- Tổng quan
- Nội dung
- Tiêu chuẩn liên quan
- Lược đồ
- Tải về
Tiêu chuẩn quốc gia TCVN 13943-13:2024 BS EN 14617-13:2013 Đá nhân tạo - Phương pháp thử - Phần 13: Xác định độ cách điện
| Số hiệu: | TCVN 13943-13:2024 | Loại văn bản: | Tiêu chuẩn Việt Nam |
| Cơ quan ban hành: | Bộ Khoa học và Công nghệ | Lĩnh vực: | Xây dựng , Công nghiệp |
| Trích yếu: | BS EN 14617-13:2013 Đá nhân tạo - Phương pháp thử - Phần 13: Xác định độ cách điện | ||
|
Ngày ban hành:
Ngày ban hành là ngày, tháng, năm văn bản được thông qua hoặc ký ban hành.
|
16/10/2024 |
Hiệu lực:
|
Đã biết
|
| Người ký: | Đang cập nhật |
Tình trạng hiệu lực:
Cho biết trạng thái hiệu lực của văn bản đang tra cứu: Chưa áp dụng, Còn hiệu lực, Hết hiệu lực, Hết hiệu lực 1 phần; Đã sửa đổi, Đính chính hay Không còn phù hợp,...
|
Đã biết
|
TÓM TẮT TIÊU CHUẨN VIỆT NAM TCVN 13943-13:2024
Tiêu chuẩn quốc gia TCVN 13943-13:2024: Xác định độ cách điện của đá nhân tạo
Tiêu chuẩn quốc gia TCVN 13943-13:2024, được ban hành vào năm 2024, quy định phương pháp thử nghiệm để xác định điện trở cách điện của vật liệu đá nhân tạo. Tiêu chuẩn này được xây dựng từ cơ sở tham khảo BS EN 14617-13:2013 và do Viện Vật liệu Xây dựng biên soạn, Bộ Xây dựng đề nghị và Tổng cục Tiêu chuẩn Đo lường Chất lượng thẩm định. Quy định này có hiệu lực ngay từ ngày ban hành.
Tiêu chuẩn bao gồm việc xác định các chỉ số quan trọng như điện trở cách điện dòng điện một chiều, điện trở bề mặt, điện trở suất, độ dẫn điện, cũng như độ dẫn điện tương đối của mẫu đá nhân tạo. Các sản phẩm đá nhân tạo được phân loại theo định nghĩa trong EN 14618, thường được làm từ đá mạt kết hợp với nhựa, chất độn, hoặc xi măng với nước. Việc xác định các chỉ số này có thể thể hiện gián tiếp các tính chất khác của sản phẩm.
Mục đích chính của tiêu chuẩn là cung cấp các phương pháp đo lường chính xác cho điện trở và độ dẫn của mẫu đá nhân tạo. Phép đo này dựa vào việc áp dụng dòng điện một chiều dưới các điều kiện có hệ thống điện cực thích hợp. Các chuẩn mực trong tài liệu bao gồm quy trình lấy mẫu và chuẩn bị mẫu thử nghiệm sao cho đại diện cho sản phẩm thực tế.
Điều kiện thử nghiệm yêu cầu thực hiện tại nhiệt độ phòng 23 ± 2 °C và độ ẩm tương đối 50 ± 10%. Mẫu thử cũng yêu cầu phải được làm khô tới khối lượng không đổi trước khi tiến hành thử nghiệm, nếu không sẽ ảnh hưởng đến kết quả đo. Việc xác định điện trở cách điện và suất điện trở bề mặt được tiến hành bằng cách sử dụng điện cực ba đầu đo, đảm bảo tương tác điện hiệu quả giữa các điện cực và mẫu thử.
Kết quả thử nghiệm cần được báo cáo chi tiết, bao gồm thông tin về chính xác việc thử nghiệm, thông tin về mẫu cũng như điều kiện thực hiện phép đo. Báo cáo phải có chữ ký và vai trò của người chịu trách nhiệm thực hiện thử nghiệm, cùng với việc ghi chú rằng không được sao chép mà không có sự đồng ý bằng văn bản.
Tiêu chuẩn này sẽ hỗ trợ doanh nghiệp và các tổ chức trong ngành vật liệu xây dựng trong việc đảm bảo chất lượng sản phẩm, đồng thời ảnh hưởng tích cực đến việc áp dụng chất liệu trong các công trình xây dựng đảm bảo an toàn và hiệu suất hoạt động tốt.
Tải tiêu chuẩn Việt Nam TCVN 13943-13:2024
TIÊU CHUẨN QUỐC GIA
TCVN 13943-13:2024
BS EN 14617-13:2013
ĐÁ NHÂN TẠO - PHƯƠNG PHÁP THỬ
PHẦN 13: XÁC ĐỊNH ĐỘ CÁCH ĐIỆN
Agglomerated stone - Test Methods
Part 13: Determination of electrical resistivity
Lời nói đầu
TCVN 13943-13:2024 xây dựng dựa trên cơ sở tham khảo BS EN 14617-13:2013
TCVN 13943-13:2024 do Viện Vật liệu Xây dựng biên soạn, Bộ Xây dựng đề nghị, Tổng cục Tiêu chuẩn Đo lường Chất lượng thẩm định, Bộ Khoa học và Công nghệ công bố.
Tiêu chuẩn TCVN 13943:2024 Đá nhân tạo - Phương pháp thử, bao gồm các phần sau:
- TCVN 13943-1:2024 (BS EN 14617-1:2013) Phần 1: Xác định khối lượng thể tích và độ hút nước;
- TCVN 13943-2:2024 (BS EN 14617-2:2016) Phần 2: Xác định độ bền uốn (uốn gãy);
- TCVN 13943-4:2024 (BS EN 14617-4:2012) Phần 4: Xác định độ mài mòn;
- TCVN 13943-5:2024 (BS EN 14617-5:2012) Phần 5: Xác định độ bền đóng băng và tan băng;
- TCVN 13943-6:2024 (BS EN 14617-6:2012) Phần 6: Xác định độ bền sốc nhiệt;
- TCVN 13943-8:2024 (BS EN 14617-8:2007) Phần 8: Xác định độ bền lỗ chốt;
- TCVN 13943-9:2024 (BS EN 14617-9:2005) Phần 9: Xác định độ bền va đập;
- TCVN 13943-10:2024 (BS EN 14617-10:2012) Phần 10: Xác định độ bền hóa học;
- TCVN 13943-11:2024 (BS EN 14617-11:2005) Phần 11: Xác định hệ số giãn nở nhiệt dài;
- TCVN 13943-12:2024 (BS EN 14617-12:2012) Phần 12: Xác định độ ổn định kích thước;
- TCVN 13943-13:2024 (BS EN 14617-13:2013) Phần 13: Xác định độ cách điện;
- TCVN 13943-15:2024 (BS EN 14617-15:2005) Phần 15: Xác định cường độ chịu nén;
- TCVN 13943-16:2024 (BS EN 14617-16:2005) Phần 16: Xác định kích thước, đặc điểm hình học và chất lượng bề mặt.
ĐÁ NHÂN TẠO - PHƯƠNG PHÁP THỬ
PHẦN 13: XÁC ĐỊNH ĐỘ CÁCH ĐIỆN
Agglomerated stone - Test Methods
Part 13: Determination of electrical resistivity
1 Phạm vi áp dụng
Tiêu chuẩn này đề cập đến việc xác định điện trở cách điện dòng điện 1 chiều, điện trở bề mặt, điện trở suất, độ dẫn điện và độ dẫn điện tương đối của các mẫu sản phẩm đá nhân tạo phù hợp với định nghĩa được nêu trong EN 14618. Các sản phẩm này thường được làm từ đá mạt liên kết với nhựa và chất độn hoặc xi măng và nước (các thành phần dạng bột nhão), hoặc hỗn hợp polyme/xi măng và các chất bổ sung liên quan (chẳng hạn như sợi gia cường, chất độn cách điện/dẫn điện, v.v.)..
Điện trở suất/độ dẫn điện cũng có thể được sử dụng như một phép đo gián tiếp đối với một số đặc tính của các sản phẩm đá nhân tạo (xem Phụ lục A).
Phương pháp thử điện trở khối, suất điện trở khối, độ dẫn điện tương đối và độ dẫn điện của các mẫu sản phẩm đá nhân tạo tương ứng cũng được bao gồm (xem Phụ lục C).
2 Tài liệu viện dẫn
Không áp dụng.
3 Nguyên tắc
Điện trở/độ dẫn của mẫu đá nhân tạo được đánh giá bằng phép đo dòng điện một chiều (DC) trong mẫu thử dưới các điều kiện thiết lập bằng hệ thống điện cực thích hợp. Điện trở suất/độ dẫn điện phải được tính toán từ kích thước và hình dạng của mẫu thử và điện cực.
4 Thuật ngữ và định nghĩa và ký hiệu
4.1
Điện trở cách điện (Insulation resistance)
Ω → Ω = ohm
Điện trở cách điện giữa hai điện cực tiếp xúc điện với mẫu đá nhân tạo, được tính bằng tỷ số giữa hiệu điện thể đặt trực tiếp vào các điện cực với tổng dòng điện chạy giữa chúng
CHÚ THÍCH 1: Điện trở cách điện phụ thuộc vào hình dạng và kích thước cũng như điện trở khối và điện trở bề mặt của mẫu thử.
4.2
Điện trở bề mặt (Surface resistance)
Rs (Ω)
Điện trở bề mặt giữa hai điện cực tiếp xúc điện với bề mặt của mẫu đá nhân tạo, được tính bằng tỷ số giữa điện áp trực tiếp đặt vào các điện cực với phần dòng điện giữa chúng được phân bố phần lớn trên bề mặt mẫu thử và lớp vật liệu dưới bề mặt mẫu.
CHÚ THÍCH 1: Độ dẫn điện bề mặt không thể xác định được chính xác, chỉ mang tính quy ước, vì trong phép đo sẽ bao gồm sự phân bổ ít hoặc nhiều vào thể tích, tùy thuộc vào bản chất của mẫu thử và môi trường.
4.3
Suất điện trở bề mặt (Surface resistivity)
ρs (Ω)
Suất điện trở bề mặt của vật liệu đá nhân tạo, được tính bằng tỷ số giữa gradien điện thế song song với hướng dòng điện dọc theo bề mặt với dòng điện trên một đơn vị chiều rộng bề mặt.
4.4
Độ dẫn điện bề mặt (Surface conductivity)
γs (Ω-1)
Nghịch đảo của suất điện trở bề mặt
4.5
Điện trở khối (Volume resistance)
Rv (Ω)
Điện trở khối giữa hai điện cực tiếp xúc điện với mẫu thử, được tính bằng tỷ số giữa hiệu điện thế trực tiếp đặt vào các điện cực và phần dòng điện giữa chúng chạy qua thể tích của mẫu.
4.6
Suất điện trở khối (Volume resistivity)
pv (Ω·m)
Suất điện trở khối của vật liệu đá nhân tạo, được tính bằng tỷ số giữa gradien điện thế, song song với hướng dòng điện trong vật liệu, với mật độ dòng điện
VÍ DỤ: Các hạt mang điện chạy qua mẫu thử, dòng chảy điện tích trong đơn vị thời gian trên đơn vị diện tích bề mặt vuông góc theo hướng dòng điện.
4.7
Độ dẫn khối (Volume conductivity)
γv (Ω-1 · m -1 = S/m → S = siemens)
Nghịch đảo của suất điện trở khối
5 Lấy mẫu và chuẩn bị mẫu thử
Phòng thử nghiệm không chịu trách nhiệm lấy mẫu, trừ khi có thoả thuận khác. Phải phù hợp với lô hàng đá nhân tạo,khi có thể, phải sử dụng phương pháp lấy mẫu ngẫu nhiên. Tuy nhiên, các mẫu thử nghiệm phải đại diện cho mẫu đá nhân tạo và có thể được lấy trực tiếp từ quá trình đổ khuôn và đóng rắn trong phòng thí nghiệm theo một quy trình chi tiết (được mô tả đúng trong báo cáo thử nghiệm) và/hoặc các mẫu được lấy "tại chỗ" và cắt theo kích thước phù hợp của thiết bị đo. Bề mặt phải được mài hoặc đánh bóng.
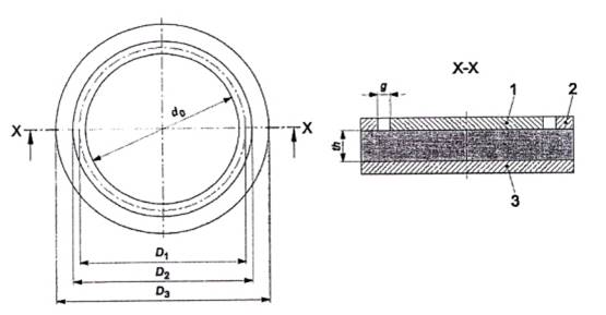
Mẫu thử nghiệm có thể có hình dạng thực tế cho phép sử dụng hệ thống điện cực ba đầu đo thích hợp, tuân theo sơ đồ lắp ráp điện cực được chỉ ra trong Hình 1 đối với các mẫu thử phẳng. Các mẫu dạng tấm như các mô tả trong Hình 1 phải có độ dày vượt quá 20% kích thước mảnh đá lớn nhất được sử dụng và đường kính từ 20 mm đến 160 mm theo điện trở suất của vật liệu được thử nghiệm. Ít nhất năm mẫu thử phải được chọn bằng cách lấy mẫu.
6 Ổn định
Phép đo phải được thực hiện ở trong điều kiện nhiệt độ phòng (23 ± 2) °C và (50 ± 10) % RH hoặc mẫu khô. Trong trường hợp đầu tiên, các mẫu thử phải được đo sau điều kiện thích hợp (ít nhất là 24 h) trong môi trường đo theo các quy trình điều kiện tiêu chuẩn hiện hành khác. Trong trường hợp thứ hai, mẫu phải được sấy khô đến khối lượng không đổi trong tủ sấy không khí tuần hoàn ở (50 ± 2) °C (nghĩa là chênh lệch < 0,1 % khối lượng bằng các lần cân liên tiếp/24 h). Sau khi lấy ra khỏi tủ sấy, mẫu phải được làm nguội đến nhiệt độ phòng trong bình hút ẩm trong không khí khô (có thể sử dụng canxi clorua khan) hoặc trong tủ chân không cho đến khi thử nghiệm.
7 Hệ thống điện cực và thiết bị đo
Các điện cực tròn phẳng có cấu hình ba đầu đo của Hình 1 phải được sử dụng để đo các đặc tính bề mặt của các mẫu đá nhân tạo phẳng. Chỉ có thể bỏ qua điện cực bảo vệ đối với các vật liệu đã thực sự xác định chắc chắn sự rò rỉ điện tích không đáng kể trên bề mặt. Cấu hình hai đầu đo (tức là không có điện cực bảo vệ) chỉ được sử dụng để đo điện trở cách điện.
Để đảm bảo sự tiếp xúc điện hiệu quả của các điện cực đo với bề mặt mẫu thử, cấu hình ba đầu đo trên mẫu thử phải đạt được bằng cách phủ một lớp dẫn điện (ví dụ như keo graphit, lớp phủ kim loại hoặc sơn; lớp kim loại dẫn điện - vàng, nhôm - bằng cách kết tủa theo phương pháp chân không, v.v.) hoặc đặt một tấm bán dẫn (ví dụ tấm bán dẫn polyme hoặc cao su mềm) có hình dạng và kích thước yêu cầu trên bề mặt mẫu thử và ép nó vào giữa hệ thống điện cực.
Phương pháp vốn kế-ampe kế trong Hình A.1 nên được ưu tiên sử dụng. Điện áp không đổi phải được cung cấp bằng máy phát điện áp ổn định, không đổi. Dòng điện chạy qua mẫu thử ở điện áp cố định, không đổi có thể được đo bằng bất kỳ thiết bị nào có độ nhạy và độ chính xác cần thiết (thường là ± 10%), thu thập dữ liệu và xử lý bằng máy tính cá nhân. Có thể sử dụng điện kế hoặc đồng hồ vạn năng có độ nhạy thích hợp đọc trực tiếp đối với phương pháp vôn kế-ampe kế của Hình 2, tùy thuộc vào dải dòng điện được tạo ra bởi mẫu đá nhân tạo đang thử nghiệm.
8 Cách tiến hành
Ít nhất năm mẫu thử phải được đo.
Tham khảo Hình 1, đo đường kính d của các điện cực, chiều rộng g của khe hở bảo vệ và chiều dày th của mẫu bằng các đồng hồ đo thích hợp (thước calip và panme có độ nhạy và độ chính xác thích hợp). Thực hiện phép đo điện bằng các thiết bị phù hợp có độ nhạy và độ chính xác cần thiết trong môi trường được kiểm soát; Các điều kiện tiêu chuẩn sau được đề xuất: Đối với mẫu thử được thực hiện ở điều kiện nhiệt độ phòng (23 ± 2) °C và độ ẩm tương đối là (50 ± 10) %; Đối với các mẫu khô, trong môi trường chân không hoặc khô. Trừ khi có quy định khác, phải sử dụng thời gian truyền điện là 60 s và điện áp đặt trực tiếp là 100 V (hoặc cao hơn, tùy thuộc vào chiều dày và điện trở suất của mẫu thử).
Vị trí điện cực (Hình 1):
- Điện cực n° 1: Điện cực đo hoặc điện cực được bảo vệ;
- Điện cực n° 2: Điện cực cao thế;
- Điện cực n° 3: Điện cực bảo vệ.
9 Biểu thị kết quả
Suất điện trở bề mặt ρs và độ dẫn điện bề mặt γs được tính như một hàm của hình dạng mẫu thử tại thời điểm đo t. Khi được đo trong buồng chân không, gọi là “trong” (tức là không có bất kỳ ảnh hưởng nào của môi trường) điện trở suất/độ dẫn điện của đá nhân tạo phải được tham khảo Đối với mẫu đá nhân tạo hình tròn phẳng, công thức sau sẽ được sử dụng:
| ρs = 1/γs = Rs. P/g [Ω] | (1) |
Trong đó:
Rs là điện trở bề mặt tính bằng Ω;
P là π D1 tính bằng m.
d0, D1, D2, g, th là các kích thước được ghi lại trong Hình 1.
Tính giá trị trung bình. Ngoài ra, cần thống kê xử lý dữ liệu đo để thu được độ lệch chuẩn và hệ số biến thiên cho hệ số định lượng phù hợp theo các quy trình hiện hành, khi giả định phân phối chuẩn của dữ liệu (xem Phụ lục B).
10 Báo cáo
Báo cáo thử nghiệm phải bao gồm những nội dung sau:
a) Số nhận dạng duy nhất của báo cáo;
b) Viện dẫn Tiêu chuẩn này;
c) Tên và địa chỉ của phòng thử nghiệm và địa chỉ nơi thử nghiệm được thực hiện nếu khác với phòng thử nghiệm;
d) Tên và địa chỉ của khách hàng;
e) Khách hàng có trách nhiệm cung cấp các thông tin sau:
1) Tên của nhà cung cấp;
2) Tên của người hoặc tổ chức đã tiến hành lấy mẫu;
3) Bề mặt hoàn thiện của mẫu thử (nếu có liên quan đến phép thử);
4) Bản chất của chất kết dính;
f) Ngày giao nhận mẫu thử;
g) Ngày chuẩn bị mẫu thử (nếu có liên quan) và ngày thử;
h) Số lượng mẫu vật trong mẫu;
i) Kích thước của các mẫu thử;
j) Điều kiện bảo dưỡng và tuổi của mẫu thử;
k) Kích thước của mẫu thử theo Hình 1 hoặc hình dạng mẫu thích hợp;
l) Kiểu hoàn thiện bề mặt;
m) Kiểu, hình dạng và kích thước của các tiếp điểm điện;
n) Điều kiện đo (nhiệt độ, độ ẩm tương đối và điện trường đặt vào);
o) Loại thiết bị đo;
p) Điện áp đặt vào;
q) Thời gian đặt điện áp;
r) Số lượng mẫu thử được đo;
s) Giá trị suất điện trở bề mặt và đánh giá thống kê kết quả thử nghiệm, nếu có;
t) Mọi sai lệch so với tiêu chuẩn và giải thích;
u) Nhận xét.
Báo cáo thử nghiệm phải có chữ ký và vai trò người chịu trách nhiệm về thử nghiệm và sự đồng ý bằng văn bản của phòng thử nghiệm. Báo cáo cũng phải nêu rõ báo cáo sẽ không được sao chép một phần mà không có sự đồng ý bằng văn bản của phòng thử nghiệm.

| D1 = (d0 + d2)/2 | D1 > 4 th | g ≤ 2 th |
CHÚ DẪN:
do Đường kính trong của điện cực
th : Độ dày của mẫu
g : Chiều rộng của khe hở bảo vệ
1) Điện cực đo hoặc điện cực được bảo vệ
2) Điện cực điện áp cao
3) Điện cực bảo vệ
D: Đường kính của các điện cực
Hình 1 - Sơ đồ điện cực ba đầu đo điện trở bề mặt/độ dẫn điện bề mặt

CHÚ DẪN:
V: điện áp
S: mẫu
E: Điện kế
Rc: Điện trở
Hình 2 - Phương pháp vốn kế-ampe kế sử dụng điện kế (sơ đồ)
Phụ lục A
(Tham khảo)
Hiện tượng phân cực và dẫn điện dòng điện 1 chiều trong vật liệu cách điện
Điện trở suất/độ dẫn điện trong các vật liệu cách điện có thể được sử dụng như một thước đo gián tiếp để đánh giá sự tích điện tĩnh, độ ẩm, tính liên tục cơ học và các hư hỏng của các loại khác nhau, cũng như ảnh hưởng của sợi (thép, thủy tinh, polyme, v.v.), chất độn ( canxi cacbonat, bột dẫn điện, bán dẫn và cách điện, v.v.), hàm lượng xi măng và polyme đến tính chất của chúng.
Việc bổ sung nhựa hoặc thay thế xi măng bằng nhựa trong các sản phẩm đá nhân tạo liên kết với xi măng thường làm giảm độ dẫn điện đáng kể và có thể dẫn đến tích tụ điện tích trên bề mặt sản phẩm. Các điện tích tĩnh điện phân cực có hại trong các môi trường nguy hiểm, chẳng hạn như khi có khí dễ cháy, hơi và bột mịn lơ lửng trong không khí (ví dụ: đường, than, bột mì, sữa đặc, kim loại) nơi có thể xảy ra nổ, trong các thiết bị điện tử và nhà máy (nơi có thể xảy ra mất điện), trong phòng phẫu thuật và khu phụ (nơi một số loại chất khử trùng và thuốc mê có thể gây cháy và nổ) và những nơi tương tự. Mặt khác, giảm độ dẫn điện có thể có lợi ở những nơi yêu cầu cách điện cao. Đo độ dẫn điện/điện trở suất của đá nhân tạo chứng tỏ rằng nó rất hữu ích cho công trình xây dựng và kiến trúc.
Điện trở suất/độ dẫn điện của vật liệu cách điện phụ thuộc vào nhiệt độ, độ ẩm, thời gian nhiễm điện và điện áp đặt vào. Các thông số này cần được biết chính xác để làm cho giá trị đo được đáng tin cậy. Đặc biệt, độ ẩm nên được biết, do góp phần vào quá trình dẫn điện bằng cách giải phóng proton. Đặc tính điện của vật liệu cách điện rất khác so với vật liệu dẫn điện và vật liệu bán dẫn. Sự tập trung của các hạt tải điện tử rất thấp làm cho sự dẫn điện chỉ được hình thành bởi sự dịch chuyển ion và các nhóm nguyên tử và phân tử phân cực dao động và chuyển động cục bộ dưới điện trường bên ngoài. Những hiện tượng này làm phát sinh quá trình dẫn điện phụ thuộc rất nhiều vào thời gian: các quá trình giãn vĩ mô sau đó được bộc lộ bằng phép đo các hiện tượng điện nhất thời như một hàm của thời gian trong vật liệu dạng khối.
Một số lượng lớn phân cực ở trạng thái ổn định trong vật liệu có thể được tóm tắt như trong Hình A.1 dưới điện trường không đổi trong phương pháp thử nghiệm vôn kế-ampe kế. Cần lưu ý rằng sự phân tách điện tích cơ bản được mô tả trong hình xảy ra trong vật liệu trong một thời gian phần lớn phụ thuộc vào cả bản chất của hạt mang điện và cấu trúc vi mô vật chất, dẫn đến thất thoát dòng điện lc∞ sau một thời gian rất dài.

CHÚ DẪN:
V: Vôn kế
A: ampe kế
1) vị trí chuyển đổi
2) vị trí chuyển đổi
Hình A.1 - Độ phân cực của vật liệu cách điện dưới điện trường không đổi
Do đó, về nguyên tắc, dòng điện tích và dòng điện lc chạy dưới điện áp đặt vào hiệu điện thế V, thường giảm theo thời gian như được báo cáo bằng sơ đồ trong Hình A.2. Do hiệu ứng tương phản của sự phân cực điện ngày càng tăng trong vật liệu, do đó bất kỳ phép đo nào phải được thực hiện tại một thời điểm nhất định (thường là một hoặc hai phút sau khi đặt điện trường). Ict đo được tại thời điểm đo t thường là giá trị gần đúng đáng tin cậy đầu tiên của dòng điện thất thoát lc∞.

CHÚ DẪN:
V: Điện áp
T: Thời gian đo
lc: Dòng điện
Id: Dòng điện phóng
Hình A.2 - Biểu đồ hiện tượng phân cực nhất thời biểu thị bởi sự thay đổi dòng điện sau khi đặt điện áp không đổi (Đường cong trên: vị trí chuyển mạch 1, Hình A.1) hoặc giảm tải (Đường cong dưới: vị trí chuyển mạch 2, Hình A.1)
Khi điện trường đặt vào bị loại bỏ và các điện cực trên mặt đo của mẫu bị đoản mạch, trường phát sinh trong vật liệu từ sự phân cực điện trước đó gây ra dòng điện thất thoát lc∞ chạy theo hướng ngược lại trong mẫu; Độ phân cực càng cao thì lc∞ càng cao. Dòng điện thất thoát Idt đo được tại thời điểm đo t là giá trị gần đúng đáng tin cậy đầu tiên của dòng điện thất thoát lc∞, đại diện cho các phân cực tồn tại trong vật liệu, một đặc tính phải được biết đến trong môi trường nguy hiểm.
Phụ lục B
(Tham khảo)
Đánh giá thống kê kết quả kiểm tra
B.1 Phạm vi
Phụ lục này thiết lập một phương pháp để xử lý thống kê các kết quả thử nghiệm thu được theo phương pháp thử đá nhân tạo được mô tả trong tiêu chuẩn này.
B.2 Ký hiệu và định nghĩa
| Các giá trị đo được | x1, x2, ... xi ..., xn |
| Số giá trị đo | n |
| Giá trị trung bình |
|
| Độ lệch chuẩn |
|
| Hệ số biến động |
|
| Trung bình Logarit |
|
| Độ lệch chuẩn Logarit |
|
| Giá trị lớn nhất | Max |
| Giá trị nhỏ nhất | Min |
| Hệ số phân vị Ks xem Bảng B.1 |
|
| Giá trị kỳ vọng thấp hơn |
|
B.3 Đánh giá thống kê kết quả thử nghiệm
Từ việc tính toán giá trị trung bình (
) độ lệch chuẩn (s) và hệ số biến động (v) giả định phân phối thông thường.
Đối với việc tính toán giá trị kỳ vọng thấp hơn (E), một phân phối thông thường logarit được giả định. Các giá trị kỳ vọng thấp hơn (E) tương ứng với 5% điểm vi phân của phân phối thông thường logarit với hệ số tin cậy là 75%.
Bảng B.1 - Hệ số phân vị phụ thuộc vào số lượng giá trị đo (n) tương ứng với 5% vi phân đối với hệ số tin cậy 75%
| n | 3 | 4 | 5 | 6 | 7 | 8 | 9 | 10 | 15 | 20 | 30 | 40 | 50 | ... | ∞ |
| ks | 3,15 | 2,68 | 2,46 | 2,34 | 2,25 | 2,19 | 2,14 | 2,10 | 1,99 | 1,93 | 1,87 | 1,83 | 1,81 | ... | 1,64 |
Các ví dụ dưới đây minh họa cho phương pháp tính:
VÍ DỤ 1
Tính giá trị trung bình, độ lệch chuẩn, giá trị lớn nhất và giá trị nhỏ nhất của 6 giá trị đo được
| Số đo | Giá trị đo được x |
|
|
| 1 | 2000 | Giá trị trung bình | 2233 |
| 2 | 2150 | Độ lệch chuẩn | 147 |
| 3 | 2200 | Giá trị lớn nhất | 2400 |
| 4 | 2300 | Giá trị nhỏ nhất | 2000 |
| 5 | 2350 |
|
|
| 6 | 2400 |
|
|
VÍ DỤ 2
Tính toán giá trị trung bình, độ lệch chuẩn, hệ số biến thiên và giá trị kỳ vọng thấp của 10 giá trị đo
| Số đo | Giá trị đo được x | (Inx) | Giá trị trung bình | 2480 |
| 1 | 2000 | (7,60) | Giá trị trung bình Logarit | 7,807 |
| 2 | 2150 | (7,67) | Độ lệch chuẩn | 363 |
| 3 | 2200 | (7,70) | Độ lệch chuẩn Logarit | 0,143 |
| 4 | 2300 | (7,74) | Hệ số biến động | 0,15 |
| 5 | 2350 | (7,76) | Số lượng giá trị đo được | 10 |
| 6 | 2400 | (7,78) | Hệ số phân vị | 2,10 |
| 7 | 2600 | (7,86) | Giá trị kỳ vọng thấp hơn | 1819 |
| 8 | 2750 | (7,92) |
| |
| 9 | 2900 | (7,97) |
| |
| 10 | 3150 | (8,06) |
| |
Phụ lục C
(Tham khảo)
Xác định điện trở khối dòng điện 1 chiều và suất điện trở khối, Độ dẫn điện tương đối và độ dẫn điện
C.1 Phạm vi
Phương pháp thử nghiệm này bao gồm việc xác định điện trở cách điện dòng điện 1 chiều, điện trở khối và suất điện trở khối, độ dẫn điện tương đối và độ dẫn điện
Phương pháp thử này cho biết về các đặc tính riêng biệt thường không liên quan ngoại trừ các tình huống cụ thể, chẳng hạn như là bậc cầu thang.
C.2 Chuẩn bị mẫu thử
Việc lấy mẫu và chuẩn bị mẫu thử được nêu chi tiết trong Điều 5 của tiêu chuẩn này. Các mẫu thử giống nhau có thể được sử dụng để thu được điện trở bề mặt hoặc điện trở khối và suất điện trở khối, độ dẫn điện tương đối và độ dẫn điện.
C.3 Dưỡng mẫu
Dưỡng mẫu được nêu chi tiết trong Điều 6 của tiêu chuẩn này. Các điều kiện phòng tương tự được áp dụng để thu được điện trở bề mặt hoặc điện trở khối và suất điện trở khối, độ dẫn điện tương đối và độ dẫn điện.
C.4 Hệ thống điện cực và thiết bị đo
Điện trở khối/độ dẫn khối phải được đo bằng cùng một hệ thống điện cực với điện trở bề mặt/ độ dẫn bề mặt. Đối với các thử nghiệm điện trở khối/độ dẫn khối, các điện cực bảo vệ cho phép sự tham gia của độ dẫn bề mặt được loại trừ trong phép đo độ dẫn khối.
C.5 Cách tiến hành
Như mô tả trong Điều 8 của tiêu chuẩn này ngoại trừ vị trí điện cực:
Vị trí điện cực (Hình 1):
- Điện cực n ° 1: điện cực đo hoặc điện cực được bảo vệ;
- Điện cực n ° 2: điện cực bảo vệ;
- Điện cực n ° 3: điện cực cao thế.
C.6 Biểu thị kết quả
Suất điện trở khối ρv và độ dẫn khối γv, được tính như một hàm của hình dạng mẫu tại thời điểm đo t. Khi được đo trong buồng chân không, gọi là “trong" (tức là không có bất kỳ ảnh hưởng nào của môi trường) điện trở suất/độ dẫn điện của đá nhân tạo phải được tham khảo
Đối với mẫu đá nhân tạo hình tròn phẳng, công thức sau sẽ được sử dụng:
| ρv = 1 /γv = Rv. A/t[Ω·m] | (2) |
Trong đó
Rv là Điện trở khối đo được tính bằng Ω;
A là π (D1 + g)2/4 tính bằng m2.
d0, D1, D2, g, th là các kích thước được báo cáo trong Hình 1.
Tính giá trị trung bình. Ngoài ra, cần xử lý thống kê dữ liệu đo để thu được độ lệch chuẩn và hệ số biến thiên cho hệ số định lượng phù hợp theo các quy trình hiện có, khi giả định phân phối dữ liệu chuẩn (xem Phụ lục B).
C.7 Báo cáo
Báo cáo thử nghiệm phải bao gồm thông tin chi tiết trong Điều 10 của tiêu chuẩn này ngoại trừ: s) Giá trị suất điện trở bề mặt và đánh giá thống kê kết quả thử nghiệm, nếu có.
Thư mục tài liệu tham khảo
[1 ] EN 1149-1 , Protective clothing - Electrostatic properties- Part 1: Test method for measurement of surface resistivity (Quần áo bảo hộ - Đặc tính tĩnh điện - Phần 1: Phương pháp thử để đo suất điện trở bề mặt)
[2] EN 12440, Natural stone - Denomination criteria (Đá tự nhiên - Tiêu chí định danh)
[3] EN 14618, Agglomerated stone - Terminology and classification (Đá nhân tạo - Thuật ngữ và phân loại)
[4] ISO 9563, Belt drives - Electrical conductivity of antistatic endless synchronous belts - Characteristics and test method (Truyền động đai - Tính dẫn điện của đai đồng bộ chống tĩnh điện - Đặc tính và phương pháp thử)
[5] ASTM Standard D257: Standard test methods for DC resistance or conductance of insulating materials (Phương pháp thử nghiệm tiêu chuẩn đối với điện trở một chiều hoặc độ dẫn của vật liệu cách điện)
[6] ASTM Standard D618: Standard practice for conditioning plastics for testing (Thực hành Tiêu chuẩn đối với quy trình thử nghiệm nhựa)
Bạn chưa Đăng nhập thành viên.
Đây là tiện ích dành cho tài khoản thành viên. Vui lòng Đăng nhập để xem chi tiết. Nếu chưa có tài khoản, vui lòng Đăng ký tại đây!