Danh mục
|
Tổng đài trực tuyến 19006192
|
|
  • Tổng quan
  • Nội dung
  • Tiêu chuẩn liên quan
  • Lược đồ
  • Tải về
Lưu
Đây là tiện ích dành cho tài khoản Tiêu chuẩn hoặc Nâng cao Vui lòng Đăng nhập tài khoản để xem chi tiết.
Theo dõi VB
Đây là tiện ích dành cho tài khoản Tiêu chuẩn hoặc Nâng cao Vui lòng Đăng nhập tài khoản để xem chi tiết.
Ghi chú
Báo lỗi
In

Tiêu chuẩn quốc gia TCVN 13943-6:2024 Đá nhân tạo - Phương pháp thử - Phần 6: Xác định độ bền sốc nhiệt

Số hiệu: TCVN 13943-6:2024 Loại văn bản: Tiêu chuẩn Việt Nam
Cơ quan ban hành: Bộ Khoa học và Công nghệ Lĩnh vực: Công nghiệp
Ngày ban hành:
Ngày ban hành là ngày, tháng, năm văn bản được thông qua hoặc ký ban hành.
16/10/2024
Hiệu lực:
Đã biết
Tiện ích dành cho tài khoản Tiêu chuẩn hoặc Nâng cao. Vui lòng Đăng nhập tài khoản để xem chi tiết.
Người ký: Đang cập nhật
Tình trạng hiệu lực:
Cho biết trạng thái hiệu lực của văn bản đang tra cứu: Chưa áp dụng, Còn hiệu lực, Hết hiệu lực, Hết hiệu lực 1 phần; Đã sửa đổi, Đính chính hay Không còn phù hợp,...
Đã biết
Tiện ích dành cho tài khoản Tiêu chuẩn hoặc Nâng cao. Vui lòng Đăng nhập tài khoản để xem chi tiết.

TÓM TẮT TIÊU CHUẨN VIỆT NAM TCVN 13943-6:2024

Nội dung tóm tắt đang được cập nhật, Quý khách vui lòng quay lại sau!

Tải tiêu chuẩn Việt Nam TCVN 13943-6:2024

Tải văn bản tiếng Việt (.pdf) Tiêu chuẩn Việt Nam TCVN 13943-6:2024 PDF (Bản có dấu đỏ)

Đây là tiện ích dành cho tài khoản thành viên. Vui lòng Đăng nhập để xem chi tiết. Nếu chưa có tài khoản, Đăng ký tại đây!

Tải văn bản tiếng Việt (.doc) Tiêu chuẩn Việt Nam TCVN 13943-6:2024 DOC (Bản Word)

Đây là tiện ích dành cho tài khoản thành viên. Vui lòng Đăng nhập để xem chi tiết. Nếu chưa có tài khoản, Đăng ký tại đây!

Tình trạng hiệu lực: Đã biết
bgdocquyen
Hiệu lực: Đã biết
Tình trạng hiệu lực: Đã biết

TIÊU CHUẨN QUỐC GIA

TCVN 13943-6:2024

BSEN 14617-6:2012

ĐÁ NHÂN TẠO - PHƯƠNG PHÁP THỬ

PHẦN 6: XÁC ĐỊNH ĐỘ BỀN SỐC NHIỆT

Agglomerated stone - Test Methods
Part 6: Determination of thermal shock resistance

Lời nói đầu

TCVN 13943-6:2024 xây dựng dựa trên cơ sở tham khảo BS EN 14617-6:2012

TCVN 13943-6:2024 do Viện Vật liệu Xây dựng biên soạn, Bộ Xây dựng đề nghị, Tổng cục Tiêu chuẩn Đo lường Chất lượng thẩm định, Bộ Khoa học và Công nghệ công bố.

Phần tiêu chuẩn TCVN 13943:2024 Đá nhân tạo - Phương pháp thử, bao gồm các phần sau:

- TCVN 13943-1:2024 (BS EN 14617-1:2013) Phần 1: Xác định khối lượng thể tích và độ hút nước;

- TCVN 13943-2:2024 (BS EN 14617-2:2016) Phần 2: Xác đnh độ bền uốn (uốn gãy);

- TCVN 13943-4:2024 (BS EN 14617-4:2012) Phần 4: Xác định độ chịu mài mòn;

- TCVN 13943-5:2024 (BS EN 14617-5:2012) Phần 5: Xác định độ bền đóng băng và tan băng;

- TCVN 13943-6:2024 (BS EN 14617-6:2012) Phần 6: Xác định độ bền sốc nhiệt;

- TCVN 13943-8:2024 (BS EN 14617-8:2007) Phần 8: Xác định độ bền lỗ chốt;

- TCVN 13943-9:2024 (BS EN 14617-9:2005) Phần 9: Xác định độ bền va đập;

- TCVN 13943-10:2024 (BS EN 14617-10:2012) Phần 10: Xác định độ bền hóa học;

- TCVN 13943-11:2024 (BS EN 14617-11:2005) Phần 11: Xác định hệ s giãn nở nhiệt dài;

- TCVN 13943-12:2024 (BS EN 14617-12:2012) Phần 12: Xác định độ ổn định kích thước;

- TCVN 13943-13:2024 (BS EN 14617-13:2013) Phần 13: Xác định độ cách điện;

- TCVN 13943-15:2024 (BS EN 14617-15:2005) Phần 15: Xác định cường độ chịu nén;

- TCVN 13943-16:2024 (BS EN 14617-16:2005) Phần 16: Xác định kích thước, đặc điểm hình học và chất lượng bề mặt.

 

ĐÁ NHÂN TẠO - PHƯƠNG PHÁP THỬ

PHẦN 6: XÁC ĐỊNH ĐỘ BN SỐC NHIỆT

Agglomerated stone - Test Methods
Part 6: Determination of thermal shock resistance

1  Phạm vi áp dụng

Tiêu chuẩn này quy định phương pháp đánh giá các biến đổi có thể xảy ra của đá nhân tạo dưới tác động thay đổi đột ngột của nhiệt độ (sốc nhiệt) bằng cách ngâm trong nước nóng.

2  Tài liệu viện dẫn

Các tài liệu viện dẫn sau là cần thiết khi áp dụng tiêu chuẩn này. Đối với các tài liệu viện dẫn ghi năm công bố thì áp dụng bản được nêu. Đối với các tài liệu viện dẫn không ghi năm công bố thì áp dụng phiên bản mới nhất, bao gồm các bản sửa đổi, bổ sung (nếu có).

TCVN 13943-2:2024, Đá nhân tạo - Phương pháp thử - Phần 2: Xác định độ bền uốn (uốn gãy)

3  Nguyên tắc

Sau khi sấy khô ở nhiệt độ (40 ± 5) °C cho đến khi đạt được khối lượng không đổi, các mẫu thử thực hiện các chu kỳ liên tiếp, mỗi chu kỳ được thực hiện sốc nhiệt ở (70 ± 5) °C sau đó ngâm ngay vào nước ở (15 ± 5) °C. Sau 20 chu kỳ, mẫu thử được kiểm tra bằng mắt thường và so sánh với mẫu chuẩn, và tất cả các thay đổi có thể nhìn thấy được đều được ghi lại. Cuối cùng, sự thay đổi khối lượng và độ bền uốn của mẫu sau 20 chu kỳ sẽ được xác định so với giá trị của cùng số lượng của mẫu chuẩn.

CHÚ THÍCH: Nhiệt độ thử nghiệm đã chọn là 70 °C dành cho các ứng dụng sàn và tường.

4  Thiết bị, dụng cụ

4.1  Tủ sấy thông gió có thể duy trì nhiệt độ (70 ± 5) °C.

4.2  Bể được trang bị hệ thống làm mát có khả năng duy trì nhiệt độ (15 ± 5) °C và đế phẳng bao gồm các giá đỡ nhỏ không ôxy hóa và không hấp thụ cho các mẫu thử.

4.3  Cân có độ chính xác ít nhất là 0,01 % khối lượng được cân.

4.4  Bình hút ẩm.

4.5  Nước đã được khử khoáng.

4.6  Thiết bị đo chiều dài có độ chính xác 0,5 mm (để tính độ uốn).

5  Chuẩn bị mẫu

5.1  Lấy mẫu

Phòng thử nghiệm không chịu trách nhiệm lấy mẫu trừ trường hợp được yêu cầu đặc biệt.

Hai tổ mẫu th nghiệm, mỗi tổ gồm ít nhất 7 mẫu thử đại diện được chọn từ một lô đồng nhất. Một tổ mẫu được sử dụng làm đối chứng: Khối lượng và độ bền uốn theo TCVN 13943-2:2024 đều được xác định trước khi thử nghiệm sốc nhiệt. Đối với tổ mẫu thử khác, khối lượng và độ bền uốn theo TCVN 13943-2:2024 phải được xác định sau chu kỳ sốc nhiệt. Các mẫu thử phải được quan sát cẩn thận và thấy tất cả các thay đổi, chẳng hạn như vết nứt, lỗ, v.v. trước và sau chu kỳ sốc nhiệt.

5.2  Kích thước của mẫu thử

Các mẫu thử phải được chọn ngẫu nhiên từ một lô đồng nhất, có bề mặt hoàn thiện, kích thước và dung sai theo Điều 6.2.2 trong TCVN 13943-2:2024.

5.3  Ổn định trước khi thử nghiệm

Các mẫu thử phải được ổn định ở nhiệt độ phòng (20 ± 5) °C trong (24 ± 2) h.

Đối với đá nhân tạo có chất kết dính là xi măng hoặc xi măng và polyme, các mẫu thử phải được sấy khô ở (40 ± 5) °C đến khối lượng không đổi.

Khối lượng được coi là không đổi khi chênh lệch kết quả giữa hai lần cân liên tiếp cách nhau (24 ± 2) h không vượt quá 0,1 % khối lượng mẫu thử.

Sau khi sấy khô và trước khi thử nghiệm, mẫu phải được bo quản ở (20 ± 5) °C. Sau khi đạt được cân bằng nhiệt, thử nghiệm phải được thực hiện trong vòng 24 h.

6  Cách tiến hành

6.1  Kiểm soát các phép đo trước mỗi chu kỳ

Các mẫu đã sấy khô phải được kiểm tra bằng mắt thường và so sánh với mẫu chuẩn. Tất cả các thay đổi, chẳng hạn như vết nứt, lỗ, v.v..., phải được ghi lại. Sau đó, khối lượng của chúng (m0) phải được đo và xác định độ bền uốn theo TCVN 13943-2:2024. Đây được coi là giá trị ban đầu (Rf).

6.2  Đặc điểm kỹ thuật của các chu kỳ

Các mẫu thử đã sấy khô phải thực hiện sự điều chỉnh nhiệt độ tuân theo quy trình sau:

(18 ± 1) h trong tủ sấy thông gió ở (70 ± 5) °C, sau đó ngâm ngập trong nước cất hoặc nước đã được khử khoáng có nhiệt độ (15 ± 5) °C trong (6 ± 0,5) h.

Trong tủ sấy và trong thùng chứa nước, các mẫu thử phải được đặt trên các giá đỡ, cách nhau và cách thành/vách ít nhất là 50 mm.

Trong thùng chứa nước, các mẫu thử phải được đặt trên các giá đỡ đặt ở đáy thùng chứa đã được đổ đầy nước cất hoặc nước đã được khử khoáng đến độ cao sao cho mực nước trên mẫu là (60 ±10) mm.

Quy trình được mô tả ở trên tạo thành một chu kỳ phải được lặp lại trong 20 chu kỳ.

6.3  Kiểm soát các phép đo sau các chu kỳ

Sau chu kỳ thứ 20, các mẫu phải được sấy khô đến khối lượng không đổi ở (40 ± 5) °C theo 6.3 và được cân (mf). Sau đó chúng phải được kiểm tra bằng mắt thường và so sánh với mẫu chuẩn. Tất cả các thay đổi sẽ được ghi lại. Cuối cùng, khối lượng (mf) phải được đo và xác định độ bền uốn (Rsf) theo TCVN 13943-2:2024.

7  Biểu thị kết quả

Đối với mỗi mẫu:

7.1  Mô tả các thay đổi được quan sát bằng mắt khi so sánh với mẫu chuẩn, chẳng hạn như:

- Thay đổi màu sắc, sự xuất hiện của các đốm;

- Trương nở;

- Nứt;

- Tróc thành từng mảng hoặc tách lớp.

7.2  Tính sự thay đổi về khối lượng của từng mẫu và sau đó tính giá trị trung bình chính xác đến 0,01% theo công thức sau:

(1)

Trong đó

m0: Khối lượng của mẫu đã sấy khô trước khi thử, tính bằng g;

mf: Khối lượng của mẫu đã sấy khô sau khi thử, tính bằng g;

Δm : % thay đổi về khối lượng của các mẫu đã sấy khô, tính bằng %;

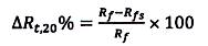
7.3  Tính toán sự thay đổi độ bền uốn của từng mẫu và sau đó tính giá trị trung bình chính xác đến 0,1 % theo công thức sau:

(2)

Trong đó

Rf: Giá trị độ bền uốn trung bình của các mẫu chuẩn đã sấy khô, tính bằng MPa;

Rsf: Giá trị trung bình độ bền uốn của mẫu sau 20 chu kỳ, tính bằng MPa;

ΔRf, 20: Hệ số độ bền sốc nhiệt tương ứng với sự thay đổi độ bền uốn (tính theo phần trăm sau 20 chu kỳ)

8  Báo cáo thử nghiệm

Báo cáo thử nghiệm phi bao gồm các thông tin sau:

a) Số nhận dạng duy nhất của báo cáo;

b) Viện dẫn Tiêu chuẩn này;

c) Tên và địa chỉ của phòng thử nghiệm, và địa chỉ nơi thử nghiệm được thực hiện nếu nó khác với phòng thử nghiệm;

d) Tên và địa chỉ của khách hàng;

e) Ngày giao nhận mẫu;

f) Ngày chuẩn bị mẫu và ngày thử nghiệm;

g) Số lượng mẫu vật trong mẫu;

h) Kích thước của các mẫu thử;

i) Nhiệt độ thử nghiệm đã chọn (70 °C);

j) Mọi thay đổi quan sát được đối với từng mẫu thử;

k) Phần trăm thay đổi khối lượng đối với từng mẫu thử và phần trăm thay đổi khối lượng trung bình;

l) Phần trăm thay đổi độ bền uốn đối với từng mẫu thử và phần trăm thay đổi trung bình về độ bền uốn;

m) Tuyên bố về độ không đảm bảo đo (nếu thích hợp)

n) Mọi sai lệch so với tiêu chuẩn và giải thích;

o) Nhận xét.

Báo cáo thử nghiệm phải có chữ ký và vai trò người chịu trách nhiệm về thử nghiệm và sự đồng ý bằng văn bản của phòng thử nghiệm. Báo cáo cũng phải nêu rõ báo cáo sẽ không được sao chép một phần mà không có sự đồng ý bằng văn bản của phòng thử nghiệm.

Khách hàng có trách nhiệm cung cấp các thông tin sau:

- Tên của nhà cung cấp;

- Tên của người hoặc tổ chức đã tiến hành lấy mẫu;

- Bề mặt hoàn thiện của mẫu thử (nếu có liên quan đến thử nghiệm);

- Bản chất của chất kết dính.

 

Thư mục tài liệu tham khảo

[1] EN 12440, Natural stone - Denomination criteria á tự nhiên - Tiêu chí định danh)

[2] EN 14618, Agglomerated stone - Terminology and classification (Đá nhân tạo - Thuật ngữ và phân loại)

Bạn chưa Đăng nhập thành viên.

Đây là tiện ích dành cho tài khoản thành viên. Vui lòng Đăng nhập để xem chi tiết. Nếu chưa có tài khoản, vui lòng Đăng ký tại đây!

* Lưu ý: Để đọc được văn bản tải trên Luatvietnam.vn, bạn cần cài phần mềm đọc file DOC, DOCX và phần mềm đọc file PDF.

Văn bản liên quan Tiêu chuẩn Việt Nam TCVN 13943-6:2024

01

Tiêu chuẩn quốc gia TCVN 13943-2:2024 BS EN 14617-2:2016 Đá nhân tạo - Phương pháp thử - Phần 2: Xác định độ bền uốn (uốn gãy)

02

Tiêu chuẩn quốc gia TCVN 13943-5:2024 BS EN 14617-5:2012 Đá nhân tạo - Phương pháp thử - Phần 5: Xác định độ bền đóng băng và tan băng

03

Tiêu chuẩn quốc gia TCVN 13943-9:2024 BS EN 14617-9:2005 Đá nhân tạo - Phương pháp thử - Phần 9: Xác định độ bền va đập

04

Tiêu chuẩn quốc gia TCVN 13943-10:2024 BS EN 14617-10:2012 Đá nhân tạo - Phương pháp thử - Phần 10: Xác định độ bền hóa học

05

Tiêu chuẩn quốc gia TCVN 13943-11:2024 BS EN 14617-11:2005 Đá nhân tạo - Phương pháp thử - Phần 11: Xác định hệ số giãn nở nhiệt dài

văn bản cùng lĩnh vực

văn bản mới nhất

Chú thích màu chỉ dẫn
Chú thích màu chỉ dẫn:
Các nội dung của VB này được VB khác thay đổi, hướng dẫn sẽ được làm nổi bật bằng các màu sắc:
Sửa đổi, bổ sung, đính chính
Thay thế
Hướng dẫn
Bãi bỏ
Bãi bỏ cụm từ
Bình luận
Click vào nội dung được bôi màu để xem chi tiết.
×