- Tổng quan
- Nội dung
- Tiêu chuẩn liên quan
- Lược đồ
- Tải về
Tiêu chuẩn TCVN 14393:2025 Nhà và công trình trong vùng khai thác mỏ và đất lún ướt - Yêu cầu thiết kế
| Số hiệu: | TCVN 14393:2025 | Loại văn bản: | Tiêu chuẩn Việt Nam |
| Cơ quan ban hành: | Bộ Khoa học và Công nghệ | Lĩnh vực: | Xây dựng |
| Trích yếu: | Nhà và công trình trong vùng khai thác mỏ và đất lún ướt - Yêu cầu thiết kế | ||
|
Ngày ban hành:
Ngày ban hành là ngày, tháng, năm văn bản được thông qua hoặc ký ban hành.
|
18/07/2025 |
Hiệu lực:
|
Đã biết
|
| Người ký: | Đang cập nhật |
Tình trạng hiệu lực:
Cho biết trạng thái hiệu lực của văn bản đang tra cứu: Chưa áp dụng, Còn hiệu lực, Hết hiệu lực, Hết hiệu lực 1 phần; Đã sửa đổi, Đính chính hay Không còn phù hợp,...
|
Đã biết
|
TÓM TẮT TIÊU CHUẨN VIỆT NAM TCVN 14393:2025
TCVN 14393:2025 - Quy định thiết kế nhà và công trình trong vùng khai thác mỏ và đất lún ướt
Tiêu chuẩn quốc gia TCVN 14393:2025 được ban hành với mục đích quy định yêu cầu thiết kế cho nhà và công trình nằm trong vùng khai thác mỏ và những khu vực có đất lún ướt, nhằm đảm bảo tính an toàn và khả năng chống chịu trước các tác động từ môi trường tự nhiên cũng như quá trình khai thác. Tiêu chuẩn này được xây dựng trên cơ sở tham khảo từ tiêu chuẩn quốc tế SP 21.13330.2012 và có hiệu lực từ ngày 01/01/2026.
Yêu cầu thiết kế:
- Phạm vi áp dụng: Tiêu chuẩn áp dụng cho việc thiết kế các công trình trong vùng khai thác mỏ, tuy nhiên không áp dụng cho các công trình trong khu vực động đất hoặc các công trình thủy công, đường giao thông, sân bay.
- Biến dạng của nền đất: Các công trình cần được thiết kế để chịu được ảnh hưởng của sự lún không đều và dịch chuyển của nền đất do tác động của việc khai thác mỏ. Các thiết kế cần tính toán đến việc ứng phó với tình huống này để đảm bảo sự ổn định và an toàn cho công trình.
Quy định cụ thể:
- Thiết kế móng: Công trình cần được thiết kế móng vững chắc và có thể có giải pháp như sử dụng móng cọc, nhằm đảm bảo khai thác bình thường và giảm thiểu ảnh hưởng của đất lún ướt.
- Quan trắc biến dạng: Thực hiện quan trắc thường xuyên với bề mặt đất, nhà và công trình trong quá trình thi công và cả sau khi đưa vào sử dụng để kịp thời phát hiện các dấu hiệu bất thường.
- Chế độ bảo vệ và xử lý: Cần phải xây dựng các biện pháp bảo vệ và xử lý hợp lý trong điều kiện lún ướt, nhằm tránh các tình huống nguy hiểm gây ra bởi sự lún không đều của nền đất.
Biện pháp bảo vệ đặc biệt:
- Thực hiện các khảo sát địa chất: Cần có khảo sát địa chất chi tiết để nắm được đặc điểm đất nền, từ đó đưa ra những phương án thiết kế thích hợp nhất.
- Đối với các công trình đặc biệt, phức tạp: Những công trình này cần các phương án thiết kế riêng biệt, không được phép xây dựng nếu chưa có tính toán và kiểm định an toàn.
Hồ sơ thiết kế và tiêu chuẩn hóa:
- Đối với các công trình xây dựng thông thường, không sử dụng hồ sơ thiết kế điển hình nếu không qua tính toán và điều chỉnh theo các yêu cầu của tiêu chuẩn.
- Hồ sơ thiết kế cho các công trình phải bao gồm các thông tin rõ ràng, như sơ đồ kết cấu, biện pháp bảo vệ và dữ liệu dự báo biến dạng, nhằm phục vụ cho việc thi công và giám sát trong đặc thù vùng khai thác.
Với những quy định cụ thể trên, TCVN 14393:2025 góp phần quan trọng trong việc đảm bảo an toàn cho nhà và công trình trong các khu vực khai thác mỏ và đất lún ướt, đồng thời giúp cho quá trình thiết kế và thi công được thực hiện một cách thống nhất và đồng bộ, dựa trên các tiêu chuẩn kỹ thuật đã được quy định.
Tải tiêu chuẩn Việt Nam TCVN 14393:2025
TIÊU CHUẨN QUỐC GIA
TCVN 14393:2025
NHÀ VÀ CÔNG TRÌNH TRONG VÙNG KHAI THÁC MỎ VÀ ĐẤT LÚN ƯỚT - YÊU CẦU THIẾT KẾ
Buildings and structures on mining areas and collapsible soils - Design requirements
Lời nói đầu
TCVN 14393:2025 được xây dựng trên cơ sở tham khảo SP 21.13330.2012 Buildings and structures on undermined areas and slumping soils (và sửa đổi 1 năm 2017).
TCVN 14393:2025 do Viện Khoa học công nghệ xây dựng (Bộ Xây dựng) biên soạn, Bộ Xây dựng đề nghị, Ủy ban Tiêu chuẩn Đo lường Chất lượng Quốc gia thẩm định, Bộ Khoa học và Công nghệ công bố.
NHÀ VÀ CÔNG TRÌNH TRONG VÙNG KHAI THÁC MỎ VÀ ĐẤT LÚN ƯỚT - YÊU CẦU THIẾT KẾ
Buildings and structures on mining areas and collapsible soils - Design requirements
1 Phạm vi áp dụng
Tiêu chuẩn này quy định các yêu cầu kỹ thuật để thiết kế nhà và công trình trong vùng khai thác mỏ và đất lún ướt.
Tiêu chuẩn này không áp dụng để thiết kế nhà và công trình trong khu vực động đất có tích ( ) nằm trong khoảng từ 0,1 g đến 0,4g, cũng như không áp dụng để thiết kế các công trình thủy công, đường giao thông, sân bay, v.v.
CHÚ THÍCH: agR là đỉnh gia tốc nền tham chiếu trên nền loại A và s là hệ số nền, lấy theo TCVN 9386; g là gia tốc trọng trường, g = 9,81 m/s2.
2 Tài liệu viện dẫn
Các tài liệu viện dẫn sau là cần thiết cho việc áp dụng tiêu chuẩn này. Đối với các tài liệu viện dẫn ghi năm công bố thì áp dụng phiên bản được nêu. Đối với các tài liệu viện dẫn không ghi năm công bố thì áp dụng phiên bản mới nhất, bao gồm cả các sửa đổi, bổ sung (nếu có).
TCVN 2737, Tải trọng và tác động
TCVN 4195, Đất xây dựng - Phương pháp xác định khối lượng riêng trong phòng thí nghiệm
TCVN 4196, Đất xây dựng - Phương pháp xác định độ ẩm và độ hút ẩm trong phòng thí nghiệm
TCVN 4197, Đất xây dựng - Phương pháp xác định giới hạn dẻo và giới hạn chảy trong phòng thí nghiệm
TCVN 4198, Đất xây dựng - Phương pháp phân tích thành phần hạt trong phòng thí nghiệm
TCVN 4199, Đất xây dựng - Phương pháp xác định sức chống cắt trong phòng thí nghiệm ở máy cắt phẳng
TCVN 4200, Đất xây dựng - Phương pháp xác định tính nén lún trong phòng thí nghiệm
TCVN 4201, Đất xây dựng - Phương pháp xác định độ chặt tiêu chuẩn trong phòng thí nghiệm
TCVN 4202, Đất xây dựng - Các phương pháp xác định khối lượng thể tích trong phòng thí nghiệm
TCVN 4419, Khảo sát cho xây dựng - Nguyên tắc cơ bản
TCVN 4449, Quy hoạch xây dựng đồ thị - Tiêu chuẩn thiết kế
TCVN 4454, Quy hoạch xây dựng nông thôn - Tiêu chuẩn thiết kế
TCVN 4514, Xí nghiệp công nghiệp - Tổng mặt bằng - Tiêu chuẩn thiết kế
TCVN 5307, Kho dầu mỏ và sản phẩm dầu mỏ - Yêu cầu thiết kế
TCVN 5326, Kỹ thuật khai thác mỏ lộ thiên
TCVN 5574, Thiết kế kết cấu bê tông và bê tông cốt thép
TCVN 5575, Thiết kế kết cấu thép
TCVN 5746, Đất, đá xây dựng - Phân loại
TCVN 7957, thoát nước - Mạng lưới bên ngoài và công trình - Yêu cầu thiết kế
TCVN 8722, Đất xây dựng công trình thủy lợi - Phương pháp xác định các đặc trưng lún ướt của đất trong phòng thí nghiệm
TCVN 9350, Đất xây dựng - Phương pháp phóng xạ xác định độ ẩm và độ chặt của đất tại hiện trường
TCVN 9354, Đất xây dựng - Phương pháp xác định mô đun biến dạng tại hiện trường bằng tấm nén phẳng
TCVN 9360, Công trình dân dụng và công nghiệp - Xác định độ lún bằng phương pháp đo cao hình học
TCVN 9362, Tiêu chuẩn thiết kế nền nhà và công trình
TCVN 9379, Kết cấu xây dựng và nền - Nguyên tắc cơ bản về tính toán.
TCVN 10304, Thiết kế móng cọc
TCVN 12251, Bảo vệ chống ăn mòn cho kết cấu xây dựng
3 Thuật ngữ, định nghĩa và ký hiệu
3.1 Thuật ngữ và định nghĩa
Tiêu chuẩn này sử dụng các thuật ngữ và định nghĩa theo TCVN 5746 và các thuật ngữ, định nghĩa sau:
3.1.1
Áo hầm lò (lining)
Kết cấu cố định giúp gia cố hầm lò và tạo thành bề mặt bên trong của nó.
3.1.2
Áp lực lún ướt ban đầu (initial slumping pressure)
Áp lực tối thiểu mà các thuộc tính lún ướt của đất được thể hiện khi đất bão hòa hoàn toàn.
3.1.3
Bán kính cong tương đối (relative curvature radius)
Độ cong của bề mặt đất tự nhiên hoặc ở cao độ để móng trên đoạn cong biến đổi tính lún của đất do trọng lượng bản thân từ không đến một giá trị lớn nhất, đó là tỷ số của bình phương chiều dài phần đường cong với giá trị độ lún lớn nhất theo trọng lượng bản thân của nó.
3.1.4
Biến dạng đứng bề mặt đất (vertical deformations of land surface)
Biến dạng của bề mặt đất trong mặt phẳng thẳng đứng do chuyển dịch đứng không đều.
3.1.5
Biến dạng cho phép của nền (admissible structure base deformations)
Giá trị biến dạng mà khi biển dạng thực tế của công trình lớn hơn nó có thể gây các hư hại cho công trình, nhưng vẫn đảm bảo khai thác bình thường theo công năng.
3.1.6
Biến dạng giới hạn của nền (ultimate structure base deformations/limit state of fitness)
Biến dạng mà khi vượt quá nó có thể dẫn đến tình trạng nguy hiểm công trình hay gây nguy hiểm đến tính mạng con người.
3.1.7
Biến dạng và chuyển dịch có thể xảy ra (virtual deformations and subsidence)
Biến dạng và chuyển dịch được dự tính cho khu vực trong điều kiện không có kế hoạch khai thác.
3.1.8
Biến dạng và chuyển dịch dự báo (expected deformations and subsidence)
Chuyển dịch và biến dạng được dự tính cho khu vực trong điều kiện có kế hoạch khai thác và dữ liệu ban đầu cần thiết cho tính toán được biết đến.
3.1.9
Biến dạng lún ướt tương đối (relative slumping ability)
Tỷ số giữa sự thay đổi của chiều dày lớp đất không có khả năng nở hông trước và sau khi tăng độ ẩm ở áp lực xác định với chiều dày ban đầu của nó ở thế nằm tự nhiên.
3.1.10
Biến dạng ngang tương đối kéo và nént (horizontal tensile or compressive strain)
Biến dạng của bề mặt đất (khối đất đá) trong mặt phẳng nằm ngang, do sự chuyển dịch ngang không đồng đều ở trong phễu chuyển dịch (khối đất đá).
3.1.11
Công trình xây dựng trong vùng khai thác mỏ (undermined buildings)
Nhà, các công trình xây dựng và hạ tầng kỹ thuật nằm trong vùng khai thác mỏ.
3.1.12
Công trình ngầm hay phần ngầm của công trình (subsurface structure)
Công trình hay một phần của công trình nằm bên dưới mặt đất.
3.1.13
Chuyển dịch ngang (horizontal displacement)
Chuyển dịch theo chiều ngang của đất hoặc công trình xảy ra khi sụt lún không đều của đất nền do trọng lượng bản thân của nó ở những khu vực có độ sụt lún thay đổi lớn nhất.
3.1.14
Chiều dày lún ướt (slumping stratum)
Chiều dày từ bề mặt tự nhiên hay cao độ quy hoạch đến đỉnh của lớp đất không lún ướt.
3.1.15
Chuyển dịch bề mặt đất (land movement)
Dịch chuyển và biến dạng của bề mặt đất (khối đất đá) do phá hủy cân bằng tự nhiên bởi các hoạt động khai thác mỏ.
3.1.16
Đất (soil)
Tên chung của tất cả các loại đất đá có thể sử dụng trong các hoạt động xây dựng.
3.1.17
Đất lún ướt (sluming soil)
Đất loại sét, có cấu trúc không ổn định, khi độ ẩm của đất vượt cao hơn một giá trị nhất định sẽ xảy ra hiện tượng giảm độ bền và dưới tác dụng của tải trọng ngoài và (hoặc) trọng lượng bản thân đất nền bị nén chặt bổ sung và được thể hiện bằng sự tăng độ lún.
3.1.18
Độ ẩm lún ướt ban đầu (initial slumping moisture)
Độ ẩm tối thiểu mà khi đó xuất hiện thuộc tính lún ướt của đất ở một trạng thái ứng suất nhất định.
3.1.19
Độ cong của phễu dịch chuyển bề mặt đất (curvature of subsidence trough)
Tỷ lệ chênh lệch độ dốc của hai khoảng liền kề của phễu so với một nửa tổng các độ dài của các khoảng cách này.
3.1.20
Độ lệch của các điểm ở phễu dịch chuyển (skewing)
Giá trị biến đổi góc (trước khi biến dạng) của hình vuông có cạnh song song vá vuông góc với đường phương của vỉa. Phân biệt độ lệch theo hướng đường phương (hướng vuông góc) của vỉa (tầng) và theo hướng xác định trước.
3.1.21
Độ lún bổ sung của lớp đất nằm dưới (additional settlement of the underlaying stratum)
Biến dạng thẳng đứng của các lớp đất nằm bên dưới tầng đất lún ướt, do: tải trọng phân bố đều của nhà hoặc công trình (bao gồm cả tải trọng trên sàn); tăng trọng lượng bản thân của lớp đất lún ướt; thi công cọc, đắp đất tạo mặt bằng, v.v.
3.1.22
Độ xoắn của các điểm trong phễu dịch chuyển (twisting)
Tỷ lệ chênh lệch độ dốc của ranh giới song song với ranh giới biến dạng của diện tích vuông và mặt bên của nó. Trong tính toán vặn xoắn theo hướng đường phương (vuông góc với đường phương) được xác định là đạo hàm bậc hai của hàm lún theo biến số phương X và y (trong đó: x - là khoảng cách theo hướng đường phương từ các điểm đang xem xét đến tiết diện chính của phễu lún ngang qua đường phương; y - khoảng cách theo hướng vuông góc với đường phương từ các điểm được xem xét đến tiết diện chính của phễu lún theo đường phương của vỉa).
Phân biệt vặn xoắn theo hướng đường phương (vuông góc đường phương) và theo một hướng nhất định.
3.1.23
Độ nghiêng của các khoảng trong phễu dịch chuyển (inclination of subsidence trough intervals)
Tỷ lệ chênh lệch độ lún của hai điểm lân cận nằm trên mặt phễu lún với khoảng cách giữa chúng.
3.1.24
Gương đào (working face)
Vị trí mà đất được đào bỏ trong quá trình thi công (bằng các phương pháp hở hoặc kín) và luôn chuyển dịch trong quá trình thi công.
3.1.25
Hầm (tunnel)
Công trình ngầm dạng tuyến nằm ngang hoặc nghiêng cao 2 m hoặc lớn hơn để phục vụ cho các tuyến đường sắt và đường bộ, đường giao cắt cho người đi bộ, thông tin liên lạc, v.v.
3.1.26
Hệ số độ cứng của nền (base rigidity index)
Đặc tính nén của nền, được xác định bằng tỷ số của tải trọng phân bố đều trên nền và độ lún tương ứng của nó.
3.1.27
Khai thác mỏ (mine opening)
Một khoang rỗng trong lớp vỏ trái đất hình thành do hoạt động khai thác khoáng sản nhằm mục đích thăm dò và khai thác khoáng sản, khảo sát địa chất và xây dựng các công trình ngầm.
3.1.28
Khai thác ngầm (underworking)
Xây dựng các công trình ngầm kín với mục đích khai thác khoáng sản hoặc xây dựng các công trình ngầm công năng khác nhau có tác động đến đối tượng khai thác.
3.1.29
Khu vực khai thác ngầm (undermining area)
Khu vực mà do hoạt động khai thác ngầm, có thể xảy ra tình trạng sụt lún không đều hoặc dịch chuyển đất ở phần nền nhà hoặc công trình.
3.1.30
Lăng thể đất bảo tồn (inby rib)
Một phần của vỉa khoáng sản, được giữ lại trong lòng đất với mục đích ngăn chặn các ảnh hưởng nguy hiểm của hoạt động khai thác đến các đối tượng mỏ.
3.1.31
Mức độ biến đổi tính chịu nén của nền (level of the base compression variablity)
Tỷ số giữa giá trị mô đun biến dạng lớn nhất của đất theo chiều sâu với giá trị nhỏ nhất của nó hoặc biến dạng thẳng đứng lớn nhất của nền với giá trị nhỏ nhất của nó.
3.1.32
Mức độ biến đổi tính chịu nén của nền đất lún ướt (level of the base compression variability)
Tỷ số giữa giá trị lớn nhất của mô đun biến dạng của đất lún ướt ở độ ẩm tự nhiên theo độ sâu với giá trị nhỏ nhất của nó ở độ ẩm bão hòa (trong phạm vi mặt bằng xây dựng) hoặc biến dạng thẳng đứng lớn nhất của nền với giá trị nhỏ nhất của nó.
3.1.33
Nền công trình (structure base)
Khối đất tương tác với công trình.
3.1.34
Phễu dịch chuyển bề mặt đất (surface subsidence trough)
Khu vực bề mặt đất đã bị dịch chuyển do khai thác phần ngầm.
3.1.35
Phương pháp thi công đào kín (trenchless method)
Phương pháp thi công đào ngầm mà không cần đào hở từ bề mặt đất.
3.1.36
Sụp đổ (mining damage)
Khu vực bề mặt đất bị sụp đổ do ảnh hưởng của quá trình khai thác ngầm.
3.1.37
Sụt lún bề mặt đất (surface subsidence)
Thành phần véc tơ dịch chuyển thẳng đứng của một điểm trên bề mặt đất trong phễu dịch chuyển.
3.1.38
Sườn, bậc (bench)
Biến dạng tập trung của bề mặt đất, biểu hiện ở việc hình thành các vết nứt do trượt của đất đá.
3.1.39
Vùng ảnh hưởng do đào ngầm (area of undermining influence)
Khu vực mà ngoài phạm vi của chúng các tác động bất lợi đến ổn định của các công trình xung quanh là nhỏ, có thể bỏ qua.
3.2 Ký hiệu
Tiêu chuẩn này sử dụng các ký hiệu sau:
| C | Hệ số độ cứng nền chịu nén |
| CI | Hệ số độ cứng nền chịu nén ứng với trạng thái bão hòa hoàn toàn |
| F | Diện tích tiếp xúc của móng với nền, m2 |
| HsL | Chiều dày lún ướt, m |
| pn | Áp lực pháp tuyến ban đầu lên nền đất |
| psL | Áp lực lún ướt ban đầu |
| R | Cường độ tính toán của nền đất nền, MPa |
| RyC | Bán kính cong tương đối của nền, m |
| SsL,g | Độ lún ướt của đất do trọng lượng bản thân, cm |
| SsL,p | Độ lún ướt của đất do tải trọng ngoài gây ra, cm |
| Su,L | Độ lún bổ sung, cm |
|
| Độ lún tương đối |
| Δsu | Giới hạn biến dạng nền không đều, cm |
| Δsu,sL | Giới hạn biến dạng nền không đều của đất lún ướt, cm |
| i | Độ dốc |
| u | Chuyển dịch ngang |
| wsL | Độ ẩm lún ướt ban đầu |
| αE | Mức độ biến đổi tính chịu nén của nền |
| αE,sL | Mức độ biến đổi tính chịu nén của nền đất lún ướt |
| εu | Chuyển dịch ngang tương đối, mm/m |
| η | Sụt lún bề mặt đất, mm |
| ξ | Chuyển dịch ngang bề mặt đất, mm |
| γf | Hệ số độ tin cậy về tải trọng |
| γc | Hệ số điều kiện làm việc |
| τmax | Giá trị giới hạn của ứng suất tiếp |
| θ | Chuyển vị góc tính toán tương đối |
| εsL | Biến dạng lún ướt tương đối |
4 Quy định chung
4.1 Khi thiết kế nhà và công trình trong khu vực có các mỏ khoáng sản cần tính đến các quy định về xây dựng công trình trong phạm vi khu vực thăm dò, khai thác khoáng sản của khu vực đó.
4.2 Khi thiết kế nhà và công trình trên vùng khai thác mỏ cần phải xét đến:
a) Quy hoạch đô thị của khu vực phù hợp với TCVN 4449, đảm bảo giảm tác động có hại của biến dạng bề mặt nền đất đối với nhà và công trình.
b) Các giải pháp kết cấu để bảo vệ nhà và công trình.
c) Biện pháp giảm bớt độ lún không đều và loại bỏ độ nghiêng của nhà và công trình với việc áp dụng các phương pháp căn chỉnh khác nhau.
d) Các giải pháp kết cấu làm giảm ảnh hưởng của độ lún không đều lên các kết cấu chịu lực của nhà và công trình.
e) Các giải pháp công nghệ để loại bỏ độ nghiêng của nhà và công trình bằng nhiều phương pháp căn chỉnh khác nhau.
f) Các biện pháp bảo vệ khai thác mỏ, trong đó xem xét đến quy trình hoạt động khai thác để làm giảm sự biến dạng của bề mặt đất.
g) Lập biện pháp thi công san lấp mặt bằng để giảm thiểu biến dạng không đều của nền móng.
h) Biện pháp để loại trừ khả năng hình thành hố do sụp đổ ở khu vực khai thác ngầm mỏ cũ.
i) Loại bỏ (bịt kín, lấp đầy, v.v.) các khoảng trống ngầm trong hoạt động khai thác mỏ cũ được phát hiện ở quá trình khảo sát.
j) Các biện pháp để đảm bảo hoạt động bình thường của mạng lưới kỹ thuật bên trong và bên ngoài, thang máy và các thiết bị kỹ thuật, công nghệ khác trong trường hợp nền biến dạng không đều.
k) Việc tuân thủ các biện pháp bảo vệ được chỉ định không loại trừ khả năng xuất hiện các biến dạng và vết nứt cho phép của các kết cấu chịu lực và kết cấu bao che trong điều kiện vận hành, có thể được loại bỏ trong quá trình sửa chữa.
4.3 Khi vận hành khai thác nhà và công trình cần dự phòng các biện pháp bảo vệ phù hợp với các hướng dẫn trong Phụ lục B.
4.4 Hồ sơ thiết kế điển hình của các công trình xây dựng thông thường không được sử dụng trên vùng khai thác mỏ mà không kiểm tra bằng tính toán và nếu cần thiết phải điều chỉnh phù hợp với các yêu cầu của tiêu chuẩn này. Các thiết kế điển hình cho nhà và công trình trong vùng khai thác mỏ nên được tiêu chuẩn hóa đảm bảo khả năng áp dụng cho các vùng khai thác mỏ khác nhau.
4.5 Nhà và công trình có giải pháp thiết kế mới hoặc cải tiến, phương pháp căn chỉnh và phương pháp xử lý nền ở vùng khai thác mỏ chỉ được phép sử dụng trong xây dựng đại trà sau khi nhận được kết quả thử nghiệm trong điều kiện hiện trường.
Trong một số trường hợp, được phép xây dựng nhà và công trình cấp C2 và C3 (theo [1]) cho từng dự án riêng lẻ với các giải pháp thiết kế mà trong đó đã có các công trình ngầm được xây dựng.
4.6 Thiết kế nhà và công trình xây dựng trong vùng khai thác mỏ, cần đề xuất thực hiện các quan trắc biến dạng bề mặt đất, biến dạng nhà và công trình, bao gồm cả các phương pháp quan trắc khác trong quá trình thi công khi cần thiết.
4.7 Những công trình xây dựng có tính đặc biệt nguy hiểm, kỹ thuật phức tạp mà nhạy cảm với dịch chuyển của nền đất vùng khai thác mỏ thì không được phép.
4.8 Khi thiết kế nhà và công trình trên đất lún ướt cần xem xét:
a) Đặc điểm điều kiện địa chất công trình của khu vực xây dựng (loại biến dạng lún, nguồn gốc hình thành và chế độ ngậm nước, đặc trưng của đất nằm dưới tầng lún ướt, v.v.). Các chỉ tiêu vật lý và cơ học của đất được xác định phù hợp với TCVN 4195, TCVN 4196, TCVN 4197, TCVN 4198, TCVN 4199, TCVN 4200, TCVN 4202;
b) Chuẩn bị kỹ thuật và chọn địa điểm xây dựng;
c) Các giải pháp nền móng đảm bảo khai thác bình thường của nhà và công trình (khắc phục tính chất lún ướt của đất, sử dụng móng cọc, giải pháp xây dựng phức hợp);
d) Các tác động của chuyển dịch ngang, đứng (lún) không đều của nền đất đến kết cấu công trình;
e) Điều kiện xây dựng và kinh nghiệm thiết kế, thi công, vận hành nhà và công trình, bao gồm cả kết quả quan trắc trong điều kiện nền đất tương tự;
f) Sự có mặt của các công trình lân cận và trạng thái kỹ thuật của chúng.
4.9 Đối với điều kiện đất lún ướt loại II theo 6.1.3, khi có khả năng lún ướt dưới tải trọng bản thân Ssl,g > 20 cm, trong hồ sơ thiết kế sẽ có chương “kỹ thuật vận hành công trình”, với các hướng dẫn sau cho đơn vị khai thác vận hành:
a) Yêu cầu bổ sung nghiệm thu hoàn thành thi công (kể cả trường hợp sửa chữa), trước khi đưa vào khai thác vận hành;
b) Tiến hành kiểm tra hệ thống bằng phương pháp trực quan các kết cấu chịu lực và kết cấu chắn giữ;
c) Kiểm soát trạng thái hệ thống mạng cấp thoát nước bên trong và bên ngoài công trình, bể chứa nước và các dung dịch khác;
d) Quan trắc thường xuyên độ ẩm đất trong khu vực của công trình sản xuất có quy trình công nghệ ướt, cũng như trong vị trí khu vực vào và ra của đường ống truyền tải nước;
e) Các biện pháp cần thiết để loại bỏ nhanh chóng việc rò rỉ của nước khi phát hiện sự cố.
4.10 Trong các thiết kế điển hình phục vụ xây dựng nhà trên đất lún ướt loại II, kể cả việc chuẩn hóa để áp dụng, ví dụ, trên vùng khai thác mỏ, trong vùng động đất và các vùng khác, để đơn giản hóa việc tính toán kết cấu cũng như nền móng theo biến dạng khi gắn các thiết kế này vào điều kiện đất địa phương, cần các tiêu chí sau đây để phù hợp với dữ liệu, được nêu tại Điều 6:
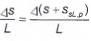
a) Độ lún ướt của đất do trọng lượng bản thân, ssL,g , tính bằng cm;
b) Độ sai lệch tương đối giữa tổng độ lún và độ lún ướt của nền
, tính bằng cm/m;
c) Chuyển dịch ngang tương đối εu, tính bằng mm/m;
d) Độ dốc của nền i, tính bằng mm/m;
e) Chỉ số biến dạng không đều của nền K, tính bằng mm/m hoặc bán kính cong tương đối của nền Ryc, tính bằng mét (m).
4.11 Khi sử dụng các thiết kế điển hình của nhà trên đất bình thường (không phải đất đặc biệt) phù hợp với TCVN 5746 và trong các điều kiện bình thường cho đất lún ướt loại I, mà không thực hiện các tính toán kết cấu và nền theo biến dạng, để đáp ứng điều kiện cho phép áp dụng, cần đảm bảo giá trị tính toán của các đặc trưng mức độ biến đổi tính chịu nén nền đất αE và biến dạng nền không đều Δsu của nền đất không được vượt quá giới hạn cho phép tương ứng:
a) Giá trị giới hạn mức độ biến đổi tính chịu nén của nền đất lún ướt αE,sL ở giá trị mô đun biến dạng trung bình tương ứng EsL;
b) Giới hạn biến dạng không đều của nền đất lún ướt Δsu,sL;
c) Giá trị trung bình của độ lún giới hạn su.
Giá trị của các đặc trưng nền đất αE, E và su xác định theo TCVN 9362 và TCVN 9354, αE,sL, EsL xác định theo 6.1 của tiêu chuẩn này.
4.12 Khi thiết kế trong điều kiện đất lún ướt loại II cho nhà và công trình cấp C2 và C3 (theo [1]) cần tuân thủ với yêu cầu của tiêu chuẩn TCVN 9362.
4.13 Quá trình chuẩn bị tài liệu thiết kế nhà và công trình cấp C2 và C3 (theo [1]) trên đất lún ướt, cần thực hiện kiểm tra:
a) Mức độ đầy đủ của công tác khảo sát địa chất công trình phù hợp với TCVN 4419 đã thực hiện và các cơ sở của các kết luận, kiến nghị dựa trên các kết quả khảo sát này;
b) Các tài liệu thiết kế đã thực hiện, bao gồm các giải pháp kỹ thuật được áp dụng theo các sơ đồ kết cấu, phương pháp xử lý nền, mô hình tính toán và hệ thống phần mềm đã được sử dụng, v.v.
4.14 Với các dự án nhà hoặc công trình được thiết kế trong vùng khai thác mỏ cần lập một hồ sơ chuyên đề, trong đó bao gồm:
a) Mô tả ngắn gọn về sơ đồ kết cấu, các biện pháp bảo vệ trong thời gian thi công và vận hành, cũng như các phương pháp khắc phục trong trường hợp xuất hiện biến dạng không cho phép;
b) Dữ liệu về các giá trị dự báo biến dạng bề mặt đất và các đặc trưng cơ lý của đất nền;
c) Hướng dẫn việc tổ chức và tiến hành các quan trắc địa kỹ thuật, bao gồm các quan trắc bằng các thiết bị trắc đạc thông thường hay các loại công nghệ quan trắc khác, các đặc tính biến dạng của nhà, công trình và bề mặt đất;
d) Dữ liệu về kết quả quan trắc bằng máy tại thời điểm bàn giao nhà và công trình đưa vào khai thác sử dụng;
e) Mặt bằng bố trí các mốc chuẩn sử dụng cho quá trình quan trắc;
f) Cảnh báo về sự xuất hiện biến dạng không cho phép trên cơ sở dữ liệu quan trắc.
4.15 Với các dự án nhà hoặc công trình thiết kế trên đất lún ướt, cần lập một hồ sơ chuyên ngành, trong đó phải đưa ra:
a) Mô tả ngắn gọn về sơ đồ kết cấu, biến dạng giới hạn của nền và giải pháp thiết kế để đảm bảo hoạt động bình thường của công trình;
b) Hướng dẫn thực hiện quan trắc địa kỹ thuật trong thi công công trình và trong những năm đầu tiên sau khi đưa công trình vào vận hành;
c) Khuyến nghị (cảnh báo) về cân bằng theo phương nằm ngang và thẳng đứng của thang máy, đường ray cẩu và các tuyến đường giao thông khác trong những trường hợp biến dạng không đều;
d) Sơ đồ xây dựng một khu hoặc một diện tích công trình mới, trên đó thể hiện: các công trình hiện hữu xung quanh khu xây dựng; hệ thống kỹ thuật hạ tầng cấp thoát nước hiện có và đã được dự kiến (đường ống nước, kênh thoát nước, v.v.) và vị trí của các thiết bị ngắt khẩn cấp từng khu vực riêng biệt trong các tuyến đường.
4.16 Quan trắc địa kỹ thuật phải được thực hiện phù hợp với TCVN 9362, trong đó có xét đến đặc điểm riêng khi xây dựng nhà và công trình trên vùng khai thác mỏ và đất lún ướt.
CHÚ THÍCH: Việc quan trắc địa kỹ thuật có thể tham khảo [2].
5 Nhà và công trình trong vùng khai thác mỏ
5.1 Các giả thiết cơ bản và dữ liệu đầu vào để tính toán nhà và công trình trong vùng khai thác mỏ
5.1.1 Việc tính toán kết cấu của nhà và công trình trong vùng khai thác mỏ phải được thực hiện bằng phương pháp phân tích dựa trên xử lý thống kê các quan trắc chuyển dịch của bề mặt đất trong khu vực phát triển các công trình ngầm và (hoặc) sử dụng các công cụ phần mềm máy tính hiện đại giúp dự báo biến dạng của nền đất và tính đến sự tương tác của công trình với nền.
Với phương pháp này, dữ liệu ban đầu là:
a) Thông số hình học (chiều sâu phân bố trong khối đất, hình dạng và kích thước) hầm lò;
b) Sơ đồ kết cấu và tính chất vật lý, cơ học của vật liệu xây dựng của kết cấu nhà hoặc công trình, đã hoặc đang xây dựng ở vùng khai thác mỏ, bao gồm phần ngầm và móng công trình;
c) Phương pháp (công nghệ) thi công hầm lò, loại thiết bị và đặc điểm của nó;
d) Số liệu địa hình và trạng thái ứng suất khối đất đá trước khi khai thác, được đánh giá nhờ kết quả đo đạc và tính toán thực tế bởi các cơ quan chuyên ngành;
e) Dữ liệu về cấu tạo khối đất đá, tính chất cơ lý của đá và đất, theo mặt cắt đến chiều sâu, không nhỏ hơn cao độ phía dưới hầm lò, cần thiết trong tính toán công trình;
f) Dữ liệu về tiến độ trình tự thi công nhà hoặc công trình và phần khai thác ngầm.
5.1.2 Để đánh giá ảnh hưởng của các tác động khai thác đến kết cấu của nhà và công trình, cho phép sử dụng phương pháp gần đúng, trong đó tác động bên ngoài của việc khai thác được xem như là chuyển dịch của khối đất trong phạm vi phễu trượt mà không kể đến nhà hoặc công trình đang xem xét (chuyển vị tổng thể).
Để tính toán chuyển vị tổng thể có thể ứng dụng chương trình tính toán theo mô hình phần tử hữu hạn mô phỏng sự thay đổi trạng thái ứng suất biến dạng của khối đất, cũng như công thức thực nghiệm nhận được trên cơ sở tổng hợp các kết quả quan trắc thực nghiệm. Khi đó, toàn bộ chuyển vị của nhà và công trình cần được xem xét là tổng của chuyển vị chung và chuyển vị cục bộ, biến dạng nền và độ cứng của nhà hoặc công trình.
Thông thường để mô hình hóa điều kiện làm việc của công trình và nền trong phạm vi bài toán phẳng (công trình dạng tuyến, được bố trí dọc hoặc ngang đường phương vỉa khoáng sản hoặc ngang trục của hầm mỏ), các tác động này đặc trưng bằng các thông số lựa chọn dưới đây:
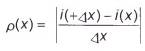
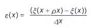
a) Sụt lún bề mặt đất η, tính bằng mm;
b) Độ dốc bề mặt nền dọc theo trục công trình i, tính bằng mm/m;
c) Độ cong (lồi, lõm)ρ, tính bằng 1/km, hoặc bán kính cong R = 1 / ρ, tính bằng km, trong mặt phẳng thẳng đứng qua trục công trình;
d) Chuyển dịch ngang ξ, tính bằng mm;
e) Biến dạng kéo hoặc nén tương đối theo chiều ngang ε, tính bằng mm/m, dọc trục công trình;
f) Sơ đồ và dạng biến dạng bề mặt đất được nêu tại Phụ lục A.
Khi cho giá trị η(x), ξ(x) ở tất cả các điểm trục chính (x) phễu, dọc theo trục công trình, thông số i(x), ρ(x), ε(x) được xác định thông qua η(x), ξ(x) nhờ sử dụng các tỉ số đã biết:
|
| (1) |
|
| (2) |
|
| (3) |
Khi không thể sử dụng sơ đồ bài toán phẳng, dữ liệu đầu vào phải là tất cả các thành phần của véc tơ chuyển vị bề mặt nền ở tất cả các điểm của phễu và cần tính toán sự làm việc không gian của các kết cấu nhà và công trình. Các thông số bổ sung, mô tả khái quát đặc điểm không gian biến dạng bề mặt đất trong phạm vi phễu dịch chuyển là:
a) Độ xoắn S, tính bằng 1/km;
b) Độ lệch (xiên) γ, tính bằng mm/m.
Nếu như theo dữ liệu dự báo trong điều kiện địa chất mỏ khai thác (ví dụ, khi nghiên cứu các vỉa dốc đứng) có thể xảy ra gián đoạn không liên tục của sự thay đổi hình dạng bề mặt phễu, cần xác định giá trị các bậc h, tính bằng cm, với các chỉ dẫn vị trí của chúng trong phạm vi của phễu.
Trong trường hợp thiết kế dự báo, cần kể tới tốc độ gia tăng của biến dạng bề mặt đất, v, tính bằng mm/(m.tháng).
5.1.3 Dữ liệu ban đầu được dùng khi thiết kế nhà và công trình ở vùng khai thác mỏ cần có là các giá trị dự kiến lớn nhất (khi đã có tiến độ khai thác) hoặc giá trị có thể xảy ra (khi không có tiến độ khai thác) của chuyển vị và biến dạng bề mặt đất ở tất cả các điểm trên phễu chuyển dịch hoặc ở các điểm dự kiến nằm trên hướng chính của nó.
5.1.4 Khi xây dựng công trình ngầm dạng tuyến (đường hầm, tuy nen kỹ thuật, đường ống, v.v.) có công năng khác nhau trong điều kiện xây dựng thực tế cần thực hiện tính toán biến dạng do thi công (xem Phụ lục A).
Khi tính toán được phép kể đến đặc trưng cường độ tác động tổng hợp (lượng đất dư, v.v.).
5.1.5 Vùng khai thác mỏ được chia thành khu vực có đất biến dạng từ nhóm I đến IV phụ thuộc vào giá trị của biến dạng bề mặt đất dọc theo trục chính của phễu lún theo Bảng 1.
Bảng 1 - Chia vùng khai thác mỏ theo biến dạng mặt đất
| Nhóm khu vực đất trong vùng khai thác mỏ | Biến dạng bề mặt đất khu vực khai thác mỏ | ||
| Biến dạng ngang tương đối ε, mm/m | Độ nghiêng i, mm/m | Bán kính cong R, km | |
| I | 8 < ε ≤ 12 | 10 < i ≤ 20 | 1 ≤ R < 3 |
| II | 5 < ε ≤ 8 | 7 < i ≤ 10 | 3 ≤ R < 7 |
| III | 3 < ε ≤ 5 | 5 < i ≤ 7 | 7 ≤ R < 12 |
| IV | 0 < ε ≤ 3 | 0 < i ≤ 5 | 12 ≤ R < 20 |
Các khu vực khai thác mỏ hình thành các lớp bề mặt đất trong quá trình khai thác phải được chia thành các nhóm theo Bảng 2
Bảng 2 - Chiều cao bậc của đường hào vỉa tàng
| Nhóm khu vực đất trong vùng khai thác mỏ | Ik | Ilk | lllk | IVk |
| Chiều cao bậc h, cm | 15 < h ≤ 25 | 10 < h ≤ 15 | 5 < h ≤ 10 | 0 < h ≤ 5 |
5.1.6 Giá trị tính toán biến dạng bề mặt đất khi xem nhà và công trình như các yếu tố tải trọng được xác định bằng cách nhân giá trị biến dạng dự báo (hoặc xác xuất) của bề mặt đất với hệ số độ tin cậy về tải trọng tương ứng theo Bảng 3.
5.1.7 Khi tính toán nhà và công trình dưới tác động của biến dạng bề mặt đất cần đưa vào hệ số điều kiện làm việc tương ứng γc, giá trị được nêu tại Bảng 4.
Bảng 3 - Hệ số độ tin cậy về tải trọng khi tính toán dự báo biến dạng bề mặt đất
| Dạng chuyển dịch và biến dạng | Hệ số độ tin cậy về tải trọng | ||
| Ký hiệu | để tính toán biến dạng và chuyển dịch | ||
| Dự báo | Xác xuất | ||
| 1. Sụt lún | γfη | 1,2 (0,9) | 1,1 (0,9) |
| 2. Dịch chuyển ngang | γfξ | 1,2 (0,9) | 1,1 (0,9) |
| 3. Nghiêng | γfi | 1,4 (0,8) | 1,2 (0,8) |
| 4. Biến dạng ngang kéo hoặc nén tương đối | γfε | 1,4 (0,8) | 1,2 (0,8) |
| 5. Độ cong | γfρ | 1,8 (0,6) | 1,4 (0,6) |
| 6. Bậc | γfh | 1,4 (0,8) | 1,2 (0,8) |
| 7. Xoắn | γfs | 1,8 | 1,4 |
| 8. Xiên | γfγ | 1,4 | 1,2 |
| CHÚ THÍCH: Các giá trị hệ số γf < 1 (các giá trị trong ngoặc đơn) được lấy khi tính toán nhà và công trình chịu tác động biến dạng bề mặt đất lớn nhất do hai dạng hoặc nhiều hơn đồng thời gây ra, kể cả khi giảm giá trị biến dạng của dạng nào đó, có thể gây tác động xấu đến điều kiện làm việc của kết cấu. | |||
Bảng 4 - Hệ số điều kiện làm việc
| Biến dạng | Hệ số điều kiện làm việc γc | |||
| Ký hiệu | khi giá trị tỉ số chiều cao và chiều dài của nhà (công trình) | |||
| ≤ 0,5 | > 0,5 đến ≤ 1 | > 1 | ||
| 1. Ngang tương đối | γcε | 1,0 | 0,8 | 0,7 |
| 2. Nghiêng | γci | 1,0 | 0,8 | 0,7 |
| 3. Cong | γcρ | 1,0 | 0,7 | 0,5 |
| 4. Xoắn | γcs | 1,0 | 0,7 | 0,5 |
| 5. Xiên | γcγ | 1,0 | 0,8 | 0,7 |
| CHÚ THÍCH: 1. Khi xem xét mặt cắt ngang của nhà (công trình), L là chiều rộng. 2. Đối với nhà (công trình) dạng tròn, L là đường kính ngoài. 3. Đối với nhà (công trình) dạng tháp khi L < 15 m cần lấy γci = 1,5. 4. Đối với đường cẩu của cầu trục có chiều dài 60 m và lớn hơn, cần lấy γci = 0,5 | ||||
5.1.8 Nếu theo kinh nghiệm khai thác ở điều kiện địa chất mỏ, cũng như việc việc phải đánh giá ảnh hưởng của khai thác, thông số đã biết không phải là đồ thị η(x), ξ(x) mà là giá trị i, ρ, ε tương ứng với nhà hoặc phần của nó với độ dài cho trước L thì xác định được giá trị của các đại lượng sau:
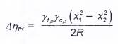
Chênh lệch sụt lún tính toán ΔηR giữa 2 điểm của nền nhà (công trình), tạo ra do độ cong tính toán tương ứng của mặt đất:
|
| (4) |
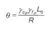
và độ dốc trung bình:
|
| (5) |
trong đó:
| x1, x2(x1<x2) | là khoảng cách từ điểm nghiên cứu đến trục trung tâm của nhà hoặc phần của nó; |
| γf, γc | là hệ số độ tin cậy về tải trọng và điều kiện làm việc, được xác định tương ứng theo Bảng 3 và Bảng 4. |
Chuyển vị tính toán của 1 điểm bất kỳ của nền đối với trục trung tâm của nhà (công trình) hoặc phần của nó, gây ra bởi biến dạng ngang:
|
| (6) |
5.1.9 Hướng và vị trí tính toán các bậc cần được chọn sao cho giá trị ứng lực trong kết cấu chịu lực ở nhà và công trình là lớn nhất.
5.2 Bố trí và xây dựng ở vùng khai thác mỏ có chứa khoáng sản
5.2.1 Khi lựa chọn để xây dựng khu vực có trữ lượng công nghiệp khoáng sản phù hợp với TCVN 4514 thì tính khả thi cần phải được khẳng định bằng tính toán hiệu quả kinh tế các phương án bố trí nhà và công trình có kể đến các chi phí:
a) Về các biện pháp bảo vệ nhà và công trình khỏi tác động của việc khai thác và mở rộng các cơ sở sản xuất xây dựng;
b) Việc sửa chữa, cải tạo nhà và công trình;
c) Đảm bảo sự làm việc liên tục của trang thiết bị;
d) Trong trường hợp cần thiết liên quan đến việc điều chỉnh kế hoạch phát triển khai thác;
e) Xây dựng hệ thống quan trắc liên tục hiện trạng móng và kết cấu của các đối tượng chịu ảnh hưởng biến dạng nền đất phía trên công trình ngầm.
5.2.2 Số liệu bản đồ cần thiết để nghiên cứu thiết kế bố trí và xây dựng thành phố và các điểm dân cư khác ở vùng khai thác mỏ, cần phải bao gồm:
a) Trích lục của bản đồ địa hình vùng xây dựng;
b) Trích lục mặt bằng đồng mức và mặt cắt địa chất vùng xây dựng với chỉ dẫn trữ lượng tài nguyên khoáng sản để khai thác;
c) Bản đồ địa chất vùng xây dựng với chỉ dẫn các điểm lộ của vỉa khoáng sản có ích và các đứt gãy kiến tạo cũng như các khu vực nguy hiểm gần kề, không dự định xây dựng.
Trên các bản đồ phải được chỉ ra:
a) Khu vực được lăng thể đất bảo tồn;
b) Miệng (lỗ) thẳng đứng và nghiêng của các công trình thăm dò khai thác cũ;
c) Vùng đã được hình thành và có khả năng sụp đổ;
d) Vùng có thể ngập lụt và úng ngập nước;
e) Sự phân bố các bậc hầm đã thành tạo từ trước trong phạm vi khu vực xây dựng và tiếp giáp với chúng;
f) Các vùng được bảo vệ cơ học và các vùng đệm khỏi ranh giới thiết kế bãi thải đá của mỏ không nằm trong kế hoạch xây dựng;
g) Ranh giới khu vực của các nhóm khác nhau theo giá trị biến dạng bề mặt đất hoặc mặt bằng khu đất xây dựng với cùng độ biến dạng;
h) Ranh giới khu đất có nguồn dự trữ khoáng sản.
CHÚ THÍCH: Tất cả các tài liệu bản đồ được thể hiện ở một dạng tỷ lệ, nhưng không nhỏ hơn 1:5 000, đối với khu vực xây dựng lớn thì tỷ lệ không nhỏ hơn 1:10 000. Trong trường hợp thiếu dữ liệu của tỷ lệ trên thì sử dụng tỷ lệ 1:25 000.
5.2.3 Khi nghiên cứu hồ sơ trong thành phần thiết kế chi tiết và thiết kế xây dựng công trình cần bao gồm sơ đồ địa chất vùng mỏ theo tỷ lệ của các bản vẽ chính. Sơ đồ cần phải chỉ ra loại khu vực theo điều kiện xây dựng: phù hợp, ít phù hợp, không phù hợp, tạm thời không phù hợp cho việc xây dựng các khu dân cư và khu phố.
Việc phân chia khu vực thành các loại nên được thực hiện theo Phụ lục G.
5.2.4 Khi bố trí và xây dựng thành phố và các điểm cư dân, bao gồm cả các vùng khai thác mỏ với giá trị biến dạng lớn hơn nhóm III và IV, cần xem xét sử dụng hiệu quả nhất khu vực phù hợp cho xây dựng.
Trên khu đất có sự kết hợp của các nhóm khu vực, cần kể đến sự bố trí của các vùng chức năng và nhà (công trình) riêng biệt, việc xây dựng có thể đảm bảo nhờ ứng dụng các biện pháp bảo vệ xây dựng.
5.2.5 Bố trí phân khu chức năng và các yếu tố của khu dân cư theo nhóm của khu vực khai thác được nêu tại Bảng 5. Khu vực không phù hợp để xây dựng cần để các dải cây xanh, vườn hoa, công viên và khu nghỉ dưỡng Bảng 5.
Bảng 5 - Phân khu chức năng của khu dân cư theo khu vực khai thác
| Các khu chức năng và yếu tố của khu dân cư | Bố trí hợp lý theo nhóm của khu vực khai thác mỏ |
| 1. Khu trường học và mẫu giáo | IV, III |
| 2. Khu cơ quan và doanh nghiệp phục vụ văn hóa và sinh hoạt | IV, III |
| 3. Khu kinh tế chung | IV, III, II |
| 4. Nhà công cộng (không phụ thuộc vào số tầng) | IV, III |
| 5. Công trình thể thao | IV |
| 6. Khu vực gần nhà dân có số tầng: |
|
| - Dưới 5 | IV, III, II |
| - Từ 5 đến 9 | IV, III |
| 7. Đường phố chính | IV, III |
| 8. Đường phố và lối đi khu dân cư | IV, III, II, I |
5.2.6 Thiết kế điển hình của nhà cùng loại cần nghiên cứu với tính toán cho các phương án nhà khác nhau về số lượng và quy mô, đảm bảo xây dựng ở những điều kiện địa chất khu mỏ khác nhau và phạm vi lớn nhất có thể của nhóm khu vực.
5.2.7 Khi nghiên cứu thiết kế bố trí và xây dựng thành phố và nông thôn phù hợp với TCVN 4449, TCVN 4454, trục của nhà cũng như mạng lưới đường phố cần định hướng song song với trục chính của phễu chuyển vị, bố trí hướng dọc của nhà theo hướng của biến dạng nhỏ nhất của bề mặt đất. Trong trường hợp này, cần kể đến các yêu cầu của TCVN 4449, TCVN 4454.
5.2.8 Trục dọc của nhà không phải nhà khung, thiết kế xây dựng ở khu đất khai thác khoáng sản, cần định hướng theo đường phương của vỉa để trên mặt đất không hình thành bậc. Ở khu vực có thể hình thành bậc, nhà được bố trí hợp lý giữa các bậc hoặc định hướng trục dọc ngang với đường phương của vỉa. Ở khu vực xuất lộ của các đứt gãy địa chất, trục dọc của nhà cần được định hướng theo phương của các đứt gãy.
5.3 Yêu cầu bổ sung đối với khảo sát công trình và chuẩn bị hồ sơ dự án và hồ sơ chấp thuận đối với xây dựng ở khu vực khai thác mỏ
5.3.1 Thiết kế nhà và công trình xây dựng ở khu vực khai thác mỏ cần nghiên cứu trên cơ sở phân tích địa chất mỏ và địa kỹ thuật, bao gồm:
a) Dữ liệu địa chất và địa chất thủy văn về các tầng khai thác;
b) Kế hoạch triển khai các công trình ngầm, đối với khai thác khoáng sản - kế hoạch khai thác chỉ ra triển vọng khai thác khoáng sản;
c) Số liệu hệ thống khai thác khoáng sản;
d) Thông tin về giá trị biến dạng dự báo (có khả năng xẩy ra) bề mặt đất;
e) Dự kiến các biện pháp bảo vệ xây dựng và khai thác.
5.3.2 Tài liệu về khảo sát xây dựng để thiết kế nhà và công trình ở vùng khai thác mỏ cần phải có thêm:
a) Đánh giá sự thay đổi về đặc điểm địa mạo, địa chất thủy văn và thủy văn khu vực xây dựng do sụt lún bề mặt đất (khả năng hình thành sụp đổ đất, thay đổi mực nước ngầm có kể đến sự biến động theo mùa và dài hạn, khả năng úng ngập khu vực);
b) Đánh giá các thay đổi có thể về các tính chất cơ lý của đất phù hợp với TCVN 5746 do sự thay đổi các điều kiện địa chất thủy văn của khu vực;
c) Thông tin về các vị trí của miệng các mỏ khai thác cũ nằm thẳng đứng và nghiêng;
d) Thông tin chi tiết về hoạt động khai thác mỏ cũ, mức độ lấp đầy các hoạt động khai thác bằng đất đá, ranh giới mỏ (trong trường hợp không có kế hoạch khai thác khoáng sản), về chiều dày lớp đất đá phía trên (thành phần của đất đá, vị trí của các khoảng trống trong tầng đất đá và kích thước của chúng);
e) Trong các trường hợp ở 5.5.8, b) - dữ liệu thí nghiệm đất với áp lực tăng dần và dỡ tải, đặc trưng cho tính phi tuyến biến dạng nền móng;
f) Trong các trường hợp ở 5.5.8, c) - dữ liệu thí nghiệm đất với ổn định biến dạng theo thời gian ở mỗi cấp tải trọng.
5.3.3 Khi xây dựng ở khu vực mà theo dữ liệu địa chất có xuất lộ các vỉa hoặc phá hủy kiến tạo của đất đá dưới lớp phủ, hoặc các mỏ đã khai thác và các vĩa lộ thiên, cần thiết thực hiện tổ hợp công tác khảo sát để xác định chính xác vị trí của các khoảng trống trong không gian khai thác, các vỉa lộ thiên phù hợp theo TCVN 5326 và có thể góc nghiêng của mặt phẳng đứt gãy và biên độ dịch chuyển của đất đá.
5.3.4 Không được xây dựng nhà và công trình ở khu vực khai thác mỏ mà theo dự báo có thể tạo ra các hố do sụp đổ cũng như ở khu vực có thể có nguy cơ trượt lở đất.
Xây dựng ở những khu vực có các vỉa đã và đang khai thác và các đứt gãy kiến tạo (bao gồm cả các vỉa dưới lớp phủ), cũng như ở những khu vực có hoạt động khai thác mỏ cũ được phép xây dựng khi có cơ sở kinh tế kỹ thuật phù hợp và dự báo biến dạng bề mặt đất theo các tiêu chuẩn hiện hành.
5.3.5 Thiết kế nhà và công trình để xây dựng ở khu vực nguy hiểm xả khí metan hoặc các khí độc hại khác lên bề mặt đất cần được thực hiện có kể đến biện pháp bảo vệ khỏi sự thâm nhập của chúng.
5.3.6 Khi xây dựng ở khu vực có khả năng xảy ra ngập lụt hoặc úng ngập do con người hoặc do việc khai thác mỏ gây ra, cần phải có biện pháp kỹ thuật bảo vệ khu vực.
Dự báo ngập lụt hoặc úng ngập khu vực và đưa ra biện pháp bảo vệ, cần thực hiện trên cơ sở kết luận của các cơ quan chuyên môn.
CHÚ THÍCH: Việc đưa ra biện pháp bảo vệ khu vực ngập lụt có thể tham khảo thêm [3],
5.3.7 Trong quá trình xây dựng ở các khu vực có thể xảy ra các quá trình địa chất nguy hiểm, do khai thác mỏ hay vì những lý do độc lập với việc khai thác mỏ, cần phải đưa ra kỹ thuật bảo vệ đối với khu vực này.
Dự báo khả năng tác động của các quá trình địa chất nguy hiểm trên khu vực và đưa ra biện pháp bảo vệ phù hợp phải được thực hiện trên cơ sở đánh giá của một tổ chức chuyên môn.
CHÚ THÍCH: Việc đưa ra biện pháp bảo vệ khu vực xảy ra các quá trình địa chất nguy hiểm có thể tham khảo thêm [4].
5.4 Nguyên tắc thiết kế nhà và công trình trên vùng khai thác mỏ
5.4.1 Nhà và công trình phụ thuộc vào chức năng và điều kiện làm việc cần thiết kế kết cấu phù hợp với TCVN 5574 và TCVN 5575 theo độ cứng, dẻo hoặc liên hợp. Dạng sơ đồ kết cấu xác định tính cần thiết, đặc điểm và thành phần của giải pháp kết cấu.
5.4.2 Khi thiết kế theo sơ đồ kết cấu cứng cần xem xét loại trừ khả năng có thể dịch chuyển tương hỗ với nhau của các cấu kiện riêng biệt của kết cấu chịu lực khi biến dạng nền, do:
a) Phân chia nhà và công trình bởi các khe biến dạng thành các phần riêng biệt;
b) Tăng cường các cấu kiện chịu lực riêng biệt và liên kết giữa chúng với nhau;
c) Lắp dựng vào tường bê tông các đai cốt thép;
d) Lắp dựng tấm ngang bê tông cốt thép sàn và mái;
e) Lắp dựng móng nhà và công trình ở dạng các tấm dày đặc, dầm bắt chéo, dầm tường, v.v.
Khi thiết kế theo sơ đồ kết cấu dẻo cần xem xét khả năng kết cấu không xuất hiện ứng lực bổ sung
khi có biến dạng không đều của bề mặt đất, do:
a) Lắp dựng ở phần ngầm các khớp trượt ngang;
b) Lắp dựng liên kết khớp và mềm giữa các cấu kiện của kết cấu chịu lực và bao ngoài;
c) Giảm độ cứng kết cấu chịu lực;
d) Lắp dựng đệm mềm và các cơ cấu bù;
e) Tăng khe hở giữa các kết cấu liền kề.
Các biện pháp cần thiết áp dụng với tính toán để đảm bảo:
a) Diện tích tựa đảm bảo của cấu kiện khi biến dạng nền;
b) Tính không lọt khí và không thấm nước của các cấu kiện dịch chuyển tương hỗ;
c) Độ ổn định cấu kiện khi biến dạng nền.
Khi thiết kế theo sơ đồ kết cấu tổ hợp cần xem xét phối hợp sơ đồ độ cứng và độ dẻo có sử dụng các sơ đồ kết cấu khác nhau cho phần ngầm hoặc phần trên của nhà và công trình.
5.4.3 Nhà và công trình có hình dạng phức tạp trong mặt phẳng được phân chia bởi các khe biến dạng thành các phần. Độ cao của nhà và công trình trong phạm vi các phần cần bằng nhau, còn chiều dài các phần theo tính toán phụ thuộc vào giá trị biến dạng tính toán của bề mặt đất, tính chất vật lý cơ học đất nền của sơ đồ kết cấu, yêu cầu công nghệ.
Khe biến dạng giữa các phần cần đảm bảo độ nghiêng tự do hoặc quay các phần khi biến dạng móng. Kích thước khe biến dạng cần tính toán tuân theo 5.5.14.
Khe biến dạng cần phân chia giữa các phần liền kề của nhà và công trình theo toàn bộ chiều cao, kể cả mái và móng.
5.4.4 Mỏng dưới tường chịu lực trong vùng khe biến dạng được thi công toàn khối. Để giảm bề rộng khe biến dạng cho phép ứng dụng móng không liên tục.
Móng dưới cột đôi gần khe biến dạng ở nhà khung, được thực hiện theo sơ đồ liên kết khung giằng và giằng, cho phép không phân chia nếu như móng dưới các cột còn lại không liên kết với nhau ở hướng ngang của bản, liên kết giằng, v.v. Khi có liên kết cho phép lắp dựng mỏng đôi không đối xứng ở gối tựa bê tông (bê tông cốt thép) chung với khe biến dạng trượt.
5.4.5 Trong trường hợp các biện pháp bảo vệ công trình và các giải pháp kỹ thuật cho nền không loại trừ được các biến dạng kết cấu và độ nghiêng của nhà (công trình) vượt quá giới hạn cho phép, nhà và công trình cần được thiết kế có tính đến các biện pháp giảm lún lệch và loại bỏ độ nghiêng, bao gồm cả việc ứng dụng giải pháp cân bằng.
Phương án bảo vệ nhà và công trình và biện pháp cân bằng cần có so sánh trên cơ sở chỉ số kinh tế kỹ thuật.
5.4.6 Hố thang máy phải được thiết kế có tính đến độ nghiêng gây ra bởi sự biến dạng của bề mặt đất.
Trong trường hợp khi độ nghiêng tính toán tường hố thang so với mặt phẳng thẳng đứng lớn hơn giới hạn cho phép thì trong thiết kế cần xem xét khả năng điều chỉnh vị trí của hố thang máy.
5.4.7 Các công trình kỹ thuật tiếp giáp với nhà cần tách biệt với nhà bởi các khe biến dạng tuân theo chỉ dẫn ở 5.5.14.
5.4.8 Móng dưới các thiết bị công nghệ cần xem xét thiết kế phụ thuộc vào dạng thiết bị và các yêu cầu công nghệ vận hành nhờ ứng dụng biện pháp bảo vệ chuyên dụng, ưu tiên cân bằng bằng kích. Móng trong trường hợp này cần thiết kế có kể đến chỉ dẫn nêu tại Phụ lục E.
5.5 Yêu cầu cơ bản đối với việc tính toán nhà và công trình ở vùng khai thác mỏ
5.5.1 Kết cấu nhà và công trình được thiết kế xây dựng ở vùng khai thác mỏ cần phù hợp với TCVN 9379 theo trạng thái giới hạn thứ nhất và thứ hai có kể đến biến dạng:
a) Nền - do việc khai thác, biểu hiện ở dạng dịch chuyển đứng và ngang;
b) Đất - do tải trọng công trình.
5.5.2 Tính toán kết cấu ở tổ hợp tải trọng đặc biệt từ tĩnh tải, hoạt tải và tác động từ việc khai thác cần tính toán với tổ hợp bất lợi nhất (5.5.3 đến 5.5.5) phù hợp với TCVN 2737.
5.5.3 Khả năng tổ hợp tác động khi khai thác là:
a) Biến dạng kéo ngang tương đối cộng với ε, độ cong lồi cộng với ρ, độ nghiêng i;
b) Biến dạng nén ngang trừ đi ε, độ cong lõm trừ đi ρ, độ nghiêng i;
c) Bậc trên mặt đất (chiều cao bậc h) và tương ứng với độ biến dạng ε và độ nghiêng i của nó.
Khi biến dạng thẳng đứng và đều của mặt đất (cong) cần kể đến tổ hợp biến dạng được nêu tại các đoạn a) và b); khi biến dạng bậc thang (bậc sườn) cần kết hợp biến dạng ở đoạn c).
Khi tính đến tính chất không gian của phễu dịch chuyển, cần xét đến các biến dạng xoắn s và xiên γ.
5.5.4 Một số loại biến dạng bề mặt đát khi tính toán kết cấu cho phép không kể đến, nếu như xác định lực từ các dạng biến dạng này đủ nhỏ so với lực từ các dạng tải trọng và tác động khác.
5.5.5 Giá trị tính toán biến dạng nền sử dụng để xác định lực, biến dạng và bề rộng vết nứt ở kết cấu nhà (công trình), xuất hiện do biến dạng không đều của nền, cho phép sử dụng theo công thức nêu tại 5.1.8.
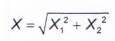
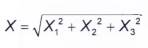
5.5.6 Khi xác định lực ở kết cấu do tác động của việc khai thác cần kể đến:
a) Dữ liệu về các dạng biển dạng cụ thể của bề mặt đất khi khai thác đạt được giá trị lớn nhất, đồng thời gây ra ở kết cấu lực cùng dấu (các lực được tổ hợp lại), hai lực từ dạng biển dạng đó tổ hợp lại theo công thức (7) và ba lực - theo công thức (8):
|
| (7) |
|
| (8) |
trong đó: X1, X2, X3 là lực gây ra bởi các dạng biến dạng của bề mặt đất.
b) Lực đưa vào tính toán là tổ hợp giá trị bất lợi lớn nhất đối với sự làm việc của kết cấu, xuất hiện đối với từng dạng biến dạng riêng biệt của kết cấu, nếu như các dạng biến dạng riêng biệt của bề mặt đất khi khai thác đạt được giá trị lớn nhất ở các thời điểm khác nhau.
5.5.7 Sơ đồ tính toán công trình sử dụng để xác định lực và biến dạng trong kết cấu của chúng, cần phản ảnh hợp lý mức độ chính xác của điều kiện làm việc thực tế của công trình và đặc điểm tương tác của chúng với nền công trình. Trong trường hợp cần thiết phải kể đến: làm việc không gian, tính phi tuyến hình học và vật lý, cũng như độ từ biến vật liệu kết cấu.
Sự làm việc của các nhân tố phi tuyến của kết cấu công trình cần phải kể đến: tính phi tuyến vật lý và kết cấu, tính chất thay đổi của gia tải và các dạng khác. Thiếu đánh giá tin cậy mức độ ảnh hưởng của các nhân tố riêng biệt đến giá trị của lực trong kết cấu, không cho phép tính toán phiến diện một nhân tố bất kỳ nào.
Khi không thể kế đến các nhân tố phi tuyến nêu trên với việc sử dụng tính toán theo phần tử hữu hạn, cần ứng dụng phương pháp kỹ thuật, sử dụng phương pháp số tính toán kết cấu công trình và đánh giá trạng thái ứng suất biến dạng của khối đất. Phương pháp này dựa trên việc sử dụng mô hình “tiếp xúc” để mô tả tương tác của kết cấu và nền và phương pháp cơ học kết cấu để xác định lực ở mặt phẳng kết cấu.
Trong trường hợp này, mô hình tính toán được đề xuất sử dụng phải được xác minh trước bằng cách sử dụng ví dụ về một tòa nhà hoặc công trình thực tế trong khu vực khai thác mỏ với các kết quả quan trắc hiện có về độ lún của nó do biến dạng của nền khi khai thác mỏ.
5.5.8 Kết cấu cần phải tính toán chịu tác động khai thác, xuất phát từ điều kiện làm việc đồng thời của nền và công trình.
Phụ thuộc vào giá trị ứng suất tiếp xúc (pháp tuyến và tiếp tuyến ở tiếp xúc nền với móng), mô hình nền cần lấy ở dạng:
a) Hệ đàn hồi tuyến tính;
b) Hệ không đàn hồi phi tuyến, phản ánh liên kết phi tuyến giữa biến dạng và tải trọng trên nền đất ổn định, sự khác biệt về tính chất biến dạng của nền khi gia tải và dỡ tải, phá hủy liên kết tiếp xúc giữa móng và nền công trình;
c) Hệ lưu biến, thể hiện tính chất biến dạng của nền ở các thời điểm khác nhau trong suốt thời kỳ xây dựng và vận hành (trong trạng thái không ổn định của đất). Mô hình nền để tính toán cần lựa chọn có kể đến đặc điểm kết cấu, công năng của nhà (công trình) và các chỉ dẫn ở 5.5.9.
Đặc điểm biến dạng nền ở tiếp xúc với móng cho phép xác định đồng thời nhờ sử dụng 2 hệ số độ cứng nền: khi nén - C, khi cắt - D, hoặc bất kỳ một trong hai dạng.
5.5.9 Để lựa chọn mô hình nền cần thực hiện tính toán nhờ sử dụng mô hình nền ở dạng hệ đàn hồi tuyến tính.
Nếu thu được từ kết quả của tính toán này giá trị ứng suất pháp tuyến ρ và tiếp tuyến T từ khu vực riêng biệt tiếp xúc nền với móng thỏa mãn điều kiện:
|
| (9) |
thì cho phép tính toán theo mô hình hệ đàn hồi tuyến tính .
Trong công thức (9):
| pn | là áp lực pháp tuyến ban đầu lên nền công trình, tác dụng trước khi có tác động từ việc khai thác; |
| R | là cường độ tính toán của đất nền, được xác định theo yêu cầu của TCVN 9362; |
| τmax | là giá trị giới hạn của ứng suất tiếp tuyến theo đáy mỏng, được xác định theo yêu cầu của TCVN 9362; |
| F | là diện tích tiếp xúc của nền với móng, có ứng suất cao hơn p và τ ; |
| Fp, Fτ | là diện tích tiếp xúc của nền với móng, có xuất hiện ứng suất pháp tuyến và tiếp tuyến. |
Nếu như điều kiện (9) không thỏa mãn, cần thiết thực hiện tính toán có sử dụng mô hình nền ở dạng hệ phi tuyến không đàn hồi.
5.5.10 Lực phát sinh ở kết cấu chịu lực của nhà và công trình do tác động của biến dạng ngang nền, cần được xác định phụ thuộc vào đặc điểm kết cấu của nhà (công trình), chiều sâu chôn móng, diện tích tiếp xúc với đất, đặc điểm cơ lý của đất nền kể cả sự thay đổi của chúng trong quá trình khai thác, tác động của lực có kể đến:
a) Lực cắt theo đáy của móng hoặc lực ma sát theo khe trượt (xem 5.5.11 và Bảng 6);
b) Lực cắt theo mặt bên của móng;
c) Áp lực pháp tuyến của đất ở bề mặt phía trước của móng.
5.5.11 Hệ số ma sát theo khe trượt cho phép được lấy các giá trị phù hợp với Bảng 6.
Bảng 6 - Hệ số ma sát theo loại khe trượt
| Cấu tạo khe trượt | Hao phí vật liệu lớp giữa, kg/m2 | Hệ số ma sát theo khe co giãn trượt |
| Hai lớp giấy nhựa chống thấm, ở giữa là than chì nghiền nhỏ | 0,5 | 0,20 |
| Từ mica cứng | 1,0 | 0,30 |
| Từ bụi trơ | 1,0 | 0,40 |
| Hai lớp màng pôliêtilen, ở giữa là than chì | 0,4 | 0,15 |
| CHÚ THÍCH: Mặt phẳng khe co giãn trượt cần phải phẳng. Độ nghiêng kích thước khe theo chiều thẳng đứng cho phép không lớn hơn 5 mm trên 1 m dài của khe. | ||
5.5.12 Khi thiết kế nhà và công trình có kể đến khả năng cân bằng chúng trong quá trình vận hành bằng kích cần thực hiện tính toán kết cấu chịu tác động của biến dạng nền không đều và trong giai đoạn cân bằng. Tính toán để cân bằng cần kiểm tra khả năng chịu lực và độ ổn định kết cấu phần hầm móng nhà, nhận tải trọng tập trung từ thiết bị cân bằng và chiều sâu đặt móng bao gồm kiểm tra độ ổn định của nền khi truyền áp lực từ thiết bị cân bằng lên nền.
5.5.13 Khi giá trị biến dạng của bề mặt đất ở khu vực khai thác ε ≤ 1 mm/m, R ≥ 20 km, i ≤ 3 mm/m và h ≤ 1 cm, thì các giải pháp bảo vệ nhà và công trình, ngoại trừ các bồn bê tông cốt thép chứa chất lỏng và một số dạng trang thiết bị công nghệ không yêu cầu.
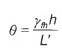
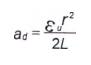
5.5.14 Kích thước khe biến dạng giữa các phần cần thỏa mãn điều kiện:
a) Ở mặt đáy móng ad:
|
| (10) |
b) Ở gờ móng au:
|
| (11) |
trong đó:
| L0 | là khoảng cách giữa tâm của các phần liền kề của nhà không khung (công trình) và nhà khung với móng, liên kết thanh chống hoặc các giải pháp kết cấu khác của móng theo hướng vuông góc khe biến dạng, hoặc khoảng cách giữa tâm khối cứng của nhà khung với móng không liên tục (Hình 1); |
| H | là khoảng cách từ đáy móng đến đỉnh tường (ở đoạn với chiều cao thấp hơn); |
| θ | là chuyển vị góc tính toán tương đối giữa các phần liền kề từ biến dạng nền, được xác định theo công thức: |
c) Đối với khu vực có biến dạng đều của bề mặt đất:
|
| (12) |
trong đó:
R là bán kính cong lồi của bề mặt đất.
d) Đối với khu vực có xuất hiện biến dạng tập trung (bậc):
|
| (13) |
trong đó:
L' là chiều dài của phần nhỏ, giá trị L' không được vượt quá khoảng cách giữa các bậc.

Hình 1 - Sơ đồ để xác định kích thước khe biến dạng giữa các phần
Kích thước khe biến dạng giữa các phần cần có kích thước không nhỏ hơn 20 cm.
5.5.15 Đặc điểm thiết kế và tính toán nhà và công trình với sơ đồ kết cấu điển hình được nêu tại
Phụ lục C, Phụ lục D và Phụ lục E.
5.5.16 Giá trị giới hạn biến dạng chung bề mặt khu khai thác và công trình được thiết lập xuất phát từ các điều kiện cần thiết sau:
a) Yêu cầu công nghệ và kiến trúc đối với biến dạng công trình (thay đổi mức độ thiết kế và vị trí công trình một cách tổng thể, hoặc từng phần tử riêng biệt và trang thiết bị, bao gồm yêu cầu cho hoạt động bình thường của thang máy, thiết bị cần cẩu, thiết bị nâng, v.v.);
b) Yêu cầu về độ bền, độ ổn định và khả năng chống nứt kết cấu, bao gồm ổn định tổng thể công trình.
6 Nhà và công trình trên đất lún ướt
6.1 Số liệu ban đầu về điều kiện đất nền phục vụ cho thiết kế
6.1.1 Số liệu ban đầu về điều kiện đất nền cần thiết cho việc thiết kế nhà và công trình trên đất lún ướt, cùng với điều kiện địa chất công trình, địa chất thủy văn, các đặc trưng cơ lý của đất phù hợp với TCVN 5746 và các đặc trưng cụ thể khác như sau:
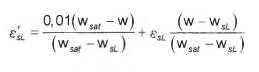
a) Tính lún ướt của đất (biến dạng lún ướt tương đối εsi, áp lực lún ướt ban đầu psi, độ ẩm lún ướt ban đầu wsi) xem 6.1.2;
b) Các đặc trưng vùng đất lún ướt, theo 6.1.3;
c) Các tham số của nền đất lún ướt, theo 6.1.4, 6.1.5.
6.1.2 Đặc trưng riêng biệt của đất lún ướt được xác định phù hợp theo TCVN 8722, bao gồm:
a) Biến dạng lún ướt tương đối εsL : là tỷ số thay đổi chiều dày của lớp đất không nở hông trước và sau khi thấm ướt dưới áp lực được xác định trước với chiều dày ban đầu của nó ở thế nằm tự nhiên và với chiều dày được xác định khi đất bão hòa hoàn toàn, trong khoảng thay đổi áp lực giữa mức tối thiểu Pmin (bằng với ứng suất thẳng đứng theo độ sâu σzg của nó, kể cả đất đắp san nền) đến Pmax (bằng tổng ứng suất đứng tại cùng độ sâu, gồm ứng suất bản thân σzg có kể đến đất đắp quy hoạch, tải trọng truyền xuống từ móng, nền, thiết bị kỹ thuật, v.v.σzp, nghĩa là Pmax = σzgi + σzp). Đất là đất lún ướt khi εsL ≥ 0,01;
b) Áp lực lún ướt ban đầu psL, là áp lực nhỏ nhất lên đất (từ σzg hay (σzg + σzp)) bão hòa nước hoàn toàn và dưới áp lực này bắt đầu xuất hiện tính lún ướt. Giá trị psL là giá trị áp lực trong thí nghiệm nén ứng với εsL = 0,01;
c) Độ ẩm lún ướt ban đầu wsL là độ ẩm nhỏ nhất mà khi đó hiện tượng lún ướt của đất dưới ứng suất đứng σzg hay σzg + σzp bắt đầu xảy ra (εsL ≥ 0,01).
6.1.3 Đặc trưng riêng biệt của vùng đất lún ướt
Loại điều kiện đất theo tính lún ướt:
a) Loại I: là đất có độ lún ướt của nền chủ yếu là lún do tải trọng ngoài và không có độ lún do trọng lượng bản thân hay độ lún đó không vượt quá 5,0 cm;
b) Loại II: là đất mà ngoài độ lún do tải trọng bên ngoài gây lên còn có độ lún do trọng lượng bản thân và giá trị độ lún đó vượt quá (lớn hơn) 5,0 cm.
Chiều dày lún ướt HsL được xác định từ bề mặt hiện hữu hay quy hoạch đến đỉnh lớp đất không lún ướt ứng với εsL < 0,01.
Độ lớn lún ướt của đất do trọng lượng bản thân ssLg trong phạm vi chiều dày lún ướt HsL trước hoặc sau khi quy hoạch (theo chiều đứng).
6.1.4 Nền đất lún ướt loại I được đặc trưng bởi các thông số sau:
a) Mức độ thay đổi tính nén lún của nền αE,sL;
b) Giá trị mô đun biến dạng trung bình của đất lún ướt
hay độ lún trung bình của nền
;
c) Độ lún lớn nhất smax;
d) Chênh lệch biến dạng tương đối của nền ![]()
e) Hệ số độ cứng nền chịu nén C.
CHÚ THÍCH:
1. Mức độ thay đổi tính nén lún của nền Emax được xác định bởi tỷ lệ giữa giá trị lớn nhất của mô đun Emax trung bình theo độ sâu của đất lún ướt ở độ ẩm tự nhiên với giá trị nhỏ nhất Emin khi bão hòa hoàn toàn trong phạm vi mặt bằng bố trí nhà hay công trình.
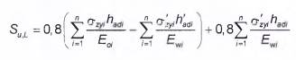
2. Giá trị trung bình mô đun biến dạng của nền đất lún ướt trong phạm vi mặt bằng nhà hay công trình được xác định theo công thức sau đây: ![]()
3. Biến dạng trung bình của nền nhà hoặc công trình được xác định bằng tổng giá trị lún si và độ lún ướt ssL,i và diện tích móng Ai, nghĩa là ![]()
6.1.5 Trong thiết kế nhà và công trình xây dựng trên đất lún ướt với điều kiện đất loại II, cần phải kể đến các loại biến dạng sau đây (Hình 2 và Hình 3):
a) Độ lún si cũng như độ lún ướt do trọng lượng bản thân của đất ssL,g, hay độ lún ướt do tải trọng bên ngoài ssL,p;
b) Chuyển dịch ngang của bề mặt đất và nền usL trong phần đường cong của phễu lún ướt;
c) Biến dạng kéo hay nén ngang tương đối εu;
d) Độ dốc isL và độ cong của bề mặt đất hay nền;
e) Độ lún bổ sung su,L trong phạm vi đới nén bổ sung Hu,L của đất không lún ướt nằm dưới tầng lún ướt do sự thay đổi của trạng thái ứng suất và độ ẩm của khối đất;
f) Biến dạng của sườn dốc (mái dốc) do mất ổn định.

CHÚ DẪN:
| d | Chiều sâu chôn móng |
| HsL | Chiều dày lún ướt |
| hsL,p | Chiều dày vùng lún ướt (biến dạng) phía trên, gây ra ssL,p do tải trọng móng |
| hsL,g | Chiều dày vùng lún ướt phía dưới, gây ra ssL,g do trọng lượng bản thân đất |
| hsL,g | Chiều dày vùng lún ướt do tải trọng bổ sung |
| hn | Chiều dày vùng trung hòa |
| h’n | Chiều dày vùng tính toán do tải trọng bổ sung |
| Hu,L | Chiều dày vùng chịu nén bổ sung của lớp đất bên dưới su,L |
| 1 | Ứng suất thẳng đứng σzg do trọng lượng bản thân đất ở tạng thái độ ẩm và cấu tạo tự nhiên |
| 2 | Tổng ứng suất đứng σzp do tải trọng ngoài và trọng lượng bản thân của đất |
| 3 | Sự thay đổi của áp lực lún ướt ban đầu theo độ sâu psL |
| 4 | Ứng suất thẳng đứng bổ sung σz,uL do vượt quá độ ẩm tính toán, làm lèn chặt đất lún ướt, v.v |
| 5 | Ứng suất bổ sung σ’z,uL trên nền đất dưới tải trọng do: trọng lượng đất đắp quy hoạch, tải trọng phân bố đều của nhà và công trình; tải trọng sàn tầng 1, v.v. |
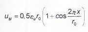
| r | Độ dài của đường cong lún ướt tính toán của đất ssLg |
Hình 2 - Sơ đồ tính toán lún ướt cho nền móng công trình
|
|
|
| a) Nguồn dòng thấm ướt | b) Khu vực nguồn thấm ướt |
CHÚ DẪN:
| a | Mặt cắt ngang vùng thấm ướt |
| b | Đường cong lún bề mặt đất |
| c | Đường cong dốc (4) và đường cong (5) của bề mặt |
| d | Đường cong chuyển dịch ngang của bề mặt đất |
| 1 | Vị trí bề mặt đất |
| 2 | Vùng thấm ướt |
| 3 | Biên phía dưới của sự lan truyền (thấm ướt) của nước |
| Bw | Chiều rộng vùng thấm ướt bên dưới |
| bw | Chiều rộng bề ngang vùng lún sập |
| β | Góc loang ra của nước |
| HsL | Chiều dày lún ướt |
| r | Độ dài tính toán của đường cong vùng lún ướt do trọng lượng bản thân đất |
| b | Bề rộng vùng lây lan nước |
| isL | Độ dốc bề mặt đất |
| UsL | Dịch chuyển ngang của bề mặt đất |
| I và II | Vùng tương ứng với vùng chưa lèn chặt và lèn chặt đất |
Hình 3 - Đặc trưng phát triển biến dạng lún ướt trên bề mặt ngậm nước của đất dưới độ lún do trọng lượng bản thân
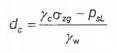
6.1.6 Đặc trưng tính toán của nền khi tính toán kết cấu nhà và công trình trên đất lún ướt với điều kiện đất loại II, được đưa ra cùng với chỉ dẫn trong 6.1.4, 6.1.6 là bán kính cong, được tính theo công thức (H.19) trong Phụ lục H.
6.2 Bố trí và xây dựng
6.2.1 Địa điểm được chỉ định xây dựng, cần thiết bố trí trên khu vực:
a) Độ sâu của chiều dày lún ướt là nhỏ nhất, HsL;
b) Giá trị độ lún ướt có thể của đất do trọng lượng bản thân ssLg là nhỏ nhất;
c) Đất có tính lún ướt giảm dần.
Khi tầng đất ít chịu nén nằm phía dưới tầng lún ướt, cho phép sử dụng giải pháp móng cọc phù hợp với TCVN 10304 hoặc móng chôn sâu, xuyên qua chiều dày đất lún ướt và tựa vào các lớp bên dưới.
Biến dạng nền và công trình trên đất lún ướt không được vượt quá giá trị giới hạn xác định được từ các điều kiện sau:
a) Biến dạng của công trình theo yêu cầu của công nghệ và kiến trúc (bao gồm yêu cầu của cao độ thiết kế xác định theo TCVN 9360 và vị trí công trình nói chung, sự làm việc bình thường của thang máy, thiết bị cần cẩu, máy nâng, v.v.), su,s;
b) Yêu cầu về độ bền, ổn định và chống nứt của kết cấu, bao gồm ổn định chung công trình, su,f.
6.2.2 Thiết kế và xây dựng nhà dân dụng và công nghiệp, cũng như các tòa nhà và công trình riêng lẻ cần phải dự kiến bảo vệ tối đa các điều kiện tự nhiên cho dòng chảy của nước mặt. Không được phép bố trí công trình làm cản đường thoát nước bề mặt.
Trong khu vực có điều kiện nhóm đất lún ướt loại II với giá trị độ lún ướt cao vượt chiều dày lún ướt Hsl nên dự kiến lấy bằng cách đào đất, đặc biệt là khi có khả năng chuyển chúng về điều kiện đất lún ướt loại I hoặc bố trí nhà và công trình có các tầng hầm sâu và tầng ngầm.
Bố trí diện tích xây dựng và các nền riêng biệt bằng đắp đất, chỉ được tiến hành trên các khu thấp hơn và vị trí địa hình có các mương xói, khe rãnh, v.v. và nói chung, trong trường hợp loại trừ chuyển điều kiện đất lún ướt từ loại I đến loại II, còn ở điều kiện đất loại II không làm giảm đáng kể điều kiện xây dựng.
6.2.3 Khi địa hình khu vực xây dựng có dạng sườn dốc đứng, bố trí cần được thực hiện theo các thềm. Xả nước từ các thềm phải được thực hiện bởi mương bố trí tại nền sườn dốc và trong máng dốc.
6.2.4 Nhà và công trình với quy trình ướt nên được bố trí ở phần thấp của khu vực xây dựng, trong khu vực chiều dày lún ướt HsL và độ lún ướt SsL,g có giá trị nhỏ cũng như trong khu vực có lớp thoát nước nằm dưới tầng lún ướt. Các công trình này cần đặt xa các công trình khác một khoảng không ít hơn 1,5 lần chiều dày lớp lún ướt trong điều kiện đất lún ướt loại I, cũng như trong đất lún ướt loại II khi xuất hiện lớp thoát nước phía dưới; ít nhất 3 lần chiều dày của lớp lún ướt trong điều kiện đất lún ướt loại II khi xuất hiện lớp thoát nước có độ thấm kém phía dưới.
6.2.5 Khoảng cách từ các nguồn thấm ướt đất thường xuyên đến công trình trong điều kiện đất loại II cho phép có thể là không giới hạn với điều kiện loại bỏ hoàn toàn tính chất lún ướt của đất trong phạm vi bố trí nhà và công trình, bao gồm chiều rộng dải không nhỏ hơn 0,2 HsL xung quanh chúng, cũng như trong điều kiện dùng cọc hay móng chôn sâu xuyên qua lớp đất lún ướt.
6.3 Các biện pháp đảm bảo độ bền và khai thác, vận hành bình thường nhà và công trình
6.3.1 Thiết kế nhà và công trình xây dựng trên đất lún ướt, tùy theo khả năng thấm ướt của chúng phải được thực hiện bằng một trong các phương pháp sau đây:
a) Khắc phục được tính lún ướt của đất:
- Tại các khu vực thuộc đất lún ướt loại I - thực hiện đầm chặt nền đất bằng máy đầm nặng, đầm chặt đáy hố đào, gia cố đất. Độ chặt nền đất được xác định phù hợp với TCVN 9350, TCVN 4201;
- Tại các khu vực thuộc đất lún ướt loại II - áp dụng giải pháp cọc cát đầm sâu, thấm nước sơ bộ và các phương pháp nổ sâu, gia cố đệm đất dày, cọc, trụ gia cố đất.
b) Hạ cọc xuyên qua lớp đất lún ướt HsL bằng cọc đóng, cọc khoan nhồi và móng chôn sâu để tựa vào lớp đất không lún ướt bên dưới có sức chịu tải cao (xem Hình 2 );
c) Tổ hợp các biện pháp, bao gồm:
- Loại bỏ tính chất lún ướt của đất trong vùng hsi (xem Hình 2), tương tự với các vùng như trên với dạng đất lún ướt loại I;
- Giải pháp ngăn nước với mục đích giảm khả năng thấm ướt của nền đất, loại trừ thấm ướt mạnh trên toàn bộ tầng đất lún ướt và toàn bộ các biên không lún ướt do trọng lượng bản thân, kiểm soát trạng thái của đường ống nước, đảm bảo loại bỏ kịp thời các nguồn thấm ướt, v.v;
- Giải pháp kết cấu được xem xét trong 6.4 hướng đến tăng độ bền, độ cứng cho nhà và công trình hay tăng tính chịu nén của nhà và kết cấu chịu uốn của công trình đảm bảo nhà và công trình vận hành bình thường trong trường hợp xuất hiện biến dạng không đều trong nền đất.
6.3.2 Các biện pháp bảo vệ chống nước bao gồm: bố trí phù hợp tổng mặt bằng; khu vực xây dựng; loại trừ tính lún ướt của đất trong vùng hsL,p bằng các màng chắn có độ thấm thấp dưới nhà và công trình; san lấp các hố đào và hào; đắp dốc mở rộng xung quanh nhà và công trình; xây dựng đường thoát nước bên trong và bên ngoài phù hợp với TCVN 7957, TCVN 13606 nhằm loại trừ rò rỉ nước từ hệ thống đường ống, đảm bảo được việc kiểm tra và sửa chữa dễ dàng; hệ thống thoát nước sự cố bên ngoài của nhà, công trình và các hệ thống kỹ thuật khác.
6.3.3 Khi thiết kế nhà và công trình cấp C2 và C3 (theo [1]) xây dựng trên khu vực đất lún ướt loại I, nên loại bỏ hoàn toàn tính chất lún ướt của đất trong phạm vi bên trên của tầng lún ướt hsL,p (6.3.1,a) hoặc bằng phương pháp xuyên qua hoàn toàn tầng lún ướt HsL như 6.2.1. Trong các trường hợp này, thiết kế kết cấu phải được thực hiện như bình thường trên nền đất không lún ướt mà không cần có biện pháp kết cấu bổ sung chống nước.
6.3.4 Khi thiết kế nhà và công trình trên khu vực đất lún ướt loại II, nên loại bỏ hoàn toàn tính chất lún ướt của đất trong phạm vi toàn bộ tầng lún ướt, theo giải pháp chuyển từ đất lún ướt loại II về loại I, hoặc là xuyên qua chiều dày lún ướt như đã nêu tại 6.2.1, 6.3.1, b.
Kích thước và khả năng của khối đất được gia cường, lèn chặt, cũng như cọc hoặc móng sâu xuyên qua toàn bộ chiều dày đất lún ướt nên được chỉ ra có tính đến tải trọng bổ sung của lực ma sát âm do lún của đát xung quanh chúng dưới tác dụng của tải trọng bản thân.
Khi không thể hoặc không phù hợp (theo chỉ tiêu kinh tế kỹ thuật) thực hiện các biện pháp để cải tạo điều kiện đất từ đất lún ướt loại II về loại I (xem chú thích), loại bỏ hoàn toàn tính chất lún ướt của đất lún ướt loại II (6.3.1, a), xuyên qua toàn bộ đất lún ướt loại II (xem 6.2.1, 6.3.1, b) cần thiết áp dụng một loạt các biện pháp theo 6.3.1, c; khối lượng và thành phần của việc xây dựng các biện pháp bảo vệ này được xác định trên cơ sở tính toán trạng thái giới hạn của kết cấu nhà và công trình với tính toán biến dạng không đều của nền do đất lún (6.4.1 - 6.4.23).
CHÚ THÍCH: Cải tạo điều kiện đất từ đất lún ướt loại II về loại I được thực hiện nhờ việc nén chặt đất trước khi thấm ướt, trong số đó, có phương pháp nổ sâu, cũng như đào bớt một phần chiều dày tầng đất lún ướt, xây dựng tầng hầm được thực hiện theo Phụ lục I.
6.4 Nguyên tắc cơ bản về thiết kế
6.4.1 Khi thiết kế kết cấu nhà và công trình trên đất lún ướt:
a) Cần loại bỏ hoàn toàn tính chất lún ướt của đất (6.3.1 a), cũng như sử dụng các phương pháp xuyên qua toàn bộ chúng như đã chỉ ra trong 6.2.1, có thể sử dụng trong thực tế bất kỳ sơ đồ kết cấu và giải pháp kiến trúc trong xây dựng trên đất không lún ướt trong điều kiện bình thường;
b) Đối với điều kiện đất loại II trên cơ sở áp dụng phức hợp các biện pháp (xem 6.3.1, c), phù hợp nhất là áp dụng kết cấu nhà và công trình với sơ đồ kết cấu cứng hay với sơ đồ kết cấu tổ hợp, nghĩa là với khung - tường chịu lực hoặc khung bê tông cốt thép, hoặc khung với phần kết cấu móng ngầm, được thiết kế theo sơ đồ kết cấu cứng, ví dụ, ở dạng mỏng bản bê tông cốt thép, mỏng băng giao thoa với tường bê tông cốt thép toàn khối và sàn của tầng hầm (bộ phận ngầm);
c) Theo sơ đồ kết cấu mềm trên cơ sở áp dụng phức hợp các biện pháp (xem 6.3.1, c) với điều kiện đất loại II, cho phép trong trường hợp nếu nhà và công trình cấp 1 (cấp thấp) hoặc cấp 2 và khả năng lún của đất nền do trọng lượng bản thân là ssLg < 10 cm, cũng như độ lún bổ sung của lớp đất phía dưới suL < 10 cm.
6.4.2 Khi thiết kế nhà và công trình như 6.4.1 .b theo sơ đồ kết cấu cứng trong trường hợp xẩy ra biến dạng nền cần nghiên cứu loại trừ khả năng có thể dẫn đến chuyển dịch tương hỗ của các cấu kiện chịu lực riêng lẻ, phát sinh vết nứt trong kết cấu, cũng như trong kết cấu chắn giữ và các kết cấu khác:
a) Tách nhà và công trình bởi các khe biến dạng thành các đơn nguyên riêng;
b) Tăng cường khả năng chịu lực của các phần tử kết cấu và các liên kết giữa chúng;
c) Bố trí các giằng tường trên từng mức sàn;
d) Bố trí các tấm cứng ngang bằng cấu kiện bê tông cốt thép ở mức sàn và các trần ngăn;
e) Bố trí móng nhà và công trình ở dạng móng bè, mỏng băng giao thoa, v.v.
CHÚ THÍCH: Các biện pháp trên có thể được áp dụng một phần khi thiết kế nhà và công trình theo 6.4.1 a và đất lún ướt loại II - khi su,L > 10 cm trong trường hợp khắc phục hoàn toàn tính chất lún ướt của đất, và su,L > 5 cm xuyên qua toàn bộ tầng lún ướt như nêu tại 6.2.1.
6.4.3 Khi thiết kế nhà và công trình phù hợp với 6.4.1b, theo một sơ đồ kết cấu mềm, cần xem xét khả năng ứng xử của kết cấu mà không phát sinh nội lực với biến dạng không đều của bề mặt đất do:
a) Áp dụng liên kết khớp và dễ uốn giữa các phần tử kết cấu chịu lực và kết cấu bao che;
b) Giảm độ cứng của kết cấu chịu lực;
c) Chèn các tấm đệm mềm và thiết bị bù trừ;
d) Tăng khe hở giữa các kết cấu kết nối;
e) Các biện pháp trên cần áp dụng với các tính toán để đảm bảo;
f) Đủ diện tích tựa của các cấu kiện khi biến dạng nền;
g) Độ kín khí, nước của các mối nối (không thấm) giữa các phần tử kết cấu chuyển dịch tương hỗ với nhau;
h) Sự ổn định của các phần tử kết cấu dưới biến dạng của nền.
6.4.4 Khi thiết kế theo các sơ đồ kết cấu phức hợp, trường hợp cần thiết, nên dự kiến kết hợp các biện pháp theo độ cứng (xem 6.4.2) và sơ đồ dễ uốn (xem 6.4.3) với việc áp dụng sơ đồ kết cấu khác nhau của bộ phận công trình ngầm và bộ phận công trình trên mặt đất, bao gồm:
a) Đối với nhà và công trình được thiết kế theo sơ đồ kết cấu mềm, theo nguyên tắc, bố trí móng theo sơ đồ kết cấu cứng;
b) Đối với nhà nhiều tầng và công trình được thiết kế theo sơ đồ kết cấu cứng, đôi khi móng của bộ phận ngầm được bố trí theo sơ đồ kết cấu mềm (dễ uốn);
c) Các bộ phận của nhà và công trình được thiết kế theo sơ đồ kết cấu cứng cần được tính toán trên khả năng biến dạng lún ướt không đều.
6.4.5 Nhà và công trình có hình dạng phức tạp trên mặt bằng, được thiết kế theo 6.4.1 b và 6.4.1c, cần thiết được phân chia bằng các khe biến dạng thành các khoang đơn giản hình chữ nhật hoặc tương tự. Chiều cao của nhà và công trình trong phạm vi khoang nên giống nhau, nhưng độ dài của các khoang - theo tính toán, phụ thuộc vào giá trị tính toán biến dạng lún ướt, tính chất cơ lý của đất nền, sơ đồ kết cấu sử dụng, yêu cầu công nghệ khai thác, vận hành nhà và công trình.
Khe biến dạng giữa các bộ phận này phải tách khoang nhà và công trình liền kề dọc theo toàn bộ chiều cao, bao gồm từ mái nhà đến mỏng, đảm bảo độ nghiêng hoặc xoay tự do của các khoang dưới biến dạng của nền. Chiều rộng khe co giãn nên được tính toán theo hướng dẫn trong 6.4.6 phụ thuộc vào chiều cao và chiều dài của khoang và đặc tính của điều kiện đất.
CHÚ THÍCH - Trên đất lún ướt loại I, móng dưới tường và cột chịu lực cố khe co giãn dưới tải trọng lệch không quá 1,2 lần so với được phép thực hiện khối liên tục mà không cần cắt chúng.
6.4.6 Chiều rộng khe co giãn giữa các khoang của nhà và công trình với sơ đồ kết cấu cứng khi thiết kế trên cơ sở tổng hợp các biện pháp cần được xác định bởi công thức:
a) Ở mức đế móng, khi r ≥ L:
|
| (14) |
b) Ở mức đế móng, khi L/2 < r < L:
|
| (15) |
c) Ở mức gờ (mái đua):
|
| (16) |
trong đó:
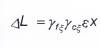
| εu | là biến dạng ngang tương đối, được xác định theo công thức (H.21) của Phụ lục H; |
| L | là chiều dài khoang nhà; |
| r | là chiều dài tính toán của phần đường cong lún ướt đất do trọng lượng bản thân, được xác định theo công thức (H.14) của Phụ lục H; |
| H | là chiều cao của nhà từ móng đến đỉnh tường; |
| ssL,g | là giá trị độ lún ướt đất nền do trọng lượng bản thân; |
| γcu | là hệ số điều kiện làm việc, có tính đến sự làm việc đồng thời của nhà và nền, bằng γcu = (r / L)2 khi r < L và γcu = 1 khi r ≥ L. |
Chiều rộng khe co giãn giữa mỗi khoang có thể không nhỏ hơn:
a) Khi H ≤ 10 m : ad = 10 cm;
b) Khi H ≥ 30 m : ad = 30 cm;
c) Khi 30 > H > 10 m : ad được xác định theo phương pháp nội suy.
6.4.7 Các hố thang máy phải được thiết kế có tính đến độ nghiêng và chuyển dịch ngang do lún ướt từ trọng lượng bản thân trên các khu vực có điều kiện đất loại II.
Trong trường hợp độ nghiêng tính toán của tường giếng so với mặt phẳng thẳng đứng vượt quá tiêu chuẩn quy định cho phép đối với thang máy, thiết kế phải tính toán trước khả năng điều chỉnh vị trí ngang của thang máy trong hố, do đó kích thước của nó trong mặt bằng phải được tăng lên 0,5 chiều rộng khe biến dạng, tính theo công thức (16).
6.4.8 Các công trình kỹ thuật liền kề với nhà nên được tách ra bằng các khe co giãn, chiều rộng khe được xác định theo các hướng dẫn trong 6.4.5 và 6.4.6.
6.4.9 Đối với việc đặt đầu vào và đầu ra của đường ống kỹ thuật trong móng, tường tầng hầm hoặc phần ngầm của nhà và công trình thiết kế trên đất lún ướt loại II, trên cơ sở áp dụng tổ hợp biện pháp, cần thiết dự trù các lỗ ở chiều cao, khi đó khoảng cách từ đỉnh của nó đến đỉnh ống là không ít hơn giá trị độ lún ướt tính toán ở trọng lượng bản thân (su - 0,25 ssL,g) và không nhỏ hơn - giá trị giới hạn của độ lún ướt trung bình của nhà hoặc công trình (su), và từ đáy ống đến để móng - không nhỏ hơn 0,2 m.
6.4.10 Khi thiết kế tổ hợp nhà khung một tầng có trang bị giàn cẩu, cần cẩu trên đất lún ướt loại II nên bố trí đường ray bằng cách nâng cột kim loại lên một khoảng 0,5ssL,g hoặc 0,5 su theo hướng thẳng đứng và 0,25 us - theo khả năng chuyển dịch ngang của đỉnh đường ray, tính theo công thức (6.4.3) với tính toán theo Phụ lục H.
6.4.11 Móng của các thiết bị công nghệ trên đất lún ướt loại II nên được thiết kế có tính đến sự cần thiết và khả năng điều chỉnh vị trí của chúng theo hướng thẳng đứng và nằm ngang với giá trị được thiết lập dựa trên các yêu cầu sử dụng, cũng như biến dạng nền đất có tính đến các giải pháp lấy theo 6.3.1.
6.4.12 Thiết kế nhà và công trình trên đất lún ướt loại II phải có hướng dẫn thực hiện quan trắc địa kỹ thuật.
6.4.13 Kết cấu nhà và công trình, thiết kế trên đất lún ướt, nên được tính toán phù hợp với TCVN 9379 theo 2 nhóm trạng thái giới hạn: thứ nhất - theo khả năng chịu lực; thứ hai - theo điều kiện biến dạng.
Điều này cần phải tính toán trạng thái giới hạn gây ra bởi tải trọng trên kết cấu của nhà và công trình, cũng như do sự thay đổi đặc trưng cơ lý và sự phát triển biến dạng không đều của đất lún ướt trong nền dưới dạng lún ướt và chuyển dịch ngang.
6.4.14 Tính toán kết cấu công trình trên tổ hợp tải trọng đặc biệt phù hợp với TCVN 2737, bao gồm: tải trọng thường xuyên, tải trọng dài hạn, có thể tải trọng ngắn hạn và tác động do lún ướt, phải được thực hiện với tồ hợp tải trọng bất lợi nhất (6.4.15 - 6.4.17) xảy ra trong tình trạng ngấm nước khẩn cấp ở phía trên, từ nguồn thấm nước dạng tuyến hoặc diện, cũng như khi dâng mực nước ngầm. Trong trường hợp áp dụng các biện pháp và móng, đảm bảo xuyên thủng toàn bộ lớp lún ướt: móng cọc, khối lèn chặt, gia cố, hoặc mỏng sâu cần xét đến tải trọng bổ sung vào cọc do lực ma sát âm.
6.4.15 Trạng thái ứng suất - biến dạng của kết cấu nhà và công trình được thiết kế xây dựng trên đất lún ướt, cần được xác định trên cơ sở tính toán cùng với nền công trình.
Khi lựa chọn sơ đồ tính toán của biến dạng nền và thực hiện tính toán cho phép sử dụng một trong các phương pháp sau đây:
a) Mô phỏng biến dạng lún ướt của khối đất và tính toán tương tác của kết cấu móng với nền biến dạng, bao gồm cả móng cọc;
b) Sử dụng công nghệ kín và các công thức thực nghiệm, dựa trên các kết quả nghiên cứu thực nghiệm, được kiểm chứng trong thực hành thiết kế và các tài liệu tiêu chuẩn chỉ dẫn.
6.4.16 Khi mô hình hóa toán học cần sử dụng sơ đồ tính toán chính xác và mô hình xác định ứng suất và biến dạng, dữ liệu thực nghiệm và tính toán về sự phân bố của nước trong đất lún ướt từ các nguồn dạng tuyến, diện và các nguồn khác, dữ liệu về đặc trưng cơ lý của đất và sự thay đổi của chúng do kết hợp trường độ ẩm và ứng suất. Mô phỏng biến dạng lún ướt dưới trọng lượng bản thân của đất trong khối đất ẩm, trong đó ứng suất thẳng đứng vượt quá áp lực lún ướt ban đầu và biến dạng lún ướt tương đối vượt quá 0,01. Các kích thước và cấu hình của khối đất thấm ướt, trong đó độ lún ướt được mô phỏng với cách thấm ướt đất từ các nguồn dạng tuyến, diện cho phép được xác định theo Hình 3 với tính toán dữ liệu trong Phụ lục I (I.5).
Khi đó cần xem xét thấm ướt đất từ nguồn dạng tuyến, dạng diện, có chiều rộng tối thiểu tương ứng 1 m và 2 m.
Mô hình số lún ướt trong khối đất ẩm dưới tác động của ứng suất bản thân, tải trọng móng, trọng lượng đất san lấp và các loại tải khác một cách gần đúng nhất có thể có hai cách:
Tính toán so sánh trạng thái ứng suất biến dạng của đất lún ướt với mô đun biến dạng ở độ ẩm tự nhiên và bão hòa (cũng như với việc xác định tính lún ướt khi thí nghiệm theo phương pháp hai đường cong).
Bài toán trong sơ đồ tính toán khối đất bão hòa biến dạng thể tích, tương ứng với biển dạng thể tích lún ướt dự báo.
6.4.17 Khi sử dụng để xác định trạng thái ứng suất biến dạng của nền, cũng như kết cấu nhà và công trình, lời giải riêng biệt và công thức thực nghiệm để tính toán nền theo nhóm trạng thái giới hạn thứ nhất và trạng thái giới hạn thứ hai cho phép sử dụng sơ đồ tính toán thấm ướt đất và sự phát triển của biến dạng lún ướt (Hình 3), dựa trên các kết quả nghiên cứu ngoài trời quy mô lớn theo các quy định trong tiêu chuẩn hiện hành.
6.4.18 Khi lựa chọn các sơ đồ biến dạng nền do thẩm ướt đất lún ướt cần phải xem xét hai trường hợp cơ bản vị trí của nguồn thấm ướt: thứ nhất là ở dưới tâm nhà hoặc công trình; thứ hai là ở dưới đầu hồi của nhà và công trình (Hình 4 và Hình 5).

a) Thấm ướt nền đất dưới nhà và công trình đối xứng (trúng tâm)

b) Thấm ướt nền đất dưới nhà và công trình không đối xứng
Hình 4 - Sơ đồ thay đổi độ cứng nền trong điều kiện đất lún ướt loại I
|
|
|
| a) Vị trí của nguồn thấm nước bên dưới giữa (võng xuống) và Sơ đồ thay đổi các hệ số độ cứng khi nhà võng | b) Vị trí của nguồn thấm ướt ở đầu hồi nhà và nhà Sơ đồ thay đổi hệ số độ cứng khi nhà bị võng |
CHÚ DẪN:
1 Nguồn thấm ướt đất
2 Đường cong lún ướt đất do trọng lượng bản thân của nó
Hình 5 - Sự thay đổi tính toán độ lún ướt đất do trọng lượng bản thân và hệ số độ cứng nền dưới điều kiện đất lún ướt loại II
6.4.19 Trong điều kiện đất lún ướt loại I, sơ đồ tính dịch chuyển đứng của nền không loại bỏ hay loại bỏ một phần đất lún ướt trong vùng biến dạng trên hsl,p (xem Hình 2) cần được thực hiện với tính toán độ lún ướt do tác động đồng thời của tải trọng ngoài truyền qua móng nhà hoặc công trình và trọng lượng bản thân của đất, cũng như sự thay đổi về đặc trưng cơ lý của đất lớp dưới hsL,p và nền có độ cứng biến đổi (với các khu vực lún ướt không đều trong vùng đất thấm ướt). Chiều dài phần a0 (xem Hình 4) của nền độ cứng biến đổi được xác định phụ thuộc vào độ sâu của móng, độ sâu của nguồn thấm ướt, vùng lún ướt đất hsl,p , giá trị góc loang ra của nước theo các phía và các yếu tố khác theo Phụ lục H.
Sơ đồ thay đổi độ cứng của nền khi thấm ướt tại chỗ được phép lấy theo quy luật tuyến tính từ giá trị hệ số độ ướt nhỏ nhất C1 đến giá trị lớn nhất C (xem Hình 4). Giá trị các hệ số C1 và C được xác định theo Phụ lục H.
6.4.20 Nhà và công trình được thiết kế xây dựng trong điều kiện đát lún ướt loại II, nên được tính toán tại vị trí phễu lún ướt bất lợi nhất so với nhà hay công trình (xem Hình 3, Hình 4):
a) Bên dưới tâm nhà hay công trình, khi L > 2r với một độ cong lõm và biến dạng ngang tương đối khi nén (-εu,sL) tại phần giữa phễu và độ cong lồi và biến dạng ngang tương đối khi kéo (+εu,sL) ở mép phễu;
b) Dưới nhà và công trình khi L < (2r + b0) với một độ cong lõm và biến dạng ngang tương đối khi nén (-εu,sL),
c) Dưới rìa (đầu hồi) nhà hay công trình với độ cong lồi và biến dạng ngang tương đối khi kéo ngang (+εu,sL).
CHÚ THÍCH: Khi độ lún ướt của đất do trọng lượng bản thân ssL,g ≤ 20 cm biến dạng ngang của bề mặt đất trong các tính toán nhà và công trình thuộc cấp C1 có thể được bỏ qua.
6.4.21 Một số loại biến dạng bề mặt đất (chuyển vị ngang, nghiêng, v.v.) khi tính toán kết cấu công trình được phép không tính đến, nếu xác định rằng, lực do các biến dạng dư là đủ nhỏ so với nội lực của các dạng tải trọng và tác động khác.
6.4.22 Sơ đồ tính toán nhà và công trình để xác định lực và biến dạng trong kết cấu công trình, cần phải phản ánh ở mức độ chính xác yêu cầu điều kiện làm việc thực tế của nhà và công trình và đặc điểm tương tác của chúng với nền. Trong trường hợp cần thiết, nên xem xét sự làm việc không gian, tính phi tuyến hình học và vật lý, cũng như từ biến của vật liệu kết cấu.
Yếu tố làm việc phi tuyến của kết cấu xây dựng phải được xem xét một cách toàn diện: tính phi tuyến vật lý và kết cấu; sự biến thiên của tải trọng, v.v. Nếu không có đánh giá tin cậy về mức độ ảnh hưởng của các yếu tố riêng biệt đến độ lớn của lực trong mỗi kết cấu, không được phép tính toán phiến diện bất kỳ một yếu tố nào.
6.4.23 Kết cấu nên được tính toán trên tác động từ lún ướt đất và sự thay đổi đặc trưng cơ lý của chúng, dựa trên điều kiện làm việc đồng thời của nền hoặc công trình.
Phụ thuộc vào giá trị ứng suất pháp tuyến và ứng suất tiếp tuyến khi tiếp xúc giữa nền với móng, mô hình nền có thể ở dạng:
a) Hệ đàn hồi tuyến tính;
b) Hệ phi tuyến biểu diễn mối quan hệ phi tuyến giữa biến dạng và tải trọng trong nền đất ở trạng thái ổn định, sự khác nhau về tính biến dạng của nền khi gia - dỡ tải, sự phá hoại vùng tiếp xúc giữa móng và nền;
c) Hệ lưu biến phản ánh tính chất biến dạng của nền tại thời điểm khác nhau trong quá trình xây dựng và khai thác, vận hành (ở trạng thái đất không ổn định).
Tính chất biến dạng của nền trên vùng tiếp xúc với móng có thể được xác định bằng một hệ số độ cứng khi nén C, và khi tính toán đồng thời biến dạng dọc và ngang, bổ sung hệ số độ cứng khi cắt G - được xác định theo Phụ lục H.
6.4.24 Khi xác định nội lực trong kết cấu nhà và công trình từ tác động của lún ướt đất dưới trọng lượng bản thân, giá trị ssLg > 0,3 m cần phải:
a) Thực hiện tính toán đồng thời tác động của chuyển vị đứng (độ lún ướt SsL,g, chênh lún tương đối
,v.v) và dịch chuyển ngang và xác nhận tổng lực phát sinh trong kết cấu là do các chuyển vị này;
b) Khi có các số liệu, cho thấy một số loại biến dạng bề mặt nền đạt giá trị tối đa, đồng thời gây ra nội lực trong kết cấu (cộng tác dụng) bằng tổng hai loại nội lực do các loại biến dạng theo công thức (17) và ba nội lực theo công thức (18):
|
| (17) |
|
| (18) |
Ở đây, X1, X2, X3 - là lực do dạng khác nhau của các biến dạng bề mặt nền (ví dụ, chuyển dịch đứng và ngang khi lún ướt, cũng như do động đất, trượt, lở, v.v.).
6.4.25 Sơ đồ tính toán nhà và công trình để xác định lực và biến dạng trong kết cấu cần phản ánh ở một mức độ chính xác, phù hợp, các điều kiện làm việc thực tế của nhà và công trình và đặc điểm tương tác của chúng với nền. Khi cần thiết, cần tính toán theo sự làm việc không gian, phi tuyến hình học và vật lý, cũng như từ biến của vật liệu.
Các yếu tố làm việc phi tuyến của kết cấu xây dựng phải được xem xét một cách toàn diện: sự phi tuyến vật lý và kết cấu, tính biến thiên của tải trọng, v.v. Nếu không có một đánh giá đáng tin cậy về ảnh hưởng của riêng từng yếu tố về độ lớn nội lực trong kết cấu, không được phép tính toán bất kỳ một yếu tố nào.
Nếu không thể tính toán các yếu tố phi tuyến tính ở trên nên áp dụng phương pháp dựa trên việc sử dụng các phương pháp số tính toán kết cấu nhà và công trình, và đánh giá trạng thái ứng suất-biến dạng của nền đất. Phương pháp này dựa trên việc sử dụng "mô hình tiếp xúc" để mô phỏng sự tương tác của kết cấu và nền và phương pháp cơ học kết cấu để xác định nội lực trong kết cấu.
6.4.26 Để chọn một mô hình nền, nên thực hiện theo mô hình nền đàn hồi tuyến tính.
Nếu do tính toán nhận được các giá trị ứng suất pháp tuyến P và tiếp tuyến τ trên một số vùng tiếp xúc của nền với móng thỏa mãn các điều kiện trong công thức (19) thì cho phép tính toán được thực hiện theo hệ đàn hồi tuyến tính.
|
| (19) |
trong đó:
| pn | là áp lực pháp tuyến ban đầu trên nền của công trình trước khi xuất hiện lún ướt; |
| R | là sức kháng tính toán của nền đất nền R xác định theo TCVN 9362; |
| τmax | là ứng suất cắt giới hạn, tính bằng kPa, tại để móng, xác định phù hợp với TCVN 9362; |
| A | là diện tích tiếp xúc, m2, của nền với móng trên vùng vượt quá ứng suất p và τ; |
| Ap và Aτ | diện tích tiếp xúc, m2, của nền với móng trên vùng ứng với ứng suất pháp và ứng suất tiếp tuyến. |
Nếu điều kiện (19) không được đáp ứng, cần thực hiện tính toán bằng cách sử dụng mô hình nền ở dạng hệ phi tuyến.
6.4.27 Nội lực xuất hiện trong kết cấu chịu lực của nhà và công trình do tác động của biến dạng ngang trong đất nền khi lún ướt dưới trọng lượng bản thân, cần được xác định phụ thuộc vào các đặc tính kết cấu của phần ngầm nhà hay công trình, độ chôn sâu của móng, diện tích tiếp xúc với đất, tính chất cơ lý của đất nền, bao gồm cả các thay đổi của chúng trong quá trình xây dựng và vận hành khai thác, tải trọng tác động lên móng có tính đến:
a) Lực cắt tại để móng;
b) Lực cắt theo bề mặt bên của móng;
c) Áp lực pháp tuyến đất trượt trên bề mặt phía trước của móng.
6.4.28 Khi thiết kế nhà và công trình, trong trường hợp cần thiết, cùng với việc nắn đường ray dưới cẩu, hố thang máy và các kết cấu khác, cần tính toán khả năng cân bằng các kết cấu riêng lẻ, các khoang phân cách bằng các khe giảm lún, toàn bộ nhà và công trình trong quá trình khai thác vận hành chúng bằng kích nâng hoặc ngược lại hạ xuống bằng cách khoan bớt một phần đất dưới móng, hoặc bằng cách thấm ướt có điều chỉnh đất lún ướt dưới toàn bộ nhà công trình. Trong trường hợp này, cần thực hiện bổ sung các tính toán kết cấu khi nền biến dạng không đều và ở giai đoạn cân bằng.
Bằng tính toán cân bằng, cần kiểm tra khả năng chịu lực và sự ổn định của bộ phận tầng hầm của nhà, tiếp nhận tải trọng tập trung của cơ cấu cân bằng (kích, bao gồm cả kiểm tra ổn định nền khi truyền áp lực trên nó từ cơ cấu cân bằng).
CHÚ THÍCH: Không cho phép tiến hành các tính toán tác động của đất lún ướt đến kết cấu nhà và công trình cấp C3, cũng như các dự án xây dựng lớn có đủ kinh nghiệm thi công và khai thác sử dụng trong điều kiện đất địa phương.
Phụ lục A
(tham khảo)
Ví dụ điển hình về dịch chuyển và biến dạng của bề mặt đất
|
|
|
| a) Mặt cắt dọc vuông góc với đường phương khi vỉa than nằm nghiêng | b) Thế nằm vỉa than dốc đứng |

c) Mặt cắt thẳng đứng theo đường phương vỉa
CHÚ DẪN:
| 1 | Biểu đồ đường cong lún |
| 2 | Biểu đồ độ nghiêng (dốc) |
| 3 | Biểu đồ độ cong |
| 4 | Biểu đồ biến dạng ngang tương đối |
| 5 | Biểu đồ dịch chuyển ngang |
| 6 | Vỉa (tầng) |
| 7 | Vùng khai thác |
| 8 | Vị trí bề mặt đất trước khi khai thác |
| ηmax | Sụt lún bề mặt đất lớn nhất |
| β0, γ0, δ0 | Góc dịch chuyển giới hạn |
| ψ1, ψ2, ψ3 | Góc dịch chuyển hoàn toàn |
|
| Góc sụt lún lớn nhất |
| α | Góc dốc của vỉa |
Hình A.1 - Minh họa dạng chuyển dịch và biến dạng bề mặt đất khu khai thác và khoáng sản

CHÚ DẪN:
| s0 | Giá trị sụt lún mặt đất lớn nhất dưới ảnh hưởng của khai thác ngầm (phía trên tâm của khoang ngầm) |
| B | Chiều rộng của phễu lún, tức là khoảng cách giữa các điểm trên bề mặt có sụt lún bề mặt đất bằng không hoặc có giá trị tối thiểu theo yêu cầu thiết kế |
| H | Độ sâu của thế nằm (vỉa), D0 - kích thước khoang hầm khai thác |
| μ | (góc nghiêng của các đường nối chu vi hầm khai thác với các điểm biên của phễu dịch chuyển) - Góc dịch chuyển giới hạn |
| δ | Dung sai kỹ thuật (sự sai khác giữa đường kính chế tạo và một đường kính ngoài của áo đường hầm) |
Hình A.2 - Ví dụ sơ đồ tính toán biến dạng nền trên hầm khai thác
Hình dạng tiết diện ngang của bề mặt nền thường được mô tả theo đường cong "điển hình", ví dụ như "đường cong hình chuông" Gause Sμ (x) = S0exp(-x2/a2).
Các thông số và dạng đường cong "điển hình" được xác định trên cơ sở dữ liệu quan trắc hiện trường, có xét đến tính năng công nghệ đào hầm và (nếu cơ sở dữ liệu đầy đủ) kết quả tính toán theo phương pháp số.
Phụ lục B
(tham khảo)
Các biện pháp bảo vệ nhà và công trình đang vận hành, khai thác trong vùng khai thác mỏ
B.1 Đối với nhà và công trình khai thác, vận hành cần xem xét các biện pháp bảo vệ:
a) Đào khai thác mỏ, giảm thiểu biến dạng của nền và móng nhà và công trình;
b) Địa kỹ thuật, giảm thiểu hay loại bỏ biến dạng của nền và móng nhà và công trình;
c) Kết cấu, làm giảm thiểu độ nhạy của nhà và công trình với biến dạng nền, nghĩa là giảm hay loại bỏ biến dạng kết cấu công trình.
Các giải pháp bảo vệ cũng có thể sử dụng là: thay đổi địa điểm khai thác, điều chỉnh, sửa chữa và đặt kế hoạch từ trước.
B.2 Biện pháp đào khai thác bảo vệ nhà và công trình là:
a) Lấp lại toàn bộ hay một phần không gian đã đào khai thác;
b) Nghiên cứu khai thác nổ mìn vỉa theo thời gian, bố trí các hoạt động khai thác khoáng sản theo không gian; khai thác theo trình tự liên tục hoạt động khai thác đồng thời tại một số khu vực, đảm bảo giảm sự biến dạng nền của các hạng mục công trình;
c) Khai thác một phần tài nguyên khoáng sản theo diện tích và chiều dày vỉa;
d) Gia cố sơ bộ và cải tạo đất đá trong khu vực gương đào và chu vi của vỏ hầm lò (kể cả thi công trước các vòm bảo vệ);
e) Sử dụng các tổ hợp thi công hầm đào kín có gương đào và tải trọng của nó;
f) Giảm mặt cắt và kích thước của hầm lò;
g) Tăng khoảng cách giữa hoạt động khai thác mỏ và móng của công trình hiện hữu đang khai thác sử dụng;
h) Phun vữa dung dịch (hỏa cứng) vào không gian sau vỏ hầm cùng một lúc hoặc ngay sau khi di chuyển tổ hợp đào hầm;
i) Sử dụng lớp áo bê tông phun nguyên khối;
j) Lựa chọn phương pháp và quy trình mở lò, làm giảm đất dư ở gương lò gia cường hầm lò sớm nhất.
B.3 Các biện pháp địa kỹ thuật bảo vệ nhà và công trình là:
a) Các biện pháp bảo vệ đất nền tránh sự suy giảm các đặc tính xây dựng của đất phù hợp với TCVN 5746;
b) Biện pháp hướng đến cải tạo tính chất đất xây dựng với mục đích giảm biến dạng của nền và thích ứng được với sự chuyển dịch khối đất đá;
c) Gia cố móng nhà và công trình;
d) Truyền tải trọng của nhà và công trình xuống lớp đất phía dưới;
e) Tách nền đất của nhà và công trình và các công trình mỏ bằng cách xây dựng giữa chúng các bức tường ngăn;
f) Giảm độ lún lệch và làm cân bằng nhà và công trình bằng cách khoan đất từ dưới nền để móng, bơm vào một thể tích dung dịch hạn chế để tăng cứng đất (bơm bù);
g) Đào hào bù tạm thời để giảm bớt các áp lực do biến dạng ngang của nền.
B.4 Biện pháp kết cấu bảo vệ nhà và công trình là:
a) Phân chia nhà và công trình bằng khe biến dạng;
b) Gia cường các cấu kiện riêng lẻ hay toàn bộ công trình bằng các đai bê tông cốt thép;
c) Lắp đặt các liên kết giằng (thanh chống);
d) Làm cân bằng nhà và công trình bằng các kích.
B.5 Các biện pháp bảo vệ cần được lựa chọn trên cơ sở so sánh kinh tế - kỹ thuật của các phương án, có kể đến công năng, mức độ quan trọng, đặc điểm kết cấu, tác động nhỏ nhất đến chế độ hoạt động của các đối tượng được bảo vệ, kết quả dự báo biến dạng của nền, kinh nghiệm hiện có.
Sự lựa chọn các biện pháp bảo vệ cần được tiến hành với tính toán khả năng ảnh hưởng quy trình kỹ thuật từ hoạt động của chúng. Ưu tiên đưa ra các biện pháp để bảo vệ hầm mỏ, ngoại trừ trường hợp điều chỉnh khi đào khai thác khoáng sản. Nếu các biện pháp này là không đủ hoặc chúng không thể thực hiện được, các biện pháp địa kỹ thuật phải được ứng dụng đầu tiên, không phá hủy chế độ hoạt động của các đối tượng được bảo vệ.
Phụ lục C
(tham khảo)
Yêu cầu riêng về thiết kế và tính toán nhà khung trên vùng khai thác mỏ
C.1 Nhà khung, xây dựng trên vùng khai thác mỏ, nên thiết kế theo sơ đồ kết cấu mềm dẻo và liên hợp.
CHÚ THÍCH: Khi thiết kế nhà và công trình trên vùng khai thác mỏ nhóm I, Ik và llk cần ưu tiên cho các công trình nhà khung bằng kim loại.
C.2 Khi có luận chứng kinh tế - kỹ thuật phù hợp, cho phép thiết kế nhà khung theo sơ đồ kết cấu cứng.
C.3 Giải pháp kết cấu nhà khung phải được lựa chọn theo các giá trị tính toán biến dạng mặt đất, điều kiện địa chất công trình của khu vực xây dựng và yêu cầu hoạt động khai thác của dự án.
C.4 Nhà khung nhiều tầng nên được thiết kế ở dạng kết cấu tổ hợp và liên kết với nhau (Hình B.1 của Phụ lục này).
|
|
|
| a) Hệ kết cấu khung | b) Hệ kết cấu khung giằng |
Hình C.1 - Sơ đồ khung của nhà khung nhiều tầng
Khi lựa chọn hệ thống kết cấu nhà khung nhiều tầng nên chọn khung với các cột lưới được mở rộng.
C.5 Móng của nhà khung nhiều tầng trên cơ sở sơ đồ liên kết, nên thiết kế ở dạng băng giao thoa, mặt cắt ngang cần tính toán xác định trên ảnh hưởng biến dạng không đều của nền.
C.6 Khớp nối liên kết của cấu tạo nhà khung nhiều tầng cho phép thực hiện với các xà ngang tựa trên công xôn của cột qua các tấm đệm bù mềm (Hình C.2).
C.7 Nhà khung nhiều tầng phải được tính toán dưới tác động của nghiêng, trong khai thác, theo sơ đồ biến dạng, nếu lực dọc trong khung cột theo tải trọng tính toán vượt quá 10 % giá trị lực tới hạn.
C.8 Sơ đồ tính toán phù hợp với sơ đồ khung ngang và dọc nhà khung một tầng (Hình C.3, C.4) tương ứng nêu tại Bảng C.1 của Phụ lục này.

CHÚ DẪN:
1 Cột
2 Dầm tựa
3 Dầm ngang
4 Tầm liên kết trên và dưới
5 Chi tiết cột
Hình C.2 - Liên kết gối tựa công xôn với cột

CHÚ DẪN: Từ a) đến f) là các dạng liên kết phần tử khung
Hình C.3 - Sơ đồ khung ngang của nhà một tầng

CHÚ DẪN:
Từ a đến c là các loại liên kết khung
Hình C.4 - Sơ đồ khung dọc của nhà một tầng (có và không có sử dụng cần cẩu)
Bảng C.1 - Liên kết trong kết cấu khung
| Nhóm vùng khai thác mỏ | Số hiệu hình vẽ | Liên kết, khớp nối | Biện pháp bổ sung để đảm bảo ổn định nhà | |
| Cột và dầm | Cột và móng | |||
| a) Khung ngang | ||||
| IV; IVk; III | C3, a | Khớp nối cố định | Cứng |
|
| II; I; IVk | C3, b | Khớp nối cố định | Hàng cột giữa - cứng, cột biên - khớp cố định |
|
| II; I; IVk | C3, c | Một số cột - khớp cố định, một số cột khác- khớp xoay | Cứng |
|
| I; IV; lllk | C3, d | Khớp cố định | Hàng cột giữa - cứng, hàng cột biên - khớp cố định | Lắp đặt liên kết thanh chống trong cùng cao trình (mức) |
| Ilk; lk | C3, e | Khớp cố định | Hàng cột giữa - cứng, hàng cột biên - khớp cố định | Như trên, ở 2 cao trình |
| II; I; IVk | C3, f | Khớp cố định | Khớp cố định | Lắp đặt ở phần giữa nhà của liên kết đứng giữa cột và liên kết giữa thanh chống và móng. |
| b) Khung dọc | ||||
| IV; IVk; III | C4, a | Khớp cố định | Cứng | Lắp đặt ở phần giữa nhà của liên kết đứng giữa cột và liên kết giữa thanh chống và móng. |
| II; I; IVk | C4, b | Khớp cố định | Cứng | Lắp đặt ở phần giữa nhà của liên kết đứng giữa cột và liên kết giữa thanh chống và móng. |
| I; IIk; lIIk | C4, c | Khớp cố định | Cứng | Lắp đặt ở phần giữa nhà của liên kết đứng với liên kết băng chuyển động và giữa móng với liên kết thanh giằng chống ở hai cao trình. |
| CHÚ THÍCH: Trong nhà với cần cẩu trên vùng đất khai thác mỏ nhóm lk và một phần lik, dự kiến hợp lý là chọn khung phẳng. | ||||
Bảng C.2 - Dịch chuyển ngang tới hạn của nền móng
| Dạng khung | Dịch chuyển ngang tới hạn của nền móng | |
| Trong mặt phẳng của khung | Theo hướng liên kết | |
| Diện tích tiết diện cột bê tông cốt thép lớn hơn 0,15 m2 | 0,002 h | 0,004 h |
| Diện tích tiết diện cột bê tông cốt thép từ 0,1 m2 đến 0,15 m2 | 0,004 h | 0,006 h |
| Diện tích tiết diện cột thép | 0,010 h | 0,020 h |
| CHÚ THÍCH: Chiều cao h lấy là chiều cao cột của tầng đầu tiên của khung. | ||
C.9 Khi thiết kế nhà khung công nghiệp một tầng, bước cột nên là 6 m và 12 m.
Các khung sử dụng kết cấu xà với bước hàng cột biên là 6 m và hàng giữa từ 12 m đến 18 m được phép dự kiến trên vùng đất khai thác mỏ nhóm IV, III và IVk.
C.10 Khi thiết kế nhà khung một tầng không cần kể đến chuyển vị nền móng:
a) Chuyển vị đứng, nếu sai khác độ lún móng dưới các cột tính theo tổ hợp tải trọng đặc biệt không vượt quá các giá trị được nêu trong TCVN 9362;
b) Chuyển vị ngang, nếu các giá trị này không vượt quá giới hạn chuyển vị ngang nêu tại Bảng C.2 của Phụ lục này.
C.11 Trong trường hợp khả năng chịu lực của các cột tựa trên móng độc lập, không đủ để chống lại lực do biến dạng của bề mặt đất, và sau đó việc gia cường cột hoặc giảm chiều dài của các khoang là không phù hợp, cần phải lường trước giữa xây dựng móng liên kết giằng ở một hay hai mức.
Liên kết giằng theo hai mức thích hợp để áp dụng trên các vùng đất lún ướt các nhóm I, từ lk đến lllk. Để giảm nội lực trong giằng móng do tác động của chuyển dịch nền đất cần thiết kế các khớp trượt trên diện tích tiếp xúc để móng với bê tông dưới móng.
Nếu các biện pháp này không đảm bảo khả năng chịu lực của cột, cần thay đổi sơ đồ kết cấu của nhà hoặc xem xét xây dựng móng ở dạng dầm giao thoa, bản bê tông cốt thép, v.v.
C.12 Ổn định của nhà khung một tầng (ngăn) theo phương ngang phải được đảm bảo bằng cách ngàm cột vào móng (xem Hình C.3 của Phụ lục này). Trong hướng dọc theo tất cả các hàng cột giữa cần thiết sắp xếp các khối cứng với các liên kết theo chiều đứng giữa các cột (xem Hình C.4). Trong phạm vi khối cứng móng của các cột nên được thiết kế giằng móng.
Để đảm bảo sự ổn định của khung nhà một tầng cần thiết kế các cấu kiện tăng cứng (tường phân cách, cột mở rộng tiết diện, mở rộng nhiều tầng) theo hàng dọc và ngang của cột.
Để làm giảm nội lực trong liên kết đứng khi biến dạng không đều của nền phải thực hiện bằng cách sử dụng các liên kết khớp dọc cho phép khả năng chuyển vị cột khối cứng dưới độ lún tương đối không đều (xem Hình C.4 của Phụ lục này).
Tính ổn định của nhà nhiều tầng trong các hướng ngang và dọc nên đảm bảo ngàm cột trong móng, bố trí giữa các cột liên kết đứng hoặc thực hiện liên kết cứng công xôn với các cột.
Liên kết đứng, đảm bảo ổn định không gian của nhà hoặc gian của nó, nên được nhóm lại thành các khối gian ở giữa của nhà (khoang). Để đảm bảo sự làm việc đồng thời các khung và khối không gian, trần phải có đủ độ cứng trong một mặt phẳng nằm ngang.
C.13 Giới hạn chiều dài và chiều rộng của khoang nhà khung cần được xác định theo giá trị tính toán của biến dạng bề mặt đất.
Khe co giãn giữa các phần cần được thiết kế dưới dạng khung kép hoặc kết cấu liên kết khớp và phủ kín phần ngàm (xốp, cao su xốp, v.v.).
C.14 Mái của nhà khung một tầng phải có xu hướng sử dụng các kết cấu tĩnh đơn giản nhất.
C.15 Cần luận chứng cho mỗi trường hợp về sự hợp lý áp dụng hệ thống mái liên tục bằng các tính toán trên biến dạng nền không đều.
C.16 Sử dụng các kết cấu không gian thành mỏng (vòm, vỏ), v.v. làm mái cần phải chứng minh bằng việc tính toán tĩnh, có tính đến tác động của biến dạng nền không đồng đều, tác dụng động của các thiết bị kỹ thuật, của cần trục treo hay đường ray, cần thiết (trong một số trường hợp) cân bằng nhà và các yếu tố khác.
C.17 Để bảo vệ mái che nhà khung do nước mưa thấm vào mái nhà khi biến dạng nền không đều ở vị trí trần tiếp giáp với tường mặt và tường dọc (dưới ống máng bên trong) nên bố trí ở các khu vực tiếp giáp với mái che nhịp bù liền kề (với lớp cách nhiệt trên các khe biến dạng), và dán cũng như vị trí lắp đặt khe co giãn và khe giữa các tấm mái bên trong tấm cách nước ngang thêm dải lợp chống thấm thảm rộng 1 m.
C.18 Kết cấu bao che nhà khung nên áp dụng các tấm tường panen kích thước lớn, đảm bảo cho chúng liên kết mềm với khung nhà để tải trọng truyền lên kết cấu bao che do biến dạng khung nhỏ hoặc loại trừ hoàn toàn.
Tường kết cấu bao che cần được gắn chặt trong hai góc theo bản lề di chuyển ngang, và hai góc còn lại là bản lề cố định. Sai khác độ lún cho phép Δh của cột liền kề của nhà được xác định theo công thức:
|
| (C.1) |
trong đó:
Δh là độ lớn khe hở giữa các tấm tường;
I là khoảng cách giữa các trục của các cột liền kề;
Hn là chiều cao của tường panen.
C.19 Khi sử dụng tường đá chịu lực nên dự kiến cắt cột khung nhà với điểm kê trên dầm tường và gắn với khung. Các bức tường bên trong dọc theo trục khung của nhà, cần được liên kết với cột (theo hệ neo mềm) và dự kiến khe hở không nhỏ hơn 50 mm ở vị trí nối với tường bên ngoài, với tấm và xà ngang và ở các nơi vượt qua của đường ống kỹ thuật và đường ống vệ sinh.
C.20 Các sàn cứng trên mặt đất (sàn bê tông, sàn xilolit, v.v.) phải được thiết kế thành từng ô kích thước không nhỏ hơn 6 m. Chiều rộng của khe giữa các ô nên được xác định theo công thức (4), trong đó giá trị L0 là khoảng cách giữa các tâm ô liền kề theo hướng này. Các mạch nối giữa các ô nên bít kín bằng vật liệu đàn hồi (nhựa đường - bitumastic, bịt xốp cách nhiệt, v.v.). Được phép sử dụng sàn bê tông cốt thép như là một liên kết bản. Trong trường hợp này, không nên cắt thành các tấm.
C.21 Lõi thang máy (tường thang máy) có thể được sử dụng như block cứng đảm bảo sự ổn định của không gian nhà (khoang).
Các kích thước của lỗ trên trần cho các thiết bị và đường ống cần được quy định có tính đến dịch chuyển tương hỗ nhau trong mặt phẳng ngang, cần thiết phải lường trước sai số theo phương đứng của thiết bị trong quá trình khai thác.
C.22 Trong các nhà công nghiệp được sử dụng các phương tiện nâng vận chuyển vật liệu nên ưu tiên sàn vận chuyển (của thiết bị) kiểu treo.
Để đảm bảo hoạt động bình thường của cần trục phải xem xét sai số theo phương đứng của các kết cấu máy trục, điều chỉnh hệ thống treo.
C.23 Trong các nhà với cầu trục trên nên sử dụng dầm cầu trục xẻ.
Ở các vị trí phân chia nhà thành các khoang cần dự kiến một dầm gánh dạng công xôn hoặc cơ cấu dầm bù trừ, mà khả năng biến dạng đó cần được xác định tùy thuộc vào mức độ của khe biến dạng.
C.24 Kích thước gần đúng của cần trục với các bộ phận nhà nên được quy định sai số theo phương đứng của các đường cần trục. Cho phép tăng chiều cao cột cần trục hoặc sử dụng các dầm cầu kim loại với giảm phần chân đế (gối tựa).
C.25 Độ nghiêng của đường ray cần trục gây bởi biến dạng của bề mặt đất không được vượt quá các giới hạn sau:
a) Theo hướng ngang i = 4·10-3;
b) Theo hướng dọc i = 6·10-3.
Phụ lục D
(tham khảo)
Yêu cầu riêng về thiết kế và tính toán nhà không khung (sườn) trên vùng khai thác mỏ
D.1 Nhà không khung ở vùng khai thác mỏ cần thiết kế theo sơ đồ kết cấu cứng hoặc sơ đồ kết cấu liên hợp, không cho phép sự phá hủy tăng trên các phần của nhà khi sụp đổ kết cấu chịu lực riêng rẽ; Với tường chịu lực dọc và lõi cứng ngang (tường buồng cầu thang, giếng có thang máy, v.v.).
CHÚ THÍCH: Phần trên mặt đất của nhà ở và nhà công cộng không có khung cần thiết kế theo sơ đồ kết cấu cứng.
D.2 Tường chịu lực của nhà cần bố trí sao cho đối xứng qua trục ngang và dọc của nhà, đảm bảo sự phân bố độ cứng đều theo chiều dài và rộng của nhà.
Tường ngang cần thiết kế suốt toàn bộ chiều rộng của nhà. Trong trường hợp, theo yêu cầu quy định việc bố trí tường ngang bị gián đoạn, cần phải liên kết với tường dọc bên trong, đảm bảo sự làm việc đồng thời của tường dọc và tường ngang như một hệ liên kết giao nhau. Khi đó sự dịch chuyển của tường ngang cho phép không lớn hơn 0,6 m.
Giá trị dịch chuyển của tường dọc cho phép không lớn hơn 1,8 m, khi đó vị trí gãy, nứt của tường dọc cần phải liên kết với tường ngang chịu lực.
D.3 Kết cấu nhà không khung, trong đó có nhà với phòng lồng ghép, cần thiết kế như phần tử của một hệ không gian để tiếp nhận lực từ tải trọng phù hợp với TCVN 2737 vào chúng và tác động của biến dạng móng không đều. Với mục đích như vậy cần xem xét:
a) Bố trí móng kín và giằng móng theo toàn bộ tường ngoài và tường trong;
b) Bố trí giằng bê tông cốt thép ở nhà khối lớn và nhà gạch theo tầng, bố trí ở mức lanh tô hoặc sàn trên toàn bộ tường bao và tường trong, với panel nhà - giằng tầng, phối hợp với kết cấu panel tường bao và tường trong;
c) Liên kết kết cấu móng với kết cấu trên mỏng bằng liên kết thẳng đứng;
d) Liên kết các tấm panel sàn với nhau và với tường chịu lực cũng như sự lấp đầy mối nối giữa những tấm panel bằng vữa xi măng.
Trong các công trình nhà panel cho phép kết hợp móng và giằng móng với kết cấu giằng panel bê tông cốt thép.
D.4 Mẫu thiết kế nhà điển hình cần phải xem xét phương án bố trí tổng thể và kết cấu phần nhà trên mặt đất. Phương án kết cấu phần ngầm cần nghiên cứu một vài phương án phù hợp với điều kiện xây dựng.
D.5 Khe biến dạng ở nhà không khung cần xem xét ở dạng đôi tường ngang. Chiều rộng tường cần đảm bảo yêu cầu kỹ thuật nhiệt tương ứng với nhiệt độ không khí bên ngoài.
D.6 Trong các công trình nhà panel tấm lớn, mối nối giữa các cấu kiện được thực hiện bằng một trong các phương pháp sau:
a) Ở dạng chốt có hàn đầu ra cốt thép và chôn chất vào bê tông;
b) Hàn các chi tiết thép được gắn vào cốt thép làm việc;
c) Liên kết kẹp móc chìa ra với liền khối tiếp theo;
d) Mặt cắt ngang các phần tử liên kết ở mối nối giữa các cấu kiện tường cần được xác định bằng tính toán;
e) ở mối nối ngang của panel phải có đường nối bằng vữa xi măng cấp cường độ chịu nén không nhỏ hơn B7,5.
Chi tiết chèn thép và cấu kiện liên kết ở mối nối cần phải được bảo vệ khỏi ăn mòn phù hợp với TCVN 12251.
D.7 Trong các công trình xây dựng bằng đá, các góc và chỗ giao tường cần đặt cốt thép lưới với kích thước (7 x 7) cm, đường kính từ 4 mm đến 6 mm. Đặt trong các mối nối ngang theo chiều cao cứ cách 1 m và dừng lại theo từng hướng tính từ điểm giao nhau của trục tường ở khoảng từ 1,2 m đến 1,5 m.
Khoảng tựa của panel sàn và mái lên tường chịu lực phải không nhỏ hơn 12 cm.
D.8 Kết cấu bị giảm yếu do các rãnh, mối ghép, hốc tường cần phải gia cường bằng cách bố trí bổ sung cốt thép phù hợp với tính toán hoặc yêu cầu kết cấu.
D.9 Kết cấu phần móng ngầm của nhà không khung cần thiết kế chủ yếu lắp ghép toàn khối với sản phẩm lắp ghép từ nhà máy. Trong trường hợp nếu như phương án không đảm bảo đủ độ cứng và độ bền cần thiết kế phần ngầm toàn khối. Với mục đích tăng độ cứng cho phép bố trí ở phần móng ngầm tường bổ sung.
D.10 Khi lắp dựng lô gia với dịch chuyển phần tường dọc ở đoạn không quá 1,5 m trên trục cần phải bố trí giẳng tường bê tông cốt thép thẳng và giằng móng ở mặt phẳng tường cũng như viền lô gia. Phần thẳng của giằng tường cho phép sử dụng kết cấu mái trên logia, đã được gia cố ở vị trí gãy, nứt và có liên kết tin cậy với kết cấu của giằng chính.
Một trong các tường của lô gia cần phải tiếp nối tường ngang của nhà.
Ban công và vòm cần xây dựng ở công xôn chìa ra của sàn.
Đối với nhà, thiết kế theo hướng căn chỉnh cần xem xét tì lô gia lên sàn.
Phụ lục E
(tham khảo)
Yêu cầu riêng về thiết kế và tính toán công trình kỹ thuật và đường ống trên vùng đất khai thác mỏ
E.1 Công trình dạng tháp cần thiết kế trên cơ sở sơ đồ kết cấu cứng.
Khi độ nghiêng tính toán của công trình tháp, vượt quá giới hạn thì cần thiết phải tăng kích thước đáy móng, hạ thấp trọng tâm công trình nếu có thể, xem xét lắp dựng dây căng cũng như phương án cân bằng công trình trong quá trình vận hành.
E.2 Khung (giàn) băng tải cần thiết kế theo sơ đồ dẻo.
Đối với khu vực khai thác mỏ các nhóm I, lk và II, llk (Bảng 1, Bảng 2) kết cấu chịu lực của khung băng tải cần thiết kế bằng kim loại.
E.3 Khung băng tải cần phải thiết kế kết cấu tách với khe ở giá đỡ, khi đó cần đảm bảo khả năng nắn thẳng khung trên giá đỡ ở mặt phẳng ngang vuông góc với trục dọc của nó.
Điểm tựa của khung băng tải trên nhà cần thiết kế linh hoạt. Khe biến dạng cần che phủ bằng thanh hẹp.
E.4 Các trụ đỡ khung băng tải ở khu vực khai thác mỏ nhóm lk- lllk cần xem xét thiết kế chung móng, được tính toán theo tác động của các bậc trên bề mặt đất ở nền của chúng.
E.5 Công trình ngầm dạng tuyến (tunnel, rãnh, hành lang nối, v.v.) cần thiết kế:
a) Với phương dọc - theo sơ đồ dẻo có khe biến dạng chia thành các phần riêng biệt;
b) Với phương ngang - theo sơ đồ dẻo và sơ đồ cứng.
E.6 Chiều dài các đoạn của công trình tuyến cần xem xét phụ thuộc vào khả năng chịu lực của kết cấu, giá trị tải trọng và tác động của biến dạng nền.
Khe biến dạng giữa các đoạn cần bảo vệ khỏi sự thấm của nước bằng cách chèn vật liệu đàn hồi.
E.7 Độ dốc dọc của công trình ngầm dạng tuyến, dùng để thoát nước khẩn cấp phù hợp với TCVN 7957, cần thiết lập có tính đến độ nghiêng có thể có của bề mặt đất.
E.8 Để đảm bảo điều kiện vận hành bình thường của các đường ống kỹ thuật ở công trình ngầm dạng tuyến cần xem xét lắp dựng các trụ đỡ linh hoạt và thiết bị căn chỉnh chuyên dụng.
E.9 Các công trình chôn sâu thể tích lớn ở khu vực đất khai thác mỏ cần thiết kế theo sơ đồ dẻo, liên hợp hoặc cứng.
E.10 Khi thiết kế công trình chôn sâu dung tích kín thì tốt nhất thiết kế theo sơ đồ dẻo và liên hợp.
Sơ đồ kết cấu dẻo được thực hiện bằng cách lắp dựng các khớp cách nước dẻo thích ứng với biến dạng nền không đều ở đoạn tiếp giáp nối kết cấu tường lắp ghép, cũng như ở vị trí liên kết với mái, đáy và vách ngăn.
E.11 Khi thiết kế công trình dung tích lớn chôn sâu mở nên sử dụng sơ đồ kết cấu cứng và liên hợp. Công trình dung tích chôn sâu mở có thiết bị quan trắc lâu dài cần thiết kế theo sơ đồ cứng.
Công trình chôn sâu mở, không có thiết bị quan trắc lâu dài cần thiết kế:
a) Hình chữ nhật trên mặt bằng - theo sơ đồ kết cấu cứng;
b) Hình tròn - theo sơ đồ kết cấu cứng khi có mặt nước ngầm và theo sơ đồ liên hợp - ở đáy, giao với tường bằng khe biến dạng, khi không có nước ngầm.
E.12 Khi thiết kế công trình dung tích lớn chôn sâu để thi công ở khu vực có mực nước ngầm cao, kết cấu mối nối dẻo cần đảm bảo tiếp nhận áp lực thủy tĩnh 2 phía.
E.13 Đường ống ở khu vực khai thác mỏ cần thiết kế tuân thủ tiêu chuẩn hiện có ở đường ống chính, đường ống dẫn sản phẩm dầu mỏ (phù hợp với TCVN 5307), đặt ở khu vực thành phố và khu dân cư cho mạng lưới trong và ngoài và hệ thống dẫn nhiệt, ga, cấp nước và thoát nước (phù hợp với TCVN 7957) theo yêu cầu của tuyến, cách đặt, phương án kết cấu, thông số của sản phẩm vận chuyển, bảo vệ khỏi ăn mòn (phù hợp với TCVN 12251) và các tác động khác, cách nhiệt, hệ thống điều khiển, bảo vệ khỏi môi trường xung quanh và các điều khác không trái với đòi hỏi về bảo vệ độ tin cậy của đường ống dẫn và không nguy hiểm cho các công trình lân cận trong quá trình khai thác.
E.14 Tính liên tục của tuyến ống đang khai thác được xác định bằng tính toán độ ổn định, độ bền, biến dạng dưới các tổ hợp tải trọng, tác động phù hợp với TCVN 2737 ở điều kiện xây dựng bình thường, và các tác động bổ sung khác do dịch chuyển ngang và dọc của khối đất trong khi khai thác.
E.15 Tính toán kiểm tra các đường ống dẫn được thực hiện sau khi chọn tuyến, các kích thước chính, tính toán dự báo dịch chuyển dọc và ngang của đất trong khu vực khai thác.
Việc tính toán trạng thái ứng suất biến dạng nên thực hiện chủ yếu là bằng phương pháp số. Mô hình tính toán (sơ đồ) đường ống dẫn cần phản ánh đặc điểm kết cấu và điều kiện tương hỗ đường ống với môi trường biến dạng đất.
E.16 Trong thiết kế cần xem xét giải pháp kết cấu và công nghệ nhằm ngăn ngừa độ hở của ổng dẫn kim loại dưới ảnh hưởng của khai thác. Van, van cổng, van kiểm tra, van và phụ tùng khác của đường ống cần ứng dụng chỉ kim loại không phụ thuộc vào áp lực thiết kế. Mặt bích (trực tiếp và đối ứng), miếng đệm, ốc vít van phải đáp ứng các yêu cầu của độ kín với lực thiết kế và chuyển vị góc khi khai thác.
Các tấm đệm mềm cần đảm bảo có dự trữ tiếp nhận chuyển vị dọc và góc ở khu vực biến dạng đều và dịch chuyển cục bộ ở phần nhô ra, cũng như có dự trữ độ bền lâu bằng thời gian khai thác đường ống, hoặc bảo trì. Yêu cầu cuối cùng chỉ đối với các thiết bị, công trình nếu hư hỏng không gây ra các sự cố nặng và vừa cho tuyến ống và các đối tượng lân cận, cho cuộc sống và sức khỏe của con người.
E.17 Trong thiết kế cần xem xét biện pháp bảo vệ nhằm giảm ảnh hưởng đồng thời ứng suất từ áp lực phía trong của môi trường vận chuyển, ứng suất nhiệt và ứng suất từ khai thác, mở một phần hoặc toàn bộ đường ống dẫn trong khu vực ứng suất nguy hiểm để giảm tác động của đất khi khai thác.
E.18 Các đoạn của đường ống cần thiết kế đảm bảo độ kín của mối nối trong điều kiện biến dạng của môi trường đất. Trong thiết kế cần ứng dụng các đoạn đường ống với đầu nối lọc kéo dài và vật liệu chèn khe bền lâu đảm bảo độ đàn hồi trong quá trình chu kỳ khai thác của đường ống.
E.19 Đường ống tự chảy cần thiết kế từ điều kiện đảm bảo độ nghiêng cho phép nhỏ nhất.
Phụ lục F
(tham khảo)
Yêu cầu riêng về thiết kế nhà và công trình có kể đến sự căn chỉnh chúng trong giai đoạn khai thác
F.1 Việc cân bằng nhà và công trình, các cấu kiện riêng biệt và dụng cụ công nghệ cần thực hiện bằng phương pháp đã được kiểm nghiệm ở thực tế. Sự cân bằng được thực hiện nhờ các thiết bị chuyên dụng (ví dụ, kích thủy lực); nhờ sự thay đổi cục bộ khả năng biến dạng của nền (sự khoan rút đất ở móng, điều tiết ngậm nước đất nền). Lựa chọn phương pháp cân bằng thực hiện phụ thuộc vào phương án kết cấu nhà (công trình), điều kiện đất của khu vực xây dựng, riêng đối với khu vực khai thác mỏ - còn phải dựa vào cả vận tốc tăng độ biến dạng của bề mặt đất.
CHÚ THÍCH:
1. Việc cân bằng nhà và công trình, như là biện pháp bảo vệ khỏi tác động của biến dạng nền không đều, không loại trừ ứng dụng các biện pháp bảo vệ khác (kết cấu, chuẩn bị nền, v.v.).
2. Nguyên tắc phương án kết cấu nhà và công trình có kể đến sự cân bằng chúng, cần được chấp thuận của cơ quan chuyên môn ờ vùng đó và khách hàng.
F.2 Khi thiết kế nhà và công trình không khung có khả năng phải càn bằng bằng kích ở phần móng cần xem xét lỗ (để đặt kích) và các khớp phân cách nằm ngang giữa phần nhà cần nâng và phần sử dụng làm đối trọng, cũng như đảm bảo sự tự do tiếp cận vị trí lắp đặt của thiết bị cân bằng trên mặt bằng, ở vị trí đặt thiết bị, chiều cao từ sàn đến kết cấu chìa ra của trần cần phải không nhỏ hơn 1,9 m.
Trong thiết kế nhà và công trình có sự cân bằng mặt bằng cần xem xét lắp đặt mốc quan trắc trong quá trình vận hành.
F.3 Hố thang máy phải được thiết kế tựa vào phần được cân bằng của tòa nhà hoặc riêng biệt trên một móng, tách khỏi kết cấu móng và kết cấu phần trên mặt đất của nhà, bằng các khớp và kích thước khe hở đủ để điều chỉnh sai lệch so với phương thẳng của hố thang máy. ở móng của hố thang máy cần phải xem xét bố trí lỗ trục để lắp đặt thiết bị cân bằng.
F.4 Hệ thống cấp nhiệt, đường dẫn nước bên trong và thoát nước cần thiết kế có kể đến phương án kết cấu đảm bảo sự vận hành bình thường của đường ống trong quá trình cân bằng nhà (công trình):
a) Đường ống phải được lắp đặt bên ngoài các lỗ chờ phục vụ bố trí thiết bị cân bằng trên mặt bằng;
b) Gắn chặt các cột và các đường ống vào kết cấu của nhà (công trình), đặt ở vị trí cao hơn khớp phân chia nằm phương ngang, giữa các phần đỡ và phần nâng của nhà;
c) Bố trí lỗ để dẫn đường ống qua tường và móng và đảm bảo khe hở giữa đường ống và kết cấu xây dựng;
d) Bố trí tấm đệm để đảm bảo dịch chuyển ngang dọc của đường ống;
e) Bố trí van khỏa đối với tất cả ống đứng dẫn nước lạnh và nóng.
F.5 Khi thiết kế nhà và công trình khung với sơ đồ kết cấu ở dạng khung chịu cân bằng, phương án kết cấu cột, móng và nút liên kết trong khối cứng cần cho phép (phù hợp với công nghệ cân bằng) lắp dựng thiết bị cân bằng và trụ phù hợp với chúng.
Liên kết dầm với cột không được lệch ở mặt phẳng thẳng đứng và ngang.
Liên kết cột với giằng và kết cấu bao ngoài, cũng như giá trị khe hở giữa mặt đáy panel tường cần phải cho phép sự dịch chuyển thẳng đứng tương hỗ của kết cấu khi cân bằng nhà.
Liên kết các tấm mái của nhà cần phải dẻo ở mặt phẳng thẳng đứng và cứng - ở mặt phẳng mái.
F.6 Móng bản và toàn khối của công trình và thiết bị cần được cân bằng bằng kích, nên được thiết kế với các bộ phận:
a) Khớp phân tách giữa phần dưới (trụ đỡ) và phần trên chân cột của móng;
b) Khe hở trong phần trụ và phần trên móng để lắp đặt kích;
c) Các cấu kiện bảo vệ làm nhiệm vụ liên kết giữa phần trên và phần trụ móng trong quá trình vận hành và trong thời gian làm việc cân bằng.
F.7 Cân bằng nhà và công trình bằng khoan (rút một phần đất) đất từ phía dưới móng cần xem xét trong thiết kế nhà và công trình phải có độ cứng không gian lớn.
Nền nhà áp dụng khoan thì đất phải có môđun biến dạng E ≤ 25 MPa. Khi E > 25 MPa trong thiết kế cần phải xem xét lắp đặt đệm đất phù hợp với TCVN 9362.
F.8 Trong quá trình cân bằng nhà và công trình cần quan trắc trực quan hoặc bằng máy tình trạng kết cấu của công trình được cân bằng.
Phụ lục G
(tham khảo)
Phân chia vùng chứa khoáng sản theo điều kiện xây dựng
G.1 Phân chia vùng chứa khoáng sản theo điều kiện xây dựng được thể hiện trong Bảng G.1.
Bảng G.1 - Phân chia vùng chứa khoáng sản theo điều kiện xây dựng
| Phân loại vùng | Mức độ phù hợp của vùng xây dựng | Điều kiện địa chất công trình mỏ | Điều kiện xây dựng đặc biệt | ||
| Có hầm mỏ | Giai đoạn khai thác mỏ và vận hành công trình | Biến dạng bề mặt đất tương ứng với nhóm vùng | |||
| 1 | Phù hợp cho xây dựng trên vùng chưa được khai thác | Hầm mỏ cũ không có | Không dự kiến | - | Có khoáng sản có ích không có giá trị công nghiệp. |
| Hầm mỏ cũ ở độ sâu, ngoại trừ khả năng có thể hình thành hố sụp đổ | Không dự kiến | - | Khoáng sản có ích đã khai thác và quá trình biến dạng bề mặt đất kết thúc hoặc sự khai thác tạm nghỉ sau khi kết thúc khấu hao công trình | ||
| 2 | Phù hợp cho xây dựng vùng đã được khai thác | Không có hầm mỏ cũ | Dự kiến ở độ sâu, loại trừ khả năng hình thành hố sụp đổ | Từ II đến IV Từ llk đến IVk | Không có ở khu vực xây dựng: gấp, bán ngập xuất lộ phá hủy kiến tạo, bề mặt uốn nếp, có khả năng thành tạo trượt |
| Hầm mỏ cũ có ở độ sâu, ngoại trừ khả năng hình thành hố sụp đổ | Từ III đến IV Từ IIIk đến IVk | ||||
| 3 | Ít phù hợp cho xây dựng - vùng đã được khai thác | Không có hầm mỏ cũ hoặc có ở độ sâu, ngoại trừ khả năng hình thành hố sụp đổ | Dự kiến ở độ sâu, loại trừ khả năng hình thành hố sụp đổ | I và lk | Ở vùng không có thể có khả năng xảy ra lũ lụt và ngập lụt; Rãnh thoát - đứt gãy dốc đứng kiến tạo và rãnh thoát dọc trục bề mặt uốn lõm; có thể hình thành sạt lở đất. |
| Biến dạng vượt quá giá trị lớn nhất đối với nhóm I và lk | Các vùng có biến dạng lớn hơn so với nhóm I và lk | ||||
| 4 | Không phù hợp cho xây dựng công trình | Hầm lò cũ không có hoặc có ở độ sâu, loại trừ khả năng hình thành hố sụp đổ. | Dự kiến ở độ sâu có thể hình thành sụp đổ. | Không phụ thuộc vào nhóm | Có thể có hố sụp đổ và vết nứt lớn trên bề mặt đất |
| Hầm lò cũ có ở độ sâu, có thể, hình thành hố sụp đồ | Không phụ thuộc vào kế hoạch khai thác | Không phụ thuộc vào nhóm | Có thể có hố sụp đổ và vết nứt lớn trên bề mặt đất | ||
| Có sự chuẩn bị khai thác, hầm lò và hố đào xuất lộ ở bề mặt, khi trong vùng ảnh hưởng của chúng có thể hình thành hố sụp | Không phụ thuộc vào sự phát triển của việc khai thác |
| Có thể hình thành hố sụp ở bề mặt đất quanh hầm lò | ||
| Không phụ thuộc vào sự có mặt của hầm lò cũ | Không được giả thiết |
| Vùng có: khả năng hình thành lũ lụt và ngập lụt Đứt gãy dốc đứng kiến tạo có thể hình thành trượt | ||
| 5 | Tạm thời không phù hợp cho xây dựng | Không phù hợp đối với xây dựng vùng loại 4, theo mức độ dự trữ khai thác hoặc thực hiện các biện pháp tương ứng ở loại điều kiện xây dựng 3, 2 hoặc 1 | - | ||
Phụ lục H
(tham khảo)
Tính toán biến dạng và hệ số độ cứng của nền trên đất lún ướt
H.1 Đất lún ướt loại I
H.1.1 Độ lún của đất nền dưới cường độ thấm ướt mạnh phía trên trên diện tích lớn, cũng như việc dâng cao mực nước ngầm được xác định theo công thức.
|
| (H.1) |
trong đó:
| εsL,i | là biến dạng lún tương đối của lớp đất thứ i, được xác định dưới trạng thái bão hòa hoàn toàn phù hợp với TCVN 8722; |
| hi | là chiều dày lớp đất thứ i, tính bằng cm; |
| ksL,i | là hệ số được xác định theo H.1.2; |
| n | là số lớp đất trong khu vực đất lún ướt hsL,p và hsL,g. |
Khi tính toán độ lún của đất theo công thức (H.1):
a) Các lớp đất chỉ được xem xét tính toán khi khi độ lún tương đối εsL,i > 0,01 và khi εsL,i ≤ 0,01 sẽ không được xem xét;
b) Chiều dày gây lún HsL và vùng lún hsL,p và hsL,g nên được chia thành các lớp riêng biệt tương ứng với lát cắt địa chất với độ dày không nhỏ hơn 2 m, trong giới hạn đó sự thay đổi tổng ứng suất đứng (σzp + σsL,g) không được vượt quá 200 kPa.
H.1.2 Hệ số ksL,i trong công thức (H.1), dưới chiều rộng móng b ≥ 12 m được lấy bằng đơn vị cho tất cả các lớp đất trong phạm vi vùng lún ướt; khi chiều rộng móng b ≤ 3 m được tính theo công thức:
|
| (H.2) |
trong đó:
| p | là áp lực trung bình theo để móng, tính bằng kPa; |
| psL,i | là áp lực lún ướt ban đầu của lớp đất thứ i, tính bằng kPa, lấy bằng áp lực pi khi độ lún tương đối ɛsL,i = 0,01; |
| p0 | là áp lực lấy bằng 100 kPa; |
Khi 3 m ≤ b ≤ 12 m, ksL,i được xác định theo phương pháp nội suy.
Khi xác định độ lún ướt của đất theo trọng lượng bản thân, ksL,i lấy bằng 1.
H.1.3 Việc loại bỏ tính chất lún ướt của đất trong phạm vi một phần trên cùng của lớp biến dạng ksL,p bởi thiết bị đầm nặng hoặc lớp đệm gia cường bằng sét pha hay sét tạo nên màng có tính thấm nhỏ, độ lún tương đối ε'sL,i của tầng đất lún ướt phía dưới khi bão hòa không hoàn toàn (wsL ≤ w ≤ wsat) và được xác định theo công thức:
|
| (H.3) |
trong đó:
| w | là độ ẩm tự nhiên của các lớp đất xác định theo TCVN 4196 (giá trị này và độ ẩm cuối cùng ở dạng số thập phân); |
| wsat | là độ ẩm ở trạng thái đất bão hòa hoàn toàn; |
| wsL | là độ ẩm lún ướt ban đầu; |
| εsL | là biến dạng lún ướt tương đối ở trạng thái đất bão hòa hoàn toàn. |
H.1.4 Chiều dày vùng biến dạng lún hsL,p được lấp bằng chiều dày lớp đất kể từ để móng đến độ sâu mà tổng ứng suất đứng σz = σzp+σsL,p = psL hay độ sâu mà giá trị σzmin > psL.
H.1.5 Độ dài ao, tính bằng mét (m) (xem Hình 4), trong đó tính lún ướt của đất lún ssL,p trong phạm vi phía trên vùng biến dạng hsL,p ở tải trọng móng thay đổi từ 0 đến toàn bộ độ lớn, được tính bằng:
|
| (H.4) |
trong đó:
| hsat | là chiều dày của đới, m của đất bão hòa kể từ đáy một nguồn thấm ướt đến biên dưới của đới hsL,p. |
| mβ | là hệ số được kể đến khi tăng (hay giảm) góc lan rộng (mở rộng) của nước trong các hướng (mặt) từ biên của vùng thấm ướt, và lấy phụ thuộc vào tính phân lớp của đất; Lớp đất đồng nhất mβ = 1; Trong trường hợp nền không đồng nhất: - Lớp đất phía trên với hệ số thấm nhỏ, trong số đó khi thi công màn thấm nhỏ mβ= 0,7 và với hệ số thấm lớn mβ = 1,4; - Dưới nền nhiều lớp (lớn hơn 3 lớp) mβ = 0,7 ÷ 2. |
| β | là góc lan rộng của nước trong các hướng từ nguồn thấm ướt, được lấy bằng: Cát pha hoàng thổ hay đất hoàng thổ β = 35°; á sét dạng hoàng thổ β = 50°; trong trường hợp lèn chặt bằng đầm hay đầm lăn trong đệm cát, hệ số tăng cao tương ứng là 1,5 và 1,3. |
H.1.6 Hệ số độ cứng nền ứng với nền bán không gian biến dạng đàn hồi, được xác định theo công thức dưới đây trong trường hợp móng trên:
a) Nền đất thiên nhiên
- Độ ẩm tự nhiên:
|
| (H.5) |
- Bão hòa hoàn toàn dưới nguồn thấm ướt trong vùng biến dạng ssL,p :
|
| (H.6) |
b) Đất lún ướt đầm chặt trong phạm vi chỉ phần trên của đới biến dạng hsL,p tới độ sâu hsL,p khi:
- Ở độ ẩm tự nhiên:
|
| (H.7) |
- Bão hòa hoàn toàn của đất lèn chặt, và lún ướt nằm dưới chúng:
|
| (H.8) |
c) Đất lún ướt, lèn chặt ở phạm vi vùng biến dạng phía trên hsL,p theo độ sâu hcom khi:
- Độ ẩm tự nhiên:
|
| (H.9) |
- Bão hòa hoàn toàn của đất lèn chặt, lún ướt và nằm dưới chúng:
|
| (H.10) |
d) Trên đoạn điểm a-b dài r khi thay đổi độ lún và lún ướt dưới sự thấm ướt đất nền theo quy luật tuyến tính:
|
| (H.11) |
trong đó:
|
| là hệ số độ cứng của nền trên nền đất thiên nhiên, tương ứng dưới độ ẩm tự nhiên và bão hòa hoàn toàn, tính bằng kPa/m; |
|
| là hệ số độ cứng của nền đất lún ướt lèn chặt trong phạm vi toàn bộ vùng biến dạng, tương ứng với đọ ẩm tự nhiên và bão hòa hoàn toàn; |
|
| là hệ số trên đất lún ướt lèn chặt chỉ trong phần trên vùng biến dạng hsL,p, tương ứng với độ ẩm tự nhiên và bão hòa hoàn toàn; |
| s | là độ lún của móng, m trên đất lún ướt tự nhiên với độ ẩm tự nhiên được tính theo TCVN 9362; |
|
| là độ lún móng, m trên nền đất tự nhiên, được tính theo công thức (H.1); |
|
| là độ lún móng, m trên đất lèn chặt ở độ sâu hsL,p tương ứng với độ ẩm tự nhiên và bão hòa hoàn toàn; |
|
| là độ lún móng, m trên đất lèn chặt ở phạm vi vùng biến dạng phía trên tương ứng với độ ẩm tự nhiên và bão hòa hoàn toàn; |
|
| là độ lún móng, m của đất lèn chặt phía dưới trong phạm vi vùng biến dạng bên trên; |
|
| là độ lún và lún ướt móng, m trên đoạn a ở điểm mà khoảng cách tính từ rìa nguồn thấm ướt. |
CHÚ THÍCH: Khi sử dụng móng cọc xuyên qua vùng đất lún ướt loại I, các tính toán kết cấu nhà và công trình hạng III theo độ lún ướt của đất được phép bỏ qua.
H.2 Đất lún ướt loại II
H.2.1 Tính toán nền và kết cấu nhà và công trình trên đất lún ướt thuộc về điều kiện đất loại II, cũng như loại I trong trường hợp, khi thực hiện đắp nền quy hoạch loại I chuyển vào loại II nên được thực hiện với các giá trị độ lún ướt lớn nhất ssL,g do trọng lượng bản thân, khi chiều rộng của nguồn thấm ướt Bw ≥ HsL hay giá trị độ lún ướt s'sL,p có thể xuất hiện với chiều rộng nguồn thấm ướt Bw ≤HsL, nhưng không ít hơn 2 m.
Giá trị độ lún ướt lớn nhất ssL,g ở trọng lượng bản thân được tính theo công thức (H.1), trong đó hệ số ksL,i lấy bằng ksL,i = 1, và biến dạng lún ướt tương đối εsL,i trong trường hợp có màn thấm nhỏ dưới nhà và công trình được xác định theo công thức (H.3).
Độ lún ướt ssL,g ở trọng lượng bản thân khi dự báo thấm ướt nền phía trên, khu vực nhỏ được xác định theo công thức:
|
| (H.12) |
H.2.2 Giá trị độ lún ướt ssL,g(x) do trọng lượng bản thân của đất ở các điểm khác nhau của đường cong được xác định theo công thức (xem hình 3 và hình 4).
|
| (H.13) |
trong đó:
| x | là khoảng cách, m, từ tâm vùng thấm ướt hay điểm bắt đầu của đoạn nằm ngang B - tính lún ướt (dưới Bw < HsL) đến các điểm mà giá trị độ lún ướt ssL,g ( dưới 0 ≤ X ≤ r); |
| r | là độ dài tính toán, đoạn đường cong lún ướt do trọng lượng bản thân, được xác định theo công thức: |
|
| (H.14) |
trong đó:
| H’sL | là độ lớn của chiều dày lún ướt, m từ đáy nguồn thấm ướt đến biên dưới của nó; |
| mβ và β | được xác định theo công thức (H.4). |
H.2.3 Sai khác độ lún tương đối
của nền móng ở trọng lượng bản thân của đất được xác định theo công thức đối với nhà và công trình.
a) Với sơ đồ kết cấu cứng:
|
| (H.15) |
b) kết cấu mềm:
|
| (H.16) |
trong đó:
| ssL,g1 và ssL,g2 | tương ứng là độ lún ướt trung bình, tính bằng cm, của các mặt đối xứng nhà và công trình, hoặc là riêng lẻ của các khối được chia tách bởi khe lún, được tính toán theo H.2.1 và H.2.2; |
| mq | là hệ số điều kiện làm việc, kể đến sự làm việc đồng thời của nhà và công trình với nền và được lấy bằng: |
|
| (H.17) |
trong đó:
| L | là chiều rộng, tính bằng mét (m), của nhà và công trình hay các khối riêng biệt của chúng; |
| r | được xác định theo (H.2.8); |
| S’sLg1 và S'sLg2 | là độ lún ướt trung bình của móng 1 và mỏng 2 của nhà và công trình có kết cấu mềm; |
| I | là khoảng cách, tính bằng mét (m), giữa móng 1 và móng 2. |
H.2.4 Giá trị độ nghiêng isL của nhà và công trình có sơ đồ kết cấu cứng được xác định theo công thức (H.15), và giá trị tuyệt đối, tính bằng cm, xác định theo công thức:
|
| (H.18) |
trong đó:
| Hc | là độ cao của nhà và công trình từ để móng đến bên trên đỉnh của chúng. |
H.2.5 Giá trị tương đối của độ nghiêng móng nhà và công trình có kết cấu mềm được tính theo công thức (H.15), trong đó ssLg,1 và ssLg,2 là độ lún ướt của hai vị trí đối xứng của móng với khoảng cách giữa chúng bằng chiều rộng hoặc dài của nó.
Giá trị độ nghiêng tuyệt đối được xác định theo công thức (H.18), trong đó Hc là chiều cao từ để móng đến điểm được xem xét của cột hay tường.
H.2.6 Bán kính cong ước lượng Ryc của phễu lún ướt trong trường hợp đất thấm ướt từ phía trên của nguồn trực tiếp (khi Bw = (1 ÷ 2) m) đôi khi được sử dụng để tính toán sơ bộ kết cấu nhà và công trình, được xác định theo công thức sau:
|
| (H.19) |
trong đó:
| r và ssL,g | lấy như trong công thức (H.13); |
| mn | là hệ số được lấy bằng ssLg, m. |
H.2.7 Giá trị chuyển dịch ngang UsL, đơn vị là cm trên bề mặt đất ở khoảng cách X khi lún ướt do trọng lượng bản thân, nơi mà thấm ướt theo H.7, trên đoạn cong r, độ lún ướt của nó (xem Hình 3 và Hình 4) được xác định theo công thức:
|
| (H.20) |
trong đó:
| εu | là giá trị biến dạng ngang tương đối, được tính bằng: | |
|
| (H.21) | |
trong đó:
| r0 | là nửa chiều dài tính toán, m, của đoạn đường cong lún ướt đất (xem Hình 3 và Hình 4), được tính bằng r0 = 0,5r; |
| x | xác định như trong công thức (H.13). |
H.2.8 Độ lún bổ sung su,L và vùng nén ép bổ sung Hu,L của chiều dày lún ướt sét bão hòa (sr > 0,9) và đất cát HsL nên xác định theo yêu cầu của TCVN 9362.
Độ lún bổ sung su,L của đất sét độ ẩm nhỏ và cát hạt nhỏ và cát bụi có liên kết kiến trúc cho phép tính theo công thức:
|
| (H.22) |
trong đó:
|
| là ứng suất đứng trung bình ở lớp đất thứ i theo trọng lượng bản thân ở độ ẩm tự nhiên và bão hòa hoàn toàn trong phạm vi vùng Hu,L; |
|
| là chiều dày của lớp đất thứ i đới Hu,L được phân chia; |
|
| là ứng suất đứng trung bình bổ sung ở lớp đất thứ i ứng với trạng thái bão hòa trong phạm vi vùng Hu,L (xem Hình 1); |
|
| là mô đun biến dạng của lớp đất thứ i không lún ướt ở phía dưới trong phạm vi vùng Hu,L ứng với trạng thái bão hòa hoàn toàn và trạng thái độ ẩm tự nhiên. |
CHÚ THÍCH:
1. Số hạng thứ nhất trong công thức (H.22) (phần trong ngoặc) là độ lún bổ sung, do giảm mô đun biến dạng của lớp đất bên dưới khi bão hòa nước, và số hạng thứ 2 - do tăng ứng suất bổ sung lên lớp bên dưới từ: tải trọng phân bố đều của nhà và công trình; tải trọng trên toàn bộ tầng thứ nhất (tầng hầm); toàn bộ đất đắp quy hoạch; trọng lượng bản thân của đất lún ướt khi tăng độ ẩm và tỷ trọng do lèn chặt; thi công cọc và các yếu tố khác.
2. Ranh giới dưới của vùng nén bổ sung Hu,L lấy bằng độ sâu nhỏ nhất tuân theo yêu cầu TCVN 9362 hay đến lớp đất có mô đun biến dạng ở trạng thái bão hòa Eu,L ≥ 20 MPa.
H.2.9 Trong điều kiện đất loại II về lún ướt, hệ số độ cứng C của nền ở dạng bán không gian biến dạng tuyến tính (đàn hồi), trong trường hợp loại trừ độ lún ướt ở vùng phía trên hsL,p do lèn chặt hay xuyên thủng bởi cọc, được xác định theo công thức sau:
a) Khi loại trừ hoàn toàn tính chất lún ướt của đất ở phạm vi toàn bộ chiều dày lún ướt theo 6.3.1 a và độ ẩm:
- Đất lèn chặt:
|
| (H.23) |
- Ứng với bão hòa hoàn toàn:
|
| (H.24) |
b) khi toàn bộ đất yếu được xuyên qua bởi cọc và độ ẩm của nền tương ứng với:
- Trạng thái tự nhiên:
|
| (H.25) |
- Trạng thái bão hòa hoàn toàn:
|
| (H.26) |
c) Khi không hoàn toàn loại bỏ được tính chất lún ướt của đất do trọng lượng bản thân của nỏ, đối với nhà khung một tầng và công trình kết cấu mềm cấp C1, C2 và độ ẩm:
- Đất lèn chặt:
|
| (H.27) |
- Trạng thái bão hòa hoàn toàn:
|
| (H.28) |
d) Trên đoạn cong a-b, chiều dài r, khi CII,x thay đổi từ giá trị lớn nhất ở độ ẩm tự nhiên đến độ ẩm bão hòa hoàn toàn:
|
| (H.29) |
trong đó:
|
| là hệ số độ cứng của nền trên nền đất thiên nhiên, tương ứng dưới độ ẩm tự nhiên và bão hòa hoàn toàn, tính bằng kPa/m; |
|
| là hệ số độ cứng của nền đất lún ướt được xuyên qua bởi cọc, tương ứng với độ ẩm tự nhiên và bão hòa hoàn toàn; |
|
| là hệ số độ cứng khi không hoàn toàn loại bỏ được tính chất lún ướt của đất do trọng lượng bản thân của nỏ, tương ứng với trạng thái đất lèn chặt và bão hòa hoàn toàn; |
|
| là hệ số độ cứng của nền đất lún ướt khi thay đổi từ giá trị lớn nhất ở độ ẩm tự nhiên đến độ ẩm bão hòa hoàn toàn; |
| s | là độ lún của móng (m) trên đất lún ướt tự nhiên với độ ẩm tự nhiên được tính theo TCVN 9362; |
| su,L | là độ lún bổ sung; |
|
| là độ lún và độ lún bổ sung của móng (m) khi loại trừ hoàn toàn tính chất lún ướt tương ứng với trạng thái bão hòa hoàn toàn; |
| sp | là độ lún của móng (m) khi toàn bộ đất yếu được xuyên qua bởi cọc ứng với trạng thái tự nhiên; |
|
| là độ lún và độ lún bổ sung móng (m) khi toàn bộ đất yếu được xuyên qua bởi cọc ứng với trạng thái bão hòa hoàn toàn; |
| se | là độ lún của móng (m) khi không hoàn toàn loại bỏ được tính chất lún ướt của đất do trọng lượng bản thân của đất ứng với trạng thái lèn chặt; |
|
| là độ lún và độ lún ướt của mỏng (m) khi không hoàn toàn loại bỏ được tính chất lún ướt của đất do trọng lượng bản thân của đất ứng với trạng thái bão hòa hoàn toàn; |
|
| là độ lún và lún ướt móng (m) trên đoạn a ở điểm mà khoảng cách tính từ rìa nguồn thấm ướt. |
CHÚ THÍCH:
1. Không được tính toán kết cấu trên biến dạng lún ướt không đều khi thiết kế nhà và công trình cấp C2 (theo [1]) có tổng biến dạng tính toán của móng (s + ssL + su,L) nhỏ hơn 0,5Su (trong đó su là giá trị biến dạng giới hạn được chấp nhận trong dự án), kể cả trong trường hợp không có các yêu cầu như trong TCVN 9362 và đối với nhà và công trình cấp C1 (theo [1]) khi (s + ssL + su,L) < su.
2. Độ lún bổ sung của lớp đất lún ướt bên dưới su,L khi tính toán kết cấu nhà và công trình cấp C2 và C3 (theo [1]), theo nguyên tắc phải tính đến trong các trường hợp sau:
a) Hệ số biến đổi tính nén lún của các lớp đất bên dưới αE trong cấu trúc tự nhiên hay khi mức bão hòa của chúng αE >1,5 khi giá trị trung bình của mô đun biến dạng E ≥ 15 MPa hay αE ≥ 2 khi E ≥ 25 MPa;
b) Tải trọng bổ sung pu,L trên lớp đất bên dưới chỗ xây dựng pu,L ≥ 30 MPa khi hệ số biến đổi của chúng αp ≥1,5 hay pu,L ≥ 20 MPa và αp ≥ 2, Trường hợp tương tự xẩy ra khi:
- Bố trí nhà và công trình trên khu vực gò đồi và mái dốc có đất đắp quy hoạch với chiều dày thay đổi, cũng như bạt đất cục bộ của mái tự nhiên;
- Độ cao khác nhau của nhà và công trình, bao gồm các khối (block) riêng, có khe lún phân tách;
- Tải trọng cục bộ trên sàn tầng thứ nhất kho vật liệu rời hay loại vật liệu khác, sự có mặt của mỏng thiết bị công nghệ trên diện tích bề rộng không nhỏ hơn 0,5 H L và dưới ảnh hưởng của các yếu tố khác.
3. Dưới giá trị tổng độ lún ướt ssL,g và độ lún bổ sung của các lớp đất bên dưới (ssL,g + su,L) ≥ 30 cm trên đoạn cong sự biến đổi hệ số độ cứng CII,x được lấy theo đường cosin, như theo công thức (H.13), và khi (ssL,g + su,L)≤ 30 cm hệ số độ cứng CII,x được lấy theo quan hệ tuyến tính (Hình 5).
4. Hệ số độ cứng G của nền biến dạng tuyến tính khi trượt nên xác định xuất phát từ dịch chuyển ngang u của bề mặt nền do ứng suất cắt trung bình τ tác dụng dưới đế móng.
Phụ lục I
(tham khảo)
Yêu cầu riêng về thiết kế nền nhà và công trình có phần ngầm sâu
I.1 Thiết kế nền móng nhà và công trình với phần ngầm sâu trên đất lún ướt phải thực hiện có tính đến dỡ tải khi đào hố móng và kích thước cơ bản của nó (độ sâu và rộng) (Xem hình 1.1)
|
|
|
|
| a) Hầm kỹ thuật (không phải tầng hầm) trên móng cọc | b) Bộ phận ngầm trên móng cọc | c) Tầng hầm trên nền tự nhiên và móng bản (móng bè) |
CHÚ DẪN:
1 Nhà
2 Hầm kỹ thuật
3 Phần ngầm của nhà
4 Cọc khoan nhồi
5 Cọc đóng
6 Bản móng (lót)
7 Khe trượt
fn Áp lực hông ma sát của đất lún ướt
f Sức kháng (lực ma sát) theo bề mặt bên cọc
R Sức chống mũi cọc
Hình I.1 - Sơ đồ nhà trên đất có điều kiện lún ướt loại II
Thi công hố đào dẫn đến giảm các giá trị (xem hình I.1):
a) Chiều dày lún ướt HsL,c nhờ giảm ranh giới phía trên, cũng như sự nâng lên của biên phía dưới của chúng do dỡ tải lớp đất nằm dưới;
b) Độ lún ướt của đất ở trọng lượng bản thân ssL,g do giảm chiều dày lún ướt và độ lún ướt tương đối của đất dưới việc giảm ứng suất thẳng đứng ở chúng;
c) Độ lún bổ sung của các lớp đất không lún ướt phía dưới do giảm (hạ bớt) ứng suất đứng lên chúng từ trọng lượng bản thân của đất σsL,g
Ngoài ra, khi xây dựng phần ngầm sâu có thể thay đổi điều kiện đất dưới nhà và công trình từ dạng I sang đất không lún ướt và từ loại II sang loại I theo tính lún ướt (xem hình I.2).
|
|
|
| I) Đất khi thi công đào sâu | II) Móng phần ngầm của nhà và công trình |
CHÚ DẪN:
| a | Biểu đồ ứng suất đứng theo độ sâu hL |
| hL | Chiều sâu đáy của rãnh hay hố đào |
| b | Biểu đồ ứng suất đứng theo độ sâu HsL |
| c | Đường cong lún ướt của đất và móng dưới mực nước ngầm |
| d | Đường cong lún ướt của đất khi thấm ướt qua đáy hố đào hoặc đáy phần ngầm của nhà |
| 1 | Độ sâu rãnh đào |
| 2, 3 | Hố đào (phần ngầm) và phần trên mặt đất của nhà |
| 4 | Ứng suất thẳng đứng σzg do trọng lượng bản thân của đất tính từ mức cao độ quy hoạch |
| 5 | Ứng suất thẳng đứng σzg,l từ đáy của rãnh đào 1 hay hố đào 2 |
| 6 | Ứng suất thẳng đứng σ’zg với tính toán ảnh hưởng của trọng lượng bản thân đất nằm ngoài phạm vi rãnh đào 1 hay hố đào 2 |
| 7, 8 | Ứng suất thẳng đứng σzp,l do trọng lượng nhà và tải trọng khai thác trên mái và các bậc nền của bộ phận ngầm ở độ sâu hL |
| 9, 10 | Ứng suất tổng (σzg + σzp) do trọng lượng bản thân đất và trọng lượng nhà do trọng lượng bản thân đất và trọng lượng nhà và tải trọng khai thác trên mái ở độ sâu HsL,c tương ứng dưới nhà và bậc thềm |
| 11 | Đường cong thay đổi theo độ sâu của áp lực lún ướt ban đầu psL |
Hình I.2 - Sơ đồ tính toán độ lún ướt
I.2 Giai đoạn đào hố móng dưới phần ngầm của nhà (Hình I.2):
a) Giá trị chiều dày lún ướt dưới nhà HsL,c được xác định từ mức đáy hố đào đến độ sâu Z, tại đó áp lực pz do trọng lượng bản thân pz =γz (trong đó γ là giá trị trung bình của trọng lượng riêng của đất lún ướt), bắt đầu tính từ đáy của hố đào, biến dạng lún ướt tương đối được lấy bằng εsL,c = 0,01 hay đến của lớp đất sét không hoàng thổ, cũng như cất thô (đất cát cấp phối hạt thô);
b) Độ lún ướt tính toán của đất ssL,g,c do trọng lượng bản thân được xác định trong phạm vi giới hạn phần còn lại của chiều dày lún ướt HsL,c;
c) Độ lún bổ sung su,L của tầng đất không lún ướt phía dưới của đất lún ướt được tính bắt đầu từ độ sâu HsL,c ;
d) Độ lún ướt của đất do trọng lượng bản thân ssL,g,c được tính toán có tính đến kích thước của phần ngầm và khả năng của nguồn thấm ướt, sự có mặt của màn thấm nhỏ theo công thức (H.3), còn độ lún bổ sung su,L của đất bên dưới theo công thức (H.14), Phụ lục H.
I.3 Thay đổi điều kiện đất khi đào đất hố móng được đảm bảo:
a) Từ loại I và trong các trường hợp riêng từ dạng II theo tính lún ướt sang đất không lún trong các điều kiện mà biến dạng lún tương đối εsI của tất cả các lớp (các đơn nguyên địa chất công trình) dày hơn 1 m dưới áp lực của trọng lượng bản thân đất kể từ mức đáy hố đào phải nhỏ hơn εsL,c ≤ 0,01;
b) Từ loại II sang loại I theo tính chất lún ướt khi độ lún tính toán của đất do trọng lượng bản thân εsL,c trong phạm vi phần còn lại của chiều dày lún ướt HsL,c không vượt quá ssL,c < 5 cm.
I.4 Độ sâu nhỏ nhất của hố đào, trong đó loại bỏ hoàn toàn lún ướt do trọng lượng bản thân và chuyển điều kiện đất từ loại II đến loại I theo lún ướt nên được xác định theo công thức:
|
| (I.1) |
trong đó:
| γc | là hệ số điều kiện làm việc, lấy bằng γc = 1,1 khi mặt bằng hố đào có dạng hình chữ nhật với tỷ lệ các cạnh không nhỏ hơn 1:3 và γc = 1,2 khi có dạng hình vuông và hình tròn; |
| σzg | là ứng suất đứng do trọng lượng bản thân của đất, bằng σzg =γwd; |
| γw | là giá trị trọng lượng riêng đẩy nổi trung bình của đất lún ướt ở trạng thái bão hòa, kN/m; |
| d | là độ sâu, m tại đó sự suy giảm độ bền của đất lún có giá trị lớn nhất, nghĩa là: γwd - psL → max |
| psL | là áp lực lún ướt ban đầu, kN, ở độ sâu d. |
CHÚ THÍCH: Công thức (I.1) nên được sử dụng trong các trường hợp khi:
- Vắng mặt tải trọng bổ sung trên đáy hố đào;
- Sử dụng giải pháp móng cọc, trong đó tất cả tải trọng từ nhà và công trình được truyền xuống, bao gồm cả tầng hầm.
Tính chất lún ướt của đất ở dưới đáy hố đào hoàn toàn được loại bỏ, ví dụ như lèn chặt.
I.5 Khi sử dụng móng bản hay các móng khác không cần loại trừ tính lún ướt của đất dưới đáy hố đào, độ sâu nhỏ nhất của nỏ dcp (m) sẽ hoàn toàn không có lún ướt đất trong nền nhà và công trình, được xác định theo công thức:
|
| (I.2) |
trong đó:
| γc, γw, psL | lấy như trong công thức (1.1); |
| σzp | là ứng suất đứng do tải trọng móng, tính bằng kPa; |
| σzn | là ứng suất đứng bổ sung trong đất dưới sàn của tầng hầm hay phần ngầm, tính bằng kPa. |
Khi sử dụng công thức I.2, giá trị dcp được xác định bằng cách lựa chọn căn cứ vào ứng suất bổ sung khác nhau theo độ sâu khác nhau tương ứng với biểu đồ phân bố của chúng.
I.6 Độ sâu dc và dcp cho phép xác định theo đồ thị. Để thực hiện điều này đối với từng công việc kỹ thuật, trên cơ sở số liệu khảo sát địa chất công trình phù hợp với TCVN 4419, xây dựng sự thay đổi theo độ sâu (xem Hình K.2): áp lực đất do trọng lượng bản thân σsLg và áp lực lún ướt ban đầu psL; cũng như khi cần thiết dưới (σzp +σzn). Sau đó, song song với đồ thị σzg hay (σzg + σzp + σzn) kẻ tiếp tuyến với đường cong thay đổi áp lực lún ướt ban đầu psL. Tiếp tuyến mô tả biểu đồ thay đổi theo áp lực độ sâu, khi đó độ lún đất do trọng lượng bản thân hay dưới tổng tải trọng dưới đáy hố đào (tầng hầm) sẽ không kể đến. Trong trường hợp này, độ sâu cần thiết đc và dcpđược xác định theo các điểm giao nhau của tiếp tuyến σzg với trục đứng “0”, liên quan đến sự thay đổi của đường cong theo độ sâu σzq, psL, σzg + σzp + σzn .
I.7 Khi thiết kế nền nhà và công trình với phần ngầm chôn sâu lớn hơn từ 4 m đến 5 m cùng với các yêu cầu đặt ra trong phụ lục này, cần thiết kể đến yêu cầu của điều 5 của TCVN 9362.
I.8 Lựa chọn dạng nền và kết cấu móng của nhà và công trình có phần ngầm cần được thực hiện có xét đến độ sâu và kích thước của nó trên mặt bằng, loại điều kiện đất theo đặc tính lún ướt, độ lớn chiều dày lún ướt HsL,c, độ lún ướt ssL,g,c và độ lún bổ sung su,L của lớp đất không lún ướt bên dưới, cũng như kết cấu của nhà và các công trình, tải trọng trên nền đất và các yếu tố khác được liệt kê trong TCVN 9362.
Trên đất không lún phía dưới, cũng như trên đất lún ướt loại I dưới đáy của hố đào ở áp lực trung bình dọc theo để móng, ở phạm vi toàn bộ chiều dày của tầng chịu nén, tổng của ứng suất đứng do tải trọng của chúng σzp và trọng lượng bản thân của đất σsL,g;
a) Ít hơn giá trị của áp lực lún ban đầu (nghĩa là (σzg +σsL,g) ≤ psL) đất dưới đáy hố đào được sử dụng như nền thiên nhiên và móng được chọn như trên nền không lún bình thường;
b) Vượt quá áp lực gây lún ban đầu (nghĩa là (σzg +σsL,g) ≥ psL) cần loại bỏ tính chất lún ướt của đất trong phạm vi tất cả hay chỉ vùng biến dạng phía trên hsL,p bằng lèn chặt quả nặng hay thay thế lớp đất lún ướt bằng lớp đệm ổn định không lún;
I.9 Trong trường hợp thế nằm của lớp đất lún ướt với điều kiện đất loại II dưới đáy hố đào cần áp dụng:
a. Đầm chặt lớp đất lún ướt từ 1-2 lớp bởi đầm nặng, cọc đất, gia cố cọc theo phương đứng từ vật liệu cốt đất (đá dăm, V.V.);
b. Xuyên thủng chiều dày lún ướt HsL,e bằng cọc đóng, cọc nhồi và hạ chúng xuống dưới vùng phát triển độ lún bổ sung su,L;
I.10 Khi xuyên thủng đất lún ướt loại II bằng cọc, cũng như loại bỏ hoàn toàn tính lún của đất bằng lèn chặt trong phạm vi chiều dày lún ướt HsL,c tải trọng bổ sung pn từ lực ma sát âm lên cọc và khối đất nén chặt nên được kể đến theo chu vi của phần ngầm nhà và công trình trên băng rộng 0,2HsL trên cơ sở khả năng lún ướt ssL,g và dưới phần giữa của nó dựa trên độ lún ướt ssL,g ở giá trị độ dày lún HsL,c.
Nếu cần thiết tăng sức mang tải của cọc trong dải chu vi, cần thiết tăng số lượng, chiều dài của chúng, và trong trường hợp sử dụng cọc đất, cần sử dụng vật liệu đất bền cao hơn với việc mở rộng kích thước ở phần mũi của chúng.
I.11 Để giảm tải trọng bổ sung Pn từ các lực ma sát âm đối với cọc và khối đất nén chặt, cũng như trên kết cấu ngầm của nhà và công trình tại các bề mặt bên ngoài của chúng, bao gồm khối lót móng, để móng và móng chôn sâu khác, cần thiết để thực hiện các khớp trượt.
CHÚ THÍCH: Đường (rãnh) trượt được khuyến nghị để kết hợp với chống thấm cấu tạo từ 3 đến 4 lớp nhựa chống thấm nước, giấy dầu, màng pôliêtilen và các vật liệu khác.
Thư mục tài liệu tham khảo

Mục lục
Lời nói đầu
1 Phạm vi áp dụng
2 Tài liệu viện dẫn
3 Thuật ngữ, định nghĩa và ký hiệu
4 Quy định chung
5 Nhà và công trình trong vùng khai thác mỏ
5.1 Các giả thiết cơ bản và dữ liệu đầu vào phục vụ tính toán nhà và công trình trong vùng khai thác mỏ
5.2 Bố trí và xây dựng ở vùng khai thác mỏ có chứa khoáng sản
5.3 Yêu cầu bổ sung đối với việc khảo sát công trình và chuẩn bị hồ sơ dự án và hồ sơ chấp thuận đối với xây dựng ở khu vực khai thác mỏ
5.4 Nguyên tắc thiết kế nhà và công trình trên vùng khai thác mỏ
5.5 Yêu cầu cơ bản đối với việc tính toán nhà và công trình ờ vùng khai thác mỏ
6 Nhà và công trình trên đất lún ướt
6.1 Số liệu ban đầu về điều kiện đất nền phục vụ thiết kế
6.2 Bố trí và xây dựng
6.3 Biện pháp đảm bảo độ bền và khai thác, vận hành bình thường nhà và công trình
6.4 Nguyên tắc cơ bản về thiết kế
Phụ lục A (tham khảo) Ví dụ điển hình về dịch chuyển và biến dạng của bề mặt đất
Phụ lục B (tham khảo) Các biện pháp bảo vệ nhà và công trình đang vận hành, khai thác trong vùng khai thác mỏ
Phụ lục C (tham khảo) Yêu cầu riêng về thiết kế và tính toán nhà khung trên vùng khai thác mỏ
Phụ lục D (tham khảo) Yêu cầu riêng về thiết kế và tính toán nhà không khung (sườn) trên vùng khai thác mỏ
Phụ lục E (tham khảo) Yêu cầu riêng về thiết kế và tính toán công trình kỹ thuật và đường ống trên vùng đất khai thác mỏ
Phụ lục F (tham khảo) Yêu cầu riêng về thiết kế nhà và công trình có kể đến sự cân bằng chúng trong giai đoạn khai thác
Phụ lục G (tham khảo) Phân chia vùng chứa khoáng sản theo điều kiện xây dựng
Phụ lục H (tham khảo) Tính toán biến dạng và hệ số độ cứng của nền trên đất lún ướt
Phụ lục I (tham khảo) Yêu cầu riêng về thiết kế nền nhà và công trình có phần ngầm sâu
Thư mục tài liệu tham khảo
Bạn chưa Đăng nhập thành viên.
Đây là tiện ích dành cho tài khoản thành viên. Vui lòng Đăng nhập để xem chi tiết. Nếu chưa có tài khoản, vui lòng Đăng ký tại đây!




















































