- Tổng quan
- Nội dung
- Tiêu chuẩn liên quan
- Lược đồ
- Tải về
Tiêu chuẩn quốc gia TCVN 13943-8:2024 BS EN 14617-8:2007 Đá nhân tạo - Phương pháp thử - Phần 8: Xác định độ bền lỗ chốt
| Số hiệu: | TCVN 13943-8:2024 | Loại văn bản: | Tiêu chuẩn Việt Nam |
| Cơ quan ban hành: | Bộ Khoa học và Công nghệ | Lĩnh vực: | Công nghiệp |
| Trích yếu: | BS EN 14617-8:2007 Đá nhân tạo - Phương pháp thử - Phần 8: Xác định độ bền lỗ chốt | ||
|
Ngày ban hành:
Ngày ban hành là ngày, tháng, năm văn bản được thông qua hoặc ký ban hành.
|
16/10/2024 |
Hiệu lực:
|
Đã biết
|
| Người ký: | Đang cập nhật |
Tình trạng hiệu lực:
Cho biết trạng thái hiệu lực của văn bản đang tra cứu: Chưa áp dụng, Còn hiệu lực, Hết hiệu lực, Hết hiệu lực 1 phần; Đã sửa đổi, Đính chính hay Không còn phù hợp,...
|
Đã biết
|
TÓM TẮT TIÊU CHUẨN VIỆT NAM TCVN 13943-8:2024
Nội dung tóm tắt đang được cập nhật, Quý khách vui lòng quay lại sau!
Tải tiêu chuẩn Việt Nam TCVN 13943-8:2024
TIÊU CHUẨN QUỐC GIA
TCVN 13943-8:2024
BSEN 14617-8:2007
ĐÁ NHÂN TẠO - PHƯƠNG PHÁP THỬ
PHẦN 8: XÁC ĐỊNH ĐỘ BỀN LỖ CHỐT
Agglomerated stone - Test Methods
Part 8: Determination of resistance to fixing (dowel hole)
Lời nói đầu
TCVN 13943-8:2024 xây dựng dựa trên cơ sở tham khảo BS EN 14617-8:2007
TCVN 13943-8:2024 do Viện Vật liệu Xây dựng biên soạn, Bộ Xây dựng đề nghị, Tổng cục Tiêu chuẩn Đo lường Chất lượng thẩm định, Bộ Khoa học và Công nghệ công bố.
Phần tiêu chuẩn TCVN 13943:2024 Đá nhân tạo - Phương pháp thử, bao gồm các phần sau:
- TCVN 13943-1:2024 (BS EN 14617-1:2013) Phần 1: Xác định khối lượng thể tích và độ hút nước;
- TCVN 13943-2:2024 (BS EN 14617-2:2016) Phần 2: Xác định độ bền uốn (uốn gãy);
- TCVN 13943-4:2024 (BS EN 14617-4:2012) Phần 4: Xác định độ chịu mài mòn;
- TCVN 13943-5:2024 (BS EN 14617-5:2012) Phần 5: Xác định độ bền đóng băng và tan băng;
- TCVN 13943-6:2024 (BS EN 14617-6:2012) Phần 6: Xác định độ bền sốc nhiệt;
- TCVN 13943-8:2024 (BS EN 14617-8:2007) Phần 8: Xác định độ bền lỗ chốt;
- TCVN 13943-9:2024 (BS EN 14617-9:2005) Phần 9: Xác định độ bền va đập;
- TCVN 13943-10:2024 (BS EN 14617-10:2012) Phần 10: Xác định độ bền hóa học;
- TCVN 13943-11:2024 (BS EN 14617-11:2005) Phần 11: Xác định hệ số giãn nở nhiệt dài;
- TCVN 13943-12:2024 (BS EN 14617-12:2012) Phần 12: Xác định độ ổn định kích thước;
- TCVN 13943-13:2024 (BS EN 14617-13:2013) Phần 13: Xác định độ cách điện;
- TCVN 13943-15:2024 (BS EN 14617-15:2005) Phần 15: Xác định cường độ chịu nén;
- TCVN 13943-16:2024 (BS EN 14617-16:2005) Phần 16: Xác định kích thước, đặc điểm hình học và chất lượng bề mặt.
ĐÁ NHÂN TẠO - PHƯƠNG PHÁP THỬ
PHẦN 8: XÁC ĐỊNH ĐỘ BỀN LỖ CHỐT
Agglomerated stone - Test Methods
Part 8: Determination of resistance to fixing (dowel hole)
1 Phạm vi áp dụng
Tiêu chuẩn này quy định phương pháp thử nghiệm để xác định tải trọng phá hủy tại lỗ chốt của các tấm đá nhân tạo.
2 Tài liệu viện dẫn
Các tài liệu viện dẫn sau là cần thiết khi áp dụng tiêu chuẩn này. Đối với các tài liệu viện dẫn ghi năm công bố thì áp dụng bản được nêu. Đối với các tài liệu viện dẫn không ghi năm công bố thì áp dụng phiên bản mới nhất, bao gồm các bản sửa đổi, bổ sung (nếu có).
EN 197-1, Cement - Part 1: Composition, specifications and conformity criteria for common cements (Xi măng - Phần 1: Thành phần, thông số kỹ thuật và tiêu chí phù hợp cho các loại xi măng thông thường)
EN 10088-1, Stainless steels - Part 1: List of stainless steels (Thép không gỉ - Phần 1: Danh sách thép không gỉ)
EN 12390-4, Testing hardened concrete - Part 4: Compressive strength - Specification fortesting machines (Thử nghiệm bê tông đông cứng - Phần 4: Cường độ nén - Đặc điểm kỹ thuật cho máy thử nghiệm)
3 Nguyên tắc
Thử nghiệm này bao gồm việc tác dụng một lực theo hướng vuông góc với bề mặt của mẫu thử thông qua chốt đã được đặt trước đó trong một lỗ được khoan ờ một trong các mặt của mẫu thử và đo tải trọng phá hủy của mẫu.
4 Ký hiệu
Trong tiêu chuẩn này sử dụng các ký hiệu sau:
d là độ dày của mẫu thử, tính bằng mm
d1 là khoảng cách từ thành lỗ đến mặt nơi xảy ra đứt gãy, tính bằng mm
bA là khoảng cách lớn nhất của tâm lỗ đến mép đứt gãy trên mặt, tính bằng mm
F là tải trọng phá hủy riêng lẻ, tính bằng N
là giá trị trung bình của d, tính bằng mm
là giá trị trung bình của F, tính bằng niutơn
là giá trị trung bình của, bA, tính bằng milimét
5 Thiết bị, dụng cụ
5.1 Cân có khả năng cân mẫu với độ chính xác trong khoảng 0,1 % khối lượng của mẫu.
5.2 Tủ sấy thông gió có khả năng duy trì nhiệt độ (70 ± 5) °C.
5.3 Dụng cụ đo chiều dài có độ chính xác đến 0,05 mm.
5.4 Máy khoan quay được trang bị một đầu kim cương hoặc cacbua vonfram.
5.5 Máy thử lực thích hợp phù hợp với EN 12390-4 và được hiệu chuẩn theo Tiêu chuẩn này.
5.6 Dụng cụ kẹp bao gồm hai tấm kim loại có hình dạng và kích thước như trong Hình 1.
5.7 Thiết bị để đặt tải vuông góc với trục của chốt (xem Hình 2)
5.8 Phòng hoặc buồng trong đó nhiệt độ của không khí có thể được duy trì ở (20 ± 5) °C.
6 Chuẩn bị mẫu
6.1 Lấy mẫu
Việc lấy mẫu không thuộc trách nhiệm của phòng thử nghiệm trừ trường hợp được yêu cầu đặc biệt.
6.2 Mẫu thử nghiệm
6.2.1 Yêu cầu chung
Thử nghiệm có thể được thực hiện như thử nghiệm định danh hoặc thử nghiệm công nghệ hoặc tính năng.
6.2.2 Thử nghiệm
6.2.2.1 Thử nghiệm định danh
Thử nghiệm này được thực hiện với mục đích so sánh dựa trên một tổ mẫu chuẩn có độ dày (30 ± 3) mm, chiều dày này có thể không phải là chiều dày của các tấm đá nhân tạo thực tế hoặc các sản phẩm được cắt theo kích thước được chọn để sử dụng.
6.2.2.2 Thử nghiệm công nghệ hoặc tính năng
Thử nghiệm này được thực hiện trên các mẫu có độ dày thực tế của các tấm đá nhân tạo hoặc các sản phẩm được cắt theo kích thước đã chọn để ứng dụng.
6.2.3 Số lượng mẫu thử
Thực hiện 12 phép thử trên 3 mẫu thử.
6.2.4 Bề mặt hoàn thiện của mẫu thử
a) Thử nghiệm định danh
Bề mặt hoàn thiện trên các mặt và các cạnh của mẫu thử phải được xẻ, mài hoặc đánh bóng.
b) Thử nghiệm công nghệ
Việc hoàn thiện bề mặt trên các mặt và các cạnh của mẫu thử phải được thực hiện theo ứng dụng (ví dụ: xẻ, mài, đánh bóng, chà nhám, chà xát, nung, rèn bụi, chẻ).
6.2.5 Kích thước của mẫu thử
a) Thử nghiệm định danh
- Mẫu thử là các tấm hình vuông có bề mặt (200 ± 1) mm và chiều dày (30 ± 3) mm. Sai lệch cho phép về độ vuông góc tối đa là 2 mm.
b) Thử nghiệm công nghệ
- Mẫu thử là các tấm hình vuông có bề mặt (200 ± 1) mm và chiều dày (d ± 0,1 d) mm.
6.2.6 Vị trí của các lỗ
Một lỗ được khoan vuông góc ở mỗi bên trong bốn cạnh theo cách sau:
a) Thử nghiệm định danh
- Tâm của lỗ phải nằm cách các cạnh khác từ 98 mm đến 102 mm, được đo chính xác đến 0,5 mm.
- Chiều dày của đá giữa mép lỗ và hai mặt phải là (10 ± 2,0) mm, được đo chính xác đến 0,5 mm.
b) Thử nghiệm công nghệ
- Tâm của lỗ phải nằm ở giữa chiều dài của mẫu thử.
- Độ dày của đá giữa mép lỗ và mặt được thử nghiệm phải theo ứng dụng, được đo chính xác đến 0,5 mm.
6.2.7 Kích thước và dung sai của các lỗ
a) Thử nghiệm định danh
- Đường kính của các lỗ phải là (10 ± 0,5) mm. Chiều sâu của các lỗ phải là (30 ± 2) mm.
b) Thử nghiệm công nghệ
- Đường kính của lỗ phải phù hợp với yêu cầu của ứng dụng. Chiều sâu của lỗ phải là (30 ± 2) mm.
6.2.8 Khoan lỗ
Các lỗ phải được khoan ướt bằng máy khoan có mũi khoan kim cương hoặc vonfram cacbua không có bộ gõ.
6.2.9 Ổn định
Các mẫu thử phải được sấy khô đến khối lượng không đổi ở (70 ± 5) °C trong tủ sấy thông gió sau khi khoan các lỗ nhưng trước khi chốt được đặt vào vị trí.
Khối lượng không đổi đạt được khi chênh lệch giữa hai lần cân thực hiện cách nhau (24 ± 2) h không lớn hơn 0,1 % khối lượng của lần cân thứ nhất.
Sau khi sấy khô và trước khi đặt chốt lên mẫu thử phải được bảo quản ở (20 ± 5) °C cho đến khi đạt được trạng thái cân bằng nhiệt.
6.2.10 Đo d và d1
Sau khi ổn định phải đo độ dày (d) và khoảng cách từ mép của mỗi lỗ đến mặt dưới của mẫu thử theo hướng của lực (d1).
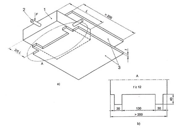
6.3 Dụng cụ kẹp
a) Hình vẽ tổng thể
Kích thước tính bằng milimet

b) Chi tiết của tấm phù hợp để thử nghiệm trên các mẫu có kích thước 200 mm x 200 mm
CHÚ DẪN:
1) Mẫu vật
2) Chốt
3) Tấm kim loại
F: Lực tác dụng lên mẫu
L: Chiều dài của mẫu
T: Độ dày của tấm kim loại
Hình 1 - Dụng cụ kẹp để giữ mẫu
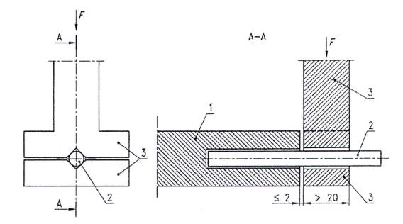
Kích thước tính bằng milimet

CHÚ DẪN:
1) Mẫu thử
2) Chốt
3) Thiết bị ra tải
F: Lực tác dụng lên mẫu
Hình 2 - Thiết bị ra tải vuông góc với trục của chốt

Hình 3 - Bố trí thử nghiệm cho một mẫu
7 Chốt
7.1 Kích thước và dung sai
a) Thử nghiệm định danh
- Đường kính của chốt phải là (6,0 ±0,1) mm. Chiều dài của chốt phải ≥ 50 mm.
b) Thử nghiệm công nghệ
- Đường kính của chốt phải phù hợp với yêu cầu sử dụng. Chiều dài của chốt phải ≥ 50 mm.
7.2 Vật liệu
Chốt phải được làm bằng thép không gỉ loại 1.4571 theo EN 10088-1.
7.3 Đặt chốt
Sau khi mẫu đạt đến nhiệt độ phòng (20 ± 5) °C, chốt được cố định trong các lỗ. Đặt một trong các mặt của mỗi mẫu thử ở vị trí trên nằm ngang. Đặt chốt thẳng đứng và chính giữa lỗ. Cố định chốt trong lỗ với chiều dài (25 ± 1) mm bằng vữa được chuẩn bị bằng xi măng CEM I 52,5 R phù hợp với EN 197-1 và tỷ lệ nước / xi măng là (0,6 ±0,1) theo khối lượng.
Chờ ít nhất một giờ và sau đó lặp lại quy trình tương tự cho các mặt khác của mẫu sẽ được thử nghiệm. Sau đó, các mẫu thử phải được bảo quản ở (20 ± 5) °C tối thiểu 48 h trước khi thử nghiệm.
8 Cách tiến hành
Mẫu được kẹp giữa hai tấm kim loại của dụng cụ kẹp trên 60% chiều dài mẫu (xem Hình 1).
Tải trọng tác dụng theo phương vuông góc với trục của chốt ở khoảng cách tối đa là 2 mm tính từ mép của mẫu thử theo hệ thống được đưa ra trong Hình 2.
Tải trọng được tăng đều với tốc độ (50 ± 5) N / s cho đến khi mẫu thử bị vỡ. Tải trọng phá hủy được ghi lại chính xác đến 50 N.
Nếu chốt uốn cong thì thử nghiệm phải được lặp lại với chốt có đường kính lớn hơn và mẫu thử mới. Sau khi mẫu thử bị vỡ, phải đo khoảng cách lớn nhất từ tâm lỗ đến mép đứt gãy (bA) (Hình 4).

CHÚ DẪN:
d: Độ dày của mẫu thử
d1: Khoảng cách từ lỗ đến bề mặt theo phương của lực
bA : Khoảng cách tối đa của tâm lỗ đến mép đứt gãy
Hình 4 - Phá hủy lỗ chốt
9 Biểu thị kết quả
Đối với mỗi loạt thử nghiệm, các giá trị trung bình sau phải được tính toán từ các kết quả riêng lẻ được ghi lại cho từng thử nghiệm:
a) Giá trị trung bình của khoảng cách từ lỗ đến mặt nơi xảy ra đứt gãy (d1) tính bằng milimét, chính xác đến 1,0 mm;
b) Khoảng cách lớn nhất từ tâm lỗ đến mép của vết nứt (bA) tính bằng milimét, chính xác đến 1,0 mm;
c) Giá trị trung bình của tải trọng kéo đứt (F) được biểu thị bằng niutơn chính xác đến 50 N.
10 Báo cáo thử nghiệm
Báo cáo thử nghiệm phải bao gồm các thông tin sau:
a) Số nhận dạng duy nhất cho báo cáo;
b) Viện dẫn tiêu chuẩn này;
c) Tên và địa chỉ của phòng thử nghiệm và địa chỉ nơi thử nghiệm được thực hiện nếu khác với phòng thí nghiệm thử nghiệm;
d) Tên và địa chỉ của khách hàng;
e) Lớp hoàn thiện bề mặt của mẫu thử (nếu có liên quan đến phép thử);
f) Ngày giao nhận mẫu thử;
g) Ngày chuẩn bị mẫu thử (nếu có liên quan) và ngày thử nghiệm;
h) Số lượng mẫu vật trong mẫu;
j) Kết quả của các phép đo
- Đối với mỗi mẫu:
- Đường kính của lỗ;
- Đường kính của chốt;
- Kích thước của mẫu thử;
- Độ dày của mẫu thử;
- Đối với mỗi thử nghiệm:
- Khoảng cách từ lỗ đến mặt theo phương của lực (d1) tính bằng milimét, chính xác đến 1,0 mm;
- Khoảng cách lớn nhất từ tâm của lỗ đến mép của vết nứt (bA) tính bằng milimét, chính xác đến 1,0 mm;
- Tải trọng kéo đứt (F) tính bằng niutơn, chính xác đến 50 N;
- Đối với từng hướng tải liên quan:
- Giá trị trung bình
và giá trị trung bình
(tính bằng milimét, chính xác đến 1,0 mm);
- Giá trị trung bình của tải trọng kéo đứt (
) tính bằng niutơn, chính xác đến 50 N;
k) Mọi sai lệch so với tiêu chuẩn và giải thích;
l) Nhận xét.
Báo cáo thử nghiệm phải có chữ ký và vai trò người chịu trách nhiệm về thử nghiệm và sự đồng ý bằng văn bản của phòng thử nghiệm. Báo cáo cũng phải nêu rõ báo cáo sẽ không được sao chép một phần mà không có sự đồng ý bằng văn bản của phòng thử nghiệm.
Phụ lục A
(Quy định)
Đánh giá thống kê kết quả thử nghiệm
A.1 Phạm vi
Phụ lục này thiết lập một phương pháp để xử lý thống kê các kết quả thử nghiệm thu được theo phương pháp thử đá nhân tạo được mô tả trong tiêu chuẩn này.
A.2 Ký hiệu và định nghĩa
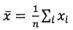
| Các giá trị đo được | x1, x2, ... xi ..., xn |
| Số giá trị đo | n |
| Giá trị trung bình |
|
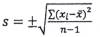
| Độ lệch tiêu chuẩn |
|
| Hệ số biến thiên |
|
| Trung bình Logarit |
|
| Độ lệch tiêu chuẩn Logarit |
|
| Giá trị lớn nhất | Max |
| Giá trị nhỏ nhất | Min |
| Giá trị kỳ vọng thấp |
|
Hệ số phân vị Ks xem Bảng A.1
A.3 Đánh giá thống kê kết quả thử nghiệm
Từ việc tính toán giá trị trung bình (
) độ lệch chuẩn (s) và hệ số biến thiên (v) giả định phân phối chuẩn.
Đối với việc tính toán giá trị kỳ vọng thấp hơn (E), một phân phối chuẩn logarit được giả định. Các giá trị kỳ vọng thấp hơn (E) tương ứng với 5 % điểm vi phân của phân phối thông thường logarit với hệ số tin cậy là 75 %.
Bảng A.1 - Hệ số phân vị phụ thuộc vào số lượng giá trị đo (n) tương ứng với 5 % vi phân đối với hệ số tin cậy 75 %
| n | ks |
| 3 | 3,15 |
| 4 | 2,68 |
| 5 | 2,46 |
| 6 | 2,34 |
| 7 | 2,25 |
| 8 | 2,19 |
| 9 | 2,14 |
| 10 | 2,10 |
| 15 | 1,99 |
| 20 | 1,93 |
| 30 | 1,87 |
| 40 | 1,83 |
| 50 | 1,81 |
|
|
|
| ∞ | 1,64 |
Các ví dụ dưới đây minh họa cho phương pháp tính:
Ví DỤ 1
Tính giá trị trung bình, độ lệch chuẩn, giá trị lớn nhất và giá trị nhỏ nhất của 6 giá trị đo được
| Số đo | Giá trị đo được x |
| 1 | 2000 |
| 2 | 2150 |
| 3 | 2200 |
| 4 | 2300 |
| 5 | 2350 |
| 6 | 2400 |
| Giá trị trung bình | 2233 |
| Độ lệch tiêu chuẩn | 147 |
| Giá trị lớn nhất | 2400 |
| Giá trị nhỏ nhất | 2000 |
VÍ DỤ 2
Tính toán giá trị trung bình, độ lệch chuẩn, hệ số biến thiên và giá trị kỳ vọng thấp của 10 giá trị đo
| Số đo | Giá trị đo được x | (Inx) |
| 1 | 2000 | (7,60) |
| 2 | 2150 | (7,67) |
| 3 | 2200 | (7,70) |
| 4 | 2300 | (7,74) |
| 5 | 2350 | (7,76) |
| 6 | 2400 | (7,78) |
| 7 | 2600 | (7,86) |
| 8 | 2750 | (7,92) |
| 9 | 2900 | (7,97) |
| 10 | 3150 | (8,06) |
| Giá trị trung bình | 2480 | (7,807) |
| Độ lệch tiêu chuẩn | 363 | 0,143 |
| Hệ số biến thiên | 0,15 |
|
Từ Bảng A.1 cho: n=10 ks=2,1
Giá trị kỳ vọng thấp hơn 1819
Bạn chưa Đăng nhập thành viên.
Đây là tiện ích dành cho tài khoản thành viên. Vui lòng Đăng nhập để xem chi tiết. Nếu chưa có tài khoản, vui lòng Đăng ký tại đây!