- Tổng quan
- Nội dung
- Tiêu chuẩn liên quan
- Lược đồ
- Tải về
Tiêu chuẩn TCVN 9386-5:2025 Thiết kế kết cấu chịu động đất - Phần 5: Nền móng, kết cấu chắn và các vấn đề địa kỹ thuật
| Số hiệu: | TCVN 9386-5:2025 | Loại văn bản: | Tiêu chuẩn Việt Nam |
| Cơ quan ban hành: | Bộ Khoa học và Công nghệ | Lĩnh vực: | Đất đai-Nhà ở , Xây dựng |
| Trích yếu: | Thiết kế kết cấu chịu động đất - Phần 5: Nền móng, kết cấu chắn và các vấn đề địa kỹ thuật | ||
|
Ngày ban hành:
Ngày ban hành là ngày, tháng, năm văn bản được thông qua hoặc ký ban hành.
|
31/12/2025 |
Hiệu lực:
|
Đã biết
|
| Người ký: | Đang cập nhật |
Tình trạng hiệu lực:
Cho biết trạng thái hiệu lực của văn bản đang tra cứu: Chưa áp dụng, Còn hiệu lực, Hết hiệu lực, Hết hiệu lực 1 phần; Đã sửa đổi, Đính chính hay Không còn phù hợp,...
|
Đã biết
|
TÓM TẮT TIÊU CHUẨN VIỆT NAM TCVN 9386-5:2025
Nội dung tóm tắt đang được cập nhật, Quý khách vui lòng quay lại sau!
Tải tiêu chuẩn Việt Nam TCVN 9386-5:2025
TIÊU CHUẨN QUỐC GIA
TCVN 9386-5:2025
THIẾT KẾ KẾT CẤU CHỊU ĐỘNG ĐẤT - PHẦN 5: NỀN MÓNG, KẾT CẤU CHẮN VÀ CÁC VẤN ĐỀ ĐỊA KỸ THUẬT
Design of structures for earthquake resistance — Part 5: Foundations, retaining structures and geotechnical aspects
Lời nói đầu
TCVN 9386-1:2025 và TCVN 9386-5:2025 thay thế TCVN 9386:2012
TCVN 9386-5:2025 được xây dựng trên cơ sở tham khảo BS EN 1998- 5:2004, Design of structures for earthquake resistances - Part 5: Foundations, retaining structures and geotechnical aspects.
TCVN 9386-5:2025 do Viện Khoa học công nghệ xây dựng biên soạn Bộ Xây dựng đề nghị, Ủy ban Tiêu chuẩn Đo lường Chất lượng Quốc gia thẩm định, Bộ Khoa học và Công nghệ công bố.
Bộ TCVN 9386 Thiết kế kết cấu chịu động đất gồm hai phần:
- TCVN 9386-1:2025 Thiết kế kết cấu chịu động đất - Phần 1: Quy định chung, tác động động đất và quy định cho nhà
- TCVN 9386-5:2025 Thiết kế kết cấu chịu động đất - Phần 5: Nền móng, kết cấu chắn và các vấn đề địa kỹ thuật
Bộ BS EN 1998 Design of structures for earthquake resistance (Thiết kế kết cấu chịu động đất) còn có các phần sau:
- BS EN 1998-2:2005, Part 2: Bridges
- BS EN 1998-3:2005, Part 3: Assessment and retrofitting of buildings
- BS EN 1998-4:2006, Part 4: Silos, tanks and pipelines
- BS EN 1998-6:2005, Part 6: Towers, masts and chimneys
Lời giới thiệu
Cơ sở tham khảo chính để xây dựng TCVN 9386-5:2025 là tiêu chuẩn BS EN 1998-5:2004, Design of structures for earthquake resistance - Part 5: Foundations, retaining structures and geotechnical aspects và TCVN 9386:2012, Phần 2.
THIẾT KẾ KẾT CẤU CHỊU ĐỘNG ĐẤT - PHẦN 5: NỀN MÓNG, KẾT CẤU CHẮN VÀ CÁC VẤN ĐỀ ĐỊA KỸ THUẬT
Design of structures for earthquake resistance — Part 5: Foundations, retaining structures and geotechnical aspects
1. Yêu cầu chung
1.1. Phạm vi áp dụng
(1) Tiêu chuẩn này thiết lập các yêu cầu, tiêu chí và quy định về việc chọn vị trí xây dựng và phương án nền móng của kết cấu chịu tác động động đất. Nó bao gồm việc thiết kế các loại móng khác nhau, các loại tường chắn và sự tương tác giữa kết cấu và đất nền dưới tác động động đất. Vì vậy, tiêu chuẩn này bổ sung cho Eurocode 7 là tiêu chuẩn không bao gồm các yêu cầu đặc biệt cho thiết kế chịu động đất.
(2) Các điều khoản của tiêu chuẩn này áp dụng cho nhà - TCVN 9386-1:2025; công trình cầu - EN 1998-2; công trình silo, bể chứa và đường ống- EN 1998-4; tháp, trụ và ống khói - EN 1998-6.
(3) Các yêu cầu thiết kế đặc biệt cho móng của các loại kết cấu nào đó, khi cần, có thể tìm trong các tiêu chuẩn tương ứng của bộ TCVN 9386.
(4) Phụ lục B của tiêu chuẩn này đưa ra các biểu đồ thực nghiệm cho việc đánh giá đơn giản hóa về khả năng hóa lỏng có thể xảy ra, Phụ lục E đưa ra quy trình đơn giản hóa cho phép phân tích động đất của kết cấu tường chắn.
CHÚ THÍCH 1: Phụ lục A cung cấp các thông tin về các hệ số khuếch đại địa hình.
CHÚ THÍCH 2: Phụ lục C cung cấp các thông tin về độ cứng tĩnh của cọc.
CHÚ THÍCH 3: Phụ lục D cung cấp các thông tin về tương tác động lực giữa kết cấu và đất nền.
CHÚ THÍCH 4: Phụ lục F cung cấp các thông tin về khả năng chịu tác động động đất của móng nông.
1.2. Tài liệu viện dẫn
(1) Các tài liệu viện dẫn sau rất cần thiết cho việc áp dụng tiêu chuẩn này. Đối với các tài liệu viện dẫn ghi năm công bố thì áp dụng phiên bản được nêu. Đối với các tài liệu viện dẫn không ghi năm công bố thì áp dụng phiên bản mới nhất, bao gồm cả các sửa đổi, bổ sung (nếu có).
EN 1990, Basis of structural design (Cơ sở thiết kế kết cấu)
EN 1997-1:2004, Geotechnical design — Part 1: General rules (Thiết kế địa kỹ thuật - Phần 1: Các quy định chung)
EN 1997-2, Geotechnical design — Part 2: Ground investigation and testing (Thiết kế địa kỹ thuật - Phần 2: Khảo sát và thí nghiệm đất)
TCVN 9386-1:2025, Thiết kế kết cấu chịu động đất - Phần 1: Quy định chung, tác động động đất và quy định cho nhà
EN 1998-2:2005, Design of structures for earthquake resistance — Part 2: Bridges (Thiết kế kết cấu chịu động đất - Phần 2: Cầu)
EN 1998-4:2006, Design of structures for earthquake resistance — Part 4: Silos, tanks and pipelines (Thiết kế kết cấu chịu động đất - Phần 4: Silô, bể chứa và đường ống)
EN 1998-6:2005, Design of structures for earthquake resistance — Part 6: Towers, masts and chimneys (Thiết kế kết cấu chịu động đất - Phần 6: Tháp, trụ và ống khói)
1.3. Giả thiết
(1) Áp dụng các giả thiết chung trong 1.3 của EN 1990:2002.
1.4. Thuật ngữ và định nghĩa
(1) Áp dụng các định nghĩa về đất nền như trong 1.5.2 của EN 1997-1:2004, còn định nghĩa các thuật ngữ chuyên ngành địa kỹ thuật liên quan đến động đất, như hỏa lỏng được cho trong tài liệu này.
(2) Trong tiêu chuẩn này áp dụng các thuật ngữ được định nghĩa trong 1.4.1 của TCVN 9386- 1:2025.
1.5. Ký hiệu
(1) Các ký hiệu dưới đây được sử dụng trong tiêu chuẩn này. Tất cả các ký hiệu trong tiêu chuẩn này sẽ được định nghĩa trong chính văn khi chúng xuất hiện lần đầu tiên để tiện sử dụng. Thêm vào đó là danh sách ký hiệu được liệt kê sau đây. Một số ký hiệu chỉ xuất hiện trong phụ lục thì được định nghĩa ở chỗ chúng xuất hiện.
| Ed | Giá trị thiết kế của hệ quả tác động |
| Epd | Độ bền theo phương ngang ở mặt bên của móng do áp lực bị động của đất |
| ER | Tỷ số năng lượng trong thí nghiệm xuyên tiêu chuẩn (SPT) |
| FH | Lực quán tính thiết kế theo phương ngang do tác động động đất |
| FV | Lực quán tính thiết kế theo phương thẳng đứng do tác động động đất |
| FRd | Sức kháng cắt thiết kế giữa đáy móng nằm ngang và nền đất |
| G | Mô đun cắt |
| Gmax | Mô đun cắt trung bình khi biến dạng nhỏ |
| Le | Khoảng cách của các neo tính từ tường trong điều kiện động |
| Ls | Khoảng cách của các neo tính từ tường trong điều kiện tĩnh |
| MEd | Các tác động thiết kế dưới dạng mô men |
| N1(60) | Chỉ số xuyên tiêu chuẩn (SPT) được chuẩn hóa theo áp lực bản thân đất và theo tỷ số năng lượng |
| NEd | Lực pháp tuyến thiết kế lên đáy móng nằm ngang |
| NSPT | Số nhát đập trong thí nghiệm xuyên tiêu chuẩn (SPT) |
| PI | Chỉ số dẻo của đất |
| Rd | Sức chịu tải thiết kế của đất nền |
| S | Hệ số nền, được định nghĩa trong 3.2.2.2 của TCVN 9386-1:2025 |
| ST | Hệ số khuếch đại địa hình |
| VEd | Lực cắt ngang thiết kế |
| W | Trọng lượng khối trượt |
| ag | Gia tốc nền thiết kế trên đất nền loại A (ag = γIagR) |
| agR | Đỉnh gia tốc nền tham chiếu trên nền loại A |
| avg | Gia tốc nền thiết kế theo phương thẳng đứng |
| c' | Lực dính diễn đạt theo ứng suất hữu hiệu của đất |
| cu | Sức kháng cắt không thoát nước của đất |
| d | Đường kính cọc |
| dr | Chuyển vị của tường chắn |
| g | Gia tốc trọng trường |
| kh | Hệ số động đất theo phương ngang |
| kv | Hệ số động đất theo phương đứng |
| qu | Độ bền chịu nén có nở hông |
| r | Hệ số để tính toán hệ số động đất theo phương ngang (Bảng 2) |
| vs | Vận tốc truyền sóng cắt |
| vs,max | Giá trị trung bình của vs khi biến dạng nhỏ (< 10-5) |
| α | Tỷ số của gia tốc nền thiết kế trên đất nền loại A, ag, với gia tốc trọng trường g |
| γ | Trọng lượng đơn vị của đất |
| γd | Trọng lượng đơn vị khô của đất |
| γI | Hệ số tầm quan trọng |
| γM | Hệ số riêng của đặc trưng vật liệu |
| γRd | Hệ số riêng của mô hình |
| γw | Trọng lượng đơn vị của nước |
| δ | Góc ma sát giữa đất nền và móng hoặc tường chắn |
| ϕ’ | Góc của sức kháng cắt tính theo ứng suất hữu hiệu |
| ρ | Khối lượng đơn vị |
| σvo | Áp lực toàn phần của bản thân đất, cũng như ứng suất toàn phần theo phương đứng |
| σ’vo | Áp lực hữu hiệu của bản thân đất, cũng như ứng suất hữu hiệu theo phương đứng |
| τcy,u | Sức kháng cắt không thoát nước của đất khi chịu tải trọng có chu kỳ |
| τe | Ứng suất cắt khi chịu tác động động đất. |
1.6. Đơn vị
(1) Sử dụng các đơn vị nêu trong 1.6, TCVN 9386-1:2025.
CHÚ THÍCH: Đối với các tính toán địa kỹ thuật, cần tham khảo thêm 1.6(2) của EN 1997-1:2004.
2. Tác động động đất
2.1. Định nghĩa về tác động động đất
(1) Tác động động đất phải phù hợp với các khái niệm và định nghĩa cơ bản như đã nêu trong 3.2, TCVN 9386-1:2025, có xét đến điều khoản trong 4.2.2.
(2) Các tổ hợp của tác động động đất với các tác động khác phải được tiến hành theo 3.2.4, TCVN 9386-1:2025.
(3) Việc đơn giản hóa khi lựa chọn tác động động đất sẽ được nêu tại các điểm thích hợp trong tiêu chuẩn này.
2.2. Biểu diễn theo lịch sử thời gian
(1) Nếu tiến hành phân tích theo miền thời gian thì có thể sử dụng cả giản đồ gia tốc nhân tạo và các giản đồ thực ghi chuyển dịch mạnh của đất nền. Giá trị đỉnh gia tốc và thành phần tần số của giản đồ gia tốc được quy định phải phù hợp quy định trong 3.2.3.1, TCVN 9386-1:2025.
(2) Khi kiểm tra ổn định động lực bao gồm các tính toán biến dạng lâu dài của nền, tác động động đất thường bao gồm các giản đồ gia tốc ghi được khi động đất xảy ra tại địa điểm xây dựng, vì chúng có thành phần tần số thực tế là thấp và có tương quan nhất định về thời gian giữa thành phần ngang và thẳng đứng của chuyển động. Khoảng thời gian xảy ra chuyển động mạnh phải được chọn theo phương thức phù hợp với 3.2.3.1, TCVN 9386-1:2025.
3. Tính chất của nền đất
3.1. Thông số về độ bền
(1) Nói chung có thể sử dụng các thông số độ bền của đất trong điều kiện tĩnh và không thoát nước. Đối với đất dính, thông số độ bền thích hợp là sức kháng cắt không thoát nước cu, được hiệu chỉnh cho tốc độ gia tải nhanh và độ suy giảm do gia tải lặp khi động đất nếu việc hiệu chỉnh là cần thiết và được kiểm chứng đầy đủ bằng thực nghiệm thích đáng. Đối với đất rời, thông số độ bền thích hợp là sức kháng cắt không thoát nước khi gia tải lặp τcy,u. Giá trị này phải tính đến khả năng tích luỹ áp lực nước lỗ rỗng.
(2) Mặt khác, có thể sử dụng các thông số độ bền hữu hiệu với áp lực nước lỗ rỗng phát sinh khi gia tải theo chu kỳ. Đối với đá, có thể sử dụng độ bền nén có nở hông qu.
(3) Các hệ số γM đối với các đặc trưng vật liệu cu, τcy,u và qu được biểu thị là γcu, γτcy, γqu và đối với tan Φ' được biểu thị là γϕ’
CHÚ THÍCH: Giá trị γcu, γτcy, γqu và γϕ’ khuyến nghị là γcu = 1,4, γτcy = 1,25, γqu = 1,4 và γϕ’ = 1,25.
3.2. Thông số độ cứng và thông số độ cản
(1) Do ảnh hưởng của nó đến tác động động đất thiết kế, thông số độ cứng chính của đất nền dưới tải trọng động đất là mô đun cắt G, tính theo công thức:
|
| (3.1) |
trong đó:
ρ là khối lượng đơn vị và vs là vận tốc truyền sóng cắt của đất nền.
(2) Các tiêu chí để xác định vs, kể cả sự phụ thuộc của chúng vào mức biến dạng của đất, được cho trong 4.2.2 và 4.2.3.
(3) Độ giảm chấn được xem như một đặc trưng phụ của nền trong trường hợp có kể đến tương tác giữa đất nền và kết cấu như được quy định trong Điều 6.
(4) Độ cản bên trong do ứng xử phi đàn hồi của đất dưới tác dụng của tải trọng có chu kỳ, và độ cản lan tỏa do sóng động đất lan truyền ra khỏi móng, phải được xem xét riêng biệt.
4. Yêu cầu đối với việc lựa chọn vị trí xây dựng và đất nền
4.1. Lựa chọn vị trí xây dựng
4.1.1. Yêu cầu chung
(1) Cần tiến hành đánh giá địa điểm xây dựng công trình để xác định bản chất của đất nền nhằm đảm bảo rằng các nguy cơ phá hoại, mát ổn định mái dốc, sự hóa lỏng và khả năng bị nén chặt do động đất gây ra là nhỏ nhất.
(2) Khả năng xảy ra các hiện tượng bất lợi này phải được khảo sát theo quy định trong các mục dưới đây.
4.1.2. Vùng lân cận đứt gẫy còn hoạt động
(1) Nhà thuộc cấp hậu quả C2, C3a, C3b như xác định trong 4.2.5, TCVN 9386-1:2025 không được xây dựng trong khu vực lân cận các đứt gãy kiến tạo được xác nhận là có hoạt động động đất phải theo quy định hiện hành.
(2) Việc không phát sinh chuyển dịch trong giai đoạn hiện đại của kỷ Đệ Tứ có thể được xem là dấu hiệu đứt gãy không còn hoạt động đối với phần lớn các loại kết cấu không gây nguy cơ cho an toàn công cộng.
(3) Công tác khảo sát địa chất đặc biệt phải được tiến hành phục vụ quy hoạch đô thị và cho các kết cấu quan trọng được xây dựng gần các đứt gãy có thể còn hoạt động trong các vùng có nguy cơ xảy ra động đất, nhằm xác định rủi ro sau này về sự nứt vỡ nền đất và mức độ chấn động của đất nền.
4.1.3. Độ ổn định mái dốc
4.1.3.1. Các yêu cầu chung
(1) Việc kiểm tra độ ổn định của nền phải được tiến hành với các kết cấu được xây dựng trên hoặc gần với mái dốc tự nhiên hoặc mái dốc nhân tạo, nhằm đảm bảo rằng độ an toàn và/hoặc khả năng sử dụng của các kết cấu được duy trì dưới tác dụng của cấp động đất thiết kế.
(2) Trong điều kiện chịu tải trọng động đất, trạng thái giới hạn của mái dốc là trạng thái mà khi vượt quá nó thì sẽ phát sinh chuyển vị lâu dài (không phục hồi) của đất nền lớn hơn mức cho phép trong phạm vi chiều sâu có ảnh hưởng đáng kể đối với kết cấu và chức năng sử dụng của công trình.
(3) Có thể không cần kiểm tra độ ổn định đối với những công trình thuộc cấp hậu quả C1 nếu kinh nghiệm đối chứng đã biết cho tháy đất nền tại địa điểm xây dựng là ổn định.
4.1.3.2. Tác động động đất
(1) Tác động động đất thiết kế được giả thiết để kiểm tra ổn định phải tuân theo các định nghĩa trong 2.1.
(2) Khi kiểm tra ổn định của nền đối với kết cấu có hệ số tầm quan trọng γI lớn hơn 1 nằm trên hoặc gần mái dốc cần tăng tác động động đất thiết kế thông qua hệ số khuếch đại địa hình.
CHÚ THÍCH: Một số hướng dẫn cho các giá trị của hệ số khuếch đại địa hình được cho trong Phụ lục A.
(3) Tác động động đất có thể được đơn giản hóa như quy định trong 4.1.3.3.
4.1.3.3. Phương pháp phân tích
(1) Phản ứng của sườn dốc đối với động đất thiết kế phải được tính toán hoặc là bằng các phương pháp phân tích động được thừa nhận, như mô hình phần tử hữu hạn hoặc mô hình khối cứng, hoặc là bằng phương pháp giả tĩnh đơn giản hóa theo các giới hạn của các điều kiện (3) và (8) của điều này.
(2) Khi mô hình hóa ứng xử cơ học của đất nền, sự mềm hóa của phản ứng khi biến dạng tăng và các hệ quả do sự tăng áp lực lỗ rỗng gây ra dưới tác dụng của tải trọng có chu kỳ phải được xét đến.
(3) Việc kiểm tra ổn định có thể được tiến hành bằng phương pháp giả tĩnh đơn giản hóa tại những nơi địa hình bề mặt và cấu tạo địa tầng của đất không xuất hiện những biến động bất thường.
(4) Các phương pháp giả tĩnh phân tích ổn định giống như các phương pháp nêu trong 11.5 của EN 1997-1:2004, ngoại trừ việc bao gồm cả các lực quán tính ngang và thẳng đứng đối với mỗi phần của khối đất và đối với tải trọng trọng trường tác dụng trên đỉnh mái dốc.
(5) Các lực quán tính do động đất thiết kế FH và FV tác động lên khối đất, tương ứng với phương ngang và phương thằng đứng, trong phép phân tích giả tĩnh được tính như sau:
| FH = 0,5·α·S·W | (4.1) |
| FV = ± 0,5FH nếu tỷ số avg/ag lớn hơn 0,6 | (4.2) |
| FV = ± 0,33FH nếu tỷ số avg/ag không lớn hơn 0,6 | (4.3) |
trong đó:
| α | là tỷ số của gia tốc nền thiết kế trên nền loại A, ag, với gia tốc trọng trường g; |
| avg | là gia tốc nền thiết kế theo phương đứng; |
| ag | là gia tốc nền thiết kế cho nền loại A; |
| S | là hệ số nền, lấy theo 3.2.2.2, TCVN 9386-1:2025; |
| W | là trọng lượng khối trượt. |
Hệ số khuếch đại địa hình cho ag phải được tính đến theo 4.1.3.2(2).
(6) Điều kiện trạng thái giới hạn khi đó được kiểm tra cho mặt trượt có độ ổn định thấp nhất.
(7) Điều kiện trạng thái giới hạn sử dụng có thể được kiểm tra bằng cách tính toán chuyển vị lâu dài của khối trượt theo mô hình động lực đơn giản hóa bao gồm một khối cứng trượt chống lại lực ma sát trên sườn dốc. Trong mô hình này, tác động động đất phải được biểu thị bằng quan hệ theo lịch sử thời gian theo 2.2 dựa trên gia tốc thiết kế không giảm.
(8) Các phương pháp đơn giản hóa như phương pháp giả tĩnh đơn giản hóa đã nêu trong các điều từ (3) đến (6) của mục này không được sử dụng cho các loại đất có khả năng phát triển áp lực nước lỗ rỗng cao hoặc có độ suy giảm đáng kể về độ cứng dưới tác dụng của tải trọng có chu kỳ.
(9) Độ tăng áp lực lỗ rỗng phải được đánh giá bằng cách sử dụng các thí nghiệm thích hợp. Khi không có những thí nghiệm này, và để thiết kế sơ bộ, có thể dự tính thông qua các tương quan thực nghiệm.
4.1.3.4. Kiểm tra độ an toàn bằng phương pháp giả tĩnh
(1) Đối với đất bão hoà trong những vùng mà αS >0,15, cần xem xét khả năng giảm độ bền và độ tăng áp lực lỗ rỗng do tải trọng có chu kỳ theo các giới hạn đã nêu trong 4.1.3.3(8).
(2) Đối với các mặt trượt đã ổn định nhưng có nhiều khả năng tiếp tục trượt bởi động đất thì sử dụng các thông số độ bền của nền khi biến dạng lớn. Đối với đất rời, sự gia tăng tuần hoàn của áp lực nước lỗ rỗng trong phạm vi các giới hạn của 4.1.3.3 có thể được kể đến bằng cách giảm sức kháng do ma sát thông qua hệ số áp lực nước lỗ rỗng thích hợp, tỷ lệ với độ tăng lớn nhất của áp lực lỗ rỗng. Độ tăng đó có thể ước tính theo chỉ dẫn trong 4.1.3.3(9).
(3) Không cần áp dụng độ giảm sức kháng cắt đối với các loại đất rời giãn nở mạnh, như các loại cát chặt.
(4) Việc kiểm tra độ an toàn của mái dốc phải được tiến hành theo các nguyên tắc trong EN 1997- 1:2004.
4.1.4. Đất có khả năng hóa lỏng
(1) Sự giảm sức chống cắt và/hoặc độ cứng do tăng áp lực nước lỗ rỗng trong các vật liệu rời bão hoà nước trong lúc có chuyển động nền do động đất, đến mức làm tăng đáng kể biến dạng lâu dài của đất, hoặc dẫn tới điều kiện ứng suất hữu hiệu của đất gần bằng 0, mà từ đây trở đi được coi là hóa lỏng.
(2) Phải dự tính khả năng hóa lỏng khi nền đất dưới mỏng bao gồm các lớp cát xốp phân bố trên diện rộng hoặc các thấu kính cát xốp dày, có hoặc không có hạt bụi hoặc sét, nằm dưới mực nước ngầm, và khi mực nước ngầm nằm nông. Việc dự tính này phải được tiến hành ở khu vực trống (cao độ mặt nền, cao độ nước ngầm) xuất hiện trong suốt tuổi thọ của kết cấu.
(3) Công tác khảo sát cần thiết cho mục đích này ít nhất phải bao gồm thí nghiệm xuyên tiêu chuẩn tại hiện trường (SPT) hoặc thí nghiệm xuyên tĩnh (CPT), cũng như việc xác định các đường cong thành phần hạt trong phòng thí nghiệm.
(4) Đối với thí nghiệm SPT, giá trị đo được NSPT, biểu thị bằng số nhát đập/30 cm, phải được chuẩn hóa với ứng suất hữu hiệu biểu kiến của bản thân đất bằng 100 kPa và với tỷ số của năng lượng va đập và năng lượng rơi tự do lý thuyết bằng 0,6. Với các độ sâu nhỏ hơn 3 m, các giá trị đo được NSPT phải giảm đi 25 %.
(5) Việc chuẩn hóa đối với ảnh hưởng của áp lực bản thân đất có thể được thực hiện bằng cách nhân giá trị đo được NSPT với hệ số (100/σ'vo)1/2, trong đó σ'vo (kPa) là ứng suất hữu hiệu bản thân đất tại độ sâu và thời điểm thí nghiệm SPT. Hệ số chuẩn hóa (100/σ'vo)m phải được lấy không nhỏ hơn 0,5 và không lớn hơn 2.
(6) Việc chuẩn hóa năng lượng yêu cầu nhân số nhát đập thu được trong điều (5) của mục này với một hệ số ER/60, trong đó ER là một trăm lần tỷ số năng lượng đặc trưng của thiết bị thí nghiệm.
(7) Đối với nhà trên móng nông, việc dự tính khả năng hóa lỏng có thể được bỏ qua khi đất cát bão hoà nước gặp ở các độ sâu lớn hơn 15 m tính từ mặt đất.
(8) Nguy cơ hóa lỏng có thể được bỏ qua khi αS < 0,15 và ít nhất một trong các điều kiện sau phải được đảm bảo:
- Cát có hàm lượng hạt sét lớn hơn 20 % với chỉ số dẻo Pl > 10;
- Cát có hàm lượng hạt bụi lớn hơn 35 % và đồng thời số búa SPT sau khi được chuẩn hóa với các ảnh hưởng của áp lực bản thân đất và với tỷ số năng lượng N1(60) > 20.
- Cát sạch, với số búa SPT sau khi được chuẩn hóa với áp lực bản thân đất và với tỷ số năng lượng N1(60) > 30.
(9) Nếu nguy cơ hóa lỏng không thể bỏ qua thì ít nhất nó phải được đánh giá bằng các phương pháp tin cậy của ngành địa kỹ thuật, dựa trên tương quan giữa các quan trắc tại hiện trường và ứng suất cắt lặp được biết là đã gây ra hóa lỏng trong những trận động đất đã xảy ra.
(10) Các biểu đồ hóa lỏng thực nghiệm minh họa tương quan hiện trường dưới mặt nền ứng với các đo đạc tại thực địa được cho trong Phụ lục B. Trong phương pháp này, ứng suất cắt do động đất τe có thể ước tính theo biểu thức đơn giản hóa sau:
| τe = 0,65 α.S.σvo | (4.4) |
trong đó:
| σvo | là áp lực toàn phần do bản thân đất, các biến số khác như trong các biểu thức từ (2) đến (4). Biểu thức này không áp dụng cho chiều sâu lớn hơn 20 m. |
(11) Nếu sử dụng phương pháp tương quan hiện trường thì đất phải được coi là nhạy với hóa lỏng khi ứng suất cắt do động đất gây ra vượt quá một phần λ của ứng suất tới hạn được biết là đã gây hóa lỏng trong các trận động đất trước đó.
CHÚ THÍCH: Giá trị khuyến nghị là λ = 0,8, bao gồm hệ số an toàn bằng 1,25.
(12) Nếu đất được thấy là dễ bị hóa lỏng và các hiệu ứng tiếp sau có thể ảnh hưởng đến sức chịu tải hoặc độ ổn định của móng thì cần có biện pháp đảm bảo tính ổn định của móng, như gia cố nền và cọc (để truyền tải trọng xuống các lớp không dễ bị hóa lỏng).
(13) Việc gia cố nền để chống lại hóa lỏng có thể là đầm chặt đất để tăng sức kháng xuyên vượt khỏi phạm vi nguy hiểm, hoặc là sử dụng biện pháp thoát nước để giảm áp lực nước lỗ rỗng do chấn động nền gây ra.
CHÚ THÍCH: Khả năng đầm chặt chủ yếu được quyết định bởi hàm lượng hạt mịn và độ sâu của đất.
(14) Việc sử dụng chỉ riêng móng cọc cần được cân nhắc cẩn thận do nội lực lớn phát sinh trong cọc do mất sự chống đỡ của đất trong phạm vi một lớp hoặc nhiều lớp đất hóa lỏng, và do sự thiếu chuẩn xác không thể tránh khỏi khi xác định vị trí và bề dày của lớp hoặc các lớp đó.
4.1.5. Độ lún quá mức của đất dưới tải trọng lặp
(1) Tính nhạy của đất nền đối với sự nén chặt và đối với độ lún quá mức do ứng suất lặp phát sinh khi động đất phải được xét đến khi có các lớp phân bố trên diện rộng hoặc các thấu kính dày của cát xốp và bão hoà nước gặp ở độ sâu nhỏ.
(2) Độ lún quá mức cũng có thể xảy ra trong các lớp đất sét rất yếu do sức kháng cắt giảm theo chu kỳ lặp dưới tác dụng của dao động nền trong một thời gian dài.
(3) Khả năng tăng độ chặt và độ lún của các loại đất nêu trên phải được đánh giá bằng các phương pháp hiện có của địa kỹ thuật công trình, nếu cần có thể dựa trên thí nghiệm trong phòng với tải trọng tĩnh và tải trọng lặp cho các mẫu đại diện của vật liệu cần nghiên cứu.
(4) Nếu độ lún do nén chặt hoặc sự suy giảm độ bền theo chu kỳ có khả năng ảnh hưởng đến độ ổn định của móng thì cần xét đến phương pháp gia cố nền.
4.2. Khảo sát và nghiên cứu về nền đất
4.2.1. Tiêu chí chung
(1) Việc khảo sát và nghiên cứu về vật liệu nền móng trong vùng động đất phải tuân theo các nguyên tắc chung như đối với vùng không có động đất, như định nghĩa trong Điều 3, EN 1997-1:2004.
(2) Trừ các nhà thuộc cấp hậu quả C1, trong khảo sát hiện trường nên có thí nghiệm xuyên tĩnh, có thể đo áp lực lỗ rỗng, vì nó cho phép ghi liên tục các đặc trưng cơ học của đất theo độ sâu.
(3) Các khảo sát bổ sung với định hướng kháng chấn có thể được yêu cầu trong các trường hợp được nêu trong 4.1 và 4.2.2.
4.2.2. Định dạng nền đất đối với tác động động đất
(1) Các số liệu địa kỹ thuật hoặc địa chất cho hiện trường xây dựng phải đủ để cho phép xác định loại nền trung bình và/hoặc phổ phản ứng tương ứng, như đã định nghĩa trong 3.1 và 3.2, TCVN 9386- 1:2025.
(2) Nhằm mục đích này, các số liệu hiện trường có thể được kết hợp với các số liệu từ các vùng lân cận có đặc điểm địa chất tương tự.
(3) Phải tham khảo các bản đồ tiểu vùng hoặc tiêu chí động đất sẵn có, với điều kiện là chúng tuân theo (1) của điều này và dựa trên các khảo sát đất nền tại địa điểm xây dựng công trình.
(4) Mặt cắt vận tốc sóng cắt vs trong nền được xem là đáng tin cậy nhất để dự báo các đặc trưng phụ thuộc vào địa điểm do tác động động đất tại các địa điểm đó.
(5) Thí nghiệm hiện trường để xác định mặt cắt vận tốc sóng cắt vs bằng phương pháp địa vật lý trong lỗ khoan nên được sử dụng cho các kết cấu quan trọng nằm trong vùng động đất mạnh, đặc biệt là trong các dạng nền loại D, S1, hoặc S2.
(6) Đối với tất cả các trường hợp khác, khi các chu kỳ dao động tự nhiên của đất cần được xác định, mặt cắt của vs có thể được dự tính bằng các tương quan thực nghiệm khi sử dụng sức kháng xuyên ở hiện trường hoặc các đặc trưng địa kỹ thuật khác và cần chú ý đến sự phân tán của các tương quan đó.
(7) Độ cản trong của đất nên được đo bằng các thí nghiệm hiện trường hoặc thí nghiệm trong phòng thích hợp. Trong trường hợp thiếu các phép đo trực tiếp, và nếu tích số agS nhỏ hơn 0,1g (hay 0,98 m/s2) thì tỷ số cần lấy bằng 0,03. Đất kết, đất ximăng hóa và đá mềm có thể cần được xem xét riêng biệt.
4.2.3. Sự phụ thuộc của độ cứng và độ cản của đất vào mức biến dạng
(1) Sự khác nhau giữa các giá trị của vs khi biến dạng nhỏ, như các giá trị được đo trong thí nghiệm hiện trường, và các giá trị phù hợp với mức độ biến dạng do động đất thiết kế gây ra phải được xét tới trong tất cả các tính toán liên quan đến các đặc trưng động lực của đất trong điều kiện ổn định.
(2) Đối với các điều kiện đất nền cục bộ thuộc loại C hoặc D với mực nước ngầm nông và không có thành phần nào có chỉ số dẻo Pl > 40, khi thiếu các dữ liệu cụ thể thì có thể sử dụng đến các hệ số giảm vs cho trong Bảng 4.1. Đối với các địa tầng cứng hơn và mực nước ngầm sâu hơn thì lượng giảm phải theo tỷ lệ nhỏ hơn (và khoảng biến thiên phải được giảm đi).
(3) Nếu tích số agS bằng hoặc lớn hơn 0,1 g (hay 0,98 m/s2) thì nên dùng các tỷ số cản bên trong cho trong Bảng 4.1, khi không có các phép đo cụ thể.
Bảng 4.1 - Tỷ số cản trung bình của đất và các hệ số giảm trung bình (± độ lệch chuẩn) cho vận tốc sóng cắt vs và mô đun cắt G trong phạm vi chiều sâu 20 m
| Tỷ số gia tốc nền αS | Tỷ số cản |
|
|
| 0,10 | 0,03 | 0,90(±0,07) | 0,80(±0,10) |
| 0,20 | 0,06 | 0,70(±0,15) | 0,50(±0,20) |
| 0,30 | 0,10 | 0,60(±0,15) | 0,36(±0,20) |
| vs,max là giá trị vs trung bình khi biến dạng nhỏ (< 10-5), không vượt quá 360 m/s; Gmax là mô đun cắt trung bình khi biến dạng nhỏ. | |||
| CHÚ THÍCH: Thông qua việc cộng trừ một độ lệch chuẩn, người thiết kế có thể đưa vào các lượng khác nhau của độ an toàn, tùy thuộc vào các hệ số như độ cứng và phân lớp của đất. Ví dụ các giá trị của vs/vs,max và G/Gmax cao hơn giá trị trung bình có thể được sử dụng cho địa tầng cứng hơn, các giá trị của vs/vs,max và G/Gmax dưới giá trị trung bình sử dụng cho địa tầng mềm hơn. | |||
5. Kết cấu móng
5.1. Yêu cầu chung
(1) Ngoài các yêu cầu chung của EN 1997-1:2004, móng của kết cấu trong vùng động đất phải tuân theo các yêu cầu dưới đây.
a) Các lực liên quan từ kết cấu bên trên phải được truyền xuống nền mà không gây ra biến dạng lâu dài đáng kể theo các tiêu chí trong 5.3.2.
b) Các biến dạng nền do động đất gây ra đáp ứng các yêu cầu đối với chức năng cơ bản của kết cấu.
c) Móng phải được lựa chọn, thiết kế và xây dựng theo các quy tắc của 5.2 và các biện pháp tối thiểu của 5.4 để cố gắng hạn chế các rủi ro gắn liền với tính không chắc chắn về ứng xử do tác động động đất.
(2) Cần xét đến tính phụ thuộc vào mức độ biến dạng của các đặc trưng động lực của đất (xem 4.2.3) và đến các hệ quả liên quan đến bản chất có chu kỳ của tải trọng động đất. Cần xét đến các tham số của đất gia cố tại chỗ hoặc đất thay thế đất nguyên thổ là cần thiết do độ chặt của chúng không đảm bảo hoặc do tính nhạy của chúng đối với hiện tượng hóa lỏng hoặc với sự tăng độ chặt.
(3) Khi có lý do thích đáng (hoặc khi cần thiết), vật liệu nền hoặc các hệ số độ bền khác với các hệ số đã nêu trong 3.1.3 có thể được sử dụng, với điều kiện là chúng phù hợp với cùng mức độ an toàn.
CHÚ THÍCH: Ví dụ như các hệ số độ bền được áp dụng cho kết quả thí nghiệm thử tải cọc.
5.2. Yêu cầu đối với thiết kế sơ bộ
(1) Trong trường hợp các kết cấu không phải cầu hay đường ống, các dạng móng hỗn hợp như móng cọc kết hợp với móng nông chỉ được sử dụng nếu có sự nghiên cứu riêng chứng tỏ giải pháp này là thích hợp. Các dạng móng hỗn hợp có thể được sử dụng cho các bộ phận độc lập về tính động lực trong cùng kết cấu.
(2) Trong việc lựa chọn loại móng, cần xét đến các điểm dưới đây:
a) Móng phải đủ cứng để truyền các tác động cục bộ từ kết cấu bên trên xuống nền một cách đồng đều.
b) Ảnh hưởng của các chuyển vị tương đối theo phương ngang giữa các cấu kiện thẳng đứng phải được xét đến khi lựa chọn độ cứng của móng trong phạm vi mặt phẳng ngang của nó.
c) Nếu giả thiết biên độ của chuyển dịch do động đất giảm theo chiều sâu thì điều này phải được chứng minh bằng một nghiên cứu thích hợp, và không có trường hợp nào tỷ số gia tốc cao nhất nhỏ hơn một phần p của tích số αS tại mặt nền.
CHÚ THÍCH: Giá trị khuyến nghị là p = 0,65.
5.3. Giá trị thiết kế của hệ quả tác động
5.3.1. Sự phụ thuộc vào thiết kế kết cấu
(1) Kết cấu tiêu tán năng lượng
Các hệ quả của tác động động đất đối với móng của kết cấu tiêu tán năng lượng phải dựa trên thiết kế theo khả năng kể đến vượt cường độ. Việc đánh giá các hệ quả này phải phù hợp với các điều khoản trong các mục tương ứng của tiêu chuẩn này. Riêng đối với nhà thì áp dụng các yêu cầu trong 4.4.2.6(2), TCVN 9386-1:2025.
(2) Kết cấu không tiêu tán năng lượng
Các hiệu ứng của tác động động đất với móng của kết cấu không tiêu tán năng lượng lấy từ các kết quả tính toán/phân tích trong điều kiện thiết kế động đất không cần xét đến thiết kế theo khả năng. Tham khảo thêm 4.4.2.6(3), TCVN 9386-1:2025.
5.3.2. Truyền các hệ quả của tác động động đất xuống nền
(1) Để hệ móng có thể phù hợp với 5.1(1)(a), các tiêu chí sau phải được chấp nhận về truyền lực ngang và lực dọc/mômen uốn xuống nền. Đối với cọc và trụ, cần xét thêm các chỉ tiêu được quy định trong 5.4.2.
(2) Lực ngang
Lực cắt thiết kế theo phương ngang VEd được truyền theo các cơ chế sau:
a) Bằng sức kháng cắt thiết kế FRd giữa đáy theo phương ngang của móng hoặc của bản móng với nền như mô tả trong 5.4.1.1;
b) Bằng sức kháng cắt thiết kế giữa các mặt đứng của móng và nền;
c) Bằng sức kháng thiết kế do áp lực đất ở mặt bên của móng, theo các giới hạn và các điều kiện như mô tả trong 5.4.1.1, 5.4.1.3 và 5.4.2.
(3) Cho phép lấy tổ hợp của sức kháng cắt với nhiều nhất là 30 % sức kháng do áp lực bị động của đất khi được huy động hoàn toàn.
(4) Lực pháp tuyến và mô men uốn
Lực pháp tuyến thiết kế NEd và mô men uốn MEd được truyền xuống nền theo một cơ chế hoặc theo tổ hợp các cơ chế sau:
a) Bằng giá trị thiết kế của phản lực theo phương thẳng đứng ở đáy móng;
b) Bằng giá trị thiết kế của các mômen uốn được phát triển bởi sức kháng cắt thiết kế theo phương ngang giữa mặt bên của các cấu kiện móng sâu (móng hộp, móng cọc, giếng chìm) và nền, theo các giới hạn và các điều kiện như mô tả trong 5.4.1.3 và 5.4.2;
c) Bằng giá trị thiết kế của sức kháng cắt theo phương thẳng đứng giữa các mặt bên của các cấu kiện móng chôn trong đất và móng sâu (móng hộp, móng cọc, trụ và giếng chìm) và nền.
5.4. Chỉ tiêu kiểm tra và xác định kích thước
5.4.1. Móng nông hoặc móng chôn trong đất
(1) Các tiêu chí về kiểm tra và về xác định kích thước sau đây được áp dụng đối với móng nông hoặc móng chôn trong đất đặt trực tiếp lên nền bên dưới.
5.4.1.1. Móng (thiết kế theo trạng thái giới hạn cực hạn)
(1) Theo các chỉ tiêu thiết kế của trạng thái cực hạn, móng phải được kiểm tra sức kháng trượt và khả năng chịu tải.
(2) Phá hoại do trượt
Trong trường hợp đáy móng nằm trên mực nước ngầm, dạng phá hoại này được kháng lại do ma sát, và theo các điều kiện quy định trong (5) của điều này, thông qua áp lực ngang của đất.
(3) Khi không có các nghiên cứu cụ thể hơn thì sức kháng do ma sát thiết kế của mỏng nằm trên mực nước ngầm, FRd, có thể được tính toán từ biểu thức sau:
|
| (5.1) |
trong đó:
| NEd | là lực pháp tuyến thiết kế lên đáy móng nằm ngang; |
| δ | là góc ma sát giữa bề mặt kết cấu và nền tại đáy mỏng. Giá trị này có thể đánh giá theo 6.5.3 của EN 1997-1:2004; |
| γM | là hệ số riêng của tham số vật liệu, lấy bằng giá trị áp dụng cho tanϕ' (xem 3.1(3)). |
(4) Trong trường hợp móng nằm dưới mực nước ngầm, sức kháng cắt thiết kế phải được đánh giá trên cơ sở sức kháng cắt không thoát nước, theo 6.5.3 của EN 1997-1:2004.
(5) Sức kháng theo phương ngang thiết kế Epd do áp lực đất lên mặt bên của mỏng có thể được tính đến như quy định trong 5.3.2, với điều kiện áp dụng các biện pháp thích hợp tại hiện trường, như làm chặt phần đất lấp lại ở mặt hông móng, chôn tường móng thẳng đứng vào đất, hoặc đổ bê tông móng áp trực tiếp vào vách đất sạch và thẳng đứng.
(6) Để đảm bảo không xảy ra phá hoại do trượt đáy theo phương ngang, cần thỏa mãn biểu thức sau:
| VEd ≤ FRd + Epd | (5.2) |
(7) Trong trường hợp móng nằm trên mực nước ngầm và cả hai điều kiện sau đều thỏa mãn:
- Các tính chất của đất không thay đổi trong quá trình động đất;
- Hiện tượng trượt khống gây ảnh hưởng xấu đối với các công năng của bất kỳ đường ống huyết mạch nào (như đường ống nước, khí, cống hoặc đường dây thông tin liên lạc) liên kết với kết cấu; thì sự trượt có thể xảy ra trong một phạm vi giới hạn cho phép. Mức độ trượt phải hợp lý khi ứng xử tổng thể của kết cấu được xem xét.
(8) Phá hoại do vượt khả năng chịu tải. Để thỏa mãn yêu cầu của 5.1.(1) a), khả năng chịu tải của móng phải được kiểm tra với tổ hợp các hệ quả tác động NEd, VEd và MEd.
CHÚ THÍCH: Để kiểm tra khả năng chịu tải khi động đất của móng, có thể sử dụng các biểu thức và chỉ tiêu chung như đưa ra trong Phụ lục A. Nó cho phép xét đến độ nghiêng và độ lệch tâm do lực quán tính trong kết cấu cũng như các ảnh hưởng có thể có của các lực quán tính trong chính nền đất chịu tải.
(9) Cần chú ý đến thực tế là có một số loại đất sét nhậy có thể bị giảm sức kháng cắt, và đất rời dễ bị ảnh hưởng bởi áp lực nước lỗ rỗng động do tải trọng có chu kỳ cũng như sự tiêu tán áp lực lỗ rỗng từ các lớp bên dưới sau khi xảy ra động đất.
(10) Việc đánh giá khả năng chịu tải của đất dưới tải trọng động đất phải tính đến các cơ chế giảm độ bền và độ cứng có thể xảy ra ngay cả ở các mức biến dạng tương đối nhỏ. Nếu có tính đến các hiện tượng này thì các hệ số đặc trưng vật liệu có thể được lấy thấp đi. Nếu không, nên sử dụng các giá trị được kể đến trong 3.1(3).
(11) Hiện tượng tăng áp lực lỗ rỗng dưới tải trọng có chu kỳ phải được tính đến, hoặc bằng cách xem xét ảnh hưởng của nó đối với sức kháng cắt không thoát nước (trong phép phân tích ứng suất toàn phần) hoặc đối với áp lực nước lỗ rỗng (trong phép phân tích ứng suất hữu hiệu). Đối với những kết cấu với hệ số tầm quan trọng үi lớn hơn 1,0, ứng xử phi tuyến của đất phải được xét đến khi xác định biến dạng lâu dài có thể xảy ra trong thời gian động đất.
5.4.1.2. Liên kết theo phương ngang của móng
(1) Giống với 5.2, các hệ quả tác động gây ra trong kết cấu bởi các chuyển vị tương đối theo phương ngang của móng phải được đánh giá và thực hiện các biện pháp thích hợp để điều chỉnh thiết kế.
(2) Đối với nhà, yêu cầu quy định trong (1) của điều này được coi là thỏa mãn nếu các móng được đặt trên cùng mặt phẳng ngang và các dầm giằng hoặc các bản mỏng được bố trí ở cao trình móng hoặc đài cọc. Các biện pháp này không cần thiết trong các trường hợp sau: a) với nền loại A, và b) trong các trường hợp khả năng xảy ra động đất là thấp với nền loại B.
(3) Các dầm của tầng dưới của nhà có thể được coi là dầm giằng với điều kiện là chúng nằm trong phạm vi 1,0 m tính từ mặt đáy của móng hoặc đài cọc. Một bản móng có thể thay thế các dầm giằng, với điều kiện là nó cũng được đặt trong phạm vi 1,0 m từ mặt đáy của móng hoặc đài cọc.
(4) Độ bền chịu kéo cần thiết của các cấu kiện liên kết này có thể được đánh giá bằng các phương pháp đơn giản hóa.
(5) Nếu không có các quy định hoặc phương pháp chính xác hơn thì các liên kết ở móng phải được coi là đầy đủ khi tất cả các quy định cho trong (6) và (7) của điều này được thỏa mãn.
(6) Dầm giằng
Nên áp dụng các biện pháp dưới đây:
a) Các dầm giằng phải được thiết kế chịu được lực dọc, có xét đến cả lực kéo và lực nén, bằng:
±0,3αSNEd đối với nền loại B
±0,4αSNEd đối với nền loại C
±0,6αSNEd đối với nền loại D
trong đó:
NEd giá trị trung bình của các lực dọc trục thiết kế của các cấu kiện thẳng đứng được liên kết trong điều kiện thiết kế kháng chấn;
b) Thép dọc phải được neo chắc chắn vào thân móng hoặc vào các dầm giằng khác liên kết với nó.
(7) Bản móng
Các biện pháp dưới đây phải được áp dụng:
a) Các dầm giằng phải được thiết kế để chịu lực dọc trục bằng các giá trị trong (6)a của điều này.
b) Thép dọc của vùng giằng phải được neo chắc chắn vào thân của móng hoặc vào các bản liên tục.
5.4.1.3. Móng bè
(1) Tất cả các điều trong 5.4.1.1 cũng có thể áp dụng cho móng bè, nhưng với các điều kiện hạn chế sau:
a) Khả năng chịu ma sát tổng thể có thể được tính đến trong trường hợp bản móng đơn. Đối với các lưới đơn giản của dầm móng, một diện tích móng tương đương có thể được xét đến tại mỗi giao điểm.
b) Các dầm móng và/hoặc bản móng có thể được coi như các giằng liên kết; các quy định về kích thước của chúng có thể áp dụng cho chiều rộng hiệu dụng tương ứng với chiều rộng của dầm móng hoặc chiều rộng của bản bằng 10 lần chiều dày của nó.
(2) Móng bè cũng có thể kiểm tra như tường trong phạm vi mặt phẳng của nó, dưới tác dụng của các lực quán tính ngang của nó và các lực ngang do kết cấu bên trên gây ra.
5.4.1.4. Móng hộp
(1) Tất cả các điều khoản của 5.4.1.3 cũng có thể được áp dụng cho móng hộp. Ngoài ra, khả năng chịu tải của đất ở mặt hông như quy định trong 5.3.2(2) và 5.4.1.1(5), có thể được xét đến cho tất cả các loại đất, theo các giới hạn quy định.
5.4.2. Cọc và trụ
(1) Cọc và trụ phải được thiết kế để chịu hai dạng hệ quả tác động.
a) Các lực quán tính từ kết cấu bên trên. Những lực này, được tổ hợp với tải trọng tĩnh, cho các giá trị thiết kế NEd, VEd, MEd như quy định trong 5.3.2.
b) Các lực động phát sinh từ biến dạng của đất xung quanh do sóng động đất đi qua.
(2) Khả năng chịu tải trọng ngang tới hạn của cọc phải được kiểm tra theo các nguyên tắc của EN 1997-1:2004, 7.7.
(3) Các phân tích để xác định nội lực trong cọc, cũng như các chuyển vị và góc xoay tại đầu cọc phải dựa trên các mô hình rời rạc hay liên tục có thể mô tả lại một cách chân thực (có thể là gần đúng):
- Độ cứng chịu uốn của cọc;
- Phản lực của đất dọc thân cọc, cùng với sự xem xét các ảnh hưởng của tải trọng có chu kỳ và mức độ biến dạng trong đất;
- Các ảnh hưởng do tương tác động giữa các cọc (còn gọi là hiệu ứng động của “nhóm cọc”);
- Bậc tự do của góc xoay tại/của đài cọc, hoặc của liên kết giữa cọc và kết cấu.
CHÚ THÍCH: Để tính toán độ cứng của cọc, có thể sử dụng các biểu thức cho trong Phụ lục C như là một chỉ dẫn
(4) Sức kháng bên của các lớp đất dễ hóa lỏng hoặc bị giảm độ bền đáng kể phải được bỏ qua.
(5) Nếu sử dụng các cọc xiên thì phải thiết kế sao cho chúng chịu được tải trọng dọc trục cũng như chịu uốn một cách an toàn.
CHÚ THÍCH: Không nên dùng các cọc xiên để truyền tải trọng ngang lên đất.
(6) Các mô men uốn phát triển do tương tác động học chỉ phải được tính toán khi tất cả các điều kiện sau xảy ra đồng thời:
- Mặt cắt nền đất thuộc loại D, S1, hoặc S2 và bao gồm các lớp liên tiếp có độ cứng thay đổi đột ngột;
- Công trình nằm trong vùng động đất trung bình hoặc cao, nghĩa là tích số agS vượt quá 0,10g (hay 0,98 m/s2), và thuộc cấp hậu quả 3a hoặc 3b.
(7) Về nguyên tắc cọc phải được thiết kế làm việc trong phạm vi đàn hồi, nhưng trong một số trường hợp có thể cho phép phát triển khớp dẻo tại đỉnh cọc. Các vùng có khả năng hình thành khớp dẻo phải được thiết kế theo 5.8.4, TCVN 9386-1:2025.
6. Tương tác nền đất - kết cấu
(1) Các hiệu ứng của tương tác động lực học nền đất - kết cấu phải được tính đến đối với:
a) Các kết cấu mà hiệu ứng P - Δ (hiệu ứng bậc 2) đóng vai trò quan trọng;
b) Các kết cấu với móng khối lớn hoặc đặt sâu như trụ cầu, giếng chìm ngoài khơi và silo;
c) Các kết cấu cao mảnh như tháp và ống khói, nằm trong nội dung của EN 1998-6;
d) Các kết cấu đặt trên các lớp đất rất mềm, với vận tốc sóng cắt trung bình vs,max (như đã định nghĩa trong Bảng 4.1) nhỏ hơn 100 m/s, như các lớp đất thuộc dạng nền S1.
CHÚ THÍCH: Thông tin về các hiệu ứng chung và tầm quan trọng của tương tác động lực học giữa kết cấu và đất được cho trong Phụ lục D.
(2) Các hiệu ứng của tương tác nền đất - kết cấu của cọc phải đánh giá theo 5.4.2 đối với tất cả các kết cấu.
7. Kết cấu tường chắn
7.1. Yêu cầu chung
(1) Các kết cấu tường chắn phải được thiết kế để thực hiện được các chức năng của chúng và sau khi động đất mà không xảy ra sự hư hỏng kết cấu lớn nào.
(2) Chuyển vị không phục hồi, dưới dạng trượt và nghiêng, trong đó hiện tượng nghiêng do các biến dạng không phục hồi của nền đất, có thể chấp nhận được nếu chúng phù hợp với các yêu cầu về công năng và/hoặc thẩm mỹ.
7.2. Lựa chọn và những điều lưu ý chung về thiết kế
(1) Việc lựa chọn dạng kết cấu phải dựa trên các điều kiện làm việc bình thường, theo các nguyên tắc chung trong Điều 9, EN 1997-1:2004.
(2) Cần chú ý rằng việc tuân theo các yêu cầu bổ sung về động đất có thể dẫn đến việc điều chỉnh và đôi khi dẫn đến sự lựa chọn dạng kết cấu thích hợp hơn.
(3) Vật liệu đắp sau kết cấu phải được chọn cấp phối và đầm chặt cẩn thận tại hiện trường để đạt được tính liên tục càng cao càng tốt với khối đất nguyên thổ.
(4) Các hệ thống thoát nước phía sau kết cấu phải có khả năng chịu được các dịch chuyển nhất thời và lâu dài mà không ảnh hưởng đến các chức năng của chúng.
(5) Đặc biệt trong trường hợp đất rời có chứa nước, hệ thống thoát nước phải có hiệu quả cả với phần dưới mặt phá hoại có thể xảy ra phía sau kết cấu.
(6) Phải đảm bảo rằng khối đất được chống đỡ có độ dự trữ an toàn đủ lớn để chống lại sự hóa lỏng dưới tác động động đất thiết kế.
7.3. Phương pháp phân tích
7.3.1. Phương pháp chung
(1) Bất kỳ phương pháp nào được thiết lập trên cơ sở các quá trình của động lực học kết cấu và đất, và cùng với các kinh nghiệm và các quan trắc, về nguyên tắc là có thể chấp nhận được trong việc đánh giá độ an toàn của kết cấu tường chắn đất.
(2) Các vấn đề sau đây cần được xét đến:
a) Ứng xử phi tuyến nói chung của đất trong tương tác động lực học với kết cấu tường chắn;
b) Các hiệu ứng quán tính đi kèm với khối lượng của đất, của kết cấu, và của tất cả các tải trọng trọng lực có thể tham gia vào quá trình tương tác;
c) Các hiệu ứng thủy động gây ra bởi sự có mặt của nước trong đất phía sau tường và/hoặc bởi nước ở mặt ngoài của tường;
d) Sự tương thích giữa các biến dạng của đất, tường và giằng (nếu có).
7.3.2. Phương pháp đơn giản hóa: phân tích giả tĩnh
7.3.2.1. Mô hình cơ bản
(1) Mô hình cơ bản áp dụng cho phương pháp phân tích giả tĩnh phải bao gồm kết cấu tường chắn và móng của nó, lăng thể đất phía sau kết cấu được dự kiến ở trong trạng thái cân bằng giới hạn chủ động (nếu kết cấu đủ mềm) cũng như bất kỳ tải trọng nào tác dụng lên lăng thể đất và có thể là cả khối đất ở chân tường, được xem như ở trong trạng thái cân bằng bị động.
(2) Để có được trạng thái chủ động của đất, một dịch chuyển đủ lớn của tường cần phải xảy ra trong suốt quá trình động đất thiết kế, dịch chuyển này có thể được hình thành đối với kết cấu mềm khi bị uốn, và đối với các kết cấu trọng lực khi bị trượt hoặc xoay. Đối với mức dịch chuyển của tường cần thiết để phát triển trạng thái giới hạn chủ động, đề nghị xem 9.5.3 của EN 1997-1:2004.
(3) Với các kết cấu cứng, như tường tầng hầm hoặc tường trọng lực nằm trên nền đá hoặc trên cọc sẽ phát sinh áp lực lớn hơn áp lực chủ động, và sẽ là hợp lí hơn nếu giả thiết đất ở trạng thái nghỉ như trình bày ở E.9. Điều này cũng được giả thiết cho tường chắn có neo và không cho phép dịch chuyển.
7.3.2.2. Tác động động đất
(1) Trong phương pháp giả tĩnh, tác động động đất phải được mô tả bằng hệ các lực tĩnh tác dụng theo phương nằm ngang và phương thẳng đứng, lấy bằng tích của lực trọng trường và hệ số động đất.
(2) Tác động động đất theo phương thẳng đứng phải được xem xét tác dụng hướng lên trên hoặc hướng xuống dưới để tạo ra các hiệu ứng bất lợi nhất.
(3) Đối với một vùng có động đất, cường độ của các lực động đất tương đương phụ thuộc vào giá trị chuyển vị lâu dài có thể chấp nhận được và nằm trong giới hạn cho phép của giải pháp kết cấu đã được lựa chọn.
(4) Khi thiếu các nghiên cứu cụ thể, các hệ số động đất theo phương ngang (kh) và phương đứng (kv) ảnh hưởng đến tất cả các khối lượng phải được lấy là:
|
| (7.1) |
| kv = ±0,5kh nếu avg/ag lớn hơn 0,6 | (7.2) |
| kv = ±0,33kh cho các trường hợp ngược lại | (7.3) |
trong đó:
hệ số r lấy các giá trị trong Bảng 7.1, phụ thuộc vào dạng kết cấu tường chắn. Với các tường không cao quá 10 m, hệ số động đất được coi như không thay đổi trên suốt chiều cao tường.
(5) Khi có các loại đất rời bão hoà nước và dễ phát triển áp lực nước lỗ rỗng cao thì:
a) Hệ số r của Bảng 7.1 nên lấy không lớn hơn 1,0.
b) Hệ số an toàn chống hóa lỏng không nên nhỏ hơn 2.
CHÚ THÍCH: Giá trị hệ số an toàn bằng 2 thu được từ việc áp dụng 7.2(6) trong khuôn khổ của phương pháp đơn giản hóa ở 7.3.2.
Bảng 7.1 - Các giá trị của hệ số r để tính toán hệ số động đất theo phương ngang
| Dạng kết cấu tường chắn | r |
| Tường trọng lực với đầu tường tự do, có thể chấp nhận một chuyển vị đến dr = 300αS (mm) | 2 |
| Tường trọng lực với đầu tường tự do có thể chấp nhận một chuyển vị lên đến dr = 200αS (mm) | 1,5 |
| Tường bê tông cốt thép chịu uốn, tường được neo hoặc chống, tường bê tông cốt thép trên cọc thẳng đứng, tường tầng hầm bị hạn chế chuyển vị và mố cầu | 1 |
(6) Với kết cấu tường chắn cao trên 10 m và với các thông tin bổ sung cho hệ số r, xem E.2.
(7) Trừ tường trọng lực, hiệu ứng của gia tốc theo phương thẳng đứng có thể bỏ qua đối với kết cấu tường chắn.
7.3.2.3. Áp lực thiết kế của đất và nước
(1) Tổng lực thiết kế tác dụng lên tường trong trường hợp động đất phải được tính toán có xét đến điều kiện cân bằng giới hạn của mô hình được mô tả trong 7.3.2.1.
(2) Lực này có thể được đánh giá theo Phụ lục E.
(3) Lực thiết kế được đề cập đến trong (1) của điều này phải được coi là hợp lực của áp lực tĩnh và động của đất.
(4) Trong trường hợp không có các nghiên cứu chi tiết về độ cứng tương đối, dạng dịch chuyển và khối lượng tương đối của tường chắn thì điểm đặt của lực do áp lực động của đất nằm ở giữa chiều cao của tường.
(5) Với các tường xoay tự do xung quanh chân tường thì lực động có thể xem như đặt tại cùng điểm với lực tác dụng tĩnh.
(6) Áp lực phân bố trên tường do tác động tĩnh và động tạo với phương vuông góc của tường một góc không lớn hơn (2/3) Φ' đối với trạng thái chủ động và bằng không đối với trạng thái bị động.
(7) Đối với đất nằm dưới mực nước ngầm cần có sự phân biệt giữa các điều kiện dễ thấm nước dưới tải trọng động, trong đó nước bên trong có thể chuyển động tự do trong cốt đất, và các điều kiện không thấm nước, trong đó về cơ bản không xảy ra thoát nước dưới tác động động đất.
(8) Đối với hầu hết các điều kiện thông thường và đối với các loại đất có hệ số thấm nhỏ hơn 5.10-4 m/s, nước lỗ rỗng không tự do di chuyển trong khung đất, tác động động đất xảy ra trong điều kiện về cơ bản là không thoát nước và đất có thể được xem như môi trường một pha.
(9) Với các điều kiện không thấm thủy động, tất cả các điều khoản trước phải được áp dụng, với điều kiện là khối lượng thể tích của đất và hệ số động đất theo phương ngang được điều chỉnh thích hợp.
(10) Các điều chỉnh đối với điều kiện không thấm thủy động có thể được tiến hành theo E.6 và E.7.
(11) Với đất đắp thấm thủy động, các hiệu ứng gây ra bởi tác động động đất trong đất và trong nước phải được giả thiết là các hiệu ứng độc lập.
(12) Do đó, áp lực nước thủy động nên được cộng vào áp lực nước thủy tĩnh theo E.7. Điểm đặt của áp lực nước thủy động có thể được láy tại một độ sâu dưới đỉnh của lớp bão hòa bằng 60 % chiều cao của lớp đó.
7.3.2.4. Áp lực thủy động lên mặt ngoài cửa tường
(1) Biến động lớn nhất (tăng hoặc giảm) của áp lực (so với áp lực thủy tĩnh hiện hữu) do sự dao động của nước trên mặt hở của tường cần được xét đến.
(2) Áp lực này có thể được đánh giá theo E.8.
7.4. Kiểm tra độ bền và ổn định
7.4.1. Tính ổn định của nền đất
(1) Các kiểm tra dưới đây cần được thực hiện
- Ổn định tổng thể;
- Phá hoại cục bộ của đất.
(2) Việc kiểm tra ổn định tổng thể phải được tiến hành theo các quy tắc trong 4.1.3.4.
(3) Khả năng chịu lực tới hạn của nền phải được kiểm tra về phá hoại do trượt và về mặt mát khả năng chịu tải (xem 5.4.1.1).
7.4.2. Neo
(1) Các loại neo (bao gồm đoạn cáp tự do, bầu neo, các đầu neo và các cơ cấu khoá neo) phải có đủ độ bền và chiều dài để đảm bảo sự cân bằng của lăng thể đất trong điều kiện động đất (xem 7.3.2.1), đồng thời phải có đủ khả năng chịu các biến dạng của nền do động đất gây ra.
(2) Độ bền của neo phải được lấy theo các quy định trong EN 1997-1:2004 ứng với các trạng thái giới hạn thiết kế động và dài hạn.
(3) Cần đảm bảo rằng đất neo duy trì được độ bền yêu cầu theo chức năng neo trong suốt quá trình động đất thiết kế và đặc biệt phải có đủ dự trữ an toàn chống lại hiện tượng hoá lỏng.
(4) Khoảng cách Le giữa neo và tường phải vượt quá khoảng cách Ls được yêu cầu cho các tải trọng phi động đất.
(5) Khoảng cách Le, với các neo ngàm trong đất có các đặc trưng tương tự với đất phía sau tường và với các điều kiện về cao độ mặt đất, có thể đánh giá theo biểu thức sau:
| Le = Ls (1 + 1,5αS) | (7.4) |
7.4.3. Độ bền kết cấu
(1) Cần chứng tỏ rằng, dưới tổ hợp của tác động động đất cùng với các tải trọng khác có thể phát sinh, có thể đạt được trạng thái cân bằng mà không vượt độ bền thiết kế của tường và các cấu kiện chống đỡ.
(2) Để đạt được mục đích đó, cần xem xét các trạng thái giới hạn thích hợp cho phá hoại kết cấu trong 8.5 của EN 1997-1:2004.
(3) Tất cả các cấu kiện phải được kiểm tra để đảm bảo rằng chúng thỏa mãn điều kiện sau:
| Rd > Ed | (7.5) |
trong đó:
| Rd | là giá trị thiết kế của độ bền của cấu kiện, được đánh giá như trong các trường hợp không động đất; |
| Ed | là giá trị thiết kế của các hiệu ứng tác động, thu được từ các kết quả phân tích trình bày trong 7.3. |
Phụ lục A
(tham khảo)
Hệ số khuếch đại địa hình
A.1. Phụ lục này đưa ra một số hệ số khuếch đại đơn giản hóa cho tác động động đất dùng trong phép kiểm tra ổn định mái dốc của đất. Các hệ số này, ký hiệu là ST, là giá trị gần đúng ban đầu được xem xét độc lập với chu kỳ dao động cơ bản và do đó, nhân lên như một hệ số tỷ lệ không đổi các tọa độ của phổ phản ứng thiết kế đàn hồi được cho trong TCVN 9386-1:2025. Các hệ số khuếch đại này phải được ưu tiên áp dụng cho các mái dốc có sự thay đổi địa hình bất thường theo 2 chiều, như các đỉnh kéo dài và vách có chiều cao trên 30 m.
A.2. Với các góc dốc trung bình nhỏ hơn 15° thì các hiệu ứng về địa hình có thể bỏ qua, còn trong trường hợp đặc điểm địa hình cục bộ thay đổi rất bất thường thì cần có các nghiên cứu riêng. Với các góc lớn hơn thì áp dụng hướng dẫn sau:
a) Các vách và sườn dốc độc lập. Sử dụng giá trị ST ≥ 1,2 cho các vị trí gần cạnh đỉnh.
b) Các đỉnh có chiều rộng nhỏ hơn nhiều so với chiều rộng chân. Nên sử dụng giá trị ST ≥ 1,4 ở gần đỉnh của các mái dốc với góc dốc trung bình lớn hơn 30° và giá trị ST ≥ 1,2 cho các góc dốc nhỏ hơn;
c) Sự tồn tại của các lớp đất rời rạc trên bề mặt. Khi xuất hiện các lớp đất rời rạc trên bề mặt, giá trị nhỏ nhất ST cho trong a) và b) nên tăng thêm ít nhất 20 %;
d) Sự biến thiên không gian của hệ số khuếch đại. Giá trị của ST có thể được giả thiết là giảm tuyến tính theo chiều cao kể từ vách hoặc đỉnh, và được lấy bằng đơn vị tại chân mái dốc.
A.3. Nói chung, sự khuếch đại động đất cũng giảm nhanh chóng theo chiều sâu trong phạm vi đĩnh. Do đó, các ảnh hưởng địa hình được tính đến với các phân tích ổn định là lớn nhất và hầu hết chỉ là trên bề mặt dọc theo cạnh của đỉnh, và nhỏ hơn nhiều trên các mặt trượt sâu, nơi mà bề mặt phá hoại đi qua gần chân mái dốc. Trong trường hợp thứ 2, nếu áp dụng phương pháp phân tích giả tĩnh thì các ảnh hưởng địa hình có thể được bỏ qua.
Phụ lục B
(quy định)
Biểu đồ thực nghiệm để phân tích hóa lỏng đơn giản
B.1. Yêu cầu chung
Các biểu đồ thực nghiệm dùng để phân tích hóa lỏng đơn giản hóa trình bày tương quan ở hiện trường giữa các kết quả đo ở hiện trường và các ứng suất cắt lặp được biết là nguyên nhân đã gây ra hiện tượng hóa lỏng trong các trận động đất trước đó. Trên trục ngang của các biểu đồ là một đặc trưng của đất đo được tại hiện trường, như sức kháng xuyên đã được chuẩn hóa hoặc vận tốc truyền sóng cắt vs còn trên trục đứng là ứng suất cắt lặp do động đất τθ, thường được chuẩn hóa với áp lực bản thân hữu hiệu σ’vo. Đường cong giới hạn của sức kháng lặp được hiển thị trên tất cả các biểu đồ, chia thành vùng không hóa lỏng (nằm ở phía bên phải) với vùng hóa lỏng có thể xảy ra (nằm ở phía bên trái và phía trên của đường cong). Đôi khi có hơn một đường cong được đưa ra, ví dụ tương ứng với các loại đất có các thành phần hạt mịn hoặc có các cường độ động đất khác nhau.
Ngoại trừ trường hợp sử dụng sức kháng xuyên tĩnh, không nên áp dụng các chỉ tiêu hóa lỏng thực nghiệm khi khả năng hóa lỏng xảy ra trong các lớp hoặc các vỉa đất dày không quả vài chục cm.
Khi hàm lượng cuội sỏi khá cao nhưng các số liệu quan trắc còn chưa đủ để thiết lập một biểu đồ hóa lỏng đáng tin cậy thì không thể loại trừ khả năng hóa lỏng.
B.2. Biểu đồ dựa trên chỉ số SPT
Biểu đồ trên Hình B.1 nằm trong số các biểu đồ được sử dụng rộng rãi nhất cho cát sạch và cát bụi. Chỉ số SPT được chuẩn hóa với áp lực bản thân đất và với tỷ số năng lượng N1(60) theo cách đã mô tả trong 4.1.4.
Hoá lỏng dường như không xảy ra dưới một ngưỡng nào đó của τe, vì ứng xử của đất là đàn hồi và không có sự tích lũy áp lực nước lỗ rỗng. Vì vậy đường cong giới hạn không được ngoại suy về gốc tọa độ. Để áp dụng tiêu chí này cho động đất có cường độ khác với Ms = 7,5, trong đó Ms là độ lớn động đất theo sóng mặt, thì nên nhân các tọa độ của các đường cong trong Hình B.1 với hệ số CM nêu trong Bảng B.1.
Bảng B.1 - Các giá trị của hệ số CM
| Ms | CM |
| 5,5 | 2,86 |
| 6,0 | 2,20 |
| 6,5 | 1,69 |
| 7,0 | 1,30 |
| 8,0 | 0,67 |
B.3. Biểu đồ dựa trên sức kháng xuyên tĩnh CPT.
Dựa trên nhiều nghiên cứu về sự tương quan giữa sức kháng xuyên tĩnh CPT và sức kháng của đất đối với hiện tượng hóa lỏng, các biểu đồ có dạng như Hình B.1 đã được thiết lập. Những tương quan trực tiếp như vậy nên được ưu tiên hơn những tương quan gián tiếp sử dụng mối quan hệ giữa chỉ số SPT và sức kháng xuyên tĩnh CPT.
B.4. Biểu đồ dựa trên vận tốc sóng cắt vs.
Đặc trưng này hứa hẹn như một chỉ tiêu hiện trường để đánh giá khả năng hóa lỏng trong đất thuộc loại khó lấy mẫu (như cát bụi hoặc cát) hoặc khỏ xuyên qua (như cuội). Gần đây đã có những tiến bộ đáng kể trong việc đo vs tại hiện trường. Tuy nhiên, tương quan giữa vs và sức kháng của đất đối với hiện tượng hóa lỏng vẫn còn đang trong giai đoạn phát triển và không nên sử dụng nếu không có sự trợ giúp của chuyên gia.

CHÚ DẪN:
τe/σ'vo - tỷ số ứng suất lặp đường cong 1: 35 % hạt mịn
A- cát sạch đường cong 2: 15 % hạt mịn
B - cát bụi đường cong 3: < 5 % hạt mịn
Hình B.1 - Quan hệ giữa các tỷ số ứng suất gây ra hóa lỏng và N1(60) cho cát sạch và cát bụi đối với động đất Ms = 7,5
Phụ lục C
(tham khảo)
Độ cứng tĩnh đầu cọc
C.1. Độ cứng của cọc được định nghĩa như lực (mô men) đặt lên đầu cọc để tạo ra một chuyển vị (góc xoay) đơn vị theo cùng phương (các chuyển vị/ góc xoay theo các phương khác bằng không), và được kí hiệu KHH (độ cứng theo phương ngang), KMM (độ cứng chống uốn) và KHM = KMH (độ cứng uốn - dịch ngang).
Các ký hiệu được sử dụng trong Bảng C.1:
E mô đun đàn hồi của đất, bằng 3G;
EP mô đun đàn hồi của vật liệu cọc;
Es mô đun đàn hồi của đất tại độ sâu bằng đường kính cọc;
d đường kính cọc;
z chiều sâu hạ cọc.
Bảng C.1 - Các biểu thức độ cứng tĩnh của các cọc mềm hạ trong 3 loại đất
| Loại đất |
|
|
|
|
|
|
|
|
|
|
|
|
|
|
|
|
|
|
Phụ lục D
(tham khảo)
Tương tác động lực giữa nền đất và kết cấu (SSI)
Hiệu ứng chung và tầm quan trọng
D.1. Từ tương tác động lực giữa nền đất và kết cấu, phản ứng động đất của kết cấu đặt trên gối mềm, như kết cấu được đặt trên nền có khả năng bị biến dạng, sẽ khác với phản ứng của cùng kết cấu đó nhưng đặt trên nền cứng (ngàm ở chân) và chịu một kích thích trường tự do tương đương, vì các lý do sau:
a) Chuyển dịch hệ móng đặt trên gối mềm sẽ khác với chuyển dịch của trường tự do và có thể bao gồm một thành phần dao động rất quan trọng của kết cấu bị ngàm ở chân;
b) Chu kỳ dao động cơ bản của kết cấu đặt trên gối mềm sẽ lớn hơn chu kỳ dao động cơ bản của kết cấu bị ngàm ở chân;
c) Các chu kỳ dao động tự nhiên, các dạng dao động và các hệ số mô hình từng phần của kết cấu đặt trên gối mềm sẽ khác với kết cấu bị ngàm ở chân;
d) Độ giảm chấn tổng thể của kết cấu đặt trên gối mềm sẽ bao gồm cả độ giảm chấn bên trong và bên ngoài xảy ra tại bề mặt giữa đất và mỏng, ngoài độ giảm chấn của kết cấu bên trên.
D.2. Đối với phần lớn các công trình nhà công cộng, các hiệu ứng của tương tác giữa đất và kết cấu thường có lợi bởi chúng giảm mômen uốn và các lực cắt trong các cấu kiện khác nhau của kết cấu bên trên. Đối với các kết cấu được liệt kê trong Điều 6 thì các hiệu ứng của tương tác giữa đất và kết cấu có thể là bất lợi.
Phụ lục E
(quy định)
Phương pháp phân tích đơn giản hóa đối với kết cấu tường chắn
E.1. Theo quan niệm, hệ số r được định nghĩa là tỷ số giữa giá trị gia tốc gây ra chuyển vị lâu dài lớn nhất ứng với các liên kết hiện hữu, và giá trị gia tốc ứng với trạng thái giới hạn cân bằng (bắt đầu chuyển vị). Do đó, đối với những tường cho phép chịu chuyển vị lớn hơn thì r có giá trị cao hơn.
E.2. Đối với các kết cấu tường chắn cao hơn 10 m, có thể tiến hành phân tích theo bài toán một chiều với trường tự do của các sóng lan truyền theo phương đứng và một giá trị a được ước tính chính xác hơn, để sử dụng trong biểu thức (8), có thể lấy bằng giá trị trung bình của các gia tốc lớn nhất của đất theo phương ngang dọc theo chiều cao của kết cấu.
E.3. Tổng lực thiết kế tác dụng lên tường chắn tại lưng tường, Ed được cho bởi công thức sau:
|
| (E.1) |
trong đó:
H là chiều cao tường
Ews là lực nước tĩnh;
Ewd là lực nước động (được định nghĩa dưới đây);
γ* là trọng lượng đơn vị của đất (định nghĩa sau đây trong E.5 tới E.7);
K là hệ số áp lực đất (tĩnh và động);
kv là hệ số động đất theo phương đứng (xem biểu thức (7.2) và (7.3)).
E.4. Hệ số áp lực đất có thể được tính toán theo các công thức Mononobe và Okabe:
Đối với các trạng thái chủ động:
nếu β ≤ ϕ’d - θ
|
| (E.2) |
nếu β > ϕ’d - θ
|
| (E.3) |
Đối với các trạng thái bị động (không xét ma sát giữa đất và tường):
|
| (E.4) |
Trong các biểu thức trên có sử dụng các ký hiệu sau:
| ϕ’d | là giá trị thiết kế của góc kháng cắt của đất, nghĩa là |
| ψ và β | các góc nghiêng của lưng tường và của bề mặt lớp đất đắp so với phương ngang, như trong Hình E.1. |
| σd | là giá trị thiết kế của góc ma sát giữa đất và tường, nghĩa là |
| θ | là góc được định nghĩa trong E.5 đến E.7 dưới đây. |
Biểu thức của các trạng thái bị động nên được ưu tiên sử dụng cho bề mặt tường thẳng đứng ψ = 90°).
E.5. Mực nước ngầm nằm bên dưới tường chắn - Hệ số áp lực đất
Ở đây sử dụng các thông số sau:
| γ* là khối lượng thể tích γ của đất. | (E.5) |
|
| (E.6) |
| Ewd = 0 | (E.7) |
trong đó:
kh là hệ số động đất theo phương nằm ngang (xem biểu thức (7.1)).
Mặt khác, có thể sử dụng các bảng và biểu đồ áp dụng cho điều kiện tĩnh (chỉ có tải trọng trọng trường) với các điều chỉnh sau:
|
| (E.8) |
và
|
| (E.9) |
toàn bộ hệ thống tường - đất được xoay thêm một góc tương ứng là θA hoặc θB. Gia tốc trọng trường được thay thế bằng giá trị sau:
|
| (E.10) |
hoặc
|
| (E.11) |
E.6. Đất không thấm nước khi chịu tải trọng động nằm dưới mực nước ngầm - Hệ số áp lực đất. Ở đây sử dụng các thông số sau:
|
| (E.12) |
|
| (E.13) |
| Ewd = 0 | (E.14) |
trong đó:
γ là trọng lượng đơn vị bão hoà của đất;
γw là trọng lượng đơn vị của nước.
E.7. Đất thấm nước khi chịu tải trọng động (độ thấm cao) nằm dưới mực nước ngầm - Hệ số áp lực đất. Ở đây áp dụng các thông số sau:
|
| (E.15) |
|
| (E.16) |
|
| (E.17) |
trong đó:
γd là trọng lượng đơn vị khô của đất;
H' là chiều cao mực nước ngầm tính từ chân tường
E.8. Áp lực thủy động lên bề mặt ngoài của tường.
Áp lực q(z) này có thể tính như sau:
|
| (E.18) |
trong đó:
kh là hệ số động đất theo phương ngang với r = 1 (xem biểu thức (7.1));
h là chiều cao mực nước tự do;
z là tọa độ thẳng đứng hướng xuống với gốc tọa độ tại bề mặt nước.
E.9. Lực do áp lực đất tác dụng lên các kết cấu cứng
Đối với các kết cấu cứng và được ngàm cứng, trạng thái chủ động không thể phát triển trong đất, và đối với một tường thẳng đứng và đất đắp sau lưng tường nằm ngang thì lực động do gia số áp lực đất có thể lấy bằng:
| ΔPd= α.S.γ.H2 | (E.19) |
trong đó:
H là chiều cao tường.
Điểm đặt lực có thể lấy ở trung điểm chiều cao tường.

Hình E.1 - Quy ước cho các góc trong công thức tính toán hệ số áp lực đất
Phụ lục F
(tham khảo)
Sức chịu tải động đất của móng nông
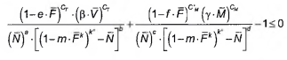
F.1. Biểu thức tổng quát. Độ ổn định chống lại sự phá hoại về khả năng chịu tải động đất của một móng nông dạng băng đặt trên bề mặt đất đồng nhất có thể được kiểm tra bằng biểu thức liên hệ giữa độ bền của đất, các giá trị thiết kế của hệ quả tác động (NEd, VEd, Med) tại cao độ đặt móng, và các lực quán tính trong đất như sau:
|
| (F.1) |
trong đó:
|
| (F.2) |
| Nmax | là khả năng chịu lực cực hạn của móng dưới tác dụng của tải trọng đứng đúng tâm, được định nghĩa trong F.2 và F.3; |
| B | là chiều rộng móng; |
|
| là lực quán tính không thứ nguyên của đất được định nghĩa trong F.2 và F.3; |
| γRd | là hệ số riêng của mô hình (các giá trị cho thông số này được cho trong F.6). |
a, b, c, d, e, f, m, k, k', CT, CM, C’M, β, γ là trị của các thông số phụ thuộc vào loại đất, được định nghĩa trong F.4.
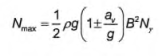
F.2. Đất dính thuần tuý. Đối với đất dính thuần tuý hoặc đất rời bão hòa nước thì khả năng chịu lực cực hạn dưới tác dụng của tải trọng thẳng đứng đúng tâm Nmax được xác định theo công thức:
|
| (F.3) |
trong đó:
|
| là sức kháng cắt không thoát nước của đất, cu, đối với đất dính, hoặc sức kháng cắt không thoát nước khi chịu tải có chu kỳ, τcy,u, đối với đất rời; |
| γM | là hệ số riêng của tính chất vật liệu; |
Lực quán tính không thứ nguyên của đất
được xác định theo công thức:
|
| (F.4) |
trong đó:
| ρ | là khối lượng thể tích của đất; |
| ag | là gia tốc thiết kế của nền loại A (ag = γIagR); |
| agR | là đỉnh gia tốc nền tham chiếu trên nền loại A; |
| γI | là hệ số tầm quan trọng; |
| S | là hệ số của đất được định nghĩa trong 3.2.2.2, TCVN 9386-1:2025. |
Các điều kiện hạn chế dưới đây được áp dụng cho biểu thức khả năng chịu lực tổng quát:
|
| (F.5) |
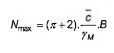
F.3. Đất rời thuần túy. Đối với đất khô và rời hoặc đất rời bão hòa nhưng không phát sinh áp lực nước lỗ rỗng đáng kể, khả năng chịu tải cực hạn của móng dưới tác dụng của tải trọng thẳng đứng đúng tâm Nmax được xác định theo công thức sau:
|
| (F.6) |
trong đó:
| g | là gia tốc trọng trường; |
| av | là gia tốc nền theo phương thẳng đứng, có thể lấy bằng 0,5. ag. S và |
| Nγ | là hệ số khả năng chịu tải, một hàm của góc kháng cắt thiết kế của đất ϕ’d (giá trị ϕ’d bao gồm hệ số đặc trưng vật liệu γM của 3.1(3), xem E.4). |
Lực quán tính không thứ nguyên trong đất
cho bởi công thức:
|
| (F.7) |
Điều kiện hạn chế sau được áp dụng cho biểu thức tổng quát:
|
| (F.8) |
F.4. Các thông số. Các giá trị của các thông số trong biểu thức chung biểu diễn khả năng chịu tải đối với các loại đất trong F.2 và F.3, được cho trong Bảng F.1.
Bảng F.1 - Giá trị của các thông số dùng trong biểu thức (F.1)
|
| Đất dính thuần túy | Đất rời thuần túy |
| a | 0,70 | 0,92 |
| b | 1,29 | 1,25 |
| c | 2,14 | 0,92 |
| d | 1,81 | 1,25 |
| e | 0,21 | 0,41 |
| f | 0,44 | 0,32 |
| m | 0,21 | 0,96 |
| k | 1,22 | 1,00 |
| k' | 1,00 | 0,39 |
| CT | 2,00 | 1,14 |
| CM | 2,00 | 1,01 |
| C’M | 1,00 | 1,01 |
| β | 2,57 | 2,90 |
| γ | 1,85 | 2,80 |
F.5. Trong hầu hết các điều kiện thông thường
có thể lấy bằng 0 đối với đất dính. Đối với đất rời
có thể được bỏ qua nếu agS <0,1 g (nghĩa là agS < 0,98 m/s2).
F.6. Hệ số riêng của mô hình γRd lấy theo các giá trị cho trong Bảng F.2.
Bảng F.2 - Giá trị của các hệ số riêng của mô hình γRd
| Cát chặt vừa đến chặt | Cát rời, khô | Cát rời, bão hoà | Sét không nhạy | Sét nhạy |
| 1,00 | 1,15 | 1,50 | 1,00 | 1,15 |
Mục lục
Lời nói đầu
Lời giới thiệu
1. Yêu cầu chung
1.1. Phạm vi áp dụng
1.2. Tài liệu viện dẫn
1.3. Giả thiết
1.4. Thuật ngữ và định nghĩa
1.5. Ký hiệu
2. Tác động động đất
2.1. Định nghĩa về tác động động đất
2.2. Biểu diễn theo lịch sử thời gian
3. Tính chất của nền đất
3.1. Thông số về độ bền
3.2. Thông số độ cứng và thông số độ cản
4. Yêu cầu đối với việc lựa chọn vị trí xây dựng và đất nền
4.1. Lựa chọn vị trí xây dựng
4.1.1. Yêu cầu chung
4.1.2. Vùng lân cận đứt gẫy còn hoạt động
4.1.3. Độ ổn định mái dốc
4.1.4. Đất có khả năng hóa lỏng
4.1.5. Độ lún quá mức của đất dưới tải trọng lặp.
4.2. Khảo sát và nghiên cứu về nền đất
4.2.1. Tiêu chí chung
4.2.2. Định dạng nền đất đối với tác động động đất
4.2.3. Sự phụ thuộc của độ cứng và độ cản của đất vào mức biến dạng
5. Kết cấu móng
5.1. Yêu cầu chung
5.2. Yêu cầu đối với thiết kế sơ bộ
5.3. Giá trị thiết kế của hệ quả tác động
5.3.1. Sự phụ thuộc vào thiết kế kết cấu
5.3.2. Truyền các hệ quả của tác động động đất xuống nền.
5.4. Chỉ tiêu kiểm tra và xác định kích thước
5.4.1. Móng nông hoặc móng chôn trong đất
5.4.2. Cọc và trụ
6. Tương tác nền đất - kết cấu.
7. Kết cấu tường chắn
7.1. Yêu cầu chung
7.2. Lựa chọn và những điều lưu ý chung về thiết kế
7.3. Phương pháp phân tích
7.3.1. Phương pháp chung
7.3.2. Phương pháp đơn giản hóa phân tích giả tĩnh
7.4. Kiểm tra độ bền và ổn định
7.4.1. Tính ổn định của nền đất
7.4.2. Neo
7.4.3. Độ bền kết cấu
Phụ lục A (tham khảo) Hệ số khuếch đại địa hình
Phụ lục B (quy định) Biểu đồ thực nghiệm để phân tích hóa lỏng đơn giản
Phụ lục C (tham khảo) Độ cứng tĩnh đầu cọc
Phụ lục D (tham khảo) Tương tác động lực giữa nền đất và kết cấu (SSI)
Phụ lục E (quy định) Phương pháp phân tích đơn giản hóa đối với kết cấu tường chắn
Phụ lục F (tham khảo) Sức chịu tải động đất của móng nông
Bạn chưa Đăng nhập thành viên.
Đây là tiện ích dành cho tài khoản thành viên. Vui lòng Đăng nhập để xem chi tiết. Nếu chưa có tài khoản, vui lòng Đăng ký tại đây!
















