Danh mục
|
Tổng đài trực tuyến 19006192
|
|
  • Tổng quan
  • Nội dung
  • Tiêu chuẩn liên quan
  • Lược đồ
  • Tải về
Lưu
Đây là tiện ích dành cho tài khoản Tiêu chuẩn hoặc Nâng cao Vui lòng Đăng nhập tài khoản để xem chi tiết.
Theo dõi VB
Đây là tiện ích dành cho tài khoản Tiêu chuẩn hoặc Nâng cao Vui lòng Đăng nhập tài khoản để xem chi tiết.
Ghi chú
Báo lỗi
In

Tiêu chuẩn quốc gia TCVN 13943-15:2024 BS EN 14617-15:2005 Đá nhân tạo - Phương pháp thử - Phần 15: Xác định cường độ chịu nén

Số hiệu: TCVN 13943-15:2024 Loại văn bản: Tiêu chuẩn Việt Nam
Cơ quan ban hành: Bộ Khoa học và Công nghệ Lĩnh vực: Công nghiệp , Xây dựng
Ngày ban hành:
Ngày ban hành là ngày, tháng, năm văn bản được thông qua hoặc ký ban hành.
16/10/2024
Hiệu lực:
Đã biết
Tiện ích dành cho tài khoản Tiêu chuẩn hoặc Nâng cao. Vui lòng Đăng nhập tài khoản để xem chi tiết.
Người ký: Đang cập nhật
Tình trạng hiệu lực:
Cho biết trạng thái hiệu lực của văn bản đang tra cứu: Chưa áp dụng, Còn hiệu lực, Hết hiệu lực, Hết hiệu lực 1 phần; Đã sửa đổi, Đính chính hay Không còn phù hợp,...
Đã biết
Tiện ích dành cho tài khoản Tiêu chuẩn hoặc Nâng cao. Vui lòng Đăng nhập tài khoản để xem chi tiết.

TÓM TẮT TIÊU CHUẨN VIỆT NAM TCVN 13943-15:2024

Nội dung tóm tắt đang được cập nhật, Quý khách vui lòng quay lại sau!

Tải tiêu chuẩn Việt Nam TCVN 13943-15:2024

Tải văn bản tiếng Việt (.pdf) Tiêu chuẩn Việt Nam TCVN 13943-15:2024 PDF (Bản có dấu đỏ)

Đây là tiện ích dành cho tài khoản thành viên. Vui lòng Đăng nhập để xem chi tiết. Nếu chưa có tài khoản, Đăng ký tại đây!

Tải văn bản tiếng Việt (.doc) Tiêu chuẩn Việt Nam TCVN 13943-15:2024 DOC (Bản Word)

Đây là tiện ích dành cho tài khoản thành viên. Vui lòng Đăng nhập để xem chi tiết. Nếu chưa có tài khoản, Đăng ký tại đây!

Tình trạng hiệu lực: Đã biết
bgdocquyen
Hiệu lực: Đã biết
Tình trạng hiệu lực: Đã biết

TIÊU CHUẨN QUỐC GIA

TCVN 13943-15:2024
BS EN 14617-15:2005

ĐÁ NHÂN TẠO - PHƯƠNG PHÁP THỬ
PHẦN 15: XÁC ĐỊNH CƯỜNG ĐỘ CHỊU NÉN

Agglomerated stone - Test Methods
Part 15: Determination of compressive strength

Lời nói đầu

TCVN 13943-15:2024 xây dựng dựa trên cơ sở tham khảo BS EN 14617-15:2005

TCVN 13943-15:2024 do Viện Vật liệu Xây dựng biên soạn, Bộ Xây dựng đề nghị, Tổng cục Tiêu chuẩn Đo lường Chất lượng thẩm định, Bộ Khoa học và Công nghệ công bố.

Tiêu chuẩn TCVN 13943:2024 Đá nhân tạo - Phương pháp thử, bao gồm các phần sau:

- TCVN 13943-1:2024 (BS EN 14617-1:2013) Phần 1: Xác định khối lượng thể tích và độ hút nước;

- TCVN 13943-2:2024 (BS EN 14617-2:2016) Phần 2: Xác định độ bền uốn (uốn gãy);

- TCVN 13943-4:2024 (BS EN 14617-4:2012) Phần 4: Xác định độ mài mòn;

- TCVN 13943-5:2024 (BS EN 14617-5:2012) Phần 5: Xác định độ bền đóng băng và tan băng;

- TCVN 13943-6:2024 (BS EN 14617-6:2012) Phần 6: Xác định độ bền sốc nhiệt;

- TCVN 13943-8:2024 (BS EN 14617-8:2007) Phần 8: Xác định độ bền lỗ chốt;

- TCVN 13943-9:2024 (BS EN 14617-9:2005) Phần 9: Xác định độ bền va đập;

- TCVN 13943-10:2024 (BS EN 14617-10:2012) Phần 10: Xác định độ bền hóa học;

- TCVN 13943-11:2024 (BS EN 14617-11:2005) Phần 11: Xác định hệ số giãn nở nhiệt dài;

- TCVN 13943-12:2024 (BS EN 14617-12:2012) Phần 12: Xác định độ ổn định kích thước;

- TCVN 13943-13:2024 (BS EN 14617-13:2013) Phần 13: Xác định độ cách điện;

- TCVN 13943-15:2024 (BS EN 14617-15:2005) Phần 15: Xác định cường độ chịu nén;

- TCVN 13943-16:2024 (BS EN 14617-16:2005) Phần 16: Xác định kích thước, đặc điểm hình học và chất lượng bề mặt.

 

ĐÁ NHÂN TẠO - PHƯƠNG PHÁP THỬ
PHẦN 15: XÁC ĐỊNH CƯỜNG ĐỘ CHỊU NÉN

Agglomerated stone - Test Methods
Part 15: Determination of compressive strength

1  Phạm vi áp dụng

Tiêu chuẩn này quy định phương pháp xác định cường độ chịu nén của đá nhân tạo

2  Tài liệu viện dẫn

Các tài liệu viện dẫn sau là cần thiết khi áp dụng tiêu chuẩn này. Đối với các tài liệu viện dẫn ghi năm công bố thì áp dụng bản được nêu. Đối với các tài liệu viện dẫn không ghi năm công bố thì áp dụng phiên bản mới nhất, bao gồm các bản sửa đổi, bổ sung (nếu có).

EN 197-1, Cement - Part 1: Composition, specifications and conformity criteria for common cements (Xi măng - Phần 1: Thành phần, thông s kỹ thuật và tiêu chí phù hợp cho các loại xi măng thông thường)

EN 12390, Testing hardened concrete (Thử nghiệm bê tông đã đông cứng)

EN 14618, Agglomerated stone- Terminology and classification (Đá nhân tạo - Thuật ngữ và phân loại).

3  Nguyên tắc

Các mẫu thử, sau khi chuẩn bị bề mặt hoặc nếu cần sau khi bịt đầu mẫu, đặt chính giữa trên tấm kim loại của máy thử nghiệm. Đặt tải trọng sao cho phân bố được đồng đều và tăng liên tục cho đến khi xảy ra phá vỡ mẫu.

4  Thuật ngữ và định nghĩa

Trong tiêu chuẩn này áp dụng các thuật ngữ và định nghĩa nêu trong EN 14618

5  Ký hiệu

h : Chiều cao của mẫu, tính bằng mm;

 : Giá trị trung bình của kích thước mặt bên, tức là khoảng cách giữa các mặt đối diện theo phương thẳng đứng của mẫu thử (nếu là hình khối lập phương), tính bằng mm;

 : Giá trị trung bình của đường kính mẫu thử (nếu là hình trụ), tính bằng mm;

 : Giá trị trung bình của cường độ nén của mẫu thử theo phương pháp nén một trục, tính bằng MPa;

S : Độ lệch chuẩn;

V: Hệ số biến thiên.

6  Thiết bị, dụng cụ

6.1  Máy mài bề mặt.

6.2  Máy qun màng nếu cần chuẩn bị mẫu cuối cùng

6.3  Máy thử lực phù hợp, phù hợp với EN 12390 và được hiệu chuẩn theo tiêu chuẩn này và có hệ thống để kiểm soát tốc độ biến dạng.

6.4  Bộ đếm thời gian chính xác đến 1 s.

6.5  Tủ sy thông gió có thể duy trì nhiệt độ (70 ± 5) °C.

6.6  Dụng cụ cân có độ chính xác đến 0,1 g.

6.7  Thiết bị đo chiều dài có độ chính xác đến 0,05 mm.

6.8  Phòng điều hòa không khí có nhiệt độ (20 ± 5) °C.

7  Chuẩn bị mẫu

7.1  Lấy mẫu

Việc lấy mẫu không thuộc trách nhiệm của phòng thử nghiệm trừ trường hợp đặc biệt được yêu cầu thực hiện việc này.

Ít nhất sáu mẫu phải được thử nghiệm.

7.2  Mẫu thử nghiệm

Các mẫu thử phải là hình khối lập phương có cạnh (70 ± 5) mm hoặc (50 ± 5) mm hoặc hình trụ tròn thẳng có đường kính và chiều cao bằng (70 ± 5) mm hoặc (50 ± 5) mm.

Chiều cao của mẫu cũng có thể đạt được bằng cách dán, sử dụng chất kết dính phù hợp, các mẫu khác nhau có độ dày tối thiểu 6,5 mm.

Nếu kích thước tối đa quan sát được của hạt vượt quá 7 mm, thì nên có số lượng mẫu lớn hơn để thu được kết quả đại diện.

7.3  Chuẩn bị bề mặt

7.3.1  Yêu cầu chung

Các mặt mà tải trọng được đặt vào phải phẳng với dung sai 0,1 mm và không được lệch vuông góc với trục của mẫu thử quá 0,01 radian hoặc 1 mm trong 100 mm. Các bề mặt của mẫu thử phải nhẵn, không có các sự không đồng đều bất thường và thẳng trong vòng 0,3 mm trên toàn bộ chiều dài của mẫu.

Để đáp ứng các yêu cầu trên, các mẫu thử phải được hoàn thiện trên máy tiện hoặc máy mài bề mặt, nếu cần thiết phải sử dụng máy mài bóng.

Việc phủ keo theo quy trình chỉ ra trong 7.3.2 chỉ được sử dụng nếu không đạt được dung sai đã đưa ra với việc chuẩn bị mẫu theo phương pháp cơ học theo quy định. Điều kiện này phải được chỉ rõ trong báo cáo thử nghiệm.

7.3.2  Phủ bằng hồ

Nếu các mẫu có sẵn không thể đạt được chiều cao của mẫu được chỉ ra trong 7.2, thì có thể phủ mẫu tới độ cao cần thiết bằng cách sử dụng hồ được tạo thành từ nước và xi măng CEM I 52,5 R theo

EN 197-1 nước / tỷ lệ xi măng (0,6 ± 0,1), bảo dưỡng trong điều kiện phòng theo EN 197-1 trong một tuần ± 4 giờ.

7.4  n định trước khi thử nghiệm

Các mẫu thử, dù có phủ hay không phủ, phải được sấy khô ở (70 ± 5) °C đến khối lượng không đổi, nghĩa là chênh lệch giữa hai lần cân không lớn hơn 0,1% khối lượng của mẫu trong (24 ± 2) h. Sau khi sấy khô và trước khi thử, các mẫu phải được bảo quản ở (20 ± 5) °C cho đến khi đạt được trạng thái cân bằng nhiệt. Sau đó, các thử nghiệm phải được thực hiện trong vòng 24 h.

8  Cách tiến hành

8.1  Đo mẫu

Kích thước mặt cắt ngang của mẫu thử (kích thước bên đối với hình khối lập phương, đường kính đối với mẫu thử hình trụ) phải được đo chính xác đến 0,1 mm bằng cách lấy trung bình hai phép đo thực hiện ở các góc vuông với nhau ở khoảng chiều cao trên và khoảng chiều cao dưới h của mẫu thử. Kích thước bên trung bình  hoặc đường kính trung bình  phải được sử dụng để tính diện tích mặt cắt ngang. Chiều cao của mẫu thử phải được xác định chính xác đến 1,0 mm.

8.2  Đặt mẫu vào máy thử nghiệm

Lau sạch bề mặt các thớt nén và loại bỏ cặn bẩn bám trên bề mặt nén của mẫu thử. Căn chnh cẩn thận mẫu thử theo tâm của thớt cầu tự lựa, để có được chỗ đặt mẫu đồng nhất. Không sử dụng bất kỳ vật liệu chèn nào.

8.3  Đặt tải

Tải trọng đặt lên mẫu thử phải được thực hiện liên tục với tốc độ ứng suất không đổi là (1 ± 0,5) MPa/s. Tải trọng phá hủy mẫu thử phải được đo chính xác đến 1kN và ghi lại.

9  Biểu thị kết quả

Cường độ nén đơn trục R của mỗi mẫu thử được biểu thị bằng tỷ số giữa tải trọng phá hy của mẫu và diện tích mặt cắt ngang của mẫu trước khi thử nghiệm, theo công thức:

Nêu loại mẫu thử bằng Rc và Rcyl trong trường hợp hình lập phương và hình trụ tương ứng.

Kết quả phải được biểu thị bằng MPa với ít nhất một con số có nghĩa. Giá trị trung bình R phải được tính chính xác đến 1 MPa.

Trong đó

A: Diện tích mặt cắt ngang của mẫu thử trước khi thử nghiệm, tính bằng mm2;

F: Tải trọng phá hủy, tính bằng N;

R: Cường độ nén của mẫu thử theo phương pháp nén một trục, tính bằng MPa;

10  Báo cáo

Báo cáo thử nghiệm phải bao gồm các thông tin sau:

a) Số nhận dạng duy nhất của báo cáo;

b) Viện dẫn Tiêu chuẩn này;

c) Tên và địa ch của phòng thử nghiệm, và địa chỉ nơi thử nghiệm được thực hiện nếu nó khác với phòng thử nghiệm;

d) Tên và địa chỉ của khách hàng;

e) Khách hàng có trách nhiệm cung cấp các thông tin sau:

- Tên của nhà cung cấp;

- Tên của người hoặc tổ chức đã tiến hành ly mẫu;

- Bề mặt hoàn thiện của mẫu thử (nếu có liên quan đến phép thử);

- Bản chất của chất kết dính

f) Ngày giao nhận mẫu thử;

g) Ngày chuẩn bị mẫu thử (nếu có liên quan) và ngày thử nghiệm;

h) Số lượng mẫu vật trong mẫu;

i) Kích thước  (hoặc ) và h tính bằng milimét và tải trọng phá hủy F của mỗi mẫu thử, tính bằng niutơn;

j) Chuẩn bị bề mặt của mẫu thử và điều hòa chúng trước khi thử nghiệm;

k) Hướng của trục tải đối với các mặt phẳng dị hướng hiện có;

l) Cường độ nén R của mỗi mẫu thử, tính bằng Megapascal với ít nhất hai con số có nghĩa;

m) Giá trị trung bình  của cường độ nén, tính bằng Megapascal, chính xác đến 1 MPa;

n) Độ lệch chuẩn s, tính bằng Megapascal chính xác đến 1 MPa và hệ số biến thiên v;

o) Mọi sai lệch so với tiêu chuẩn và giải thích;

p) Nhận xét.

Báo cáo thử nghiệm phải có chữ ký và vai trò người chịu trách nhiệm về thử nghiệm và sự đồng ý bằng văn bản của phòng thử nghiệm. Báo cáo cũng phải nêu rõ báo cáo sẽ không được sao chép một phần mà không có sự đồng ý bằng văn bản của phòng thử nghiệm.

CHÚ THÍCH: Việc so sánh giữa các kết quả thử nghiệm chỉ nên được thực hiện đối với các mẫu thử có cùng hình dạng.

 

Phụ lục A

(Quy định)

Đánh giá thống kê kết quả kiểm tra

A.1  Phạm vi

Phụ lục này thiết lập một phương pháp đ xử lý thống kê các kết quả thử nghiệm thu được theo phương pháp thử Đá nhân tạo được mô tả trong tiêu chuẩn này.

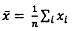
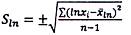
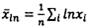
A.2  Ký hiệu và định nghĩa

Các giá trị đo được

x1, x2, .. xi.., xn

Số giá trị đo

n

Giá trị trung bình

Độ lệch chuẩn

Hệ số biến động

Trung bình Logarit

Độ lệch chuẩn Logarit

Giá trị lớn nhất

Max

Giá trị nhỏ nhất

Min

Giá trị kỳ vọng thấp hơn

 Trong đó Ks (Hệ số phân vị) được cho trong Bảng A.1.

Hệ số phân vị Ks xem Bảng A.1

A.3  Đánh giá thống kê kết quả thử nghiệm

Từ việc tính toán giá trị trung bình () độ lệch chuẩn (s) và hệ số biến thiên (v) giả định phân phối thông thường.

Đối với việc tính toán giá trị kỳ vọng thấp hơn (E), một phân phối thông thường logarit được giả định. Các giá trị kỳ vọng thấp hơn (E) tương ứng với 5 % điểm vi phân của phân phối thông thường logarit với hệ số tin cậy là 75 %.

Bảng A.1 - Hệ số phân vị phụ thuộc vào số lượng giá trị đo (n) tương ứng với 5 % vi phân đối với hệ số tin cậy 75 %

n

ks

3

3,15

4

2,68

5

2,46

6

2,34

7

2,25

8

2,19

9

2,14

10

2,10

15

1,99

20

1,93

30

1,87

40

1,83

50

1,81

 

 

1,64

Các ví dụ dưới đây minh họa cho phương pháp tính:

VÍ DỤ 1

Tính giá trị trung bình, độ lệch chuẩn, giá trị lớn nhất và giá trị nhỏ nhất của 6 giá trị đo được

Số đo

Giá trị đo được x

1

2000

2

2150

3

2200

4

2300

5

2350

6

2400

Giá trị trung bình

2233

Độ lệch chuẩn

147

Giá trị lớn nhất

2400

Giá trị nhỏ nhất

2000

VÍ DỤ 2

Tính toán giá trị trung bình, độ lệch chuẩn, hệ s biến động và giá trị kỳ vọng thấp hơn của 10 giá trị đo

Số đo

Giá trị đo được x

(Inx)

1

2000

(7,60)

2

2150

(7,67)

3

2200

(7,70)

4

2300

(7,74)

5

2350

(7,76)

6

2400

(7,78)

7

2600

(7,86)

8

2750

(7,92)

9

2900

(7,97)

10

3150

(8,06)

Giá trị trung bình

2480

(7,807)

Độ lệch chuẩn

363

0,143

Hệ số biến động

0,15

 

Từ Bảng A.1 cho: n=10 ks=2,1

Giá trị kỳ vọng thấp hơn 1819

 

Thư mục tài liệu tham khảo

[1] EN 12440, Natural stone - Denomination criteria (Đá tự nhiên - Tiêu chí định danh)

Bạn chưa Đăng nhập thành viên.

Đây là tiện ích dành cho tài khoản thành viên. Vui lòng Đăng nhập để xem chi tiết. Nếu chưa có tài khoản, vui lòng Đăng ký tại đây!

* Lưu ý: Để đọc được văn bản tải trên Luatvietnam.vn, bạn cần cài phần mềm đọc file DOC, DOCX và phần mềm đọc file PDF.

Văn bản liên quan Tiêu chuẩn Việt Nam TCVN 13943-15:2024

01

Tiêu chuẩn quốc gia TCVN 13943-1:2024 BS EN 14617-1:2013 Đá nhân tạo - Phương pháp thử - Phần 1: Xác định khối lượng thể tích và độ hút nước

02

Tiêu chuẩn quốc gia TCVN 13943-2:2024 BS EN 14617-2:2016 Đá nhân tạo - Phương pháp thử - Phần 2: Xác định độ bền uốn (uốn gãy)

03

Tiêu chuẩn quốc gia TCVN 13943-4:2024 BS EN 14617-4:2012 Đá nhân tạo - Phương pháp thử - Phần 4: Xác định độ mài mòn

04

Tiêu chuẩn quốc gia TCVN 13943-5:2024 BS EN 14617-5:2012 Đá nhân tạo - Phương pháp thử - Phần 5: Xác định độ bền đóng băng và tan băng

05

Tiêu chuẩn quốc gia TCVN 13943-6:2024 BS EN 14617-6:2012 Đá nhân tạo - Phương pháp thử - Phần 6: Xác định độ bền sốc nhiệt

văn bản cùng lĩnh vực

văn bản mới nhất

Chú thích màu chỉ dẫn
Chú thích màu chỉ dẫn:
Các nội dung của VB này được VB khác thay đổi, hướng dẫn sẽ được làm nổi bật bằng các màu sắc:
Sửa đổi, bổ sung, đính chính
Thay thế
Hướng dẫn
Bãi bỏ
Bãi bỏ cụm từ
Bình luận
Click vào nội dung được bôi màu để xem chi tiết.
×