- Tổng quan
- Nội dung
- Tiêu chuẩn liên quan
- Lược đồ
- Tải về
Tiêu chuẩn quốc gia TCVN 5575:2024 Thiết kế kết cấu thép
| Số hiệu: | TCVN 5575:2024 | Loại văn bản: | Tiêu chuẩn Việt Nam |
| Cơ quan ban hành: | Bộ Khoa học và Công nghệ | Lĩnh vực: | Công nghiệp , Xây dựng |
|
Ngày ban hành:
Ngày ban hành là ngày, tháng, năm văn bản được thông qua hoặc ký ban hành.
|
24/12/2024 |
Hiệu lực:
|
Đã biết
|
| Người ký: | Đang cập nhật |
Tình trạng hiệu lực:
Cho biết trạng thái hiệu lực của văn bản đang tra cứu: Chưa áp dụng, Còn hiệu lực, Hết hiệu lực, Hết hiệu lực 1 phần; Đã sửa đổi, Đính chính hay Không còn phù hợp,...
|
Đã biết
|
TÓM TẮT TIÊU CHUẨN VIỆT NAM TCVN 5575:2024
Nội dung tóm tắt đang được cập nhật, Quý khách vui lòng quay lại sau!
Tải tiêu chuẩn Việt Nam TCVN 5575:2024
TIÊU CHUẨN QUỐC GIA
TCVN 5575:2024
THIẾT KẾ KẾT CẤU THÉP
Design of steel structures
MỤC LỤC
Lời nói đầu
Lời giới thiệu
1 Phạm vi áp dụng
2 Tài liệu viện dẫn
3 Thuật ngữ, định nghĩa và ký hiệu
3.1 Thuật ngữ và định nghĩa
3.2 Ký hiệu
4 Yêu cầu chung
4.1 Yêu cầu cơ bản đối với kết cấu
4.2 Yêu cầu cơ bản đối với tính toán
4.3 Xét đến công năng sử dụng và điều kiện làm việc của kết cấu
5 Vật liệu cho kết cấu và liên kết
5.1 Vật liệu cho kết cấu
5.2 Vật liệu cho liên kết
5.2.1 Vật liệu cho liên kết hàn
5.2.2 Vật liệu cho liên kết bu lông
5.3 Cáp
6 Cường độ tính toán của vật liệu và liên kết
7 Tính toán cấu kiện chịu kéo đúng tâm, nén đúng tâm
7.1 Tính toán cấu kiện tiết diện đặc
7.1.1 Tính toán độ bền
7.1.2 Tính toán ổn định
7.2 Tính toán cấu kiện tiết diện rỗng
7.2.1 Tính toán độ bền
7.2.2 Tính toán ổn định
7.3 Kiểm tra ổn định bản bụng và bản cánh của cấu kiện chịu nén đúng tâm tiết diện đặc
8 Tính toán cấu kiện chịu uốn
8.1 Yêu cầu chung
8.2 Tính toán độ bền cấu kiện chịu uốn tiết diện đặc
8.3 Tính toán độ bền dầm đỡ cầu trục tiết diện đặc
8.4 Tính toán ổn định tổng thể cấu kiện chịu uốn tiết diện đặc
8.5 Kiểm tra ổn định bản bụng và bản cánh của cấu kiện chịu uốn tiết diện đặc
8.6 Tính toán bản đế
9 Tính toán cấu kiện khi có tác dụng của lực dọc kết hợp uốn
9.1 Tính toán độ bền cấu kiện tiết diện đặc
9.2 Tính toán ổn định cấu kiện tiết diện đặc
9.3 Tính toán ổn định cấu kiện tiết diện rỗng
9.4 Kiểm tra ổn định của bản bụng và bản cánh
10 Chiều dài tính toán và độ mảnh giới hạn của cấu kiện
10.1 Chiều dài tính toán của các thanh trong giàn phẳng, nhánh cột và hệ giằng
10.2 Chiều dài tính toán của các thanh trong kết cấu không gian rỗng, bao gồm cả kết cấulưới thanh không gian
10.3 Chiều dài tính toán của cột
10.4 Độ mảnh giới hạn của cấu kiện
11 Kết cấu vỏ
11.1 Tính toán độ bền
11.2 Tính toán ổn định
12 Tính toán cấu kiện kết cấu thép chịu mỏi
12.1 Yêu cầu chung
12.2 Tính toán dầm đỡ cầu trục
13 Thiết kế kết cấu thép có kể đến ngăn ngừa phá hoại giòn
14 Thiết kế liên kết các kết cấu thép
14.1 Liên kết hàn
14.2 Liên kết bu lông
14.3 Liên kết ma sát (dùng bu lông có kiểm soát lực siết)
14.4 Liên kết cánh với bụng của dầm tổ hợp
15 Yêu cầu về thiết kế nhà, công trình và kết cấu
15.1 Khoảng cách giữa các khe nhiệt
15.2 Giàn phẳng và kết cấu lưới thanh không gian
15.3 Cột
15.4 Hệ giằng
15.5 Dầm và kết cấu khung
15.6 Dầm đỡ cầu trục
15.7 Kết cấu vỏ
15.8 Mái treo
15.9 Liên kết mặt bích
15.10 Liên kết của các cấu kiện có các đầu mút phay nhẵn
15.11 Liên kết lắp dựng
15.12 Bộ phận gối tựa
16 Yêu cầu về thiết kế kết cấu cột đường dây tải điện trên không và cột thiết bị phân phối điệnngoài trời
17 Yêu cầu về thiết kế kết cấu công trình ăng ten viễn thông cao đến 500 m
18 Yêu cầu về thiết kế kết cấu nhà và công trình khi gia cường
18.1 Yêu cầu chung
18.2 Các đặc trưng tính toán của thép và liên kết
18.3 Gia cường kết cấu
Phụ lục A (quy định) Nhóm kết cấu thép theo công năng sử dụng, điều kiện làm việc và sự có mặt của liên kết hàn
Phụ lục B (tham khảo) Vật liệu dùng cho kết cấu thép
Phụ lục C (tham khảo) Vật liệu dùng cho liên kết
Phụ lục D (quy định) Các hệ số để tính toán ổn định các cấu kiện chịu nén đúng tâmvà nén lệch tâm
Phụ lục E (quy định) Các hệ số để tính toán độ bền cấu kiện có kể đến sự phát triểnbiến dạng dẻo
Phụ lục F (quy định) Hệ số ổn định khi uốn φb
Phụ lục G (quy định) Hệ số chiều dài tính toán của các cấu kiện
Phụ lục H (quy định) Nhóm cấu kiện và liên kết kết cấu khi tính toán chịu mỏi
Phụ lục I (tham khảo) Yêu cầu bổ sung đối với giàn và giằng
Phụ lục K (tham khảo) Dầm bụng lỗ và dầm bụng mảnh
Phụ lục L (quy định) Bu lông neo
Phụ lục M (tham khảo) Tính chất cơ học của một số loại thép nước ngoài
Thư mục tài liệu tham khảo
Lời nói đầu
TCVN 5575:2024 thay thế TCVN 5575:2012.
TCVN 5575:2024 được xây dựng trên cơ sở tham khảoSP 16.13330.2017 Steel structures (và các Sửa đổi 1, 2, 3, 4, 5), SP 294.1325800.2017 Steel structures - Rules for design (và các Sửa đổi 1, 2, 3) và SP 43.13330.2012 Constructions of the industrial enterprises (và các Sửa đổi 1, 2, 3).
TCVN 5575:2024 do Viện Khoa học công nghệ xây dựng (Bộ Xây dựng) biên soạn, Bộ Xây dựng đề nghị, Tổng cục Tiêu chuẩn Đo lường Chất lượng thẩm định, Bộ Khoa học và Công nghệ công bố.
Lời giới thiệu
Cơ sở tham khảo chính để xây dựng TCVN 5575:2024 là tiêu chuẩn của Liên bang Nga SP 16.13330.2017 Steel structures (Kết cấu thép) và các bản sửa đổi đến năm 2023, trong đó có một số nội dung hài hòa với tiêu chuẩn châu Âu. Nhiều nội dung mở rộng bổ sung trong TCVN 5575:2024 cũng được tham khảo SP 294.1325800.2017 Steel structures - Rules for design (Kết cấu thép - Quy tắc thiết kế) và các sửa đổi đến năm 2022, cũng như SP 43.13330.2012 Constructions of the industrial enterprises (Công trình của các cơ sở công nghiệp) và các sửa đổi đến năm 2020. SP 16.13330.2017 đã và đang được cập nhật trong các phần mềm tính toán chuyên dụng phổ biến tại Việt Nam hiện nay.
Trong TCVN 5575:2024 có nhiều điểm mới đáng được quan tâm chú ý, trong đó có cập nhật các tiêu chuẩn quốc gia về thép kết cấu, vật liệu hàn, thi công và nghiệm thu; phân cấp cấu kiện theo trạng thái ứng suất - biến dạng của tiết diện tính toán; phân nhóm kết cấu thép theo công năng sử dụng, điều kiện làm việc và sự có mặt của liên kết hàn; tính toán và cấu tạo liên kết mặt bích; các yêu cầu tính toán cho kết cấu thép ống, thép hộp; các yêu cầu tính toán và cấu tạo đối với giàn, giằng làm bằng thép định hình uốn hàn và các yêu cầu đối với dầm bụng mảnh; các yêu cầu tính toán và cấu tạo đối với bu lông móng, bu lông neo, v.v.
Điểm mới đặc biệt trong TCVN 5575:2024 là có hệ số độ tin cậy về ổn định tổng thể γs (xem 4.3.2) đểthuận tiện và rút ngắn quá trình tính toán và điều chỉnh hệ số chiều dài tính toán khi sử dụng phần mềm chuyên dụng để tính toán hệ các kết cấu thanh không gian. Cùng với đó, TCVN 5575:2024 có đưa thêm hệ số độ tin cậy về tầm quan trọng của công trình γn (xem 4.3.2) và được lấy theo chỉ dẫn trong TCVN 2737:2023 phụ thuộc vào cấp hậu quả của công trình theo [2].
Ngoài ra, TCVN 5575:2024 có cập nhật các tiêu chuẩn nước ngoài về thép kết cấu tương đương hoặc gần tương đương với thép kết cấu theo các tiêu chuẩn quốc gia của Việt Nam giúp cho việc lựa chọn vật liệu kết cấu và liên kết được thuận tiện hơn trong thực hành thiết kế.
THIẾT KẾ KẾT CẤU THÉP
Design of steel structures
1 Phạm vi áp dụng
Tiêu chuẩn này quy định các yêu cầu và áp dụng để thiết kế và tính toán kết cấu thép của nhà và công trình có các công năng sử dụng khác nhau, làm việc ở nhiệt độ không cao hơn 100 °C và không thấp hơn âm 60 °C.
Tiêu chuẩn này không áp dụng để thiết kế kết cấu thép của cầu, đường hầm giao thông và ống dưới đất lấp.
Khi thiết kế kết cấu thép làm việc trong các điều kiện đặc biệt (ví dụ: kết cấu lò cao; các đường ống dẫn chính và đường ống công nghệ; các bể chứa có công năng sử dụng đặc biệt; kết cấu nhà chịu tác động động đất, tác động mạnh của lửa, nhiệt độ, phóng xạ, môi trường xâm thực; kết cấu các công trình thủy công), kết cấu nhà và công trình đặc thù, nhà của các nhà máy điện nguyên tử, cũng như các kết cấu loại chuyên dụng (ví dụ: kết cấu ứng suất trước, kết cấu không gian, kết cấu treo, kết cấu liên hợp thép - bê tông, kết cấu thép thành mỏng làm bằng thép tạo hình nguội mạ kẽm và tấm sóng dùng vít tự ren), cần thỏa mãn thêm các yêu cầu nêu trong các tiêu chuẩn tương ứng mà trong đó phản ánh các đặc thù về sự làm việc của các kết cấu này.
2 Tài liệu viện dẫn
Các tài liệu viện dẫn sau cần thiết cho việc áp dụng tiêu chuẩn này. Đối với các tài liệu viện dẫn ghi năm công bố thì áp dụng phiên bản được nêu. Đối với các tài liệu viện dẫn không ghi năm công bố thì áp dụng phiên bản mới nhất, bao gồm cả các sửa đổi, bổ sung (nếu có).
TCVN 134:1977, Vòng đệm - Yêu cầu kỹ thuật;
TCVN 1916:1995, Bu lông, vít, vít cấy và đai ốc - Yêu cầu kỹ thuật;
TCVN 2362:1993, Dây thép hàn;
TCVN 2737:2023, Tải trọng và tác động;
TCVN 3223:2000, Que hàn điện dùng cho thép các bon thấp và thép hợp kim thấp - Ký hiệu, kích thước và yêu cầu kỹ thuật chung;
TCVN 5017-1:2010 (ISO 857-1:1998), Hàn và các quá trình liên quan - Từ vựng - Phần 1: Các quá trình hàn kim loại;
TCVN 5574:2018, Thiết kế kết cấu bê tông và bê tông cốt thép;
TCVN 6283-1:1997 (ISO 1035/1:1980), Thép thanh cán nóng- Phần 1: Kích thước của thép tròn;
TCVN 6283-2:1997 (ISO 1035/2:1980), Thép thanh cán nóng- Phần 2: Kích thước của thép vuông;
TCVN 6283-3:1997 (ISO 1035/3:1980), Thép thanh cán nóng - Phần 3: Kích thước của thép dẹt;
TCVN 6364:2010 (ISO/FDIS 6947:2010), Hàn và các quá trình hàn - Vị trí hàn;
TCVN 6522:2018 (ISO 4995:2014), Thép tấm mỏng cán nóng chất lượng kết cấu;
TCVN 6523:2018 (ISO 4996:2014), Thép tấm mỏng cán nóng chất lượng kết cấu có giới hạn chảy cao;
TCVN 7571-1:2019, Thép hình cán nóng - Phần 1: Thép góc cạnh đều;
TCVN 7571-2:2019, Thép hình cán nóng - Phần 2: Thép góc cạnh không đều;
TCVN 7571-11:2019, Thép hình cán nóng - Phần 11: Thép chữ U;
TCVN 7571-15:2019, Thép hình cán nóng - Phần 15: Thép chữ I;
TCVN 7571-16:2017, Thép hình cán nóng - Phần 16: Thép chữ H;
TCVN 8590-1:2010 (ISO 4301-1:1986), Cần trục-Phân loại theo chế độ làm việc-Phần 1: Yêu cầu chung;
TCVN 9362, Tiêu chuẩn thiết kế nền nhà và công trình;
TCVN 9379, Kết cấu xây dựng và nền - Nguyên tắc cơ bản về tính toán;
TCVN 9986-2:2013 (ISO 630-2:2011), Thép kết cấu - Phần 2: Điều kiện kỹ thuật khi cung cấp thép kết cấu thông dụng;
TCVN 9986-3:2014 (ISO 630-3:2012), Thép kết cấu - Phần 3: Điều kiện kỹ thuật khi cung cấp thép kết cấu hạt mịn;
TCVN 11228-1:2015 (ISO 12633-1:2011), Thép kết cấu rỗng được gia công nóng hoàn thiện từ thép không hợp kim và thép hạt mịn - Phần 1: Điều kiện kỹ thuật khi cung cấp;
TCVN 11228-2:2015 (ISO 12633-2:1991), Thép kết cấu rỗng được gia công nóng hoàn thiện từ thép không hợp kim và thép hạt mịn - Phần 2: Kích thước và đặc tính mặt cắt;
TCVN 11372:2016 (ISO 7778:2014), Đặc tính theo chiều dày đối với sản phẩm thép;
TCVN 12002:2020, Kết cấu thép xây dựng - Chế tạo và kiểm tra chất lượng;
TCVN 12251:2020, Bảo vệ chống ăn mòn cho kết cấu xây dựng;
TCVN 13194, Kết cấu thép - Lắp dựng và nghiệm thu.
3 Thuật ngữ, định nghĩa và ký hiệu
3.1 Thuật ngữ và định nghĩa
Trong tiêu chuẩn này sử dụng các thuật ngữ và định nghĩa theo TCVN 5017-1:2010 (ISO 857-1:1998), TCVN 6364:2010 (ISO/FDIS 6947:2010) và các thuật ngữ, định nghĩa sau:
3.1.1
Bề mặt trung bình (middle surface)
Bề mặt nằm giữa bề mặt trong và bề mặt ngoài của vỏ tại mỗi điểm. Khi vỏ được tăng cứng ở một hoặc hai mặt, bề mặt trung bình tham chiếu vẫn được lấy là bề mặt trung bình của bản cong của vỏ. Bề mặt trung bình là bề mặt tham chiếu dùng để tính toán và có thể bị gián đoạn (không liên tục) tạicác vị trí thay đổi chiều dày hoặc tại các vị trí các đường giao nhau của vỏ, dẫn tới làm xuất hiện độ lệch tâm mà có thể là quan trọng đối với ứng xử của kết cấu vỏ.
3.1.2
Các hệ số độ tin cậy (các hệ số an toàn) (partial factors)
Các hệ số kể đến các sai lệch bất lợi có thể có của các giá trị tải trọng, các đặc trưng vật liệu và sơ đồ tính toán công trình xây dựng do điều kiện sử dụng thực tế của nó, cũng như kể đến mức độ tầm quan trọng của các công trình xây dựng. Có 4 loại hệ số độ tin cậy: hệ số độ tin cậy về tải trọng, hệ số độ tin cậy về vật liệu, hệ số điều kiện làm việc, hệ số độ tin cậy về tầm quan trọng của công trình.
[TCVN 5574:2018, 3.1.2].
3.1.3
Cấu kiện được liên kết (connected member)
Bất kỳ cấu kiện nào được nối với cấu kiện hoặc chi tiết đỡ.
3.1.4
Cấu kiện tiết diện không đổi (uniform member)
Cấu kiện có tiết diện ngang không đổi dọc theo toàn bộ chiều dài của nó.
3.1.5
Chiều dài tính toán của cấu kiện (buckling length of an element, effective length of an element)
Chiều dài quy ước của cấu kiện (thanh) một nhịp mà lực tới hạn của nó khi có liên kết khớp hai đầu cũng bằng lực tới hạn của cấu kiện (thanh) đang xét.
3.1.6
Cường độ (strength)
Tính chất cơ học của vật liệu, chỉ khả năng chịu được các tác động, thường được tính bằng đơn vị của ứng suất.
[TCVN 5574:2018, 3.1.11].
3.1.7
Dầm hai loại thép (hybrid girder)
Dầm có các bản cánh và bản bụng làm từ các loại thép khác nhau; tiêu chuẩn này giả thiết là cường độ của thép bản cánh cao hơn của thép bản bụng.
3.1.8
Diện tích tiết diện ngang nguyên (diện tích tiết diện nguyên) (gross cross-sectional area)
Tổng diện tích tiết diện ngang của cấu kiện, không kể đến các sườn cứng dọc không liên tục.
3.1.9
Diện tích tiết diện ngang thực (diện tích tiết diện thực) (net cross-sectional area)
Hiệu số giữa tổng diện tích tiết diện ngang nguyên của cấu kiện và tổng diện tích tiết diện giảm yếu.
3.1.10
Độ bền (resistance)
Khả năng của một cấu kiện hoặc của tiết diện ngang cấu kiện chịu được các tác động mà không bị phá hoại về cơ học, ví dụ: độ bền uốn (khả năng chịu uốn), độ bền kéo (khả năng chịu kéo), độ bền ổn định (khả năng chống mất ổn định).
[TCVN 5574:2018, 3.1.13].
3.1.11
Kết cấu hàn
Kết cấu được chế tạo bằng phương pháp hàn.
3.1.12
Kết cấu thanh không gian (spatial structures)
Hệ thanh thép thẳng được liên kết với nhau tại các nút, dùng cho mái phẳng và mái cong mà trong đó chủ yếu chỉ xuất hiện lực nén và kéo.
CHÚ THÍCH: Các kết cấu thanh không gian được chia làm 3 nhóm: kết cấu lưới thanh không gian hai lớp, vỏ trụ không có độ cong và vỏ trụ cong hai phương, kể cả vòm.
3.1.13
Kết cấu lưới thanh không gian hai lớp (double layers spatial structures)
Kết cấu thanh không gian gồm hai lưới phẳng song song đặt cách nhau một khoảng theo chiều cao, giữa các lưới có bố trí các thanh chống đứng và các thanh xiên. Kết cấu gồm các mô đun hình chóp (có đáy tam giác hoặc chữ nhật) ghép lặp lại.
3.1.14
Khả năng chịu lực (load bearing capacity)
Hệ quả tác động lớn nhất xuất hiện trong công trình xây dựng mà không vượt quá các trạng thái giới hạn.
[TCVN 5574:2018, 3.1.20].
3.1.15
Liên kết (connection)
Vị trí giao nhau của hai hay nhiều cấu kiện. Với mục đích thiết kế thì liên kết là tổ hợp của các bộ phận cơ bản cần thiết để biểu diễn ứng xử trong quá trình truyền nội lực tại liên kết.
3.1.16
Nút (joint)
Vùng giao nhau của hai hay nhiều cấu kiện. Với mục đích thiết kế thì nút là tổ hợp của các bộ phận cơ bản cần thiết để biểu diễn ứng xử của nút trong quá trình truyền nội lực giữa các cấu kiện được liên kết.
3.1.17
Ô bản (subpanel)
Một phần của bản không tăng cứng được bao bởi các cánh và/hoặc các sườn cứng.
3.1.18
Sườn cứng (stiffener)
Bản hoặc tiết diện định hình được liên kết với bản (của tiết diện chính) để chống mất ổn định cục bộ hoặc tăng cứng cho bản; sườn cứng được coi là:
- sườn cứng dọc, nếu phương của nó song song với trục cấu kiện;
- sườn cứng ngang, nếu phương của nó vuông góc với trục cấu kiện.
3.1.19
Trạng thái giới hạn (limit state)
Trạng thái mà khi vượt quá các thông số đặc trưng của nó thì việc sử dụng kết cấu hoặc là không được phép, hoặc bị gây khó khăn hoặc không còn phù hợp.
[TCVN 5574:2018, 3.1.34].
3.1.20
Vỏ (Shell)
Kết cấu hoặc bộ phận kết cấu được hình thành từ bản mỏng cong.
3.1.21
Vỏ tròn xoay (Shell of revolution)
Vỏ có hình dạng hình học được xác định bởi bề mặt trung bình được tạo nên từ việc xoay đường kinh tuyến quanh một trục một góc 2 π radian. Vỏ có thể có chiều dài bất kỳ.
3.2 Ký hiệu
3.2.1 Các đặc trưng hình học
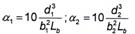
| A Ab Abn Ad Af An ∆An Aw Awf Aws b bef bf br cx, cy | diện tích tiết diện nguyên, mm² diện tích tiết diện nguyên của bu lông, mm² diện tích tiết diện thực của bu lông, mm² diện tích tiết diện một thanh xiên, mm² diện tích tiết diện một bản cánh, mm² diện tích tiết diện thực, mm² diện tích tiết diện giảm yếu, diện tích giảm yếu, mm² diện tích tiết diện bản bụng, mm² diện tích tiết diện theo kim loại đường hàn góc, mm² diện tích tiết diện theo kim loại biên nóng chảy, mm² chiều rộng, mm chiều rộng tính toán, mm chiều rộng bản cánh, mm chiều rộng phần nhô của sườn, bản cánh, mm các hệ số để tính toán độ bền cấu kiện có kể đến sự phát triển biến dạng dẻo khi uốn đối với các trục tương ứng x-x và y-y |
| d db e h hef hf hw I Ib Im, Id Ir IrL It Ix, ly Ixn, Iyn lω lωn i imin ix, iy L Lc Ld Lef Lm Ls Lw Lx, Ly | đường kính lỗ, đường kính lỗ bu lông, mm đường kính bu lông (đường kính ngoài của thân bu lông), mm độ lệch tâm của lực, mm chiều cao, mm chiều cao tính toán của bản bụng, mm chiều cao đường hàn góc, mm chiều cao bản bụng, mm mô men quán tính của tiết diện nguyên, mm4 mô men quán tính của tiết diện nhánh, mm4 các mô men quán tính của tiết diện của thanh cánh và thanh xiên của giàn, mm4 mô men quán tính của tiết diện sườn cứng ngang, bản giằng, mm4 mô men quán tính của tiết diện sườn cứng dọc, mm4 mô men quán tính khi xoắn tự do, mm4 các mô men quán tính của tiết diện nguyên đối với các trục tương ứng x-x và y-y, mm4 các mô men quán tính của tiết diện thực đối với các trục tương ứng x-x và y-y, mm4 mô men quán tính quạt của tiết diện nguyên, mm6 mô men quán tính quạt của tiết diện thực, mm6 bán kính quán tính của tiết diện, mm bán kính quán tính nhỏ nhất của tiết diện, mm các bán kính quán tính của tiết diện đối với các trục tương ứng x-x và y-y, mm chiều dài, nhịp, mm chiều dài của trụ, cột, thanh ngang, mm chiều dài thanh xiên, mm chiều dài tính toán, chiều dài phân bố quy ước tải trọng (Hình 8), mm chiều dài khoang cánh của giàn hoặc cột, mm chiều dài bản giằng, mm chiều dài đường hàn, mm các chiều dài tính toán của cấu kiện trong các mặt phẳng vuông góc với các trục tương ứng x-x và y-y, mm |
| r S s t tf tw u Wx, Wy | bán kính, mm mô men tĩnh của phần tiết diện nguyên bị trượt đối với trục trung hòa, mm3 bước lỗ so le (xem Hình 2), mm chiều dày, mm chiều dày bản cánh, mm chiều dày bản bụng, mm khoảng đường lỗ (xem Hình 2), mm các mô men chống uốn của tiết diện nguyên đối với các trục tương ứng x-x và y-y, mm3 |
| Wc, Wt | các mô men chống uốn của tiết diện đối với cánh chịu nén và chịu kéo tương ứng, mm3 |
| Wxn, Wyn Wω Wωn Wcω, Wtω | các mô men chống uốn của tiết diện thực đối với các trục tương ứng x-x và y-y, mm3 mô men chống uốn quạt của tiết diện nguyên, mm4 mô men chống uốn quạt của tiết diện thực, mm4 các mô men chống uốn quạt của tiết diện đối với điểm chịu nén nhiều nhất và chịu kéo nhiềunhất tương ứng, mm4 |
3.2.2 Các đặc trưng vật liệu
| E fba fbU fc fcb fcc fcd | mô đun đàn hồi, MPa cường độ chịu kéo tính toán của bu lông móng, MPa cường độ chịu kéo tính toán của bu lông chữ U, MPa cường độ chịu ép mặt tính toán của thép lên đầu mút khi tì sát, MPa cường độ chịu ép mặt tính toán của liên kết một bu lông, MPa cường độ chịu ép mặt tính toán trong ổ trục khi tiếp xúc chặt, MPa cường độ chịu chịu ép tính toán theo đường kính con lăn (khi tì tự do trong các kết cấu cóđộ di động hạn chế), MPa |
| ffat ftb fdh fu | cường độ chịu mỏi tính toán của thép, MPa cường độ chịu kéo tính toán của liên kết một bu lông, MPa cường độ chịu kéo tính toán của dây thép cường độ cao, MPa cường độ tiêu chuẩn của thép theo giới hạn bền, lấy bằng giá trị ứng suất nhỏ nhất σu theocác tiêu chuẩn sản phẩm, MPa |
| fub | cường độ tiêu chuẩn của thép làm bu lông, lấy bằng giới hạn bền kéo theo các tiêu chuẩnsản phẩm, MPa |
| fud fv fvb fvw fy fyb | cường độ chịu kéo, nén, uốn tính toán của thép theo giới hạn bền, MPa cường độ chịu trượt tính toán của thép, MPa cường độ chịu cắt tính toán của liên kết một bu lông, MPa cường độ chịu trượt tính toán của liên kết hàn đối đầu, MPa giới hạn chảy của thép, lấy bằng giá trị giới hạn chảy theo các tiêu chuẩn sản phẩm, MPa cường độ tiêu chuẩn của thép làm bu lông, lấy bằng giới hạn chảy theo các tiêu chuẩn sảnphẩm, MPa |
| fyd fyf fyw fw fwf | cường độ chịu kéo, nén, uốn tính toán của thép theo giới hạn chảy, MPa cường độ chịu kéo, nén, uốn tính toán của thép làm bản cánh theo giới hạn chảy, MPa cường độ chịu kéo, nén, uốn tính toán của thép làm bản bụng theo giới hạn chảy, MPa cường độ tính toán của liên kết hàn đối đầu theo giới hạn chảy, MPa cường độ chịu cắt (cắt quy ước) tính toán của đường hàn góc theo kim loại đường hàn, MPa |
| fwu fwun G | cường độ tính toán của liên kết hàn đối đầu theo giới hạn bền, MPa cường độ tiêu chuẩn của kim loại đường hàn theo giới hạn bền, MPa mô đun trượt, MPa |
3.2.3 Các đặc trưng về lực, mô men, ứng suất
| B F M Mx, My N Nad Nb V Vfic Vs lσl σloc σx, σy σcr, σloc,cr
| bi mô men, Nmm² lực, N mô men, mô men uốn, Nmm các mô men uốn đối với các trục tương ứng x-x và y-y, Nmm lực dọc, N lực dọc bổ sung, N lực dọc do mô men trong một nhánh cột, N lực cắt, lực trượt, N lực cắt quy ước đối với các cấu kiện được liên kết, N lực cắt quy ước tác dụng lên hệ bản giằng nằm trong một mặt phẳng, N giá trị tuyệt đối của ứng suất pháp, MPa ứng suất cục bộ, MPa các ứng suất pháp song song với các trục tương ứng x-x và y-y, MPa ứng suất pháp tới hạn và ứng suất cục bộ tới hạn, MPa ứng suất tiếp, MPa ứng suất tiếp tới hạn, MPa các ứng suất tiếp song song với các trục tương ứng x-x và y-y, MPa |
3.2.4 Các thông số
| m mef n n nb nf nQ p αt βf, βs | độ lệch tâm tương đối độ lệch tâm tương đối quy đổi thông số để xác định chiều dài tính toán của cột số mũ số bu lông trong liên kết số mặt phẳng ma sát của các cấu kiện được liên kết số chu kỳ tải trọng thông số để xác định chiều dài tính toán của cột tỷ số diện tích tiết diện bản cánh và bản bụng (αt = At/Aw) các hệ số để tính toán đường hàn góc tương ứng theo kim loại đường hàn và kim loại biênnóng chảy của thép cơ bản |
| γb γc γf γm γh γs γu γwc | hệ số điều kiện làm việc của liên kết bu lông hệ số điều kiện làm việc hệ số độ tin cậy về tải trọng hệ số độ tin cậy về vật liệu hệ số độ tin cậy của liên kết ma sát (dùng bu lông có kiểm soát lực siết) hệ số độ tin cậy về ổn định hệ kết cấu hệ số độ tin cậy trong các tính toán theo giới hạn bền hệ số điều kiện làm việc bổ sung của liên kết hàn đối đầu các thanh thép ống không có ống lót |
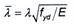
| γwm λ | hệ số độ tin cậy của kim loại đường hàn độ mảnh (λ = Lef/i) |
|
| độ mảnh quy ước ( |
| λef | độ mảnh quy đổi của cấu kiện tiết diện rỗng |
|
| độ mảnh quy đổi quy ước của cấu kiện tiết diện rỗng ( |
|
| độ mảnh quy ước của phần vươn cánh |
|
| độ mảnh quy ước của bản cánh |
|
| độ mảnh quy ước giới hạn của phần vươn cánh |
|
| độ mảnh quy ước giới hạn của bản cánh |
|
| độ mảnh quy ước của bản bụng |
|
| độ mảnh quy ước giới hạn của bản bụng |
| λx, λy | các độ mảnh tính toán của cấu kiện trong các mặt phẳng vuông góc với các trục tương ứng x-x và y-y |
| μ η φ φb φe φexy φx(y) ω ψ | hệ số chiều dài tính toán của cột, hệ số ma sát hệ số ảnh hưởng của hình dạng tiết diện hệ số ổn định khi nén đúng tâm hệ số ổn định khi uốn hệ số ổn định khi nén uốn đồng thời hệ số ổn định khi nén uốn đồng thời trong hai mặt phẳng hệ số ổn định khi nén tọa độ quạt hệ số để xác định hệ số φb khi tính toán ổn định của dầm (Phụ lục F). |
4 Yêu cầu chung
4.1 Yêu cầu cơ bản đối với kết cấu
4.1.1 Khi thiết kế kết cấu thép cần:
- Lựa chọn sơ đồ kết cấu đảm bảo được độ bền, ổn định và tính không biến hình không gian củanhà và công trình về tổng thể và của từng cấu kiện riêng biệt khi vận chuyển, lắp dựng và sử dụng;
- Tuân thủ các yêu cầu của TCVN 12251:2020 về bảo vệ chống ăn mòn cho kết cấu xây dựng;
- Kể đến khả năng chịu lửa của kết cấu thép và đảm bảo có biện pháp bảo vệ chống cháy cho kết cấu thép phù hợp với hệ thống bảo vệ chống cháy của nhà và công trình;
- Sử dụng các loại thép bền môi trường (chống ăn mòn) và chịu lửa;
- Tăng chiều dày thép cán và thành ống để bảo vệ chống ăn mòn và để tăng giới hạn chịu lửa của kết cấu chỉ khi có luận chứng kinh tế - kỹ thuật;
- Tuân thủ các tiêu chuẩn đối với từng loại kết cấu;
- Thực hiện tính toán độ chính xác kích thước của kết cấu và cấu kiện kết cấu khi có luận chứng kỹ thuật theo các tiêu chuẩn phù hợp.
Không cho phép sử dụng ống thép đã khôi phục và các loại kết cấu thép khác đã qua sử dụng cho kết cấu nhà và công trình cấp C2 và cấp C3 (theo [2]), cũng như các công trình đặc biệt nguy hiểm, phức tạp về kỹ thuật và các công trình đặc thù.
4.1.2 Kết cấu thép của các công trình hở (được khai thác sử dụng trong môi trường không khí, nghĩa là không được bảo vệ tránh tác động của khí quyển) như cầu cạn đỡ cầu trục, cột đường dây tải điện trên không, trụ đỡ đường ống, trụ đỡ bể chứa, sàn phục vụ bảo trì, khung giá đỡ thiết bị, mái đua và các kết cấu tương tự, cần phải tiếp cận được để theo dõi, đánh giá tình trạng kỹ thuật, thực hiện các công tác bảo trì, sửa chữa và không được tích trữ bụi bẩn và cản trở thông gió. Các yêu cầu vừa nêu không áp dụng cho các kết cấu được bảo vệ trong bê tông hoặc trong khối xây hoặc bằng các biện pháp khác, các kết cấu được ốp bằng các vật liệu tấm và được khai thác sử dụng trong nhà có sưởi.
Đầu mút của kết cấu làm bằng các cấu kiện định hình kín phải được bịt kín, trừ các cấu kiện của kết cấu được mạ kẽm nhúng nóng.
4.1.3 Bản vẽ thi công kết cấu phải phù hợp với yêu cầu về chế tạo, chất lượng theo TCVN 12002:2020 và về lắp dựng theo TCVN 13194.
Trong bản vẽ thi công kết cấu và hồ sơ đặt hàng vật liệu thép cần ghi rõ:
- Loại thép và các yêu cầu đối với thép theo tiêu chuẩn này;
- Biện pháp thực hiện liên kết hàn, phương pháp hàn; loại, mác, đường kính que hàn, vị trí đường hàn khi hàn; loại bản lót cho đường hàn đối đầu;
- Cấp độ bền và cấp chính xác của bu lông; lực siết và phương pháp kiểm tra lực siết bu lông khi sử dụng bu lông có kiểm soát lực siết;
- Phương pháp chuẩn bị bề mặt tiếp xúc cho liên kết ma sát;
- Vị trí và kích thước của liên kết hàn, liên kết bu lông và liên kết ma sát có ghi rõ cách thực hiện chúng trong nhà máy hoặc các điều kiện lắp dựng, và trong các trường hợp riêng, trình tự hàn và lắp bu lông;
- Phương pháp và khối lượng kiểm tra chất lượng khi chế tạo và lắp dựng;
- Yêu cầu về bảo vệ chống ăn mòn cho kết cấu thép;
- Yêu cầu về bảo vệ chống cháy.
4.2 Yêu cầu cơ bản đối với tính toán
4.2.1 Kết cấu thép và việc tính toán theo các trạng thái giới hạn phải thỏa mãn các yêu cầu về độ tin cậy theo TCVN 9379.
Tính toán kết cấu thép phải xét đến công năng sử dụng của kết cấu, điều kiện chế tạo, vận chuyển, lắp dựng và sử dụng, cũng như các tính chất của vật liệu.
Trong sơ đồ tính toán cần kể đến các đặc trưng biến dạng của liên kết gối tựa, nền và móng.
4.2.2 Khi tính toán kết cấu thì giá trị tải trọng và tác động, cũng như giá trị giới hạn về độ võng và chuyển vị của các cấu kiện kết cấu cần được lấy theo TCVN 2737:2023 và các điều 16 và 17 của tiêu chuẩn này.
4.2.3 Nhiệt độ tính toán trong vùng xây dựng cần được lấy theo nhiệt độ không khí thấp nhất tuyệt đối năm theo [1].
Nhiệt độ công nghệ tính toán được quy định trong nhiệm vụ thiết kế.
4.2.4 Sơ đồ tính toán và các giả thiết cơ bản về tính toán cần phản ánh được điều kiện làm việc thực tế của kết cấu thép.
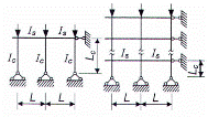
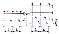
Các mô hình tính toán sau đây được xem xét đối với các kết cấu chịu lực:
- Các cấu kiện riêng biệt dạng thanh (chịu kéo, nén, nén lệch tâm, nén uốn và uốn);
- Các hệ kết cấu phẳng hoặc không gian có liên kết chặn chuyển vị ngang (hệ không tự do - Hình 1a); tính toán các kết cấu này được thực hiện bằng cách tính toán các cấu kiện riêng biệt có kể đến tác dụng tương hỗ của chúng với nhau và với nền theo TCVN 9362;
- Các hệ kết cấu phẳng hoặc không gian không có liên kết chặn chuyển vị ngang (hệ tự do - Hình 1b); khi tính toán các kết cấu này, cùng với việc kiểm tra các cấu kiện riêng biệt thì cần kể đến khả năng hệ kết cấu đạt tới trạng thái giới hạn;
- Kết cấu vỏ (vỏ tròn xoay).

a) Sơ đồ có liên kết chặn chuyển vị ngang

b) Sơ đồ không có liên kết chặn chuyển vị ngang
Hình 1 - Các sơ đồ hệ kết cấu thép
Khi mô hình hóa sự làm việc phi tuyến của thép để tính toán theo các trạng thái giới hạn thứ nhất cần sử dụng biểu đồ sự làm việc của thép với các thông số tổng quát
và
nêu trên
Hình B.1 (Phụ lục B). Giá trị tọa độ tương ứng (không thứ nguyên) của các điểm đặc trưng trên biểu đồ cần được tính toán dựa theo các giá trị trong các tiêu chuẩn sản phẩm được áp dụng. Việc tính toán được thực hiện theo một trong ba phương án đường nhiều đoạn: OBD, OACD, OACDEF tùy thuộc vào cấp cấu kiện (xem 4.2.7).
4.2.5 Kết cấu thép không gian cần được tính toán như một hệ thống nhất có kể đến các yếu tố quyết định trạng thái ứng suất và biến dạng, sự làm việc đồng thời của các cấu kiện với nhau và với nền.
Khi tính toán kết cấu không gian (màng, bản, vỏ), cũng như kết cấu với các cấu kiện có biểu đồ biến dạng phi tuyến, cần kể đến ảnh hưởng của phi tuyến hình học và phi tuyến vật lý.
4.2.6 Khả năng chịu lực và độ cứng của khung nhà công nghiệp được đảm bảo theo phương ngang nhà bởi các khung ngang gồm cột khung và xà dạng giàn hoặc có tiết diện bụng đặc (dầm), còn theo phương dọc nhà - bởi các cấu kiện của khung (kết cấu đỡ cầu trục; các giàn đỡ vì kèo; hệ giằng giữa các cột và các giàn; xà gồ mái hoặc sườn của các tấm thép làm mái).
Cần đánh giá ổn định tổng thể của khung theo sơ đồ không biến dạng đối với: hệ khung (với các nút liên kết dầm-cột là cứng), hệ khung-giằng (khung với các vách cứng thẳng đứng hoặc với các tấm cứng) hoặc hệ giằng (với các nút liên kết dầm-cột là khớp), mà trong các hệ kết cấu này có các khung dọc và ngang và có hệ giằng được bố trí phù hợp với 15.4.
Đối với các sơ đồ hệ khung-giằng hoặc hệ giằng, khi mà các nút khối giằng không trùng với các nút khung, thì tính toán cần được thực hiện theo sơ đồ biến dạng (có kể đến tính phi tuyến hình học của hệ).
4.2.7 Tùy thuộc vào trạng thái ứng suất - biến dạng của tiết diện tính toán, các cấu kiện được xét trong tiêu chuẩn này được phân thành ba cấp:
- Cấp 1: Trạng thái ứng suất - biến dạng có ứng suất trên toàn bộ diện tích tiết diện không vượt quá cường độ tính toán của thép, |σ| ≤ fyd (trạng thái đàn hồi của tiết diện);
- Cấp 2: Trạng thái ứng suất - biến dạng có |σ| < fyd trên một phần tiết diện và |σ| = fyd trên phần khác (trạng thái đàn dẻo của tiết diện);
- Cấp 3: Trạng thái ứng suất - biến dạng có |σ| = fyd trên toàn bộ tiết diện (trạng thái dẻo của tiết diện, khớp dẻo quy ước).
4.3 Xét đến công năng sử dụng và điều kiện làm việc của kết cấu
4.3.1 Tùy thuộc vào công năng sử dụng, điều kiện làm việc và sự có mặt của liên kết hàn, kết cấu được phân thành bốn nhóm (xem Phụ lục A).
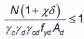
4.3.2 Khi tính toán kết cấu và liên kết, cần kể đến:
- Hệ số độ tin cậy về tầm quan trọng γn, lấy theo TCVN 2737:2023 phụ thuộc vào cấp hậu quả của công trình theo [2].
- Hệ số độ tin cậy γu = 1,3 đối với cấu kiện được tính toán độ bền có sử dụng cường độ tính toán theo giới hạn bền fud;
- Các hệ số điều kiện làm việc của cấu kiện và liên kết γc, γc1, γb, lấy theo Bảng 1; 7.1.1.3; Bảng 48 và các điều 14, 16, 17 và 18.
Tỷ số tải trọng tới hạn và tải trọng tính toán đối với kết cấu dạng thanh được tính toán như hệ không gian lý tưởng (theo 4.2.5, 4.2.6) bằng phần mềm chuyên dụng không được nhỏ hơn hệ số độ tin cậy về ổn định hệ tổng thể γs = 1,3.
CHÚ THÍCH: Tải trọng tới hạn là tải trọng nhỏ nhất bắt đầu gây mất ổn định tổng thể của hệ kết cấu.
Bảng 1 - Hệ số điều kiện làm việc γc
| Cấu kiện kết cấu | Giá trịγc |
| 1. Dầm tiết diện đặc và các thanh chịu nén của giàn đỡ sàn tầng các gian lớn trong nhà hát, câu lạc bộ, rạp chiếu phim, khán đài, cửa hàng, kho sách, kho lưu trữ và tương tự khi tải trọng tạm thời không vượt quá trọng lượng của sàn tầng | 0,9 |
| 2. Cột: |
|
| - của nhà công cộng và nhà ở khi tải trọng thường xuyên không nhỏ hơn 0,8 lần tải trọng tính toán | 0,95 |
| - của nhà nhiều tầng cao đến 150 m | 0,95 |
| - có tiết diện chữ I của nhà nhiều tầng cao hơn 150 m | 0,90 |
| - có tiết diện hộp của nhà nhiều tầng cao hơn 150 m | 0,87 |
| - của trụ tháp nước | 0,95 |
| 3. Cột nhà công nghiệp một tầng có cầu trục | 1,05 |
| 4. Các thanh bụng chính chịu nén (trừ các thanh gối tựa) tiết diện chữ T tổ hợp từ thép góc đôi trong các giàn hàn đỡ mái và đỡ sàn tầng khi tính toán ổn định của các thanh này với độ mảnh λ>60 | 0,80 |
| 5. Các thanh chịu kéo (thanh căng, thanh neo, dây neo, dây treo) khi tính toán độ bền theo tiết diện không bị giảm yếu | 0,90 |
| 6. Các cấu kiện kết cấu làm bằng thép có giới hạn chảy đến 440 MPa chịu tải trọng tĩnh, khi tính toán độ bền theo tiết diện bị giảm yếu bởi các lỗ bu lông (trừ liên kết ma sát) | 1,10 |
| 7. Các thanh bụng chịu nén trong kết cấu không gian rỗng làm bằng thép góc đơn liên kết theo một cánh (đối với thép góc cạnh không đều - liên kết theo cánh rộng): |
|
| a) Trực tiếp với các cánh bằng các đường hàn hoặc bằng hai bu lông trở lên lắp dọc theo thép góc: |
|
| - các thanh xiên theo Hình 17a và các thanh ngang theo Hình 17b, c, f | 0,90 |
| - các thanh xiên theo Hình 17c, d, e, f | 0,80 |
| b) Trực tiếp với các cánh bằng một bu lông hoặc thông qua bản mã không phụ thuộc vào dạng liên kết | 0,75 |
| 8. Các thanh chịu nén làm bằng thép góc đơn liên kết theo một cánh (đối với thép góc cạnh không đều - theo cánh hẹp), trừ các thanh sau đây: các thanh chịu nén của giàn phẳng làm bằng thép góc đơn; các thanh đã nêu ở điểm 7 trong bảng này; các thanh xiên theo Hình 17b liên kết trực tiếp với các cánh bằng đường hàn hoặc bằng hai bu lông trở lên lắp dọc theo thép góc | 0,75 |
| 9. Các bản đế làm bằng thép có giới hạn chảy đến 390 MPa, chịu tải trọng tĩnh, có chiềudày, mm: |
|
| a)<40 b) > 40 và ≤ 60 c) > 60 và < 80 | 1,20 1,15 1,10 |
| CHÚ THÍCH 1: Các hệ số điều kiện làm việc γc < 1 không được lấy đồng thời. CHÚ THÍCH 2: Khi tính toán độ bền theo tiết diện bị giảm yếu bởi các lỗ bu lông thì các hệ số điều kiện làm việc nêu tại các điểm 6 và 1; 6 và 2; 6 và 3 cần được kể đến đồng thời. CHÚ THÍCH 3: Khi tính toán bản đế thì các hệ số nêu tại các điểm 9 và 2, 9 và 3 cần được kể đến đồng thời. CHÚ THÍCH 4: Các hệ số đối với các cấu kiện nêu tại các điểm 1 và 2 cũng cần được kể đến khi tính toán liên kết của chúng. CHÚ THÍCH 5: Các trường hợp không nêu trong bảng này thì trong các công thức lấy γc = 1. | |
4.3.3 Khi thiết kế kết cấu chịu tác động trực tiếp của tải trọng di động, tải trọng rung động và các tải trọng thay đổi khác gây mỏi kim loại, cần sử dụng các giải pháp cấu tạo để không gây tập trung ứng suất đáng kể, còn các trường hợp quy định trong tiêu chuẩn này thì cần tính toán chịu mỏi.
4.3.4 Khi thiết kế kết cấu hàn cần giảm ảnh hưởng có hại của biến dạng và ứng suất dư, kể cả biến dạng và ứng suất hàn, cũng như tập trung ứng suất bằng các giải pháp cấu tạo phù hợp (để ứng suất phân bố đều nhất trong các cấu kiện và chi tiết; không có góc nhọn không lượn cong; thay đổi đột ngột tiết diện và các yếu tố khác gây tập trung ứng suất) và các biện pháp công nghệ (trình tự lắp dựng và hàn; uốn ngược trước; gia công cơ khí các vùng tương ứng bằng cách cắt, phay, làm sạch bằng đĩa mài, v.v.).
5 Vật liệu cho kết cấu và liên kết
5.1 Vật liệu cho kết cấu
5.1.1 Các tính chất vật lý của vật liệu dùng cho kết cấu thép cần được lấy theo Bảng B.1 (Phụ lục B).
5.1.2 Khi lựa chọn thép cho kết cấu cần xét đến nhóm kết cấu (Bảng A.1, Phụ lục A); nhiệt độ tính toán, các yêu cầu về độ dai va đập và thành phần hóa học đáp ứng mục đích sử dụng đối với thép dùng làm kết cấu xây dựng.
5.1.3 Có thể sử dụng các loại thép sau làm kết cấu:
- Thép góc cạnh đều (chữ V) theo TCVN 7571-1:2019 và thép góc cạnh không đều (chữ L) theo TCVN 7571-2:2019;
- Thép cán định hình chữ C (chữ U) theo TCVN 7571-11:2019;
- Thép cán định hình chữ Itheo TCVN 7571-15:2019;
- Thép cán định hình chữ H theo TCVN 7571-16:2017;
- Thép dải khổ rộng theo các tiêu chuẩn sản phẩm phù hợp;
- Thép uốn định hình theo các tiêu chuẩn sản phẩm phù hợp;
- Thép tấm mỏng cán nóng chất lượng kết cấu theo TCVN 6522:2018 (ISO 4995:2014) và TCVN 6523:2018 (ISO 4996:2014);
- Thép ống tròn, thép hộp vuông và hộp chữ nhật theo TCVN 11228-1:2015 (ISO 12633-1:1991) và TCVN 11228-2:2015 (ISO 12633-2:1991);
- Thép cán tròn theo TCVN 6283-1:1997 (ISO 1035/1:1980), thép cán vuông theo TCVN 6283-2:1997 (ISO 1035/2-1980), thép cán dải theoTCVN 6283-3:1997 (ISO 1035/3:1980);
- Thép ống hàn điện và thép ống không hàn tạo hình nóng.
Các loại thép khác được phép sử dụng với điều kiện thỏa mãn các yêu cầu đối với thép dùng làm kết cấu xây dựng.
CHÚ THÍCH: Tham khảo Phụ lục M để có thêm thông tin về một số loại thép nước ngoài khác.
Các tính chất cơ học (giới hạn chảy, giới hạn bền kéo, độ giãn dài tương đối, độ dai va đập) của một số loại thép được nêu trong các bảng từ B.2 đến B.7 (Phụ lục B).
Các tính chất cơ học của một số loại thép hình (chữ V, L, U (C), I, H) dùng cho kết cấu xây dựng được nêu trong các bảng từ B.8 đến B.12 (Phụ lục B).
Tùy thuộc vào đặc thù của kết cấu và các nút, khi đặt hàng thép kết cấu cần kể đến sự phân loại thép cán tấm phụ thuộc vào giá trị độ thắt tương đối ψz (xem 13.4) phù hợp với TCVN 11372:2016 (ISO 7778:2014).
5.2 Vật liệu cho liên kết
5.2.1 Vật liệu cho liên kết hàn
Để hàn các kết cấu thép, sử dụng:
- Que hàn dùng cho hàn hồ quang tay theo TCVN 3223:2000;
CHÚ THÍCH: Tham khảo ISO 2560 hoặc các tiêu chuẩn khác tương đương để có thêm thông tin về các loại que hàn khác.
- Dây thép hàn theo TCVN 2362:1993; thuốc hàn; dây hàn có lõi thuốc bột cho hàn tự động và hàn cơ giới theo các tiêu chuẩn sản phẩm thích hợp;
- Khí CO2 và khí argon phù hợp với các tiêu chuẩn thích hợp.
Các vật liệu hàn và công nghệ hàn được sử dụng phải đảm bảo giá trị giới hạn bền của kim loại đường hàn không thấp hơn giá trị cường độ tiêu chuẩn theo giới hạn bền fu của kim loại cơ bản, cũng như không thấp hơn giá trị độ cứng, độ dai va đập và độ giãn dài tương đối của kim loại làm liên kết hàn đã được quy định trong các tiêu chuẩn tương ứng phù hợp với thép làm kết cấu.
5.2.2 Vật liệu cho liên kết bu lông
5.2.2.1 Đối với các liên kết bu lông, sử dụng:
- Bu lông, đai ốc bằng thép thỏa mãn các yêu cầu kỹ thuật trong TCVN 1916:1995, vòng đệm bằng thép thỏa mãn các yêu cầu kỹ thuật trong TCVN 134:1977 và các tiêu chuẩn sản phẩm tương ứng, cũng như bu lông, đai ốc và vòng đệm nêu trong 5.2.2.2;
- Bu lông phù hợp với các bảng C.2 và C.3 (Phụ lục C).
Khi bu lông làm việc chịu cắt và kéo đồng thời thì cấp độ bền của đai ốc cần được lấy phù hợp với cấp độ bền của bu lông:
- Đai ốc cấp độ bền 5 - dùng cho bu lông cấp độ bền 5.6 và 5.8;
- Đai ốc cấp độ bền 8 - dùng cho bu lông cấp độ bền 8.8;
- Đai ốc cấp độ bền 10 - dùng cho bu lông cấp độ bền 10.9;
- Đai ốc cấp độ bền 12 - dùng cho bu lông cấp độ bền 12.9.
Khi bu lông chỉ chịu cắt thì sử dụng cấp độ bền của đai ốc như sau:
- Đai ốc cấp độ bền 4 - dùng cho bu lông cấp độ bền 5.6 và 5.8;
- Đai ốc cấp độ bền 5 - dùng cho bu lông cấp độ bền 8.8;
- Đai ốc cấp độ bền 8 - dùng cho bu lông cấp độ bền 10.9;
- Đai ốc cấp độ bền 10 - dùng cho bu lông cấp độ bền 12.9.
Vòng đệm được sử dụng có thể là tròn, nghiêng hoặc lò xo thường và phải phù hợp với các tiêu chuẩn sản phẩm tương ứng.
5.2.2.2 Đối với liên kết ma sát và liên kết mặt bích cần sử dụng bu lông cấp độ bền 8.8, 10.9 và 12.9, đai ốc và vòng đệm tương ứng với cấu tạo và kích thước phù hợp với các tiêu chuẩn tương ứng.
5.2.2.3 Mác thép, cấu tạo và kích thước của bu lông móng cần được lựa chọn phù hợp với các tiêu chuẩn tương ứng.
Bu lông chữ U (trong đó bao gồm cả bu lông chữ U dùng để giữ các dây neo của các công trình ăng ten viễn thông), cũng như bu lông móng (trong đó bao gồm cả bu lông móng dùng cho cột đường dây tải điện trên không và cột thiết bị phân phối điện ngoài trời) cần được làm bằng thép có mác nêu trong Bảng C.3 (Phụ lục C).
CHÚ THÍCH: Có thể sử dụng các loại thép có mác tương đương theo các tiêu chuẩn phù hợp.
Bu lông neo cần được lấy phù hợp với các yêu cầu trong Phụ lục L.
5.2.2.4 Đai ốc cho bu lông móng và bu lông chữ U cần được lấy theo các yêu cầu kỹ thuật nêu trong các tiêu chuẩn tương ứng.
Đối với bu lông móng làm bằng thép S235B (theo TCVN 9986-2:2013 (ISO 630-2:2011)) với đường kính đến 48 mm thì sử dụng đai ốc có cấp độ bền 4 (theo TCVN 1916:1995), với đường kính lớn hơn 48 mm - sử dụng đai ốc tương ứng phù hợp với bu lông.
Đối với bu lông móng có đường kính đến 48 mm làm bằng thép có cường độ tính toán không nhỏ hơn 355 MPa thì sử dụng đai ốc có cấp độ bền không thấp hơn 5 (theo TCVN 1916:1995), với đường kính lớn hơn 48 mm - sử dụng đai ốc tương ứng phù hợp với bu lông.
5.3 Cáp
Đối với các cấu kiện chịu lực của kết cấu mái treo; dây co của cột đường dây tải điện trên không, cột thiết bị phân phối điện ngoài trời, tháp và trụ; cũng như các cấu kiện ứng suất trước trong kết cấu ứng suất trước, thì sử dụng cáp xoắn, cáp hai lớp, cáp kín chịu lực, bỏ và tao các sợi cáp song song phù hợp với các tiêu chuẩn sản phẩm tương ứng.
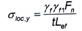
6 Cường độ tính toán của vật liệu và liên kết
6.1 Cường độ tính toán của thép cán, thép uốn định hình và thép ống tùy thuộc vào các trạng thái ứng suất khác nhau cần được xác định theo các công thức nêu trong Bảng 2, trong đó các cường độ tiêu chuẩn fy và fu được lấy theo các tiêu chuẩn sản phẩm tương ứng.
CHÚ THÍCH: Cường độ tiêu chuẩn lấy theo giới hạn chảy fy hoặc giới hạn bền kéo fu tùy trường hợp tính toán.
Giá trị hệ số độ tin cậy về vật liệu γm của thép cán, thép uốn định hình và thép ống cần được lấy theo Bảng 3.
Giá trị các cường độ tính toán của thép cán khi ép mặt lên đầu mút, ép trong ả trục và ép theo đường kính con lăn được nêu trong Bảng B.13 (Phụ lục B).
6.2Cường độ tính toán của thép uốn định hình được lấy bằng cường độ tính toán của thép cán tấm dùng để chế tạo ra thép uốn định hình đó.
Bảng 2 - Cường độ tính toán của thép cán, thép uốn định hình và thép ống
| Trạng thái ứng suất | Công thức tính các cường độ tính toán |
| 1. Kéo, nén, uốn: a) Theo giới hạn chảy b) Theo giới hạn bền kéo |
fyd = fy / γm fud = fu / γm |
| 2. Trượt | fv = 0,58 fy/ γm |
| 3. Ép mặt tì đầu (khi tì sát) | fc=fu / γm |
| 4. Ép trong ổ trục khi tiếp xúc chặt | fcc = 0,5 fu / γm |
| 5. Ép theo đường kính con lăn (khi tiếp xúc tự do trong các kết cấu có độ di động hạn chế) | fcd= 0,025 fu / γm |
Bảng 3 - Hệ số độ tin cậy của thép cán, thép uốn định hình và thép ống
| Điều kiện kiểm soát | Giá trịγm |
| 1. Đối với thép ống tạo hình nóng | 1,10 |
| 2. Đối với thép cán và thép ống còn lại phù hợp với các yêu cầu của tiêu chuẩn này | 1,05 |
| 3. Đối với thép cán và thép ống được cung cấp theo các tiêu chuẩn nước ngoài | 1,10 |
| 4. Đối với thép cán và thép ống dùng trong các công trình cấp C1 (theo [2]) với thời hạn sử dụng hạn chế và có người lui tới hạn chế (tường cừ hố đào, các trụ tạm và tương tự) | 1,00 |
6.3 Cường độ tính toán của liên kết hàn tùy thuộc vào dạng liên kết và trạng thái ứng suất cần được xác định theo các công thức nêu trong Bảng 4.
Cường độ tính toán của liên kết hàn đối đầu các cấu kiện bằng các loại thép có cường độ tiêu chuẩn khác nhau được lấy như đối với liên kết hàn đối đầu các cấu kiện bằng thép có cường độ tiêu chuẩn nhỏ hơn.
Giá trị của cường độ tiêu chuẩn fwun và cường độ tính toán fwf của kim loại đường hàn góc được nêu trong Bảng C.1 (Phụ lục C).
6.4 Cường độ tính toán của liên kết một bu lông được xác định theo các công thức nêu trong Bảng 5.
Giá trị của các cường độ tiêu chuẩn của thép làm bu lông (fub, fyb), cường độ chịu cắt tính toán fvb và chịu kéo tính toán ftb của liên kết một bu lông được nêu trong Bảng C.4 (Phụ lục C); giá trị cường độ chịu ép mặt tính toán fcb của các cấu kiện được liên kết bằng bu lông - trong Bảng C.5 (Phụ lục C).
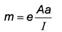
6.5 Cường độ chịu kéo tính toán fba của bu lông móng và bu lông neo được xác định theo công thức:
| fba =0,8fy | (1) |
Cường độ chịu kéo tính toán fbU của bu lông chữ U nêu trong 5.2.2.3 được xác định theo công thức:
| fbU =0,85 fy | (2) |
Bảng 4 - Cường độ tính toán của liên kết hàn
| Dạng liên kết | Trạng thái ứng suất | Đặc điểm của cường độ tính toán | Cường độ tính toán của liên kết hàn |
| 1. Hàn đối đầu | a) Nén, kéo và uốn khi hàn tự động, cơ giới hoặc hàn tay và được kiểm tra chất lượng đường hàn bằng các phương pháp thử không phá hủy | Theo giới hạn chảy | fw = fyd |
| Theo giới hạn bền kéo | fwu= fud | ||
| b) Kéo và uốn khi hàn tự động, cơ giới hoặc hàn tay | Theo giới hạn chảy | fw =0,85 fyd | |
| Trượt | fvw = fv | ||
| 2. Hàn góc | Cắt (quy ước) | Theo kim loại đường hàn | fwf = 0,55 fwun/ γwm |
| Theo kim loại biên nóng chảy | fws = 0,45fu | ||
| CHÚ THÍCH: Hệ số γwm lấy bằng 1,25 khi fwun ≤ 490 MPa và bằng 1,35 khi fwun ≥ 590 MPa. | |||
Bảng 5 - Cường độ tính toán của liên kết một bu lông
| Trạng thái làm việc | Ký hiệu | Cường độ tính toán | |||||
| chịu cắt và kéo của bu lông có cấp độ bền | chịu ép mặt của các cấu kiện được liên kết | ||||||
| 5.6 | 5.8 | 8.8 | 10.9 | 12.9 |
| ||
| 1. Chịu cắt | fvb | 0,42 fub | 0,41fub | 0,4fub | 0,35 fub | - | |
| 2. Chịu kéo | ftb | 0,45 fub | 0,41 fub | 0,54 fub | 0,7fub | - | |
| 3. Chịu ép mặt: |
|
|
|
|
|
| |
| a) Bu lông cấp chính xác A | fcb1) | - | - | - | - | - | 1,60 fud |
| b) Bu lông cấp chính xác B |
| - | - | - | - | - | 1,35 fud |
| 1) fcb áp dụng cho các cấu kiện được liên kết làm bằng thép có giới hạn chảy đến 540 MPa. | |||||||
6.6 Cường độ chịu kéo tính toán fdh của bó (hoặc tao cáp) làm bằng các dây thép cường độ cao được xác định theo công thức:
| fdh=0,63 fu | (3) |
6.7 Giá trị cường độ chịu kéo tính toán của cáp thép được lấy bằng giá trị lực kéo đứt cáp quy định trong các tiêu chuẩn sản phẩm đối với cáp thép chia cho hệ số độ tin cậy về vật liệu γm = 1,6.
CHÚ THÍCH: Đối với cáp thép khác có thể tham khảo tài liệu hướng dẫn thiết kế để có thêm thông tin.
7 Tính toán cấu kiện chịu kéo đúng tâm, nén đúng tâm
7.1 Tính toán cấu kiện tiết diện đặc
7.1.1 Tính toán độ bền
7.1.1.1 Tính toán độ bền của cấu kiện làm bằng thép có cường độ tiêu chuẩn fy ≤ 440 MPa, chịu kéo đúng tâm hoặc chịu nén đúng tâm dưới tác dụng của lực dọc N được thực hiện theo công thức:
|
| (4) |
trong đó:
N là lực kéo hoặc nén đúng tâm tính toán;
An là diện tích tiết diện thực của cấu kiện.
Tính toán độ bền của cấu kiện chịu kéo mà việc sử dụng cấu kiện vẫn còn có thể ngay cả khi kim loại đạt tới giới hạn chảy, cũng như cấu kiện chịu kéo hoặc chịu nén làm bằng thép có cường độ tiêu chuẩn fy> 440 MPa được thực hiện theo công thức (4) nhưng thay fyd bằng fud /γu.
7.1.1.2 Diện tích tiết diện thực An lấy bằng diện tích tiết diện nguyên A trừ đi diện tích giảm yếu ∆An.
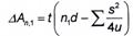
Đối với liên kết bu lông (trừ liên kết ma sát dùng bu lông có kiểm soát lực siết) khi các lỗ xếp thẳng hàng thì diện tích giảm yếu lấy bằng tổng lớn nhất của diện tích các lỗ tại một tiết diện ngang bất kỳ vuông góc với trục cấu kiện (xem mặt phẳng phá hoại
trên Hình 2).
CHÚ THÍCH: Tổng lớn nhất biểu thị vị trí của đường phá hoại tới hạn.
Khi các lỗ xếp so le thì diện tích giảm yếu lấy bằng giá trị lớn hơn trong hai giá trị sau (Hình 2):
- Diện tích các lỗ xếp so le:
|
| xem mặt phẳng phá hoại |
- Diện tích các lỗ xếp thẳng hàng:
| ∆An,2 = n2dt | (xem mặt phẳng phá hoại |
trong đó:
| t d s | là chiều dày cấu kiện có lỗ; là đường kính lỗ; là bước lỗ so le (khoảng cách giữa tâm hai lỗ liên tiếp trên hai đường lỗ liên tiếp nhau đo song song với trục cấu kiện); |
| u | là khoảng đường lỗ (khoảng cách giữa tâm các lỗ trên hai đường lỗ liên tiếp nhau đo vuông góc với trục cấu kiện); |
| n1 | là số lỗ theo bất kỳ đường chéo hoặc đường díc dắc nào mà cắt cấu kiện hoặc một phần cấu kiện (xem mặt phẳng phá hoại |
| n2 | là số lỗ trên một tiết diện mà ở đó các lỗ xếp thẳng hàng (xem mặt phẳng phá hoại |

Hình 2 - Các lỗ xếp so le và các đường phá hoại tới hạn 1 và 2
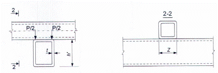
Đối với thép góc hoặc cấu kiện khác có lỗ ở trên hơn hai mặt phẳng thì khoảng đường lỗ u được đo dọc theo đường trung bình của chiều dày cấu kiện (Hình 3).
Hình 3 - Thép góc có lỗ ở hai cánh
7.1.1.3 Tính toán độ bền của tiết diện:
- Tại các vị trí liên kết các cấu kiện chịu kéo làm bằng thép góc đơn được liên kết theo một cánh bằng bu lông: được thực hiện theo công thức (4);
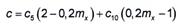
- Của thép góc đơn chịu kéo làm bằng thép có giới hạn chảy đến 380 MPa được liên kết theo một cánh bằng bu lông bố trí một hàng theo trục nằm ở khoảng cách không nhỏ hơn 0,5b (với b là chiều rộng cánh thép góc) tính từ sống thép góc và không nhỏ hơn 1,2d (với d là đường kính lỗ bu lông có kể đến sai số dương) tính từ mép thép góc: theo công thức
|
| (5) | ||
| trong đó: |
|
| |
với:
| An An1 | là diện tích tiết diện thực của thép góc; là diện tích phần tiết diện (nằm giữa mép lỗ bu lông và mép thép góc) của cánhđược liên kết của thép góc; |
| α1, α2, β | là các hệ số, lấy theo Bảng 6. |
Khi tinh toán các thanh neo (dây dẫn) và các cánh của xà ngang, các cấu kiện của cột đường dây tải điện trên không và cột thiết bị phân phối điện ngoài trời mà tiếp giáp trực tiếp với các nút giữ các thanh neo (dây dẫn), cũng như các cấu kiện nối các nút trong cột để liên kết các thanh neo và các cánh chịu kéo của xà ngang, thì hệ số γc1cần được giảm đi 10 %.
Bảng 6 - Các hệ số α1, α2 và β
| Hệ số | Giá trị α1, α2, β | |||||
| khi dùng một bu lông và khoảng cách a bằng | khi a ≥ 1,5d và s ≥ 2d với số bu lông trong một hàng bằng | |||||
| 1,35d1) | 1,5d | 2d | 2 | 3 | 4 | |
| α1 | 1,70 | 1,70 | 1,70 | 1,77 | 1,45 | 1,17 |
| α2 | 0,05 | 0,05 | 0,05 | 0,19 | 0,36 | 0,47 |
| β | 0,65 | 0,85 | 1,00 | 1,00 | 1,00 | 1,00 |
| 1) Chỉ áp dụng đối với các thanh bụng (thanh xiên và thanh ngang), trừ các thanh thường xuyên chịu kéo, có chiều dày cánh đến 6 mm. | ||||||
| Các ký hiệu trong Bảng 6: a là khoảng cách dọc theo lực tác dụng tính từ mép cấu kiện đến tâm lỗ bu lông gần nhất; s là khoảng cách dọc theo lực tác dụng giữa tâm các lỗ bu lông. | ||||||
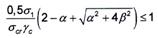
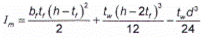
7.1.2 Tính toán ổn định
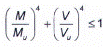
7.1.2.1 Tính toán ổn định của cấu kiện tiết diện đặc chịu nén đúng tâm với lực dọc N và thỏa mãn các yêu cầu trong 7.3.2 đến 7.3.9 cần được thực hiện theo công thức:
|
| (6) |
trong đó:
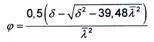
φ là hệ số ổn định khi nén đúng tâm, khi
≥ 0,6 thì φ được tính theo công thức:
|
| (7) |
với σ được tính theo công thức:
|
| (8) |
trong đó:
|
| là độ mảnh quy ước của cấu kiện |
| α và β | là các hệ số, lấy theo Bảng 7 phụ thuộc vào loại tiết diện. |
Giá trị hệ số φtính được theo công thức (7) lấy không lớn hơn 7,6/
khi độ mảnh quy ước lớn hơn 3,8; 4,4 và 5,8 đối với lần lượt các loại tiết diện a, b và c.
Khi
<0,6 thì lấy φ = 1 đối với các loại tiết diện a và b.
Giá trị hệ số φ tính được theo công thức (7) được nêu trong Bảng D.1 (Phụ lục D).
7.1.2.2 Tính toán ổn định của các thanh làm bằng thép góc đơn cần được thực hiện có kể đến các yêu cầu trong 7.1.2.1. Khi xác định độ mảnh các thanh này thì bán kính quán tính của tiết diện thép góc và chiều dài tính toán cần được lấy theo 10.1.4 và 10.2.1.
Khi tính toán các thanh cánh và các thanh bụng của kết cấu không gian làm bằng thép góc đơn cần thực hiện các yêu cầu trong 16.12.
Bảng 7 - Các hệ số α vàβ
| Ký hiệu | Hình dạng | Giá trị | |
| a |
| α | β |
| b |
| 0,04 | 0,09 |
| c |
| 0,04 | 0,14 |
| CHÚ THÍCH 1: Giá trị các hệ số đối với thép chữ I cán có chiều cao tiết diện lớn hơn 500 mm khi tính toán ổn định trong mặt phẳng bản bụng được lấy theo tiết diện loại a. CHÚ THÍCH 2: Trên các hình trong bảng này, các trục x-x và y-y được ký hiệu tại các tiết diện mà vuông góc với chúng là mặt phẳng tính toán để xác định φ theo công thức (7); trong các tiết diện còn lại, các hệ số không phụ thuộc vào mặt phẳng tính toán. | |||
7.1.2.3 Các cấu kiện chịu nén có bụng đặc tiết diện hở chữ Π(Hình 4) cần được tăng cứng bằng các bản giằng hoặc các thanh giằng, khi đó cần thực hiện các yêu cầu trong 7.2.2.1, 7.2.2.2, 7.2.2.6 và 7.2.2.7.
|
|
|
|
| a) Không được tăng cứng | b) Được tăng cứngbằng bản (hoặc thanh) giằng | c) Được tăng cứngbằng bản (hoặc thanh) giằng |
Hình 4 - Các dạng tiết diện hờ chữ Π
Khi không có bản giằng hoặc thanh giằng thì các cấu kiện này ngoài việc cần được tính toán theo công thức (6) trong các mặt phẳng chính x-x và y-y còn cần được kiểm tra ổn định theo dạng mất ổn định do uốn-xoắn theo công thức:
|
| (9) |
trong đó:
φc là hệ số, lấy như sau:
| φc = φ1 φc =(0,68 + 0,21φ1) ≤ 1 | khi φ1≤ 0,85 khi >0,85 |
với giá trị φ1được tính theo công thức:
|
| (10) |
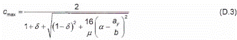
Trong công thức (10), hệ số cmax được xác định theo D.6 (Phụ lục D).
7.1.2.4 Liên kết cánh với bụng trong cấu kiện chịu nén đúng tâm có tiết diện đặc tổ hợp cần được tính toán chịu trượt do lực cắt quy ước Vfic theo các công thức trong Bảng 46, với giá trị Vficđược xác định theo công thức (17), trong đó hệ số φ cần được lấy trong mặt phẳng bản bụng.
7.2 Tính toán cấu kiện tiết diện rỗng
7.2.1 Tính toán độ bền
Tính toán độ bền của các cấu kiện tiết diện rỗng chịu kéo đúng tâm và chịu nén đúng tâm cần được thực hiện theo công thức (4), trong đó An là diện tích tiết diện thực của toàn cấu kiện.
7.2.2 Tính toán ổn định
7.2.2.1 Tính toán ổn định của cấu kiện tiết diện rỗng chịu nén có các nhánh được liên kết với nhau bằng bản giằng hoặc thanh giằng cần được thực hiện theo công thức (6); khi đó hệ số φ đối với trục tự do (vuông góc với mặt phẳng bản giằng hoặc mặt phẳng thanh giằng) cần được xác định theo các công thức (7) và (8) đối với tiết diện loại b nhưng thay
bằng
. Giá trị
cần được xác định phụ thuộc vào các giá trị
nêu trong Bảng 8 đối với các cấu kiện có số khoang không nhỏ hơn 6.
Tính toán ổn định của cấu kiện tiết diện rỗng có số khoang nhỏ hơn 6 cần được thực hiện:
- Khi có bản giằng: như tính toán hệ khung;
- Khi có thanh giằng: theo các yêu cầu trong 7.2.2.4.
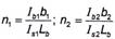
7.2.2.2 Đối với cấu kiện tiết diện rỗng có bản giằng, độ mảnh quy ước của từng nhánh
,
hoặc
(xem Bảng 8) trên đoạn giữa các đường hàn hoặc giữa các bu lông ngoài cùng giữ các bản giằng không được lớn hơn 1,4.
Khi dùng một tấm thép đặc thay cho các bản giằng ở một trong các mặt (Hình 4b, c) thì độ mảnh của một nhảnh được tính theo bán kính quán tính của một nửa tiết diện đối xứng đối với trục trung tâm của nó, vuông góc với mặt phẳng bản giằng.
Bảng 8 - Độ mảnh quy đổi của cấu kiện tiết diện rỗng λef
| Tiết diện | Giá trị λef của cấu kiện tiết diện rỗng | |||||||||
| Loại | Sơ đồ | có bản giằng | có thanh giằng | |||||||
| 1 |
|
| (11) |
| (14) | |||||
| trong đó: |
| trong đó: |
| |||||||
| 2 |
|
| (12) |
| (15) | |||||
| trong đó: |
| trong đó: |
| |||||||
| (d1 và d2 ứng với các cạnh b1 và b2) | ||||||||||
| 3 |
|
| (13) |
| (16) | |||||
| trong đó: |
| trong đó: |
| |||||||
| Các ký hiệu trong Bảng 8: λy là độ mảnh của toàn cấu kiện tiết diện rỗng trong mặt phẳng vuông góc với trục y-y; λmax là độ mảnh lớn nhất của toàn cấu kiện tiết diện rỗng trong mặt phẳng vuông góc với trục x-x hoặc y-y; λ1, λ2, λ3 là độ mảnh của từng nhánh khi uốn trong các mặt phẳng vuông góc với các trục tương ứng 1-1, 2-2 và 3-3 trên các đoạn giữa các đường hàn hoặc giữa các bu lông ngoài cùng giữ các bản giằng; b, (b1, b2) là khoảng cách giữa các trục của các nhánh; d, Lb là các kích thước được xác định theo các hình 5 và 6; A là diện tích tiết diện toàn cấu kiện; Ad1, Ad2 là các diện tích tiết diện của các thanh xiên trong hệ thanh bụng (với hệ thanh bụng chữ thập - là các diện tích tiết diện của hai thanh xiên) nằm tương ứng trong các mặt phẳng vuông góc với các trục 1-1 và 2-2; Ad3 là diện tích tiết diện thanh xiên của hệ thanh bụng (với hệ thanh bụng chữ thập - là diện tích tiết diện của hai thanh xiên) nằm trong mặt phẳng của một nhánh (đối với cấu kiện ba nhánh đều nhau); Ib1, Ib3 là các mô men quán tính của tiết diện các nhánh đối với các trục tương ứng 1-1 và 3-3 (đối với tiết diện loại 1 và 3); Ib1, Ib2 là các mô men quán tính của tiết diện hai thép góc đối với các trục tương ứng 1-1 và 2-2 (đối với tiết diện loại 2); Is là mô men quán tính của tiết diện một bản giằng đối với trục bản thân x-x (Hình 6; đối với tiết diện loại 1 và 3); Is1, Is2 là mô men quán tính của tiết diện một trong các bản giằng nằm trong các mặt phẳng vuông góc với các trục tương ứng 1-1 và 2-2 (đối với tiết diện loại 2). | ||||||||||
| CHÚ THÍCH: Cũng cần xếp vào loại 1 các tiết diện sử dụng thay vì chữ C lá chữ I, ống và các định hình khác cho một hoặc hai nhánh; khi đó các trục y-y và 1-1 phải đi qua các trọng tâm tương ứng của tiết diện toàn cấu kiện và từng nhánh riêng còn các giá trị n và λb1 trong công thức (11) phải đảm bảo cho giá trị lớn nhất của λef . | ||||||||||
|
|
|
|
|
| a) Sơ đồ tam giác | b) Sơ đồ tam giác có thanh ngang | c) Sơ đồ chữ thập | d) Sơ đồ chữ thập có thanh ngang |
Hình 5 - Các sơ đồ hệ thanh bụng của cấu kiện tiết diện rỗng

Hình 6 - Cấu kiện tiết diện rỗng có bản giằng
7.2.2.3 Đối với cấu kiện tiết diện rỗng có thanh giằng, ngoài việc kiểm tra ổn định của cả cấu kiện còn phải kiểm tra ổn định của từng nhánh trong các khoảng giữa các nút. Ảnh hưởng của mô men trong các nút cần được kể đến, ví dụ, do các thanh giằng bị lệch tâm.
Đối với cấu kiện tiết diện rỗng có thanh giằng, độ mảnh quy ước của từng nhánh giữa các nútkhông được lớn hơn 2,7 và không được lớn hơn độ mảnh quy đổi quy ước
của toàn cấu kiện.
Có thể lấy giá trị độ mảnh quy đổi quy ước của các nhánh lớn hơn so với quy định trên, nhưng không lớn hơn 4,1, với điều kiện việc tính toán các cấu kiện này được thực hiện theo các yêu cầu trong 7.2.2.4.
7.2.2.4 Tính toán cấu kiện tiết diện rỗng có thanh giằng có kể đến các yêu cầu trong 7.2.2.1 và 7.2.2.3 cần được thực hiện theo công thức (6), trong đó thay bằng fydbằng fyd,1 = φ1fyd .
Khi đó, hệ số ổn định φ1 đối với từng nhánh được lấy như sau:
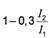
- Khi
≤ 2,7 : lấy bằng 1,0;
- Khi
≥ 3,2: lấy theo công thức (7) với chiều dài tính toán Lef =0,7Lb, trong đó Lb là chiều dài nhánh (riêng ở Hình 5a, chiều dài nhánh bằng 2Lb);
- Khi 2,7 <
< 3,2: lấy bằng nội suy tuyến tính giữa giá trị 1,0 và giá trị φ1 ứng với
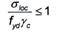
=3,2.
7.2.2.5 Tính toán cấu kiện tổ hợp từ thép góc, thép chữ C và tiết diện khác ghép sát bụng hoặc thông qua các bản đệm cần được thực hiện như các thanh tiết diện bụng đặc với điều kiện chiều dài các đoạn giữa các đường hàn hoặc giữa các tâm của các bu lông ngoài cùng không vượt quá 40i đối với các cấu kiện chịu nén và không vượt quá 80i đối với các cấu kiện chịu kéo. Ở đây bán kính quán tính i của tiết diện thép góc hoặc thép chữ C lấy như sau: đối với tiết diện chữ T hoặc chữ I - lấy đối với trục song song với mặt phẳng bố trí các bản đệm; đối với tiết diện chữ thập - lấy bằng giá trị nhỏ nhất imin.
Khi đó, trong phạm vi chiều dài của cấu kiện chịu nén cần đặt ít nhất hai bản đệm trung gian.
7.2.2.6 Các bản giằng và các thanh giằng của cấu kiện tiết diện rỗng chịu nén cần được tính toán chịu lực cắt quy ước Vfic có giá trị không đổi theo chiều dài cấu kiện, với Vfic được tính theo công thức:
|
| (17) |
trong đó:
N là lực nén dọc tính toán trong cấu kiện tiết diện rỗng;
φ là hệ số ổn định khi nén đúng tâm (đối với tiết diện loại c), dùng khi tính toán cấu kiện tiết diện rỗng trong mặt phẳng bản giằng hoặc thanh giằng.
Lực cắt quy ước Vfic được phân phối như sau:
- Khi chỉ có các bản giằng (hoặc các thanh giằng): phân phối đều cho các bản giằng (hoặc các thanh giằng) nằm trong các mặt phẳng vuông góc với trục đang tính toán ổn định;
- Khi có tấm đặc và các bản giằng (hoặc các thanh giằng): phân phối một nửa Vfic cho tấm đặc đó và một nửa Vfic cho các bản giằng (hoặc các thanh giằng) nằm trong các mặt phẳng song song với tấm đặc đó;
- Khi tính toán cấu kiện tiết diện rỗng tam giác đều: phân phối 0,8Vfic cho mỗi hệ bản giằng (hoặc hệ thanh giằng) nằm trong một mặt.
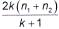
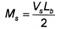
7.2.2.7 Tính toán các bản giằng và các liên kết của chúng (xem Hình 6) cần được thực hiện như tính toán các thanh của giàn không thanh xiên chịu tác dụng đồng thời của lực cắt trong một bản giằng Fsvà mô men uốn một bản giằng Ms trong mặt phẳng bản giằng. Các giá trị Fs và Ms được xác định theo các công thức:
|
| (18) |
|
| (19) |
trong đó:
Vs là lực cắt quy ước tác dụng lên một bản giằng của một mặt.
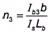
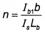
7.2.2.8 Tính toán các thanh giằng của cấu kiện tổ hợp được thực hiện như tính toán các thanh bụng của giàn phẳng. Khi tính toán các thanh xiên của hệ thanh bụng theo Hình 5 thì nội lực Nd trong thanh xiên được xác định theo công thức:
|
| (20) |
trong đó:
α1 là hệ số, lấy bằng:
1,0 - đối với hệ thanh bụng theo Hình 5a, b;
0,5 - đối với hệ thanh bụng theo Hình 5c;
Vs là lực cắt quy ước tác dụng lên một mặt phẳng hệ thanh bụng.
Khi tính toán các thanh xiên của hệ thanh bụng chữ thập có thanh ngang (Hình 5d) thì cần kể đến nội lực bổ sung Nad xuất hiện trong mỗi thanh xiên do các nhánh cùng bị nén đồng thời và được xác định theo công thức:
|
| (21) |
trong đó:
|
| , với b, d, Lb là các kích thước trên Hình 5; |
| Nb Ad Ab | là lực trong một nhánh của cấu kiện; là diện tích tiết diện một thanh xiên; là diện tích tiết diện một nhánh. |
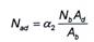
7.2.2.9 Các thanh dùng để giảm chiều dài tính toán của cấu kiện chịu nén cần được tính toán chịu lực cắt quy ước trong cấu kiện chịu nén chính xác định theo công thức (17).
Các thanh ngang dùng để giảm chiều dài tính toán các nhánh cột trong mặt phẳng vuông góc với mặt phẳng khung ngang, khi có tải trọng do cầu trục hoặc cần trục treo, cần được tính toán chịu lực cắt quy ước xác định theo công thức (17), trong đó giá trị N lấy bằng tổng lực dọc trong hai nhánh cột được liên kết bằng thanh ngang.
7.3 Kiểm tra ổn định bản bụng và bản cánh của cấu kiện chịu nén đúng tâm tiết diện đặc
7.3.1 Khi kiểm tra ổn định của bản bụng thì chiều cao tính toán hef cần được lấy theo Hình 7:
- Lấy bằng toàn bộ chiều cao bản bụng: trong cấu kiện hàn;
- Lấy bằng khoảng cách giữa các mép gần trục cấu kiện nhất của thép góc ghép cánh: trong cấu kiện có liên kết ma sát cánh với bụng;
- Lấy bằng khoảng cách giữa các điểm bắt đầu uốn cong bên trong: trong thép cán định hình;
- Lấy bằng khoảng cách giữa các mép của các đoạn uốn cong: trong thép uốn định hình.
7.3.2 Ổn định bản bụng của cấu kiện chịu nén đúng tâm có tiết diện đặc được coi là đảm bảo nếu độ mảnh quy ước của bản bụng
không vượt quá giá trị độ mảnh quy ước giới hạn
xác định theo các công thức trong Bảng 9. Các bản bụng mảnh hơn được phép sử dụng nếu khẳng định được ổn định của chúng (bằng lý thuyết hoặc thực nghiệm).

a) Thép cán định hình

b) Thép tổ hợp

c) Thép uốn định hình
Hình 7 - Kích thước tính toán của bản bụng, phần vươn cánh và bản cánh
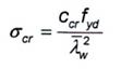
Bảng 9 - Độ mảnh quy ước giới hạn của bản bụng cấu kiện chịu nén đúng tâm có tiết diện đặc ![]()
| Tiết diện | Độ mảnh quy ước của cấu kiện, | Độ mảnh quy ước giới hạn của bản bụng, | |
|
| ≤ 2,0 | 1,30 + 0,15 | (22) |
| >2,0 | 1,20 + 0,35 | (23) | |
|
| ≤ 1,0 | 1,2 | (24) |
| > 1,0 | 1,0 + 0,2 | (25) | |
|
| ≤ 0,8 | 1,0 | (26) |
| > 0,8 | 0,85 + 0,19 | (27) | |
|
| ≥ 0,8 và ≤ 4,0 |
| (28) |
| Các ký hiệu trong Bảng 9:
bf là chiều rộng cánh của tiết diện chữ T. | |||
| CHÚ THÍCH 1: Đối với tiết diện hộp, giá trị CHÚ THÍCH 2: Đối với tiết diện chữ T phải tuân thủ điều kiện 1 ≤ bf/hef ≤ 2 ; khi CHÚ THÍCH 3: Dấu "≤" trong các công thức được hiểu là giá trị | |||
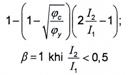
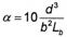
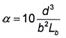
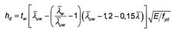
7.3.3 Bản bụng của cấu kiện chịu nén đúng tâm có tiết diện đặc (cột, trụ và tương tự) khi
≥ 2,3, trừ các cấu kiện đã được tính toán có kể đến phi tuyến hình học, cần được tăng cứng bằng các sườn cứng ngang với khoảng cách từ 2,5hef đến 3,0hef.
Trong các nhánh đặc của cột tiết diện rỗng, các sườn cứng chỉ cần được bố trí ở nút liên kết các thanh giằng (hoặc các bản giằng).
Đối với bản bụng mà chỉ được tăng cứng bằng các sườn cứng ngang thì chiều rộng phần vươn của các sườn cứng ngang không được nhỏ hơn (hef/30 + 40)mm - đối với cặp sườn đôi đối xứng, khôngnhỏ hơn (hef/20 + 50) mm - đối với sườn một bên; chiều dày sườn tr không được nhỏ hơn
.
Khi tăng cứng bản bụng bằng các sườn cứng ngang ở một bên là các thép góc đơn thì các thép góc đơn cần được hàn mép thép góc với bản bụng.
7.3.4 Đối với cấu kiện chịu nén đúng tâm có tiết diện chữ I với chiều cao tính toán của bản bụng heftrong trường hợp tăng cứng bản bụng bằng các sườn cứng dọc ở giữa và có mô men quán tính của tiết diện IrL, khi
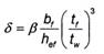
, thì giá trị
đã quy định trong 7.3.2 cần được nhân với hệ số
|
| (29) |
Khi bố trí sườn ở một bên bản bụng thì mô men quán tính của sườn cần được tính đối với trục trùng với biên gần nhất của bản bụng và mô men quán tính này không được nhỏ hơn mô men quán tính của cặp sườn đôi đối xứng.
Trường hợp bụng sóng đóng cả vai trò sườn dọc thì khi tính hef cần kể đến ảnh hưởng của chiều dài khai triển của sóng.
CHÚ THÍCH: Tham khảo tài liệu về hướng dẫn thiết kế để có thêm thông tin về ảnh hưởng của chiều dài khai triển của sóng bụng đến độ mảnh của bụng sóng.
Các sườn cứng dọc cần được tính vào tiết diện tính toán của cấu kiện.
Kích thước tối thiểu của phần vươn sườn cứng dọc cần được lấy như đối với sườn cứng ngang theo các yêu cầu trong 7.3.3.
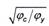
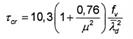
7.3.5 Khi tính toán các cấu kiện tiết diện đặc chịu nén đúng tâm và chịu nén lệch tâm trong trường hợp giá trị thực tế của độ mảnh quy ước của bản bụng
vượt quá (khi nén đúng tâmkhông quá 2 lần) giá trị độ mảnh quy ước giới hạn của bản bụng
mà đã được xác định theo các yêucầu trong 7.3.2, cũng như trong 9.4.2 và 9.4.3, trong công thức (6), cũng như trong các công thức (108) (110), (114), (115), (119) và (120), thì lấy diện tích tính toán giảm của tiết diện Ad thay cho A.
7.3.6 Giá trị Ad được tính theo các công thức:
- Đối với tiết diện chữ I và chữ C:
|
| (30) |
- Đối với tiết diện hộp:
khi nén đúng tâm
|
| (31) |
khi nén lệch tâm
|
| (32) |
trong đó:
| hef và hd | là chiều cao tính toán và chiều cao giảm của bản bụng nằm song song với mặt phẳng kiểm tra ổn định; |
| bef,1 và bd | là chiều rộng tính toán và chiều rộng giảm của bản cánh tiết diện hộp nằm vuông góc với mặt phẳng kiểm tra ổn định. |
Giá trị hd trong cấu kiện chịu nén đúng tâm cần được xác định theo các công thức:
- Đối với tiết diện chữ I:
|
| (33) |
trong đó: khi
> 3,5 thì lấy
= 3,5;
- Đối với tiết diện hộp:
|
| (34) |
trong đó: khi
>2,3 thì lấy
=2,3;
- Đối với tiết diện chữ C:
|
| (35) |
Các giá trị
và
trong các công thức từ (33) đến (35) đối với cấu kiện chịu nén đúng tâm cần được lấy theo các yêu cầu trong 7.3.2. Khi tính giá trị bd cho tiết diện hộp theo công thức (34) thì thay hd, tw,
và
bằng các giá trị tương ứng bd, tf,
và
, khi đó giá trị
cần được xác định theo các yêu cầu trong 7.3.9.
Giá trị hd đối với các cấu kiện chịu nén lệch tâm có tiết diện chữ I và tiết diện hộp cần được tính theo các công thức (33) và (34) tương ứng; khi đó trong các công thức này các giá trị
và
cần được lấy theo 9.4.2.
7.3.7 Khi kiểm tra ổn định của bản cánh thì chiều rộng tính toán của phần vươn cánh bef cần được lấy bằng khoảng cách (Hình 7):
- Đối với cấu kiện hàn: từ biên của bản bụng đến mép của bản cánh;
- Đối với cấu kiện có liên kết ma sát cánh với bụng: từ trục của bu lông ngoài cùng trong bản cánh đến mép của bản cánh;
- Đối với thép cán định hình: từ điểm bắt đầu uốn cong phía trong của bản cánh đến mép của bản cánh;
- Đối với thép uốn định hình: từ mép đoạn cong đến mép của bản cánh.
7.3.8 Ổn định bản cánh của cấu kiện chịu nén đúng tâm có tiết diện đặc được coi là đảm bảo nếu độ mảnh quy ước của phần vươn cánh
không vượt quá giá trị độ mảnh quy ước giớihạn của phần vươn cánh
, xác định theo các công thức trong Bảng 10, trong đó khi giá trị
< 0,8 hoặc
>4 thì lấy giá trị
= 0,8 hoặc
= 4 tương ứng.
Bảng 10 - Độ mảnh quy ước giới hạn của phần vươn cánh cấu kiện chịu nén đúng tâm có tiết diện đặc ![]()
| Tiết diện | Giá trị | |
|
| 0,36 + 0,10 | (36) |
|
| 0,43 + 0,08 | (37) |
|
| 0,40 + 0,07 | (38) |
|
| 0,85 + 0,19 | (39) |
| Các ký hiệu trong Bảng 10:
| ||
| CHÚ THÍCH: Đối với phần vươn cánh được viền bằng các sườn, giá trị độ mảnh quy ước giới hạn | ||
7.3.9 Đối với cấu kiện chịu nén đúng tâm có tiết diện hộp, độ mảnh quy ước giới hạn của cánh
được lấy theo Bảng 9 như đối với bụng của tiết diện hộp:
.
7.3.10 Chiều cao phần uốn mép aef của phần vươn cánh (hoặc cánh) theo Hình 7 hoặc chiều cao sườn viền (khi có sử dụng sườn viền) không được nhỏ hơn:
0,3bef - đối với cấu kiện không được tăng cứng bằng các bản giằng;
0,2bef - đối với cấu kiện được tăng cứng bằng các bản giằng (xem Bảng 10).
Chiều dày sườn viền không được nhỏ hơn
.
7.3.11 Trong trường hợp, nếu việc kiểm tra theo độ mảnh giới hạn trong hai mặt phẳng (xem 10.4) đóng vai trò quyết định khi lựa chọn tiết diện cấu kiện chịu nén đúng tâm thì giá trị độ mảnh quy ước giới hạn của bản bụng
và phần vươn cánh
(hoặc bản cánh
) đã tính theo các bảng 9 và 10 tươngứng cần được tăng lên bằng cách nhân chúng với hệ số
, nhưng không tăng quá 1,25 lần.
8 Tính toán cấu kiện chịu uốn
8.1 Yêu cầu chung
Tùy thuộc vào công năng sử dụng và điều kiện sử dụng của kết cấu, việc tính toán cấu kiện chịu uốn (dầm) cần được thực hiện không kể đến hoặc có kể đến biến dạng dẻo phù hợp với việc phân chia cấu kiện thành ba cấp theo 4.2.7.
Dầm cấp 1 được sử dụng cho tất cả các loại tải trọng và được tính toán trong giới hạn biến dạng đàn hồi; các dầm cấp 2 và cấp 3 được sử dụng cho tải trọng tĩnh và được tính toán có kể đến sự phát triển biến dạng dẻo.
Dầm đỡ cầu trục cho cầu trục thuộc các nhóm chế độ làm việc từ A1 đến A8 theo TCVN 8590-1:2010 (ISO 4301-1:1986) khi tính toán độ bền cần được xếp vào cấp 1.
Dầm hai loại thép cần được xếp vào cấp 2 và được tính toán có kể đến biến dạng dẻo hạn chế trong bản bụng. Giá trị biến dạng dẻo hạn chế cần được xác định tại thời điểm khi ứng suất đạt tới cường độ tính toán fyf trong các bản cánh làm bằng thép có cường độ cao hơn cường độ của thép làm bản bụng.
8.2 Tính toán độ bền cấu kiện chịu uốn tiết diện đặc
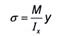
8.2.1 Tính toán độ bền của dầm cấp 1 theo các công thức:
- Khi có tác dụng của mô men trong một mặt phẳng chính:
|
| (40) |
trong đó:
Wn,min là mô men chống uốn nhỏ nhấtcủa tiết diện thực;
- Khi có tác dụng của lực cắt trong tiết diện:
|
| (41) |
- Khi có tác dụng của các mô men trong haimặt phẳng chính (và khi có bi mô men):
|
| (42) |
trong đó:
| x và y ω B | là các khoảng cách từ các trục chính đến điểm đang xét của tiết diện; là tọa độ quạt của điểm đang xét; là bi mô men; |
- Khi có tác dụng đồng thời của mô men và lực cắt trong bản bụng dầm:
|
| (43a) |
|
| (43b) |
trong đó:
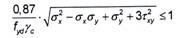
| σx = Mxy / Ixn | là ứng suất pháp trong mặt phẳng trung bình của bản bụng, song song với trục dọc của dầm; |
| σy | là ứng suất pháp trong mặt phẳng trung bình của bản bụng, vuông góc với trục dọc của dầm, kể cả σloc được xác định theo công thức (46); |
|
| là ứng suất tiếp trong bản bụng. |
Các ứng suất σx và σy trong công thức (43a) cùng với dấu của chúng, cũng như
trong các công thức (43a) và (43b) cần được xác định tại cùng một điểm của bản bụng dầm.
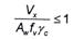
Khi kiểm tra độ bền của dầm không liên tục chịu tác dụng của lực cắt tại gối tựa thì sử dụng công thức(41) nhưng không kể đến sự làm việc của các bản cánh.
Đối với dầm được tính toán theo công thức (42) thì giá trị các ứng suất trong bản bụng dầm cần được kiểm tra theo các công thức (43a) và (43b) trong hai mặt phẳng uốn chính.
Khi bản bụng bị giảm yếu tiết diện bởi các lỗ bu lông thì vế trái công thức (41), cũng như giá trị
trong các công thức (43a) và (43b) cần được nhân với hệ số α :
|
| (44) |
trong đó:
s là bước lỗ bu lông trong một hàng bu lông thẳng đứng;
d là đường kính lỗ bu lông.
8.2.2 Tính toán độ bền của bản bụng dầm không được tăng cứng bằng các sườn cứng khi có tác dụng của ứng suất tập trung tại các vị trí đặt tải trọng lên cánh trên, cũng như tại các tiết diện gối tựa của dầm, cần được thực hiện theo công thức:
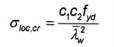
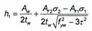
|
| (45) |
trong đó:
|
| (46) |
F là tải trọng (lực) tập trung tính toán;
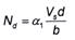
Lef là chiều dài phân bố quy ước tải trọng, được xác định theo các công thức:
- đối với các trường hợp theo Hình 8a, b:
| Lef=b + 2h
| (47) |
- đối với trường hợp theo Hình 8c:
|
| (48) |
trong đó:
| h | là kích thước, lấy bằng tổng chiều dày cánh trên của dầm và chiều cao đường hàn cánh nếu dầm dưới là dầm hàn (xem Hình 8a), hoặc bằng khoảng cách từ biên ngoài của cánh đến điểm bắt đầu uốn cong bên trong của bản bụng nếu dầm dưới là dầm cán (xem Hình 8b); |
| ψ | là hệ số, lấy bằng: 3,25 - đối với các dầm hàn và dầm cán; 4,5 - đối với dầm có liên kết ma sát cánh với bụng; |
| I1f | là tổng mô men quán tính bản thân của cánh trên dầm và ray cầu trục hoặc là mô men quán tính của tiết diện gồm cánh trên và ray trong trường hợp hàn ray bằng các đường hàn đảm bảo được sự làm việc đồng thời của cánh trên và ray; |
| b | là chiều rộng gối tựa của cấu kiện phía trên. |
|
|
|
|
| a) Dầm hàn | b) Dầm cán | c) Dầm hàn hoặc dầm cándưới tải trọng do bánh xe cầu trục |
Hình 8 - Các sơ đồ phân bố tải trọng tập trung lên bản bụng dầm
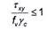
8.2.3 Tính toán độ bền của các dầm không liên tục cấp 2 và cấp 3 có tiết diện chữ I và tiết diện hộp (Hình 9) làm bằng thép có cường độ tiêu chuẩn fy ≤ 440 MPa khi tuân thủ các yêu cầu trong 8.4.6, 8.5.8, 8.5.9, 8.5.18 và khi ứng suất tiếp
(trừ tiết diện gối tựa) cần được thực hiện theo các công thức:
|
|
|
| a) Tiết diện chữ I | b) Tiết diện hộp |
Hình 9 - Các sơ đồ tiết diện dầm với các nội lực tác dụng
- Khi uốn trong mặt phẳng có độ cứng lớn nhất (Ix> ly):
|
| (49) |
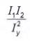
- Khi uốn trong hai mặt phẳng chính và ứng suất
= Vy/(2Af) ≤ 0,5fv:
|
| (50) |
trong đó:
| Mx, My cx,cy β | là các giá trị tuyệt đối của các mô men uốn; là các hệ số, lấy theo Bảng E.1 (Phụ lục E); là hệ số, lấy bằng: khi khi 0,5fy < | |
|
| (51) | |
trong đó:
| αf = Af / Aw | là tỉ số giữa diện tích tiết diện bản cánh và diện tích tiết diện bản bụng (đối với tiết diện không đối xứng thì Af là diện tích bản cánh nhỏ hơn; đối với tiết diện hộp thì Aw là tổng diện tích tiết diện của hai bản bụng); |
- Khi uốn trong mặt phẳng độ cứng lớn nhất (Ix > Iy) và xoắn kiềm chế tiết diện chữ I đối xứng:
|
| (52) |
trong đó:
cω được xác định bằng nội suy tuyến tính theo Bảng 11.
Bảng 11 - Hệ số cω
|
| 0 | 0,1 | 0,2 | 0,3 | 0,4 | 0,5 | 0,6 | 0,7 | 0,8 | 0,9 | 0,99 |
| cω | 1,470 | 1,636 | 1,845 | 2,054 | 2,263 | 2,472 | 2,681 | 2,890 | 3,099 | 3,308 | 3,496 |
Khi tính toán tiết diện trong vùng chịu uốn thuần túy thì trong các công thức (49) và (50) lấy β = 1 và thay các hệ số cx, cy bằng các hệ số tương ứng cxm = 0,5 (1 + cx) và cym = 0,5 (1 + cy).
Tính toán độ bền của tiết diện gối tựa của dầm (khi Mx = 0 và My = 0) cần được thực hiện theo các công thức:
|
| (53) |
|
| (54) |
Khi bản bụng bị giảm yếu bởi các lỗ bu lông thì vế trái các công thức (53) và (54) cần được nhân với hệ số αxác định theo công thức (44).
Để xác định kích thước tiết diện tối thiểu của dầm tổ hợp thì các hệ số cx và cy cần được lấy nhỏ hơn các giá trị nêu trong Bảng E.1 (Phụ lục E), nhưng không nhỏ hơn 1,0.
8.2.4 Tính toán độ bền của dầm không liên tục tiết diện thay đổi theo 8.2.3 có kể đến biến dạng dẻo cần được thực hiện chỉ ở một tiết diện có tổ hợp nội lực M và V bất lợi nhất; trong các tiết diện còn lại của dầm việc tính toán cần được thực hiện với giá trị các hệ số cxvà cy nhỏ hơn các giá trị nêu trong Bảng E.1 (Phụ lục E), hoặc theo 8.2.1.
8.2.5 Tính toán độ bền của dầm liên tục và dầm ngầm, có tiết diện không đổi chữ I và hộp, có hai trục đối xứng, chịu uốn trong mặt phẳng có độ cứng lớn nhất, với chiều dài các nhịp liền nhau chênh lệch nhau không quá 20 %, khi tuân thủ các yêu cầu trong 8.4.6, 8.5.8, 8.5.9 và 8.5.18 cần được thực hiện theo công thức (49) như tính toán cấu kiện cấp 2 có kể đến sự phân phối lại mô men tại gối tựa và trong nhịp.
Trong trường hợp này, giá trị mô men uốn tính toán M được xác định theo công thức:
|
| (55) |
trong đó:
| Mmax | là mô men uốn lớn nhất trong nhịp hoặc tại gối tựa, được xác định từ tính toán dầm liên tục với giả thiết thép làm việc đàn hồi; |
| Mef | là mô men uốn quy ước, lấy như sau: |
a) Đối với dầm liên tục có hai đầu liên kết khớp: lấy bằng giá trị lớn hơn trong hai giá trị sau
|
| (56) |
|
| (57) |
trong đó:
ký hiệu “max” có nghĩa là cần lấy giá trị lớn nhất của toàn bộ biểu thức đứng sau nó;
| M1 | là mô men uốn trong nhịp biên mà đã tính được như trong dầm một nhịp tựa khớphai đầu; |
| a L M2 | là khoảng cách từ tiết diện có mô men M1 đến gối tựa biên; là chiều dài nhịp biên; là mô men uốn lớn nhất trong nhịp trung gian mà đã tính được như trong dầm mộtnhịp tựa khớp hai đầu; |
b) Đối với dầm một nhịp và dầm liên tục có hai đầu liên kết ngàm:
Mef = 0,5M3, với M3 là giá trị lớn nhất của các mô men mà đã tính được như trong dầm có các gối tựa là khớp;
c) Đối với dầm có một đầu liên kết ngàm, đầu kia tựa tự do:
Mef được xác định theo công thức (56).
Giá trị của
trong công thức (51) cần được tính tại tiết diện có Mmax tác dụng; nếu Mmax là mô men uốn trong nhịp thì cần kiểm tra tiết diện gối tựa của dầm.
8.2.6 Tính toán độ bền của dầm liên tục và dầm ngàm thỏa mãn 8.2.5, chịu uốn trong hai mặt phẳng chính, cần được thực hiện theo công thức (50) có kể đến sự phân phối lại mô men tại gối tựa và trong nhịp theo 8.2.5.
8.2.7 Tính toán độ bền của dầm liên tục và dầm ngàm thỏa mãn các yêu cầu trong 8.2.5, 8.4.6, 8.5.8,8.5.9 và 8.5.18 cần được thực hiện theo công thức (49) như tính toán cấu kiện cấp 3 có kể đến sự phân phối lại mô men uốn và sự hình thành các khớp dẻo quy ước, cũng như ảnh hưởng của ứng suất tiếp
phù hợp với 8.2.3 tại tiết diện có mô men uốn lớn nhất.
8.2.8 Tính toán độ bền của dầm không liên tục hai loại thép có tiết diện chữ I và tiết diện hộp với hai trục đối xứng, khi tuân thủ các yêu cầu trong 8.4.4, 8.5.9 và 8.5.17 và khi các ứng suất tiếp
≤ 0,9fv và
≤ 0,5fv (trừ tiết diện gối tựa), cần được thực hiện như tính toán các cấu kiện cấp 2 theo các công thức:
- Khi uốn trong một mặt phẳng chính:
|
| (58) |
- Khi uốn trong hai mặt phẳng chính:
|
| (59) |
Trong các công thức (58) và (59):
|
| (60) |
trong đó:
αt = Af/Av;
r=fyf/fyw ;
βr là hệ số, lấy bằng:
| khi | βr = 1 | |
| khi 0,5fv< |
| |
|
| (61) | |
cyr là hệ số, lấy bằng:
1,15 - đối với tiết diện chữ I;
1,05/r - đối với tiết diện hộp.
Tính toán dầm hai loại thép khi có vùng chịu uốn thuần túy và tại tiết diện gối tựa cũng như có kể đến sự giảm yếu tiết diện cần được thực hiện theo 8.2.3 và các tài liệu về hướng dẫn thiết kế.
8.3 Tính toán độ bền dầm đỡ cầu trục tiết diện đặc
8.3.1 Tính toán độ bền của dầm đỡ cầu trục cần được thực hiện theo 8.2.1 chịu tác dụng của tải trọng đứng và tải trọng ngang mà đã được xác định theo TCVN 2737:2023.
8.3.2 Tính toán độ bền bản bụng của dầm đỡ cầu trục (trừ dầm đỡ cầu trục cho cầu trục thuộc nhóm chế độ làm việc A7 (trong các xưởng sản xuất kim loại) và A8cần được thực hiện theo các công thức (43a) và (43b), trong đó khi tính toán tiết diện gối tựa của dầm liên tục thì thay hệ số 0,87 bằng 0,77.
8.3.3 Khi tính toán độ bền bản bụng của dầm đỡ cầu trục làm bằng thép có giới hạn chảy không lớn hơn 440 MPa đối với cầu trục thuộc nhóm chế độ làm việc A7 (trong các xưởng sản xuất kim loại) và A8, các điều kiện sau phải được thỏa mãn:
|
| (62) |
|
| (63) |
|
| (64) |
|
| (65) |
trong đó:
β là hệ số, lấy bằng:
0,87 - khi tính toán dầm không liên tục;
0,77 - khi tính toán tiết diện tại gối tựa của dầm liên tục;
|
| (66a) |
|
| (66b) |
|
| (66c) |
|
| (66d) |
|
| (66e) |
|
| (66f) |
|
| (66g) |
Trong các công thức từ (66a) đến (66g):
| MvàV | là mô men uốn và lực cắt trong tiết diện của dầm do tải trọng tính toán xác định theo TCVN 2737:2023; | |
| γf | là hệ số độ tin cậy về tải trọng đối với tải trọng cầu trục, lấy theo TCVN 2737:2023; | |
| γf1 | là hệ số tăng tải trọng tập trung thẳng đứng do một bánh xe cầu trục, lấy theo hệ số bổsung trong TCVN 2737:2023; | |
| Fn Lef a Mt | là giá trị tiêu chuẩn của tải trọng tập trung thẳng đứng do một bánh xe cầu trục; là chiều dài phân bố quy ước tải trọng, được xác định theo 8.2.2; là khoảng cách giữa các sườn đứng (sườn cứng ngang) của bản bụng dầm; là mô men xoắn cục bộ, được xác định theo công thức: | |
|
| (67) | |
trong đó:
| e = 0,2b Vt | (với b là chiều rộng gối ray cầu trục); là tải trọng ngang (lực xô) tính toán (hướng vuông góc với dầm đỡ cầu trục), gâybởi sự nghiêng lệch của cầu trục và sự không song song của các đường ray cầu trục và lấy theo TCVN 2737:2023; |
| hr If | là chiều cao của ray cầu trục; là tổng các mô men quán tính xoắn bản thân của ray và bản cánh dầm (trong đó bf vàtf lần lượt là chiều rộng và chiều dày bản cánh trên của dầm): |
Tất cả các ứng suất trong các công thức từ (62) đến (66g) được lấy với dấu "dương".
8.3.4 Tính toán độ bền của dầm treo của đường cẩu (ray đơn) cần được thực hiện có kể đến ứng suất pháp cục bộ do áp lực bánh xe cầu trục hướng dọc và ngang với trục dầm.
8.3.5 Tính toán độ bền của dầm hai loại thép (của đường cẩu) tiết diện chữ I có hai trục đối xứng đối với các cầu trục thuộc các nhóm chế độ làm việc từ A1 đến A5 theo TCVN 8590-1:2010 (ISO 4301-1:1986) khir = fyf / fyw≤ 1,5 cần được thực hiện theo các yêu cầu trong 8.3.2 hoặc theo công thức (59), trong đó:
| My | là mô men uốn trong mặt phẳng nằm ngang truyền toàn bộ lên bản cánh trên của dầm; |
| Wyn = Wynf | là mô men chống uốn của tiết diện bản cánh trên của dầm đối với trục y-y; |
| cy | là hệ số, lấy bằng 1,15. |
8.4 Tính toán ổn định tổng thể cấu kiện chịu uốn tiết diện đặc
8.4.1 Tính toán ổn định tổng thể của dầm cấp 1 có tiết diện chữ I, cũng như dầm cấp 2 hai loại thép thỏa mãn các yêu cầu trong 8.2.1 và 8.2.8, cần được thực hiện theo các công thức:
- Khi uốn trong mặt phẳng bản bụng, trùng với mặt phẳng đối xứng của tiết diện:
|
| (68) |
- Khi uốn trong hai mặt phẳng chính (và khi có bi mô men):
|
| (69) |
Trong các công thức (68) và (69):
| φb | là hệ số ổn định khi uốn, được xác định theo Phụ lục F đối với dầm có tiết diện gối tựa được liên kết chặn chuyển vị ngang và chuyển vị xoay; |
| Wcx | là mô men chống uốn của tiết diện đối với trục x-x, tính cho thớ chịu nén nhiều nhất của bản cánh chịu nén; |
| Wcy | là mô men chống uốn của tiết diện đối với trục y-y trùng với mặt phẳng uốn, tính cho thớ chịu nén nhiều nhất của bản cánh chịu nén; |
| Wcω | là mô men chống uốn quạt của tiết diện, tính cho thớ chịu nén nhiều nhất của bản cánh chịu nén; |
| B | là bi mô men. |
Lấy dấu “+” cho số hạng thứ 2 và thứ 3 trong công thức (69) nếu tại điểm đang xét lực tương ứng là lực nén.
Đối với dầm hai loại thép thì trong các công thức (68) và (69), cũng như khi xác định φb cần thay fyd bằng fyf.
8.4.2 Khi xác định φb, chiều dài tính toán Lef của dầm và công xôn lấy như sau:
a) Đối với dầm:
- Lấy bằng khoảng cách giữa các điểm liên kết cánh chịu nén chặn chuyển dịch ngang (khoảng cách giữa các nút của các giằng dọc hoặc giằng ngang, khoảng cách giữa các điểm liên kết của tấm cứng);
- Lấy bằng L (với L là chiều dài nhịp dầm) - khi không có giằng;
b) Đối với công xôn:
- Lấy bằng L (với L là chiều dài công xôn) - khi không có liên kết cánh chịu nén tại đầu mút công xôn để chặn chuyển dịch ngang trong mặt phẳng nằm ngang;
- Lấy bằng khoảng cách giữa các điểm liên kết cánh chịu nén trong mặt phẳng nằm ngang - khi có các liên kết này ở đầu mút công xôn và dọc theo chiều dài công xôn.
8.4.3 Tính toán ổn định của dầm đỡ cầu trục tiết diện chữ I cần được thực hiện theo công thức (69), trong đó My là mô men uốn trong mặt phẳng nằm ngang được truyền toàn bộ lên cánh trên của dầm; Wy = Wyf là mô men chống uốn của tiết diện cánh trên đối với trục y-y.
8.4.4 Không cần kiểm tra ổn định của dầm cấp 1, cũng như dầm cấp 2 hai loại thép khi:
a) Tải trọng truyền lên dầm thông qua tấm cứng đặc (bản sàn bê tông cốt thép làm bằng bê tông nặng, bê tông nhẹ, bê tông tổ ong; tấm thép phẳng và tấm thép định hình, tấm thép sóng và tương tự) tựa liên tục lên cánh chịu nén của dầm và được liên kết với cánh chịu nén này bằng hàn, bu lông, vít tự cắt (tự ren), v.v.; khi đó không cần kể đến lực ma sát;
b) Giá trị độ mảnh quy ước của cánh chịu nén của dầm
không vượt quá giá trị giới hạn của nó
xác định được theo các công thức trong Bảng 12 cho dầm tiết diện chữ I đối xứng hoặc cho dầm tiết diện chữ I không đối xứng (với cánh chịu nén mở rộng) mà được tính theo công thức (68) và có tỷ số chiều rộng cánh chịu kéo trên chiều rộng cánh chịu nén không nhỏ hơn 0,75.
Bảng 12 - Độ mảnh quy ước giới hạn của cánh chịu nén của dầm cán hoặc dầm hàn ![]()
| Vị trí đặt tải trọng | Giá trị | |
| 1. Ở cánh trên |
| (70) |
| 2. Ở cánh dưới |
| (71) |
| 3. Không phụ thuộc vị trí đặt tải trọng khi tính toán đoạn dầm giữa các điểm giằng hoặc khi uốn thuần túy |
| (72) |
| Các ký hiệu trong Bảng 12: b và t là chiều rộng và chiều dày của cánh chịu nén; h là khoảng cách (chiều cao) trục các cánh. | ||
| CHÚ THÍCH 1: Các giá trị CHÚ THÍCH 2: Đối với dầm có liên kết ma sát cánh với bụng thì giá trị CHÚ THÍCH 3: Giá trị | ||
8.4.5 Liên kết cánh chịu nén với tấm cứng, giằng dọc hoặc ngang để đảm bảo ổn định cho cấu kiện chịu uốn cần được tính toán chịu lực cắt thực tế hoặc lực cắt quy ước. Khi đó, lực cắt quy ước cần được xác định như sau:
- Khi liên kết dầm tại các điểm riêng biệt: theo công thức (17), trong đó φ cần được xác định đối vớitiết diện loại b (xem Bảng 7) với độ mảnh λ = Lef/i (trong đó ilà bán kính quán tính của tiết diệncánh chịu nén trong mặt phẳng nằm ngang), còn N được tính theo công thức:
| N = (Afr + 0,25Aw) fyw | (73) |
trong đó:
Afvà Awlà các diện tích tiết diện của cánh chịu nén và bản bụng;
r=fyf/fyw ≥ 10;
fyfvà fywlà các cường độ tính toán của thép làm cánh chịu nén và bản bụng;
- Khi liên kết liên tục: theo công thức
|
| (74) |
trong đó:
vfic là lực cắt quy ước trên một đơn vị chiều dài cánh dầm;
Vfic là lực cắt quy ước, được xác định theo công thức (17), trong đó φ = 1, còn Nđược tính theocông thức (73).
8.4.6 Ổn định của các dầm cấp 2 và cấp 3 được coi là đảm bảo khi đáp ứng được các yêu cầu 8.4.4 a) hoặc 8.4.4 b) với điều kiện nhân giá trị
đã được xác định theo các công thức trong Bảng 12 với hệ số
|
| (75) |
trong đó:
c1x là hệ số, lấy bằng giá trị lớn hơn trong các giá trị tính được theo các công thức:
|
| (76a) | |
| hoặc | c1x = βcx | (76b) |
và nằm trong khoảng 1 < c1x ≤ cx.
Trong các công thức (75), (76a) và (76b):
Mx là mô men uốn trong tiết diện;
β là hệ số, lấy theo công thức (51);
cx là hệ số, lấy theo Bảng E.1 (Phụ lục E).
Khi đó, giá trị độ mảnh quy ước giới hạn của cánh dầm được lấy bằng:
- trên đoạn chiều dài dầm, nơi kể đến biến dạng dẻo;
- trên các đoạn chiều dài dầm, nơi có ứng suất trong các tiết diện σ = Mx/Wn,min≤ fydγc.
Khi tính toán dầm có cánh chịu nén nhỏ hơn cánh chịu kéo, việc kể đến biến dạng dẻo được thực hiện chỉ khi đáp ứng các yêu cầu trong 8.4.4 a).
8.5 Kiểm tra ổn định bản bụng và bản cánh của cấu kiện chịu uốn tiết diện đặc
8.5.1 Không cần kiểm tra ổn định bản bụng của dầm cấp 1 nếu đáp ứng các yêu cầu trong 8.2.1,8.3.1 đến 8.3.3, 8.4.1 đến 8.4.5 và độ mảnh quy ước của bản bụng
không vượtquá giá trị giới hạn
bằng:
3,5 - khi không có ứng suất cục bộ (σloc= 0) đối với dầm có đường hàn cánh hai bên;
3,2 - khi không có ứng suất cục bộ (σloc= 0) đối với dầm có đường hàn cánh một bên;
2,5 - khi có ứng suất cục bộ σlocđối với dầm có đường hàn cánh hai bên.
Khi đó, cần bố trí các sườn cứng ngang (và sườn cứng gối tựa) phù hợp với 8.5.9 hoặc 8.5.11 và 8.5.12.
8.5.2 Khi kiểm tra ổn định cục bộ bản bụng của dầm cấp 1 cần kể đến:
- Ứng suất nén lớn nhất σ ở biên tính toán của bản bụng, lấy với dấu “dương”;
- Ứng suất tiếp trung bình
;
- Ứng suất cục bộ σloctrong bản bụng dưới tải trọng tập trung.
Các ứng suất σ và
cần được tính theo các công thức:
|
| (77) |
|
| (78) |
trong đó:
| M, V | là các giá trị trung bình tương ứng của mô men uốn và lực cắt trong phạm vi của ô bản; nếu chiều dài ô bản a (khoảng cách giữa trục các sườn cứng ngang) lớn hơn chiều cao tính toán hef của nó thì các giá trị MvàV được tính như là các giá trị trung bình đối với phần ô bản có ứng suất lớn hơn và chiều dài bằng hef; nếu trong phạm vi ô bản có mô men uốn hoặc lực cắt đổi dấu thì các giá trị trung bình của chúng được tính ở phần ô bản có cùng dấu; |
| hef hw | là chiều cao tính toán của bản bụng, lấy theo 7.3.1; là chiều cao toàn bộ bản bụng. |
Ứng suất cục bộ σloc (σloc,y) trong bản bụng dưới tải trọng tập trung cần được xác định theo 8.2.2 và 8.3.3.
Trong các ô bản của dầm, nơi có tải trọng tập trung đặt ở cánh chịu kéo, thì chỉ kể đến tác dụng đồng thời của σ và
hoặcσloc và
.
8.5.3 Ổn định bản bụng của dầm cấp 1 có tiết diện đối xứng mà chỉ được tăng cứng bằng các sườn cứng ngang (Hình 10), khi có ứng suất cục bộ (σloc≠ 0) và với độ mảnh quy ước của bản bụng
được coi là đảm bảo nếu thỏa mãn điều kiện:
|
| (79) |
trong đó:
| σ, σloc, | là các ứng suất, được xác định theo 8.5.2 | |
| σcr | là ứng suất tới hạn, được tính theo công thức | |
|
|
| (80) |
trong đó:
| ccr | là hệ số, được xác định theo 8.5.4 đến 8.5.6; | |
| σloc,cr | là ứng suất cục bộ tới hạn, được tính theo công thức: | |
|
|
| (81) |
| c1, c2 | là các hệ số, được xác định theo 8.5.5; | |
|
| là ứng suất tiếp tới hạn, được tính theo công thức: | |
|
|
| (82) |
trong đó:
| μ | là tỷ số cạnh lớn và cạnh nhỏ của ô bản bụng |
|
| |
| d | là cạnh nhỏ của ô bản bụng (bằng hef hoặc a). |
|
|
|
| CHÚ THÍCH: σc và σtlà ứng suất nén và ứng suất kéo. | |
| a) Tải trọng tập trung đặt lên cánh chịu nén | b) Tải trọng tập trung đặt lên cánh chịu kéo |
Hình 10 - Sơ đồ đoạn dầm được tăng cứng bằng các sườn cứng ngang
8.5.4 Đối với dầm nêu ở 8.5.3, khi σloc = 0 thì hệ số ccr trong công thức (80) được xác định theo Bảng 13 phụ thuộc vào dạng liên kết cánh với bụng và giá trị hệ số δ (đặc trưng cho tỷ số độ cứng của cánh và bụng) tính theo công thức:
|
| (83) |
trong đó:
| β bf, tf | là hệ số, lấy theo Bảng 14; là chiều rộng và chiều dày của cánh chịu nén. |
Bảng 13 - Hệ số ccr cho dầm cấp 1 có tiết diện đối xứng khi σloc= 0
| Liên kết cánh với bụng dầm | Giá trị ccr khi δ bằng | ||||||
| ≤ 0,8 | 1,0 | 2,0 | 4,0 | 6,0 | 10,0 | ≥ 30,0 | |
| 1. Liên kết hàn | 30,0 | 31,5 | 33,3 | 34,6 | 34,8 | 35,1 | 35,5 |
| 2. Liên kết ma sát | 35,2 | ||||||
| CHÚ THÍCH: Với các giá trị trung gian của δ thì giá trị ccr được xác định bằng nội suy tuyến tính. | |||||||
Bảng 14- Hệ số β
| Dầm | Điều kiện làm việc của cánh chịu nén | β |
| 1. Dầm đỡ cầu trục | Ray cầu trục không hàn | 2,0 |
| Ray cầu trục hàn |
| |
| 2. Dầm khác | Khi có bản sàn đặt liên tục trên cánh chịu nén |
|
| Các trường hợp khác | 0,8 | |
| CHÚ THÍCH: Đối với các ô bản của dầm đỡ cầu trục, nơi tải trọng tập trung đặt ở cánh chịu kéo, khi tính hệ số δ thì lấy β = 0,8. | ||
8.5.5 Khi tính giá trị σloc,cr theo công thức (81) trong trường hợp σloc ≠ 0 thì lấy:
c1 - theo Bảng 15 phụ thuộc vào tỉ số a/hef và giá trị ρ = 1,04Lef/hef (với giá trị Lef được xác định theo các yêu cầu trong 8.2.2);
c2 - theo Bảng 16 phụ thuộc vào tỉ số a/hef và giá trị δ tính được theo công thức (83); đối với dầm có liên kết ma sát cánh với bụng thì lấy δ = 10.
Bảng 15 - Hệ số c1
| ρ | Giá trị c1 khi a/hef (hoặc a1/hef) bằng | |||||||||
| 0,50 | 0,60 | 0,67 | 0,80 | 1,00 | 1,20 | 1,40 | 1,60 | 1,80 | ≥ 2,00 | |
| 0,10 | 56,7 | 46,6 | 41,8 | 34,9 | 28,5 | 24,5 | 21,7 | 19,5 | 17,7 | 16,2 |
| 0,15 | 38,9 | 31,3 | 27,9 | 23,0 | 18,6 | 16,2 | 14,6 | 13,6 | 12,7 | 12,0 |
| 0,20 | 33,9 | 26,7 | 23,5 | 19,2 | 15,4 | 13,3 | 12,1 | 11,3 | 10,7 | 10,2 |
| 0,25 | 30,6 | 24,9 | 20,3 | 16,2 | 12,9 | 11,1 | 10,0 | 9,4 | 9,0 | 8,7 |
| 0,30 | 28,9 | 21,6 | 18,5 | 14,5 | 11,3 | 9,6 | 8,7 | 8,1 | 7,8 | 7,6 |
| 0,35 | 28,0 | 20,6 | 17,4 | 13,4 | 10,2 | 8,6 | 7,7 | 7,2 | 6,9 | 6,7 |
| 0,40 | 27,4 | 20,0 | 16,8 | 12,7 | 9,5 | 7,9 | 7,0 | 6,6 | 6,3 | 6,1 |
| CHÚ THÍCH: Với các giá trị trung gian của ρ và a/hef (hoặc a1/hef) thì giá trị c1 được xác định bằng nội suy tuyến tính. | ||||||||||
Bảng 16 - Hệ số c2
| δ | Giá trị c2 khi a/hef(hoặc a1/hef)bằng | |||||||
| ≤ 0,50 | 0,60 | 0,67 | 0,80 | 1,00 | 1,20 | 1,40 | ≥ 1,60 | |
| ≤ 1 2 4 6 10 ≥ 30 | 1,56 1,64 1,66 1,67 1,68 1,68 | 1,56 1,64 1,67 1,68 1,69 1,70 | 1,56 1,64 1,69 1,70 1,71 1,72 | 1,56 1,67 1,75 1,77 1,78 1,80 | 1,56 1,76 1,88 1,92 1,96 1,99 | 1,56 1,82 2,01 2,08 2,14 2,20 | 1,56 1,84 2,09 2,19 2,28 2,38 | 1,56 1,85 2,12 2,26 2,38 2,52 |
| CHÚ THÍCH: Với các giá trị trung gian của δ và a/hef (hoặc a1/hef)thì giá trị c2 được xác định bằng nội suy tuyến tính. | ||||||||
Khi σloc ≠0 thì việc kiểm tra bản bụng theo công thức (79) cần được thực hiện phụ thuộc vào giá trị a/hef như sau:
a) Khi a/hef ≤ 0,8 thì giá trị σcr được xác định theo công thức (80) có kể đến các yêu cầu trong 8.5.4.
Nếu tải trọng tập trung đặt ở cánh chịu kéo (Hình 10b) thì khi kiểm tra bản bụng có kể đến chỉ σloc và
khi xác định hệ số δ theo công thức (83) lấy bf và tf là chiều rộng và chiều dày của bản cánh chịu kéo tương ứng;
b) Khi a/hef >0,8 thì việc kiểm tra theo công thức (79) cần được thực hiện hai lần:
- Lần 1: với giá trị σcr tính theo công thức (80) có kể đến các yêu cầu trong 8.5.4 và với giá trị σloc,cr tính theo công thức (81), trong đó khi xác định các hệ số c1và c2 thì thay kích thước a bằng a1 = 0,5a khi 0,8 ≤ a/hef≤ 1,33 hoặc a1 =0,67hef khi a/hef >1,33;
- Lần 2: với các giá trị σcr và σloc,cr tính theo các giá trị thực tế a/hef (nếu a/hef > 2 thì trong tính toánlấy a/hef = 2);
khi đó hệ số ccr trong công thức (80) được xác định theo Bảng 17.
Bảng 17 - Hệ số ccr cho dầm cấp 1 có tiết diện đối xứng khi σloc ≠0
| a/hef hoặc a/(2hc) | ≤ 0,8 | 0,9 | 1,0 | 1,2 | 1,4 | 1,6 | 1,8 | ≥ 2,0 |
| ccr | Theo Bảng 13 | 37,0 | 39,2 | 45,2 | 52,8 | 62,0 | 72,6 | 84,7 |
| CHÚ THÍCH: Với các giá trị trung gian của a/hef (hoặca/(2hc)) thì giá trị ccr được xác định bằng nội suy tuyến tính. | ||||||||
Trong mọi trường hợp giá trị
đều được tính theo kích thước thực của ô bản.
8.5.6 Ổn định bản bụng của dầm cấp 1 có tiết diện chữ I không đối xứng với cánh chịu nén mở rộng, chỉ được tăng cứng bằng các sườn cứng ngang, được coi là đảm bảo nếu điều kiện (79) thỏa mãn có kể đến các thay đổi sau:
- Khi tính giá trị σcr theo các công thức (80) và (83) thì thay hef bằng hai lần chiều cao vùng chịu nén của bản bụng 2hc;
- Khi a/hef >0,8 và σloc≠0 thì thực hiện kiểm tra cả hai trường hợp nêu trong 8.5.5, trong đó khi xác định ccr theo Bảng 17 và σcr theo công thức (80) thì thay hef bằng hai lần chiều cao vùng chịu nén của bản bụng 2hc.
Các giá trị
và σloc,crđược tính theo kích thước thực của ô bản bụng.
8.5.7 Ổn định bản bụng của dầm cấp 1 có tiết diện chữ I không đối xứng với cánh chịu kéo mở rộng, chỉ được tăng cứng bằng các sườn cứng ngang, khi có tác dụng đồng thời của các ứng suất σ và
và không có ứng suất σloc, được coi là đảm bảo nếu thỏa mãn điều kiện:
|
| (84) |
trong đó:
α = (σ1 – σ2) / σ1 ;
| σcr | được xác định theo công thức (80) với hệ số ccr được xác định theo Bảng 18 phụ thuộc vào α |
| σ1 và σ2 | là ứng suất nén và ứng suất kéo ở biên tính toán của bản bụng, lấy với dấu “cộng”và dấu “trừ” tương ứng và được xác định theo công thức (77); |
|
| là các ứng suất tiếp, được xác định theo các công thức (78) và (82) tương ứng; |
Bảng 18 - Hệ số ccr cho dầm cấp 1 có tiết diện chữ I không đối xứng với cánh chịu nén mở rộng khi σloc=0
| α | 1,0 | 1,2 | 1,4 | 1,6 | 1,8 | 2,0 |
| ccr | 10,2 | 12,7 | 15,5 | 20,0 | 25,5 | 30,0 |
| CHÚ THÍCH: Với các giá trị trung gian của α thì giá trị ccr được xác định bằng nội suy tuyến tính. | ||||||
8.5.8 Ổn định bản bụng của các dầm cấp 2 và cấp 3 làm bằng một loại thép và hai loại thép khi không có ứng suất cục bộ (σloc= 0) và tuân thủ các yêu cầu trong 7.3.1, 8.2.3 và 8.2.8 được coi là đảm bảokhi thỏa mãn các điều kiện:
a) Đối với dầm có tiết diện chữ I và tiết diện hộp có hai trục đối xứng:
|
| (85) |
trong đó:
| α | là hệ số, được xác định theo Bảng 19 (với |
| r | được xác định theo 8.4.5; |
Bảng 19 - Hệ số α
|
| Giá trị α khi | |||||||
| 2,2 | 2,5 | 3,0 | 3,5 | 4,0 | 4,5 | 5,0 | 5,5 | |
| 0,0 | 0,240 | 0,239 | 0,235 | 0,226 | 0,213 | 0,195 | 0,173 | 0,153 |
| 0,5 | 0,203 | 0,202 | 0,197 | 0,189 | 0,176 | 0,158 | 0,136 | 0,116 |
| 0,6 | 0,186 | 0,185 | 0,181 | 0,172 | 0,159 | 0,141 | 0,119 | 0,099 |
| 0,7 | 0,167 | 0,166 | 0,162 | 0,152 | 0,140 | 0,122 | 0,100 | 0,080 |
| 0,8 | 0,144 | 0,143 | 0,139 | 0,130 | 0,117 | 0,099 | 0,077 | 0,057 |
| 0,9 | 0,119 | 0,118 | 0,114 | 0,105 | 0,092 | 0,074 | 0,052 | 0,032 |
| CHÚ THÍCH: Với các giá trị trung gian của | ||||||||
a) Đối với dầm tiết diện chữ I không đối xứng có cánh chịu nén mở rộng, chỉ được tăng cứng bằng các sườn cứng ngang:
|
| (86) |
trong đó:
| σ1, σ2 | là các ứng suất trong các cánh chịu nén và chịu kéo tương ứng, nếu σ1≥fyf hoặc σ2≥fyf, thì lấy tương ứng σ1 = fyf hoặc σ2 =fyf ; |
| Af1, Af2 | là diện tích cánh chịu nén và chịu kéo tương ứng. |
Trong biểu thức (86) chiều cao vùng chịu nén của bản bụngh1, được xác định theo công thức:
|
| (87) |
Các giá trị MvàV cần được tính toán trong cùng một tiết diện dầm.
8.5.9 Bản bụng dầm cần được tăng cứng bằng các sườn cứng ngang:
- Đối với dầm cấp 1: nếu giá trị độ mảnh quy ước của bản bụng
vượt quá
3,2 - khi không có tải trọng di động trên cánh dầm;
2,2 - khi có tải trọng di động trên cánh dầm;
- Đối với các dầm cấp 2 và cấp 3: với bất kỳ giá trị nào của độ mảnh quy ước của bản bụng trên các đoạn của chiều dài dầm, nơi có kể đến biến dạng dẻo, còn trên các đoạn khác - như đối với dầm cấp 1.
Khoảng cách giữa các sườn cứng ngang không được vượt quá 2hefkhi
≥ 3,2 và 2,5hefkhi
<3,2.
Đối với dầm cấp 1, có thể tăng khoảng cách giữa các sườn cứng ngang nêu trên đến giá trị 3hef với điều kiện là ổn định của dầm và của bản bụng được đảm bảo bởi việc thực hiện các yêu cầu 8.4.4 a)hoặc 8.4.4 b) nếu
không vượt quá các giá trị
được xác định theo công thức (70).
Các sườn cứng ngang cần được bố trí tại các vị trí đặt tải trọng tập trung cố định và tại các gối tựa dầm.
Việc không bố trí các sườn cứng ngang cần được dựa trên cơ sở tính toán theo 8.2.2.
Đối với dầm chỉ được tăng cứng bằng các sườn cứng ngang thì chiều rộng phần vươn br của các sườn cứng ngang không được nhỏ hơn (hw/30 + 25) mm - đối với cặp sườn, không được nhỏ hơn (hw/24 + 40) mm - đối với sườn một bên; chiều dày sườn tr không được nhỏ hơn
.
Khi tăng cứng bản bụng bằng các sườn cứng ngang một bên làm bằng thép góc đơn được hàn mép với bản bụng thi mô men quán tính của mỗi sườn này, được tính đối với trục trùng với biên gần nhất của bản bụng so với sườn, không được nhỏ hơn mô men quán tính của cặp sườn.
8.5.10 Sườn cứng ngang tại vị trí đặt tải trọng tập trung lên cánh trên cần được kiểm tra ổn định như sau:
- Với sườn hai bên: như đối với trụ chịu nén đúng tâm;
- Với sườn một bên: như đối với trụ chịu nén với độ lệch tâm bằng khoảng cách từ mặt phẳng trung bình của bản bụng đến trọng tâm tiết diện tính toán của trụ.
Khi đó, tiết diện tính toán của trụ phải bao gồm cả tiết diện sườn cứng và các dải bản bụng rộng
ở mỗi phía của sườn, còn chiều dài tính toán của trụ cần được lấy bằng chiều cao tính toán của bản bụng hef.
8.5.11 Trong trường hợp ổn định bản bụng của dầm cấp 1 không được đảm bảo khi có tác dụng của ứng suất pháp σ do uốn, cũng như trong trường hợp giá trị độ mảnh quy ước của bản bụng
(trong đóσ là ứng suất trong cánh chịu nén của dầm) thì cần bố trí thêm sườn cứng dọc bổ sung cho sườn cứng ngang.
8.5.12 Đối với bản bụng dầm tiết diện chữ I đối xứng cấp 1 được tăng cứng không chỉ bằng các sườn cứng ngang mà còn bằng một cặp sườn cứng dọc bổ sung bố trí cách biên của ô bản chịu nén (Hình 11) một khoảng h1thì cả hai ô bản do cặp sườn cứng dọc này chia ra cần được tính toán riêng biệt:
a) Ô bản 1 nằm giữa cánh chịu nén và sườn cứng dọc được tính theo công thức:
|
| (88) |
trong đó:
| σ, σloc, σcr,1 và σloc,cr,1 | được xác định theo các yêu cầu trong 8.5.2; được xác định theo các công thức: | |
| khi σloc= 0 |
| |
|
|
| (89) |
với
- khi σloc# 0 và μ1 = a/h1≤ 2 (khi μ1 >2 thì lấy μ1 = 2)
|
| (90) | |
|
| (91) | |
| với |
| |
|
| (92) | |
|
| là ứng suất tiếp tới hạn, được xác định theo công thức (82) nhưng sử dụng các kích thước của ô bản đang được kiểm tra; | |

a) Dầm có cánh trên chịu nén

b) Dầm có cánh trên chịu kéo
CHÚ DẪN:
| 1 Ô bản 1 2 Ô bản 2 | 3 Các sườn cứng ngang 4 Cặp sườn cứng dọc |
Hình 11 - Sơ đồ dầm được tăng cứng bằng các sườn cứng dọc và ngang
a) Ô bản 2 nằm giữa sườn cứng dọc và cánh chịu kéo được tính theo công thức:
|
| (93) |
trong đó:
σvà
là các ứng suất, được xác định theo 8.5.2;
|
| (94) | |
| với |
| |
|
| (95) | |
| σloc,2 | là ứng suất, phụ thuộc vào việc tải trọng đặt vào cánh nào: - nếu đặt vào cánh chịu nén (xem Hình 11a): lấy bằng 0,4σloc (với σloc được xác định theo 8.5.2); - nếu đặt vào cánh chịu kéo (xem Hình 11 b): lấy bằng σloc ; | |
| σloc,cr,2 | là ứng suất, được xác định theo công thức (81), trong đó c1 và c2 cần được xác định tương ứng theo Bảng 15 ứng với ρ = 0,4 và theo Bảng 16 ứng với δ = 1, với giá trị hef trong các bảng này được thay bằng giá trị (hef – h1); | |
|
| là ứng suất, được xác định theo công thức (82), nhưng có sử dụng các kích thước củaô bản đang được kiểm tra. | |
8.5.13 Các sườn cứng ngang trung gian nằm trong ô bản 1 giữa cánh chịu nén và sườn cứng dọc cần được kéo dài đến sườn cứng dọc (Hình 12).

CHÚ DẪN:
| 1 Ô bản 1 2 Ô bản 2 | 3 Các sườn cứng ngang 4 Cặp sườn cứng dọc | 5 Các sườn cứng ngang trung gian
|
Hình 12 - Sơ đồ dầm được tăng cứng bằng các sườn cứng ngang, sườn cứng dọc và sườn cứng ngang trung gian
Trong trường hợp này, tính toán ô bản 1 được thực hiện theo các công thức từ (88) đến (92), trong đó đại lượng ađược thay bằng đại lượng a1, trong đó a1là khoảng cách giữa các trục của các sườn cứng ngang trung gian liền nhau (xem Hình 12). Tính toán ô bản 2 được thực hiện theo 8.5.12 b).
8.5.14 Kiểm tra ổn định bản bụng của dầm tiết diện không đối xứng có cánh chịu nén mở rộng, được tăng cứng bằng các sườn cứng ngang và một cặp sườn cứng dọc nằm trong vùng chịu nén, cần được thực hiện theo các công thức (88) và (89); khi đó, trong các công thức (89), (90) và (93) cần thay tỷ số h1/hef bằng ((σ1 -σ2)/(2σ1))(h1/hef), còn trong công thức (94) thay (0,5-h1/hef) bằng (σ1/(σ1– σ2)-h1/hef),trong đó σ2 là ứng suất kéo (với dấu “âm”) ở biên tính toán của ô bản.
8.5.15 Khi tăng cứng bản bụng bằng các sườn cứng ngang và một cặp sườn cứng dọc thì vị trí bố trí và mô men quán tính của tiết diện của các sườn cứng này phải thỏa mãn các yêu cầu trong 8.5.9 và các công thức nêu trong Bảng 20.
Bảng 20 - Mô men quán tính của sườn cứng
| h1/hef | Mô men quán tính | |||
| của sườn cứng ngang, Ir | của sườn cứng dọc, IrL | |||
| yêu cầu | giới hạn | |||
| tối thiểu | tối đa | |||
| 0,20 |
|
|
|
|
| 0,25 |
|
|
| |
| 0,30 |
| - | - | |
| CHÚ THÍCH: Khi tinh IrL thì các giá trị trung gian h1/hef cần được xác định bằng nội suy tuyến tính. | ||||
Khi bố trí sườn cứng dọc và các sườn cứng ngang ở một bên bản bụng thì mô men quán tính của tiết diện mỗi sườn cần được tính đối với trục trùng với biên gần nhất của bản bụng so với sườn.
8.5.16 Khi giá trị độ mảnh quy ước của bản bụng
thì dầm có tiết diện chữ I đối xứng được thiết kế như đối với dầm cấp 2 với các bản bụng mảnh (không ổn định) theo K.2 trong Phụ lục K.
8.5.17 Phần bản bụng dầm ở trên gối tựa cần được tính toán ổn định ngoài mặt phẳng dầm khi nén đúng tâm như tính toán trụ chịu phản lực gối tựa.
Khi tăng cứng bản bụng dầm bằng các sườn cứng gối tựa với chiều rộng phần nhô br (br không nhỏ hơn 0,5bf1, với bf1 là chiều rộng cánh dưới của dầm) thì tiết diện tính toán của trụ này phải bao gồm cả tiết diện các sườn gối tựa và các dải bản bụng rộng không lớn hơn
ở mỗi phía của sườn. Chiều dài tính toán của trụ lấy bằng chiều cao tính toán của bản bụng dầm hef.
Mặt đầu dưới của sườn cứng gối tựa (Hình 13) cần được bào hoặc tì sát hoặc hàn với cánh dưới của dầm. Ứng suất trong tiết diện mặt đầu dưới này, khi có tác dụng của phản lực gối tựa, không được vượt quá:
- Trường hợp 1 (xem Hình 13a): cường độ chịu ép mặt tính toán của thép fc khi a ≤1,5t và cường độ chịu nén tính toán của thép fydkhi a > 1,5t ;
- Trường hợp 2 (xem Hình 13b): cường độ chịu ép mặt tính toán của thép fc.
Các đường hàn liên kết sườn cứng gối tựa với cánh dưới của dầm cần được tính toán chịu phản lực gối tựa.
Khi không có các sườn cứng gối tựa (trong dầm cán) thì tiết diện tính toán của trụ là dải bản bụng rộng bằng chiều dài đoạn tựa của dầm.
|
|
|
| a) Ở đầu mút dầm và được bào | b) Cách đầu mút dầm và được tì sát hoặc được hàn với cánh dưới |
Hình 13 - Sơ đồ bố trí sườn cứng gối tựa
8.5.18 Ổn định của cánh chịu nén được coi là đảm bảo nếu độ mảnh quy ước của phần vươn cánh
hoặc của bản cánh
của dầm cấp 1, cũng như dầm cấp 2 hailoại thép, khi tuân thủ các yêu cầu trong 7.3.7, 8.2.1 và 8.2.8, không vượt quá các giá trị giới hạn
(hoặc
) được xác định theo các công thức:
- Đối với phần vươn cánh (không viền và không uốn mép) của tiết diện chữ I:
|
| (96) |
- Đối với cánh của tiết diện hộp:
|
| (97) |
trong đó:
| σc | là ứng suất trong cánh chịu nén, được xác định theo các công thức: - đối với tiết diện một loại thép: |
|
|
|
|
| - đối với tiết diện hai loại thép: |
|
|
|
với: α' là giá trị α trong Bảng 19 khi
= 0;
nếu σc > fyf, thì lấy σc=fyf .
8.5.19 Ổn định của cánh chịu nén được coi là đảm bảo nếu độ mảnh quy ước của phần vươn cánh chịu nén hoặc bản cánh chịu nén của các dầm cấp 2 và cấp 3 làm bằng một loại thép, khi tuân thủ các yêu cầu trong 7.3.7, 8.2.3 và 8.5.8, không vượt quá các giá trị giới hạn
(hoặc
), được xác địnhkhi 2,2 ≤
≤ 5,5 theo các công thức:
- Đối với phần vươn cánh (không viền và không uốn mép) của tiết diện chữ I:
|
| (98) |
- Đối với cánh của tiết diện hộp:
|
| (99) |
Khi
<2,2 hoặc
>5,5 thì lấy
=2,2 hoặc
=5,5.
8.5.20 Trong trường hợp viền hoặc uốn mép bản cánh (hoặc bản bụng) của tiết diện (Hình 7) với kích thước aef ≥ 0,3bef và chiều dày
thì giá trị
xác định được theo các công thức (96) và (98) được tăng lên 1,5 lần.
8.6 Tính toán bản đế
8.6.1 Diện tích bản đế thép phải thỏa mãn các yêu cầu tính toán độ bền của móng.
Việc truyền nội lực tính toán lên bản đế có thể được thực hiện thông qua mặt phay hoặc thông qua các đường hàn liên kết kết cấu và bản đế.
8.6.2 Chiều dày bản đế được xác định bằng tính toán bản chịu uốn theo công thức:
|
| (100) |
trong đó:
| Mmax | là mô men uốn lớn nhất trong số các mô men uốn M tác dụng lên dải có chiều rộng đơn vị của các phần khác nhau của bản đế và được xác định theo các công thức: - đối với phần bản công xôn: | |
|
|
| (101) |
|
| - đối với phần bản kê 4 cạnh theo phương cạnh ngắn và phương cạnh dài tương ứng: | |
|
|
| (102) |
|
| - đối với phần bản kê 3 cạnh: | |
|
|
| (103) |
|
| - đối với phần bản kê 2 cạnh hợp với nhau một góc: theo công thức (103), với d1 là đường chéo hình chữ nhật, còn cạnh a1 trong Bảng E.2 (Phụ lục E) là khoảng cách từ đỉnh góc đến đường chéo. | |
Trong các công thức từ (101) đến (103):
| c | là chiều dài vươn của phần bản công xôn; |
| α1, α2, α3 | là các hệ số phụ thuộc vào điều kiện kê và tỷ số kích thước các cạnh của phần bảnvà được lấy theo Bảng E.2 (Phụ lục E); |
| q | là phản lực gối tựa của móng dưới phần bản đang xét trên một đơn vị diện tích bản. |
9 Tính toán cấu kiện khi có tác dụng của lực dọc kết hợp uốn
9.1 Tính toán độ bền cấu kiện tiết diện đặc
9.1.1 Tính toán độ bền của cấu kiện chịu nén lệch tâm (hoặc nén uốn), kéo lệch tâm (hoặc kéo uốn), làm bằng thép có cường độ tiêu chuẩn fy ≤ 440 MPa, không chịu tác dụng trực tiếp của tải trọng động, khi
và
, được thực hiện theo công thức:
|
| (104) |
trong đó:
| N, Mx, My, B | là các giá trị tuyệt đối lần lượt của lực dọc, các mô men uốn, bi mô men trong tổ hợp nội lực bất lợi nhất của chúng; |
| n, cx, cy | là các hệ số, lấy theo Bảng E.1 (Phụ lục E). |
Nếu σ = N/An ≤ 0,1fyd thì chỉ được dùng công thức (104) khi thỏa mãn các yêu cầu trong 8.5.8 và 8.5.18.
Tính toán độ bền của cấu kiện trong các trường hợp khác theo công thức:
|
| (105) |
trong đó:
x, y là các khoảng cách từ các trục chính đến điểm đang xét của tiết diện.
9.1.2 Không cần tính toán độ bền của cấu kiện chịu nén lệch tâm (hoặc nén uốn) theo công thức (104) khi độ lệch tâm tương đối quy đổi mef ≤ 20 (xem 9.2.2), khi tiết diện không bị giảm yếu và khi giá trị mô men uốn để tính toán độ bền và ổn định là như nhau.
9.1.3 Cấu kiện chịu nén lệch tâm (hoặc nén uốn) làm bằng thép có cường độ tiêu chuẩn fy> 440 MPa, có tiết diện không đối xứng đối với trục vuông góc với mặt phẳng uốn (ví dụ: tiết diện loại 10, 11 theo Bảng D.2 (Phụ lục D)), cần được kiểm tra độ bền thớ chịu kéo của tiết diện trong mặt phẳng tác dụng của mô men theo công thức:
|
| (106) |
trong đó:
| Wtn δ | là mô men chống uốn của tiết diện, tính cho thớ chịu kéo; là hệ số, được xác định theo công thức: | |
|
|
| (107) |
| N | được lấy với dấu "+”. |
|
9.2 Tính toán ổn định cấu kiện tiết diện đặc
9.2.1 Tính toán ổn định của cấu kiện chịu nén lệch tâm (hoặc nén uốn) khi có tác dụng của mô men trong một trong các mặt phẳng chính cần được thực hiện trong cả mặt phẳng này (dạng mất ổn định phẳng) và ngoài mặt phẳng này (dạng mất ổn định do uốn-xoắn).
9.2.2 Tính toán ổn định của cấu kiện chịu nén lệch tâm (hoặc nén uốn) có tiết diện không đổi (cột nhà nhiều tầng - trong phạm vi một tầng) trong mặt phẳng tác dụng của mô men uốn trùng với mặt phẳng đối xứng được thực hiện theo công thức:
|
| (108) |
Trong công thức (108) hệ số ổn định khi nén uốn φeđược xác định theo Bảng D.3 (Phụ lục D) phụthuộc vào độ mảnh quy ước
và độ lệch tâm tương đối quy đổi mef xác định theo công thức:
|
| (109) |
trong đó:
| η m = eA/Wc | là hệ số ảnh hưởng của hình dạng tiết diện, lấy theo Bảng D.2 (Phụ lục D); là độ lệch tâm tương đối (với: e = M/N là độ lệch tâm mà khi tính e thì các giá trị MvàN lấy theo các yêu cầu trong 9.2.3; Wc là mô men chống uốn của tiết diện, tính cho thớ chịu nén nhiều nhất). |
Khi giá trị mef> 20 thì việc tính toán được thực hiện như đối với cấu kiện chịu uốn (Điều 8).
9.2.3 Giá trị tính toán của lực dọc N và mô men uốn M trong cấu kiện được lấy trong cùng một tổ hợp tải trọng từ tính toán hệ kết cấu theo sơ đồ không biến dạng với giả thiết biến dạng của thép là đàn hồi.
Khi đó, giá trị của M được lấy như sau:
- Đối với cột tiết diện không đổi của hệ khung: lấy bằng mô men lớn nhất trong phạm vi chiều dài cột;
- Đối với cột bậc: lấy bằng mô men lớn nhất ở đoạn cột có tiết diện không đổi;
- Đối với cột có một đầu ngàm, còn đầu kia tự do: lấy bằng mô men ở ngàm nhưng không nhỏ hơn mô men tại tiết diện cách ngàm một đoạn bằng 1/3 chiều dài cột;
- Đối với các thanh cánh chịu nén của giàn và của hệ kết cấu lưới thanh không gian chịu tác dụng của tải trọng ngang ngoài phạm vi nút: lấy bằng mô men lớn nhất trong khoảng 1/3 ở giữa chiều dài khoang cánh, được xác định từ tính toán thanh cánh như dầm liên tục đàn hồi;
- Đối với cấu kiện chịu nén có hai đầu tựa khớp và tiết diện có một trục đối xứng trùng với mặt phẳng uốn: lấy bằng mô men được xác định theo các công thức trong Bảng 21 phụ thuộc vào độ lệch tâm tương đối mmax = MmaxA/(NWc) và lấy không nhỏ hơn 0,5Mmax.
Đối với cấu kiện chịu nén có tiết diện đặc với hai trục đối xứng, hai đầu tựa khớp, chịu tác dụng của mô men uốn thì giá trị mef dùng để tính φe cần được lấy theo Bảng D.5 (Phụ lục D).
Bảng 21 - Mô men uốn M
| Độ lệch tâm tương đối mmax | Giá trị M khi độ mảnh quy ước của cấu kiện | |
|
|
| |
| mmax≤ 3 |
| M = M1 |
| 3< mmax≤ 20 |
|
|
| Các ký hiệu trong Bảng 21: Mmax là mô men uốn lớn nhất trong phạm vi chiều dài cấu kiện; M1là mô men uốn lớn nhất trong khoảng 1/3 ở giữa chiều dài cấu kiện, nhưng lấy không nhỏ hơn 0,5Mmax; M2 là mô men uốn lớn nhất lấy bằng M ứng với mmax ≤ 3 và | ||
9.2.4 Tính toán ổn định ngoài mặt phẳng tác dụng của mô men uốn đối với cấu kiện chịu nén lệch tâm (hoặc nén uốn) có tiết diện đặc không đổi (trừ tiết diện hộp) khi mô men uốn tác dụng trong mặt phẳng có độ cứng lớn nhất (Ix > ly) trùng với mặt phẳng đối xứng, cũng như tiết diện chữ C, cần đượcthực hiện theo công thức:
|
| (110) |
trong đó:
c là hệ số, được xác định theo các yêu cầu trong 9.2.5;
φy là hệ số ổn định khi nén đúng tâm, được xác định theo các yêu cầu trong 7.1.2.1.
9.2.5 Hệ số c trong công thức (110) được tính như sau:
- Khi độ lệch tâm tương đối mx ≤ 5 :
|
| (111) |
trong đó:
α và β là các hệ số, được xác định theo Bảng 22;
- Khi mx≥ 10 :
|
| (112) |
trong đó:
φb là hệ số ổn định khi uốn, được xác định theo các yêu cầu trong 8.4.1 và Phụ lục F như đối với dầm có từ hai điểm liên kết trở lên ở cánh chịu nén;
- Khi 5 < mx< 10 :
|
| (113) |
trong đó:
c5 được tính theo công thức (111) với mx = 5;
c10 được tính theo công thức (112) với mx= 10.
Trong các công thức từ (111) đến (113): mx =(Mx/N)(A/Wc)là độ lệch tâm tương đối, trong đó Mx lấy theo 9.2.6.
Khi độ mảnh
> 3,14 thì hệ số c không được vượt quá giá trị cmax, với cmax được xác định theo Phụ lục D; trong trường hợp, nếu c > cmax thì trong các công thức (110) và (116) thay c bằng cmax.
Khi giá trị c < 0,3 thì lấy c = 0,3.
Bảng 22 - Các hệ số α và β
| Loại tiết diện | Sơ đồ tiết diện và độ lệch tâm | Giá trị các hệ số | |||
| α khi | β khi | ||||
| mx≤ 1 | 1 < mx≤ 5 |
|
| ||
| 1 |
| 0,7 | 0,65 + 0,05mx | 1 |
|
| 2 |
| ||||
| 3 |
| ||||
| 4 |
|
|
| 1 |
|
| Các ký hiệu trong Bảng 22: I1 và I2 là các mô men quán tính của cánh lớn và cánh nhỏ tương ứng đối với trục đối xứng y-y của tiết diện; φc là giá trị của φy khi | |||||
9.2.6 Khi xác định độ lệch tâm tương đối mx trong các công thức từ (111) đến (113) thì mô men tính toán Mx lấy như sau:
- Đối với cấu kiện có hai đầu được liên kết chặn chuyển vị theo phương vuông góc với mặt phẳng tác dụng của mô men: lấy bằng mô men lớn nhất trong khoảng 1/3 ở giữa chiều dài cấu kiện, nhưng không nhỏ hơn 1/2 giá trị mô men lớn nhất trên toàn bộ chiều dài cấu kiện;
- Đối với cấu kiện có một đầu ngàm, còn đầu kia tự do: lấy bằng mô men ở ngàm, nhưng không nhỏ hơn mô men tại tiết diện cách ngàm một đoạn bằng 1/3 chiều dài cấu kiện.
9.2.7 Tính toán ổn định của cấu kiện chịu nén lệch tâm (hoặc nén uốn) có tiết diện chữ I, với liên kết liên tục dọc theo một trong các bản cánh, cần được thực hiện theo công thức (110) với hệ số c được xác định theo cmax phù hợp với công thức (D.4) trong Phụ lục D.
9.2.8 Cấu kiện chịu nén lệch tâm (hoặc nén uốn) có tiết diện không đổi chịu uốn trong mặt phẳng có độ cứng nhỏ nhất (Iy <Ix và ey # 0) được tính theo công thức (108), còn khi độ mảnh
thì cũngcần kiểm tra ổn định ngoài mặt phẳng tác dụng của mô men như cấu kiện chịu nén đúng tâm theo công thức:
|
| (114) |
trong đó:
φx là hệ số ổn định khi nén đúng tâm, được xác định theo các yêu cầu trong 7.1.3.
Nếu
thì không cần thiết phải kiểm tra ổn định ngoài mặt phẳng tác dụng của mô men.
9.2.9 Tính toán ổn định của cấu kiện tiết diện đặc không đổi (trừ tiết diện hộp), chịu nén uốn đồng thời trong hai mặt phẳng chính, khi mặt phẳng có độ cứng lớn nhất (Ix > ly) trùng với mặt phẳng đốixứng, cũng như khi tiết diện là loại 3 (xem Bảng 22), được thực hiện theo công thức:
|
| (115) |
trong đó:
|
| (116) |
với:
φey lấy theo các yêu cầu trong 9.2.2 với m và
được thay tương ứng bằng my và
;
c lấy theo 9.2.5.
Khi tính giá trị mef,y = ηmy đối với cấu kiện tiết diện chữ I có các cánh không như nhau thì hệ số ηđược xác định như đối với tiết diện loại 8 trong Bảng D.2 (Phụ lục D).
Nếu mef,y < mx thì ngoài việc tính toán theo công thức (115) còn phải kiểm tra thêm theo các công thức (108) và (110) với ey= 0.
Nếu
thì ngoài việc tính toán theo công thức (115) còn phải kiểm tra thêm theo công thức (108) với ey= 0.
Giá trị các độ lệch tâm tương đối được tính theo các công thức:
|
| (117) |
|
| (118) |
trong đó:
| Wcx và Wcy | là các mô men chống uốn của tiết diện (tính cho thớ chịu nén lớn nhất) đối với các trục x-x và y-y tương ứng. |
Nếu mặt phẳng có độ cứng lớn nhất (Ix > ly) không trùng với mặt phẳng đối xứng thì giá trị tính toán của mx được tăng thêm 25 % (trừ tiết diện loại 3 theo Bảng 22).
9.2.10Tính toán ổn định của cấu kiện tiết diện đặc không đổi (dạng hộp) chịu nén uốn trong hai mặt phẳng chính cần được thực hiện đồng thời theo các công thức:
|
| (119) |
|
| (120) |
trong đó:
| φex và φey cx và cy δx và δy | là các hệ số ổn định khi nén uốn, được xác định theo Bảng D.3 (Phụ lục D); là các hệ số, lấy theo Bảng E.1 (Phụ lục E); là các hệ số, được xác định theo các công thức: | |
|
|
| (121a) |
|
|
| (121b) |
|
| và lấy bằng 1,0 khi | |
| N | được lấy với dấu “+” | |
Khi uốn trong mặt phẳng có độ cứng lớn nhất (Ix > Iy; My = 0) thì thay φey bằng φy.
9.3 Tính toán ổn định cấu kiện tiết diện rỗng
9.3.1 Khi kiểm tra ổn định của cấu kiện chịu nén lệch tâm (hoặc nén uốn) có tiết diện rỗng với bản giằng hoặc thanh giằng thì cần kiểm tra ổn định tổng thể của toàn cấu kiện, cũng như từng nhánh riêng biệt.
9.3.2 Khi tính toán ổn định tổng thể của cấu kiện đối với trục tự do (y-y) theo công thức (108), trong trường hợp các bản giằng hoặc các thanh giằng nằm trong các mặt phẳng song song với mặt phẳng tác dụng của mô men, thì hệ số φe được xác định theo Bảng D.4 (Phụ lục D) phụ thuộc vào độ mảnhquy đổi quy ước
(
lấy theo Bảng 8) và độ lệch tâm tương đối m được xác định theo công thức:
|
| (122) |
trong đó:
| e = M/N | là độ lệch tâm, với các giá trị M và N lấy theo 9.2.3; |
| a | là khoảng cách từ trục chính của tiết diện, vuông góc với mặt phẳng tác dụng của mômen, đến trục của nhánh chịu nén nhiều nhất, nhưng không nhỏ hơn khoảng cách đến trục bản bụng của nhánh này; |
| I | là mô men quán tính của tiết diện cấu kiện tiết diện rỗng đối với trục tự do. |
Khi giá trị m > 20 thì không cần thiết tính toán ổn định tổng thể của cấu kiện; trong trường hợp này tính toán được thực hiện như đối với các cấu kiện chịu uốn.
9.3.3 Khi tính toán các nhánh riêng biệt của cấu kiện tiết diện rỗng có thanh giằng theo công thức (6) thì lực dọc trong từng nhánh được xác định có kể đến lực bổ sung Nad do mô men gây ra, với giá trị được tính theo các công thức:

trong đó: b, b1,b2 là các khoảng cách giữa các trục của các nhánh (xem Bảng 8).
Khi cấu kiện có tiết diện rỗng loại 2 (xem Bảng 8) chịu uốn trong hai mặt phẳng thì lực bổ sung Nad được xác định theo công thức:

9.3.4 Khi tính toán các nhánh riêng biệt của cấu kiện tiết diện rỗng có bản giằng thì trong công thức (108) cần kể thêm lực bổ sung Nad do mô men M và sự uốn cục bộ của các nhánh do lực cắt thực tế hoặc quy ước (như trong các thanh cánh của giàn không thanh xiên).
9.3.5 Tính toán ổn định của cấu kiện tiết diện rỗng ba mặt có các thanh giằng và tiết diện không đổi ở ba mặt theo chiều dài, chịu nén lệch tâm (hoặc nén uốn), được thực hiện theo các yêu cầu trong Điều 16.
9.3.6 Tính toán ổn định của cấu kiện tiết diện rỗng có hai nhánh đặc đối xứng đối với trục x-x (Hình 14), có thanh giằng trong hai mặt phẳng song song, chịu nén uốn trong hai mặt phẳng chính, cần được thực hiện như sau:
- Đối với cấu kiện tổng thể: trong mặt phẳng song song với các mặt phẳng thanh giằng: theo các yêu cầu trong 9.3.2 với ex = 0.
- Đối với các nhánh riêng biệt: như đối với các cấu kiện chịu nén lệch tâm theo các công thức (108) và (110); khi đó, lực dọc trong từng nhánh được xác định có kể đến lực bổ sung do mô men My (xem 9.3.3), còn mô men Mx được phân phối giữa các nhánh bằng Mxb = Nbex (xem Hình 14); nếu mô men Mx tác dụng trong mặt phẳng của một trong các nhánh thì coi như mô men này được truyền toàn bộ vào nhánh này. Khi tính toán theo công thức (108) thì độ mảnh của một nhánh riêng biệt được xác định có kể đến các yêu cầu trong 10.3.10, còn khi tính theo công thức (110) - theo khoảng cách lớn nhất giữa các nút của hệ thanh giằng.

Hình 14 - Sơ đồ cấu kiện tiết diện rỗng có hai nhánh đặc
9.3.7 Tính toán các bản giằng hoặc các thanh giằng của cấu kiện tiết diện rỗng chịu nén lệch tâm (hoặc nén uốn) được thực hiện theo 7.2.2.7 và 7.2.2.8 chịu lực cất có giá trị bằng giá trị lớn hơn trong hai giá trị:
- Lực cắt thực tế V đã được xác định khi tính toán cấu kiện như tính toán thanh của giàn không thanh xiên;
- Hoặc lực cắt quy ước Vfic đã được tính theo các yêu cầu trong 7.2.2.6.
Trong trường hợp, khi lực cắt thực tế lớn hơn lực cắt quy ước thì cần liên kết các nhánh của cấu kiện tiết diện rỗng chịu nén lệch tâm bằng các thanh giằng.
9.4 Kiểm tra ổn định của bản bụng và bản cánh
9.4.1 Kích thước tính toán của bản bụng và bản cánh khi kiểm tra ổn định được lấy theo 7.3.1 và 7.3.7.
9.4.2 Ổn định bản bụng của cấu kiện chịu nén lệch tâm (hoặc nén uốn) được coi là đảm bảo nếu độ mảnh quy ước của bản bụng
không vượt quá giá trị độ mảnh quy ước giới hạn
được xác định theo các công thức trong Bảng 23.
Bảng 23 - Độ mảnh quy ước giới hạn của bản bụng cấu kiện chịu nén lệch tâm (hoặc nén uốn) ![]()
| Loại tiết diện | Sơ đồ tiết diện và độ lệch tâm | Điều kiện áp dụng các công thức | Độ mảnh quy ước giới hạn của bản bụng, | |
| 1 |
| 1 ≤ mx ≤ 10 ; đối với chữ I cφy > φe |
|
|
|
|
| |||
| 2 |
| cφy > φe; 1 ≤ α ≤ 2 |
| |
| 3 |
| 1 ≤ α ≤ 2 |
| |
| 4 |
|
|
| |
| 5 |
| my ≥ 1 |
| |
| Các ký hiệu trong Bảng 23:
Ccr là hệ số, được xác định theo Bảng 18 phụ thuộc vào α; α = (σ1- σ2)/σ1 (với σ1 là ứng suất nén lớn nhất ở biên tính toán của bản bụng được lấy với dấu "dương” và được tính không kể đến các hệ số φe, cφy và φexy;σ2 là ứng suất tương ứng tại biên tính toán đối diện của bản bụng);
| ||||
| CHÚ THÍCH 1: Đối với tiết diện loại 1 khi 0 < mx < 1 hoặc 10 < mx ≤ 20 thì giá trị CHÚ THÍCH 2: Đối với tiết diện loại 2 khi α ≤ 0,5 thì giá trị CHÚ THÍCH 3: Đối với tiết diện loại 4 khi CHÚ THÍCH 4: Đối với tiết diện loại 5 khi 0 < my < 1 thì giá trị | ||||
9.4.3 Khi thỏa mãn điều kiện 0,8 ≤ N/(φe Afydγc) ≤ 1 thì độ mảnh quy ước giới hạn
tính được theo các công thức (124) và (125) được tăng lên bằng cách xác định nó theo công thức:
![]()
trong đó:
và
là các giá trị của
tính được theo các công thức (124), (125) và (126).
Khi thỏa mãn điều kiện N/(φe Afydg c) < 0,8 thì giá trị
được lấy bằng
.
9.4.4 Cần tăng cứng bản bụng của cấu kiện chịu nén lệch tâm (hoặc nén uốn) có tiết diện đặc (cột, trụ và tương tự) bằng các sườn cứng ngang khi
≥ 2,3 phù hợp với các yêu cầu trong 7.3.3.
9.4.5 Khi tăng cứng bản bụng của cấu kiện chịu nén lệch tâm (hoặc nén uốn) bằng các sườn cứng dọc (khi mô men quán tính
) bố trí ở giữa bản bụng thì phần chịu lực nhiều nhất của bản bụng ở khoảng giữa cánh và trục sườn được coi như bản độc lập và được kiểm tra theo các công thức trong Bảng 23. Khi đó, việc tính toán và thiết kế sườn và tổng thể cấu kiện được thực hiện có kể đến các yêu cầu trong 7.3.4.
9.4.6 Trong các trường hợp, khi giá trị thực tế của độ mảnh quy ước của bản bụng
vượt quá giá trị giới hạn
(đã được tính theo các công thức trong Bảng 23 đối với tiết diện loại 1; còn đối với các tiết diện loại 2 và loại 3 - đã được tính có kể đến CHÚ THÍCH 2 trong Bảng 23 (khi α ≤ 0,5)) thì việc kiểm tra ổn định của cấu kiện theo các công thức (108), (114) và (115), cũng như khi α ≤ 0,5 theo công thức (110), được thực hiện có kể đến diện tích tính toán giảm Ad phù hợp với 7.3.6.
9.4.7 Ổn định của cánh (bản cánh) của cấu kiện chịu nén lệch tâm (hoặc nén uốn) có độ mảnh 0,8 ≤
(
) ≤ 4 được coi là đảm bảo nếu độ mảnh quy ước của phần vươn cánh
hoặc bản cánh
không vượt quá giá trị độ mảnh quy ước giới hạn
xác định theo các công thức trong Bảng 24.
Bảng 24 - Độ mảnh quy ước giới hạn của phần vươn cánh
hoặc bản cánh
của cấu kiện chịu nén lệch tâm (hoặc nén uốn)
| Loại tiết diện | Sơ đồ tiết diện và độ lệch tâm | Điều kiện áp dụng các công thức | Giá trị |
| 1 |
| 0 ≤ mx ≤ 5 |
|
| 2 |
| `luf,1 = `lufc – 0,01(5,3 + 1,3 | |
| 3 |
| - |
|
| 4 |
|
| |
| Các ký hiệu trong Bảng 24:
| |||
| CHÚ THÍCH 1: Khi 5 < mx ≤ 20 thì giá trị CHÚ THÍCH 2: Khi Độ mảnh của cấu kiện | |||
9.4.8 Đối với bản cánh (bản bụng) có uốn mép (xem Hình 7), giá trị độ mảnh quy ước giới hạn
(
) xác định được theo các công thức trong Bảng 24 cần được nhân với hệ số 1,5.
Kích thước đoạn uốn mép cần được xác định theo 7.3.10.
9.4.9 Trong trường hợp, nếu việc kiểm tra theo độ mảnh giới hạn trong hai mặt phẳng (xem 10.4) đóng vai trò quyết định khi lựa chọn tiết diện các cấu kiện chịu nén lệch tâm và chịu nén uốn thì giá trị độ mảnh quy ước giới hạn của bản bụng
tính theo các công thức trong Bảng 23, cũng như bản cánh tính theo các công thức trong Bảng 24 và theo 9.4.8, cần được tăng lên bằng cách nhân với hệ số
N (trong đó φm là giá trị nhỏ nhất trong các giá trị φe, cφy, φexy đã được sử dụng khi kiểm tra ổn định của cấu kiện), nhưng tăng không quá 1,25 lần.
9.4.10 Kiểm tra ổn định cục bộ bản bụng và bản cánh của cấu kiện chịu kéo lệch tâm (hoặc kéo uốn) khi có ứng suất nén trong các cấu kiện này cần được thực hiện như đối với cấu kiện chịu uốn.
10 Chiều dài tính toán và độ mảnh giới hạn của cấu kiện
10.1 Chiều dài tính toán của các thanh trong giàn phẳng, nhánh cột và hệ giằng
10.1.1 Chiều dài tính toán trong mặt phẳng Lef và ngoài mặt phẳng Lef,1 của các thanh chịu nén trong giàn phẳng và hệ giằng (Hình 15a, b, c, d), trừ các thanh nêu trong 10.1.2 và 10.1.3, được lấy theo Bảng 25.

CHÚ DẪN:
| 1 Thanh đứng gối tựa | 3 Thanh cánh trên | 5 Thanh xiên gối tựa | 7 Thanh phân nhỏ |
| 2 Thanh đứng | 4 Thanh cánh dưới | 6 Thanh xiên |
|
Hình 15 - Sơ đồ xác định chiều dài tính toán của các thanh chịu nén trong hệ thanh bụng của giàn (các ký hiệu xem trong Bảng 25)
Bảng 25 - Chiều dài tính toán của các thanh chịu nén trong giàn phẳng và hệ giằng
| Phương uốn dọc của các thanh trong giàn phẳng và hệ giằng | Các giá trị Lef và Lef,1 của | ||
| thanh cánh | thanh xiên gối tựa, thanh đứng gối tựa | các thanh bụng khác | |
| 1. Trong mặt phẳng giàn, Lef : a) Đối với giàn, trừ giàn nêu ở điểm 1b | L | L | 0,8L |
| b) Đối với giàn làm bằng các thanh là thép góc đơn và giàn có các thanh bụng liên kết chữ T với các thanh cánh | L | L | 0,9L |
| 2. Theo phương vuông góc với mặt phẳng giàn (ngoài mặt phẳng giàn), Lef,1: |
|
|
|
| a) Đối với giàn, trừ giàn nêu ở điểm 2b | L1 | L1 | L1 |
| b) Đối với giàn có các thanh bụng liên kết chữ T với các thanh cánh | L1 | L1 | 0,9L1 |
| 3. Theo phương bất kỳ Lef = Lef,1 đối với giàn làm bằng các thanh là thép góc đơn khi khoảng cách giữa các điểm liên kết các thanh trong mặt phẳng và ngoài mặt phẳng giàn bằng nhau | 0,85L | L | 0,85L |
| Các ký hiệu trong Bảng 25 (xem Hình 15): L là chiều dài hình học của thanh (khoảng cách giữa tâm các nút gần nhau) trong mặt phẳng giàn; L1 là khoảng cách giữa các nút có liên kết chặn chuyển vị ngoài mặt phẳng giàn (bởi các thanh cánh gián, các thanh giằng đặc biệt, các tấm mái cứng được hàn hoặc bắt bu lông chặt với cánh giàn và tương tự). | |||
10.1.2 Các chiều dài tính toán Lef và Lef,1 của thanh cánh trên của giàn (thanh liên tục) tiết diện không đổi có lực nén hoặc lực kéo khác nhau trên các đoạn (số đoạn có chiều dài bằng nhau k ≥ 2) với giả thiết liên kết khớp (Hình 16a) giữa các thanh bụng và các thanh giằng, được xác định theo các công thức:
- Trong mặt phẳng giàn:
![]()
trong đó: α là tỉ số giữa lực liền kề với lực lớn nhất và lực lớn nhất trong các khoang giàn; khi đó -0,55 ≤ α ≤ 1;
- Ngoài mặt phẳng giàn:
![]()
trong đó: β là tỉ số giữa tổng các lực (trừ lực lớn nhất) trên tất cả các đoạn (của chiều dài đang xét ngoài mặt phẳng giữa các điểm liên kết thanh cánh) và lực lớn nhất; khi đó -0,5 ≤ β ≤ (k - 1). Khi tính thông số β trong công thức (136) thì lực kéo trong các thanh phải được lấy với dấu "âm”.
Các chiều dài tính toán Lef và Lef,1 của nhánh cột rỗng tiết diện không đổi (thanh liên tục) có lực nén khác nhau trên các đoạn (số đoạn có chiều dài bằng nhau k ≥ 2) với các điều kiện biên là một đầu thanh (đầu dưới) được ngàm cứng, còn đầu kia - tựa khớp trong mặt phẳng hệ thanh bụng khi các thanh bụng liên kết khớp với thanh liên tục (Hình 16b), được xác định theo các công thức:
- Trong mặt phẳng nhánh:
![]()
trong đó:
α là tỉ số giữa lực liền kề với lực lớn nhất và lực lớn nhất tại vị trí ngàm; khi đó 0 < α ≤ 1;
- Ngoài mặt phẳng nhánh:
![]()
trong đó:
β là tỉ số giữa tổng các lực (trừ lực lớn nhất) trên tất cả các đoạn và lực lớn nhất tại vị trí ngàm; khi đó 0 ≤ β ≤ (k - 1).
Trong cả hai trường hợp L là chiều dài một đoạn (xem các hình 15 và 16), L1, là khoảng cách giữa các điểm giằng ngoài mặt phẳng thanh (xem Hình 16), và tính toán ổn định cần được thực hiện với lực lớn nhất.

CHÚ DẪN:
1 Các thanh giằng
2 Các thanh cánh trên của các giàn
Hình 16 - Các sơ đồ xác định chiều dài tính toán của các thanh
10.1.3 Chiều dài tính toán Lef,1 (khi nó không phụ thuộc vào tỉ số lực) của các thanh có liên kết với nhau trong hệ thanh bụng chữ thập (xem Hình 15e) được lấy theo Bảng 26.
Chiều dài tính toán của các thanh giằng giao nhau (xem mặt nhìn 1-1 Hình 16a) được xác định theo G.5 trong Phụ lục G.
10.1.4 Khi xác định độ mảnh của thanh làm bằng thép góc đơn, bán kính quán tính i của tiết diện thanh được lấy như sau:
- Khi chiều dài tính toán của thanh không nhỏ hơn 0,85L (trong đó L là khoảng cách giữa tâm các nút gần nhau): lấy bằng giá trị nhỏ nhất (i = imin);
- Trong các trường hợp khác: lấy đối với trục (của thép góc) vuông góc hoặc song song với mặt phẳng giản (i = ix hoặc i = iy) phụ thuộc vào phương uốn dọc.
Bảng 26 - Chiều dài tính toán ngoài mặt phẳng giàn Lef,1 của các thanh trong hệ thanh bụng chữ thập
| Kết cấu nút giao các thanh của hệ thanh bụng chữ thập | Giá trị Lef,1 khi thanh giao với thanh đang xét | ||
| chịu kéo | không chịu lực | chịu nén | |
| 1. Cả hai thanh - liên tục | L | 0,7L1 | L1 |
| 2. Thanh giao với thanh đang xét - gián đoạn và được phủ bằng bản mã: |
|
|
|
| a) Thanh đang xét - liên tục | 0,7L1 | L1 | 1,4 L1 |
| b) Thanh đang xét - gián đoạn và được phủ bằng bản mã | 0,7L1 |
|
|
| Các ký hiệu trong Bảng 26 (xem Hình 15e): L là khoảng cách từ tâm nút giàn (giằng) đến điểm giao các thanh; L1 là tổng chiều dài hình học của thanh. | |||
10.2 Chiều dài tính toán của các thanh trong kết cấu không gian rỗng, bao gồm cả kết cấu lưới thanh không gian
10.2.1 Chiều dài tính toán Lef của các thanh trong kết cấu lưới thanh không gian được lấy theo Bảng 27 (L là chiều dài hình học của thanh - khoảng cách giữa tâm các nút của kết cấu lưới thanh không gian).
Bảng 27 - Chiều dài tính toán Lef của các thanh trong kết cấu lưới thanh không gian
| Các thanh của kết cấu lưới thanh không gian | Giá trị Lef |
| 1. Các thanh, trừ các thanh nêu ở các điểm 2 và 3 | L |
| 2. Các thanh cánh liên tục (không gián đoạn tại nút), cũng như các thanh cánh và thanh bụng được liên kết hàn đối đầu tại nút với chi tiết nút cầu hoặc trụ | 0,85L |
| 3. Các thanh làm bằng thép góc đơn được liên kết tại nút theo một cánh: a) Bằng đường hàn hoặc bu lông (không ít hơn hai bu lông) bố trí dọc theo thanh khi: |
|
| L/imin ≤ 90 | L |
| 90 < L/imin ≤ 120 | 0,9L |
| 120 < L/imin ≤ 150 (chỉ đối với các thanh bụng) | 0,75L |
| 150 < L/imin ≤ 200 (chỉ đối với các thanh bụng) | 0,7L |
| b) Bằng một bu lông khi: |
|
| L/imin ≤ 90 | L |
| 90 < L/imin ≤ 120 | 0,95L |
| 120 < L/imin ≤ 150 (chỉ đối với các thanh bụng) | 0,85L |
| 150 < L/imin ≤ 200 (chỉ đối với các thanh bụng) | 0,8L |
10.2.2 Khi xác định độ mảnh của các thanh trong kết cấu lưới thanh không gian, bán kính quán tính i của tiết diện thanh được lấy như sau:
- Đối với các thanh chịu nén uốn: lấy đối với trục vuông góc hoặc song song với mặt phẳng uốn (i = ix hoặc i = iy);
- Trong các trường hợp còn lại: lấy bằng giá trị nhỏ nhất (i = imin).
10.2.3 Khi xác định độ mảnh của các thanh chịu nén, chịu kéo và các thanh không chịu lực trong kết cấu không gian rỗng (Hình 17) làm bằng thép góc đơn, chiều dài tính toán Lef và bán kính quán tính i của tiết diện các thanh này lấy theo các bảng 28, 29 và 30.


a), b), c) Các nút ở hai mặt liền nhau trùng nhau; d), e) Các nút ở hai mặt liền nhau không trùng nhau; f) Một số nút ở hai mặt liền nhau trùng nhau
CHÚ DẪN:
1 Thanh cánh
2 Thanh xiên
3 Thanh ngang
Hình 17 - Các sơ đồ kết cấu không gian rỗng
Bảng 28 - Chiều dài tính toán Lef và bán kính quán tính i của các thanh trong kết cấu không gian rỗng
| Các thanh của kết cấu không gian rỗng | Các thanh chịu nén và các thanh không chịu lực | Các thanh chịu kéo | ||
| Lef | i | Lef | i | |
| 1. Các thanh cánh: |
|
|
|
|
| a) Theo Hình 17a, b, c | Lm | imin | Lm | imin |
| b) Theo Hình 17d, e | 0,73 Lm | imin | 0,73Lm | imin |
| c) Theo Hình 17f | 0,64 Lm | imin | 0,64 Lm | imin |
| 2. Các thanh xiên: |
|
|
|
|
| a) Theo Hình 17a, e | µdLdc | imin | Ld (Ld1) | imin (ix) |
| b) Theo Hình 17b, c, d, f | µdLdc | imin | Ld | imin |
| 3. Các thanh ngang: |
|
|
|
|
| a) Theo Hình 17b, f | 0,8Lc | imin | - | - |
| b) Theo Hình 17c | 0,73Lc | imin | - | - |
| Các ký hiệu trong Bảng 28 (Hình 17): Ldc là chiều dài quy ước của thanh xiên, lấy theo Bảng 29; µd là hệ số chiều dài tính toán của thanh xiên, lấy theo Bảng 30. | ||||
| CHÚ THÍCH 1: Các thanh xiên theo Hình 17a, e phải được liên kết với nhau tại các giao điểm của chúng. CHÚ THÍCH 2: Giá trị Lef của các thanh ngang theo Hình 17c là dành cho các thanh thép góc cạnh đều. CHÚ THÍCH 3: Trong ngoặc đơn là các giá trị Lef và i ngoài mặt phẳng (so với mặt kết cấu) cho các thanh xiên. | ||||
Bảng 29 - Chiều dài quy ước của thanh xiên Ldc
| Kết cấu nút giao các thanh xiên của hệ thanh bụng | Giá trị Ldc của thanh xiên khi thanh giao với thanh đang xét | ||
| chịu kéo | không chịu lực | chịu nén | |
| 1. Cả hai thanh liên tục | Ld | 1,3 Ld | 0,8 Ld1 |
| 2. Thanh giao với thanh đang xét - gián đoạn và được phủ bản mã; thanh đang xét liên tục: |
|
|
|
| a) Trong kết cấu theo Hình 17a | 1,3Ld | 1,6Ld | Ld1 |
| b) Trong kết cấu theo Hình 17e | (1,75 - 0,15n)Ld | (1,9 - 0,1n)Ld | Ld1 |
| 3. Nút giao các thanh xiên được liên kết chặn chuyển vị ngoài mặt phẳng chứa các thanh xiên đó (bằng vách cứng và tương tự) | Ld | Ld | Ld |
| Các ký hiệu trong Bảng 29 (Hình 17): n = Im,min Ld, (Id,min Lm), trong đó Im,min và Id,min là các mô men quán tính nhỏ nhất của tiết diện thanh cánh và thanh xiên tương ứng. | |||
| CHÚ THÍCH: Khi n < 1 và n > 3 thì trong các công thức của bảng này lấy n = 1 và n = 3 tương ứng. | |||
Bảng 30 - Hệ số chiều dài tính toán của thanh xiên µd
| Liên kết của thanh xiên với các thanh cánh | Giá trị n | Giá trị µd khi L/imin bằng | ||
| ≤ 60 | > 60; ≤ 160 | > 160 | ||
| 1. Bằng đường hàn hoặc bu lông (không ít hơn 2) bố trí dọc theo thanh xiên | < 2 | 1,14 | 0,54 + 36(imin/L) | 0,765 |
| > | 1,04 | 0,54 + 28,8(imin/L) | 0,740 | |
| 2. Bằng một bu lông không bản mã | Bất kỳ | 1,12 | 0,64 + 28,8(imin/L) | 0,820 |
| Các ký hiệu trong Bảng 30: n lấy theo Bảng 29; L là chiều dài thanh, lấy bằng đối Ld đối với các thanh xiên theo Hình 17b, c, d, f và bằng Ldc theo Bảng 29 - đối với các thanh xiên theo Hình 17a, e. | ||||
| CHÚ THÍCH 1: Giá trị µd khi 2 ≤ n ≤ 6 được xác định bằng nội suy tuyến tính. CHÚ THÍCH 2: Khi liên kết trực tiếp một đầu của thanh xiên với thanh cánh bằng đường hàn hoặc bu lông, còn đầu kia qua bản mã thì hệ số chiều dài tính toán của thanh xiên lấy bằng 0,5(1 + µd); khi liên kết cả hai đầu thanh xiên qua bản mã thì lấy µd = 1,0. | ||||
10.2.4 Để xác định chiều dài tính toán của các thanh xiên theo Hình 17c khi chúng liên kết không bản mã với thanh ngang và thanh cánh bằng đường hàn hoặc bu lông (không ít hơn 2) bố trí dọc theo thanh xiên, giá trị hệ số chiều dài tính toán µd được lấy theo Bảng 30 với giá trị n "< 2”. Trong trường hợp liên kết các đầu thanh xiên bằng một bu lông thì giá trị µd được lấy theo điểm 2 của Bảng 30, còn khi tính giá trị Lef theo Bảng 28 thì thay µd bằng 0,5(1 + µd).
10.2.5 Chiều dài tính toán Lef và bán kính quán tính i của thanh thép ống hoặc thanh ghép từ hai thép góc được lấy theo 10.1.1 đến 10.1.3.
10.3 Chiều dài tính toán của cột
10.3.1 Chiều dài tính toán Lef của cột tiết diện không đổi hoặc của các đoạn cột bậc được xác định theo công thức:
Lef = µL (139)
trong đó:
L là chiều dài cột, chiều dài các đoạn cột hoặc chiều cao tầng;
µ là hệ số chiều dài tính toán.
10.3.2 Khi xác định hệ số chiều dài tính toán của cột thì giá trị lực dọc trong các thanh của hệ được lấy trong tổ hợp tải trọng mà dùng để kiểm tra ổn định của cột theo các điều 7, 9.
Giá trị hệ số chiều dài tính toán µ đối với cột tiết diện không đổi và các đoạn cột bậc với bất kỳ tổ hợp tải trọng nào được lấy như đối với cột tiết diện không đổi và các đoạn cột bậc trong kết cấu đang tính với tổ hợp tải trọng cho giá trị lực dọc lớn nhất.
Khi đó, phải phân biệt khung không tự do (khung có liên kết chặn chuyển vị ngang), trong đó các nút liên kết xà với cột không có chuyển vị tự do theo phương vuông góc với trục cột trong mặt phẳng khung, và khung tự do (khung không có liên kết chặn chuyển vị ngang), trong đó có thể có chuyển vị vừa nêu (xem Hình 1).
10.3.3 Hệ số chiều dài tính toán µ của cột tiết diện không đổi được xác định phụ thuộc vào điều kiện liên kết ở hai đầu cột và loại tải trọng. Đối với các sơ đồ liên kết hai đầu cột xác định và loại tải trọng thì giá trị µ được nêu trong Bảng 31.
Hệ số chiều dài tính toán của cột chịu tải trọng không đều được nêu trong Bảng G.6 (Phụ lục G). Hệ số chiều dài tính toán của cột tiết diện không đổi có liên kết đàn hồi hai đầu được nêu trong Bảng G.7 (Phụ lục G).
Bảng 31 - Hệ số chiều dài tính toán µ của cột tiết diện không đổi phụ thuộc vào điều kiện liên kết ở hai đầu cột và loại tải trọng
| Sơ đồ liên kết cột và loại tải trọng |
|
|
|
|
|
|
|
|
| Hệ số µ | 1,0 | 0,7 | 0,5 | 2,0 | 1,0 | 2,0 | 0,725 | 1,12 |
10.3.4 Hệ số chiều dải tính toán µ của cột tiết diện không đổi trong mặt phẳng khung tự do hoặc khung không tự do với tải trọng tác dụng như nhau vào các nút nằm trên cùng một mức cao độ được xác định theo các công thức trong Bảng 32. Đối với các khung tự do có liên kết cứng đế cột (0,03 ≤ p ≤ 50 ) và liên kết khớp giữa xà với đỉnh cột thì trong các công thức (141) và (142) lấy n = 0.
Bảng 32 - Hệ số chiều dài tính toán µ của cột tiết diện không đổi trong mặt phẳng khung với tải trọng tác dụng như nhau vào các nút nằm trên cùng một mức cao độ
| Sơ đồ khung | Hệ số | Hệ số µ | |
| p | n | ||
| 1. Khung tự do | |||
|
| 0 |
|
|
|
| |||
|
| ∞ |
|
|
|
| |||
|
| Tầng trên cùng |
| |
|
|
| ||
| Tầng giữa | |||
|
|
| ||
| Tầng dưới cùng | |||
|
|
| ||
|
| Các trường hợp riêng |
| |
|
| 0 | ≥ 0,03; ≤ 0,20 |
|
| > 0,20 |
| ||
| ≥ 0,03; ≤ 50 | ∞ |
| |
| ∞ | ≥ 0,03; ≤ 0,20 |
| |
| > 0,20 |
| ||
| 2. Khung không tự do | |||
|
| Tầng trên cùng |
| |
| 0,5 (p1 + p2) | n1 + n2 | ||
| Tầng giữa | |||
| 0,5 (p1 + p2) | 0,5 (n1 + n2) | ||
| Tầng dưới cùng | |||
| p1 + p2 | 0,5 (n1 + n2) | ||
|
| Các trường hợp riêng |
| |
| 0 |
|
| |
|
| ∞ |
|
|
| Các ký hiệu trong Bảng 32: Is1, Is2 là các mô men quán tính của tiết diện các xà liên kết với đầu trên của cột được kiểm tra; Ii1, Ii2 là các mô men quán tính của tiết diện các xà liên kết với đầu dưới của cột được kiểm tra; Ic, Lc lần lượt là mô men quán tính của tiết diện và chiều dài của cột được kiểm tra; L, L1, L2 là các nhịp khung; k là số nhịp;
| |||
| CHÚ THÍCH: Đối với cột biên của khung tự do nhiều nhịp thì hệ số µ được xác định với các giá trị p và n như đối với cột của khung một nhịp. | |||
10.3.5 Khi tỷ số H/B > 6 (H là tổng chiều cao của khung tự do nhiều tầng, B là chiều rộng của khung), phải kiểm tra ổn định tổng thể của khung như một thanh tổ hợp được ngàm ở chân và tự do phía trên đỉnh.
10.3.6 Đối với khung tự do một tầng và có tấm mái cứng hoặc có hệ giằng dọc nối đỉnh của tất cả các cột, khi tải trọng tại đỉnh các cột không đều nhau, thì hệ số chiều dài tính toán µef của cột chịu lực nhiều nhất trong mặt phẳng khung được xác định theo công thức:
![]()
trong đó:
µ là hệ số chiều dài tính toán của cột được kiểm tra, được tính theo các công thức (140) và (141);
Ic, Nc tương ứng là mô men quán tính của tiết diện và lực trong cột chịu lực lớn nhất của khung đang xét;
∑Ni, ∑Ii tương ứng là tổng lực tính toán và tổng mô men quán tính của tiết diện tất cả các cột của khung đang xét và 4 khung liền kề (2 khung mỗi phía); tất cả các lực Ni đều được xác định trong cùng một tổ hợp tải trọng gây nên lực Nc trong cột đang được kiểm tra.
10.3.7 Hệ số chiều dài tính toán µ của các đoạn cột bậc trong mặt phẳng khung được xác định theo Phụ lục G hoặc trên cơ sở sơ đồ tính toán mà kể đến được các điều kiện thực tế về liên kết các đầu cột có xét đến các yêu cầu trong 10.3.1 và 10.3.2.
Khi xác định hệ số chiều dài tính toán µ đối với các cột bậc của khung nhà công nghiệp một tầng thì không kể đến ảnh hưởng mức chất tải và độ cứng của các cột liền kề; đối với khung nhiều nhịp (từ hai nhịp trở lên), khi có tấm mái cứng hoặc hệ giằng dọc (nối đỉnh của tất cả các cột và đảm bảo được sự làm việc không gian của công trình) thì chiều dài tính toán của các cột được xác định như đối với các cột được liên kết cố định ở mức cao độ xà.
10.3.8 Hệ số chiều dài tính toán µ mà đã được xác định đối với cột của khung tự do một tầng (khi không có tấm mái cứng) và nhiều tầng khi kể đến ảnh hưởng của đặc điểm biến dạng của hệ dưới tải trọng được giảm xuống bằng cách nhân với hệ số Ψ xác định theo công thức:

trong đó:

là độ mảnh quy ước của cột, được tính có kể đến các yêu cầu trong 7.3.2 và 7.3.3.
Giá trị tính toán của lực dọc N và mô men uốn M trong khung tự do đang tính được xác định theo 9.2.3.
Giá trị mô men uốn M1 cần được xác định trong cùng một tổ hợp tải trọng và tại cùng một tiết diện cột mà ở đó có mô men M tác dụng, khi coi khung trong trường hợp tính toán này là khung không tự do.
10.3.9 Chiều dài tính toán của cột theo phương dọc nhà (ngoài mặt phẳng khung) được lấy bằng khoảng cách giữa các điểm liên kết chặn chuyển vị ngoài mặt phẳng khung (các gối tựa của cột, dầm đỡ cầu trục và giàn đỡ vì kèo; các nút liên kết của hệ giằng và xà; và tương tự) hoặc được xác định trên cơ sở sơ đồ tính toán mà kể đến được các điều kiện liên kết thực tế các đầu cột.
10.3.10 Chiều dài tính toán của các nhánh trụ phẳng đỡ băng tải được lấy như sau:
- Theo phương dọc băng tải: lấy bằng chiều cao trụ (tính từ đáy chân đế đến trục cánh dưới của giàn hoặc dầm) nhân với hệ số µ được xác định như đối với các cột tiết diện không đổi phụ thuộc vào điều kiện liên kết các đầu của chúng;
- Theo phương ngang băng tải (trong mặt phẳng trụ): lấy bằng khoảng cách giữa tâm các nút; khi đó cần kiểm tra ổn định tổng thể của trụ như một thanh tổ hợp được ngàm vào móng và tự do phía trên đỉnh.
10.3.11 Việc xác định chiều dài tính toán của cột, kể cả các thanh chịu nén của kết cấu không gian rỗng, bằng phần mềm chuyên dụng được thực hiện với giả thiết sự làm việc đàn hồi của thép theo sơ đồ không biến dạng.
10.4 Độ mảnh giới hạn của cấu kiện
10.4.1 Độ mảnh của các cấu kiện λ = Lef/i không được vượt quá giá trị giới hạn λu nêu trong Bảng 33 đối với cấu kiện chịu nén và trong Bảng 34 đối với cấu kiện chịu kéo.
Bảng 33 - Độ mảnh giới hạn của cấu kiện chịu nén λu
| Cấu kiện kết cấu | Giá trị λu |
| 1. Thanh cánh, thanh xiên gối tựa và thanh đứng gối tựa truyền phản lực gối tựa của: a) Giàn phẳng; kết cấu lưới thanh không gian và kết cấu không gian rỗng làm bằng thép ống hoặc tổ hợp từ hai thép góc với chiều cao đến 50 m b) Kết cấu không gian rỗng làm bằng thép góc đơn, cũng như kết cấu không gian rỗng làm bằng thép ống hoặc tổ hợp từ hai thép góc với chiều cao trên 50 m | 180-60α
120 |
| 2. Các thanh (trừ các thanh nêu ở các điểm 1 và 7) của: a) Giàn phẳng; kết cấu không gian rỗng và kết cấu lưới thanh không gian được hàn từ các thép góc đơn; kết cấu không gian rỗng và kết cấu lưới thanh không gian làm bằng thép ống hoặc tổ hợp từ hai thép góc b) Kết cấu không gian rỗng và kết cấu lưới thanh không gian làm bằng thép góc đơn dùng liên kết bu lông |
210-60α
220-40α |
| 3. Thanh cánh trên của giàn không được chống giữ tạm trong quá trình lắp dựng (khi đã lắp dựng xong thì độ mảnh giới hạn lấy theo điểm 1) | 220 |
| 4. Các cột chính | 180-60α |
| 5. Các cột phụ (cột của khung tường, cửa trời và tương tự); các thanh giằng của cột rỗng; các thanh của hệ giằng đứng giữa các cột (ở dưới dầm đỡ cầu trục); các dầm và xà gồ, có kể đến sự làm việc chịu nén | 210 - 60α |
| 6. Các thanh giằng (trừ các thanh nêu ở điểm 5), cũng như các thanh dùng để giảm chiều dài tính toán của các thanh chịu nén, và các thanh không chịu lực khác (trừ các thanh nêu ở điểm 7) | 200 |
| 7. Các thanh chịu nén và các thanh không chịu lực tiết diện chữ T và chữ thập của kết cấu không gian rỗng chịu tải trọng gió, khi kiểm tra độ mảnh trong mặt phẳng thẳng đứng | 150 |
| Các ký hiệu trong Bảng 33: α = N/(φAfydγc) là hệ số, lấy không nhỏ hơn 0,5 (trong các trường hợp thích hợp thì thay φ bằng φe ). |
|
Bảng 34 - Độ mảnh giới hạn của cấu kiện chịu kéo λu
| Cấu kiện kết cấu | Giá trị λu khi kết cấu chịu tải trọng | ||
| động đặt trực tiếp lên kết cấu | tĩnh | cầu trục (xem CHÚ THÍCH 4) và toa tàu | |
| 1. Thanh cánh và thanh xiên gối tựa của giản phẳng (kể cả giàn hãm) và của kết cấu lưới thanh không gian | 250 | 400 | 250 |
| 2. Các thanh của giàn và của kết cấu lưới thanh không gian (trừ các thanh nêu ở điểm 1) | 350 | 400 | 300 |
| 3. Cánh dưới của dầm (hoặc giàn) đỡ cầu trục | - | - | 150 |
| 4. Các thanh của hệ giằng đứng giữa các cột (ở dưới dầm đỡ cầu trục) | 300 | 300 | 200 |
| 5. Các thanh giằng khác | 400 | 400 | 300 |
| 6. Thanh cánh và thanh xiên gối tựa của cột và xà ngang; thanh neo xà ngang của cột đường dây tải điện trên không | 250 | - | - |
| 7. Các thanh của cột đường dây tải điện và cột thiết bị phân phối điện ngoài trời (trừ các thanh ở các điểm 6 và 8) | 350 | - | - |
| 8. Các thanh tiết diện chữ T hoặc chữ thập của kết cấu không gian rỗng (còn trong các thanh neo xà ngang của cột đường dây tải điện trên không - làm bằng cả thép góc đơn) chịu tác dụng của tải trọng gió, khi kiểm tra độ mảnh trong mặt phẳng thẳng đứng | 150 | - | - |
| CHÚ THÍCH 1: Trong các kết cấu không chịu tải trọng động, độ mảnh của thanh chịu kéo chỉ cần kiểm tra trong mặt phẳng thẳng đứng. CHÚ THÍCH 2: Đối với các thanh giằng (điểm 5) mà độ võng của chúng dưới tác dụng của trọng lượng bản thân không vượt quá L/150 khi chịu tải trọng tĩnh thi lấy λu = 500. CHÚ THÍCH 3: Không hạn chế độ mảnh của thanh chịu kéo do ứng suất trước. CHÚ THÍCH 4: Giá trị Độ mảnh giới hạn được lấy đối với cầu trục có chế độ làm việc A7 (trong các xưởng sản xuất kim loại) và A8 phù hợp với TCVN 8590-1:2010 (ISO 4301-1:1986). CHÚ THÍCH 5: Đối với cánh dưới của dầm và giàn đỡ cầu trục khi cầu trục có chế độ làm việc A1 đến A6 theo TCVN 8590-1:2010 (ISO 4301-1:1986) thì lấy λu = 200. CHÚ THÍCH 6: Tải trọng động đặt trực tiếp lên kết cấu là tải trọng dùng để tính toán chịu mỏi hoặc khi tính toán có kể đến hệ số động lực theo TCVN 2737:2023. | |||
10.4.2 Đối với các cấu kiện của kết cấu được xếp vào nhóm 4 theo Bảng A.1 (Phụ lục A) của nhà và công trình thuộc tất cả các cấp (theo [2]), giá trị độ mảnh giới hạn được tăng thêm 10 %.
11 Kết cấu vỏ
11.1 Tính toán độ bền
11.1.1 Tính toán độ bền của kết cấu vỏ (vỏ tròn xoay) ở trạng thái phi mô men theo công thức:
![]()
trong đó:
σx và σy là các ứng suất pháp theo hai phương vuông góc với nhau;
là ứng suất tiếp;
γc là hệ số điều kiện làm việc của kết cấu, được lấy theo Bảng 35.
Khi đó, giá trị tuyệt đối của các ứng suất chính không được lớn hơn fydγc.
Bảng 35 - Hệ số điều kiện làm việc của kết cấu γc
| Cấu kiện | Giá trị γc |
| 1. Thành bể chứa hình trụ đứng khi tính toán độ bền: a) Khoang dưới (có kể đến đầu nối) b) Các khoang còn lại c) Liên kết thành bể với đáy bể |
0,7 0,8 1,2 |
| 2. Thành bể chứa hình trụ đứng khi tính toán ổn định | 1,0 |
| 3. Mái cầu và mái nón khi tính toán kết cấu theo lý thuyết phi mô men | 0,9 |
11.1.2 Các ứng suất trong vỏ mỏng tròn xoay tính theo trạng thái phi mô men (Hình 18), chịu áp lực của chất lỏng, chất khí hoặc vật liệu rời được xác định theo công thức:

trong đó:
σ1, và σ2 là các ứng suất tương ứng theo phương kinh tuyến và phương vòng;
F là hình chiếu lên trục z-z của toàn bộ áp lực tính toán tác dụng lên phần vỏ abc (xem Hình 18);
r và β là bán kính và góc như trên Hình 18;
p là áp lực tính toán trên bề mặt vỏ;
t là chiều dày vỏ;
r1 và r2 là các bán kính cong theo các phương chính của mặt trung bình của vỏ.

Hình 18 - Sơ đồ vỏ tròn xoay
11.1.3 Đối với vỏ mỏng kín tròn xoay chịu áp lực phân bố đều bên trong, khi tính theo trạng thái phi mô men các ứng suất được xác định theo các công thức:
- Đối với vỏ trụ:
![]()
- Đối với vỏ cầu:
![]()
- Đối với vỏ nón:
![]()
trong đó:
p là áp lực bên trong tính toán trên một đơn vị diện tích bề mặt vỏ;
r là bán kính mặt trung bình của vỏ (Hình 19);
β là góc giữa đường sinh của mặt nón và trục z-z của mặt nón (Hình 19).

Hình 19 - Sơ đồ vỏ nón tròn xoay
11.1.4 Khi kiểm tra độ bền của vỏ ở các chỗ vỏ thay đổi hình dạng hoặc chiều dày, cũng như thay đổi tải trọng cần kể đến ứng suất cục bộ (hiệu ứng biên).
11.1.5 Tính toán ứng suất và nội lực trong các vỏ có hình dạng bất kỳ cần được thực hiện phù hợp với các yêu cầu từ 11.1.2 đến 11.1.4, cũng như có sử dụng phần mềm chuyên dụng khi tính toán theo sơ đồ kết cấu không gian.
11.2 Tính toán ổn định
11.2.1 Tính toán ổn định của vỏ trụ kín tròn xoay chịu nén đều song song với đường sinh được thực hiện theo công thức:
trong đó:
s1 là ứng suất tính toán trong vỏ;
scr, 1 là ứng suất tới hạn, lấy như sau:
- khi r/t ≤ 300: lấy bằng giá trị nhỏ hơn trong hai giá trị: Ψ/fyd hoặc cEt/r (với r là bán kính mặt trung bình của vỏ; t là chiều dày vỏ);
- khi r/t > 300: lấy bằng cEt/r.
Giá trị hệ số Ψ khi 0 < r/t ≤ 300 được xác định theo công thức:
![]()
Giá trị hệ số c được xác định theo Bảng 36.
Bảng 36 - Hệ số c
| r/t | 100 | 200 | 300 | 400 | 600 | 800 | 1 000 | 1 500 | 2 500 |
| c | 0,22 | 0,18 | 0,16 | 0,14 | 0,11 | 0,09 | 0,08 | 0,07 | 0,06 |
Trong trường hợp nén lệch tâm song song với đường sinh hoặc chịu uốn thuần tuý trong mặt phẳng đường kính, nếu ứng suất tiếp ở chỗ mô men uốn lớn nhất
thì giá trị của ứng suất σcr,1 được tăng lên (1,1 – 0,1σ'1 / σ1 ) lần, trong đó σ'1 là ứng suất nhỏ nhất (ứng suất kéo được quy ước là ứng suất âm).
11.2.2 Đối với ống thép mà đã được tính toán như thanh chịu nén hoặc nén lệch tâm khi độ mảnh quy ước
thì cần thỏa mãn điều kiện
. Các ống thép này cần được tính toán theo công thức:
![]()
trong đó:

Nếu
thì không yêu cầu phải tính toán ổn định của thành các ống không có đường hàn
dọc hoặc các ống hàn điện. Các ống thép này chỉ cần được kiểm tra ổn định tổng thể theo các yêu cầu nêu trong các điều 7 và 9.
11.2.3 Panen vỏ trụ tựa theo hai đường sinh và hai vòng cung, chịu nén đều dọc theo các đường sinh, khi b2/(rt) ≤ 20 (trong đó b là chiều rộng panen, đo theo vòng cung), được tính toán ổn định như đối với bản theo các công thức:
- Khi ứng suất tính toán σ ≤ 0,8fyd:
![]()
- Khi ứng suất tính toán σ = fyd:
![]()
- Khi 0,8fyd < σ < fyd thì tỉ số lớn nhất b/t được xác định bằng nội suy tuyến tính.
Nếu b2/(rt) > 20 thì panen được tính toán ổn định như đối với vỏ theo các yêu cầu trong 11.2.1.
11.2.4 Tính toán ổn định của vỏ trụ kín tròn xoay, chịu tác dụng của áp lực phân bố đều từ phía ngoài p vuông góc với mặt vỏ, được thực hiện theo công thức:
trong đó:
σ 2 = pr/t là ứng suất vòng tính toán trong vỏ;
σ cr,2 là ứng suất tới hạn, xác định theo các công thức:
- khi 0,5 ≤ L/r ≤10:
![]()
- khi L/r ≥ 20 :
![]()
- khi 10 < L/r < 20 : xác định bằng nội suy tuyến tính.
Trong các công thức (159) và (160), L là chiều dài vỏ trụ.
Nếu vỏ nêu trên được tăng cứng bằng các sườn vòng với khoảng cách giữa các trục của các sườn s ≥ 0,5r thì vỏ được tính toán ổn định theo các công thức từ (158) đến (160) nhưng thay L bằng s.
Trong trường hợp này, phải thỏa mãn điều kiện ổn định của sườn trong mặt phẳng sườn như đối với thanh chịu nén theo các yêu cầu trong 7.1.3 với N = prs và chiều dài tính toán của thanh Lef =1,8r ; khi đó, tiết diện của sườn bao gồm cả phần vỏ có chiều rộng
về mỗi bên trục sườn, còn độ mảnh quy ước của thanh
không được vượt quá 6,5.
Với sườn cứng một bên, mô men quán tính của sườn được tính đối với trục trùng với bề mặt gần nhất của vỏ.
11.2.5 Tính toán ổn định của vỏ trụ kín tròn xoay, chịu tác dụng đồng thời của các tải trọng nêu trong 11.2.1 và 11.2.4, được thực hiện theo công thức:
![]()
trong đó:
σcr,1 được tính theo các yêu cầu trong 11.2.1;
σcr,2 được tính theo các yêu cầu trong 11.2.4.
11.2.6 Tính toán ổn định của vỏ nón tròn xoay có góc nghiêng β ≤ 60 °, chịu lực nén dọc trục N (Hình 20), được thực hiện theo công thức:
![]()
trong đó:
Ncr là lực nén tới hạn, được xác định theo công thức:
Ncr = 6,28tσcr,1 rmcos2 β (163)
trong đó:
t là chiều dày vỏ;
σcr,1 là ứng suất tới hạn, được tính theo các yêu cầu trong 11.2.1 nhưng thay bán kính r bằng bán kính rm:

Hình 20 - Sơ đồ vỏ nón tròn xoay chịu lực nén dọc trục
11.2.7 Tính toán ổn định của vỏ nón tròn xoay, chịu áp lực phân bố đều p từ phía ngoài vuông góc với mặt vỏ, được thực hiện theo công thức:
![]()
trong đó:
σ2 = prm/t là ứng suất tính toán trong vỏ;
σcr, 2 là ứng suất tới hạn, được xác định theo công thức:

trong đó:
rm là bán kính, được xác định theo công thức (164);
h là chiều cao vỏ nón (khoảng cách giữa hai đáy).
11.2.8 Tính toán ổn định của vỏ nón tròn xoay, chịu tác dụng đồng thời của các tải trọng nêu trong 11.2.6 và 11.2.7, được thực hiện theo công thức:
(167)
trong đó: các giá trị của Ncr và scr,2 được tính theo các công thức (163) và (166).
11.2.9 Tính toán ổn định của vỏ cầu (hoặc chỏm cầu) có tỉ số r/t ≤ 750 , chịu áp lực phân bố đều p từ phía ngoài vuông góc với mặt vỏ, được thực hiện theo công thức:
![]()
trong đó:
σ= pr/(2t) là ứng suất tính toán;
σcr = 0,1Et/r là ứng suất tới hạn, lấy không lớn hơn fyd;
r là bán kính mặt trung bình của vỏ cầu.
12 Tính toán cấu kiện kết cấu thép chịu mỏi
12.1 Yêu cầu chung
12.1.1 Khi thiết kế kết cấu thép và các cấu kiện của kết cấu thép trực tiếp chịu tác dụng của tải trọng có số chu kỳ tải trọng nhỏ hơn 105 (được kiểm tra bằng tính toán chịu mỏi với số chu kỳ nhỏ), cũng như kết cấu thép và các cấu kiện kết cấu thép (dầm đỡ cầu trục; dầm đỡ sàn công tác; các cấu kiện kết cấu của cầu cạn đỡ bun ke, cầu cạn dỡ tải; kết cấu đỡ động cơ, v.v.) trực tiếp chịu tác dụng nhiều lần của tải trọng di động, tải trọng rung động hoặc các loại tải trọng khác có số chu kỳ tải trọng từ 105 trở lên mà dẫn tới hiện tượng mỏi (được kiểm tra bằng tính toán chịu mỏi) thì cần sử dụng các giải pháp kết cấu không gây nên tập trung đáng kể ứng suất.
Số chu kỳ tải trọng lấy theo yêu cầu công nghệ về sử dụng.
Tính toán kết cấu chịu mỏi hoặc chịu mỏi với số chu kỳ nhỏ cần được tiến hành với tác dụng của các tải trọng quy định trong TCVN 2737:2023.
Tính toán chịu mỏi cũng cần được tiến hành đối với kết cấu công trình cao (ví dụ: công trình trụ, tháp và kết cấu tương tự) chịu tác động kích động xoáy cộng hưởng.
12.1.2 Tính toán chịu mỏi cần được tiến hành theo công thức:
![]()
trong đó:
smax là giá trị tuyệt đối của ứng suất lớn nhất trong tiết diện đang xét của cấu kiện, được tính
theo tiết diện thực không kể đến hệ số động lực và các hệ số φ, φb,φe;
ffat là cường độ chịu mỏi tính toán, lấy theo Bảng 37 phụ thuộc vào cường độ tiêu chuẩn theo giới hạn bền fu của thép và vào nhóm cấu kiện và liên kết kết cấu trong Bảng H.1 (Phụ lục H);
α là hệ số, kể đến số chu kỳ tải trọng nQ và được tính như sau:
khi nQ > 3,9.106: lấy α =0,77;
khi nQ < 3,9.106: được tính theo các công thức
- đối với các nhóm cấu kiện 1 và 2:
![]()
- đối với các nhóm cấu kiện 3 đến 8:
![]()
γfat là hệ số, lấy theo Bảng 38 phụ thuộc vào trạng thái ứng suất và hệ số không đối xứng ứng suất ρ = σmin/σmax, với σmin là giá trị tuyệt đối của ứng suất nhỏ nhất trong tiết diện đang tính của cấu kiện, được tính trong cùng một tổ hợp tải trọng như khi tính σmax. Khi các ứng suất σmax và σmin khác dấu nhau thì giá trị hệ số ρ lấy dấu "âm”.
Khi tính toán theo công thức (169) phải thỏa mãn điều kiện: αffatγfat ≤ fud/γu.
Bảng 37 - Cường độ chịu mỏi tính toán ffat
Đơn vị tính bằng megapascan (MPa)
| Nhóm cấu kiện | Giá trị ffat khi cường tiêu chuẩn theo giới hạn bền fu, MPa | ||||
| ≤ 420 | > 420; ≤ 440 | > 440; ≤ 520 | > 520; ≤ 580 | > 580; ≤ 675 | |
| 1 | 120 | 128 | 132 | 136 | 145 |
| 2 | 100 | 106 | 108 | 110 | 116 |
| 3 | Đối với mọi mác thép 90 | ||||
| 4 | Đối với mọi mác thép 75 | ||||
| 5 | Đối với mọi mác thép 60 | ||||
| 6 | Đối với mọi mác thép 45 | ||||
| 7 | Đối với mọi mác thép 36 | ||||
| 8 | Đối với mọi mác thép 27 | ||||
Bảng 38 - Hệ số γfat
| Trạng thái ứng suất (đối với σmax) | Hệ số không đối xứng ứng suất, ρ | Công thức tính hệ số γfat |
| 1. Kéo | ≥ -1 và ≤ 0 | 2,5/(1,5 - ρ ) |
| > 0 và ≤ 0,8 | 2,0/(1,2 - ρ) | |
| > 0,8 và <1 | 1,0/(1,0 - ρ) | |
| 2. Nén | ≥ -1 và <1 | 2,0/(1,0 - ρ) |
12.2 Tính toán dầm đỡ cầu trục
Tính toán chịu mỏi cho dầm đỡ cầu trục cần được thực hiện theo các yêu cầu trong 12.1.1 và 12.1.2 với tác dụng của tải trọng cầu trục quy định trong TCVN 2737:2023. Khi đó, lấy α - 0,77 cho cầu trục thuộc nhóm chế độ làm việc A7 (trong các xưởng sản xuất kim loại) và A8 và lấy α = 1,1 trong các trường hợp còn lại. Tính toán chịu mỏi cho vùng phía trên của bản bụng các dầm tổ hợp đỡ cầu trục dưới tác dụng của tải trọng cầu trục quy định trong TCVN 2737:2023 cần được thực hiện theo công thức:
![]()
trong đó:
ffat là cường độ chịu mỏi tính toán, lấy đối với tất cả các mác thép như sau:
- đối với vùng phía trên chịu nén của bản bụng (tiết diện trong nhịp dầm):
với dầm có liên kết hàn: ffat = 75 MPa;
với dầm có liên kết ma sát cánh với bụng: ffat = 96 MPa;
- đối với vùng phía trên chịu kéo của bản bụng (tiết diện gối tựa của dầm liên tục):
với dầm có liên kết hàn: ffat = 65 MPa;
với dầm có liên kết ma sát cánh với bụng: ffat = 89 MPa.
Giá trị các ứng suất trong công thức (172) được xác định theo các công thức (66a), (66b), (66d) và (66e).
13 Thiết kế kết cấu thép có kể đến ngăn ngừa phá hoại giòn
13.1 Khi thiết kế kết cấu thép cần loại trừ được khả năng phá hoại giòn xuất hiện do ảnh hưởng bất lợi của tổ hợp các yếu tố sau:
- Nhiệt độ thấp làm thép chuyển sang trạng thái giòn tùy thuộc vào thành phần hóa học, cấu trúc và chiều dày thép cán;
- Tác dụng của các tải trọng di động, động và rung động;
- Ứng suất cục bộ lớn gây bởi tác dụng tập trung của tải trọng hoặc biến dạng các chi tiết của liên kết, cũng như ứng suất hàn và ứng suất dư;
- Các chỗ tập trung ứng suất hướng theo phương ngang so với phương tác dụng của ứng suất kéo.
13.2 Để ngăn ngừa phá hoại giòn kết cấu, cần:
- Lựa chọn loại thép theo các yêu cầu trong 5.1.2;
- Tăng khối lượng kiểm tra bằng phương pháp không phá hủy khi bố trí các đường hàn trong các vùng tác dụng của ứng suất kéo vượt quá 0,4fyd;
- Sử dụng các biện pháp giảm thiểu ảnh hưởng bất lợi của sự tập trung ứng suất và biến cứng gây bởi giải pháp kết cấu hoặc xuất hiện trong các công đoạn (nguyên công) công nghệ khác nhau (nắn, uốn, cắt bằng máy, dập lỗ và tương tự);
- Tránh tạo các đường hàn giao nhau;
- Sử dụng các chi tiết chặn và các phương pháp không phá hủy kiểm tra chất lượng đường hàn - đối với các liên kết hàn;
- Chú ý tới việc kết cấu với bụng đặc thì có ít chỗ tập trung ứng suất hơn kết cấu rỗng;
- Không kéo dài các đường hàn góc cạnh đến sát trục mối nối mà cách một đoạn không ít hơn 25 mm về mỗi phía trong mối nối các cấu kiện được phủ bằng bản táp;
- Sử dụng chiều dày nhỏ nhất có thể đối với các thành phần của tiết diện (đặc biệt khi cắt mép bằng máy và dập lỗ);
- Liên kết bản mã của thanh giằng, chi tiết phụ và chi tiết thứ yếu khác vào các cấu kiện chịu kéo của kết cấu dùng bu lông.
13.3 Trong các liên kết hàn sẽ xuất hiện nguy cơ phá hoại tách lớp (khuyết tật trong thép cán được hình thành do tác dụng của hàn dưới dạng các vết nứt tách lớp song song với mặt phẳng thép cán) trong các trường hợp sau:
- Khi sử dụng thép cán có chiều dày s ≥ 25 mm làm bằng thép có mác cao hơn S355 trong liên kết chữ T, liên kết góc, cũng như ở các đường hàn thấu suốt mà một trong các chi tiết của chúng chịu ứng suất kéo theo chiều dày tấm thép;
- Khi sử dụng thép cán có các mác còn lại với chiều dày hơn 40 mm.
Khuyết tật này được phát hiện khi kiểm tra chất lượng đường hàn bằng phương pháp siêu âm.
Sự xuất hiện phá loại tách lớp phụ thuộc chủ yếu vào dạng liên kết và sự bố trí các đường hàn, vào kích thước đường hàn, chiều dày các cấu kiện được hàn, mức độ độ cứng của liên kết và công nghệ hàn, cũng như tính liên tục của thép cán phù hợp với các tiêu chuẩn tương ứng.
Để tránh được nguy cơ phá hoại tách lớp, phải:
- Tránh sử dụng đường hàn góc một bên mà dùng đường hàn góc hai bên để làm giảm tối đa tập trung biến dạng tại đỉnh đường hàn (Hình 21a);
- Tránh sử dụng (khi có thể) vát mép chữ V mà sử dụng vát mép chữ K (Hình 21 b);
- Sử dụng liên kết chữ T thay cho liên kết góc trong mọi trường hợp khi có thể (Hình 21c);
- Sử dụng giải pháp riêng để vát mép trong liên kết góc để giảm ứng suất kéo theo phương chiều dày tấm thép (Hình 21d);
- Dùng tấm thép đệm phủ bằng đường hàn đến một nửa chiều dày cấu kiện được liên kết trong liên kết góc hai cấu kiện (Hình 21e).

Hình 21 - Liên kết chữ T và liên kết góc có thể xuất hiện các vết nứt tách lớp trong kim loại cơ bản

e) Hai cấu kiện được liên kết thông qua tấm thép đệm
CHÚ THÍCH: Bên trái mũi tên: tránh sử dụng; bên phải mũi tên: nên sử dụng.
Hình 21 (Kết thúc)
13.4 Xu hướng thép cán bị phá hoại tách lớp cần được xác định khi thử kéo dựa theo giá trị độ thắt tương đối ψz trên các mẫu thử có trục vuông góc với bề mặt thép cán.
13.5 Khả năng phá hoại tách lớp được loại trừ nếu tuân thủ điều kiện:
ψzr ≤ ψzn (173)
trong đó:
ψzr là độ thắt tương đối tổng thể, tính bằng phần trăm (%);
ψzn là giá trị quy định của độ thắt tương đối tổng thể đối với thép cán phù hợp với tiêu chuẩn tương ứng (xem Bảng 39), tính bằng phần trăm (%): lấy lần lượt bằng 15, 25 và 35 đối với các cấp chất lượng thép cán Z15, Z25, Z35.
Bảng 39 - Độ thắt tương đối ψzn
Đơn vị tính bằng phần trăm (%)
| Cấp chất lượng | Giá trị ψzn, không nhỏ hơn | |
| Giá trị trung bình của kết quả thử 3 mẫu thử | Giá trị đơn lẻ | |
| Z15 | 15 | 10 |
| Z25 | 25 | 15 |
| Z35 | 35 | 25 |
| CHÚ THÍCH: Phương pháp thử xem TCVN 11372:2016 (ISO 7778:2014). | ||
Khi đó, thép cán có chiều dày như đã nêu trong 13.3 cần thỏa mãn các yêu cầu của:
- Cấp chất lượng Z35-đối với kết cấu nhóm 1 theo Bảng A.1 (Phụ lục A) cho các công trình cấp C3 (theo [2]), cũng như đối với liên kết mặt bích theo 15.9.10 và trong trường hợp lực tác dụng vuông góc với bề mặt tấm thép;
- Cấp chất lượng Z25- đối với các kết cấu khác thuộc các nhóm 1, 2, 3 theo Bảng A.1 (Phụ lục A) cho các công trình cấp C2 (theo [2]);
- Cấp chất lượng Z15 - đối với kết cấu nhóm 4 theo Bảng A.1 (Phụ lục A) cho các công trình cấp C1 (theo [2]).
Giá trị tính toán ψzn cần được xác định theo công thức:
ψzn = ψza + ψzb + ψzc + ψzd + ψze (174)
trong đó:
ψza là hình dạng liên kết và vị trí đường hàn, tính bằng phần trăm (%);
ψzb là chiều dày thép cán được hàn, tính bằng phần trăm (%);
ψzc là chiều cao đường hàn, tính bằng phần trăm (%);
ψzd là mức độ độ cứng của liên kết, tính bằng phần trăm (%);
ψze là ảnh hưởng của công nghệ hàn (độ thắt tổng thể do số lượt hàn, trình tự hàn và nung nóng), tính bằng phần trăm (%).
Các giá trị ψza, ψzb, ψzc, ψzd, ψze được nêu trong Bảng 40.
Bảng 40 - Độ thắt tương đối
| Yếu tố ảnh hưởng | Độ thắt tương đối, % | |
| 1. Hình dạng liên kết và vị trí đường hàn, ψza | ||
| Đặc điểm liên kết hàn: |
| |
| a) Liên kết không có ứng suất theo phương Z | -25 | |
|
| ||
| b) Liên kết góc dùng đường hàn đối xứng | -10 | |
|
| ||
| c) Liên kết dùng lớp nóng chảy trung gian | -5 | |
|
| ||
| d) Liên kết chữ T thông thường dùng đường hàn góc | 0 | |
|
| ||
| e) Liên kết chữ T dùng đường hàn góc thấu hoàn toàn hoặc một phần | + 3 | |
|
| ||
| f) Liên kết dùng đường hàn góc nằm gần mép tự do của tấm | + 5 | |
|
| ||
| g) Liên kết góc dùng đường hàn thấu hoàn toàn | + 8 | |
|
| ||
| 2. Chiều dày tấm s, mm, làm việc theo phương Z, ψzb | 0,2s | |
| 3. Chiều cao đường hàn góc, a, mm, ψzc |
| |
|
| 0,3a | |
| 4. Mức độ độ cứng của liên kết, ψzd |
| |
| a) Thấp - có thể co tự do | 0 | |
| b) Trung bình - có thể đường hàn co một phần và biến dạng kết cấu một phần | + 3 | |
| c) Cao - liên kết cứng không co đường hàn | + 5 | |
| 5. Công nghệ hàn, ψze |
| |
| Số lượt hàn | Một | 0 |
| Nhiều | -2 | |
| Trình tự hàn | Lần lượt hàn từ đầu này rồi lại từ đầu kia đường hàn | -2 |
| Đầu tiên hàn hết đầu này, sau đó mới hàn đầu kia | 0 | |
| Nung nóng | Không nung nóng | 0 |
| Có nung nóng | -8 | |
Giá trị tính toán ψzr có thể được giảm xuống 50 % trong trường hợp vật liệu làm việc dưới tác dụng của tải trọng nén tĩnh theo phương chiều dày của nó và được tăng thêm 10 % trong trường hợp chịu tác dụng của tải trọng động hoặc rung động theo phương chiều dày của nó.
14 Thiết kế liên kết các kết cấu thép
14.1 Liên kết hàn
14.1.1 Khi thiết kế kết cấu thép có các liên kết hàn, cần:
- Lựa chọn kích thước các đường hàn có kể đến các yêu cầu trong 14.1.2, 14.1.4 đến 14.1.6, cũng như sử dụng số lượng cần thiết các đường hàn tính toán và cấu tạo;
- Đảm bảo để tiếp cận dễ dàng đến các vị trí thực hiện các liên kết hàn có kể đến phương pháp và công nghệ hàn đã chọn.
14.1.2 Các loại cơ bản, chi tiết cấu tạo và kích thước của các liên kết hàn cần được lấy theo các tiêu chuẩn tương ứng.
14.1.3 Khi lựa chọn que hàn, dây hàn và thuốc hàn cần kể đến nhóm kết cấu (Phụ lục A), mục đích và điều kiện sử dụng kết cấu.
14.1.4 Khi thiết kế liên kết hàn cần loại trừ được khả năng kết cấu bị phá hoại giòn theo các yêu cầu trong Điều 13.
14.1.5 Khi thiết kế liên kết hàn chữ T và hàn góc của các cấu kiện kết cấu thép có ứng suất kéo theo phương chiều dày thép cán, để loại trừ được khả năng phá hoại tách lớp của kim loại dưới đường hàn cần:
- Sử dụng thép cho kết cấu nhóm 1 theo Bảng A.1 (Phụ lục A) có tính chất cơ học theo phương chiều dày thép cán phù hợp với 13.5;
- Sử dụng vật liệu hàn có cường độ thấp và tính dẻo nâng cao; các biện pháp công nghệ hàn để hướng tới giảm ứng suất hàn dư;
- Không sử dụng đường hàn góc một bên mà sử dụng đường hàn góc hai bên;
- Thay liên kết hàn góc bằng liên kết hàn chữ T và đảm bảo tỉ số chiều rộng cánh vươn trên chiều dày cấu kiện không nhỏ hơn 1;
- Vát mép để đảm bảo được việc giảm khối lượng kim loại nóng chảy.
14.1.6 Liên kết hàn đối đầu các chi tiết dạng tấm cần được thiết kế bằng đường hàn thẳng thấu hoàn toàn và sử dụng chi tiết chặn.
Trong các điều kiện lắp dựng, sử dụng đường hàn một bên có hàn đắp gốc đường hàn và hàn trên bản thép lót để lại.
14.1.7 Các kích thước đường hàn góc và kết cấu của liên kết phải thỏa mãn các yêu cầu sau:
a) Chiều cao đường hàn góc hf không được vượt quá 1,2t, trong đó t là chiều dày nhỏ nhất trong số chiều dày các cấu kiện được hàn;
Chiều cao đường hàn ở mép lượn cong của thép cán định hình với chiều dày t không được vượt quá 0,9t;
b) Chiều cao đường hàn góc hf phải thỏa mãn các yêu cầu tính toán và không được nhỏ hơn các giá trị nêu trong Bảng 41;
c) Chiều dài tính toán của đường hàn góc không được nhỏ hơn 4hf và không được nhỏ hơn 40 mm;
d) Chiều dài tính toán của đường hàn góc cạnh không được lớn hơn 85βfhf, trừ những đường hàn mà có lực tác dụng trên suốt chiều dài đường hàn (ở đây βf, là hệ số lấy theo Bảng 42);
e) Kích thước đoạn ghép chồng không được nhỏ hơn 5 lần chiều dày cấu kiện được hàn mỏng nhất;
f) Tỷ lệ các chiều cao đường hàn góc lấy bằng 1:1; khi chiều dày các cấu kiện được hàn khác nhau thì cho phép sử dụng đường hàn với các chiều cao khác nhau; khi đó, các chiều cao đường hàn tiếp xúc với cấu kiện mỏng hơn hoặc dày hơn phải thỏa mãn các yêu cầu tương ứng trong 14.1.7 a) hoặc 14.1.7 b);
g) Đường hàn góc cần phải trơn thoải đến kim loại cơ bản trong các trường hợp khi sự trơn thoải này đảm bảo tăng được cường độ chịu mỏi tính toán của liên kết hàn.
Bảng 41 - Chiều cao đường hàn góc tối thiểu hf
| Dạng liên kết | Phương pháp hàn | Giá trị hf, mm, khi chiều dày cấu kiện được hàn dày nhất T1), mm | |||||
| ≥ 4; ≤ 5 | ≥ 6; ≤ 10 | ≥ 11; ≤ 16 | ≥ 17; ≤ 22 | ≥ 23; ≤ 32 | ≥ 33; ≤ 40 | ||
| 1. Liên kết chữ T với đường hàn góc hai bên; liên kết ghép chồng và liên kết góc | Hồ quang tay, tự động và cơ giới | 3 | 4 | 6 | 10 | 12 | 16 |
| 2. Liên kết góc và liên kết chữ T với đường hàn góc một bên | 3 | 5 | 8 | 12 | 16 | 22 | |
| 1) Với điều kiện t ≥ 0,6T, trong đó t là chiều dày cấu kiện được hàn mỏng nhất. | |||||||
| CHÚ THÍCH 1: Trong kết cấu làm bằng thép có giới hạn chảy lớn hơn 590 MPa, chiều cao tối thiểu của đường hàn lấy theo các khuyến nghị công nghệ chế tạo. CHÚ THÍCH 2: Đối với tất cả các thép với chiều dày lớn hơn 40 mm, chiều cao tối thiểu của đường hàn hf lấy theo tính toán. CHÚ THÍCH 3: Khi chiều dày của cấu kiện được hàn mỏng nhất t < 0,6T chiều cao tối thiểu của đường hàn hf lấy theo tính toán, nhưng không lớn hơn 1,2t. | |||||||
Bảng 42 - Các hệ số βf và βs
| Phương pháp hàn, đường kính que (dây) hàn d, mm | Vị trí đường hàn 1) | Hệ số | Giá trị các hệ số βf và βs khi chiều cao đường hàn góc hf, mm | |||
| ≥ 3; ≤ 8 | ≥ 9; ≤ 12 | ≥ 14; ≤16 | > 16 | |||
| 1. Hàn tự động khi d= (3 ÷ 5) | Góc bằng | βf | 1,1 | 0,7 | ||
| βs | 1,15 | 1,0 | ||||
| Bằng | βf | 1,1 | 0,9 | 0,7 | ||
| βs | 1,15 | 1,05 | 1,0 | |||
| 2. Hàn tự động và hàn cơ giới khi d =(1,4 ÷ 2) | Góc bằng | βf | 0,9 | 0,8 | 0,7 | |
| βs | 1,05 | 1,0 | ||||
| Bằng, ngang, leo, (tụt) | βf | 0,9 | 0,8 | 0,7 | ||
| βs | 1,05 | 1,0 | ||||
| 3. Hàn tay và hàn cơ giới khi d < 1,4 hoặc dây hàn có lõi thuốc | Góc bằng, ngang, leo (tụt), ngửa | βf | 0,7 | |||
| βs | 1,0 | |||||
| 1) Tên gọi vị trí đường hàn lấy theo TCVN 6364:2010. Các tên gọi trước đây: trong máng - ứng với tên gọi góc bằng; nằm - bằng, ngang - ngang, đứng - leo (tụt), ngược - ngửa. | ||||||
14.1.8 Đối với các đường hàn góc, mà kích thước của chúng được thiết lập bằng tính toán, trong các cấu kiện làm bằng thép có giới hạn chảy đến 290 MPa, cần sử dụng các vật liệu hàn thỏa mãn các điều kiện sau:
| fwf > fws | khi hàn cơ giới; |
| 1,1fws ≤ fwf ≤ fws βs / βf | khi hàn tay; |
| fws < fwf < fws βs / βf | khi hàn tự động. |
(βf và βs là các hệ số phụ thuộc vào công nghệ hàn, chiều cao đường hàn và được lấy theo Bảng 42).
14.1.9 Sử dụng đường hàn góc một bên cho các liên kết góc và chữ T của các cấu kiện trong các kết cấu của nhà và công trình cấp C2 và cấp C1 (theo [2]), làm việc trong môi trường không xâm thực hoặc xâm thực yếu (theo phân loại trong TCVN 12251:2020) trong các gian phòng có sưởi:
- Để liên kết các sườn cứng trung gian và vách trung gian;
- Cho các đường hàn cánh của các chữ I hàn: trong các kết cấu nhóm 2 và 3 theo Bảng A.1 trong Phụ lục A (trừ các dầm có độ mảnh quy ước của bản bụng
với chiều dày bản bụng tw của các cột đến 12 mm và của các dầm đến 10 mm; khi đó cần thực hiện các yêu cầu trong 15.3.3 và 15.5.5;
- Cho tất cả các chi tiết cấu tạo: trong các kết cấu nhóm 4.
Không được sử dụng các đường hàn góc một bên khi không có các biện pháp hàn bù bổ sung để đảm bảo đường hàn được thấu hoàn toàn:
- Trong các kết cấu của nhà và công trình cấp C3 (theo [2];
- Trong các kết cấu nhóm 1, 2, 3 của nhà có cầu trục với chế độ làm việc A7 (trong các xưởng sản xuất kim loại) và A8 theo phân loại trong TCVN 8950-1:2010 (ISO 4301-1:1986);
- Trong các dầm và xà của kết cấu dạng khung mà được tính toán theo các yêu cầu trong 8.2.3, 8.2.6 và 8.2.7.
Một trong các biện pháp hàn bù bổ sung để đảm bảo gốc đường hàn được thấu hoàn toàn có thể là cắt vát mép hàn cùng với tấm lót để lại có dạng tấm thép (dải thép) hoặc vật tạo hình bằng gốm ở mặt sau (so với mặt chính) của đường hàn. Các đường hàn vừa nêu phải được thực hiện phù hợp với chỉ dẫn công tác hàn đối với việc thực hiện liên kết hàn.
14.1.10 Đường hàn góc gián đoạn chịu tải trọng tĩnh, mà có đoạn liên tục ngắn nhất còn dư khả năng chịu lực, được sử dụng cho các liên kết trong các kết cấu:
- Trong các kết cấu thuộc nhóm 4 theo Bảng A.1 (Phụ lục A);
- Trong các kết cấu cần sửa chữa thuộc nhóm 3;
- Trong các kết cấu làm việc trong các môi trường không xâm thực hoặc xâm thực yếu (theo phân loại trong TCVN 12251:2020).
Kích thước đường hàn phải phù hợp với các yêu cầu trong 14.1.7.
Khoảng cách s giữa các đoạn đường hàn (Hình 22) không được vượt quá một trong các giá trị: 200 mm, 12 tmin trong cấu kiện chịu nén (tmin là chiều dày cấu kiện được hàn mỏng nhất), 16tmin trong cấu kiện chịu kéo. Trong các kết cấu nhóm 4 (theo Phụ lục A), khoảng cách s được tăng thêm 50 %.
Khi thực hiện đường hàn gián đoạn, cần dự tính đoạn liên tục của nó ở cuối các phần được liên kết của các cấu kiện (xem Hình 22a); chiều dài Lw1 của đoạn liên tục này trong các cấu kiện có tiết diện tổ hợp từ các bản không được nhỏ hơn 0,75b, trong đó b là chiều rộng bản hẹp nhất trong số các bản được hàn.

Hình 22 - Sơ đồ đường hàn góc gián đoạn
14.1.11 Đường hàn góc quanh chu vi lỗ khoan hoặc khe cắt được sử dụng trong liên kết hàn ghép chồng trong các trường hợp nêu trong 14.1.10 để truyền lực trong mặt phẳng ghép chồng, để ngăn ngừa sự mất ổn định của các cấu kiện ghép chồng hoặc để liên kết cấu tạo các cấu kiện.
14.1.12 Mối hàn nút điền đầy bằng kim loại nóng chảy toàn bộ diện tích lỗ tròn hoặc lỗ dài (khe cắt) được sử dụng trong liên kết hàn ghép chồng trong các trường hợp nêu trong 14.1.10 chỉ để ngăn ngừa sự mất ổn định của các cấu kiện ghép chồng hoặc để liên kết cấu tạo các cấu kiện.
Chiều dày mối hàn nút không được nhỏ hơn:
- Chiều dày t của cấu kiện được khoan lỗ hoặc cắt khe, nhưng không lớn hơn 16 mm;
- 0,1 lần chiều dài lỗ dải (khe cắt) hoặc các giá trị 0,45d hoặc 0,45b (trong đó d và b là đường kính lỗ khoan và chiều rộng khe cắt, d ≥ (t + 8) mm và b ≥ (t + 8) mm).
Khoảng cách giữa tâm các lỗ hoặc giữa trục dọc các khe cắt không được nhỏ hơn 4d hoặc 4b.
14.1.13 Liên kết hỗn hợp ma sát - hàn (mà trong đó một phần lực trượt được chịu bởi liên kết ma sát, còn phần lực trượt còn lại được chịu bởi các đường hàn) được sử dụng với điều kiện việc hàn được thực hiện sau khi các bu lông đã được siết đến lực tính toán và sau đó được siết thêm khi cần thiết.
Sự phân phối lực giữa liên kết ma sát và liên kết hàn được lấy theo tỷ lệ khả năng chịu lực của chúng. Trong liên kết hỗn hợp ma sát - hàn, không cho phép sử dụng bu lông không kiểm soát lực siết, cũng như sử dụng liên kết chịu cắt.
14.1.14 Tính toán liên kết hàn đối đầu khi có tác dụng của lực dọc N đi qua trọng tâm liên kết được thực hiện theo công thức:
![]()
trong đó:
t là chiều dày của cấu kiện được hàn mỏng nhất;
Lw là chiều dài tính toán của đường hàn, lấy bằng chiều dài thực (chiều dài hình học) của nó trừ đi 2t (ví dụ: khi không dùng chi tiết chặn), hoặc bằng chiều dài thực của nó nếu các đầu đường hàn kéo dài qua phạm vi mối nối (ví dụ: khi dùng chi tiết chặn, sau đó cắt đi).
Khi tính toán liên kết hàn đối đầu của các cấu kiện làm bằng thép có tỉ số fud/γu > fyd mà chúng còn làm việc được ngay cả sau khi kim loại đạt tới giới hạn chảy, cũng như làm bằng thép có giới hạn chảy fy > 440 MPa thì trong công thức (175) thay fw bằng fwu/γu .
14.1.15 Liên kết hàn đối đầu mà không được kiểm tra chất lượng toàn bộ bằng phương pháp không phá hủy khi chịu tác dụng đồng thời của các ứng suất pháp, σwx và σwy, và ứng suất tiếp
tại cùng một tiết diện đường hàn, cần được kiểm tra độ bền theo các công thức (43a) và (43b), Trong đó lấy ![]()
14.1.16 Liên kết hàn dùng đường hàn góc chịu tác dụng của lực N đi qua trọng tâm liên kết cần được tính toán chịu cắt (quy ước) theo một trong hai tiết diện (Hình 23) theo các công thức:
(176)
(177)
trong đó:
Lw là chiều dài đường hàn tính toán trong liên kết hàn, lấy bằng tổng chiều dài tất cả các đoạn của nó trừ đi 10 mm trên mỗi đoạn liên tục của đường hàn;
βf, βs là các hệ số, lấy theo Bảng 42.

CHÚ DẪN:
1 Theo kim loại đường hàn
2 Theo kim loại biên nóng chảy
Hình 23 - Sơ đồ tiết diện tính toán liên kết hàn dùng đường hàn góc
14.1.17 Liên kết hàn dùng đường hàn góc chịu tác dụng của mô men M trong mặt phẳng vuông góc với mặt phẳng bố trí đường hàn cần được tính toán chịu cắt (quy ước) theo một trong hai tiết diện (xem Hình 23) theo các công thức:
- Theo kim loại đường hàn:
![]()
- Theo kim loại biên nóng chảy:
![]()
trong đó:
Wf và Ws là các mô men chống uốn của tiết diện tính toán của liên kết hàn theo kim loại đường hàn và theo kim loại biên nóng chảy tương ứng.
14.1.18 Liên kết hàn dùng đường hàn góc chịu tác dụng của mô men M trong mặt phẳng bố trí đường hàn cần được tính toán chịu cắt (quy ước) theo một trong hai tiết diện (xem Hình 23) theo các công thức:
- Theo kim loại đường hàn:
![]()
- Theo kim loại biên nóng chảy:

trong đó:
x và y là các tọa độ của điểm xa nhất của liên kết hàn tính từ trọng tâm O của tiết diện tính toán của liên kết này (Hình 24);
Ifx và Ify là các mô men quán tính của tiết diện tính toán của liên kết hàn theo kim loại đường hàn đối với các trục chính tương ứng x-x và y-y của nó;
Isx và Isy là các mô men quán tính của tiết diện tính toán của liên kết hàn theo kim loại biên nóng chảy đối với các trục chính tương ứng x-x và y-y của nó.

Hình 24 - Sơ đồ tính toán liên kết hàn
14.1.19 Khi tính toán liên kết hàn dùng đường hàn góc chịu tác dụng đồng thời của lực dọc N, lực cắt V và mô men M (xem Hình 24), phải thỏa mãn các điều kiện:

trong đó:
là các ứng suất tại một điểm trong tiết diện tính toán của liên kết hàn theo kim loại đường hàn và kim loại biên nóng chảy tương ứng, được xác định theo công thức:
![]()
14.1.20 Khi thực hiện liên kết hàn ghép chồng các cấu kiện có chiều dày đến 4 mm bằng mối hàn điểm theo phương pháp hàn hồ quang xuyên thấu thì khả năng chịu lực của một điểm hàn được lấy bằng giá trị nhỏ hơn trong hai giá trị giới hạn:
- Khi cắt:
Nv = 0,28d2fwun (184)
- Khi kéo nhổ:
Nt=βf . d . t . fu (185)
trong đó:
d là đường kính mối hàn điểm trong mặt phẳng các cấu kiện được liên kết, lấy theo các tài liệu kỹ thuật liên quan;
βf lấy bằng:
1,1 - khi hàn các cấu kiện có chiều dày bằng nhau,
1,9 - khi hàn các cấu kiện có chiều dày khác nhau 2 lần trở lên;
nội suy tuyến tính khi chiều dày khác nhau ít hơn 2 lần;
t là chiều dày nhỏ hơn trong số chiều dày các cấu kiện được hàn.
14.2 Liên kết bu lông
14.2.1 Đối với liên kết bu lông các cấu kiện của kết cấu thép cần sử dụng bu lông phù hợp với các bảng từ C.2 đến C.6 trong Phụ lục C.
14.2.2 Bu lông cần được bố trí theo các yêu cầu trong Bảng 43, khi đó trong mối nối và nút - với khoảng cách tối thiểu, còn bu lông liên kết cấu tạo - với khoảng cách tối đa.
Khi liên kết thép góc theo một cánh bằng các bu lông bố trí so le thì lỗ bu lông xa nhất tính từ đầu thép góc được bố trí trên đường lỗ gần với sống thép góc nhất.
Bảng 43 - Khoảng cách bố trí bu lông
| Khoảng cách và giới hạn chảy của các cấu kiện được liên kết | Khoảng cách bố trí bu lông |
| 1. Khoảng cách giữa tâm các lỗ bu lông theo phương bất kỳ: a) Khoảng cách tối thiểu: khi fy< 540 MPa khi fy ≥ 540 MPa b) Khoảng cách tối đa trong các hàng bu lông ngoài cùng khi không có thép góc viền mép, khi chịu kéo và chịu nén c) Khoảng cách tối đa trong các hàng bu lông giữa, cũng như trong các hàng bu lông ngoài cùng khi có thép góc viền mép: khi chịu kéo khi chịu nén |
2,5d 3d min (8d; 12t)
min (16d; 24t) min (12d; 18t) |
| 2. Khoảng cách giữa tâm các lỗ bu lông đến mép cấu kiện: a) Khoảng cách tối thiểu dọc theo phương lực tác dụng: khi fy < 540 MPa khi fy ≥ 540 MPa b) Khoảng cách tối thiểu theo phương vuông góc với lực tác dụng: khi mép cắt khi mép cán c) Khoảng cách tối đa d) Khoảng cách tối thiểu trong liên kết ma sát khi vát mép bất kỳ và theo phương bất kỳ so với phương lực tác dụng |
2d 2,5d
1,5d 1,2d min (4d; 8t) 1,3d |
| 3. Khoảng cách tối thiểu giữa tâm các lỗ bu lông dọc theo phương lực tác dụng đối với bu lông được bố trí so le | u + 1,5d |
| Các ký hiệu trong Bảng 43: d là đường kính lỗ bu lông; t là chiều dày cấu kiện bên ngoài mỏng nhất; u là khoảng cách đo ngang phương lực tác dụng giữa các hàng lỗ bu lông. | |
| CHÚ THÍCH 1: Đường kính lỗ bu lông lấy bằng d = db đối với bu lông cấp chính xác A; bằng d = db+ 1 mm đối với bu lông cấp chính xác B trong kết cấu cột đường dây tải điện trên không, cột thiết bị phân phối điện ngoài trời; bằng db + (1; 2 hoặc 3 mm) trong các trường hợp khác, trong đó db là đường kính bu lông. CHÚ THÍCH 2. Trong liên kết một bu lông của các thanh bụng (thanh xiên và thanh ngang), trừ các thanh chịu kéo, khi chiều dày thanh đến 6 mm làm bằng thép có giới hạn chảy đến 375 MPa, thì khoảng cách từ mép cấu kiện đến tâm lỗ bu lông dọc theo phương lực tác dụng lấy bằng 1,35d (không kể sai số giảm khi chế tạo cấu kiện, sai số này cần phải được ghi trong hồ sơ thiết kế). CHÚ THÍCH 3: Khi bố trí bu lông so le với khoảng cách không nhỏ hơn giá trị nêu ở điểm 3, tiết diện cấu kiện An cần được xác định có kể đến sự giảm yếu bởi lỗ bu lông nằm trong một tiết diện vuông góc với phương lực tác dụng (không theo đường dích dắc). CHÚ THÍCH 4: Trong các cấu kiện được liên kết làm bằng thép có giới hạn chảy đến 540 MPa cho phép giảm khoảng cách dọc theo lực tác dụng tính từ tâm bu lông đến mép cấu kiện và giảm khoảng cách giữa tâm các bu lông trong trường hợp tính toán có kể đến các hệ số điều kiện làm việc tương ứng của liên kết theo các yêu cầu nêu trong 14.2.9. | |
14.2.3 Bu lông cấp chính xác A được sử dụng cho liên kết có các lỗ bu lông được khoan theo đường kính thiết kế cho cấu kiện đã được tổ hợp hoặc theo các dưỡng khoan cho các cấu kiện và các chi tiết riêng lẻ; hoặc được khoan hoặc dập theo đường kính nhỏ hơn cho các chi tiết riêng lẻ, sau đó khoan mở rộng thêm đến đường kính thiết kế cho các cấu kiện đã được tổ hợp.
Bu lông cấp chính xác B trong liên kết nhiều bu lông được sử dụng cho kết cấu làm bằng thép có giới hạn chảy đến 540 MPa.
Trong liên kết mà các bu lông làm việc chủ yếu chịu kéo, cần sử dụng bu lông cấp chính xác B hoặc bu lông có kiểm soát lực siết.
14.2.4 Không được sử dụng các bu lông có các đoạn với đường kính khác nhau dọc theo chiều dài ở phần không ren trong liên kết mà trong đó các bu lông này làm việc chịu cắt.
14.2.5 Ren của bu lông chịu lực trượt (cắt) trong các cấu kiện của kết cấu lưới thanh không gian, cột đường dây tải điện trên không và cột thiết bị phân phối điện ngoài trời, cũng như trong liên kết có chiều dày cấu kiện ngoài trời đến 8 mm, phải nằm ngoài tập các cấu kiện được liên kết; trong các trường hợp còn lại, ren bu lông không được chui sâu vào trong lỗ bu lông quá một nửa chiều dày cấu kiện ngoài cùng tính từ phía đai ốc hoặc quá 5 mm.
14.2.6 Vòng đệm cần được lắp đặt phù hợp với TCVN 13194.
Đối với liên kết tính toán dùng bu lông cấp chính xác A và B (trừ liên kết các kết cấu thứ cấp) cần có biện pháp ngăn chặn các đai ốc bị tự lỏng ra. Giải pháp đặt các vòng đệm lò xo, đai ốc hãm hoặc các biện pháp khác ngăn chặn đai ốc bị tự lỏng ra cần được chỉ rõ trong các bản vẽ thi công.
14.2.7 Trên các bề mặt vát của các chi tiết và cấu kiện được liên kết (các mặt trong của các cánh thép chữ I và chữ C) dưới đầu bu lông hoặc dưới đai ốc cần đặt các vòng đệm nghiêng.
14.2.8 Đường kính lỗ bu lông trong cấu kiện làm bằng thép cán phải phù hợp với CHÚ THÍCH 1 trong Bảng 43.
14.2.9 Lực tính toán mà một bu lông có thể chịu được phụ thuộc vào trạng thái ứng suất được xác định theo các công thức:
- Khi cắt:
Nvb = fvbAbnvγbγc (186)
- Khi ép mặt:
Ncb=fcbdb∑tγbγc (187)
- Khi kéo:
Ntb = ftbAbnγc (188)
trong đó:
fvb, fcb, ftb là cường độ chịu cắt, chịu ép mặt và chịu kéo tính toán của liên kết một bu lông;
Ab và Abn lần lượt là diện tích tiết diện nguyên và diện tích tiết diện phần ren của bu lông, lấy theo Bảng C.6 (Phụ lục C);
nv là số mặt cắt tính toán của một bu lông;
db là đường kính bu lông (đường kính ngoài của thân bu lông);
∑t là tổng chiều dày nhỏ nhất của các cấu kiện được liên kết (các bản thép) cùng trượt về một phía;
γc là hệ số điều kiện làm việc, được xác định theo Bảng 1;
γb là hệ số điều kiện làm việc của liên kết một bu lông, được xác định theo Bảng 44 và lấy không lớn hơn 1,0.
Bảng 44 - Hệ số điều kiện làm việc của liên kết bu lông
| Đặc điểm của liên kết | Giá trị γb |
| 1. Liên kết nhiều bu lông trong tính toán chịu cắt và ép mặt khi sử dụng bu lông: a) Cấp chính xác A b) Cấp chính xác B |
1,0 0,9 |
| 2. Liên kết một bu lông và nhiều bu lông trong tính toán chịu ép mặt khi a = 1,5d và s = 2d trong các cấu kiện kết cấu làm bằng thép có giới hạn chảy đến 540 MPa | 0,8 |
| Các ký hiệu trong Bảng 44: a là khoảng cách dọc theo lực tác dụng tính từ mép cấu kiện đến tâm lỗ bu lông gần nhất; d là đường kính lỗ bu lông; s là khoảng cách giữa tâm các lồ bu lông dọc theo lực tác dụng. | |
| CHÚ THÍCH 1: Các hệ số quy định tại điểm 1 và 2 cần được lấy đồng thời. CHÚ THÍCH 2: Với giá trị của các khoảng cách a và s nằm trong khoảng trung gian giữa các giá trị nêu tại điểm 2 và trong Bàng 43, hệ số γb được xác định bằng nội suy tuyến tính. | |
14.2.10 Khi liên kết bu lông chịu tác dụng của lực N đi qua trọng tâm liên kết, lực này được coi là phân phối đều lên các bu lông. Trong trường hợp này, số bu lông nb trong liên kết được xác định theo công thức:
![]()
trong đó: Nb,min là giá trị nhỏ nhất trong các giá trị Nvb, Ncb, và Ntb đã tính được theo các yêu cầu trong 14.2.9.
Trong các trường hợp, khi trong mối nối khoảng cách L giữa các bu lông ngoài cùng dọc theo lực trượt vượt quá 16d thì giá trị nb trong công thức (189) được tăng lên bằng cách chia cho hệ số β = 1 - 0,005 (L/d -16) và hệ số β này lấy không nhỏ hơn 0,75. Yêu cầu này được bỏ qua khi có lực tác dụng trên toàn bộ chiều dài liên kết (ví dụ: trong liên kết cánh với bụng dầm).
14.2.11 Khi liên kết bu lông chịu tác dụng của mô men gây trượt các cấu kiện được liên kết thì lực phân phối cho các bu lông tỷ lệ với khoảng cách từ trọng tâm của liên kết đến bu lông đang xét.
Lực trong bu lông chịu lực lớn nhất Nb,max không được vượt quá giá trị nhỏ hơn trong hai giá trị Nvb và Ncb tính được theo các yêu cầu trong 14.2.9.
14.2.12 Khi liên kết bu lông chịu tác dụng đồng thời của lực dọc và mô men trong một mặt phẳng và gây trượt các cấu kiện được liên kết thì các bu lông được kiểm tra theo hợp lực của các nội lực thành phần. Trong bu lông chịu lực lớn nhất, hợp lực này không được vượt quá giá trị nhỏ hơn trong hai giá trị Nvb và Ncb tính được theo các yêu cầu trong 14.2.9.
14.2.13 Khi liên kết chịu tác dụng đồng thời của các lực gây cắt và kéo các bu lông thì bu lông chịu lực lớn nhất ngoài việc được kiểm tra điều kiện Nt ≤ Ntb (Ntb lấy theo công thức (188)) còn phải được kiểm tra theo công thức:
(190)
trong đó:
Nv và Nt là các lực tác dụng gây cắt và kéo một bu lông;
Nvb và Ntb là các lực tính toán (khả năng chịu cắt và kéo của một bu lông) đã được xác định theo các yêu cầu trong 14.2.9.
14.2.14 Trong liên kết một cấu kiện với một cấu kiện khác thông qua bản đệm hoặc chi tiết trung gian khác, cũng như trong cấu kiện dùng bản ghép một bên thì số bu lông cần được tăng lên 10 % so với tính toán.
Khi liên kết cánh nhô ra của thép góc hoặc thép chữ C thông qua miếng thép ngắn thì số bu lông liên kết miếng thép ngắn với cánh này cần được tăng lên 50 % so với tính toán.
14.2.15 Bu lông móng (bu lông neo) cần được kiểm tra theo các yêu cầu trong Phụ lục L.
14.3 Liên kết ma sát (dùng bu lông có kiểm soát lực siết)
14.3.1 Liên kết ma sát, trong đó lực được truyền thông qua ma sát xuất hiện trên các bề mặt tiếp xúc của các cấu kiện được liên kết do lực siết bu lông có kiểm soát lực siết, cần được sử dụng:
- Trong kết cấu làm bằng thép có giới hạn chảy lớn hơn 375 MPa và trực tiếp chịu tải trọng di động, rung động và các tải trọng động khác;
- Trong liên kết nhiều bu lông có yêu cầu nâng cao về hạn chế tính biến dạng;
14.3.2 Trong liên kết ma sát cần sử dụng bu lông, đai ốc, vòng đệm theo các yêu cầu trong 5.2.2.2.
Các bu lông cần được bố trí theo các yêu cầu trong Bảng 43.
14.3.3 Lực trượt tính toán Vvb mà mỗi mặt phẳng ma sát của các cấu kiện được liên kết có thể chịu được khi siết một bu lông có kiểm soát lực siết được xác định theo công thức:
![]()
trong đó:
ftb là cường độ chịu kéo tính toán của liên kết một bu lông, được xác định theo các yêu cầu trong 6.4;
Abn là diện tích tiết diện bu lông phần ren, lấy theo Bảng C.6 (Phụ lục C);
μ là hệ số ma sát, lấy theo Bảng 45;
γh là hệ số độ tin cậy của liên kết, lấy theo Bảng 45.
Bảng 45 - Hệ số ma sát μ và hệ số γh
| Phương pháp gia công (làm sạch) bề mặt được liên kết | Hệ số ma sát μ | Hệ số γh khi kiểm soát lực siết bu lông bằng mô men siết và chênh lệch giữa đường kính danh định của lỗ và bu lông δ, mm, khi có tải trọng | |
| động và δ = (3 đến 6); tĩnh và δ = (5 đến 6) | động và δ = 1; tĩnh và δ = (1 đến 4) | ||
| 1. Phun cát thạch anh hoặc bột kim loại, không có lớp bảo vệ bề mặt | 0,58 | 1,35 | 1,12 |
| 2. Bằng ngọn lửa hơi đốt, không có lớp bảo vệ bề mặt | 0,42 | 1,35 | 1,12 |
| 3. Bằng bàn chải sắt, không có lớp bảo vệ bề mặt | 0,35 | 1,35 | 1,17 |
| 4. Không gia công bề mặt | 0,25 | 1,70 | 1,30 |
| CHÚ THÍCH 1: Khi kiểm soát lực siết bu lông bằng góc quay đai ốc, giá trị γh cần được nhân với 0,9. CHÚ THÍCH 2: Việc sử dụng lớp bảo vệ bề mặt - ma sát phải được chứng minh bằng thử nghiệm. | |||
14.3.4 Khi liên kết ma sát chịu tác dụng của lực N gây trượt các cấu kiện được liên kết và đi qua trọng tâm liên kết thì lực này được coi là phân phối đều lên các bu lông. Trong trường hợp này, số bu lông nb trong liên kết cần được xác định theo công thức:

trong đó:
Vvb là lực trượt tính toán, xác định theo công thức (191);
nf là số mặt phẳng ma sát của các cấu kiện được liên kết;
γc là hệ số điều kiện làm việc, lấy theo Bảng 1;
γb là hệ số điều kiện làm việc của liên kết ma sát, phụ thuộc vào số bu lông nb cần thiết để chịu lực tính toán và lấy bằng:
0,8 - khi nb < 5;
0,9 - khi 5 ≤ nb < 10;
1,0- khi nb ≥ 10.
14.3.5 Khi liên kết ma sát chịu tác dụng của mô men hoặc lực và mô men gây trượt các cấu kiện được liên kết thì sự phân phối nội lực lên các bu lông lấy theo 14.2.11 và 14.2.12.
14.3.6 Khi liên kết ma sát chịu tác dụng của lực N gây trượt các cấu kiện được liên kết và lực F gây kéo bu lông thì giá trị hệ số γb đã được xác định theo các yêu cầu trong 14.3.4 cần được nhân với hệ số (1 - Nt/Pb), trong đó Nt là lực kéo trong thân một bu lông, Pb là lực siết một bu lông, lấy bằng Pb = ftbAbn.
14.3.7 Đường kính một bu lông trong liên kết ma sát cần được lấy theo điều kiện ∑t < 4db, trong đó ∑t là tổng chiều dày các cấu kiện được liên kết cùng trượt về một phía, db là đường kính bu lông.
Trong liên kết có số lượng lớn bu lông, cần lựa chọn đường kính bu lông lớn nhất có thể.
14.3.8 Trong hồ sơ thiết kế cần ghi rõ: mác thép và các tính chất cơ học của bu lông, đai ốc, vòng đệm và tài liệu kỹ thuật tương ứng cần thiết khi cung cấp; phương pháp làm sạch các bề mặt được liên kết; lực dọc Pb đã được lấy theo 14.3.6.
14.3.9 Khi thiết kế liên kết ma sát cần đảm bảo khả năng tiếp cận dễ dàng để lắp bu lông, siết chặt bu lông tập bản cánh và siết đai ốc bằng các cờ lê lực và các dụng cụ chuyên dụng.
14.3.10 Đối với bu lông có kiểm soát lực siết với đầu mở rộng và đai ốc cường độ cao và với chênh lệch giữa đường kính lỗ bu lông và đường kính bu lông so với giá trị danh định không lớn hơn 3 mm, còn trong kết cấu làm bằng thép có cường độ tiêu chuẩn theo giới hạn bền không nhỏ hơn 440 MPa - không lớn hơn 4 mm, thì cần lắp một vòng đệm dưới một đai ốc.
14.3.11 Tính toán độ bền của các cấu kiện được liên kết bị giảm yếu bởi các lỗ bu lông trong liên kết ma sát cần được thực hiện có kể đến việc một nửa nội lực trong thân mỗi bu lông được truyền bằng lực ma sát. Khi đó, việc kiểm tra các tiết diện bị giảm yếu cần được thực hiện:
- Khi có tải trọng di động, rung động và các tải trọng động khác: theo diện tích tiết diện thực An;
- Khi có tải trọng tĩnh: theo diện tích tiết diện nguyên A (khi An ≥ 0,85A) hoặc theo diện tích tiết diện quy ước Aef = 1,18An (khi An < 0,85A).
14.4 Liên kết cánh với bụng của dầm tổ hợp
14.4.1 Liên kết cánh với bụng bằng hàn và ma sát của dầm I tổ hợp cần được tính toán theo các công thức trong Bảng 46.
Bảng 46 - Các công thức tính toán liên kết cánh với bụng của dầm tổ hợp
| Đặc điểm của tải trọng | Dạng liên kết cánh với bụng | Công thức tính |
| 1. Cố định | Hàn |
|
| Ma sát |
| |
| 2. Di động | Hàn (đường hàn hai bên) |
|
| Ma sát |
| |
| Các ký hiệu trong Bảng 46: T = VS/I là lực trượt của cánh trên một đơn vị chiều dài do lực cắt V gây ra, trong đó S là mô men tĩnh của tiết diện nguyên của cánh dầm đối với trục trung tâm; n là số đường hàn góc: khi hàn hai bên n = 2, khi hàn một bên n = 1; Vvb, nf là các đại lượng, được xác định theo 14.3.3 và 14.3.4; p = γtγf1Fn/Lef là áp lực do tải trọng tập trung tiêu chuẩn Fn trên một đơn vị chiều dài, được xác định có kể đến các yêu cầu trong 8.2.2 và 8.3.3 (đối với tải trọng tập trung cố định γf1=1), với γf và γf1 là các hệ số độ tin cậy về tải trọng, lấy theo TCVN 2737:2023; s là bước bu lông của bản cánh; α là hệ số, lấy bằng: 0,4 - khi tải trọng đặt ở cánh trên mà bản bụng tì sát cánh trên; 1,0 - khi bản bụng không tì sát cánh trên hoặc khi tải trọng đặt ở cánh dưới. | ||
Khi không có các sườn cứng ngang để truyền các tải trọng tập trung cố định đặt lên cánh trên, cũng như khi tải trọng tập trung cố định đặt lên cánh dưới không phụ thuộc vào sự có mặt của sườn cứng tại các vị trí đặt tải trọng, thì liên kết cánh với bụng cần được tính toán như đối với tải trọng di động.
Đường hàn thấu suốt chiều dày bản bụng được coi là có độ bền tương đương với độ bền của bản bụng.
14.4.2 Đối với dầm có liên kết ma sát cánh với bụng mà cánh gồm tập bản cánh thì liên kết mỗi bản cánh tại vị trí nằm sau điểm đứt lý thuyết của nó cần được tính toán chịu một nửa lực mà tiết diện bản có thể chịu được. Liên kết mỗi bản trên đoạn giữa vị trí đứt thực tế của nó và vị trí đứt của bản trước nó cần được tính toán chịu toàn bộ lực mà tiết diện bản có thể chịu được.
15 Yêu cầu về thiết kế nhà, công trình và kết cấu
15.1 Khoảng cách giữa các khe nhiệt
Khoảng cách L giữa các khe nhiệt của các khung thép nhà một tầng và công trình không được vượt quá các giá trị lớn nhất Lu nêu trong Bảng 47.
Khi vượt quá 5 % so với các giá trị nêu trong Bảng 47, cũng như khi tăng độ cứng của khung bằng tường hoặc bằng các kết cấu khác thì trong tính toán phải kể đến tác động nhiệt khí hậu, biến dạng không đàn hồi của kết cấu và độ mềm của các nút.
Bảng 47 - Khoảng cách lớn nhất Lu giữa các khe nhiệt của các khung thép nhà một tầng và công trình
Đơn vị tính bằng mét (m)
| Đặc điểm của | Giá trị | |||
| nhà và công trình | phương | |||
| 1. Nhà có sưởi | Giữa các khe nhiệt | Dọc khối nhiệt độ (theo chiều dài nhà) | 230 | |
| Theo chiều rộng khối nhiệt độ | 150 | |||
| Từ khe nhiệt hoặc đầu nhà đến trục hệ giằng đứng gần nhất | 90 | |||
| 2. Nhà không sưởi và xưởng nóng | Giữa các khe nhiệt | Dọc khối nhiệt độ (theo chiều dài nhà) | 200 | |
| Theo chiều rộng khối nhiệt độ | 120 | |||
| Từ khe nhiệt hoặc đầu nhà đến trục hệ giằng đứng gần nhất | 75 | |||
| 3. Cầu cạn lộ thiên | Giữa các khe nhiệt dọc khối nhiệt độ | 130 | ||
| Từ khe nhiệt hoặc đầu nhà đến trục hệ giằng đứng gần nhất | 50 | |||
| CHÚ THÍCH: Khi giữa các khe nhiệt của nhà và công trình có hai hệ giằng đứng thì khoảng cách giữa các trục của chúng không được vượt quá: (40 ÷ 50) m đối với nhà; (25 ÷ 30) m đối với cầu cạn lộ thiên. | ||||
15.2 Giàn phẳng và kết cấu lưới thanh không gian
15.2.1 Trục các thanh của giàn và kết cấu lưới thanh không gian cần được hội tụ tại tâm tất cả các nút. Các thanh trong giàn hàn cần được hội tụ theo trọng tâm tiết diện (làm tròn đến 5 mm), còn trong giàn bu lông - theo đường lỗ bu lông nằm gần sống thép góc nhất.
Khi tiết diện thay đổi, nếu độ lệch trục các cánh giàn không vượt quá 1,5 % chiều cao cánh tiết diện nhỏ hơn thì không cần kể đến độ lệch này.
Khi có độ lệch tâm tại các nút thì các thanh của giàn và kết cấu lưới thanh không gian cần được tính toán có kể đến mô men uốn tương ứng.
Khi tải trọng đặt ngoài nút giàn thì các cánh cần được tính toán chịu tác dụng đồng thời của lực dọc và mô men uốn.
15.2.2 Khi tính toán giàn phẳng thì liên kết các thanh tại các nút giàn được coi là khớp:
- Khi thanh làm bằng thép góc hoặc chữ T;
- Khỉ thanh làm bằng thép chữ I, H, thép ống khi tỉ số chiều cao tiết diện h và chiều dải thanh L giữa các nút không vượt quá 1/10 .
Khi tỉ số h/L vượt quá 1/10 thì cần kể đến mô men uốn bổ sung trong các thanh do độ cứng của nút gây nên.
15.2.3 Khoảng cách a giữa biên của đầu mút các thanh bụng và thanh cánh tại các nút giàn hàn có bản mã được lấy không nhỏ hơn a =(6t - 20)mm, nhưng không lớn hơn 80 mm (trong đó t là chiều dày bản mã, tính bằng milimét, mm).
Phải để khe hở không nhỏ hơn 50 mm giữa các đầu mút của các thanh được nối ở các cánh giàn có phủ các bản ghép.
Đường hàn góc cạnh dùng để liên kết thanh bụng của giàn với bản mã cần được kéo trùm vào cạnh đầu của thanh một đoạn không nhỏ hơn 20 mm.
15.2.4 Trong nút giàn có các thanh cánh làm bằng thép chữ T, chữ I hoặc thép góc đơn, liên kết đối đầu bản mã với cánh của thanh cánh cần được thực hiện bằng đường hàn thấu suốt chiều dày bản mã. Trong các kết cấu nhóm 1, sự tiếp giáp bản mã nút với thanh cánh cần được thực hiện theo Phụ lục H (Bảng H.1, điểm 7).
15.2.5 Khi tính toán nút giàn thép ống và chữ I, trong đó các thanh bụng liên kết trực tiếp (không bản mã) với thanh cánh, phù hợp với l.3 trong Phụ lục I (đối với kết cấu thép ống tròn) và I.1 và I.2 trong Phụ lục I (đối với thép ống vuông, chữ nhật và chữ I), thì cần kiểm tra khả năng chịu lực của:
- Thành cánh của thanh cánh khi chịu uốn cục bộ (nén bẹp) tại các vị trí tiếp giáp các thanh bụng: đối với ống tròn và ống chữ nhật;
- Thành bên (bụng) của thanh cánh tại vị trí tiếp giáp của thanh bụng chịu nén: đối với ống chữ nhật;
- Cánh của thanh cánh bị uốn cong mép: đối với tiết diện chữ I;
- Bụng của thanh cánh: đối với tiết diện chữ I;
- Thanh bụng tại tiết diện tiếp giáp với thanh cánh;
- Các đường hàn liên kết các thanh bụng với thanh cánh.
Ngoài ra, cần tuân thủ các yêu cầu về ngăn ngừa phá hoại tách lớp của các thanh cánh giàn (xem 13.5).
15.2.6 Đối với giàn mái có nhịp lớn hơn 36 m, cần dự tính độ vồng với giá trị bằng độ võng do tải trọng thường xuyên tiêu chuẩn và tạm thời dài hạn tiêu chuẩn. Đối với mái bằng, độ vồng cần được dự tính không phụ thuộc vào độ lớn của nhịp và lấy bằng độ võng do tổng tải trọng tiêu chuẩn gây nên cộng với 1/200 nhịp.
15.2.7 Giàn với tiết diện của tất cả các thanh bằng thép định hình uốn hàn là chữ nhật (hoặc vuông) tiếp giáp trực tiếp với các cánh và có thanh xiên gối tựa đi xuống được phép sử dụng cho nhà và công trình cấp C3 (theo [2]) với nhịp không lớn hơn 30 m và chiều cao đến 18 m tính đến đáy kết cấu. Trong các nhịp có giàn (với các thanh xiên gối tựa đi xuống) thuộc cấp C3 và C2 (theo [2]), cho phép trang bị cầu trục có chế độ làm việc từ A1 đến A6 (theo TCVN 8590-1:2010 (ISO 4301-1:1986)) với sức nâng không vượt quá 50 tấn, trang bị cần trục treo - không vượt quá 5 tấn.
15.3 Cột
15.3.1 Các đoạn vận chuyển của cột rỗng có các thanh giằng trong hai mặt phẳng được giữ bằng các vách cứng nằm ở hai đầu của mỗi đoạn.
Trong cột rỗng có các thanh giằng trong một mặt phẳng, các vách cứng cần được bố trí cách nhau không quá 4 m.
15.3.2 Đối với cột có các đường hàn cánh một bên theo 14.1.9 thì tại các nút liên kết thanh giằng, dầm, thanh ngang và các thanh khác trong vùng truyền lực cần sử dụng các đường hàn cánh hai bên kéo dài ra quá đường bao cấu kiện được liên kết (nút) một đoạn bằng 30hf về mỗi phía.
15.3.3 Các đường hàn góc dùng để liên kết ghép chồng bản mã của thanh giằng với cột cần được lấy theo tính toán và được bố trí dưới dạng các đoạn đường hàn so le ở hai bên bản mã dọc theo cột; khi đó khoảng cách giữa các đoạn không hàn không được vượt quá 15 lần chiều dày bản mã.
Khi sử dụng hàn hồ quang tay, đường hàn góc phải là đường hàn liên tục dọc theo toàn bộ chiều dài bản mã.
15.3.4 Mối nối lắp dựng của cột cần được thực hiện với mặt đầu cột phay nhẵn được hàn đối đầu hoặc hàn trên bản táp bằng các đường hàn hoặc liên kết bu lông, kể cả liên kết ma sát. Khi hàn các bản táp thì các đường hàn không được kéo dài đến sát mối nối mà cách một đoạn bằng 25 mm từ mỗi phía mối nối. Khi thiết kế liên kết tương tự liên kết mặt bích thì cần kể đến các yêu cầu trong 15.9.
15.3.5 Trong cột rỗng có các nhánh liên kết với nhau bằng các bàn giằng thì lấy:
- Chiều rộng của các bản giằng trung gian bs: từ 0,5b đến 0,75b (trong đó b là chiều rộng phủ bì của cột trong mặt phẳng bản giằng);
- Chiều rộng của bản giằng ở các đầu cột: từ 1,3bs đến 1,7bs.
15.4 Hệ giằng
15.4.1 Trong mỗi khối nhiệt độ của nhà cần bố trí một hệ giằng riêng để liên kết các cấu kiện phẳng thành hệ không gian có khả năng chịu được tải trọng tác dụng lên công trình theo bất kỳ phương nào, cũng như giữ và đảm bảo ổn định cho các cấu kiện, giảm chiều dài tính toán của các cấu kiện của cánh trên của xà (giàn), cột và các cấu kiện khác của khung.
15.4.2 Cánh dưới của dầm và giàn đỡ cầu trục có nhịp lớn hơn 12 m cần được tăng cứng bằng hệ giằng nằm ngang.
15.4.3 Đối với nhà có dầm đỡ cầu trục, hệ giằng đứng giữa các cột chính được bố trí ở hai mức cao độ theo chiều cao. Ở mức cao độ dưới dầm đỡ cầu trục hệ giằng đứng cần được bố trí ở giữa hoặc gần giữa khối nhiệt độ; hệ giằng đứng ở mức cao độ trên dầm đỡ cầu trục được bố trí ở hai đầu nhà và trong các bước cột tiếp giáp với các khe nhiệt, cũng như trong các bước cột, nơi có bố trí hệ giằng đứng ở mức cao độ dưới.
Khi các nhánh cột không đủ độ cứng theo phương dọc nhà thì cần bố trí các thanh chống dọc nhà bổ sung được liên kết tại các nút giằng.
Với cột hai nhánh, nếu khoảng cách giữa hai nhánh lớn hơn 500 mm thì hệ giằng đứng cần được bố trí trong mặt phẳng của từng nhánh cột. Các nhánh của hệ giằng hai nhánh cần được liên kết với nhau bằng các thanh giằng.
15.4.4 Hệ giằng mái phụ thuộc vào: loại khung (khung thép hoặc khung hỗn hợp (khung bê tông cốt thép với mái thép)); đặc điểm đặc thù của kết cấu giàn mái; sự có mặt của giàn đỡ vì kèo, cột của khung tường và liên kết của chúng với các cấu kiện chịu lực của khung; loại mái (có xà gồ hoặc không có xà gồ); sự có mặt hoặc không có mặt của tấm mái cứng; sự có mặt của thiết bị nâng chuyển treo; sức nâng của cầu trục và chế độ làm việc của nó.
15.4.5 Đối với nhà có xà gồ, tại mức cao độ cánh dưới của giàn vì kèo có các thanh xiên đi lên tựa lên cột bằng cánh dưới cần bố trí:
- Hệ giằng ngang nằm ngang: trong mỗi nhịp của nhà ở các đầu nhà, cũng như ở các khe nhiệt của nhà;
- Hệ giằng ngang nằm ngang trung gian với bước không lớn hơn 60 m: khi chiều dài khối nhiệt độ lớn hơn 144 m và khi có cầu trục với sức nâng không nhỏ hơn 50 tấn;
- Hệ giằng dọc nằm ngang theo khoang ngoài cùng của cánh dưới giàn vì kèo để tạo với hệ giằng ngang nằm ngang một viền cứng trong mặt phẳng cánh dưới của giàn:
+ đối với nhà có giàn đỡ vì kèo;
+ đối với nhà khung thép nhiều nhịp có trang bị cầu trục với sức nâng 10 tấn trở lên;
+ đối với nhà có số nhịp lớn hơn 2, có trang bị cầu trục với sức nâng 30 tấn trở lên; khi cao độ đáy kết cấu vì kèo lớn hơn 22 m - không phụ thuộc sức nâng của cầu trục;
+ đối với nhà một hoặc hai nhịp, có trang bị cầu trục với sức nâng 10 tấn trở lên; khi cao độ đáy kết cấu vì kèo lớn hơn 18 m - không phụ thuộc sức nâng của cầu trục;
+ khi tại các hàng cột biên có tựa các cột của khung tường mà truyền tải trọng gió lên giằng - không phụ thuộc vào sự có mặt và sức nâng của cầu trục.
Đối với nhà nhiều nhịp có cầu trục với sức nâng không lớn hơn 50 tấn và chế độ làm việc từ A1 đến A6 (theo TCVN 8590-1:2010 (ISO 4301-1:1986)) thì hệ giằng dọc nằm ngang cần được bố trí dọc theo các cột biên và cách một hàng dọc theo các cột giữa. Đối với nhà nhiều nhịp có cầu trục với sức nâng lớn hơn 50 tấn và chế độ làm việc A7 và A8, cũng như đối với nhà có chênh lệch chiều cao cần bố trí hệ giằng dọc dày hơn theo cánh dưới của giàn có các thanh xiên gối tựa đi lên. Hệ giằng dọc nằm ngang theo các hàng cột giữa khi các nhịp liền nhau có chiều cao như nhau cần được thiết kế như hệ giằng dọc theo các hàng cột biên.
Trong trường hợp, nếu độ mảnh trong mặt phẳng nằm ngang của các khoang cánh dưới của giàn (nằm giữa hai giàn giằng ngang) không thỏa mãn 10.4 thì độ mảnh này phải được đảm bảo bằng cách đặt thêm thanh chịu kéo chống giữ tại các nút của giàn giằng.
Giữa các giàn vì kèo có thanh xiên gối tựa đi xuống mà cánh dưới không tựa lên cột, khi có tấm mái cứng không biến hình tại các nút của cánh trên, thì tại các nút của cánh dưới cần bố trí các thanh chống đâm vào hệ giằng đứng (đặt trong các khối giằng theo chiều dài nhà phù hợp với 15.4.10). Tại đầu hồi nhà có giàn với thanh xiên gối tựa đi xuống cần bố trí các chi tiết giằng nghiêng giữa cánh trên của giàn đầu hồi nhà và nút của cánh dưới giàn thứ hai tính từ đầu hồi (liền kề) có các thanh chống đâm vào.
15.4.6 Hệ giằng ngang nằm ngang theo cánh trên của các giàn vì kèo cần được bố trí cho mái có xà gồ trong mọi nhà công nghiệp một tầng. Các giàn giằng ngang theo cánh trên và cánh dưới cần được bố trí trùng nhau một cách hợp lý trên mặt bằng.
Xà gồ mái liên kết khớp với giàn mái ở phía trên (khi một đầu dầm không có khả năng dịch chuyển tịnh tiến tại tiết diện gối tựa, còn đầu còn lại của dầm tại tiết diện gối tựa cho phép có chuyển dịch tịnh tiến) không được coi là thanh giằng hoặc thanh chống dọc.
Việc đưa xà gồ vào làm việc với hệ giằng được thực hiện trong các giải pháp thiết kế theo kết quả tính toán kiểm tra mà kể đến được sự làm việc của xà gồ tiếp nhận lực dọc, và khi thực hiện các giải pháp cấu tạo thích hợp để liên kết xà gồ với kết cấu chịu lực của mái.
15.4.7 Khi có tấm mái cứng tại mức cao độ cánh trên của giàn trong mái không xà gồ có độ dốc không lớn hơn 10° (trong đó các tấm bê tông cốt thép cỡ lớn được hàn vào các cánh trên hoặc các tấm mái dạng sóng được cố định tại mỗi đỉnh dưới của sóng) thì hệ giằng ngang theo cánh trên của các giàn chỉ cần được bố trí ở các đầu nhà và ở các khe nhiệt. Trong các bước còn lại phải bố trí các thanh chống dọc ở đỉnh và ở gối tựa của các giàn vì kèo.
Với mái không xà gồ, hệ giằng nằm ngang theo cánh dưới của các giàn được bố trí không phụ thuộc vào loại mái chỉ đối với nhà có cầu trục với sức nâng không nhỏ hơn 50 tấn và có chế độ làm việc A7 (trong các xưởng sản xuất kim loại) và A8.
Khi có giàn đỡ vì kèo trong mái một nhịp không xà gồ và mái nhiều nhịp nằm ở một cao độ, phải bố trí hệ giằng dọc nằm ngang trong mặt phẳng cánh trên của các giàn ở một trong các khoang ngoài cùng của các giàn.
15.4.8 Khi có tấm mái cứng phù hợp với các yêu cầu trong 15.4.7 ở cao độ cánh trên của các giàn, cần bố trí các giằng kiểu tăng đơ để căn chỉnh và đảm bảo sự ổn định của kết cấu trong quá trình lắp dựng.
15.4.9 Khi bố trí các mái ở các mức cao độ khác nhau, phải bố trí mỗi hệ giằng dọc ở mỗi mức cao độ.
Trong phạm vi cửa trời, nơi không có xà gồ đặt ở cánh trên của các giàn, phải bố trí các thanh chống dọc. Sự có mặt của các thanh chống dọc này ở các nút đỉnh nóc là bắt buộc.
Hệ giằng theo cửa trời cần được bố trí trong mặt phẳng các cánh trên (các xà) ở các đầu cửa trời và ở hai phía của các khe nhiệt.
15.4.10 Tại các vị trí bố trí hệ giằng ngang của mái phải bố trí hệ giằng đứng giữa các giàn.
Cần bố trí hệ giằng đứng trong các mặt phẳng chứa các thanh đứng gối tựa của giàn vì kèo, bố trí thêm một giằng đứng trong các mặt phẳng chứa các thanh đứng đỉnh giàn - đối với giàn có nhịp đến 30 m và không ít hơn 2 giằng đứng - đối với giàn có nhịp lớn hơn 30 m, cũng như trong các mặt phẳng chứa các thanh đứng nằm dưới nút liên kết các chân ngoài của cửa trời. Việc chống giữ ngoài mặt phẳng đối với các nút trên và dưới của các giàn mà không được liên kết bằng hệ giằng đứng cần được thực hiện bằng các thanh chống và các thanh chịu kéo tương ứng.
15.4.11 Hệ giằng nằm ngang theo cánh trên và cánh dưới của các giàn không liên tục trong kết cấu nhịp lớn đỡ băng tải cần được bố trí riêng biệt cho mỗi nhịp.
15.4.12 Khi sử dụng hệ giằng chữ thập cho mái, trừ nhà và công trình đặc thù, việc tính toán được thực hiện theo sơ đồ quy ước với giả thiết rằng các thanh xiên của hệ giằng chỉ chịu lực kéo.
Khi xác định nội lực trong các thanh giằng thì không kể đến sự nén ép các thanh cánh giàn.
15.4.13 Trong mái treo với các hệ chịu lực phẳng (hệ dây văng hai lớp, hệ dây văng cứng và tương tự) cần bố trí các hệ giằng đứng và hệ giằng nằm ngang giữa các hệ chịu lực.
15.4.14 Liên kết các thanh giằng được thực hiện bằng bu lông cấp chính xác B.
Đối với nhà có trang bị cầu trục với sức nâng lớn và chế độ độ làm việc A7 và A8, cũng như trong trường hợp có nội lực đáng kể trong các thanh của hệ giằng (giàn gió và tương tự), việc liên kết các thanh của hệ giằng cần được thực hiện bằng hàn lắp dựng hoặc liên kết ma sát, còn trong các trường hợp riêng - bằng các bu lông cấp chính xác A.
15.4.15 Các thanh neo dùng làm các thanh của hệ giằng cần được sử dụng trong các kết cấu chịu lực chỉ đối với nhà và công trình cấp C2 và cấp C1 (theo [2]), đối với các nhóm kết cấu 2, 3, 4 (Bảng A.1, Phụ lục A). Để tạo lực căng trước trong các thanh neo, cần có các thiết bị chuyên dụng với việc đảm bảo tiếp cận được đến chúng và khả năng căng thêm trong quá trình sử dụng.
15.5 Dầm và kết cấu khung
15.5.1 Không được sử dụng tập bản cánh cho các cánh dầm hàn chữ I.
Đối với cánh dầm có liên kết ma sát cần sử dụng tập bản gồm không quá ba bản; khi đó diện tích tiết diện các thép góc ghép cánh được dùng không nhỏ hơn 30 % toàn bộ diện tích tiết diện cánh.
15.5.2 Các đường hàn cánh của dầm hàn, cũng như các đường hàn liên kết các chi tiết phụ (ví dụ: các sườn cứng) với tiết diện cơ bản của dầm phải là liên tục. Các sườn cứng ngang phải được cắt vát góc để chừa chỗ cho các đường hàn cánh.
Đối với xà của kết cấu khung tại vị trí gần sát nút gối tựa, cần sử dụng đường hàn cánh hai bên với chiều dài không nhỏ hơn chiều cao tiết diện xà.
15.5.3 Khi sử dụng đường hàn cánh một bên trong dầm hàn chữ I cấp 1 chịu tải trọng tĩnh cần thực hiện các yêu cầu sau:
- Tải trọng tính toán phải được đặt đối xứng đối với tiết diện ngang của dầm;
- Ổn định của cánh chịu nén của dầm phải được đảm bảo phù hợp với 8.4.4a;
- Tính toán ổn định của bản bụng dầm phải được tiến hành phù hợp với các yêu cầu trong 8.5.1 và 8.5.2;
- Các sườn cứng ngang phải được bố trí tại các vị trí đặt tải trọng tập trung lên cánh dầm, bao gồm tải trọng do các tấm bê tông cốt thép có sườn; các sườn cứng ngang không cần bố trí khi tiến hành kiểm tra ổn định cục bộ theo 8.2.2.
15.5.4 Các sườn cứng của dầm hàn phải đặt cách mối nối bụng dầm một khoảng không nhỏ hơn 10 lần chiều dày bản bụng. Tại vị trí giao nhau của các đường hàn đối đầu của bản bụng dầm với các sườn cứng dọc, các đường hàn liên kết sườn cứng dọc với bản bụng không được kéo dài đến sát đường hàn đối đầu của bản bụng tại các vị trí chúng giao nhau mà cách một đoạn (6t - 20), t tính bằng milimét (mm).
15.5.5 Đối với dầm hàn chữ I của các kết cấu nhóm 2 đến 4, các sườn cứng ngang một bên được sử dụng với cách bố trí chúng ở một bên dầm và hàn với các cánh dầm.
Đối với dầm có các đường hàn cánh một bên, các sườn cứng trên bản bụng cần được bố trí ở phía đối diện với phía bố trí các đường hàn cánh một bên.
Tính toán ổn định của sườn cứng ngang một bên được tiến hành theo các yêu cầu trong 8.5.9 và 8.5.10.
15.5.6 Khung là hệ không biến hình đàn hồi, gồm các cấu kiện thẳng hoặc cong liên kết cứng hoặc khớp với nhau tại các nút (tại các vị trí các cấu kiện giao nhau) và với nền móng. Khung được chế tạo dạng phẳng hoặc dạng không gian từ các khung phẳng.
Tính toán khung là việc xác định nội lực (lực cắt, lực dọc), mô men để lựa chọn tiết diện khi thiết kế.
Các cấu kiện của khung đặc được chế tạo từ các thép chữ I hàn hoặc I cán (đặc, bụng lỗ, bụng mảnh hoặc bụng sóng và các dạng khác), từ thép định hình kín uốn hàn (ống chữ nhật, vuông, tròn), còn với các kết cấu nhẹ gồm các tấm thép sóng kết hợp với thép chữ C cán tạo thành tiết diện kín chúng còn được chế tạo từ các thép định hình hiện đại khác. Khung hỗn hợp đặc-rỗng được chế tạo cũng từ thép với các tiết diện nêu trên và các thép góc định hình.
Hệ kết cấu khung bao gồm các khung phẳng, hệ giằng nằm ngang bố trí theo cánh trên của các xà, và các hệ giằng đứng theo các cột khung. Hệ giằng ngang của mái được bố trí tại các đầu hồi nhà (hoặc đầu khối nhiệt độ). Khi chiều dài khối nhiệt độ lớn hơn 96 m thì cần bố trí các giàn giằng trung gian cách nhau 42 m đến 60 m. Khi dùng giải pháp xà gồ cho mái thì các xà gồ được bố trí theo tính toán.
Các yêu cầu về bố trí các giằng theo cánh trên của các dầm là tương tự như các yêu cầu trong 15.4.6.
Hệ giằng đứng theo các cột trong một khối nhiệt độ có chiều dài không lớn hơn 120 m được bố trí tại giữa khối nhiệt độ, khi chiều dài khối nhiệt độ lớn hơn 120 m - được bố trí phù hợp với 15.1.
15.6 Dầm đỡ cầu trục
15.6.1 Các đường hàn cánh trên trong dầm đỡ cầu trục cho cầu trục thuộc các nhóm chế độ làm việc A7 (trong các xưởng sản xuất kim loại) và A8 cần phải được hàn thấu suốt chiều dày bụng dầm.
15.6.2 Các mép tự do của các cánh chịu kéo của dầm đỡ cầu trục và dầm đỡ sàn công tác chịu tải trọng trực tiếp từ các toa di động, phải được cán, bào hoặc cắt mép bằng máy cắt ôxy hoặc máy cắt hồ quang plasma.
15.6.3 Kích thước các sườn cứng của dầm đỡ cầu trục phải thỏa mãn các yêu cầu trong 8.5.9, 8.5.10 và 8.5.17, khi đó chiều rộng phần vươn của sườn trung gian hai bên không được nhỏ hơn 90 mm. Các sườn cứng ngang hai bên không được hàn với các cánh dầm; khi đó các đầu của sườn cứng phải được tì sát với cánh trên của dầm. Đối với dầm đỡ cầu trục cho cầu trục thuộc các nhóm chế độ làm việc A7 và A8, phải bào các đầu tiếp giáp với cánh trên.
Chỉ sử dụng các sườn cứng ngang một bên làm bằng thép băng hoặc thép góc được hàn với bụng dầm và với cánh trên và được bố trí theo 15.5.5 trong các dầm đỡ cầu trục cho cầu trục thuộc các nhóm chế độ làm việc từ A1 đến A5.
15.7 Kết cấu vỏ
15.7.1 Các sườn cứng ngang của vỏ phải có chu vi kín.
15.7.2 Tải trọng tập trung không được truyền trực tiếp lên vỏ mà phải thông qua các sườn cứng.
15.7.3 Chỗ nối các vỏ có hình dạng khác nhau được làm trơn thoải để giảm ứng suất cục bộ.
15.7.4 Tất cả các đường hàn đối đầu được hàn hai bên hoặc hàn một bên với hàn đắp gốc đường hàn, hoặc hàn trên bản lót.
Trong hồ sơ thiết kế phải ghi rõ các yêu cầu cần thiết để đảm bảo tính kín khít của liên kết các kết cấu mà trong đó chúng được yêu cầu.
15.7.5 Trong kết cấu vỏ cần sử dụng liên kết hàn đối đầu; khi các tấm có chiều dày bằng 5 mm và nhỏ hơn thì dùng liên kết hàn ghép chồng.
15.8 Mái treo
15.8.1 Đối với kết cấu làm bằng dây cần sử dụng cáp và dây thép cường độ cao (hoặc thép cán).
15.8.2 Lớp mái của mái treo phải được đặt trực tiếp trên các dây chịu lực theo hình dạng của dây. Nếu hình dạng lớp mái khác với hình dạng treo dây thì lớp mái được nâng lên trên các dây trong khi đã được tựa lên kết cấu đặc biệt phía trên, hoặc được treo vào các dây này từ phía dưới.
15.8.3 Hình dạng các vành bao cần được lựa chọn có kể đến áp lực cong do lực trong các dây treo dưới tải trọng tính toán.
15.8.4 Để giữ được ổn định hình dáng nhằm đảm bảo tính kín khít của kết cấu lớp mái đã chọn thì mái treo được tính toán chịu tác dụng của tải trọng tạm thời, trong đó có tải trọng gió. Khi đó, cần kiểm tra sự thay đổi độ cong của mái theo hai phương: phương dọc và phương ngang của dây. Sự ổn định cần thiết đạt được nhờ các biện pháp cấu tạo: tăng lực căng trong dây nhờ trọng lượng mái hoặc lực căng trước; tạo kết cấu đặc biệt giữ ổn định; sử dụng các dây văng; biến hệ dây và các tấm phủ mái thành một hệ thống nhất.
15.8.5 Tiết diện dây phải được tính toán theo lực lớn nhất xuất hiện dưới tải trọng tính toán, có kể đến sự thay đổi hình học của mái. Đối với các hệ lưới dây, ngoài ra, tiết diện dây còn phải được kiểm tra với lực do tác dụng của tải trọng tạm thời chỉ đặt dọc theo dây này.
15.8.6 Chuyển vị đứng và ngang của các dây và nội lực trong các dây được xác định có kể đến sự làm việc phi tuyến của kết cấu mái.
15.8.7 Khi tính toán các dây bằng cáp và liên kết của chúng, hệ số điều kiện làm việc được lấy phù hợp với Điều 17. Đối với các dây cáp giữ ổn định, nếu chúng không phải là dây neo cho vành bao thì hệ số điều kiện làm việc γc lấy bằng 1,0.
15.8.8 Các nút gối tựa của các dây bằng thép định hình cần được làm dưới dạng các nút khớp.
15.9 Liên kết mặt bích
15.9.1 Liên kết mặt bích các kết cấu thép xây dựng là liên kết mà trong đó ít nhất một chi tiết phẳng hình chữ nhật, hình tròn hoặc hình dạng khác (gọi là mặt bích) được liên kết với mặt đầu của một trong các cấu kiện bằng hàn, bằng bu lông.
Sự truyền lực trong liên kết mặt bích (lực dọc, mô men uốn và lực cắt) được thực hiện thông qua mặt bích.
Liên kết mặt bích được coi là liên kết cứng, liên kết khớp hoặc liên kết có độ cứng hữu hạn phụ thuộc vào độ cứng khi xoay của chúng đối với khung đang xét.
Liên kết cứng là liên kết mà trong đó không cho phép xoay giữa các cấu kiện được liên kết. Liên kết khớp là liên kết mà trong đó cho phép xoay giữa các cấu kiện được liên kết không truyền mô men uốn. Liên kết có độ cứng hữu hạn là liên kết mà cho phép xoay giữa các cấu kiện được liên kết có truyền mô men uốn.
15.9.2 Liên kết mặt bích được sử dụng trong: liên kết lắp dựng của giàn và kết cấu không gian có các cấu kiện với hình dạng khác nhau; cột đường dây tải điện trên không; công trình tháp và ăn ten; các mối nối của dầm, cột, các cấu kiện (có tiết diện chữ I hoặc tiết diện hộp) của khung; nút tiếp giáp của dầm với cột hoặc với dầm khác.
15.9.3 Liên kết mặt bích được phân loại theo các dấu hiệu sau:
Dấu hiệu I - theo điều kiện làm việc:
a) Liên kết mặt bích các kết cấu nhóm 1;
b) Liên kết mặt bích các kết cấu nhóm 2 và 3;
c) Liên kết mặt bích các kết cấu nhóm 4.
Nhóm kết cấu được xác định theo 4.3.1 và Bảng A.1 (Phụ lục A).
Dấu hiệu II - theo ứng suất tác dụng tại vùng gần mặt bích (Hình 25):
a) Với biểu đồ một dấu của ứng suất pháp nén (liên kết mặt bích chịu nén);
b) Với biểu đồ một dấu của ứng suất pháp kéo (liên kết mặt bích chịu kéo);
c) Với biểu đồ hai dấu của ứng suất pháp (liên kết mặt bích chịu nén uốn hoặc kéo uốn);

CHÚ DẪN:
1 Vùng gần mặt bích
2 Bu lông
Hình 25 - Phân loại liên kết mặt bích theo ứng suất tác dụng tại vùng gần mặt bích
Dấu hiệu III - theo lực siết trước bu lông trong liên kết mặt bích:
a) Không siết trước bu lông;
b) Có siết trước bu lông.
Dấu hiệu IV - theo phương pháp truyền lực cắt trong liên kết mặt bích thông qua:
a) Bu lông làm việc, kể cả làm việc chịu cắt;
b) Lực ma sát trên bề mặt tiếp xúc ở các phần chịu nén của liên kết mặt bích;
c) Các gối chống trượt chuyên dụng (gối chặn, sườn, v.v.).
Khi không có lực cắt thì liên kết mặt bích không phân loại theo dấu hiệu IV.
15.9.4 Trên cơ sở tính toán trong hồ sơ thiết kế, liên kết mặt bích cần được phân loại phù hợp với 15.9.3 theo tất cả các dấu hiệu.
15.9.5 Liên kết mặt bích các kết cấu nhóm 1 (loại Ia) cần được thiết kế chỉ dùng bu lông siết trước (loại IIIb); các kết cấu nhóm 2 và 3 (loại Ib) - có kể đến các yêu cầu trong 15.9.6 đến 15.9.13; các kết cấu nhóm 4 (loại Ic) - theo 14.2 làm bằng thép (xem Điều 5) không kể đến các yêu cầu bổ sung về độ thắt tương đối theo phương chiều dày thép cán.
15.9.6 Liên kết mặt bích chịu nén hoặc nén uốn đồng thời (loại IIa) cần được thiết kế và tính toán theo 14.2. Khi truyền lực cắt thông qua các bề mặt ma sát (loại liên kết (IIIb + IVb)) cần kể đến các yêu cầu trong 14.3.
15.9.7 Liên kết mặt bích thuộc các loại IIb và IIc cần được tính toán theo sơ đồ không gian về sự làm việc của mặt bích bằng các phương pháp gần đúng, hoặc phương pháp phần tử hữu hạn có kể đến tính phi tuyến hình học và vật lý về sự làm việc của liên kết, hoặc phương pháp cân bằng giới hạn phù hợp với các tài liệu kỹ thuật tương ứng.
Đối với liên kết mặt bích có mặt bích bị cong dạng nấm, mô hình tính toán liên kết mặt bích phải kể đến được việc bu lông làm việc chịu kéo và chịu uốn xuất hiện khi các mặt bích dạng nấm bị biến dạng do tải trọng hoặc do sự không song song của các bề mặt gối tựa đầu bu lông và đai ốc xuất hiện khi phay các mặt bích dạng nấm.
15.9.8 Khi thiết kế liên kết mặt bích, cần kiểm tra:
a) Độ bền và ổn định cục bộ của các cấu kiện được liên kết trong vùng gần mặt bích;
b) Khả năng chịu lực của các đường hàn trong liên kết mặt bích với các cấu kiện kết cấu phù hợp với các yêu cầu trong 14.1.
c) Độ bền của mặt bích trong vùng chịu kéo của liên kết mặt bích loại llb và llc;
d) Khả năng chịu lực của bu lông trong vùng chịu kéo của liên kết mặt bích loại llb và llc;
e) Khả năng chịu trượt:
- Đối với liên kết mặt bích loại (IIIb + IVb) - phù hợp với các yêu cầu trong 14.3;
- Đối với liên kết mặt bích loại (IIIa + IVa) - phù hợp với các yêu cầu trong 14.2;
- Đối với liên kết mặt bích loại IVc - khả năng chịu trượt của gối chống trượt chuyên dụng (gối đỡ, sườn, v.v.).
15.9.9 Đối với liên kết mặt bích các loại llb và llc, nút tiếp giáp của dầm với cánh cột cần được kiểm tra bổ sung so với các yêu cầu trong 15.9.8:
- Độ bền và ổn định cục bộ của cánh cột;
- Độ bền và ổn định cục bộ của bụng cột (kể cả do tác dụng đồng thời của lực dọc, mô men, lực trượt trong cột).
15.9.10 Khi thiết kế liên kết mặt bích, để làm các mặt bích cần sử dụng thép phù hợp với Điều 5 và các Phụ lục A và B; đối với liên kết mặt bích các loại llb và llc - sử dụng thép với các yêu cầu bổ sung về độ thắt tương đối đối với các mẫu thử theo phương chiều dày thép cán ψz không nhỏ hơn 35 % có kể đến các yêu cầu trong 13.3 và 13.5.
15.9.11 Khi thiết kế liên kết mặt bích các loại ((llb + IIIb + IVb) và (llc + IIIb + IVb)) cần sử dụng các bu lông cấp độ bền 8.8, 10.9, 12.9 và các đai ốc và vòng đệm tương ứng với chúng. Đối với các liên kết mặt bích còn lại cần lựa chọn theo 5.6 và 14.2.
Lỗ bu lông và bu lông cần được bố trí có kể đến các yêu cầu trong Bảng 43.
Đai ốc cho bu lông không siết trước (liên kết mặt bích loại IIIa) cần được hãm tránh xoay bằng đai ốc hãm, vòng đệm lò xo, v.v.
15.9.12 Các yêu cầu về lực siết bu lông và kiểm soát sự tiếp xúc chặt giữa các mặt bích đối với liên kết mặt bích loại (IIIb + IVb) được nêu trong TCVN 13194.
15.9.13 Việc nghiệm thu đưa vào sử dụng liên kết mặt bích khi các mặt bích bị cong dạng nấm cần được thực hiện sau khi có được các kết quả đạt trong thực hiện các tính toán bổ sung.
Tính toán liên kết mặt bích loại (IIIa + IVa) với các mặt bích không phẳng (khi có khe hở giữa các bề mặt tiếp xúc) được thực hiện như đối với các liên kết với các mặt bích phẳng (xem 15.9.5 đến 15.9.9) không có khe hở, nhưng trong đó lấy cường độ tính toán của liên kết một bu lông ftb = 0,54 fub (không phụ thuộc vào cấp độ bền của bu lông) và hệ số điều kiện làm việc giảm của mặt bích bằng 0,7. Khi đó, khe hở giữa các cấu kiện được liên kết với các mặt bích không phẳng cần được kiểm tra theo các yêu cầu sau:
a) Khe hở trong vùng vòng đệm: không lớn hơn 1,2 mm;
b) Khe hở biên theo chu vi mặt bích: không lớn hơn 4 mm;
c) Khe hở giữa các mặt bích:
- Theo đường trung tâm của cánh chịu nén và vùng chịu nén của bản bụng: không lớn hơn 0,1 mm;
- Theo đường trung tâm của cánh chịu kéo và vùng chịu kéo của bản bụng: không lớn hơn 1,2 mm.
15.9.14 Khi thiết kế khung cho phép sử dụng liên kết mặt bích IIIb + IVb không có sườn cứng ngang ở cột trong vùng nút. Các liên kết mặt bích này cần được coi là các nút có độ cứng hữu hạn. Độ cứng của liên kết được xác định bằng tính toán hoặc thực nghiệm. Khi đó cần xác định được quan hệ giữa mô men uốn và góc xoay tại liên kết (“ Me – αe”). Độ cứng chống uốn ban đầu Ce được tính bằng tang góc nghiêng của đường tiếp tuyến với đường cong “Me – αe " với αe = 0, hoặc trong trường hợp hàm nhiều đoạn thẳng
, trong đó Me1 là giá trị mô men uốn tại điểm đầu tiên của hàm số; αe1 là giá trị góc xoay của liên kết tại điểm đầu tiên của hàm số.
Độ cứng chống uốn tính toán C0 được tính bằng C0 = 0,95Ce. Để tính toán khung có sử dụng các nút vừa nêu cần kể đến độ cứng chống uốn tính toán.
Trường hợp liên kết mặt bích IIIb + IVb tiếp giáp với bụng hoặc cánh cột chữ I ở 4 phía thì ổn định cục bộ của bụng cột trong vùng nút cần được tính toán với chiều dày bụng tăng thêm 1/2 chiều dày mỗi mặt bích tiếp giáp với nó.
15.10 Liên kết của các cấu kiện có các đầu mút phay nhẵn
Trong liên kết của các cấu kiện có các đầu mút phay nhẵn (trong các mối nối, đế cột và tương tự) lực nên được coi là truyền toàn bộ lên các đầu mút.
Trong cấu kiện chịu nén lệch tâm (hoặc nén uốn), các đường hàn và bu lông của liên kết nêu trên cần được tính toán chịu lực kéo lớn nhất do tác dụng của mô men và lực dọc trong tổ hợp tải trọng bất lợi nhất của chúng, cũng như chịu lực trượt do tác dụng của lực cắt.
15.11 Liên kết lắp dựng
15.11.1 Liên kết lắp dựng của các kết cấu nhà và công trình có dầm đỡ cầu trục được tính toán chịu mỏi, cũng như liên kết lắp dựng của kết cấu đỡ các toa xe đường sắt phải là liên kết hàn hoặc liên kết ma sát.
Trong liên kết lắp dựng của các kết cấu này, cần sử dụng bu lông cấp chính xác B:
- Để liên kết các xà gồ, các cấu kiện của kết cấu cửa trời, hệ giằng theo cánh trên của các giàn (khi có hệ giằng cánh dưới hoặc lớp mái cứng), hệ giằng đứng giữa các giàn và hệ giằng đứng các cửa trời, cũng như để liên kết các cấu kiện của khung tường;
- Để liên kết hệ giằng theo cánh dưới của các giàn khi có lớp mái cứng (được hàn với cánh trên của các tấm bê tông cốt thép hoặc các tấm bê tông tổ ong có cốt hoặc được liên kết vào từng sóng của tấm sóng định hình và tương tự);
- Để liên kết giàn vì kèo và giàn đỡ vì kèo với cột và giàn vì kèo với giàn đỡ vì kèo với điều kiện áp lực đứng ở gối tựa truyền qua gối đỡ;
- Để liên kết các dầm không liên tục đỡ cầu trục với nhau, cũng như để liên kết cánh dưới của chúng với các cột mà không có liên kết với hệ giằng đứng;
- Để liên kết các dầm đỡ sàn công tác không chịu tác dụng của tải trọng động;
- Để liên kết các kết cấu phụ.
15.11.2 Để phân phối mô men uốn trong các cấu kiện của các hệ khung ngang trong nhà khung tại các nút liên kết xà với cột thì sử dụng các bản táp thép làm việc trong giai đoạn dẻo. Các bản táp này cần được làm bằng thép có giới hạn chảy đến 345 MPa.
Lực trong các bản táp được xác định ứng với giới hạn chảy nhỏ nhất σy,min = fy và giới hạn chảy lớn nhất σy,max = (fy+100) MPa.
Các mép dọc của bản táp làm việc trong giai đoạn dẻo phải được bào hoặc phay nhẵn.
15.12 Bộ phận gối tựa
15.12.1 Khi phải phân phối một cách rất đều áp lực dưới gối tựa thì cần sử dụng gối khớp cố định có các bản đệm chỉnh tâm, gối chỏm cầu và khi có phản lực rất lớn - gối cân bằng.
Gối phẳng hoặc gối trên con lăn di động được sử dụng trong trường hợp kết cấu nằm dưới chúng cần được giảm tải do lực ngang xuất hiện khi dầm hoặc giàn tựa cố định.
Hệ số ma sát trong gối phẳng di động lấy bằng 0,3 và trong gối trên con lăn lấy bằng 0,03.
15.12.2 Tính toán chịu ép mặt trong khớp trụ (ổ trục) của gối cân bằng được thực hiện (khi góc trung tâm tiếp xúc các bề mặt bằng hoặc lớn hơn 90°) theo công thức:
![]()
trong đó:
F là lực tác dụng lên gối;
r, L là bán kính và chiều dài gối khớp;
fcb là cường độ chịu ép mặt cục bộ khi tì sát, lấy theo 6.1.
15.12.3 Tính toán chịu ép theo đường kính con lăn được thực hiện theo công thức:
![]()
trong đó:
n là số con lăn;
d, L là đường kính và chiều dài con lăn;
fcd là cường độ chịu ép theo đường kính con lăn khi tì tự do, lấy theo 6.1.
16 Yêu cầu về thiết kế kết cấu cột đường dây tải điện trên không và cột thiết bị phân phối điện ngoài trời
16.1 Đối với kết cấu và liên kết của cột đường dây tải điện trên không, cột thiết bị phân phối điện ngoài trời cần sử dụng vật liệu phù hợp với các yêu cầu trong Điều 5 và các Phụ lục A, B và C.
16.2 Kết cấu cột được phân thành các nhóm phụ thuộc vào công năng sử dụng và dạng liên kết của cột:
Nhóm 1: Các cột hàn đặc biệt có nhịp lớn và cao trên 60 m;
Nhóm 2: Các cột hàn đỡ đường dây tải điện trên không, trừ các cột thuộc nhóm 1; các cột hàn đỡ thanh cái và đỡ cầu giao thiết bị phân phối điện ngoài trời không phụ thuộc vào điện thế, các cột hàn đỡ thiết bị phân phối điện ngoài trời có điện thế trên 300 kV; cũng như các cột nêu trong nhóm 1, nhưng không dùng liên kết hàn.
Nhóm 3: Các cột hàn và bu lông đỡ thiết bị phân phối điện ngoài trời có điện thế đến 330 kV, trừ các cột đỡ cầu giao, cũng như các kết cấu thuộc nhóm 2 khi không dùng liên kết hàn.
Nhóm 4: Các kết cấu hàn và bu lông của kênh cáp; các chi tiết của đường lăn máy biến áp; cầu thang bộ; thang di động; kết cấu bao che; các kết cấu và cấu kiện phụ khác của cột thiết bị phân phối điện ngoài trời, cột đường dây tải điện trên không.
16.3 Bu lông cấp chính xác A và B dùng cho cột đường dây tải điện trên không cao đến 60 m và kết cấu cột thiết bị phân phối điện ngoài trời được lấy như dùng cho kết cấu không được tính toán chịu mỏi, còn dùng cho liên kết mặt bích và cột đường dây tải điện trên không cao hơn 60 m - như dùng cho kết cấu được tính toán chịu mỏi, theo Bảng C.2 (Phụ lục C).
Liên kết mặt bích không kiểm soát lực siết bu lông được sử dụng để liên kết các kết cấu nêu trong điều này không phụ thuộc vào việc phân loại theo ứng suất tác dụng trong vùng gần mặt bích II theo 15.9.3. Đối với liên kết mặt bích chịu nén (hoặc nén uốn) có bu lông không kiểm soát lực siết, cần sử dụng bu lông, đai ốc và vòng đệm phù hợp với 5.2.2.1.
16.4 Khi tính toán cột đường dây tải điện trên không, kết cấu thiết bị phân phối điện ngoài trời thì lấy hệ số điều kiện làm việc theo 7.1.2, các điều 4 và 14 và theo Bảng 48.
Bảng 48 - Hệ số điều kiện làm việc γc khi thiết kế cột điện
| Cấu kiện kết cấu | Giá trị γc |
| 1. Các cánh chịu nén làm bằng thép góc đơn của cột đứng độc lập trong hai khoang đầu tính từ chân đế cột khi liên kết nút là: a) Liên kết hàn |
0,95 |
| b) Liên kết bu lông | 0,90 |
| 2. Thanh chịu nén của xà ngang rỗng phẳng (để treo dây) làm bằng thép góc đơn cạnh đều được liên kết theo một cánh (Hình 26): a) Thanh cánh liên kết trực tiếp với thân cột bằng hai bu lông trở lên bố trí dọc cánh xà ngang |
0,90 |
| b) Thanh cánh liên kết với thân cột bằng một bu lông hoặc qua bản mã | 0,75 |
| c) Thanh xiên và thanh ngang | 0,75 |
| 3. Dây co bằng cáp thép hoặc bó sợi thép cường độ cao: a) Đối với cột trung gian và cột có chế độ làm việc bình thường b) Đối với các cột neo, cột neo ở góc và cột góc: - Ở chế độ làm việc bình thường - Ở chế độ làm việc sự cố | 0,90
0,80 0,90 |
| CHÚ THÍCH 1: Các hệ số điều kiện làm việc không dùng để tính liên kết của các thanh tại nút. CHÚ THÍCH 2: Các chế độ làm việc bình thường và sự cố xem trong tiêu chuẩn hoặc tài liệu chuyên ngành điện. | |


Hình 26 - Sơ đồ xà ngang có hệ thanh bụng tam giác
Đối với cột đường dây tải điện trên không, cột thiết bị phân phối điện ngoài trời, giá trị hệ số độ tin cậy về tầm quan trọng γn lấy bằng 1,0.
Không cho phép tính toán độ bền các thanh chịu kéo của cột theo công thức (4) mà trong đó thay fyd bằng fud/γu.
16.5 Khi xác định độ mảnh quy đổi theo Bảng 8, độ mảnh lớn nhất của toàn cấu kiện λmax được tính theo các công thức:
- Đối với cấu kiện bốn mặt, có các cánh song song, hai đầu tựa khớp:
![]()
- Đối với cấu kiện ba mặt đều, có các cánh song song, hai đầu tựa khớp:
![]()
- Đối với cột đứng độc lập dạng tháp:
![]()
trong đó:
L là chiều dài hình học của cấu kiện tiết diện rỗng;
b là khoảng cách giữa trục các cánh song song trên mặt hẹp nhất của thân cột;
h là chiều cao của cột đứng độc lập;
μ = 1,25(bs/bi)2 - 2,75(bs/bi + 3,5 là hệ số chiều dài tính toán, trong đó bs và bi là khoảng cách giữa trục các cánh của cột dạng tháp tương ứng ở đáy trên và đáy dưới của mặt hẹp nhất.
16.6 Tính toán ổn định của cấu kiện tiết diện rỗng có thanh giằng, tiết diện không đổi theo chiều dài, chịu nén uốn được thực hiện theo các chỉ dẫn ở Điều 9.
Đối với cấu kiện tiết diện rỗng có thanh giằng, ba mặt đều, tiết diện không đổi theo chiều dài, thì độ lệch tâm tương đối được tính theo các công thức:
- Khi uốn trong mặt phẳng vuông góc với một trong các mặt:
- Khi uốn trong mặt phẳng song song với một trong các mặt:
trong đó:
b là khoảng cách giữa trục của các cánh song song trong một mặt;
β là hệ số, lấy bằng 1,2 cho liên kết bu lông và bằng 1,0 cho liên kết hàn.
16.7 Khi tính toán ổn định của cấu kiện tiết diện rỗng có thanh giằng, chịu nén uốn theo các chỉ dẫn trong 9.3.1 và 9.3.2 thì giá trị độ lệch tâm e được tăng lên 1,2 lần nếu dùng liên kết bu lông cho thanh giằng.
16.8 Khi kiểm tra ổn định của các cánh riêng biệt của cấu kiện tiết diện rỗng của trụ dây co chịu nén uốn thì lực dọc trong mỗi cánh được xác định có kể đến lực bổ sung Nad do mô men uốn M đã được tính theo sơ đồ biến dạng.
Đối với cột rỗng tựa khớp hai đầu, có tiết diện chữ nhật không đổi theo chiều dài (tiết diện loại 2, Bảng 8) của trụ dây co thì giá trị mô men uốn M tại điểm giữa chiều dài cột khi cột chịu uốn trong một mặt phẳng x-x hoặc y-y được xác định theo công thức:
![]()
trong đó:
Mq là mô men uốn tại điểm giữa chiều dài cột do tải trọng ngang, được xác định như trong dầm;
β là hệ số, lấy theo 16.6;
N là lực dọc trong cột;
fq là độ võng ngang của cột tại điểm giữa chiều dài cột do tải trọng ngang, được xác định như trong dầm thông thường có sử dụng mô men quán tính quy đổi của tiết diện Ief;
fn = 0,0013L là độ võng ngang ban đầu của cột trong mặt phẳng uốn;
δ = 1- 0,1NL2/(Elef) với L là chiều dài cột;
(trong đó A là diện tích tiết diện cột; λef là độ mảnh quy đổi của cột, được xác định theo Bảng 8 đối với tiết diện loại 2, trong đó trong công thức (15) thay λmax bằng λx hoặc λy tương ứng với mặt phẳng uốn).
Khi cột chịu uốn trong hai mặt phẳng, lực Nad được xác định theo công thức (123); khi đó độ võng ngang ban đầu fn chỉ được kể đến trong mặt phẳng có thành phần lực bổ sung Nad (do mô men Mx hoặc My) có giá trị lớn nhất.
16.9 Đối với cột rỗng có thanh giằng tựa khớp hai đầu, có tiết diện rỗng chữ nhật không đổi theo chiều dài (tiết diện loại 2, Bảng 8), của trụ dây co khi cột chịu nén uốn trong một mặt phẳng x-x hoặc y-y thì giá trị lực cắt V được lấy không đổi theo chiều dài cột và được xác định theo công thức:
![]()
trong đó:
Vmax là lực cắt lớn nhất do tải trọng ngang trong mặt phẳng uốn, được xác định như trong dầm; các đại lượng khác: lấy như trong công thức (206).
16.10 Đối với cột rỗng có thanh giằng tựa khớp hai đầu, có tiết diện rỗng tam giác không đổi theo chiều dài (tiết diện loại 3, Bảng 8), của trụ dây co khi nén uốn trong một mặt phẳng x-x hoặc y-y thì giá trị mô men M tại giữa chiều dài cột được xác định theo công thức (206), còn độ mảnh quy đổi - theo Bảng 8 đối với tiết diện loại 3.
Khi cột chịu uốn trong hai mặt phẳng thì giá trị lực bổ sung Nad được lấy bằng giá trị lớn hơn trong hai giá trị xác định theo các công thức:

Khi kể đến cả hai mô men Mx và My trong công thức (208b), độ võng ngang ban đầu của cột fn trong mỗi mặt phẳng được lấy bằng 0,001L
16.11 Đối với cột rỗng có thanh giằng tựa khớp hai đầu, có tiết diện rỗng tam giác, của trụ dây co khi nén uốn thì lực cắt V trong mặt phẳng của một mặt cần được xác định theo công thức (207) có kể đến độ mảnh quy đổi λef xác định theo Bảng 8 đối với tiết diện loại 3.
16.12 Tính toán ổn định của các thanh chịu nén của kết cấu làm bằng thép góc đơn (thanh cánh, thanh bụng) cần được thực hiện có kể đến sự lệch tâm của lực dọc.
Các thanh này cần được tính toán như cấu kiện chịu nén đúng tâm theo công thức (6) với điều kiện nhân lực dọc với các hệ số αm và αd có giá trị được lấy không nhỏ hơn 1,0.
Trong các kết cấu không gian dùng bu lông theo Hình 17 (trừ Hình 17c và cột cuối đường dây), khi các thanh làm bằng thép góc đơn cạnh đều hội tụ tại nút theo đường lỗ bu lông trong trường hợp bố trí bu lông theo một hàng trong các thanh bụng và liên kết các thanh xiên tại nút từ hai phía của cánh thì giá trị các hệ số αm và αd cần được xác định như sau:
- Đối với các thanh cánh khi
< 3,5 (khi
> 3,5 thì lấy
= 3,5): theo các công thức khi 0,55 ≤ c/b ≤ 0,66 và Nmd/Nm ≤ 0,7 :
![]()
khi 0,4 ≤ c/b < 0,55 và Nmd/Nm ≤ (2,33c/b - 0,58):
![]()
- Đối với các thanh xiên, tiếp giáp với khoang cánh đang tính: theo các công thức
khi 0,55 ≤ c/b ≤ 0, 66 và Nmd/Nm ≤ 0,7 :
![]()
khi 0,4 ≥ c/b < 0,55 và Nmd/Nm ≤ (2,33 c/b − 0,58):
![]()
Đối với các kết cấu không gian dùng bu lông theo Hình 17d, e thì trong các công thức (210) và (212) lấy 0,45 ≤ c/b < 0,55 .
Trong các công thức (211) và (212) tỉ số khoảng cách theo cánh thép góc của thanh xiên tính từ sống đến đường lỗ bu lông trên chiều rộng cánh thép góc của thanh xiên được lấy từ 0,54 đến 0,6; khi tỉ số bằng 0,5 thì hệ số αd tính được theo các công thức (211) và (212) cần được tăng lên 5 %.
Trong các kết cấu hàn không gian làm bằng các thanh thép góc đơn cạnh đều theo Hình 17b, d (trừ cột cuối đường dây) có liên kết các thanh xiên tại nút chỉ từ phía trong của cánh khi Nmd/Nm ≤ 0,7 thì giá trị các hệ số αm và αd lấy như sau:
− Khi hội tụ các thanh theo trọng tâm tiết diện tại các nút:
αm = αd = 1,0 ;
− Khi hội tụ các trục của các thanh xiên theo sống của cánh thép góc tại các nút:
αm = αd = 1,0 + 0,12 Nmd/Nm.
Khi tính toán kết cấu chịu tác dụng đồng thời của tải trọng đứng và ngang và mô men xoắn gây bởi dây đứt hoặc cáp đứt, lấy αm = αd = 1,0 .
Các ký hiệu trong các công thức từ (209) đến (212) được lấy như sau:
c là khoảng cách theo cánh thép góc tính từ sống đến đường lỗ bu lông mà trên đó bố trí tâm của nút;
b là chiều rộng cánh thép góc;
Nm là lực dọc trong một khoang cánh;
Nmd là tổng hình chiếu lên trục cánh của các nội lực trong các thanh xiên (tiếp giáp với một cánh) truyền lên cánh tại nút và được xác định trong cùng một tổ hợp tải trọng như đối với Nm ; khi tính toán cánh, cần lấy giá trị lớn hơn trong các giá trị Nmd thu được đối với các nút ở các đầu khoang, còn khi tính toán các thanh xiên - đối với nút mà các thanh xiên tiếp giáp vào.
16.13 Chiều dài tính toán Lef và bán kính quán tính của tiết diện i khi xác định độ mảnh các thanh của xà ngang phẳng có các thanh cánh và các thanh bụng làm bằng thép góc đơn (xem Bảng 26) cần được lấy bằng:
- Đối với thanh cánh: Lef = Lm ; i = imin ; Lef = Lm1 ; i = ix ;
- Đối với thanh xiên: Lef = Ld , i = imin ;
- Đối với thanh đứng gối tựa: Lef = Lc ; i = imin ,
trong đó:
ix là bán kính quán tính của tiết diện đối với trục song song với mặt phẳng hệ thanh bụng của xà ngang.
16.14 Đối với cột rỗng đứng độc lập đỡ đường dây tải điện trên không, độ mảnh của thanh xiên đầu tiên, tính từ chân cột, làm bằng thép góc đơn không được vượt quá 160.
16.15 Độ lệch đỉnh cột và độ võng của xà ngang không được lớn hơn các giá trị nêu trong Bảng 49.
Bảng 49 - Độ lệch đỉnh cột và độ võng của xà ngang
| Kết cấu và phương lệch | Độ lệch tương đối của đỉnh cột (so với chiều cao) | Độ võng tương đối của xà ngang (so với nhịp hoặc chiều dài công xôn) | ||||
| phương đứng | phương ngang | |||||
| trong nhịp | trên công xôn | trong nhịp | trên công xôn | |||
| 1. Cột neo ở đầu và góc rẽ của tuyến dây có chiều cao đến 60 m, dọc dây dẫn | 1/120 | 1/200 | 1/70 | Không hạn chế | ||
| 2.Cột neo của tuyến dây, có chiều cao đến 60 m, dọc dây dẫn | 1/100 | 1/200 | 1/70 | Không hạn chế | ||
| 3. Cột trung gian của tuyến dây (trừ cột vượt), dọc và ngang dây dẫn | Không hạn chế | 1/150 | 1/50 | Không hạn chế | ||
| 4. Cột vượt của tuyến dây, có chiều cao trên 60 m, dọc dây dẫn | 1/140 | 1/200 | 1/70 | Không hạn chế | ||
| 5. Cột đỡ thiết bị phân phối điện, dọc dây dẫn | 1/100 | 1/200 | 1/70 | 1/200 | 1/70 | |
| 6. Cột đỡ thiết bị phân phối điện, ngang dây dẫn | 1/70 | Không hạn chế | ||||
| 7. Cột đỡ thiết bị | 1/100 | - | - | - | - | |
| 8. Dầm đỡ thiết bị | - | 1/300 | 1/250 | - | - | |
| CHÚ THÍCH 1: Không quy định độ lệch của cột thiết bị phân phối điện ngoài trời và xà ngang cột đường dây tải điện trên không ở chế độ sự cố và chế độ lắp dựng. Các chế độ sự cố và lắp dựng xem trong tiêu chuẩn hoặc tài liệu chuyên ngành điện. CHÚ THÍCH 2: Độ lệch và độ võng quy định ở các điểm 7 và 8 phải giảm xuống khi điều kiện kỹ thuật về sử dụng thiết bị quy định yêu cầu khắt khe hơn. | ||||||
16.16 Trong kết cấu thép không gian của cột đường dây tải điện trên không và cột thiết bị phân phối điện ngoài trời làm bằng các thanh thép góc đơn, cần bố trí các vách cứng ngang trong các tiết diện ngang cách nhau không quá 25 m theo chiều dài cột đứng độc lập và không quá 15 m trong trụ dây co. Các vách cứng cũng cần được bố trí tại các vị trí đặt tải trọng tập trung và nơi gãy góc của các thanh cánh.
16.17 Khi tính toán chịu ép mặt các cấu kiện được liên kết của hệ thanh bụng trong liên kết một bu lông với khoảng cách từ mép thanh đến tâm lỗ bu lông dọc theo phương lực tác dụng nhỏ hơn 1,5d, cần xét đến CHÚ THÍCH 2 trong Bảng 43.
Trong liên kết một bu lông của các thanh thường xuyên chịu kéo (dây neo xà ngang, các thanh tiếp giáp với các nút giữ các dây dẫn và tại các vị trí liên kết các thiết bị), khoảng cách từ mép thanh đến tâm lỗ bu lông dọc theo phương lực được lấy không nhỏ hơn 2d.
16.18 Các thanh xiên liên kết với thanh cánh bằng bu lông tại một nút phải được bố trí từ hai phía của cánh thép góc ghép cánh.
16.19 Trong mối nối bu lông của các thanh cánh làm bằng thép góc cạnh đều, số bu lông nên lấy số chẵn và chia đều số bu lông này cho hai cánh thép góc.
Số bu lông với cách bố trí theo một hàng và so le, cũng như số hàng bu lông ngang với cách bố trí theo hai hàng không nên lớn hơn 5 trên một cánh thép góc ở mỗi phía mối nối.
Số bu lông và số hàng bu lông ngang nêu trên được tăng lên 7 với điều kiện giảm giá trị hệ số γb đã được xác định theo Bảng 44 bằng cách nhân với 0,85.
16.20 Tính toán ổn định của thành cột ống đa giác với số cạnh từ 8 đến 12 được thực hiện theo công thức:
![]()
trong đó:
σ1 là ứng suất nén lớn nhất trong tiết diện cột khi tính toán cột theo sơ đồ biến dạng;
σcr là ứng suất tới hạn, được tính theo công thức:
![]()
với:
![]()
là độ mảnh quy ước của thành ống ở cạnh có chiều rộng b và chiều dày t;
trong đó
được lấy không lớn hơn 2,4; σ2 là ứng suất nhỏ nhất trong tiết diện, được lấy với dấu ‟âm” khi kéo.
Ống đa giác phải phù hợp với các yêu cầu trong 11.2.1 và 11.2.2 ứng với các ống tròn với bán kính đường tròn ngoại tiếp đa giác.
17 Yêu cầu về thiết kế kết cấu công trình ăng ten viễn thông cao đến 500 m
17.1 Để làm kết cấu thép của công trình ăng ten, cần sử dụng các loại thép phù hợp với phạm vi sử dụng của chúng. Khi đó, cần phân loại kết cấu theo các nhóm sau đây:
Nhóm 1: Dây co gồm cáp thép và móc thép với cấu hình khác nhau; dây văng chịu lực của mảng rèm ăng ten và dây ăng ten; các chi tiết (cơ khí) của dây co của trụ và mảng rèm ăng ten, các chi tiết neo dây co vào móng và vào thân trụ thép; mặt bích và liên kết mặt bích các cấu kiện của thân trụ và tháp, bao gồm cả bản đế và chân đế cột;
Nhóm 2: Thân đặc và thân rỗng của trụ và tháp; hệ thanh bụng; vách cứng của thân tháp;
Nhóm 3: Cầu thang, sàn chuyển tiếp; kết cấu thép giữ thiết bị ăng ten.
Vật liệu cho liên kết cần được lấy theo Điều 5, cường độ tiêu chuẩn và cường độ tính toán của vật liệu và liên kết - theo Điều 6 và các Phụ lục B và C.
17.2 Để làm dây co và các chi tiết của mảng rèm ăng ten, cần sử dụng cáp thép tròn mạ kẽm, cáp cho thiết bị nâng chuyển loại bện đơn không vặn (gọi là cáp xoắn) hoặc bện đôi ngược chiều không vặn có lõi thép (gọi là tao cáp tròn), khi đó nếu lực tính toán đến 325 kN thì dùng cáp xoắn. Trong cáp cần sử dụng sợi thép tròn với đường kính lớn nhất có chất lượng thường theo tính chất cơ học. Đối với môi trường xâm thực trung bình và cao - sử dụng cáp mạ kẽm phù hợp với môi trường sử dụng. Khi tăng chiều dài đoạn buộc bằng dây mềm mạ kẽm ở các đầu cáp lên 25 % thì cần sử dụng cáp bện xoắn.
Để làm dây co kèm sứ cách điện loại hạt dẻ, cần sử dụng cáp thép lõi phi kim, nếu như yêu cầu kỹ thuật của truyền thanh cho phép điều đó.
Để làm dây co có lực vượt quá khả năng chịu lực của cáp làm bằng sợi thép tròn, cần sử dụng cáp thép kín có các lớp dây mạ kẽm tiết diện chữ Z và hình nêm quấn ngoài.
CHÚ THÍCH: Để có thêm thông tin về phân loại, phạm vi áp dụng các loại cáp, có thể tham khảo thêm ISO 17893 và các tiêu chuẩn sản phẩm liên quan khác, cũng như hướng dẫn của nhà sản xuất.
17.3 Đầu cáp thép trong cốc neo hoặc ống nối (tăng đơ) cần được neo giữ bằng cách rót hợp kim kẽm theo đúng kỹ thuật neo cáp.
17.4 Để làm các chi tiết của mảng rèm ăng ten, cần sử dụng dây dẫn phù hợp. Việc sử dụng dây đồng chỉ cho phép trong các trường hợp cần thiết về công nghệ.
17.5 Giá trị cường độ chịu kéo tính toán (lực) của dây dẫn lấy bằng giá trị lực kéo đứt quy định trong các tiêu chuẩn sản phẩm chia cho hệ số độ tin cậy về vật liệu γm , lấy như sau:
- Đối với dây dẫn bằng nhôm và đồng:…………………………………….. 2,5;
- Đối với dây dẫn bằng thép-nhôm khi tiết diện danh nghĩa, mm2:
16 và 25:……………………………………………………………………… 2,8;
≥ 35 và ≤ 95:…………………………………………………………………. 2,5;
≥ 120:………….……………………………………………………………… 2,2;
- Đối với dây dẫn hai kim loại thép-đồng:………………………………..…. 2,0.
17.6 Khi tính toán kết cấu công trình ăng ten, cần lấy hệ số điều kiện làm việc theo 4.3, Điều 14 và Bảng 50.
Bảng 50 - Hệ số điều kiện làm việc γc
| Các cấu kiện kết cấu | Giá trị γc |
| 1. Các thanh bụng ứng suất trước | 0,90 |
| 2. Mặt bích: |
|
| a) Dạng vành khuyên b) Các dạng còn lại | 1,10 0,90 |
| 3. Cáp thép làm dây co của trụ hoặc các chi tiết của mảng rèm ăng ten với số lượng: |
|
| a) Từ 3 đến 5 dây co trong một lớp hoặc 3 đến 5 chi tiết của mảng rèm ăng ten b) Từ 6 đến 8 dây co trong một lớp c) Từ 9 dây co trở lên trong một lớp | 0,80 0,90 0,95 |
| 4. Ngàm đầu cáp bằng kẹp hoặc dập điểm trong ống lồng | 0,75 |
| 5. Bện cáp ở chổ nối hoặc sứ cách điện | 0,55 |
| 6. Các chi tiết kẹp dây co, mảng rèm ăng ten, dây dẫn, thanh chống xiên vào kết cấu đỡ và móng neo | 0,90 |
| 7. Các thanh neo không dùng liên kết ren khi làm việc chịu kéo uốn | 0,65 |
| 8. Các tai đỡ chịu kéo | 0,65 |
| 9. Các chi tiết kẹp và chi tiết của liên kết bó cáp thép: |
|
| a) Chi tiết cơ khí, trừ các trục khớp b) Trục khớp chịu ép mặt | 0,80 0,90 |
17.7 Độ lệch ngang tương đối của cột (so với chiều cao) không được vượt quá các giá trị sau (trừ khi độ lệch ngang tương đối của cột có quy định giá trị khác trong nhiệm vụ thiết kế):
1/100 - khi chịu tải trọng gió;
1/300 - khi treo ăng ten một bên cột trường hợp không có gió.
17.8 Liên kết lắp dựng các cấu kiện kết cấu (kể cả liên kết mặt bích) mà truyền nội lực tính toán thì cần được thiết kế dùng bu lông cấp chính xác B và cấp độ bền 8.8 và 10.9. Khi có tải trọng đổi dấu, cần sử dụng liên kết dùng bu lông cấp độ bền 8.8 và 10.9 với lực siết bu lông bắt buộc là Pb (theo 14.3.6) hoặc dùng hàn lắp dựng.
17.9 Các thanh xiên có độ mảnh lớn hơn 250 trong hệ thanh bụng chữ thập phải được liên kết với nhau tại các chỗ giao nhau.
Độ võng các thanh ngang của vách cứng và các cấu kiện của sàn công tác trong các mặt phẳng thẳng đứng và nằm ngang không được vượt quá 1/250 chiều dài nhịp.
17.10 Trong kết cấu cột rỗng, các vách cứng phải được bố trí cách nhau không quá 3 lần cạnh của tiết diện ngang trung bình của một đoạn cột, cũng như tại các vị trí có tải trọng tập trung hoặc nơi gẫy góc của các thanh cánh.
17.11 Các bu lông của liên kết mặt bích các ống thép cần được bố trí cách đều nhau trên một đường tròn với đường kính nhỏ nhất có thể.
17.12 Các thanh bụng của giàn mà hội tụ tại một nút cần được hội tụ tại điểm giao nhau các trục của chúng. Tại vị trí liên kết thanh xiên với mặt bích cho phép lệch tâm, nhưng độ lệch tâm không lớn hơn 1/3 cạnh tiết diện ngang của thanh cánh. Khi độ lệch tâm lớn hơn, các thanh phải được tính toán có kể đến mô men nút.
Với bản mã xẻ rãnh, đuôi rãnh được khoan lỗ với đường kính lớn hơn 1,2 lần đường kính thanh xiên để liên kết thanh xiên làm bằng thép tròn.
17.13 Các dây co của trụ thân rỗng cần được hội tụ tại điểm giao nhau các trục của các thanh cánh và các thanh ngang. Trục quy ước của dây co là dây cung.
Để tránh bị uốn cong, các tai đỡ bằng thép tấm để neo dây co cần được chống đỡ bằng các sườn cứng.
Kết cấu nút neo dây co mà không nằm gọn trong kích thước phủ bì của đoạn thân cột vận chuyển cần được thiết kế tách riêng như một bộ phận lắp ghép dưới dạng vách cứng phù bì.
17.14 Thiết bị căng (tăng đơ) dùng để điều chỉnh chiều dài và giữ dây co của trụ phải được neo vào thiết bị neo bằng cáp mảnh. Chiều dài phần cáp luồn vào ống lồng không được nhỏ hơn 20 lần đường kính cáp.
17.15 Đối với các cấu kiện của công trình ăng ten, cần sử dụng các chi tiết cơ khí điển hình đã qua thử nghiệm độ bền và độ bền mỏi.
Ren của các chi tiết chịu kéo cần được lấy theo các tài liệu chuyên ngành.
17.16 Trên dây co của trụ và trên dây dẫn và cáp treo các mảng rèm ăng ten nằm ngang, để giảm dao động cần đặt liên tiếp các cặp thiết bị giảm rung tần số thấp (từ 1 Hz đến 2,5 Hz) và tần số cao (từ 4 Hz đến 40 Hz) dạng lò xo. Thiết bị giảm rung tần số thấp được chọn theo tần số dao động chính của dây co, dây dẫn hoặc cáp. Khoảng cách s từ chỗ đầu neo cáp đến điểm treo thiết bị giảm rung được xác định theo công thức:
![]()
trong đó:
d là đường kính cáp, dây dẫn, tính bằng milimét (mm);
m là khối lượng 1 m dài cáp, dây dẫn, tính bằng kilôgram (kg);
P là lực căng trước trong cáp hoặc dây dẫn, tính bằng niutơn (N).
Thiết bị giảm rung tần số cao được đặt cao hơn thiết bị giảm rung tần số thấp một khoảng s. Khi nhịp của dây dẫn hoặc cáp treo mảng rèm ăng ten vượt quá 300 m, thiết bị giảm rung được đặt không phụ thuộc vào tính toán.
17.17 Các công trình ăng ten viễn thông phải được sơn màu phù hợp với quy định của ngành hàng không.
17.18 Các chi tiết cơ khí của dây co, lõi thép của sứ cách điện, cũng như các chi tiết kim loại khác phải được mạ kẽm.
18 Yêu cầu về thiết kế kết cấu nhà và công trình khi gia cường
18.1 Yêu cầu chung
18.1.1 Dự trữ còn lại của kết cấu nhà và công trình cần được đánh giá trên cơ sở phân tích tài liệu kỹ thuật sẵn có; khảo sát bằng trực quan và bằng thiết bị; tính toán kiểm tra khả năng chịu lực và tính biến dạng của các cấu kiện có khuyết tật hoặc hư hỏng xuất hiện trong quá trình sử dụng. Tình trạng kỹ thuật của các bộ phận nhà và công trình có thể được xác định theo các mức:
Mức tình trạng bình thường: khi không có khuyết tật, hư hỏng và tất cả các yêu cầu thiết kế vẫn phù hợp với các tiêu chuẩn hiện hành.
Mức tình trạng còn khả năng làm việc: khi có khuyết tật và hư hỏng cục bộ mà sự phát triển của chúng không làm ảnh hưởng đến khả năng chịu lực của các cấu kiện khác và tổng thể kết cấu, và không hạn chế việc sử dụng bình thường của nhà và công trình trong những điều kiện cụ thể.
Mức tình trạng làm việc hạn chế: khi có khuyết tật và hư hỏng không gây nguy cơ sụp đổ bất ngờ hoặc mất ổn định kết cấu, nhưng có thể gây hư hỏng các cấu kiện khác và các nút kết cấu trong tương lai, hoặc (khi hư hỏng phát triển) chuyển sang mức tình trạng nguy hiểm mà để đảm bảo việc sử dụng tiếp nhà (công trình) phải kiểm soát tình trạng kết cấu, thời hạn sử dụng kết cấu, các thông số của quá trình công nghệ (ví dụ: hạn chế sức nâng của cầu trục) hoặc yêu cầu phải gia cường.
Mức tình trạng nguy hiểm: khi có khuyết tật và hư hỏng chứng tỏ các cấu kiện và liên kết đặc biệt quan trọng mất khả năng chịu lực, gây nguy cơ sụp đổ kết cấu và có thể làm mất ổn định tổng thể công trình.
18.1.2 Khi gia cường hoặc thay đổi điều kiện làm việc của kết cấu cần gia cường, phải đảm bảo ít nhất là kết cấu ở mức tình trạng còn khả năng làm việc.
Trong giai đoạn tiến hành khảo sát trước khi gia cường kết cấu thuộc mức tình trạng làm việc hạn chế, phải đảm bảo có kiểm soát cần thiết.
Khi gia cường kết cấu, phải có các giải pháp kết cấu và biện pháp thi công sao cho đảm bảo đưa các cấu kiện và kết cấu gia cường cùng làm việc với kết cấu cần gia cường một cách từ từ uyển chuyển, kể cả khi sử dụng biện pháp điều chỉnh lực và giảm tải tạm thời cho kết cấu.
18.1.3 Đối với kết cấu được thiết kế theo các tiêu chuẩn trước các tiêu chuẩn hiện hành, việc tính toán kiểm tra không cần phải tiến hành trong các trường hợp, nếu sau khoảng thời gian sử dụng không ít hơn 15 năm nhưng trong kết cấu không xuất hiện các khuyết tật và hư hỏng, không thay đổi điều kiện sử dụng tiếp theo, không thay đổi tải trọng và tác động, còn khi thay đổi chúng nhưng không làm tăng nội lực trong các cấu kiện chính.
18.2 Các đặc trưng tính toán của thép và liên kết
18.2.1 Việc đánh giá chất lượng vật liệu làm kết cấu cần được thực hiện trên cơ sở các chứng chỉ sản phẩm hoặc dựa theo kết quả thử nghiệm các mẫu thử. Việc thử nghiệm được thực hiện khi không có hoặc có nhưng không đủ thông tin trong tài liệu hoặc chứng chỉ, hoặc khi phát hiện hư hỏng có thể gây nên chất lượng kém của thép.
18.2.2 Khi khảo sát và thử nghiệm thép thì cần xác định các chỉ tiêu sau:
- Thành phần hóa học;
- Giới hạn chảy, giới hạn bền kéo và độ giãn dài tương đối khi thử kéo (phải có biểu đồ kéo);
- Độ dai va đập đối với nhiệt độ tương ứng với nhóm kết cấu và nhiệt độ tính toán;
- Trong các trường hợp riêng - cấu trúc vĩ mô và vi mô của thép (nói riêng, đối với kết cấu thuộc các nhóm 1 và 2 theo Bảng A.1, Phụ lục A).
Vị trí lấy mẫu để xác định các chỉ tiêu nêu trên, số lượng mẫu và sự cần thiết phải gia cường các vị trí bị cắt lấy mẫu cần được các đơn vị khảo sát, đánh giá kết cấu quyết định.
18.2.3 Khảo sát và thử nghiệm thép kết cấu được tiến hành bởi các đơn vị có chuyên môn phù hợp.
18.2.4 Cường độ tính toán của thép cán, thép uốn định hình và thép ống của kết cấu cần gia cường phải được lấy theo các yêu cầu trong 6.1, khi đó các giá trị fy, fu và γc được lấy theo các giá trị ứng với tiêu chuẩn ban đầu áp dụng cho kết cấu.
18.2.5 Cường độ tính toán của liên kết hàn của kết cấu cần giữ lại nhưng cần sửa chữa hoặc gia cường được lấy có kể đến mác thép, vật liệu hàn, phương pháp hàn, vị trí đường hàn và phương pháp kiểm tra đường hàn đã dùng trong kết cấu.
Khi không có các số liệu cần thiết trong các tiêu chuẩn thì lấy:
- Đối với đường hàn góc: fwf = fws = 0,44fu ; βf = 0,7 và βs = 1,0 , cho rằng khi đó γc = 0,8 ;
- Đối với đường hàn đối đầu chịu kéo: fw = 0,85fyd .
Cần tính toán chính xác lại khả năng chịu lực của liên kết hàn dựa theo kết quả thử mẫu lấy từ kết cấu.
18.2.6 Các cường độ chịu cắt tính toán và chịu kéo tính toán của bu lông, cũng như chịu ép mặt tính toán của các cấu kiện được liên kết bằng bu lông, cần được xác định theo 6.4. Nếu không thể xác định được cấp độ bền của bu lông thì giá trị các cường độ chịu cắt tính toán và chịu kéo tính toán của liên kết một bu lông được lấy lần lượt bằng fvb = 150 MPa và ftb = 160 MPa.
18.3 Gia cường kết cấu
18.3.1 Không cần phải gia cường hoặc thay thế đối với kết cấu được chế tạo từ thép các bon thấp sôi, cũng như từ các loại thép khác có kết quả thử nghiệm độ dai va đập với giá trị thấp hơn giá trị đảm bảo (tức là giá trị có xác suất thống kê) quy định trong các tiêu chuẩn tương ứng về thép cho nhóm kết cấu phù hợp với yêu cầu trong Bảng A.1 (Phụ lục A), với điều kiện là ứng suất trong các cấu kiện làm bằng các thép này sẽ không vượt quá giá trị có trước khi gia cường. Nếu việc sử dụng kết cấu không phù hợp với điều kiện đã nêu thì giải pháp sử dụng, gia cường hoặc thay thế kết cấu cần được xác định dựa theo kết quả báo cáo đánh giá.
18.3.2 Cần sử dụng sơ đồ tính toán kết cấu kể đến được đặc điểm về sự làm việc thực tế của kết cấu, kể cả sai lệch thực tế về hình dạng hình học, kích thước tiết diện, điều kiện liên kết và việc thi công nút liên kết các cấu kiện.
Tính toán kiểm tra cấu kiện kết cấu và liên kết kết cấu cần được thực hiện có kể đến các khuyết tật và hư hỏng đã phát hiện được, hao mòn do ăn mòn, điều kiện thực tế của nút giao và gối tựa. Khi lấy hệ số điều kiện làm việc γc = 1,0 tại các điểm 4 và 5 trong Bảng 1 thì tính toán các cấu kiện được thực hiện theo sơ đồ biến dạng.
18.3.3 Cần gia cường hoặc thay thế kết cấu không thỏa mãn các yêu cầu trong 15.7.1 đến 15.7.5, 17.2 và các điều 7 đến 9, 11 đến 14, cũng như các yêu cầu của TCVN 2737:2023 về hạn chế độ võng đứng, trừ các trường hợp nêu trong 18.3.3 này.
Không cần phải khắc phục các sai lệch về hình dạng hình học, kích thước cấu kiện và liên kết so với các giá trị danh định mà vượt quá các giá trị quy định trong các tiêu chuẩn tương ứng và trong TCVN 13194 nhưng không cản trở việc sử dụng bình thường, với điều kiện là phải đảm bảo khả năng chịu lực của kết cấu có kể đến các yêu cầu trong 18.3.2.
18.3.4 Không phải gia cường các cấu kiện kết cấu, nếu:
- Độ võng và chuyển vị đứng và ngang vượt quá các giá trị giới hạn quy định trong TCVN 2737:2023 theo các yêu cầu công nghệ nhưng không cản trở việc sử dụng bình thường;
- Độ mảnh vượt quá giá trị giới hạn quy định trong 10.4 nhưng sai lệch vị trí kết cấu không vượt quá giá trị quy định trong TCVN 13194 và nội lực trong các cấu kiện sẽ không tăng trong quá trình sử dụng tiếp theo, cũng nhưng trong các trường hợp mà khả năng sử dụng các cấu kiện đó được kiểm tra bằng trính toán hoặc thử nghiệm.
18.3.5 Khi gia cường kết cấu cần kể đến khả năng tạo ứng suất trước và điều chỉnh nội lực chủ động (kể cả bằng phương pháp hàn, thay đổi sơ đồ kết cấu và sơ đồ tính toán), cũng như sự làm việc đàn dẻo của thép, sự làm việc sau tới hạn của cấu kiện thành mỏng và vỏ kết cấu phù hợp với các tiêu chuẩn tương ứng.
18.3.6 Kết cấu gia cường và biện pháp gia cường phải được dự tính các biện pháp làm giảm biến dạng bổ sung không mong muốn của các cấu kiện trong quá trình gia cường phù hợp với 4.3.4.
Khả năng chịu lực của kết cấu trong quá trình thực hiện công tác gia cường cần phải được đảm bảo có kể đến sự giảm yếu tiết diện bởi các lỗ bu lông bổ sung và ảnh hưởng của hàn.
Tùy thuộc vào mức độ chất tải các cấu kiện mà việc gia cường kết cấu phải được tiến hành dưới toàn bộ tải trọng, dỡ một phần hoặc dỡ toàn bộ tải trọng.
18.3.7 Để đảm bảo sự làm việc đồng thời của các chi tiết gia cường và kết cấu hiện hữu thì sử dụng đường hàn góc cạnh gián đoạn trong các kết cấu nhóm 3 và 4 (theo Bảng A.1, Phụ lục A) làm việc trong điều kiện nhiệt độ không thấp hơn âm 45 °C trong môi trường không xâm thực hoặc xâm thực ít (theo phân loại trong TCVN 12251:2020).
Trong mọi trường hợp có sử dụng đường hàn góc thì cần lựa chọn chiều cao đường hàn tối thiểu cần thiết. Các đoạn đầu đường hàn cần được thiết kế với chiều cao lớn hơn so với chiều cao đường hàn ở những đoạn trung gian và xác định kích thước của chúng phù hợp với tính toán.
18.3.8 Khi gia cường các cấu kiện của kết cấu, có thể sử dụng liên kết hỗn hợp như: liên kết đinh tán kết hợp ma sát hoặc liên kết đinh tán kết hợp bu lông cấp chính xác A.
18.3.9 Đối với các cấu kiện thuộc các nhóm kết cấu 1, 2, 3 hoặc 4 (theo Bảng A.1, Phụ lục A) bị đốt nóng do hàn khi gia cường, ứng suất tính toán σd không được vượt quá lần lượt các giá trị 0,2fyd; 0,4fyd; 0,6fyd hoặc 0,8fyd.
Ứng suất σd được xác định từ tải trọng tác dụng trong quá trình gia cường đối với tiết diện không gia cường có kể đến tình trạng thực tế của kết cấu (sự giảm yếu tiết diện, sự cong vênh cấu kiện, v.v.).
Khi vượt quá ứng suất nêu trên, phải dỡ tải cho kết cấu hoặc lắp dựng các trụ chống đỡ tạm thời.
18.3.10 Các phương pháp gia cường kết cấu có thể là:
- Tăng diện tích tiết diện ngang của các cấu kiện riêng biệt của kết cấu;
- Thay đổi sơ đồ kết cấu của toàn bộ khung hoặc các cấu kiện riêng biệt của kết cấu;
- Điều chỉnh ứng suất.
Mỗi phương pháp nêu trên có thể được sử dụng độc lập hoặc kết hợp với phương pháp khác.
18.3.11 Khi tính toán cấu kiện của kết cấu được gia cường bằng cách tăng tiết diện, cần kể đến việc có các cường độ tính toán khác nhau của các vật liệu làm kết cấu và vật liệu gia cường. Khi đó, cần sử dụng một cường độ tính toán với giá trị bằng giá trị nhỏ hơn trong số các cường độ tính toán đó nếu chúng khác nhau không quá 15 %.
18.3.12 Tính toán độ bền và ổn định của cấu kiện được gia cường bằng phương pháp tăng tiết diện cần được thực hiện có kể đến ứng suất tồn tại trong cấu kiện tại thời điểm gia cường (có kể đến việc giảm tải kết cấu). Khi đó, cần kể đến độ cong ban đầu của cấu kiện, độ xê dịch trọng tâm tiết diện được gia cường và độ cong gây bởi hàn.
Độ cong gây bởi hàn khi kiểm tra ổn định của các cấu kiện chịu nén đúng tâm và nén uốn cần được kể đến bằng cách đưa thêm vào hệ số điều kiện làm việc bổ sung γc,ad = 0,8 .
Đối với cấu kiện có sử dụng một cường độ tính toán như trong 18.3.11 thì ngoài việc tính toán theo các công thức (49), (50) và (104) cần thực hiện kiểm tra độ bền chịu toàn bộ lực tính toán không kể đến ứng suất tồn tại trước khi gia cường, còn khi kiểm tra ổn định cục bộ của bản bụng dầm thì sử dụng hệ số điều kiện làm việc bổ sung γc,ad = 0,8 .
18.3.13 Tính toán độ bền của cấu kiện được gia cường bằng phương pháp tăng tiết diện cần được thực hiện theo các công thức:
a) Đối với cấu kiện chịu kéo đúng tâm được gia cường đối xứng: theo công thức (4);
b) Đối với cấu kiện chịu nén đúng tâm được gia cường đối xứng: theo công thức
![]()
trong đó:
γN = 0,95 - khi gia cường không sử dụng hàn;
γN = 0,95 - 0,25 σd/fyd - khi gia cường có sử dụng hàn.
c) Đối với cấu kiện chịu kéo đúng tâm, nén đúng tâm và nén lệch tâm được gia cường không đối xứng: theo công thức

trong đó:
γM = 0,95 - đối với kết cấu nhóm 1 (theo Bảng A.1, Phụ lục A);
γM = 1 - đối với kết cấu các nhóm 2, 3 và 4 (theo Bảng A.1, Phụ lục A);
γM = γN - khi
≥ 0,6 , với γN được xác định như trong công thức (216).
Các mô men uốn Mx và My cần được xác định đối với các trục chính của tiết diện được gia cường.
18.3.14 Tính toán ổn định của cấu kiện tiết diện đặc chịu nén trong mặt phẳng tác dụng của mô men uốn được thực hiện theo công thức:
![]()
trong đó:
A là diện tích tiết diện đã được gia cường;
γc là hệ số điều kiện làm việc, lấy không lớn hơn 0,9;
φe là hệ số, xác định theo Bảng E.3 (Phụ lục E) phụ thuộc vào độ mảnh quy ước của cấu kiện đã được gia cường
và độ lệch tâm tương đối quy đổi mef = ηmf, với η là hệ số ảnh hưởng của hình dạng tiết diện theo Bảng E.2 (Phụ lục E);
![]()
trong đó:
Wc là mô men chống uốn của tiết diện đối với thớ chịu nén nhiều nhất;
ef là độ lệch tâm tương đương, kể đến đặc điểm làm việc sau gia cường của cấu kiện đã được gia cường và được xác định theo công thức:
![]()
Trong công thức (220):
e là độ lệch tâm của lực dọc đối với trục trung tâm của tiết diện được gia cường sau khi gia cường:
- trong các trường hợp, khi độ lệch tâm của lực dọc không đổi, giá trị của nó được xác định bằng biểu thức e = e0 - eA, trong đó eA là độ xê dịch trọng tâm tiết diện khi gia cường, lấy với dấu thực của nó (Hình 27a, b);
- trong trường hợp nén uốn tổng quát, cũng như trong trường hợp đặt lực dọc bổ sung hoặc lực cắt bổ sung sau khi gia cường, thì đại lượng e được xác định bằng biểu thức e = M/N , trong đó M là mô men tính toán đối với trục trung tâm của tiết diện gia cường; khi gia cường không đối xứng cấu kiện chịu nén đúng tâm (trạng thái ứng suất ban đầu), thay vì e0 thì sử dụng độ lệch tâm ngẫu nhiên được kể thêm với dấu sao cho kể được trường hợp bất lợi nhất;
|
|
|
| a) Khi độ lệch tâm có giá trị dương | b) Khi độ lệch tâm có giá trị âm |
Hình 27 - Xác định độ lệch tâm của lực dọc
fst là độ võng sau khi liên kết cấu kiện gia cường, được xác định theo công thức:

trong đó:
f0 là độ võng ban đầu của cấu kiện được gia cường; trong tính toán ổn định của cấu kiện chịu nén, giá trị f0 được xác định từ tải trọng tính toán ban đầu; trong tính toán biến dạng - từ tải trọng tiêu chuẩn ban đầu;
là tổng mô men quán tính của các cấu kiện gia cường được liên kết cùng lúc đối với các trục trung tâm bản thân của chúng, vuông góc với mặt phẳng uốn;
là mô men quán tính ban đầu của cấu kiện được gia cường;
αN là hệ số, kể đến ảnh hưởng của lực dọc (trong đó, N0 là lực tác dụng ban đầu, Ncr là lực tới hạn của cấu kiện được gia cường): αN = Ncr/(Ncr - N0); khi tính toán cấu kiện chịu uốn: αN = 1
khi giá trị mô men quán tính bản thân của cấu kiện gia cường là đủ nhỏ
thì không cần kể đến biến dạng và lấy fst = f0 ;
khi liên kết các cấu kiện gia cường với các bề mặt phẳng của cấu kiện được gia cường, ví dụ: các bề mặt song song với mặt phẳng uốn, lấy fst = f0 ;
fad là độ võng dư bổ sung xuất hiện do hàn cấu kiện gia cường được xác định theo công thức:
![]()
trong đó:
a là hệ số gián đoạn trung bình của đường hàn gián đoạn có kể đến độ dài của các đoạn đầu của nó (với đường hàn liên tục a = 1);
là thông số co ngắn dọc của cấu kiện do đặt đường hàn đơn:
;
hf là chiều cao đường hàn liên kết, tính bằng centimét (cm);
L0 là chiều dài tính toán của cấu kiện trong mặt phẳng uốn (đối với dầm một nhịp thì L0 là nhịp dầm): L0 = Lef;
yi là khoảng cách từ đường hàn thứ i đến trục trung tâm của cấu kiện được gia cường, lấy với dấu thực của nó;
ni là hệ số, kể đến trạng thái ứng suất - biến dạng ban đầu của cấu kiện và sơ đồ gia cường của cấu kiện: ![]()
u là hệ số, lấy bằng:
1,5 - cho các đường hàn nằm trong vùng chịu kéo của tiết diện;
0,5 - cho các đường hàn nằm trong vùng chịu nén của tiết diện trong các tính toán ổn định;
0,7 - trong các tính toán biến dạng;
1,0 - cho các sơ đồ gia cường liên quan đến đắp thêm đường hàn hai bên nằm trong vùng chịu kéo và chịu nén của tiết diện;
là hệ số đặc trưng cho mức ứng suất ban đầu trong vùng đường hàn thứ i tại tiết diện chịu lực nhiều nhất của cấu kiện: ![]()
Quan hệ
được thể hiện trên Hình 28.

CHÚ DẪN:
1 Trong vùng chịu kéo của tiết diện
2 Trong vùng chịu nén của tiết diện trong các tính toán ổn định
3 Trong vùng chịu nén của tiết diện trong các tính toán biến dạng
4 Trong vùng chịu kéo và chịu nén của tiết diện khi sơ đồ gia cường liên quan đến đắp thêm đường hàn hai bên
Hình 28 - Quan hệ
trong đường hàn
Hệ số kw trong công thức (220) lấy bằng:
0,5 - nếu độ võng do hàn là yếu tố giảm tải (dấu của fad không trùng với dấu của tổng (e + fst) và dẫn đến làm giảm giá trị tuyệt đối của độ lệch tâm tương đương ef);
1,0 - trong trường hợp ngược lại.
18.3.15 Khi tính toán ổn định của các cấu kiện chịu nén đúng tâm và nén uốn cần lấy giá trị cường độ tính toán quy đổi đối với tiết diện đã được gia cường tổng thể theo công thức:
![]()
trong đó:
fyd là cường độ tính toán của kim loại chính theo giới hạn chảy, được xác định theo các yêu cầu trong 18.2.4;
k là hệ số, tính theo công thức:
![]()
trong đó:
fyd,a là cường độ tính toán của kim loại gia cường theo giới hạn chảy;
A, I là diện tích và mô men quán tính của tiết diện chưa gia cường đối với trục vuông góc với mặt phẳng đang kiểm tra ổn định;
Aa , Ia là diện tích và mô men quán tính của tiết diện đã được gia cường tổng thể đối với trục vuông góc với mặt phẳng đang kiểm tra ổn định.
18.3.16 Không cần gia cường kết cấu thép hiện hữu có các sai lệch so với các yêu cầu trong 14.1.7, 14.1.10, 14.2.2, 15.1, 15.2.1, 15.2.3, 15.3.3 đến 15.3.5, 15.4.2, 15.4.5, 15.5.2, 15.5.4, 15.11.1, 16.14, 16.16, 17.8 đến 17.11, 17.16, với điều kiện:
- Không có hư hỏng cấu kiện kết cấu gây bởi các sai lệch này;
- Loại trừ được sự thay đổi theo hướng bất lợi điều kiện sử dụng kết cấu;
- Khả năng chịu lực và độ cứng được tính toán có kể đến các yêu cầu trong 18.3.2, 18.3.4, 18.3.9;
- Thực hiện các biện pháp ngăn ngừa phá hoại mỏi và giòn theo các yêu cầu trong 12.1.1, 12.1.3 và Điều 13.
Khi thực hiện các điều kiện này để kiểm tra ổn định của cấu kiện chịu nén đúng tâm, cần sử dụng tiết diện loại b thay vì loại c (xem Bảng 7 và Bảng E.1 (Phụ lục E)).
Phụ lục A
(quy định)
Nhóm kết cấu thép theo công năng sử dụng, điều kiện làm việc và sự có mặt của liên kết hàn
Bảng A.1 - Nhóm kết cấu thép theo công năng sử dụng, điều kiện làm việc và sự có mặt của liên kết hàn
| Nhóm kết cấu thép | Tên các kết cấu thép |
| Nhóm 1 | 1. Kết cấu hàn 1) hoặc các cấu kiện của nó, làm việc trong điều kiện đặc biệt nặng (A8 theo TCVN 8590-1:2010 (ISO 4301-1:1986)), kể cả điều kiện ngăn cản tối đa sự phát triển biến dạng dẻo, hoặc chịu tác dụng trực tiếp của tải trọng động 2), rung động hoặc di động: - Dầm đỡ cầu trục; - Dầm đỡ sàn công tác; - Dầm của đường vận chuyển treo; - Các cấu kiện kết cấu của cầu cạn đỡ bunke, cầu cạn bốc dỡ chịu trực tiếp tải trọng do toa xe; - Dầm chính và xà của khung chịu tải trọng động; - Kết cấu nhịp lớn của băng tải; - Bản mã giàn; - Thành, viền đáy, dầm vòng cứng, mái nổi (phao), mái bể chứa và tháp chứa khí; - Dầm bunke; - Vỏ bunke parabol; - Vỏ thép của ống khói đứng độc lập; - Cột hàn đặc biệt vượt nhịp lớn đỡ đường dây tải điện trên không cao hơn 60 m; - Các chi tiết của dây co của công trình trụ và các chi tiết của nút dây co. |
| Nhóm 2 | 1. Kết cấu hàn hoặc các cấu kiện của nó, chịu tải trọng tĩnh khi có ứng suất kéo: - Giàn; - Xà ngang của khung; - Dầm đỡ sàn tầng và đỡ sàn mái; - Cốn thang; - Vỏ si lô; - Cột đường dây tải điện trên không, trừ cột hàn vượt nhịp lớn; - Cột đường dây chính của trạm phân phối điện; - Trụ đỡ băng tải; - Cột đèn; - Các cấu kiện của hệ thống cột liên hợp của công trình ăng ten và các cấu kiện khác chịu kéo, chịu kéo uốn và chịu uốn. 2. Kết cấu và các cấu kiện của nó thuộc nhóm 1 khi không có liên kết hàn lắp dựng. |
| Nhóm 3 | 1. Kết cấu hàn hoặc các cấu kiện của nó, chịu tải trọng tĩnh, chủ yếu là chịu nén: - Cột; - Bản đế; - Các bộ phận của tấm sàn tầng; - Kết cấu đỡ thiết bị công nghệ; - Hệ giằng đứng giữa các cột có ứng suất trong các tiết diện tính toán của các thanh giằng lớn hơn 0,4fyd; - Cột đỡ thiết bị của trạm phân phối điện (trừ cột đỡ cầu dao điện); - Các cấu kiện của thân trụ và tháp ăng ten; - Trụ của cầu cạn vận chuyển bê tông; - Xà gồ mái và các cấu kiện khác chịu nén hoặc nén uốn. 2. Kết cấu và các cấu kiện của nó thuộc nhóm 2 khi không có liên kết hàn. |
| Nhóm 4 | 1. Các kết cấu phụ của nhà và công trình: - Hệ giằng, trừ hệ giằng đã nêu trong nhóm 3; - Các cấu kiện của khung tường; - Cầu thang; - Đường dốc; - Sàn công tác; - Kết cấu bao che; - Kết cấu thép của kênh cáp; - Các cấu kiện phụ của công trình và tương tự. 2. Công trình cấp C1 (theo [2]): nhà trồng rau thủy canh; nhà được dự tính không có người thường xuyên lui tới (nhà di động tháo lắp được và nhà công ten nơ, kho tạm và công trình tạm có thời hạn sử dụng hạn chế, tường cừ hố đào, trụ chống đỡ tạm và tương tự). 3. Kết cấu và các cấu kiện của nó thuộc nhóm 3 khi không có liên kết hàn. |
| 1) Kết cấu hoặc các cấu kiện nó được coi là có liên kết hàn, nếu chúng nằm tại các vị trí chịu tác dụng của ứng suất kéo tính toán đáng kể ( σ > 0, 3fyd ; σ > 0, 3fwf hoặc σ > 0,3fws ) hoặc tại các vị trí mà ở đó có thể xảy ra phá hoại liên kết hàn, ví dụ do ứng suất dư đáng kể dẫn đến kết cấu tổng thể không đáp ứng yêu cầu sử dụng. 2) Các kết cấu được xếp vào loại chịu tác dụng của tải trọng động, nếu tỉ số giữa giá trị tuyệt đối của ứng suất pháp gây ra tải trọng động và tổng ứng suất kéo do tất cả các tải trọng trong cùng một tiết diện α > 0, 2 (xem công thức (169)). | |
| CHÚ THÍCH 1: Khi lựa chọn thép cho kết cấu nhà và công trình cấp C3 (theo [2]), số thứ tự nhóm kết cấu được giảm xuống một đơn vị (đối với các nhóm từ 2 đến 4). CHÚ THÍCH 2: Khi chiều dày thép cán t > 40 mm, số thứ tự nhóm kết cấu được giảm xuống một đơn vị (đối với các nhóm từ 2 đến 4); khi chiều dày t ≤ 6 mm, tăng lên một đơn vị (đối với các nhóm từ 1 đến 3). | |
Phụ lục B
(tham khảo)
Vật liệu dùng cho kết cấu thép
Bảng B.1 - Các tính chất vật lý của vật liệu dùng cho kết cấu thép
| Các tính chất vật lý | Giá trị |
| 1. Khối lượng riêng ρ, kg/ m3: |
|
| a) Thép cán và khối đúc bằng thép | 7 850 |
| b) Khối đúc bằng gang | 7 200 |
| 2. Hệ số giãn dài do nhiệt α, oC-1 | 0,12x10-4 |
| 3. Mô đun đàn hồi E, MPa: |
|
| a) Thép cán và khối đúc bằng thép | 2,06x105 |
| b) Khối đúc bằng gang | 0,85x105 |
| c) Cáp thép: |
|
| - Bó và tao cáp các sợi thép song song | 1,96x105 |
| - Cáp xoắn và cáp kín chịu lực | 1,67x105 |
| - Cáp bện đôi | 1,47x105 |
| - Cáp bện đôi lõi thép | 1,27x105 |
| 4. Mô đun trượt của thép cán và khối đúc bằng thép G, MPa | 0,79x105 |
| 5. Hệ số nở ngang (hệ số Poát xông) | 0,3 |
| CHÚ THÍCH 1: Các giá trị mô đun đàn hồi nêu trong bảng là dành cho cáp có lực căng trước không nhỏ hơn 60 % lực kéo đứt cáp. CHÚ THÍCH 2: Để có thông tin đầy đủ, xem các tiêu chuẩn sản phẩm đối với cáp thép. | |
Bảng B.2 - Giới hạn chảy và giới hạn bền kéo của thép kết cấu công dụng chung theo TCVN 9986-2:2013 (ISO 630-2:2011)
| Mác | Chất lượng | Giới hạn chảy nhỏ nhất 1), MPa, cho chiều dày danh nghĩa, mm | Giới hạn bền kéo, MPa, cho chiều dày danh nghĩa, mm | ||||
| ≤ 16 | > 16; ≤ 40 | > 40; ≤ 63 | > 63; ≤ 80 | > 80; ≤100 | ≥ 3; ≤ 100 | ||
| S235 | B, C, D | 235 | 225 | 215 | 215 | 215 | 360÷510 |
| S275 | B, C, D | 275 | 265 | 255 | 245 | 235 | 410÷560 |
| S355 | B, C, D | 355 | 345 | 335 | 325 | 315 | 470÷630 |
| S450 2) | C | 450 | 430 | 410 | 390 | 380 | 550÷720 |
| 1) Đối với tấm và tấm rộng bản có chiều rộng không nhỏ hơn 600 mm, áp dụng hướng ngang so với hướng cán. Đối với tất cả các sản phẩm khác, áp dụng các giá trị đối với hướng song song so với hướng cán. 2) Chỉ áp dụng cho sản phẩm dài. | |||||||
| CHÚ THÍCH: Để có thêm thông tin đầy đủ, xem TCVN 9986-2:2013 (ISO 630-2:2011). | |||||||
Bảng B.3 - Độ giãn dài tương đối của thép kết cấu công dụng chung theo TCVN 9986-2:2013 (ISO 630-2:2011)
| Mác | Chất lượng | Vị trí của mẫu thử 1) | Độ giãn dài tương đối nhỏ nhất, %, cho chiều dày danh nghĩa, mm | ||
| > 3; ≤ 40 | > 40; ≤ 63 | > 63; ≤ 100 | |||
| S235 | B, C, D | Dọc | 26 | 25 | 24 |
| Ngang | 24 | 23 | 22 | ||
| S275 | B, C, D | Dọc | 23 | 22 | 21 |
| Ngang | 21 | 20 | 19 | ||
| S355 | B, C, D | Dọc | 22 | 21 | 20 |
| Ngang | 20 | 19 | 18 | ||
| S450 2) | C | Dọc | 17 | 17 | 17 |
| 1) Đối với tấm và tấm rộng bản có chiều rộng không nhỏ hơn 600 mm, áp dụng hướng ngang so với hướng cán. Đối với tất cả các sản phẩm khác, áp dụng các giá trị đối với hướng song song so với hướng cán. 2) Chỉ áp dụng cho sản phẩm dài. | |||||
| CHÚ THÍCH: Để có thêm thông tin đầy đủ, xem TCVN 9986-2:2013 (ISO 630-2:2011). | |||||
Bảng B.4 - Độ dai va đập của thép kết cấu công dụng chung theo TCVN 9986-2:2013 (ISO 630-2:2011)
| Mác | Chất lượng | Nhiệt độ, oC | Năng lượng va đập nhỏ nhất, J, cho chiều dày danh nghĩa, mm 1), 2) |
| ≤ 150 | |||
| S235 | B | 20 | 27 |
| C | 0 | 27 | |
| D | -20 | 27 | |
| S275 | B | 20 | 27 |
| C | 0 | 27 | |
| D | -20 | 27 | |
| S355 | B | 20 | 27 |
| C | 0 | 27 | |
| D | -20 | 27 | |
| S450 3) | C | 0 | 27 |
| 1) Đối với chiều dày danh nghĩa nhỏ hơn 12 mm, xem TCVN 9986-2:2013 (ISO 630-2:2011). 2) Đối với thép hình có chiều dày danh nghĩa lớn hơn 100 mm, các giá trị này phải được thỏa thuận. 3) Chỉ áp dụng cho sản phẩm dài. | |||
| CHÚ THÍCH: Để có thông tin đầy đủ, xem TCVN 9986-2:2013 (ISO 630-2:2011). | |||
Bảng B.5 - Tính chất cơ học của thép kết cấu thường hóa ở nhiệt độ phòng theo TCVN 9986-3:2014 (ISO 630-3:2012)
| Mác | Chất lượng | Giới hạn chåy trên nhỏ nhất, MPa, cho chiều dày danh nghĩa, mm | Giới hạn bền kéo, MPa, cho chiều dày danh nghĩa, mm | Độ giãn dài tương đối nhỏ nhất, %, cho chiều dày danh nghĩa, mm | ||||||
| ≤ 16 | > 16; ≤ 40 | > 40; ≤ 63 | > 63; ≤ 80 | > 80; ≤ 100 | ≤ 100 | ≤ 16 | > 16; ≤ 40 | > 40; ≤ 80 | ||
| S275N | D, E | 275 | 265 | 255 | 245 | 235 | 370÷510 | 24 | 24 | 23 |
| S355N | D, E | 355 | 345 | 335 | 325 | 315 | 470÷630 | 22 | 22 | 22 |
| S420N | D, E | 420 | 400 | 390 | 370 | 360 | 520÷680 | 19 | 19 | 19 |
| S460N | D, E | 460 | 440 | 430 | 410 | 400 | 540÷720 | 17 | 17 | 17 |
| CHÚ THÍCH: Để có thêm thông tin đầy đủ, xem TCVN 9986-3:2014 (ISO 630-3:2012). | ||||||||||
Bảng B.6 - Tính chất cơ học của thép tấm mỏng cán nóng chất lượng kết cấu theo TCVN 6522:2018 (ISO 4995:2014)
| Mác | Giới hạn chảy nhỏ nhất, MPa | Giới hạn bền kéo, MPa | Độ giãn dài tương đối nhỏ nhất, %, cho chiều dày danh nghĩa, mm | |
| < 3 | ≥ 3; ≤ 6 | |||
| HR235 | 235 | 330 | 20 | 23 |
| HR275 | 275 | 370 | 17 | 20 |
| HR355 | 355 | 450 | 15 | 19 |
| CHÚ THÍCH: Để có thêm thông tin đầy đủ, xem TCVN 6522:2018 (ISO 4995:2014). | ||||
Bảng B.7 - Tính chất cơ học của thép tấm mỏng cán nóng chất lượng kết cấu có giới hạn chảy cao theo TCVN 6523:2018 (ISO 4996:2014)
| Mác | Giới hạn chảy nhỏ nhất, MPa | Giới hạn bền kéo, MPa | Độ giãn dài tương đối nhỏ nhất, %, cho chiều dày danh nghĩa, mm | |
| < 3 | ≥ 3; ≤ 6 | |||
| HS355 | 355 | 430 | 18 | 22 |
| HS390 | 390 | 460 | 16 | 20 |
| HS420 | 420 | 490 | 14 | 19 |
| HS460 | 460 | 530 | 12 | 17 |
| HS490 | 490 | 590 | 10 | 15 |
| CHÚ THÍCH: Để có thêm thông tin đầy đủ, xem TCVN 6523:2018 (ISO 4996:2014). | ||||
Bảng B.8 - Tính chất cơ học của thép hình cho kết cấu công dụng chung theo TCVN 7571:2019 (các phần 1, 2, 11, 15) và TCVN 7571-16:2017
| Ký hiệu loại thép hình | Giới hạn chảy nhỏ nhất, MPa, cho chiều dày danh nghĩa, mm | Giới hạn bền kéo, MPa | Độ giãn dài tương đối nhỏ nhất, %, cho chiều dày danh nghĩa, mm | |||
| ≤ 16 | > 16; ≤ 40 | ≤ 5 | > 5; ≤ 16 | > 16; ≤ 50 | ||
| AGS 400, USGS 400 | 245 | 235 | 400÷510 | 21 | 17 | 21 |
| ISGS 400, HSGS 400 | ||||||
| AGS 490, USGS 490 | 285 | 275 | 490÷610 | 19 | 15 | 19 |
| ISGS 490, HSGS 490 | ||||||
| AGS 540, USGS 540 | 400 | 390 | ≥ 540 | 16 | 13 | 17 |
| ISGS 540, HSGS 540 | ||||||
| CHÚ THÍCH: Các ký hiệu “A”, “US”, “IS’, “HS” biểu thị lần lượt là thép góc, chữ U (hoặc C), chữ I và chữ H. Ký hiệu “GS” biểu thị “kết cấu công dụng chung”. | ||||||
Bảng B.9 - Tính chất cơ học của thép hình cho kết cấu hàn theo TCVN 7571:2019 (các phần 1, 2, 11, 15) và TCVN 7571-16:2017
| Ký hiệu loại thép hình | Giới hạn chảy nhỏ nhất, MPa, cho chiều dày danh nghĩa, mm | Giới hạn bền kéo, MPa | Độ giãn dài tương đối nhỏ nhất, %, cho chiều dày danh nghĩa, mm | |||
| ≤ 16 | > 16; ≤ 40 | ≤ 5 | > 5; ≤ 16 | > 16; ≤ 50 | ||
| AWS 400A, AWS 400B, AWS 400C | 245 | 235 | 400÷510 | 23 | 18 | 22 |
| USWS 400A, USWS 400B, USWS 400C | ||||||
| ISWS 400A, ISWS 400B, ISWS 400C | ||||||
| HSWS 400A, HSWS 400B, HSWS 400C | ||||||
| AWS 490A, AWS 490B, AWS 490C | 325 | 315 | 490÷610 | 22 | 17 | 21 |
| USWS 490A, USWS 490B, USWS 490C | ||||||
| ISWS 490A, ISWS 490B, ISWS 490C | ||||||
| HSWS 490A, HSWS 490B, HSWS 490C | ||||||
| AWS 520B, AWS 520C | 365 | 355 | 520÷640 | 19 | 15 | 19 |
| USWS 520B, USWS 520C | ||||||
| ISWS 520B, ISWS 520C | ||||||
| HSWS 520B, HSWS 520C | ||||||
| AWS 570, USWS 570 | 460 | 450 | 570÷720 | 19 1) | 26 2) | 20 3) |
| ISWS 570, HSWS 570 | ||||||
| 1) Cho chiều dày ≤ 16 mm; 2) Cho chiều dày > 16 mm và ≤ 20 mm; 3) Cho chiều dày > 20 mm. | ||||||
| CHÚ THÍCH: Các ký hiệu “A”, “US”, “IS’, “HS” biểu thị lần lượt là thép góc, chữ U (hoặc C), chữ I và chữ H. Ký hiệu “WS” biểu thị “kết cấu hàn”. | ||||||
Bảng B.10 - Tính chất cơ học của thép hình cho kết cấu xây dựng theo TCVN 7571:2019 (các phần 1, 2, 11, 15) và TCVN 7571-16:2017
| Ký hiệu loại thép hình | Giới hạn chảy nhỏ nhất, MPa | Giới hạn bền kéo, MPa | Độ giãn dài tương đối nhỏ nhất, % | |||
| ≤ 16 | > 16; ≤ 40 | < 6 | ≥ 6; ≤ 16 | > 16; ≤ 50 | ||
| ABS 400A, USBS 400A, ISBS 400A, HSBS 400A | 235 1) | 400÷510 | - | 17 | 21 | |
| ABS 400B, USBS 400B, ISBS 400B, HSBS 400B | 235 2) | 235÷355 3) | - | 18 | 22 5) | |
| ABS 400C, USBS 400C, ISBS 400C, HSBS 400C | - | 235÷355 4) | - | 18 | 22 5) | |
| 1) Cho chiều dày > 6 mm và ≤ 40 mm; 2) Cho chiều dày ≥ 6 mm và < 12 mm; 3) Cho chiều dày ≥ 12 mm và ≤ 40 mm; 4) Cho chiều dày ≥ 16 mm và ≤ 40 mm; 5) Cho chiều dày > 16 mm và ≤ 40 mm. | ||||||
| CHÚ THÍCH: Các ký hiệu “A”, “US”, “IS’, “HS” biểu thị lần lượt là thép góc, chữ U (hoặc C), chữ I và chữ H. Ký hiệu “BS” biểu thị “kết cấu xây dựng”. | ||||||
Bảng B.11 - Tính chất cơ học của thép ống, thép hộp làm bằng thép không hợp kim theo TCVN 11228-1:2015 (ISO 12633-1:2011)
| Ký hiệu loại thép | Giới hạn chảy nhỏ nhất, MPa, cho chiều dày danh nghĩa, mm | Giới hạn bền kéo, MPa, cho chiều dày danh nghĩa, mm | Độ giãn dài tương đối nhỏ nhất, % | |||
| dọc | ngang | |||||
| cho chiều dày danh nghĩa, mm | ||||||
| ≤ 16 | > 16; ≤ 40 | < 3 | ≥ 3; ≤ 40 | ≤ 40 | ||
| S235JRH | 235 | 225 | 360÷510 | 340÷470 | 26 | 24 |
| S275J0H | 275 | 265 | 430÷580 | 410÷560 | 22 | 20 |
| S275J2H | ||||||
| S355J0H | 355 | 345 | 510÷680 | 490÷630 | 22 | 20 |
| S355J2H | ||||||
| CHÚ THÍCH: Để có thêm thông tin đầy đủ, xem TCVN 11228-1:2015 (ISO 12633-1:2011). | ||||||
Bảng B.12 - Tính chất cơ học của thép ống, thép hộp làm bằng thép hạt mịn theo TCVN 11228-1:2015 (ISO 12633-1:2011)
| Ký hiệu loại thép | Giới hạn chảy nhỏ nhất, MPa, cho chiều dày danh nghĩa, mm | Giới hạn bền kéo, MPa | Độ giãn dài tương đối nhỏ nhất, %, | ||
| dọc | ngang | ||||
| cho chiều dày danh nghĩa, mm | |||||
| ≤ 16 | > 16; ≤ 40 | ≤ 65 | |||
| S275NH | 275 | 265 | 370÷540 | 24 | 22 |
| S275NLH | |||||
| S355NH | 355 | 345 | 470÷630 | 22 | 20 |
| S355NLH | |||||
| S460NH | 460 | 440 | 470÷630 | 17 | 15 |
| S460NLH | |||||
| CHÚ THÍCH: Để có thêm thông tin đầy đủ, xem TCVN 11228-1:2015 (ISO 12633-1:2011). | |||||
Bảng B.13 - Cường độ tính toán của thép cán khi ép mặt tì đầu, ép cục bộ trong ổ trục, ép theo đường kính con lăn
Đơn vị tính bằng megapascan (MPa)
| Giới hạn bền kéo, fu | Cường độ tính toán | ||
| Chịu ép mặt tì đầu (có gia công phẳng mặt), fc | Chịu ép cục bộ trong ổ trục (giữa các thớt cong với trục hình trụ) khi tiếp xúc chặt, fcc | Chịu ép theo đường kính con lăn (trong các kết cấu có độ di động hạn chế), fcd | |
| 360 365 370 380 390 400 430 440 450 460 470 480 490 500 510 520 530 540 570 590 635 | 343/327 348/332 352/336 362/346 371/355 381/364 409/391 419/400 429/409 438/418 448/427 457/436 467/446 476/455 486/464 495/473 505/482 514/491 543/518 562/536 605/577 | 171/164 174/166 176/168 181/173 186/177 191/182 205/196 210/200 214/205 219/209 224/214 229/218 233/223 238/227 243/232 248/236 252/241 257/246 271/259 281/268 302/289 | 9/9 9/9 9/9 9/9 10/10 10/10 10/10 11/11 11/11 11/11 11/11 12/12 12/12 12/12 12/12 12/12 12/12 13/13 14/14 14/14 15/15 |
| CHÚ THÍCH: Giá trị các cường độ tính toán trong Bảng B.13 (đã được làm tròn) được tính theo các công thức nêu trong Bảng 2 với γm = 1,05 (ở tử số) và với γm = 1,1 (ở mẫu số). | |||

CHÚ THÍCH:
|
|
|
|
|
|
|
|
|
|
|
|
|
|
|
|
|
|
Hình B.1 - Biểu đồ tính toán tổng quát sự làm việc chịu kéo và chịu nén của thép xây dựng
Phụ lục C
(tham khảo)
Vật liệu dùng cho liên kết
Bảng C.1 - Cường độ tiêu chuẩn theo giới hạn bền fwun và cường độ chịu kéo tính toán fwf của kim loại hàn trong liên kết hàn góc
Đơn vị tính bằng megapascan (MPa)
| Loại que hàn | Cường độ tiêu chuẩn theo giới hạn bền, fwun | Cường độ chịu kéo tính toán, fwf |
| E43 | 430 | 180 |
| E51 | 510 | 225 |
| CHÚ THÍCH 1: Ký hiệu đầy đủ của que hàn xem trong TCVN 3223:2000. CHÚ THÍCH 2: fwf được tính theo công thức nêu trong Bảng 4 (đã được làm tròn): fwf = 0, 55fwun/γwun, với γwun lấy bằng 1,25 khi fwun ≤ 510 MPa và bằng 1,35 khi fwun ≥ 590 MPa. CHÚ THÍCH 3: fwun lấy bằng giới hạn bền kéo nêu trong TCVN 3223:2000. CHÚ THÍCH 4: Tham khảo ISO 2560 hoặc tiêu chuẩn tương đương để có thêm thông tin về các loại que hàn khác. | ||
Bảng C.2 - Yêu cầu đối với bu lông trong các điều kiện áp dụng khác nhau
| Cấp độ bền của bu lông trong các kết cấu khi bu lông làm việc | |
| chịu kéo | chịu cắt |
| 5.6 | 5.6 |
| 5.8 | 5.8 |
| 8.8 | 8.8 |
| 10.9 | 10.9 |
| 12.9 | 12.9 |
Bảng C.3 - Mác thép làm bu lông móng và điều kiện áp dụng
| Kết cấu | Mác thép theo TCVN 9986-2:2013 (ISO 630-2:2011) khi nhiệt độ tính toán ≥ - 45 oC |
| 1. Các kết cấu, trừ cột đường dây tải điện trên không và cột thiết bị phân phối điện ngoài trời | S235B |
| 2. Đối với bu lông chữ U, cũng như bu lông móng của cột đường dây tải điện trên không và cột thiết bị phân phối điện ngoài trời | S235B, S235C |
| CHÚ THÍCH: Có thể sử dụng thép tương đương theo tiêu chuẩn phù hợp. | |
Bảng C.4 - Các cường độ tiêu chuẩn của thép làm bu lông (fub, fyb), cường độ chịu cắt tính toán fvb và chịu kéo tính toán ftb của liên kết một bu lông
Đơn vị tính bằng megapascan (MPa)
| Cấp độ bền của bu lông | Các cường độ tiêu chuẩn | Các cường độ tính toán | ||
| fub | fyb | fvb | ftb | |
| 5.6 | 500 | 300 | 210 | 225 |
| 5.8 | 500 | 400 | 210 | 210 |
| 8.8 | 830 | 660 | 332 | 448 |
| 10.9 | 1 040 | 940 | 416 | 728 |
| 12.9 | 1 220 | 1 100 | 427 | 854 |
| CHÚ THÍCH 1: Các giá trị fub và fyb lấy theo TCVN 1916:1995. CHÚ THÍCH 2: Các công thức tính fvb và ftb nêu trong Bảng 5. | ||||
Bảng C.5 - Cường độ chịu ép mặt tính toán fcb của các cấu kiện được liên kết bằng bu lông
Đơn vị tính bằng megapascan (MPa)
| Giới hạn bền kéo của thép làm cấu kiện được liên kết, fu | Giá trị fcb của các cấu kiện được liên kết bằng bu lông cấp chính xác | |
| A | B | |
| 360 370 380 390 430 440 450 460 470 480 490 510 540 570 590 | 560 580 590 610 670 685 700 720 735 750 765 795 845 890 920 | 475 485 500 515 565 580 595 605 620 630 645 670 710 750 775 |
| CHÚ THÍCH: Các giá trị fcb trong Bảng C.5 được tính theo công thức nêu trong Bảng 5 với fud = fu/γm , trong đó γm = 1,05 , và đã được làm tròn đến 5 MPa. | ||
Bảng C.6 - Diện tích tiết diện bu lông
| Đường kính db, mm | 16 | (18) | 20 | (22) | 24 | (27) | 30 | 36 | 42 | 48 |
| Bước ren p, mm | 2,0 | 2,5 | 2,5 | 2,5 | 3,0 | 3,0 | 3,5 | 4,0 | 4,5 | 5,0 |
| Ab, mm2 Abn, mm2 | 201 157 | 254 192 | 314 245 | 380 303 | 452 353 | 572 459 | 706 561 | 1 017 816 | 1 385 1 120 | 1 809 1 472 |
| CHÚ THÍCH 1: Diện tích tiết diện bu lông có đường kính lớn hơn 48 mm lấy theo tiêu chuẩn sản phẩm. CHÚ THÍCH 2: Kích thước trong ngoặc đơn chỉ dùng cho kết cấu cột đường dây tải điện trên không và cột thiết bị phân phối điện ngoài trời. | ||||||||||
Phụ lục D
(quy định)
Các hệ số để tính toán ổn định các cấu kiện chịu nén đúng tâm và nén lệch tâm
D.1 Hệ số ổn định khi nén đúng tâm φ
Bảng D.1 - Hệ số ổn định khi nén đúng tâm φ
| Độ mảnh quy ước
| Giá trị φ đối với loại tiết diện | Độ mảnh quy ước
| Giá trị φ đối với loại tiết diện | ||||
| a | b | c | a | b | c | ||
| 0,4 0,6 0,8 1,0 1,2 1,4 1,6 1,8 2,0 2,2 2,4 2,6 2,8 3,0 3,2 3,4 3,6 3,8 4,0 4,2 4,4 | 1,000 0,994 0,981 0,968 0,953 0,938 0,920 0,900 0,877 0,851 0,821 0,786 0,747 0,704 0,660 0,616 0,572 0,526 0,475 0,431 0,393 | 1,000 0,986 0,967 0,948 0,927 0,905 0,881 0,855 0,826 0,794 0,760 0,723 0,683 0,643 0,602 0,562 0,524 0,487 0,453 0,422 0,392 | 0,984 0,956 0,929 0,901 0,872 0,842 0,811 0,778 0,744 0,709 0,672 0,635 0,598 0,562 0,527 0,493 0,460 0,430 0,402 0,375 0,351 | 4,6 4,8 5,0 5,2 5,4 5,6 | 0,359 0,330 0,304 0,281 0,261 0,242 | 0,329 0,308 0,289 0,271 0,255 0,241 | |
| 5,8 6,0 6,2 6,4 6,6 6,8 7,0 7,2 7,4 7,6 7,8 8,0 8,5 9,0 9,5 10,0 | 0,226 0,211 0,198 0,186 0,174 0,164 0,155 0,147 0,139 0,132 0,125 0,119 0,105 0,094 0,084 0,076 | ||||||
| CHÚ THÍCH: Công thức tính φ xem trong 7.1.2.1. | |||||||
D.2 Hệ số ảnh hưởng của hình dạng tiết diện
Bảng D.2 - Hệ số ảnh hưởng của hình dạng tiết diện η
| Loại tiết diện | Sơ đồ tiết diện và độ lệch tâm |
| Giá trị η khi | ||||
| 0 ≤ |
| ||||||
| 0,1 ≤ m ≤ 5 | 5 < m ≤ 20 | 0,1 ≤ m ≤ 5 | 5 < m ≤ 20 | ||||
| 1 |
| - | 1,0 | 1,0 | 1,0 | ||
| 2 |
| - | 0,85 | 0,85 | 0,85 | ||
| 3 |
| - | 0,75 + 0,02 | 0,75 + 0,02 | 0,85 | ||
| 4 |
| - | (1,35 - 0,05m) - 0,01(5 - m) | 1,10 | 1,10 | ||
| 5 |
| 0,25 | (1, 45 - 0,05m) - 0,01(5 - m) | 1,20 | 1,20 | ||
| 0,50 | (1,75-0,1m)-0,02(5-m) | 1,25 | 1,25 | ||||
| ≥ 1,00 | (1,90 - 0,1m) - 0,02 (6 - m) | 1,4 - 0,02 | 1,30 | ||||
| 6 |
| - |
| η5 | η5 | ||
| 7 |
| - |
|
|
| ||
| 8 |
| 0,25 | (0,75 + 0,05m) + 0,01(5 - m) | 1,0 | 1,0 | ||
| 0,50 | (0,5 + 0,1m) + 0,02 (5 - m) | 1,0 | 1,0 | ||||
| ≥ 1,00 | (0,25 + 0,15m) + 0,03(5 - m) | 1,0 | 1,0 | ||||
| 9 |
| 0,50 | (1,25 - 0,05m) - 0,01(5 - m) | 1,0 | 1,0 | ||
| ≥ 1,00 | (1,5 - 0,1m) - 0,02 (5 - m) | 1,0 | 1,0 | ||||
| 10 |
| 0,5 | 1,4 | 1,4 | 1,4 | 1,4 | |
| 1,0 | 1,6 - 0,01(5 - m) | 1,6 | 1,35 + 0,05m | 1,6 | |||
| 2,0 | 1,8 - 0,02(5 - m) | 1,8 | 1,3 + 0,1m | 1,8 | |||
| 11 |
| 0,5 | 1,45 + 0,04m | 1,65 | 1,45 + 0,04m | 1,65 | |
| 1,0 | 1,8 + 0,12m | 2,4 | 1,8 + 0,12m | 2,4 | |||
| 1,5 | 2,0 + 0,25m + 0,1 | - | - | - | |||
| 2,0 | 3,0 + 0,25m + 0,1 | - | - | - | |||
| CHÚ THÍCH 1: Đối với các loại tiết diện từ 5 đến 7 thì khi tính tỉ số Af /Aw không kể đến phần cánh thẳng đứng; CHÚ THÍCH 2: Đối với các loại tiết diện từ 6 đến 7 thì các giá trị η5 lấy bằng các giá trị η của loại tiết diện 5 với chính các giá trị Af /Aw của tiết diện loại 5 này. | |||||||
D.3 Hệ số ổn định khi nén lệch tâm φe của cấu kiện tiết diện bụng đặc trong mặt phẳng tác dụng của mô men uốn trùng với mặt phẳng đối xứng
Bảng D.3 - Hệ số ổn định khi nén lệch tâm φe của cấu kiện tiết diện bụng đặc trong mặt phẳng tác dụng của mô men uốn trùng với mặt phẳng đối xứng
| Độ mảnh quy ước,
| Giá trị φe khi độ lệch tâm tương đối quy đổi mef bằng | ||||||||
| 0,1 | 0,25 | 0,5 | 0,75 | 1,0 | 1,25 | 1,5 | 1,75 | 2,0 | |
| 0,5 1,0 1,5 2,0 2,5 3,0 3,5 4,0 4,5 5,0 5,5 6,0 6,5 7,0 8,0 9,0 | 0,967 0,925 0,875 0,813 0,742 0,667 0,587 0,505 0,418 0,354 0,302 0,258 0,223 0,194 0,152 0,122 | 0,922 0,854 0,804 0,742 0,672 0,597 0,522 0,447 0,382 0,326 0,280 0,244 0,213 0,186 0,146 0,117 | 0,850 0,778 0,716 0,653 0,587 0,520 0,455 0,394 0,342 0,295 0,256 0,223 0,196 0,173 0,138 0,112 | 0,782 0,711 0,647 0,587 0,526 0,465 0,408 0,356 0,310 0,273 0,240 0,210 0,185 0,163 0,133 0,107 | 0,722 0,653 0,593 0,536 0,480 0,425 0,375 0,330 0,288 0,253 0,224 0,198 0,176 0,157 0,128 0,103 | 0,669 0,600 0,548 0,496 0,442 0,395 0,350 0,309 0,272 0,239 0,212 0,190 0,170 0,152 0,121 0,100 | 0,620 0,563 0,507 0,457 0,410 0,365 0,325 0,289 0,257 0,225 0,200 0,178 0,160 0,145 0,117 0,098 | 0,577 0,520 0,470 0,425 0,383 0,342 0,303 0,270 0,242 0,215 0,192 0,172 0,155 0,141 0,115 0,096 | 0,538 0,484 0,439 0,397 0,357 0,320 0,287 0,256 0,229 0,205 0,184 0,166 0,149 0,136 0,113 0,093 |
Bảng D.3 (tiếp theo)
| Độ mảnh quy ước,
| Giá trị φe khi độ lệch tâm tương đối quy đổi mef bằng | ||||||||
| 2,5 | 3,0 | 3,5 | 4,0 | 4,5 | 5,0 | 5,5 | 6,0 | 6,5 | |
| 0,5 1,0 1,5 2,0 2,5 3,0 3,5 4,0 4,5 5,0 5,5 6,0 6,5 7,0 8,0 | 0,469 0,427 0,388 0,352 0,317 0,287 0,258 0,232 0,208 0,188 0,170 0,153 0,140 0,127 0,106 | 0,417 0,382 0,347 0,315 0,287 0,260 0,233 0,212 0,192 0,175 0,158 0,145 0,132 0,121 0,100 | 0,370 0,341 0,312 0,286 0,262 0,238 0,216 0,197 0,178 0,162 0,148 0,137 0,125 0,115 0,095 | 0,337 0,307 0,283 0,260 0,238 0,217 0,198 0,181 0,165 0,150 0,138 0,128 0,117 0,108 0,091 | 0,307 0,283 0,262 0,240 0,220 0,202 0,183 0,168 0,155 0,143 0,132 0,120 0,112 0,102 0,087 | 0,280 0,259 0,240 0,222 0,204 0,187 0,172 0,158 0,146 0,135 0,124 0,115 0,106 0,098 0,083 | 0,260 0,240 0,223 0,206 0,190 0,175 0,162 0,149 0,137 0,126 0,117 0,109 0,101 0,094 0,081 | 0,237 0,225 0,207 0,193 0,178 0,166 0,153 0,140 0,130 0,120 0,112 0,104 0,097 0,091 0,078 | 0,222 0,209 0,195 0,182 0,168 0,156 0,145 0,135 0,125 0,117 0,108 0,100 0,094 0,087 0,076 |
Bảng D.3 (kết thúc)
| Độ mảnh quy ước,
| Giá trị φe khi độ lệch tâm tương đối quy đổi mef bằng | |||||||
| 7,0 | 8,0 | 9,0 | 10 | 12 | 14 | 17 | 20 | |
| 0,5 1,0 1,5 2,0 2,5 3,0 3,5 4,0 4,5 5,0 5,5 | 0,210 0,196 0,182 0,170 0,158 0,147 0,137 0,127 0,118 0,111 0,104 | 0,183 0,175 0,163 0,153 0,144 0,135 0,125 0,118 0,110 0,103 0,095 | 0,164 0,157 0,148 0,138 0,130 0,123 0,115 0,108 0,101 0,095 0,089 | 0,150 0,142 0,134 0,125 0,118 0,112 0,106 0,098 0,093 0,088 0,084 | 0,125 0,121 0,114 0,107 0,101 0,097 0,092 0,088 0,083 0,079 0,075 | 0,106 0,103 0,099 0,094 0,090 0,086 0,082 0,078 0,075 0,072 0,069 | 0,090 0,086 0,082 0,079 0,076 0,073 0,069 0,066 0,064 0,062 0,060 | 0,077 0,074 0,070 0,067 0,065 0,063 0,060 0,057 0,055 0,053 0,051 |
| CHÚ THÍCH: Giá trị φe lấy không lớn hơn giá trị φ. | ||||||||
D.4 Hệ số ổn định khi nén lệch tâm φe của cấu kiện tiết diện rỗng trong mặt phẳng tác dụng của mô men uốn trùng với mặt phẳng đối xứng
Bảng D.4 - Hệ số ổn định khi nén lệch tâm φe của cấu kiện tiết diện rỗng trong mặt phẳng tác dụng của mô men uốn trùng với mặt phẳng đối xứng
|
| Giá trị φe khi độ lệch tâm tương đối m bằng | ||||||||
| 0,1 | 0,25 | 0,5 | 0,75 | 1,0 | 1,25 | 1,5 | 1,75 | 2,0 | |
| 0,5 1,0 1,5 2,0 2,5 3,0 3,5 4,0 4,5 5,0 5,5 6,0 6,5 7,0 8,0 | 0,908 0,872 0,830 0,774 0,708 0,637 0,562 0,484 0,415 0,350 0,300 0,255 0,221 0,192 0,148 | 0,800 0,762 0,727 0,673 0,608 0,545 0,480 0,422 0,365 0,315 0,273 0,237 0,208 0,184 0,142 | 0,666 0,640 0,600 0,556 0,507 0,455 0,402 0,357 0,315 0,277 0,245 0,216 0,190 0,168 0,136 | 0,571 0,553 0,517 0,479 0,439 0,399 0,355 0,317 0,281 0,250 0,223 0,198 0,178 0,160 0,130 | 0,500 0,483 0,454 0,423 0,391 0,356 0,320 0,288 0,258 0,230 0,203 0,183 0,165 0,150 0,123 | 0,444 0,431 0,407 0,381 0,354 0,324 0,294 0,264 0,237 0,212 0,192 0,174 0,157 0,141 0,118 | 0,400 0,387 0,367 0,346 0,322 0,296 0,270 0,246 0,223 0,201 0,182 0,165 0,149 0,135 0,113 | 0,364 0,351 0,336 0,318 0,297 0,275 0,251 0,228 0,207 0,186 0,172 0,156 0,142 0,130 0,108 | 0,333 0,328 0,311 0,293 0,274 0,255 0,235 0,215 0,196 0,178 0,163 0,149 0,137 0,125 0,105 |
Bảng D.4 (tiếp theo)
|
| Giá trị φe khi độ lệch tâm tương đối m bằng | ||||||||
| 2,5 | 3,0 | 3,5 | 4,0 | 4,5 | 5,0 | 5,5 | 6,0 | 6,5 | |
| 0,5 1,0 1,5 2,0 2,5 3,0 3,5 4,0 4,5 5,0 | 0,286 0,280 0,271 0,255 0,238 0,222 0,206 0,191 0,176 0,161 | 0,250 0,243 0,240 0,228 0,215 0,201 0,187 0,173 0,160 0,149 | 0,222 0,218 0,211 0,202 0,192 0,182 0,170 0,160 0,149 0,138 | 0,200 0,197 0,190 0,183 0,175 0,165 0,155 0,145 0,136 0,127 | 0,182 0,180 0,178 0,170 0,162 0,153 0,143 0,133 0,124 0,117 | 0,167 0,165 0,163 0,156 0,148 0,138 0,130 0,124 0,116 0,108 | 0,154 0,151 0,149 0,143 0,136 0,130 0,123 0,118 0,110 0,104 | 0,143 0,142 0,137 0,132 0,127 0,121 0,115 0,110 0,105 0,100 | 0,133 0,131 0,128 0,125 0,120 0,116 0,110 0,105 0,100 0,095 |
Bảng D.4 (kết thúc)
|
| Giá trị φe khi độ lệch tâm tương đối m bằng | |||||||
| 7,0 | 8,0 | 9,0 | 10 | 12 | 14 | 17 | 20 | |
| 0,5 1,0 1,5 2,0 2,5 3,0 3,5 4,0 4,5 | 0,125 0,121 0,119 0,117 0,113 0,110 0,106 0,100 0,096 | 0,111 0,109 0,108 0,106 0,103 0,100 0,096 0,093 0,089 | 0,100 0,098 0,096 0,095 0,093 0,091 0,088 0,084 0,079 | 0,091 0,090 0,088 0,086 0,083 0,081 0,078 0,076 0,073 | 0,077 0,077 0,077 0,076 0,074 0,071 0,069 0,067 0,065 | 0,067 0,066 0,065 0,064 0,062 0,061 0,059 0,057 0,055 | 0,058 0,055 0,053 0,052 0,051 0,051 0,050 0,049 0,048 | 0,048 0,046 0,045 0,045 0,044 0,043 0,042 0,041 0,040 |
| CHÚ THÍCH: Giá trị hệ số φe lấy không lớn hơn giá trị φ. | ||||||||
D.5 Độ lệch tâm tương đối quy đổi của cấu kiện chịu nén lệch tâm hai đầu khớp
Bảng D.5 - Độ lệch tâm tương đối quy đổi mef của cấu kiện chịu nén lệch tâm hai đầu khớp
|
|
| Giá trị mef khi mef,1 bằng | ||||||||||
| 0,1 | 0,5 | 1,0 | 1,5 | 2,0 | 3,0 | 4,0 | 5,0 | 7,0 | 10,0 | 20,0 | ||
|
| 1 2 3 4 5 6 7 | 0,10 0,10 0,10 0,10 0,10 0,10 0,10 | 0,30 0,17 0,10 0,10 0,10 0,10 0,10 | 0,68 0,39 0,22 0,10 0,10 0,10 0,10 | 1,12 0,68 0,36 0,18 0,10 0,10 0,10 | 1,60 1,03 0,55 0,30 0,15 0,10 0,10 | 2,62 1,80 1,17 0,57 0,23 0,15 0,10 | 3,55 2,75 1,95 1,03 0,48 0,18 0,10 | 4,55 3,72 2,77 1,78 0,95 0,40 0,10 | 6,50 5,65 4,60 3,35 2,18 1,25 0,50 | 9,40 8,60 7,40 5,90 4,40 3,00 1,70 | 19,40 18,50 17,20 15,40 13,40 11,40 9,50 |
|
| 1 2 3 4 5 6 7 | 0,10 0,10 0,10 0,10 0,10 0,10 0,10 | 0,31 0,22 0,17 0,14 0,10 0,16 0,22 | 0,68 0,46 0,38 0,32 0,26 0,28 0,32 | 1,12 0,73 0,58 0,49 0,41 0,40 0,42 | 1,60 1,05 0,80 0,66 0,57 0,52 0,55 | 2,62 1,88 1,33 1,05 0,95 0,95 0,95 | 3,55 2,75 2,00 1,52 1,38 1,25 1,10 | 4,55 3,72 2,77 2,22 1,80 1,60 1,35 | 6,50 5,65 4,60 3,50 2,95 2,50 2,20 | 9,40 8,60 7,40 5,90 4,70 4,00 3,50 | 19,40 18,50 17,20 15,40 13,40 11,50 10,80 |
|
| 1 2 3 4 5 6 7 | 0,10 0,10 0,10 0,10 0,10 0,10 0,10 | 0,32 0,28 0,27 0,26 0,25 0,28 0,32 | 0,70 0,60 0,55 0,52 0,52 0,52 0,52 | 1,12 0,90 0,84 0,78 0,78 0,78 0,78 | 1,60 1,28 1,15 1,10 1,10 1,10 1,10 | 2,62 1,96 1,75 1,60 1,55 1,55 1,55 | 3,55 2,75 2,43 2,20 2,10 2,00 1,90 | 4,55 3,72 3,17 2,83 2,78 2,70 2,60 | 6,50 5,65 4,80 4,00 3,85 3,80 3,75 | 9,40 8,40 7,40 6,30 5,90 5,60 5,50 | 19,40 18,50 17,20 15,40 14,50 13,80 13,00 |
|
| 1 2 3 4 5 6 7 | 0,10 0,10 0,10 0,10 0,10 0,10 0,10 | 0,40 0,40 0,40 0,40 0,40 0,40 0,40 | 0,80 0,78 0,77 0,75 0,75 0,75 0,75 | 1,23 1,20 1,17 1,13 1,10 1,10 1,10 | 1,68 1,60 1,55 1,55 1,55 1,50 1,40 | 2,62 2,30 2,30 2,30 2,30 2,30 2,30 | 3,55 3,15 3,10 3,05 3,00 3,00 3,00 | 4,55 4,10 3,90 3,80 3,80 3,80 3,80 | 6,50 5,85 5,55 5,30 5,30 5,30 5,30 | 9,40 8,60 8,13 7,60 7,60 7,60 7,60 | 19,40 18,50 18,00 17,50 17,00 16,50 16,00 |
| Các ký hiệu trong Bảng D.5:
| ||||||||||||
D.6 Hệ số cmax để tính toán ổn định cấu kiện chịu nén tiết diện hở
D.6.1 Hệ số cmax đối với các tiết diện loại 1, 2, 3 như trên các hình trong Bảng D.6 được tính theo công thức:

trong đó:

α = αx/h là tỉ số khoảng cách giữa trọng tâm và tâm uốn của tiết diện ax trên chiều cao tiết diện h;
ex = Mx/N là độ lệch tâm của lực nén so với trục x-x, lấy với dấu tương ứng (trong Bảng D.6 là dấu “dương”);
A là diện tích tiết diện;
![]()
với Iω là mô men quán tính quạt của tiết diện;
là mô men quán tính của tiết diện khi xoắn tự do;
bi và ti là chiều rộng và chiều dày của các bản tạo nên tiết diện, bao gồm cả bản bụng;
k là hệ số, lấy bằng:
1,29 - đối với tiết diện chữ I có hai trục đối xứng;
1,25 - đối với tiết diện chữ I có một trục đối xứng;
1,20 - đối với tiết diện chữ T;
1,12 - đối với tiết diện chữ Π.
D.6.2 Hệ số cmax khi tính toán ổn định của cấu kiện chịu nén đúng tâm có tiết diện chữ Π (tiết diện loại 4 với các ký hiệu trong Bảng D.6 và Iy > Ix ) được tính theo công thức (D.1) với ex = 0 và β = 0 (khi đó B = 1) và khi đó lấy:
![]()
![]()
D.6.3 Hệ số cmax khi tính toán ổn định cấu kiện tiết diện chữ C (tiết diện loại 5 với các ký hiệu trong Bảng D.6 và Ix > Iy ) được tính theo công thức:

trong đó:
![]()
![]()
α = ay/b là tỉ số khoảng cách giữa trọng tâm và tâm uốn của tiết diện ay trên chiều rộng tiết diện b - xem Bảng D.6;
![]()
![]()
![]()
bi và ti tương ứng là chiều rộng và chiều dày của các bản tạo nên tiết diện;
xem Bảng D.6.
Khi đó:
![]()
![]()
![]()
![]()
Công thức xác định ω, α và β hoặc các giá trị của chúng được nêu trong Bảng D.6.
Bảng D.6 - Các hệ số ω, α, β
| Tiết diện | ω | α | β | |
| Loại | Sơ đồ | |||
| 1 |
| 0,25 | 0 | 0 |
| 2 |
|
|
| Theo công thức (F.12), Phụ lục F |
| 3 |
| 0 |
| Theo công thức (F.12), Phụ lục F |
| 4 |
|
|
| 0 |
| 5 |
|
|
| 0 |
| Các ký hiệu trong Bảng D.6: I1 và I2 là các mô men quán tính của bản cánh lớn và bản cánh nhỏ đối với trục đối xứng của tiết diện y-y; η = btw/(htf); η1 = btf/(htw), trong đó tw là chiều dày bản bụng; tf là chiều dày bản cánh. | ||||
D.6.4 Tính toán ổn định của cấu kiện chịu nén lệch tâm có tiết diện chữ I với hai trục đối xứng, có liên kết liên tục dọc theo một trong hai cánh (Hình D.1), cần được thực hiện theo công thức (110), trong đó lấy hệ số c = cmax với cmax được tính theo công thức:


Hình D.1 - Sơ đồ tiết diện cấu kiện được liên kết dọc theo cánh
Hệ số α trong công thức (D.4) được xác định theo công thức (F.4) trong Phụ lục F.
Khi xác định hệ số α thì giá trị Lef được lấy bằng khoảng cách giữa các tiết diện của cấu kiện được ngàm chặn xoay đối với trục dọc (khoảng cách giữa các nút liên kết của thanh giằng, thanh chống và tương tự).
Độ lệch tâm ex = Mx/N trong công thức (D.4) được lấy dấu dương nếu điểm đặt lực dịch chuyển về phía cánh tự do; đối với cấu kiện chịu nén đúng tâm thì ex = 0.
Khi xác định ex thì lấy mô men uốn Mx là mô men uốn lớn nhất trong phạm vi chiều dài tính toán Lef của cấu kiện.
Phụ lục E
(quy định)
Các hệ số để tính toán độ bền cấu kiện có kể đến sự phát triển biến dạng dẻo
Bảng E.1 - Các hệ số cx , cy , n
| Loại tiết diện | Sơ đồ tiết diện |
| Giá trị lớn nhất của các hệ số | ||
| cx | cy | n khi My = 0 1) | |||
| 1 |
| 0,25 0,5 1,0 2,0 | 1,19 1,12 1,07 1,04 | 1,47 | 1,5 |
| 2 |
| 0,5 1,0 2,0 | 1,40 1,28 1,18 | 1,47 | 2,0 |
| 3 |
| 0,25 1,0 2,0 | 1,19 1,07 1,04 | 1,07 1,19 1,26 | 1,5 |
| 4 |
| 0,5 1,0 2,0 | 1,40 1,28 1,18 | 1,12 1,20 1,31 | 2,0 |
| 5 |
| - | 1,47 | 1,47 | a) 2,0 b) 3,0 |
| 6 |
| 0,25 0,5 1,0 2,0 | 1,47 | 1,04 1,07 1,12 1,19 | 3,0 |
| 7 |
| - | 1,26 | 1,26 | 1,5 |
| 8 |
| - | 1,60 | 1,47 | a) 3,0 b) 1,0 |
| 9 |
| 0,5 1,0 2,0 | 1,60 | 1,07 1,12 1,19 | a) 3,0 b) 1,0 |
| 1) Khi My ≠ 0 thì lấy n =1,5, trừ tiết diện loại 5a (lấy n = 2) và loại 5b (lấy n = 3). | |||||
| CHÚ THÍCH 1: Với các giá trị Af /Aw trung gian thì các hệ số được xác định bằng nội suy tuyến tính. CHÚ THÍCH 2: Giá trị các hệ số cx và cy lấy không lớn hơn 1,15γf (trong đó γf là hệ số độ tin cậy về tải trọng, được xác định bằng tỉ số giá trị tính toán của tải trọng tương đương (tương đương về giá trị mô men) và giá trị tiêu chuẩn của nó. | |||||
Bảng E.2 - Các hệ số α1, α2, α3 để tính uốn bản chữ nhật kê bốn cạnh và ba cạnh
| Bản | Khi b/a bằng | ||||||||||||
| 1,0 | 1,1 | 1,2 | 1,3 | 1,4 | 1,5 | 1,6 | 1,7 | 1,8 | 1,9 | 2,0 | > 2,0 | ||
| Kê bốn cạnh | α1 | 0,048 | 0,055 | 0,063 | 0,069 | 0,075 | 0,081 | 0,086 | 0,091 | 0,094 | 0,098 | 0,100 | 0,125 |
| α2 | 0,048 | 0,049 | 0,050 | 0,050 | 0,050 | 0,050 | 0,049 | 0,048 | 0,048 | 0,047 | 0,046 | 0,037 | |
| Kê ba cạnh | α3 | Khi a1/d1 bằng |
| ||||||||||
| 0,5 | 0,6 | 0,7 | 0,8 | 0,9 | 1,0 | 1,2 | 1,4 | 2,0 | > 2,0 | ||||
| 0,060 | 0,074 | 0,088 | 0,097 | 0,107 | 0,112 | 0,120 | 0,126 | 0,132 | 0,133 | ||||
| Các ký hiệu trong Bảng E.2: b là cạnh dài; a là cạnh ngắn; d1 là cạnh tự do; a1 là cạnh vuông góc với cạnh tự do. | |||||||||||||
Phụ lục F
(quy định)
Hệ số ổn định khi uốnφb
F.1 Hệ số φb để tính toán ổn định của các cấu kiện chịu uốn có tiết diện chữ I, chữ T và chữ C được xác định phụ thuộc vào bố trí giằng giữ cánh chịu nén, loại tải trọng và vị trí của tải trọng. Khi đó, giả thiết rằng tải trọng tác dụng trong mặt phẳng có độ cứng lớn nhất (Ix > Iy), còn các tiết diện gối tựa được liên kết chặn chuyển vị ngang và xoay.
F.2 Đối với dầm và công xôn tiết diện chữ I có hai trục đối xứng thì hệ số φb được lấy bằng:
- Khi φ1 ≤ 0,85
| φb = φ1 | (F.1) |
- Khi φ1 > 0, 85
| φb = 0,68 + 0,21φ1 ≤ 1 | (F.2) |
trong đó:
φ1 được tính theo công thức:
![]()
trong đó:
Ψ là hệ số, được tính theo các yêu cầu trong F.3;
h là chiều cao toàn bộ tiết diện dầm chữ I cán hoặc khoảng cách giữa các trục của các cánh (hoặc các tập bản cánh) của chữ I tổ hợp;
Lef là chiều dài tính toán của dầm hoặc công xôn, được xác định theo 8.4.2.
F.3 Giá trị hệ số Ψ trong công thức (F.3) được tính theo các công thức trong các bảng F.1 và F.2 phụ thuộc vào số điểm liên kết cánh chịu nén, loại tải trọng và hệ số α. Giá trị hệ số α được tính như sau:
a) Đối với thép chữ I cán:
![]()
trong đó:
It là mô men quán tính khi xoắn tự do, được xác định theo Phụ lục D;
h là chiều cao toàn bộ tiết diện;
k là hệ số phụ thuộc vào liên kết cánh chịu nén trong nhịp và lấy bằng:
1,0 - khi không có liên kết;
1,54 - khi có liên kết;
b) Đối với chữ I tổ hợp hàn từ các bản thép hoặc tổ hợp bằng liên kết ma sát cánh với bụng:
![]()
trong đó:
- đối với chữ I tổ hợp hàn:
k là hệ số phụ thuộc vào liên kết cánh chịu nén trong nhịp và lấy bằng:
4 - khi không có liên kết;
8 - khi có liên kết;
tf là chiều dày bản cánh;
bf là chiều rộng bản cánh;
tw là chiều dày bản bụng;
hm là chiều cao tính toán của tiết diện, phụ thuộc vào liên kết cánh chịu nén trong nhịp và lấy bằng:
chiều cao thép tổ hợp h - khi không có liên kết;
khoảng cách giữa các trục của các bản cánh (h - tf) - khi có liên kết;
- đối với chữ I tổ hợp bằng liên kết ma sát cánh với bụng:
tf là tổng chiều dày của tập bản cánh và cánh nằm ngang của một thép góc ghép cánh;
bf là chiều rộng tập bản cánh;
tw là tổng chiều dày của bản bụng và các cánh thẳng đứng của các thép góc ghép cánh;
hm là khoảng cách giữa các trục của các tập bản cánh (h - tf);
0,5hm thay bằng hiệu của chiều rộng cánh thẳng đứng của thép góc ghép cánh và chiều dày cánh của nó.
Nếu trên đoạn Lef của dầm mà hình dạng biểu đồ mô men uốn Mx khác với hình dạng thể hiện trong Bảng F.1 thì xác định hệ số Ψ bằng các công thức ứng với biểu đồ có hình dạng gần giống nhất với hình dạng biểu đồ Mx mà biểu đồ thực tế có thể nội tiếp trong đó.
Trong các trường hợp, khi tại phần công xôn của dầm cánh chịu nén được liên kết chặn chuyển vị ngang ở đầu mút công xôn hoặc dọc theo chiều dài công xôn thì giá trị Ψ lấy như sau:
- Khi có tải trọng tập trung đặt lên cánh chịu kéo ở đầu mút công xôn: lấy Ψ = 1,75Ψ1 , trong đó giá trị Ψ1 được lấy theo CHÚ THÍCH 2 trong Bảng F.1.
- Trong các trường hợp khác: lấy như đối với công xôn không được liên kết chặn chuyển vị ngang.
Bảng F.1 - Hệ số Ψ cho dầm tiết diện chữ I có hai trục đối xứng
| Số điểm liên kết cánh chịu nén trong nhịp | Loại tải trọng trong nhịp | Biểu đồ Mx trên đoạn Lef
| C1 | C2 | Cánh được chất tải | Giá trị Ψ khi α |
| |
| ≥ 0,1; ≤ 40 | > 40; ≤ 400 |
| ||||||
| 1. Không có điểm liên kết Lef = L |
|
| 1,37 | 0,55 | Chịu nén, Chịu kéo |
|
| |
|
|
| 1,49 | 0,41 |
| ||||
|
|
| 1,10 | 0,50 |
| ||||
|
|
| 1,73 | 1,40 |
| ||||
|
|
| 1,13 | 0,46 |
| ||||
|
|
|
|
|
| ||||
|
|
| 1,00 | - | - |
|
| ||
|
|
| 1,88 |
| |||||
|
|
| 2,77 |
| |||||
| 2. Hai hay nhiều điểm liên kết chia nhịp L thành các đoạn bằng nhau | Bất kỳ |
| - | - | Bất kỳ | 2,25 + 0,07+ | 3,6 + 0,04α - 3,5.10-5 α2 | |
| 3. Một điểm liên kết ở giữa |
|
| - | - | Bất kỳ | 1,75Ψ1 | ||
|
|
| - | - | Chịu nén | 1,14Ψ1 | |||
| - | - | Chịu kéo | 1, 60Ψ1 | |||||
|
|
| - | - | Chịu nén | 1,14Ψ1 | |||
| - | - | Chịu kéo | 1,30Ψ1 | |||||
| CHÚ THÍCH 1: Đối với các sơ đồ ở điểm 1 trong bảng, trong các công thức tính Ψ lấy dấu “-” khi tải trọng đặt ở cánh trên, lấy dấu “+” khi tải trọng đặt ở cánh dưới. CHÚ THÍCH 2: Giá trị Ψ lấy bằng giá trị Ψ ứng với trường hợp có hai hay nhiều điểm liên kết cánh chịu nén trong nhịp (xem điểm 2). CHÚ THÍCH 3: Các tiết diện gối tựa của dầm được giữ chống lật. | ||||||||
Bảng F.2 - Hệ số Ψ cho công xôn ngàm cứng có tiết diện chữ I với hai trục đối xứng
| Loại tải trọng | Cánh được chất tải | Giá trị Ψ khi cánh chịu nén không được liên kết chặn chuyển vị ngang và với α | |
| ≥ 4; ≤ 28 | > 28; ≤ 100 | ||
|
| Chịu kéo | 1,0 + 0,16α | 4,0 + 0, 05α |
| Chịu nén | 6,2 + 0, 08α | 7,0 + 0, 05α | |
|
| Chịu kéo |
| |
| CHÚ THÍCH: Hệ số α lấy theo các công thức (F.4) và (F.5) với các giá trị k như đối với các sơ đồ có các liên kết cánh chịu nén trong nhịp: k = 1,54 và k = 8 ứng với hm tương ứng. | |||
F.4 Đối với dầm không liên tục tiết diện chữ I có một trục đối xứng (Hình F.1), hệ số φb được xác định theo Bảng F.3, trong đó các giá trị φ1 , φ2 và n được xác định theo các công thức:
![]()
![]()
![]()
Trong các công thức từ (F.6) đến (F.8):
Ψa là hệ số, được tính theo công thức:
![]()
h là khoảng cách giữa các trục của các cánh;
h1 là khoảng cách từ trọng tâm tiết diện đến trục của cánh lớn;
h2 là khoảng cách từ trọng tâm tiết diện đến trục của cánh nhỏ;
Lef là chiều dài tính toán của dầm, được xác định theo 8.4.2;
I1 và I2 lần lượt là mô men quán tính của tiết diện cánh lớn và cánh nhỏ đối với trục đối xứng của tiết diện dầm.
Các hệ số B, C và D trong công thức (F.9) được xác định theo F.5.

Hình F.1 - Sơ đồ tiết diện chữ I có một trục đối xứng
Bảng F.3 - Hệ số φb
| Cánh chịu nén | Giá trị φb khi giá trị φ2 | |
| ≤ 0,85 | > 0,85 | |
| 1. Lớn hơn | φ1 ≤ 1 |
|
| 2. Nhỏ hơn | φ2 | 0,68 + 0,21φ2 ≤ 1 |
F.5 Các giá trị B, C và D trong công thức (F.9) được xác định theo các bảng F.4 và F.5 phụ thuộc vào các hệ số:
![]()
![]()
![]()
![]()
trong đó: các giá trị n, b1, h, I2 , Lef được xác định theo Phụ lục F này, còn It - theo Phụ lục D.
Hệ số α trong Bảng F.5 được xác định theo công thức (F.4).
F.6 Đối với tiết diện chữ I khi 0,9 < n < 1,0 thì hệ số Ψa cần được xác định bằng nội suy tuyến tính giữa các giá trị tính được theo công thức (F.9) đối với tiết diện chữ I khi n = 0,9 và đối với tiết diện chữ T khi n = 1,0.
Đối với tiết diện chữ T khi có tải trọng tập trung (hoặc phân bố đều) và α < 40 thì hệ số Ψa cần được nhân với (0,8 + 0,004α).
Đối với dầm có cánh chịu nén nhỏ hơn khi n > 0,7 và 5 ≤ Lef/b2 ≤ 25 thì giá trị hệ số Ψ2 phải được giảm xuống bằng cách nhân với (1,025 - 0,015Lef/b2) và được lấy khi đó không lớn hơn 0,95. Không cho phép có giá trị Lef/b2 > 25 trong các dầm này.
Bảng F.4 - Hệ số B
| Sơ đồ tiết diện và vị trí đặt tải trọng | Hệ số B khi tải trọng | ||
| tập trung ở giữa nhịp | phân bố đều | gây uốn thuần tuý | |
|
| δ | μ | β |
|
| δ - 1 | μ - 1 | β |
|
| 1 - δ | 1 - μ | -β |
|
| -δ | -μ | -β |
Bảng F.5 - Các hệ số C và D
| Loại tải trọng | Hệ số C khi tiết diện có dạng | Hệ số D | |
| chữ I (n ≤ 0,9) | chữ T (n = 1,0) | ||
| 1. Tập trung ở giữa nhịp | 0,330η | 0,0826α | 3,265 |
| 2. Phân bố đều | 0,481η | 0,1202α | 2,247 |
| 3. Gây uốn thuần tuý | 0,101η | 0,0253α | 4,315 |
F.7 Đối với tiết diện chữ C thì hệ số φb cần được lấy bằng φb = 0,7φ1, trong đó φ1 được xác định như đối với dầm tiết diện chữ I có hai trục đối xứng bằng cách sử dụng các công thức (F.3) và (F.4) với các giá trị Ix, Iy, It được lấy đối với tiết diện chữ C.
Phụ lục G
(quy định)
Hệ số chiều dài tính toán của các cấu kiện
G.1 Cột một bậc
G.1.1 Hệ số chiều dài tính toán μ1 của đoạn cột dưới được ngàm vào móng của cột một bậc được lấy như sau:
- Khi đầu trên cột tự do: theo Bảng G.1;
- Khi đầu trên cột được ngàm trượt (chỉ chặn xoay, nhưng có thể chuyển vị trượt tự do): theo Bảng G.2;
- Khi đầu trên cột được liên kết chặn chuyển vị: theo công thức

trong đó:
μ12 là hệ số chiều dài tính toán của đoạn cột dưới khi F1 = 0 ;
μ11 là hệ số chiều dài tính toán của đoạn cột dưới khi F2 = 0 .
Giá trị của μ12 và μ11 lấy như sau:
- Khi đầu trên cột tựa khớp cố định: theo Bảng G.3;
- Khi đầu trên cột được ngàm cố định (chặn xoay, chặn chuyển vị): theo Bảng G.4.
Trong các bảng từ G.1 đến G.4:
![]()
trong đó:
I1, L1 là mô men quán tính của tiết diện và chiều dài của đoạn cột dưới;
I2, L2 là mô men quán tính của tiết diện và chiều dài của đoạn cột trên;
G.1.2 Hệ số chiều dài tính toán μ2 của đoạn cột trên của cột một bậc trong mọi trường hợp được xác định theo công thức:
![]()
Bảng G.1 - Hệ số chiều dài tính toán μ1 của cột một bậc có đầu trên tự do
| Sơ đồ tính | α1 | Hệ số μ1 khi n bằng | |||||||||||||||||||
| 0 | 0,1 | 0,2 | 0,3 | 0,4 | 0,5 | 0,6 | 0,7 | 0,8 | 0,9 | 1,0 | 1,2 | 1,4 | 1,6 | 1,8 | 2,0 | 2,5 | 5,0 | 10,0 | 20,0 | ||
|
| 0,0 0,2 0,4 0,6 0,8 1,0 1,5 2,0 2,5 3,0 | 2,0 2,0 2,0 2,0 2,0 2,0 3,0 4,0 5,0 6,0 | 2,00 2,01 2,04 2,11 2,25 2,50 3,43 4,44 5,55 6,65 | 2,00 2,02 2,08 2,20 2,42 2,73 3,77 4,90 6,08 7,25 | 2,00 2,03 2,11 2,28 2,56 2,94 4,07 5,29 6,56 7,82 | 2,00 2,04 2,13 2,36 2,70 3,13 4,35 5,67 7,00 - | 2,00 2,05 2,18 2,44 2,83 3,29 4,61 6,03 - - | 2,00 2,06 2,21 2,52 2,96 3,44 4,86 - - - | 2,00 2,06 2,25 2,59 3,07 3,59 5,05 - - - | 2,00 2,07 2,28 2,66 3,17 3,74 - - - - | 2,00 2,08 2,32 2,73 3,27 3,87 - - - - | 2,00 2,09 2,35 2,80 3,36 4,00 - - - - | 2,00 2,10 2,42 2,93 3,55 - - - - - | 2,00 2,12 2,48 3,05 3,74 - - - - - | 2,00 2,14 2,54 3,17 - - - - - - | 2,00 2,15 2,60 3,28 - - - - - - | 2,00 2,17 2,66 3,39 - - - - - - | 2,00 2,21 2,80 - - - - - - - | 2,00 2,40 - - - - - - - - | 2,00 2,76 - - - - - - - - | 2,00 3,38 - - - - - - - - |
Bảng G.2 - Hệ số chiều dài tính toán μ1 của cột một bậc có đầu trên ngàm trượt
| Sơ đồ tính | α1 | Hệ số μ1 khi n bằng | |||||||||||||||||||
| 0 | 0,1 | 0,2 | 0,3 | 0,4 | 0,5 | 0,6 | 0,7 | 0,8 | 0,9 | 1,0 | 1,2 | 1,4 | 1,6 | 1,8 | 2,0 | 2,5 | 5,0 | 10,0 | 20,0 | ||
|
| 0,0 0,2 0,4 0,6 0,8 1,0 1,5 2,0 2,5 3,0 | 2,0 2,0 2,0 2,0 2,0 2,0 2,0 2,0 2,5 3,0 | 1,92 1,93 1,94 1,95 1,97 2,00 2,12 2,45 2,94 3,43 | 1,86 1,87 1,88 1,91 1,94 2,00 2,25 2,66 3,17 3,70 | 1,80 1,82 1,83 1,86 1,92 2,00 2,33 2,81 3,34 3,93 | 1,76 1,76 1,77 1,83 1,90 2,00 2,38 2,91 3,50 4,12 | 1,70 1,71 1,75 1,79 1,88 2,00 2,43 3,00 - - | 1,67 1,68 1,72 1,77 1,87 2,00 2,48 - - - | 1,64 1,64 1,69 1,76 1,86 2,00 2,52 - - - | 1,60 1,62 1,66 1,72 1,85 2,00 - - - - | 1,57 1,59 1,62 1,71 1,83 2,00 - - - - | 1,55 1,56 1,61 1,69 1,82 2,00 - - - - | 1,50 1,52 1,57 1,66 1,80 - - - - - | 1,46 1,48 1,53 1,63 1,79 - - - - - | 1,43 1,45 1,50 1,61 - - - - - - | 1,40 1,41 1,48 1,59 - - - - - - | 1,37 1,39 1,45 - - - - - - - | 1,32 1,33 1,40 - - - - - - - | 1,18 1,20 - - - - - - - - | 1,10 1,11 - - - - - - - - | 1,05 - - - - - - - - - |
Bảng G.3 - Các hệ số chiều dài tính toán μ12 và μ11 của cột một bậc có đầu trên tựa khớp cố định
| Sơ đồ tính |
| Các hệ số μ12 và μ11 khi L2/L1 bằng | ||||||||||||||
| 0,1 | 0,2 | 0,3 | 0,4 | 0,5 | 0,6 | 0,7 | 0,8 | 0,9 | 1,0 | 1,2 | 1,4 | 1,6 | 1,8 | 2,0 | ||
|
| Hệ số μ12 | |||||||||||||||
| 0,04 0,06 0,08 0,10 0,20 0,30 0,40 0,50 1,00 | 1,02 0,91 0,86 0,83 0,79 0,78 0,78 0,78 0,78 | 1,84 1,47 1,31 1,21 0,98 0,90 0,88 0,86 0,85 | 2,25 1,93 1,73 1,57 1,23 1,09 1,02 0,99 0,92 | 2,59 2,26 2,05 1,95 1,46 1,27 1,17 1,10 0,99 | 2,85 2,57 2,31 2,14 1,67 1,44 1,32 1,22 1,06 | 3,08 2,74 2,49 2,33 1,85 1,60 1,45 1,35 1,13 | 3,24 2,90 2,68 2,46 2,02 1,74 1,58 1,47 1,20 | 3,42 3,05 2,85 2,60 2,15 1,86 1,69 1,57 1,27 | 3,70 3,24 3,00 2,76 2,28 1,98 1,81 1,67 1,34 | 4,00 3,45 3,14 2,91 2,40 2,11 1,92 1,76 1,41 | 4,55 3,88 3,53 3,28 2,67 2,35 2,14 1,96 1,54 | 5,25 4,43 3,93 3,61 2,88 2,51 2,31 2,15 1,68 | 5,80 4,90 4,37 4,03 3,11 2,76 2,51 2,34 1,82 | 6,55 5,43 4,85 4,43 3,42 2,99 2,68 2,50 1,97 | 7,20 5,94 5,28 4,85 3,71 3,25 2,88 2,76 2,10 | |
|
| Hệ số μ11 | |||||||||||||||
| 0,04 0,06 0,08 0,10 0,20 0,30 0,40 0,50 1,00 | 0,67 0,67 0,67 0,67 0,67 0,67 0,67 0,67 0,67 | 0,67 0,67 0,67 0,67 0,67 0,67 0,67 0,67 0,67 | 0,83 0,81 0,75 0,73 0,69 0,67 0,67 0,67 0,67 | 1,25 1,07 0,98 0,93 0,75 0,71 0,69 0,69 0,68 | 1,43 1,27 1,19 1,11 0,89 0,80 0,75 0,73 0,71 | 1,55 1,41 1,32 1,25 1,02 0,90 0,84 0,81 0,74 | 1,65 1,51 1,43 1,36 1,12 0,99 0,92 0,87 0,78 | 1,70 1,60 1,51 1,45 1,21 1,08 1,00 0,94 0,82 | 1,75 1,64 1,58 1,52 1,29 1,15 1,07 1,01 0,87 | 1,78 1,70 1,63 1,57 1,36 1,22 1,13 1,07 0,91 | 1,84 1,78 1,72 1,66 1,46 1,33 1,24 1,17 0,99 | 1,87 1,82 1,77 1,72 1,54 1,41 1,33 1,26 1,07 | 1,88 1,84 1,81 1,77 1,60 1,48 1,40 1,33 1,13 | 1,90 1,87 1,82 1,80 1,65 1,54 1,47 1,39 1,19 | 1,92 1,88 1,84 1,82 1,69 1,59 1,51 1,44 1,24 | |
Bảng G.4 - Các hệ số chiều dài tính toán μ12 và μ11 của cột một bậc có đầu trên ngàm cố định
| Sơ đồ tính |
| Các hệ số μ12 và μ11 khi L2/L1 bằng | ||||||||||||||
| 0,1 | 0,2 | 0,3 | 0,4 | 0,5 | 0,6 | 0,7 | 0,8 | 0,9 | 1,0 | 1,2 | 1,4 | 1,6 | 1,8 | 2,0 | ||
|
| Hệ số μ12 | |||||||||||||||
| 0,04 0,06 0,08 0,10 0,20 0,30 0,40 0,50 1,00 | 0,78 0,70 0,68 0,67 0,64 0,62 0,60 0,59 0,55 | 1,02 0,86 0,79 0,76 0,70 0,68 0,66 0,65 0,60 | 1,53 1,23 1,05 1,00 0,79 0,74 0,71 0,70 0,65 | 1,73 1,47 1,31 1,20 0,93 0,85 0,78 0,77 0,70 | 2,01 1,73 1,54 1,42 1,07 0,95 0,87 0,82 0,75 | 2,21 1,93 1,74 1,61 1,23 1,06 0,99 0,93 0,80 | 2,38 2,08 1,91 1,78 1,41 1,18 1,07 0,99 0,85 | 2,54 2,23 2,05 1,92 1,50 1,28 1,16 1,08 0,90 | 2,65 2,38 2,20 2,04 1,60 1,39 1,26 1,17 0,95 | 2,85 2,49 2,31 2,20 1,72 1,48 1,34 1,23 1,00 | 3,24 2,81 2,55 2,40 1,92 1,67 1,50 1,39 1,10 | 3,70 3,17 2,80 2,60 2,11 1,82 1,65 1,53 1,20 | 4,20 3,50 3,11 2,86 2,28 1,96 1,79 1,66 1,30 | 4,76 3,92 3,45 3,18 2,45 2,12 1,94 1,79 1,40 | 5,23 4,30 3,73 3,41 2,64 2,20 2,08 1,92 1,50 | |
|
| Hệ số μ11 | |||||||||||||||
| 0,04 0,06 0,08 0,10 0,20 0,30 0,40 0,50 1,00 | 0,66 0,65 0,64 0,64 0,62 0,60 0,58 0,57 0,55 | 0,68 0,67 0,66 0,65 0,64 0,63 0,63 0,61 0,58 | 0,75 0,68 0,67 0,65 0,65 0,64 0,63 0,63 0,60 | 0,94 0,76 0,68 0,65 0,65 0,65 0,64 0,64 0,61 | 1,08 0,94 0,84 0,78 0,66 0,66 0,64 0,64 0,62 | 1,24 1,10 1,00 0,92 0,73 0,67 0,66 0,65 0,63 | 1,37 1,25 1,12 1,05 0,83 0,73 0,68 0,68 0,65 | 1,47 1,35 1,25 1,15 0,92 0,81 0,75 0,72 0,67 | 1,55 1,44 1,34 1,25 1,01 0,89 0,82 0,77 0,70 | 1,64 1,50 1,41 1,33 1,09 0,94 0,88 0,83 0,73 | 1,72 1,61 1,53 1,45 1,23 1,09 1,01 0,94 0,80 | 1,78 1,69 1,62 1,55 1,33 1,20 1,10 1,04 0,88 | 1,81 1,74 1,68 1,62 1,41 1,28 1,19 1,12 0,93 | 1,85 1,79 1,75 1,68 1,48 1,35 1,26 1,19 1,01 | 1,89 1,82 1,79 1,71 1,54 1,41 1,32 1,25 1,05 | |
G.2 Cột hai bậc
G.2.1 Hệ số chiều dài tính toán μ1 của đoạn cột dưới được ngàm vào móng của cột hai bậc (Hình G.1a) khi đầu trên của cột được liên kết như trong Bảng G.5 được xác định theo công thức:

trong đó:
![]()
μm1, μm2, μm3 là các hệ số, được xác định theo Bảng G.5 như đối với cột một bậc trên Hình G.1b, c, d;
Im1 là mô men quán tính quy đổi của tiết diện đoạn cột có chiều dài (L1 + L2), được tính theo công thức:
![]()
F1, F2, F3 là các lực dọc đặt tương ứng lên đoạn dưới, đoạn giữa và đoạn trên của cột có các mô men quán tính I1; I2; I3 và chiều dài tương ứng L1; L2; L3.
Mô men quán tính quy đổi của tiết diện đoạn cột có chiều dài (L2 + L3) trên Hình G.1b được tính theo công thức:

|
|
|
|
|
| a) Sơ đồ cột hai bậc | b) Sơ đồ chất tải quy ước lên đoạn dưới | c) Sơ đồ chất tải quy ước lên đoạn giữa | d) Sơ đồ chất tải quy ước lên đoạn trên |
CHÚ THÍCH:
F1, F2, F3 là các lực tập trung;
L1, L2, L3 là chiều dài các đoạn cột bậc.
Hình G.1 - Sơ đồ cột hai bậc và sơ đồ chất tải quy ước
Bảng G.5 - Các hệ số μm1, μm2, μm3
| Liên kết đầu trên của cột | Giá trị các hệ số | ||
| μm1 | μm2 | μm3 | |
| với sơ đồ tải trọng | |||
| theo Hình G.1b | theo Hình G.1c | theo Hình G.1d | |
| 1. Tự do | 2,0 | 2,0 | μ1 (μ1 theo bảng G.1 với |
| 2. Ngàm trượt (chỉ chặn xoay, cho chuyển vị) | μ1 (μ1 theo Bảng G.2 với α1 = 0 ) | μ1 (μ1 theo Bảng G.2 với α1 = 0 ) | μ1 (μ1 theo bảng G.2 với |
| 3. Khớp cố định (cho xoay, chặn chuyển vị) | μ11 (μ11 theo Bảng G.3) | μ11 (μ11 theo Bảng G.3) | μ12 (μ12 theo Bảng G.3) |
| 4. Ngàm (chặn xoay, chặn chuyển vị) | μ11 (μ11 theo Bảng G.4) | μ11 (μ11 theo Bảng G.4) | μ12 (μ12 theo Bảng G.4) |
G.2.2 Hệ số chiều dài tính toán μ2 của đoạn cột giữa (với chiều dài L2) của cột hai bậc được tính theo công thức:
![]()
trong đó:
![]()
Hệ số chiều dài tính toán μ3 của đoạn cột trên (với chiều dài L3) của cột hai bậc được tính theo công thức:
![]()
trong đó:
![]()
G.3 Cột tiết diện không đổi chịu tải trọng không đều
Bảng G.6 - Hệ số chiều dài tính toán μ của cột tiết diện không đổi chịu tải trọng không đều
| Sơ đồ tính của cột |
|
|
|
|
| Hệ số μ | 1,12 | 0,725 | 0,60 | 0,56 |
G.4 Cột tiết diện không đổi với liên kết đàn hồi hai đầu
Bảng G.7 - Hệ số chiều dài tính toán của cột tiết diện không đổi với liên kết đàn hồi hai đầu
| Sơ đồ tính tổng quát | Công thức tính hệ số µ | Các trường hợp riêng | Sơ đồ tính | Công thức tính hệ số µ | ||
|
|
0,5 ≤ μ ≤ 2,0 | 0 ≤ n1 ≤ | n = 0 |
|
0,7 ≤ μ ≤ 2,0 | |
| n = |
|
0,5 ≤ μ ≤ 2,0 | ||||
| 0 ≤ n1 ≤ | n1 = 0 |
|
1,0 ≤ μ ≤ 2,0 | |||
| n1 = |
|
0,5 ≤ μ ≤ 0,7 | ||||
|
|
0,5 ≤ μ ≤ 1,0 | n1 = 0,5 ≤ n ≤ | Ψ = | |||
| Ψ = 1 |
|
0,5 ≤ μ ≤ 1,0 | ||||
| Ψ = 0 |
|
0,7 ≤ μ ≤ 1,0 | ||||
|
|
μ ≥ 1,0 | 0 ≤ n ≤ | n1 = | |||
| 0 ≤ n1 ≤ π2 | n = |
|
1,0 ≤ μ ≤ 2,0 | |||
| n = 0 |
|
| (G.13) | |||
| n1 > π2 | 1,0 | |||||
| Các ký hiệu trong Bảng G.7:
Cm là hệ số độ cứng của liên kết đàn hồi, bằng giá trị của mô men phản lực tại tiết diện gối tựa khi nó bị xoay một góc bằng 1,0; Cn là hệ số độ cứng của gối tựa đàn hồi, bằng giá trị của phản lực tại tiết diện gối tựa khi nó bị xê dịch 1,0 đơn vị. | ||||||
Bảng G.8 - Các hệ số Cm và Cn của cột khung
| Sơ đồ tính của khung | Số công thức tính μ theo Bảng G.7 | Giá trị Cm và Cn |
|
| (G.11) |
|
|
| (G.11) |
|
|
| (G.10) |
|
|
| (G.6) | Cm = 0
|
|
| (G.9) |
|
|
| (G.9) |
|
|
| (G.9) |
|
|
| (G.8) |
|
|
| (G.11) |
|
|
| (G.10) |
|
G.5 Các thanh giằng giao nhau
Các hệ số chiều dài tính toán μ và μ2 của các thanh giằng giao nhau tiết diện không đổi dùng để xác định chiều dài tính toán của chúng Lef = μL và Lef,2 = μ2L2 được xác định phụ thuộc vào sơ đồ kết cấu nút giao theo các công thức trong Bảng G.9.
Bảng G.9 - Các hệ số chiều dài tính toán μ và μ2 của các thanh giao nhau
| Kết cấu nút giao và chất tải các thanh | Sơ đồ tính toán của kết cấu nút giao | Các hệ số μ và μ2 |
| 1. Cả hai thanh liên tục; thanh giao với thanh đang xét - chịu nén |
|
|
|
| ||
| 2. Cả hai thanh liên tục; thanh giao với thanh đang xét - chịu kéo |
|
|
| 3. Thanh đang xét liên tục; thanh giao với thanh đang xét - chịu nén, gián đoạn và được phủ bằng bản mã |
|
|
|
| ||
| 4. Thanh đang xét liên tục; thanh giao với thanh đang xét - chịu kéo, gián đoạn và được phủ bằng bản mã |
|
|
| 5. Thanh đang xét gián đoạn và được phủ bằng bản mã; thanh giao với thanh đang xét - chịu kéo và liên tục |
|
|
| Các ký hiệu trong Bảng G.9:
N là lực tác dụng vào thanh đang xét; N2 là lực tác dụng vào thanh giao với thanh đang xét. | ||
Phụ lục H
(quy định)
Nhóm cấu kiện và liên kết kết cấu khi tính toán chịu mỏi
Bảng H.1 - Nhóm cấu kiện và liên kết kết cấu khi tính toán chịu mỏi
| Sơ đồ cấu kiện và vị trí của tiết diện tính toán | Đặc điểm của cấu kiện | Nhóm cấu kiện |
| 1
| Thép cơ bản có mép cán hoặc gia công cơ khí | 1 |
| Thép cơ bản có mép cắt bằng máy cắt hơi | 2 | |
| 2
| Thép cơ bản có mép gia công cơ khí, khi có chiều rộng khác nhau và bán kính cong ở chỗ chuyển tiếp r là: |
|
| r = 200 mm r = 10 mm | 1 4 | |
| 3
| Thép cơ bản trong liên kết ma sát | 1 |
| 4 a) b) | Thép cơ bản trong liên kết bu lông (dùng bu lông cấp chính xác A) tại các tiết diện đi qua lỗ bu lông: |
|
| a) Khi dùng cặp bản ghép | 4 | |
| b) Khi dùng bản ghép một bên | 5 | |
| 5
| Chỗ chuyển tiếp và lượn cong (phay) khi α ≥ 72o ; r ≥ 0,5b | 2 |
| 6
| Bản mã hình chữ nhật được hàn đối đầu hoặc chữ T với cấu kiện kết cấu mà không được gia công cơ khí mép chuyển tiếp từ bản mã đến cấu kiện | 7 |
| 7
| Bản mã được hàn đối đầu hoặc chữ T với bản bụng và bản cánh của dầm, cũng như với các thanh giàn khi α ≤ 45° | 4 |
| 8
| Bản mã hình chữ nhật hoặc hình thang được hàn ghép chồng với cánh dầm bằng đường hàn không gia công cơ khí quanh chu vi ghép chồng | 7 |
| 9
| Đường hàn đối đầu không gia công; lực vuông góc với đường hàn; các cấu kiện được hàn có chiều rộng và chiều dày như nhau | 4 |
Bảng H.1 (tiếp theo)
| Sơ đồ cấu kiện và vị trí của tiết diện tính toán | Đặc điểm của cấu kiện | Nhóm cấu kiện |
| 10
| Đường hàn đối đầu không gia công; các cấu kiện được hàn có chiều rộng khác nhau hoặc chiều dày khác nhau | 5 |
| 11
| Thép cơ bản tại chỗ chuyển tiếp tới vị trí đường hàn đối đầu được gia công cơ khí loại bỏ phần đường hàn dày lên: a) Khi nối các cấu kiện có chiều dày và chiều rộng như nhau b) Khi nối các cấu kiện có chiều dày và chiều rộng khác nhau |
2
|
| 12
| Liên kết hàn đối đầu:
a) Cấu kiện tấm có dùng bản lót ở dưới (lực vuông góc với đường hàn)
b) Các thép ống có dùng đoạn ống lót ở trong
c) Các thép cán định hình |
4
4
4 |
| 13
| Tiết diện tổ hợp hàn chữ I, chữ T, hoặc các loại tiết diện khác được hàn bằng các đường hàn dọc liên tục khi có tác dụng của lực dọc theo trục đường hàn | 2 |
| 14
| Thép cơ bản với các chi tiết phụ được liên kết bằng đường hàn dọc khi góc: α ≤ 45° 45° < α ≤ 90° |
7 |
| 15
| Vết đứt cánh không gia công cơ khí đường hàn ngang (góc đầu) | 7 |
| 16
| Thép cơ bản có đường hàn ngang; đường hàn hai bên có chỗ chuyển tiếp thoải dần đến thép cơ bản | 4 |
| 17
| Thép cơ bản của cánh chịu kéo của dầm và của các thanh giàn gần vách cứng và sườn cứng được hàn bằng các đường hàn góc | 5 |
| 18
| Thép cơ bản ở chỗ chuyển tiếp đến đường hàn ngang (góc đầu) |
5 |
| 19
| Thép cơ bản trong liên kết dùng đường hàn góc cạnh (tại chỗ chuyển tiếp từ cấu kiện đến đầu mút đường hàn góc cạnh): a) với hai đường hàn góc cạnh
b) với đường hàn góc cạnh và góc đầu
|
7
8 |
| 20
| Thép cơ bản của các thanh ống xiên chịu kéo khi tỷ số giữa chiều dày và đường kính ngoài của ống làm thanh cánh: tm /dm ≥ 1/14 1 20 ≤ tm/dm < 1/14 |
7 8 |
| 21
α = 45° ÷ 60° | Thép cơ bản của thanh xiên ống chịu kéo khi tỷ số giữa các đường kính của thanh xiên và thanh cánh dd/dm = 0, 4 ÷ 0, 7 và tỷ số giữa chiều dày và đường kính ngoài của ống làm thanh cánh: tm/dm ≥ 1/14 1 20 ≤ tm/dm < 1/14 1 35 ≤ tm/dm < 1/20 |
6 7 8 |
| CHÚ THÍCH: Nhóm cấu kiện xem Bảng 37. | ||
Phụ lục I
(tham khảo)
Yêu cầu bổ sung đối với giàn và giằng
I.1 Giàn và giằng làm bằng thanh định hình uốn hàn
I.1.1 Ổn định cục bộ của thành bụng khi có tải trọng tập trung
I.1.1.1 Khi mặt phẳng tác dụng của tải trọng trùng với mặt phẳng bụng (sơ đồ tựa như trên Hình I.1b), giá trị lớn nhất của tải trọng tập trung hoặc phản lực tại tiết diện gối tựa tác dụng lên từng thành bụng cần được xác định như sau:
а) Phản lực của gối tựa biên, tải trọng tại đầu công xôn và trên đoạn 1,5h' (trong đó h' = Н −2t , trên Hình I.1a) sát gối tựa: theo công thức
|
| (I.1) |
b) Phản lực của gối tựa trung gian và gối tựa công xôn, tải trọng trên các đoạn nằm cách gối tựa một khoảng lớn hơn 1,5h' : theo công thức
|
| (I.2) |

а) Sơ đồ tải trọng và phản lực

b) Sơ đồ tựa thông qua bản đệm
Hình I.1 - Sơ đồ tính toán ổn định cục bộ thành bụng của các thanh làm bằng thép định hình uốn hàn

c) Sơ đồ tựa trực tiếp
Hình I.1 (kết thúc)
I.1.1.2 Khi mặt phẳng tác dụng của tải trọng không trùng với mặt phẳng bụng (sơ đồ tựa như trên Hình I.1c):
|
| (I.3) |
|
| (I.4) |
trong đó:
|
| (I.5) |
|
| (I.6) |
Trong các công thức từ (I.1) đến (I.6):
t là chiều dày bụng của thanh định hình uốn hàn;
z là chiều dài quy ước phân bố tải trọng tập trung, không vượt quá chiều cao bụng h;
r là bán kính vê tròn bên trong, không quá 4t;
fyd là cường độ tính toán của thanh định hình uốn hàn, tính bằng megapascan (МPа);
P1 và P2 là tải trọng và phản lực, tính bằng kilôniutơn (kN).
I.1.2 Nút giàn có thanh bụng liên kết trực tiếp với thanh cánh
I.1.2.1 Yêu cầu chung
Đối với nút giàn có các thanh bụng liên kết trực tiếp với thanh cánh (Hình I.2) cần kiểm tra (theo 15.2.5):
- Khả năng chịu lực của bụng (cánh) của thanh cánh có thanh bụng tiếp giáp vào;
- Khả năng chịu lực của thanh bụng ở chỗ gần mối tiếp giáp với thanh cánh;
- Độ bền của đường hàn.
|
|
| |
| а) Nút chữ K trong hệ thanh bụng tam giác | b) Nút chữ K |
|
|
|
| |
| c) Nút gối tựa | d) Nút chữ Y |
|
|
|
| |
| e) Nút chữ X | f) Nút chữ T |
|
Hình I.2 - Nút giàn thép định hình uốn hàn
Các ký hiệu dùng trong I.1.2:
N là lực trong các thanh tiếp giáp (các thanh bụng);
М là mô men uốn do tác dụng chính trong thanh tiếp giáp trong mặt phẳng giàn tại tiết diện trùng với bụng (cánh) tiếp giáp của thanh cánh (mô men do độ cứng nút được tính đến theo 15.2.2; đối với giàn thép ống tròn - mô men tương tự trong thanh đang xét tại tiết diện đi qua giao điểm của trục thanh này với đường sinh của thanh cánh);
F là lực dọc trong thanh cánh từ phía thanh bụng chịu kéo;
А là diện tích tiết diện ngang của thanh cánh;
fyd là cường độ tính toán theo giới hạn chảy của thép thanh cánh;
t là chiều dày bụng (cánh) của thanh cánh;
α là góc tiếp giáp của thanh bụng với thanh cánh;
Ad là diện tích tiết diện ngang của thanh bụng;
td là chiều dày bụng (cánh) của thanh bụng;
fyd,d là cường độ tính toán theo giới hạn chảy của thép thanh bụng;
g là một nửa khoảng cách giữa các bản bụng liền kề của các thanh bụng hoặc giữa thành ngang của thanh xiên và sườn gối; khoảng cách này cần đủ để đặt hai đường hàn.
I.1.2.2 Tính toán nút giàn thép định hình uốn hàn
I.1.2.2.1 Đối với nút giàn thép hộp chữ nhật uốn hàn (Hình I.2), cần kiểm tra theo các yêu cầu trong I.1.2.1, cũng như tính toán khả năng chịu lực của bụng thanh cánh (bụng song song mặt phẳng nút) tại vị trí tiếp giáp của thanh bụng chịu nén.
I.1.2.2.2 Trong trường hợp hai thanh bụng trở lên có nội lực khác dấu tiếp giáp một bên với thanh cánh (xem Hình I.2a, b), cũng như một thanh bụng tiếp giáp một bên với thanh cánh tại nút gối tựa (xem Hình I.2c) khi d/D ≤ 0, 9 và g/b ≤ 0, 25 , khả năng chịu lực của thành của cánh thanh cánh cần được kiểm tra đối với từng thanh tiếp giáp theo công thức:
|
| (I.7) |
trong đó:
γd là hệ số ảnh hưởng của dấu nội lực trong thanh tiếp giáp, lấy bằng:
1,2 - khi kéo;
1,0 - trong các trường hợp còn lại;
γD là hệ số ảnh hưởng của lực dọc trong thanh cánh, lấy như sau:
khi thanh cánh chịu nén và có |F|/(Afyd) > 0,5 : γD= 1,5 − |F|/(Afyd);
trong các trường hợp còn lại: γD= 1,0;
b là chiều dài đoạn thẳng giao nhau của thanh tiếp giáp với thanh cánh theo phương trục thanh cánh, bằng db/sinα;
f = (D − d)/ 2.
I.1.2.2.3 Khả năng chịu lực của thành của cánh thanh cánh tại các nút chữ Y, X và T (xem Hình I.2d, e, f), cũng như các nút nêu tại I.1.2.2.2 khi g/b > 0, 25 cần được kiểm tra theo công thức:
|
| (I.8) |
Công thức (I.8) áp dụng cho các nút chữ T, Y và X, cũng như cho nút chữ K nhưng có các thanh xiên cách nhau đủ lớn (chính là có tỉ số g/b > 0, 25 ). Trong trường hợp nút chữ K vừa nêu, ranh giới quy ước của phạm vi áp dụng các công thức (I.7) và (I.8) là giá trị g/b = 0,25 .
I.1.2.2.4 Khả năng chịu lực của bụng thanh cánh trong mặt phẳng nút tại mối tiếp giáp của thanh chịu nén khi d/D > 0,85 cần được kiểm tra theo công thức:
|
| (I.9) |
trong đó:
γt là hệ số ảnh hưởng độ mỏng thành tương đối của thanh cánh, lấy bằng:
khi Db/t ≥ 25 : 0,8;
trong các trường hợp còn lại: 1,0;
k là hệ số, lấy bằng (Hình I.3):
khi 4 (t/Db)2 - fyd/E≤0: k = 3,6 (t/Db)2 E/fyd;
khi 0 < 4 (t/Db)2 - fyd/E<6.10-4: k = 0,9 + 670(t/Db)2 - 170fyd/E;
trong các trường hợp còn lại: k = 1,0.

Hình I.3 - Đồ thị để xác định giá trị hệ số k phụ thuộc vào độ mỏng thành tương đối của thanh cánh
Hệ số k kể đến sự suy giảm có thể có của khả năng chịu lực của phần bụng thanh cánh như là bản mỏng chịu nén làm việc trong giai đoạn đàn hồi hoặc đàn dẻo ( k =σcr/fyd với σcr là ứng suất tới hạn);
k = 1,0 đối với thép có fyd ≤ 400 МPа khi Db/t ≤ 40 .
I.1.2.2.5 Khả năng chịu lực của thanh bụng ở chỗ gần mối tiếp giáp với thanh cánh cần được kiểm tra như sau:
а) Tại các nút nêu trong I.1.2.2.2: theo công thức
|
| (I.10) |
trong đó: k được xác định như trong I.1.2.2.4, nhưng thay các đặc trưng của thanh cánh bằng các đặc trưng của thanh bụng: Db thay bằng giá trị lớn hơn trong hai giá trị d hoặc dd ; t thay bằng td và fyd thay bằng fyd,d.
Đối với thanh bụng tiết diện không vuông, cần đưa thêm thừa số
vào vế trái công thức (I.10).
b) Tại các nút nêu trong I.1.2.2.3: theo công thức
|
| (I.11) |
Biểu thức (3 + 5d/D − 0,1db/td ) trong công thức (I.11) không được nhỏ hơn 0.
Đối với các thanh bụng tiết diện không vuông, cần đưa thêm thừa số (1 + d db)/2 vào vế trái công thức (I.11).
I.1.2.2.6 Độ bền của đường hàn liên kết các thanh bụng với thanh cánh cần được kiểm tra như sau:
а) Tại các nút nêu trong I.1.2.2.2: theo công thức
|
| (I.12) |
trong đó: βf, hf , fwf lấy theo các yêu cầu của Điều 12;
b) Tại các nút nêu trong I.1.2.2.3: theo công thức
|
| (I.13) |
c) Các đường hàn thấu suốt chiều dày thành của thanh định hình uốn hàn khi để khe hở hàn bằng (0,5 ÷ 0,7) td cần được tính toán như đường hàn đối đầu.
I.1.2.2.7 Các công thức từ (I.7) đến (I.13) kể đến sự phân bố ứng suất không đều theo chu vi mặt đầu thanh bụng và khi khả năng chịu lực của thanh cánh tương đối cao có thể giới hạn được độ bền tính toán của nút.
I.1.2.3 Tính toán nút giằng
I.1.2.3.1 Đối với nút giằng thép định hình uốn hàn (Hình I.4) cần kiểm tra:
а) Độ bền và ổn định của các chi tiết nút và vùng tiếp giáp của thép định hình với nút;
b) Độ bền của liên kết hàn.

а) Các dạng đuôi nút giằng

b) Liên kết dùng/bản mã
CHÚ DẪN:
| 1 Đường trọng tâm tiết diện của bản mã giằng kèm sườn | 4 Sườn | 7 Mặt bích |
| 2 Trục bản mã giàn | 5 Bản mã giằng | 8 Bản táp |
| 3 Trục thép định hình uốn hàn | 6 Bản mã giàn | 9 Thanh giằng |
Hình I.4 - Nút giằng thép định hình uốn hàn
I.1.2.3.2 Khả năng chịu kéo của thanh giằng được kiểm tra như sau:
a) Đối với nút dạng A (Hình I.4a): theo công thức
|
| (I.14) |
trong đó:
N là lực trong thanh giằng;
fyf là cường độ tính toán của thép mặt bích;
Df là chiều dài mặt bích dọc theo bản mã giằng;
fyd ,d là cường độ tính toán của thép thanh giằng.
Công thức (I.14) dựa trên cơ sở giả thiết khớp dẻo tuyến tính hình thành trong mặt bích dọc theo bản mã giằng;
b) Đối với nút dạng A1 (xem Hình I.4a): theo công thức (I.14), nhưng thay td bằng (td + 0, 6tp) , trong đó
tp là chiều dày bản táp;
c) Đối với nút dạng/b (xem Hình I.4a): theo công thức
|
| (I.15) |
trong đó:
A là diện tích tiết diện ngang của thanh giằng;
δf là hệ số ảnh hưởng chiều sâu rãnh xẻ, lấy bằng:
khi 0,8 ≤ L1/ db < 1, 6 : δf= 0,5 L1/db + 0,18 ;
khi L1/db ≥ 1, 6 : δf= 1,0 .
I.1.2.3.3 Khả năng chịu nén của thanh giằng được kiểm tra như sau:
a) Đối với nút dạng A (xem Hình I.4a): theo công thức (I.14) và theo các công thức
|
| (I.16) |
|
| (I.17) |
b) Đối với các nút dạng A2 và B1: theo công thức (I.17) và theo công thức
|
| (I.18) |
Trong các công thức từ (I.16) đến (I.18):
e, e1 là các khoảng cách từ trục bản mã giàn đến trục thanh giằng và đến trọng tâm tiết diện chữ T của bản mã giằng kèm sườn (xem Hình I.4b);
A, W lần lượt là diện tích và mô men chống uốn của tiết diện ngang của thép định hình đối với trục bản mã giằng;
Afc , Wfc lần lượt là diện tích và mô men chống uốn của tiết diện ngang của bản mã giằng kèm cả sườn (khi có sườn);
γe là hệ số điều kiện làm việc, lấy phụ thuộc vào độ mảnh quy ước lớn nhất của thép định hình:
![]()
Các công thức từ (I.16) đến (I.18) chỉ đúng khi tỷ số các kích thước tiết diện ngang của thanh giằng nằm trong khoảng 0,75 ≤ db/d ≤ 1,1 và tỷ số cạnh lớn trên chiều dày của thanh giằng không lớn hơn 45.
I.1.2.3.4 Tính toán liên kết hàn của thanh định hình và bản mã giằng với mặt bích của các nút dạng A, A1, A2 cần được tiến hành theo 14.1 có kể đến hệ số điều kiện làm việc γcf = 0,8 (để kể đến sự truyền nội lực không đều) và theo kim loại biên nóng chảy với mặt bích theo phương chiều dày thép cán theo công thức
|
| (I.19) |
trong đó: fth là cường độ của thép theo phương chiều dày thép cán.
I.1.2.4 Thiết kế
I.1.2.4.1 Chiều dài tính toán của các khoang cánh trên của giàn mái không xà gồ Lef được xác định theo công thức:
| Lef = μL | (I.20) |
trong đó:
L là chiều dài khoang;
μ là hệ số chiều dài tính toán, lấy bằng:
|
| - đối với khoang cánh không giáp biên với nút khớp (ví dụ: liên kết mặt bích dùng/bu lông) và khi có tải trọng phân bố đều trên các khoang liền kề; |
|
| - đối với khoang cánh giáp biên với nút khớp hoặc với khoang không có tải trọng phân bố đều; |
trong đó:
n = qH/(2N) là tham số của tải trọng phân bố đều ![]()
q là tải trọng phân bố đều trên thanh cánh;
N là lực dọc;
H là chiều cao tiết diện thanh cánh;
Ht là chiều cao giàn tính theo trục các thanh cánh;
L là nhịp giàn.
I.1.2.4.2 Tỷ số chiều cao trên chiều dày thành của thanh cánh Db/t lấy không lớn hơn 45, của thanh bụng db/td - không lớn hơn 60.
I.1.2.4.3 Kích thước thanh bụng theo chiều rộng (ngoài mặt phẳng kết cấu) lấy không lớn hơn D -2 (t + td) để thuận tiện cho việc đặt các đường hàn.
I.1.2.4.4 Đối với thanh bụng, chiều rộng d lấy không nhỏ hơn 0,6D (D là chiều rộng thanh cánh).
I.1.2.4.5 Khoảng cách giữa “các mũi” liền kề của các thanh xiên được lấy tối thiểu theo điều kiện sao cho đặt được hai đường hàn.
I.1.2.4.6 Các mối nối trong nhà máy của các thanh cần được thực hiện bằng hàn đối đầu trên bản lót để lại. Không được bố trí các mối nối này trong thanh chịu kéo có ứng suất lớn hơn 0,9fyd.
I.2 Giàn có các thanh cánh làm bằng thép chữ I cánh rộng
I.2.1 Yêu cầu chung
I.2.1.1 Giàn mái có các thanh cánh làm bằng thép chữ I cánh rộng song song (sau đây gọi là chữ H) và các thanh bụng làm bằng thép định hình kín uốn hàn và thép chữ H, tiếp giáp trực tiếp với cánh của thanh cánh, được sử dụng trong vùng có nhiệt độ tính toán cao hơn âm 40 °С.
Đối với các giàn này, sử dụng thép có fy ≤ 380 МPа và vật liệu hàn có fwun = 490 МPа.
I.2.1.2 Khi tính toán giàn có e/Db ≤ 1/10 (trong đó Db là chiều cao tiết diện thanh cánh; e là khoảng cách từ điểm giao trục các thanh bụng đến trục thanh cánh), không cần kể đến độ lệch tâm nút (xem các hình I.5 và I.6).


c) Nút gối tựa
Hình I.5 - Các dạng nút giao thép chữ H với thép hộp chữ nhật uốn hàn

Hình I.6 - Các dạng nút giàn thép chữ H
I.2.1.3 Mô men uốn do độ lệch tâm nút và độ cứng nút trong các thanh giàn có lực dọc không đổi dấu (khi không có tải trọng ngang tác dụng lên thanh) được kể đến theo công thức:
|
| (I.21) |
trong đó:
N và М là lực dọc tính toán và mô men tính toán;
А và W là diện tích và mô men chống uốn của tiết diện ngang của thanh giàn.
Khi đó, giá trị mô men Me do độ lệch tâm nút phải thỏa mãn điều kiện:
|
| (I.22) |
trong đó:
A, W, fyd lần lượt là diện tích tiết diện ngang, mô men chống uốn của tiết diện ngang và cường độ tính toán của thép của một trong các khoang cánh của nút lệch tâm.
Công thức (I.21) kể đến biến dạng dẻo của thép trong các tiết diện tại các đầu thanh.
I.2.1.4 Đối với thanh bụng chịu kéo mà được tính không kể đến mô men uốn, lấy hệ số điều kiện làm việc γc = 0,85 .
I.2.1.5 Tính toán ổn định của thanh chịu nén khi nó không chịu tác dụng của tải trọng ngang được thực hiện không kể đến mô men uốn. Chiều dài tính toán lấy theo Bảng 25. Đối với giàn có kể đến mô men uốn khi tính toán, cần giảm chiều dài tính toán của các thanh bụng trong mặt phẳng giàn có kể đến liên kết đàn hồi của chúng vào hai thanh cánh.
Khi tại nút của thanh cánh chịu nén không có các bản gia cường (xem I.2.3.2), thì trong tính toán ổn định của thanh này sử dụng hệ số điều kiện làm việc γc = 0,85 .
Các thanh chống giữ thanh cánh chịu nén ngoài mặt phẳng giàn và liên kết của chúng phải được tính theo công thức (17).
I.2.2 Tính toán nút
I.2.2.1 Đối với nút giàn không tăng cứng (xem các hình I.5 và I.6), gồm thanh cánh chữ H và các thanh bụng tiếp giáp với thanh cánh, cần kiểm tra:
− Khả năng/bị uốn cong của phần cánh thanh cánh tiếp xúc với thanh bụng;
− Khả năng chịu lực của đoạn bụng thanh cánh ứng với thanh bụng chịu nén;
− Khả năng chịu lực của tiết diện ngang thanh cánh;
− Khả năng chịu lực của thanh bụng tại vùng tiếp giáp với thanh cánh;
− Độ bền của đường hàn liên kết thanh bụng với thanh cánh.
I.2.2.2 Tại mối tiếp giáp không tăng cứng của các thanh bụng tiết diện hộp chữ nhật uốn hàn với thanh cánh trong nút chữ K và nút gối tựa (xem Hình I.5a,c) khi с ≤ 15 mm (c là một nửa khoảng cách giữa các “mũi” của các thanh bụng), khả năng/bị uốn cong cánh của thanh cánh cần được kiểm tra đối với từng mối tiếp giáp riêng/biệt theo công thức:
|
| (I.23) |
trong đó:
N là nội lực trong thanh bụng;
М là mô men uốn trong thanh tiếp giáp trong mặt phẳng nút tại tiết diện trùng với cánh tiếp giáp của thanh cánh;
γc là hệ số điều kiện làm việc, lấy theo Bảng 1;
γD là hệ số, lấy bằng:
(1,5 - σ/fyd) - nếu thanh cánh chịu nén khi σ/fyd > 0,5 ;
1,0 - trong các trường hợp còn lại;
σ là ứng suất dọc trục trong khoang cánh từ phía thanh xiên chịu kéo;
fyd là cường độ tính toán theo giới hạn chảy của thép thanh cánh;
fyd ,d là cường độ tính toán theo giới hạn chảy của thép thanh bụng.
I.2.2.3 Tại mối tiếp giáp không tăng cứng của thanh bụng tiết diện hộp chữ nhật uốn hàn với thanh cánh trong nút chữ T (xem Hình I.5b) cũng như nút chữ K và nút gối tựa, khi c > 15 mm thì khả năng bị uốn cong mép cánh của thanh cánh cần được kiểm tra theo công thức:
|
| (I.24) |
Khi db = d : kiểm tra theo công thức
|
| (I.25) |
I.2.2.4 Đối với nút giàn thép chữ H (xem Hình I.6), cần kiểm tra theo I.2.2.1, cũng như kiểm tra:
- Khả năng chịu lực của đoạn bụng thanh cánh ứng với thanh bụng chịu nén;
- Khả năng chịu trượt của tiết diện ngang của thanh cánh.
I.2.2.5 Trường hợp có hai hoặc nhiều hơn thanh bụng chữ H có nội lực khác dấu tiếp giáp một bên với thanh cánh chữ H (xem Hình I.6a, b), cũng như trường hợp có một thanh bụng chữ H tiếp giáp một bên với thanh cánh chữ H tại nút gối tựa (xem Hình I.6c), khi g ≤ 15 mm thì khả năng chịu lực của cánh thanh cánh cần được kiểm tra đối với từng thanh tiếp giáp theo công thức:
|
| (I.26) |
trong đó: γD là hệ số, được xác định theo I.1.2.2.2.
I.2.2.6 Khả năng chịu lực của đoạn bụng thanh cánh chữ H dưới tác dụng của thanh bụng tiết diện hộp chữ nhật uốn hàn chịu nén cần được kiểm tra theo công thức:
|
| (I.27) |
Khả năng chịu lực của đoạn bụng thanh cánh chữ H dưới tác dụng của thanh bụng chữ H chịu nén cần được kiểm tra theo công thức:
|
| (I.28) |
trong đó:
tw là chiều dày bụng thanh cánh.
I.2.2.7 Khả năng chịu lực của tiết diện ngang thanh cánh chữ H dưới tác dụng của lực cắt tại nút cần được kiểm tra theo công thức:
|
| (I.29) |
trong đó:
V là lực cắt tại nút, bằng giá trị nhỏ nhất trong các tích N sinα;
fv là cường độ chịu trượt tính toán của thép thanh cánh;
![]()
r là bán kính vê tròn của thanh cánh định hình.
I.2.2.8 Khả năng chịu lực của thanh bụng chữ H tại chỗ gần mối tiếp giáp với thanh cánh cần được kiểm tra theo công thức:
|
| (I.30) |
trong đó: γD là hệ số, lấy theo I.1.2.2.2.
Đối với các thanh tiếp giáp làm bằng thép hộp chữ nhật uốn hàn, thay giá trị 0,05 trong công thức (I.30) bằng:
0,14 - cho nút chữ K;
0,06 - cho nút gối tựa;
0,10 - cho nút chữ T.
I.2.2.9 Tiết diện của các đường hàn dùng để liên kết các thanh bụng với thanh cánh cần được lấy tương ứng với độ bền của các đoạn (cánh, bụng) của thanh bụng chữ H.
I.2.2.10 Tại nút giàn được gia cường/bằng các bản nghiêng (Hình I.7) cần kiểm tra khả năng chịu lực của đoạn bụng thanh cánh chữ H ứng với thanh bụng theo công thức:
|
| (I.31) |
Ngoài ra, cần kiểm tra khả năng chịu lực của các bản nghiêng dưới tác dụng của lực là hiệu của nội lực trong thanh bụng N và khả năng chịu lực của thanh bụng đã tính theo I.2.2.8.

Hình I.7 - Nút của giàn được gia cường/bằng các bản nghiêng
I.2.2.11 Các công thức từ (I.23) đến (I.26) được xây dựng dựa trên giả thiết sự phát triển biến dạng dẻo đồng thời trong cánh thanh cánh và trên đoạn thành của cánh thanh bụng tiếp xúc với cánh thanh cánh. Các công thức (I.27), (I.28), (I.29) và (I.31) được dựa trên cơ sở biểu thức rút gọn về sự làm việc của bụng thanh cánh tại vùng nút. Việc tính toán mối tiếp giáp các thanh bụng làm bằng thép định hình uốn hàn theo công thức (I.30) sẽ giới hạn được khả năng chịu lực của các nút không tăng cứng trong miền đủ rộng các tham số khi giảm đáng kể hệ số sử dụng tiết diện của các thanh bụng này và yêu cầu cùng với đó là tăng cứng cánh của thanh cánh chữ H.
I.2.3 Cấu tạo
I.2.3.1 Mối tiếp giáp của các thanh bụng vào thanh cánh cần được thiết kế bằng hàn không/bản mã.
I.2.3.2 Để đảm bảo khả năng chịu lực của nút, cánh của chữ H tại vị trí tiếp giáp với các thanh bụng cần được tăng cứng/bằng các bản nghiêng dọc (xem Hình I.7). Cần đặt các cặp sườn cứng tại vị trí tiếp giáp của thanh bụng chữ H, cũng như tại nút chữ T có thanh đứng khi dùng/bản mã đứng để liên kết thanh giằng.
I.2.3.3 Mối nối tổ hợp giàn cần được thiết kế bằng liên kết mặt bích dùng/bu lông: tại cao độ cánh chịu nén - dùng/bu lông thường, tại cao độ cánh chịu kéo - dùng/bu lông cường độ cao (xem 12.3).
I.2.3.4 Hệ giằng nằm ngang theo các giàn cần được liên kết vào cánh ngoài của thanh cánh.
I.2.3.5 Trong liên kết với cột (đoạn cột trên), phải loại trừ được chuyển vị đứng của đầu thanh cánh trên và đảm bảo đầu này có độ di động ngang với giá trị bằng giá trị chuyển dịch so với nút gối tựa.
I.2.3.6 Cần gia công vát mép trước khi thực hiện đường hàn góc tại “mũi” các thanh bụng làm bằng thép định hình uốn hàn có td > 5 mm (Hình I.8). Các thông số đường hàn ở “mũi” các thanh bụng xem trong/bảng I.1.

Hình I.8 - Chi tiết hàn “mũi” thép định hình uốn hàn
Bảng I.1 - Các thông số đường hàn ở “mũi” các thanh bụng
| α , ° | β , ° | s, mm |
| ≥ 35; ≤ 45 | 90 | ≥ 2; ≤ 3 |
| ≥ 46; ≤ 60 | 75 | ≥ 3; ≤ 4 |
| ≥ 61; ≤ 90 | 55 | ≥ 3; ≤ 5 |
I.2.3.7 Khoảng cách giữa các đường hàn ngang (các đường hàn góc đầu) trên cánh của thanh cánh (ở mũi các thanh bụng) được lấy không nhỏ hơn:
5 mm - tại nút gối tựa và nút nối đối đầu của thanh cánh chịu nén;
20 mm - trong các trường hợp còn lại (xem g trên Hình I.7).
I.3 Kết cấu thép ống tròn
I.3.1 Yêu cầu chung
I.3.1.1 Kết cấu rỗng làm bằng thép ống cần được thiết kế với các liên kết hàn trực tiếp (không/bản mã) tại các nút, trong đó có dự tính việc thực hiện các đường cắt cong và cắt mép ống đối với các liên kết này bằng các máy cắt hơi chuyên dụng.
I.3.1.2 Trong kết cấu rỗng, đặc biệt khi được sử dụng trong môi trường xâm thực, cả các thanh chịu nén và các thanh chịu kéo cần được làm bằng thép ống, khi đó các thanh chịu lực nhiều nhất (với các thanh chịu nén - khi độ mảnh không lớn hơn 60) cần được làm bằng thép có giới hạn chảy bằng 440 MPa trở lên.
I.3.2 Tính toán
I.3.2.1 Khi tính toán liên kết hàn đối đầu của các thanh ống/bằng hàn không có ống lót, cần bổ sung thêm hệ số điều kiện làm việc γwc = 0,75, còn khi tính toán liên kết chữ T có góc mở đường hàn lớn hơn 30° (được tính toán như liên kết hàn đối đầu) khi hàn không hàn đắp gốc đường hàn thì lấy γwc = 0,85.
I.3.2.2 Chiều dài tính toán Lef của các thanh trong kết cấu rỗng làm bằng thép ống với các nút không/bản mã, trừ các thanh của hệ thanh bụng chữ thập, cần được lấy theo Bảng I.2.
Bảng I.2 - Chiều dài tính toán Lef của các thanh làm bằng thép ống trong kết cấu rỗng
| Phương uốn dọc | Giá trị Lef của | |||
| thanh cánh, thanh xiên gối tựa và thanh đứng gối tựa | các thanh bụng khác | |||
| không/bóp bẹp đầu | có bóp bẹp | |||
| một hoặc hai đầu trong các mặt phẳng khác nhau | hai đầu trong một mặt phẳng | |||
| 1. Trong mặt phẳng hệ thanh bụng | L | 0, 85L | 0,9L | 0,95L |
| 2. Theo phương vuông góc với mặt phẳng hệ thanh bụng (ngoài mặt phẳng) | L1 | 0,85L1 | 0,9L1 | 0,95L1 |
| Các ký hiệu trong/bảng I.2: L là chiều dài hình học của thanh (khoảng cách giữa tâm các nút); L1 là khoảng cách giữa các nút có liên kết chặn chuyển vị ngoài mặt phẳng hệ thanh bụng. | ||||
I.3.2.3 Tính toán độ bền của thanh bằng thép ống có đường kính D và chiều dày t có bóp bẹp đầu, chịu nén đúng tâm, cần được thực hiện theo công thức (4) có kể đến hệ số γct xác định như sau:
a) Khi đoạn chuyển tiếp từ tiết diện tròn đến phần tiết diện bóp bẹp đầu được tạo hình tự do: theo công thức
|
| (I.32) |
nhưng không lớn hơn 0,7 và không nhỏ hơn 0,3.
b) Khi đoạn chuyển tiếp từ tiết diện tròn đến phần tiết diện bóp bẹp đầu được tạo hình bắt buộc (thoải dần trên một đoạn dài (2,5 ÷ 3)D: theo công thức
|
| (I.33) |
nhưng không lớn hơn 1,0 và không nhỏ hơn 0,4.
I.3.2.4 Tính toán liên kết hàn đối đầu của các thanh làm bằng thép ống chịu kéo đúng tâm hoặc nén đúng tâm cần được tiến hành theo công thức:
|
| (I.34) |
trong đó:
Dm là đường kính trung/bình (bằng một nửa tổng đường kính ngoài và đường kính trong) của ống có chiều dày thành nhỏ hơn;
t là chiều dày thành nhỏ nhất của các ống được nối;
fw ,γwc là cường độ tính toán theo giới hạn chảy và hệ số điều kiện làm việc của liên kết hàn đối đầu tương ứng, γwc lấy theo I.3.2.1.
Không cần tính toán liên kết hàn đối đầu trong trường hợp hàn có ống lót dùng vật liệu hàn theo tiêu chuẩn này và kiểm tra các đường hàn chịu kéo bằng phương pháp thử không phá hủy.
I.3.2.5 Tính toán liên kết hàn chữ T trong liên kết của các thanh thép ống hàn với các thanh khác (Hình I.9) có mặt trụ hoặc mặt phẳng (các thanh cái) dưới tác dụng của lực dọc N cần được thực hiện theo các công thức:
| N ≤ 0,85 (Swh + Swt) | (I.35) |
| N ≤ 2Swh | (I.36) |
| N ≤ 2Swt | (I.37) |
trong đó:
Swh và Swt lần lượt là khả năng chịu lực của các đoạn đường hàn gót và mũi (các đoạn đường hàn thuộc một nửa tiết diện thanh xiên tính từ phía góc nhọn và góc tù tương ứng của trục giao nhau của ống với bề mặt thanh cái), được xác định theo các công thức:
|
| (I.38) |
|
| (I.39) |
trong đó:
fw là cường độ chịu nén tính toán hoặc chịu kéo tính toán của liên kết hàn đối đầu theo giới hạn chảy;
fwd là giá trị nhỏ hơn trong hai giá trị: 0, 7fwf hoặc fws với fwf và fws là cường độ chịu cắt (hoặc cắt quy ước) của đường hàn góc theo kim loại đường hàn và theo kim loại biên nóng chảy tương ứng;
td là chiều dày thành ống được liên kết;
hf là chiều cao đường hàn góc;
Lwah và Lwat là các tổng chiều dài các đoạn đường hàn mà được coi như là đường hàn đối đầu ở các đoạn đường hàn gót và mũi tương ứng;
Lwfh và Lwft là các tổng chiều dài các đoạn đường hàn mà được coi như là đường hàn góc ở các đoạn đường hàn gót và mũi tương ứng;
γwc là hệ số điều kiện làm việc của liên kết hàn chữ T, lấy theo I.3.2.1.
Các đường hàn sau đây được coi là đường hàn góc:
a) Khi cắt vuông góc (không vát) đầu ống được liên kết (xem Hình I.9c): các đoạn đường hàn mà có góc mở đường hàn θ tính theo công thức (I.40) nhỏ hơn 30° hoặc lớn hơn 60°;
b) Khi cắt vát đầu ống được liên kết dưới một góc không đổi hoặc thay đổi ω (xem Hình I.9d, e): các đoạn đường hàn có giá trị θ tính theo công thức (I.40) nhỏ hơn 15° hoặc lớn hơn 60°;
c) Khi phay đầu ống được liên kết (xem Hình I.9f), cũng như trong các liên kết có ống cắm xuyên qua lỗ vào thanh cái: toàn bộ chiều dài đường hàn;
d) Khi các thanh xiên giao nhau, nếu xét liên kết một thanh xiên xuyên qua (không/bị gián đoạn trên đường giao nhau) thanh xiên khác (bị gián đoạn): toàn bộ chiều dài đoạn giao nhau các thanh xiên.
Các đoạn còn lại của đường hàn được coi như là đường hàn đối đầu.
Góc θ được xác định theo công thức:
|
| (I.40) |
βin = din/D là tỉ số đường kính trong của ống được liên kết và đường kính thanh cái (khi liên kết vào bề mặt phẳng βin= 0 );
φd là tọa độ góc của ống được liên kết đối với điểm hàn đang xét, tính từ đường sinh ở đoạn đường hàn mũi.
Tổng chiều dài đoạn đường hàn gót Lwh và tổng chiều dài đoạn đường hàn mũi Lwt được xác định theo đồ thị trên Hình I.10, còn chiều dài tương đối của các đoạn đường hàn góc - theo các đồ thị trên Hình I.11.
Chiều dài các đoạn đường hàn đối đầu bằng: Lwah = Lwh − Lwfh ; Lwat = Lwt − Lwft .

CHÚ DẪN:
A Mũi
B Điểm bên
C Gót
Hình I.9 - Các sơ đồ tiết diện đường hàn trong nút liên kết hai ống

Hình I.10 - Các đồ thị để xác định tổng chiều dài đoạn đường hàn gót Lwh và tổng chiều dài đoạn đường hàn mũi Lwt trong liên kết hai ống thép

a) Cắt vuông góc đầu ống
Hình I.11 - Các đồ thị để xác định các hệ số Lwfh/Lwh và Lwft/ Lwt khi cắt ống

b) Cắt vát đầu ống
Hình I.11 (kết thúc)
I.3.2.6 Đối với nút của kết cấu rỗng (giàn phẳng hoặc không gian), gồm một thanh ống liên tục (Hình I.12b, c) tại nút với độ mỏng thành tương đối ( δ = D/t ) không nhỏ hơn 20 và không lớn hơn 60, hoặc gồm n thanh tiếp giáp (Hình I.13), thì tính toán chịu uốn cục bộ của thành thanh cánh cần được tiến hành đối với từng thanh thứ j ( dj ≥ 0,2D ) dưới tác dụng của tất cả các tổ hợp tải trọng tính toán trong các thanh của nút theo các công thức:
|
| (I.41) |
|
| (I.42) |
trong đó:
I là số thứ tự thanh tiếp giáp;
J là số thứ tự thanh tiếp giáp đang xét;
Ni , Nj là nội lực trong thanh tiếp giáp, lấy có kể đến dấu (dấu ‟dương” khi kéo, dấu ‟âm” khi nén);
μi là hệ số, được xác định như sau:
khi i = j : theo công thức
|
| (I.43) |
khi i # j : μi = 1
|
a) Nút chữ K |
b) Nút chữ X |
Hình I.12 - Nút giàn thép ống

CHÚ THÍCH: Trên hình không thể hiện mặt bích.
c) Nút gối tựa
Hình I.12 (kết thúc)

CHÚ DẪN:
A Mũi
B Điểm bên
C Gót.
Hình I.13 - Nút kết cấu không gian rỗng làm bằng thép ống
Trong công thức (I.43):
γdj là hệ số ảnh hưởng của dấu nội lực trong thanh tiếp giáp đang xét, lấy bằng 0,8 khi kéo và bằng 1,0 trong các trường hợp còn lại;
Lzj là chiều dài đoạn tiếp giáp của thanh đang xét (đối với thanh ống Lzj = dj/sin αj);
γzj là hệ số ảnh hưởng của chiều dài tiếp giáp của thanh đang xét, được xác định như sau:
- đối với các tiếp giáp không mặt trụ: theo công thức
|
| (I.44) |
- đối với các tiếp giáp mặt trụ (ống): γzj = 1;
bi hoặc bj là chiều rộng thanh tiếp giáp (đối với thanh ống bi = di hoặc bj = dj );
S là đặc trưng khả năng chịu lực của cánh, được xác định theo công thức:
|
| (I.45) |
trong đó:
δ = D/t là độ mỏng thành tương đối;
γDj là hệ số ảnh hưởng của lực dọc trong cánh:
- khi nén trong cánh: được xác định theo công thức
|
| (I.46) |
- trong các trường hợp còn lại: γDj = 1,
trong đó: Fj là lực dọc trong cánh ở phía thanh bụng chịu kéo;
γrj là hệ số ảnh hưởng của sự tăng cứng thành thanh cánh trong nút bằng các sườn cứng ngang, vách cứng và tương tự, lấy bằng:
1,25 - khi sườn cứng ngang tăng cứng/bố trí trong phạm vi đoạn tiếp giáp đang xét;
1,0 - trong các trường hợp còn lại;
εij là hệ số ảnh hưởng của vị trí mỗi thanh trong số các thanh tiếp giáp so với thanh đang xét thứ j, được xác định theo Bảng I.3; khi i = j thì εij = 1;
ψi = arcsin βwi,
khi βi≤ 0, 7: ψi = 1,05 βi (βixem Bảng I.3);
khi βi> 0, 7: ψi = 1,05 βi (1 + 0,15 βi8);
βwi = bwi/D;
bwi là chiều rộng phần ôm cánh bởi thanh tiếp giáp giữa các mép đường hàn (khi βi≤ 0,7 thì bwi = bi ; khi βi> 0, 7 thì bwi = bi − tdi ).
Bảng I.3 - Hệ số εij
| Vị trí trục thanh tiếp giáp so với trục thanh đang xét | Dạng nút | sij | εij |
| 1. Cùng phía với cánh | K | - |
|
| 2. Phía đối diện với cánh | X | 0 < sij < D |
|
| sij ≥ D | 0 | ||
| Các ký hiệu trong/bảng I.3 (xem Hình I.12): gij là khoảng cách nhỏ nhất dọc theo trục cánh giữa các đường hàn liên kết thanh đang xét và thanh bụng liền kề với cánh (khoảng cách thông thủy):
sij là khoảng cách dọc theo cánh giữa các điểm bên của thanh tiếp giáp đang xét và thanh tiếp giáp liền kề:
βi= bi/D là tỉ số chiều rộng tiếp giáp của thanh liền kề và đường kính thanh cánh (đối với thanh ống βi= di/D ). Giá trị ζij lấy bằng: khi gij ≤ 0 : ζij = 0, 6 ; khi 0 < gij ≤ D : ζij = 1− 0,4(1− gij/D)4; khi gij ≥ D : ζij = 1 . | |||
I.3.2.7 Khả năng chịu lực của thành các thanh bụng ống tại vị trí gần chỗ tiếp giáp với thanh cánh cần được kiểm tra theo công thức:
|
| (I.47) |
trong đó:
χ là hệ số, lấy bằng:
0,008 - đối với các thanh xiên tại nút chữ K mà khi tính toán liên kết của chúng giá trị ζij xác định theo Bảng I.3 nhỏ hơn 0,85;
0,015 - trong các trường hợp còn lại;
γcd là hệ số điều kiện làm việc, lấy bằng:
0,85 - đối với các thanh giao nhau tại nút với hai thanh khác có dấu nội lực khác nhau;
1,0 - trong các trường hợp còn lại.
I.3.2.8 Khi tăng cứng thành của thanh cánh tại nút (tại các vị trí tiếp giáp của thanh tiếp giáp đang xét) bằng/bản đệm với chiều dày ta nằm sát và được hàn với thanh cánh thì trong công thức (I.45) thay fyd bằng giá trị cường độ tính toán của vật liệu bản đệm fyd,a , thay t bằng chiều dày quy đổi tef có giá trị trị bằng:
- Đối với các thanh tiếp giáp chịu kéo: ta nhưng không lớn hơn 1,5t;
- Đối với các thanh tiếp giáp chịu nén: tmax + 0,25tmin , trong đó tmax là chiều dày lớn và tmin là chiều dày nhỏ trong số các chiều dày t và ta .
I.3.2.9 Độ bền của các đường hàn trong trường hợp cắt vát đầu ống cần được kiểm tra theo công thức:
|
| (I.48) |
trong đó:
fw là cường độ tính toán của liên kết hàn đối đầu theo giới hạn chảy.
I.3.2.10 Trong trường hợp, nếu thanh bụng đang xét giao nhau với m thanh liền kề khác trong vùng nút (xem Hình I.14) nằm trong cùng một mặt phẳng tiếp giáp (Φ = 0) thì trong các công thức (I.41) và (I.42) thay Ni sinαi= Nj sinαj bằng giá trị lực quy đổi Pefj , xác định theo công thức:
|
| (I.49) |
trong đó:
Pkj là giá trị Pj đối với các thanh liền kề giao nhau với thanh đang xét thứ j;
ξkj là tỉ lệ chu vi tiết diện thanh liền kề, ứng với đoạn giao nhau của nó với thanh đang xét (đối với thanh ống ξkj = Lkj /πdk ); ở đây Lkj là chiều dài đoạn chu vi tiết diện của thanh liền kề, ứng với đoạn giao nhau của nó với thanh đang xét, dk là đường kính ngoài của thanh ống.
Nếu đường hàn không ôm hết toàn bộ chu vi thanh liền kề (Hình I.14b) thì ξkj lấy bằng:
|
| (I.50) |
trong đó:
là tổng các đoạn chu vi tiết diện của thanh liền kề ứng với các đoạn đặt đường hàn.
Nếu gần một thanh bụng giao nhau với các thanh khác trong vùng nút không có hàn thêm với thanh cánh hoặc hàn ít (ξD < 0,25 , trong đó ξD là tỉ lệ chu vi tiết diện thanh ứng với đoạn hàn thêm của nó với thanh cánh) thì không cần kể đến tác động của thanh đó đến thanh cánh, nghĩa là giá trị Pj và Pi đối với nó không cần đưa vào công thức (I.41), còn khi có hàn toàn bộ thì thêm ξkjPkj giữa các thanh liền kề.
a) Hai thanh bụng giao nhau

b) Ba thanh bụng (có bóp bẹp đầu thanh đứng) giao nhau
CHÚ DẪN:
1 Thanh bụng ‟không liên tục” 3 Đoạn giao nhau của các thanh bụng
2 Thanh bụng ‟xuyên” 4 Thanh đứng
CHÚ THÍCH:
I Hình khai triển của ống 1
II Hình khai triển của ống 2
Hình I.14 - Nút giao không/bản mã có các thanh bụng giao nhau
I.3.2.11 Đối với mỗi thanh bụng giao nhau với các thanh khác tại nút, cần kiểm tra độ bền tổ hợp của các thành tất cả các thanh (thanh cánh và các thanh bụng) mà thanh đang xét giao nhau với chúng theo công thức:
|
| (I.51) |
trong đó:
Nj là lực trong thanh đang xét;
Sp là đặc trưng khả năng chịu lực của từng thanh cái (đóng vai trò là thanh cánh) (thanh cánh và các thanh bụng liền kề giao nhau với thanh đang xét), được xác định theo công thức (I.45), trong đó các giá trị δ, t và fyd lấy theo các giá trị tương ứng của thanh cái;
γDp là hệ số ảnh hưởng của lực dọc trong từng thanh cái, được xác định theo công thức (I.46), trong đó các giá trị F, A và fyd lấy theo các giá trị tương ứng của thanh cái;
ξpj là tỉ lệ chu vi tiết diện thanh đang xét, ứng với đường giao nhau của nó với từng thanh cái, được xác định theo công thức ξpj = Lpj/πdj , với Lpj là chiều dài đoạn chu vi tiết diện thanh đang xét ứng với đường giao nhau với thanh cái;
ψpj là góc ôm một nửa của từng thanh cái bởi sự tiếp giáp của thanh đang xét, được xác định theo công thức:
|
| (I.52) |
Dp là đường kính ngoài của thanh cái;
αpj là góc tiếp giáp của thanh đang xét với từng thanh cái.
I.3.3 Cấu tạo
I.3.3.1 Chiều dày thành của các ống dùng làm các thanh chịu lực chính (thanh cánh và thanh xiên gối tựa, các nhánh cột và tương tự) cần được lấy không nhỏ hơn 3 mm, dùng làm các thanh khác - không nhỏ hơn 2,5 mm.
I.3.3.2 Khi liên kết trực tiếp (không/bản mã) tại các nút, độ mỏng thành tương đối δ của các thanh cánh cần được lấy không lớn hơn các giá trị nêu trong/bảng I.4, độ mỏng thành tương đối của các thanh tiếp giáp δd - lấy tối đa, nhưng không lớn hơn các giá trị nêu trong/bảng I.4. Chiều dày thành của các thanh tiếp giáp cần được lấy không lớn hơn chiều dày thành của các thanh cánh.
Bảng I.4 - Độ mỏng thành tương đối
| Giới hạn chảy của thép fy, MPa | Độ mỏng thành tương đối của | ||
| thanh cánh, | thanh tiếp giáp, δd = d/td | ||
| chịu nén | chịu kéo | ||
| ≤ 295 | 30 | 90 | 90 |
| > 295 và ≤ 390 | 35 | 80 | 90 |
| > 390 | 40 | 70 | 90 |
| CHÚ THÍCH 1: Các giá trị δ nêu trong/bảng I.4 đối với các thanh cánh là các giá trị định hướng và không loại trừ việc cần kiểm tra độ bền của nút; CHÚ THÍCH 2: Đối với các thanh tiếp giáp chịu nén với các giá trị δd nêu trong/bảng I.4 thì không cần kiểm tra ổn định cục bộ của thành của chúng. | |||
I.3.3.3 Với các nút không/bản mã, đường kính ống của các thanh bụng cần được lấy không nhỏ hơn 0,3 lần đường kính thanh cánh và không lớn hơn đường kính thanh cánh.
Phụ lục K
(tham khảo)
Dầm bụng lỗ và dầm bụng mảnh
K.1 Dầm bụng lỗ
K.1.1 Dầm bụng lỗ (là dầm có bụng được khoét lỗ) được thiết kế bằng thép chữ I cán (với chiều cao tiết diện không nhỏ hơn 200 mm) làm bằng thép có giới hạn chảy đến 440 MPa.
Mức độ khai triển của thép cán (tỉ số chiều cao của dầm khai triển và chiều cao chữ I ban đầu) lấy không lớn hơn 1,5.
Liên kết hàn của bụng cần được thực hiện bằng đường hàn đối đầu thấu suốt chiều dày.
K.1.2 Tính toán độ bền của dầm chịu uốn trong mặt phẳng/bụng (Hình K.1) được thực hiện theo các công thức:
− Đối với các điểm ở các góc lỗ khoét, gần nhất so với các cánh của chữ T:
|
| (K.1) |
− Đối với các điểm gần nhất nằm ở mặt trên cánh của chữ T phía trên các lỗ khoét:
|
| (K.2) |
|
| (K.3) |
trong đó:
M là mô men uốn trong tiết diện dầm;
tw là chiều dày bụng dầm;
V l à lực cắt trong tiết diện dầm;
Vs là lực cắt trong tiết diện dầm tại khoảng cách (c + s − 0,5a) tính từ gối tựa (xem Hình K.1);
Wx là mô men chống uốn bản thân của dầm chữ I khai triển tại tiết diện có lỗ (tiết diện thực) đối với trục x-x (khi tính tiết diện theo điểm 2: Wx = Ix/d2 ; khi tính tiết diện theo điểm 4: Wx = Ix/d4 , trong đó d2, d4 là các khoảng cách từ trọng tâm tiết diện đến điểm 2 và điểm 4 tương ứng);
Wmax, Wmin là các mô men chống uốn lớn nhất và nhỏ nhất của tiết diện chữ T.

a) Bụng có lỗ 6 cạnh

b) Bụng có lỗ tròn
Hình K.1 - Sơ đồ đoạn dầm bụng lỗ
K.1.3 Khi xác định khả năng chịu lực của dầm bụng lỗ tại các điểm 2 và 4:
|
| (K.4) |
|
| (K.5) |
trong đó:
M là mô men uốn trong tiết diện dầm;
V1, V2 là các lực cắt chịu bởi tiết diện chữ T trên và chữ T dưới;
N là lực dọc trong tiết diện dầm;
Ix là mô men quán tính của chữ I khai triển tại tiết diện dầm có lỗ (tiết diện thực) đối với trục x-x;
An là diện tích tiết diện chữ I khai triển tại tiết diện dầm có lỗ (tiết diện thực);
W1,min , W2,min là các mô men chống uốn nhỏ nhất của tiết diện chữ T trên và chữ T dưới tương ứng;
a là chiều rộng lanh tô của bụng dầm;
d2, d4 là các khoảng cách từ trọng tâm tiết diện đến điểm 2 và điểm 4 tương ứng.
K.1.4 Khi xác định khả năng chịu lực của dầm bụng lỗ tại các điểm 1 và 3:
|
| (K.6) |
|
| (K.7) |
trong đó:
M, V1, V2 , N, Ix , An, W1,min , W2,min , a lấy như ở K.1.3;
d1, d3 là các khoảng cách từ trọng tâm tiết diện đến điểm 1 và điểm 3 tương ứng.
K.1.5 Tính toán ổn định của dầm được thực hiện theo 8.4.1; khi đó các đặc trưng hình học của dầm được tính đối với tiết diện có lỗ. Ổn định của dầm được coi là đảm bảo nếu thỏa mãn các yêu cầu trong 8.4.4 và 8.4.5.
K.1.6 Tại các tiết diện gối tựa, nếu bụng có hef/tw > 40 thì nó cần được tăng cứng/bằng các sườn cứng và được tính toán theo 8.5.17; khi đó ở tiết diện gối cần lấy c ≥ 250 mm (xem Hình K.1).
K.1.7 Bụng dầm tại vùng phía trên phải được kiểm tra ổn định theo công thức:
|
| (K.8) |
Ứng suất tiếp tại lanh tô của bụng dầm được tính theo công thức:
|
| (K.9) |
trong đó:
V là lực cắt tại tiết diện của lanh tô đang xét;
tw là chiều dày bụng dầm;
a là chiều rộng lanh tô của bụng dầm;
s là bước lỗ của bụng dầm;
hef là khoảng cách giữa các trọng tâm của các chữ T.
Ứng suất tiếp tới hạn được tính theo công thức:
|
| (K.10) |
trong đó:
α là góc khoét lỗ của bụng dầm (xem Hình K.1);
σcr là ứng suất pháp tới hạn, được tính theo công thức:
|
| (K.11) |
trong đó:
φ là hệ số ổn định, được xác định theo 7.1.3 với độ mảnh λ = L/(0,289tw sinα), trong đó L = L1 + L2 là chiều cao lỗ của bụng dầm (xem Hình 26).
Khi tính toán bụng của dầm có khoét lỗ tròn hoặc lỗ ô van ở bụng thì tại vùng lanh tô sử dụng các kích thước hình học của lục giác đều nội tiếp trong đường tròn có đường kính 2a (xem Hình K.1b).
Chỉ được đặt các tải trọng tập trung tại các tiết diện dầm không/bị giảm yếu bởi lỗ khoét.
Chiều cao bụng của tiết diện chữ T chịu nén cần thỏa mãn các yêu cầu trong 7.3.2, trong đó lấy
= 1,4 trong công thức (28).
K.1.8 Độ võng dầm bụng lỗ sáu cạnh đều có chiều cao lỗ d = 0,667h và tỉ số L/hef ≥ 12 (với L là nhịp dầm) cần được xác định theo công thức:
|
| (K.12) |
trong đó:
là độ võng dầm tính theo thuyết uốn (có kể đến Im);
Af là diện tích phần cánh chữ T phía trên lỗ, được tính theo công thức:
|
| (K.13) |
η = 2/(s a − 1) là khoảng cách tương đối thông thủy giữa các lỗ, với a là khoảng cách thông thủy giữa các lỗ liền kề tại mức trục trung hòa và s là bước lỗ (xem Hình K.1);
α(η) là hàm số của η :
|
| (K.14) |
Mô men quán tính của tiết diện Im được tính theo công thức:
|
| (K.15) |
K.2 Dầm bụng mảnh
K.2.1 Dầm không liên tục bụng mảnh tiết diện chữ I đối xứng, chịu tải trọng tĩnh và uốn trong mặt phẳng/bụng, thì được sử dụng khi chịu tải trọng (tương đương với tải trọng phân bố đều) đến 50 kN/m và được thiết kế bằng thép có giới hạn chảy đến 345 MPa.
K.2.2 Ổn định của dầm bụng mảnh được đảm bảo hoặc bởi việc thực hiện các yêu cầu 8.4.4 hoặc bởi liên kết của cánh chịu nén có độ mảnh quy ước
không vượt quá 0,21 (trong đó bf là chiều rộng cánh chịu nén).
K.2.3 Tỉ số chiều rộng phần vươn cánh chịu nén trên chiều dày của nó lấy không lớn hơn ![]()
K.2.4 Tỉ số các diện tích tiết diện của cánh và bụng αf = Af/Aw (với Af = bftf và Aw = twhw ) không được vượt quá giá trị giới hạn αfu xác định theo công thức:
|
| (K.16) |
K.2.5 Đoạn bụng dầm trên gối tựa cần được tăng cứng/bằng sườn cứng gối tựa hai bên và tính toán theo 8.5.17.
Trong khoảng không nhỏ hơn chiều rộng sườn và không lớn hơn
tính từ sườn gối tựa cần bố trí sườn cứng hai bên bổ sung với kích thước phù hợp với K.2.9.
K.2.6 Ứng suất cục bộ σloctrong/bụng dầm đã được xác định theo công thức (46) không được lớn hơn 0,75fyd, khi đó giá trị Lef cần được tính theo công thức (47).
K.2.7 Khi xác định độ võng của dầm, mô men quán tính của tiết diện nguyên của dầm cần được nhân với hệ số α = 1,2 - 0,033
đối với dầm có sườn cứng trong nhịp và với hệ số
đối với dầm không có sườn cứng trong nhịp.
K.2.8 Độ bền của dầm không liên tục tiết diện chữ I đối xứng chịu tải trọng tĩnh, uốn trong mặt phẳng/bụng, được tăng cứng chỉ bằng các sườn cứng ngang (Hình K.2), có độ mảnh quy ước của bụng
, cần được kiểm tra theo công thức:
|
| (K.17) |
trong đó:
М và V là giá trị mô men và lực cắt trong tiết diện đang xét của dầm;
Мu là giá trị giới hạn của mô men, được tính theo công thức:
|
| (K.18) |
Vu là giá trị giới hạn của lực cắt, được tính theo công thức:
|
| (K.19) |
trong đó:
tw và hw là chiều dày và chiều cao bản bụng;
Af là diện tích tiết diện bản cánh dầm;
τcr, μ lần lượt là ứng suất tiếp tới hạn và tỉ số các kích thước ô bản bụng, được xác định theo 8.5.3;
β là hệ số, được tính theo công thức:
|
| (K.20) |
trong đó:
![]()
Wmin là mô men chống uốn nhỏ nhất (đối với trục bản thân song song với cánh dầm) của tiết diện chữ T gồm cánh chịu nén của dầm và phần bụng với chiều cao
nối vào cánh này;
а là bước sườn cứng ngang.

Hình K.2 - Sơ đồ dầm bụng mảnh
K.2.9 Sườn cứng ngang có tiết diện đã chọn không nhỏ hơn giá trị nêu trong 8.5.9 cần được tính toán ổn định như thanh chịu lực nén N, với N xác định theo công thức:
|
| (K.21) |
trong đó: tất cả các ký hiệu lấy theo K.2.8.
Giá trị N lấy không nhỏ hơn giá trị của tải trọng tập trung đặt phía trên sườn.
Chiều dài tính toán của thanh lấy bằng Lef = hw (1 − β) , nhưng không nhỏ hơn 0,7 hw .
Sườn cứng hai bên đối xứng cần được tính toán chịu nén đúng tâm, sườn cứng một bên - chịu nén lệch tâm với độ lệch tâm bằng khoảng cách từ trục bụng đến trọng tâm tiết diện tính toán của thanh.
Tiết diện tính toán của thanh bao gồm tiết diện của sườn cứng và các dải bụng rộng
ở mỗi bên của sườn.
K.2.10 Đối với dầm trên Hình K.1 có độ mảnh quy ước của bụng
, khi có tác dụng của tải trọng phân bố đều hoặc khi có từ 5 tải trọng tập trung như nhau đặt cách nhau và cách gối tựa những khoảng đều nhau, thì không cần tăng cứng/bụng/bằng các sườn cứng ngang trong nhịp, khi đó tải trọng cần được đặt đối xứng đối với mặt phẳng bụng.
Độ bền của dầm nêu trên cần được kiểm tra theo công thức:
|
| (K.22) |
trong đó:
δ là hệ số kể đến ảnh hưởng của lực cắt đến khả năng chịu lực của dầm và được xác định theo công thức
(trong đó L là nhịp dầm).
Khi đó, lấy chiều dày cánh ![]()
K.2.11 Độ bền tiết diện của dầm chịu tải trọng chất không đều cần được kiểm tra theo các công thức:
|
| (K.23) |
|
| (K.24) |
|
| (K.25) |
trong đó:
М và V là mô men và lực cắt trong tiết diện đang xét của dầm;
Мu là mô men giới hạn, được tính theo công thức:
|
| (K.26) |
Vu là lực cắt giới hạn, tính bằng Niutơn (N), được tính theo công thức:
|
| (K.27) |
fyf và fyw tính bằng megapascan (MPa).
K.2.12 Khi tải trọng truyền lên cánh trên, cần có giải pháp cấu tạo để loại trừ sự xuất hiện độ lệch tâm vượt quá 12 chiều dày bụng.
K.2.13 Độ võng ngang/ban đầu của bụng dầm (so với mặt phẳng thẳng đứng) không được vượt quá giá trị ![]()
K.2.14 Mối nối hàn bụng dầm trong nhà máy cần được bố trí cách sườn gối tựa một khoảng không nhỏ hơn 3hw .
Phụ lục L
(quy định)
Bu lông neo
L.1 Yêu cầu chung
L.1.1 Các bu lông neo được dùng để neo giữ các kết cấu xây dựng và thiết bị vào các cấu kiện bê tông và bê tông cốt thép (móng, sàn chịu lực, tường và kết cấu tương tự).
L.1.2 Khi nhiệt độ đốt nóng/bê tông của kết cấu (mà bu lông neo vào) lớn hơn 50 °C thì trong tính toán phải kể đến ảnh hưởng của nhiệt độ đến các đặc trưng độ bền của vật liệu làm kết cấu, bu lông, keo chuyên dụng, v.v.
Nhiệt độ công nghệ tính toán được quy định trong nhiệm vụ thiết kế.
L.1.3 Bu lông làm việc trong điều kiện môi trường xâm thực và độ ẩm nâng cao cần được thiết kế có kể đến các yêu cầu bổ sung được quy định trong TCVN 12251:2020.
L.1.4 Khi có cơ sở phù hợp, cho phép sử dụng các phương pháp khác để neo giữ thiết bị vào móng.
L.2 Các loại cơ bản và phạm vi áp dụng của bu lông neo
L.2.1 Theo giải pháp сấu tạo, bu lông có thể có dạng: chữ L, có bản neo, thẳng và đầu côn (Bảng L.1).
L.2.2 Theo phương pháp lắp đặt, bu lông được chia thành: bu lông lắp đặt trước và bu lông lắp đặt sau.
Bu lông lắp đặt trước được lắp đặt trước khi đổ bê tông của cấu kiện mà nó ngàm vào (bu lông chữ L và bu lông có bản neo).
Bu lông lắp đặt sau được lắp đặt vào lỗ khoan (bu lông thẳng và bu lông đầu côn).
Bu lông thẳng được neo vào lỗ khoan bằng keo tổng hợp hoặc sử dụng máy rung, còn bu lông đầu côn - bằng neo chuyên dụng hoặc hỗn hợp vữa xi măng cát.
L.2.3 Theo điều kiện sử dụng, bu lông được chia thành: bu lông tính toán và bu lông cấu tạo.
Bu lông tính toán là bu lông chịu tải trọng xuất hiện trong quá trình sử dụng kết cấu xây dựng hoặc quá trình làm việc của thiết bị.
Bu lông cấu tạo là bu lông được dự tính để neo giữ kết cấu xây dựng và thiết bị mà độ ổn định chống lật hoặc chống trượt của chúng được đảm bảo bởi trọng lượng/bản thân của kết cấu hoặc của thiết bị. Bu lông cấu tạo dùng để căn chỉnh vị trí kết cấu xây dựng và thiết bị trong thời gian lắp dựng và để đảm bảo sự làm việc ổn định của kết cấu và thiết bị trong quá trình sử dụng, cũng như để ngăn ngừa sự chuyển dịch ngẫu nhiên của chúng.
Cho phép sử dụng/bu lông lắp đặt sau vào lỗ khoan để neo giữ kết cấu xây dựng và thiết bị không chịu tải trọng động đáng kể.
Để neo giữ các cột chịu lực của nhà và công trình có cầu trục làm việc, cũng như nhà cao tầng và công trình cao (ống khói, tháp thông gió, v.v.) chịu tải trọng gió là chính, không cho phép sử dụng/bu lông lắp đặt vào lỗ khoan, trừ bu lông đầu côn được lắp đặt bằng phương pháp rung với chiều sâu ngàm không nhỏ hơn 20d.
L.3 Vật liệu
L.3.1 Việc lựa chọn mác thép, cấu tạo và kích thước của bu lông neo nên được tiến hành theo các tiêu chuẩn tương ứng phù hợp.
L.3.2 Cường độ chịu kéo tính toán của bu lông neo lấy theo 6.5.
L.4 Tính toán
L.4.1 Tất cả bu lông cần được siết trước với một lực F, lấy bằng 0,75P đối với tải trọng tĩnh và bằng 1,1P đối với tải trọng động, trong đó P là tải trọng tính toán tác dụng lên bu lông.
Đối với kết cấu xây dựng, cho phép dùng các dụng cụ cầm tay để siết bu lông.
L.4.2 Diện tích tiết diện ngang của bu lông (theo ren) được xác định theo điều kiện độ bền:
|
| (L.1) |
trong đó:
k0 là hệ số, lấy bằng:
1,35 - đối với tải trọng động;
1,05 - đối với tải trọng tĩnh.
Đối với các công trình cao (ống khói, tháp thải khí, v.v.) mà tải trọng tính toán của chúng là tải trọng gió, lấy k0 = 1,18 .
Đối với bu lông tháo được có bản neo lắp đặt tự do trong ống, hệ số k0 lấy bằng 1,15 đối với tải trọng động.
L.4.3 Khi có tác dụng của tải trọng động, tiết diện bu lông đã xác định được theo công thức (L.1) cần được kiểm tra chịu mỏi theo công thức:
|
| (L.2) |
trong đó:
χ là hệ số tải trọng, lấy theo Bảng L.1 phụ thuộc vào dạng/bu lông;
ζ là hệ số, lấy theo Bảng L.2 phụ thuộc vào đường kính bu lông;
α là hệ số, kể đến số chu kỳ tải trọng và lấy theo Bảng L.3.
Bảng L.1 - Các thông số tính toán
| Các thông số | Bu lông | ||||
| chữ L | không tháo được có bản neo | tháo được có bản neo | thẳng | đầu côn | |
| 1. Đường kính bu lông (theo ren), db, mm | ≥ 12; ≤ 48 | ≥ 12; ≤ 140 | ≥ 56; ≤ 125 | ≥ 12; ≤ 48 | ≥ 6; ≤ 48 |
| 2. Sơ đồ |
|
|
|
|
|
| 3. Chiều sâu ngàm tối thiểu, H | 25db | 15db | 30db | 10db | 10db (8db)1) |
| 4. Khoảng cách tối thiểu giữa các bu lông | 6db | 8db | 10db | 5db | 8db |
| 5. Khoảng cách tối thiểu từ trục bu lông đến mép móng | 4db | 6db | 6db | 5db | 8db |
| 6. Hệ số tải trọng χ | 0,4 | 0,4 | 0,25 | 0,6 | 0,55 |
| 7. Hệ số ổn định lực siết k | 1,9 (1,3) 2) | 1,9 (1,3) 2) | 1,5 | 2,5 (2,0) 2) | 2,3 (1,8) 2) |
| 1) Trong ngoặc đơn là giá trị chiều sâu ngàm tối thiểu đối với bu lông có đường kính nhỏ hơn 16 mm. 2) Trong ngoặc đơn là giá trị hệ số k cho tải trọng tĩnh. | |||||
| CHÚ THÍCH 1: Chiều sâu ngàm tối thiểu H trong Bảng L.1 được tính với bê tông có cấp cường độ chịu nén B12,5 (theo TCVN 5574:2018) và thép mác S235C (theo TCVN 9986-2:2013 (ISO 630-2:2011) hoặc tương đương. CHÚ THÍCH 2: Trường hợp các neo được kết hợp thành nhóm neo thông qua bản neo chung thì cho phép giảm khoảng cách giữa các neo và giảm chiều sâu ngàm chúng vào bê tông dựa vào kết quả tính toán chịu nhổ của toàn bộ nhóm neo. | |||||
Bảng L.2 - Hệ số ζ
| Đường kính bu lông, db, mm | Giá trị ζ | Đường kính bu lông, db, mm | Giá trị ζ |
| ≥ 10; ≤ 12 | 0,9 | ≥ 56; ≤ 72 | 1,8 |
| 16 | 1,0 | ≥ 80; ≤ 90 | 2,0 |
| ≥ 20; ≤ 24 | 1,1 | ≥ 100; ≤ 125 | 2,2 |
| ≥ 30; ≤ 36 | 1,3 | 140 | 2,5 |
| ≥ 42; ≤ 48 | 1,6 |
|
|
Bảng L.3 - Hệ số α
| Số chu kỳ tải trọng | Giá trị α |
| 0,05×106 | 3,15 |
| 0,2×106 | 2,25 |
| 0,8×106 | 1,57 |
| 2,0×106 | 1,25 |
| ≥ 5,0×106 | 1,00 |
L.4.4 Khi tính toán liên kết các kết cấu xây dựng, lực siết trước và diện tích tiết diện bu lông cần được xác định như đối với tải trọng tĩnh (Bảng L.1) nếu trong hồ sơ thiết kế không có chỉ dẫn riêng.
L.4.5 Khi lắp đặt nhóm bu lông để neo giữ thiết bị, giá trị tải trọng tính toán P cho một bu lông cần được xác định đối với bu lông chịu lực lớn nhất theo công thức:
|
| (L.3) |
trong đó:
N là lực dọc tính toán;
M là mô men uốn tính toán;
N là tổng số bu lông;
y1 là khoảng cách từ trục quay đến bu lông nằm xa nhất trong vùng chịu kéo của mối nối;
yi là khoảng cách từ trục quay đến bu lông thứ i; khi đó kể đến cả bu lông chịu kéo và bu lông chịu nén.
Trục quay được phép lấy là đường đi qua trọng tâm mặt phẳng gối tựa thiết bị hoặc chân đế cột.
L.4.6 Đối với cột thép tiết diện rỗng có các chân đế riêng/biệt, giá trị tải trọng kéo tính toán tác dụng lên một bu lông được xác định theo công thức:
|
| (L.4) |
trong đó:
N và M là lực dọc và mô men uốn trong cột tiết diện rỗng ở cao độ mặt móng;
b là khoảng cách từ trọng tâm tiết diện cột đến trục của nhánh chịu nén;
n là số bu lông neo giữ một nhánh cột;
h là khoảng cách giữa các trục của các nhánh cột.
L.4.7 Đối với chân đế cột thép đặc, giá trị tải trọng tính toán tác dụng lên một bu lông chịu kéo được xác định theo công thức:
|
| (L.5) |
trong đó:
Rb là cường độ chịu nén tính toán của bê tông (xem TCVN 5574:2018);
bs là chiều rộng/bản đế chân cột;
x là chiều cao vùng chịu nén của bê tông dưới bản đế chân cột, được xác định theo TCVN 5574:2018 như đối với cấu kiện chịu nén lệch tâm;
N là lực dọc tính toán trong cột;
n là số bu lông chịu kéo nằm ở một phía chân đế cột.
L.4.8 Lực siết trước bu lông F1 để chịu lực ngang (lực trượt) trong mặt phẳng gối tựa thiết bị lên móng được xác định theo công thức:
|
| (L.6) |
trong đó:
k là hệ số ổn định lực siết, lấy theo Bảng L.1;
V là lực trượt tính toán, tác dụng trong mặt phẳng gối tựa;
N là lực dọc tính toán;
µ là hệ số ma sát, lấy bằng 0,25;
n là số bu lông.
L.4.9 Khi có tác dụng đồng thời của lực đứng và lực ngang (lực trượt), giá trị lực siết F0 phải được xác định theo công thức:
|
| (L.7) |
L.4.10 Đối với cột thép tiết diện rỗng có các chân đế riêng/biệt dưới các nhánh cột, lực trượt V tác dụng trong mặt phẳng mô men uốn được phép chịu bởi lực ma sát dưới nhánh chịu nén của cột và thỏa mãn điều kiện:
|
| (L.8) |
trong đó: các ký hiệu lấy như trong công thức (L.4).
Đối với cột thép tiết diện đặc, cũng như cột thép tiết diện rỗng (cột giằng) khi lực trươt V tác dụng vuông góc với mặt phẳng mô men uốn thì cho phép lực trượt được tiếp nhận bởi lực ma sát (do tác dụng của lực dọc và lực siết bu lông) thỏa mãn điều kiện:
|
| (L.9) |
trong đó:
µ là hệ số ma sát, lấy bằng 0,25;
n là số bu lông neo giữ nhánh chịu nén của cột hoặc là số bu lông chịu nén nằm ở một phía chân đế cột tiết diện đặc;
Asa là diện tích tiết diện một bu lông;
N là lực dọc tối thiểu ứng với tải trọng dùng để xác định lực trượt.
L.5 Yêu cầu cấu tạo
L.5.1 Chiều sâu ngàm tối thiểu của bu lông vào bê tông H đối với bê tông có cấp cường độ chịu nén B12,5 (theo TCVN 5574:2018) và thép mác S235C (theo TCVN 9986-2:2013 (ISO 630-2:2011)) hoặc mác tương đương lấy theo Bảng L.1.
Với mác thép khác hoặc cấp cường độ chịu nén khác của bê tông, chiều sâu ngàm tối thiểu H0 được xác định theo công thức:
|
| (L.10) |
trong đó:
m1 là tỉ số cường độ chịu kéo tính toán của bê tông/b12,5 và cường độ chịu kéo tính toán của bê tông đã chọn. Đối với bu lông có đường kính 24 mm và lớn hơn được lắp đặt vào lỗ khoan của móng đã hoàn thành, hệ số m1 được lấy bằng 1.
m2 là tỉ số cường độ chịu kéo tính toán của thép bu lông với mác đã chọn và cường độ chịu kéo tính toán của thép mác S235C (theo TCVN 9986-2:2013 (ISO 630-2:2011)) hoặc mác tương đương.
L.5.2 Chiều sâu ngàm bu lông vào bê tông cho phép lấy bằng:
15db - đối với bu lông cấu tạo dạng chữ L;
10db - đối với bu lông có bản neo;
5db - đối với bu lông lắp đặt vào lỗ khoan.
L.5.3 Khoảng cách tối thiểu cho phép giữa trục các bu lông và khoảng cách từ trục các bu lông ngoài cùng đến mép móng được nêu trong/bảng L.1.
Khoảng cách giữa các bu lông, cũng như từ trục các bu lông ngoài cùng đến mép móng được phép giảm bớt 2db khi tăng tương ứng chiều sâu ngàm bu lông lên 5db.
Khoảng cách từ trục bu lông đến mép móng được phép giảm thêm 1db khi có biện pháp bố trí đặc biệt đối với cốt thép theo mép đứng của móng ngay tại chỗ đặt bu lông.
Trong tất cả các trường hợp, khoảng cách từ trục bu lông đến mép móng không được nhỏ hơn:
100 mm - đối với bu lông có đường kính đến 30 mm;
150 mm - đối với bu lông có đường kính lớn hơn 30 mm đến 48 mm;
200 mm - đối với bu lông có đường kính lớn hơn 48 mm.
CHÚ THÍCH: Khi lắp đặt bu lông cặp đôi (ví dụ: để neo giữ các cột thép chịu lực của nhà và công trình), cần bố trí bản neo chung có khoảng cách giữa các lỗ bu lông/bằng khoảng cách thiết kế giữa trục các bu lông, hoặc lắp đặt các bu lông đơn lẻ với chiều sâu ngàm khác nhau.
Phụ lục M
(tham khảo)
Tính chất cơ học của một số loại thép nước ngoài
Bảng M.1 - Tính chất cơ học của thép các bon
| Tiêu chuẩn | Ký hiệu | Chiều dày tiết diện, mm | Giới hạn chảy, MPa | Giới hạn bền kéo, MPa | Độ giãn dài tương đối, % | Gia công nhiệt |
|
| nhỏ nhất | nhỏ nhất | nhỏ nhất | nhỏ nhất |
| |||
| 1 | 2 | 3 | 4 | 5 | 6 | 7 |
|
| EN 10025-2:2004 | S235JR S235J0 | < 3 | 235 | 360÷ 510 | - | AR, N hoặc TMCP |
|
| ≥ 3; ≤ 16 | 235 | 26 L, 24 T |
| ||||
| > 16; ≤ 40 | 225 | 26 L, 24 T |
| ||||
| S275JR S275J0 | < 3 | 275 | 430 ÷ 580 | - | AR, N hoặc TMCP |
| |
| ≥ 3; ≤ 16 | 275 | 410 ÷ 560 | 23 L, 21 T |
| |||
| > 16; ≤ 40 | 265 | 23 L, 21 T |
| ||||
| S355JR S355J0 | < 3 | 355 | 510÷ 680 | - | AR, N hoặc TMCP |
| |
| ≥ 3; ≤ 16 | 355 | 470÷ 630 | 22 L, 20 T |
| |||
| > 16; ≤ 40 | 345 | 22 L, 20 T |
| ||||
| ASTM A36 / A36M-19 | Grade 250 | ≤ 20 | 250 | 400÷ 550 | 23 | SR hoặc không |
|
| ≥ 20; ≤ 40 |
| ||||||
| ASTM A283 / A283M-13 | Grade C | - | 205 | - | 25 | - |
|
| Grade D | - | 230 | 415 ÷ 550 | 23 | - |
| |
| ASTM A529 / A529M-14 | Grade 345 | ≤ 25 | 345 | 450÷ 690 | 21 | - |
|
| Grade 380 | ≤ 25 | 380 | 485÷ 690 | 20 | - |
| |
| ASTM A573 / A573M-20 | Grade 400 | ≤ 40 | 220 | 400 ÷ 490 | 24 | - |
|
| Grade 450 | ≤ 40 | 240 | 450 ÷ 530 | 23 | - |
| |
| Grade 485 | ≤ 40 | 290 | 485 ÷ 620 | 21 | - |
| |
| ASTM A1011 / A1011M-14 | Grade 205, SS | ≥ 0,65; < 1,6 | 205 | 340 L | 21 L | HR |
|
| ≥ 1,6; < 2,5 | 205 | 24 L |
| ||||
| ≥ 2,5; < 6,0 | 205 | 25 L |
| ||||
| Grade 230,SS | ≥ 0,65; < 1,6 | 230 | 360 L | 18 L | HR |
| |
| ≥ 1,6; < 2,5 | 22 L |
| |||||
| ≥ 2,5; < 6,0 | 23 L |
| |||||
| Grade 275, SS | ≥ 0,65; < 1,6 | 275 | 380 L | 15 L | HR |
| |
| ≥ 1,6; < 2,5 | 20 L |
| |||||
| ≥ 2,5; < 6,0 | 21 L |
| |||||
| Grade 340,SS | ≥ 0,65; < 1,6 | 340 | 450 L | 11 L | HR |
| |
| ≥ 1,6; < 2,5 | 16 L |
| |||||
| ≥ 2,5; < 6,0 | 17 L |
| |||||
| Grade 380, SS | ≥ 0,65; < 1,6 | 380 | 480 | 9 L | HR |
| |
| ≥ 1,6; < 2,5 | 14 L |
| |||||
| ≥ 2,5; < 6,0 | 15 L |
| |||||
| Grade 250,Type 1, SS | ≥ 0,65; < 1,6 | 250 | 365 L | 17 L | HR |
| |
| ≥ 1,6; < 2,5 | 21 L |
| |||||
| ≥ 2,5; < 6,0 | 22 L |
| |||||
| Grade 250, Type 2, SS | ≥ 0,65; < 1,6 | 250 | 400÷550 L | 16 L | HR |
| |
| ≥ 1,6; < 2,5 | 20 L |
| |||||
| ≥ 2,5; < 6,0 | 21 L |
| |||||
| Grade 310,Type 1, SS | ≥ 0,65; < 1,6 | 310 | 410 L | 13 L | HR |
| |
| ≥ 1,6; < 2,5 | 18 L |
| |||||
| ≥ 2,5; < 6,0 | 19 L |
| |||||
| Grade 310,Type 2, SS | ≥ 0,65; < 1,6 | 310÷410 | 410 L | 14 L | HR |
| |
| ≥ 1,6; < 2,5 | 19 L |
| |||||
| ≥ 2,5; < 6,0 | 20 L |
| |||||
| JIS G 3136:2012 | SN400A | ≥ 6; < 16 | 235 | 400÷510 | 17 | N, T hoặc TMCP |
|
| ≥ 16; ≤ 40 | 235 | 21 |
| ||||
| SN400B | ≥ 6; < 12 | 235 | 400÷510 | 18 | N, T hoặc TMCP |
| |
| ≥ 12; ≤ 16 | 235÷355 | 18 |
| ||||
| ≥ 16; ≤ 40 | 22 |
| |||||
| JIS G 3136:2012 | SN400C | ≥ 6; < 16 | - | 400÷510 | 18 | N, T hoặc TMCP |
|
| ≥ 16; ≤ 40 | 235÷355 | 22 |
| ||||
| SN490C | ≥ 6; < 16 | - | 490÷610 | 17 | N, T hoặc TMCP |
| |
| ≥ 16; ≤ 40 | 325÷445 | 21 |
| ||||
| SN490B | ≥ 6; < 12 | 325 | 490÷610 | 17 | N, T hoặc TMCP |
| |
| ≥ 12; ≤ 16 | 325÷445 | 17 |
| ||||
| > 16; ≤ 40 | 325÷445 | 21 |
| ||||
| JIS G 3101:2015 | SS330 | ≤ 16 | 205 | 330÷430 | - | HR |
|
| > 16; ≤ 40 | 195 | - |
| ||||
| SS400 | ≤ 16 | 245 | 400÷510 | 17 | HR |
| |
| > 16; ≤ 40 | 235 | 21 |
| ||||
| SS490 | ≤ 16 | 285 | 490÷610 | - | HR |
| |
| > 16; ≤ 40 | 275 | - |
| ||||
| SS540 | ≤ 16 | 400 | 540 | - | HR |
| |
| > 16; ≤ 40 | 390 | - |
| ||||
| JIS G 3106:2008 | SM400A SM400B SM400C | ≤ 5 | 245 | 400÷510 | 23 | N, QHT, T hoặc TMCP |
|
| > 5; ≤ 16 | 18 |
| |||||
| > 16; ≤ 40 | 22 |
| |||||
| SM490A SM490B SM490C | ≤ 5 | 325 | 490÷610 | 22 | N, QHT, T hoặc TMCP |
| |
| > 5; ≤ 16 | 325 | 17 |
| ||||
| > 16; ≤ 40 | 315 | 21 |
| ||||
| > 16; ≤ 40 | 315 | 21 |
| ||||
| SM490YA SM490YB | ≤ 5 | 365 | 490÷610 | 19 | N, QHT, T hoặc TMCP |
| |
| > 5; ≤ 16 | 365 | 15 |
| ||||
| > 16; ≤ 40 | 355 | 19 |
| ||||
| SM520B SM520C | ≤ 5 | 365 | 520÷640 | 19 | N, QHT, T hoặc TMCP |
| |
| > 5; ≤ 16 | 365 | 15 |
| ||||
| > 16; ≤ 40 | 355 | 19 |
| ||||
| SM570 | ≤ 16 | 460 | 570÷720 | 19 | N, QHT, T hoặc TMCP |
| |
| > 16; ≤ 40 | 450 | 26 |
| ||||
| KS D 3503:2016 | SS235 | ≤ 16 | 235 | 330÷450 | - | - | |
| > 16; ≤ 40 | 225 | - | - | ||||
| > 40; ≤ 100 | 205 | - | - | ||||
| SS275 | ≤ 16 | 275 | 410÷550 | - | - | ||
| > 16; ≤ 40 | 265 | - | - | ||||
| > 40; ≤ 100 | 245 | - | - | ||||
| SS315 | ≤ 16 | 315 | 490÷630 | - | - | ||
| > 16; ≤ 40 | 305 | - | - | ||||
| > 40; ≤ 100 | 295 | - | - | ||||
| SS410 | ≤ 16 | 410 | 540 | - | - | ||
| > 16; ≤ 40 | 400 | - | - | ||||
| > 40 | - | - | - | ||||
| SS450 | ≤ 16 | 450 | 590 | - | - | ||
| > 16; ≤ 40 | 440 | - | - | ||||
| > 40 | - | - | - | ||||
| KS D 3515:2014 | SM275A SM275B SM275C SM275D | ≤ 16 | 275 | 410÷550 | - | - | |
| > 16; ≤ 40 | 265 | - | - | ||||
| > 40; ≤ 75 | 255 | - | - | ||||
| SM355A SM355B SM355C SM355D | ≤ 16 | 355 | 490÷630 | - | - | ||
| > 16; ≤ 40 | 345 | - | - | ||||
| > 40; ≤ 75 | 335 | - | - | ||||
| SM420A SM420B SM420C SM420D | ≤ 16 | 420 | 520÷570 | - | - | ||
| > 16; ≤ 40 | 410 | - | - | ||||
| > 40; ≤ 75 | 400 | - | - | ||||
| SM460B SM460C | ≤ 16 | 460 | 570÷720 | - | - | ||
| > 16; ≤ 40 | 450 | - | - | ||||
| > 40; ≤ 75 | 430 | - | - | ||||
| KS D 3861:2018 | SN275A | ≥ 6; ≤ 40 | 275 | 410÷520 | - | - | |
| > 40; ≤ 100 | 265 | - | - | ||||
| SN275B | ≥ 6; ≤ 40 | 275 | 410÷520 | - | - | ||
| > 40; ≤ 100 | 255 | - | - | ||||
| KS D 3861:2018 | SN275C | ≥ 6; ≤ 40 | 275 | 410÷520 | - | - | |
| > 40; ≤ 100 | 255 | - | - | ||||
| SN355B | ≥ 6; ≤ 40 | 355 | 490÷610 | - | - | ||
| > 40; ≤ 100 | 335 | - | - | ||||
| SN355C | ≥ 6; ≤ 40 | 355 | 490÷610 | - | - | ||
| > 40; ≤ 100 | 335 | - | - | ||||
| SN460B | ≥ 6; ≤ 40 | 460 | 570÷720 | - | - | ||
| > 40; ≤ 100 | 440 | - | - | ||||
| SN460C | ≥ 6; ≤ 40 | 460 | 570÷720 | - | - | ||
| > 40; ≤ 100 | 440 | - | - | ||||
| GB 700-2006 | Q195 | ≤ 16 | - | 315÷390 | 33 | HR, CtR hoặc N | |
| > 16; ≤ 40 | - | 32 | |||||
| Q215A | ≤ 16 | 215 | 335÷410 | 31 | HR hoặc CtR | ||
| > 16; ≤ 40 | 205 | 30 | |||||
| Q215B | ≤ 16 | 215 | 335÷410 | 31 | HR, CtR hoặc N | ||
| > 16; ≤ 40 | 205 | 30 | |||||
| Q235A | ≤ 16 | 235 | 375÷460 | 26 | HR hoặc CtR | ||
| > 16; ≤ 40 | 225 | 25 | |||||
| Q235B, Q235C, Q235D | ≤ 16 | 235 | 375÷460 | 26 | HR, CtR hoặc N | ||
| > 16; ≤ 40 | 225 | 25 | |||||
| Q255A | ≤ 16 | 255 | 410÷510 | 24 | HR hoặc CtR | ||
| > 16; ≤ 40 | 245 | 23 | |||||
| Q255B | ≤ 16 | 255 | 410÷510 | 24 | HR, CtR hoặc N | ||
| > 16; ≤ 40 | 245 | 23 | |||||
| Q275 | ≤ 16 | 275 | 490÷610 | 20 | HR, CtR hoặc N | ||
| > 16; ≤ 40 | 265 | 19 | |||||
| GB 711-88 | 08F | ≤ 60 | - | 315 | 34 | N, A, T hoặc HR | |
| 08 | ≤ 60 | - | 325 | 33 | N, A, T hoặc HR | ||
| 10F | ≤ 60 | - | 32 | ||||
| 10 | ≤ 60 | - | 32 | ||||
| 15F | ≤ 60 | - | 355 | 30 | N, A, T hoặc HR | ||
| 15 | ≤ 60 | - | 370 | 30 | N, A, T hoặc HR | ||
| 20F | ≤ 60 | - | 380 | 27 | N, A, T hoặc HR | ||
| GB 711-88 | 20 | ≤ 60 | - | 410 | 28 | N, A, Thoặc HR | |
| 20Mn | ≤ 60 | - | 450 | 24 | N, A, T hoặc HR | ||
| 25 | ≤ 60 | - | 450 | 24 | N, A, T hoặc HR | ||
| 25Mn | ≤ 60 | - | 490 | 22 | N, A, T hoặc HR | ||
| 30 | ≤ 60 | - | 490 | 22 | N, A, T hoặc HR | ||
| 30Mn | ≤ 60 | - | 540 | 20 | N, A, T hoặc HR | ||
| 35 | ≤ 60 | - | 530 | 20 | N, A, T hoặc HR | ||
| 40 | ≤ 60 | - | 570 | 19 | N, A, T hoặc HR | ||
| 40Mn | ≤ 60 | - | 590 | 17 | N, A, T hoặc HR | ||
| 45 | ≤ 60 | - | 600 | 17 | N, A, T hoặc HR | ||
| 50 | ≤ 60 | - | 625 | 16 | N, A, T hoặc HR | ||
| 50Mn | ≤ 60 | - | 650 | 13 | N, A, T hoặc HR | ||
| 55 | ≤ 60 | - | 645 | 13 | N, A, T hoặc HR | ||
| 60 | ≤ 60 | - | 675 | 12 | N, A, T hoặc HR | ||
| 60Mn | ≤ 60 | - | 695 | 11 | N, A, T hoặc HR | ||
| 65 | ≤ 60 | - | 695 | 10 | N, A, T hoặc HR | ||
| GB/T 3524-92 | Q195 | - | 195 | 315÷430 | 33 | HR | |
| Q215A | - | 215 | 335÷450 | 31 | HR | ||
| Q215B | - | ||||||
| Q235A | - | 235 | 375÷500 | 26 | HR | ||
| Q235B | - | ||||||
| Q255A | - | 255 | 410÷550 | 24 | HR | ||
| Q255B | - | ||||||
| Q275 | - | 275 | 490÷650 | 20 | HR | ||
| AS/NZS 3678:2016 | 250 | ≥ 12; ≤ 20 | 250 | 410 | 22 | - | |
| > 20; ≤ 32 | - | ||||||
| > 32; ≤ 50 | - | ||||||
| 300 | ≥ 12; ≤ 20 | 300 | 430 | 21 | - | ||
| > 20; ≤ 32 | 280 | - | |||||
| > 32; ≤ 50 | 280 | - | |||||
| AS/NZS 3678:2016 | 350 | ≥ 12; ≤ 20 | 350 | 450 | 20 | - | |
| > 20; ≤ 32 | 340 | - | |||||
| > 32; ≤ 50 | 340 | - | |||||
| 400 | ≥ 12; ≤ 20 | 380 | 480 | 18 | - | ||
| > 20; ≤ 32 | 360 | - | |||||
| > 32; ≤ 50 | 360 | - | |||||
| 450 | ≥ 12; ≤ 20 | 450 | 520 | 16 | - | ||
| > 20; ≤ 32 | 420 | - | |||||
| > 32; ≤ 50 | 400 | - | |||||
| Các ký hiệu trong cột (7): A - annealed; AR - as rolled; CtR - control rolled; HR - hot rolled; N - normalized; QHT - quench-hardened and tempered; SR - stress relieved; T - tempered; TMCP - thermo-mechanical control processed. | |||||||
| CHÚ THÍCH: Để có thêm thông tin đầy đủ, xem trong các tiêu chuẩn sản phẩm tương ứng. | |||||||
Bảng M.2 - Tính chất cơ học của thép hợp kim thấp
| Tiêu chuẩn | Ký hiệu | Chiều dày tiết diện, mm | Giới hạn chảy, MPa | Giới hạn bền kéo, MPa | Độ giãn dài tương đối, % | Gia công nhiệt |
| nhỏ nhất | nhỏ nhất | nhỏ nhất | nhỏ nhất | |||
| 1 | 2 | 3 | 4 | 5 | 6 | 7 |
| ASTM A242 / A242M-13 | Type 1 | ≤ 20 | 345 | 480 | 21 | - |
| > 20; ≤ 40 | 315 | 460 | 21 | - | ||
| ASTM A572 / A572M-15 | Grade 290, Type 1, 2, 3, 5 | - | 290 | 415 | 24 | - |
| Grade 345, Type 1, 2, 3, 5 | - | 345 | 450 | 21 | - | |
| Grade 380,Type 1, 2, 3, 5 | - | 380 | 485 | 20 | - | |
| Grade 415, Type 1, 2, 3, 5 | - | 415 | 520 | 18 | - | |
| Grade 450,Type 1, 2, 3, 5 | - | 450 | 550 | 17 | - | |
| ASTM A588 / A588M-15 | Grade A | ≤ 100 | 345 | 485 | 21 | - |
| Grade B | ≤ 100 | 345 | 485 | 21 | - | |
| Grade K | ≤ 100 | 345 | 485 | 21 | - | |
| ASTM A633 / A633M-13 | Grade A | ≤ 100 | 290 | 430÷570 | 23 | N |
| Grade C | ≤ 65 | 345 | 485÷620 | 23 | N | |
| Grade D | ≤ 65 | 345 | 485÷620 | 23 | N | |
| Grade E | ≤ 100 | 415 | 550÷690 | 23 | N hoặc NN | |
| ASTM A656 / A656M-13 | Grade 345, Type 3, 7, 8 | ≤ 50 | 345 | 415 | 23 | HR |
| Grade 415, Type 3, 7, 8 | ≤ 40 | 415 | 485 | 20 | HR | |
| Grade 485, Type 3, 7, 8 | ≤ 25 | 485 | 550 | 17 | HR | |
| ASTM A1011 / A1011M-14 | Grade 310,Class 1, HSLAS | ≤ 2,5 | 310 | 410 L | 23 L | HR |
| > 2,5 | 310 | 25 L | ||||
| Grade 340,Class 2, HSLAS | ≤ 2,5 | 340 | 410 L | 20 L | HR | |
| > 2,5 | 340 | 22 L | ||||
| Grade 340,Class 1, HSLAS | ≤ 2,5 | 340 | 450 L | 20 L | HR | |
| > 2,5 | 340 | 22 L | ||||
| Grade 380,Class 2, HSLAS | ≤ 2,5 | 380 | 450 L | 18 L | HR | |
| ASTM A1011 / A1011M-14 | Grade 380, Class 1, HSLAS | ≤ 2,5 | 380 | 480 L | 18 L | HR |
| > 2,5 | 380 | 20 L | ||||
| ASTM A1011 / A1011M-14 | Grade 410,Class 2, HSLAS | ≤ 2,5 | 410 | 480 L | 16 L | HR |
| > 2,5 | 410 | 18 L | ||||
| Grade 410,Class 1, HSLAS | ≤ 2,5 | 410 | 520 L | 16 L | HR | |
| > 2,5 | 410 | 18 L | ||||
| Grade 450,Class 2, HSLAS | ≤ 2,5 | 450 | 520 L | 14 L | HR | |
| > 2,5 | 450 | 16 L | ||||
| Grade 450, Class 1, HSLAS | ≤ 2,5 | 450 | 550 L | 14 L | HR | |
| > 2,5 | 450 | 16 L | ||||
| Grade 480,Class 1, HSLAS | ≤ 2,5 | 480 | 585 L | 12 L | HR | |
| > 2,5 | 480 | 14 L | ||||
| GB/T 1591-2008 | Q295A, Q295B | ≤ 16 | 295 | 390÷570 | 23 | HR, CtR, N hoặc NT |
| > 16; ≤ 35 | 275 | |||||
| > 35; ≤ 50 | 255 | |||||
| Q345A, Q345B | ≤ 16 | 345 | 470÷630 | 21 | HR, CtR, N hoặc NT | |
| > 16; ≤ 35 | 325 | |||||
| > 35; ≤ 50 | 295 | |||||
| Q345C, Q345D, Q345E | ≤ 16 | 345 | 470÷630 | 22 | HR, CtR, N hoặc NT | |
| > 16; ≤ 35 | 325 | |||||
| > 35; ≤ 50 | 295 | |||||
| Q420A, Q420B | ≤ 16 | 420 | 520÷680 | 18 | HR, CtR, N hoặc NT | |
| > 16; ≤ 35 | 400 | |||||
| > 35; ≤ 50 | 380 | |||||
| Q420C | ≤ 16 | 420 | 520÷680 | 19 | HR, CtR, N, NT hoặc QT | |
| > 16; ≤ 35 | 400 | |||||
| > 35; ≤ 50 | 380 | |||||
| Q420D | ≤ 16 | 420 | 520÷680 | 19 | HR, CtR, N, NT hoặc QT | |
| > 16; ≤ 35 | 400 | |||||
| > 35; ≤ 50 | 380 | |||||
| Q420E | ≤ 16 | 420 | 520÷680 | 19 | HR, CtR, N, NT hoặc QT | |
| > 16; ≤ 35 | 400 | |||||
| > 35; ≤ 50 | 380 | |||||
| GB/T 16270-1996 | Q420C, Q420D, Q420E | ≤ 50 | 420 | 520÷670 | 18 T | CtR, N, QT hoặc NT |
| Các ký hiệu trong cột (7): CtR - control rolled; HR - hot rolled; N - normalized; NN - double normalized; NT - normalized and tempered; QT - quenched and tempered. | ||||||
| CHÚ THÍCH: Để có thêm thông tin đầy đủ, xem trong các tiêu chuẩn sản phẩm tương ứng. | ||||||
Bảng M.3 - Tính chất cơ học của thép cán tấm, cán dải rộng đa năng và phôi làm định hình uốn theo GOST 27772-2021
| Ký hiệu | Chiều dày tiết diện, mm | Giới hạn chảy, MPa | Giới hạn bền kéo, MPa | Độ giãn dài tương đối, % |
| nhỏ nhất | nhỏ nhất | nhỏ nhất | nhỏ nhất | |
| 1 | 2 | 3 | 4 | 5 |
| C235 | ≥ 2; ≤ 2,9 | 235 | 360 | - |
| ≥ 3; ≤ 4 | 235 | 360 | - | |
| C245 | ≥ 2; ≤ 2,9 | 245 | 370 | - |
| ≥ 3; ≤ 4 | 245 | 370 | 26 | |
| > 4; ≤ 10 | 235 | 370 | 25 | |
| > 10; ≤ 40 | 235 | 370 | 25 | |
| C255 | ≥ 2; ≤ 3,9 | 255 | 380 | - |
| ≥ 4; ≤ 10 | 245 | 380 | 25 | |
| > 10; ≤ 20 | 245 | 370 | 25 | |
| > 20; ≤ 40 | 235 | 370 | 25 | |
| C345 | ≥ 2; ≤ 3,9 | 345 | 490 | - |
| ≥ 4; ≤ 10 | 345 | 490 | 21 | |
| > 10; ≤ 20 | 325 | 470 | 21 | |
| > 20; ≤ 40 | 305 | 460 | 21 | |
| > 40; ≤ 60 | 285 | 450 | 21 | |
| > 60; ≤ 80 | 275 | 440 | 21 | |
| > 80; ≤ 160 | 265 | 430 | 21 | |
| C345K | ≥ 4; ≤ 10 | 345 | 470 | 20 |
| C355 | ≥ 4; ≤ 16 | 355 | 470 | 21 |
| > 16; ≤ 40 | 345 | 470 | 21 | |
| > 40; ≤ 60 | 335 | 470 | 21 | |
| > 60; ≤ 80 | 325 | 460 | 21 | |
| > 80; ≤ 100 | 315 | 460 | 21 | |
| > 100; ≤ 160 | 295 | 460 | 21 | |
| C355-1; | ≥ 8; ≤ 16 | 345 | 470 | 21 |
| > 16; ≤ 40 | 345 | 470 | 21 | |
| > 40; ≤ 50 | 335 | 470 | 21 | |
| C355П | ≥ 8; ≤ 16 | 355 | 470 | 21 |
| > 16; ≤ 40 | 345 | 470 | 21 | |
| C390-1 | ≥ 8; ≤ 50 | 390 | 520÷680 | 20 |
| C390 | ≥ 8; ≤ 40 | 390 | 520÷680 | 20 |
| > 40; ≤ 60 | 385 | 520÷680 | 20 | |
| > 60; ≤ 80 | 375 | 510÷670 | 20 | |
| > 80; ≤ 100 | 365 | 510÷670 | 20 | |
| > 100; ≤ 160 | 360 | 51 ÷670 | 20 | |
| C440 | ≥ 8; ≤ 40 | 440 | 540÷700 | 20 |
| > 8; ≤ 60 | 430 | 540÷700 | 20 | |
| > 60; ≤ 80 | 420 | 540÷700 | 20 | |
| > 8; ≤ 100 | 410 | 530÷690 | 20 | |
| > 100; ≤ 120 | 400 | 530÷690 | 20 | |
| C550 | ≥ 8; ≤ 50 | 540 | 640÷800 | 17 |
| C590 | ≥ 8; ≤ 50 | 590 | 685÷845 | 15 |
| CHÚ THÍCH 1: Dấu “-” biểu thị “không quy định và không kiểm soát”. CHÚ THÍCH 2: Để có thêm thông tin đầy đủ, xem trong GOST 27772-2021. | ||||
Bảng M.4 - Tính chất cơ học của thép cán hình và cán thanh theo GOST 27772-2021
| Ký hiệu | Chiều dày tiết diện, mm | Giới hạn chảy, MPa | Giới hạn bền kéo, MPa | Độ giãn dài tương đối, % |
| nhỏ nhất | nhỏ nhất | nhỏ nhất | nhỏ nhất | |
| 1 | 2 | 3 | 4 | 5 |
| C245 | ≥ 4; ≤ 10 | 245 | 370 | 25 |
| > 10; ≤ 20 | 245 | 370 | 24 | |
| > 20; ≤ 40 | 235 | 370 | 24 | |
| C255 | ≥ 4; ≤ 10 | 255 | 380 | 25 |
| > 10; ≤ 20 | 245 | 370 | 25 | |
| > 20; ≤ 40 | 235 | 370 | 24 | |
| > 40; ≤ 60 | 225 | 370 | 23 | |
| C345 | ≥ 4; ≤ 10 | 345 | 480 | 21 |
| > 10; ≤ 20 | 325 | 470 | 21 | |
| > 20; ≤ 40 | 305 | 460 | 21 | |
| > 40; ≤ 60 | 285 | 450 | 20 | |
| C345К | ≥ 4; ≤ 10 | 345 | 470 | 20 |
| C355 | ≥ 4; ≤ 10 | 355 | 470 | 21 |
| > 10; ≤ 20 | 355 | 470 | 21 | |
| > 20; ≤ 40 | 345 | 470 | 21 | |
| > 40; ≤ 60 | 335 | 470 | 21 | |
| C355-1 | ≥ 8; ≤ 20 | 355 | 480 | 21 |
| > 20; ≤ 40 | 345 | 480 | 21 | |
| C390 C390-1 | ≥ 4; ≤ 8 | 390 | 520 | 20 |
| > 8; ≤ 10 | 390 | 520 | 20 | |
| > 10; ≤ 20 | 380 | 500 | 20 | |
| > 20; ≤ 40 | 370 | 490 | 20 | |
| > 40; ≤ 60 | 360 | 510 | 19 | |
| C440 | ≥ 4; ≤ 10 | 440 | 590 | 19 |
| > 10; ≤ 20 | 435 | 580 | 18 | |
| > 20; ≤ 40 | 430 | 570 | 18 | |
| > 40; ≤ 60 | 420 | 560 | 18 | |
| CHÚ THÍCH: Để có thêm thông tin đầy đủ, xem GOST 27772-2021. | ||||
Bảng M.5 - Tính chất cơ học của thép chữ I cánh song song theo GOST R 57837-2017
| Ký hiệu | Chiều dày tiết diện, mm | Giới hạn chảy, MPa | Giới hạn bền kéo, MPa | Độ giãn dài tương đối, % |
| nhỏ nhất | nhỏ nhất | nhỏ nhất | nhỏ nhất | |
| 1 | 2 | 3 | 4 | 5 |
| C255Б; | ≤ 10 | 255 | 380 | 25 |
| > 10; ≤ 20 | 245 | 370 | 25 | |
| > 20; ≤ 40 | 235 | 370 | 24 | |
| > 40; ≤ 100 | 225 | 370 | 23 | |
| > 100 | 205 | 360 | 22 | |
| C345Б; | ≤ 10 | 345 | 480 | 21 |
| > 10; ≤ 20 | 325 | 470 | 21 | |
| > 20; ≤ 40 | 305 | 460 | 21 | |
| > 40; ≤ 100 | 285 | 450 | 20 | |
| > 100 | 275 | 440 | 19 | |
| C355Б; | ≤ 20 | 355 | 480 | 22 |
| > 20; ≤ 40 | 345 | 470 | 22 | |
| > 40; ≤ 60 | 335 | 470 | 21 | |
| > 60; ≤ 80 | 325 | 460 | 20 | |
| > 80; ≤ 100 | 315 | 460 | 19 | |
| > 100 | 295 | 450 | 18 | |
| C390Б | ≤ 20 | 390 | 520 | 20 |
| > 20,≤ 40 | 375 | 520 | 20 | |
| > 40,≤ 60 | 360 | 510 | 19 | |
| > 60,≤ 80 | 345 | 500 | 19 | |
| > 80; ≤ 100 | 330 | 490 | 18 | |
| > 100 | 315 | 480 | 18 | |
| C440Б | ≤ 20 | 440 | 590 | 19 |
| > 20; ≤ 40 | 425 | 580 | 18 | |
| > 40; ≤ 60 | 410 | 570 | 17 | |
| > 60; ≤ 80 | 395 | 560 | 17 | |
| > 80; ≤ 100 | 380 | 550 | 17 | |
| > 100 | 365 | 540 | 17 | |
| CHÚ THÍCH: Để có thêm thông tin đầy đủ, xem GOST R 57837-2017. | ||||
Thư mục tài liệu tham khảo
[1] QCVN 02:2022/BXD, Quy chuẩn kỹ thuật quốc gia về số liệu điều kiện tự nhiên dùng trong xây dựng
[2] QCVN 03:2022/BXD, Quy chuẩn kỹ thuật quốc gia về phân cấp công trình xây dựng phục vụ thiết kế xây dựng
[3] AS/NZS 3678:2016, Structural steel - Hot-rolled plates, floorplates and slabs (Thép kết cấu - Tấm, tấm sàn, bản cán nóng)
[4] ASTM A36/A36M-19, Standard Specification for Carbon Structural Steel (Yêu cầu kỹ thuật đối với thép các bon kết cấu)
[5] ASTM A242/A242M-13, Standard Specification for High-Strength Low-Alloy Structural Steel (Yêu cầu kỹ thuật đối với thép kết cấu hợp kim thấp cường độ cao)
[6] ASTM A283/A283M-13, Standard Specification for Low and Intermediate Tensile Strength Carbon Steel Plates (Yêu cầu kỹ thuật đối với thép tấm các bon cường độ chịu kéo thấp và trung/bình)
[7] ASTM A529/A529M-14, Standard Specification for High-Strength Carbon-Manganese Steel of Structural Quality (Yêu cầu kỹ thuật đối với thép các bon - măng gan cường độ cao chất lượng kết cấu)
[8] ASTM A572/A572M-15, Standard Specification for High-Strength Low-Alloy Columbium-Vanadium Structural Steel (Yêu cầu kỹ thuật đối với thép kết cấu Columbium-Vanadium hợp kim thấp cường độ cao)
[9] ASTM A573/A573M- 20,Standard Specification for Structural Carbon Steel Plates (Yêu cầu kỹ thuật đối với thép tấm các bon kết cấu)
[10] ASTM A588/A588M-15, Standard Specification for High-Strength Low-Alloy Structural Steel, up to 50 ksi [345 MPa] Minimum Yield Point, with Atmospheric Corrosion Resistance (Yêu cầu kỹ thuật đối với thép kết cấu hợp kim thấp cường độ cao với giới hạn chảy tối thiểu đến 345 MPa, với độ bền chống ăn mòn thời tiết)
[11] ASTM A633/A633M-13, Standard Specification for Normalized High-Strength Low-Alloy Structural Steel Plates (Yêu cầu kỹ thuật đối với thép tấm kết cấu hợp kim thấp cường độ cao thường hóa)
[12] ASTM A656/A656M-13, Standard Specification for Hot-Rolled Structural Steel, High-Strength Low- Alloy Plate with Improved Formability (Yêu cầu kỹ thuật đối với thép kết cấu cán nóng, tấm hợp kim thấp cường độ cao với tính dễ tạo hình nâng cao)
[13] ASTM A1011/A1011M-14, Standard Specification for Steel, Sheet and Strip, Hot-Rolled, Carbon, Structural, High-Strength Low-Alloy, High-Strength Low-Alloy with Improved Formability, and Ultra- High Strength (Yêu cầu kỹ thuật đối với thép, lá và bang, cán nóng, các bon, kết cấu, hợp kim thấp cường độ cao, hợp kim thấp cường độ cao với tính tạo hình nâng cao, và cường độ siêu cao)
[14] EN 10025-2:2004, Hot rolled products of structural steels - Part 2: Technical delivery conditions for non-alloy structural steels (Sản phẩm thép kết cấu cán nóng - Phần 2: Điều kiện kỹ thuật khi cung cấp đối với thép kết cấu không hợp kim)
[15] GB/T 700-2006, Carbon structural steels (Thép các bon kết cấu)
[16] GB/T 711-88, Hot-rolled Quality Carbon Structural Steel Plates, Sheets and Wide Strips (Thép các bon kết cấu cán nóng dạng tấm dày, tấm mỏng và băng rộng)
[17] GB/T 1591-2008, High Strength Low Alloy Structural Steels (Thép kết cấu hợp kim thấp cường độ cao)
[18] GB/T 3524-1992, Hot-rolled carbon and low alloy structural steel strips (Thép các bon kết cấu cán nóng dạng băng làm bằng thép các bon và thép hợp kim thấp)
[19] GB/T 16270-1996, High-strength structural steel plates and strips (Thép kết cấu cường độ cao dạng tấm và băng)
[20] GOST 24379.0-2012, Болты фундаментные. Общие технические условия (Bu lông móng. Yêu cầu kỹ thuật chung)
[21] GOST 24379.1-2012, Болты фундаментные. Конструкция и размеры (Bu lông móng. Cấu tạo và kích thước)
[22] GOST 27751-2014, Надежность строительных конструкций и оснований. Основные положения (Độ tin cậy của kết cấu xây dựng và nền. Quy định chung)
[23] GOST 27772-2021, Прокат для строительных стальных конструкций. Общие технические условия (Sản phẩm thép cán cho kết cấu thép. Điều kiện kỹ thuật chung)
[24] GOST R 57837-2017, Двутавры стальные горячекатаные с параллельными гранями полок. Технические условия (Thép cán hình chữ I cánh song song. Điều kiện kỹ thuật)
[25] ISO 2560,Welding consumables - Covered electrodes for manual metal arc welding of non-alloy and fine grain steels - Classification (Vật liệu hàn - Que hàn có vỏ bọc dùng cho hàn hồ quang tay thép không hợp kim và thép hạt mịn - Phân loại)
[26] ISO 17659-2009, Welding - Multilingual terms for welded joints with illustrations (Hàn - Thuật ngữ đã ngôn ngữ về liên kết hàn)
[27] ISO 17893, Steel wire ropes - Vocabulary, designation and classification, Cáp sợi thép - Từ vựng, ký hiệu và phân loại
[28] JIS G 3101:2015, Rolled steels for general structure (Thép cán cho kết cấu thông dụng)
[29] JIS G 3106:2008, Rolled steels for welded structure (Thép cán cho kết cấu hàn)
[30] JIS G 3136:2012, Rolled steels for building structure (Thép cán cho kết cấu nhà)
[31] KS D 3503:2016, Rolled steels for general structure (Thép cán cho kết cấu thông dụng)
[32] KS D 3515:2014, Rolled steels for welded structure (Thép cán cho kết cấu hàn)
[33] KS D 3861:2018,Rolled steels for building structure (Thép cán cho kết cấu nhà)
[34] SP 16.13330.2017, Стальные конструкции. Актуализированная редакция СНиП II-23-81* (с Изменениями N 1, 2, 3, 4, 5) (Kết cấu thép. Phiên bản cập nhật của SNiP II-23-81 (và các Sửa đổi 1, 2, 3, 4, 5)
[35] SP 43.13330.2012, Сооружения промышленных предприятий. Актуализированная редакция СНиП 2.09.03-85 (с Изменениями N 1, 2, 3) (Công trình của các cơ sở công nghiệp. Phiên bản cập nhật của SNiP 2.09.03-85 (và các Sửa đổi 1, 2, 3)
[36] SP 294.1325800.2017, Конструкции стальные. Правила проектирования (с Изменениями N 1, 2, 3) (Kết cấu thép. Quy tắc thiết kế (và các Sửa đổi 1, 2, 3)
[37] TCXDVN 314:2005, Kim loại hàn - Thuật ngữ và định nghĩa
Bạn chưa Đăng nhập thành viên.
Đây là tiện ích dành cho tài khoản thành viên. Vui lòng Đăng nhập để xem chi tiết. Nếu chưa có tài khoản, vui lòng Đăng ký tại đây!













































































































































































