- Tổng quan
- Nội dung
- Tiêu chuẩn liên quan
- Lược đồ
- Tải về
Tiêu chuẩn TCVN 10304:2025 Thiết kế móng cọc
| Số hiệu: | TCVN 10304:2025 | Loại văn bản: | Tiêu chuẩn Việt Nam |
| Cơ quan ban hành: | Bộ Khoa học và Công nghệ | Lĩnh vực: | Xây dựng |
| Trích yếu: | Thiết kế móng cọc | ||
|
Ngày ban hành:
Ngày ban hành là ngày, tháng, năm văn bản được thông qua hoặc ký ban hành.
|
18/07/2025 |
Hiệu lực:
|
Đã biết
|
| Người ký: | Đang cập nhật |
Tình trạng hiệu lực:
Cho biết trạng thái hiệu lực của văn bản đang tra cứu: Chưa áp dụng, Còn hiệu lực, Hết hiệu lực, Hết hiệu lực 1 phần; Đã sửa đổi, Đính chính hay Không còn phù hợp,...
|
Đã biết
|
TÓM TẮT TIÊU CHUẨN VIỆT NAM TCVN 10304:2025
Tiêu chuẩn quốc gia TCVN 10304:2025 về thiết kế móng cọc
Ngày 18/07/2025, Bộ Xây dựng đã công bố Tiêu chuẩn quốc gia TCVN 10304:2025 về thiết kế móng cọc, thay thế cho phiên bản cũ TCVN 10304:2014. Tiêu chuẩn này có hiệu lực ngay từ ngày ban hành.
Tiêu chuẩn này áp dụng cho việc thiết kế móng cọc của các công trình xây mới và cải tạo, trong đó có thể được áp dụng cho các công trình thủy lợi nếu cũng đảm bảo các yêu cầu khác liên quan. Tuy nhiên, tiêu chuẩn này không áp dụng cho các công trình xây dựng trên đất đóng băng vĩnh cửu hay các công trình chịu tải trọng động.
Nội dung đáng chú ý trong tiêu chuẩn TCVN 10304:2025
Cập nhật và sửa đổi: Tiêu chuẩn TCVN 10304:2025 đã cập nhật nhiều nội dung quan trọng, bao gồm việc điều chỉnh cấp hậu quả công trình, số liệu điều kiện tự nhiên, và phân loại đất đá xây dựng. Ngoài ra, tiêu chuẩn đã làm rõ tải trọng thử tải tĩnh cọc và bổ sung số liệu cho các loại cọc dài, đặc biệt là cọc dài đến 40 m và hơn.
Quy định thiết kế: Các yêu cầu thiết kế móng cọc cần dựa trên kết quả khảo sát kỹ thuật và thông tin về địa chất, tải trọng và điều kiện xây dựng địa phương. Quy trình thiết kế cũng cần phải tính đến sự tương tác với các công trình hiện hữu và môi trường.
Khảo sát địa chất: Khảo sát địa chất công trình cho thiết kế móng cọc phải tiến hành theo tiêu chuẩn quốc gia và bao gồm nhiều công đoạn như lấy mẫu đất, thí nghiệm và phân tích tính chất cơ học của đất. Điều này giúp xác định đúng loại cọc và chiều dài cọc cần thi công để đảm bảo an toàn và độ bền cho công trình.
Yêu cầu về vật liệu: Móng cọc cần được làm từ các vật liệu đạt tiêu chuẩn và thích hợp cho môi trường làm việc, đồng thời có các biện pháp bảo vệ khỏi ăn mòn.
Phương pháp thi công: Thi công cọc cần được thực hiện cẩn thận, đặc biệt gần các công trình hiện hữu để tránh gây ảnh hưởng đến cấu trúc xung quanh. Công tác quan trắc là cần thiết để theo dõi tình trạng của công trình trong quá trình thi công và sau khi hoàn thành.
Những thay đổi trong tiêu chuẩn TCVN 10304:2025 là nhằm hướng đến việc cải thiện an toàn, hiệu quả trong thiết kế và thi công các móng cọc, đảm bảo chất lượng công trình xây dựng và bảo vệ môi trường.
Tải tiêu chuẩn Việt Nam TCVN 10304:2025
TIÊU CHUẨN QUỐC GIA
TCVN 10304:2025
THIẾT KẾ MÓNG CỌC
Design of pile foundations
Lời nói đầu
TCVN 10304:2025 thay thế TCVN 10304:2014.
TCVN 10304:2025 được xây dựng trên cơ sở tham khảo SP 24.13330.2021 Pile foudations (và sửa đổi 1 năm 2023).
TCVN 10304:2025 do Viện Khoa học công nghệ xây dựng (Bộ Xây dựng) biên soạn, Bộ Xây dựng đề nghị, Ủy ban Tiêu chuẩn Đo lường Chất lượng Quốc gia thẩm định, Bộ Khoa học và Công nghệ công bố
Lời giới thiệu
Cơ sở tham khảo chính để xây dựng TCVN 10304:2025 là SP 24.13330.2021 (và sửa đổi 1 năm 2023). Ngoài ra, TCVN 10304:2025 có tham khảo thêm SP 446.13330.2019 (và sửa đổi 1 năm 2021) về khảo sát và AIJ 2019 [16] về xác định sức chịu tải của cọc theo thí nghiệm xuyên tiêu chuẩn (SPT).
TCVN 10304:2025 có kế thừa TCVN 10304:2014 và cập nhật, sửa đổi, bổ sung một số điểm mới hài hòa với tiêu chuẩn châu Âu.
Một số điểm mới đáng chú ý như: cập nhật cấp hậu quả của công trình theo QCVN 03:2022/BXD; số liệu điều kiện tự nhiên dùng trong xây dựng theo QCVN 02:2022/BXD; phân loại đất, đá xây dựng theo TCVN 5746:2024; điều chỉnh hệ số độ tin cậy về tầm quan trọng của công trình γn bằng các giá trị lớn hơn các giá trị tối thiểu nêu trong TCVN 2737:2023; bổ sung nội dung về đá; điều chỉnh công thức tính biến dạng dọc trục của cọc; làm rõ tải trọng dùng để thử tải tĩnh cọc; bổ sung số liệu cho cọc dài đến 40 m và dài hơn; cập nhật công thức tính độ lún của nhóm cọc; cập nhật yêu cầu cấu tạo của móng cọc cho phù hợp với TCVN 5574:2018, TCVN 5575:2024; cập nhật cách xác định sức chịu tải của cọc theo SPT; điều chỉnh một vài ký hiệu, v.v.
THIẾT KẾ MÓNG CỌC
Design of pile foundations
1 Phạm vi áp dụng
Tiêu chuẩn này áp dụng để thiết kế móng cọc của nhà và công trình xây mới và cải tạo.
Tiêu chuẩn này có thể áp dụng cho các công trình thủy lợi khi các yêu cầu nêu trong tiêu chuẩn này phù hợp với các tiêu chuẩn có liên quan khác thuộc lĩnh vực thủy lợi, nhưng phải phù hợp với phương pháp tính toán theo trạng thái giới hạn.
Tiêu chuẩn này không áp dụng để thiết kế móng cọc của các công trình xây dựng trên đất đóng băng vĩnh cửu, móng cọc của máy chịu tải trọng động, cũng như móng cọc của trụ công trình khai thác dầu ngoài khơi và móng cọc của các công trình khác xây dựng trên thềm lục địa.
2 Tài liệu viện dẫn
Các tài liệu viện dẫn sau là cần thiết cho việc áp dụng tiêu chuẩn này. Đối với các tài liệu viện dẫn ghi năm công bố thì áp dụng phiên bản được nêu. Đối với các tài liệu viện dẫn không ghi năm công bố thì áp dụng phiên bản mới nhất, bao gồm cả các sửa đổi, bổ sung (nếu có).
TCVN 1651-2, Thép cốt bê tông - Thép thanh vằn
TCVN 2737, Tải trọng và tác động
TCVN 3116, Bê tông - Phương pháp xác định độ chống thấm nước - Phương pháp vết thấm
TCVN 4199, Đất xây dựng - Phương pháp xác định sức chống cắt trên máy cắt phẳng trong phòng thí nghiệm
TCVN 4200, Đất xây dựng - Phương pháp xác định tính nén lún trong phòng thí nghiệm
TCVN 4253, Nền các công trình thủy công - Yêu cầu thiết kế
TCVN 4419, Khảo sát cho xây dựng - Nguyên tắc cơ bản
TCVN 4447, Công tác đất - Thi công và nghiệm thu
TCVN 5574, Thiết kế kết cấu bê tông và bê tông cốt thép
TCVN 5575, Thiết kế kết cấu thép
TCVN 5746, Đất, đá xây dựng - Phân loại
TCVN 8868, Thí nghiệm xác định sức kháng cắt không cố kết-không thoát nước và cố kết-thoát nước của đất dính trên thiết bị nén ba trục
TCVN 9351, Đất xây dựng - Phương pháp thí nghiệm hiện trường - Thí nghiệm xuyên tiêu chuẩn (SPT)
TCVN 9352, Đất xây dựng - Phương pháp thí nghiệm xuyên tĩnh
TCVN 9354, Đất xây dựng - Phương pháp xác định môđun biến dạng tại hiện trường bằng tấm nén phẳng
TCVN 9362, Tiêu chuẩn thiết kế nền nhà và công trình
TCVN 9363, Khảo sát cho xây dựng - Khảo sát địa kỹ thuật cho nhà cao tầng
TCVN 9379, Kết cấu xây dựng và nền - Nguyên tắc cơ bản về tính toán
TCVN 9386, Thiết kế công trình chịu động đất
TCVN 9393, Cọc - Phương pháp thử nghiệm hiện trường bảng tải trọng tĩnh ép dọc trục
TCVN 9402, Chỉ dẫn kỹ thuật công tác khảo sát địa chất công trình cho xây dựng vùng các-tơ
TCVN 9403, Gia có đất nền yếu - Phương pháp trụ đất xi măng
TCVN 12251, Bảo vệ chống ăn mòn cho kết cấu xây dựng
TCVN 14213-1, Tường barrette - Phần 1: Yêu cầu thiết kế thi công
TCVN 14123-2, Tường barrette - Phần 2: Yêu cầu kỹ thuật thi công
TCVN 14393, Nhà và công trình trong vùng khai thác mỏ và đất lún ướt - Yêu cầu thiết kế
3 Thuật ngữ, định nghĩa, ký hiệu và chữ viết tắt
3.1 Thuật ngữ và định nghĩa
Tiêu chuẩn này sử dụng các thuật ngữ và định nghĩa theo TCVN 5746, TCVN 9362, TCVN 2737 và các thuật ngữ, định nghĩa sau:
3.1.1
Bãi cọc (large pile group)
Nhóm lớn các cọc kết hợp với nhau bằng đài cọc chung, truyền tải trọng từ hệ các cột hoặc các trụ xuống nền.
3.1.2
Cọc (pile)
Cấu kiện thẳng đứng hoặc nghiêng được hạ vào đất hoặc chế tạo trong đất dùng để truyền tải trọng xuống nền.
3.1.3
Cọc chống (end-bearing pile)
Cọc tựa lên đá hoặc đất biến dạng nhỏ và truyền tải trọng xuống nền chủ yếu thông qua mũi cọc.
3.1.4
Cọc-cột (pile-column)
Một dạng cọc đóng và phần trên mặt đất của nó đóng vai trò là cột nhà (hoặc công trình), còn phần hạ trong đất thì đóng vai trò là cọc.
3.1.5
Cọc đơn (single pile)
Một cọc truyền tải trọng xuống nền trong điều kiện không bị ảnh hưởng bởi các cọc khác.
3.1.6
Cọc khoan phun (drilled injection pile)
Cọc khoan có đường kính nhỏ hơn 350 mm, được thi công bằng cách phun hỗn hợp bê tông hạt nhỏ vào hố khoan, bao gồm cả thông qua mũi khoan guồng xoắn rỗng ruột.
3.1.7
Cọc ma sát (cọc treo) (friction pile)
Cọc truyền tải trọng xuống nền thông qua mặt bên của thân cọc và mũi cọc.
3.1.8
Cọc-trụ (pile-pillar)
Một dạng cọc bê tông cốt thép hình trụ (hoặc lăng trụ) tiết diện đặc được hạ vào hố khoan sẵn rồi sau đó đổ chèn vữa xi măng cát hoặc đất vào khe hở giữa thành hố khoan và cấu kiện bê tông.
3.1.9
Công trình ngầm hoặc phần ngầm của công trình (underground structures or underground part of structures)
Công trình hoặc phần công trình nằm dưới mặt đất (quy hoạch).
3.1.10
Đài cọc (pile cap)
Cấu kiện (dầm hoặc bản phân phối tải trọng) dùng để nối các đầu cọc và phân phối tải trọng lên chúng.
CHÚ THÍCH: Cần phân biệt giữa đài cọc cao nếu đáy đài cọc nằm cao hơn mặt đất và đài cọc thấp nếu đáy đài cọc nằm trên mặt đất hoặc trong đất.
3.1.11
Khoảng cách cọc (pile spacing)
Khoảng cách giữa các trục của các cọc.
3.1.12
Độ lún (settlement)
Thành phần biến dạng thẳng đứng của nền, xảy ra do tác động ngoài và trong một số trường hợp riêng do trọng lượng bản thân của đất, không làm thay đổi cấu trúc của đất.
3.1.13
Độ lún ướt (slump)
Thành phần biến dạng thẳng đứng của nền, xảy ra do làm chặt đất và làm thay đổi cơ bản cấu trúc của đất dưới tác dụng của tải trọng ngoài và trọng lượng bản thân của đất, cũng như do các yếu tố bổ sung như thấm ướt đất lút ướt và tương tự.
3.1.14
Lực ma sát âm (negative skin friction)
Lực phát sinh trên mặt bên thân cọc khi độ lún của đất bao quanh cọc lớn hơn độ lún của cọc và hướng xuống dưới.
3.1.15
Móng công trình (buillding foundation)
Phần của công trình dùng để truyền tải trọng từ công trình xuống nền.
3.1.16
Móng bè-cọc hỗn hợp (combined piled raft foundation)
Móng gồm một bản (bè) bê tông cốt thép (đài cọc) và các cọc, cùng truyền tải trọng xuống nền.
3.1.17
Móng cọc (pile foundation)
Tổ hợp các cọc kết hợp với nhau tạo thành một kết cấu thống nhất để truyền tải trọng xuống nền.
3.1.18
Nền cọc (pile ground base)
Phần khối đất tiếp nhận tải trọng truyền từ một cọc và tương tác với nó.
3.1.19
Nền công trình (structure base)
Khối đất tương tác với công trình.
3.1.20
Nhóm cọc (pile group)
Một cụm cọc bố trí cục bộ kết hợp với nhau bằng đài cọc và truyền tải trọng, thông thường, từ một cột đơn hoặc một trụ xuống nền.
3.1.21
Phần đất - xi măng (ground-cement element)
Khối đất được gia cố bằng chất kết dính xi măng theo công nghệ phụt hoặc trộn sâu để tăng cường độ và giảm độ thấm nước cho khối đất đó.
3.1.22
Phụt vữa xi măng (jet grouting)
Sự gia cố đất bằng các công nghệ cho phép phá hủy đất bằng tia vữa xi măng (pha 1) hoặc tia vữa xi măng được tăng cường dòng không khí (pha 2), hoặc tia nước có truyền vữa xi măng sau đó (pha 3) để trộn nó với đất và tạo thành phần tử từ đất gia cố có các tính chất độ bền cho trước.
3.1.23
Giá trị tiêu chuẩn của sức chịu tải của cọc (characteristic value of resistance of a pile)
Rk
Giá trị giới hạn của sức chịu tải của nền cọc đơn theo điều kiện khống chế sự phát triển biến dạng trượt của cọc phù hợp với các điều kiện xác định trước.
3.1.24
Giá trị tính toán của sức chịu tải của cọc (design value of resistance of a pile)
Rd
Giá trị tính toán của tải trọng mà cho phép tác dụng lên một cọc (xem 7.1.6.1).
3.1.25
Tải trọng tính toán truyền lên một cọc (design load transfering on a pile)
Nd
Tải trọng có giá trị bằng lực dọc phát sinh trong cọc do các tác động tính toán lên móng trong các tổ hợp bất lợi nhất của chúng.
3.1.26
Tầng chịu nén (compressible stratum)
Vùng phân bố ứng suất bổ sung phát sinh trong khối đất do tải trọng tĩnh của công trình mà trong phạm vi đó dưới ảnh hưởng của tải trọng này xảy ra sự thay đổi trạng thái ứng suất - biến dạng của đất nền.
CHÚ THÍCH: Chiều sâu tầng chịu nén ứng với chiều sâu mà dưới đó cho phép bỏ qua biến dạng của chiều dày đất khi tính toán độ lún của móng có kích thước cho trước.
3.2 Ký hiệu
Tiêu chuẩn này sử dụng các ký hiệu sau:
3.2.1 Các đặc trưng hình học
A diện tích tiết diện ngang tựa lên đất của cọc; diện tích tiết diện ngang của mũi cọc chống, m2
Af diện tích tiếp xúc giữa mặt bên thân cọc với đất, m2
df đường kính ngoài của phần chôn trong đá của cọc nhồi, cọc khoan và cọc-ống, m
h chiều sâu hạ cọc thực tế, chiều cao nẩy lần đầu tiên quả búa diesel, m
ip độ nghiêng các mặt bên của cọc vát thành
L0 chiều dài đoạn cọc tính từ đáy đài cọc cao đến cao độ mặt đất quy hoạch, m
Ld chiều dài tính toán của cọc, m
u chu vi tiết diện ngang của cọc, m
3.2.2 Các đặc trưng của đất, đá, vật liệu và cơ cấu máy
Cu cường độ chịu cắt không thoát nước của đất, kPa
E mô đun biến dạng của đất, đá, MPa
Ed năng lượng va chạm tính toán của búa, kJ
IL chỉ số chảy của đất loại sét
Ip chỉ số dẻo của đất cát pha
Rc giá trị tính toán của cường độ chịu nén một trục của đá ở trạng thái bão hòa nước, kPa
Rc,m,n giá trị tiêu chuẩn của cường độ chịu nén một trục của khối đá ở trạng thái bão hòa nước, kPa
Rc,n giá trị tiêu chuẩn của cường độ chịu nén một trục của đá ở trạng thái bão hòa nước, kPa
Rm cường độ tính toán của khối đá dưới mũi cọc chống, kPa
3.2.3 Tải trọng, ứng suất, sức chịu tải, sức kháng
fi sức kháng đơn vị của đất trên mặt bên thân cọc
fs giá trị trung bình của sức kháng đơn vị của đất trên mặt bên thân đầu xuyên, kPa
Mx, My các mô men uốn tính toán tác dụng lên đài cọc đối với các trục chính trung tâm x và y, kNm
m1 khối lượng của búa hoặc búa rung, T
m2 khối lượng cọc và chụp đầu cọc, T
m3 khối lượng của cọc dẫn, T
m4 khối lượng quả búa (pit tông), T
Nd tải trọng tính toán truyền lên một cọc, kN
Nd,f lực nén tính toán tác dụng lên đài cọc tại cao độ đáy móng, kN
Rd giá trị tính toán của sức chịu tải của cọc, kN
Rk giá trị tiêu chuẩn của sức chịu tải của cọc (là sức chịu tải giới hạn của đất nền một cọc đơn), kN
Rk,b giá trị tiêu chuẩn của sức chịu tải của đất nền dưới mũi cọc, kN
Rk,cr giá trị tiêu chuẩn của sức chịu tải của cọc trong vùng khai thác mỏ, kN
Rk,eq giá trị tiêu chuẩn của sức chịu tải của cọc trong vùng động đất (xem Điều 12), kN
Rk,f giá trị tiêu chuẩn của sức chịu tải của thân cọc vít, kN
Rk,0 giá trị tiêu chuẩn của sức chịu tải của cánh cọc vít, kN
Ru giá trị sức chịu tải giới hạn của cọc, kN
Ru,min giá trị nhỏ nhất của Ru,k, kN
Ru,k giá trị tiêu chuẩn của sức chịu tải giới hạn của cọc, kN
qb sức kháng đơn vị của đất dưới mũi cọc, kPa
qc sức kháng mũi côn, kPa
qs giá trị trung bình của sức kháng đơn vị của đất dưới mũi đầu xuyên, kPa
3.2.4 Biến dạng
εsL biến dạng tương đối của đất lún ướt
αε hệ số biến dạng, 1/m
ζr hệ số lưu biến của đất
ζ hệ số chuyển đổi từ giá trị độ lún giới hạn trung bình của móng công trình su,mt sang độ lún của cọc thu được khi thí nghiệm nén tĩnh với ổn định quy ước của độ lún (tắt dần)
s biến dạng đồng thời của cọc, móng cọc và công trình
sa độ chối dư thực tế, m
su giá trị giới hạn của biến dạng đồng thời của nền cọc, móng cọc và công trình
su,mt giá trị độ lún giới hạn trung bình của móng công trình xây mới, m
sef độ lún của móng khối quy ước, m
sel độ chối đàn hồi của cọc, m
∆sc độ lún bổ sung do thân cọc bị nén (co ngắn thân cọc), m
∆sp độ lún bổ sung do ép cọc tại cao độ đáy móng khối quy ước, m
3.2.5 Các hệ số
α1, α2, α3, α4 các hệ số không thứ nguyên
α biên độ dao động
δ tần số dao động
β1 hệ số chuyển đổi từ qs sang Rs
β2 hệ số chuyển đổi từ fs sang f cho đầu xuyên loại I theo TCVN 9352
γ1 giá trị tính toán trung bình của trọng lượng riêng của đất nền dưới mũi cọc (theo lớp), kN/m3
γ2 giá trị tính toán của trọng lượng riêng của đất nền dưới mũi cọc, kN/m3
γc hệ số điều kiện làm việc của cọc trong đất
γcb hệ số điều kiện làm việc giảm của cường độ bê tông
γ’cb hệ số điều kiện làm việc giảm bổ sung của cường độ bê tông
γeq1, γeq2 hệ số điều chỉnh R và fi của cọc khi có tác động động đất.
yf hệ số độ tin cậy về tải trọng
yk hệ số độ tin cậy về phương pháp xác định giá trị tiêu chuẩn của sức chịu tải của cọc theo đất
yn hệ số độ tin cậy về tầm quan trọng của công trình
yR,f hệ số điều kiện làm việc của đất nền trên mặt bên thân cọc
yR,R hệ số điều kiện làm việc của đất nền dưới mũi cọc
ε hệ số phục hồi va chạm
θ hệ số, 1/kN
v hệ số Poát xông (nở hông)
χ độ cứng tương đối của cọc
Ks hệ số suy giảm cường độ của đá
OCR hệ số quá cố kết của đất
RQD chỉ số chất lượng đá
e hệ số rỗng của đất
g gia tốc trọng trường, bằng 9,81 m/s2
n số lượng cọc trong móng
np, nf các hệ số chuyển đổi từ sức kháng động (bao gồm cả sức kháng nhớt) của đất sang sức kháng tĩnh của đất
3.3 Chữ viết tắt
| CFA | Continuos Flight Auger | Khoan guồng xoắn liên tục |
| CPT | Cone Penetration Test | Thí nghiệm xuyên tĩnh |
| OCR | OverConsolidation Ratio | Hệ số quá cố kết |
| PDT | Pulse Discharge Technology | Công nghệ xung điện |
| PDA | Pile Driving Analyzer | Máy phân tích đóng cọc |
| HSDT | High Strain Dynamic Load Test | Thí nghiệm động biến dạng lớn |
| RQD | Rock Quality Designation | Chỉ số chất lượng đá |
| SPT | Standard Penetration Test | Thí nghiệm xuyên tiêu chuẩn |
4 Quy định chung
4.1 Chức năng chính của cọc là xuyên qua các lớp đất yếu nằm bên trên và truyền tải trọng tác dụng xuống các lớp đất bên dưới có các chỉ tiêu cơ học cao hơn. Cho phép sử dụng cọc để giảm độ lún của móng bằng cách gia cố hoặc làm chặt đất, cũng như sử dụng cọc để chống giữ hố móng. Móng cọc phải được thiết kế dựa trên và có xét đến:
a) Kết quả khảo sát kỹ thuật cho xây dựng;
b) Thông tin về gia tốc nền của khu vực xây dựng;
c) Số liệu đặc trưng cho công dụng, đặc thù về kết cấu và công nghệ của công trình và điều kiện sử dụng của công trình;
d) Tải trọng tác dụng lên móng;
e) Hiện trạng của các công trình hiện hữu và ảnh hưởng của việc xây mới đối với chúng;
f) Các yêu cầu về môi trường;
g) So sánh kinh tế - kỹ thuật của các giải pháp thiết kế khả thi;
h) Bản đồ kỹ thuật số (nếu có) thể hiện các công trình ngầm và trên mặt đất, hệ thống hạ tầng kỹ thuật;
i) Các điều kiện kỹ thuật khác.
4.2 Khi thiết kế cần có các giải pháp kỹ thuật về thi công móng đảm bảo được độ tin cậy, độ bền lâu và hiệu quả kinh tế của công trình ở tất cả các giai đoạn thi công và sử dụng.
Nên tiến hành so sánh kinh tế - kỹ thuật các phương án thiết kế khả thi cho móng cọc dùng các loại cọc và chiều dài khác nhau.
4.3 Khi thiết kế cần xét đến điều kiện xây dựng địa phương và kinh nghiệm trong việc sử dụng công nghệ và thiết bị, cũng như kinh nghiệm thiết kế, xây dựng và sử dụng công trình trong các điều kiện tương tự về địa chất công trình, địa chất thủy văn và môi trường.
Số liệu điều kiện tự nhiên của khu vực xây dựng phải lấy theo [1].
4.4 Việc thiết kế móng cọc cần được thực hiện theo nhiệm vụ thiết kế và số liệu đầu vào cần thiết (xem 4.1).
4.5 Khi thiết kế, cần xét đến cấp hậu quả của công trình theo [2].
4.6 Móng cọc cần được thiết kế dựa trên kết quả khảo sát kỹ thuật đã thực hiện theo các yêu cầu của TCVN 4419, TCVN 9363 và Điều 5 của tiêu chuẩn này.
Khảo sát kỹ thuật đã thực hiện cần đảm bảo không chỉ để cung cấp số liệu cho công tác nghiên cứu điều kiện địa chất công trình của công trình xây mới mà còn thu thập các số liệu cần thiết để kiểm tra ảnh hưởng của việc thi công móng cọc đối với các công trình hiện hữu và môi trường bao quanh, cũng như để thiết kế khi cần thiết phải gia cố nền và móng của các công trình hiện hữu.
Không được thiết kế móng cọc khi không có đủ số liệu thích hợp từ khảo sát địa chất công trình.
4.7 Khi thi công các cọc bằng phương pháp hạ hoặc các phương pháp động (đóng, rung, khoan nổ, v.v.) gần các công trình hiện hữu, phải đánh giá ảnh hưởng của các tác động động lên kết cấu của các công trình hiện hữu, cũng như lên các máy móc, dụng cụ và thiết bị nhạy cảm với rung động nằm bên trong các công trình đó, và trong trường hợp cần thiết, phải tiến hành đo đạc các thông số dao động của đất, công trình (bao gồm cả các công trình hạ tầng kỹ thuật ngầm) trong quá trình hạ thử và thi công thử đối với cọc.
4.8 Nên dự kiến công tác quan trắc công trình nằm trên móng cọc. Thành phần, khối lượng và phương pháp quan trắc công trình cần được thiết lập phù hợp với tiêu chuẩn có liên quan.
CHÚ THÍCH: Có thể tham khảo [9].
Các phép đo thực tế nội lực trong cọc phải được dự tính khi sử dụng móng cọc có kết cấu mới (mà không có trong tiêu chuẩn này). Trong phương án quan trắc có thể bổ sung thêm các yêu cầu về cách tiến hành.
4.9 Đối với móng cọc của công trình cấp C3, không cho phép sử dụng kết cấu thép và các bộ phận của nó đã qua sử dụng (các cấu kiện gia cố làm bằng kim loại cán, các vòng đai kim loại, v.v.).
4.10 Móng cọc làm việc trong môi trường xâm thực phải được thiết kế phù hợp với các yêu cầu của TCVN 12251.
4.11 Khi thiết kế và thi công móng cọc, cần tham khảo thêm TCVN 12251, TCVN 5574 và TCVN 4447.
4.12 Cho phép bảo vệ các cọc thép khỏi bị ăn mòn bằng cách mạ kẽm hoặc sơn bề mặt của chúng bằng các hợp chất chống mài mòn dùng vật liệu nền là nhựa epoxy.
5 Yêu cầu về khảo sát địa chất công trình
5.1 Khảo sát địa chất công trình phục vụ thiết kế móng cọc phải được thực hiện theo TCVN 4419, TCVN 9363 và các tiêu chuẩn về khảo sát kỹ thuật và nghiên cứu đất cho xây dựng.
5.2 Công tác khảo sát để thiết kế móng cọc nói chung bao gồm tổ hợp các công việc sau:
- Khoan lấy mẫu và mô tả đất;
- Nghiên cứu trong phòng thí nghiệm các tính chất cơ lý của đất và nước ngầm;
- CPT và SPT;
- Thí nghiệm nén ngang đất;
- Thí nghiệm đất bằng tấm nén phẳng hoặc cánh nén mũi xoắn (bằng tải trọng tĩnh);
- Thí nghiệm cọc thực tế tại hiện trường;
- Các thí nghiệm nghiên cứu ảnh hưởng của công tác thi công móng cọc đến môi trường xung quanh, trong đó có các công trình lân cận (theo nhiệm vụ thiết kế cụ thể).
5.3 Khoan lấy mẫu kết hợp SPT, thí nghiệm trong phòng và CPT là các công tác khảo sát chính, không phụ thuộc vào cấp hậu quả của công trình và loại móng cọc.
CHÚ THÍCH: Có thể tham khảo thêm [13] để có thêm thông tin chi tiết hơn.
Khối lượng và thành phần khảo sát khuyến nghị xác định phù hợp với Phụ lục F.
Khi nghiên cứu tính đa dạng của các loại đất gặp ở công trường trong phạm vi chiều sâu khảo sát, cần chú ý đặc biệt tới sự có mặt, chiều sâu và chiều dày của các lớp đất yếu (cát rời, đất dính yếu, các loại đất hữu cơ). Sự có mặt của các loại đất này có ảnh hưởng đến việc xác định loại cọc và chiều dài cọc, vị trí mối nối của cọc tổ hợp, liên kết cọc vào đài và việc chọn thiết bị thi công cọc. Sự bất lợi của các loại đất này cũng phải tính đến khi có tác động động đất và tải trọng động.
5.4 Đối với công trình cấp C3, nên tiến hành thêm thí nghiệm nén ngang trong hố khoan để chính xác lại các đặc trưng biến dạng của đất ở tầng chịu nén, cũng như thí nghiệm cọc tại hiện trường theo TCVN 9393. Khi tiến hành tính toán số có sử dụng mô hình cơ học đất tái bền thì các thí nghiệm đất phải được thực hiện trong điều kiện phòng thí nghiệm bằng phương pháp nén ba trục theo TCVN 8868. Khi sử dụng loại cọc có kết cấu mới (theo nhiệm vụ thiết kế), khối lượng công việc cần bao gồm hạ thử hoặc thi công thử cọc để chính xác lại chiều dài và đường kính của cọc đã ấn định trong quá trình thiết kế và phương pháp hạ hoặc thi công cọc, cũng như thí nghiệm hiện trường các cọc này bằng tải trọng tĩnh.
Khi dùng móng bè-cọc hỗn hợp thì cần đưa vào thành phần công tác thí nghiệm đất bằng tấm nén và thí nghiệm thử cọc tại hiện trường.
CHÚ THÍCH: Mô hình cơ học đất tái bền là mô hình ứng xử cơ học của đất, trong đó có sử dụng các bề mặt tải trọng khi nén, khi trượt hoặc khi trượt và nén, cũng như quan hệ mô tả được ứng xử của đất dưới các biến dạng thay đổi hình dạng.
5.5 Khi cọc chịu tải trọng kéo, ngang hoặc đổi dấu thì sự cần thiết tiến hành thử tải phải được xác định bởi người thiết kế, còn khối lượng công việc phải được ấn định có xét đến tác động chủ đạo.
CHÚ THÍCH: Có thể tham khảo [4].
5.6 Thí nghiệm đất bằng cọc, bàn nén kiểu cánh vít và nén ngang, về nguyên tắc, được tiến hành ở khu vực được lựa chọn trên cơ sở kết quả khoan (xuyên) khảo sát ở vị trí mà điều kiện đất đặc trưng nhất, móng chịu tải lớn nhất và ở cả nơi mà khả năng hạ cọc theo điều kiện đất còn chưa rõ ràng.
Thí nghiệm đất bằng tải trọng tĩnh nên được tiến hành chủ yếu bằng bàn nén kiểu cánh vít có diện tích cánh vít 600 cm2 trong hố khảo sát nhằm mục đích chính xác lại mô đun biến dạng của đất tại khu đất xây dựng.
5.7 Các vị trí khảo sát địa chất công trình (hố khoan, điểm xuyên, vị trí thí nghiệm đất) cần được bố trí sao cho chúng nằm trong khuôn viên của công trình đang thiết kế hoặc là trong các điều kiện nền đất như nhau - không xa công trình quá 5 m, còn trong trường hợp sử dụng các cọc làm kết cấu chắn bảo vệ thành hố đào - không quá 2 m tính từ trục của chúng.
5.8 Chiều sâu khảo sát địa chất công trình để thiết kế móng cọc và móng bè-cọc hỗn hợp phải xét đến chiều dài dự kiến của cọc dựa trên khảo sát giai đoạn chuẩn bị cho hồ sơ thiết kế hoặc số liệu lưu trữ. Khi đó, chiều sâu tầng chịu nén phải được ấn định phù hợp với 7.4.4.2 và có thể được chính xác lại theo nhiệm vụ của đơn vị thiết kế có xét đến các giải pháp kết cấu đã chọn và các tải trọng truyền lên móng cọc, cũng như xét đến sự có mặt của đá.
CHÚ THÍCH: Có thể tham khảo thêm [13].
Chiều sâu các hố khảo sát địa chất công trình cho móng cọc trong đất (rời và dính) phải sâu hơn chiều sâu thiết kế hạ mũi cọc ít nhất là 5 m khi các cọc được bố trí thành hàng cọc hoặc bãi cọc và sâu hơn ít nhất là 10 m - khi bãi cọc có chiều rộng đến 10 m.
Khi bãi cọc có kích thước lớn hơn (10 × 10) m và dùng móng bè-cọc hỗn hợp thì chiều sâu của 50 % số lượng các hố khảo sát phải lớn hơn chiều sâu dự kiến của các cọc một khoảng không nhỏ hơn chiều dày tầng chịu nén, nhưng không nhỏ hơn một khoảng tối thiểu 15 m.
Chiều sâu các hố khảo sát địa chất công trình khi cọc tựa lên đất (rời và dính) biến dạng nhỏ (E > 50 MPa), cũng như đối với cọc chỉ tiếp nhận tải trọng kéo cần được lấy sâu hơn chiều sâu thiết kế hạ mũi cọc là 3 lần đường kính cọc, nhưng không nhỏ hơn 1 m.
Chiều sâu các hố khảo sát địa chất công trình khi cọc tựa lên đá hoặc chôn trong đá cần được lấy sâu hơn chiều sâu thiết kế hạ mũi cọc một khoảng bằng 3 lần đường kính cọc sâu hơn đáy lớp đá yếu (nứt nẻ mạnh và nứt nẻ rất mạnh theo TCVN 5746), nhưng sâu hơn ít nhất là 1 m.
CHÚ THÍCH: Đá nứt nẻ mạnh có mô đun nứt nẻ (số vết nứt trung bình trên một mét dài đường đo vuông góc với hệ vết nứt) từ 10 đến 30, đá nứt nẻ rất mạnh có mô đun nứt nẻ lớn hơn 30.
Khi trong nền công trình có các lớp đất đặc thù (đất lún ướt, đất trương nở, đất hữu cơ và đất nhân tạo), đất loại sét yếu (IL > 0,75) và đất cát rời, các hố khảo sát phải xuyên qua các lớp đất này vào sâu trong các tầng đất tốt phía dưới để xác định các đặc trưng của chúng.
5.9 Khi khảo sát để thiết kế móng cọc cần xác định các đặc trưng cần thiết về vật lý, độ bền và biến dạng để tính toán móng cọc theo các trạng thái giới hạn (xem Điều 7).
Số lần xác định các đặc trưng của đất cho mỗi đơn nguyên địa chất công trình phải đủ để xử lý thống kê phù hợp với Phụ lục G.
5.10 Đối với đất cát, do khó lấy mẫu nguyên dạng nên phương pháp chính để xác định độ chặt và các đặc trưng về độ bền nên là CPT hoặc SPT cho mọi loại công trình không phụ thuộc cấp hậu quả của công trình.
Thí nghiệm xuyên là phương pháp chính để xác định mô đun biến dạng vừa cho đất cát vừa cho đất loại sét của nền công trình cấp C3 và là một trong các phương pháp xác định mô đun biến dạng (kết hợp với thí nghiệm nén ngang và thí nghiệm bằng tấm nén) cho nền của các công trình cấp C1 và C2.
5.11 Việc khảo sát tình trạng kỹ thuật của móng và kết cấu của công trình cần cải tạo phải được thực hiện theo nhiệm vụ mà của đơn vị đặt hàng cho tổ chức lập hồ sơ. Việc đánh giá chiều dài cọc hiện hữu trong móng của kết cấu công trình cần cải tạo nên được thực hiện bằng phương pháp địa vật lý. Khi nâng tầng cho công trình thì nên thực hiện thí nghiệm nén tĩnh cọc hiện hữu theo TCVN 9393.
Khi khảo sát địa chất công trình để thiết kế móng cọc gia cường cho công trình cần cải tạo, cần bổ sung công tác khảo sát nền của móng và đo đạc chuyển vị của công trình. Ngoài ra, phải lập tương quan giữa số liệu khảo sát mới với hồ sơ lưu trữ (nếu có) để có nhận xét về sự thay đổi các điều kiện địa chất công trình và địa chất thủy văn do việc xây dựng và sử dụng công trình gây nên.
5.12 Trước khi tiến hành khảo sát nền của móng phải:
- Đánh giá trực quan kết cấu phần trên của công trình, trong đó có việc định vị các vết nứt (nếu có), xác định kích thước và đặc điểm các vết nứt, gắn các mốc đo lên các vết nứt;
- Làm rõ chế độ sử dụng công trình với mục đích xác định các yếu tố gây ảnh hưởng tiêu cực lên nền;
- Xác định sự có mặt của công trình hạ tầng kỹ thuật ngầm và hệ thống thoát nước và tình trạng của chúng;
- Tìm hiểu các số liệu lưu trữ về khảo sát địa chất công trình đã từng tiến hành tại khu vực cải tạo.
Việc tiến hành khảo sát trắc địa vị trí các kết cấu của công trình cần cải tạo là cần thiết để đánh giá khả năng có thể xuất hiện lún không đều (nghiêng, uốn, chuyển dịch tương đối).
Khi khảo sát công trình cần cải tạo cũng cần xem xét cả tình trạng của khu vực xung quanh và của các công trình lân cận.
5.13 Khảo sát nền của móng và tình trạng của kết cấu móng được thực hiện bằng cách đào hố lấy các khối đất nguyên dạng ngay dưới đáy móng và trên thành hố. Khảo sát đất sâu hơn dưới đáy hố để xác định cấu tạo địa chất công trình và điều kiện địa chất thủy văn và tính chất của đất phải được thực hiện bằng phương pháp khoan và xuyên, khi đó vị trí các hố khoan và điểm xuyên được bố trí quanh chu vi (hoặc đường bao) công trình ở khoảng cách không quá 5 m so với chu vi (hoặc đường bao) công trình.
5.14 Khi gia cố nền của công trình cần cải tạo bằng phương pháp xói nước cọc đóng, cọc ép, cọc khoan hoặc cọc khoan phun thì chiều sâu các hố khoan và xuyên khảo sát lấy theo 5.8.
5.15 Báo cáo kỹ thuật về kết quả khảo sát địa chất công trình để thiết kế móng cọc phải được lập phù hợp với TCVN 4419, TCVN 9363.
CHÚ THÍCH: Có thể tham khảo thêm [13].
Tất cả các đặc trưng của đất phải đưa vào báo cáo có xét đến dự báo khả năng biến đổi của các điều kiện địa chất công trình và địa chất thủy văn trong khu vực (trong quá trình thi công và sử dụng công trình).
Nếu đã có thí nghiệm cọc tại hiện trường bằng tải trọng tĩnh hoặc động thì phải đưa các kết quả này vào báo cáo. Các kết quả CPT và SPT phải bao gồm số liệu về giá trị tiêu chuẩn của sức chịu tải của cọc.
Khi nước ngầm có tính xâm thực thì phải có khuyến nghị về biện pháp bảo vệ cọc chống xâm thực.
Trường hợp phát hiện được ở khu đất xây dựng các lớp đất đặc thù mỏng hoặc quá trình địa chất nguy hiểm (các tơ-phun trào, trượt, v.v.) thì phải tiến hành lấy số liệu về sự phân bố và cường độ xuất hiện của chúng.
Khi sử dụng cọc chống, chỉ số chất lượng đá RQD phải được xác định đối với tất cả các lớp đá mà cọc xuyên qua và đối với lớp đặt mũi cọc.
Khi thiết kế móng cọc cho công trình cấp C3 có cọc dài hơn 40 m đối với đất loại sét, nên xác định hệ số quá cố kết OCR đối với các lớp đất loại sét mà cọc xuyên qua và trong phạm vi tầng chịu nén dưới mũi cọc.
5.16 Trong quá trình khảo sát địa chất công trình và nghiên cứu các tính chất của đất để thiết kế và thi công móng cọc cần xét đến các yêu cầu bổ sung nêu trong các điều từ 9 đến 13.
6 Phân loại cọc
6.1 Theo phương pháp hạ cọc vào đất, cọc được chia thành các loại sau:
a) Cọc đóng, ép hoặc thả chế tạo sẵn (bằng bê tông cốt thép và thép), được hạ vào đất bằng cách ép cưỡng bức đất nền cũng như hạ vào hố khoan dẫn bằng búa đóng, máy rung, máy rung ép hoặc máy ép; cọc tròn rỗng (cọc-ống) bê tông cốt thép có đường kính đến 0,8 m, được hạ vào đất bằng máy rung mà không đào moi đất hoặc đào moi một phần đất nhưng không nhồi hỗn hợp bê tông vào lòng cọc;
b) Cọc-ống bê tông cốt thép có đường kính lớn hơn 0,8 m, được hạ vào đất bằng máy rung kết hợp đào moi đất từ lòng cọc và nhồi một phần hoặc toàn bộ lòng cọc bằng hỗn hợp bê tông; cọc rỗng làm bằng ống kim loại hoặc composite với mũi hở, được hạ vào đất mà không moi đất;
c) Cọc nhồi bê tông và bê tông cốt thép, được thi công bằng cách đổ hỗn hợp bê tông vào hố đã được tạo trước bằng cách ép cưỡng bức đất nền (lèn đất);
d) Cọc khoan bê tông cốt thép, được thi công bằng cách nhồi hỗn hợp bê tông hoặc hạ cọc bê tông cốt thép đúc sẵn vào hố khoan (hoặc đào) sẵn;
e) Cọc vít, được cấu tạo từ ít nhất một cánh vít kim loại (xoắn ốc) làm mũi cọc và thân cọc là ống kim loại có diện tích tiết diện ngang nhỏ hơn nhiều so với cánh vít (mũi), được hạ vào đất bằng cách vừa xoay vừa ấn (với lực ấn có thể điều chỉnh được), có hoặc không có hố khoan dẫn.
6.2 Theo điều kiện tương tác với đất, cọc được chia thành cọc chống và cọc ma sát.
Cọc chống bao gồm các loại cọc được chôn trong đá (xem TCVN 5746) và (hoặc) xuyên qua đá, cũng như cọc đóng tựa lên đất biến dạng nhỏ.
CHÚ THÍCH: Đất được gọi là đất biến dạng nhỏ khi đất nền ở dạng mảnh vụn thô lẫn cát ở trạng thái chặt vừa và chặt, đất dính ở trạng thái cứng, bão hòa nước, có mô đun biến dạng E > 50 MPa.
Cọc ma sát bao gồm các loại cọc, tựa lên đất biến dạng và truyền tải trọng xuống nền thông qua thân và mũi cọc.
CHÚ THÍCH: Đất được gọi là đất biến dạng (trung bình, lớn và rất lớn) khi đất mô đun biến dạng 5 MPa < E ≤ 50 MPa.
6.3 Cọc đóng (ép) bê tông cốt thép có kích thước tiết diện ngang ≤ 0,8 m và cọc-ống bê tông cốt thép được chia thành:
a) Theo cách bố trí cốt thép: cọc và cọc-ống có cốt thép dọc không ứng suất trước và cốt thép ngang (thép đai); cọc và cọc-ống có cốt thép dọc làm bằng các thanh thép (hoặc dây thép cường độ cao hoặc cáp) ứng suất trước, có và không có cốt thép ngang;
b) Theo hình dạng tiết diện ngang: cọc đặc vuông, chữ nhật, chữ T và chữ I; cọc vuông có lõi tròn rỗng; cọc tròn rỗng (cọc-ống);
c) Theo hình dạng tiết diện dọc: cọc lăng trụ, cọc-trụ, cọc vát thành (hình tháp, hình thang);
d) Theo đặc điểm cấu tạo: cọc nguyên; cọc tổ hợp (ghép nối từ các đoạn cọc);
e) Theo cấu tạo mũi cọc: cọc có mũi nhọn hoặc mũi bằng, hoặc mũi mở rộng (hình chùy); cọc rỗng có mũi kín hoặc hở, hoặc nổ mũi.
CHÚ THÍCH: Cọc đóng nổ mũi được thi công bằng cách đóng cọc rỗng có tiết diện ngang tròn với mũi rỗng kín bằng thép, sau đổ đầy hỗn hợp bê tông vào trong lòng và mũi cọc, sau đó nổ mìn tại vị trí phần mũi cọc. Trong đồ án thiết kế loại cọc này phải có chỉ dẫn về việc tuân thủ các hoạt động khoan và nổ mìn, trong đó cần xác định khoảng cách cho phép kể từ công trình hiện hữu tại vị trí gây nổ.
6.4 Cọc nhồi theo phương pháp thi công được chia thành:
a) Cọc nhồi chiếm chỗ, được thi công bằng cách hạ (đóng, ép hoặc xoay) ống vách với mũi được bịt kín bằng nút bịt để lại trong đất hoặc nút bê tông, sau đó rút dần ống lên theo mức nhồi hỗn hợp bê tông vào hố, kể cả sau khi tạo được mũi mở rộng từ hỗn hợp bê tông khô được đầm chặt;
b) Cọc nhồi ép rung, được thi công trong hố ép trước bằng cách nhồi vào hố hỗn hợp bê tông cứng được đầm chặt bằng đầu ép rung dạng ống mũi nhọn hoặc gắn đầm rung.
c) Cọc nhồi trong hố ép lún, được chế tạo bằng cách ép lún đất tạo hố hình tháp hoặc hình nón và sau đó nhồi hỗn hợp bê tông vào.
6.5 Cọc khoan theo phương pháp thi công được chia thành:
a) Cọc khoan nhồi tiết diện ngang đặc có hoặc không mở rộng, được đổ bê tông trong hố khoan đã được khoan trong đất loại sét nằm cao hơn mực nước ngầm không cần biện pháp giữ thành hố khoan, còn trong đất bất kỳ dưới mực nước ngầm - giữ thành hố khoan bằng dung dịch sét (bentonite) hoặc ống vách rút lên được hoặc cần khoan guồng xoắn rỗng lòng;
b) Cọc khoan nhồi có sử dụng kỹ thuật khoan guồng xoắn liên tục (CFA);
c) Cọc barrette - cọc khoan, được tạo bằng thiết bị công nghệ kiểu gầu ngoạm hoặc máy cắt rảnh thủy lực;
d) Cọc khoan nhồi có mũi mở rộng, được thi công bằng cách khoan tạo hố, sau đó mở rộng mũi bằng nổ mìn (bao gồm cả nổ điện hóa) và nhồi đầy hố khoan bằng hỗn hợp bê tông;
e) Cọc khoan phun đường kính 0,15 m đến 0,35 m, được thi công bằng phun (bơm) hỗn hợp bê tông hạt nhỏ vào hố khoan sẵn, cũng như được thi công bằng cần khoan guồng xoắn rỗng lòng hoặc có sử dụng cần khoan để lại;
f) Cọc khoan phun đường kính 0,15 m đến 0,35 m, được làm chặt đất bao quanh cọc bằng cách tạo hố khoan theo công nghệ xung điện (PDT) bằng một loạt xung điện thế cao);
g) Cọc-trụ, được thi công bằng cách khoan tạo hố có mở rộng hoặc không, đổ vữa xi măng-cát vào hố khoan và hạ vào hố khoan cấu kiện chế tạo sẵn hình trụ hoặc lăng trụ có tiết diện đặc với cạnh hoặc đường kính bằng 0,8 m hoặc lớn hơn;
h) Cọc khoan thả - cọc đặc bê tông cốt thép và cọc rỗng thép có tiết diện tròn với mũi kín, được hạ tự do vào hố khoan và sau đó đổ đầy hỗn hợp bê tông vào khoảng hở giữa cọc và thành hố khoan.
6.6 Cọc vít theo cấu tạo được chia thành:
a) Cọc vít một vòng xoắn (với một vòng cánh quanh thân cọc);
b) Cọc vít nhiều vòng xoắn (nhiều hơn hai vòng cánh quanh thân cọc);
c) Cọc vít một cánh (có một vùng cánh đỡ, có thể có nhiều vòng xoắn);
d) Cọc vít nhiều cánh với đường kính cánh bằng nhau hoặc khác nhau (có nhiều vùng cánh đỡ, có thể có nhiều vòng xoắn).
6.7 Việc sử dụng cọc có ống vách để lại chỉ được phép trong trường hợp không thể sử dụng các giải pháp kết cấu móng khác (khi thi công cọc khoan nhồi trong tầng đất có tốc độ dòng thấm lớn hơn 200 m/ngày, khi sử dụng cọc khoan nhồi để gia cố chống giữ mái dốc và trong các trường hợp khác có đủ cơ sở).
Khi thi công cọc khoan nhồi trong đất loại sét bão hòa nước để giữ thành hố khoan, cho phép sử dụng áp lực nước dư không nhỏ hơn 0,5 atm với điều kiện vị trí thi công cách công trình hiện hữu không ít hơn 25 m (yêu cầu này không áp dụng cho trường hợp thi công cọc khoan nhồi có ống vách).
6.8 Cọc bê tông cốt thép và bê tông phải được thiết kế bằng bê tông nặng.
Đối với cọc đóng bê tông cốt thép phi tiêu chuẩn, cũng như đối với cọc nhồi và cọc khoan phải dùng bê tông có cấp cường độ chịu nén không thấp hơn B15 (trong thân của cọc chế tạo sẵn), đối với cọc đóng bê tông cốt thép ứng suất trước - không thấp hơn B22,5. Trong hồ sơ thiết kế cho cọc nhồi và cọc khoan cần chỉ rõ cấp cường độ chịu nén của bê tông có xét đến 7.1.5.3.
6.9 Đài cọc bê tông cốt thép cần được thiết kế bằng bê tông nặng có cấp cường độ chịu nén không thấp hơn B15 - đối với đài cọc toàn khối và không thấp hơn B20 - đối với đài cọc lắp ghép.
Đối với công trình thủy lợi, cấp cường độ chịu nén của bê tông làm cọc và đài cọc cần lấy theo các tiêu chuẩn chuyên ngành có liên quan.
6.10 Bê tông dùng để chèn cột bê tông cốt thép trong cốc của đài cọc dạng cốc, cũng như chèn đầu cọc khi dùng đài cọc dạng băng lắp ghép cần phù hợp với TCVN 5574, nhưng không thấp hơn B15.
CHÚ THÍCH: Đối với công trình thủy lợi, cấp cường độ chịu nén của bê tông dùng để chèn các cấu kiện lắp ghép của móng cọc phải lớn hơn một cấp so với cấp cường độ chịu nén của bê tông chế tạo các cấu kiện lắp ghép liên kết.
6.11 Mác chống thấm nước của bê tông làm cọc và đài cọc cần được lựa chọn phù hợp với TCVN 3116, TCVN 12251, TCVN 5574, đối với công trình thủy lợi - theo các tiêu chuẩn chuyên ngành có liên quan.
6.12 Cọc kim loại có thể được chế tạo từ thép, cũng như gang cường độ cao hoặc gang dẻo. Cho phép sử dụng cọc liên hợp thép-bê tông. Việc bảo vệ cọc thép và cọc gang khỏi bị ăn mòn cần được thực hiện theo TCVN 12251.
6.13 Cho phép sử dụng các cọc liên hợp mà khi thi công chúng có sử dụng từ hai công nghệ thi công trở lên, bao gồm cả công nghệ trộn sâu và khoan phụt vữa xi măng. Các phần gia cố đất có thể được sử dụng để tăng giá trị tiêu chuẩn của sức chịu tải của cọc dưới dạng:
- Phần nền gia cố dưới mũi cọc và (hoặc) các phần gia cố riêng biệt dọc theo mặt bên cọc;
- Hạ các cấu kiện chế tạo sẵn (kim loại hoặc bê tông cốt thép vào các hố khoan đã chứa bê tông);
- Khối đất nền đã được gia cố trước, sau đó cấu kiện chế tạo sẵn được hạ vào đó.
Cho phép các cọc khoan hoặc khoan nhồi tựa lên khối đất đã được cố bằng phương pháp khoan phụt vữa xi măng hoặc trộn sâu.
6.14 Cọc liên hợp nên được sử dụng để giải quyết các vấn đề sau:
- Tăng khả năng chịu lực của móng cọc;
- Gia cường móng công trình khi cải tạo hoặc tăng thêm các tầng mới;
- Tăng khả năng chịu lực của móng cọc công trình hiện hữu;
- Ngăn ngừa sự dịch chuyển của đất, loại bỏ tính chất cát chảy khi thi công cọc.
7 Thiết kế móng cọc
7.1 Chỉ dẫn cơ bản về tính toán
7.1.1 Các trạng thái giới hạn
Tính toán móng cọc và nền của nó phải được thực hiện phù hợp với TCVN 9379 theo các trạng thái giới hạn:
a) Nhóm thứ nhất:
1) Theo độ bền của vật liệu làm cọc và đài cọc;
2) Theo giá trị tiêu chuẩn của sức chịu tải của cọc theo đất nền (tức là sức chịu tải giới hạn của đất nền cọc);
3) Theo sự mất ổn định tổng thể nền của móng cọc nếu giá trị tải trọng ngang tác dụng lên nó đáng kể (tường chắn, móng của kết cấu chống đỡ, v.v.), bao gồm cả tải trọng động đất, nếu công trình nằm trên một sườn dốc hoặc gần nó, hoặc nếu nền được cấu tạo từ các lớp đất nghiêng. Việc tính toán phải xem xét các biện pháp ngăn ngừa sự dịch chuyển của móng đang thiết kế.
b) Nhóm thứ hai:
1) Theo độ lún của nền cọc và móng cọc do tải trọng thẳng đứng (xem 7.4);
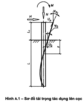
2) Theo chuyển dịch của cọc cùng với đất nền do tải trọng ngang và mô men (xem Phụ lục A);
3) Theo sự hình thành hoặc mở rộng các vết nứt trong các cấu kiện kết cấu bê tông cốt thép của móng cọc.
7.1.2 Mô hình tính toán
Trong tính toán nền của móng cọc phải xét đến tác dụng đồng thời của các yếu tố lực và ảnh hưởng bất lợi của môi trường (ví dụ, ảnh hưởng của nước ngầm và chế độ mực nước ngầm đến các tính chất cơ lý của đất, v.v.) trong suốt giai đoạn sử dụng.
Công trình và nền của nó cần được xét đồng thời, tức là phải xét đến sự tương tác giữa công trình với nền chịu nén.
Sơ đồ tính toán hệ “công trình - nền” hoặc “móng - nền” phải được lựa chọn có xét đến các yếu tố quan trọng nhất quyết định trạng thái ứng suất và biến dạng của nền và kết cấu công trình (sơ đồ tĩnh học của công trình, đặc thù thi công, đặc điểm của tầng đất, tính chất của đất nền, khả năng thay đổi của chúng trong quá trình xây dựng và sử dụng công trình, v.v.). Nên xét đến sự làm việc không gian của kết cấu, tính phi tuyến về hình học và vật lý, tính dị hướng, tính dẻo và lưu biến của vật liệu và đất, sự phát triển các vùng biến dạng dẻo dưới móng.
Móng cọc phải được tính toán bằng cách xây dựng các mô hình toán học mô tả được ứng xử cơ học của móng cọc đối với các trạng thái giới hạn nhóm thứ nhất hoặc thứ hai. Mô hình tính toán có thể được thể hiện dưới dạng mô hình giải tích hoặc mô hình số. Khi tính giá trị tiêu chuẩn của sức chịu tải của cọc đơn và độ lún của nó, nên ưu tiên các phương pháp tra bảng hoặc giải tích nêu trong tiêu chuẩn này. Tính toán nhóm cọc kích thước lớn và móng bè-cọc hỗn hợp chủ yếu phải được thực hiện bằng phương pháp số.
Khi thiết kế móng cọc phải xét đến độ cứng của đài cọc và kết cấu tựa lên đài cọc và độ cứng này phải được thể hiện trong mô hình tính toán. Khi lập mô hình tính toán phải xem xét các yếu tố sau:
- Điều kiện đất của khu đất xây dựng;
- Chế độ địa chất thủy văn;
- Chế độ nhiệt của đất;
- Đặc thù thi công cọc;
- Sự có mặt của cặn lắng dưới mũi cọc.
7.1.3 Tải trọng và tổ hợp tải trọng
7.1.3.1 Tải trọng và tác động được xét đến trong tính toán móng cọc, hệ số độ tin cậy về tải trọng, cũng như các tổ hợp tải trọng cần được lấy phù hợp với TCVN 2737, TCVN 9362 và các tiêu chuẩn có liên quan tới tải trọng và tác động.
7.1.3.2 Tính toán cọc, móng cọc và nền của chúng về khả năng chịu lực phải được thực hiện với các tổ hợp tải trọng cơ bản và đặc biệt, còn về biến dạng - với các tổ hợp cơ bản.
7.1.3.3 Tải trọng, tác động, tổ hợp tải trọng và hệ số độ tin cậy về tải trọng khi tính toán móng cọc của công trình thủy lợi cần được lấy theo các tiêu chuẩn chuyên ngành có liên quan.
7.1.4 Các đặc trưng vật liệu
Khi tính toán cọc, móng cọc và nền của chúng phải sử dụng giá trị tính toán của các đặc trưng của vật liệu và đất.
Giá trị tính toán của các đặc trưng của vật liệu làm cọc và đài cọc cần được lấy phù hợp với TCVN 5574, TCVN 5575, đối với móng công trình thủy lợi - theo các tiêu chuẩn chuyên ngành có liên quan.
Giá trị tính toán của các đặc trưng của đất cần được xác định phù hợp với Phụ lục G, giá trị tính toán của hệ số cz của nền bao quanh cọc cần được lấy phù hợp với Phụ lục A. Cho phép xác định cz bằng mô hình số.
Sức kháng đơn vị của đất dưới mũi cọc qb và trên thân cọc fi cần được xác định theo 7.2 hoặc 7.3, cũng như bằng cách sử dụng mô hình số.
Nếu có các kết quả thí nghiệm hiện trường đã thực hiện theo 7.3 thì giá trị tiêu chuẩn của sức chịu tải của đất nền cọc cần được xác định có xét đến số liệu CPT hoặc theo số liệu thí nghiệm động. Trường hợp thí nghiệm bằng nén tĩnh cọc thì giá trị tiêu chuẩn của sức chịu tải của đất nền cọc cần được lấy theo kết quả của các thí nghiệm này có xét đến 7.3.
7.1.5 Tính toán cọc và đài cọc theo vật liệu
7.1.5.1 Việc tính toán cọc và đài cọc theo độ bền vật liệu cần được thực hiện phù hợp với các tiêu chuẩn phù hợp có liên quan (TCVN 5574, TCVN 5575, v.v.) tùy theo vật liệu sử dụng làm cọc và đài cọc.
Tính toán các cấu kiện bê tông cốt thép của móng cọc theo sự hình thành và mở rộng vết nứt cần được thực hiện phù hợp với TCVN 5574, đối với công trình thủy lợi - phù hợp với các tiêu chuẩn chuyên ngành có liên quan.
7.1.5.2 Khi tính toán mọi loại cọc theo độ bền vật liệu thì cọc được phép coi là một thanh ngàm cứng trong đất tại tiết diện nằm cách đáy đài cọc một khoảng L1, với L1 được xác định theo công thức:
![]()
trong đó:
L0 là chiều dài đoạn cọc tính từ đáy đài cọc cao đến cao độ mặt đất quy hoạch, m;
αε là hệ số biến dạng, tính bằng 1/m, được xác định theo Phụ lục A.
Nếu cọc khoan và cọc-ống, được hạ xuyên qua tầng đất không phải đá và ngàm trong đá, có tỷ số 2/αε > h thì lấy L1 = L0 + h (trong đó h là chiều sâu hạ cọc hoặc cọc-ống, tính bằng mét (m), tính từ mũi cọc đến cao độ mặt đất quy hoạch đối với đài cọc cao (đài cọc nằm trên mặt đất), tính từ mũi cọc đến đáy đài cọc đối với đài cọc thấp (đáy đài cọc nằm dưới mặt đất hoặc nằm trong đất không phải đá, ngoại trừ đất biến dạng lớn (mô đun biến dạng 5 MPa < E ≤ 10 MPa)).
Khi tính toán theo độ bền vật liệu đối với cọc khoan phun xuyên qua các lớp đất biến dạng rất lớn (mô đun biến dạng E ≤ 5 MPa) thì chiều dài tính toán của cọc chịu uốn dọc Ld lấy như sau phụ thuộc vào đường kính cọc d:
Ld = 25d khi E ≤ 2 MPa;
Ld = 15d khi 2 MPa < E ≤ 5 MPa.
Trường hợp Ld vượt quá chiều dày tầng đất biến dạng rất lớn hg thì chiều dài tính toán Ld lấy bằng 2hg.
7.1.5.3 Khi tính toán theo độ bền vật liệu đối với cọc nhồi, cọc khoan và barrette (trừ cọc-trụ và cọc khoan thả), cường độ chịu nén tính toán của bê tông Rb phải nhân với hệ số điều kiện làm việc giảm γcb = 0,85 (tương ứng với γb3 trong TCVN 5574) để xét đến điều kiện đổ bê tông trong không gian chật hẹp của hố khoan và ống vách, và nhân thêm hệ số giảm bổ sung γ’cb để xét đến ảnh hưởng của phương pháp hạ cọc, bằng:
γ’cb = 1,0 - trong đất loại sét, nếu có thể khoan tạo hố và đổ bê tông trong điều kiện khô không cần biện pháp giữ thành khi cao độ mực nước ngầm thấp hơn mũi cọc trong quá trình thi công;
γ’cb = 0,9 - trong đất, nếu khoan tạo hố và đổ bê tông trong điều kiện khô bằng cách sử dụng ống vách có thể rút lên hoặc guồng xoắn rỗng ruột;
γ’cb = 0,8 - trong đất, nếu khoan tạo hố và đổ bê tông trong điều kiện có nước trong đất bằng cách sử dụng ống vách có thể rút lên hoặc guồng xoắn rỗng ruột;
γ’cb = 0,7 - trong đất, nếu khoan tạo hố và đổ bê tông được thực hiện trong dung dịch sét (bentonite) hoặc dưới áp lực nước dư (không có ống vách).
CHÚ THÍCH 1: Đổ bê tông cọc dưới nước hoặc trong dung dịch sét (bentonite) chỉ được thực hiện bằng phương pháp ống đổ di chuyển thẳng đứng hoặc sử dụng máy bơm bê tông.
CHÚ THÍCH 2: Hệ số γb1 (theo TCVN 5574) trong tính toán lấy bằng 1,0.
Tính toán kết cấu của mọi loại cọc cần được thực hiện dựa trên tác dụng của các tải trọng truyền vào chúng từ công trình. Đối với cọc đúc sẵn (cọc đóng), còn phải tính thêm lực phát sinh do trọng lượng của chúng trong quá trình chế tạo, lưu giữ, vận chuyển, cũng như khi nâng chúng lên máy đóng cọc tại một điểm cách đầu cọc một khoảng 0,3 L (trong đó L là chiều dài cọc).
Khi đó, tải trọng lên cọc do trọng lượng bản thân cọc phải được nhân với hệ số động lực:
1,50 - khi tính toán theo độ bền;
1,25 - khi tính toán theo sự hình thành và mở rộng vết nứt.
Trong các trường hợp này, hệ số độ tin cậy về trọng lượng cọc γf lấy bằng 1,0.
7.1.6 Tính toán cọc theo đất nền
7.1.6.1 Giá trị tính toán của sức chịu tải của một cọc trong móng hoặc một cọc đơn Rd = Rk / yk cần được xác định theo điều kiện:

trong đó:
Nd là tải trọng tính toán truyền lên một cọc từ tổ hợp bất lợi nhất của các tải trọng tác dụng lên móng (không xét đến hệ số yn), được xác định theo 7.1.6.2;
Rk là giá trị tiêu chuẩn của sức chịu tải của cọc (chính là sức chịu tải giới hạn của đất nền một cọc đơn) và được xác định theo 7.2 và 7.3;
yn là hệ số tầm quan trọng của công trình như đã nêu trong TCVN 2737, nhưng giá trị tối thiểu được thay bằng 1,0; 1,15 và 1,20 lần lượt đối với các công trình cấp C1, C2 và C3 (theo [2]);
yk là hệ số độ tin cậy về đất, lấy bằng:
1,20 - nếu giá trị tiêu chuẩn của sức chịu tải của cọc được xác định theo kết quả thí nghiệm hiện trường bằng tải trọng tĩnh;
1,25 - nếu giá trị tiêu chuẩn của sức chịu tải của cọc được xác định bằng tính toán theo kết quả CPT hoặc theo kết quả thí nghiệm cọc bằng thử động có xét đến biến dạng đàn hồi của đất;
1,4 - nếu giá trị tiêu chuẩn của sức chịu tải của cọc được xác định bằng tính toán theo các bảng tra trong tiêu chuẩn này, bao gồm cả theo kết quả thí nghiệm cọc bằng thử động không xét đến biến dạng đàn hồi của đất, hoặc theo kết quả HSDT có sử dụng máy PDA;
1,5 - nếu giá trị tiêu chuẩn của sức chịu tải của cọc được xác định theo kết quả SPT;
1,5 - nếu giá trị tiêu chuẩn của sức chịu tải của cọc được xác định bằng tính toán có sử dụng các phần mềm chuyên dụng dựa trên mô hình số.
Đối với móng của công trình thủy lợi có đài cao hoặc đài thấp (đáy đài cọc nằm trên đất biến dạng rất lớn) và cọc ma sát chịu tải trọng nến, cũng như đối với mọi công trình có đài cọc dạng bất kỳ và với cọc ma sát và cọc chống chịu tải trọng kéo, hệ số yk được lấy phụ thuộc vào số lượng cọc trong móng như sau:
Từ 21 cọc trở lên: 1,4 (1,25);
Từ 11 cọc đến 20 cọc: 1,55 (1,4);
Từ 6 cọc đến 10 cọc: 1,65 (1,5);
Từ 1 cọc đến 5 cọc: 1,75 (1,6).
Đối với móng một cọc dưới cột, khi tải trọng tác dụng lên một cọc đóng tiết diện ngang hình vuông lớn hơn 600 kN, lên một cọc nhồi hoặc một cọc khoan - lớn hơn 2 500 kN, thì giá trị hệ số yk lấy bằng:
1,4 - nếu giá trị tiêu chuẩn của sức chịu tải của cọc được xác định theo kết quả thí nghiệm hiện trường bằng tải trọng tĩnh;
1,6 - nếu giá trị tiêu chuẩn của sức chịu tải của cọc được xác định bằng các phương pháp khác.
CHÚ THÍCH 1: Các giá trị yk trong ngoặc đơn áp dụng trong trường hợp giá trị tiêu chuẩn của sức chịu tải của cọc được xác định theo kết quả thí nghiệm bằng tải trọng tĩnh tại hiện trường hoặc bằng tính toán dựa trên kết quả thí nghiệm đất bằng CPT.
CHÚ THÍCH 2: Khi tính toán tất cả các loại cọc chịu tải trọng nén cũng như tải trọng kéo thì lực dọc phát sinh trong một cọc do tải trọng tính toán Nd phải được xác định có xét đến trọng lượng bản thân của cọc đó với hệ số độ tin cậy về tải trọng mà làm tăng nội lực tính toán.
CHÚ THÍCH 3: Nếu tính toán móng cọc được thực hiện có xét đến tải trọng gió và tải trọng cần trục thì tải trọng tính toán chịu được bởi các cọc biên được phép tăng thêm 20 % (trừ móng của cột đỡ đường dây tải điện trên không).
CHÚ THÍCH 4: Khi tính toán cọc trong nhóm cọc kích thước lớn và bãi cọc kích thước lớn dựa trên mô hình số, cho phép xét đến khả năng tăng sức chịu tải giới hạn của đất nền cọc đó so với sức chịu tải giới hạn của đất nền cọc đơn.
7.1.6.2 Để tính toán sơ bộ, tải trọng tính toán truyền lên một cọc Nd, tính bằng kilôniutơn (kN), cần được xác định bằng cách coi móng như một nhóm cọc được liên kết bởi đài cọc cứng, chịu tải trọng thẳng đứng, ngang và mômen uốn.
Đối với móng có cọc thẳng đứng, tải trọng tính toán truyền lên một cọc Nd được phép xác định theo công thức:

trong đó:
Nd,f là lực nén tính toán truyền vào đài cọc tại cao độ đáy đài cọc, tính bằng kilôniutơn (kN);
Mx, My là các mô men uốn tính toán, tính bằng kN·m, truyền vào đài cọc tại mặt phẳng đáy đài cọc đối với các trục chính trung tâm x và y của nó trên mặt bằng cọc tại mặt phẳng đáy đài cọc.
n là số lượng cọc trong móng;
x, y là các khoảng cách từ các trục chính đến trục mỗi cọc mà đang tính tải trọng tính toán lên chúng, tính bằng mét (m);
xi, yi, là các khoảng cách từ các trục chính đến trục mỗi cọc, tính bằng mét (m).
CHÚ THÍCH: Các phép tính toán chính xác cuối cùng đối với móng cần được thực hiện bằng phương pháp số.
7.1.6.3 Đối với các công trình cấp C1 và C2, tải trọng ngang tác dụng lên móng dùng đài cọc cứng với các cọc thẳng đứng có cùng tiết diện ngang có thể được coi là phân bố đều cho tất cả các cọc. Đối với công trình cấp C3, các phép tính toán cần được thực hiện có xét đến ảnh hưởng tương hỗ của các cọc trong nhóm.
7.1.6.4 Kiểm tra ổn định của móng cọc và nền của nó phải được thực hiện phù hợp với TCVN 9362 có xét đến tác dụng của phản lực ngang bổ sung từ các cọc nằm kề phần đất chuyển dịch.
7.1.7 Tính toán cọc và móng cọc theo biến dạng
Tính toán cọc và móng cọc theo biến dạng cần được thực hiện thỏa mãn điều kiện:
![]()
trong đó:
s là biến dạng đồng thời của cọc, móng cọc và công trình (độ lún, chuyển dịch, độ lún lệch tương đối của các cọc, móng cọc, và tương tự), được xác định bằng tính toán (có xét đến 7.1.3.2, 7.1.3.3) theo 7.4 và Phụ lục A;
su là giá trị giới hạn của biến dạng đồng thời của nền cọc, móng cọc và công trình, lấy theo các đại lượng cụ thể (∆s/L)u, su,max,
, iu nêu trong Bảng E.1, Phụ lục E.
7.2 Các phương pháp tính toán xác định sức chịu tải của cọc
7.2.1 Cọc chống
7.2.1.1 Các phương pháp tính toán cần được sử dụng để đánh giá giá trị tiêu chuẩn của sức chịu tải của cọc chống khi thiết kế công trình thuộc tất cả các cấp hậu quả.
Giá trị tiêu chuẩn của sức chịu tải Rk, tính bằng kilôniutơn (kN), của cọc nhồi và cọc khoan tựa lên đá cũng như cọc đóng và cọc-ống tựa lên đá hoặc đất biến dạng nhỏ được lấy bằng giá trị tiêu chuẩn của sức chịu tải của nền dưới mũi cọc Rk,b:
![]()
Giá trị tiêu chuẩn của sức chịu tải của nền dưới mũi cọc Rk,b cần được xác định dựa theo sức kháng đơn vị của đất dưới mũi cọc qb theo công thức:
![]()
trong đó:
γc là hệ số điều kiện làm việc của cọc trong đất, lấy bằng 1,0;
qb là sức kháng đơn vị của đất dưới mũi cọc chống, tính bằng kilôpascan (kPa);
A là diện tích tựa lên đất của cọc, tính bằng mét vuông (m2), lấy bằng:
- đối với cọc tiết diện ngang đặc và cọc rỗng mũi kín - lấy bằng diện tích tiết diện ngang;
- đối với cọc tròn rỗng có mũi hở và cọc-ống:
+ lấy bằng diện tích tiết diện ngang nguyên - khi không đổ đầy lòng cọc bằng bê tông;
+ lấy bằng tổng diện tích tiết diện ngang - khi đổ đầy lòng cọc bằng bê tông đến chiều cao ít nhất bằng 3 lần đường kính cọc.
Đối với cọc nhồi, cọc khoan và cọc-ống nhồi bê tông tựa lên đá không phong hóa (không có lớp đá yếu) khi Ld < 0,5 m, qb cần được xác định theo công thức:
![]()
trong đó:
Rm là cường độ tính toán của khối đá dưới mũi cọc chống, được xác định dựa trên Rc,m,n (giá trị tiêu chuẩn của cường độ chịu nén một trục của khối đá ở trạng thái bão hòa nước), tính bằng kilôpascan (kPa), thường được xác định trong điều kiện hiện trường;
γg là hệ số độ tin cậy về đất, lấy bằng 1,4.
Khi tính toán sơ bộ nền của công trình thuộc tất cả các cấp hậu quả, cho phép lấy giá trị của các đặc trưng Rm và Rc,m,n lần lượt bằng: Rm = Rc · Ks; Rc,m,n = Rc,n · Ks, trong đó:
Rc và Rc,n tương ứng là các giá trị tính toán và tiêu chuẩn của cường độ chịu nén một trục của đá ở trạng thái bão hòa nước, tính bằng kilôpascan (kPa), được xác định bằng kết quả thí nghiệm từng mẫu riêng biệt (nguyên dạng) trong điều kiện phòng thí nghiệm;
Ks là hệ số, xét đến sự suy giảm cường độ của đá do nứt nẻ, được xác định theo Bảng 1.
CHÚ THÍCH: Khi cọc đóng tựa lên đất biến dạng nhỏ (E > 50 MPa) mà chưa biết giá trị cường độ chịu nén một trục của đất thì cho phép lấy giá trị qb theo Bảng 2 như đối với đất cát lẫn sỏi sạn rồi nhân với hệ số tăng Eg/Ek0, trong đó Eg là mô đun biến dạng của đất biến dạng nhỏ, còn Ek0 - lấy bằng 50 MPa.
Bảng 1 - Hệ số suy giảm cường độ của đá Ks
| Mức độ nứt nẻ | Chỉ số chất lượng đá RQD, % | Giá trị Ks |
| 1. Nứt nẻ yếu | > 90 và < 100 | 1,00 |
| 2. Nứt nẻ vừa | ≥ 75 và ≤ 90 | ≥ 0,60 và < 1,00 |
| 3. Nứt nẻ mạnh | ≥ 50 và < 75 | > 0,32 và < 0,60 |
| 4. Nứt nẻ rất mạnh | ≥ 25 và < 50 | > 0,22 và ≤ 0,32 |
| 5. Nứt nẻ đặc biệt mạnh | ≥ 0 và < 25 | 0,22 |
| CHÚ THÍCH 1: Giá trị RQD lớn ứng với giá trị Ks lớn. CHÚ THÍCH 2: Với các giá trị RQD trung gian, hệ số Ks được xác định bằng nội suy tuyến tính. | ||
Trong mọi trường hợp, giá trị qb lấy không lớn hơn 20 000 kPa và không nhỏ hơn giá trị sức kháng đơn vị dưới mũi cọc đối với đất hòn lớn lẫn cát có góc ma sát trong φI = 32° theo 7.2.3.2.
Sức kháng đơn vị của đá qb đối với cọc nhồi, cọc khoan và cọc-ống, được nhồi bê tông, và chôn vào lớp đá không phong hóa (không có lớp đá mỏng yếu) ít nhất 0,5 m (Ld ≥ 0,5 m) được xác định theo công thức:
![]()
trong đó:
Rm được xác định theo công thức (7);
Ld là chiều sâu chôn trong đá tính toán của cọc nhồi, cọc khoan và cọc-ống, tính bằng mét (m) (Hình 1);
df là đường kính ngoài của phần chôn trong đá của cọc nhồi, cọc khoan và cọc-ống, tính bằng mét (m).
Giá trị 1 + 0,4(Ld/df) lấy không lớn hơn 3,0.
Đối với các cọc-ống tựa đều trên bề mặt đá không phong hóa được phủ bởi lớp đất (không phải đá) không bị xói có chiều dày không nhỏ hơn 3 lần đường kính cọc-ống, sức kháng đơn vị của đá qb được xác định theo công thức (8), với giá trị 1 + 0,4 (Ld/df) lấy bằng 1,0.
CHÚ THÍCH: Khi nền của cọc nhồi, cọc khoan và cọc-ống là đá phong hóa, cũng như đá hóa mềm được, cường độ chịu nén một trục của chúng cần được lấy theo kết quả thí nghiệm bằng tấm nén (theo TCVN 9354) hoặc theo kết quả thí nghiệm cọc và cọc-ống bằng tải trọng tĩnh.

CHÚ DẪN:
Q Tải trọng thẳng đứng lên cọc
Qb Tải trọng thẳng đứng chịu bởi mũi cọc, Q = Qb
Hình 1 - Cọc tựa lên nền đá
7.2.1.2 Để đánh giá sơ bộ giá trị tiêu chuẩn của sức chịu tải Rk của cọc xuyên qua tầng đá, cho phép xác định giá trị của nó có xét đến sức kháng đơn vị của đất trên mặt bên thân cọc theo Phụ lục C.
7.2.1.3 Để tính toán nền của các công trình cấp C2 và C3, cũng như nền được tạo thành từ đá phong hóa, đá hóa mềm được, có lớp đá mỏng yếu, giá trị tiêu chuẩn của sức chịu tải của cọc chống Rk cần được lấy dựa trên kết quả thí nghiệm cọc bằng tải trọng tĩnh.
7.2.2 Cọc đóng, cọc ép và cọc-ống bê tông cốt thép hạ không moi đất (cọc ma sát)
7.2.2.1 Giá trị tiêu chuẩn của sức chịu tải Rk của cọc ma sát loại đóng, ép và cọc-ống bê tông cốt thép hạ không moi đất, làm việc chịu tải trọng nén, cần được xác định bằng tổng sức chịu tải của đất nền dưới mũi cọc và trên mặt bên thân cọc theo công thức:
![]()
trong đó:
Rk tính bằng kilôniutơn (kN);
γc là hệ số điều kiện làm việc của cọc trong đất, lấy bằng 1,0;
CHÚ THÍCH: Hệ số điều kiện làm việc γc trong các công thức (9) và (12) lấy bằng 1,2 đối với cột trung gian đỡ đường dây tải diện trên không và bằng 1,0 trong các trường hợp khác.
qb là sức kháng đơn vị của đất nền dưới mũi cọc, tính bằng kilôpascan (kPa), lấy theo Bảng 2;
A là diện tích tựa lên đất của cọc, tính bằng mét vuông (m2), lấy bằng diện tích tiết diện ngang nguyên của cọc hoặc bằng diện tích tiết diện ngang lớn nhất của mũi cọc nổ mở rộng, hoặc bằng diện tích thực tế của cọc-ống;
u là chu vi ngoài của tiết diện ngang thân cọc, tính bằng mét (m);
fi là sức kháng đơn vị của lớp đất nền thứ i trên mặt bên thân cọc, tính bằng kilôpascan (kPa), được xác định theo Bảng 3;
hi là chiều dày của lớp đất thứ i tiếp xúc với mặt bên thân cọc, tính bằng mét (m);
γR,R, γR,f là các hệ số điều kiện làm việc của đất nền dưới mũi cọc và trên mặt bên thân cọc tương ứng, xét đến ảnh hưởng của phương pháp hạ cọc đến sức kháng của đất và lấy theo Bảng 4.
Trong công thức (9), cần lấy tổng sức chịu tải của đất nền theo tất cả các lớp đất mà cọc xuyên qua, trừ trường hợp trong đồ án thiết kế có dự tính quy hoạch san lấp có đào xén hoặc có khả năng xói lở đất. Trong các trường hợp này cần lấy tổng sức chịu tải của tất cả các lớp đất nằm tương ứng dưới cao độ quy hoạch (đào xén) và đáy hồ chứa sau khi xói lở cục bộ khi tính toán lũ.
CHÚ THÍCH 1: Giá trị tiêu chuẩn của sức chịu tải của cọc đóng mũi hình chùy được xác định theo công thức (9), trong đó chu vi u ở đoạn thân cọc lấy bằng chu vi tiết diện ngang của thân cọc, còn ở đoạn mở rộng - lấy bằng chu vi tiết diện ngang của đoạn mở rộng. Sức kháng đơn vị fi của đất trên mặt bên của thân các cọc này ở đoạn mở rộng, còn trong đất cát thì ở cả đoạn thân cọc, được lấy như đối với cọc không mở rộng; trong đất loại sét thì sức kháng đơn vị fi ở đoạn thân cọc nằm phía trên đoạn mở rộng lấy bằng 0.
CHÚ THÍCH 2: Các sức kháng đơn vị của đất, qb và fi, trong công thức (9) đối với đất hoàng thổ khi chiều sâu đặt mũi cọc lớn hơn 5 m được lấy theo các giá trị nêu trong các bảng 2 và 3 tương ứng với chiều sâu 5 m. Ngoài ra, đối với các loại đất này, trong trường hợp chúng có thể bị thấm ướt thì các sức kháng đơn vị qb và fi nêu trong các bảng 2 và 3 cần được lấy theo chỉ số chảy tương ứng với mức độ bão hòa hoàn toàn.
Bảng 2 - Sức kháng đơn vị của đất dưới mũi cọc đóng, cọc ép và cọc-ống hạ không moi đất qb
| Chiều sâu đặt mũi cọc, m | Giá trị qb, kPa, của | ||||||
| cát chặt vừa | |||||||
| lẫn sỏi sạn | thô | - | thô vừa | mịn | bụi | - | |
| đất loại sét có chỉ số chảy IL bằng | |||||||
| 0,0 | 0,1 | 0,2 | 0,3 | 0,4 | 0,5 | 0,6 | |
| 3 | 7 500 | 6 600 | 3 000 | 3 100 | 2 000 | 1 100 | 600 |
| 4 000 | 2 000 | 1 200 | |||||
| 4 | 8 300 | 6 800 | 3 800 | 3 200 | 2 100 | 1 250 | 700 |
| 5 100 | 2 500 | 1 600 | |||||
| 5 | 8 800 | 7 000 | 4 000 | 3 400 | 2 200 | 1 300 | 800 |
| 6 200 | 2 800 | 2 000 | |||||
| 7 | 9 700 | 7 300 | 4 300 | 3 700 | 2 400 | 1 400 | 850 |
| 6 900 | 3 300 | 2 200 | |||||
| 10 | 10 500 | 7 700 | 5 000 | 4 000 | 2 600 | 1 500 | 900 |
| 7 300 | 3 500 | 2 400 | |||||
| 15 | 11 700 | 8 200 | 5 600 | 4 400 | 2 900 | 1 650 | 1 000 |
| 7 500 | 4 000 | ||||||
| 20 | 12 600 | 8 500 | 6 200 | 4 800 | 3 200 | 1 800 | 1 100 |
| 4 500 | |||||||
| 25 | 13 400 | 9 000 | 6 800 | 5 200 | 3 500 | 1 950 | 1 200 |
| 30 | 14 200 | 9 500 | 7 400 | 5 600 | 3 800 | 2 100 | 1 300 |
| 35 | 15 000 | 10 000 | 8 000 | 6 000 | 4 100 | 2 250 | 1 400 |
| 40 | 15 800 | 10 500 | 8 600 | 6 400 | 4 400 | 2 400 | 1 500 |
| CHÚ THÍCH 1: Khi chiều sâu đặt mũi cọc lớn hơn 40 m thì cho phép lấy giá trị qb như đối với chiều sâu đặt mũi cọc 40 m. CHÚ THÍCH 2: Các giá trị qb ở tử số áp dụng cho đất cát, ở mẫu số - cho đất loại sét. CHÚ THÍCH 3: Trong bảng này và Bảng 3, chiều sâu đặt mũi cọc và chiều sâu trung bình đặt một lớp đất khi san lấp khu vực bằng đào xén, lấp đầy, bồi đất đến 3 m được tính từ cao độ mặt đất tự nhiên, còn khi đào xén, lấp đầy, bồi đắp từ 3 m trở lên - tính từ cao độ quy ước lớn hơn 3 m so với mức đào xén hoặc nhỏ hơn 3 m so với mức lấp đất. Chiều sâu đặt mũi cọc và chiều sâu trung bình đặt một lớp đất trong hồ chứa được tính từ cao độ đáy hồ sau khi xói do lũ tính toán, trong đầm lầy - tính từ đáy của đầm lầy (ngoại trừ sự có mặt của than bùn bị chôn vùi trong các mặt cắt địa chất). Trường hợp khối đất đắp được nén chặt trên một mặt cắt địa chất nằm phía trên than bùn thì nó sẽ tham gia vào phụ tải khu vực của đất gốc và do đó giá trị hi cần được tính từ cao độ của đỉnh khối đắp. CHÚ THÍCH 4: Với các chiều sâu đặt mũi cọc trung gian và các giá trị trung gian của chỉ số chảy IL của đất loại sét thì các giá trị của qb và fi trong bảng này và Bảng 3 được xác định bằng nội suy tuyến tính. CHÚ THÍCH 5: Đối với cát chặt mà độ chặt được xác định theo số liệu CPT thì các giá trị qb trong bảng này đối với cọc hạ không xói nước hoặc hoặc không khoan dẫn cần được tăng thêm 100 % đối với cát thô và vừa và tăng thêm 130 % đối với cát mịn và bụi. Khi xác định độ chặt của đất theo số liệu của các loại khảo sát kỹ thuật khác và khi không có số liệu CPT cho cát chặt thì các giá trị qb trong bảng này được tăng thêm 60 % đối với cát thô và vừa và tăng thêm 75 % - đối với cát mịn và bụi, nhưng qb không lớn hơn 20 000 kPa. CHÚ THÍCH 6: Các giá trị sức kháng đơn vị qb trong bảng này được phép sử dụng với điều kiện nếu chiều sâu hạ cọc vào đất không xói lở và không đào xén là không nhỏ hơn: 4,0 m - đối với công trình thủy lợi; 3,0 m - đối với các công trình khác. CHÚ THÍCH 7: Giá trị sức kháng đơn vị qb dưới mũi cọc đóng có tiết diện ngang (0,15 × 0,15) m và nhỏ hơn được sử dụng làm móng của tường ngăn bên trong của nhà công nghiệp một tầng được phép tăng lên 20 %. CHÚ THÍCH 8: Đối với cát pha, khi chỉ số dẻo Ip ≤ 4 và hệ số rỗng e < 0,8 thì các sức kháng đơn vị qb và fi được xác định như đối với cát bụi chặt vừa. CHÚ THÍCH 9: Trong tính toán, chỉ số chảy của đất cần được lấy phù hợp với trạng thái dự tính của nó trong giai đoạn sử dụng công trình đang thiết kế. CHÚ THÍCH 10: Đối với móng của cột điển hình đỡ đường dây tải điện trên không thì giá trị tính toán fi của đất loại sét có chỉ số chảy IL ≥ 0,3 cần tăng thêm 25 %. | |||||||
Bảng 3 - Sức kháng đơn vị của đất trên mặt bên của thân cọc đóng, cọc ép và cọc-ống hạ không moi đất fi
| Chiều sâu trung bình của lớp đất, m | Giá trị fi, kPa, của | ||||||||
| cát chặt vừa | |||||||||
| thô và vừa | mịn | bụi | - | - | - | - | - | - | |
| đất loại sét có chỉ số chảy IL bằng | |||||||||
| ≤ 0,2 | 0,3 | 0,4 | 0,5 | 0,6 | 0,7 | 0,8 | 0,9 | 1,0 | |
| (1) | (2) | (3) | (4) | (5) | (6) | (7) | (8) | (9) | (10) |
| 1 | 35 | 23 | 15 | 12 | 8 | 4 | 4 | 3 | 2 |
| 2 | 42 | 30 | 21 | 17 | 12 | 7 | 5 | 4 | 4 |
| 3 | 48 | 35 | 25 | 20 | 14 | 8 | 7 | 6 | 5 |
| 4 | 53 | 38 | 27 | 22 | 16 | 9 | 8 | 7 | 5 |
| 5 | 56 | 40 | 29 | 24 | 17 | 10 | 8 | 7 | 6 |
| 6 | 58 | 42 | 31 | 25 | 18 | 10 | 8 | 7 | 6 |
| 8 | 62 | 44 | 33 | 26 | 19 | 10 | 8 | 7 | 6 |
| 10 | 65 | 46 | 34 | 27 | 19 | 10 | 8 | 7 | 6 |
| 15 | 72 | 51 | 38 | 28 | 20 | 11 | 8 | 7 | 6 |
| 20 | 79 | 56 | 41 | 30 | 20 | 12 | 8 | 7 | 6 |
| 25 | 86 | 61 | 44 | 32 | 20 | 12 | 8 | 7 | 6 |
| 30 | 93 | 66 | 47 | 34 | 21 | 12 | 9 | 8 | 7 |
| 35 | 100 | 70 | 50 | 36 | 22 | 13 | 9 | 8 | 7 |
| 40 | 107 | 74 | 53 | 38 | 23 | 14 | 9 | 8 | 7 |
| CHÚ THÍCH 1: Khi xác định sức kháng đơn vị của đất trên mặt bên thân cọc fi, cần xem xét các yêu cầu nêu trong các chú thích 2, 3 và 8 của Bảng 2. CHÚ THÍCH 2: Khi xác định sức kháng đơn vị của đất trên mặt bên thân cọc, phải chia các lớp đất thành các lớp đồng nhất có chiều dày không lớn hơn 2 m. CHÚ THÍCH 3: Đối với cát chặt, giá trị sức kháng đơn vị trên mặt bên thân cọc cần được tăng lên 30 % so với các giá trị nêu trong bảng này. CHÚ THÍCH 4: Sức kháng đơn vị của đất cát pha, sét pha có hệ số rỗng e < 0,5 và đất sét có hệ số rỗng e < 0,6 cần được tăng lên 15 % so với các giá trị nêu trong bảng này với bất kỳ giá trị nào của chỉ số chảy. | |||||||||
Bảng 4 - Các hệ số điều kiện làm việc của đất γR,R và γR,f
| Phương pháp hạ cọc đóng, cọc ép và cọc-ống hạ không moi đất; các loại đất | Hệ số điều kiện làm việc của đất khi tính giá trị tiêu chuẩn của sức chịu tải của cọc | |
| dưới mũi cọc γR,R | trên mặt bên thân cọc γR,f | |
| (1) | (2) | (3) |
| 1. Hạ cọc đặc và cọc rỗng mũi cọc hở bằng búa cơ khí (dạng treo), búa hơi và búa diesel | 1,0 | 1,0 |
| 2. Hạ cọc đóng và cọc ép vào hố khoan dẫn có sẵn với mũi cọc sâu hơn 1 m so với đáy hố khi đường kính hố: |
|
|
| a) bằng cạnh cọc vuông hoặc đường kính cọc tròn | 1,0 | 0,5 |
| b) nhỏ hơn 0,05 m so với cạnh cọc vuông hoặc đường kính cọc tròn | 1,0 | 0,6 |
| c) nhỏ hơn 0,15 m so với cạnh vuông hoặc đường kính cọc tròn | 1,0 | 1,0 |
| 3. Hạ cọc vào nền cát kết hợp xói nước với điều kiện ở giai đoạn cuối không xói nước, đóng vỗ để hạ cọc đạt chiều sâu từ 1 m trở lên. | 1,0 | 0,9 |
| 4. Hạ cọc-ống bằng phương pháp rung, hạ cọc bằng phương pháp rung và ép rung trong đất: |
|
|
| a) cát chặt vừa: |
|
|
| thô và vừa | 1,2 | 1,0 |
| mịn | 1,1 | 1,0 |
| bụi | 1,0 | 1,0 |
| b) đất loại sét có chỉ số chảy IL = 0,5: |
|
|
| cát pha | 0,9 | 0,9 |
| sét pha | 0,8 | 0,9 |
| sét | 0,7 | 0,9 |
| c) đất loại sét có chỉ số chảy IL ≤ 0 | 1,0 | 1,0 |
| 5. Hạ cọc bê tông cốt thép rỗng mũi hở bằng búa: |
|
|
| a) khi đường kính lòng cọc nhỏ hơn 0,4 m | 1,0 | 1,0 |
| b) khi đường kính lòng cọc từ 0,4 đến 0,8 m | 0,7 | 1,0 |
| 6. Hạ cọc tròn rỗng mũi kín bằng bất kỳ phương pháp nào đến độ sâu từ 10 m trở lên và sau đó thi công mũi cọc nổ mở rộng trong đất cát chặt vừa và trong đất loại sét có chỉ số chảy IL ≤ 0,5 khi đường kính mở rộng bằng: |
|
|
| a) 1,0 m không phụ thuộc vào các loại đất nêu trên | 0,9 | 1,0 |
| b) 1,5 m trong đất cát và đất cát pha | 0,8 | 1,0 |
| c) 1,5 m trong đất sét pha và đất sét | 0,7 | 1,0 |
| 7. Hạ cọc bằng phương pháp ép: |
|
|
| a) vào cát thô, vừa và mịn | 1,1 | 1,0 |
| b) vào cát bụi | 1,1 | 0,8 |
| c) vào đất loại sét có chỉ số chảy IL < 0,5 | 1,1 | 1,0 |
| d) vào đất loại sét có chỉ số chảy IL ≥ 0,5 | 1,0 | 1,0 |
| CHÚ THÍCH: Các hệ số γR,R và γR,f tại điểm 4 của bảng này đối với đất loại sét có chỉ số chảy 0 < IL < 0,5 được xác định bằng nội suy tuyến tính. | ||
7.2.2.2 Không nên tựa mũi cọc đóng và cọc ép lên đất cát rời hoặc đất loại sét có chỉ số chảy IL > 0,6. Nếu áp dụng giải pháp kỹ thuật này thì giá trị tiêu chuẩn của sức chịu tải Rk, tính bằng kilôniutơn (kN), phải được xác định bằng kết quả thí nghiệm nén tĩnh cọc đối chứng theo TCVN 9393.
7.2.2.3 Giá trị tiêu chuẩn của sức chịu tải Rk của các cọc hình tháp, hình thang, hình thoi có độ nghiêng các mặt bên ip ≤ 0,025, xuyên qua lớp đất cát và đất loại sét được xác định theo công thức:
![]()
trong đó:
Rk tính bằng kilôniutơn (kN);
γc, qb, A, hi, fi, γR,R, γR,f tương tự như trong công thức (9);
u1 là chu vi ngoài của tiết diện ngang thứ i của cọc, tính bằng mét (m);
u0,i là tổng kích thước các cạnh (nghiêng so với trục cọc) của tiết diện ngang thứ i của cọc, tính bằng mét (m);
ip là độ nghiêng các mặt bên của cọc;
Ei, là mô đun biến dạng của lớp đất bao quanh mặt bên thân cọc, tính bằng kilôpascan (kPa), được xác định bằng kết quả thí nghiệm nén;
ki là hệ số phụ thuộc vào loại đất, lấy theo Bảng 5;
ζr là hệ số lưu biến của đất, lấy bằng 0,8.
CHÚ THÍCH 1: Đối với cọc hình thoi thì không tiến hành tính tổng sức chịu tải của đất trên mặt bên của phần có nghiêng ngược theo công thức (10).
CHÚ THÍCH 2: Đối với cọc hình tháp có độ nghiêng các mặt bên thân cọc ip > 0,025, cho phép tính toán theo Phụ lục B.
Bảng 5 - Hệ số ki
| Loại đất | Hệ số ki |
| 1. Cát và cát pha | 0,5 |
| 2. Sét pha | 0,6 |
| 3. Sét: khi Ip = 18 khi Ip = 25 |
0,7 0,9 |
| CHÚ THÍCH: Đối với đất sét có chỉ số dẻo 18 < Ip < 25, giá trị của hệ số ki được xác định bằng nội suy tuyến tính. | |
7.2.2.4 Giá trị tiêu chuẩn của sức chịu tải Rk của cọc ma sát (loại đóng, ép) và cọc-ống hạ không moi đất chịu tải trọng kéo được xác định theo công thức:
![]()
trong đó:
Rk tính bằng kilôniutơn (kN);
u, γR,f, fi, hi tương tự như trong công thức (9);
γc là hệ số điều kiện làm việc của cọc trong đất, lấy bằng:
0,6 - khi chiều sâu hạ cọc < 4 m;
0,8 - khi chiều sâu hạ cọc ≥ 4 m.
CHÚ THÍCH: Trong công thức (11) và (16) đối với cột trung gian đỡ đường dây tải điện trên không γc = 1,2, đối với cột néo và cột góc γc = 1,0 nếu lực giữ của trọng lượng cọc và đài cọc bằng giá trị tính toán của tải trọng kéo γc = 1,0, nếu lực giữ nhỏ hơn hoặc bằng 65 % tải trọng kéo tính toán γc = 0,6, và trong các trường hợp khác bằng nội suy tuyến tính.
7.2.2.5 Giá trị tiêu chuẩn của sức chịu tải Rk của cọc và barrette có chiều dài lớn hơn 40 m cần được xác định bằng phương pháp số có xét đến 7.2.3.6. Trong trường hợp này, nên xác định trạng thái ứng suất ban đầu của khối đất có xét đến OCR theo TCVN 4200 phù hợp với 7.7.13.
7.2.2.6 Giá trị dự kiến của lực ép sơ bộ lớn nhất lên cọc Fc,max khi hạ cọc bằng cách ép có thể được lấy theo công thức:
![]()
trong đó:
k là hệ số kinh nghiệm được xác định trên cơ sở so sánh kết quả giá trị tiêu chuẩn của sức chịu tải của cọc theo TCVN 9393 và lực ép lớn nhất đạt được khi hạ cọc. Cho phép lấy giá trị k bằng:
1,6 - đối với cát bụi, mịn và chặt vừa;
2,0 - đối với cát chặt;
1,3 - đối với đất loại sét bụi có E >12 MPa;
1,1 - đối với đất có E < 12 MPa.
CHÚ THÍCH 1: Có thể điều chỉnh k dựa trên điều kiện địa phương, có xét đến dữ liệu lưu trữ sẵn có về hạ cọc.
CHÚ THÍCH 2: Khi hạ cọc vào đất mà tính chất của đất bị thay đổi khi thấm nước thì giá trị Rk phải được xác định theo trạng thái của đất mà cọc được hạ trong đó.
7.2.3 Cọc nhồi, cọc khoan và cọc-ống hạ có moi đất và nhồi bê tông (cọc ma sát)
7.2.3.1 Giá trị tiêu chuẩn của sức chịu tải Rk của cọc nhồi và cọc khoan, có hoặc không mở rộng mũi, cũng như cọc-ống hạ có moi đất và nhồi bê tông, chịu tải trọng nén, được xác định theo công thức:
![]()
trong đó:
Rk tính bằng kilôniutơn (kN);
γc là hệ số điều kiện làm việc của cọc, lấy bằng:
0,8 - cho trường hợp cọc tựa lên đất loại sét có độ bão hòa Sr < 0,85 (Sr xem TCVN 5746) và trên đất hoàng thổ;
1,0 - cho các trường hợp khác.
γR,R là hệ số độ tin cậy về sức kháng đơn vị của đất dưới mũi cọc, lấy bằng:
1,0 - cho mọi trường hợp, trừ các trường hợp:
1,3 - cho cọc nổ mũi và cọc khoan phun theo 6.5 f);
0,5 - cho trường hợp mở rộng mũi cọc bằng phương pháp khoan cơ học và đổ bê tông trong điều kiện khô;
0,3 - cho trường hợp mở rộng mũi cọc bằng phương pháp khoan cơ học và đổ bê tông dưới nước;
qb là sức kháng đơn vị của đất dưới mũi cọc, tính bằng kilôniutơn (kN), được xác định theo 7.2.3.2; còn đối với cọc nhồi chiếm chỗ nêu trong 6.4 a) và cọc nhồi ép rung nêu trong 6.4 b) - lấy theo Bảng 2;
A là diện tích tựa mũi cọc, tính bằng mét vuông (m2), lấy như sau:
- đối với cọc nhồi và cọc khoan không mở rộng mũi: lấy bằng diện tích tiết diện ngang của cọc;
- đối với cọc nhồi và cọc khoan có mở rộng mũi: lấy bằng diện tích tiết diện ngang của cọc mở rộng tại vị trí đường kính đường kính lớn nhất;
- đối với cọc-ống được đổ đầy bằng bê tông: lấy bằng diện tích tiết diện ngang thực của ống;
u chu vi tiết diện ngang của thân cọc, tính bằng mét (m);
γR,f là hệ số điều kiện làm việc của đất nền trên mặt bên thân cọc, phụ thuộc vào phương pháp tạo hố khoan và điều kiện đổ bê tông, lấy theo Bảng 6;
fi là sức kháng đơn vị của lớp đất thứ i trên mặt bên thân cọc, tính bằng kilôpascan (kPa), lấy theo Bảng 3;
hi xem công thức (9).
CHÚ THÍCH 1: Sức kháng đơn vị của cát trên mặt bên thân cọc tính từ khoảng cách 1,5 d0 phía trên phần mở rộng thể hiện trên Hình 2. Cho phép tính sức kháng đơn vị của đất loại sét cho toàn bộ thân cọc.
CHÚ THÍCH 2: Chu vi tiết diện ngang của thân cọc u đối với cọc khoan phun lấy bằng chu vi hố khoan trong quá trình tạo hố.

Bảng 6 - Hệ số điều kiện làm việc của cọc γR,f
| Cọc và phương pháp thi công cọc | Giá trị γR,f trong | |||
| đất cát | đất cát pha | đất sét pha | đất sét | |
| 1. Cọc nhồi (trừ cọc nhồi ép rung nêu tại điểm 2 bảng này), cũng như cọc mà được thi công bằng ép đất theo 6.4 a) khi hạ ống vách bịt mũi bằng tấm đế để lại hoặc nút bê tông | 1,0 | 1,0 | 1,0 | 0,9 |
| 2. Cọc nhồi ép rung | 0,9 | 0,9 | 0,9 | 0,9 |
| 3 Cọc khoan, bao gồm cả cọc khoan có mở rộng, được đổ bê tông: |
|
|
|
|
| a) khi không có nước trong hố khoan (điều kiện khô) và khi sử dụng ống vách, cũng như khi thi công bằng phương pháp CFA | 0,7 | 0,7 | 0,7 | 0,6 |
| b) dưới nước hoặc trong dung dịch sét (bentonite) | 0,6 | 0,6 | 0,6 | 0,6 |
| c) bằng hỗn hợp bê tông cứng kết hợp với đầm sâu (điều kiện khô) | 0,8 | 0,8 | 0,8 | 0,7 |
| 4. Cọc barrette theo 6.5 c) | 0,6 | 0,6 | 0,6 | 0,6 |
| 5. Cọc-ống được hạ bằng rung có moi đất | 1,0 | 0,9 | 0,7 | 0,6 |
| 6. Cọc-trụ | 0,7 | 0,7 | 0,7 | 0,6 |
| 7. Cọc khoan phun được thi công có dùng ống vách hoặc dung dịch sét (bentonite) dưới áp lực từ 200 kPa đến 400 kPa (2 atm đến 4 atm), cũng như phun hỗn hợp bê tông qua cần khoan guồng xoắn rỗng lòng | 0,9 | 0,8 | 0,8 | 0,8 |
| 8. Cọc khoan phun được thi công bằng phương pháp xung điện PDT theo 6.5 f) | 1,3 | 1,3 | 1,1 | 1,1 |
Diện tích tựa của cọc khoan phun lấy bằng diện tích tiết diện ngang mở rộng, còn chu vi tiết diện ngang của thân - dựa trên giá trị trung bình của đường kính cọc dji, được xác định theo thể tích hỗn hợp bê tông dùng để đổ đầy phần mở rộng ở xung điện thứ j trong lớp đất thứ i. Phần mở rộng đã dự kiến trước của cọc trong đồ án thiết kế cần được chính xác lại khi chế tạo cọc thử trong các điều kiện đất cụ thể.
CHÚ THÍCH: Đối với cọc có mũi mở rộng hạ bằng phương pháp khoan cơ học, nếu có dữ liệu video theo dõi hố khoan hoặc kết quả kiểm tra cho thấy không có cặn lắng tại đế mở rộng của hố khoan và đáy hố khoan, thì cho phép lấy: γR,R = 1,0 khi đổ bê tông trong điều kiện khô và γR,R = 0,9 khi đổ bê tông bằng phương pháp xói nước.
7.2.3.2 Sức kháng đơn vị của đất dưới mũi cọc qb, tính bằng kilôpascan (kPa), được xác định:
a) Đối với đất hòn lớn lẫn cát hoặc cát trong nền của:
- Cọc nhồi và cọc khoan có hoặc không mở rộng mũi, cọc-ống hạ có moi lõi đất: theo công thức
![]()
- Cọc-ống hạ có giữ lại lõi đất với chiều cao từ 0,5 m: theo công thức
![]()
trong đó:
| α1, α2, α3, α4 | là hệ số không thứ nguyên, lấy theo Bảng 7 phụ thuộc vào giá trị tính toán của góc ma sát trong của đất nền; |
|
| là giá trị tính toán của trọng lượng riêng của đất trong nền cọc, tính bằng kN/m3, (với đất bão hòa nước có xét đến tác động đẩy nổi của nước); |
| γ1 | là giá trị tính toán trung bình (theo lớp) của trọng lượng riêng của đất nằm trên mũi cọc, tính bằng kN/m3, (với đất bão hòa nước có xét đến tác động đẩy nổi của nước); |
| d | là đường kính, tính bằng mét (m), của cọc nhồi và cọc khoan, đường kính phần mở rộng (đối với cọc có mở rộng), đường kính cọc-ống hoặc đường kính hố khoan đối với cọc-trụ được toàn khối hóa trong đất bằng vữa xi măng-cát; |
| h | là chiều sâu đặt mũi cọc hoặc phần mở rộng của nó, tính bằng mét (m), tính từ mặt đất tự nhiên hoặc cao độ quy hoạch (khi san lấp bằng đào xén); |
b) Đối với đất loại sét trong nền - theo Bảng 8.
CHÚ THÍCH 1: Các yêu cầu nêu trong 7.2.3.2 này chỉ áp dụng đối với các trường hợp khi chiều sâu hạ cọc trong lớp đất làm nền không nhỏ hơn 2 m.
CHÚ THÍCH 2: Các giá trị của qb đã tính được theo các công thức (14) và (15) không được lấy lớn hơn các giá trị nêu trong Bảng 2 cho cọc đóng có cùng chiều dài và điều kiện đất.
Bảng 7 - Các hệ số α1, α2, α3, α4
| Các hệ số | Giá trị tính toán của góc ma sát trong φ | ||||||||
| 23° | 25° | 27° | 29° | 31° | 33° | 35° | 37° | 39° | |
| α1 | 9,5 | 12,6 | 17,3 | 24,4 | 34,6 | 48,6 | 71,3 | 108,0 | 163,0 |
| α2 | 18,6 | 24,8 | 32,8 | 45,5 | 64,0 | 87,6 | 127,0 | 185,0 | 260,0 |
| α3 khi h/d bằng: |
|
|
|
|
|
|
|
|
|
| 4,0 | 0,78 | 0,79 | 0,80 | 0,82 | 0,84 | 0,85 | 0,85 | 0,85 | 0,87 |
| 5,0 | 0,75 | 0,76 | 0,77 | 0,79 | 0,81 | 0,82 | 0,83 | 0,84 | 0,85 |
| 7,5 | 0,68 | 0,70 | 0,71 | 0,74 | 0,76 | 0,78 | 0,80 | 0,82 | 0,84 |
| 10,0 | 0,62 | 0,65 | 0,67 | 0,70 | 0,73 | 0,75 | 0,77 | 0,79 | 0,81 |
| 12,5 | 0,58 | 0,61 | 0,63 | 0,67 | 0,70 | 0,73 | 0,75 | 0,78 | 0,80 |
| 15,0 | 0,55 | 0,58 | 0,61 | 0,65 | 0,68 | 0,71 | 0,73 | 0,76 | 0,79 |
| 17,5 | 0,51 | 0,55 | 0,58 | 0,62 | 0,66 | 0,69 | 0,72 | 0,75 | 0,78 |
| 20,0 | 0,49 | 0,53 | 0,57 | 0,61 | 0,65 | 0,68 | 0,72 | 0,75 | 0,78 |
| 22,5 | 0,46 | 0,51 | 0,55 | 0,60 | 0,64 | 0,67 | 0,71 | 0,74 | 0,77 |
| ≥ 25,0 | 0,44 | 0,49 | 0,54 | 0,59 | 0,63 | 0,67 | 0,70 | 0,74 | 0,77 |
| α4 khi d bằng, m: |
|
|
|
|
|
|
|
|
|
| ≤ 0,8 | 0,34 | 0,31 | 0,29 | 0,27 | 0,26 | 0,25 | 0,24 | 0,23 | 0,22 |
| 4,0 | 0,25 | 0,24 | 0,23 | 0,22 | 0,21 | 0,20 | 0,19 | 0,18 | 0,17 |
| CHÚ THÍCH 1: Giá trị tính toán của góc ma sát trong φ lấy bằng φ = φ1. CHÚ THÍCH 2: Đối với giá trị trung gian φ1, h/d và d thì các hệ số α1, α2, α3, α4 được xác định bằng nội suy tuyến tính. | |||||||||
Bảng 8 - Sức kháng đơn vị qb dưới mũi cọc nhồi, cọc khoan, cọc-ống hạ có moi đất và đổ đầy bê tông trong đất loại sét (trừ đất lún ướt)
| Chiều sâu đặt mũi cọc h, m | Giá trị qb, kPa, trong đất loại sét (trừ đất lún ướt) có chỉ số chảy IL bằng | ||||||
| 0,0 | 0,1 | 0,2 | 0,3 | 0,4 | 0,5 | 0,6 | |
| (1) | (2) | (3) | (4) | (5) | (6) | (7) | (8) |
| 3 | 850 | 750 | 650 | 500 | 400 | 300 | 250 |
| 5 | 1 000 | 850 | 750 | 650 | 500 | 400 | 350 |
| 7 | 1 150 | 1 000 | 850 | 750 | 600 | 500 | 450 |
| 10 | 1 350 | 1 200 | 1 050 | 950 | 800 | 700 | 600 |
| 12 | 1 550 | 1 400 | 1 250 | 1 100 | 950 | 800 | 700 |
| 15 | 1 800 | 1 650 | 1 500 | 1 300 | 1 100 | 1 000 | 800 |
| 18 | 2 100 | 1 900 | 1 700 | 1 500 | 1 300 | 1 150 | 950 |
| 20 | 2 300 | 2 100 | 1 900 | 1 650 | 1 450 | 1 250 | 1 050 |
| 30 | 3 300 | 3 000 | 2 600 | 2 300 | 2 000 | - | - |
| ≥ 40 | 4 500 | 4 000 | 3 500 | 3 000 | 2 500 | - | - |
| CHÚ THÍCH 1: Trong bảng này, chiều sâu đặt mũi cọc và chiều sâu trung bình của lớp đất khi quy hoạch san lấp bằng đào xén, lấp đầy, bồi đắp đến 3 m cần được tính từ cao độ mặt đất tự nhiên, còn khi đào xén, lấp đầy, bồi đắp từ 3 m - tính từ cao độ quy ước nằm tương ứng 3 m cao hơn cao độ đào xén hoặc 3 m thấp hơn cao độ lấp đất. Chiều sâu đặt mũi cọc và chiều sâu trung bình của lớp đất trong hồ chứa cần được tính từ cao độ đáy hồ chứa sau khi xói lở hoàn toàn khi tính toán lũ. CHÚ THÍCH 2: Đối với các giá trị chiều sâu trung gian đặt mũi cọc và các giá trị chỉ số chảy trung gian IL của đất loại sét, giá trị qb trong bảng này được xác định bằng nội suy tuyến tính. CHÚ THÍCH 3: Khi tính toán, chỉ số chảy của đất cần được lấy ứng với trạng thái dự tính của nó trong giai đoạn sử dụng công trình đang thiết kế. CHÚ THÍCH 4: Sức kháng đơn vị qb của đất hòn lớn lẫn sét được xác định theo kết quả các thí nghiệm hiện trường riêng biệt trên mặt bên thân cọc và dưới mũi cọc. | |||||||
7.2.3.3 Sức kháng đơn vị qb, tính bằng kilôpascan (kPa), của đất dưới mũi cọc-ống hạ có moi đất một phần, nhưng giữ lại lõi đất với chiều cao không nhỏ hơn ba lần đường kính ống ở giai đoạn cuối hạ cọc (với điều kiện lõi đất được hình thành từ đất có các tính chất giống như đất dưới mũi cọc-ống), lấy theo Bảng 2 với hệ số điều kiện làm việc của đất xét đến phương pháp hạ cọc-ống (điểm 4 của Bảng 4), khi đó sức kháng đơn vị trong trường hợp vừa nêu được tính trên diện tích tiết diện ngang thực của cọc-ống.
7.2.3.4 Giá trị tiêu chuẩn của sức chịu tải Rk của cọc nhồi, cọc khoan và cọc-ống chịu tải trọng kéo được xác định theo công thức:
![]()
trong đó:
Rk tính bằng kilôniutơn (kN);
γc xem công thức (11);
u, γR,f, fi, hi xem công thức (13).
7.2.3.5 Đối với cọc nhồi, cọc khoan và cọc-ống hạ không moi đất và đổ đầy bằng bê tông, mũi cọc tựa lên đất loại sét có chỉ số chảy IL > 0,6, giá trị tiêu chuẩn của sức chịu tải cần được xác định theo kết quả thí nghiệm nén tĩnh cọc phù hợp với TCVN 9393.
7.2.3.6 Giá trị tiêu chuẩn của sức chịu tải của cọc có chiều dài lớn hơn 40 m được xác định bằng phần mềm chuyên dụng trên cơ sở xây dựng biểu đồ “độ lún - tải trọng”. Ngoài ra, giá trị tiêu chuẩn của sức chịu tải lấy bằng tải trọng lên cọc ứng với độ lún tính toán bằng 4 cm.
7.2.4 Cọc vít
Giá trị tiêu chuẩn của sức chịu tải (nén hoặc kéo) Rk của cọc vít một cánh với đường kính cánh d ≤ 1,2 m và chiều dài L ≤ 10 m được xác định theo công thức (17) (với các thông số khác, ví dụ như khi có hai hoặc nhiều hơn cánh vít, đường kính cánh d > 1,2 m và chiều dài hạ cọc L > 10 m, khi có lực ngang hoặc mô men - chỉ theo kết quả thí nghiệm cọc bằng tải trọng tĩnh hoặc kết quả tính toán số trong bài toán phi tuyến có sử dụng mô hình đất đã được thực nghiệm):
![]()
trong đó:
Rk tính bằng kilôniutơn (kN);
γc là hệ số điều kiện làm việc của cọc, phụ thuộc vào loại tải trọng tác dụng lên cọc và điều kiện đất và được xác định theo Bảng 9;
γR,R, γR,f là các hệ số điều kiện làm việc của đất tương ứng dưới mũi cọc và trên mặt bên thân cọc, xét đến ảnh hưởng của phương pháp hạ cọc đến sức kháng đơn vị của đất. Nên lấy γR,R = 1,0 và γR,f = 1,0 cho mọi trường hợp, ngoại trừ trường hợp thi công trong hố khoan dẫn lấy theo hướng dẫn ở điểm 2 của Bảng 4;
Rk,0 là giá trị tiêu chuẩn của sức chịu tải của cánh, tính bằng kilôniutơn (kN);
Rk,f là giá trị tiêu chuẩn của sức chịu tải của thân, tính bằng kilôniutơn (kN).
Bảng 9 - Hệ số điều kiện làm việc của cọc vít γc
| Loại đất | Giá trị γc của cọc vít khi tải trọng là | ||
| nén | kéo | đổi dấu | |
| 1 Đất sét và sét pha: |
|
|
|
| a) cứng, nửa cứng và dẻo cứng | 0,8 | 0,7 | 0,7 |
| b) dẻo mềm | 0,8 | 0,7 | 0,6 |
| c) dẻo chảy | 0,7 | 0,6 | 0,4 |
| 2 Cát và cát pha: |
|
|
|
| a) cát ít ẩm và cát pha cứng | 0,8 | 0,7 | 0,5 |
| b) cát ẩm và cát pha dẻo | 0,7 | 0,6 | 0,4 |
| c) cát bão hòa nước và cát pha chảy cát bão hòa nước và cát pha chảy | 0,6 | 0,5 | 0,3 |
| CHÚ THÍCH: Khi xác định hệ số điều kiện làm việc γc cho cọc chỉ làm việc chịu tải trọng nén và lực trương nở thì các giá trị của hệ số γc cần được lấy theo: - cột “nén” - nếu độ lớn của lực trương nở không vượt quá 15 % tải trọng nén; - cột “đổi dấu” - trong các trường hợp khác. | |||
Giá trị tiêu chuẩn của sức chịu tải của cánh cọc vít Rk,0 được xác định theo công thức:
![]()
trong đó:
α1, α2 là các hệ số không thứ nguyên, lấy theo Bảng 10, phụ thuộc vào giá trị tính toán của góc ma sát trong của đất trong vùng làm việc φ1 (vùng làm việc là vùng đất bên dưới, liền kề với cánh vít, có chiều dày bằng d);
c1 là giá trị tính toán của lực dính đơn vị trong vùng làm việc;
y1 là giá trị tính toán trung bình của trọng lượng riêng của đất nằm bên trên cánh vít (với đất bão hòa nước có xét đến tác động đẩy nổi của nước), tính bằng kN/m3;
h1 là chiều sâu hạ cánh vít của cọc tính từ mặt đất tự nhiên, còn đối với mặt đất quy hoạch san lấp bằng đào xén - tính từ cao độ san lấp, tính bằng mét (m);
A là hình chiếu diện tích cánh, tính bằng mét vuông (m2), tính theo đường kính ngoài khi cọc vít chịu tải trọng nén và là hình chiếu diện tích làm việc của cánh (tức là trừ đi diện tích tiết diện thân cọc) khi cọc vít chịu tải trọng kéo.
Giá trị tiêu chuẩn của sức chịu tải của thân cọc vít Rk,f được xác định theo công thức
![]()
trong đó:
fi là sức kháng đơn vị của đất trên mặt bên của thân cọc vít, tính bằng kilôpascan (kPa), lấy theo Bảng 3 (giá trị trung bình của tất cả các lớp đất mà cọc xuyên qua);
h là chiều dài thân cọc hạ trong đất, tính bằng mét (m);
d là đường kính cánh cọc, tính bằng mét (m).
CHÚ THÍCH 1: Khi tính giá trị tiêu chuẩn của sức chịu tải của cọc vít dưới tác dụng của tải trọng nén thì các đặc trưng của đất trong Bảng 10 áp dụng cho đất nằm dưới cánh vít, còn dưới tác dụng của tải trọng kéo - áp dụng cho đất nằm trên cánh vít của cọc.
CHÚ THÍCH 2: Chiều sâu đặt cánh vít được tính từ cao độ san lấp hoặc đáy đầm lầy (khi thi công đắp) nhưng không được nhỏ hơn 5d trong đất loại sét và không nhỏ hơn 6d trong đất cát (trong đó d là đường kính cánh vít).
Bảng 10 - Các hệ số α1 và α2
| Giá trị tính toán của góc ma sát trong của đất trong vùng làm việc φ1 | Giá trị các hệ số | |
| α1 | α2 | |
| 13° | 7,8 | 2,8 |
| 15° | 8,4 | 3,3 |
| 16° | 9,4 | 3,8 |
| 18° | 10,1 | 4,5 |
| 20° | 12,1 | 5,5 |
| 22° | 15,0 | 7,0 |
| 24° | 18,0 | 9,2 |
| 26° | 23,1 | 12,3 |
| 28° | 29,5 | 16,5 |
| 30° | 38,0 | 22,5 |
| 32° | 48,4 | 31,0 |
| 34° | 64,9 | 44,4 |
7.2.5 Cọc-ống thép
7.2.5.1 Cho phép sử dụng cọc-ống thép có mũi hở và mũi kín.
Cọc-ống thép có mũi hở và mũi kín có xét đến sức kháng đơn vị của đất dưới đáy mũi ống của cọc và sức kháng đơn vị của đất trên mặt ngoài của thân cọc.
Giá trị tiêu chuẩn của sức chịu tải Rk của cọc-ống thép có mũi hở chịu tải trọng nén phải được xác định theo kết quả thí nghiệm nén tĩnh. Để ấn định tải trọng thí nghiệm nén tĩnh cọc-ống thép có mũi hở, cần xem xét hai phương án làm việc của cọc ở trạng thái giới hạn:
a) Có xét đến nêm đất được hình thành do sức kháng đơn vị của đất dưới mũi cọc-ống (diện tích thực), diện tích nêm đất (bằng diện tích nguyên trừ đi diện tích thực) và sức kháng đơn vị của đất trên mặt ngoài của thân cọc;
b) Có xét đến sức kháng đơn vị của đất dưới mũi cọc-ống nhưng không xét đến nêm đất (diện tích thực của mũi cọc) và sức kháng đơn vị của đất trên cả mặt ngoài và mặt trong của thân cọc.
Giá trị tìm được của giá trị tiêu chuẩn của sức chịu tải của cọc làm từ ống thép có mũi hở chịu tải trọng nén phải lấy bằng giá trị nhỏ nhất trong số các phương án đã xét.
7.2.5.2 Cọc làm từ ống thép cần được thiết kế với đường kính và chiều dày thành đủ để đảm bảo độ bền và ổn định của nó, cũng như giá trị tiêu chuẩn của sức chịu tải theo đất nền dưới tác dụng của các tải trọng lên nó có thể phát sinh trong quá trình hạ ống và trong quá trình sử dụng cọc. Đường kính ngoài của ống dọc suốt chiều dài cọc phải bằng nhau. Không được đặt các vòng cứng ở đầu ống.
7.2.5.3 Khi xác định giá trị tiêu chuẩn của sức chịu tải Rk của cọc-ống thép có mũi hở phải dùng sức kháng đơn vị của đất dưới mũi cọc và trên mặt bên cọc có xét đến công thức (9) và các yêu cầu nêu trong 7.2.5.1 và 7.2.5.4. Cần đưa thêm hệ số điều kiện làm việc giảm (đặc trưng cho cọc-ống thép) vào sức kháng đơn vị bằng cách nhân nó với sức kháng đơn vị. Việc tính toán cọc-ống thép có mũi hở chịu tải trọng kéo phải được thực hiện có xét đến công thức (11) và các yêu cầu nêu trong 7.2.5.4.
CHÚ THÍCH: Giá trị tiêu chuẩn của sức chịu tải Rk của cọc-ống thép có mũi hở khi nó tựa lên đá hoặc đất biến dạng nhỏ (E > 50 MPa) chỉ được phép xác định dựa trên kết quả thí nghiệm bằng tải trọng tĩnh.
7.2.5.4 Khi xác định giá trị tiêu chuẩn của sức chịu tải Rk của cọc-ống thép có mũi hở:
- Hệ số điều kiện làm việc của đất dưới mũi của nêm đất γR,R lấy bằng 0,5;
- Hệ số điều kiện làm việc của đất trên mặt bên (ngoài hoặc trong) của thân cọc γR,f, xét đến loại đất trong các lớp, lấy bằng:
0,52 - đối với các lớp đất cát;
0,43 - đối với các lớp đất loại sét;
0,47 - đối với các lớp đất cát pha.
7.2.5.5 Việc kiểm soát giá trị tiêu chuẩn của sức chịu tải Rk của từng cọc chế tạo công nghiệp phải được thực hiện dựa trên kết quả thí nghiệm động và số liệu thu được trong quá trình thí nghiệm nén tĩnh cọc thí nghiệm phù hợp với TCVN 9393.
7.2.5.6 Búa đóng cọc phải được lựa chọn phù hợp với kích thước cọc. Ứng suất phát sinh trong quá trình đóng cọc không được lớn hơn 0,8 lần giá trị giới hạn chảy của thép làm cọc.
7.2.6 Cọc liên hợp
7.2.6.1 Cọc liên hợp có thể được thi công bằng cách hạ trực tiếp lõi cọc vào khối đất đã được gia cố bằng công nghệ khoan phụt trong khi phần đất - xi măng vẫn còn ở trạng thái lỏng hoặc sau khi đã đóng rắn. Trong trường hợp đầu tiên, các cấu kiện thép (ống, chữ I) có thể dùng làm lõi cọc. Trong trường hợp thứ hai, cọc khoan được cắm vào thân của phần đất - xi măng đến chiều sâu ít nhất bằng hai lần đường kính cọc.
7.2.6.2 Các cấu kiện mà được thi công bằng công nghệ khoan phụt là có hiệu quả làm tăng giá trị tiêu chuẩn của sức chịu tải Rk của cọc theo đất nền với dự trữ an toàn đáng kể về độ bền của vật liệu làm lõi cọc. Các đặc trưng độ bền của phần đất - xi măng phải được ấn định phụ thuộc vào điều kiện đất và lượng dùng xi măng. Giá trị các đặc trưng độ bền của khối đất đã gia cố phải được lấy phù hợp với TCVN 9403 và được xác nhận trong quá trình chế tạo và thí nghiệm thử. Khối lượng công việc chế tạo và thí nghiệm thử cần được ấn định khi lập đồ án móng.
7.2.6.3 Trong trường hợp tổng quát, khi thi công cọc liên hợp thì kích thước lõi (d nếu lõi là hình tròn và b nếu lõi là hình vuông) có quan hệ với đường kính cọc đất-xi măng D theo tỷ lệ tương quan sau:
- Đối với lõi hình tròn có đường kính d: D = (1,2 ÷ 2,5)d;
- Đối với lõi hình vuông có cạnh b: D = (1,5 ÷ 3,0)b.
7.2.6.4 Giá trị tiêu chuẩn của sức chịu tải Rk của cọc liên hợp phải được xác định dựa trên thí nghiệm bằng tải trọng tĩnh. Việc ấn định tải trọng để tiến hành thí nghiệm cần được thực hiện theo các bảng 8 và 9, trong đó lấy γR,R = 1,0. Ma sát (sức kháng đơn vị) trên mặt bên của thân cọc liên hợp cần được xác định theo Bảng 3, khi đó hệ số điều kiện làm việc trên mặt bên của thân cọc liên hợp có sử dụng công nghệ khoan phụt γR,f lấy bằng 0,85, còn khi thi công các cấu kiện bê tông theo Bảng 6 - lấy phụ thuộc vào công nghệ thi công.
7.2.6.5 Tính toán độ bền của cọc liên hợp theo vật liệu cần được thực hiện xuất phát từ yêu cầu đảm bảo độ bền của:
- Lõi cọc khi không xét đến sự có mặt của phần đất - xi măng;
- Vật liệu làm phần bê tông hoặc phần đất - xi măng;
- Phần tiếp xúc giữa lõi cọc và vật liệu của phần bê tông hoặc phần đất - xi măng.
CHÚ THÍCH: Việc mô hình hóa bằng phương pháp số các phần được gia cố theo công nghệ khoan phụt hoặc khoan trộn nên được thực hiện có sử dụng các mô hình tính toán như: mô hình đàn dẻo lý tưởng và mô hình dựa trên tiêu chí phi tuyến về độ bền cắt (trượt) được thiết lập riêng cho đá.
7.2.6.6 Để bảo vệ chống ăn mòn cho ống thép (là một phần của cọc liên hợp), phải phủ lên bề mặt ngoài của nó bằng vật liệu có tính ma sát để tăng giá trị tiêu chuẩn của sức chịu tải Rk của cọc. Để làm lớp phủ này, cho phép sử dụng sơn (epoxy hoặc loại khác phù hợp với TCVN 12251) có đưa vào 50 % đến 70 % theo khối lượng cát cỡ hạt 1 mm đến 2 mm hoặc sử dụng ống bọc làm bằng vải polyme dệt.
7.2.6.7 Thí nghiệm kéo đối với cọc liên hợp có sử dụng phần đất - xi măng phải được thực hiện không sớm hơn 14 ngày trong đất cát và 28 ngày trong đất loại sét sau khi thi công.
7.2.7 Xét đến ma sát âm trên thân cọc
7.2.7.1 Nền đất bao quanh cọc có thể bị lún do cố kết, trương nở, phụ tải tại khu vực liền kề, v.v. Ma sát âm xuất hiện trên mặt bên thân cọc khi độ lún của đất nền quanh cọc có hướng thẳng đứng từ trên xuống cần được xét đến trong các trường hợp:
- Chiều dày lớp đất đắp quy hoạch lớn hơn 1,0 m;
- Tải trọng có ích lên nền kho lớn hơn 20 kN/m2;
- Tải trọng có ích do thiết bị lên nền đất gần móng lớn hơn 100 kN/m2;
- Tăng ứng suất hiệu quả trong đất do loại bỏ tác động đẩy nổi của nước khi hạ mực nước ngầm;
- Đất trầm tích hiện đại và trầm tích nhân tạo chưa kết thúc cố kết;
- Nén chặt đất rời dưới tác động động;
- Lún ướt của đất khi bị thấm ướt;
- Khi xây dựng công trình mới gần công trình hiện hữu.
CHÚ THÍCH: Tính toán ma sát âm trong đất lún ướt được thực hiện theo các yêu cầu nêu trong Điều 9.
7.2.7.2 Ma sát âm được xét tới độ sâu mà tại đó giá trị độ lún của đất bao quanh cọc sau khi thi công và chất tải lên móng cọc (theo TCVN 9362) vượt quá một nửa giá trị độ lún giới hạn của công trình đang thiết kế. Sức kháng đơn vị của đất fi lấy theo Bảng 3 nhưng với dấu “âm”, còn đối với than bùn, bùn, bùn thối - lấy bằng âm 5 kPa (Hình 3, a). Nếu trong phạm vi chiều sâu hạ cọc có các vỉa than bùn có chiều dày lớn hơn 30 cm và có thể có quy hoạch san lấp bằng đất đắp hoặc tải trọng khác tương đương với đất đập thì sức kháng đơn vị fi của đất nằm phía trên đáy lớp than bùn dưới cùng (trong phạm vi chiều sâu hạ cọc) cần được lấy như sau:
a) Khi chiều cao đắp nhỏ hơn 2 m:
- Đối với lớp đất đắp và than bùn - lấy bằng 0;
- Đối với đất khoáng không phải là đất đắp - lấy theo Bảng 3 (Hình 3, b);
b) khi chiều cao đắp từ 2 đến 5 m:
- Đối với các loại đất, bao gồm cả đất đắp - lấy bằng 0,4 lần các giá trị nêu trong Bảng 3 nhưng với dấu “âm”;
- Đối với than bùn - lấy bằng âm 5 kPa (lực ma sát âm) (Hình 3, c);
c) Khi chiều cao đắp lớn hơn 5 m:
- Đối với các loại đất, bao gồm cả đất đắp - lấy bằng các giá trị nêu trong Bảng 3 nhưng với dấu “âm”;
- Đối với than bùn - lấy bằng âm 5 kPa (Hình 3, d).
CHÚ THÍCH: Cho phép xác định độ lún của đất bao quanh cọc bằng phương pháp cộng lún từng lớp theo TCVN 9362 mà không cần xét đến sự có mặt của cọc hoặc bằng phương pháp số.

7.2.7.3 Trường hợp khi sự cố kết của đất (do đắp đất hoặc phụ tải khu vực tại thời điểm bắt đầu thi công phần trên mặt đất của công trình, bao gồm cả đài cọc) đã kết thúc hoặc giá trị độ lún có thể có của đất bao quanh cọc sau thời điểm này (do lún cố kết còn lại) không vượt quá một nửa giá trị độ lún giới hạn của công trình đang thiết kế, thì cho phép lấy sức kháng đơn vị của đất trên mặt bên thân cọc là dương không phụ thuộc vào sự có mặt hoặc không của lớp than bùn mỏng. Đối với lớp than bùn mỏng, giá trị fi lấy bằng 5 kPa.
Nếu biết được giá trị của hệ số cố kết và mô đun biến dạng của than bùn (nằm trong phạm vi chiều sâu hạ cọc) và có thể xác định được giá trị độ lún của nền do tác dụng của phụ tải khu vực cho từng lớp đất thì khi xác định giá trị tiêu chuẩn của sức chịu tải của cọc Rk cho phép xét đến lực kháng của đất với dấu âm (lực ma sát âm) không phải từ đáy lớp than bùn dưới cùng mà bắt đầu từ mặt trên của lớp đất có giá trị độ lún bổ sung do phụ tải khu vực (tính từ thời điểm tải trọng tính toán truyền lên cọc) bằng một nửa giá trị độ lún giới hạn của công trình đang thiết kế.
CHÚ THÍCH: Phụ tải khu vực là tải trọng nằm ngoài phạm vi nền của móng.
7.3 Xác định sức chịu tải của cọc theo kết quả thí nghiệm hiện trường
7.3.1 Yêu cầu chung về thí nghiệm
7.3.1.1 Có thể xác định giá trị tiêu chuẩn của sức chịu tải của cọc Rk tại hiện trường bằng các phương pháp sau: thí nghiệm cọc bằng tải trọng tĩnh và động và thí nghiệm đất bằng CPT, SPT. Số lượng thí nghiệm cọc được xác định bởi đồ án thiết kế phụ thuộc vào mức độ phức tạp của điều kiện địa chất công trình, độ lớn của tải trọng truyền xuống nền và số lượng cọc kích thước điển hình (đại trà). Để xác định giá trị tiêu chuẩn của sức chịu tải Rk của cọc theo kết quả thí nghiệm hiện trường cho các công trình cấp C3 và C2, nên tiến hành:
- Thí nghiệm cọc và cọc-tấm nén bằng tải trọng tĩnh - số lượng thí nghiệm xem trong Phụ lục F;
- Thí nghiệm cọc bằng tải trọng động - số lượng thí nghiệm xem trong Phụ lục F;
- Thí nghiệm đất bằng CPT (trong phạm vi mỗi chu vi công trình đang thiết kế dùng móng cọc, cần thực hiện CPT để chính xác thêm mặt cắt địa chất công trình và xác định giá trị tiêu chuẩn của sức chịu tải của cọc Rk) - số lượng thí nghiệm xem trong Phụ lục F.
- Thí nghiệm đất bằng SPT: số lượng thí nghiệm xem trong Phụ lục F;
CHÚ THÍCH 1: Đối với công trình cấp C3, giá trị tiêu chuẩn của sức chịu tải của cọc Rk được phép xác định từ kết quả thí nghiệm bằng tải trọng tĩnh đối với cọc có đo ứng suất dọc thân cọc được thực hiện theo trường hợp riêng.
CHÚ THÍCH 2: Giá trị tiêu chuẩn của sức chịu tải của cọc Rk được khẳng định bằng một hoặc nhiều phương pháp theo lựa chọn của tư vấn thiết kế.
7.3.1.2 Thí nghiệm nén tĩnh cọc cần được thực hiện theo TCVN 9393, thí nghiệm cọc bằng tải trọng động - tham khảo GOST 5686 [4], SPT - theo TCVN 9351, CPT - theo TCVN 9352.
7.3.2 Xác định sức chịu tải của cọc theo kết quả thí nghiệm bằng tải trọng tĩnh (nén, kéo, ngang)
7.3.2.1 Giá trị tiêu chuẩn của sức chịu tải của cọc Rk theo kết quả thí nghiệm bằng tải trọng tĩnh (nén, kéo và ngang) cần được xác định theo công thức:
![]()
trong đó:
Rk tính bằng kilôniutơn (kN);
γc là hệ số điều kiện làm việc của cọc:
- khi chịu tải trọng nén hoặc ngang: γc = 1;
- khi chịu tải trọng kéo: γc lấy theo 7.2.3.1;
Ru,k là giá trị tiêu chuẩn của sức chịu tải giới hạn của cọc, tính bằng kilôniutơn (kN), được xác định theo 7.3.2.2 đến 7.3.2.3;
yc,g1 là hệ số độ tin cậy về đất, lấy theo 7.3.2.2.
CHÚ THÍCH: Kết quả thí nghiệm cọc chịu tải trọng ngang tại hiện trường có thể được dùng để xác định trực tiếp tải trọng tính toán cho phép truyền lên cọc nếu điều kiện thí nghiệm phù hợp với điều kiện làm việc thực tế của cọc trong móng.
7.3.2.2 Nếu số lượng các cọc giống nhau được thí nghiệm trong cùng điều kiện đất n < 6 thì giá trị sức chịu tải giới hạn của cọc Ru,k trong công thức (20) cần được lấy bằng giá trị sức chịu tải giới hạn nhỏ nhất Ru,min thu được từ kết quả thí nghiệm, tức là:
Ru,k = Ru,min
còn hệ số độ tin cậy về đất yc,g1 = 1,0.
Nếu số lượng các cọc giống nhau được thí nghiệm trong cùng điều kiện đất n ≥ 6 thì Ru,k và yc,g1 cần được xác định dựa trên kết quả xử lý thống kê các giá trị sức chịu tải giới hạn đơn lẻ của các cọc Ru thu được từ số liệu thí nghiệm với giá trị xác suất tin cậy α = 0,95 (xem G.2, Phụ lục G, trong đó tính γc,g1 theo cách tính γg). Khi đó, để xác định các giá trị sức chịu tải giới hạn đơn lẻ Ru thì cần thực hiện theo hướng dẫn nêu trong 7.3.2.3 khi thí nghiệm nén tĩnh và trong 7.3.2.4 khi thí nghiệm kéo tĩnh hoặc đẩy ngang tĩnh.
CHÚ THÍCH 1: Xử lý thống kê được thực hiện trong phạm vi phân vùng khu đất xây dựng nơi có điều kiện địa chất công trình như nhau. Nếu trong phạm vi đó mà tính được giá trị tiêu chuẩn của sức chịu tải của cọc nào đó khác với giá trị trung bình hơn 25 % thì xử lý thống kê các kết quả thí nghiệm phải áp dụng cho từng phân vùng nhỏ hơn trong phạm vi khu đất xây dựng.
CHÚ THÍCH 2: Khi có cơ sở thì cho phép tiến hành thí nghiệm một cọc tại vị trí có điều kiện bất lợi nhất trong công trường xây dựng.
7.3.2.3 Nếu tải trọng khi thí nghiệm nén tĩnh cọc được tăng đến giá trị gây ra sự tăng liên tục độ lún của cọc s (khi s ≤ 20 mm) mà tải trọng không tăng thì giá trị sức chịu tải giới hạn của cọc đang thí nghiệm Ru được lấy bằng tải trọng ghi nhận được ở cấp tải trọng ngay trước đó.
Trong tất cả các trường hợp còn lại, đối với móng công trình (trừ công trình thủy lợi) giá trị sức chịu tải trọng nén giới hạn của cọc Ru cần được lấy bằng tải trọng gây ra độ lún s xác định theo công thức:
![]()
trong đó:
ζ là hệ số chuyển đổi từ giá trị độ lún giới hạn trung bình của móng công trình su,mt sang độ lún của cọc thu được khi thí nghiệm nén tĩnh với ổn định quy ước của độ lún (tắt dần);
su,mt là giá trị độ lún giới hạn trung bình của móng công trình đang thiết kế, nêu tại Bảng E.1 trong Phụ lục E đối với công trình mới.
CHÚ THÍCH: Đối với công trình cần cải tạo, giá trị s theo công thức (21) được phép khống chế bằng giá trị độ lún lớn nhất sad,u,max theo Phụ lục E.
Khi thí nghiệm nén tĩnh cọc được thực hiện với ổn định quy ước bằng 0,1 mm trong 1 h nếu dưới mũi cọc là đất cát hoặc đất loại sét từ cứng đến dẻo cứng, còn trong 2 h nếu dưới mũi cọc là đất loại sét từ dẻo mềm đến chảy, giá trị hệ số ζ lấy bằng:
0,35 - nếu dưới mũi cọc là đất cát hoặc đất loại sét cứng đến dẻo cứng (IL ≤ 0,50) theo TCVN 5746;
0,20 - nếu dưới mũi cọc là đất loại sét dẻo mềm đến chảy (IL > 0,50) theo TCVN 5746;
Nếu độ lún xác định theo công thức (21) lớn hơn 40 mm thì giá trị sức chịu tải giới hạn đơn lẻ Ru cần được lấy bằng tải trọng gây ra độ lún s = 40 mm.
Đối với công trình thủy lợi, sức chịu tải trọng nén giới hạn Ru cần được lấy thấp hơn một cấp tải so với cấp tải gây ra:
- Sự gia tăng độ lún trong một cấp tải (khi giá trị tổng độ lún lớn hơn 40 mm) vượt quá từ 5 lần trở lên giá trị gia tăng độ lún xảy ra ở cấp tải trọng trước;
- Độ lún mà không tắt dần trong một ngày đêm và lâu hơn (khi giá trị tổng độ lún lớn hơn 40 mm).
Khi tải trọng lớn nhất đạt được trong quá trình thí nghiệm Fmax ≥ 1,5 Rk, trong đó Rk là giá trị tiêu chuẩn của sức chịu tải của cọc đã dự tính theo các công thức (6), (9), (10), (13) và (17), còn độ lún của cọc s trong quá trình thí nghiệm nhỏ hơn giá trị đã được xác định theo công thức (21), hoặc đối với công trình thủy lợi - nhỏ hơn 40 mm, thì trong trường hợp này giá trị đơn lẻ của sức chịu tải giới hạn của cọc Ru được phép lấy bằng tải trọng lớn nhất Fmax đạt được khi thí nghiệm cọc đó (Ru = Fmax).
CHÚ THÍCH 1: Trong một số trường hợp riêng, khi có cơ sở phù hợp thì tải trọng lớn nhất Fmax đạt được trong các thí nghiệm được phép lấy bằng Rk.
CHÚ THÍCH 2: Trong các trường hợp cọc tựa lên đá, đất hòn lớn, cát thô và vừa, đất loại sét cứng, độ lún của cọc có thể không đạt tới giá trị s (như trong công thức (21)) thậm chí khi thí nghiệm tới tận giá trị lớn nhất của tải trọng đã chọn khi thí nghiệm.
CHÚ THÍCH 3: Cấp tải trọng khi thí nghiệm nén tĩnh cọc cần được lấy bằng 1/10 đến 1/15 lần sức chịu tải giới hạn dự kiến của cọc Ru.
7.3.2.4 Khi thí nghiệm cọc bằng tải trọng tĩnh (kéo hoặc ngang), giá trị sức chịu tải giới hạn đơn lẻ Ru (xem 7.3.2.2 ) theo đồ thị chuyển vị - tải trọng được lấy bằng tại trọng tại một cấp tải trọng nhỏ hơn mà khi nó không tăng nhưng chuyển vị cọc vẫn tăng liên tục.
CHÚ THÍCH: Kết quả thí nghiệm đẩy ngang cọc bằng tải trọng tĩnh có thể được dùng để xác định trực tiếp các thông số tính toán của hệ “cọc - đất” dùng trong tính toán nêu trong Phụ lục A.
7.3.3 Xác định sức chịu tải của cọc theo kết quả thí nghiệm động
7.3.3.1 Giá trị tiêu chuẩn của sức chịu tải của cọc Rk theo kết quả thí nghiệm động cần được xác định theo công thức (20), nhưng trong đó:
- γc,g1 được lấy dựa trên kết quả xử lý thống như trong 7.3.2.2;
- Ru,k được lấy dựa trên kết quả xử lý thống kê (như trong 7.3.2.2) các giá trị sức chịu tải giới hạn đơn lẻ của các cọc Ru thu được từ số liệu thí nghiệm với giá trị xác suất tin cậy α = 0,95. Khi đó, giá trị sức chịu tải giới hạn đơn lẻ Ru được xác định theo 7.3.3.2.
7.3.3.2 Khi thí nghiệm động đối với cọc đóng bê tông cốt thép có chiều dài không quá 20 m, giá trị đơn lẻ của sức chịu tải giới hạn Ru, tính bằng kilôniutơn (kN) (xem 7.3.2.2), theo số liệu hạ cọc khi độ chối dư thực tế (đo được) sa ≥ 0,002 m, cần xác định theo công thức:

Nếu độ chối dư thực tế (đo được) sa < 0,002 m thì trong đồ án móng cọc cần dự tính sử dụng búa đóng cọc có năng lượng va chạm cao để hạ cọc mà độ chối dư sẽ đạt sa ≥ 0,002 m, còn trong trường hợp không thể thay thiết bị đóng cọc và khi có thiết bị đo độ chối, giá trị sức chịu tải giới hạn đơn lẻ của cọc Ru cần được xác định theo công thức:

Trong các công thức (22) và (23):
Ru tính bằng kilôniutơn (kN);
η là hệ số, lấy theo Bảng 11 phụ thuộc vào vật liệu cọc, tính bằng kN/m2;
A là diện tích được giới hạn bởi chu vi ngoài của tiết diện ngang của thân cọc đặc hoặc rỗng (không phụ thuộc vào sự có mặt hoặc không mũi nhọn của cọc), tính bằng mét vuông (m2);
M là hệ số, lấy bằng 1,0 khi cọc được đóng bằng búa, còn khi hạ bằng phương pháp rung - lấy theo Bảng 12 phụ thuộc vào loại đất dưới mũi cọc;
Ed là năng lượng va chạm tính toán của búa, tính bằng kilôjun (kJ), lấy theo Bảng 13, hoặc là năng lượng rung tính toán - theo Bảng 14 khi hạ bằng búa rung;
sa là độ chối dư thực tế, lấy bằng giá trị dịch chuyển của cọc do một nhát búa đập, còn khi hạ bằng búa rung - do hoạt động của búa trong một phút, tính bằng mét (m);
sel là độ chối đàn hồi của cọc (dịch chuyển đàn hồi của đất và cọc), được xác định bằng máy đo dịch chuyển, tính bằng mét (m);
m1 là khối lượng của búa hoặc búa rung, tính bằng tấn (T);
m2 là khối lượng cọc và chụp đầu cọc, tính bằng tấn (T);
m3 là khối lượng của cọc dẫn (khi hạ bằng búa rung m3 = 0), tính bằng tấn (T);
m4 là khối lượng quả búa (pit tông), tính bằng tấn (T);
ε là hệ số phục hồi va chạm; khi đóng cọc bê tông cốt thép bằng búa có sử dụng chụp đầu cọc có gỗ đệm ε2 = 0,2, còn khi hạ bằng búa rung ε2 = 0;
θ là hệ số, tính bằng 1/kN, được xác định theo công thức:

trong đó:
A, m4, m2 xem các công thức (22) và (23);
np, nf là các hệ số chuyển đổi từ sức kháng động (bao gồm cả sức kháng nhớt của đất) sang sức kháng tĩnh của đất, lấy tương ứng bằng:
np = 0,00025 s·m/kN - đối với đất dưới mũi cọc;
nf = 0,025 s·m/kN - đối với đất trên mặt bên thân cọc;
Af là diện tích tiếp xúc giữa mặt bên thân cọc với đất, tính bằng mét vuông (m2);
g là gia tốc trọng trường, lấy bằng 9,81 m/s2;
H là chiều cao rơi thực tế của quả búa, tính bằng mét (m);
h là chiều cao nẩy lần đầu tiên quả búa diesel, lấy theo Bảng 13, đối với các loại búa khác lấy h = 0.
Trường hợp thí nghiệm động cọc bê tông cốt thép dài hơn 20 m cũng như cọc thép có chiều dài bất kỳ, giá trị đơn lẻ của sức chịu tải giới hạn Ru theo độ chối dư và độ chối đàn hồi đo được khi hạ cọc bằng búa cần được xác định với sự trợ giúp của các phần mềm chuyên dụng mà trong đó phương pháp tính toán cọc đóng được dựa trên lý thuyết sóng va chạm (sử dụng máy PDA). Các phần mềm chuyên dụng vừa nêu được phép sử dụng khi thí nghiệm cọc khoan nhồi bằng búa treo trọng lượng lớn thích hợp.
CHÚ THÍCH 1: Khi đóng cọc vào đất mà sẽ bị bỏ đi khi đào hố móng hoặc vào lớp đất dưới đáy hồ nước, giá trị độ chối tính toán cần được xác định xuất phát từ việc giá trị tiêu chuẩn của sức chịu tải của cọc Rk đã được tính có xét đến việc đất không bị loại bỏ hoặc đất bị xói lở, còn ở những nơi có khả năng xảy ra lực ma sát âm - xét đến lực ma sát âm.
CHÚ THÍCH 2: Khi sử dụng kết quả thí nghiệm sử dụng máy PDA thì phải rất chú ý tới số liệu đầu ra về sức chịu tải của cọc (theo trạng thái giới hạn hoặc ứng suất cho phép) vì có sự khác biệt về khái niệm và định nghĩa của hai triết lý tính toán này.
Bảng 11 - Hệ số η
| Trường hợp tính toán | Hệ số η, kN/m2 |
| Thí nghiệm cọc đóng và cọc vỗ lại (cũng như trong trường hợp phát hiện lỗi) cho cọc bê tông cốt thép có chụp đầu cọc | 1 500 |
Bảng 12 - Hệ số M
| Loại đất dưới mũi cọc | Hệ số M |
| 1. Đất hòn lớn lẫn cát | 1,3 |
| 2. Cát vừa, thô chặt vừa và cát pha cứng | 1,2 |
| 3. Cát mịn chặt vừa | 1,1 |
| 4. Cát bụi chặt vừa | 1,0 |
| 5. Cát pha dẻo, sét pha và sét cứng | 0,9 |
| 6. Sét pha và sét nửa cứng | 0,8 |
| 7 Sét pha và sét dẻo cứng | 0,7 |
| CHÚ THÍCH: Với cát chặt, giá trị hệ số M trong các điểm từ 2 đến 4 của bảng này được tăng 60 %. | |
Bảng 13 - Năng lượng va chạm tính toán búa Ed
| Chủng loại búa | Năng lượng va chạm tính toán của búa Ed, kJ |
| 1. Búa treo hoặc búa đơn động | GH1 |
| 2. Búa diesel kiểu ống dẫn | 0,9GH1 |
| 3. Búa diesel kiểu hai cọc dẫn | 0,4GH1 |
| 4. Búa diesel trong quá trình đóng bằng các cú đóng đơn mà không cần cung cấp nhiên liệu | G(H0 - h) |
| Các ký hiệu trong Bảng 13: G là trọng lượng quả búa, tính bằng kilôniutơn (kN); H1 và H0 tương ứng là chiều cao rơi thực tế và chiều cao thả khởi động của búa, tính bằng mét (m); h là chiều cao nẩy trở lại lần đầu tiên của bộ phận va đập của búa diesel khỏi đệm khí, được xác định bằng thước đo, tính bằng mét (m). | |
| CHÚ THÍCH 1: Giá trị trung bình H1 cho khoảng thời gian có 10 va chạm phải được xác định theo công thức H1 = 0,0156t2, trong đó t là khoảng thời gian vận hành búa diesel, được xác định bằng đồng hồ bấm giây với độ chính xác 0,1 s. Đồng hồ bấm giây được bật tại thời điểm va chạm đầu tiên và tắt ở lần va chạm thứ mười, không kể khởi động. CHÚ THÍCH 2: Để tính toán sơ bộ cho phép lấy h = 0,6 m cho búa kiểu 2 cọc dẫn và h = 0,4 m cho búa kiểu ống dẫn. | |
Bảng 14 - Năng lượng tính toán tương đương Ed của một nhát búa máy rung
| Lực kích thích của máy rung, kN | Năng lượng tính toán tương đương của một nhát búa máy rung Ed, kJ |
| 100 | 45 |
| 200 | 90 |
| 300 | 130 |
| 400 | 175 |
| 500 | 220 |
| 600 | 265 |
| 700 | 310 |
| 800 | 350 |
7.3.4 Xác định sức chịu tải của cọc theo kết quả CPT
7.3.4.1 Giá trị tiêu chuẩn của sức chịu tải Rk, tính bằng kilôniutơn (kN), của cọc đóng ma sát chịu tải trọng nén theo kết quả CPT cần được xác định theo công thức (20), trong đó:
- Lấy γc = 1;
- Giá trị tiêu chuẩn Ru,k được xác định dựa trên cơ sở các giá trị đơn lẻ của sức chịu tải giới hạn của cọc Ru tính bằng kilôniutơn (kN), tại vị trí CPT đã được xác định theo 7.3.4.2 hoặc 7.3.4.3;
- Hệ số độ tin cậy về đất γc,g1 được xác định trên cơ sở xử lý thống kê các giá trị đơn lẻ của sức chịu tải giới hạn của cọc Ru phù hợp với 7.3.2.2.
7.3.4.2 Giá trị đơn lẻ của sức chịu tải giới hạn của cọc đóng tại một điểm xuyên Ru cần được xác định theo công thức:
![]()
trong đó:
Ru tính bằng kilôniutơn (kN);
Rs là sức kháng đơn vị giới hạn của đất dưới mũi cọc theo số liệu xuyên tại điểm xuyên đang xét, tính bằng kilôpascan (kPa);
f là giá trị trung bình của sức kháng đơn vị giới hạn của đất trên mặt bên thân cọc theo số liệu xuyên tại điểm xuyên đang xét, tính bằng kilôpascan (kPa);
h là chiều sâu hạ cọc tính từ bề mặt đất gần cọc, tính bằng mét (m);
u là chu vi tiết diện ngang của thân cọc, tính bằng mét (m).
Sức kháng đơn vị giới hạn của đất dưới mũi cọc đóng Rs theo số liệu xuyên tại điểm xuyên đang xét cần được xác định theo công thức:
![]()
trong đó:
Rs tính bằng kilôpascan (kPa);
β1 là hệ số chuyển đổi từ qs sang Rs, lấy theo Bảng 16 không phụ thuộc vào loại đầu xuyên theo TCVN 9352;
qs là giá trị sức kháng đơn vị trung bình của đất dưới mũi đầu xuyên (mũi côn), tính bằng kilôpascan (kPa), thu được từ thí nghiệm, trong phạm vi từ mũi cọc thiết kế lên trên một lần đường kính d và xuống dưới bốn lần đường kính (trong đó d là đường kính cọc tròn hoặc cạnh cọc vuông, hoặc cạnh lớn của tiết diện chữ nhật của cọc, tính bằng mét (m)).
Giá trị trung bình của sức kháng đơn vị giới hạn của đất trên mặt bên thân cọc đóng f, tính bằng kilôpascan (kPa), theo số liệu xuyên đất tại điểm xuyên đang xét cần được xác định như sau:
a) Khi sử dụng đầu xuyên loại I (cơ học) (theo TCVN 9352) - theo công thức:
![]()
b) Khi sử dụng đầu xuyên loại II và III (điện) (theo TCVN 9352) - theo công thức:
![]()
trong đó:
β1, β2 là các hệ số, lấy theo Bảng 16;
fs là sức kháng đơn vị trung bình của đất trên mặt bên của thân đầu xuyên, tính bằng kilôpascan (kPa), được xác định bằng thương số của tổng sức kháng đơn vị của đất đo được trên thân đầu xuyên và diện tích mặt bên của nó trong phạm vi tính từ mặt đất tại vị trí xuyên đến cao độ đặt mũi cọc trong lớp đất chịu lực đã chọn;
fsi là sức kháng đơn vị trung bình của lớp đất thứ i trên thân đầu xuyên, tính bằng kilôpascan (kPa);
hi là chiều dày của lớp đất thứ i.
7.3.4.3 Giá trị tiêu chuẩn của sức chịu tải Rk của cọc vít chịu tải trọng nén và kéo theo kết quả CPT được xác định theo công thức (20), còn giá trị đơn lẻ của sức chịu tải giới hạn tại một điểm xuyên Ru - theo công thức (25), trong đó chiều sâu hạ cọc được lấy giảm xuống một giá trị bằng đường kính cánh vít. Sức kháng đơn vị giới hạn Rs của đất dưới (trên) cánh cọc theo số liệu xuyên đất tại điểm xuyên đang xét cần được xác định theo công thức (26). Trong trường hợp này, β1 là hệ số lấy theo Bảng 16 phụ thuộc vào giá trị sức kháng đơn vị trung bình của đất dưới mũi đầu xuyên trong vùng làm việc (vùng làm việc lấy bằng đường kính cánh vít). Giá trị trung bình của sức kháng đơn vị giới hạn f của đất trên thân cọc vít theo số liệu xuyên đất tại điểm xuyên đang xét cần được xác định theo công thức (27) hoặc (28).
Bảng 16 - Các hệ số β1, β2 và βi
| Sức kháng đơn vị trung bình của đất qs, kPa | Hệ số chuyển đổi từ qs sang Rs, β1 | Sức kháng đơn vị trung bình của đất fs, fsi, kPa | Hệ số chuyển đổi từ fs sang f cho đầu xuyên loại I, β2 | Hệ số chuyển đổi từ fsi sang f cho đầu xuyên loại II hoặc III, β1 | ||||
| cho cọc đóng | cho cọc vít khi chịu tải trọng | |||||||
| nén | kéo | trong đất cát | trong đất loại sét | trong đất cát | trong đất loại sét | |||
| ≤ 1 000 | 0,90 | 0,50 | 0,40 | ≤ 20 | 2,40 | 1,50 | 0,75 | 1,00 |
| 2 500 | 0,80 | 0,45 | 0,38 | 40 | 1,65 | 1,00 | 0,60 | 0,75 |
| 5 000 | 0,65 | 0,32 | 0,27 | 60 | 1,20 | 0,75 | 0,55 | 0,60 |
| 7 500 | 0,55 | 0,26 | 0,22 | 80 | 1,00 | 0,60 | 0,50 | 0,45 |
| 10 000 | 0,45 | 0,23 | 0,19 | 100 | 0,85 | 0,50 | 0,45 | 0,40 |
| 15 000 | 0,35 | - | - | ≥ 120 | 0,75 | 0,40 | 0,40 | 0,30 |
| 20 000 | 0,30 | - | - | - | - | - | - | - |
| ≥ 30 000 | 0,20 | - | - | - | - | - | - | - |
| CHÚ THÍCH: Đối với cọc vít trong đất cát bão hòa nước, giá trị hệ số β1 cần được giảm đi 2 lần. | ||||||||
7.3.4.4 Đối với cọc khoan được thi công theo phương pháp nêu tại 6.5 a) và chịu tải trọng nén, cho phép đánh giá giá trị tiêu chuẩn của sức chịu tải tại một điềm xuyên Rku không sử dụng số liệu về sức kháng đơn vị của đất trên măng sông đo ma sát gắn trên đầu xuyên tĩnh, trên cơ sở tính toán theo công thức:
![]()
trong đó:
Rku tính bằng kilôniutơn (kN);
qb là sức kháng đơn vị của đất dưới mũi cọc, tính bằng kilôpascan (kPa), lấy theo Bảng 17 phụ thuộc vào sức kháng mũi côn trung bình qc, tính bằng kilôpascan (kPa), trên đoạn nằm trong phạm vi một lần đường kính cọc về phía trên và đến hai lần đường kính cọc về phía dưới mũi cọc;
A là diện tích mũi cọc, tính bằng mét vuông (m2);
fi là sức kháng đơn vị trung bình của đất trên mặt bên thân cọc, tính bằng kilôpascan (kPa), trên đoạn tính toán hi của cọc, được xác định theo số liệu xuyên phù hợp với Bảng 17;
hi là chiều dày lớp đất thứ i, lấy không lớn hơn 2 m;
γR,f là hệ số điều kiện làm việc, phụ thuộc vào công nghệ chế tạo cọc và lấy bằng:
1,0 - khi cọc được đổ bê tông trong điều kiện khô;
0,7 - khi đổ bê tông dưới nước, trong dung dịch sét (bentonite), cũng như khi sử dụng ống vách.
Bảng 17 - Các sức kháng đơn vị của đất dưới mũi và trên mặt bên thân cọc khoan, qb và fi
| Sức kháng mũi côn qc, kPa | Sức kháng đơn vị của đất dưới mũi cọc khoan qb, kPa | Sức kháng đơn vị trung bình của đất trên mặt bên thân cọc khoan fi, kPa | ||
| đất cát | đất loại sét | đất cát | đất loại sét | |
| ≤ 1 000 | - | 200 | - | 15 |
| 2 500 | - | 580 | - | 25 |
| 5 000 | 900 | 900 | 30 | 35 |
| 7 500 | 1 100 | 1 200 | 40 | 45 |
| 10 000 | 1 300 | 1 400 | 50 | 60 |
| 12 000 | 1 400 | - | 60 | - |
| 15 000 | 1 500 | - | 70 | - |
| 20 000 | 2 000 | - | 70 | - |
| CHÚ THÍCH 1: Với các giá trị trung gian của qc, các giá trị qb và fi được xác định bằng nội suy tuyến tính. CHÚ THÍCH 2: Các giá trị qb và fi nêu trong bảng này áp dụng cho cọc khoan có đường kính từ 600 mm đến 1 200 mm, được hạ trong đất tối thiểu 5 m. Nếu có khả năng xuất hiện ma sát âm trên trên mặt bên thân cọc, giá trị fi của các lớp đất lún được lấy với dấu “âm”. CHÚ THÍCH 3: Với các giá trị của qb và fi đã chấp nhận trong bảng này thì độ lún của cọc ứng với tải trọng tương ứng Rk là không vượt quá 0,03d. | ||||
7.3.4.5 Giá trị tiêu chuẩn của sức chịu tải Rk, tính bằng kilôniutơn (kN), của các cọc theo kết quả tính toán chúng theo công thức (29) mà đã được dựa trên số liệu CPT bằng mũi côn cần được tính bằng giá trị trung bình của các giá trị đơn lẻ của Rku cho tất cả các điểm xuyên (tức là Rk = Rku/n, trong đó n là số điểm xuyên).
7.3.5 Xác định sức chịu tải của cọc theo kết quả SPT
Giá trị tiêu chuẩn của sức chịu tải Rk của cọc theo kết quả SPT được xác định theo Phụ lục D.
7.4 Tính toán cọc, móng cọc và móng bè-cọc hỗn hợp theo biến dạng
7.4.1 Yêu cầu chung
Tính toán độ lún của móng cọc (tính toán theo nhóm trạng thái giới hạn thứ hai) được phép thực hiện theo sơ đồ tính toán dựa trên mô hình đất như môi trường biến dạng tuyến tính với điều kiện bắt buộc phải tuân thủ điều kiện (2).
Độ lún của cọc đơn ma sát được tính toán theo 7.4.2.
Độ lún của nhóm nhỏ (n ≤ 25) các cọc ma sát (nhóm cọc) được tính toán theo 7.4.3 bằng phương pháp mà xét được ảnh hưởng tương hỗ của các cọc trong nhóm cọc.
Độ lún của nhóm lớn các cọc ma sát (bãi cọc) có thể được xác định bằng cách sử dụng mô hình móng khối quy ước trên nền tự nhiên phù hợp với 7.4.4.
Độ lún của móng bè-cọc hỗn hợp được khuyến nghị tính toán theo 7.4.5.
Giá trị độ lún của móng cọc xác định được bằng tính toán không được lớn hơn các giá trị giới hạn theo công thức (4).
Tính toán cọc theo biến dạng chịu tác dụng đồng thời của các lực theo các phương thẳng đứng và ngang và mô men cần được thực hiện theo Phụ lục A.
Khi có luận chứng thích hợp, tính toán biến dạng của móng cọc được phép thực hiện theo bài toán phi tuyến bằng cách sử dụng phương pháp tính dựa trên các mô hình nền đất được công nhận rộng rãi và phương pháp số.
7.4.2 Tính toán độ lún của cọc đơn
7.4.2.1 Cho phép tính toán độ lún của cọc đơn xuyên qua lớp đất có mô đun cắt G1, tính bằng MPa, hệ số Poát xông v1 và tựa lên đất mà được coi là bán không gian biến dạng tuyến tính có mô đun cắt G2 và hệ số Poát xông v2, nếu đáp ứng các yêu cầu nêu trong 7.2 và với điều kiện L/d > 5; G1L/(G2d)>1 (trong đó L là chiều dài cọc, tính bằng mét (m), d là đường kính ngoài của tiết diện ngang của thân cọc, tính bằng mét (m)) theo các công thức (30) và (34).
Công thức để tính toán được lựa chọn dựa trên giá trị hệ số k = G1L/(G2d) đặc trưng cho hình học và độ cứng của nền phụ thuộc vào tỉ số độ cứng của nền theo mặt bên thân cọc và mũi cọc:
a) Đối với cọc ma sát dài (k ≥ 7,5):
![]()
trong đó:
Nd,SLS là tải trọng thẳng đứng tác dụng lên cọc (ở trạng thái giới hạn thứ hai), tính bằng meganiutơn (MN);
β là hệ số, được xác định theo công thức:

trong đó:
β’ = 0,17·ln (kv · k) là hệ số, tương ứng với cọc tuyệt đối cứng (EA = ∞);
là hệ số cho trường hợp nền đồng nhất có các đặc trưng G1 và v1;
|
| là độ cứng tương đối của cọc; |
| EA | là độ cứng thân cọc khi chịu nén, tính bằng meganiutơn (MN); |
| λ1 | là thông số, xét đến sự tăng độ lún do thân cọc bị nén và được xác định theo công thức:
|
| kv, kv1
| là các hệ số, được xác định theo công thức:
tương ứng khi |
b) Đối với cọc ngắn tựa lên đất biến dạng nhỏ (k ≤ 7,5):
![]()
trong đó: ![]()
Giá trị của các hệ số tính toán v, kv, ζ0 và mv được nêu trong Bảng 18.
Bảng 18 - Các hệ số v, kv, ζ0, mv
| v | 0 | 0,05 | 0,10 | 0,15 | 0,20 | 0,25 | 0,30 | 0,35 | 0,40 | 0,45 | 0,50 |
| kv | 2,82 | 2,636 | 2,464 | 2,302 | 2,151 | 2,011 | 1,882 | 1,764 | 1,657 | 1,560 | 1,475 |
| ζ0 | 0,455 | 0,437 | 0,419 | 0,400 | 0,380 | 0,361 | 0,340 | 0,319 | 0,297 | 0,274 | 0,250 |
| mv | 1,345 | 1,373 | 1,405 | 1,446 | 1,491 | 1,540 | 1,607 | 1,685 | 1,786 | 1,916 | 2,010 |
| CHÚ THÍCH: mv là hệ số nén tương đối. | |||||||||||
7.4.2.2 Các đặc trưng G1 và v1 được lấy trung bình cho tất cả các lớp đất trong phạm vi chiều sâu hạ cọc, còn G2 và v2 - trong phạm vi 0,5L dưới chiều sâu hạ cọc, tức là ở chiều sâu từ L đến 1,5L tính từ đầu cọc, với điều kiện là dưới mũi cọc không có đất loại sét chảy, đất khoáng-hữu cơ và đất hữu cơ.
Mô đun cắt của đất G = E0/(2(1+v)) được phép lấy bằng 0,4 E0, còn hệ số kv lấy bằng 2,0 (với E0 là mô đun tổng biến dạng).
Đường kính tính toán d của cọc có tiết diện ngang không tròn, bao gồm cả các cọc đóng tiêu chuẩn chế tạo trong nhà máy nói riêng, được tính theo công thức:
![]()
trong đó:
A là diện tích tiết diện ngang của cọc.
7.4.3 Tính toán độ lún của nhóm cọc
7.4.3.1 Khi tính toán độ lún của nhóm cọc phải xét đến ảnh hưởng tương hỗ của các cọc trong nhóm. Độ lún bổ sung của một cọc nằm ở khoảng cách a (khoảng cách giữa các trục của các cọc) cách một cọc có tải trọng Nd,SLS tác dụng (tải trọng tính toán ở trạng thái giới hạn thứ 2) bằng:
![]()
với

7.4.3.2 Tính toán độ lún của cọc thứ i trong một nhóm n cọc mà đã biết sự phân phối tải trọng giữa các cọc được thực hiện theo công thức:
![]()
trong đó:
s(Nd,SLS,i) là độ lún của cọc đơn, được xác định theo công thức (30);
δij là hệ số, được tính theo công thức (37) phụ thuộc vào khoảng cách giữa các cọc thứ i và thứ j;
Nd,SLS,j là tải trọng tính toán (ở trạng thái giới hạn thứ 2) lên cọc thứ j.
Khi chưa biết sự phân phối tải trọng giữa các cọc, có thể sử dụng công thức (38) để tính toán tương tác giữa móng cọc với kết cấu bên trên móng. Khi đó, sẽ thuận lợi nếu sử dụng phương pháp lực trong cơ học kết cấu.
Ảnh hưởng tương hỗ của các nhóm cọc cần được xét đến bằng phương pháp điểm góc.
Khi thực hiện tính toán sơ bộ các nhóm cọc chịu tải trọng thẳng đứng, để mô hình hóa đài cọc hoàn toàn mềm, cho phép lấy tải trọng tác dụng lên tất cả các cọc là như nhau và bằng Nd,mean = Nd,f/n (n là số cọc). Để mô hình hóa đài cọc hoàn toàn cứng thì độ lún của tất cả các cọc được lấy bằng nhau.
Khi thực hiện các phép tính toán cuối cùng, giá trị tải trọng lên mỗi cọc nên được chính xác lại trong quá trình tiến hành tính toán đồng thời có xét đến độ cứng của đài cọc và kết cấu bên trên móng cho đến khi đảm bảo sự hội tụ. Khi đó, chênh lệch giữa giá trị tính toán của nội lực trong các cọc theo mô hình địa kỹ thuật đối với móng cọc và theo mô hình tổng thể của kết cấu bên trên móng không được lớn hơn 10 %.
7.4.3.3 Đối với tính toán móng cọc mà có các cọc với chiều dài khác nhau được liên kết bằng một đài cọc chung và các mũi cọc nằm trong cùng điều kiện đất, cho phép tính toán độ lún bổ sung theo các công thức (37) và (46), khi đó L được tính theo công thức:
![]()
7.4.3.4 Khi tính hệ số độ cứng của cọc trong nhóm cọc chịu tải trọng thẳng đứng, nên xét đến sự giảm độ cứng của các cọc phụ thuộc vào tỷ số giữa giá trị tải trọng tính toán lên một cọc Nd,i và giá trị tải trọng tính toán giới hạn cho phép lên một cọc Nu. Trong trường hợp này, việc tính toán được thực hiện bằng cách gia tăng tuần tự (từng bước) tổng tải trọng lên móng đến giá trị Nd,f. Ở mỗi bước tính, độ cứng bản thân của cọc đơn kw được tính lại dựa theo quan hệ “tải trọng - độ lún”.
Để mô tả quan hệ phi tuyến của độ lún cọc vào tải trọng, cho phép sử dụng quan hệ xấp xỉ theo công thức:

trong đó:
là giá trị ban đầu của hệ số độ cứng của cọc ứng với đoạn gia tải ban đầu, bằng
= Nd,i/s, trong đó s là giá trị độ lún tính được theo công thức (30);
m là hệ số hiệu chỉnh.
7.4.4 Tính toán độ lún của móng cọc như của móng khối quy ước
7.4.4.1 Độ lún của móng cọc kích thước lớn (bãi cọc) cần được xác định theo công thức:
![]()
trong đó:
sef là độ lún của móng khối quy ước (xem 7.4.4.2);
∆sp là độ lún bổ sung do cọc xuyên thêm vào đất tại cao độ đáy móng khối quy ước (xem 7.4..4.3);
∆sc là độ lún bổ sung do thân cọc bị nén (độ co ngắn thân cọc) (xem 7.4.4.4).
7.4.4.2 Khi tính toán sef, các ranh giới của móng khối quy ước (xem Hình 4) được xác định như sau:
- Từ phía dưới - bởi mặt phẳng AB đi qua các mũi cọc;
- Từ phía bên - bởi các mặt phẳng thẳng đứng AC và BD, cách trục của hàng cọc biên thẳng đứng một khoảng 0,5 khoảng cách cọc (Hình 7.4, a), nhưng không lớn hơn 1,5 d (d là đường kính hoặc cạnh tiết diện ngang của cọc), còn khi có cọc xiên - bởi các mặt phẳng đi qua mũi của các cọc này (Hình 4, b);
- Từ phía trên - bởi mặt bằng quy hoạch san lấp CD.
Tính toán độ lún của móng khối quy ước bằng phương pháp cộng lún từng lớp của nền biến dạng tuyến tính trong phạm vi quy ước của tầng chịu nén (xem TCVN 9362). Ứng suất pháp thẳng đứng σzp quyết định đến biến dạng và chiều sâu tầng chịu nén chỉ được tính do tác dụng của tải trọng đặt lên móng cọc, nghĩa là trọng lượng đất trong phạm vi móng khối quy ước không cần xét đến. Ứng suất ban đầu σzu có xét đến việc đào hố móng.
Khi trong phạm vi tầng chịu nén có lớp đất biến dạng rất lớn (E < 5 MPa) mà các cọc xuyên qua, chiều cao h được tính từ đáy lớp đất yếu này (xem Hình 4, c).

Ngoài mô hình khối móng quy ước như trên Hình 4, cho phép sử dụng các mô hình khối móng quy ước khác đã được công nhận để tính lún cho móng cọc.
Cũng có thể dùng phương pháp số ba chiều để tính toán độ lún của móng khối quy ước như khối dị hướng có xét đến độ cứng chống cắt hữu hạn theo các mặt phẳng thẳng đứng.
7.4.4.3 Giá trị độ lún bổ sung ∆sp do cọc xuyên thêm vào đất tại cao độ đáy móng khối quy ước được xác định bằng phương pháp chia ô trong bài toán đàn dẻo (Hình 5) hoặc theo các công thức:

trong đó:
E1 là giá trị trung bình của mô đun tổng biến dạng trong phạm vi chiều dài cọc;
E2, v2 là giá trị trung bình của mô đun tổng biến dạng và hệ số Poát xông trong phạm vi vùng chịu áp lực nén chủ động dưới đáy móng khối quy ước;
p là áp lực trung bình lên đáy móng khối quy ước, tính bằng kilôpascan (kPa);
a là khoảng cách giữa trục các cọc của móng khi khoảng cách cọc giống nhau và là khoảng cách giữa trục các cọc trong vùng lân cận cọc này khi khoảng cách cọc không giống nhau;
d là đường kính cọc;
P = pa2 đối với cọc có tiết diện ngang vuông và P ≈ 0,79pa2 đối với cọc có tiết diện ngang tròn;
k = b/a đối với cọc tiết diện ngang vuông, trong đó b là cạnh tiết diện ngang của cọc và k = d/a đối với cọc tròn.

7.4.4.4 Độ lún bổ sung do thân cọc bị nén ∆sc được phép xác định theo công thức:
![]()
trong đó:
P xem 7.4.4.3;
L là chiều dài cọc;
a xem 7.4.4.3;
E là mô đun đàn hồi của cọc;
A là diện tích tiết diện cọc.
7.4.4.5 Trường hợp các cọc bố trí không đều trên mặt bằng, khi các lớp đất nằm dưới nền cọc ở chiều sâu L/2 tính từ mũi cọc có độ cứng không đổi hoặc tăng theo chiều sâu G2 thì cho phép xét ảnh hưởng tương hỗ theo 4.4, khi đó δ được xác định bằng công thức (46) thay vì công thức (37):

trong đó:

7.4.4.6 Cho phép xác định δ bằng phương pháp số. Khi tính toán theo bài toán không gian thì tính độ lún bổ sung của cọc thứ j, sad, phát sinh khi đặt tải trọng Nd lên cọc đang chịu tải ứng với các tỷ số a/d khác nhau giữa các cọc thứ i và thứ j. Khi tính toán theo bài toán đối xứng trục, độ lún của cọc thứ j, sad, lấy bằng độ lún của đất ở chiều sâu z/L = 0,75, còn giá trị sad được nhân với hệ số hiệu chỉnh γca = 1,1.
Các giá trị của δ thu được trong tính toán số ứng với các giá trị khác nhau của tỷ số a/d có thể được tính gần đúng theo công thức (37) hoặc (46).
7.4.5 Tính toán móng bè-cọc hỗn hợp
7.4.5.1 Móng bè-cọc hỗn hợp (kết hợp sức chịu tải của cọc và bè) được sử dụng để giảm độ lún tổng và độ lún không đều của công trình. Cho phép sử dụng giải pháp thiết kế với khoảng cách cọc thay đổi hoặc không đổi trên mặt bằng. Móng bè-cọc hỗn hợp có thể bao gồm các loại cọc và barrette bất kỳ.
7.4.5.2 Đối với nhóm cọc kích thước lớn và bãi cọc kích thước lớn, trong trường hợp nền của chúng được cấu tạo từ đất cát chặt vừa và chặt cũng như đất loại sét có chỉ số chảy IL < 0,5 và mô đun biến dạng E > 8 MPa thì chúng có thể được thiết kế bằng móng bè-cọc hỗn hợp, trong các trường hợp khác móng cần được coi là móng cọc với đài cọc dạng tấm. Khi móng gồm các cọc (kết hợp với nhau bằng đài cọc) tựa lên đá thì móng được tính toán như móng cọc không xét đến sự truyền tải trọng của bản móng xuống nền.
7.4.5.3 Không được sử dụng móng bè-cọc hỗn hợp nếu có một lớp cát rời dày hơn 1 m ngay dưới móng, cũng như trong khu đất xây dựng chưa kết thúc cố kết.
7.4.5.4 Khi tính toán móng bè-cọc hỗn hợp, phải xem xét các dạng tương tác sau:
- Cọc với đất;
- Đài cọc với đất nền;
- Ảnh hưởng tương hỗ của các cọc thông qua đất nền;
- Ảnh hưởng tương hỗ của cọc và đài cọc.
Các loại tương tác nêu trên có thể được xét đến bằng tính toán có sử dụng mô hình số.
7.4.5.5 Tính toán móng bè-cọc hỗn hợp phải bao gồm:
- Xác định biến dạng của hệ kết cấu về tổng thể và các cấu kiện riêng lẻ của nó;
- Xác định nội lực trong các cấu kiện của hệ kết cấu (trong các cọc giữa và biên) cũng như trong bản đài cọc.
Khi tính toán theo sơ đồ không gian cho công trình, cho phép xác định đặc trưng tổng độ cứng của móng bè-cọc hỗn hợp phù hợp với 7.4.4.1.
7.4.5.6 Việc lựa chọn chiều dài và khoảng cách cọc trong móng cọc bè-cọc hỗn hợp được thực hiện dựa trên tính toán theo biến dạng đáp ứng giá trị cho phép về độ lún, độ nghiêng và độ lún lệch của công trình đã thi công phù hợp với TCVN 9362.
7.4.5.7 Việc tính toán móng bè-cọc hỗn hợp có thể được thực hiện như tính toán tấm trên nền đàn hồi có sử dụng hệ số phản lực đàn hồi thay đổi của đất trên mặt bằng. Khi đó, giá trị trung bình của phản lực đàn hồi của đất có thể được ấn định trực tiếp từ tính toán phi tuyến không gian hoặc bằng cách giải bài toán đối xứng trục đối với ô mà bao gồm cả cọc và khối đất bao quanh cọc (Hình 5). Khi ấn định giá trị của hệ số phản lực đàn hồi ở vùng biên và các vị trí tập trung ứng suất khác, cần xét đến sự làm việc không gian của móng. Sự phân phối trên mặt bằng của đặc trưng độ cứng trong trường hợp này được xác định dựa trên mô hình số có sử dụng các phần mềm địa kỹ thuật hoặc các giải pháp khác.
7.5 Yêu cầu riêng về thiết kế nhóm cọc kích thước lớn, bãi cọc kích thước lớn và tấm của đài cọc
7.5.1 Tính toán hệ kết cấu “cọc - khối đất - bản chịu uốn - kết cấu bên trên” trong trường hợp tổng quát cần được thực hiện bằng mô hình không gian có xét đến sự làm việc đồng thời của các kết cấu bên trên và bên dưới mặt đất của công trình, móng cọc và nền của nó. Nội lực trong cọc và đài cọc cần được xác định bằng phương pháp số trên máy tính có sử dụng các phần mềm chuyên dụng mô tả được sự tương tác này.
7.5.2 Khi tính toán móng cọc kích thước lớn, các đặc trưng biến dạng của vật liệu làm cọc, đài cọc và kết cấu bên trên móng được phép coi là đàn hồi khi khống chế nội lực tính toán trong giới hạn tỷ lệ tuyến tính, ứng xử cơ học của đất cần được mô tả chủ yếu bằng mô hình phi tuyến.
7.5.3 Khi xác định nội lực trong các cọc của móng cọc dùng đài cọc kích thước lớn, ứng xử cơ học của đất cần được mô tả chủ yếu bằng các mô hình có sử dụng các đặc trưng của đất. Trong trường hợp này có thể sử dụng các mô hình đàn dẻo phức tạp hơn xét đến được sự tăng hoặc giảm cường độ của đất, sự giãn nở và các mô hình (đàn dẻo đa thông số) khác.
7.5.4 Khi tính toán mà đối với từng lớp đất thứ i chỉ sử dụng các thông số tiêu chuẩn về biến dạng của đất (mô đun biến dạng của lớp đất thứ i dọc theo nhánh dỡ tải, Ei, mô đun biến dạng của lớp đất thứ i dọc theo nhánh gia lại tải, Ee,i, và hệ số Poát xông của lớp đất thứ i, vi) thì cho phép ấn định chiều sâu vùng tính toán tương tự như khi tính lún theo sơ đồ móng khối quy ước nêu trong 7.4 (Hình 4). Khi tiến hành tính toán bằng mô hình đa thông số, chiều sâu tầng chịu nén cần được xác định trên cơ sở các tính toán đã thực hiện.
7.5.5 Kết quả tính toán cần làm rõ được bức tranh định tính và định lượng của hiệu ứng nhóm và biên trong nền cọc, tức là đặc điểm làm việc của các cọc nằm tại các vùng khác nhau trong bãi cọc. Phải xét đến sự gia tăng độ mềm của cọc trong nhóm cọc và bãi cọc so với sự làm việc của cọc đơn, cũng như sự thay đổi giá trị tiêu chuẩn của sức chịu tải của các cọc và đất phụ thuộc vào vị trí của các cọc đó trong nhóm (vị trí biên: cọc góc, cọc cuối; vị trí bên trong: cọc trung tâm, cọc trung gian; các vùng bố trí thưa hoặc dày).
7.5.6 Khi tính toán kết cấu bên trên và kết cấu móng công trình thì các cọc trong móng được phép mô tả bằng các phần tử mềm tiếp xúc tuyến tính và phi tuyến. Quan hệ “tải trọng - độ lún” đặc trưng cho các phần tử này đối với các đầu cọc và phần đáy đài cọc giữa các cọc được khuyến nghị xác định bằng tính toán không gian nền cọc theo biến dạng trong miền tải trọng mà đặc trưng cho sự chênh lệch có thể có của các phản lực tính toán trong đầu các cọc và đất giữa các cọc. Cho phép mô tả sự làm việc của các phần tử mềm tiếp xúc phi tuyến bằng một số bước lặp với sự thay đổi (tính lại) độ cứng của các phần tử tiếp xúc tuyến tính.
7.5.7 Để xác định các đặc trưng độ cứng của nền, cho phép thay tính toán không gian tổng thể nền cọc bằng tính toán từng vùng đặc trưng của nền cọc. Khi thực hiện tính toán này, cho phép coi đài cọc chịu uốn như là đài cọc cứng tuyệt đối.
7.5.8 Khi thiết kế kết cấu của đài cọc cần lựa chọn các trường hợp bất lợi nhất về sự phân phối lại có thể có của giá trị tiêu chuẩn của sức chịu tải của cọc trên mặt bằng. Việc lựa chọn chiều dày đài cọc được xác định bằng tính toán.
7.5.9 Cho phép thực hiện tính toán móng cọc kích thước lớn bằng mô hình tuyến tính của đất trong các trường hợp:
- Khi tính toán móng cọc chịu tải trọng động;
- Khi xác định chuyển vị và góc xoay của kết cấu do tải trọng và tác động tạm thời ngắn hạn.
7.5.10 Việc bố trí cốt thép cho đài cọc được thực hiện bằng các lưới thép hoặc các thanh cốt thép phù hợp với TCVN 5574. Khi đó, lượng cốt thép chịu lực cần thiết của đài cọc được xác định theo các nội lực tác dụng trong tiết diện đài cọc và các nội lực này được xác định theo các yêu cầu nêu trong 7.5 này.
7.5.11 Việc tính toán theo độ bền của vật liệu làm các cọc trong móng bè-cọc hỗn hợp, trong nhóm cọc kích thước lớn và bãi cọc kích thước lớn cần được thực hiện có xét đến khả năng quá tải của các cọc biên và các cọc góc do giá trị tiêu chuẩn của sức chịu tải không đều của các cọc trong nhóm trên mặt bằng. Để làm được điều này, tính toán cọc theo độ bền của vật liệu cần được thực hiện có xét đến hệ số độ tin cậy về tải trọng yf.
Khi xác định nội lực trong cọc bằng phương pháp số có xét đến tương tác của cọc với đất bao quanh thì lấy yf = 1,3, khi tính toán bằng phương pháp có xét đến ảnh hưởng tương hỗ của các cọc (7.4.3.1) thì lấy yf = 1,4. Khi không tính theo các phương pháp này thì lấy yf = 1,5.
7.5.12 Trường hợp móng cọc được thiết kế có xét đến khả năng truyền tải trọng xuống đất trực tiếp qua đáy đài cọc thì trong đồ án thiết kế cần có các biện pháp đảm bảo tính toàn vẹn cho nền (bảo vệ khỏi ngập nước và xáo trộn).
7.5.13 Trong đồ án móng cọc và móng bè-cọc hỗn hợp của công trình cấp C3, nên bố trí lắp đặt các cảm biến để đo nội lực ở các cọc chịu tải lớn nhất và ở các vùng chịu tải lớn nhất của đài cọc, cũng như lắp đặt cảm biến áp lực đất dưới đáy đài cọc. Khi đó, trong phương án quan trắc cần có đánh giá nội lực trong các cọc từ giai đoạn thi công công trình để có thể so sánh ứng xử dự báo và ứng xử thực tế của kết cấu, cũng như cần có việc xác định các giá trị tới hạn của tải trọng trong các cọc đã chọn.
Khi thi công cọc khoan nhồi, cần kiểm soát tính liên tục và đồng nhất của thân cọc bằng phương pháp không phá hủy. Đối với móng một cọc dưới chân cột, cần kiểm soát toàn bộ số cọc về tính liên tục và đồng nhất của thân cọc.
CHÚ THÍCH: Có thể tham khảo thêm [12].
7.6 Yêu cầu riêng về thiết kế móng cọc khi cải tạo công trình
7.6.1 Khi cải tạo công trình thì việc sử dụng móng cọc sẽ là hợp lý trong trường hợp có sự gia tăng đáng kể tải trọng lên nền và trường hợp trong nền có các lớp đất yếu.
Đối với móng cọc, có thể sử dụng cọc đóng, cọc ép, cọc khoan phun và các loại cọc khác trên cơ sở thích hợp.
7.6.2 Móng cọc khi cải tạo công trình cần được thiết kế phù hợp với các yêu cầu nêu trong 7.6 này và 7.1 đến 7.4. Số liệu ban đầu cho thiết kế, ngoài các số liệu nêu trong 4.1, phải bao gồm kết quả khảo sát nền, móng và kết cấu của công trình cần cải tạo, còn theo 5.11 đến 5.13 trong điều kiện có các công trình hiện hữu - cũng như kết quả khảo sát của các công trình nằm trong vùng ảnh hưởng của việc cải tạo.
7.6.3 Khảo sát địa chất công trình phục vụ cải tạo công trình phải được thực hiện theo các yêu cầu nêu trong Điều 5 và có xét đến các điều từ 9 đến 13.
7.6.4 Trong đồ án cải tạo nền và móng của công trình phải có các giải pháp tận dụng tối đa kết cấu móng hiện hữu và khả năng chịu lực của đất.
7.6.5 Khi sử dụng móng cọc đóng để cải tạo công trình trong điều kiện có các công trình hiện hữu phải kiểm tra sự an toàn theo điều kiện tác động động lên các kết cấu của các công trình lân cận phù hợp với các yêu cầu nêu trong 4.8, cũng như sự an toàn theo điều kiện dịch chuyển của đất bao quanh các cọc được hạ.
Khoảng cách an toàn theo điều kiện tác động động r , tính bằng mét (m), từ các cọc được hạ đến công trình, về nguyên tắc, không được nhỏ hơn 25 m.
7.6.6 Nếu khoảng cách r từ cọc được hạ gần nhất nhỏ hơn 25 m thì khoảng cách an toàn cho phép được xác định dựa trên điều kiện sao cho vận tốc dao động theo phương đứng của móng V, tính bằng cm/s, ở khoảng cách r từ cọc được hạ không vượt quá giá trị giới hạn cho phép đối với công trình đó. Giới hạn dao động theo phương đứng của trình phụ thuộc vào đặc điểm kết cấu và mức tình trạng kỹ thuật của công trình. Các thông số dao động khi hạ cọc bằng búa và búa rung được xác định dựa trên kết quả đo rung khi hạ cọc thử.
Đối với công trình ở mức tình trạng kỹ thuật còn làm việc được thì khi đóng cọc bằng búa giá vận tốc dao động cho phép Va có thể được xác định theo Bảng 19. Trong các trường hợp cần thiết, bao gồm cả khi hạ cọc bằng búa rung, khoảng cách an toàn cho phép phải được chính xác lại dựa trên khảo sát bằng thiết bị đo các thông số dao động của đất và công trình trong quá trình hạ cọc thử.
CHÚ THÍCH: Việc giảm tác động động bất lợi do việc đóng cọc đến các công trình có thể được thực hiện bằng cách hạ cọc trong hố khoan dẫn, sử dụng búa thủy lực với khối lượng phần va đập lớn ở chiều cao rơi thấp, sử dụng thiết bị ép rung, v.v.
Bảng 19 - Vận tốc dao động cho phép
| Kết cấu công trình | Vận tốc dao động cho phép Va, cm/s, khi đất nền là | ||
| đất cát | |||
| chặt | chặt vừa | xốp | |
| đất loại sét khi chỉ số chảy | |||
| IL < 0,5 | 0,5 ≤ IL ≤ 0,75 | IL > 0,75 | |
| 1. Kết cấu bê tông cốt thép toàn khối và kết cấu khung thép | 4,5 | 3,0 | 1,0 |
| 2. Kết cấu khung bê tông cốt thép | 3,0 | 1,5 | 0,5 |
| 3. Kết cấu khối xây gạch và panen gạch | 2,0 | 1,5 | 0,4 |
Giá trị vận tốc dao động V của công trình được tính theo công thức:
![]()
trong đó:
V tính bằng cm/s;
α và δ tương ứng là biên độ và tần số dao động, được xác định bằng thực nghiệm trong quá trình đóng thử cọc.
7.6.7 Trường hợp không thể sử dụng các cọc đóng gần các công trình hiện hữu do có tác động động thì chúng có thể được thay thế bằng cọc ép được hạ bằng máy ép cọc chuyên dụng hoặc kích.
Lực cần thiết nhỏ nhất Fc,min để ép cọc được phép xác định theo công thức:
![]()
trong đó:
Fc,min tính bằng kilôniutơn (kN);
γc là hệ số điều kiện làm việc, lấy bằng 1,2 khi tốc độ hạ cọc đến 3 m/min;
Rk là giá trị tiêu chuẩn của sức chịu tải của cọc tại các độ sâu hạ cọc khác nhau trong điều kiện đất của khu đất xây dựng, tính bằng kilôniutơn (kN).
Khi sử dụng cọc ép để gia cố nền của công trình cần cải tạo thì móng và kết cấu dưới mặt đất của công trình phải được kiểm tra khả năng chịu được lực ép Fc,min và phải được gia cố trong trường hợp cần thiết.
7.6.8 Trường hợp sử dụng cọc khoan khi cải tạo công trình, phải tiến hành đánh giá độ lún thi công có thể có khi thi công loại cọc này mà có thể gây nên sự lún của các móng nằm gần, cũng như phải có các biện pháp làm giảm độ lún thi công, bao gồm cả việc sử dụng ống vách. Việc đánh giá có thể được thực hiện dựa trên kinh nghiệm so sánh hoặc số liệu quan trắc.
CHÚ THÍCH: Việc đánh giá có thể được thực hiện trên cơ sở tham khảo thêm [10].
7.6.9 Khi gia cường móng cọc của công trình cần cải tạo bằng cách bổ sung cọc dưới đài cọc hiện hữu và đài cọc phải được kiểm tra độ bền do sự thay đổi về tải trọng và vị trí đặt tải trọng. Trong trường hợp độ bền của đài cọc không được đảm bảo thì phải thiết kế gia cường đài cọc.
7.6.10 Độ lún bổ sung của nền công trình cần cải tạo không được vượt quá giá trị độ lún bổ sung giới hạn mà được quy định phụ thuộc vào cấp hậu quả, mức tình trạng kỹ thuật của kết cấu bản thân công trình và của cả các công trình hiện hữu liền kề xung quanh.
7.6.11 Việc lựa chọn loại cọc, vật liệu và phương pháp thi công cần xét đến:
- Điều kiện đất nền và điều kiện thủy văn tại khu đất xây dựng, bao gồm cả sự có mặt hoặc khả năng có mặt của các chướng ngại vật trong nền;
- Ứng suất trong cọc khi thi công cọc;
- Khả năng bảo toàn và kiểm tra tính toàn vẹn của cọc khi thi công;
- Ảnh hưởng của phương pháp và trình tự thi công cọc tới các công trình và hệ thống hạ tầng kỹ thuật đã có;
- Dung sai mà trong phạm vi đó cọc có thể vẫn được thi công một cách tin cậy có xét đến độ lún thi công;
- Tác động hóa học phá hoại trong nền;
- Khả năng liên thông của các mạch nước ngầm nằm ngang;
- Công tác bốc dỡ và vận chuyển cọc;
- Ảnh hưởng của việc thi công cọc tới các công trình lân cận.
7.6.12 Khi xem xét các vấn đề đã liệt kê trong 7.6.5 đến 7.6.11, cần đặc biệt chú ý đến:
- Chuyển dịch và rung động của các công trình lân cận khi thi công cọc;
- Loại búa đóng hoặc thiết bị rung được sử dụng;
- Ứng suất động trong cọc khi đóng;
- Sự cần thiết phải giữ áp lực của dung dịch tại cao độ mà đảm bảo được sự ổn định của thành hố khoan và loại trừ được khả năng lở thành khi thi công cọc khoan có sử dụng dung dịch giữ thành bên trong hố khoan,
- Làm sạch cặn lắng tại đáy, và đôi khi là cả thành hố khoan, đặc biệt là khi chúng chứa đầy dung dịch sét (bentonite);
- Sự mất ổn định cục bộ của thành hố khoan trong quá trình đổ bê tông mà có thể dẫn đến việc đất lẫn vào thân cọc;
- Lẫn đất và nước vào hỗn hợp bê tông vừa đổ trong thân cọc nhồi;
- Tác động làm chậm của các hóa chất có trong đất và nước ngầm;
- Việc làm chặt đất và sự xuất hiện áp lực lỗ rỗng khi thi công cọc bằng ép đất;
- Sự phá hoại đất khi khoan tạo lỗ cọc.
7.7 Yêu cầu riêng về tính toán khi sử dụng phần mềm địa kỹ thuật
7.7.1 Có thể thực hiện tính toán móng cọc bằng các phương pháp lập bảng, cũng như sử dụng phần mềm địa kỹ thuật chuyên dụng. Phần mềm chuyên dụng dùng để tính toán được chia thành các nhóm:
- Thực hiện trực tiếp được các phương pháp của tiêu chuẩn này;
- Thực hiện các phương pháp tính toán kỹ thuật;
- Sử dụng các phương pháp số theo cơ học môi trường liên tục.
Khi thực hiện tính toán số, phải chọn sơ đồ tính toán của hệ “kết cấu bên trên móng (bao gồm cả đài cọc) - cọc - nền đất” có xét đến các yếu tố quan trọng nhất quyết định khả năng chịu lực của hệ này. Phải xét đến thời hạn và các thay đổi có thể xảy ra theo thời gian của tải trọng lên cọc và móng cọc.
Mô hình tính toán móng cọc phải được xây dựng theo cách sao cho sai số thống kê chỉ thiên về dự trữ an toàn của kết cấu bên trên mặt đất đang thiết kế. Nếu sai số thống kê này không thể xác định được trước thì phải thực hiện tính toán theo các phương án và xác định định các tác động bất lợi nhất đối với kết cấu bên trên mặt đất.
Khi thực hiện tính toán móng cọc bằng máy tính, cần xét đến các yếu tố không rõ ràng có thể có liên quan đến việc chọn mô hình tính toán và việc lựa chọn các thông số về biến dạng và độ bền của đất nền. Để làm được điều này, khi thực hiện tính toán số để xác định giá trị tiêu chuẩn của sức chịu tải có thể của cọc đơn, nhóm cọc và móng bè-cọc hỗn hợp, nên tiến hành so sánh kết quả tính toán các phần tử riêng biệt của sơ đồ tính với các đáp số giải tích, cũng như thực hiện so sánh các kết quả tính toán khác (thay thế) bằng các phần mềm địa kỹ thuật khác nhau.
7.7.2 Cho phép sử dụng phần mềm chuyên dụng cho các loại tính toán sau:
- Xác định giá trị tiêu chuẩn của sức chịu tải của cọc đơn;
- Tính toán cọc đơn theo biến dạng;
- Xác định nội lực trong các cọc và đài cọc (là một phần của móng cọc và móng bè-cọc hỗn hợp) liên kết chúng khi tính toán chịu tác dụng của tất cả các loại tải trọng;
- Tính toán công trình và móng cọc đồng thời;
- Tính toán biện pháp chống sạt trượt bằng cọc;
- Tính toán móng cọc chịu tác động động đất;
- Tính toán biến dạng của móng cọc theo thời gian;
- Mô hình hóa quá trình thi công móng cọc.
CHÚ THÍCH 1: Tính toán đồng thời công trình và móng cọc là tính toán hệ “kết cấu bên trên-cọc-khối đất liền kề” bằng phần mềm chuyên dụng.
CHÚ THÍCH 2: Mô hình hóa quá trình thi công móng cọc phải mô tả theo từng giai đoạn tất cả các quá trình thi công cọc - khoan có hoặc không có dung dịch sét (bentonite), đổ bê tông cọc, v.v.
7.7.3 Khi tính toán có sử dụng các mô hình cơ học môi trường liên tục, phải lựa chọn sơ đồ tính toán hệ “đài cọc - cọc - đất nền” có xét đến các yếu tố quan trọng nhất quyết định khả năng chịu lực của hệ này. Trong tính toán phải xét đến đặc thù tương tác giữa cọc và khối đất bao quanh tùy thuộc vào công nghệ thi công cọc, ảnh hưởng tương hỗ của các cọc, đặc thù ứng xử cơ học của đài cọc. Khi tính toán móng, cần xét đến ảnh hưởng của thiết bị đào hố móng, các kết cấu chống giữ của nó, trình tự lắp dựng các khối, các bộ phận và thứ tự xây dựng, sự không đồng nhất trong cấu trúc địa chất, cũng như khoảng thời gian và sự thay đổi có thể có trong thời gian chất tải lên cọc và móng cọc.
7.7.4 Khi thực hiện tất cả các loại tính toán móng cọc bằng phần mềm chuyên dụng, cần xét đến các yếu tố không rõ ràng có thể có liên quan đến việc lựa chọn mô hình tính toán và lựa chọn các thông số về biến dạng và độ bền của đất nền. Để làm được điều này, phải thực hiện các tính toán đối với các giả thiết tính toán có lợi nhất và bất lợi nhất và xem xét các kết quả này khi thực hiện tính toán số.
7.7.5 Mô hình tính toán móng cọc phải được xây dựng sao cho các sai số thiên về dự trữ an toàn của kết cấu trên mặt đất đang thiết kế. Nếu các sai số này không thể xác định được trước thì phải thực hiện tính toán theo các phương án khác nhau và xác định các tác động bất lợi nhất đối với kết cấu trên mặt đất.
7.7.6 Các kết quả tính toán móng cọc bằng phần mềm địa kỹ thuật phải được kiểm tra, tức là phải khẳng định độ tin cậy của chúng.
Việc kiểm tra các sơ đồ tính toán và kết quả tính toán có thể được thực hiện theo các cách sau:
- Kiểm tra nhiều bước về tính chính xác của số liệu đầu vào để tính toán;
- Tính toán bằng nhiều loại phần mềm chuyên dụng;
- Thực hiện tính toán bởi các nhóm người tính toán độc lập;
- So sánh kết quả tính toán với số liệu hiện trường hoặc với kết quả tính toán của các đối tượng tương tự.
7.7.7 Khi xây dựng mô hình tính toán nền với mô hình môi trường liên tục, phải ấn định phạm vi cần thiết của vùng tính toán và dạng phần tử hữu hạn hoặc rời rạc của sai phân hữu hạn. Kích thước của vùng nền, liền kề với móng cọc và được xét đến trong tính toán móng cọc, phải đảm bảo không có ảnh hưởng đáng kể của các điều kiện biên tới kết quả tính toán.
7.7.8 Nếu kết cấu có trục hoặc mặt phẳng đối xứng thì điều này phải được xét đến khi gán các điều kiện biên. Cho phép chỉ xét đến một phần của kết cấu (1/2 hoặc 1/4) trong tính toán.
7.7.9 Sự tập trung biến dạng trượt và sự chảy dẻo của đất dọc theo ranh giới “cọc-đất” cần được mô tả bằng cách sử dụng phần tử “tiếp xúc” hoặc chia nhỏ một cách thích hợp lưới phần tử hữu hạn (lưới sai phân hữu hạn) có đưa thêm vào các phần tử với đặc trưng độ bền giảm. Các đặc trưng của các phần tử này phải được lựa chọn phụ thuộc vào loại cọc bằng cách giảm đặc trưng độ bền của đất, có xét đến hệ số điều kiện làm việc của cọc γRf theo Bảng 6.
7.7.10 Khi tính toán móng cọc, nếu ảnh hưởng của các yếu tố riêng đến kết quả tính toán là không rõ ràng thì cần tiến hành phân tích độ nhạy đối với từng yếu tố. Khi đánh giá ảnh hưởng của sự không rõ ràng của số liệu ban đầu về tải trọng, các thông số của mô hình và sự thay đổi hình học của cấu trúc địa chất thì nên thực hiện phân tích các thông số, trong đó làm rõ được các thông số chính của mô hình số có ảnh hưởng đến kết quả, còn sự kết hợp của chúng được xác định bởi các giá trị lớn nhất và nhỏ nhất của các đại lượng. Cần xác định các giá trị lớn nhất và nhỏ nhất của các đại lượng mà đặc trưng cho kết quả tính toán, cần thu được đánh giá đáng tin cậy về ứng xử cơ học của công trình trong phạm vi số liệu đầu ra đã dự đoán trước và xét ảnh hưởng của sự không rõ ràng của số liệu đầu vào trong các thông số của mô hình.
7.7.11 Để thu được kết quả đáng tin cậy trong quy trình tính toán, cần xét đến quá trình thực tế hình thành trạng thái ứng suất - biến dạng ban đầu. Để xét đến ảnh hưởng của quá trình lịch sử tự nhiên đến hệ số áp lực ngang thì nên sử dụng công thức thực nghiệm:
![]()
trong đó:
OCR là thông số trạng thái ban đầu (hệ số quá cố kết của đất theo TCVN 4200). Khuyến nghị lấy giá trị OCR không lớn hơn 2. Nếu không có số liệu về giá trị OCR thì giá trị này lấy bằng 1,0.
7.7.12 Khi giải các bài toán xác định giá trị tiêu chuẩn của sức chịu tải của các cọc, trong trường hợp chúng làm việc như cọc đơn, cho phép tính toán bằng phương pháp chia ô theo 7.4.4.1. Khi đó, đường kính vùng tính toán lấy không nhỏ hơn 10 lần đường kính cọc, còn đường kính vùng dưới mũi cọc - không nhỏ hơn 3 lần đường kính cọc. Kết quả tính toán phải xây dựng được đường cong “độ lún - tải trọng”. Khi thực hiện tính toán có liên quan đến việc xây dựng đường cong “độ lún - tải trọng”, các đặc trưng độ bền của đất phải được lấy theo các trạng thái giới hạn nhóm thứ hai.
7.7.13 Khi tiến hành tính toán độ lún của móng bè-cọc hỗn hợp, chiều sâu tính toán của tầng chịu nén trong tính toán không được lấy nhỏ hơn so với sơ đồ móng khối quy ước. Khi thực hiện các tính toán, cho phép xét đến sự thay đổi của các đặc trưng biến dạng của nền trong phạm vi của một đơn nguyên địa chất công trình, cũng như sự thay đổi của các đặc trưng biến dạng của nền trong phạm vi vùng chất tải đang xét.
7.7.14 Kết quả các thí nghiệm hiện trường đối với cọc và nhóm cọc có thể sử dụng để kiểm chứng và xác nhận các mô hình tính toán móng cọc. Các chỉ tiêu về độ bền và biến dạng của đất, nếu chúng đã được xác định dựa trên số liệu từ các thí nghiệm cọc hiện trường, chỉ được phép điều chỉnh trong các vùng tương tác giữa cọc và đất bao quanh.
7.8 Yêu cầu riêng về thiết kế móng cọc cho các loại công trình khác nhau
7.8.1 Giá trị tiêu chuẩn của sức chịu tải của cọc đóng ma sát, cọc nhồi và cọc khoan chịu tải trọng nén cho tất cả các loại công trình cần được xác định theo 7.1 và 7.2 cũng như theo 7.8 này.
7.8.2 Chiều sâu hạ cọc vào đất của móng cọc dưới cột đỡ đường dây tải điện trên không cũng như đỡ các đường ống chính, chịu tải trọng kéo hoặc tải trọng ngang không được nhỏ hơn 4,0 m.
7.8.3 Đối với móng cọc của cột đỡ đường dây tải điện trên không, không được sử dụng các cọc hình chùy, hình tháp và hình thoi.
7.8.4 Sức kháng đơn vị của đất dưới mũi cọc đóng qb và sức kháng đơn vị của đất trên mặt bên thân cọc đóng fi trong móng cột đỡ đường dây tải điện trên không lấy theo các bảng 2 và 3, khi đó trong móng dưới cột điển hình thông thường thì giá trị tính toán fi của đất loại sét có chỉ số chảy IL ≥ 0,3 cho phép tăng thêm 25 %. Sức kháng đơn vị của đất trên mặt bên cọc đóng fi cần nhân thêm với hệ số điều kiện làm việc bổ sung nêu trong Bảng 20.
Bảng 20 - Hệ số điều kiện làm việc bổ sung γc
| Loại móng, đặc điểm của đất và tải trọng | Giá trị γc khi chiều dài cọc | |||
| L ≥ 25d | L < 25d và tỷ số | |||
| H/N ≤ 0,1 | H/N = 0,4 | H/N = 0,6 | ||
| 1. Móng dưới cột trung gian khi tính toán: a) cọc đơn, chịu tải trọng kéo: |
|
|
|
|
| trong đất cát và đất cát pha | 0,90 | 0,90 | 0,80 | 0,55 |
| trong đất sét và đất sét pha có IL ≤ 0,6 | 1,15 | 1,15 | 1,05 | 0,70 |
| trong đất sét và đất sét pha có IL > 0,6 | 1,50 | 1,50 | 1,35 | 0,90 |
| b) cọc đơn chịu tải trọng nén và các cọc trong nhóm cọc, chịu tải trọng kéo: |
|
|
|
|
| trong đất cát và cát pha | 0,90 | 0,90 | 0,9 | 0,90 |
| trong đất sét và sét pha có IL ≤ 0,6 | 1,15 | 1,15 | 1,15 | 1,15 |
| trong đất sét và sét pha có IL > 0,6 | 1,50 | 1,50 | 1,50 | 1,50 |
| 2. Móng dưới cột néo, cột góc cuối, cột vượt nhịp lớn khi tính toán: |
|
|
|
|
| a) cọc đơn, chịu tải trọng kéo: |
|
|
|
|
| trong đất cát và cát pha | 0,8 | 0,8 | 0,7 | 0,6 |
| trong đất sét và sét pha | 1,0 | 1,0 | 0,9 | 0,6 |
| b) các cọc trong nhóm cọc, chịu tải trọng kéo: |
|
|
|
|
| trong đất cát và cát pha | 0,8 | 0,8 | 0,8 | 0,8 |
| trong đất sét và sét pha | 1,0 | 1,0 | 1,0 | 1,0 |
| c) các cọc trong nhóm cọc, chịu tải trọng nén trong mọi loại đất | 1,0 | 1,0 | 1,0 | 1,0 |
| Các ký hiệu trong Bảng 20: L là chiều dài cọc hạ trong đất; d là đường kính cọc tiết diện tròn, cạnh của cọc tiết diện vuông hoặc cạnh lớn của tiết diện ngang chữ nhật của cọc; H là thành phần nằm ngang của tải trọng tính toán; N là thành phần thẳng đứng của tải trọng tính toán. | ||||
| CHÚ THÍCH: Khi hạ cọc đơn nghiêng về phía tác dụng của thành phần nằm ngang của tải trọng và với góc nghiêng so với phương thẳng đứng lớn hơn 10° thì hệ số điều kiện làm việc bổ sung lấy như đối với cọc thẳng đứng làm việc trong nhóm cọc. | ||||
7.8.5 Khi tính toán chịu tải trọng kéo đối với cọc làm việc trong nhóm có từ 4 cọc trở xuống trong móng của cột đỡ đường dây tải điện trên không thì giá trị tiêu chuẩn của sức chịu tải Rk của cọc cần được giảm đi 20 %.
7.8.6 Khi tính toán giá trị tiêu chuẩn của sức chịu tải của cọc theo công thức (9) cho các nhà thấp tầng cấp C1 và C2, sức kháng đơn vị của đất qb, tính bằng kilôpascan (kPa), - dưới mũi cọc đóng khi chiều sâu hạ cọc từ 2 m đến 3 m cho phép lấy theo Bảng 21 và sức kháng đơn vị của đất trên mặt bên fi, tính bằng kilôpascan (kPa), - lấy theo Bảng 22.
CHÚ THÍCH: Tải trọng tính toán ở chân một cột của các nhà thấp tầng nêu trên thường không lớn hơn 400 kN.
Bảng 21 - Sức kháng đơn vị của đất qb dưới mũi cọc đóng
| Chiều sâu hạ cọc L, m | Hệ số rỗng e | Giá trị qb, kPa, dưới mũi cọc đóng của | |||||||||
| đất cát | đất loại sét khi chỉ số chảy IL bằng | ||||||||||
| thô | vừa | mịn | bụi | 0,0 | 0,2 | 0,4 | 0,6 | 0,8 | 1,0 | ||
| 2 | ≤ 0,55 | 8 300 | 3 900 | 2 500 | 1 500 | 6 500 | 3 900 | 2 000 | 1 000 | 600 | 300 |
| 0,70 | 6 400 | 3 000 | 1 900 | 1 200 | 5 400 | 3 200 | 1 700 | 900 | 500 | 250 | |
| 1,00 | - | - | - | - | 3 200 | 1 900 | 1 000 | 600 | 300 | 150 | |
| 3 | ≤ 0,55 | 8 500 | 4 100 | 2 700 | 1 600 | 6 600 | 4 000 | 2 100 | 1 100 | 650 | 350 |
| 0,70 | 6 600 | 3 200 | 2 100 | 1 300 | 5 500 | 3 300 | 1 800 | 1 000 | 550 | 250 | |
| 1,00 | - | - | - | - | 3 300 | 2000 | 1 100 | 700 | 350 | 200 | |
| CHÚ THÍCH: Đối với các giá trị L, IL và e trung gian thì các giá trị qb được xác định bằng nội suy tuyến tính. | |||||||||||
Bảng 22 - Sức kháng đơn vị của đất fi trên mặt bên của thân cọc đóng, bao gồm cả cọc có tiết diện ngang chữ T và I
| Chiều sâu trung bình của lớp đất, hi, m | Hệ số rỗng của lớp đất e | Giá trị fi, kPa, của | ||||||||
| đất cát | đất loại sét khi chỉ số chảy IL bằng | |||||||||
| thô và vừa | mịn | bụi | 0,0 | 0,2 | 0,4 | 0,6 | 0,8 | 1,0 | ||
| 1 | < 0,55 | 80 | 55 | 45 | 46 | 39 | 32 | 25 | 18 | 11 |
| 0,7 | 60 | 40 | 30 | 45 | 37 | 30 | 23 | 16 | 9 | |
| 1,00 | - | - | - | - | 32 | 23 | 15 | 10 | 6 | |
| 2 ÷ 3 | < 0,55 | 85 | 60 | 50 | 68 | 53 | 40 | 29 | 20 | 13 |
| 0,7 | 65 | 45 | 35 | 65 | 50 | 37 | 26 | 18 | 11 | |
| 1,0 | - | - | - | 60 | 45 | 32 | 21 | 13 | 7 | |
| CHÚ THÍCH: Đối với các giá trị trung gian của hi, e và IL, giá trị fi được xác định bằng nội suy tuyến tính. | ||||||||||
7.8.7 Sức kháng đơn vị của đất dưới mũi cọc nhồi và cọc khoan có đáy hố khoan được làm chặt khi chiều sâu hạ cọc từ 2 m đến 3 m, qb, tính bằng kilôpascan (kPa), cho phép lấy theo Bảng 23; khi đó, đối với cát chặt, các giá trị trong bảng được tăng lên 1,3 lần. Sức kháng đơn vị fi của đất trên mặt bên của thân cọc nhồi và cọc khoan, tính bằng kilôpascan (kPa), được phép lấy theo Bảng 22 rồi nhân với hệ số điều kiện làm việc bổ sung bằng 0,9.
7.8.8 Khi xác định giá trị tiêu chuẩn của sức chịu tải của cọc kim loại để thi công móng đường ống chính chịu tải trọng kéo và nén, sức kháng đơn vị của đất trên mặt bên cọc phải được xác định có xét đến hệ số điều kiện làm việc bổ sung γc theo 7.2.5.4.
Bảng 23 - Sức kháng đơn vị của đất dưới mũi cọc nhồi và cọc khoan qb khi chiều sâu hạ cọc từ 2 m đến 3 m và sức kháng đơn vị của đất dưới công xôn (vai) của cọc-cột Rcon
| Loại đất | Hệ số rỗng e | Giá trị qb, kPa, và Rcon, kPa, của | |||
| đất cát | |||||
| thô | vừa | mịn | bụi | ||
| đất loại sét có chỉ số chảy IL bằng | |||||
| 0,0 | 0,2 | 0,4 | 0,6 | ||
| 1. Cát | 0,55 ÷ 0,8 | 2 000 | 1500 | 800 | 500 |
| 2. Đất cát và sét pha | 0,5 | 800 | 650 | 550 | 450 |
| 0,7 | 650 | 550 | 450 | 350 | |
| 1,0 | 550 | 450 | 350 | 250 | |
| 3. Đất sét | 0,5 | 1 400 | 1100 | 900 | 700 |
| 0,6 | 1 100 | 900 | 750 | 600 | |
| 0,8 | 700 | 600 | 500 | 400 | |
8 Yêu cầu về cấu tạo móng cọc
8.1 Tùy thuộc vào tải trọng tác dụng, móng cọc cần được thiết kế dưới dạng:
a) Cọc đơn - dưới cột, trụ độc lập;
b) Móng băng cọc - dưới tường công trình khi truyền tải trọng phân bố dọc theo tường với sự bố trí các cọc thành một, hai hoặc nhiều hàng;
c) Nhóm cọc - dưới cột với sự bố trí các cọc trên mặt bằng trên vùng hình vuông, hình chữ nhật, hình thang và các dạng hình khác;
d) Bãi cọc liên tục - dưới công trình chịu tải trọng lớn với các cọc được bố trí dưới toàn bộ công trình và được kết hợp với nhau bằng bè liên tục mà đáy bè được đặt trên đất (hoặc lớp bê tông lót);
e) Móng bè-cọc hỗn hợp.
8.2 Tùy thuộc vào kết cấu công trình mà sử dụng đài cọc dạng băng, dạng cốc hoặc dạng tấm.
8.3 Đài cọc dạng băng được sử dụng, về nguyên tắc, cho công trình có tường chịu lực. Chiều rộng đài cọc phụ thuộc vào số lượng cọc trên tiết diện ngang và vào chiều rộng của tường chịu lực.
Giá trị phần nhô ra của đài cọc tính từ mép các cọc phải được lấy có xét đến dung sai của cọc.
Chiều cao đài cọc được xác định bằng tính toán phù hợp với TCVN 5574. Đài cọc được tính toán như dầm bê tông cốt thép nhiều nhịp. Đài cọc được lắp đặt lồng cốt thép không gian, về nguyên tắc, bằng cốt thép loại CB400-V hoặc CB500-V (theo TCVN 1651-2). Đối với đài cọc thì sử dụng bê tông có cấp cường độ chịu nén không thấp hơn B15. Đài cọc được đặt trên lớp bê tông lót có cấp cường độ chịu nén không nhỏ hơn B7,5.
8.4 Đài cọc dạng cốc có cấu tạo gồm phần tấm và phần cốc được sử dụng trong công trình có kết cấu khung bê tông cốt thép lắp ghép.
Kích thước đài cọc trên mặt bằng cần được lấy theo bội số 30 cm và chiều cao - lấy theo bội số 15 cm. Chiều cao kết cấu đài cọc lấy lớn hơn hơn 40 cm so với chiều sâu của cốc. Đài cọc được tính toán chịu uốn (phần tấm, phần cốc) và chống chọc thủng (chọc thủng do cột và cọc góc) phù hợp với TCVN 5574. Đài cọc được đặt lưới thép phẳng (phần tấm) và khung không gian (thành cốc).
8.5 Đối với công trình nặng, về nguyên tắc, sử dụng đài cọc dạng tấm kích thước lớn. Khi đó, chiều cao đài cọc dạng tấm được xác định bằng tính toán khả năng của nó chịu được lực cắt (tính toán chọc thủng).
Đài cọc dạng tấm được bố trí các lưới cốt thép trên và dưới đặt trên các khung đỡ. Đài cọc dạng tấm kích thước lớn được chế tạo bằng bê tông và đặt trên lớp bê tông lót.
8.6 Khi thiết kế móng cọc, phải xét đến các yếu tố: sơ đồ kết cấu của công trình đang thiết kế; kích thước của các kết cấu chịu lực và vật liệu thiết kế chúng; sự có mặt và kích thước phủ bì của các gian phòng của công trình ngầm gần đó và móng của chúng; tải trọng tác dụng lên móng do các kết cấu xây dựng; sự bố trí các thiết bị công nghệ và tải trọng truyền từ chúng lên các kết cấu xây dựng và sàn công trình, cũng như các yêu cầu về độ lún giới hạn, độ nghiêng của các kết cấu xây dựng và móng đỡ thiết bị.
8.7 Số lượng các cọc trong móng và kích thước của chúng phải được xác định từ điều kiện sử dụng tối đa độ bền của vật liệu làm cọc và đất nền ứng với tải trọng tính toán được phép lên cọc Rd, có xét đến sự vượt tải cho phép của các cọc biên trong móng.
Việc lựa chọn kết cấu và kích thước của cọc phải được thực hiện có xét đến giá trị và phương tác dụng của các tải trọng lên móng cũng như công nghệ xây dựng công trình.
Khi bố trí cọc trên mặt bằng, phải hướng tới đạt được số lượng cọc tối thiểu trong nhóm cọc hoặc khoảng cách lớn nhất có thể giữa các cọc trong móng băng để tận dụng tối đa giá trị tiêu chuẩn của sức chịu tải của cọc đã chọn trong đồ án thiết kế. Phải xem xét các phương án sau về bố trí cọc trên mặt bằng móng băng: một hàng, nhiều hàng và nhiều hàng so le.
8.8 Liên kết giữa cọc và đài cọc được phép dự tính có thể là liên kết tựa tự do hoặc liên kết cứng.
Liên kết tựa tự do của đài cọc lên cọc được quy ước trong tính toán là liên kết khớp và trường hợp đài cọc toàn khối thì đầu cọc phải được cắm sâu vào đài cọc một đoạn 5 cm đến 10 cm.
Liên kết cứng giữa cọc và đài cọc được xem xét trong các trường hợp, khi:
a) Thân cọc nằm trong đất yếu (cát rời, đất loại sét chảy, bùn, than bùn và tương tự);
b) Tại vị trí liên kết mà tải trọng nén (truyền vào cọc) đặt lệch tâm với độ lệch tâm nằm ngoài phạm vi lõi tiết diện ngang của cọc;
c) Có tải trọng ngang tác dụng lên cọc mà giá trị chuyển vị do tải trọng này khi dùng liên kết tựa tự do là lớn hơn giá trị giới hạn của công trình đang thiết kế;
d) Trong móng có các cọc xiên hoặc thẳng đứng;
e) Cọc chịu tải trọng kéo.
CHÚ THÍCH: Cho phép sử dụng móng cọc có đệm trung gian cũng như có các đài cọc chính và trung gian được liên kết với nhau thông qua mạch trượt.
8.9 Khi cọc bê tông cốt thép liên kết cứng với đài cọc bê tông cốt thép toàn khối, đầu cọc phải ngàm vào đài cọc với chiều sâu tương ứng với chiều dài neo cốt thép hoặc phải neo vào đài cọc một chiều dài neo phù hợp với TCVN 5574. Tại đầu cọc ứng suất trước cần bố trí khung cốt thép không ứng suất trước để làm cốt thép neo.
Cũng cho phép làm liên kết cứng bằng cách hàn chi tiết thép đặt sẵn với điều kiện đảm bảo được độ bền yêu cầu.
CHÚ THÍCH 1: Neo của đài cọc và cọc chịu tải trọng kéo theo 8.8 e) cần được thực hiện bằng cách neo cốt thép của cọc vào đài cọc một chiều sâu được xác định bằng tính toán chịu kéo.
CHÚ THÍCH 2: Khi gia cố nền của móng hiện hữu bằng cọc khoan phun, chiều dài phần cọc cắm vào đài phải được lấy theo tính toán hoặc lấy theo cấu tạo bằng năm lần đường kính cọc (khi không thực hiện được điều kiện này thì cần dự kiến mở rộng thân cọc tại vị trí tiếp nối với đài cọc).
CHÚ THÍCH 3: Khi ngàm cứng cọc bằng cách cắm thân cọc vào đài cọc thì đài cọc phải được tính toán chọc thủng có xét đến giải pháp cấu tạo của loại ngàm này.
8.10 Liên kết cứng giữa cọc với đài cọc lắp ghép phải được đảm bảo bằng đầu nối hình chuông. Với đài cọc lắp ghép cũng cho phép đổ bê tông toàn khối vào hố tạo sẵn trong đài cọc.
8.11 Khi móng chịu tải trọng lệch tâm, các cọc trong nhóm được bố trí sao cho tác động của tải trọng không đều thường xuyên lên móng tiến tới gần trọng tâm mặt bằng cọc.
8.12 Để chịu tải trọng thẳng đứng và mô men, cũng như tải trọng ngang (phụ thuộc vào giá trị và phương), cho phép kết hợp cọc đứng, xiên và cả hai.
8.13 Khoảng cách giữa các trục của cọc ma sát (đóng và ép) trong mặt phẳng mũi cọc không được nhỏ hơn 3d (trong đó d là đường kính của thân cọc tròn hoặc là cạnh của thân cọc vuông, hoặc là cạnh lớn của thân cọc tiết diện ngang chữ nhật), còn đối với cọc chống - không nhỏ hơn 1,5d.
Khoảng cách thông thủy giữa thân các cọc nhồi, cọc khoan, cọc-ống, cũng như giữa các hố khoan của cọc-trụ (ngoại trừ các trường hợp sử dụng cọc khoan giao nhau), cọc khoan tiếp xúc mà không yêu cầu khoảng cách cọc) không được nhỏ hơn 1,0 m, còn khoảng cách giữa trục các cọc khoan phun - không nhỏ hơn 3 lần đường kính cọc; khoảng cách thông thủy giữa các phần mở rộng hoặc các cánh của cọc vít khi thi công chúng trong đất loại sét cứng và nửa cứng là 0,5 m, trong các loại đất khác - là 1,0 m.
Khoảng cách giữa các cọc xiên hoặc giữa các cọc xiên và thẳng đứng tại cao độ đáy đài cọc cần được xác định dựa trên đặc điểm riêng về kết cấu của móng và sự đảm bảo độ tin cậy của chúng khi hạ trong đất, sự bố trí cốt thép và sự đổ bê tông đài cọc.
8.14 Việc lựa chọn chiều dài cọc phải phụ thuộc vào điều kiện địa chất tại khu đất xây dựng, cao độ đặt đáy đài cọc có xét đến năng lực của thiết bị thi công móng cọc. Mũi cọc, về nguyên tắc, được đặt vào lớp đất chắc sau khi xuyên qua các lớp đất yếu, khi đó mũi cọc đóng hạ vào trong đất được chọn làm nền cọc phải là đất hòn lớn, lẫn sỏi sạn, cát hạt thô và đất loại sét có chỉ số chảy IL ≤ 0,1 - không nhỏ hơn 0,5 m, còn đối với các loại đất (rời và dính) khác - không nhỏ hơn 1,0 m. Không nên để cọc khoan tựa lên đất cát rời và đất loại sét có chỉ số chảy IL > 0,6 và chỉ cho phép trong các trường hợp đặc biệt khi các phương án khác của móng là không thể thực hiện được về mặt kỹ thuật. Khi đó, cần có các thí nghiệm nén tĩnh kiểm tra cọc theo TCVN 9393.
Để kiểm tra chiều dài cọc nhồi, cọc khoan và xác nhận các giải pháp kỹ thuật đã chọn trong đồ án thiết kế phải có dự tính tiến hành thí nghiệm tĩnh cọc.
8.15 Khoảng cách thông thủy tối thiểu Lmin từ cọc ép gần nhất đến móng hiện hữu cần được lấy phụ thuộc vào kích thước phủ bì của thiết bị ép cọc. Giá trị của Lmin có thể được xác định theo số liệu kỹ thuật của nó. Trong mọi trường hợp, giá trị Lmin cần được lấy ít nhất bằng ba lần đường kính cọc.
8.16 Khi hạ cọc bằng phương pháp ép, kết cấu mối nối của cọc tổ hợp và các đốt của cọc nhiều đốt có thể là kết cấu hàn, kết cấu bu lông, kết cấu kiểu vòng nối và các loại kết cấu khác và phải xét đến giá trị và phương của tải trọng tác dụng lên một cọc trong quá trình hạ cọc và sử dụng. Khi hạ cọc bằng thiết bị ép cọc nặng, yɜen phải được tính toán chịu được lực ép lớn nhất.
8.17 Khi thiết kế móng cọc nằm gần móng cọc hiện hữu, cho phép sử dụng tổ hợp các loại cọc được hạ bằng cả các phương pháp động và phương pháp ép. Trong trường hợp này, phải xác định ranh giới các vùng hạ cọc cho từng phương pháp.
8.18 Chiều sâu đặt đáy đài cọc nên được ấn định phụ thuộc vào giải pháp kết cấu phần ngầm của công trình (sự có mặt của tầng hầm, tầng hầm kỹ thuật) và đồ án thiết kế mặt bằng san lấp (đào xén hoặc lấp đầy), cũng như phụ thuộc vào chiều cao đài cọc xác định bằng tính toán.
8.19 Chiều dày lớp bê tông bảo vệ đài cọc và cọc phải được ấn định phù hợp với TCVN 5574. Khi đó, đối với cọc đóng, cọc-ống và cọc khoan phun, chiều dày tối thiểu của lớp bê tông bảo vệ cốt thép chịu lực được phép giảm đi 10 mm. Việc nối thanh cốt thép chịu lực (của cọc) với đường kính từ 36 mm trở lên nên được thực hiện bằng ống nối.
8.20 Mác và chủng loại thép ống dùng để chế tạo cọc thép cần được lựa chọn phù hợp với TCVN 5575.
8.21 Cọc rỗng và cọc-ống, mà theo tính toán không yêu cầu phải nhồi bê tông, nên được nhồi đầy bê tông có cấp cường độ chịu nén không nhỏ hơn B7,5 hoặc vữa mác M10.
Cọc rỗng có mũi kín cho phép được nhồi đầy lòng bằng hỗn hợp xi măng-cát khô cho toàn bộ chiều dài cọc trong trường hợp hàn nắp kim loại bịt kín đầu cọc.
8.22 Khi lập đồ án thiết kế móng cọc, phải xét đến khả năng bề mặt đất bị trồi khi đóng cọc, mà về nguyên tắc có thể xảy ra nếu:
- Khu đất xây dựng bao gồm đất loại sét có chỉ số sệt là dẻo mềm và dẻo chảy hoặc cát bụi, mịn bão hòa nước;
- Việc hạ cọc được thực hiện từ đáy hố móng;
- Kết cấu móng cọc đã được chọn dưới dạng bãi cọc hoặc các nhóm cọc với khoảng cách cọc biên giữa các nhóm cọc này nhỏ hơn 9 m.
Giá trị trung bình của độ trồi bề mặt đất h cần được xác định theo công thức:
![]()
trong đó:
h tính bằng mét (m);
k là hệ số, lấy bằng 0,6 khi độ bão hòa của đất Sr > 0,9;
Vp là thể tích của tất cả các cọc được hạ trong đất, tính bằng mét khối (m3);
Ae là diện tích hạ cọc hoặc diện tích đáy hố móng, tính bằng mét vuông (m2).
8.23 Việc đặt cốt thép cho cọc khoan nhồi, cọc khoan cát tuyến và cọc khoan phun phải được thực hiện bằng cách bố trí lồng cốt thép để tạo độ cứng cho chúng. Các thanh cốt thép dọc phải được liên kết với nhau không chỉ bằng bằng cốt thép đai mà còn bằng vòng đai cứng (hoặc vòng nhẫn (ống ngắn)) hàn dọc theo lồng cốt thép với khoảng cách không quá năm lần đường kính lồng cốt thép (nhưng không lớn hơn 2 m). Để đảm bảo chiều dày lớp bê tông bảo vệ giữa đất và các thanh cốt thép của lồng, phải bố trí các con kê định vị, cũng như neo chữ thập đặt dưới đáy lồng cốt thép để loại trừ khả năng trồi lồng cốt thép khi rút ống vách.
8.24 Khi thiết kế móng bè-cọc hỗn hợp, phải có các biện pháp chuẩn bị nền sao cho nền có thể tham gia chịu lực một cách tối đa. Các biện pháp này có thể là sử dụng cọc cùng với lớp bê tông lót chịu lực (có cốt thép) kết hợp các đầu cọc và là nền cho lớp chống thấm nước, hoặc thi công cọc chưa đến cao độ thiết kế là 0,5 m, sau đó đào 0,4 m đất hố móng bằng các phương tiện cơ giới nhỏ và đào thêm 0,1 m bằng tay đến cao độ thiết kế.
8.25 Khi thiết kế móng cọc và móng bè-cọc hỗn hợp, cho phép sử dụng cọc có chiều dài và đường kính khác nhau. Chiều dài các cọc không được chênh lệch nhau quá 30 %. Trong tính toán, cần xét đến tải trọng bổ sung truyền từ các cọc ngắn hơn sang các cọc dài hơn.
9 Yêu cầu riêng về thiết kế móng cọc trong vùng đất lún ướt
9.1 Khi khảo sát địa chất công trình tại khu đất xây dựng có đất lún ướt, cần xác định loại điều kiện đất theo tính lún ướt có chỉ rõ các giá trị đơn lẻ và lớn nhất có thể của độ lún ướt của đất do trọng lượng bản thân của nó (khi đắp phải tính trọng lượng đất đắp) đã được tính toán có xét đến tất cả các lớp đất có biến dạng lún ướt tương đối εsL ≥ 0,001.
Cùng với việc khoan các hố khoan, phải tiến hành đào thêm hố thăm để lấy mẫu đất nguyên khối.
Khi nghiên cứu chế độ thủy văn của nước ngầm trong khu vực có công trình xây dựng và dự báo sự thay đổi của nó khi xây dựng và sử dụng công trình, phải dự báo khả năng thấm ướt đất do tác động của các yếu tố khác nhau.
Các đặc trưng cơ lý của đất lún ướt, trong đó có các đặc trưng về độ bền và biến dạng, phải được xác định ở trạng thái độ ẩm tự nhiên và ở trạng thái bão hòa nước hoàn toàn. Biến dạng lún ướt tương đối của đất phải được xác định trong điều kiện chúng được thấm nước mà theo nhiệt độ và tạp chất hóa học phù hợp với sự tuần hoàn trong mạng lưới kỹ thuật của cả công trình đang thiết kế và các công trình nằm trong khu vực liền kề với công trình đang thiết kế.
9.2 Khi thiết kế móng cọc trong khu vực đất lún ướt loại II với độ lún ướt tiềm năng do trọng lượng bản thân lớn hơn 30 cm, cần có biện pháp chuyển đổi từ đất lún ướt loại II sang đất lún ướt loại I bằng cách đào đất; hoặc làm chặt đất bằng cách thấm ướt trước, thấm ướt kèm nổ mìn, đóng ép tạo hố kèm lấp đầy bằng đất loại sét; hoặc bằng các phương pháp khác. Các phương pháp vừa nêu phải đảm bảo khắc phục được độ lún ướt của tầng đất do trọng lượng bản thân của nó trong phạm vi diện tích chiếm chỗ của công trình và ở khoảng cách bằng một nửa tầng đất lún ướt bao quanh nó.
CHÚ THÍCH: Định nghĩa và phân loại đất lún ướt xem thêm TCVN 14393.
9.3 Ở khu vực có đất lún ướt khi đất có khả năng bị thấm ướt nên sử dụng móng cọc trong các trường hợp khi có thể hạ cọc xuyên qua toàn bộ các lớp đất lún ướt mà các đặc trưng về độ bền và biến dạng của đất bị giảm khi bị thấm ướt.
Mũi cọc phải được hạ vào trong đá, cát chặt và chặt vừa, đất loại sét có chỉ số chảy ở trạng thái bão hòa nước:
IL < 0,6 - đối với tất cả các loại cọc trong đất lún ướt loại I;
IL < 0,4 - đối với cọc đóng và IL < 0,2 đối với cọc khoan nhồi khi ssL,g ≤ su trong đất lún ướt loại II;
IL < 0,2 - đối với cọc đóng và IL ≤ 0 - đối với cọc khoan nhồi khi ssL,g > su trong đất lún ướt loại II (trong đó ssL,g là độ lún do trọng lượng bản thân đất có xét đến đắp đất hoặc phụ tải khác trên bề mặt).
Chiều sâu hạ cọc trong các loại đất nêu trên phải được xác định theo tính toán bằng cách kiểm tra điều kiện về độ lún của cọc không vượt quá độ lún giới hạn su và điều kiện về đảm bảo giá trị tiêu chuẩn của sức chịu tải yêu cầu của cọc. Khi đó, lấy giá trị chiều sâu hạ cọc lớn nhất trong số chiều sâu hạ cọc thu được.
CHÚ THÍCH 1: Nếu việc xuyên qua các lớp đất này trong các trường hợp cụ thể là không hợp lý về mặt kinh tế thì trong điều kiện đất lún ướt loại I đối với công trình cấp C1 cho phép hạ mũi cọc (trừ cọc-ống) không ít hơn 1 m vào lớp đất có biến dạng lún ướt tương đối εsL < 0,02 (khi áp lực không nhỏ hơn 3 MPa và không nhỏ hơn áp lực do trọng lượng bản thân và tải trọng trên bề mặt của nó) với điều kiện là trong trường hợp này giá trị tiêu chuẩn của sức chịu tải của cọc được đảm bảo, còn tổng giá trị của độ lún ướt có thể có và độ lún nền không vượt quá giá trị độ lún giới hạn của công trình khi đất bị thấm ướt không đều. Khi đó, giá trị tiêu chuẩn của sức chịu tải của cọc và móng cọc phải được đảm bảo, còn giá trị không cho phép có thể của độ lún và độ lún ướt của đất phải được loại trừ bằng cách sử dụng các biện pháp bổ sung.
CHÚ THÍCH 2: Đối với cọc-cột của nhà một tầng cấp C1 trong điều kiện đất lún ướt loại I, cho phép mũi cọc tựa lên đất có εsL ≥ 0,02 (khi áp lực không nhỏ hơn 3 MPa và không nhỏ hơn áp lực do trọng lượng bản thân và tải trọng trên bề mặt của nó) nếu giá trị tiêu chuẩn của sức chịu tải của cọc được kiểm chứng bằng thí nghiệm tĩnh ít nhất 3 cọc.
9.4 Trong trường hợp nếu kết quả khảo sát kỹ thuật đã xác định được rằng việc hạ cọc vào đất lún ướt là khó khăn thì trong đồ án thiết kế phải bố trí hố khoan dẫn có đường kính nhỏ hơn đường kính tiết diện cọc (nhỏ hơn không quá 50 mm) trong đất lún ướt loại I, còn trong đất lún ướt loại II - bằng hoặc nhỏ hơn đường kính tiết diện cọc (nhỏ hơn không quá 50 mm). Trong trường hợp sau, chiều sâu hố khoan dẫn không được vượt quá tầng đất lún ướt.
9.5 Giá trị tiêu chuẩn của sức chịu tải của cọc trong điều kiện đất lún ướt loại I cần được tính toán theo 7.2, có xét đến việc các sức kháng đơn vị của đất dưới mũi cọc qb và trên mặt bên cọc fi (các bảng 2, 3 và 8), hệ số tỷ lệ K (xem Phụ lục A), mô đun biến dạng E, góc ma sát trong φ và lực dính đơn vị c phải được xác định:
a) Khi đất bão hòa nước hoàn toàn, nếu đất có thể bị thấm ướt, trong đó các giá trị tính toán tra bảng cần được lấy ứng với chỉ số chảy xác định theo công thức:

trong đó:
k là hệ số, lấy bằng 1,0 đối với đất cát pha và bằng 0,9 đối với đất sét pha và sét;
e là hệ số rỗng của đất ở độ chặt tự nhiên;
yw là trọng lượng riêng của nước; yw = 10 kN/m3;
ys là trọng lượng riêng của hạt đất, tính bằng kN/m3;
wp, wL là các độ ẩm của đất ở ranh giới dẻo và chảy.
Nếu theo công thức (51) tính được IL < 0,4 hoặc IL > 1,0 thì cần lấy tương ứng IL = 0,4 hoặc IL = 1,0;
b) Khi độ ẩm w và chỉ số chảy IL của đất ở trạng thái tự nhiên (khi w < wp thì lấy w = wp), nếu đất không thể bị thấm ướt.
9.6 Giá trị tiêu chuẩn của sức chịu tải của cọc nhồi trong hố ép lún theo 6.4 c), mà được sử dụng trong đất lún ướt loại I, cần được ấn định phù hợp với 7.2.2.1 như đối với cọc đóng có các mặt nghiêng, với IL được xác định theo công thức (51).
9.7 Giá trị tiêu chuẩn của sức chịu tải của cọc, mà được sử dụng trong đất lún ướt loại I, theo kết quả thí nghiệm tĩnh (theo TCVN 9393) đã thực hiện với sự thấm ướt cục bộ đất trong phạm vi toàn bộ chiều dài cọc, cần được xác định theo 7.3.
Trong điều kiện đất lún ướt loại II, nếu có kinh nghiệm xây dựng trong khu vực có công trình hiện hữu và có kết quả kiểm thí nghiệm tĩnh cọc trong điều kiện tương tự trước đó thì cho phép không cần tiến hành thí nghiệm cọc.
Không cho phép xác định giá trị tiêu chuẩn của sức chịu tải của cọc và cọc-ống, mà đã được thi công trong đất lún ướt, theo kết quả thí nghiệm động, cũng như xác định sức kháng đơn vị của đất lún ướt dưới mũi cọc và trên mặt bên thân cọc theo kết quả thí nghiệm xuyên động các loại đất này tại hiện trường.
Thí nghiệm CPT được phép sử dụng cho:
- Bên dưới ranh giới tầng lún ướt - khi chọn lớp đất để cọc tựa vào và để xác định sức kháng đơn vị của đất dưới mũi cọc qb và trên mặt bên thân cọc fi;
- Trong điều kiện đất lún ướt loại I - để xác định sức kháng đơn vị của đất lún ướt bị thấm ướt dưới mũi cọc qb và trên mặt bên thân cọc fi;
- Trong điều kiện đất lún ướt loại II - khi xác định lực ma sát âm của đất lún ướt trên mặt bên thân cọc theo 9.10.
9.8 Ngoài các cọc nêu trong Điều 6, nên sử dụng cọc nhồi bê tông cốt thép hạ trong các hố khoan sẵn có đáy được làm chặt bằng cách đầm đá dăm đến chiều sâu không nhỏ hơn 3d (trong đó d là đường kính hố khoan), hoặc được đóng bằng mũi hình nón.
Trong điều kiện đất lún ướt loại II, cho phép sử dụng các cọc có vỏ chống ma sát (chống lún ướt), lắp đặt trên một phần thân nằm trong tầng lún ướt, nếu giá trị tiêu chuẩn của sức chịu tải của các cọc đó được khẳng định bằng kết quả thí nghiệm tĩnh.
9.9 Khi tính giá trị tiêu chuẩn của sức chịu tải của cọc theo đất nền trong điều kiện đất lún ướt loại II cần xét đến lực ma sát âm theo điều kiện:
![]()
trong đó:
Nd là tải trọng tính toán tác dụng lên cọc, tính bằng kilôniutơn (kN);
γc là hệ số điều kiện làm việc của cọc, lấy bằng:
1,00 - khi xác định Pn dựa vào kết quả của thí nghiệm tại hiện trường cọc khi tầng đất lún ướt bị thấm ướt từ dưới lên;
1,20 - khi thí nghiệm cọc tại hiện trường theo TCVN 9393 trong đất có độ ẩm tự nhiên;
1,25 - khi tính toán có sử dụng số liệu CPT và Bảng 16;
1,40 - khi tính toán theo 7.2;
1,50 - khi tính toán bằng phần mềm chuyên dụng dựa trên mô hình số;
Pn là lực ma sát âm, được xác định theo 9.10.
Rd là giá trị tính toán của sức chịu tải của cọc;
Rk là giá trị tiêu chuẩn của sức chịu tải của cọc, được xác định theo 9.11;
yk, yn là các hệ số, lấy theo 7.1.6.1.
CHÚ THÍCH 1: Giá trị Pn cần được xác định, về nguyên tắc, đối với đất có độ ẩm tự nhiên (khi đất có thể bị thấm ướt từ phía dưới).
CHÚ THÍCH 2: Theo độ bền vật liệu, cọc cần được tính toán chịu tải trọng (N + Pn) tác dụng ở chiều sâu hsL (xem 9.10).
9.10 Lực ma sát âm Pn trong đất có độ ẩm tự nhiên tác dụng trên mặt bên thân cọc, tính bằng kilôniutơn (kN), lấy bằng sức chịu tải giới hạn lớn nhất của cọc có chiều dài hsL thu được từ thí nghiệm bằng tải trọng kéo trong đất có độ ẩm tự nhiên.
Trước khi tiến hành thí nghiệm kéo, giá trị Pn được phép xác định:
a) Theo công thức:
![]()
trong đó:
u là chu vi thân cọc, tính bằng mét (m);
hsL là chiều sâu tính toán, tính bằng mét (m), mà tới đó tiến hành tính tổng lực ma sát của các lớp đất chịu ép, lấy bằng chiều sâu của tầng lún ướt;
τi là sức kháng cắt của đất, tính bằng kilôpascan (kPa), được xác định theo công thức:
![]()
trong đó:ζ
ζ là thông số thực nghiệm, đặc trưng cho áp lực hông tại vị trí tiếp xúc giữa cọc và đất:
![]()
σzg là ứng suất thẳng đứng do trọng lượng bản thân của đất, tính bằng kilôpascan (kPa);
φ1 và c1 là các giá trị tính toán của góc ma sát trong, tính bằng độ (°), và lực dính đơn vị của lớp đất thứ i có độ ẩm tự nhiên, tính bằng kilôpascan (kPa), được xác định bằng phương pháp cắt thoát nước cố kết (cắt chậm) theo TCVN 4199;
ni là hệ số rỗng của lớp đất thứ i;
Hi là chiều sâu ở giữa lớp đất tính toán thứ i, tính bằng mét (m);
H0 = 1 m;
hi là chiều dày lớp đất lún ướt i bị sụt khi bị thấm ướt và tiếp xúc với mặt bên thân cọc, tính bằng mét (m);
b) Theo kết quả CPT đất có ẩm tự nhiên đến chiều sâu tính toán hsL theo 7.3 và có sử dụng Bảng 16.
9.11 Giá trị tiêu chuẩn của sức chịu tải Rk, tính bằng kilôniutơn (kN), của cọc trong điều kiện đất lún ướt loại II, làm việc chịu tải trọng nén, cần được xác định:
a) Theo kết quả thí nghiệm tĩnh cọc trong đất có độ ẩm tự nhiên - bằng hiệu của giá trị tiêu chuẩn của sức chịu tải của cọc có chiều dài L chịu tải trọng nén và giá trị tiêu chuẩn của sức chịu tải của cọc có chiều dài hsL chịu tải trọng kéo (hsL là chiều sâu tầng lún ướt, Hình 6); trong trường hợp cần thiết, cần tiến hành thí nghiệm cọc đo biến dạng (xác định nội lực và biến dạng trong tiết diện ngang của cọc);
b) Theo kết quả thí nghiệm tĩnh cọc có chiều dài L với đoạn cọc trên cùng được cách ly với đất lún ướt (Hình 6) - như giá trị tiêu chuẩn của sức chịu tải của cọc có chiều dài (L - hsL) chôn trong lớp đất không phải là lún ướt bên dưới, chịu tải trọng nến;
c) Bằng tính toán theo 9.5 trong điều kiện đất bão hòa nước hoàn toàn trong phạm vi các lớp đất bên dưới chiều sâu hsL.
CHÚ THÍCH 1: Nếu mực nước ngầm nằm bên dưới ranh giới của các lớp lún ướt thì khi thí nghiệm cọc cần đảm bảo rằng độ bão hòa nước của đất nằm trong khoảng từ mực nước ngầm hiện tại đến ranh giới bên dưới của tầng lún ướt.
CHÚ THÍCH 2: Khi mực nước ngầm dâng lên do công nghệ gây ra trong tầng đất lún ướt và khi không có số liệu về biến dạng lún ướt đã xảy ra trong quá trình này, thì cần tiến hành thí nghiệm cọc dựa trên điều kiện là vị trí mực nước ngầm nằm ở mức ranh giới bên dưới của tầng lún ướt, tương ứng với thời điểm mực nước ngầm bắt đầu dâng lên do công nghệ gây ra.

CHÚ DẪN:
1 Vỏ ống
2 Mực nước ngầm
Hình 6 - Sơ đồ chung thí nghiệm tĩnh cọc trong điều kiện đất lún ướt loại II
9.12 Việc tiến hành thí nghiệm tĩnh cọc trong đất lún ướt loại II là bắt buộc khi không có nguồn số liệu về các thí nghiệm này.
9.13 Đối với các công trình cấp C3 và khi xây dựng đại trà tại các khu vực chưa có nghiên cứu điều kiện địa chất, tiến hành thí nghiệm cọc với thấm ướt dài hạn nền - cho đến khi độ lún ướt được biểu hiện đầy đủ theo phương án nghiên cứu cho điều kiện cụ thể
9.14 Nếu trên mặt bên thân cọc có thể xuất hiện lực ma sát âm thì độ lún của móng cọc dùng cọc ma sát cần được xác định như đối với móng khỏi quy ước (xem 7.4), nhưng khi tính tải trọng phải cộng thêm lực ma sát âm đã được xác định theo công thức (53) với chu vi u, tính bằng mét (m), lấy bằng chu vi đài cọc trong phạm vi chiều cao của nó và theo chu vi nhóm cọc tính theo mặt ngoài các cọc.
9.15 Độ lún không đều của móng cọc trong đất lún ướt để tính kết cấu công trình phải được xác định có xét đến sự thay đổi đã dự báo của điều kiện địa chất thủy văn tại khu đất xây dựng và các khả năng bất lợi nhất về hình thái và sự phân bố nguồn gây thấm ướt có liên quan đến móng đang tính hoặc toàn bộ công trình.
9.16 Việc sử dụng móng cọc không loại trừ được hết sự cần thiết phải thực hiện các biện pháp bảo vệ nguồn nước. Khi đó, trong điều kiện đất lún ướt loại II cũng phải dự kiến phân chia nhà thành các đơn nguyên đơn giản bằng các khe lún. Trong các nhà sản xuất của cơ sở công nghiệp có trang bị cần trục, ngoài ra, cần có các giải pháp kết cấu đảm bảo được khả năng căn chỉnh các đường cầu để tăng gấp đôi giá trị độ lún tính toán của móng cọc, nhưng không nhỏ hơn một nửa giá trị độ lún ướt của đất nền do trọng lượng bản thân của nó gây ra. Trong trường hợp, khi móng cọc không loại trừ được việc biến dạng của kết cấu và độ nghiêng của công trình vượt quá các giá trị giới hạn theo các tiêu chuẩn thì công trình được phép thiết kế có xét đến các biện pháp làm giảm độ lún không đều của nó và khắc phục được độ nghiêng, trong đó có biện pháp căn chỉnh.
9.17 Khi độ lún ướt của đất do trọng lượng bản thân của nó lớn hơn 30 cm thì cần xem xét khả năng chuyển dịch ngang của móng cọc nằm trong phạm vi phần đường cong của phễu lún ướt.
9.18 Trong điều kiện đất lún ướt loại II, khi xác định tải trọng tác dụng lên móng cọc cần xét đến lực ma sát âm có thể xuất hiện trên bề mặt bên (phần ngầm của công trình) chôn trong đất phía trên đáy đài cọc.
9.19 Khi sử dụng móng cọc, việc đắp đất với chiều dày hơn 1 m để tạo mặt bằng trong khu vực đất lún ướt chỉ được phép khi có luận chứng phù hợp.
10 Yêu cầu riêng về thiết kế móng cọc trong vùng đất trương nở
10.1 Khi thiết kế móng cọc trong đất trương nở, cho phép cọc xuyên qua toàn bộ các lớp đất trương nở (mũi cọc tựa lên đất không trương nở), cũng như xuyên qua một phần (mũi cọc tựa trực tiếp lên đất trương nở).
10.2 Khi tính giá trị tiêu chuẩn của sức chịu tải của cọc hoặc cọc-ống trong đất trương nở, giá trị sức kháng đơn vị của đất dưới mũi cọc qb và trên mặt bên thân cọc fi dựa trên kết quả thí nghiệm tĩnh cọc và cọc-tấm nén trong đất trương nở với sự thấm ướt đất trong khu đất xây dựng hoặc vùng lân cận có loại đất tương tự. Trường hợp không có thí nghiệm tĩnh vừa nêu, sức kháng đơn vị của đất dưới mũi cọc qb và trên mặt bên thân cọc fi đối với cọc và cọc-ống có đường kính dưới 1 m được phép lấy theo các bảng 2, 3 và 8 nhưng phải nhân thêm với hệ số điều kiện làm việc của cọc trong đất γc = 0,5, được xét đến không phụ thuộc vào các hệ số điều kiện làm việc khác đã nêu trong các bảng 4 và 6.
10.3 Khi tính móng cọc trong đất trương nở theo biến dạng (xem 7.4) phải bổ sung tính độ trồi của cọc trong đất trương nở theo các yêu cầu từ 10.4 đến 10.6.
10.4 Độ trồi hsw,ρ của cọc đóng được hạ trong hố khoan dẫn trước, cọc khoan không mở rộng mũi, cũng như cọc-ống không xuyên qua hết tầng đất trương nở, được xác định theo công thức:
![]()
trong đó:
hsw,p tính bằng mét (m);
hsw là độ trồi của bề mặt đất trương nở, tính bằng mét (m);
là độ trồi của lớp đất dưới mũi cọc (trường hợp xuyên qua tầng đất trương nở
= 0);
Ω, ω là các hệ số, được xác định theo Bảng 24, trong đó Ω phụ thuộc vào chỉ số α đặc trưng cho sự giảm biến dạng theo chiều sâu của khối đất trong quá trình trương nở và được lấy từ 0,31 m-1 đến 0,42 m-1 đối với đất sét trương nở;
u là chu vi cọc, tính bằng mét (m);
Nd là tải trọng tính toán truyền lên một cọc, tính bằng kilôniutơn (kN), đã được xác định với hệ số độ tin cậy về tải trọng yf = 1,0.
Bảng 24 - Các hệ số Ω và ω
| Chiều sâu hạ cọc, m | Hệ số Ω, m-1, khi giá trị α bằng | Hệ số ω, m2/kN | ||||
| 0,2 | 0,3 | 0,4 | 0,5 | 0,6 | ||
| 3 | 0,72 | 0,62 | 0,53 | 0,46 | 0,40 | - |
| 4 | 0,64 | 0,53 | 0,44 | 0,36 | 0,31 | 1,5 |
| 5 | 0,59 | 0,46 | 0,36 | 0,29 | 0,24 | 1,1 |
| 6 | 0,53 | 0,40 | 0,31 | 0,24 | 0,19 | 0,7 |
| 7 | 0,48 | 0,35 | 0,26 | 0,20 | 0,15 | 0,5 |
| 8 | 0,44 | 0,31 | 0,22 | 0,17 | 0,13 | 0,4 |
| 9 | 0,40 | 0,27 | 0,19 | 0,14 | 0,11 | 0,3 |
| 10 | 0,37 | 0,24 | 0,17 | 0,12 | 0,09 | 0,2 |
| 11 | 0,34 | 0,21 | 0,15 | 0,10 | 0,08 | 0,2 |
| 12 | 0,31 | 0,19 | 0,13 | 0,09 | 0,07 | 0,1 |
Các giá trị độ trồi giới hạn của công trình, cũng như giá trị độ trồi của bề mặt đất trương nở hsw và độ trồi của lớp đất dưới mũi cọc hsw,p được xác định theo [7].
10.5 Khi cọc xuyên qua các lớp đất trương nở và nằm trong đất không trương nở, độ trồi của móng cọc gần như bị loại trừ khi thỏa mãn điều kiện:
![]()
trong đó:
Nd xem công thức (55);
Rsw là hợp lực trồi tính toán tác dụng lên mặt bên thân cọc, tính bằng kilôniutơn (kN), được xác định bằng kết quả thí nghiệm hiện trường trong đất trương nở hoặc bằng cách sử dụng số liệu trong Bảng 3 rồi nhân với hệ số độ tin cậy về tải trọng cho lực trương nở của đất yf = 1,2;
Rk là giá trị tiêu chuẩn của sức chịu tải, tính bằng kilôniutơn (kN) của đoạn cọc nằm trong đất không trương nở có tác dụng của tải trọng kéo, được xác định có xét đến các yêu cầu nêu trong 10.2;
yn, yk xem công thức (2).
10.6 Độ trồi của cọc có đường kính lớn hơn 1 m, không xuyên hết qua đất trương nở, cần được xác định như đối với móng trên nền tự nhiên phù hợp với [7]. Khi đó, độ trồi của cọc có mở rộng cần được xác định dưới tác dụng của tải trọng Ru bằng:
![]()
trong đó:
Nd, Rsw xem công thức (56);
là giá trị tính toán của trọng lượng riêng của đất, tính bằng kN/m3;
Vg là thể tích đất ngăn cản trồi cọc, tính bằng mét khối (m3), lấy bằng thể tích đất trong phạm vi hình nón cụt mở rộng có chiều cao h với đường kính đáy dưới (đáy nhỏ) bằng đường kính mở rộng d, còn đường kính đáy trên (đáy lớn) d' = h + d (trong đó h là khoảng cách từ mặt đất tự nhiên đến giữa phần mở rộng của cọc).
10.7 Khi thiết kế móng cọc trong đất trương nở, phải bố trí khe hở giữa bề mặt đất và đáy đài với chiều dày bằng hoặc lớn hơn giá trị độ trồi lớn nhất khi đất bị trương nở.
Nếu chiều dày lớp đất trương nở nhỏ hơn 12 m, cho phép đài cọc đặt trực tiếp lên đất nếu thỏa mãn điều kiện (56).
Khi các cọc được bố trí thành nhóm cọc hoặc bãi cọc, độ trồi của móng cọc cần được tính có xét đến ảnh hưởng tương hỗ của các cọc.
11 Yêu cầu riêng về thiết kế móng cọc trong vùng khai thác mỏ
11.1 Khi thiết kế móng cọc trong vùng khai thác mỏ, ngoài các yêu cầu của tiêu chuẩn này cũng phải tuân theo các yêu cầu của TCVN 14393. Khi đó, cùng với các số liệu khảo sát địa chất công trình để thiết kế móng cọc cũng phải sử dụng các số liệu khảo sát địa chất mỏ và thông tin về biến dạng dự kiến của bề mặt trái đất.
11.2 Trong nhiệm vụ thiết kế móng cọc trong vùng khai thác mỏ phải có kết quả số liệu thu được từ tính toán đo đạc về biến dạng lớn nhất dự kiến của bề mặt đất trong khu đất xây dựng, bao gồm sự lún sụt, độ nghiêng, biến dạng ngang (co hoặc giãn) tương đối, bán kính cong của bề mặt trái đất, chiều cao mô đất.
11.3 Việc tính toán móng cọc công trình trong vùng khai thác mỏ phải được thực hiện theo trạng thái giới hạn dưới tác dụng của tổ hợp tải trọng đặc biệt đã ấn định có xét đến các tác động do nền bị biến dạng khi khai thác.
11.4 Tùy thuộc vào đặc điểm của liên kết đầu cọc với đài cọc và tương tác của móng với đất nền trong quá trình phát triển biến dạng ngang trong đất nền khi khai thác, sơ đồ móng cọc có thể được chia thành:
- Sơ đồ liên kết cứng - khi ngàm cứng đầu cọc vào đài cọc bằng cách neo cốt thép cọc hoặc đầu cọc ngàm trực tiếp vào đài cọc theo 8.9;
- Sơ đồ liên kết mềm - khi liên kết khớp quy ước đầu cọc với đài cọc được thực hiện bằng cách chôn đầu cọc vào đài cọc một chiều sâu từ 5 cm đến 10 cm hoặc liên kết thông qua mạch trượt.
11.5 Việc tính toán móng cọc và nền của nó trong vùng khai thác mỏ phải được thực hiện có xét đến:
a) Sự thay đổi tính chất cơ lý của đất gây bởi việc khai thác khu đất phù hợp với 11.6;
b) Sự phân phối lại tải trọng thẳng đứng lên từng cọc gây bởi bề mặt đất bị nghiêng, cong và kiến tạo mấp mô phù hợp với 11.7;
c) Tải trọng bổ sung trong mặt phẳng nằm ngang gây bởi biến dạng ngang tương đối của đất nền phù hợp với 11.8.
11.6 Giá trị tiêu chuẩn của sức chịu tải theo đất nền của mọi loại cọc chịu tải trọng nén trong vùng khai thác mỏ Rk,cr được xác định theo công thức:
![]()
trong đó:
Rk,cr tính bằng kilôniutơn (kN);
γcr là hệ số điều kiện làm việc, xét đến sự thay đổi tính chất cơ lý của đất và sự phân phối lại tải trọng thẳng đứng trong quá trình khai thác, lấy bằng:
1,0 - đối với cọc chống cho mọi công trình;
0,9 - đối với cọc ma sát trong móng của công trình mềm (ví dụ: công trình một tầng dạng khung với các gối tựa khớp);
1,1 - đối với cọc ma sát trong móng của công trình cứng (ví dụ: nhà nhiều tầng không khung với các nút cứng; thân silo);
Rk là giá trị tiêu chuẩn của sức chịu tải của cọc, tính bằng kilôniutơn (kN), đã được xác định bằng tính toán theo 7.2 hoặc theo kết quả thí nghiệm hiện trường (thí nghiệm cọc bằng tải trọng động hoặc tĩnh, thí nghiệm xuyên đất) theo 7.3.
CHÚ THÍCH: Trường hợp các vỉa dốc đứng thì trong công thức (58) cũng nên xét đến hệ số bổ sung γcr = 1/(1+100εh) phụ thuộc vào giá trị biến dạng ngang tương đối εh, tính bằng mm/m.
11.7 Tải trọng thẳng đứng bổ sung ± ∆Nd lên cọc hoặc cọc-ống của công trình có sơ đồ kết cấu cứng nên được xác định phụ thuộc vào giá trị tính toán của chuyển dịch theo phương đứng của cọc gây bởi mặt đất bị nghiêng, cong và bề mặt kiến tạo mấp mô, cũng như biến dạng ngang của nền đất trong điều kiện:
- Móng cọc dùng cọc ma sát và nền của nó được thay thế (theo 7.4) bằng móng khối quy ước trên nền tự nhiên;
- Nền của móng khối quy ước được giả thiết là biến dạng tuyến tính có mô đun biến dạng không đổi và hệ số nền không đổi theo chiều dài công trình hoặc trong từng vùng riêng của nền đó.
Tải trọng thẳng đứng bổ sung được xác định tương ứng với các trục dọc và ngang của công trình.
11.8 Trong tính toán móng cọc được thi công trong vùng khai thác mỏ, cần xét đến nội lực bổ sung xuất hiện trong cọc do tác động của uốn cọc dưới ảnh hưởng của chuyển dịch ngang của đất nền khi khai thác so với vị trí thiết kế của cọc.
11.9 Chuyển dịch ngang tính toán của đất ucr khi khai thác đất cần được xác định theo công thức:
![]()
trong đó:
ucr tính bằng milimét (mm);
yf, γc tương ứng là hệ số độ tin cậy về tải trọng và hệ số điều kiện làm việc đối với biến dạng ngang tương đối, lấy theo TCVN 14393;
εh là giá trị dự tính của biến dạng ngang tương đối, được xác định theo kết quả tính toán đo đạc, tính bằng mm/m;
x là khoảng cách từ trục của cọc đang xét đến trục trung tâm của công trình có đài cọc dưới toàn bộ chiều dài của công trình (hoặc đơn nguyên), hoặc đến khối cứng của công trình (đơn nguyên) dạng khung có đài cọc dưới từng cột riêng biệt, tính bằng mét (m).
11.10 Móng cọc của công trình xây dựng trong vùng khai thác mỏ cần được thiết kế xuất phát từ điều kiện là cần thiết phải truyền nội lực tối thiểu từ cọc vào đài cọc, phát sinh do biến dạng bề mặt đất.
Để thực hiện yêu cầu nêu trên, trong đồ án thiết kế phải xem xét:
a) Chia tách công trình thành các đơn nguyên để giảm ảnh hưởng chuyển dịch ngang của đất nền;
b) Ưu tiên sử dụng cọc ma sát cho công trình có sơ đồ kết cấu cứng để giảm nội lực phát sinh thêm trong mặt phẳng thẳng đứng do nền bị uốn cong;
c) Sử dụng cọc có độ cứng nhỏ, ví dụ cọc hình lăng trụ, cọc có tiết diện ngang hình vuông hoặc hình chữ nhật, khi đó cọc tiết diện ngang hình chữ nhật cần đặt cạnh nhỏ theo phương dọc của đơn nguyên công trình;
d) Ưu tiên sử dụng liên kết mềm giữa cọc với đài cọc đã nêu trong 11.4;
e) Căn chỉnh công trình bằng kích hoặc các thiết bị căn chỉnh khác.
Khi chia tách công trình thành các đơn nguyên thì giữa các đơn nguyên cần bố trí các khe (khe lún) trong đài cọc với kích thước khe lún được xác định như đối với kết cấu phía dưới của công trình phù hợp với TCVN 14393.
11.11 Về nguyên tắc, móng cọc nên được sử dụng tại vùng khai thác mỏ có đất thuộc các nhóm I đến IV, trong đó:
- Sử dụng cọc ma sát - trong các khu vực có đất thuộc các nhóm I đến IV đối với bất kỳ loại và kết cấu của công trình;
- Sử dụng cọc chống - trong các khu vực có đất thuộc các nhóm III đến IV đối với công trình đang thiết kế theo sơ đồ kết cấu mềm khi nền bị uốn cong, còn đối với nhóm IV - cho cả công trình đang thiết kế theo sơ đồ kết cấu cứng.
CHÚ THÍCH 1: Phân nhóm đất trong vùng khai thác mỏ lấy theo TCVN 14393.
CHÚ THÍCH 2: Cọc-ống, cọc nhồi và cọc khoan có đường kính lớn hơn 600 mm và các loại cọc cứng khác, về nguyên tắc, chỉ được phép sử dụng trong móng cọc có sơ đồ liên kết mềm giữa cọc với đài cọc bằng mạch trượt (11.4).
CHÚ THÍCH 3: Chiều sâu hạ cọc trong vùng khai thác mỏ không được nhỏ hơn 4 m, trừ trường hợp cọc tựa lên đất đá.
11.12 Trong vùng khai thác mỏ có đất thuộc các nhóm Ik đến IVk (theo TCVN 14393) mà có khả năng kiến tạo mấp mô, cũng như trong các khu vực có địa tầng xáo trộn, móng cọc chỉ được sử dụng khi có luận chứng phù hợp.
11.13 Cấu tạo liên kết giữa cọc với đài cọc phải được lựa chọn phụ thuộc vào giá trị chuyển dịch ngang dự tính của đất nền, khi đó giá trị chuyển dịch ngang giới hạn của cọc không được lớn hơn các giá trị sau (11.4):
2 cm - khi liên kết với đài cọc là liên kết cứng;
5 cm - khi liên kết với đài cọc là liên kết mềm, liên kết khớp quy ước;
8 cm - khi liên kết với đài cọc là liên kết mềm thông qua mạch trượt.
CHÚ THÍCH: Để giảm nội lực xuất hiện trong cọc và đài cọc do tác động của chuyển dịch ngang của nền đất, cũng như đảm bảo ổn định không gian của móng cọc công trình về tổng thể, thì các cọc của nhóm cọc chịu tác động của chuyển dịch nền không lớn (đến 2 cm) cần có liên kết cứng, các cọc còn lại - có liên kết mềm (liên kết khớp hoặc liên kết thông qua mạch trượt).
11.14 Đài cọc phải được tính toán chịu kéo lệch tâm và nén lệch tâm cũng như chịu xoắn khi có tác dụng của phản lực ngang từ cọc (lực cắt và mô men uốn) gây bởi áp lực bên của đất nền bị biến dạng khi khác thác.
11.15 Khi sử dụng móng cọc có đài cao thì trong lớp nền bê tông hoặc kết cấu cứng khác nằm trên mặt đất nên bố trí khe hở quanh toàn bộ chu vi các cọc với chiều rộng khe hở không nhỏ hơn 8 cm trên suốt chiều dày của kết cấu cứng. Khe hở phải được chèn bằng vật liệu dẻo hoặc đàn hồi sao cho không tạo thành gối cứng cho cọc khi có tác động của chuyển dịch ngang đất nền.
12 Yêu cầu riêng về thiết kế móng cọc trong vùng động đất
12.1 Điều này áp dụng để thiết kế móng cọc cho các công trình xây mới và cải tạo trong các khu đất xây dựng có 0,1g ≤ (agR ·S)≤ 0,4g, trong đó: agR là đỉnh gia tốc nền tham chiếu trên nền loại A, lấy theo [1]; S là hệ số nền, lấy theo TCVN 9386; g là gia tốc trọng trường, g = 9,81 m/s2.
Trong các vùng có (agR·S) < 0,1g khi thiết kế nền của móng cọc không cần xét đến tác động động đất.
12.2 Khi thiết kế móng cọc trong khu đất xây dựng có 0,1g ≤ (agR ·S) ≤ 0,4g, ngoài các yêu cầu của tiêu chuẩn này, cũng cần đáp ứng với các yêu cầu về tải trọng và tổ hợp tải trọng của TCVN 9386.
Đối với thiết kế móng cọc, phải sử dụng các số liệu từ các nghiên cứu địa chấn và địa chấn kiến tạo, cũng như vi phân vùng động đất (khi cần thiết) của khu đất xây dựng mà cần được dự tính trong thành phần của khảo sát kỹ thuật.
12.3 Nếu trong khu đất xây dựng có đất theo tính chất động đất là loại S2 theo TCVN 9386, phải thực hiện các biện pháp cải thiện tính chất xây dựng của đất nền trước khi bắt đầu xây dựng.
CHÚ THÍCH: Tính chất xây dựng của đất nền là trọng lượng riêng, độ ẩm, độ dính, độ xốp, góc nghỉ tự nhiên, khả năng giữ nước.
Không nên sử dụng đất bão hòa nước có khả năng hóa lỏng làm nền cho móng cọc mà không có các biện pháp ban đầu để cải thiện tính chất xây dựng của nó (đầm chặt, gia cố, thay thế đất trong nền, v.v.).
Các tính chất động lực của đất và khả năng hóa lỏng của nó dưới tác động động đất trong điều kiện phòng thí nghiệm có thể tham khảo cách xác định theo [6]. Ở giai đoạn khảo sát địa chất công trình để chuẩn bị hồ sơ thiết kế, khả năng hóa lỏng của cát bão hòa nước nên được xác định sơ bộ bằng cách sử dụng thí nghiệm xuyên động, SPT.
CHÚ THÍCH: Các tính chất động lực của đất là nhóm các tính chất cơ lý của đất, đặc trưng cho phản ứng của đất với tải trọng động, kể cả tính chất của đất là môi trường lan truyền dao động (lưu biến, cát chảy, đàn hồi, cản nhớt, lọc, v.v.).
12.4 Trong mọi trường hợp móng cọc, các cọc phải xuyên qua các lớp đất có khả năng hóa lỏng. Không được đặt mũi cọc lên các lớp đất đó.
Khi móng cọc xuyên qua các lớp đất này, với luận cứ tính toán phù hợp, cho phép xét đến khả năng hóa lỏng của lớp đất phía trên đến chiều sâu không vượt quá giá trị hd (xác định theo công thức (60)) và không quá 3 m.
Khi đó, giải pháp thiết kế móng cọc phải chú ý đến việc đầu cọc phải được ngàm cứng với đài cọc.
12.5 Khi tính toán móng cọc công trình theo các trạng thái giới hạn nhóm thứ nhất theo Điều 7 phải xét đến tổ hợp tải trọng đặc biệt (trong đó có tác động động đất tính toán) được xác định với các hệ số tổ hợp của nó theo TCVN 9386 và TCVN 2737. Tổ hợp tải trọng đặc biệt phải bao gồm tải trọng thường xuyên, tạm thời dài hạn và tạm thời ngắn hạn, tải trọng động đất.
Khi tính toán theo tổ hợp tải trọng đặc biệt phải:
a) Xác định giá trị tiêu chuẩn của sức chịu tải của cọc đơn chịu tải trọng nén và kéo theo 7.2;
b) Kiểm tra độ ổn định của nền theo điều kiện khống chế áp lực truyền lên đất qua mặt bên của cọc theo công thức (A.7) hoặc phương pháp số nêu tại 7.7;
c) Tính toán theo độ bền vật liệu đối với cọc chịu tác dụng đồng thời của các nội lực tính toán (lực dọc, mô men uốn và lực cắt) mà giá trị các nội lực này được xác định theo Phụ lục A phụ thuộc vào giá trị tính toán của tải trọng động đất hoặc theo phương pháp số nêu tại 7.7.
CHÚ THÍCH: Khi xác định giá trị tính toán của tải trọng động đất tác dụng lên công trình, móng cọc đài cao (nếu nó có) nên được coi như tầng dưới cùng của khung.
12.6 Khi tính toán giá trị tiêu chuẩn của sức chịu tải của cọc chịu tải trọng nén hoặc kéo Rk,eq trong trường hợp có tác động động đất thì các giá trị qb và fi (xem 7.2) cần được nhân với các hệ số điều kiện làm việc giảm của đất nền γeq1 và γeq1 nêu trong Bảng 25, hoặc được xác định theo kết quả thí nghiệm cọc và nhóm cọc bằng tải trọng tĩnh có mô phỏng đồng thời tác động động đất. Việc thí nghiệm cọc có chịu tác động động đất mô phỏng cần được thực hiện theo phương án thí nghiệm cụ thể do các đơn vị chuyên môn lập.
Khi tính toán giá trị tiêu chuẩn của sức chịu tải của cọc dưới tác động động đất Rk,eq, sức kháng đơn vị của đất trên mặt bên thân cọc fi đến chiều sâu tính toán hd theo công thức (60) phải lấy bằng 0.
Bảng 25 - Các hệ số điều kiện làm việc γeq1 và γeq2
| agR·S | γeq1 để hiệu chỉnh giá trị qb đối với đất | γeq2 để hiệu chỉnh giá trị fi đối với đất | |||||||||
| cát chặt | cát chặt vừa | loại sét có chỉ số chảy | cát chặt và chặt vừa | loại sét có chỉ số chảy | |||||||
| ít ẩm và ẩm | bão hòa nước | ít ẩm và ẩm | bão hòa nước | IL < 0 | 0 ≤ IL ≤ 0,5 | ít ẩm và ẩm | bão hòa nước | IL < 0 | 0 ≤ IL ≤ 0,75 | 0,75 < IL < 1,0 | |
| 0,1g | 1,00 0,90 | 0,90 0,50 | 0,95 0,85 | 0,80 0,40 | 1,00 1,00 | 0,95 0,90 | 0,95 0,85 | 0,90 0,50 | 0,95 0,90 | 0,85 0,80 | 0,75 0,75 |
| 0,2g | 0,90 0,80 | 0,80 0,40 | 0,85 0,75 | 0,70 0,35 | 0,95 0,95 | 0,90 0,80 | 0,85 0,75 | 0,80 0,40 | 0,90 0,80 | 0,80 0,70 | 0,70 0,65 |
| 0,4g | 0,80 0,70 | 0,70 0,35 | 0,75 0,60 | _ 1) | 0,90 0,85 | 0,80 0,70 | 0,75 0,65 | 0,70 0,35 | 0,85 0,65 | 0,70 0,60 | 0,60 0,40 |
| 1) Chỉ được phép xác định trên cơ sở nghiên cứu thực nghiệm tại hiện trường. | |||||||||||
| CHÚ THÍCH 1: Các giá trị γeq1 và γeq2 ở tử số áp dụng cho cọc đóng, cọc nhồi chiếm chỗ nêu tại 6.4 a); ở mẫu số - áp dụng cho cọc khoan. CHÚ THÍCH 2: Đối với cọc chống tựa lên đá và đất hòn lớn, giá trị các hệ số điều kiện làm việc γeq1 = 1,0 và γeq2 = 0. CHÚ THÍCH 3: Với các giá trị trung gian của (agR·S), các hệ số γeq1 và γeq2 có thể được xác định bằng nội suy tuyến tính. CHÚ THÍCH 4: Đỉnh gia tốc nền tham chiếu trên nền loại A, agR, lấy theo [1], hệ số nền S lấy theo TCVN 9386, gia tốc trọng trường g = 9,81 m/s2. | |||||||||||
12.7 Chiều sâu hd, mà tới đó không xét sức kháng đơn vị của đất trên mặt bên thân cọc trong tính toán theo tổ hợp tải trọng đặc biệt, được xác định theo công thức (60), nhưng lấy không lớn hơn 3/αε

trong đó:
a1, a2, a3 là các hệ số không thứ nguyên, lần lượt lấy bằng:
1,5; 0,8 và 0,6 - khi dùng đài cọc cao và đối với cọc đơn;
1,2; 1,2 và 0,0 - khi ngàm cứng cọc vào đài thấp hoặc cho cọc có đệm trung gian.
H, M là các giá trị tính toán tương ứng của lực ngang, tính bằng kilôniutơn (kN), và mô men tính toán, tính bằng kN·m, đặt lên cọc tại cao độ đầu cọc, dưới tác dụng của tổ hợp tải trọng đặc biệt có xét đến tác động động đất;
αε là hệ số biến dạng, tính bằng 1/m, xác định theo công thức (A.3), Phụ lục A;
bp là chiều rộng quy ước của cọc, tính bằng mét (m), được xác định theo A.5, Phụ lục A;
yI là giá trị tính toán của trọng lượng riêng của đất, tính bằng kN/m3, được xác định trong đất bão hòa nước có xét đến tác động đẩy nổi của nước;
φI, cI là các giá trị tính toán tương ứng của góc ma sát trong của đất, tính bằng độ (°), có xét đến 12.8, và của lực dính đơn vị, tính bằng kilôpascan (kPa).
Trong đồ án thiết kế, nếu đầu cọc được ngàm vào kết cấu của đài cọc thì nên có các thí nghiệm kiểm tra cọc chịu tải trọng ngang.
CHÚ THÍCH: Thí nghiệm tải trọng ngang có thể tham khảo [4].
12.8 Tính toán móng cọc dưới tổ hợp tải trọng đặc biệt mà không xét đến lực quán tính khối của khối đất do động đất, kể cả khi áp dụng 7.1 và 7.2, cũng như xác định chiều sâu tính toán hd theo công thức (60) cần được thực hiện với giá trị tính toán của góc ma sát trong φ1 đã giảm 2° khi (agR ·S) = 0,1g, giảm 4° khi (agR ·S) = 0,2g, giảm 7° khi (agR ·S) = 0,4g. Với các giá trị trung gian của (agR ·S) thì giá trị giảm của (φI lấy bằng nội suy tuyến tính.
Khi tính toán móng cọc và nền của nó dưới tổ hợp tải trọng đặc biệt có xét đến lực quán tính khối do động đất theo 7.7, giá trị tính toán của góc ma sát trong lấy bằng φI.
12.9 Giá trị tiêu chuẩn của sức chịu tải Rk,eq của cọc làm việc chịu tải trọng nén và (hoặc) kéo theo phương đứng theo kết quả thí nghiệm hiện trường phải được xác định có xét đến tác động động đất theo công thức:
![]()
trong đó:
Rk,eq tính bằng kilôniutơn (kN);
keq là hệ số xét đến sự suy giảm giá trị tiêu chuẩn của sức chịu tải của cọc dưới tác động động đất, được tính bằng tỷ số giữa giá trị tiêu chuẩn của sức chịu tải của cọc tính theo 12.5 đến 12.8 có xét đến tác động động đất và giá trị tiêu chuẩn của sức chịu tải của cọc đã được xác định theo 7.2 không xét đến tác động động đất;
Rk là giá trị tiêu chuẩn của sức chịu tải của cọc, tính bằng kilôniutơn (kN), đã được xác định theo kết quả thí nghiệm tĩnh hoặc động hoặc theo số liệu thí nghiệm OPT, SPT theo 7.3 không xét đến tác động động đất.
12.10 Đối với móng cọc trong khu đất xây dựng có 0,1g ≤ (agR ·S) ≤ 0,4g, cho phép sử dụng mọi loại cọc, ngoại trừ cọc bê tông cốt thép không có cốt thép ngang và cọc hình chùy.
Cũng không cho phép sử dụng cọc bê tông, tức là cọc không có lồng thép dọc theo suốt chiều dài thân cọc.
12.11 Khi thiết kế móng cọc trong khu đất xây dựng có 0,1g ≤ (agR ·S) ≤ 0,4g, mũi cọc nên được tựa lên đá, đất hòn lớn, cát chặt và chặt vừa, đất loại sét có chỉ số chảy IL ≤ 0,5.
Không nên tựa mũi cọc lên cát rời bão hòa nước, đất loại sét có chỉ số chảy IL > 0,5 và không cho phép tựa mũi cọc lên đất có khả năng hóa lỏng.
12.12 Chiều sâu hạ cọc trong khu đất xây dựng có 0,1g ≤ (agR ·S) ≤ 0,4g không được nhỏ hơn 4 m, còn nếu nền dưới mũi cọc là cát chặt vừa bão hòa nước thì không nên nhỏ hơn 8 m. Cho phép giảm độ sâu hạ cọc khi có cơ sở phù hợp dựa trên kết quả thí nghiệm hiện trường với tải trọng tĩnh có kèm tác động động đất mô phỏng.
12.13 Tính toán cọc trong đất lún ướt, đất trương nở dưới tổ hợp tải trọng đặc biệt có xét đến tác động động đất cần được thực hiện ở điều kiện đất ẩm tự nhiên nếu sự thấm ướt đất không thể xảy ra và ở điều kiện đất bão hòa nước hoàn toàn với chỉ số chảy xác định theo công thức (51) nếu sự thấm ướt đất là có thể xảy ra. Khi đó, giá trị tiêu chuẩn của sức chịu tải của cọc trong điều kiện đất lún ướt loại II cần được xác định không xét đến khả năng phát triển lực ma sát âm của đất.
CHÚ THÍCH: Việc tính toán cọc chịu tác động động đất không bỏ qua được sự cần thiết phải thực hiện tính toán cọc theo Điều 9 đến Điều 11, trong đó có xem xét các tác động đặc biệt khác trong các tổ hợp tải trọng khác.
12.14 Móng cọc trong khu đất xây dựng có 0,1g ≤ (agR ·S) ≤ 0,4g cần được thiết kế có đài cọc bằng bê tông cốt thép toàn khối. Không cho phép cấu tạo móng cọc của công trình mà không có đài cọc.
Cho phép thiết kế móng có đài cọc thấp hoặc cao mà có các đầu cọc được chôn vào, hoặc đài cọc có đệm đất trung gian ngăn cách các đầu cọc với đài cọc.
12.15 Móng cọc đài thấp hoặc cao cần được thiết kế trong các trường hợp khi có tải trọng ngang trong các tổ hợp cơ bản truyền vào móng, cũng như trong các trường hợp khi có các tác động đặc biệt khác ngoài tác động động đất truyền vào móng.
Móng cọc có các đầu cọc chôn trong đài nên được sử dụng ở các khu vực có đất khoáng hữu cơ, đất hữu cơ và đất lún ướt loại II, ở các vùng khai thác mỏ, các khu vực có địa chất không ổn định (nơi có hoặc có thể xảy ra sạt trượt đất, dòng chảy bùn, các tơ và tương tự) và ở các khu vực có đất bão hòa nước không ổn định.
12.16 Khi thiết kế móng cọc cho các công trình khối lớn hoặc công trình chắn kiểu góc (tường chắn kiểu góc) trong khu đất xây dựng có 0,1g ≤ (agR ·S) ≤ 0,4g, có thể tham khảo TCVN 14213-1.
12.17 Trường hợp có phần ngầm công trình thì khi thiết kế móng cọc có đài cọc dạng tấm cần xét việc giảm lực ngang truyền vào móng cọc nhờ vào việc xét chiều sâu đặt đài cọc và sức kháng bị động của đất tương tác với các kết cấu phần ngầm công trình, cũng như nhờ vào việc xét ma sát từ phía tường ngoài của phần chôn sâu và móng với đất.
12.18 Đài cọc cao trong phạm vi đơn nguyên chịu động đất của công trình cần được thiết kế, về nguyên tắc, liên tục dưới dạng bản bê tông cốt thép toàn khối. Đài cọc thấp dưới tường chịu lực hoặc kết cấu khung của công trình nên được thiết kế liên tục dưới dạng bản bê tông cốt thép toàn khối hoặc băng giao nhau.
12.19 Trong các trường hợp khác với các trường hợp nêu tại 12.15, nên sử dụng móng cọc có đệm trung gian bằng vật liệu rời (đá dăm, sỏi, cát thô vừa) trong khu đất xây dựng có 0,1g ≤ agR ·S ≤ 0,4g.
12.20 Các đặc trưng về độ bền và biến dạng của vật liệu làm đệm phải phù hợp với các yêu cầu của TCVN 9362. Khi thi công đệm trung gian bằng cát thô và vừa, khối lượng thể tích của đất khô không được nhỏ hơn 1,65 T/m3.
Chiều dày đệm trung gian không được nhỏ hơn 0,4 m và, về nguyên tắc, không được lớn hơn 1,0 m, tải trọng truyền lên các cọc càng lớn thì nên lấy chiều dày đệm trung gian càng lớn. Kích thước trên mặt bằng của đệm trung gian phải lớn hơn kích thước của đài cọc một giá trị không nhỏ hơn chiều dày đệm.
Thi công các đệm trung gian phải được thực hiện bằng cách đầm chặt từng lớp theo TCVN 4447.
12.21 Khi thiết kế móng cọc có đệm trung gian, nên bố trí các mũ bê tông cốt thép để che phủ các đầu cọc và truyền tải trọng đều hơn thông qua đệm trung gian. Cấu tạo, kích thước và bố trí cốt thép của các mũ phải phụ thuộc vào khoảng cách cọc, kích thước tiết diện ngang của cọc, độ lớn của tải trọng truyền lên cọc, điều kiện đất và chiều dày của đệm. Kết cấu của mũ cho phép được làm từ bê tông cốt thép lắp ghép và toàn khối.
12.22 Trường hợp cấu trúc địa chất công trình của khu vực chứa đất bão hòa nước yếu có xu hướng biến dạng lâu dài thì cho phép bố trí đệm trung gian nếu trong đồ án thiết kế có bố trí gia cố nền theo phương ngang bằng các cuộn vật liệu tổng hợp. Các cuộn vật liệu này phải được trải phía trên đầu cọc và cho phép tránh được độ lún không đều của đệm trung gian trong khoảng không gian giữa các cọc. Khi thiết kế gia cố đất cần xét đến TCVN 9362.
12.23 Tính toán cọc (nằm trong móng cọc có đệm trung gian) chịu tải trọng ngang được phép không thực hiện. Giá trị tiêu chuẩn của sức chịu tải của các cọc này làm việc chịu tải trọng nén có xét đến tác động động đất cần được xác định theo 12.6; khi đó, sức kháng đơn vị của đất phải được xét đến dọc suốt mặt bên của cọc, tức là hd = 0.
12.24 Khi thiết kế móng có đệm trung gian, cần xem xét các điều khoản liên quan đến thiết kế nền công trình xây trong khu đất xây dựng có 0,1g ≤ (agR ·S) ≤ 0,4g trong TCVN 9362.
Trong mọi trường hợp, cần tiến hành kiểm tra khả năng chống trượt của nền tại đáy đài cọc ở chỗ tiếp xúc với đệm trung gian dưới tổ hợp tải trọng đặc biệt bất lợi nhất. Tùy thuộc vào sự có mặt của các lớp chống thấm và lớp lót, hệ số ma sát khi kiểm tra trượt phải tương ứng với mặt trượt tiềm năng nguy hiểm nhất và cần được lấy trong tính toán không lớn hơn 0,4.
12.25 Khi tính toán móng cọc có đệm trung gian theo biến dạng, độ lún của móng cần được tính bằng tổng độ lún xác định theo 7.4 và biến dạng thẳng đứng của đệm trung gian dưới tác dụng của tổ hợp tải trọng cơ bản.
13 Yêu cầu riêng về thiết kế móng cọc trong vùng các tơ
13.1 Móng cọc trong vùng các tơ khi xây dựng công trình mới và cải tạo phải được thiết kế có xét đến khả năng phát triển của quá trình các tơ trong các khối đá dễ bị nước hòa tan (hang, hốc và tương tự), trong các tầng đất nằm phía trên chúng (hang động và tương tự) và khả năng hình thành biến dạng các tơ - sập và sụt lún.
13.2 Khi thiết kế móng cọc trong vùng các tơ, cần đảm bảo độ bền của móng (có xét đến sự uốn cong của móng do sự phát triển các hang các tơ) và độ ổn định có xét đến sự hình thành các biến dạng các tơ ngay dưới mũi cọc và trong khối đất mà cọc xuyên qua. Cần xét đến khả năng xuất hiện các tơ trong vùng tiếp giáp trực tiếp với khu đất xây dựng.
CHÚ THÍCH: Việc thiết kế có thể tham khảo thêm [14].
13.3 Khối lượng và thành phần khảo sát địa chất công trình phục vụ thiết kế móng cọc trong vùng các tơ phải được ấn định có xét đến 4.6 và các yêu cầu thiết kế cho vùng các tơ theo TCVN 9362, TCVN 9402.
13.4 Khi lập đồ án thiết kế móng cọc, phải xác định hạng nguy hiểm các tơ - xói ngầm cho khu đất xây dựng theo TCVN 9362, làm rõ các loại dạng biến dạng các tơ có thể xảy ra, xác định sự cần thiết phải tiến hành các biện pháp chống lại các tơ.
13.5 Để xác định loại biến dạng các tơ (sập hoặc sụt lún) và các thông số đặc trưng cho chúng phải xác định các thông số hình học của hang các tơ trong đá dễ bị nước hòa tan mà khi hình thành hang sẽ xuất hiện biến dạng các tơ theo TCVN 9362. Khi đó, cho phép sử dụng mô hình số với sự hỗ trợ của các phần mềm địa kỹ thuật đã được công nhận rộng rãi.
13.6 Kích thước và vị trí của hang các tơ trong đá dễ bị nước hòa tan phải được xác định có xét đến vùng bất lợi nhất trong mặt cắt và sự sập sớm của các tầng đất phía trên với sự hình thành các biến dạng các tơ, bao gồm cả việc xét đến các thông số thiết kế của móng cọc (chiều sâu, đường kính và khoảng cách cọc). Khi thực hiện tính toán, nên xét đến động lực sự phát triển có thể có của các hang các tơ, có xét đến tốc độ hòa tan của đá theo TCVN 9362.
13.7 Khi thiết kế móng cọc tại các khu vực được xếp vào hạng tiềm ẩn nguy hiểm hoặc nguy hiểm về các tơ - xói ngầm và khi cần thiết phải tiến hành các giải pháp kết cấu chống lại các tơ, nên:
- Thực hiện các tính toán có xét đến việc loại bỏ cọc trong vùng sập khỏi sự làm việc của móng (cọc bị trượt) - khi có khả năng hình thành các biến dạng các tơ thuộc loại “sập”;
- Xét đến khả năng sập xuất hiện dưới cột, dưới tường giao nhau, dưới góc công trình, ở giữa cạnh lớn và cạnh nhỏ;
- Về nguyên tắc, dự kiến khả năng cọc bị trượt, còn trường hợp cần thiết phải thi công mối nối cứng của cọc với đài cọc - xét đến tải trọng bổ sung do lực ma sát âm phát sinh do xuất hiện biến dạng các tơ - ở mối nối giữa cọc với đài.
13.8 Khi thiết kế cọc tựa lên đá dễ bị nước hòa tan thuộc hạng nguy hiểm về các tơ - xói ngầm, nên sử dụng biện pháp địa kỹ thuật (đổ, phun và các biện pháp khác được thực hiện cho đá dưới mũi cọc và, khi cần thiết, trong các lớp đất phía trên) để đảm bảo loại bỏ được các hang hiện hữu và sự hình thành các hang mới trong đá dễ bị nước hòa tan và trong các tầng phủ, để chuyển khu đất xây dựng sang hạng không nguy hiểm về các tơ - xói ngầm. Khi thiết kế có sử dụng các giải pháp kết cấu chống lại các tơ thì cho phép sử dụng cọc tựa lên đá khó hòa tan nếu có cơ sở tính toán phù hợp có xét đến các thông số tính toán của biến dạng các tơ.
13.9 Trường hợp cọc xuyên qua đá các tơ và tựa lên lớp mà sự hình thành các tơ đã bị loại trừ, cần xét đến khả năng xuất hiện lực ma sát âm do biến dạng của khối đất phía trên hang các tơ. Các thông số của tác động này cần được xác định theo kết quả tính toán bằng mô hình số.
13.10 Khi sự phát triển các tơ trong đá không hòa tan và khó hòa tan, cho phép xác định giá trị lực ma sát âm truyền lên cọc (Hình 7, a) và giá trị lực bổ sung do cọc bị uốn (Hình 7, b) dựa trên các thông số tính toán của biến dạng các tơ thu được mà có xét đến tốc độ hòa tan của đá và thời gian sử dụng công trình.

CHÚ DẪN:
1 Cọc
2 Vùng phát triển ma sát âm
3 Hang các tơ
Hình 7 - Sơ đồ tương tác cơ học của cọc với hang các tơ
13.11 Khi biến dạng các tơ thể hiện dưới dạng sụt lún bề mặt, cho phép sử dụng phương pháp tính toán công trình trong vùng khai thác mỏ theo Điều 11, có xét đến biến dạng các tơ dự báo. Việc dự báo nên dựa trên mô hình số.
13.12 Khi thiết kế móng cọc trong vùng các tơ, phải tiến hành quan trắc địa kỹ thuật trong giai đoạn xây dựng và có hệ thống theo dõi thường xuyên ở giai đoạn sử dụng công trình.
13.13 Đối với các công trình cấp C2 và C3, với điều kiện sử dụng biện pháp địa kỹ thuật chống lại các tơ bằng cách xi măng hóa đá các tơ hoặc tạo tầng phủ trên đá các tơ thì cho phép thiết kế móng cọc mà không xét đến nguy hiểm các tơ.
Đồ án biện pháp địa kỹ thuật chống các tơ phải loại trừ được biểu hiện các tơ cả trong nền của móng cọc cũng như trên toàn bộ diện tích móng khối quy ước của móng cọc.
Phụ lục A
(tham khảo)
Tính toán cọc chịu tác dụng đồng thời của lực thẳng đứng, lực ngang và mô men
A.1 Việc tính toán phải bao gồm kiểm tra tiết diện ngang của cọc theo các trạng thái giới hạn thứ nhất và thứ hai. Khi tính toán công trình cấp C3 nên chủ yếu sử dụng phần mềm chuyên dụng dựa trên sự tương tác cơ học giữa cọc và khối đất bao quanh sử dụng mô hình phi tuyến. Khi đó, phải kiểm tra kết quả tính toán theo A.4 đến A.8. Đối với các công trình cấp C1 và C2, cho phép sử dụng các sơ đồ tính mô phỏng được tương tác giữa dầm và nền đàn hồi (dầm trên nền đàn hồi với hệ số nền thay đổi).
Cho phép tính toán cọc (hoặc cọc-ống, cọc-trụ) chịu tác dụng đồng thời của các tải trọng theo các phương đứng và ngang và mô men theo sơ đồ trên Hình A.1.

A.2 Tính toán theo nhóm trạng thái giới hạn thứ nhất phải bao gồm việc kiểm tra độ bền của tiết diện cọc (hoặc cọc-ống, cọc-trụ), sự hình thành và phát triển các vết nứt dưới tác dụng đồng thời của các nội lực tính toán: lực nén, mô men uốn và lực cắt. Việc tính toán này phải thực hiện phụ thuộc vào vật liệu của cọc (hoặc cọc-ống, cọc-trụ) phù hợp với Điều 7.
A.3 Tính toán theo nhóm các trạng thái giới hạn thứ hai nhằm kiểm tra sự thỏa mãn điều kiện cho phép về giá trị tính toán của chuyển dịch ngang của đầu cọc (hoặc cọc-ống, cọc-trụ) và góc xoay của nó:
![]()
![]()
trong đó:
up, ψp tương ứng là các giá trị tính toán của chuyển dịch ngang của đầu cọc (hoặc cọc-ống, cọc-trụ), tính bằng mét (m), và góc xoay của nó, tính bằng radian (rad);
uu, ψu tương ứng là các giá trị cho phép giới hạn của chuyển dịch ngang của đầu cọc (hoặc cọc-ống, cọc-trụ), tính bằng mét (m), và góc xoay của nó, tính bằng radian (rad).
Các giá trị uu và ψu phải được lựa chọn trong đồ án thiết kế xuất phát từ điều kiện sử dụng bình thường của kết cấu xây dựng của công trình đang thiết kế.
CHÚ THÍCH: Thuật ngữ “điều kiện sử dụng bình thường” xem trong TCVN 5574.
A.4 Khi tính toán sức kháng đơn vị của cọc (hoặc cọc-ống, cọc-trụ) và nhóm cọc trên mặt bên của cọc bằng phần mềm chuyên dụng có sử dụng mô hình môi trường liên tục, nên sử dụng phần tử tiếp xúc. Các đặc trưng của phần tử tiếp xúc phải được lựa chọn có xét đến hệ số điều kiện làm việc của cọc (hoặc cọc-ống, cọc-trụ) γR,f theo Bảng 6.
A.5 Tính toán theo độ bền đối với tất cả các loại cọc bằng các mô hình tính toán đơn giản cần được thực hiện có xét đến công thức (1) với hệ số biến dạng αε được xác định theo công thức:
![]()
trong đó:
αε tính bằng 1/m;
E là mô đun đàn hồi của vật liệu làm cọc (hoặc cọc-ống, cọc-trụ), tính bằng kilôpascan (kPa);
I là mô men quán tính của tiết diện ngang của cọc (hoặc cọc-ống, cọc-trụ), tính bằng m4;
bp là chiều rộng quy ước của cọc (hoặc cọc-ống, cọc-trụ), tính bằng mét (m), lấy bằng:
bp = d + 1 - đối với cọc (hoặc cọc-ống, cọc-trụ) có đường kính thân ≥ 0,8 m;
bp = 1,5d + 0,5 - đối với các kích thước còn lại của tiết diện ngang của cọc (hoặc cọc-ống, cọc-trụ);
d là đường kính ngoài của cọc (hoặc cọc-ống, cọc-trụ) có tiết diện ngang hình tròn; hoặc cạnh của cọc (hoặc cọc-ống, cọc-trụ) có tiết diện ngang hình vuông; hoặc cạnh của cọc (hoặc cọc-ống, cọc-trụ) có tiết diện ngang hình chữ nhật nằm trong mặt phẳng vuông góc với phương tác dụng của tải trọng, tính bằng mét (m).
A.6 Khi tính toán cọc (hoặc cọc-ống, cọc-trụ) chịu tải trọng theo phương ngang bằng mô hình dầm trên nền đàn hồi thì lấy giá trị của hệ số nền tăng tuyến tính theo chiều sâu. Cho phép xác định giá trị tính toán của hệ số nền cz của đất trên mặt bên của một cọc (hoặc cọc-ống, cọc-trụ) theo công thức:
![]()
trong đó:
K là hệ số tỷ lệ, tính bằng kN/m4, lấy phụ thuộc vào loại đất bao quanh cọc (hoặc cọc-ống, cọc-trụ) theo Bảng A.1;
z là chiều sâu của tiết diện ngang của cọc (hoặc cọc-ống, cọc-trụ) trong đất, tính bằng mét (m), mà cần xác định hệ số nền, tính từ bề mặt đất khi móng cọc đài cao hoặc từ đáy đài khi móng cọc đài thấp;
γcz là hệ số điều kiện làm việc (γcz = 1).
Bảng A.1 - Hệ số tỷ lệ K
| Loại đất bao quanh cọc (hoặc cọc-ống, cọc-trụ) và đặc điểm của đất | Hệ số tỷ lệ K, kN/m4 |
| 1. Cát hạt thô (0,55 ≤ e ≤ 0,7); sét và sét pha cứng (IL < 0) | 6 000 ÷ 10 000 |
| 2. Cát mịn (0,6 ≤ e ≤ 0,75); cát vừa (0,55 ≤ e ≤ 0,7), cát pha cứng (IL < 0); sét và sét pha dẻo cứng và nửa cứng (0 ≤ IL ≤ 0,75) | 4 000 ÷ 6 000 |
| 3. Cát bụi (0,6 ≤ e ≤ 0,8); cát pha dẻo (0 ≤ IL ≤ 0,75); sét và sét pha dẻo mềm (0,5 ≤ IL ≤ 0,75) | 2 350 ÷ 4 000 |
| 4. Sét và sét pha dẻo chảy (0,75 ≤ IL ≤ 1,0) | 1 350 ÷ 2 350 |
| 5. Cát lẫn sỏi sạn (0,55 ≤ e ≤ 0,7); đất hòn lớn có lẫn cát | 16 750 ÷ 33 350 |
| CHÚ THÍCH: Giá trị nhỏ của hệ số K tương ứng với giá trị cao của chỉ số chảy IL đối với đất loại sét và hệ số rỗng e đối với đất cát, còn giá trị lớn của hệ số K - tương ứng với giá trị thấp của chỉ số chảy IL. Đối với đất có giá trị của các đặc trưng IL và e trung gian thị giá trị hệ số K được xác định bằng nội suy tuyến tính. | |
Khi tính toán các cọc (hoặc cọc-ống, cọc-trụ) đơn chịu tải trọng ngang, cho phép sử dụng sơ đồ gối rời rạc với bước gối không đổi. Sơ đồ tính toán này được thể hiện ở Hình A.2, a. Khi đó, bước gối không được lớn hơn 0,25 m. Độ cứng của một gối được xác định theo công thức:
![]()
trong đó:
K (z) là giá trị của hệ số tỷ lệ K phụ thuộc vào lớp đất;
bp là chiều rộng quy ước của cọc (hoặc cọc-ống, cọc-trụ), tính bằng mét (m);
hi* là bước gối lò xo dùng trong sơ đồ tính toán đã chọn.
Sơ đồ tính toán nhóm cọc (hoặc nhóm cọc-ống, cọc-trụ) được được thể hiện trên Hình A.2, b. Khi thực hiện tính toán cần xét đến tính mềm của các gối do tác dụng của tải trọng thẳng đứng. Độ cứng của các cọc (hoặc các cọc-ống, cọc-trụ) khi tính toán chịu tải trọng thẳng đứng nên được xác định phù hợp với 7.4.3.1. Giá trị αi được xác định theo A.7.

A.7 Khi tính toán tĩnh các cọc (hoặc cọc-ống, cọc-trụ) trong nhóm cọc, nên xét đến tương tác của chúng. Trong trường hợp này cho phép tính toán được thực hiện như đối với cọc đơn nhưng hệ số tỷ lệ K được nhân với hệ số giảm αi với αi được xác định theo công thức:

trong đó:
γc,c là hệ số, xét đến sự nén chặt đất khi hạ cọc (hoặc cọc-ống, cọc-trụ), lấy bằng:
1,2 - đối với cọc đóng tiết diện ngang đặc;
1,0 - đối với các loại cọc còn lại;
d là đường kính hoặc cạnh tiết diện ngang của cọc (hoặc cọc-ống, cọc-trụ), m;
![]()
trong đó:
xi, yi là tọa độ trục của cọc (hoặc cọc-ống, cọc-trụ) thứ i trên mặt bằng, trong đó tải trọng ngang đặt theo phương trục x;
xj, yj là tọa độ trục của cọc (hoặc cọc-ống, cọc-trụ) thứ j trên mặt bằng, trong đó tải trọng ngang đặt theo phương trục x.
Tích số
trong công thức (A.6) chỉ áp dụng cho các cọc (hoặc các cọc-ống, cọc-trụ) trong nhóm tiếp giáp trực tiếp với cọc (hoặc cọc-ống, cọc-trụ) thứ i.
CHÚ THÍCH: Giá trị hệ số giảm (hệ số ảnh hưởng tương hỗ) αi đối với nhóm cọc đóng được phép xác định theo Bảng A.2.
Bảng A.2 - Hệ số ảnh hưởng tương hỗ của các cọc αi
| Số cọc trong nhóm, n | Giá trị αi khi khoảng cách cọc là | |||
| 3d | 4d | 5d | 6d | |
| 3 | 0,649 | 0,737 | 0,813 | 0,881 |
| 4 | 0,626 | 0,713 | 0,800 | 0,858 |
| 6 | 0,585 | 0,673 | 0,751 | 0,821 |
| 9 | 0,539 | 0,628 | 0,708 | 0,781 |
| 12 | 0,504 | 0,596 | 0,678 | 0,755 |
| 16 | 0,470 | 0,566 | 0,654 | 0,736 |
| 20 | 0,446 | 0,546 | 0,640 | 0,729 |
A.8 Khả năng sử dụng các quan hệ tuyến tính khi tính toán cọc (hoặc cọc-ống, cọc-trụ) cần được kiểm tra theo điều kiện khống chế áp lực tính toán σz tác dụng vào đất trên mặt bên của cọc (hoặc cọc-ống, cọc-trụ):
![]()
trong đó:
σz là áp lực tính toán lên đất, tính bằng kilôpascan (kPa), trên mặt bên cọc (hoặc cọc-ống, cọc-trụ) tại chiều sâu z, tính bằng mét (m), tính từ mặt đất đối với đài cọc cao và tính từ đáy đài đối với đài cọc thấp (khi αεL ≤ 2,5 - ở các chiều sâu tương ứng z = L/3 và Z = L; khi αεL > 2,5 - ở chiều sâu z = 0,85/αε, trong đó αε được xác định theo công thức (A.3);
yI là trọng lượng thể tích của đất nguyên trạng, tính bằng kN/m3, được xác định với đất bão hòa nước có xét đến tác động đẩy nổi của nước;
φI , là giá trị tính toán của góc ma sát trong của đất, tính bằng radian (rad);
cI là giá trị tính toán của lực dính đơn vị của đất, tính bằng kilôpascan (kPa);
ξ là hệ số, lấy bằng:
0,6 - đối với cọc đóng và cọc-ống;
0,3 - đối với tất cả các loại cọc còn lại;
η1 hệ số, lấy bằng 1,0, ngoại trừ các trường hợp tính toán móng của kết cấu chống giữ mà khi đó η1 = 0,7;
η2 là hệ số, xét đến tỷ lệ của tải trọng thường xuyên trong tổng tải trọng, được xác định theo công thức:
![]()
trong đó:
MG là mô men uốn tính toán gây bởi ngoại tải thường xuyên tính toán tại tiết diện móng ở cao độ ngàm quy ước tại chiều sâu L1 (trong đó L1 tính theo công thức (1)), tính bằng kN·m;
MQ là mô men uốn tính toán gây bởi ngoại tải tạm thời tính toán tại tiết diện móng ở cao độ ngàm quy ước vào đất tại chiều sâu L1 (trong đó L1 tính theo công thức (1)), tính bằng kN·m;
là hệ số, lấy bằng
= 2,5, ngoại trừ các trường hợp:
a) tính toán công trình cấp C3:
- khi αεL ≤ 2,6: lấy
= 4,0;
- khi αεL ≥ 5: lấy
= 2,5;
- khi 2,6 < αεL < 5:
được xác định bằng nội suy tuyến tính giữa các giá trị 4,0 và 2,5;
b) tính toán móng một hàng cọc chịu tải trọng nén lệch tâm thẳng đứng: lấy
= 4 không phụ thuộc vào giá trị αεL.
CHÚ THÍCH: Nếu áp lực ngang tính toán lên đất σz không thỏa mãn điều kiện (A.8), nhưng khi đó sức chịu tải (khả năng chịu lực) của cọc (hoặc cọc-ống, cọc-trụ) theo vật liệu chưa được tận dụng hết và chuyển dịch của cọc nhỏ hơn giá trị giới hạn cho phép, thì ở chiều sâu quy đổi của cọc αεL >2,5 việc tính toán cần được lặp lại với giá trị độ cứng nhỏ hơn của gối theo công thức (A.10). Việc tính toán được lặp lại cho đến khi điều kiện (A.8) được thỏa mãn tại tất cả các điểm.

trong đó:
là giá trị điều chỉnh của độ cứng gối.
Phụ lục B
(tham khảo)
Tính toán sức chịu tải của cọc hình tháp có độ nghiêng các mặt bên ip > 0,025
Cho phép xác định giá trị tiêu chuẩn của sức chịu tải Rk của cọc hình tháp có độ nghiêng các mặt bên ip > 0,025 bằng tổng sức chịu tải của đất nền trên mặt bên thân cọc và dưới mũi cọc theo công thức:
![]()
trong đó:
Rk tính bằng kilôniutơn (kN);
Ai là diện tích bề mặt bên thân cọc trong phạm vi lớp đất thứ i, tính bằng mét vuông (m2);
α là góc vát của cọc, tính bằng radian (rad);
φI,i , là giá trị tính toán của góc ma sát trong của lớp đất thứ i, tính bằng radian (rad);
cI,j là giá trị tính toán của lực dính đơn vị của lớp đất thứ i, tính bằng kilôpascan (kPa);
d là cạnh tiết diện ngang của mũi cọc, tính bằng mét (m);
n1, n2 là các hệ số, lấy theo Bảng B.1.
Bảng B.1 - Các hệ số n1, n2 và ξ
| Các hệ số | Giá trị góc ma sát trong của đất φI,i | |||||||||
| 4° | 8° | 12° | 16° | 20° | 24° | 28° | 32° | 36° | 40° | |
| n1 | 0,53 | 0,48 | 0,41 | 0,35 | 0,30 | 0,24 | 0,20 | 0,15 | 0,10 | 0,06 |
| n2 | 0,94 | 0,88 | 0,83 | 0,78 | 0,73 | 0,69 | 0,65 | 0,62 | 0,58 | 0,54 |
| ξ | 0,06 | 0,12 | 0,17 | 0,22 | 0,26 | 0,29 | 0,32 | 0,35 | 0,37 | 0,39 |
| CHÚ THÍCH: Đối với các giá trị góc ma sát trong φI,i trung gian, giá trị các hệ số n1, n2 và ξ được xác định bằng nội suy tuyến tính. | ||||||||||
Sức kháng đơn vị của đất dưới mũi cọc pi và trên mặt bên thân cọc
được xác định theo công thức:

trong đó:
pi,
tính bằng kilôpascan (kPa);
Ei là mô đun biến dạng của lớp đất thứ i, tính bằng kilôpascan (kPa), được xác định theo kết quả thí nghiệm nén ngang trong hố khoan;
vi là hệ số Poát xông của lớp đất thứ i, lấy theo TCVN 9362;
ξ là hệ số mũ, lấy theo Bảng B.1.
Áp lực đất p0,i và pp,i được xác định theo các công thức:

trong đó:
p0,i, pp,i tính bằng kilôpascan (kPa);
yI,i là trọng lượng riêng của lớp đất thứ i, tính bằng kN/m3;
hi là chiều sâu trung bình của lớp đất thứ i, tính bằng mét (m).
Phụ lục C
(tham khảo)
Tính toán sức chịu tải của cọc tương tác với đá trên mặt bên
C.1 Giá trị tiêu chuẩn của sức chịu tải Rk của cọc nhồi, cọc khoan và cọc-ống nhồi bê tông xuyên qua đá không phong hóa, cần được xác định có xét đến sức kháng đơn vị của nền đất trên mặt bên của cọc (các hình C.1 và C.2).

CHÚ DẪN:
Q Tải trọng thẳng đứng tác dụng lên cọc
Qs Phản lực do tải trọng thẳng đứng chịu bởi mặt bên cọc, Q = Qs
h1,h2,..., hn Chiều dày các lớp đá
Hình C.1 - Cọc xuyên qua đá nhưng không đảm bảo ngàm

Hình C.2 - Cọc xuyên qua đá và ngàm trong đá
Trường hợp chiều dày tầng đá xuyên qua là đáng kể, sự đóng góp của sức kháng đơn vị của đất trên mặt bên của cọc có thể đạt tới 90 % tổng tải trọng chịu bởi cọc. Trong trường hợp này, cho phép lấy:
![]()
trong đó:
Rk,s là giá trị tiêu chuẩn của sức chịu tải của cọc chỉ xét đến sức kháng đơn vị của đá trên mặt bên thân cọc, được xác định theo công thức:
![]()
trong đó:
u là chu vi ngoài của tiết diện ngang của thân cọc, tính bằng mét (m);
Rsi là sức kháng đơn vị của lớp đá của lớp thứ i trên mặt bên thân cọc, tính bằng kilôpascan (kPa);
hi là chiều dày lớp đá thứ i tiếp xúc với mặt bên thân cọc, tính bằng mét (m).
Sức kháng đơn vị của lớp đá trên mặt bên thân cọc Rsi được xác định theo công thức:
![]()
trong đó:
pa = 100 kPa;
Rci là giá trị tính toán của cường độ chịu nén một trục của lớp đá thứ i ở trạng thái bão hòa nước, tính bằng kilôpascan (kPa).
C.2 Để xét đến sức kháng đơn vị của khối đá ở dưới mũi và trên mặt bên của cọc, cần xác định các tỷ lệ tải trọng thẳng đứng tác dụng lên cọc chịu bởi mũi cọc Qb và mặt bên của cọc Qs (Hình C.3). Giá trị các tỷ lệ này nên được xác định bằng phương pháp số có sử dụng phần mềm chuyên dụng mà mô tả được sự tương tác giữa cọc và nền đất có xét đến thế nằm của đá. Khi đó, các đặc trưng độ bền tính toán của đá có thể được xác định theo TCVN 4253 phụ thuộc vào giá trị cường độ chịu nén một trục của đá Rc. Theo kết quả mô hình số, xác định được tỷ lệ η của tải trọng chịu bởi mũi cọc so với tổng tải trọng Q (η = Qb /Q) và tỷ lệ (1 - η) của tải trọng chịu bởi mặt bên của cọc (1 - η = Qs /Q).

CHÚ DẪN:
Q Tải trọng thẳng đứng tác dụng lên cọc
Qb Tải trọng thẳng đứng được chịu bởi mũi cọc, Qb/Q = η
Qs Tải trọng thẳng đứng được chịu bởi mặt bên cọc, Qs/Q = 1 - η
Hình C.3 - Sự làm việc đồng thời của mũi cọc và mặt bên của cọc
Giá trị tiêu chuẩn của sức chịu tải của cọc Rk, có xét đến sức kháng đơn vị của khối đá ở cả dưới mũi cọc và trên mặt bên cọc, lấy bằng giá trị nhỏ nhất trong hai giá trị thỏa mãn các bất đẳng thức:

Trong công thức (C.4), giá trị tiêu chuẩn của sức chịu tải của cọc bị khống chế bởi sức kháng đơn vị của khối đá dưới mũi cọc, trong công thức (C.5), giá trị tiêu chuẩn của sức chịu tải của cọc được khống chế bởi sức kháng đơn vị trên mặt bên thân cọc.
CHÚ THÍCH: Khi xác định giá trị Rk, không cho phép chỉ đơn giản tính tổng giá trị tiêu chuẩn của sức chịu tải của mũi cọc Rk,b (công thức (6) và giá trị tiêu chuẩn của sức chịu tải trên mặt bên thân cọc Rk,s (công thức (C.2) mà không xét đến giá trị η vì có thể dẫn đến sự đánh giá quá cao giá trị tiêu chuẩn của sức chịu tải.
Giá trị tính toán của giá trị tiêu chuẩn của sức chịu tải của cọc Rk lấy bằng giá trị lớn nhất trong ba giá trị sau:
- Giá trị tiêu chuẩn của sức chịu tải của nền dưới mũi cọc Rk,b (công thức (5));
- Giá trị tiêu chuẩn của sức chịu tải của cọc có xét đến giá trị tiêu chuẩn của sức chịu tải của đá trên mặt bên Rk,s (công thức (C.2));
- Giá trị tiêu chuẩn của sức chịu tải có xét đến sức kháng đơn vị của đá ở cả dưới mũi cọc và trên mặt bên cọc (các công thức (C.4) và (C.5)).
Phụ lục D
(quy định)
Xác định sức chịu tải của cọc theo kết quả SPT
D.1 Giá trị tiêu chuẩn của sức chịu tải của cọc Rk theo kết quả SPT được xác định theo công thức:
![]()
trong đó:
Ru,k là giá trị tiêu chuẩn của sức chịu tải giới hạn của cọc đơn, tính bằng kilôniutơn (kN), được xác định dựa trên kết quả xử lý thống kê các giá trị sức chịu tải giới hạn đơn lẻ Ru; nếu số lượng thí nghiệm nhỏ hơn 6 thì có thể lấy Ru,k = Ru,min (Ru,min là giá trị nhỏ nhất trong số các giá trị Ru thu được từ thí nghiệm).
Ru được xác định theo công thức:
![]()
trong đó:
![]()
với:
![]()
Trong các công thức từ (D.2) đến (D.6):
Ru,b là sức chịu tải giới hạn của cọc theo đất dưới mũi cọc, tính bằng kilôniutơn (kN);
qb là sức kháng đơn vị của đất dưới mũi cọc, tính bằng kN/m2;
A là diện tích tiết diện cọc, tính bằng mét vuông (m2):
- đối với cọc khoan nhồi: A = πd2/4 với d là đường kính mũi cọc;
- đối với cọc vít: A = πd2/4 với d là đường kính cánh vít;
- đối với cọc đóng (ép): A = πd2/4 với d là đường kính thân cọc tròn; A = d2 với d là cạnh của cọc vuông;
Ru,f là sức chịu tải giới hạn của cọc theo đất trên mặt bên thân cọc, tính bằng kilôniutơn (kN);
Ru,fs là sức chịu tải giới hạn của cọc theo đất rời trên mặt bên thân cọc, tính bằng kilôniutơn (kN);
Ru,fc là sức chịu tải giới hạn của cọc theo đất dính trên mặt bên thân cọc, tính bằng kilôniutơn (kN);
fs là sức kháng đơn vị của đất rời trên mặt bên thân cọc, tính bằng kN/m2;
fc là sức kháng đơn vị của đất dính trên mặt bên thân cọc, tính bằng kN/m2;
Ls là chiều dài đoạn cọc nằm trong đất rời, tính bằng mét (m);
Lc là chiều dài đoạn cọc nằm trong đất dính, tính bằng mét (m);
u là chu vi tiết diện cọc, tính bằng mét (m).
CHÚ THÍCH: Các công thức từ (D.2) đến (D.6) được tham khảo từ [15].
Sức kháng đơn vị của đất dưới mũi cọc qb và trên mặt bên thân cọc, fs và fc, cho một số loại cọc theo các phương pháp hạ cọc khác nhau được nêu trong Bảng D.1.
Bảng D.1 - Sức kháng đơn vị của đất dưới mũi cọc qb và trên mặt bên thân cọc, fs và fc
| Loại cọc | Sức kháng đơn vị của đất dưới mũi cọc qb, kN/m2 | Sức kháng đơn vị của đất trên mặt bên thân cọc, kN/m2 | |||||
| Đất rời | Đất dính | Giới hạn cận trên | fs trong đất rời | Giới hạn cận trên của fs | fc trong đất dính | Giới hạn cận trên của fc | |
| 1. Cọc nhồi | 120 | 6cu | 7 500 | 3,3Ns | 165 | cu | 100 |
| 2. Cọc khoan | 150 | 150 | 9 000 | 2,5Ns | 125 | cu | 125 |
| 3. Cọc đào thả | 6cu | 1,5 | 75 | 0,4cu | 50 | ||
| 4. Cọc vít | 150η | 150 | 9 000η | 2,0Ns | 100 | 0,5cu | 62,5 |
| 5. Cọc đóng (ép) | 300η | 6cu | 18 000 | 2,0Ns | 100 | 0,8cu | 100 |
| Các ký hiệu trong Bảng D.1:
- đối với cọc đóng (ép): trong khoảng 1d phía dưới và 4d phía trên mũi cọc; - đối với các cọc khác: trong khoảng 1d phía dưới và 1d phía trên mũi cọc; Ns là chỉ số SPT N trong đất rời trên mặt bên thân cọc; cu là cường độ chịu cắt không thoát nước của lớp đất dính, tính bằng kilôniutơn trên mét vuông (kN/m2); khi không có số liệu thì cu có thể lấy bằng cu = 6,25Nc, trong đó Nc là chỉ số SPT N trong đất dính trên mặt bên thân cọc. η là hiệu quả cản mũi cọc, lấy như sau: - đối với cọc vít: 1,0 cho cọc mũi kín và 0,8 cho cọc mũi hở; - đối với cọc đóng (ép): 1,0 cho cọc mũi kín và lấy như sau cho cọc mũi hở: nếu 2 ≤ L/dint ≤ 5 thì η = 0,16 x (L/dint); nếu 5 < L/dint thì η = 0,80; L là chiều sâu ngàm trong lớp đất chịu lực, tính bằng mét (m); dint là đường kính trong của cọc, tính bằng mét (m). | |||||||
| CHÚ THÍCH: Khi cần giá trị SPT N chính xác hơn thì có thể hiệu chỉnh giá trị SPT N theo năng lượng của thiết bị theo [16]. | |||||||
Phụ lục E
(quy định)
Biến dạng giới hạn của nền móng công trình
Bảng E.1 - Biến dạng giới hạn của nền móng công trình xây mới
| Công trình | Biến dạng giới hạn của nền móng | ||
| Độ lún lệch tương đối (∆s/L)u | Độ nghiêng iu | Độ lún tuyệt đối lớn nhất su,max hoặc độ lún trung bình | |
| 1. Nhà sản xuất, nhà dân dụng một tầng và nhà nhiều tầng với kết cấu: |
|
|
|
| a) khung bê tông cốt thép | 0,002 | - | 10 |
| b) khung bê tông cốt thép có thêm đai bê tông cốt thép hoặc sàn tầng toàn khối, cũng như nhà có kết cấu toàn khối | 0,003 | - | 15 |
| c) khung thép | 0,004 | - | 15 |
| d) khung thép có thêm đai bê tông cốt thép hoặc sàn tầng toàn khối | 0,005 | - | 18 |
| 2. Nhà và công trình mà trong kết cấu của chúng không xuất hiện nội lực do lún lệch | 0,006 | - | 20 |
| 3. Nhà nhiều tầng không khung với các tường chịu lực làm bằng: |
|
|
|
| a) các tấm lớn | 0,0016 | - | 12 |
| b) các viên xây blốc cỡ lớn hoặc khối xây gạch không có cốt | 0,0020 | - | 12 |
| c) các viên xây blốc cỡ lớn hoặc khối xây gạch có cốt, trong đó có đai bê tông cốt thép hoặc sàn tầng toàn khối, cũng như nhà có kết cấu toàn khối | 0,0024 | - | 18 |
| 4. Các công trình kết cấu bê tông cốt thép của elevator: |
|
|
|
| a) nhà làm việc và silô làm từ kết cấu toàn khối nằm trên cùng một bản móng | - | 0,003 | 40 |
| b) nhà làm việc và silô làm từ kết cấu lắp ghép nằm trên cùng một bản móng | - | 0,003 | 30 |
| c) silô có kết cấu toàn khối đứng độc lập | - | 0,004 | 40 |
| d) silô có kết cấu lắp ghép đứng độc lập | - | 0,004 | 30 |
| 5. Ống khói có chiều cao H, m: H ≤ 100 100 < H ≤ 200 200 < H ≤ 300 H > 300 |
- - - - |
0,005 1/(2H) 1/(2H) 1/(2H) |
40 30 20 10 |
| 6. Công trình cứng cao đến 100 m, trừ các công trình nêu tại các điểm 4 và 5 bảng này | - | 0,004 | 20 |
| 7. Công trình ăng ten liên lạc: a) Thân tháp được tiếp đất b) Thân tháp được cách điện c) Tháp radio d) Tháp phát thanh sóng ngắn e) Tháp đứng độc lập |
- - 0,002 0,0025 0,001 |
0,002 0,001 - - - |
20 10 - - - |
| 8. Cột đỡ đường dây tải điện trên không: a) Cột trung gian b) Cột néo, cột néo góc c) Cột góc trung gian, cột cuối, cột đỡ thiết bị phân phối điện, cột trung chuyển đặc biệt |
0,003
0,0025 0,002 |
-
- - |
-
- - |
| CHÚ THÍCH 1: Giá trị giới hạn của độ lún tuyệt đối lớn nhất su,max áp dụng cho các công trình xây dựng trên móng đứng độc lập trên nền tự nhiên (hoặc nhân tạo) hoặc trên móng cọc có các đài cọc riêng biệt (băng cọc hoặc móng cọc dưới cột và tương tự). CHÚ THÍCH 2: Giá trị giới hạn của độ lún trung bình CHÚ THÍCH 3: Giá trị giới hạn của độ võng tương đối của nhà nêu tại điểm 3 của bảng này lấy bằng 0,5(∆s/L)u, còn độ vồng tương đối - lấy bằng 0,25 (∆s/L)u. CHÚ THÍCH 4: Khi xác định độ lún lệch tương đối ∆s/L ở điểm 8 bảng này thì lấy L là khoảng cách giữa các trục của các khối móng theo phương tải trọng ngang, còn đối với trụ dây co - bằng khoảng cách giữa các trục của móng chịu nén và dây co. CHÚ THÍCH 5: Nếu nền nằm ngang (với độ dốc không lớn hơn 0,1) duy trì được chiều dày các lớp đất thì giá trị giới hạn của độ lún tuyệt đối lớn nhất và độ lún trung bình được phép tăng lên 20 %. CHÚ THÍCH 6: Giá trị giới hạn của độ trồi của nền nằm trong đất trương nở thì cho phép lấy: độ lún tuyệt đối lớn nhất và độ lún trung bình vào khoảng 25 %, còn độ lún lệch tương đối vào khoảng 50 % giá trị giới hạn tương ứng của biến dạng nêu trong phụ lục này, và độ vồng tương đối - vào khoảng 0,25 (∆s/L)u. CHÚ THÍCH 7: Trên cơ sở tổng hợp kinh nghiệm thiết kế, thi công và sử dụng các loại công trình riêng, cho phép lấy các giá trị giới hạn biến dạng nền của móng khác với các giá trị nêu trong bảng này. | |||
Bảng E.2 - Biến dạng bổ sung giới hạn nền của móng công trình cần cải tạo
| Công trình | Biến dạng giới hạn nền của móng | ||
| Mức tính trạng kỹ thuật của công trình hiện hữu 1) | Độ lún lệch tương đối (∆s/L)u | Độ lún tuyệt đối bổ sung lớn nhất sad,u,max (cm) | |
| 1. Nhà một tầng và nhiều tầng không khung với tường bằng tấm lớn | I | 0,0020 | 4,0 |
| II | 0,0010 | 3,0 | |
| III | 0,0007 | 2,0 | |
| 2. Nhà một tầng và nhiều tầng không khung với tường bằng gạch hoặc blốc tấm lớn không có cốt | I | 0,0030 | 4,0 |
| II | 0,0015 | 3,0 | |
| III | 0,0010 | 2,0 | |
| 3. Nhà một tầng và nhiều tầng không khung với tường bằng gạch hoặc blốc tấm lớn có cốt hoặc đai bê tông cốt thép | I | 0,0035 | 5,0 |
| II | 0,0018 | 4,0 | |
| III | 0,0012 | 3,0 | |
| 4. Nhà nhiều tầng và nhà một tầng hiện hữu hoặc công trình tưởng niệm có tường chịu lực làm bằng khối xây gạch không có cốt | I | - | - |
| II | 0,0009 | 1,5 | |
| III | 0,0007 | 1,0 | |
| 1) Xem Bảng E.3. | |||
| CHÚ THÍCH 1: Giá trị giới hạn của độ lún tuyệt đối lớn nhất bổ sung sad,u,max của các móng đứng độc lập của công trình cần cải tạo trên nền tự nhiên hoặc trên đài cọc, kể cả khi gia cường nền và móng. CHÚ THÍCH 2: Khi thi công bản móng bê tông cốt thép toàn khối đặc dưới công trình cần cải tạo thì cho phép lấy giá trị độ lún trung bình bổ sung giới hạn CHÚ THÍCH 3: Đối với công trình có mức tính trạng kỹ thuật IV (nguy hiểm) thì không cho phép có biến dạng khẩn cấp bổ sung của nền của móng. CHÚ THÍCH 4: Cho phép không sử dụng các giá trị nêu trong bảng này nếu trong nền của móng công trình cần cải tạo trong phạm vi tầng đất chịu nén Hc, đã được xác định có xét đến các yêu cầu của TCVN 9362, có đất với mô đun biến dạng E ≤ 7 MPa hoặc trong nền có đất đặc thù nêu trong TCVN 9362. Khi đó, thay vì các giá trị đã nêu thì sử dụng các số liệu của địa phương. Trường hợp không có số liệu đó thì phải sử dụng các số liệu trong bảng này. CHÚ THÍCH 5: Nếu sơ đồ kết cấu của nhà cần cải tạo khác với sơ đồ nêu trong bảng này thì đối với nhà đó cần thiết lập giá trị giới hạn của biến dạng bổ sung của nền bằng cách tiến hành tính toán độ bền không gian có xét đến tình trạng kỹ thuật, sơ đồ kết cấu, biến dạng dự báo của nền và các yêu cầu khác. | |||
Bảng E.3 - Mức tình trạng kỹ thuật của công trình hiện hữu
| Mức tình trạng kỹ thuật | Đặc điểm của tình trạng kỹ thuật |
| I - Bình thường | Các giá trị định tính và định lượng của tất cả các tiêu chí đánh giá tình trạng kỹ thuật của kết cấu xây dựng của nhà và công trình, bao gồm cả tình trạng của đất nền, phù hợp với các giá trị đã thiết lập trong hồ sơ thiết kế có xét đến các giới hạn thay đổi của chúng. |
| II - Khả năng làm việc vẫn còn duy trì | Một vài thông số kiểm tra đã đánh giá không thỏa mãn yêu cầu của đồ án thiết kế hoặc tiêu chuẩn, nhưng các vi phạm yêu cầu đã phát hiện trong các điều kiện sử dụng cụ thể không dẫn đến vi phạm khả năng làm việc và khả năng chịu lực cần thiết của kết cấu và đất nền có xét đến ảnh hưởng của các khuyết tật và hư hỏng đã phát hiện vẫn đảm bảo. |
| III - Khả năng làm việc hạn chế | Độ nghiêng, khuyết tật và hư hỏng dẫn đến làm giảm khả năng chịu lực nhưng không gây nguy hiểm sập đổ đột ngột, mất ổn định hoặc lật, và chức năng của kết cấu và việc sử dụng nhà hoặc công trình vẫn còn có thể hoặc khi có kiểm soát (quan trắc) tình trạng kỹ thuật, hoặc khi có tiến hành các biện pháp cần thiết để khôi phục hoặc gia cường kết cấu và (hoặc) đất nền và tiếp tục quan trắc tình trạng kỹ thuật (khi cần thiết). |
| IV - Nguy hiểm | Có hư hỏng và biến dạng chứng tỏ về sự mất khả năng chịu lực và nguy cơ sập đổ và (hoặc) có nghiêng mà có thể gây mất ổn định công trình. |
| CHÚ THÍCH 1: Mức tình trạng kỹ thuật được thiết lập dựa trên kết quả khảo sát các kết cấu xây dựng của nhà (trong đó có móng), bao gồm cả khảo sát đất nền tựa móng. CHÚ THÍCH 2: Khi có luận chứng thích hợp, mức tình trạng kỹ thuật của công trình cần cải tạo hoặc công trình nằm trong vùng ảnh hưởng của xây mới hoặc cải tạo có thể được nâng lên nếu trong đồ án thiết kế cải tạo hoặc đồ án các biện pháp bảo vệ (đối với các công trình lân cận) có dự tính việc thực hiện các công tác gia cường móng và phần trên mặt đất của công trình liên quan đến sự tăng độ cứng của nó. | |
Phụ lục F
(tham khảo)
Xác định khối lượng khảo sát địa chất công trình và thí nghiệm hiện trường
F.1 Khối lượng khảo sát phục vụ thiết kế móng cọc cần được thực hiện phù hợp với các mức độ phức tạp của điều kiện địa chất công trình phụ thuộc vào tính đồng nhất, thế nằm và tính chất của đất (xem TCVN 4419).
F.2 Việc đánh giá mức độ phức tạp của điều kiện nền đất của khu đất xây dựng được thực hiện trên cơ sở dữ liệu địa chất công trình.
F.3 Việc xác định loại và khối lượng khảo sát cho móng cọc phụ thuộc vào cấp hậu quả của công trình (theo [2]) và mức độ phức tạp của điều kiện địa chất công trình. Khối lượng khảo sát có thể tham khảo Bảng F.1.
CHÚ THÍCH: Không phải lúc nào cũng cần đủ các loại khảo sát nêu trong Bảng F.1, khối lượng khảo sát cụ thể do tư vấn thiết kế đề xuất trên cơ sở đảm bảo cung cấp đầy đủ dữ liệu cần thiết để thiết kế móng cọc.
Bảng F.1 - Khối lượng khảo sát cho các loại nhà và công trình
| Loại khảo sát | Tên chỉ tiêu | Mức độ phức tạp của điều kiện địa chất công trình | ||
| Mức 1 (đơn giản) | Mức 2 (trung bình) | Mức 3 (phức tạp) | ||
| (1) | (2) | (3) | (4) | (5) |
| 1. Nhà và công trình cấp C1 | ||||
| Khoan lấy mẫu; SPT | Khoảng cách giữa các hố khoan | ≤ 70 m | ≤ 50 m | ≤ 30 m |
| Số hố khoan cho mỗi công trình | ≥ 1 | ≥ 2 | ≥ 3 | |
| Thí nghiệm trong phòng | Số thí nghiệm cho mỗi chỉ tiêu trong phạm vi một đơn nguyên địa chất công trình | ≥ 6 | ||
| CPT | Khoảng cách giữa các điểm xuyên | ≤ 35 m | ≤ 25 m | ≤ 15 m |
| Số điểm xuyên cho mỗi công trình | ≥ 2 | ≥ 3 | ≥ 6 | |
| 2. Nhà và công trình cấp C2 | ||||
| Khoan lấy mẫu; SPT | Khoảng cách giữa các hố khoan | ≤ 50 m | ≤ 40 m | ≤ 30 m |
| Số hố khoan cho mỗi công trình | ≥ 2 | ≥ 3 | ≥ 4 | |
| Thí nghiệm trong phòng | Số thí nghiệm cho mỗi chỉ tiêu trong phạm vi một đơn nguyên địa chất công trình | ≥ 6 | ||
| CPT | Khoảng cách giữa các điểm xuyên | ≤ 25 m | ≤ 20 m | ≤ 15 m |
| Số điểm xuyên cho mỗi công trình; Chiều sâu xuyên ít nhất là 2 m thấp hơn cao độ thiết kế của mũi cọc | ≥ 50 % tổng số điểm xuyên và | |||
| ≥6 | ≥7 | ≥ 10 | ||
| Thí nghiệm nén ngang | Số thí nghiệm cho mỗi thí nghiệm trong phạm vi một đơn nguyên địa chất công trình | - | ≥ 6 | |
| Thí nghiệm cọc tại hiện trường | Số lượng cọc thí nghiệm | Do tư vấn thiết kế đề xuất. Riêng thí nghiệm thử tải tĩnh: đến 1 % tổng số cọc, nhưng ≥ 3 cọc cho mỗi công trình. | ||
| Thí nghiệm cọc bằng tải trọng động | Số lượng cọc thí nghiệm | ≥ 6 | ||
| 3. Nhà và công trình cấp C3 | ||||
| Khoan lấy mẫu; SPT | Khoảng cách giữa các hố khoan | ≤ 40 m | ≤ 30 m | ≤ 20 m |
| Số hố khoan cho mỗi công trình | ≥ 3 | ≥ 4 | ≥ 5 | |
| Thí nghiệm trong phòng | Số thí nghiệm cho mỗi chỉ tiêu trong phạm vi một đơn nguyên địa chất công trình | ≥ 6 | ||
| CPT | Khoảng cách giữa các điểm xuyên | ≤ 25 m | ≤ 15 m | ≤ 10 m |
| Số điểm xuyên cho mỗi công trình | ≥ 6 | ≥ 8 | ≥ 10 | |
| Thí nghiệm nén ngang | Số thí nghiệm cho mỗi thí nghiệm trong phạm vi một đơn nguyên địa chất công trình | ≥ 6 | ||
| Thí nghiệm bằng tấm nén | Số thí nghiệm cho mỗi đơn nguyên địa chất công trình khi các kết quả không chênh lệch quá 30 % so với giá trị trung bình | ≥ 4 | ||
| Thí nghiệm cọc tại hiện trường | Số lượng cọc thí nghiệm | Do tư vấn thiết kế đề xuất. Riêng thí nghiệm thử tải tĩnh: đến 1% tổng số cọc, nhưng ≥ 4 cọc cho mỗi công trình. Nên kết hợp thí nghiệm thử tải tĩnh với thí nghiệm đo biến dạng cọc. | ||
| Thí nghiệm cọc bằng tải trọng động | Số lượng cọc thí nghiệm | ≥ 9 | ||
| CHÚ THÍCH 1: Trường hợp có đất cát ngập nước đóng vai trò quyết định trong việc lựa chọn giải pháp thiết kế, số lượng CPT có thể tăng đến 100 % số lượng điểm xuyên. CHÚ THÍCH 2: Trên các đoạn của công trình dạng tuyến (đường ống, cầu cạn, v.v.) thì cần thực hiện CPT cho móng cọc dưới mỗi trụ. Khi chiều rộng trụ từ 12 m trở lên thì số điểm xuyên được tăng lên, còn khoảng cách giữa chúng không được quá 12 m. | ||||
Phụ lục G
(quy định)
Các phương pháp xử lý thống kê kết quả thí nghiệm
G.1 Phạm vi áp dụng
Phụ lục này quy định các phương pháp xử lý thống kê các kết quả thí nghiệm dùng trong khảo sát địa chất, thiết kế và xây dựng đối với đất tạo nên các công trình đất khác nhau (nền công trình, khối đất, công trình đất, v.v.).
Các phương pháp này dùng để xử lý thống kê kết quả xác định các đặc trưng cơ học (về độ bền và biến dạng) của tất cả các loại đất (theo TCVN 5746), cũng như phân chia đơn nguyên địa chất công trình và đơn nguyên đất tính toán.
Phụ lục này không áp dụng cho các thông số về độ bền và biến dạng của đất dưới tác động động, cũng như các đặc trưng của đất hòn lớn thu được khi sử dụng mô hình hóa các thành phần hạt rời.
CHÚ THÍCH 1: Đơn nguyên đất tính toán là đơn vị đất cơ bản, được phân chia có xét đến các phương pháp thực nghiệm hoặc tính toán được áp dụng khi thiết kế đối tượng đất. Đơn nguyên đất tính toán được lấy là một thể tích nào đó của đất không bắt buộc có cùng nguồn gốc, loại hoặc dạng mà trong phạm vi thế tích này các giá trị tiêu chuẩn và tính toán của các đặc trưng theo điều kiện của phương pháp thiết kế sử dụng bằng thực nghiệm hoặc tính toán đối với đối tượng có thể không đổi hoặc thay đổi có quy luật theo một hướng (thường là theo chiều sâu). Đơn nguyên đất tính toán có thể bao gồm một hoặc một số đơn nguyên địa chất công trình. Tổ hợp các đơn nguyên đất tính toán được sử dụng khi lập mô hình địa kỹ thuật tính toán của đối tượng.
CHÚ THÍCH 2: Vị trí, cấu hình và thể tích của đơn nguyên địa chất công trình và đơn nguyên đất tính toán được thiết lập có xét đến thông tin về công trình xây dựng và số liệu địa chất.
CHÚ THÍCH 3: Việc phân chia đơn nguyên đất tính toán phải được đồng thời thực hiện bởi người khảo sát và thiết kế.
G.2 Tính toán các giá trị tiêu chuẩn và tính toán của các đặc trưng của đất
G.2.1 Việc xác định các giá trị tiêu chuẩn Xn và tính toán X của các đặc trưng của đất đối với đơn nguyên địa chất công trình và đơn nguyên đất tính toán trong trường hợp chấp nhận cho đơn nguyên đất tính toán các giá trị thường xuyên Xn và X cần được tiến hành phù hợp với G.2.2 đến G.2.6. Đối với đơn nguyên đất tính toán khi sự thay đổi của các đặc trưng là tự nhiên thì các giá trị tiêu chuẩn và tính toán của chúng cần xác định phù hợp với G.2.7.
G.2.2 Giá trị tiêu chuẩn Xn của tất cả các đặc trưng vật lý và cơ học của đất lấy bằng giá trị trung bình số học X và được tính theo công thức:
![]()
trong đó:
n là số lần xác định đặc trưng;
Xi là giá trị đơn lẻ của đặc trưng, thu được từ kết quả thí nghiệm riêng rẽ thứ i.
CHÚ THÍCH: Đối với các đặc trưng của đất, thu được từ biểu đồ thí nghiệm (ví dụ: đường cong nén) thì các giá trị tiêu chuẩn có thể được thiết lập từ quan hệ tổng quát xấp xỉ đối với đơn nguyên địa chất công trình.
G.2.3 Cần tiến hành kiểm tra thống kê để loại trừ các sai số thống kê có thể còn lại sau khi phân tích số liệu thí nghiệm. Đối với các giá trị này của số liệu thí nghiệm, cần sắp xếp tăng dần từ nhỏ nhất đến lớn nhất. Phải loại trừ các giá trị Xi (lớn nhất hoặc nhỏ nhất) mà thỏa mãn điều kiện:
![]()
trong đó:
v là tiêu chí thống kê, lấy phụ thuộc vào số lần xác định n của đặc trưng (theo Bảng G.1);
S là độ lệch chuẩn của đặc trưng, được tính theo công thức:
![]()
Nếu bất kỳ giá trị nào của đặc trưng được loại bỏ thì đối với các giá trị số liệu thí nghiệm còn lại cần tính lại Xn theo công thức (G.1) và S theo công thức (G.3) và thực hiện kiểm tra lại theo công thức (G.2).
Bảng G.1 - Giá trị tiêu chí v khi xác suất tin cậy một phía α = 0,95
| Số lần xác định n | Giá trị tiêu chí v | Số lần xác định n | Giá trị tiêu chí v | Số lần xác định n | Giá trị tiêu chí v |
| 3 | 1,16 | 19 | 2,68 | 35 | 2,98 |
| 4 | 1,48 | 20 | 2,71 | 36 | 2,99 |
| 5 | 1,72 | 21 | 2,73 | 37 | 3,00 |
| 6 | 1,89 | 22 | 2,76 | 38 | 3,01 |
| 7 | 2,02 | 23 | 2,78 | 39 | 3,02 |
| 8 | 2,13 | 24 | 2,80 | 40 | 3,04 |
| 9 | 2,22 | 25 | 2,82 | 41 | 3,05 |
| 10 | 2,29 | 26 | 2,84 | 42 | 3,06 |
| 11 | 2,36 | 27 | 2,86 | 43 | 3,07 |
| 12 | 2,41 | 28 | 2,88 | 44 | 3,08 |
| 13 | 2,46 | 29 | 2,89 | 45 | 3,09 |
| 14 | 2,51 | 30 | 2,91 | 46 | 3,10 |
| 15 | 2,55 | 31 | 2,92 | 47 | 3,11 |
| 16 | 2,59 | 32 | 2,94 | 48 | 3,12 |
| 17 | 2,62 | 33 | 2,95 | 49 | 3,13 |
| 18 | 2,65 | 34 | 2,97 | 50 | 3,14 |
G.2.4 Tính hệ số biến động V của đặc trưng và độ chính xác của giá trị trung bình của nó ρα theo các công thức:

trong đó:
tα là hệ số, lấy theo Bảng G.2 phụ thuộc vào xác suất tin cậy một phía cho trước và số bậc tự do K = n - 1.
Bảng G.2 - Giá trị hệ số tα
| Số bậc tự do K | Giá trị hệ số tα khi xác suất tin cậy ở một phía bằng | |||||
| 0,85 (0,70) | 0,90 (0,80) | 0,95 (0,90) | 0,975 (0,95) | 0,98 (0,96) | 0,99 (0,98) | |
| 3 | 1,25 | 1,64 | 2,35 | 3,18 | 3,45 | 4,54 |
| 4 | 1,19 | 1,53 | 2,13 | 2,78 | 3,02 | 3,75 |
| 5 | 1,16 | 1,48 | 2,01 | 2,57 | 2,74 | 3,36 |
| 6 | 1,13 | 1,44 | 1,94 | 2,45 | 2,63 | 3,14 |
| 7 | 1,12 | 1,41 | 1,90 | 2,37 | 2,54 | 3,00 |
| 8 | 1,11 | 1,40 | 1,86 | 2,31 | 2,49 | 2,90 |
| 9 | 1,10 | 1,38 | 1,83 | 2,26 | 2,44 | 2,82 |
| 10 | 1,10 | 1,37 | 1,81 | 2,23 | 2,40 | 2,76 |
| 11 | 1,09 | 1,36 | 1,80 | 2,20 | 2,36 | 2,72 |
| 12 | 1,08 | 1,36 | 1,78 | 2,18 | 2,33 | 2,68 |
| 13 | 1,08 | 1,35 | 1,77 | 2,16 | 2,30 | 2,65 |
| 14 | 1,08 | 1,34 | 1,76 | 2,15 | 2,28 | 2,62 |
| 15 | 1,07 | 1,34 | 1,75 | 2,13 | 2,27 | 2,60 |
| 16 | 1,07 | 1,34 | 1,75 | 2,12 | 2,26 | 2,58 |
| 17 | 1,07 | 1,33 | 1,74 | 2,11 | 2,25 | 2,57 |
| 18 | 1,07 | 1,33 | 1,73 | 2,10 | 2,24 | 2,55 |
| 19 | 1,07 | 1,33 | 1,73 | 2,09 | 2,23 | 2,54 |
| 20 | 1,06 | 1,32 | 1,72 | 2,09 | 2,22 | 2,53 |
| 25 | 1,06 | 1,32 | 1,71 | 2,06 | 2,19 | 2,49 |
| 30 | 1,05 | 1,31 | 1,70 | 2,04 | 2,17 | 2,46 |
| 40 | 1,05 | 1,30 | 1,68 | 2,02 | 2,14 | 2,42 |
| 60 | 1,05 | 1,30 | 1,67 | 2,00 | 2,12 | 2,39 |
| CHÚ THÍCH: Các giá trị trong ngoặc đơn ở tiêu đề của bảng này biểu thị giá trị xác suất tin cậy ở hai phía. | ||||||
G.2.5 Tính hệ số độ tin cậy về đất γg theo công thức:
![]()
CHÚ THÍCH: Trong các phép tính toán cụ thể của người thiết kế, trước đại lượng ρα có thể lấy dấu “+” để đảm bảo độ tin cậy lớn nhất của nền hoặc công trình.
G.2.6 Tính giá trị tính toán X của đặc trưng của đất theo công thức:
![]()
CHÚ THÍCH: Trong các công thức từ (G.5) đến (G.7) thay vì chỉ số α và chỉ số dưới “n” của X có thể ghi giá trị xác suất tin cậy.
G.2.7 Khi sự thay đổi của đặc trưng là tự nhiên (ví dụ: theo chiều sâu h) thì giá trị tiêu chuẩn Xn(h) và tính toán X(h) của nó có thể được tính toán trong phạm vi đơn nguyên đất tính toán theo G.4.
G.3 Tính toán các giá trị tiêu chuẩn và tính toán của góc ma sát trong và lực dính đơn vị của đất
G.3.1 Các giá trị tiêu chuẩn và tính toán của góc ma sát trong φ lực dính đơn vị c theo kết quả thí nghiệm cắt một mặt phẳng được tính toán bằng phương pháp xử lý thống kê các giá trị đơn lẻ tgφ và c theo G.3.2 đến G.3.5.
CHÚ THÍCH: Số lần xác định các giá trị đơn lẻ của tgφj và cj không được nhỏ hơn sáu.
G.3.2 Khi xử lý thống kê các giá trị đơn lẻ của tgφ và cj đối với mỗi điểm lấy mẫu đất thứ j trong phạm vi đơn nguyên địa chất công trình thì tính toán sơ bộ theo phương pháp bình phương tối thiểu các giá trị đơn lẻ đã nêu theo kết quả của không nhỏ hơn ba lần xác định sức kháng cắt của đất τi với ba giá trị liên tiếp của ứng suất pháp σi:

trong đó:
k là số lần xác định τ tại mỗi điểm của đơn nguyên địa chất công trình.
Nếu khi tính theo công thức (G.9) mà thu được giá trị cj < 0 thì lấy giá trị cj = 0, còn tgφ được tính theo công thức:

G.3.3 Dựa trên các giá trị đơn lẻ tìm được của tgφ và cj tiến hành tính các giá trị tiêu chuẩn tgφn và cn theo công thức (G.1) và các độ lệch chuẩn Stgφ và Sc theo công thức (G.3).
G.3.4 Tiến hành kiểm tra thống kê để loại trừ các sai số thống kê có thể trong các giá trị tgφj và cj phù hợp với G.2.3. Một cặp giá trị tgφj và cj được loại bỏ nếu điều kiện (G.2) thỏa mãn dù chỉ đối với một trong số chúng. Khi đó, đối với các số liệu thí nghiệm còn lại cần tính lại các giá trị tgφn và cn, Stgφ và Sc.
G.3.5 Đối với tgφ và c, tính hệ số biến động V, độ chính xác ρα, hệ số độ tin cậy về đất γg và các giá trị tính toán của chúng theo các công thức từ (G.4) đến (G.7).
CHÚ THÍCH: Nếu đối với đại lượng c mà theo công thức (G.5) tính được giá trị ρα > 1 thì giá trị tính toán của đặc trưng c này lấy bằng 0.
G.4 Tính toán các giá trị tiêu chuẩn và tính toán khi sự thay đổi tự nhiên theo chiều sâu
G.4.1 Khi sự thay đổi tự nhiên của đặc trưng X với chiều sâu h thì mối quan hệ giữa X và h trong phạm vi đơn nguyên đất tính toán được biểu diễn xấp xỉ bằng quan hệ tuyến tính hoặc các đoạn thẳng:
![]()
trong đó:
a và b là các thông số của quan hệ tuyến tính hoặc các đoạn thẳng của quan hệ.
Các thông số a và b được tính toán theo các công thức (G.9) và (G.10), trong đó các giá trị tgφj, cj, τi, σi và k phải thay bằng các giá trị tương ứng a, b, Xi, hi và n, trong đó Xi là các giá trị thí nghiệm của đặc trưng tại các điểm hi, n là số lần xác định Xi.
G.4.2 Giá trị tiêu chuẩn Xm(h) của đặc trưng ở các chiều sâu khác nhau hi được xác định theo quan hệ (G.11), trong đó thay h bằng các giá trị hi.
G.4.3 Độ lệch chuẩn của đặc trưng Sx và hệ số biến động V được tính theo các công thức:

trong đó:
là giá trị trung bình của các giá trị Xi.
G.4.4 Các giá trị tiêu chuẩn
và
của đặc trưng được tính theo công thức (G.11) với các giá trị hmin và hmax, ứng với các ranh giới của đơn nguyên đất tính toán trong trường hợp quan hệ tuyến tính hoặc ranh giới của các đoạn trong trường hợp quan hệ các đoạn thẳng.
MỤC LỤC
Lời nói đầu
Lời giới thiệu
1 Phạm vi áp dụng
2 Tài liệu viện dẫn
3 Thuật ngữ, định nghĩa, ký hiệu và chữ viết tắt
4 Quy định chung
5 Yêu cầu về khảo sát địa chất công trình
6 Phân loại cọc
7 Thiết kế móng cọc
7.1 Chỉ dẫn cơ bản về tính toán
7.1.1 Các trạng thái giới hạn
7.1.2 Mô hình tính toán
7.1.3 Tải trọng và tổ hợp tải trọng
7.1.4 Các đặc trưng vật liệu
7.1.5 Tính toán cọc và đài cọc theo vật liệu
7.1.6 Tính toán cọc theo đất nền
7.1.7 Tính toán cọc và móng cọc theo biến dạng
7.2 Các phương pháp tính toán xác định sức chịu tải của cọc
7.2.1 Cọc chống
7.2.2 Cọc đóng, cọc ép và cọc-ống bê tông cốt thép hạ không moi đất (cọc ma sát)
7.2.3 Cọc nhồi, cọc khoan và cọc-ống hạ có moi đất và nhồi bê tông (cọc ma sát)
7.2.4 Cọc vít
7.2.5 Cọc-ống thép
7.2.6 Cọc liên hợp
7.2.7 Xét đến ma sát âm trên thân cọc
7.3 Xác định sức chịu tải của cọc theo kết quả thí nghiệm hiện trường
7.3.1 Yêu cầu chung về thí nghiệm
7.3.2 Xác định sức chịu tải của cọc theo kết quả thí nghiệm bằng tải trọng tĩnh (nén, kéo, ngang)
7.3.3 Xác định sức chịu tải của cọc theo kết quả thí nghiệm động
7.3.4 Xác định sức chịu tải của cọc theo kết quả CPT
7.3.5 Xác định sức chịu tải của cọc theo kết quả SPT
7.4 Tính toán cọc, móng cọc và móng bè-cọc hỗn hợp theo biến dạng
7.4.1 Yêu cầu chung
7.4.2 Tính toán độ lún của cọc đơn
7.4.3 Tính toán độ lún của nhóm cọc
7.4.4 Tính toán độ lún của móng cọc như của móng khối quy ước
7.4.5 Tính toán móng bè-cọc hỗn hợp
7.5 Yêu cầu riêng về thiết kế nhóm cọc kích thước lớn, bãi cọc kích thước lớn và tấm của đài cọc
7.6 Yêu cầu riêng về thiết kế móng cọc khi cải tạo công trình
7.7 Yêu cầu riêng về tính toán khi sử dụng phần mềm địa kỹ thuật
7.8 Yêu cầu riêng về thiết kế móng cọc cho các loại công trình khác nhau
8 Yêu cầu về cấu tạo móng cọc
9 Yêu cầu riêng về thiết kế móng cọc trong vùng đất lún ướt
10 Yêu cầu riêng về thiết kế móng cọc trong vùng đất trương nở
11 Yêu cầu riêng về thiết kế móng cọc trong vùng khai thác mỏ
12 Yêu cầu riêng về thiết kế móng cọc trong vùng động đất
13 Yêu cầu riêng về thiết kế móng cọc trong vùng các tơ
Phụ lục A (tham khảo) Tính toán cọc chịu tác dụng đồng thời của lực thẳng đứng, lực ngang và mô men
Phụ lục B (tham khảo) Tính toán sức chịu tải của cọc hình tháp có độ nghiêng các mặt bên ip > 0,025
Phụ lục C (tham khảo) Tính toán sức chịu tải của cọc tương tác với đá trên mặt bên
Phụ lục D (quy định) Xác định sức chịu tải của cọc theo kết quả SPT
Phụ lục E (quy định) Biến dạng giới hạn nền của móng công trình
Phụ lục F (tham khảo) Xác định khối lượng khảo sát địa chất công trình và thí nghiệm hiện trường
Phụ lục G (quy định) Các phương pháp xử lý thống kê kết quả thí nghiệm
Thư mục tài liệu tham khảo
Bạn chưa Đăng nhập thành viên.
Đây là tiện ích dành cho tài khoản thành viên. Vui lòng Đăng nhập để xem chi tiết. Nếu chưa có tài khoản, vui lòng Đăng ký tại đây!