- Tổng quan
- Nội dung
- Tiêu chuẩn liên quan
- Lược đồ
- Tải về
Tiêu chuẩn TCVN 9149:2024 Công trình thủy lợi - Xác định độ thấm nước của đá bằng phương pháp thí nghiệm ép nước vào lỗ khoan
| Số hiệu: | TCVN 9149:2024 | Loại văn bản: | Tiêu chuẩn Việt Nam |
| Cơ quan ban hành: | Bộ Khoa học và Công nghệ | Lĩnh vực: | Xây dựng , Nông nghiệp-Lâm nghiệp |
| Trích yếu: | Công trình thủy lợi - Xác định độ thấm nước của đá bằng phương pháp thí nghiệm ép nước vào lỗ khoan | ||
|
Ngày ban hành:
Ngày ban hành là ngày, tháng, năm văn bản được thông qua hoặc ký ban hành.
|
31/12/2024 |
Hiệu lực:
|
Đã biết
|
| Người ký: | Đang cập nhật |
Tình trạng hiệu lực:
Cho biết trạng thái hiệu lực của văn bản đang tra cứu: Chưa áp dụng, Còn hiệu lực, Hết hiệu lực, Hết hiệu lực 1 phần; Đã sửa đổi, Đính chính hay Không còn phù hợp,...
|
Đã biết
|
TÓM TẮT TIÊU CHUẨN VIỆT NAM TCVN 9149:2024
Tiêu chuẩn Quốc gia TCVN 9149:2024: Xác định độ thấm nước của đá bằng thí nghiệm ép nước vào lỗ khoan
Tiêu chuẩn Quốc gia TCVN 9149:2024 về Công trình thủy lợi - Xác định độ thấm nước của đá bằng phương pháp thí nghiệm ép nước vào lỗ khoan được ban hành thay thế cho TCVN 9149:2012. Văn bản này được Tổng Công ty Tư vấn Xây dựng Thủy lợi Việt Nam biên soạn và công bố bởi Bộ Khoa học và Công nghệ, theo đề nghị của Bộ Nông nghiệp và Phát triển nông thôn. Ngày ban hành là năm 2024, tuy nhiên không được cụ thể hóa.
Tiêu chuẩn này quy định các yêu cầu kỹ thuật cho việc xác định độ thấm nước của đá thông qua thí nghiệm ép nước vào lỗ khoan. Nó yêu cầu việc áp dụng các phương pháp thí nghiệm đúng, bao gồm cả việc liệu đá có bão hòa nước hay không và có thể thực hiện ở các độ sâu khác nhau dưới mặt đất.
Cụ thể, tiêu chuẩn này hướng dẫn người sử dụng cách xác định độ thấm nước (Permeability) thông qua các thuật ngữ như hệ số thấm (K), lượng mất nước đơn vị (q), và giá trị Lugeon (Lu). Hệ số thấm của đá được đo bằng tốc độ nước thấm qua một đơn vị diện tích với gradien thủy lực nhất định.
Quy trình thực hiện thí nghiệm ép nước được chia thành các phân đoạn và yêu cầu thực hiện liên tục cho đến khi hoàn tất. Tiêu chuẩn cũng quy định về việc an toàn lao động, phòng chống cháy nổ, và vệ sinh môi trường trong suốt quá trình thí nghiệm.
Các phương pháp thí nghiệm trong tiêu chuẩn này bao gồm thí nghiệm ép nước không ổn định với nhiều cấp áp lực, duy trì trong khoảng thời gian cụ thể và yêu cầu kỹ thuật rõ ràng cho từng loại thiết bị, bao gồm máy bơm và dụng cụ đo lưu lượng, áp lực.
Quy định về áp lực thí nghiệm đòi hỏi phải không vượt quá 100 m cột nước, cần hiệu chỉnh theo điều kiện hiện trường và đặc tính vật liệu địa chất. Các đoạn thí nghiệm phải có chiều dài tối ưu để đảm bảo tính chính xác và thu thập được những kết quả có thể so sánh.
Tiêu chuẩn này sẽ tạo ra những thay đổi quan trọng cho ngành xây dựng và quản lý công trình thủy lợi, giúp người dân và doanh nghiệp thực hiện và hợp tác trong công tác khảo sát địa chất một cách đồng bộ và hiệu quả hơn.
Tải tiêu chuẩn Việt Nam TCVN 9149:2024
TIÊU CHUẨN QUỐC GIA
TCVN 9149:2024
CÔNG TRÌNH THỦY LỢI
XÁC ĐỊNH ĐỘ THẤM NƯỚC CỦA ĐÁ BẰNG PHƯƠNG PHÁP THÍ NGHIỆM ÉP NƯỚC VÀO LỖ KHOAN
Hydraulic structures - Method for determining rock’s permeability by water pressure test into bore hole.
Lời nói đầu
TCVN 9149:2024 thay thế TCVN 9149:2012.
TCVN 9149:2024 do Tổng Công ty Tư vấn Xây dựng Thủy lợi Việt Nam biên soạn, Bộ Nông nghiệp và Phát triển nông thôn đề nghị, Bộ Khoa học và Công nghệ thẩm định và công bố.
CÔNG TRÌNH THỦY LỢI - XÁC ĐỊNH ĐỘ THẤM NƯỚC CỦA ĐÁ BẰNG PHƯƠNG PHÁP THÍ NGHIỆM ÉP NƯỚC VÀO LỖ KHOAN
Hydraulic structures - Method for determining rock’s permeability by water pressure test into bore hole.
1 Phạm vi áp dụng
Tiêu chuẩn này quy định yêu cầu kỹ thuật của các phương pháp xác định độ thấm nước của đá bằng thí nghiệm ép nước vào lỗ khoan.
2 Tài liệu viện dẫn
Các tài liệu viện dẫn sau là cần thiết cho việc áp dụng tiêu chuẩn này. Đối với các tài liệu viện dẫn ghi năm công bố thì áp dụng phiên bản được nêu. Đối với các tài liệu viện dẫn không ghi năm công bố thì áp dụng phiên bản mới nhất, bao gồm cả sửa đổi, bổ sung (nếu có).
TCVN 4116, Công trình thủy lợi - kết cấu bê tông và bê tông cốt thép thủy công - Yêu cầu thiết kế;
TCVN 8477:2018, Công trình thủy lợi - Thành phần, khối lượng khảo sát địa chất trong các giai đoạn lập dự án và thiết kế;
TCVN 8645, Công trình thủy lợi - Thiết kế, thi công và nghiệm thu khoan phụt vữa xi măng vào nền đá;
TCVN 9155:2021, Công trình thủy lợi - Yêu cầu kỹ thuật trong khảo sát địa chất.
3 Thuật ngữ và định nghĩa
Tiêu chuẩn này sử dụng các thuật ngữ và định nghĩa nêu trong TCVN 8477, TCVN 4116 và các thuật ngữ, định nghĩa sau:
3.1
Độ thấm nước của đá (Permeability)
Đặc trưng định lượng về tính thấm của đá, phụ thuộc chủ yếu vào mức độ nứt nẻ và mức độ lấp nhét vật chất trong khe nứt của đá, thường được biểu diễn bằng hệ số thấm (K), lượng mất nước đơn vị (q), hoặc giá trị Lugeon (Lu).
3.2
Hệ số thấm của đá, K (Rock’s permeability coefficient)
Tốc độ thấm của nước qua một đơn vị diện tích của đá khi gradien thủy lực bằng đơn vị, được biểu diễn bằng centimet trên giây (cm/s)
3.3
Lượng mất nước đơn vị, q (Water lost unit)
Lưu lượng nước tiêu hao trong 1 min trên 1 m chiều dài đoạn thí nghiệm dưới áp lực 1 m cột nước, được biểu diễn bằng đơn vị lít trên phút nhãn mét nhân mét (L/min.m.m).
3.4
Giá trị Lugeon, Lu (Lugeon value)
Lưu lượng nước tiêu hao trong 1 min trên 1 m chiều dài đoạn thí nghiệm dưới áp lực 100 m cột nước, được biểu diễn bằng đơn vị Lugeon (Lu).
4 Quy định chung
4.1 Thí nghiệm ép nước vào lỗ khoan (hố khoan) được thực hiện trong đá (các đới đá phong hóa theo TCVN 8477), trong bê tông (theo TCVN 4116) ở các trạng thái khác nhau (bão hòa hay không bão hòa nước) và tại các độ sâu khác nhau dưới mặt đất hoặc bên dưới bề mặt công trình.
4.2 Trong một hố khoan, thí nghiệm ép nước thường được tiến hành theo các phân đoạn và nên thực hiện liên tục đến hết độ sâu hố khoan, để xác định được độ thấm nước và biến dạng thấm của đá hoặc bê tông trong độ sâu nghiên cứu.
4.3 Các phương pháp thí nghiệm ép nước quy định trong tiêu chuẩn này áp dụng cho lỗ khoan thẳng đứng. Đối với thí nghiệm ép nước trong lỗ khoan xiên được thực hiện tương tự như đối với lỗ khoan thẳng đứng, ngoại trừ áp lực cột nước thí nghiệm trong lỗ khoan xiên xác định theo 7.1.2.b.
4.4 Công tác an toàn lao động, phòng chống cháy nổ, vệ sinh môi trường thực hiện theo các quy định hiện hành và tham khảo thêm một số nội dung ở Phụ lục D.
5 Các sơ đồ và phương pháp thí nghiệm ép nước
5.1 Các sơ đồ ép nước
5.1.1 Các sơ đồ ép nước được sử dụng rộng rãi khi thí nghiệm ép nước trong lỗ khoan là các sơ đồ ép nước phân đoạn bao gồm:
a) Sơ đồ ép nước phân đoạn từ trên xuống hoặc ép nước phân đoạn từ dưới lên là các sơ đồ ép nước chính có phạm vi áp dụng và trình tự thực hiện tương ứng theo quy định tại 5.1.2 và 5.1.3;
b) Sơ đồ ép nước phân đoạn tổng hợp từ trên xuống hoặc ép nước phân đoạn tổng hợp từ dưới lên có phạm vi áp dụng và trình tự thực hiện tương ứng theo quy định tại A.1.1 và A.1.2;
5.1.2 Sơ đồ ép nước phân đoạn từ trên xuống
a) Trình tự thực hiện: Khoan tới đáy đoạn thí nghiệm thứ nhất (L1), đặt nút bít (nút đơn) ở giới hạn trên của đoạn L1, tiến hành ép nước đoạn L1. Ép nước xong đoạn L1 kéo bộ nút lên, khoan tiếp qua L1 đến đoạn L2. Đặt nút bít ở giới hạn dưới của đoạn L1 (giới hạn trên của đoạn L2), tiến hành ép nước đoạn L2. Sau đó cứ thế tiếp tục thực hiện theo các bước trên cho đến đoạn dưới cùng theo yêu cầu trong phương án kỹ thuật khảo sát. (Hình 1(a)).
b) Điều kiện áp dụng: Sơ đồ ép nước phân đoạn từ trên xuống cho kết quả tin cậy, có thể áp dụng cho mọi đối tượng, nên được quy định là sơ đồ tiêu chuẩn trong thí nghiệm ép nước vào lỗ khoan.
5.1.3 Sơ đồ ép nước phân đoạn từ dưới lên
a) Trình tự tiến hành: Khoan hết chiều sâu theo phương án kỹ thuật khảo sát. Tiến hành ép nước từ dưới lên bằng cách chia chiều dài hố khoan thành các đoạn thí nghiệm có chiều dài L, đánh số L1, L2,... Ln, từ dưới lên. Đặt nút bít (nút đơn) ở vị trí giới hạn trên của đoạn L1, ép nước đoạn L1. Ép xong kéo bộ nút đơn lên rồi đưa bộ nút kép xuống vị trí đoạn L2, sao cho đỉnh nút dưới của bộ nút kép ở giới hạn dưới và đáy nút trên của bộ nút kép ở giới trên của đoạn L2. Ép nước đoạn L2, ép xong kéo bộ nút kép lên vị trí đoạn L3 với vị trí nút dưới và nút trên giống như yêu cầu với đoạn L2 ở trên và tiến hành ép nước đoạn L3. Sau đó cứ thế tiếp tục thực hiện theo các bước trên cho đến đoạn trên cùng theo yêu cầu trong phương án kỹ thuật khảo sát. (Hình 1(b)).
b) Điều kiện áp dụng: Sơ đồ ép nước phân đoạn từ dưới lên chỉ áp dụng khi có sử dụng bộ nút kép tại những nơi đá nứt nẻ yếu và có ít khe nứt thẳng đứng (mô tả trong nõn khoan và theo Phụ lục D của TCVN 8477:2018).

| CHÚ DẪN: 1 Nút bít (nút đơn). 2 Đoạn thí nghiệm ép nước (L1, L2, L3). | CHÚ DẪN: 1 Nút bít (nút đơn). 2 Đoạn thí nghiệm ép nước (L1, L2, L3). 3 Nút bít (nút kép): (a) Nút trên (b) Nút dưới. |
| Hình 1(a) - Sơ đồ ép nước phân đoạn từ trên xuống | Hình 1 (b) - Sơ đồ ép nước phân đoạn từ dưới lên |
5.2 Các phương pháp thí nghiệm ép nước
5.2.1 Thí nghiệm ép nước trong lỗ khoan sử dụng một trong các sơ đồ ép nước nêu tại 5.1 và thực hiện bằng một trong các phương pháp thí nghiệm ép nước sau, cụ thể:
- Ép nước không ổn định theo chu trình với 5 cấp áp lực;
- Ép nước ổn định với 1 cấp áp lực.
a) Phương pháp thí nghiệm ép nước không ổn định theo chu trình với 5 cấp áp lực được lựa chọn là phương pháp thí nghiệm ép nước tiêu chuẩn vào lỗ khoan thực hiện theo quy định tại 5.2.2, Điều 6 và Điều 7;
b) Phương pháp thí nghiệm ép nước ổn định với 1 cấp áp lực (thực hiện theo quy định tại A.2.1) áp dụng khi xác định độ thấm nước của đá, bê tông phục vụ cho công tác kiểm tra, kiểm định, đánh giá an toàn nền và thân công trình.
5.2.2 Phương pháp thí nghiệm ép nước không ổn định theo chu trình với 5 cấp áp lực
a) Phương pháp thí nghiệm ép nước không ổn định theo chu trình với 5 cấp áp lực dùng để nghiên cứu biến dạng thấm và xác định độ thấm nước của đá bằng Lugeon, thông qua thí nghiệm ép nước không ổn định theo chu trình với 5 cấp áp lực, mỗi cấp áp lực được giữ ổn định trong thời gian 10 min, cụ thể: Cấp áp lực thứ nhất bằng 0,50 Pcp, cấp áp lực thứ hai bằng 0,75 Pcp, cấp áp lực thứ ba bằng từ (0,85 đến 1,00) Pcp, cấp áp lực thứ tư bằng 0,75 Pcp, cấp áp lực thứ năm bằng 0,50 Pcp(Pcp là áp lực cho phép theo quy định tại 6.1.3);
b) Tùy theo chiều cao cột nước lớn nhất thiết kế (Hc) và áp lực cho phép (Pcp) mà lựa chọn các cấp áp lực thí nghiệm ép nước cho phù hợp, nhưng phải đáp ứng các yêu cầu sau:
- Cấp áp lực thứ nhất và cấp áp lực thứ hai phải bằng tương ứng với cấp áp lực thứ năm và cấp áp lực thứ tư;
- Cấp áp lực thứ ba là cấp áp lực lớn nhất trong 5 cấp áp lực, tối đa bằng 1,00 Pcp và không nên lớn hơn 1,5 Hc.
c) Quá trình thí nghiệm ép nước sử dụng các sơ đồ nêu tại 5.1, các yêu cầu kỹ thuật và trình tự thực hiện theo quy định tại Điều 6, xử lý tài liệu thí nghiệm ép nước theo Điều 7.
6 Yêu cầu kỹ thuật và trình tự thực hiện
6.1 Các yêu cầu kỹ thuật
6.1.1 Yêu cầu về hố khoan trong thí nghiệm ép nước
a) Hố khoan phải được tạo lỗ bằng phương pháp khoan xoay bơm rửa bằng ống mẫu theo quy định tại TCVN 9155. Quá trình khoan chỉ được sử dụng nước sạch không chứa phù sa lơ lửng làm nước rửa mùn khoan và làm sạch vách và đáy hố khoan. Chỉ sử dụng hố khoan được tạo lỗ bằng phương khoan không lấy mẫu (ví dụ như: khoan xoay - đập bằng thủy lực hoặc khoan đập - xoay bằng khí nén...) khi tiến hành ép nước nhanh (ép nước không ổn định với 1 cấp áp lực kéo dài trong 10 min) theo quy định tại A.2.1 để xác định sơ bộ độ thấm nước của đá phục vụ điều chế nồng độ dung dịch vữa phụt xử lý chống thấm, gia cố sau khi đã rửa sạch hố khoan theo quy định tại 6.1.1.c;
b) Đường kính lỗ khoan ở đoạn thí nghiệm ít ảnh hưởng đến kết quả thí nghiệm. Tuy nhiên đường kính hố khoan cũng không nên nhỏ hơn 42 mm và không nên lớn hơn 250 mm;
c) Trước khi tiến hành thí nghiệm ép nước bắt buộc phải rửa sạch lỗ khoan để mùn khoan không có hoặc có bám rất ít vào thành lỗ khoan, cụ thể:
- Rửa lỗ khoan bằng nước sạch không chứa phù sa lơ lửng theo phương pháp tuần hoàn, nước rửa được đẩy mạnh đến đáy lỗ khoan và cuốn theo mùn khoan trở lên miệng lỗ khoan, một phần đọng lại trong ống lắng mùn khoan. Đầu dưới của ống dẫn nước phải hạ tới cách đáy lỗ khoan từ 10 cm đến 20 cm. Trong đá yếu (đá nửa cứng bị phong hóa) trước khi rửa hố phải cọ vách hố khoan từ (2 đến 3) lần bằng "bàn chải" chuyên dùng. Trong đá chứa nước, nếu điều kiện cho phép có thể “rửa lỗ khoan” bằng hút nước hoặc múc nước từ lỗ khoan lên;
- Trong quá trình rửa lỗ khoan phải quan trắc lượng tiêu hao nước rửa, xác định lượng nước rửa bị mất so với lượng nước đã dùng là mất từng phần hay toàn bộ;
- Lỗ khoan được coi là rửa sạch khi nước trào lên miệng lỗ khoan không có mùn khoan. Nếu không có nước trào lên miệng lỗ khoan thì thời gian rửa lỗ khoan phải kéo dài ít nhất 15 min.
6.1.2 Yêu cầu về phân đoạn thí nghiệm ép nước
a) Đoạn thí nghiệm phải tương đối đồng nhất về tính thấm nước được xác định trên cơ sở mô tả (quan sát bằng mắt) các nõn lấy được từ hố khoan và nên nằm hoàn toàn trong môi trường chứa nước hay không chứa nước (trừ trường hợp khi nghiên cứu các lớp kẹp đất đá, các đới tiếp xúc hay phá hủy kiến tạo);
b) Chiều dài đoạn thí nghiệm ép nước nên phân chia bằng nhau trong phạm vi nghiên cứu của cùng công trình, nhằm so sánh đánh giá đúng đắn hơn mức độ thấm nước của đá ở các vị trí khác nhau. Chiều dài đoạn thí nghiệm ép nước tiêu chuẩn là 5 m. Trong trường hợp đá thấm nước quá yếu hay rất mạnh thì chiều dài đoạn thí nghiệm có thể thay đổi (tăng dài hay rút ngắn), nhưng phải đảm bảo các yêu cầu sau:
- Chiều dài nhỏ nhất của đoạn thí nghiệm phải lớn hơn 5 lần bán kính lỗ khoan. Chiều dài lớn nhất của đoạn thí nghiệm không nên lớn hơn 10 m;
- Đối với thân công trình bằng bê tông các loại nếu chiều cao công trình nhỏ hơn 5 m thì chiều dài đoạn thí nghiệm tối thiểu để tiến hành ép nước phải lớn hơn 1 m. Khi chiều cao công trình nhỏ hơn 1 m, chiều dài đoạn thí nghiệm có thể nhỏ hơn, nhưng trong trường hợp này phải sử dụng lỗ khoan có đường kính nhỏ với bộ nút bít riêng, đồng thời phải đảm bảo yêu cầu nêu trên.
6.1.3 Yêu cầu về áp lực thí nghiệm ép nước
a) Áp lực thí nghiệm ép nước trong đới đá gốc phong hóa phải đủ lớn, đảm bảo thu được các kết quả thí nghiệm đúng nhưng không được vượt quá áp lực cho phép (Pcp) của đoạn thí nghiệm, để không gây ra hiện tượng đứt đoạn thủy lực theo TCVN 8645. Trường hợp yêu cầu áp lực thí nghiệm ép nước hoặc chiều cao cột nước lớn nhất thiết kế (Hc) lớn hơn áp lực cho phép (Pcp) thì phải tiến hành ép nước ổn định với 1 cấp áp lực theo quy định tại A.2.1. Trong mọi trường hợp áp lực thí nghiệm ép nước không lớn hơn 100 m cột nước (1 Mpa);
b) Áp lực cho phép (Pcp) của đoạn thí nghiệm được xác định theo Công thức (1):
| Pcp = Po + P.Z | (1) |
trong đó:
| Pcp | là áp lực cho phép của đoạn thí nghiệm, tính bằng Mpa; |
| Po | là áp lực cho phép đối với đất đá bên trên đoạn thí nghiệm, tính bằng Mpa; |
| P | là mức độ tăng áp lực cho phép đơn vị (mức độ tăng áp lực cho phép đối với khoảng cách 1 m) kể từ giới hạn trên của đoạn thí nghiệm tới mặt đất, tính bằng Mpa/m; |
| Z | là chiều sâu kể từ giới hạn trên của đoạn thí nghiệm tới mặt đất, tính bằng m. |
Các trị số Po, P phụ thuộc vào loại đất đá và mức độ nứt nẻ của đá, quy định ở Bảng 1.
CHÚ THÍCH:
1) Áp lực cho phép (Pcp) tính theo Công thức (1) lớn hơn 1 Mpa thì lấy bằng 1 Mpa làm cơ sở lựa chọn các cấp áp lực thí nghiệm ép nước;
2) Khi tiến hành thí nghiệm ép nước trong thân công trình, áp lực cho phép của đoạn thí nghiệm ngoài việc xác định theo Công thức (1) thi tùy theo hiện trạng công trình mà điều chỉnh (giảm) cho phù hợp để hạn chế làm hư hỏng công trình.
Bảng 1 - Giá trị Po, P theo loại đất đá ở bên trên đoạn thí nghiệm
| Loại đất đá ở bên trên đoạn thí nghiệm | Po, Mpa | P, Mpa/m |
| Đá mắc ma và biến chất. | Từ trên 0,20 đến 0,50 | Từ trên 0,020 đến 0,250 |
| Đá trầm tích cố kết hoặc phân lớp nằm ngang. | Từ trên 0,10 đến 0,20 | Từ trên 0,015 đến 0,020 |
| Đá trầm tích chưa cố kết hoặc cố kết kém, đất dính hoặc đất rời. | Từ 0,02 đến 0,10 | Từ 0,010 đến 0,015 |
| CHÚ THÍCH: 1) Khi ở trên đoạn thí nghiệm là đất hoặc đá nứt nẻ mạnh phải lấy các trị số giới hạn thấp nhất của Po và P; 2) Khi ở trên đoạn thí nghiệm là đá nứt nẻ từ ít đến trung bình phải lấy các trị số giới hạn cao nhất của Po và P; 3) Mức độ nứt nẻ của đá theo Phụ lục D của TCVN 8477:2018; 4) 1 MPa tương đương với 100 m cột nước hay 10 kG/cm2. | ||
6.1.4 Yêu cầu về nước dùng trong thí nghiệm ép nước
a) Nước dùng trong thí nghiệm không được chứa vật chất lơ lửng để tránh hiện tượng bít tắc thành lỗ khoan. Không nên sử dụng nước biển, nước lợ để thí nghiệm ép nước vì ngoài việc làm hư hỏng thiết bị thì nước có độ khoáng hóa lớn hơn 20 (g/L) sẽ làm tăng tỷ trọng của nước, gây ra sai số đến cột nước áp lực thí nghiệm (áp lực thí nghiệm ép nước). Trong trường hợp do ảnh hưởng bởi tỷ trọng của nước làm thay đổi quá 5 % cột nước áp lực thí nghiệm thì phải tiến hành hiệu chỉnh áp lực thí nghiệm ép nước;
b) Sử dụng nước có nhiệt độ tương đương (chênh lệch không quá 5 °C) với nhiệt độ của tầng chứa nước (trường hợp đoạn thí nghiệm nằm trong tầng chứa nước) để tránh hiện tượng tách bọt khí gây cản trở tính thấm nước (giảm độ thấm nước) của đá trong môi trường nứt nẻ, lỗ rỗng.
6.1.5 Yêu cầu về thiết bị và dụng cụ trong thí nghiệm ép nước
a) Máy bơm là thiết bị chủ yếu để đưa nước vào hệ thống phân phối của bộ thiết bị dụng cụ thí nghiệm ép nước. Máy bơm thông dụng nhất là các máy bơm ly tâm, máy bơm ba piston vì tạo được áp lực ổn định. Trường hợp sử dụng máy bơm piston tác dụng kép hoặc máy bơm hai piston tác dụng đơn thì cần có bộ điều chỉnh áp lực. Công suất của máy bơm được lựa chọn sao cho nước được bơm vào đoạn thí nghiệm với lưu lượng đủ để tạo áp lực thí nghiệm ép nước.
b) Dụng cụ đo lưu lượng trong thí nghiệm ép nước thường dùng là lưu lượng kế (hay đồng hồ đo lưu lượng - đồng hồ đo nước) bằng điện tử hoặc cơ học đã được hiệu chuẩn hoặc kiểm định và phải đáp ứng các yêu cầu sau:
- Trước khi tiến hành thí nghiệm thì lưu lượng kế kiểm tra bằng cách đo 3 lần 1 lưu lượng cố định với sai số giữa các lần đo (tăng hoặc giảm) không quá 5 %.
- Đảm bảo đo được tổng lượng nước lớn nhất đến 100,0 m3 và đo được giá trị lượng nước nhỏ nhất đến 0,1 L;
c) Dụng cụ đo áp lực dư (khi cột nước áp lực cao hơn nhiều so với miệng hố khoan) trong thí nghiệm ép nước thường sử dụng là áp kế kiểu đồng hồ điện tử hoặc cơ học đã được hiệu chuẩn hoặc kiểm định và phải đáp ứng các yêu cầu sau:
- Trước khi tiến hành thí nghiệm thì áp kế phải được kiểm tra bằng cách đo 3 lần 1 áp lực cố định với sai số giữa các lần đo (tăng hoặc giảm) không quá 5 %.
- Đảm bảo đo được 2 lần giá trị áp lực thí nghiệm ép nước lớn nhất dự kiến thiết kế và đo được giá trị áp lực nhỏ nhất đến 0,01 MPa (1,0 m cột nước hay 0,1 kG/cm2);
d) Dụng cụ đo mực nước sử dụng trong thí nghiệm ép nước là loại ống dội âm hay dụng cụ đo điện. Dụng cụ đo mực nước phải đảm bảo đo được từ (1,5 đến 2,0) lần chiều sâu mực nước lớn nhất có trong hố khoan và đọc được đến giá trị centimét (cm).
e) Nút bít để ngăn cách các đoạn thí nghiệm sử dụng trong thí nghiệm ép nước là loại vòng cao su và loại nút thủy lực (hay khí nén).
- Các vòng cao su (hay còn gọi là “quả bo”) làm nút bít là một khối cầu (hoặc hình trụ) bằng cao su có đường kính hơi nhỏ hơn đường kính lỗ khoan ở đoạn thí nghiệm. Khối cầu được đục một lỗ hình trụ có trục qua tâm khối cầu và có đường kính hơi lớn hơn đường kính ngoài của ống ép. Một bộ nút thường gồm 4 đến 8 vòng cao su, ngăn cách nhau bằng các vòng đệm kim loại cứng có kích thước bằng kích thước quả bo (Hình 2(a)). Loại nút bít này bền, có thể dùng nhiều lần. Tuy nhiên, có nhược điểm là phải sử dùng bộ kích cồng kềnh, tháo lắp mất nhiều thời gian. Hiện nay loại nút bít này vẫn được dùng rộng rãi do dễ sản xuất, dễ sử dụng và bảo quản;
- Nút bít khí nén hoặc nút bít thủy lực là một buồng kín hình trụ bằng kim loại gắn chặt lên cột ống ép. Mặt ngoài làm bằng vật liệu dễ đàn hồi, thường làm bằng chất dẻo hoặc cao su. Khi bơm chất khí (hoặc nước) vào buồng, thành chất dẻo (hoặc thành cao su) bị căng phồng và áp sát vào thành lỗ khoan (Hình 2(b)). Loại nút bít này có ưu điểm là bịt rất kín, gọn nhẹ, dễ sử dụng, tháo lắp, nâng hạ đơn giản, không cần bộ kích cơ giới, rất thích hợp khi thí nghiệm phân đoạn từ dưới lên, trong trường hợp vách (thành) hố khoan không nhẵn, hố khoan không thật thẳng đứng và tròn, hạn chế được hiện tượng thấm mất nước qua kẽ hở giữa vai nút và thành hố khoan khi thí nghiệm ép nước bằng quả bo. Nhược điểm là thành chất dẻo (hoặc thành cao su) dễ bị hư hỏng (phải thường xuyên theo dõi áp lực trong buồng hút để kịp thời phát hiện hư hỏng của nó), giá thành nút bít khí nén (hoặc thủy lực) cao và cần có thêm thiết bị cung cấp khí (hoặc nước) kèm theo;
- Tùy thuộc việc kết hợp hay không kết hợp giữa các nút bít để tạo thành các loại: Nút đơn dùng cho sơ đồ ép nước phân đoạn, phân đoạn tổng hợp từ trên xuống; nút kép dùng cho tất cả các sơ đồ ép nước phân đoạn với nút bít giới hạn ở hai đầu đoạn thí nghiệm bằng khí nén, thủy lực (Hình 2(c)) hoặc bằng quả bo.

| CHÚ DẪN: | CHÚ DẪN: | CHÚ DẪN: |
| 1 Thành hố khoan. | 1 Bầu (màng) bằng chất dẻo hoặc cao su. | 1 Ống dẫn khí (nước). |
| 2 Ống ép mang nút. | 2 Ống ép mang nút. | 2 Ống nối. |
| 3 Ống trong. | 3 Đai để xiết chặt đầu nút. | 3 Thành hố khoan. |
| 4 Vòng đệm kim loại. | 4 Ống mềm chịu áp lực dẫn khí hoặc nước. | 4 Nút trên. |
| 5 Vòng cao su (quả bo). | 5 Đoạn ống đục lỗ. | 5 Đoạn thí nghiệm. |
| 6 Vòng (đai) có chốt hãm. |
| 6 Ống đục lỗ. |
| 7 Ống đục lỗ. |
| 7 Nút dưới. |
| 8 Đoạn thí nghiệm. |
|
|
| Hình 2(a) - Nút đơn bằng vòng cao su (quả bo) | Hình 2(b) - Nút đơn bằng khí nén hoặc thủy lực | Hình 2(c) - Nút kép bằng khí nén hoặc thủy lực |
6.2 Trình tự thực hiện
6.2.1 Công tác chuẩn bị
a) Căn cứ theo yêu cầu cho công tác thí nghiệm ép nước trong phương án kỹ thuật khảo sát, tiến hành chuẩn bị đầy đủ thiết bị, vật tư và dụng cụ phù hợp cho công tác thí nghiệm ép nước đáp ứng theo yêu cầu nêu tại 6.1;
b) Trước khi đưa thiết bị, dụng cụ vào hiện trường cần lưu ý hoàn thành các công việc phụ trợ như: đường vận chuyển, biện pháp đảm bảo an toàn cho người và thiết bị tập kết vào vị trí lỗ khoan, có phương án cấp nước, thoát nước đảm bảo yêu cầu kỹ thuật và vệ sinh môi trường trong suốt quá trình thí nghiệm;
c) Kiểm tra đảm bảo thiết bị và các dụng cụ dùng trong thí nghiệm ép nước hoạt động liên tục và ổn định. Nên chuẩn bị thêm 1 bộ thiết bị và dụng cụ dự phòng để thay thế khi cần thiết;
d) Để tránh mưa nắng cần bố trí nhà lưu động hay lều bạt tại vị trí khoan thí nghiệm, trong đó có bàn để ghi chép, lập các đồ thị và thực hiện các tính toán cần thiết;
e) Bố trí nhân lực thực hiện trong quá trình thí nghiệm ép nước phải đủ năng lực và đáp ứng yêu cầu kỹ thuật.
6.2.2 Tiến hành ép nước theo trình tự
a) Khoan đoạn lỗ khoan thí nghiệm, rửa sạch lỗ khoan đáp ứng yêu cầu tại 6.1.1;
b) Hạ ống chống (ống chèn) tới đáy lỗ khoan khi thành lỗ khoan kém ổn định, khi vách hố khoan ổn định thì không cần hạ ống chống;
c) Đo độ sâu lỗ khoan;
d) Múc hết nước trong lỗ khoan. Nếu đoạn thí nghiệm nằm trong tầng chứa nước thì múc (hoặc hút) đi khối lượng nước bằng từ (2 đến 3) lần thể tích nước có trong lỗ khoan;
e) Quan trắc bằng cách đo mực nước ngầm trong lỗ khoan để xác định đoạn thí nghiệm nằm hay không nằm trong tầng chứa nước, cụ thể:
- Trường hợp mực nước hạ thấp dưới đáy đoạn thí nghiệm thì đoạn thí nghiệm nằm trong tầng không chứa nước;
- Trường hợp mức nước dâng cao dần vượt trên đỉnh đoạn thí nghiệm thì đoạn thí nghiệm nằm trong tầng chứa nước;
- Tiến hành xác định mực nước ngầm ổn định (nếu có) theo TCVN 9155;
- Ghi số liệu đo mực nước ngầm ổn định (trường hợp đoạn thí nghiệm nằm trong tầng chứa nước) hoặc ghi là “không có” (trường hợp đoạn thí nghiệm nằm trong tầng không chứa nước) vào biểu ghi chép và tính toán kết quả ép nước tham khảo Phụ lục B;
f) Kéo ống chống lên khỏi đoạn thí nghiệm (trong trường hợp có hạ ống chống tới đáy lỗ khoan);
g) Lắp ráp bộ dụng cụ thí nghiệm (Hình 3) và hạ bộ nút vào lỗ khoan tới độ sâu đoạn thí nghiệm phù hợp với sơ đồ ép nước dự kiến thực hiện, sao cho đáy nút đơn hoặc đáy nút trên (khi dùng nút kép) trùng với giới hạn trên đoạn thí nghiệm; phần giới hạn dưới đoạn thí nghiệm là đáy hố khoan (khi dùng nút đơn) hoặc đỉnh nút dưới (khi dùng nút kép) trùng với giới hạn dưới của đoạn thí nghiệm;

CHÚ DẪN:
| 1 Ống xả. 2 Van điều chỉnh. 3 Đồng hồ đo lưu lượng. | 4 Van của ống 3 nhánh. 5 Ống 3 nhánh. 6 Đồng hồ đo áp lực. | 7 Vít kích rỗng. 8 Ống đục lỗ. 9 Ống trong (ống ép nước). | 10 Tay kích. 11 Ống ngoài. 12 Nút ép bằng quả bo cao su. 13 Vòng đai giữa các quả bo. |
Hình 3 - Sơ đồ lắp ráp bộ dụng cụ thí nghiệm ép nước bằng nút đơn vòng cao su
h) Kiểm tra tính kín nước của các khớp nối trên các ống ép, đường dẫn nước thuộc hệ thống phân phối nước;
i) Kích và siết chặt bộ nút trong trường hợp sử dụng nút bằng vòng cao su, hoặc bơm nước (hay chất khí) trong trường hợp sử dụng nút thủy lực (hay nút khí nén);
j) Kiểm tra tính kín nước của bộ nút ở đoạn thí nghiệm bằng cách ép nước thử với áp lực cao nhất sẽ phải thực hiện cho đoạn thí nghiệm và kéo dài khoảng từ 10 min đến 15 min; đồng thời quan trắc nước trên bộ nút phải khô. Khi các điều kiện này được đảm bảo thì việc ngăn cách đoạn thí nghiệm coi là tốt;
k) Đo độ cao đồng hồ áp lực (áp kế) đến mặt đất (khi lỗ khoan đặt trên mặt đất) hoặc đến mực nước sông, suối (khi lỗ khoan đặt trên mặt nước) và ghi số liệu vào biểu ghi chép và tính toán kết quả ép nước tham khảo Phụ lục B;
l) Tiến hành bơm nước vào đoạn thí nghiệm với lưu lượng vừa đủ để tạo áp lực từ từ tăng dần (10 % áp lực thiết kế trong 1 min) đến áp lực thiết kế cho đoạn thí nghiệm; lượng nước thừa được thải qua ống xả bằng cách sử dụng van điều chỉnh. Áp lực được duy trì ổn định trong suốt quá trình thí nghiệm và được thực hiện như sau:
- Nếu thí nghiệm không có áp lực dư thì cột nước thí nghiệm cần khống chế ổn định bằng cách đo cột nước trong ống phụ (có đường kính nhỏ) thả vào trong ống trong (sau khi đã tháo bỏ áp kế). Đáy của ống phụ hạ xuống dưới mực nước ngầm ổn định (nêu tại 6.2.2.e) khoảng từ 1,0 m đến 1,5 m, hoặc hạ xuống độ sâu cách đỉnh nút đơn hoặc đỉnh nút trên (khi dùng nút kép) khoảng từ 0,3 m đến 0,5 m khi không có mực nước ngầm. Trường hợp có đủ thiết bị phù hợp thì khi thí nghiệm không có áp lực dư, nên tiến hành “ép câu” theo E.6 và khống chế cột nước thí nghiệm thông qua việc đo cột nước ở ống trong;
- Khi thí nghiệm có áp lực dư trên hố khoan (trên ống ba nhánh) thì phải dùng áp kế để khống chế áp lực. Lúc bắt đầu bơm nước, vặn van điều chỉnh xả không khí hoặc nới hơi lỏng khớp nối giữa ống cong của áp kế và ống ba nhánh, để không khí trong các ống thoát ra ngoài, không làm sai lệch số chỉ áp lực trên áp kế. Khi nước bắt đầu rò rỉ ra qua khớp nối thì vặn chặt lại van xả không khí hoặc vặn chặt lại khớp nối giữa ống cong của áp kế và ống ba nhánh. Sau đó mới tiến hành quan trắc và khống chế áp lực trên áp kế.
m) Trong suốt quá trình thí nghiệm, cùng với việc theo dõi duy trì áp lực trên áp kế ổn định, phải tiến hành quan trắc liên tục lượng nước tiêu hao vào đoạn thí nghiệm. Tại mỗi 1 cấp áp lực thì 4 min đầu cứ 1 min đo 1 lần, 6 min tiếp theo cứ 2 min đo 1 lần và ghi chép các số liệu thu thập được vào biểu ghi chép và tính toán kết quả ép nước tham khảo Phụ lục B;
n) Thời gian kéo dài thí nghiệm cho 1 cấp áp lực là 10 min kể từ khi áp lực trên áp kế ổn định;
o) Khi các điều kiện nêu tại mục m và mục n của 6.2.2 được đảm bảo, thí nghiệm ép nước được coi là kết thúc với cấp áp lực đang xét và chuyển ngay sang thí nghiệm với các cấp áp lực khác bằng cách lặp lại các bước theo trình tự từ mục l đến mục n của 6.2.2;
p) Sau khi kết thúc thí nghiệm tại 1 đoạn thí nghiệm ép nước, tháo đồng hồ đo áp lực và tiến hành đo mực nước sau khi ép theo 6.2.2.e;
q) Lặp lại các bước từ mục a đến mục p của 6.2.2 cho các đoạn thí nghiệm ép nước tiếp theo đến đoạn thí nghiệm cuối cùng theo yêu cầu trong phương án kỹ thuật khảo sát. Các bước tiến hành thí nghiệm ép nước từ mục a đến mục p của 6.2.2 không phụ thuộc vào sơ đồ phân đoạn hay phân đoạn tổng hợp (từ trên xuống) trong trường hợp sử dụng nút đơn, hoặc tất cả các sơ đồ ép nước phân đoạn trong trường hợp sử dụng nút kép. Trường hợp dùng nút đơn có trám xi măng theo E.6, phải thêm bước trám xi măng và chờ xi măng đông cứng;
r) Kết thúc thí nghiệm, thu dọn thiết bị dụng cụ phục vụ công tác thí nghiệm ép nước, thực hiện bước kết thúc khoan theo TCVN 9155.
6.2.3 Một số yêu cầu kỹ thuật trong quá trình thực hiện
Việc xử lý một số trường hợp trong quá trình thí nghiệm ép nước tham khảo Phụ lục E. Để tránh hư hỏng lưu lượng kế, áp kế và phát sinh sai số trong quá trình thí nghiệm ép nước cần tuân thủ một số yêu cầu sau:
a) Đối với lưu lượng kế:
- Nước qua lưu lượng kế phải trong;
- Duy trì áp lực nước ổn định, hạn chế thay đổi đột ngột để tránh hiện tượng nước va;
- Tránh va đập vào lưu lượng kế, sau khi sử dụng lưu lượng kế phải được lau khô và đựng trong hộp có nắp để bảo quản.
b) Đối với áp kế:
Tùy theo áp lực thí nghiệm ép nước dự kiến cho từng đoạn thí nghiệm mà lựa chọn áp kế có dải đo cho phù hợp, để khi sử dụng đảm bảo chế độ làm việc của áp kế như sau:
- Khi áp lực không đổi hoặc thay đổi dần, áp lực đo trên áp kế không được vượt quá hai phần ba đầu thang chia trên áp kế;
- Khi áp lực dao động mạnh không được đo các áp lực quá nửa đầu thang chia trên áp kế;
- Khi áp lực thay đổi đều đặn, trong thời gian ngắn có thể đo các áp lực của toàn bộ thang chia trên áp kế.
7 Xử lý kết quả thí nghiệm ép nước
7.1 Tính toán kết quả thí nghiệm ép nước
7.1.1 Tính toán lưu lượng nước tiêu hao (Q, L/min)
Đối với phương pháp thí nghiệm ép nước không ổn định theo chu trình với 5 cấp áp lực (gọi tắt là phương pháp ép nước không ổn định) thì lưu lượng nước tiêu hao cho 1 cấp áp lực là lưu lượng tiêu hao tính bằng trung bình của các lần đọc lưu lượng theo 6.2.2.m trong suốt thời gian kéo dài thí nghiệm là 10 min.
7.1.2 Tính toán áp lực thí nghiệm ép nước (H, m cột nước)
a) Áp lực thí nghiệm ép nước (cột nước tác dụng) lên đoạn thí nghiệm trong trường hợp hố khoan thẳng đứng, xác định theo Công thức (2):
| H = H1 + H2 + H3 - ΔH | (2) |
trong đó:
| H | là áp lực thí nghiệm ép nước lên đoạn thí nghiệm trong hố khoan thẳng đứng, tính bằng mét cột nước (m); |
| H1 | là trị số áp lực đọc trên áp kế theo mục l của 6.2.2, tính bằng mét cột nước (m); |
| H2 | là áp lực cột nước tính từ mặt đất (trường hợp hố khoan trên mặt đất) và từ mặt nước (trường hợp hố khoan trên sông, suối) đến tâm áp kế, tính bằng mét cột nước (m); |
| H3 | là áp lực cột nước tính từ miệng lỗ khoan đến mực nước nước ngầm ổn định hoặc đến giữa đoạn thí nghiệm (khi không có nước ngầm), hoặc đến giữa phân đoạn thí nghiệm bên trên mực nước ngầm ổn định (khi mực nước ngầm nằm trong đoạn thí nghiệm), tính bằng mét cột nước (m); |
| ΔH | là tổn thất áp lực trong đường ống, tính bằng mét cột nước (m). |
CHÚ THÍCH:
1) Các trị số H1, H2 và H3 trong Công thức (2) xem Hình 4;
2) ΔH = 0 khi lưu lượng tiêu hao không lớn hơn 5 L/min dưới áp lực lớn hơn hoặc bằng 10 m cột nước với đường ống có đường kính trong lớn hơn hoặc bằng 32 mm và độ sâu đoạn ép không quá 50 m. Trường hợp thí nghiệm khác với các giá trị này thì ΔH được xác định theo Phụ lục C;
3) Giá trị ΔH chỉ đưa vào tính toán trong Công thức (2) khi lớn hơn 5 % giá trị H (khi tính với ΔH = 0).

CHÚ DẪN:
1 Cột ống ép.
2 Đoạn thí nghiệm ép nước (L), phần đoạn thí nghiệm bên trên mực nước ngầm ổn định (L1)
3 Mực nước ngầm (hố khoan trên mặt đất) hoặc mực nước mặt (khi hố khoan trên mặt nước).
4 Đồng hồ đo áp lực (áp kế).
Hình 4 - Sơ đồ xác định áp lực thí nghiệm ép nước trong lỗ khoan thẳng đứng
b) Áp lực thí nghiệm ép nước (cột nước tác dụng) lên đoạn thí nghiệm trong trường hợp lỗ khoan xiên có trục hố khoan nghiêng với mặt đất một góc nghiêng (α) xác định theo Công thức (3):
| H = Hα × sinα | (3) |
trong đó:
| Hα | là cột nước tác dụng lên đoạn thí nghiệm theo chiều xiên của lỗ khoan, tính bằng mét cột nước (m); |
| H | là độ chênh cao giữa mực nước khống chế khi thí nghiệm với mực nước ngầm ổn định (đoạn thí nghiệm trong đá chứa nước) hoặc giữa đoạn thí nghiệm (khi đoạn thí nghiệm nằm trong đá không chứa nước), tính bằng mét cột nước (m); |
| sin(α) | là sin của góc (α) tạo bởi trục hố khoan với mặt đất; |
Các trị số góc (α), Hα và H xem Hình 5.

Hình 5 - Sơ đồ xác định áp lực thí nghiệm ép nước trong lỗ khoan xiên
7.1.3 Tính toán độ thấm nước của đá
a) Giá trị Lugeon của đoạn thí nghiệm ở mỗi một cấp áp lực theo phương pháp ép nước không ổn định được xác định bởi Công thức (4):
|
| (4) |
trong đó:
| Lugeon | là giá trị Lugeon theo 3.4, tính bằng đơn vị lugeon (Lu); |
| Q | là lưu lượng nước tiêu hao theo 7.1.1, tính bằng lít/phút (L/min); |
| L | là chiều dài đoạn thí nghiệm, tính bằng mét (m); |
| H | là áp lực thí nghiệm ép nước, tính bằng mét cột nước (m); |
b) Khi thí nghiệm theo phương pháp ép nước không ổn định thì độ thấm nước của đá tại đoạn thí nghiệm bằng giá trị Lugeon đặc trưng của đoạn thí nghiệm, xác định bởi biểu đồ quan hệ (Hình 6) giữa các cấp áp lực (H, m) và các giá trị Lugeon (Lu) tính toán theo Công thức (4) tương ứng với các cấp áp lực đó.

CHÚ DẪN:
1) Lu1 đến Lu5 là giá trị Lugeon (xác định theo Công thức (4)) tương ứng với cấp áp lực ép nước H1 đến H5 (xác định theo Công thức (2) hoặc Công thức (3)) của đoạn thí nghiệm;
2) Giá trị Lugeon xấp xỉ nhau (*) khi giá trị lớn nhất và nhỏ nhất chênh lệch (tăng hoặc giảm) không quá 10% so với giá trị Lugeon trung bình của chuỗi giá trị đang xét.
Hình 6 - Giá trị Lugeon đặc trưng của đoạn thí nghiệm ép nước (A.C. Houlsby, 1990)
7.1.4 Đánh giá biến dạng thấm
Lập đồ thị quan hệ Q = f(H) giữa lưu lượng tiêu hao (Q, L/min) và áp lực thí nghiệm (H, m), căn cứ vào các kiểu đồ thị theo Hình 7 để đánh giá biến dạng thấm của đá tại đoạn thí nghiệm ép nước, cụ thể [3]:
CHÚ THÍCH:
Trong tiêu chuẩn này dùng ký hiệu “[ ]” để chỉ tài liệu tham khảo và số bên trong là số thứ tự trong thư mục tài liệu tham khảo.
a) Kiểu (1) - Chảy tầng: Quan hệ giữa lưu lượng nước tiêu hao (Q, L/min) và áp lực thí nghiệm (H, m) là quan hệ tuyến tính (hoặc tuyến tính với sai lệch nhỏ), nước vận động ở trạng thái chảy tầng;
b) Kiểu (2) - Chảy rối: Quan hệ giữa lưu lượng nước tiêu hao (Q, L/min) và áp lực thí nghiệm (H, m) không phải là quan hệ tuyến tính, nước vận động ở trạng thái chảy rối;
c) Kiểu (3) - Giãn nở: Lưu lượng nước tiêu hao (Q, L/min) tăng và giảm hơn so với quá trình tăng và giảm áp lực thí nghiệm (H, m) do hiện tượng mở rộng và thu hẹp khe nứt dưới tác dụng của áp lực thí nghiệm;
d) Kiểu (4) - Xói rửa (xói lở): Lưu lượng nước tiêu hao (Q, L/min) tăng khi áp lực thí nghiệm (H, m) tăng, khi áp lực thí nghiệm (H, m) giảm thì lưu lượng nước tiêu hao (Q, L/min) vẫn tăng do khe nứt của đá đã rỗng. Nguyên nhân là do tăng dần hiện tượng xói rửa vật chất lấp nhét trong khe nứt của đá dưới tác dụng của áp lực thí nghiệm;
e) Kiểu (5) - Hỗn hợp: Chảy rối và kết hợp xói rửa vật chất lấp nhét trong khe nứt của đá;
f) Kiểu (6) - Hỗn hợp: Giãn nở khe nứt và kết hợp xói rửa vật chất lấp nhét trong khe nứt của đá;
g) Kiểu (7) - Lấp nhét khe nứt: Lưu lượng nước tiêu hao (Q, L/min) giảm dần khi áp lực thí nghiệm (H, m) tăng, khi áp lực thí nghiệm (H, m) giảm thì lưu lượng nước tiêu hao (Q, L/min) vẫn giảm do khe nứt của đá bị lấp dần bởi các vật chất lấp nhét bị xói rửa, lấp nhét lại khe nứt;
h) Kiểu (8) - Hỗn hợp: Chảy rối và kết hợp lấp nhét vật chất trong khe nứt của đá;
i) Kiểu (9) - Hỗn hợp: Giãn nở khe nứt và kết hợp lấp nhét vật chất trong khe nứt của đá.

CHÚ DẪN:
| (1) Chảy tầng. (4) Xói lửa (xói lở) (7) Lấp nhét khe nứt. | (2) Chảy rối. (5) Hỗn hợp: Chảy rối + xói rửa. (8) Hỗn hợp: Chảy rối + lấp nhét khe nứt. | (3) Giãn nở. (6) Hỗn hợp: Giãn nở + xói rửa. (9) Hỗn hợp: Giãn nở + lấp nhét khe nứt. |
Hình 7 - Các kiểu đồ thị quan hệ giữa lưu lượng tiêu hao (Q, L/min) và áp lực thí nghiệm (H, m)
7.1.5 Tính toán hệ số thấm của đá
Hệ số thấm của đá tại đoạn thí nghiệm (gọi tắt là hệ số thấm của đá) liên hệ với giá trị Lugeon đặc trưng của đoạn thí nghiệm (xác định theo 7.1.3.b) khi thí nghiệm theo phương pháp ép nước không ổn định, bởi công thức (5) gần đúng như sau [2]:
| K ≈ 1,3 × 10-5 × Lugeon | (5) |
trong đó:
| Lugeon | là giá trị Lugeon đặc trưng của đoạn thí nghiệm xác định theo 7.1.3.b, tính bằng đơn vị lugeon (Lu); |
| K | là hệ số thấm của đá, tính bằng centimet trên giây (cm/s). |
7.2 Báo cáo kết quả thí nghiệm ép nước
7.2.1 Kết quả thí nghiệm ép nước từ hiện trường được ghi chép theo từng lỗ khoan, tập hợp theo từng đới đá phong hóa, từng loại bê tông với các giá trị độ thấm nước lớn nhất, nhỏ nhất và trung bình;
7.2.2 Kết quả thí nghiệm ép nước được xử lý và tính toán theo 7.1 trên cơ sở tài liệu gốc là ghi chép kết quả thí nghiệm ép nước;
7.2.3 Biểu mẫu ghi chép và tính toán kết quả thí nghiệm ép nước vào lỗ khoan tham khảo Phụ lục B.
Phụ lục A
(Quy định)
Một số sơ đồ và phương pháp thí nghiệm ép nước khác
Tại 5.1.2 và 5.1.3 quy định các sơ đồ ép nước phân đoạn từ trên xuống, ép nước phân đoạn từ dưới lên là các sơ đồ ép nước chính. Phương pháp thí nghiệm ép nước tiêu chuẩn là phương pháp thí nghiệm ép nước không ổn định theo chu trình với 5 cấp áp lực thực hiện theo quy định tại 5.2.2, Điều 6 và Điều 7. Trong phần này quy định thêm một số sơ đồ và phương pháp thí nghiệm ép nước khác trong hố khoan.
A.1 Một số sơ đồ thí nghiệm ép nước vào lỗ khoan
A.1.1 Sơ đồ ép nước phân đoạn tổng hợp từ trên xuống
a) Điều kiện áp dụng: Sơ đồ ép nước phân đoạn tổng hợp từ trên xuống thường áp dụng để kiểm tra lại (khi cần thiết) kết quả ép nước theo sơ đồ ép nước phân đoạn từ trên xuống mà có hiện tượng rò rỉ nước (thấm mất nước) theo các khe nứt thẳng đứng qua vai nút đơn đặt ở giới hạn trên của đoạn thí nghiệm.
b) Trình tự ép nước tiến hành như sau: Khoan đến độ sâu dự kiến của đoạn thí nghiệm thứ nhất (L1). Đặt nút ở giới hạn trên đoạn L1 và tiến hành ép nước. Ép xong kéo bộ nút lên, khoan tiếp hết đoạn thí nghiệm thứ hai (L2). Đặt nút ở vị trí cũ và ép nước ở cả 2 đoạn L1 và L2. Lặp lại trình tự trên cho đến khi hết chiều sâu theo yêu cầu trong phương án kỹ thuật khảo sát. Trong trường hợp này, độ thấm nước của đá tại mỗi đoạn thí nghiệm bằng hiệu số độ thấm nước của hai lần ép nước tổng hợp kế tiếp nhau. (Hình A.1(a)).
A.1.2 Sơ đồ ép nước phân đoạn tổng hợp từ dưới lên
a) Điều kiện áp dụng: Sơ đồ ép nước phân đoạn tổng hợp từ dưới lên thường chỉ áp dụng để kiểm tra lại (khi cần thiết) kết quả ép nước theo sơ đồ ép nước phân đoạn từ dưới lên sử dụng nút kép mà có hiện tượng rò rỉ nước (thấm mất nước) theo các khe nứt thẳng đứng qua cả hai vai nút (trên và dưới) của nút kép đặt ở giới hạn trên và dưới của đoạn thí nghiệm.
b) Trình tự tiến hành: Khoan đến hết chiều sâu thiết kế, tiến hành phân chia đoạn thí nghiệm ép nước từ dưới lên bằng cách chia chiều dài hố khoan thành các đoạn thí nghiệm có chiều dài L, đánh số L1, L2, ... Ln, từ dưới lên. Đặt nút ở giới hạn trên đoạn ép L1 và ép nước vào đoạn này. Di chuyển nút đến giới hạn trên của đoạn thí nghiệm L2 và ép nước đồng thời vào hai đoạn L1 và L2. Lặp lại quá trình trên cho đến khi kết thúc toàn bộ thí nghiệm. Trong trường hợp này, độ thấm nước của đá tại mỗi đoạn thí nghiệm bằng hiệu số độ thấm nước của hai lần ép nước tổng hợp kế tiếp nhau. (Hình A.1(b)).

| CHÚ DẪN: 1 Nút bít. 2 Đoạn thí nghiệm ép nước (L1, L2, L3). | CHÚ DẪN: 1 Nút bít. 2 Đoạn thí nghiệm ép nước (L1, L2, L3). |
| Hình A.1(a) - Sơ đồ ép nước phân đoạn tổng hợp từ trên xuống | Hình A.1(b) - Sơ đồ ép nước phân đoạn tổng hợp từ dưới lên |
A.2 Một số phương pháp thí nghiệm ép nước trong hố khoan
A.2.1 Phương pháp thí nghiệm ép nước ổn định với 1 cấp áp lực
a) Điều kiện áp dụng: Phương pháp thí nghiệm ép nước ổn định với 1 cấp áp lực (gọi tắt là phương pháp ép nước ổn định) áp dụng khi xác định độ thấm nước của đá, bê tông phục vụ cho công tác kiểm tra, kiểm định, đánh giá an toàn nền và thân công trình.
b) Phương pháp ép nước ổn định sử dụng các sơ đồ ép nước theo 5.1, các yêu cầu kỹ thuật và trình tự thực hiện theo Điều 6, xử lý tài liệu thí nghiệm ép nước theo Điều 7, nhưng có một số đặc điểm riêng biệt, cụ thể như sau:
- Phương pháp ép nước ổn định chỉ thực hiện với 1 cấp áp lực, tiến hành cho tới khi lưu lượng tiêu hao ổn định trong thời gian 30 min. Khi tiến hành ép nước nhanh để xác định sơ bộ độ thấm nước của đá (phục vụ điều chế nồng độ dung dịch vữa phụt xử lý chống thấm, gia cố) thì tiến hành theo phương pháp ép nước không ổn định với 1 cấp áp lực, các yêu cầu kỹ thuật và trình tự thực hiện theo Điều 6, tính toán độ thấm nước của đá bằng giá trị Lugeon (tương ứng với 1 cấp áp lực thí nghiệm) theo Công thức (4) và tính toán độ thấm nước của đá bằng hệ số thấm theo Công thức (5);
- Áp lực thí nghiệm ép nước là 1 giá trị được lựa chọn trong khoảng từ 0,25 Hc đến 1,00 Hc (Hc là chiều cao cột nước lớn nhất thiết kế), không nhỏ hơn 0,01 Mpa (10 m cột nước) và không vượt quá áp lực cho phép (Pcp) theo quy định tại 6.1.3;
- Trong suốt quá trình thí nghiệm, cùng với việc theo dõi duy trì áp lực trên áp kế ổn định, phải tiến hành quan trắc liên tục lượng nước tiêu hao vào đoạn thí nghiệm. Đối với phương pháp ép nước ổn định thì 10 min đầu cứ 2 min đo 1 lần, 20 min tiếp theo cứ 5 min đo 1 lần, sau đó cứ 10 min đo 1 lần cho đến khi lượng nước tiêu hao ổn định. Ghi chép các số liệu thu thập được vào biểu ghi chép, lập đồ thị quan hệ Q = f (t) giữa lưu lượng tiêu hao (Q) và thời gian thí nghiệm (t), tính toán kết quả ép nước theo Công thức (A.2) và ghi chép vào biểu mẫu tham khảo Phụ lục B;
- Thời gian kéo dài thí nghiệm phải đạt được khi lưu lượng tiêu hao nước ổn định trong 30 min. Lưu lượng nước tiêu hao được coi là ổn định khi tỷ lệ phần trăm giữa hiệu số của lưu lượng nước tiêu hao lớn nhất (Qmax) và lưu lượng nước tiêu hao trung bình (Qtb) chia cho lưu lượng nước tiêu hao trung bình (Qtb) của các lần đọc trong vòng 30 min không quá 10 %, xác định theo Công thức (A.1):
|
| (A.1) |
trong đó:
Qmax là lưu lượng tiêu hao lớn nhất của các lần đọc trong 30 min, tính bằng lít/phút (L/min);
Qtb là lưu lượng tiêu hao trung bình của các lần đọc trong 30 min, tính bằng lít/phút (L/min).
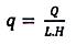
c) Độ thấm nước của đá tại đoạn thí nghiệm theo phương pháp ép nước ổn định được xác định bằng lượng mất nước đơn vị bởi Công thức (A.2).
|
| (A.2) |
trong đó:
| q | là lượng mất nước đơn vị theo 3.3, tính bằng lít/phút.mét.mét (L/min.m.m); |
| Q | là lưu lượng nước tiêu hao ổn định bằng trung bình của các lần đọc lưu lượng theo A.2.1.b, trong khoảng thời gian ổn định kéo dài 30 min, tính bằng lít/phút (L/min); |
| L | là chiều dài đoạn thí nghiệm, tính bằng mét (m); |
| H | là áp lực thí nghiệm ép nước theo 7.1.2, tính bằng mét cột nước (m). |
CHÚ THÍCH:
- Các giá trị của q, phần thập phân lấy tròn đến 3 số lẻ;
- Các giá trị của q quá nhỏ chỉ ghi là < 0,001 L/min.m.m.
d) Hệ số thấm của đá liên hệ với lượng mất nước đơn vị (xác định theo Công thức (A.2)) đối với phương pháp ép nước ổn định bởi công thức (A.3) gần đúng sau [1]:
| K ≈ 2,3 × 10-3 × q | (A.3) |
trong đó:
q là lượng mất nước vị xác định theo Công thức (A.2), tính bằng lít/phút.mét.mét (L/min.m.m);
K là hệ số thấm của đá, tính bằng centimét trên giây (cm/s).
A.2.2 Phương pháp thí nghiệm ép nước trong ống mẫu luồn
a) Điều kiện áp dụng: Phương pháp thí nghiệm ép nước trong ống mẫu luồn chỉ áp dụng trong các hố khoan được khoan bằng phương pháp khoan xoay bơm rửa sử dụng ống mẫu luồn có đường kính lớn làm cần khoan rỗng và phương pháp khoan thực hiện theo 6.3.1.2.b của TCVN 9155:2021.
b) Trình tự thực hiện: Kéo bộ khoan lên một đoạn để lộ đoạn cần thí nghiệm ép nước, sau đó hạ bộ ép nước trong ống mẫu luồn (wire-line packers), có một nút phía trên đặt trong cần khoan (ống mẫu luồn) và một nút phía dưới đặt ở giới hạn trên của đoạn thí nghiệm, xiết kín nút và ép nước như thông thường (Hình A.2).

CHÚ DẪN:
| 1 Ống nối nút bít. 2 Miệng hố khoan. 3 Ống mẫu luồn. | 4 Ống dẫn khí nén hoặc nước. 5 Nút phía trên. 6 Ống nối. | 7 Mũi khoan. 8 Nút phía dưới. 9 Đoạn thí nghiệm ép nước. | 10 Bơm nước thí nghiệm. 11 Mặt đất. 12 Thành hố khoan. |
Hình A.2 - Sơ đồ lắp ráp bộ dụng cụ thí nghiệm ép nước trong ống mẫu luồn (Wire-line packers)
Phụ lục B
(Tham khảo)
Biểu mẫu ghi chép và tính toán kết quả thí nghiệm ép nước vào lỗ khoan

Phụ lục C
(Tham khảo)
Tổn thất áp lực trong đường ống khi thí nghiệm ép nước vào lỗ khoan
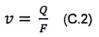
Tổn thất áp lực trong đường ống khi thí nghiệm ép nước vào lỗ khoan được xác định theo công thức gần đúng của Vaysbac (C.1):
|
| (C.1) |
trong đó:
| ΔH | là tổn thất áp lực trong đường ống từ cổ áp kế đến nút bít, tính bằng mét cột nước (m); |
| λ | là hệ số nhám của đường ống lấy bằng từ 0,2 đến 0,3, không có thứ nguyên (λ bằng 0,2 khi ống mới và bằng 0,3 khi ống cũ); |
| L | là tổng chiều dài đường ống từ nút bít đến cổ áp kế, tính bằng mét (m); |
| d | là đường kính trong của ống, tính bằng mét (m); |
| g | là gia tốc trọng trường, lấy bằng 9,81 m/s2; |
| v | là vận tốc của nước chảy trong đường ống, tính bằng mét/giây (m/s) và được xác định theo Công thức (C.2): |
![]()
trong đó:
| v | là vận tốc của nước chảy trong đường ống, tính bằng mét/giây (m/s); |
| Q | là lưu lượng nước tiêu hao theo 7.1.1, tính bằng mét khối/giây (m3/s); |
| F | là tiết diện trong đường ống, tính bằng mét vuông (m2). |
Phụ lục D
(Tham khảo)
An toàn lao động, phòng chống cháy nổ và vệ sinh môi trường
Khi tiến hành công tác thí nghiệm ép nước phải chấp hành đúng các luật, tiêu chuẩn, quy định có liên quan đến an toàn lao động, phòng chống cháy nổ, vệ sinh môi trường và cần lưu ý thêm một số nội dung sau:
a) Tất cả cán bộ công nhân tham gia và phục vụ cho công tác thí nghiệm ép nước đều phải được phổ biến về an toàn lao động, phòng chống cháy nổ và vệ sinh môi trường. Mọi người có mặt tại hiện trường đều phải mặc quần áo, đội mũ, đeo găng tay và đi giầy bảo hộ lao động theo đúng quy định hiện hành. Khi tiến hành thí nghiệm trong hố khoan trên mặt nước phải có phương án cụ thể để đảm bảo an toàn, phải có phao cứu sinh đúng tiêu chuẩn, đặt tại vị trí thích hợp và đủ cho toàn bộ số người làm việc trên sàn khoan;
b) Thiết bị, dụng cụ thí nghiệm phải được lắp đặt, vận hành, bảo dưỡng, sửa chữa theo đúng hướng dẫn của nhà sản xuất. Trước khi sử dụng cần kiểm tra chạy thử nếu thấy tốt, hợp quy cách mới được vận hành. Các thiết bị, đường ống và dụng cụ thí nghiệm đặt trên mặt đất phải được che chắn đảm bảo yêu cầu về ổn định và chống mưa gió;
c) Phải triệt để tuân thủ các quy định về an toàn điện đã được ban hành. Người không có chuyên môn về điện không được tiến hành lắp ráp, sửa chữa điện. Nếu tiến hành thí nghiệm vào ban đêm, thí nghiệm trong hầm (tuynel), trong hành lang đập thì phải có đầy đủ ánh sáng để đảm bảo có thể quan sát rõ được tất cả các vị trí trong khu vực thí nghiệm;
d) Mọi công việc đều phải được tiến hành theo đúng phương án kỹ thuật khảo sát. Không được để các nhiên liệu dễ cháy như dầu mỡ và các chất độc hại trong khu vực đặt các thiết bị và dụng cụ thí nghiệm;
e) Tất cả các phần lộ ra ngoài và các phần chuyển động của máy bơm, động cơ phải được che chắn không cho các vật lạ rơi vào làm hư hỏng và gây thương tật cho con người. Động cơ điện, thiết bị khởi động phải được bảo vệ không để nước rơi vào;
f) Sau khi lắp đặt xong tất cả các đường ống dẫn nước có áp, phải thí nghiệm sức chịu của toàn bộ hệ thống với áp lực bằng 1,5 lần áp lực làm việc tối đa trước khi thí nghiệm;
g) Không được hiệu chỉnh, bôi dầu mỡ và sửa chữa máy bơm, các đồng hồ đo khi đang vận hành;
h) Khi khởi động máy bơm phải mở hoàn toàn các van ở đường ống dẫn nước; khi máy bơm đang làm việc, nếu phát hiện có hiện tượng bất thường phải lập tức ngừng máy để kiểm tra và sửa chữa kịp thời;
i) Các đoạn ống mềm có áp phải được nối với các ống khác bằng các liên kết có thể tháo lắp nhanh, thực hiện phải theo đúng các yêu cầu kỹ thuật;
j) Quá trình thí nghiệm ép nước cần theo dõi sự ổn định của vị trí nút bít, nếu thấy nút bít bị bật hoặc hở ra khỏi thành hố khoan thì phải ngừng thí nghiệm để đặt lại nút bít;
k) Việc lắp đặt hay tháo dỡ các đường ống dẫn nước chính, máy bơm, nút bít chỉ được tiến hành khi không còn áp lực trong hệ thống;
l) Trong thời gian nghỉ, tất cả máy bơm, động cơ điện phải được đặt ở tư thế sao cho người không có trách nhiệm đứng gần máy cũng không thể khởi động được;
m) Trong quá trình thí nghiệm phải có biện pháp bảo vệ, giữ gìn vệ sinh và cảnh quan môi trường tại lán trại, nơi sinh hoạt. Không để nước rửa hố khoan, dầu máy, nước thải sinh hoạt v.v... chảy vào nguồn nước, chảy vào đất canh tác và sinh hoạt của nhân dân;
n) Sau khi kết thúc công tác thí nghiệm, phải tiến hành thu dọn vệ sinh nơi đóng quân và hoàn trả lại mặt bằng.
Phụ lục E
(Tham khảo)
Xử lý một số trường hợp trong quá trình thí nghiệm ép nước
E.1 Trong quá trình thí nghiệm ép nước, nếu vì nguyên nhân hư hỏng thiết bị và dụng cụ thí nghiệm như: máy bơm hỏng, nút hở, đường dẫn nước vỡ, dụng cụ đo (lưu lượng, áp lực, mực nước) không hoạt động phải tạm ngừng, thì phải tiến hành lại từ đầu công tác thí nghiệm.
E.2 Trong khi thí nghiệm ép nước, nếu thấy nước rò rỉ lên mặt đất hay chảy sang các hố thăm dò khác, hoặc các giếng xung quanh mà nút bịt vẫn kín nước thì cần quan trắc lưu lượng và mực nước ở những vị trí đó.
E.3 Trường hợp thí nghiệm ép nước với áp lực thí nghiệm lớn nhất nhỏ hơn hoặc bằng áp lực cho phép (Pcp) theo 6.1.3 mà vẫn xảy ra hiện tượng đứt đoạn thủy lực trong đá (theo TCVN 8645) hoặc trong quá trình thí nghiệm ép nước (nhất là với áp lực cao) có thể xảy ra hiện tượng đất đá ở bên trên đoạn thí nghiệm bị trồi, nứt, biến dạng thì cần giảm áp lực thí nghiệm tới mức vừa đủ để không xảy ra các hiện tượng trên nữa.
E.4 Trường hợp thí nghiệm ép nước trong đá không ổn định thấm (dolomit, đá vôi bị karst hóa mạnh, các muối halogien) có thể xuất hiện hiện tượng tăng độ thấm nước khi thấm kéo dài. Để phát hiện được hiện tượng này, phải tiến hành một số đoạn thí nghiệm ép nước kiểm tra theo phương pháp ép nước ổn định với 1 cấp áp lực theo quy định tại A.2.1 với thời gian ổn định kéo dài ít nhất là 2 h.
E.5 Khi đá nứt nẻ mạnh có các khe nứt phát triển theo chiều dọc lỗ khoan, không thể khống chế được hiện tượng nước thấm nhiều qua vai nút bít (hở nút), thì tiến hành phân lại đoạn thí nghiệm bằng cách dịch chuyển vị trí nút ra xa đoạn đá nứt nẻ, hoặc sử dụng nút kép thủy lực (hoặc khí nén) để cách ly thí nghiệm riêng đoạn đá nứt nẻ; hoặc áp dụng sơ đồ ép nước phân đoạn tổng hợp từ dưới lên theo quy định tại A.1.2. Khi sử dụng tổ hợp các biện pháp này mà vẫn không hạn chế được hiện tượng hở nút, thì phải áp dụng sơ đồ ép nước phân đoạn tổng hợp từ dưới lên sử dụng nút đơn kết hợp trám xi măng(1) thành hố khoan tại vị trí đặt nút. Trong trường hợp buộc phải tiến hành công tác trám xi măng thành hố khoan thì hố khoan sẽ không sử dụng được cho các mục đích khác như: nghiên cứu xác định tính chất cơ lý của đá bằng thí nghiệm trong hố khoan, đo địa vật lý hố khoan, chụp ảnh hoặc camera hố khoan, kết cấu hố khoan để quan trắc nước dưới đất, sử dụng hố khoan để phụt vữa hoặc tiêu nước.
CHÚ THÍCH:
(1) Trám xi măng là một biện pháp để bịt nút kín trong trường hợp đá nứt nẻ mạnh và tiến hành bằng cách sau:
- Đổ đầy cát thô xuống đáy hố khoan đến cách phía dưới vị trí dự kiến đặt đáy nút đơn khoảng 0,5 m. Quấn chặt vải (ni lon, rơm rạ) tạo nút vữa (còn gọi là đai xi măng, nút xi măng khoan lại) có đường kính lớn hơn một chút so với đường kính hố khoan. Đưa nút vữa vào trong lỗ khoan, rồi dùng cần khoan từ từ ấn nút vữa xuống đến trên bề mặt lớp cát. Có thể tạo nút vữa bằng gỗ có bọc bằng đay (đường kính bằng đường kính hố khoan), hạ xuống bằng cần khoan và cố định nút vữa ở độ sâu yêu cầu (cách phía dưới vị trí dự kiến đặt đáy nút đơn khoảng 0,3 m), trong trường hợp đặt được nút vữa bằng gỗ này thì không cần phải đổ cát thố xuống đáy hố khoan làm trụ đỡ nút vữa;
- Đổ nước vữa xi măng đậm đặc (tỷ lệ Nước/Xi măng = 1/1) hoặc xi măng + cát (tỷ lệ xi măng/cát = 1/3) vào lỗ khoan qua ống dẫn vữa (hoặc ống múc chuyên dụng) ở trên nút vữa. Trong quá trình đổ vữa, từ từ nâng ống dẫn vữa với tốc độ từ 0,5 m đến 1,0 m trong 1 min, để vữa lấp đầy khoảng 0,8 m đến 1,0 m thành hố khoan ở phần trên nút vữa;
- Để tăng nhanh quá trình ninh kết của vữa xi măng có thể sử dụng thêm phụ gia đông kết nhanh pha với tỷ lệ thích hợp (hoặc theo quy định của nhà sản xuất) và nên sử dụng xi măng có cường độ kháng nén không thấp hơn 20 MPa (200 kG/cm2);
- Khi vữa xi măng đã đông cứng (theo thời gian ninh kết của mẫu thử trên mặt đất hoặc sau khoảng 24 h), sử dụng mũi khoan có đường kính nhỏ hơn đường kính lỗ khoan hiện tại 1 cấp để khoan qua đoạn xi măng đông kết và nút vữa. Tiến hành thổi rửa hết cát trong hố khoan (trường hợp có đổ cát trong hố khoan), rửa sạch hố khoan, hạ nút đơn xuống vị trí trám xi măng và tiến hành ép nước như bình thường.
E.6 Trường hợp thí nghiệm ép nước trong các dải đá thấm mạnh (đới nứt nẻ tăng cao, đá bị karst hóa, đới xen kẹp, đới phá hủy hoặc ảnh hưởng của đứt gãy), khi đã giảm tối đa chiều dài đoạn thí nghiệm theo quy định tại 6.1.2 mà vẫn không nâng được áp lực theo thiết kế của đoạn thí nghiệm, thì phải tiến hành “ép câu”(2). Khi tiến hành ép câu cần sử dụng thiết bị phù hợp với phương pháp này. Trường hợp không có đủ thiết bị để tiến hành “ép câu” thì tiến hành cung cấp nước tối đa theo khả năng có thể của máy bơm, quan trắc liên tục áp lực và lưu lượng trong vòng 2 h.
CHÚ THÍCH:
(2) Ép câu là một phương pháp thí nghiệm ép nước, nhưng thay việc bơm nước vào ống trong như thí nghiệm ép nước thông thường thì tiến hành bơm nước vào ống ngoài để nước đi vào ống trong (có đục lỗ) tới đoạn ép (Hình E.1). Ưu điểm của phương pháp “ép câu” là khi nước không dâng được đến đồng hồ đo áp lực vẫn xác định được áp lực thí nghiệm (thông qua việc đo cột nước thí nghiệm ở ống trong), quá trình thí nghiệm vẫn có thể bơm hết công suất máy bơm và kéo dài thời gian tùy ý.
E.7 Trường hợp không thể tiến hành được thí nghiệm ép nước vào lỗ khoan sau khi xử lý theo E.1 đến E.6 thì xem xét sử dụng một trong số các thí nghiệm hiện trường sau để thay thế là đổ nước, múc nước hoặc hút nước.

CHÚ DẪN:
| 1 Ống xả. 2 Van điều chỉnh. 3 Đồng hồ đo lưu lượng. | 4 Nối ống. 5 Cột nước thí nghiệm ở ống trong. 6 Ống ngoài | 7 Thành hố khoan. 8 Ống trong có đục lỗ. 9 Vòng đai giữa các quả bo. | 10 Nút ép bằng bo cao su. 11 Ống đục lỗ. |
Hình E.1 - Sơ đồ nguyên lý của thí nghiệm ép câu
Thư mục tài liệu tham khảo
[1] V.Đ. Lômtađze. Địa chất công trình - Địa chất công trình chuyên môn. Nhà xuất bản đại học và trung học chuyên nghiệp, 1983.
[2] Army Corps of Engineers. CECW-EG-Engineer Manual 1110-2-3506 - ENGINEERING AND DESIGN GROUTING TECHNOLOGY. Washington DC 20314-1000, 31 March 2017.
[3] BS EN ISO 22282-3:2012 Geotechnical investigation and testing - Geohydraulic testing - Water pressure tests in rock, October 2012, Confirmed in 2023.
MỤC LỤC
Lời nói đầu
1 Phạm vi áp dụng
2 Tài liệu viện dẫn
3 Thuật ngữ và định nghĩa
4 Quy định chung
5 Các sơ đồ và phương pháp thí nghiệm ép nước
6 Yêu cầu kỹ thuật và trình tự thực hiện
7 Xử lý kết quả thí nghiệm ép nước
Phụ lục A (Quy định): Một số sơ đồ và phương pháp thí nghiệm ép nước khác
Phụ lục B (Tham khảo): Biểu mẫu ghi chép và tính toán kết quả thí nghiệm ép nước vào lỗ khoan
Phụ lục C (Tham khảo): Tổn thất áp lực trong đường ống khi thí nghiệm ép nước vào lỗ khoan
Phụ lục D (Tham khảo): An toàn lao động, phòng chống cháy nổ và vệ sinh môi trường
Phụ lục E (Tham khảo): Xử lý một số trường hợp trong quá trình thí nghiệm ép nước
Thư mục tài liệu tham khảo
Bạn chưa Đăng nhập thành viên.
Đây là tiện ích dành cho tài khoản thành viên. Vui lòng Đăng nhập để xem chi tiết. Nếu chưa có tài khoản, vui lòng Đăng ký tại đây!