỡ thích hợp khác.
7.2.2 Tấm hiệu chuẩn phẳng hoàn toàn, bằng kim loại hoặc thủy tinh và dày ít nhất 10 mm cho thiết bị được mô tả trong 7.2.1.
7.3 Mẫu thử nghiệm
Phải sử dụng mười viên mẫu để thử nghiệm.
7.4 Cách tiến hành
Chọn một thiết bị có kích thước phù hợp (7.2.1) và đặt tấm hiệu chuẩn tương ứng (7.2.2) chính xác vào vị trí tỳ lên đỉnh của ba vấu đỡ được định vị chính xác (SA, SB, SC). Tâm của mỗi vấu đỡ phải cách mặt của viên mẫu 10 mm và hai đầu đo của đồng hồ (DE, DC) phải cách đều góc có cạnh viên mẫu 10 mm. Điều chỉnh ba đồng hồ đo (DD, DE, DC) về giá trị xác định. (Xem Hình 1.)
Tháo tấm hiệu chuẩn, đặt bề mặt thích hợp của viên mẫu lên các vấu định vị trong thiết bị và ghi lại số đọc trên đồng hồ sơ đặt tại tâm của cạnh đo. Nếu viên mẫu là hình vuông, xoay tấm để đo bốn lần. Lặp lại quy trình này cho mỗi mẫu thử được kiểm tra. Trong trường hợp mẫu hình chữ nhật, sử dụng các dụng cụ có kích thước riêng biệt phù hợp. Ghi lại sai lệch lớn nhất về độ cong tâm (DD), độ cong cạnh mép (DE) và độ vênh góc (DC) cho từng viên mẫu. Đo chính xác đến 0,1 mm.
7.5 Biểu thị kết quả
Độ cong tâm được tính bằng phần trăm so với chiều dài đường chéo.
Độ cong cạnh tính theo phần trăm đối với
- Chiều dài và chiều rộng đối với mẫu hình chữ nhật;
- Cạnh của mẫu hình vuông.
Độ vênh góc tính theo phần trăm so với chiều dài đường chéo. Các phép đo đối với tám ốp lát có vấu đệm phải được biểu thị bằng milimét.
7.6 Báo cáo thử nghiệm
Báo cáo thử nghiệm phải bao gồm các thông tin sau:
a) Viện dẫn Tiêu chuẩn này;
b) Tên của nhà sản xuất và/hoặc nhà cung cấp;
c) Mô tả về mẫu;
d) Tất cả các giá trị đo độ cong tâm;
e) Tất cả các giá trị đo độ cong cạnh mép;
f) Tất cả các giá trị đo độ vênh góc;
g) Độ cong tâm lớn nhất, tính bằng phần trăm hoặc milimét (theo yêu cầu của tiêu chuẩn sản phẩm) so với đường chéo được tính từ kích thước làm việc của viên mẫu;
h) Độ cong cạnh mép lớn nhất, tính bằng phần trăm hoặc milimét (theo yêu cầu của tiêu chuẩn sản phẩm), so với đường chéo được tỉnh từ kích thước làm việc của viên mẫu;
i) Độ vênh góc lớn nhất, tính bằng phần trăm hoặc milimét (theo yêu cầu của tiêu chuẩn sản phẩm), so với đường chéo được tính từ kích thước làm việc của viên mẫu.
8 Chất lượng bề mặt
8.1 Các thuật ngữ và định nghĩa về khuyết tật bề mặt và các tác động có chủ ý
Trong tiêu chuẩn này sử dụng các thuật ngữ và định nghĩa sau:
8.1.1
Nứt (Cracks)
Vết nứt trên bề mặt của viên mẫu có thể nhìn thấy ở mặt trước hoặc mặt sau hoặc cả hai
8.1.2
Phân tách (Detachements)
Bất kỳ sự gián đoạn nào ở bề mặt tiếp xúc giữa cốt liệu và chất kết dính có thể nhìn thấy.
8.1.3
Điểm khô (Dry spots)
Phần diện tích trên bề mặt của đá có độ xốp vi mô rõ ràng.
8.1.4
Lỗ châm kim (Pin hole)
Lỗ nhỏ trên bề mặt của viên mẫu.
8.1.5
Các chất gây ô nhiễm (Polluting materials)
Các chất xâm nhập không theo tác động chủ ý có thể nhìn thấy được.
8.1.6
Đốm hoặc vết (Specks or spots)
Vết tương phản trên bề mặt viên mẫu, mắt thường có thể nhìn thấy.
8.1.7
Lỗi trang trí (Decorating fault)
Các lối rõ ràng trong trang trí, liên quan đến màu sắc hoặc thiết kế tiêu chuẩn.
8.1.8
Sứt (Chip)
Mảnh vỡ ra khỏi các cạnh, góc hoặc bề mặt của đá.
8.1.9
Cạnh không đều (Irregular edge)
Những sự bất thường không theo tác động chủ ý nào dọc theo cạnh của một viên mẫu, một cạnh xiên vượt quá dung sai.
8.1.10
Khuyết tật đánh bóng (chỉ đối với bề mặt được đánh bóng) (Polishing defect (only for polished surfaces))
Các vết gây ra không theo tác động chú ý ở các vùng có độ bóng thấp hơn trên bề mặt đánh bóng.
CHÚ THÍCH: Để đánh giá được đây là sự trang trí chủ ý chấp nhận hay khuyết tật, phải xem xét yêu cầu liên quan đến sản phẩm, vết nứt, cạnh bị gợn hoặc sứt góc thì không thể là tác động chủ ý
8.2 Thiết bị, dụng cụ
8.2.1 Nguồn sáng đại diện cho ánh sáng trung bình ban ngày, chẳng hạn như nguồn CIE[1] D 65, 70 W- R75/WDL-UVS (ví dụ: OSRAM 4QI-TS).
8.2.2 Thước 1m hoặc các dụng cụ đo khoảng cách phù hợp khác.
8.3 Mẫu thử nghiệm
Phải kiểm tra tối thiểu mười viên mẫu.
8.4 Cách tiến hành
Xếp mặt chính các viên mẫu quay về phía người quan sát với khoảng cách 1 m. Chiếu sáng chúng bằng nguồn sáng đã mô tả ở trên.
Quan sát bằng mắt thường hoặc sử dụng kính mắt đảm bảo thị lực.
Việc chuẩn bị khu vực thử nghiệm và việc quan sát thử nghiệm không được thực hiện bởi cùng một người.
Các tác động chủ ý trên bề mặt không coi là khuyết tật.
8.5 Biểu thị kết quả
Chất lượng bề mặt được biểu thị bằng tỷ lệ mẫu không có khuyết tật. Sự biến đổi màu sắc trong cốt liệu đá tự nhiên không thể coi là "lỗi trang trí".
8.6 Báo cáo thử nghiệm
Báo cáo thử nghiệm phải bao gồm các thông tin sau:
a) Viện dẫn Tiêu chuẩn này;
b) Tên của nhà sản xuất và/hoặc nhà cung cấp;
c) Mô tả về mẫu;
d) Số viên mẫu đã kiểm tra;
e) Đánh giá theo các tiêu chí sử dụng;
f) Tỷ lệ mẫu không có khuyết tật.

Hình 1 - Thiết bị đo độ thẳng cạnh, độ vuông góc và độ phẳng mặt

Hỉnh 2 - Độ thẳng cạnh

Hình 3 - Độ vuông góc

Hình 4 - Độ cong tâm

Hình 5 - Độ cong cạnh mép

Hình 6 - Độ vênh góc
[1] Ủy ban Quốc tế về Chiếu sáng (Cục Trung tâm, Kagel Passe 27, A-1030 Vienna-AT)
Bạn chưa Đăng nhập thành viên.
Đây là tiện ích dành cho tài khoản thành viên. Vui lòng Đăng nhập để xem chi tiết. Nếu chưa có tài khoản, vui lòng Đăng ký tại đây!