- Tổng quan
- Nội dung
- Tiêu chuẩn liên quan
- Lược đồ
- Tải về
Tiêu chuẩn quốc gia TCVN 5746:2024 Đất, đá xây dựng - Phân loại
| Số hiệu: | TCVN 5746:2024 | Loại văn bản: | Tiêu chuẩn Việt Nam |
| Cơ quan ban hành: | Bộ Khoa học và Công nghệ | Lĩnh vực: | Xây dựng |
| Trích yếu: | Đất, đá xây dựng - Phân loại | ||
|
Ngày ban hành:
Ngày ban hành là ngày, tháng, năm văn bản được thông qua hoặc ký ban hành.
|
24/12/2024 |
Hiệu lực:
|
Đã biết
|
| Người ký: | Đang cập nhật |
Tình trạng hiệu lực:
Cho biết trạng thái hiệu lực của văn bản đang tra cứu: Chưa áp dụng, Còn hiệu lực, Hết hiệu lực, Hết hiệu lực 1 phần; Đã sửa đổi, Đính chính hay Không còn phù hợp,...
|
Đã biết
|
TÓM TẮT TIÊU CHUẨN VIỆT NAM TCVN 5746:2024
Tiêu chuẩn quốc gia TCVN 5746:2024: Quy định mới về phân loại đất, đá xây dựng
Tiêu chuẩn quốc gia TCVN 5746:2024 về Đất, đá xây dựng - Phân loại được Bộ Xây dựng công bố, thay thế tiêu chuẩn trước đó TCVN 5746:1993. Tiêu chuẩn này được xây dựng nhằm cụ thể hóa cách thức phân loại đất và đá xây dựng để phục vụ cho các công tác khảo sát, thiết kế và xây dựng công trình. TCVN 5746:2024 được biên soạn theo mẫu GOST 25100-2020 và đã được Tổng cục Tiêu chuẩn Đo lường Chất lượng thẩm định.
Tiêu chuẩn này áp dụng cho tất cả các loại đất và đá xây dựng, giúp xác định các loại vật liệu cần thiết cho các công trình dân dụng và công nghiệp. Những đối tượng sử dụng tiêu chuẩn này sẽ bao gồm các kỹ sư, nhà thầu trong lĩnh vực xây dựng, cũng như các nhà nghiên cứu trong các ngành liên quan đến địa chất và xây dựng.
Trong tài liệu, nhằm hỗ trợ việc phân loại, nhiều thuật ngữ và định nghĩa mới được đưa ra, như "đất nhân tạo", "đá xây dựng", và các kiểu phân loại như "đất rời" và "đất dính". Ngoài ra, tiêu chuẩn cũng chỉ rõ cách biểu diễn và nhận diện các chủng loại đất và đá bằng các tiêu chí như tỷ lệ thành phần, cấu tạo và tính chất vật lý. Một số nhóm hạt được xác định rõ, bao gồm các kích thước và ký hiệu tổ chức, từ hòn lớn đến sét siêu nhỏ.
Chương trình phân loại đất, đá xây dựng thực hiện bằng cách chia các loại đất, đá thành nhóm, kiểu, loại, và dạng dựa trên đặc tính vật lý, hóa học và cấu tạo. Điều này tạo điều kiện thuận lợi cho việc nhận diện và gọi tên chính xác các loại đất, đá, từ đó giúp cho việc nghiên cứu và ứng dụng trong thực tế trở nên khoa học hơn.
Dựa trên từng nguyên tắc phân loại, các tiêu chuẩn chi tiết được xây dựng nhằm đảm bảo các chỉ tiêu về vật chất như cường độ chịu nén, độ ẩm và hàm lượng hữu cơ. Các thông số này sẽ cho thấy khả năng chịu lực, độ bền của đất và đá trong các trạng thái khác nhau, tạo cơ sở cho việc thiết kế và thi công công trình.
TCVN 5746:2024 có hiệu lực từ ngày ban hành và thay thế các tiêu chuẩn cũ, điều này càng làm nổi bật tầm quan trọng của việc cập nhật và nâng cao tiêu chuẩn kỹ thuật trong ngành xây dựng, đảm bảo tính nhất quán và đồng bộ cho các dự án trong tương lai. Những nhà thầu, kỹ sư trong ngành xây dựng cần nhanh chóng nắm bắt những thay đổi này để áp dụng linh hoạt và hiệu quả vào công việc của mình.
Tải tiêu chuẩn Việt Nam TCVN 5746:2024
TIÊU CHUẨN QUỐC GIA
TCVN 5746:2024
ĐẤT, ĐÁ XÂY DỰNG - PHÂN LOẠI
Soils and Rocks for construction – Classification
Lời nói đầu
TCVN 5746:2024 thay thế TCVN 5746:1993.
TCVN 5746:2024 được xây dựng trên cơ sở tham khảo GOST 25100-2020 Soils and Rocks for construction - Classification.
TCVN 5746:2024 do Viện Khoa học công nghệ xây dựng (Bộ Xây dựng) biên soạn, Bộ Xây dựng đề nghị, Tổng cục Tiêu chuẩn Đo lường Chất lượng thẩm định, Bộ Khoa học và Công nghệ công bố.
ĐẤT, ĐÁ XÂY DỰNG - PHÂN LOẠI
Soils and Rocks for construction - Classification
1 Phạm vi áp dụng
Tiêu chuẩn này áp dụng để phân loại cho tất cả các loại đất, đá xây dựng, phục vụ công tác khảo sát, thiết kế và xây dựng các loại công trình dân dụng và công nghiệp.
2 Tài liệu viện dẫn
Các tài liệu viện dẫn sau là cần thiết cho việc áp dụng tiêu chuẩn này. Đối với các tài liệu viện dẫn ghi năm công bố thì áp dụng phiên bản được nêu. Đối với các tài liệu viện dẫn không ghi năm công bố thì áp dụng phiên bản mới nhất, bao gồm cả các sửa đổi, bổ sung (nếu có).
TCVN 4197, Đất xây dựng - Phương pháp xác định giới hạn chảy và giới hạn dẻo trong phòng thí nghiệm;
TCVN 10324, Đá xây dựng - Phương pháp xác định độ bền nén một trục trong phòng thí nghiệm.
3 Thuật ngữ, định nghĩa
Trong tiêu chuẩn này sử dụng các thuật ngữ và định nghĩa sau:
3.1
Đất, đá xây dựng (soils and rocks for construction)
Tất cả các loại đất, đá nguồn gốc tự nhiên hoặc nhân tạo được sử dụng làm nền, vật liệu và môi trường xây dựng các loại công trình khác nhau.
3.2
Đất nhân tạo (anthropogenetic soil)
Đất xây dựng được hình thành do các hoạt động kinh tế, kỹ thuật của con người bằng các phương pháp khác nhau.
3.3
Đá (rock)
Đá xây dựng có liên kết kiến trúc cứng bền vững dạng kết tinh và/hoặc xi măng hóa.
3.4
Đất (soil)
Đất xây dựng có mối liên kết kiến trúc vật lý, hóa lý và cơ học giữa các hạt (tập hợp hạt) khoáng và một số hợp phần khác.
3.5
Đất dính (cohesive soil)
Đất có liên kết kiến trúc vật lý và hóa lý giữa các hạt.
3.6
Đất rời (cohesionless soil)
Đất có mối liên kết kiến trúc cơ học giữa các hạt và có tính tản rời ở trạng thái khô.
3.7
Đất loại sét (clayey soil)
Các loại đất dính (sét, sét pha, cát pha) có tính dẻo do chứa các hạt khoáng nhóm hạt bụi và sét.
3.8
Đất loại cát (đất cát) (sandy soil)
Đất khoáng rời, không dính có chứa hơn 50 % khối lượng các hạt kích thước từ 0,05 mm đến 2mm.
3.9
Đất trương nở (expansive soil)
Đất dính có khả năng tăng thể tích khi bị bão hòa nước và có biến dạng trương nở tương đối εsw ≥ 0,04 (trong điều kiện trương nở tự do) hay tăng áp lực trương nở (trong điều kiện trương nở hạn chế).
3.10
Đất khoáng (mineral soil)
Đất cấu tạo từ các chất vô cơ.
3.11
Đất khoáng - hữu cơ (organic mineral soil)
Đất chứa từ 3 % đến 50 % (theo khối lượng) vật chất hữu cơ.
3.12
Đất hữu cơ (organic soil)
Đất chứa không nhỏ hơn 50 % vật chất hữu cơ (tính theo khối lượng).
3.13
Đất bùn (mud)
Đất khoáng-hữu cơ hiện đại, chứa hơn 3 % (theo khối lượng) các vật chất hữu cơ, có chỉ số chảy IL (hay độ sệt B) > 1, hệ số rỗng e ≥ 0,9 và chứa hơn 30 % (theo) khối lượng các hạt nhỏ hơn 0,01 mm.
3.14
Than bùn (peat)
Đất hữu cơ, chứa không nhỏ hơn 50 % (theo khối lượng) vật chất hữu cơ, được thành tạo do kết quả tích tụ và phân hủy của các tàn tích hữu cơ, chủ yếu là thực vật ở các đầm lầy và khu vực bị hóa lầy.
3.15
Bùn thối (sapropel)
Trầm tích khoáng-hữu cơ hiện đại hoặc trầm tích hữu cơ của các hồ nước nước ngọt tù đọng (hoặc lấp) chứa hơn 10 % các chất hữu cơ (tính theo trọng lượng), có hệ số độ rỗng e > 3 và có chỉ số chảy IL (hay độ sệt B) > 0,75.
3.16
Đất thổ nhưỡng (agro-land)
Đất cấu tạo từ cả vật chất hữu cơ và vô cơ, có độ phì nhiêu, thường phân bố trên bề mặt đất và được sử dụng cho mục đích nông nghiệp.
3.17
Tính nứt nẻ của khối đá (fissure fracture of rock)
Đặc điểm cấu tạo của khối đá do sự có mặt của các vết nứt nguồn gốc khác nhau với kích thước, hình dáng, hướng và vật liệu lấp nhét khác nhau.
3.18
Phân loại đất, đá xây dựng (soil and rock clasification for construction)
Sắp xếp đất, đá xây dựng thành những nhóm có cùng tính chất theo một số tiêu chí phân loại phục vụ nghiên cứu và sử dụng.
3.19
Thành phần vật chất của đất, đá xây dựng (material composition of soil and rock for construction) Một chỉ tiêu biểu thị thành phần khoáng-hóa của các hợp phần rắn, lỏng, khí, sinh học tạo đất và đá.
3.20
Vật chất hữu cơ (organic matter)
Các hợp chất hữu cơ có nguồn gốc thực vật và/hoặc động vật, tham gia vào thành phần của đất, đá xây dựng.
3.21
Độ nhiễm mặn (salinity)
Đặc tính được xác định bởi số lượng muối hòa tan trong đất, đá.
3.22
Kiến trúc của đất (soil texture)
Tổ chức không gian được xác định bằng kích thước, hình dáng, đặc tính bề mặt, tương quan về lượng của các hợp phần của đất và đặc tính liên kết giữa chúng.
3.23
Cấu tạo của đất (soil structure)
Đặc điểm phân bố trong không gian của các thành phần tạo đất và sự sắp xếp qua lại giữa chúng. Cấu tạo là một trong những đặc điểm quan trọng của đất, nó phản ánh mức độ đồng chất, thế nằm và sự phân bố không gian của lớp đất.
3.24
Kích thước hạt (grain size)
Số đo độ lớn của các hạt (tập hợp hạt) tạo đất với giả thiết chúng tồn tại dưới dạng hình cầu, được biểu thị bằng độ lớn của đường kính quy đổi của chúng (theo nghĩa tương đối), tính bằng milimét (mm).
3.25
Thành phần hạt của đất (particle-size composition of soil)
Thành phần các cỡ hạt tạo đất có kích thước khác nhau, được biểu thị bằng tỷ lệ phần trăm theo khối lượng của các nhóm hạt có trong đất.
3.26
Nhóm hạt chính (primary fraction)
Nhóm hạt có lượng chiếm nhiều nhất tính theo khối lượng, quyết định tính chất xây dựng của đất.
3.27
Nhóm hạt phụ (secondary fraction)
Nhóm hạt tuy không quyết định nhưng có ảnh hưởng đến tính chất xây dựng của đất.
4 Nguyên tắc chung phân loại đất, đá xây dựng
4.1 Các đơn vị và nguyên tắc phân loại
Đất, đá xây dựng được phân chia và sắp xếp theo từng nhóm (được gọi là các đơn vị phân loại), thể hiện trong Bảng 1 và Phụ lục A.
Bảng 1 - Đơn vị và nguyên tắc phân loại
| Đơn vị phân loại | Nguyên tắc phân loại | |
| 1. Nhóm (Phụ nhóm) | Nhóm đá | Theo bản chất các mối liên kết kiến trúc của đất, đá. Nhóm đá có liên kết cứng kết tinh xi măng. Nhóm đất có liên kết keo nước, vật lý. |
| Nhóm đất (đất rời và đất dính) | ||
| 2. Kiểu (Phụ kiểu) | Theo nguồn gốc đất, đá. | |
| 3. Loại (Phụ loại) | Theo thành phần vật chất, thành phần hạt, thành phần thạch học. | |
| 4. Dạng | Theo các chỉ tiêu định lượng về thành phần, cấu tạo, trạng thái và tính chất của đất, đá. | |
4.2 Các nhóm hạt đất
Đất được cấu tạo từ các hạt (tập hợp hạt) có thành phần, hình dạng, kích thước khác nhau. Kích thước hạt là thông số cơ bản để gọi tên đất và chúng được nhóm lại theo từng khoảng kích thước ứng với bản chất cơ học. Bảng 2 chỉ ra kích thước các nhóm hạt đất và các ký hiệu biểu diễn chúng.
Bảng 2 - Các nhóm hạt đất
| Nhóm hạt | Phụ nhóm | Ký hiệu | Kích thước |
| 1. Hòn (tảng) |
| Bo | > 200 |
| (Hòn tròn cạnh, tảng góc cạnh) | Lớn | Cbo | > 800 |
| Vừa | Mbo | > 400; ≤ 800 | |
| Nhỏ | Fbo | > 200; ≤ 400 | |
| 2. Cuội (dăm) |
| Co | > 10; ≤ 200 |
| (Cuội tròn cạnh, dăm góc cạnh) | Lớn | CCo | > 100; ≤ 200 |
| Vừa | MCo | > 60; ≤ 100 | |
|
| Nhỏ | FCo | > 10; ≤ 60 |
| 3. Sỏi (sạn) |
| Gr | > 2; ≤ 10 |
| (Sỏi tròn cạnh, sạn góc cạnh) | Lớn | CGr | > 5; ≤ 10 |
| Nhỏ | FGr | > 2; ≤ 5 | |
| 4. Cát |
| Sa | > 0,05; ≤ 2 |
|
| Rất thô | VCSa | > 1; ≤ 2 |
|
| Thô | CSa | > 0,5; ≤ 1 |
|
| Vừa | MSa | > 0,25; ≤ 0,5 |
|
| Mịn | FSa | > 0,1; ≤ 0,25 |
|
| Rất mịn | VFSa | > 0,05; ≤ 0,1 |
| 5. Bụi |
| Si | > 0,002; ≤ 0,05 |
|
| Thô | CSi | > 0,01; ≤ 0,05 |
|
| Mịn | Fsi | > 0,002; ≤ 0,01 |
| 6. Sét |
| Cl | ≤ 0,002 |
4.3 Nhận dạng và gọi tên đất, đá xây dựng
4.3.1 Nguyên tắc
Phụ thuộc vào mục đích sử dụng và mức độ nghiên cứu về điều kiện địa chất công trình tương ứng, đất, đá xây dựng được nhận dạng, phân chia, gọi tên và biểu diễn theo các mức độ chi tiết khác nhau: khái quát nhất là đến Nhóm đất, đá và chi tiết nhất là đến Dạng đất, đá.
Đối với mục đích xây dựng, sử dụng làm thông số đầu vào cho thiết kế nền móng, đất, đá xây dựng cần được phân chia, gọi tên và biểu diễn đến đơn vị Loại và trong nhiều trường hợp, đến đơn vị Dạng đất, đá.
Nhận dạng đất, đá xây dựng có thể sơ bộ dựa trên các dấu hiệu quan sát trực tiếp ở hiện trường và sau đó chính xác hóa theo các chỉ tiêu tính chất thí nghiệm được.
4.3.2 Nhận dạng đá
Nhận dạng gọi tên các đá cần dựa vào các yếu tố sau:
- Nguồn gốc và tuổi: Đá magma, biến chất, trầm tích, v.v.;
- Thành phần khoáng vật: thạch anh, felspat và các khoáng vật silicat có liên quan; khoáng vật màu sẫm (như Biotit, Amfibon, Piroxen); khoáng vật sét; khoáng vật cacbonat (như canxi, đôlomit); khoáng vật oxit (như manhêtit); khoáng vật không định hình silic; khoáng vật chứa cacbon (như than đá, than chì); muối (như muối mỏ (đá muối), thạch cao); khoáng vật trương nở (như Anhydrit, khoáng vật sét); khoáng vật Sulfua;
- Kích thước hạt;
- Kiến trúc, cấu tạo: phân lớp, dạng phiến, tấm hoặc khối; tính đẳng hướng và bất đẳng hướng;
- Đặc điểm tồn tại, mức độ phong hóa;
- Các đặc trưng cơ lý;
- Các đặc điểm khác.
4.3.3 Nhận dạng đất
4.3.3.1 Các đặc trưng nhận dạng và gọi tên
Đối với đất, tên và cách biểu diễn được dựa vào các đặc trưng như sau đây:
- Thành phần hạt;
- Thành phần vật chất;
- Một số đặc trưng tính chất đặc biệt,
trong đó, phương thức gọi tên và biểu diễn theo thành phần hạt là phương thức cơ bản, tổng quát. Các phương thức khác là các phương thức bổ sung, phụ trợ với mục đích mô tả rõ thêm các đất nghiên cứu.
4.3.3.2 Nhận dạng đất theo thành phần hạt
Hầu hết đất là đất hỗn hợp, được hợp thành từ nhiều nhóm hạt, trong đó phân biệt các nhóm hạt chính và nhóm hạt phụ.
Đất được nhận dạng bằng một tập hợp các ký hiệu sau:
- Ký hiệu mô tả nhóm hạt chính và viết hoa;
- Ký hiệu mô tả các nhóm hạt phụ bằng một hoặc nhiều tính từ (thành phần bổ nghĩa) đặt trước tên gọi nhóm hạt chính theo thứ tự tăng dần hàm lượng của chúng và viết thường. Khi nhiều nhóm hạt phụ có khối lượng như nhau, giữa các ký hiệu biểu diễn chúng có các gạch chéo;
- Ký hiệu mô tả các nhóm hạt xen kẹp bằng chữ viết thường có gạch dưới và đứng ngay sau thành phần chính.
VÍ DỤ: Sét lẫn bụi được ký hiệu là siCl, sét lẫn sỏi sạn grCl, sỏi sạn lẫn cát saGr, sét lẫn sỏi sạn xen kẹp cát grClsa, sét lẫn cát/sỏi sạn gr/saCl, sỏi sạn nhỏ lẫn cát thô (csaFGr); Bụi lẫn cát vừa (msaSi); cát thô lẫn sỏi sạn nhỏ: fgrCSa; cát mịn lẫn bụi: siFSa; bụi lẫn cát thô và sỏi sạn nhỏ: fgrcsaSi; sét lẫn cát vừa: msaCl.
Tên đất được gọi theo thứ tự sau: tên nhóm hạt chính, tên nhóm hạt phụ, các đặc điểm nhận dạng quan tâm khác (tính dẻo, hình dạng hạt đất, v.v.). Nếu các nhóm hạt phụ có mặt với một lượng quá nhỏ hoặc quá lớn, các trạng từ “ít” hoặc “nhiều” sẽ được đi kèm trước danh từ chỉ tên của chúng.
4.3.3.3 Tên gọi và biểu diễn đất theo thành phần vật chất
Các đất được gọi tên theo thành phần vật chất trong trường hợp thành phần vật chất là yếu tố quyết định các tính chất xây dựng của chúng như đất hữu cơ, đất nhiễm muối. Các đất này được gọi tên theo thành phần vật chất của chúng (hữu cơ, muối) và được phân loại theo lượng chứa các thành phần vật chất của đất.
4.3.3.4 Tên gọi và biểu diễn các đất theo một số đặc trưng tính chất đặc biệt
Một số đất thể hiện một số tính chất cơ lý đặc biệt, ảnh hưởng lớn tới phương thức nghiên cứu, sử dụng chúng trong thực tế xây dựng. Trong trường hợp này, chúng được gọi tên theo đặc trưng tính chất đặc biệt đó và được phân loại theo độ lớn của các đặc trưng tính chất đó. Đó là:
- Đất trương nở;
- Đất lún ướt;
- Đất xốp;
- Đất bùn, than bùn, v.v.
4.4 Các chỉ tiêu cơ bản của đất, đá xây dựng được quy định trong Phụ lục B.
4.5 Những ký hiệu chữ cái về các tính chất của đất, đá xây dựng sử dụng trong tiêu chuẩn được quy định trong Phụ lục C.
4.6 Việc lựa chọn các chỉ tiêu thí nghiệm để phân loại đất, đá xây dựng chi tiết có thể tùy thuộc vào yêu cầu kỹ thuật của từng công trình.
5 Phân loại đất, đá xây dựng
5.1 Phân loại đá
5.1.1 Các đá được phân loại theo phân loại tổng quát (xem Bảng A.1, Phụ lục A).
5.1.2 Các đá được phân loại thành các dạng theo các chỉ tiêu sau (xem D.1, Phụ lục D):
- Cường độ chịu nén một trục ở trạng thái bão hòa nước Rc;
- Khối lượng thể tích khô ρd;
- Độ lỗ rỗng n;
- Hệ số phong hóa Kwr;
- Hệ số hóa mềm Ksof;
- Hệ số mài mòn Kfr;
- Hệ số khe nứt Kcr;
- Độ hòa tan trong nước qsr;
- Hệ số thấm k.
5.1.3 Các đá được phân loại thành các dạng theo thành phần khoáng vật (xem D.2, Phụ lục D).
5.1.4 Khối đá được phân loại thành các dạng theo mức độ liên tục, theo mức độ biến đổi ngoại sinh do dỡ tải trọng và phong hóa, theo vận tốc tương đối của sóng dọc đàn hồi, theo chỉ số chất lượng đá (RQD) (xem D.3, Phụ lục D).
5.1.5 Phân loại khối đá theo đặc điểm phân khối riêng biệt (xem D.4, Phụ lục D).
5.1.6 Phân loại dạng khối đá theo mức độ chịu nén, theo hệ số thấm (xem D.5, Phụ lục D).
5.2 Phân loại đất
5.2.1 Đất được phân loại theo phân loại tổng quát (xem Bảng A.2 và Bảng A.3, Phụ lục A).
5.2.2 Phân loại đất rời thành các dạng theo các chỉ tiêu sau (xem Phụ lục E):
- Kích thước hạt và hàm lượng phần trăm cỡ hạt;
- Hệ số không đồng nhất của thành phần cỡ hạt CU;
- Độ bão hòa Sr;
- Hệ số rỗng e;
- Độ chặt tương đối ID;
- Hệ số phong hóa Kwrt;
- Hệ số mài mòn Kfr.
5.2.3 Phân loại đất dính thành các dạng theo các chỉ tiêu sau (xem Phụ lục F):
- Chỉ số dẻo IP và hàm lượng hạt cát;
- Theo hàm lượng các hạt lớn hơn 2 mm;
- Chỉ số chảy IL (hay độ sệt B);
- Biến dạng trương nở tương đối không tải trọng εsw;
- Biến dạng lún ướt tương đối εsl;
- Mô đun biến dạng E, cường độ kháng cắt không thoát nước cu và theo độ nhạy của đất dính St.
5.2.4 Phân loại đất thành các dạng theo các chỉ tiêu thành phần vật chất (xem Phụ lục G):
- Đất được phân loại thành dạng theo hàm lượng hữu cơ Ir;
- Đất than bùn được phân loại thành dạng theo hàm lượng hữu cơ Ir;
- Bùn và bùn thối được phân loại thành dạng theo hàm lượng hữu cơ Ir;
- Than bùn được phân loại thành dạng theo độ phân hủy Ddp;
- Đất được phân loại thành dạng theo độ nhiễm mặn Dsal do muối hòa tan dễ và theo độ nhiễm mặn Dsal do muối hòa tan trung bình.
5.2.5 Các thuật ngữ cơ bản dùng cho đất trong các tiêu chuẩn ISO và ASTM có thể tham khảo Phụ lục H.
5.2.6 Tên gọi tương ứng của các loại đất trong TCVN 5746:2024 với ISO 14688-2 và ASTM D2487 (xem Phụ lục I).
Phụ lục A
(quy định)
Phân loại tổng quát đất, đá xây dựng
Bảng A.1 - Phân loại nhóm đá
| Phụ nhóm | Kiểu | Phụ kiểu | Loại | Phụ loại | Dạng |
| Kết tinh | Đá magma | Xâm nhập | Axit và siêu axit | Granit, v.v. | Phân chia theo các chỉ tiêu tính chất, Phụ lục D. |
| Trung tính | Điorit, xienit, v.v. | ||||
| Bazơ | Pyroxenit, gabro, v.v. | ||||
| Siêu bazơ | Peridotit, dunit, v.v. | ||||
| Phun trào | Axit và siêu axit | Riolit, dazit, v.v. | |||
| Trung tính | Andezit, trachit, v.v. | ||||
| Bazơ | Bazan, v.v. | ||||
| Siêu bazơ | Pirit, v.v. | ||||
| Biến chất | Khu vực và biến chất | Theo thành phần hóa học có tính đến các tướng biến chất khu vực | Metavolcanics, đá phiến sét, amfibolit, granit, gơnai, v.v. | ||
| Phân lớp | Theo thành phần hóa học có tính đến các tướng: eclogite, tectonite | Eclogite, breccia (dăm kết), Mylonit, phyllit, v.v. | |||
| Tiếp xúc | Theo thành phần hóa học có tính đến các tướng: nhiệt độ thấp, trung bình, cao | Đá phiến, đá sừng, scar, đá hoa, v.v. | |||
| Xi măng | Trầm tích núi lửa | Trầm tích phun trào | Silicat, hỗn hợp | Clastolavas, clastites, v.v. | |
| Trầm tích tàn tích | Silicat, hỗn hợp | Tephra, tuff, tuffites, v.v. | |||
| Trầm tích | Trầm tích xi măng | Silicat, cacbonat, hỗn hợp | Cuội kết, đá hoa cương, sỏi, cát, bột kết, sét kết |
| |
| Trầm tích hữu cơ | Silic | Opocki, trepen, v.v. |
| ||
| Cacbonat | Đá vôi, đôlomit, đá phấn, v.v. |
| |||
| Trầm tích hóa học | |||||
| Sunphat | Opocki, điatômit, v.v. |
| |||
| Halogen | Galit, xinvinit, v.v. |
|
Bảng A.2 - Phân loại nhóm đất
| Phụ nhóm | Kiểu | Phụ kiểu | Loại | Phụ loại | Dạng |
| Đất rời | Trầm tích | Biển, sông, gió, sườn dốc, v.v. | Khoáng | Đất mảnh lớn, cát | Phân chia theo Phụ lục E, Phụ lục F và Phụ lục G. |
| Khoáng-hữu cơ | Cát lẫn than bùn | ||||
| Trầm tích núi lửa | Trầm tích-núi lửa, núi lửa-trầm tích Trầm tích phun trào | Khoáng | Đất mảnh vụn núi lửa Cát núi lửa, tro núi lửa | ||
| Tàn tích | Được hình thành từ phong hóa các đá: vật lý, vật lý-hóa học, hóa học, sinh học | Khoáng và Khoáng-hữu cơ | Đất mảnh lớn và cát của đới mảnh vỡ, phân tán của vỏ phong hóa, thổ nhưỡng | ||
| Đất dính | Trầm tích | Biển, sông, gió, sườn dốc, v.v. | Khoáng | Đất loại sét | |
| Khoáng-hữu cơ | Bùn Bùn thối Đất loại sét bị than bùn hóa Đất loại sét chứa than bùn, v.v. | ||||
| Ao hồ-đầm lầy, đầm lầy, sông hồ, v.v. | Hữu cơ | Than bùn Bùn thối | |||
| Tàn tích | Được hình thành do phong hóa các đá: vật lý, vật lý-hóa học, hóa học, sinh học | Khoáng và Khoáng-hữu cơ | Đất loại sét của đới phân tán của vỏ phong hóa và thổ nhưỡng |
Bảng A.3 - Phân loại địa chất công trình các đất kỹ nguyên
| Phụ loại | Phương thức hình thành (biến đổi) | Theo công nghệ hình thành (biến đổi) | Hướng biến đổi | ||
| Đá | |||||
| Biến đổi ở thế nằm tự nhiên | Vật lý | Đất tăng bền do nhiệt | Tốt hơn | ||
| Giảm độ chặt do giảm ứng suất | Xấu hơn | ||||
| Bị phá hoại do tác động động, nổ | |||||
| Đá đóng băng bị tan băng | Biến đổi | ||||
| Hóa lý | Đất và đá được bơm gia cường | Tốt hơn | |||
| Đất nhân tạo | Phế thải công nghiệp | Bãi thải bị xi măng hóa | Cải thiện | ||
| Đất rời | |||||
| Biến đổi ở thế nằm tự nhiên | Vật lý | Nén chặt (cơ học, hạ mực nước, nén rung.v.v.) | Tốt hơn | ||
| Nén chặt thấm | |||||
| Tan băng | |||||
| Vật lý và hóa lý | Ẩm hóa và bão hòa kỹ thuật | Xấu đi | |||
| Biến xốp | |||||
| Nhiễm muối, dầu kỹ thuật | |||||
| Được di chuyển | Đất đắp | Đất được quy hoạch xây dựng và đất đắp | Cải thiện | ||
| Thủy đắp | Đất trong công trình đất và thủy đắp | ||||
| Đất nhân tạo | Đất phế liệu công nghiệp, sinh hoạt | Bãi thải xỉ công nghiệp Bãi thải sinh hoạt | |||
| Lớp đất văn hóa | Các thành tạo lịch sử tự nhiên | ||||
| Đất dính | |||||
| Biến đổi tại thế nằm tự nhiên | Vật lý | Nén chặt cơ học | Tốt hơn | ||
| Tan băng | |||||
| Tháo khô | |||||
| Giảm độ chặt do giảm ứng suất | Xấu đi | ||||
| Ẩm hóa và bão hòa nước công nghệ | |||||
| Hóa lý | Gia cường bằng chất kết dính | Tốt hơn | |||
| Gia cường điện hóa | |||||
| Nhiễm muối và dầu công nghệ | Xấu đi | ||||
| Bị dịch chuyển | Đất đắp | Đất quy hoạch xây dựng và đất đắp | Cải thiện | ||
| Đất bồi | Đất trong các công trình đất | ||||
| Đất nhân tạo | Chất thải công nghiệp và sinh hoạt | Bãi thải công nghiệp | |||
| Bãi thải sinh hoạt | |||||
| Lớp đất văn hóa | Các thành tạo lịch sử tự nhiên | ||||
| CHÚ THÍCH: Đất kỹ nguyên là đất có nguồn gốc từ các quá trình kỹ thuật. | |||||
Phụ lục B
(quy định)
Các chỉ tiêu cơ bản của đất, đá xây dựng
B.1 Độ bão hòa Sr được xác định theo công thức:
|
| (B.1) |
trong đó:
Sr là độ bão hòa, tính bằng phần trăm (%);
w là độ ẩm tự nhiên của đất, tính bằng phần trăm (%);
ρs là khối lượng thể tích hạt của đất, tính bằng gam trên centimét khối (g/cm3);
ρw là khối lượng riêng của nước, lấy bằng 1 g/cm3;
e là hệ số rỗng tự nhiên của đất.
B.2 Hệ số phong hóa của đá Kwr, được xác định theo công thức:
|
| (B.2) |
trong đó:
Kwr là hệ số phong hóa của đá;
ρ1 là khối lượng thể tích của đá bị phong hóa, tính bằng gam trên centimét khối (g/cm3);
ρ2 là khối lượng thể tích của đá chưa phong hóa, tính bằng gam trên centimét khối (g/cm3).
B.3 Hệ số phong hóa của các mảnh vụn đất hòn lớn Kwrt, được xác định theo công thức:
|
| (B.3) |
trong đó:
Kwrt là hệ số phong hóa của các mảnh vụn đất hòn lớn;
K1 là tỉ số giữa khối lượng hạt có kích thước nhỏ hơn 2 mm và khối lượng hạt có kích thước lớn hơn 2 mm sau khi thí nghiệm mài mòn;
K0 là tỉ số trên ở trạng thái tự nhiên trước khi thí nghiệm mài mòn.
B.4 Hệ số mài mòn của các mảnh vụn đất hòn lớn Kfr, được xác định theo công thức:
|
| (B.4) |
trong đó:
Kfr là hệ số mài mòn các mảnh vụn đất hòn lớn;
q1 là khối lượng các hạt có kích thước nhỏ hơn 2 mm sau khi thí nghiệm mài mòn các hạt có kích thước lớn hơn 2 mm, tính bằng gam (g);
q0 là khối lượng ban đầu của mẫu đất hòn lớn trước khi thí nghiệm mài mòn, tính bằng gam (g).
B.5 Hệ số rỗng e, được xác định theo công thức:
|
| (B.5) |
trong đó:
e là hệ số rỗng của đất;
ρs là khối lượng thể tích hạt của đất, tính bằng gam trên centimét khối (g/cm3);
ρd là khối lượng thể tích khô của đất, tính bằng gam trên centimét khối (g/cm3).
B.6 Độ lỗ rỗng n, được xác định theo công thức:
|
| (B.6) |
trong đó:
n là độ lỗ rỗng của đất, tính bằng phần trăm (%);
ρs là khối lượng thể tích hạt của đất, tính bằng gam trên centimét khối (g/cm3);
ρd là khối lượng thể tích khô của đất, tính bằng gam trên centimét khối (g/cm3).
B.7 Cường độ chịu nén một trục Rc, tính bằng megapascan (MPa) là tỷ số giữa tải trọng khi xảy ra phá hủy mẫu và diện tích tiết diện ngang của mẫu nén.
B.8 Hệ số hóa mềm của đá trong nước Ksof, được xác định theo công thức:
|
| (B.7) |
trong đó:
Rc là cường độ chịu nén của mẫu đá ở trạng thái bão hòa nước, được xác định theo TCVN 10324.
R’c là cường độ chịu nén của mẫu đá ở trạng thái khô trong không khí, được xác định theo TCVN 10324.
B.9 Hệ số khe nứt Kcr, tính bằng phần trăm (%) là tỷ số giữa tổng diện tích khe nứt và diện tích bề mặt được đo, được xác định theo công thức:
|
| (B.8)
|
trong đó:
Scr là tổng diện tích các khe nứt trên diện tích được đo;
Sm là diện tích bề mặt được đo.
B.10 Chỉ số chất lượng đá RQD, tính bằng phần trăm (%) là chỉ số dùng để đánh giá mức độ nứt nẻ của khối đá, giá trị chỉ số RQD bằng tỷ số giữa tổng chiều dài của những đoạn nõn khoan có chiều dài trên 10 cm và tổng chiều dài đoạn khoan nghiên cứu (hiệp khoan hoặc mét khoan).
B.11 Hệ số thấm k, tính bằng centimét trên giây (cm/s) hay mét trên ngày đêm (m/ngày) là vận tốc thấm của nước khi trị số gradien thủy lực bằng một đơn vị và theo quy luật thấm tuyến tính.
B.12 Biến dạng trương nở tương đối εsw là tỷ số giữa chiều cao tăng thêm của mẫu đất khi thấm nước sau khi trương nở tự do trong điều kiện không có nở hông và không có tải trọng tác dụng với chiều cao ban đầu của mẫu có độ ẩm tự nhiên, được xác định theo công thức:
|
| (B.9) |
trong đó:
Δh là chiều cao tăng thêm do sự trương nở của mẫu đất, tính bằng milimét (mm);
h là chiều cao ban đầu của mẫu đất.
B.13 Biến dạng lún ướt tương đối εsl là tỷ số giữa hiệu số chiều cao mẫu tương ứng với độ ẩm tự nhiên và chiều cao mẫu sau khi thấm nước với áp lực cho trước (áp lực bản thân cộng với áp lực công trình) với chiều cao mẫu ở độ ẩm tự nhiên, được xác định theo công thức:
|
| (B.10) |
trong đó:
εsl là biến dạng lún ướt tương đối;
Δh là hiệu số chiều cao của mẫu đất tương ứng với độ ẩm tự nhiên dưới cấp áp lực nén cho trước và chiều cao mẫu sau khi ngâm nước cũng với áp lực nén đó, tính bằng milimét (mm);
h là chiều cao mẫu ở độ ẩm tự nhiên.
CHÚ THÍCH: Biến dạng lún ướt tương đối có thể được xác định theo TCVN 8722.
B.14 Khối lượng thể tích khô ρd được xác định theo công thức:
|
| (B.11) |
trong đó:
ρd là khối lượng thể tích khô của đất, được tính bằng gam trên centimét khối (g/cm3);
ρ là khối lượng thể tích tự nhiên của đất, được tính bằng gam trên centimét khối (g/cm3);
w là độ ẩm tự nhiên của đất, tính bằng phần trăm (%).
B.15 Độ sệt B (hay chỉ số chảy IL) là chỉ tiêu đặc trưng trạng thái của đất, được xác định theo công thức:
|
| (B.12) |
trong đó:
w là độ ẩm tự nhiên, tính bằng phần trăm (%);
wp là độ ẩm giới hạn hạn dẻo, tính bằng phần trăm (%);
IP là chỉ số dẻo, tính bằng phần trăm (%).
B.16 Chỉ số dẻo IP, được xác định theo công thức:
| IP = wL - wP | (B.13) |
trong đó:
wL là độ ẩm giới hạn hạn chảy, tính bằng phần trăm (%);
wP là độ ẩm giới hạn hạn dẻo, tính bằng phần trăm (%).
B.17 Độ nhạy của đất dính St là tỷ số giữa cường độ kháng cắt không thoát nước của đất loại sét có kết cấu nguyên dạng cu và cường độ kháng cắt của đất đó ở trạng thái kết cấu đã bị phá hoại cur hay là tỷ số giữa cường độ kháng cắt quay τmax và cường độ kháng cắt dư τmin, được xác định theo công thức:
|
| (B.14) |
CHÚ THÍCH: τmax và τmin có thể được xác định theo TCVN 8725.
B.18 Hệ Số không đồng nhất CU là hệ số đánh giá mức độ đồng nhất về thành phần hạt của đất, được xác định theo công thức:
|
| (B.15) |
trong đó:
d60 là đường kính của hạt mà các hạt có đường kinh nhỏ hơn nó chiếm 60 %, tính bằng milimét (mm);
d10 là đường kính của hạt mà các hạt có đường kính nhỏ hơn nó chiếm 10 %, tính bằng milimét (mm).
B.19 Độ chặt tương đối của cát ID, được xác định theo công thức:
|
| (B.16) |
trong đó:
e là hệ số rỗng tự nhiên của cát;
emin là hệ số rỗng tương ứng với kết cấu chặt nhất của cát;
emax là hệ số rỗng tương ứng với kết cấu rời nhất của cát.
B.20 Cường độ kháng cắt không thoát nước cu, tính bằng kilôpascan (kPa) được xác định theo kết quả thí nghiệm không thoát nước với đất loại sét ở trong phòng thí nghiệm hoặc hiện trường (thí nghiệm ba trục, cắt cánh, xuyên, v.v.).
B.21 Độ nhiễm mặn của đất Dsal, tính bằng phần trăm (%), là tỷ số giữa khối lượng của muối hòa tan trong đất và khối lượng đất khô tuyệt đối,
CHÚ THÍCH: Độ nhiễm mặn của đất có thể được xác định theo TCVN 8727.
B.22 Hàm lượng hữu cơ tương đối Ir là tỷ số giữa khối lượng chất hữu cơ và khối lượng mẫu đất khô tuyệt đối.
CHÚ THÍCH: Hàm lượng hữu cơ tương đối có thể được xác định theo TCVN 8726.
B.23 Độ phân hủy bùn Ddp là tỷ số giữa khối lượng phần bị phân hủy hoàn toàn với khối lượng chung của bùn.
B.24 Độ hòa tan trong nước qsr, tính bằng gam trên lít (g/L), là đại lượng phản ánh khả năng đất hòa tan trong nước khi ở điều kiện bình thường do tính đến sự hòa tan của chất hữu cơ và vô cơ, được xác định khi tỷ số giữa đất và nước là 1:5 và bằng nồng độ dung dịch bão hòa.
Phụ lục C
(quy định)
Ký hiệu các chỉ tiêu của đất, đá bằng chữ cái chính
| Ký hiệu | Các chỉ tiêu | Tên quốc tế được chấp nhận |
| ρ | Khối lượng thể tích | Bulk density (unit weight) |
| ρd | Khối lượng thể tích khô | Dry density |
| ρs | Khối lượng thể tích hạt | Particle density (specific gravity) |
| ρw | Khối lượng riêng của nước | Water density |
| e | Hệ số rỗng | Void ratio |
| emax | Hệ số rỗng tương ứng với kết cấu rời nhất của cát | Maximum sand void ratio |
| emin | Hệ số rỗng tương ứng với kết cấu chặt nhất của cát | Minimum sand void ratio |
| ID | Độ chặt tương đối | Density index (Density ratio) |
| w | Độ ẩm | Water content |
| Sr | Độ bão hòa | Saturation ratio |
| wL | Giới hạn chảy | Liquid limit |
| wP | Giới hạn dẻo | Plastic limit |
| IP | Chỉ số dẻo | Plasticity index |
| B (hay là IL) | Độ sệt (hay là chỉ số chảy) | Liquidity index |
| d | Đường kính hạt | Particle diameter |
| CU | Hệ số không đồng nhất | Uniformity coefficient |
| k | Hệ số thấm | Coefficient of permeability |
| T | Nhiệt độ | Temperature |
| E | Mô đun biến dạng | Modulus of deformation |
| cu | Cường độ kháng cắt không thoát nước | Undrained shear strength |
| εsw | Biến dạng trương nở tương đối | Expansive strain |
| εsl | Biến dạng lún ướt tương đối | Slump strain |
| St | Độ nhạy của đất dính | Sensitivity ratio (Soil sensitivity) |
| Ir | Hàm lượng hữu cơ tương đối | Organic content |
| Ddp | Độ phân hủy bùn | Peat decay degree |
| RQD | Chỉ số chất lượng đá | Rock quality Designation |
| Kwr | Hệ số phong hóa của đá | Rock decomposition index |
| Kwrt | Hệ số phong hóa của mảnh vụn đất hòn lớn | Decomposition index |
| Kfr | Hệ số mài mòn | Abradability index |
| Ksof | Hệ số hóa mềm | Softening ratio |
| Kcr | Hệ số khe nứt | Fracture void ratio |
| Dsal | Độ nhiễm mặn | Salinity degree |
| Rc | Cường độ chịu nén một trục ở trạng thái bão hòa | Uniaxial compression strength in saturation state |
| R’c | Cường độ chịu nén một trục ở trạng thái khô trong không khí | Uniaxial compression strength in air-dry state |
Phụ lục D
(quy định)
Phân loại đá thành các dạng theo các chỉ tiêu tính chất
D.1 Phân loại dạng đá theo cường độ chịu nén một trục bão hòa, khối lượng thể tích khô, độ lỗ rỗng, hệ số phong hóa, hệ số hóa mềm, độ hòa tan, hệ số thấm:
Bảng D.1 - Phân loại đá theo cường độ chịu nén một trục bão hòa
| Dạng đá | Cường độ chịu nén một trục Rc MPa |
| 1. Đá |
|
| a) Rất bền | ≥ 120 |
| b) Bền | ≥ 50; < 120 |
| c) Bền vừa | ≥ 15; <50 |
| d) Ít bền | ≥ 5; < 15 |
| 2. Đá nửa cứng |
|
| a) Bền khá thấp | ≥ 3; <5 |
| b) Bền thấp | ≥ 1; <3 |
| c) Bền rất thấp | < 1 |
Bảng D.2 - Phân loại đá theo khối lượng thể tích khô
| Dạng đá | Khối lượng thể tích khô ρd g/cm3 |
| 1. Rất chặt | ≥ 2,50 |
| 2. Chặt | ≥ 2,10; < 2,50 |
| 3. Chặt vừa | ≥ 1,20; < 2,10 |
| 4. Chặt thấp | < 1,20 |
Bảng D.3 - Phân loại đá theo độ lỗ rỗng
| Dạng đá | Độ lỗ rỗng n % |
| 1. Không xốp | ≤ 3 |
| 2. Xốp thấp | > 3; ≤ 10 |
| 3. Xốp vừa | > 10; ≤ 30 |
| 4. Xốp cao | n > 30 |
Bảng D.4 - Phân loại đá theo hệ số phong hóa
| Dạng đá | Hệ số phong hóa Kwr |
| 1. Không phong hóa | 1 |
| 2. Phong hóa yếu | ≥ 0,9; < 1 |
| 3. Phong hóa | ≥ 0,8; < 0,9 |
| 4. Phong hóa mạnh (rời rạc) | < 0,8 |
Bảng D.5 - Phân loại đá theo hệ số hóa mềm
| Dạng đá | Hệ số hóa mềm Ksof |
| 1. Không hóa mềm được | ≥ 0,75 |
| 2. Hóa mềm được | < 0,75 |
Bảng D.6 - Phân loại đá theo độ hòa tan trong nước
| Dạng đá | Độ hòa tan trong nước qsr g/L |
| 1. Không hòa tan | ≤ 0,01 |
| 2. Khó hòa tan | > 0,01; ≤ 1 |
| 3. Hòa tan vừa | > 1; ≤ 10 |
| 4. Dễ hòa tan | > 10; ≤ 100 |
| 5. Hòa tan mạnh | > 100 |
Bảng D.7 - Phân loại đá theo hệ số thấm
| Dạng đá | Hệ số thấm k m/ngày |
| 1. Không thấm nước | ≤ 0,005 |
| 2. Thấm nước yếu | > 0,005; ≤ 0,3 |
| 3. Thấm nước vừa | > 0,3; ≤ 3 |
| 4. Thấm nước mạnh | > 3; ≤ 30 |
| 5. Thấm nước rất mạnh | > 30 |
| CHÚ THÍCH: Bảng này cũng được áp dụng cho đất. | |
D.2 Phân loại dạng đá theo thành phần khoáng vật: đá vôi và đôlomit được phân chia theo Bảng D.8, đá cacbonat nguồn gốc lục địa được phân chia theo Bảng D.9, đá cacbonat và đá sét được phân chia theo Bảng D.10.
Bảng D.8 - Phân loại dạng đá vôi và đôlomit theo thành phần khoáng vật
| Dạng đá | Hàm lượng % | |
| CaCO3 | CaMg(CO3)2 | |
| 1. Đá vôi | > 95; ≤ 100 | > 0; ≤ 5 |
| 2. Đá vôi chứa đôlomit | > 75; ≤ 95 | > 5; ≤ 25 |
| 3. Đá vôi đôlomit | > 50; ≤ 75 | > 25; ≤ 50 |
| 4. Đôlomit vôi | > 25; ≤ 50 | > 50; ≤ 75 |
| 5. Đôlomit chứa vôi | > 5; ≤ 25 | > 75; ≤ 95 |
| 6. Đôlomit | > 0; ≤ 5 | > 95; ≤ 100 |
Bảng D.9 - Phân loại dạng đá cacbonat nguồn gốc lục địa theo thành phần khoáng vật
| Dạng đá | Hàm lượng cacbonat % | Thành phần nguồn gốc lục địa % |
| 1. Đá vôi (đôlomit) | > 95; ≤ 100 | ≥ 0; ≤ 5 |
| 2. Đá vôi (đôlomit) chứa bụi (chứa cát) hoặc đá vôi (đôlomit) chứa sỏi (chứa cuội) | > 75; ≤ 95 | > 5; ≤ 25 |
| 3. Đá vôi (đôlomit) bụi (cát, cuội sỏi) | > 50; ≤ 75 | > 25; ≤ 50 |
| 4. Bột kết (cát kết, sỏi kết, cuội kết) vôi (đôlomit) | > 25; ≤ 50 | > 50; ≤ 75 |
| 5. Bột kết (cát kết, sỏi kết, cuội kết) chứa vôi (chứa đôlomit) | > 5; ≤ 25 | > 75; ≤ 95 |
| 6. Bột kết (cát kết, sỏi kết, cuội kết) | > 0; ≤ 5 | > 95; ≤ 100 |
Bảng D.10 - Phân loại đá cacbonat và đá sét theo thành phần khoáng vật
| Hàm lượng vật chất sét, % | Các loại chứa vôi | Các loại chứa đôlomit | ||
| Đá | CaCO3 % | Đá | CaMg(CO3)2 % | |
| ≥ 0; ≤ 5 | Đá vôi | > 95; ≤ 100 | Đôlomit | > 95; ≤ 100 |
| > 5; ≤ 25 | Đá vôi sét | > 75; ≤ 95 | Đôlomit sét | > 75; ≤ 95 |
| > 25; ≤ 50 | Đá macnơ | > 50; ≤ 75 | Macnơ đôlomit | > 50; ≤ 75 |
| > 50; ≤ 75 | Đá macnơ sét | > 25; ≤ 50 | Macnơ sét đôlomit | > 25; ≤ 50 |
| > 75; ≤ 95 | Sét vôi | > 5; ≤ 25 | Sét đôlomit | > 5; ≤ 25 |
| > 95; ≤ 100 | Sét | > 0; ≤ 5 | Sét | ≥ 0; ≤ 5 |
D.3 Phân loại dạng khối đá theo mức độ nguyên khối (xem Bảng D.11) theo mức độ thay đổi ngoại sinh do dỡ tải trọng và phong hóa (xem Bảng D.12) theo vận tốc tương đối của sóng dọc đàn hồi (xem Bảng D.13) theo chỉ số chất lượng đá (RQD) (xem Bảng D.14).
Bảng D.11 - Phân loại khối đá theo mức độ nguyên khối
| Tên gọi khối đá theo mức độ nguyên khối | Hệ số khe nứt Kcr % | Tỷ số L/a | Đặc điểm khối đá |
| 1. Nguyên khối | < 0,1 | < 1,0 | Khối đá không bị cắt ra thành những khối riêng do vết nứt. Có một số vết nứt nhưng rất ít cắt nhau. |
| 2. Nứt nẻ a) Nứt nẻ yếu b) Nứt nẻ vừa c) Nứt nẻ mạnh | ≥ 0,1; ≤ 0,5 > 0,5; ≤ 2,0 > 1,5; ≤ 5,0 | ≥ 1,0; ≤ 1,5 > 1,5; ≤ 2,5 > 2,5; ≤ 4,0 | Khối đá không hoàn toàn bị tách ra thành những khối riêng do vết nứt. Giữa các khối tách có trụ đỡ. |
| 3. Tách được | > 5 | > 4,0 | Khối đá bị tách ra hoàn toàn thành những khối riêng biệt do vết nứt. Vết nứt cắt nhau rất nhiều và theo hướng khác nhau. |
CHÚ THÍCH: Để phân chia khối đá theo mức độ nguyên khối, cần dựa theo tỷ số L/a. Trong đó L là độ dài trung bình của vết nứt, a là khoảng cách trung bình giữa các vết nứt. Chỉ tiêu Kcr sẽ được sử dụng nếu khu vực vết nứt lộ tự nhiên và nhân tạo (hố, lò nối vỉa, v.v.) không cho phép đánh giá giá trị thực của L và a.
Bảng D.12 - Phân loại khối đá theo mức độ biến đổi ngoại sinh do dỡ tải trọng và phong hóa
| Tên gọi vùng biến đổi của khối đá | Dấu hiệu phân loại |
| A - Vùng biến đổi mạnh | Các khối đá riêng biệt được hình thành chủ yếu từ đá phong hóa mạnh và phong hóa trung bình. |
| B - Vùng có mức độ biến đổi trung bình | Các khối đá riêng biệt được hình thành chủ yếu từ đá phong hóa yếu và không phong hóa, trên thành vết nứt có đá cứng bị phong hóa trung bình. |
| C - Vùng biến đổi yếu | Các khối đá riêng biệt được hình thành từ đá không phong hóa, dọc các vết nứt của nó có đá cứng phong hóa yếu. |
| D - Khối đá được giữ nguyên trạng | Đá không phong hóa trong các khối riêng và trên thành vết nứt. |
| CHÚ THÍCH: Theo mức độ phong hóa, đá được phân thành đá phong hóa nhẹ, vừa và phong hóa mạnh (xem Bảng D.4). | |
Bảng D.13 - Phân loại khối đá theo vận tốc tương đối của sóng dọc đàn hồi
| Tên gọi dạng khối đá | Vận tốc tương đối của sóng dọc đàn hồi Vp/Vp.b |
| 1. Nứt nẻ rất yếu | > 0,6 |
| 2. Nứt nẻ yếu | > 0,3; ≤ 0.6 |
| 3. Nứt nẻ vừa | > 0,1; ≤ 0,3 |
| 4. Nứt nẻ mạnh | > 0,03; ≤ 0,1 |
| 5. Nứt nẻ rất mạnh | < 0,03 |
| Các ký hiệu trong bảng: Vp là vận tốc truyền sóng dọc đàn hồi trong toàn khối đá; Vp.b là vận tốc truyền sóng dọc trong khối đá riêng biệt. | |
Bảng D.14 - Phân loại khối đá theo chỉ số chất lượng đá
| Chất lượng đá | Chỉ số chất lượng đá RQD % |
| 1. Rất tốt | > 90 |
| 2. Tốt | ≥ 75; ≤ 90 |
| 3. Trung bình | ≥ 50; < 75 |
| 4. Xấu | ≥ 25; < 50 |
| 5. Rất xấu | < 25 |
D.4 Phân loại dạng khối đá theo đặc điểm phân khối riêng biệt
D.4.1 Gọi tên khối đá riêng biệt theo kích thước (xem Bảng D.15).
Bảng D.15 - Gọi tên khối đá theo kích thước phân khối
| Tên gọi phân khối đá riêng biệt | Kích thước trung bình của các phân khối đá cm |
| 1. Tảng lớn | > 80 |
| 2. Tảng nhỏ | ≥ 20; ≤ 80 |
| 3. Đá dăm | < 20 |
D.4.2 Gọi tên phân khối đá riêng biệt theo hình dáng như sau:
- Dạng hình hộp: khối đá riêng biệt cân đối được giới hạn bằng các vết nứt trực giao;
- Dạng góc nhọn: khối đá riêng biệt có hình dáng phức tạp, được giới hạn bởi các vết nứt cắt nhau dưới một góc nhọn và góc tù;
- Dạng hình tấm: khối đá riêng biệt có hình lăng trụ ngắn, được giới hạn bởi một hệ thống các vết nứt có độ dài ngắn khác nhau song song với đáy lăng trụ và các vết nứt sâu hơn cắt đáy lăng trụ (cát tuyến);
- Dạng hình cột: khối đá riêng biệt có hình lăng trụ, được giới hạn bằng một số vết nứt dài song song với trục lăng trụ và bằng một hệ thống các vết nứt ngắn vuông góc với trục lăng trụ;
- Dạng hình cầu: khối đá riêng biệt có dạng hình chóp cụt, bị giới hạn bởi các vết nứt bao quanh một tâm nào đó theo bề mặt hình cầu hay mặt elip, và các vết nứt theo hướng xuyên tâm (ít gặp).
D.5 Phân loại khối đá theo mô đun biến Bảng dạng (xem D.16) và phân loại khối đá theo hệ số thấm (xem Bảng D.17).
Bảng D.16 - Phân loại khối đá theo mô đun biến dạng
| Dạng khối đá | Mô đun biến dạng của khối đá E MPa |
| 1. Hầu như không biến dạng | > 20 000 |
| 2. Biến dạng nhỏ | ≥ 10 000; ≤ 20 000 |
| 3. Biến dạng trung bình | ≥ 5 000; < 10 000 |
| 4. Biến dạng lớn | ≥ 2 000; < 5 000 |
| 5. Biến dạng rất lớn | < 2 000 |
Bảng D.17 - Phân loại khối đá theo hệ số thấm
| Dạng khối đá | Hệ số thấm k m/ngày |
| 1. Không thấm nước | ≤ 0,005 |
| 2. Thấm nước yếu | > 0,005; ≤ 0,3 |
| 3. Thấm nước | > 0,3; ≤ 3 |
| 4. Thấm nước mạnh | > 3; ≤ 30 |
| 5. Thấm nước rất mạnh | > 30 |
Phụ lục E
(quy định)
Phân loại đất rời thành các dạng theo các chỉ tiêu tính chất
Bảng E 1 - Phân loại đất rời theo kích thước và hàm lượng phần trăm hạt theo khối lượng
| Dạng đất | Kích thước hạt mm | Hàm lượng phần trăm các hạt theo khối lượng % |
| 1. Đất hòn lớn |
|
|
| a) Tảng (khi có tảng sắc cạnh gọi là khối) | > 200 | > 50 |
| b) Cuội (khi có các hạt sắc cạnh gọi là đất dăm) | > 10 | > 50 |
| c) Sỏi (khi có hạt sắc cạnh gọi là đất sạn) | > 2 | > 50 |
| 2. Đất cát |
|
|
| a) Cát lẫn sỏi sạn | > 2 | > 25 |
| b) Cát thô | > 0,5 | > 50 |
| c) Cát vừa | > 0,25 | > 50 |
| d) Cát mịn | > 0,1 | ≥ 75 |
| e) Cát bụi | > 0,1 | < 75 |
| CHÚ THÍCH: Khi trong đất hòn lớn có chất lấp nhét là cát trên 40 % hoặc là sét trên 30 % so với khối lượng chung của đất khô thì trong tên gọi đất hòn lớn cần phải định cả tên của chất lấp nhét và phải chỉ rõ đặc trưng trạng thái của nó. Loại đất lấp nhét được xác định sau khi đã tách các hạt lớn hơn 2 mm khỏi mẫu đất hòn lớn. Nếu loại đất lấp nhét là vỏ sò với số lượng lớn hơn 50 %, thì đất được gọi là vỏ sò, nếu từ 30 % đến 50 % thì gọi tên đất bổ sung vỏ sò vào. | ||
Bảng E.2 - Phân loại đất rời theo hệ số không đồng nhất
| Dạng đất | Hệ số không đồng nhất CU |
| 1. Đất đồng nhất | ≤ 3 |
| 2. Đất không đồng nhất | > 3 |
Bảng E.3 – Phân loại đất rời theo độ bão hòa
| Dạng đất | Độ bão hòa Sr |
| 1. Bão hòa nước thấp (ít ẩm) | > 0; ≤ 0,5 |
| 2. Bão hòa nước vừa (ẩm) | > 0,5; ≤ 0,8 |
| 3. Bão hòa nước (no nước) | > 0,8; ≤ 1,0 |
Bảng E.4 - Phân loại đất cát theo hệ số rỗng
| Dạng cát | Hệ số rỗng e | ||
| Cát lẫn sỏi sạn, cát thô và cát vừa | Cát mịn | Cát bụi | |
| 1. Chặt | ≤ 0,55 | ≤ 0,60 | ≤ 0,60 |
| 2. Chặt vừa | > 0,55; ≤ 0,70 | > 0,60; ≤ 0,75 | > 0,60; ≤ 0,80 |
| 3. Rời | > 0,70 | > 0,75 | > 0,80 |
Bảng E.5 - Phân loại đất cát theo độ chặt tương đối
| Dạng cát | Độ chặt tương đối ID |
| 1. Rời | > 0; ≤ 0,33 |
| 2. Chặt vừa | > 0,33; ≤ 0,66 |
| 3. Chặt | > 0,66; ≤ 1,00 |
Bảng E.6 - Phân loại đất hòn lớn theo hệ số phong hóa
| Dạng đất hòn lớn theo mức độ phong hóa | Hệ số phong hóa của các mảnh vụn đất hòn lớn Kwrt |
| 1. Không phong hóa | > 0; ≤ 0,50 |
| 2. Phong hóa yếu | > 0,50; ≤ 0,75 |
| 3. Phong hóa mạnh | > 0,75; ≤ 1,00 |
Bảng E.7 - Phân loại đất hòn lớn theo hệ số mài mòn
| Dạng đất | Hệ số mài mòn Kfr |
| 1. Rất bền | ≤ 0,05 |
| 2. Bền | > 0,05; ≤ 0,20 |
| 3. Bền vừa | > 0,20; ≤ 0,30 |
| 4. Bền thấp | > 0,30; ≤ 0,40 |
| 5. Bền yếu | > 0,40 |
Phụ lục F
(quy định)
Phân loại đất dính thành các dạng theo các chỉ tiêu tính chất
Bảng F.1 - Phân loại đất loại sét theo chỉ số dẻo và hàm lượng hạt cát
| Dạng đất | Chỉ số dẻo IP % | Hàm lượng phần trăm hạt cát (2 mm ÷ 0,05 mm) theo khối lượng % |
| 1. Cát pha | ≥ 1; ≤ 7 |
|
| a) nhiều cát | ≥ 1; ≤ 7 | ≥ 50 |
| b) nhiều bụi | ≥ 1; ≤ 7 | < 50 |
| 2. Sét pha | > 7; ≤ 17 |
|
| a) nhẹ lẫn cát | > 7; ≤ 12 | ≥ 40 |
| b) nhẹ lẫn bụi | > 7; ≤ 12 | < 40 |
| c) nặng lẫn cát | > 12; ≤ 17 | ≥ 40 |
| d) nặng lẫn bụi | > 12; ≤ 17 | < 40 |
| 3. Sét | > 17 |
|
| a) nhẹ lẫn cát | > 17; ≤ 27 | ≥ 40 |
| b) nhẹ lẫn bụi | > 17; ≤ 27 | < 40 |
| c) Nặng | > 27 | Không quy định |
| CHÚ THÍCH: 1) Giới hạn chảy để xác định chỉ số dẻo IP được xác định bằng phương pháp thả chùy Vaxiliep theo TCVN 4197; 2) Bùn được phân loại theo giá trị chỉ số dẻo, được nêu trong bảng cho cát pha, sét pha và sét; 3) Khi loại hạt lớn hơn 2 mm chiếm trên 50 % khối lượng đất thì được xếp vào đất hòn lớn (xem Bảng E.1); 4) Khi đất loại sét chứa hàm lượng phần trăm các hạt có kích thước lớn hơn 2 mm thì gọi tên đất theo Bảng F.2. | ||
Bảng F.2 - Phân loại đất loại sét theo hàm lượng phần trăm các hạt có kích thước lớn hơn 2 mm
| Dạng đất | Hàm lượng phần trăm theo khối lượng các hạt có kích thước lớn hơn 2 mm % |
| 1. Sét, sét pha, cát pha lẫn cuội (lẫn dăm) hoặc lẫn sỏi (lẫn sạn) | ≥ 15; ≤ 25 |
| 2. Sét, sét pha, cát pha cuội (dăm) hoặc sỏi (sạn) | ≥ 25; ≤ 50 |
Bảng F.3 - Phân loại đất loại sét theo chỉ số chảy
| Dạng đất | Chỉ số chảy, IL |
| 1. Cát pha |
|
| a) Cứng | < 0 |
| b) Dẻo | ≥ 0; ≤ 1,00 |
| c) Chảy | > 1,00 |
| 2. Sét pha và sét |
|
| a) Cứng | < 0 |
| b) Nửa cứng | ≥ 0; ≤ 0,25 |
| c) Dẻo cứng | > 0,25; ≤ 0,5 |
| d) Dẻo mềm | > 0,50; ≤ 0,75 |
| e) Dẻo chảy | > 0,75; ≤ 1,00 |
| f) Chảy | > 1,00 |
| CHÚ THÍCH: Giới hạn chảy để xác định chỉ số chảy IL (hay độ sệt B) được xác định bằng phương pháp thả chùy Vaxiliep theo TCVN 4197. | |
Bảng F.4 - Phân loại đất loại sét theo biến dạng trương nở tương đối không tải trọng
| Dạng đất | Biến dạng trương nở tương đối εsw |
| 1. Không trương nở | < 0,04 |
| 2. Trương nở yếu | ≥ 0,04; ≤ 0,08 |
| 3. Trương nở vừa | > 0,08; ≤ 0,12 |
| 4. Trương nở mạnh | > 0,12 |
Bảng F.5 - Phân loại đất loại sét theo biến dạng lún ướt tương đối
| Dạng đất | Biến dạng lún ướt tương đối εsl |
| 1. Không lún | < 0,01 |
| 2. Lún yếu | ≥ 0,01; ≤ 0,03 |
| 3. Lún vừa | > 0,03; ≤ 0,07 |
| 4. Lún mạnh | > 0,07 |
Bảng F.6 - Phân loại đất theo mô đun biến dạng
| Dạng đất | Mô đun biến dạng E MPa |
| 1. Biến dạng rất lớn | ≤ 5 |
| 2. Biến dạng lớn | > 5; ≤ 10 |
| 3. Biến dạng trung bình | > 10; ≤ 50 |
| 4. Biến dạng nhỏ | > 50 |
Bảng F.7 - Phân loại đất loại sét theo cường độ kháng cắt không thoát nước
| Dạng đất | Cường độ kháng cắt không thoát nước cu kPa |
| 1. Độ bền cực thấp | ≤ 10 |
| 2. Độ bền rất thấp | > 10; ≤ 20 |
| 3. Độ bền thấp | > 20; ≤ 40 |
| 4. Độ bền vừa | > 40; ≤ 75 |
| 5. Độ bền cao | > 75; ≤ 150 |
| 6. Độ bền rất cao | > 150; ≤ 300 |
| 7. Độ bền cực cao | > 300 |
Bảng F.8 - Phân loại đất loại sét theo độ nhạy
| Dạng đất | Độ nhạy St |
| 1. Không nhạy | ~ 1 |
| 2. Nhạy thấp | > 1; ≤ 2 |
| 3. Nhạy vừa | > 2; ≤ 4 |
| 4. Rất nhạy | > 4; ≤ 8 |
| 5. Cực kỳ nhạy | > 8 |
PHỤ LỤC G
(quy định)
Phân loại đất thành các dạng theo thành phần vật chất
Bảng G.1 - Phân loại đất theo hàm lượng chất hữu cơ
| Dạng đất | Hàm lượng hữu cơ tương đối Ir |
| 1. Khoáng | ≤ 0,03 |
| 2. Khoáng - hữu cơ: a) Pha tạp chất hữu cơ |
> 0,03; ≤ 0,10 |
| b) Với hàm lượng hữu cơ thấp | > 0,10; ≤ 0,30 |
| c) Với hàm lượng hữu cơ cao | > 0,30; < 0,50 |
| 3. Hữu cơ | ≥ 0,50 |
| CHÚ THÍCH: Đất chứa hữu cơ, thường là những trầm tích hồ, hồ - đầm lầy, đầm lầy, chủ yếu là các đất hạt mịn hoặc đất cát pha sét có chứa di tích động - thực vật đã phân hủy ở mức độ khác nhau. Các di tích thực vật và các vi sinh vật hiếm khí đã bị phân hủy hoàn toàn làm cho đất có đặc trưng rất dễ nhận biết, đó là: đất khi ẩm có mùi hôi và có màu xám nâu đen, xám xanh đen, xám đen; các di tích thực vật chưa bị phân hủy hoàn toàn thì có cấu trúc dạng sợi hoặc xơ xốp. | |
Bảng G.2 - Phân loại đất than bùn theo hàm lượng chất hữu cơ
| Dạng đất | Hàm lượng hữu cơ tương đối Ir | |
| Cát | Đất loại sét | |
| 1. Có tàn tích thực vật | ≥ 0,03; ≤ 0,10 | > 0,05; ≤ 0,10 |
| 2. Có ít than bùn | > 0,10; ≤ 0,25 | |
| 3. Có than bùn vừa | > 0,25; ≤ 0,40 | |
| 4. Có nhiều than bùn | > 0,40; < 0,50 | |
| 5. Than bùn | ≥ 0,50 | |
Bảng G.3 - Phân loại bùn và bùn thối theo hàm lượng chất hữu cơ
| Dạng đất | Hàm lượng hữu cơ tương đối Ir | |
| Bùn | Bùn thối | |
| 1. Khoáng chất cao | > 0,03; ≤ 0,07 | > 0,10; ≤ 0,30 |
| 2. Khoáng chất vừa | > 0,07; ≤ 0,10 | > 0,30; ≤ 0,50 |
| 3. Khoáng chất thấp | > 0,10 | > 0,50 |
Bảng G.4 - Phân loại than bùn theo độ phân hủy
| Dạng đất | Độ phân hủy Ddp % |
| 1. Phân hủy yếu | ≤ 20 |
| 2. Phân hủy vừa | >20; ≤ 45 |
| 3. Phân hủy mạnh | > 45 |
Bảng G.5 - Phân loại đất theo độ nhiễm mặn do muối dễ hòa tan
| Dạng đất | Độ nhiễm mặn của đất do muối dễ hòa tan Dsal % | |
| Nhiễm mặn muối clorua, sulfat clorit | Nhiễm mặn muối sulfat, clorit - sulfat | |
| 1. Không nhiễm mặn | < 0,5 | < 0,5 |
| 2. Nhiễm mặn yếu | ≥ 0,5; < 2,0 | ≥ 0,5; < 1,0 |
| 3. Nhiễm mặn vừa | ≥ 2,0; < 5,0 | ≥ 1,0; < 3,0 |
| 4. Nhiễm mặn mạnh | ≥ 5,0; ≤10,0 | ≥ 3,0; ≤ 8,0 |
| 5. Nhiễm mặn dư thừa | > 10,0 | > 8,0 |
Bảng G.6 - Phân loại đất theo độ nhiễm mặn do muối hòa tan trung bình
| Dạng đất | Độ nhiễm mặn của đất do muối hòa tan trung bình (thạch cao, anhydrit) Dsal % | ||
| Sét pha | Cát pha | Cát | |
| 1. Không nhiễm mặn | ≤ 5 | ≤ 5 | ≤ 3 |
| 2. Nhiễm mặn yếu | > 5; ≤ 10 | > 5; ≤ 10 | > 3; ≤ 7 |
| 3. Nhiễm mặn vừa | > 10; ≤ 20 | > 10; ≤ 20 | >7; ≤ 10 |
| 4. Nhiễm mặn mạnh | > 20; ≤ 35 | > 20; ≤ 30 | > 10; ≤ 15 |
| 5. Nhiễm mặn dư thừa | > 35 | > 30 | > 15 |
PHỤ LỤC H
(tham khảo)
Các thuật ngữ cơ bản dùng cho đất trong các tiêu chuẩn ISO và ASTM
Phụ lục này cung cấp các thuật ngữ cơ bản dùng cho đất trong các tiêu chuẩn ISO và ASTM.
H.1
Đất hạt rất thô (very coarse soils)
Đất mà thành phần hạt chủ yếu của nó có kích thước lớn hơn 63 mm.
H.2
Đất hạt thô (coarse-grained soils)
Đất có ít hơn 50 % vật liệu qua sàng 0,063 mm (theo ISO 14688-2) hay qua sàng 0,075 mm (theo ASTM D2487).
H.3
Đất hạt mịn (fine-grained soils)
Đất có lớn hơn 50 % vật liệu qua sàng 0,063 mm (theo ISO 14688-2) hay qua sàng 0,075 mm (theo ASTM D2487).
H.4
Giới hạn chảy (liquid limit)
WL trong ISO 17892-12 và LL trong ASTM D4318 được xác định bằng phương pháp xuyên côn theo ISO 17892-12 : 2018 và được xác định bằng phương pháp Casagrande theo ASTM D4318.
H.5
Giới hạn chảy sau khi sấy khô (liquid limit - oven dried)
LLo được xác định bằng phương pháp Casagrande sau khi đã sấy khô đất ở nhiệt độ 105 °C.
H.6
Giới hạn chảy trước khi sấy khô (liquid limit - not dried)
LLN được xác định bằng phương pháp Casagrande ở độ ẩm tự nhiên.
H.7
Giới hạn dẻo (plastic limit)
WP trong ISO 17892-12 và PL trong ASTM D4318 được xác định bằng cách lăn.
H.8
Chỉ số dẻo (plasticity index)
PI trong ASTM D4318 được xác định theo công thức (H.1), IP trong ISO 17892-12 được xác định như trong TCVN 5746 : 2024 và theo công thức (B.13), Phụ lục B:
| PI = LL - PL | (H.1) |
H.9
Chỉ số chảy (liquidity index)
IL trong ISO 14688-2 được xác định như trong TCVN 5746 : 2024 và theo công thức (B.12), Phụ lục B
H.10
Chỉ số sệt (consistency index)
IC trong ISO 14688-2, được xác định theo công thức (H.2):
|
| (H.2) |
H.11
Biểu đồ dẻo (plasticity Chart):
Biểu đồ trong hệ tọa độ Pl - LL, được ứng dụng để phân loại đất hạt mịn, đất hạt mịn lẫn đất hạt thô, đất nhiều hạt thô và đất cát (xem Hình I.2).
H.12
Hệ số không đồng nhất (uniformity coefficient) CU
Được xác định như trong TCVN 5746 : 2024 và theo công thức (B.14). Độ đồng nhất của thành phần hạt đất tăng thì đại lượng CU giảm.
H.13
Hệ số độ cong (coefficient of curvature) CC
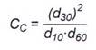
Đặc trưng cho hình dạng đường cong phân bố thành phần hạt (xem Hình I.1) và được xác định theo công thức:
|
| (H.3) |
trong đó:
| CC d60 | là hệ số độ cong; là đường kính của hạt mà các hạt có đường kính nhỏ hơn nó chiếm 60 %, tính bằng milimét (mm); |
| d30 | là đường kính của hạt mà các hạt có đường kính nhỏ hơn nó chiếm 30 %, tính bằng milimét (mm); |
| d10 | là đường kính của hạt mà các hạt có đường kính nhỏ hơn nó chiếm 10 %, tính bằng milimét (mm). |
H.14
Đất cấp phối tốt (well graded soil), W
Đất không đồng nhất, được xác định theo giá trị hệ số không đồng nhất CU và hệ số độ cong CC.
H.15
Đất cấp phối xấu (poorly graded soil), P
Đất đồng nhất, được xác định theo giá trị hệ số không đồng nhất CU và hệ số độ cong CC.
H.16
Lưu đồ phân loại đất (flow chart)
Sơ đồ khối dùng để xác định tên đất.
PHỤ LỤC I
(tham khảo)
Sự tương ứng của tên gọi đất trong TCVN 5746 : 2024 với ISO 14688-2 và ASTM D2487
I.1 Quy định chung
I.1.1 Tên gọi đất hạt rất thô, đất hạt thô và đất cát trong ISO 14688-2 và ASTM D2487 được xác định trên cơ sở thành phần cỡ hạt, mức độ phân tán và hệ số không đồng nhất (xác định theo đường cong phân bố cỡ hạt, Hình I.1).
I.1.2 Sự tương ứng thành phần khác nhau của đất trong TCVN 5746 : 2024 và trong ISO 14688-2, ASTM D2487 được nêu trong Bảng I.1.
I.1.3 Tên gọi đất hạt mịn trong ISO 14688-2, ASTM D2487 được xác định trên cơ sở chỉ số dẻo và hàm lượng chất hữu cơ (xem Hình I.2), cũng như thành phần cỡ hạt của hạt thô (lớn hơn 0,063 mm và 0,075 mm tương ứng).
I.1.4 Để xác lập sự tương ứng tên gọi đất hạt mịn theo TCVN 5746 : 2024 và ISO 14688-2, ASTM D2487, người ta tiến hành tính toán lại kết quả xác định độ ẩm giới hạn chảy nhận được theo TCVN 4197 và ISO 17892-12, ASTM D4318, với việc sử dụng phương trình tương quan (xem I.3).
I.1.5 Sự tương thích tên gọi đất hạt mịn khoáng-hữu cơ được tiến hành theo kết quả xác định hàm lượng chất hữu cơ (theo hàm lượng mất khi nung) hay độ ẩm giới hạn chảy theo phương pháp Casagrande (sau khi đã sấy khô ở nhiệt độ 105 °C).
I.1.6 Việc xác định các chỉ tiêu của đất đá được tiến hành theo các tiêu chuẩn phân loại tương ứng.
Bảng I.1 - So sánh kích thước hạt theo TCVN 5746 : 2024, ISO 14688-2 và ASTM D2487
| Kích thước hạt, mm | 800 | 630 | 400 | 300 | 200 | 100 | 76,2 | 63 | 60 | 40 | 20 | 19 | 10 | 6,3 | 4,75 | 4 | 2 |
| TCVN 5746 : 2024 | Hòn (tảng) | Cuội (dăm) | Sỏi (sạn) | ||||||||||||||
| Lớn | Vừa | Nhỏ | Lớn | Vừa | Nhỏ | Lớn | Nhỏ | ||||||||||
| ISO 14688-2 | Hòn (tảng) lớn Large boulders | Hòn (tảng) Boulders | Cuội (dăm) Cobbles | Sỏi (sạn) lớn Coarse gravel | Sòi (sạn) vừa Medium gravel | Sỏi (sạn) nhỏ Fine gravel | |||||||||||
| ASTM D2487 | Hòn (tảng) Boulders | Cuội (dăm) Cobbles | Sỏi (sạn) Gravel | Cát Sand | |||||||||||||
| Lớn Coarse | Nhỏ Fine | Thô Coarse | |||||||||||||||
Bảng I.1 (kết thúc)
| Kích thước hạt, mm | 0,63 | 0,5 | 0,425 | 0,25 | 0,2 | 0,1 | 0,075 | 0,063 | 0,05 | 0,02 | 0,0063 | 0,005 | 0,002 | <0,002 |
| TCVN 5746 : 2024 | Cát | Bụi | Sét | |||||||||||
| Thô | Vừa | Mịn | Rất mịn | |||||||||||
| ISO 14688-2 | Cát - Sand | Bụi - Silt | Sét Clay | |||||||||||
| Thô Coars | Vừa Medium | Mịn Fine | Thô Coarse | Vừa Medium | Mịn Fine | |||||||||
| ASTM D2487 | Cát - Sand | Bụi - Silt | Sét Clay | |||||||||||
| Vừa Medium | Mịn Fine | |||||||||||||

Hình I.1 - Đường cong phân bố cỡ hạt
I.2 Phân loại đất hòn lớn, đất hạt thô và đất cát
I.2.1 Để tính toán hàm lượng các nhóm hạt xác định theo các tiêu chuẩn khác nhau, cũng như xác định mức độ không đồng nhất của thành phần hạt và hệ số độ cong, người ta xây dựng đường cong phân bố cỡ hạt (Hình I.1), trên cơ sở đó tính toán hàm lượng các nhóm hạt cần xác định (xem Bảng I.1).
I.2.2 Để phân loại đất hòn lớn, đất hạt thô và đất cát theo ASTM D2487, người ta tính hàm lượng phần trăm hạt theo các kích thước hạt: 300 mm; 76,2 mm; 19 mm; 4,75 mm; 0,425 mm và 0,075 mm; theo ISO 14688-2, tính hàm lượng phần trăm hạt theo các kích thước hạt: 630 mm; 200 mm; 63 mm; 20 mm; 6,3 mm; 0,63 mm; 0,2 mm và 0,063 mm; theo TCVN 5746 : 2024, tính hàm lượng phần trăm hạt theo các kích thước biên của hạt: 800 mm; 400 mm; 200 mm; 100 mm; 60 mm; 40 mm; 20 mm; 10 mm; 5 mm; 0,5 mm; 0,25 mm; 0,1 mm và 0,05 mm. Để tính toán mức độ không đồng nhất của thành phần hạt và hệ số độ cong, phải xác định các thông số d60, d30; d10.
I.2.3 Đất hòn lớn, đất hạt thô và đất cát phân loại theo ISO 14688-2 và ASTM D2487 được tiếp tục phân loại tương ứng với yêu cầu của các tiêu chuẩn trên.
I.2.4 Phân loại thành phần hạt mịn của đất hòn lớn, đất hạt thô và đất cát được tiến hành theo I.3.
I.2.5 Phân loại đất hòn lớn, đất hạt thô và đất cát theo ASTM D2487 được tiến hành trên cơ sở phân loại theo lưu đồ nêu trong tiêu chuẩn ASTM D2487.
I.2.6 Phân loại đất theo ISO 14688-2 được tiến hành trên cơ sở xác định hàm lượng tất cả các thành phần cỡ hạt. Tên đất được chỉ ra bởi hàm lượng của các thành phần hạt. Tên gọi nhóm hạt chính (theo hàm lượng) được biểu diễn dưới dạng một danh từ, ký hiệu nhóm hạt chính được viết bằng chữ cái viết hoa. Các nhóm hạt phụ được đưa vào tên gọi đất dưới dạng điền thêm vào và đặt trước tên gọi nhóm hạt chính theo thứ tự tăng dần hàm lượng của chúng. Ký hiệu các nhóm hạt phụ được viết bằng chữ thường. Trong tên gọi đất, có thể sử dụng sự kết hợp khác nhau các thuật ngữ.
VÍ DỤ: Sỏi vừa lẫn cát - Sandy medium gravel (saMGr); bụi lẫn cát thô và sạn nhỏ - fine gravelly, coarse sandy silt (fgrcsaSi).
I.2.7 So sánh tên gọi đất hòn lớn và đất hạt thô được xác định theo TCVN 5746 : 2024 với ISO 14688-2, ASTM D2487 được nêu trong Bảng I.2 và Bảng I.3.
Bảng I.2 - Sự tương ứng tên gọi đất hòn lớn và đất hạt thô theo TCVN 5746 : 2024 và ISO 14688-2
| TCVN 5746 : 2024 | ISO 14688-2 | |
| Tên đất | Tên đất | Ký hiệu |
| Hòn (tảng) | Tảng, tảng lẫn cát, tảng lẫn bụi, tảng lẫn sét - Boulders, sandy boulders, silty boulders, clayey boulders. | Bo, saBo, siBo, clBo |
| Hòn (tảng) lẫn cát | Tảng lẫn cát, tảng lẫn cát, bụi; tảng lẫn cát, sét - Sandy boulders, silty sandy boulders, clayey sandy boulders. | saBo, sisaBo, clsaBo |
| Hòn (tảng) lẫn sét (sét pha, cát pha) | Tảng lẫn bụi; tảng lẫn sét; tảng lẫn bụi, cát; tảng lẫn sét, cát - Silty boulders, clayey boulders, sandy silty boulders, sandy clayey boulders. | siBo, clBo, sasiBo, saclBo |
| Cuội (dăm) | Cuội, cuội lẫn cát, cuội lẫn bụi, cuội lẫn sét, sỏi lớn (vừa), sỏi lớn (vừa) lẫn cát, sỏi lớn (vừa) lẫn bụi, sỏi lớn (vừa) lẫn sét - Cobbles, sandy cobbles, silty cobbles, clayey cobbles; coarse (medium) gravel, sandy coarse (medium) gravel, silty coarse (medium); gravel, clayey coarse (medium) gravel. | Co, saCo, siCo, clCo; CGr(MGr), saCGr(MGr), siCGr(MGr), clCGr(MGr) |
| Cuội (dăm) lẫn cát | Cuội lẫn cát; cuội lẫn cát, bụi; cuội lẫn cát, sét; sỏi lớn (vừa) lẫn cát; sỏi thô (vừa) lẫn cát, bụi; sỏi lớn (vừa) lẫn cát, sét. Sandy cobbles, silty sandy cobbles, clayey sandy cobbles; sandy coarse (medium) gravel, silty sandy coarse (medium) gravel, clayey sandy coarse (medium) gravel. | saCo, sisaCo, clsaCo; saCGr(MGr), sisaCGr (MGr), clsaCGr (MGr) |
| Cuội (dăm) lẫn sét (sét pha, cát pha) | Cuội lẫn bụi; cuội lẫn sét; cuội lẫn bụi, cát; cuội lẫn sét, cát; sỏi lớn (vừa) lẫn bụi; sỏi lớn (vừa) lẫn sét; sỏi lớn (vừa) lẫn bụi, cát; sỏi lớn (vừa) lẫn sét, cát; Silty cobbles, clayey cobbles, sandysilty cobbles, sandy clayey cobbles; silty coarse (medium) gravel, clayey coarse (medium) gravel, sandy silty coarse (medium) gravel, sandy clayey coarse (medium) gravel. | siCo, clCo, sasiCo, saclCo; siCGr(MGr), clCGr (MGr), sasiCGr (MGr), saclCGr (MGr) |
| Sỏi (sạn) | Sỏi vừa (nhỏ); sỏi vừa (nhỏ) lẫn cát; sỏi vừa (nhỏ) lẫn bụi; sỏi vừa (nhỏ) lẫn sét; Medium (fine) gravel, sandy medium (fine) gravel, silty medium (fine) gravel, clayey medium (fine) gravel. | MGr (FGr), saMGr (FGr), siMGr (FGr), clMGr (FGr) |
| Sỏi (sạn) lẫn cát | Sỏi vừa (nhỏ) lẫn cát; sỏi vừa (nhỏ) lẫn cát, bụi; sỏi vừa (nhỏ) lẫn cát, sét. Sandy medium (fine) gravel, silty sandy medium (fine) gravel, clayey sandy medium (fine) gravel. | saMGr (FGr), sisaMGr (FGr), clsaMGr (FGr) |
| Sỏi (sạn) lẫn sét (sét pha, cát pha) | Sỏi vừa (nhỏ) lẫn bụi; sỏi vừa (nhỏ) lẫn sét; sỏi vừa (nhỏ) lẫn bụi, cát; sỏi vừa (nhỏ) lẫn sét, cát. Silty medium (fine) gravel, clayey medium (fine) gravel, sandy silty medium (fine) gravel, sandy clayey medium (fine) gravel. | siMGr (FGr), clMGr (FGr), sasiMGr (FGr), saclMGr (FGr) |
Bảng I.3 - Sự tương ứng tên gọi đất hòn lớn và đất hạt thô theo TCVN 5746 : 2024 và ASTM D2487
| TCVN 5746 : 2024 | ASTM D2487 | |
| Tên đất | Tên đất | Ký hiệu |
| Hòn (tảng) | Tảng (cuội); tảng (cuội) lẫn cát Boulders (cobbles); boulders (cobbles) with sand. | G |
| Tảng (cuội) lẫn bụi; tảng (cuội) lẫn bụi và cát Boulders (cobbles) with silt; boulders (cobbles) with silt and sand. | G - GM | |
| Tảng (cuội) lẫn sét; tảng (cuội) lẫn sét và cát Boulders (cobbles) with clay; boulders (cobbles) with clay and sand. | G - GC | |
| Tảng (cuội) pha bụi; tảng (cuội) pha bụi lẫn cát - Silty boulders (cobbles); silty boulders (cobbles) with sand. | GM | |
| Tảng (cuội) pha sét; tảng (cuội) pha sét lẫn cát - Clayey boulders (cobbles); clayey boulders (cobbles) with sand. | GC | |
| Hòn (tảng) lẫn cát | Tảng (cuội) lẫn bụi; tảng (cuội) lẫn bụi và cát - Boulders (cobbles) with silt; boulders (cobbles) with silt and sand. | G - GM |
| Tảng (cuội) lẫn sét; tảng (cuội) lẫn sét và cát - Boulders (cobbles) with clay; boulders (cobbles) with clay and sand. | G - GC | |
| Tảng (cuội) pha bụi; tảng (cuội) pha bụi lẫn cát - Silty boulders (cobbles); silty boulders (cobbles) with sand. | GM | |
| Tảng (cuội) pha sét, tảng (cuội) pha sét lẫn cát; Clayey boulders (cobbles); clayey boulders (cobbles) with sand. | GC | |
| Hòn (tảng) lẫn sét (sét pha, cát pha) | Tảng (cuội) pha bụi; tảng (cuội) pha bụi lẫn cát Silty boulders (cobbles); silty boulders (cobbles) with sand. | GM |
| Tảng (cuội) pha sét; tảng (cuội) pha sét lẫn cát; Clayey boulders (cobbles); clayey boulders (cobbles) with sand. | GC | |
| Cuội (dăm) | Cuội (sỏi lớn, nhỏ); cuội (sỏi lớn, nhỏ) lẫn cát; Cobbles (coarse, fine gravel); cobbles (coarse, tine gravel) with sand. | G |
| Cuội (sỏi lớn, nhỏ) lẫn bụi; cuội (sỏi lớn, nhỏ) lẫn bụi và cát; Cobbles (coarse, fine gravel) with silt; cobbles (coarse, fine gravel) with silt and sand | G - GM | |
| Cuội (sỏi lớn, nhỏ) lẫn sét; cuội (sỏi lớn, nhỏ) lẫn sét và cát; Cobbles (coarse, fine gravel) with clay; cobbles (coarse, fine gravel) with clay and sand. | G - GC | |
| Cuội (sỏi lớn, nhỏ) pha bụi; cuội (sỏi lớn, nhỏ) pha bụi lẫn cát; Silty cobbles (coarse, fine gravel); silty cobbles (coarse, fine gravel) with sand. | GM | |
| Cuội (sỏi lớn, nhỏ) pha sét; cuội (sỏi lớn, nhỏ) pha sét lẫn cát - Clayey cobbles (coarse, fine gravel); clayey cobbles (coarse, fine gravel) with sand. | GC | |
| Cuội (dăm) lẫn cát | Cuội (sỏi lớn, nhỏ) lẫn bụi; cuội (sỏi lớn, nhỏ) lẫn bụi và cát; Cobbles (coarse, fine gravel) with silt; cobbles (coarse, fine gravel) with silt and sand. | G - GM |
| Cuội (sỏi lớn, nhỏ) lẫn sét; cuội (sỏi lớn, nhỏ) lẫn sét và cát; Cobbles (coarse, fine gravel) with clay; cobbles (coarse, fine gravel) with clay and sand. | G - GC | |
| Cuội (sỏi lớn, nhỏ) pha bụi; Cuội (sỏi lớn, nhỏ) pha bụi lẫn cát; Silty cobbles (coarse, fine gravel); Silty cobbles (coarse, fine gravel) with sand. | GM | |
| Cuội (dăm) lẫn cát | Cuội (sỏi lớn, nhỏ) pha sét; cuội (sỏi lớn, nhỏ) pha sét lẫn cát; Clayey cobbles (coarse, fine gravel); clayey cobbles (coarse, fine gravel) with sand. | GC |
| Cuội (dăm) lẫn sét (sét pha, cát pha) | Cuội (sỏi lớn, nhỏ) pha bụi; cuội (sỏi lớn, nhỏ) pha bụi lẫn cát; silty cobbles (coarse, fine gravel); silty cobbles (coarse, fine gravel) with sand. | GM |
| Cuội (sỏi lớn, nhỏ) pha sét; cuội (sỏi lớn, nhỏ) pha sét lẫn cát - Clayey cobbles (coarse, fine gravel); clayey cobbles (coarse, fine gravel) with sand. | GC | |
| Sỏi (sạn) | Sỏi nhỏ (cát thô); sỏi nhỏ (cát thô) lẫn cát; Fine gravel (coarse sand); fine gravel (coarse sand) with sand | G |
| Sỏi nhỏ (cát thô) lẫn bụi; sỏi nhỏ (cát thô) lẫn bụi và cát; Fine gravel (coarse sand) with silt; fine gravel (coarse sand) with silt and sand | G - GM | |
| Sỏi nhỏ (cát thô) lẫn sét; sỏi nhỏ (cát thô) lẫn sét và cát; Fine gravel (coarse sand) with clay; fine gravel (coarse sand) with clay and sand | G - GC | |
| Sỏi nhỏ (cát thô) pha bụi; sỏi nhỏ (cát thô) pha bụi lẫn cát - Silty fine gravel (coarse sand); silty fine gravel (coarse sand) with sand. | GM | |
| Sỏi nhỏ (cát thô) pha sét; sỏi nhỏ (cát thô) pha sét lẫn cát - Clayey fine gravel (coarse sand); clayey fine gravel (coarse sand) with sand. | GC | |
| Sỏi (sạn) lẫn cát | Sỏi nhỏ (cát thô) lẫn bụi; sỏi nhỏ (cát thô) lẫn bụi và cát; Fine gravel (coarse sand) with silt; fine gravel (coarse sand) with silt and sand. | G - GM |
| Sỏi (sạn) lẫn cát | Sỏi nhỏ (cát thô) lẫn sét; sỏi nhỏ (cát thô) lẫn sét và cát; Fine gravel (coarse sand) with clay; fine gravel (coarse sand) with clay and sand. | G - GC |
| Sỏi nhỏ (cát thô) pha bụi; sỏi nhỏ (cát thô) pha bụi lẫn cát; Silty fine gravel (coarse sand); silty fine gravel (coarse sand) with sand. | GM | |
| Sỏi nhỏ (cát thô) pha sét; sỏi nhỏ (cát thô) pha sét lẫn cát; Clayey fine gravel (coarse sand); clayey fine gravel (coarse sand) with sand. | GC | |
| Sỏi (sạn) lẫn sét (sét pha, cát pha) | Sỏi nhỏ (cát thô) pha bụi; sỏi nhỏ (cát thô) pha bụi lẫn cát; Silty fine gravel (coarse sand); silty fine gravel (coarse sand) with sand. | GM |
| Sỏi nhỏ (cát thô) pha sét; sỏi nhỏ (cát thô) pha sét lẫn cát; Clayey fine gravel (coarse sand); clayey fine gravel (coarse sand) with sand. | GC | |
I.2.8 So sánh tên gọi của đất cát, được xác định theo TCVN 5746 : 2024 và ISO 14688-2 và ASTM D2487, được nêu trong Bảng I.4 và Bảng I.5.
Bảng I.4 - Sự tương ứng tên gọi đất cát theo TCVN 5746 : 2024 và ISO 14688-2
| TCVN 5746 : 2024 | ISO 14688-2 | |
| Tên đất | Tên đất | Ký hiệu |
| Cát lẫn sỏi (sỏi sạn lẫn cát) | Sỏi sạn, sỏi sạn lẫn tảng, sỏi sạn lẫn cuội, sỏi sạn lẫn cát, sỏi sạn lẫn bụi, sỏi sạn lẫn sét. Gravel; bouldery, cobble, sandy, silty, clayey gravel. | Gr, boGr, coGr, saGr, siGr, clGr |
| Cát thô | Cát thô (vừa); cát thô (vừa) lẫn tảng; cát thô (vừa) lẫn cuội, cát thô (vừa) lẫn sỏi, cát thô (vừa) lẫn bụi, cát thô (vừa) lẫn sét. Coarse (medium) sand; bouldery, cobble, gravely, silty, clayey coarse (medium) sand. | CSa(MSa), boCSa(MSa), coCSa(MSa), grCSa(MSa), siCSa(MSa), clCSa(MSa) |
| Cát vừa | Cát vừa, cát vừa lẫn tảng, cát vừa lẫn cuội, cát vừa lẫn sỏi, cát vừa lẫn bụi, cát vừa lẫn sét; Medium sand; bouldery, cobble, gravely, silty, clayey medium sand. | MSa, boMSa, coMSa, grMSa, siMSa, clMSa |
| Cát mịn | Cát vừa (mịn); cát vừa (mịn) lẫn tảng, cát vừa (mịn) lẫn cuội, cát vừa (mịn) lẫn sỏi, cát vừa (mịn) lẫn bụi, cát vừa (mịn) lẫn sét. Medium (fine) sand; bouldery, cobble, gravely, silty, clayey medium (fine) sand. | MSa(FSa), boMSa(FSa), coMSa(FSa), grMSa(FSa), siMSa(FSa), clMSa(FSa) |
| Cát bụi | Cát mịn, cát mịn lẫn tảng, cát mịn lẫn cuội, cát mịn lẫn sỏi, cát mịn lẫn bụi, cát mịn lẫn sét, bụi thô Fine sand; bouldery, cobble, gravely, silty, clayey fine sand; coarse silt. | FSa, boFSa, coFSa, grFSa, siFSa, clFSa, CSi |
Bảng I.5 - Sự tương ứng tên gọi đất cát theo TCVN 5746 : 2024 và ASTM D2487
| TCVN 5746 : 2024 | ASTM D2487 | |
| Tên đất | Tên đất | Ký hiệu |
| Cát lẫn sỏi | Sỏi, sỏi lẫn cát - Gravel, gravel with sand. | G |
| Sỏi lẫn bụi, sỏi lẫn bụi và cát - Gravel with silt, gravel with silt and sand. | G - GM | |
| Sỏi lẫn sét, sỏi lẫn sét và cát - Gravel with clay, gravel with clay and sand. | G - GC | |
| Sỏi pha bụi, sỏi pha bụi lẫn cát - Silty gravel, silty gravel with sand. | GM | |
| Sỏi pha sét, sỏi pha sét lẫn cát - Clayey gravel, clayey gravel with sand. | GC | |
| Cát, cát lẫn sỏi - Sand, sand with gravel. | S | |
| Cát lẫn bụi, cát lẫn bụi và sỏi - Sand with silt, sand with silt and gravel. | S - SM | |
| Cát lẫn sét, cát lẫn sét và sỏi - Sand with clay, sand with clay and gravel. | S - SC | |
| Cát pha bụi, cát pha bụi với sỏi - Silty sand, silty sand with gravel. | MS | |
| Cát pha sét, cát pha sét lẫn sỏi - Clayey sand, clayey sand with gravel. | CS | |
| Cát thô | Cát vừa, cát vừa lẫn sỏi - Medium sand, medium sand with gravel. | S |
| Cát vừa lẫn bụi, cát vừa lẫn bụi và sỏi - Medium sand with silt, medium sand with silt and gravel. | S - SM | |
| Cát vừa lẫn sét, cát vừa lẫn sét và sỏi - Medium sand with clay, medium sand with clay and gravel. | S - SC | |
| Cát vừa pha bụi, cát vừa pha bụi lẫn sỏi - Silty medium sand, silty medium sand with gravel. | MS | |
| Cát vừa pha sét, cát vừa pha sét lẫn sỏi - Clayey medium sand, clayey medium sand with gravel. | CS | |
| Cát vừa | Cát vừa (mịn), cát vừa (mịn) lẫn sỏi - Medium (fine) sand, medium (fine) sand with gravel. | S |
| Cát vừa (mịn) lẫn bụi, cát vừa (mịn) lẫn bụi và sỏi - Medium (fine) sand with silt, medium (fine) sand with silt and gravel. | S - SM | |
| Cát vừa (mịn) lẫn sét, cát vừa (mịn) lẫn sét và sỏi - Medium (fine) sand with clay, medium (fine) sand with clay and gravel. | S - SC | |
| Cát vừa (mịn) pha bụi, cát vừa (nhỏ) pha bụi lẫn sỏi - Silty medium (fine) sand, silty medium (fine) sand with gravel. | MS | |
| Cát vừa (mịn) pha sét, cát vừa (mịn) pha sét lẫn sỏi - Clayey medium (fine) sand, clayey medium (fine) sand with gravel | CS | |
| Cát mịn | Cát mịn, cát mịn lẫn sỏi - Fine sand, fine sand with gravel. | S |
| Cát mịn lẫn bụi, cát mịn lẫn bụi và sỏi - Fine sand with silt, fine sand with silt and gravel. | S - SM | |
| Cát mịn lẫn sét, cát mịn lẫn sét và sỏi - Fine sand with clay, fine sand with clay and gravel. | S - SC | |
| Cát mịn pha bụi, Cát mịn pha bụi lẫn sỏi - Silty fine sand, silty fine sand with gravel. | MS | |
| Cát mịn pha sét, cát mịn pha sét lẫn sỏi - Clayey fine sand, clayey fine sand with gravel. | CS | |
| Cát bụi | Cát mịn, cát mịn lẫn sỏi - Fine sand, fine sand with gravel | S |
| Cát mịn lẫn bụi, cát mịn lẫn bụi và sỏi - Fine sand with silt, fine sand with silt and gravel | S - SM | |
| Cát mịn lẫn sét, cát mịn lẫn sét và sỏi - Fine sand with clay, fine sand with clay and gravel | S - SC | |
| Cát mịn pha bụi, cát mịn pha bụi lẫn sỏi - Silty fine sand, silty fine sand with gravel | MS | |
| Cát mịn pha sét, cát mịn pha sét lẫn sỏi - Clayey fine sand, clayey fine sand with gravel | CS | |
| Bụi - Silt | ML | |
I.3 Phân loại đất hạt mịn
I.3.1 Phân loại đất hạt mịn được tiến hành dựa vào chỉ số dẻo của đất. Để phân loại, người ta chuyển đổi giá trị độ ẩm giới hạn chảy WL và LL theo tiêu chuẩn yêu cầu dựa vào các hàm tương quan. Để tính toán chuyển đổi, cần xác định hệ số điều chỉnh nhận được khi lập tương quan các kết quả thí nghiệm mẫu nghiên cứu.
Giá trị độ ẩm giới hạn dẻo WP và PL lấy bằng nhau.
I.3.2 Khi không có số liệu xác định hệ số điều chỉnh, chỉ với mục đích so sánh tên gọi phân loại đất, việc tính toán chuyển đổi giá trị WL và LL cho phép tiến hành theo công thức:
| LL = 1 ,48WL - 8,3 | (I.1) |
| WL = (LL + 8,3)/1,48 | (I.2) |
I.3.3 Sau khi tính toán chuyển đổi các giá trị WL và LL, tính các giá trị PI, IP, IL, IC và tiến hành phân loại đất theo tiêu chuẩn phân loại yêu cầu.
I.3.4 Tên gọi của đất khoáng mịn và đất khoáng hữu cơ mịn (fine graded soils) theo ISO 14688-2 và ASTM D2487 được xác định với việc sử dụng Biểu đồ dẻo của đất (Hình I.2). Tên gọi của đất được định ra trên cơ sở vị trí của điểm trên đồ thị tương ứng với tính chất của đất.

CHÚ DẪN: CH: sét - fat clay; CL: sét pha - lean clay; ML: bụi - silt; MH: bụi dẻo - elastic silt; CL-ML: sét bụi - silty clay; OH: sét hữu cơ có độ dẻo cao - organic clay with high plasticity; OH: sét hữu cơ có độ dẻo thấp - organic clay with low plasticity.
Phương trình đường thẳng A: PI= 0,73.(LL - 20)
Hình I.2 - Biểu đồ dẻo
I.3.5 Đất hữu cơ và đất vô cơ được phân loại dựa vào hàm lượng chất hữu cơ chứa trong đất, xác định được khi đốt cháy. Khi hàm lượng chất hữu cơ nhỏ hơn 5 % thì đất được xem là đất vô cơ (inorganic soil) và được phân loại như CH, CL, MH hay ML. Khi hàm lượng chất hữu cơ bằng hoặc lớn hơn 5 % thì đất được xem là đất khoáng-hữu cơ (organic soil) và được phân loại như OH hay OL. Khi hàm lượng các chất hữu cơ không phân hủy lớn hơn 50 % thì đất được xem là than bùn (Pt).
I.3.6 Khi không có số liệu về hàm lượng chất hữu cơ khi đốt, đất được phân loại theo tỷ số LLo/LLN. Nếu tỷ số LLo/LLN ≤ 0,75 thì đất được gọi là đất hữu cơ (organic soil), nếu LLo/LLN > 0,75 thì được gọi là đất vô cơ (inorganic soil).
I.3.7 Phân loại thành phần hạt thô và hạt cát của đất hạt mịn được tiến hành theo I.2.
I.3.8 Phân loại và gọi tên đất khoáng mịn (inorganic soil) có tính đến hàm lượng của thành phần hạt thô và hạt cát theo ASTM D2487 được tiến hành trên cơ sở phân loại theo lưu đồ nêu trong ASTM D2487 này.
I.3.9 So sánh tên gọi đất khoáng mịn, đất khoáng hữu cơ mịn và đất hữu cơ mịn, được xác định theo ISO 14688-2 và ASTM D2487 và TCVN 5746 : 2024, được nêu trong Bảng I.6 và Bảng I.7.
Bảng I.6 - Sự tương ứng tên gọi của đất khoáng mịn theo ISO 14688-2, ASTM D2487 và TCVN 5746 : 2024
| TCVN 5746 : 2024 | ISO 14688-2 và ASTM D2487 | |||
| Tên đất | Tên đất | Ký hiệu | Chỉ số dẻo Pl, % | Giới hạn chảy LL, % |
| Sét nặng | Sét Fat clay |
| > 45 | > 65 |
| Sét nhẹ | CH | 28 ÷ 45 | 45 ÷ 76 | |
| Sét pha nặng |
| 19 ÷ 28 | 50 ÷ 53 | |
| Sét pha Lean clay | CL | 19 ÷ 28 | 36 ÷ 50 | |
| Sét pha nhẹ | 11 ÷ 19 | 22 ÷ 45 | ||
| Cát pha | 7 ÷ 11 | < 32 | ||
| Sét lẫn bụi Silty clay | CL - ML | 4 ÷ 7 | < 30 | |
| Sét nặng | Bụi dẻo Elastic Silt | MH | > 53 | > 92 |
| Sét nhẹ | 35 ÷ 53 | 68 ÷ 114 | ||
| Sét pha nặng | 24 ÷ 35 | 52 ÷ 102 | ||
| Sét pha nhẹ | < 24 | 50 ÷ 68 | ||
| Bụi Silt | ML | 15 ÷ 24 | 41 ÷ 50 | |
| Cát pha | < 15 | < 41 | ||
Bảng I.7 - Sự tương ứng tên gọi của đất khoáng-hữu cơ mịn và đất hữu cơ mịn theo ISO 14688-2, ASTM D2487 và TCVN 5746 : 2024
| TCVN 5746 : 2024 | ISO 14688-2 và ASTM D2487 | |||
| Tên đất | Tên đất | Ký hiệu | Chỉ số dẻo PI, % | Giới hạn chảy LL, % |
| Sét nặng | Sét hữu cơ có độ dẻo cao Organic clay with high plasticity | OH | > 47 | > 68 |
| Sét nhẹ | 29 ÷ 47 | 44 ÷ 98 | ||
| Sét pha nặng | 19 ÷ 29 | 50 ÷ 62 | ||
| Sét pha nhẹ | 13 ÷19 | 50 ÷ 51 | ||
| Sét pha nặng | Sét hữu cơ có độ dẻo thấp Organic clay with low plasticity | OL | 19 ÷ 29 | 36 ÷ 50 |
| Sét pha nhẹ | 13 ÷ 19 | 25 ÷ 50 | ||
| Cát pha | < 13 | < 41 | ||
| Bùn | Than bùn - Peat | Pt | - | - |
I.3.10 Sự tương ứng tên gọi của các dạng đất khoáng mịn và đất khoáng-hữu cơ mịn đã được phân loại theo chỉ số chảy IL trong TCVN 5746 : 2024 và theo chỉ số sệt IC trong ISO 14688-2 được nêu trong Bảng I.8.
Bảng I.8 - Sự tương ứng tên gọi của các dạng đất khoáng phân tán mịn và đất khoáng - hữu cơ theo chỉ số chảy IL và chỉ số sệt IC
| TCVN 5746 : 2024 | ISO 14688-2 | ||
| Tên đất | Chỉ số chảy IL | Dạng đất | Chỉ số sệt IC |
| Cát pha | < 0 | Cứng | Cứng - Very stiff |
| ≥ 0; ≤ 1,0 | Dẻo | Chảy - nửa cứng Very soft - stiff | |
| > 1,0 | Chảy | Chảy - Very soft | |
| Sét pha | < 0 | Cứng | Cứng - Very stiff |
| ≥ 0; ≤ 0,25 | Nửa cứng | Nửa cứng - Stiff | |
| > 0,25; ≤ 0,5 | Dẻo cứng | Dẻo cứng - nửa cứng Firm - stiff | |
| > 0,5; ≤ 0,75 | Dẻo mềm | Dẻo mềm - dẻo cứng Soft - firm | |
| > 0,75; ≤ 1,0 | Dẻo chảy | Chảy - dẻo cứng Very soft - firm | |
| > 1,0 | Chảy | Chảy - dẻo mềm Very soft - solf | |
| Sét | < 0 | Cứng | Cứng - Very stiff |
| ≥ 0; ≤ 0,25 | Nửa cứng | Nửa cứng - Stiff | |
| > 0,25; ≤ 0,5 | Dẻo cứng | Dẻo cứng - nửa cứng Firm - stiff | |
| > 0,5; ≤ 0,75 | Dẻo mềm | Dẻo cứng - Firm | |
| > 0,75; ≤ 1,0 | Dẻo chảy | Dẻo mềm - dẻo cứng Soft - firm | |
| > 1,0 | Chảy | Chảy - dẻo mềm Very soft - solf | |
Thư mục tài liệu tham khảo
[1] ASTM D2487 : 2017, Standard Practice for Classification of Soils for Engineering Purposes (Tiêu chuẩn thực hành phân loại đất cho mục đích xây dựng)
[2] ASTM D4318 : 2017, Standard Test Methods for Liquid Limit, Plastic Limit, and Plasticity Index of Soil (Các phương pháp thí nghiệm xác định giới hạn chảy, giới hạn dẻo và chỉ số dẻo của đất)
[3] ISO 14688-2 : 2017, Geotechnical investigation and testing - Identification and classification of soil - Part 2: Principles for a classification (Khảo sát và thí nghiệm địa kỹ thuật - Nhận dạng và phân loại đất - Phần 2: Nguyên tắc phân loại)
[4] ISO 17892-12 : 2018, Geotechnical investigation and testing - Laboratory testing of soil - Part 12: Determination of liquid and plastic limits (Khảo sát và thí nghiệm địa kỹ thuật - Thí nghiệm đất trong phòng - Phần 12: Xác định giới hạn chảy và giới hạn dẻo)
[5] TCVN 8722, Đất xây dựng công trình thủy lợi - Phương pháp xác định các đặc trưng lún ướt của đất trong phòng thí nghiệm
[6] TCVN 8725, Đất xây dựng công trình thủy lợi - Phương pháp xác định sức chống cắt của đất hạt mịn mềm yếu bằng thí nghiệm cắt cánh ở trong phòng thí nghiệm
[7] TCVN 8726, Đất xây dựng công trình thủy lợi - Phương pháp xác định hàm lượng chất hữu cơ của đất trong phòng thí nghiệm
[8] TCVN 8727, Đất xây dựng công trình thủy lợi - Phương pháp xác định tổng hàm lượng và hàm lượng các ion thành phần muối hòa tan của đất trong phòng thí nghiệm
[9] TCVN 9362 : 2012, Tiêu chuẩn thiết kế nền nhà và công trình
MỤC LỤC
1 Phạm vi áp dụng
2 Tài liệu viện dẫn
3 Thuật ngữ, định nghĩa
4 Nguyên tắc chung phân loại đất, đá xây dựng
5 Phân loại đất, đá xây dựng
Phụ lục A (quy định) Phân loại tổng quát đất, đá xây dựng
Phụ lục B (quy định) Các chỉ tiêu cơ bản của đất, đá xây dựng
Phụ lục C (quy định) Ký hiệu các chỉ tiêu của đất, đá bằng chữ cái chính
Phụ lục D (quy định) Phân loại đá thành các dạng theo các chỉ tiêu tính chất
Phụ lục E (quy định) Phân loại đất rời thành các dạng theo các chỉ tiêu tính chất
Phụ lục F (quy định) Phân loại đất dính thành các dạng theo các chỉ tiêu tính chất
Phụ lục G (quy định) Phân loại đất thành các dạng theo thành phần vật chất
Phụ lục H (tham khảo) Các thuật ngữ cơ bản dùng cho đất trong các tiêu chuẩn ISO và ASTM
Phụ lục I (tham khảo) Sự tương ứng của tên gọi đất trong TCVN 5746:2024 với ISO 14688-2 và ASTM D2487
Thư mục tài liệu tham khảo
Bạn chưa Đăng nhập thành viên.
Đây là tiện ích dành cho tài khoản thành viên. Vui lòng Đăng nhập để xem chi tiết. Nếu chưa có tài khoản, vui lòng Đăng ký tại đây!
