- Tổng quan
- Nội dung
- VB gốc
- Tiếng Anh
- Hiệu lực
- VB liên quan
- Lược đồ
-
Nội dung hợp nhất
Tính năng này chỉ có tại LuatVietnam.vn. Nội dung hợp nhất tổng hợp lại tất cả các quy định còn hiệu lực của văn bản gốc và các văn bản sửa đổi, bổ sung, đính chính... trên một trang. Việc hợp nhất văn bản gốc và những văn bản, Thông tư, Nghị định hướng dẫn khác không làm thay đổi thứ tự điều khoản, nội dung.
Khách hàng chỉ cần xem Nội dung hợp nhất là có thể nắm bắt toàn bộ quy định hiện hành đang áp dụng, cho dù văn bản gốc đã qua nhiều lần chỉnh sửa, bổ sung.
- Tải về
Quyết định 405/QĐ-LN-PTR 2024 hướng dẫn kỹ thuật trồng cây phân tán
| Cơ quan ban hành: | Cục Lâm nghiệp |
Số công báo:
Số công báo là mã số ấn phẩm được đăng chính thức trên ấn phẩm thông tin của Nhà nước. Mã số này do Chính phủ thống nhất quản lý.
|
Đang cập nhật |
| Số hiệu: | 405/QĐ-LN-PTR | Ngày đăng công báo: | Đang cập nhật |
| Loại văn bản: | Quyết định | Người ký: | Triệu Văn Lực |
| Trích yếu: | Ban hành Hướng dẫn kỹ thuật trồng cây phân tán | ||
|
Ngày ban hành:
Ngày ban hành là ngày, tháng, năm văn bản được thông qua hoặc ký ban hành.
|
31/12/2024 |
Ngày hết hiệu lực:
Ngày hết hiệu lực là ngày, tháng, năm văn bản chính thức không còn hiệu lực (áp dụng).
|
Đang cập nhật |
|
Áp dụng:
Ngày áp dụng là ngày, tháng, năm văn bản chính thức có hiệu lực (áp dụng).
|
Đã biết
|
Tình trạng hiệu lực:
Cho biết trạng thái hiệu lực của văn bản đang tra cứu: Chưa áp dụng, Còn hiệu lực, Hết hiệu lực, Hết hiệu lực 1 phần; Đã sửa đổi, Đính chính hay Không còn phù hợp,...
|
Đã biết
|
| Lĩnh vực: | Nông nghiệp-Lâm nghiệp | ||
TÓM TẮT QUYẾT ĐỊNH 405/QĐ-LN-PTR
Nội dung tóm tắt đang được cập nhật, Quý khách vui lòng quay lại sau!
Tải Quyết định 405/QĐ-LN-PTR
| BỘ NÔNG NGHIỆP VÀ PHÁT TRIỂN NÔNG THÔN | CỘNG HÒA XÃ HỘI CHỦ NGHĨA VIỆT NAM |
| Số: 405/QĐ-LN-PTR | Hà Nội, ngày 31 tháng 12 năm 2024 |
QUYẾT ĐỊNH
Ban hành Hướng dẫn kỹ thuật trồng cây phân tán
CỤC TRƯỞNG CỤC LÂM NGHIỆP
Căn cứ Nghị định số 105/2022/NĐ-CP ngày 22/12/2022 của Chính phủ quy định chức năng, nhiệm vụ, quyền hạn và cơ cấu tổ chức của Bộ Nông nghiệp và Phát triển nông thôn;
Căn cứ Quyết định số 1589/QĐ-BNN-TCCB ngày 19/4/2023 của Bộ trưởng Bộ Nông nghiệp và Phát triển nông thôn quy định chức năng, nhiệm vụ, quyền hạn và cơ cấu tổ chức của Cục Lâm nghiệp;
Căn cứ Thông tư số 29/2018/TT-BNNPTNT ngày 16/11/2018 quy định về các biện pháp lâm sinh được sửa đổi, bổ sung tại Thông tư số 24/2024/TT-BNNPTNT ngày 12/12/2024 của Bộ trưởng Bộ Nông nghiệp và Phát triển nông thôn về sửa đổi, bổ sung một số điều của các thông tư trong lĩnh vực lâm nghiệp;
Theo đề nghị của Trưởng phòng Phát triển rừng.
QUYẾT ĐỊNH:
Điều 1. Ban hành kèm theo Quyết định này Hướng dẫn kỹ thuật trồng cây phân tán.
Điều 2. Quyết định này có hiệu lực thi hành kể từ ngày 27 tháng 01 năm 2025.
Điều 3. Chánh Văn phòng Cục, Trưởng phòng Phát triển rừng, Thủ trưởng các cơ quan, tổ chức và cá nhân có liên quan chịu trách nhiệm thi hành Quyết định này./.
| Nơi nhận: | KT. CỤC TRƯỞNG |
HƯỚNG DẪN
KỸ THUẬT TRỒNG CÂY PHÂN TÁN
(Ban hành kèm theo Quyết định số 405/QĐ-LN-PTR ngày 31 tháng 12 năm 2024 của Cục trưởng Cục Lâm nghiệp)
PHẦN I. QUY ĐỊNH CHUNG
I. MỤC ĐÍCH, PHẠM VI, ĐỐI TƯỢNG ÁP DỤNG
1. Mục đích
Hướng dẫn các tổ chức, hộ gia đình, cá nhân về kỹ thuật trồng cây phân tán.
2. Phạm vi áp dụng
Hướng dẫn này áp dụng cho trồng cây phân tán trên phạm vi toàn quốc.
3. Đối tượng áp dụng
Hướng dẫn này áp dụng cho các tổ chức, hộ gia đình, cá nhân tham gia trồng cây phân tán có sử dụng nguồn vốn ngân sách Nhà nước và khuyến khích các đối tượng sử dụng nguồn vốn hợp pháp khác áp dụng.
II. GIẢI THÍCH TỪ NGỮ
Trong hướng dẫn kỹ thuật này các từ ngữ sau được hiểu như sau:
1. Điểm dân cư nông thôn: là nơi cư trú tập trung của các hộ gia đình gắn kết với nhau trong sản xuất, sinh hoạt và các hoạt động xã hội khác trong phạm vi một khu vực nhất định, được hình thành do điều kiện tự nhiên, điều kiện kinh tế - xã hội, văn hóa và các yếu tố khác.
2. Đất cây xanh sử dụng công cộng tại điểm dân cư nông thôn trong tiêu chí xác định xã nông thôn mới: là đất công viên, vườn hoa, sân chơi, hành lang giao thông, ven sông, kênh, mương, bờ đê, bờ ruộng, trong khuôn viên các trụ sở cơ quan, trường học, bệnh viện, nhà máy, xí nghiệp, khu công nghiệp, khu chế xuất, các công trình tín ngưỡng, bến xe, bến tàu, chợ, bến cảng và các công trình công cộng khác, ...
3. Trồng cây phân tán: là trồng cây ngoài diện tích rừng để tăng diện tích cây xanh, tạo cảnh quan, bảo vệ môi trường, kết hợp cung cấp gỗ, củi và dịch vụ du lịch; gồm các hình thức trồng:
- Cây phân tán trồng theo băng, theo hàng: là cây được trồng tại các hành lang giao thông, ven sông, kênh, mương, bờ đê, bờ ruộng, bờ bao, hàng rào
- Cây phân tán trồng theo đám: là nhóm cây phân tán trồng tập trung trên diện tích < 0,3 ha trong quy hoạch lâm nghiệp hoặc diện tích trồng tập trung ngoài quy hoạch lâm nghiệp;
- Cây phân tán trồng bổ sung: là cây được trồng vào các khoảng trống đã có cây trồng trước đó.
PHẦN II. KỸ THUẬT TRỒNG CÂY PHÂN TÁN
I. CHỌN LOẠI CÂY TRỒNG
1. Nguyên tắc chung chọn cây trồng
- Chọn loài cây phù hợp với điều kiện khí hậu, thổ nhưỡng của từng khu vực để đảm bảo tỷ lệ sống cao và phát triển bền vững.
- Ưu tiên sử dụng cây bản địa có khả năng thích nghi tốt, hạn chế sử dụng cây ngoại lai có nguy cơ ảnh hưởng đến hệ sinh thái bản địa.
- Chọn cây ít rụng lá, có khả năng chống chịu sâu bệnh tốt, phù hợp với cảnh quan và mục đích sử dụng.
- Cây trồng không làm ảnh hưởng đến an toàn giao thông, không gây cản trở tầm nhìn và không làm hư hại công trình hạ tầng.
- Khuyến khích sử dụng các loại cây có tác dụng bảo vệ môi trường như cây có khả năng lọc không khí, chắn gió, giảm tiếng ồn.
- Đối với các khu vực có yêu cầu cảnh quan, chọn các loài cây có giá trị thẩm mỹ cao, ra hoa đẹp hoặc có hình dáng đặc trưng.
2. Nguyên tắc chọn cây trồng đối với một số khu vực điển hình
| Khu vực | Nguyên tắc chọn cây | Một số loài cây phù hợp |
| Hành lang giao thông | Cây có rễ sâu, chịu hạn, không rụng lá nhiều, không cản trở giao thông | Giáng hương, Lim xanh, Dầu rái, Sao đen |
| Công viên, quảng trường | Cây có tán đẹp, ít sâu bệnh, ít rụng lá, tạo bóng mát | Phượng vĩ, Bằng lăng, Lộc vừng, Xà cừ |
| Trường học | Cây không có độc tố, không gây nguy hiểm cho học sinh, bóng mát tốt | Phượng vĩ, Bàng, Muồng hoa đào, Me tây |
| Bệnh viện, cơ sở y tế | Cây có khả năng lọc không khí, ít phấn hoa, tạo không gian thư giãn | Long não, Ngọc lan, Mai vàng, Hồng xiêm |
| Khu công nghiệp, khu chế xuất | Cây chịu khói bụi, ô nhiễm, có tác dụng chắn gió | Phi lao, Keo tai tượng, Xà cừ, Bạch đàn |
| Ven sông, kênh rạch | Cây có rễ bám tốt, chống sạt lở, chịu được ngập úng | Đước, Mắm, Dừa nước, Bần chua |
(Chi tiết một số loài cây trồng thích hợp tại phụ lục 02, 03 của hướng dẫn)
II. KỸ THUẬT TRỒNG, CHĂM SÓC, BẢO VỆ
1. Trồng theo băng, theo hàng
a) Tiêu chuẩn cây giống
- Cây giống phải được nuôi dưỡng ít nhất 6 tháng trước khi đem trồng.
- Chiều cao từ gốc đến ngọn (Hvn) ≥ 0,6 m; đường kính gốc (D00) ≥ 0,6 cm.
- Kích thước bầu tối thiểu 9 x 13 cm hoặc tương đương.
(Chi tiết tiêu chuẩn cây giống được quy định tại Phụ lục 04 của hướng dẫn)
b) Chuẩn bị hố trồng và bón phân
- Hố trồng phải được đào trước 15-30 ngày; Hố được bố trí so le theo hàng (hình nanh sấu). Khi đào hố, cần phân loại đất: (1) Đất mặt tơi xốp để riêng một bên; (2) Đất phía dưới hố để riêng một bên.
- Kích thước hố trồng cần chuẩn bị phù hợp theo kích thước bầu cây:
+ Kích thước hố 40 x 40 x 40 cm đối với cây trồng có kích thước bầu trên 0,5 đến 0,8 kg/cây (bầu 9x13 hoặc tương đương);
+ Kích thước hố 50 x 50 x 50 cm đối với cây trồng có kích thước bầu trên 0,8 đến 1,2 kg/cây (bầu 10x15 hoặc tương đương);
+ Kích thước hố 60 x 60 x 60 cm đối với cây trồng có kích thước bầu trên 1,2 kg/cây (bầu 18 x 22; bàu 22 x 25 hoặc tương đương).
- Khoảng cách hố từ 4 - 8m, tùy theo đường kính tán của loài cây khi trưởng thành.
- Lấp hố: đưa phần đất mặt tơi xốp trộn với phân bón lót xuống đáy hố cùng với thảm mục và phần đất mặt xung quanh hố, đất dưới đáy hố lên phía trên, lấp đất gần ngang miệng hố.
- Bón lót phân NPK từ 0,2 kg đến 0,3 kg /hố hoặc từ 0,3 kg đến 0,5 kg phân vi sinh/ hố.
+ Cách bón: kết hợp với lúc lấp hố, phân được trộn đều với phần đất ở 1/3 phía dưới hố trồng.
+ Thời điểm bón lót và lấp hố: trước khi trồng từ 07 đến 10 ngày.
- Ở những khu vực có mối gây hại, cần có biện pháp xử lý triệt để trước khi trồng.
c) Vận chuyển cây giống
- Tưới đủ ẩm cho cây trước 1 ngày khi bốc xếp.
- Khi vận chuyển, tránh làm vỡ bầu, gãy ngọn, dập nát cây giống.
- Cây cần được trồng ngay trong ngày sau khi vận chuyển.
- Bảo quản cây giống: Nếu chưa trồng ngay, cần để cây ở nơi râm mát, tưới nước đầy đủ để giữ ẩm và bảo vệ khỏi gia súc.
d) Kỹ thuật trong cây
- Thời điểm trồng:
+ Trồng vào những ngày râm mát, có mưa nhỏ hoặc nắng nhẹ.
+ Tránh trồng vào ngày nắng gắt (>30°C) hoặc khi có gió bão.
- Kỹ thuật trồng:
+ Đào hố rộng hơn kích thước bầu để tạo điều kiện cho rễ phát triển.
+ Xé bỏ vỏ bầu PE trước khi trồng (nếu là bầu PE). Đối với bầu tự hoại, có thể để nguyên.
+ Đặt cây thẳng đứng giữa hố, lấp đất cao hơn cổ rễ 1 - 2 cm, lèn chặt đất quanh bầu để tránh vỡ bầu.
+ Thu dọn vỏ bầu sau khi trồng để đảm bảo vệ sinh môi trường.
- Cọc chống cây:
+ Sử dụng cọc gỗ hoặc tre có đường kính 1,5 - 2,0 cm, dài 0,5 - 0,7 m.
+ Buộc cọc vào thân cây, cách gốc khoảng 1/3 chiều cao cây, tạo góc 30 - 40° để chống đổ.
+ Cọc chỉ dùng cho cây có chiều cao từ 1,0 m trở lên.
- Tưới nước:
+ Tưới đẫm nước xung quanh gốc ngay sau khi trồng.
+ Không để nước tràn ra ngoài hố trồng.
đẫm nước xung quanh gốc cây không tràn ra ngoài hố trồng.
đ) Chăm sóc cây trồng
- Sau khi trồng 30 ngày, tiến hành kiểm tra tỷ lệ cây sống và trồng dặm nếu cần.
- Chăm sóc trong 3-5 năm đầu:
+ Cây mọc nhanh: Chăm sóc 3 năm.
+ Cây mọc chậm: Chăm sóc 5 năm.
- Các công việc chăm sóc:
+ Xới đất, vun gốc: Đường kính 60 - 80 cm, sâu 4-5 cm.
+ Bón phân thúc: 100 - 300 g NPK/cây, bón theo rạch đất.
+ Tỉa thân: Chỉ để 1 thân chính, loại bỏ thân phụ.
+ Cắt tỉa cành: Thực hiện trước mùa mưa bão.
+ Cây non: Tỉa cành lệch tán vào năm thứ 2, tiếp tục cắt tỉa định kỳ những năm sau.
- Việc chăm sóc, cắt tỉa cây phải tuân thủ quy trình kỹ thuật đồng thời phải có biện pháp đảm bảo an toàn cho người, phương tiện và công trình.
e) Bảo vệ cây trồng
- Cây trồng cần được kiểm tra, bảo vệ thường xuyên, kịp thời ngăn chặn gia súc phá hoại.
- Phòng chống sâu bệnh:
+ Theo dõi tình hình sâu bệnh, đặc biệt là mối và dế khi cây còn non.
+ Khi phát hiện sâu bệnh, xử lý theo hướng dẫn kỹ thuật chuyên ngành.
2. Trồng theo đám
a) Tiêu chuẩn cây giống:
Cây giống phải đáp ứng các tiêu chuẩn theo quy định trong tiêu chuẩn quốc gia về cây giống
(Chi tiết tiêu chuẩn một số loài cây tại phụ lục 05 của hướng dẫn)
b) Xử lý thực bì
- Đối với loài cây ưa sáng:
+ Phát dọn sạch thực bì, chiều cao phát không quá 10 cm so với mặt đất.
+ Băm nhỏ thực bì thành đoạn khoảng 0,5 m, không đốt, mà phải gom thành hàng giữa hai hàng hố theo đường đồng mức để trồng cây.
+ Nếu thực bì có chiều cao dưới 0,5 m, không cần xử lý.
- Đối với loài cây chịu bóng:
+ Xử lý thực bì theo từng hố trồng với đường kính khoảng 2 m.
+ Hoặc xử lý thực bì theo băng: Băng phát (để trồng cây): rộng 2 - 4 m; Băng chừa: rộng 1 - 2 m, giữ lại cây tái sinh có triển vọng.
- Thời gian hoàn thành xử lý thực bì: Trước khi trồng ít nhất 01 tháng.
c) Làm đất, cuốc hố, bón phân
- Đối với những loài cây ưa sáng: cuốc hố hoặc cày trước khi trồng từ 15 ngày đến 30 ngày; cày toàn diện hoặc theo băng ở những nơi có điều kiện địa hình thuận lợi, độ dốc dưới 15°.
- Đối với những loài cây chịu bóng: Cuốc hố trong băng phát dọn thực bì, bố trí 1 - 2 hàng/băng.
- Hố được đào so le theo hàng (hình nanh sau). Khi đào hố, cần phân loại đất: Đất mặt tơi xốp để riêng một bên; Đất phía dưới để riêng một bên. Kích thước hố cần phù hợp với kích thước bầu cây như sau:
+ Kích thước hố 30 x 30 x 30 cm đối với cây trồng có kích thước bầu dưới 0,5 kg/cây (bầu 7 x 9; 7 x 12 hoặc tương đương);
+ Kích thước hố 40 x 40 x 40 cm đối với cây trồng có kích thước bầu trên 0,5 đến 0,8 kg/cây (bầu 9 x 13 hoặc tương đương);
- Khoảng cách hố từ 2 - 4m, tùy theo đường kính tán của cây khi trưởng thành.
- Lấp hố: trộn đất mặt tơi xốp với phân bón lót rồi đưa xuống đáy hố cùng với thảm mục. Lấp đất gần ngang miệng hố, phần đất dưới đáy hố (khi đào) đưa lên trên.
- Bón lót phân NPK từ 100g đến 300g /hố hoặc từ 300g đến 500g phân vi sinh/hố.
+ Cách bón: kết hợp với lúc lấp hố, phân được trộn đều với phần đất ở 1/3 phía dưới hố trồng.
+ Thời điểm bón lót và lấp hố: trước khi trồng rừng từ 05 đến 10 ngày.
- Ở những khu vực có mối gây hại, cần có biện pháp xử lý triệt để trước khi trồng.
d) Vận chuyển cây giống
- Tưới nước đủ ẩm 01 đêm trước khi bốc xếp cây. Khi bốc xếp, vận chuyển tránh làm vỡ bầu, dập nát, gẫy ngọn.
- Phải trồng ngay trong ngày sau khi vận chuyển đến địa điểm trồng.
- Bảo quản: nếu chưa trồng phải xếp ở nơi râm mát và tưới nước đảm bảo độ ẩm, dinh dưỡng cho cây trồng. Bảo vệ cây giống không bị gia súc phá hại.
đ) Kỹ thuật trồng
- Thời điểm trồng: trồng cây vào những ngày râm mát, mưa nhỏ hoặc nắng nhẹ và đất trong hố phải đủ ẩm (tránh ngày nắng nóng trên 30°C hoặc gió bão). Rải cây giống đến đâu, trồng ngay đến đó và trồng hết trong ngày. Hố trồng được đào rộng hơn kích thước bầu cây.
- Khi trồng cây phải xé bỏ vỏ bầu đối với bầu PE hoặc để nguyên vỏ bầu đối với bầu hữu cơ, bầu tự hủy; đặt cây thẳng đứng vào giữa hố, lấp đất đầy hố cao hơn cổ rễ từ 01 đến 02 cm, lèn chặt đất xung quanh bầu, tránh làm vỡ bâu; nếu địa hình bằng phẳng, lấp hố đầy hình mâm xôi cho thoát nước; nơi địa hình dốc, lấp hố thấp hơn hoặc bằng miệng hố để giữ ấm; thu dọn vỏ bầu sau khi trồng, đảm bảo vệ sinh môi trường.
e) Chăm sóc cây trồng
- Trồng dặm:
+ Sau 30 ngày, kiểm tra tỷ lệ cây sống, tiến hành trồng dặm để đảm bảo tỷ lệ sống theo quy định nghiệm thu.
+ Tỷ lệ trồng dặm trung bình: 10% so với mật độ trồng ban đầu..
- Chăm sóc: Đối với cây mọc nhanh, chăm sóc 3 năm; cây mọc chậm chăm sóc 5 năm.
+ Năm thứ nhất:
(1) Cây trồng vụ hè-thu (tháng 6 - 10): Chăm sóc 1 lần.
(2) Cây trồng vụ xuân-hè (tháng 1 - 5): Chăm sóc 2 lần.
(3) Thời điểm chăm sóc:
Lần 1: Sau khi trồng 1 - 2 tháng;
Lần 2: Trước mùa khô (tháng 10 - 12).
(4) Công việc chăm sóc gồm:
Trồng dặm cây chết, phát dọn dây leo, cây bụi và cỏ dại;
Xới đất, vun gốc xung quanh hố với đường kính 60 - 80 cm, sâu 4-5 cm;
Tỉa thân: Chỉ giữ lại 1 thân chính.
+ Từ năm thứ 2 đến năm thứ 5:
(1) Số lần chăm sóc: Năm thứ 2, 3: 2 lần/năm; Năm thứ 4, 5: 1 lần/năm.
(2) Thời điểm chăm sóc: Miền núi phía Bắc: Tháng 2 - 4 và 9 - 12; Bắc Trung Bộ và miền Nam: Đầu mùa mưa và trước mùa khô.
(3) Các công việc chăm sóc:
Phát dọn dây leo, có dại, tỉa cành, tỉa thân.
Xới đất, vun gốc cách gốc 40 - 50 cm, sâu 4-5 cm.
Bón phân NPK 100 - 300 g/cây, bón theo rạch đất.
Tỉa cành tươi: cắt bỏ cành dưới 1/3 chiều cao cây, thực hiện vào đầu mùa khô.
Tỉa cành khô: Loại bỏ cành chết chưa rơi rụng.
g) Bảo vệ cây trồng
Kiểm tra, bảo vệ thường xuyên, ngăn chặn gia súc phá hoại.
Phòng trừ mối, dế hại ở giai đoạn cây còn nhỏ.
Giám sát sâu bệnh: Khi phát hiện, xử lý theo hướng dẫn chuyên môn.
3. Trồng bổ sung
a) Tiêu chuẩn cây giống
- Cây giống phải được nuôi dưỡng tối thiểu 24 tháng, có chiều cao từ 2,0 - 3,0 m và đường kính gốc từ 3,0 - 10 cm.
- Kích thước bầu tối thiểu 20 x 30 cm hoặc tương đương.
- Cây phải có tán cân đối, thân thẳng, không bị sâu bệnh.
(Chi tiết tiêu chuẩn cây giống của một số loài cây trồng bổ sung được quy định tại Phụ lục 06 của hướng dẫn)
b) Chọn vị trí trồng
- Lựa chọn vị trí sao cho khoảng cách giữa các cây tương đối đồng đều, phù hợp với thực tế mặt bằng.
- Khoảng cách giữa cây trồng bổ sung và cây hiện có (ở tuổi thành thục) từ 2 - 4 m, tùy theo đường kính tán của cây trưởng thành.
- Không trồng trực tiếp dưới tán cây đã có để tránh cạnh tranh ánh sáng và dinh dưỡng.
c) Chuẩn bị vật tư, vật liệu trồng cây
- Đất màu, mùn hữu cơ, giá thể, phân hữu cơ, phân vô cơ (NPK) để cải thiện môi trường đất.
- Cọc chống, dây buộc, thuốc kích thích ra rễ, bao tải để hỗ trợ cây trồng.
- Dụng cụ lao động và máy móc thi công phục vụ công tác trồng cây.
d) Đào hố trồng cây
- Kích thước hố: Hố đào hình vuông với cạnh tối thiểu = kích thước bầu cây + 20 cm.
- Chiều sâu hố phải lớn hơn chiều cao bầu cây, tối thiểu 30 cm.
Trường hợp đất không đảm bảo (đất bùn sét, cát, bạc màu, vữa xỉ...): Đào rộng hơn để bổ sung đất màu, mùn hữu cơ, giá thể, phân hữu cơ nhằm đảm bảo cây phát triển tốt.
đ) Bứng chuyển cây
- Trước khi đánh cây, thực hiện cắt tỉa gọn tán cây để giảm trọng lượng của cây, hạn chế thoát hơi nước; định hướng tán để giữ lại một số các cành chính và hạ thấp ngọn cây (nếu cần) để thuận lợi cho công tác vận chuyển.
- Cây được đánh bầu hình trụ tròn, vát ở đáy với kích thước bầu phù hợp chủng loại cây và đường kính cây đánh chuyển (kích thước đường kính bầu được đánh từ gốc cây ra xung quanh tối thiểu là 20 cm, chiều cao bầu tối thiểu gấp 3 lần đường kính thân cây) hoặc theo thực tế mặt bằng. Đào đất rộng ra ngoài tạo đường rãnh kiểu vành khăn để thực hiện các thao tác đánh bầu cây.
- Sử dụng thiết bị chuyên dùng phù hợp tiến hành đào đất, cắt rễ nhỏ; và cắt các rễ ngang lớn thật nhẵn ở các đầu cắt. Tiến hành lần lượt từ trên xuống dưới đến khi đủ độ sâu của bầu. Chưa cắt rễ cọc và một số rễ cái (rễ bên) để giữ cây thẳng đứng, không bị đổ. Chú ý tạo bầu cây có dạng hình chum cân đối.
- Phun thuốc kích thích ra rễ và bôi keo liền sẹo lên bề mặt vết cắt ở rễ chính, rễ bên.
- Thực hiện bó bầu bằng lưới (bao tải), dây (ưu tiên vật liệu tự phân hủy):
+ Cố định bầu cây bằng lưới, sau đó dùng dây bọc đan theo kiểu mắt cáo luồn từ đáy bầu lên trên và cột chặt vào gốc cây tạo liên kết mắt võng, chặt chẽ tránh vỡ bầu khi vận chuyển đến nơi trồng mới. Sử dụng bao tải bó bầu nếu đất bị tơi rời, không kết dính.
+ Bầu được bó theo hình đai mắt võng theo kích thước: ngang bầu hàng cách hàng từ 15-20 cm, dọc bầu hàng cách hàng 10-20 cm.
- Kích thước bầu phụ thuộc vào kích thước, chủng loại cây và mặt bằng cây bứng. Đánh bầu cây có đường kính tối thiểu gấp 3 lần số với đường kính gốc thân cây. Trong trường hợp không đánh được bầu cây đảm bảo kích thước yêu cầu, công tác đánh bầu cây được thực hiện theo thực tế hiện trường.
- Dùng bao tải, lưới bọc xung quanh thân cây từ gốc đen điểm phân cành đầu tiên làm giảm quá trình thoát hơi nước và tránh làm tổn thương vỏ trong quá trình bốc dỡ vận chuyển.
- Sử dụng máy móc, thiết bị cần thiết để ghìm giữ cây để cắt đứt hết rễ cái, rễ con xung quanh của cây và chuyển cây lên thùng xe vận chuyển.
e) Vận chuyển cây
- Vận chuyển cây đến nơi trồng đảm bảo không bị vỡ bấu, gãy cây
- Phải trồng ngay trong ngày sau khi vận chuyển đến địa điểm trồng.
- Trường hợp chưa trồng ngay phải xếp ở nơi râm mát và tưới nước đảm bảo độ ẩm, dinh dưỡng cho cây trồng. Bảo vệ cây trồng không bị gia súc phá hại.
g) Trồng cây
- Cho đất màu được trộn lẫn mùn, giá thể, phân hữu cơ, phân NPK... xuống hố chiều cao phù hợp với kích thước của cây trồng sao cho mặt bầu của cây trồng ngang với miệng hố hoặc thấp hơn khoảng 5 cm tùy theo địa hình. Sau đó đưa cây trồng xuống hố, tháo bỏ vỏ bầu (đối với vỏ bầu không có khả năng tự phân hủy), cắt hết dây buộc, đặt bầu cây vào chính giữa hố đảm bảo cây trồng thẳng đứng (kiểm tra theo 2 hướng: song song và vuông góc với cây đã có) đặt cây sao cho cổ rễ thấp hơn mặt hố.
- Điều chỉnh cho cây thẳng đứng, khi đã đạt yêu cầu cho đất màu trộn giá thể vào hố, lấp đến quá nửa hố rồi lèn chặt xung quanh bầu, tưới nhẹ nước (đã được pha chất kích thích ra rễ) đều quanh bầu cây. Tiếp tục lấp đất xung quanh bầu cây và lèn chặt đến miệng hố. Tiến hành tưới đẫm nước và làm đất xung quanh gốc thấp hơn miệng hố để giữ nước không tràn ra ngoài hố trồng.
- Sau khi trồng xong cần được quét 01 lớp vôi quanh thân cây, nhằm phòng bệnh cho cây trồng.
h) Cọc chống cho cây
- Dùng cọc gỗ chống giữ cây trồng luôn được thẳng đứng không bị nghiêng, đổ do gió và ổn định được bộ rễ;
- Chiều cao của cọc chống sau khi đã lắp ghép (trên mặt đất) tối thiểu bằng 1/3 chiều cao cây trở lên;
- Vị trí chống cọc vào thân cây cách gốc khoảng 1/3 chiều cao cây với độ nghiêng góc chống tối ưu từ 30- 40°. Chân cọc đóng sâu xuống đất tối thiểu 5cm để có điểm chống;
- Loại cọc: cọc tre nứa, cọc gỗ hoặc cọc kim loại với một số loài cây lớn;
- Quy cách, số lượng cọc chống có thể tham khảo ở bảng sau:
| TT | Quy cách cây | Quy cách cọc | Số lượng cọc chống (cọc) | ||
|
| Đường kính thân (cm) | Chiều cao (m) | Đường kính cọc (cm) | Chiều dài cọc (m) |
|
| 1 | ≤ 3 | ≤ 2,5 | ≤ 2 | ≤ 1,5 | 1 |
| 2 | 3 - 5 | 2,5 - 4 | 2 - 4 | 1,5 - 2 | 1 - 3 |
| 3 | 5 - 10 | 4 - 6 | 4 - 6 | 2 - 2,5 | 3 - 4 |
- Trong trường hợp không thể đặt chân cọc gọn trong hố trồng cây do góc chống hẹp, không đảm bảo việc chống giữ cây có thể đặt vị trí chân cọc nằm ngoài mặt hố, chân cọc sâu xuống đất tối thiểu 5 cm;
- Thời gian sử dụng cọc chống cho cây: tối thiểu 1 năm;
- Thường xuyên kiểm tra bảo dưỡng thay thế cọc bị gẫy hỏng.
i) Chăm sóc cây
Sau khi trồng đơn vị thi công trồng cây có trách nhiệm chăm sóc, bảo dưỡng cây tối thiểu 03 tháng trước khi bàn giao cho đơn vị quản lý, duy trì cây từ 3 đến 5 năm theo quy định.
- Tưới nước: Tưới đẫm đất xung quanh gốc cây, thời gian tưới vào sáng sớm hoặc chiều tối (không tưới khi trời nắng gắt). Tùy theo thời tiết và độ ẩm của đất để điều chỉnh chế độ tưới, lượng nước tưới. Việc tưới nước không được làm xói mòn đất xung quanh gốc nhưng vẫn tạo đủ độ ẩm cho cây.
+ Thời gian chăm sóc: 90 ngày.
+ Số lần tưới: 15 ngày đầu tưới liên tục: 1 lần/1 ngày; 30 ngày tiếp theo tưới trung bình: 2 ngày/1 lần; từ 45 ngày trở đi tưới trung bình: 3 ngày/1 lần.
+ Lượng nước tưới: từ 10 đến 17 lít/ lần tưới.
- Theo dõi tình hình phát triển của cây để xử lý, nếu phát hiện sâu bệnh phải phun thuốc ngay, làm có dại xung quanh gốc cây.
k) Tia cành, tạo tán cây trưởng thành
- Thời gian: để giảm khả năng có thể phát sinh các đối tượng sinh vật gây hại thời gian cắt tỉa được thực hiện theo đặc điểm khí hậu của từng vùng trung bình 2 lần/năm, đặc biệt trước mùa mưa bão (trừ trường hợp vì lý do an toàn) như sau:
+ Đối với tất cả các loại cây: không được cắt tỉa vào thời gian cành con đang đâm trồi;
+ Đối với những cây vỏ mỏng: không được cắt tỉa vào mùa hè có thể gây tổn thương cho cây do ánh nắng mặt trời;
+ Đối với những cây rụng lá vào thời kỳ nhất định (cây không có lá vào mùa đông): thời gian cắt tỉa tốt nhất vào tháng 10 đến tháng 01 năm sau;
+ Đối với những cây nguy hiểm có thể được cắt tỉa vào bất cứ thời gian nào trong năm.
Sau khi cắt tỉa bôi thuốc để thân cây khỏi bị nấm, sâu bệnh xâm nhập.
- Cắt tỉa cây: hàng năm cây xanh phải được cắt tỉa đúng yêu cầu kỹ thuật nhằm tạo dáng cây, làm cho cây phát triển nhanh hơn và đảm bảo an toàn trong mùa mưa bão. Thông thường có các loại cắt tỉa cây như sau:
+ Làm quang vòm (đỉnh, ngọn, chóp) lá: loại bỏ các cành lá khô và gẫy, những cành to bị bệnh hoặc nguy hiểm;
+ Làm mòng vòm lá: loại bỏ bớt tán lá để giảm cản trở sự đi qua của gió trong mùa mưa bão;
+ Nâng cao vòm lá: loại bỏ những tán lá thấp nhất tạo thông thoáng tầm nhìn trên đường, các nơi có biển báo, đèn tín hiệu giao thông;
+ Giảm bớt ngọn: khống chế chiều cao, làm thấp đỉnh ngọn cây bằng cách cắt tỉa tự nhiên ít nhất là 1/3 độ lớn của các cành cây to bị loại bỏ;
+ Phục hồi ngọn: thực hiện việc cắt tỉa để lấy lại cấu trúc tự nhiên của cây sau khi cây bị cắt tỉa hoặc xén ngọn không đúng cách;
- Thường xuyên kiểm tra cọc chống và bổ sung kịp thời cho cây mới trồng, nếu cây nghiêng phải dựng lại ngay thẳng.
h) Bảo vệ cây trồng
- Kiểm tra, bảo vệ thường xuyên, ngăn chặn gia súc phá hoại.
- Phòng trừ mối, dế hại ở giai đoạn cây còn nhỏ.
- Giám sát sâu bệnh: Khi phát hiện, xử lý theo hướng dẫn chuyên môn.
PHẦN III. PHỤ LỤC
Phụ lục 01. Danh sách các tỉnh thuộc vùng phát triển kinh tế - xã hội
| Vùng | Tên vùng | Tỉnh, thành phố trực thuộc TW |
| I | Trung du và miền núi phía Bắc | Gồm 14 tỉnh: Hà Giang, Cao Bằng, Lạng Sơn, Bắc Giang, Phú Thọ, Thái Nguyên, Bắc Kạn, Tuyên Quang, Lào Cai, Yên Bái, Điện Biên, Lai Châu, Sơn La, Hòa Bình |
| II | Đồng bằng sông Hồng | Gồm 11 tỉnh/tp: Hà Nội, Hải Phòng, Hải Dương, Hưng Yên, Vĩnh Phúc, Bắc Ninh, Thái Bình, Nam Định, Hà Nam, Ninh Bình và Quảng Ninh. |
| III | Bắc Trung Bộ và duyên hải miền Trung | Gồm 14 tỉnh/tp: Thanh Hóa, Nghệ An, Hà Tĩnh, Quảng Bình, Quảng Trị, Thừa Thiên Huế, Đà Nẵng, Quảng Nam, Quảng Ngãi, Bình Định, Phú Yên, Khánh hòa, Ninh Thuận và Bình Thuận |
| IV | Tây Nguyên | Gồm 5 tỉnh: Kon Tum, Gia Lai, Đắk Lắk, Đắk Nông và Lâm Đồng |
| V | Đông Nam Bộ | Gồm 6 tỉnh/tp: Hồ Chí Minh, Đồng Nai, Bà Rịa - Vũng Tàu, Bình Dương, Bình Phước và Tây Ninh |
| VI | Đồng bằng sông Cửu Long | Gồm 13 tỉnh/tp: Cần Thơ, Long An, Tiền Giang, Bến Tre, Trà Vinh, Vĩnh Long, An Giang, Đồng Tháp, Kiên Giang, Hậu Giang, Sóc Trăng, Bạc Liêu và Cà Mau. |
Phụ lục 02. Danh mục một số loài cây trồng phân tán tại các vùng phát triển kinh tế - xã hội
| TT | Tên tiếng việt | Tên khoa học | Vùng trồng | Hình thức trồng | |||||||
| I | II | III | IV | V | VI | Băng/ hàng | Đám | Cá lẻ | |||
| 1 | Bạch đàn urô | Eucalyptus urophylla S.T. Blake | x | x | x |
|
|
| x | x |
|
| 2 | Bạch đàn camaldulen sis | Eucalyptus camaldulensis Dehnh |
|
| x |
|
|
|
|
|
|
| 3 | Bạch đàn lai | Eucalyptus hybrid | x |
|
|
|
|
|
|
|
|
| 4 | Bách tán | Araucaria excelsa R. Br. | x |
|
|
|
|
| x |
| x |
| 5 | Ban Tây Bắc | Bauhinia variegata | x | x |
|
|
|
| x |
|
|
| 6 | Bàng | Terminalia catappa L. | x | x | x | x | x | x |
|
| x |
| 7 | Bàng đài loan | Bucida molineti I. | x | x | x | x | x | x | x |
|
|
| 8 | Bằng lăng nước | Lagerstroemia flos-reginae Retz. | x | x | x | x | x | x | x |
|
|
| 9 | Bần chua | Sonneratia caseolaris (L.) Engl. | x | x |
|
|
|
|
| x |
|
| 10 | Bồ đề | Ficus religiosa L. | x |
| x |
|
|
| x |
| x |
| 11 | Bông gòn | Ceiba pentandra (L.) Gaertn. | x | x | x | x | x | x | x |
|
|
| 12 | Bời lời đỏ | Litsea glutinosa Roxb |
|
|
| x |
|
| x |
|
|
| 13 | Bụt mọc | Taxodium distichum (L.) Rich. | x | x |
|
|
|
|
|
| x |
| 14 | Cọ phèn | Protium serratum |
|
| x |
|
|
| x |
|
|
| 15 | Cóc trắng | Lumnitzera littorea |
|
|
|
| x |
|
| x |
|
| 16 | Chiêu liêu | Terminalia chebula Retz. |
|
|
| x | x | x | x |
|
|
| 17 | Chò chỉ | Parashorea chinensis H. Wang | x | x | x |
|
|
| x |
| x |
| 18 | Chò đãi | Annamocarya sinensis | x | x | x |
|
|
| x |
|
|
| 19 | Chò nâu | Dipterocarpus tonkinensis A.chev | x | x | x |
|
|
| x |
|
|
| 20 | Chùm bao lớn | Hydnocarpus anthelmintica Pierre |
|
| x | x |
|
| x |
|
|
| 21 | Dái ngựa (Xà cừ Tây Ấn) | Swietenia mahagoni (L.) Jacq. | x | x | x | x |
|
| x |
|
|
| 22 | Dâu da xoan | Spondias lakonensis | x | x | x | x |
|
| x |
|
|
| 23 | Dầu nước | Parashrea stellata Kurz |
|
|
| x | x |
| x | x |
|
| 24 | Dầu rái | Dipterocarpus alatus Roxb. ex G.Don |
|
| x |
| x | x | x | x |
|
| 25 | Dẻ bộp (Sồi phảng) | Lithocarpus fissus (Champ.ex Benth.) A. Camus; |
|
| x |
|
|
| x |
|
|
| 26 | Dẻ đỏ | Lithocarpus ducampii (Hickel et A. Camus) A. Camus | x |
|
|
|
|
| x |
|
|
| 27 | Dẻ trắng | Lithocarpus dealbatus | x |
|
|
|
|
| x |
|
|
| 28 | Dó bầu | Aquilaria crassna Pierre ex Lecomte | x | x | x |
|
|
| x |
|
|
| 29 | Dó trầm | Aquilaria apiculata | x |
| x |
|
|
| x |
|
|
| 30 | Dừa | Cocos nucifera L. |
| x | x | x | x | x | x |
|
|
| 31 | Dừa nước | Nypa fruticans |
|
|
|
| x | x | x |
|
|
| 32 | Đa búp đỏ | Ficus elastica Roxb. | x | x | x | x | x | x | x |
| x |
| 33 | Đa lông | Ficus pilosa Reinw. Ex Blume | x | x | x | x | x | x | x |
| x |
| 34 | Đài loan tương tư | Acacia confusa Merr | x | x | x |
|
|
| x |
|
|
| 35 | Đàn hương | Santalum album | x |
|
|
|
|
| x | x |
|
| 36 | Đâng | Rhizophora stylosa Griff. |
|
|
| x | x | x | x |
|
|
| 37 | Đậu ma | Lonchocarpus sericeus (Poir.) DC. |
| x |
|
|
|
| x |
|
|
| 38 | Đinh | Markhamia stipulata (Wall.) Schum. | x |
|
|
|
|
| x |
|
|
| 39 | Đước đôi | Rhizophora apiculata Blume |
|
|
|
| x | x |
| x |
|
| 40 | Đước vòi | Rhizophora stylosa Griff. |
|
|
|
| x | x |
| x |
|
| 41 | Gáo | Sarcocephalus cordatus (Roxb.) Miq. | x | x | x | x | x | x | x |
|
|
| 42 | Gạo | Bombax ceiba L. (Bombax malabaricum DC.) | x | x | x | x |
|
| x |
| x |
| 43 | Gáo trắng | Neolamarckia cadamba |
|
|
| x | x | x | x |
| x |
| 44 | Gội trắng | Aphanamixis grandifolia Blume - Amoora grandifolia Walp. |
|
| x | x |
|
| x |
|
|
| 45 | Gụ lau | Sindora tonkinensis A. Chev. ex Larsen | x |
| x |
|
|
| x |
|
|
| 46 | Giáng hương lá to | Pterocarpus macrocarpus Kurz (Pterocarpus cambodianus Pierre) |
| x | x | x | x | x | x |
|
|
| 47 | Giổi | Syzygium samarangense (Blume) Merr. et Perry - Myrtus samarangense Blume | x | x | x | x | x | x |
|
| x x |
| 48 | Giổi xanh | Michelia mediocris Dandy | x | x | x |
|
|
| x |
|
|
| 49 | Giổi ăn hạt | Michelia tonlinensis A.Chev | x | x | x | x | x | x |
|
|
|
| 50 | Hoàng đàn | Cupressus torulosa | x |
| x |
|
|
| x | x | x |
| 51 | Hoàng lan | Magnolia champaca (L.) Baill. ex Pierre | x | x | x | x | x | x | x |
| x |
| 52 | Hoàng nam | Polyalthia longifolia | x | x | x |
|
|
| x | x |
|
| 53 | Hồi | Illicium verum Hook f. | x |
|
|
|
|
| x | x |
|
| 54 | Huỳnh | Tarrietia javanica Blume | x |
| x |
|
|
| x |
|
|
| 55 | Kèn hồng | Tabebuia rosea |
|
| x |
|
|
| x |
|
|
| 56 | Keo lá tràm | Acacia auriculiformis A. Cunn. ex Benth | x | x | x |
|
|
| x | x |
|
| 57 | Keo lai | Acacia hybrid | x | x | x | x | x | x | x | x |
|
| 58 | Keo lưỡi liềm | Acacia crassicarpa A. Cunn. ex Benth. | x | x | x | x | x | x | x | x |
|
| 59 | Keo tai tượng | Acacia mangium Willd. | x | x | x |
|
|
|
|
|
|
| 60 | Kim giao | Nageia fleuryi (Hickel) De Laub. (Podocarpus fleuryi Hickel) | x | x |
|
|
|
| x |
| x |
| 61 | Kơ nia | Irvingia malayana |
|
|
| x |
|
| x |
| x |
| 62 | Lát hoa | Chukrasia tabularis A. Juss. | x |
| x |
|
|
| x |
|
|
| 63 | Lát Mexico | Cedrela dorata | x |
| x |
|
|
| x |
|
|
| 64 | Liễu rủ | Salix babylonica L. | x | x | x |
|
|
| x |
|
|
| 65 | Lim xanh | Erythrophloeum fordii Oliv. | x |
| x |
|
|
|
| x |
|
| 66 | Lim xẹt | Pelthophorum dasyrrachis (Miq.) Kurz. var. tonkinensis (Pierre) K. & S. Larsen | x |
| x |
|
|
| x |
| x |
| 67 | Lõi thọ | Gmelina arborea Roxb. | x |
| x |
|
|
| x |
|
|
| 68 | Long não | Cinnamomum camphora (L.) J. Presl | x | x | x | x |
|
| x |
| x |
| 69 | Lộc vừng | Barringtonia racemosa (L.) Spreng. | x | x | x | x |
|
| x |
| x |
| 70 | Luồng chiết | Dendrocalamus barbatus |
|
| x |
|
|
| x | x |
|
| 71 | Luồng gốc chét | Dendrocalamus barbatus |
|
| x |
|
|
| x | x |
|
| 72 | Mắm | Avicennia marina (Fork.) Vierh. |
|
|
| x | x | x |
| x |
|
| 73 | Mắm đen | Avicennia officinalis L. |
|
|
|
| x | x |
| x |
|
| 74 | Móng bò tím | Bauhinia purpurea (L.) Benth. | x | x | x | x | x | x | x |
|
|
| 75 | Mỡ | Manglietia conifera Dandy, Manglietia glauca Blume) | x | x | x | x | x | x | x | x |
|
| 76 | Muồng đen | Cassia siamea Lam. | x | x | x | x |
|
| x | x |
|
| 77 | Muồng hoa đào | Cassia javanica L. | x | x | x | x | x | x | x | x | x |
| 78 | Muồng hoa vàng | Cassia splendida Vogel | x | x | x | x | x | x | x | x | x |
| 79 | Muồng ngủ | Samanea saman (Jacq.) Merr. | x | x | x | x | x | x | x | x |
|
| 80 | Muồng vàng chanh | Cassia fistula L. | x | x |
| x | x |
| x |
|
|
| 81 | Mắc ca | Macadamia |
|
|
| x |
|
|
|
|
|
| 82 | Núc nác | Oroxylum indicum (L.) Benth. ex Kurz | x | x | x | x |
|
| x |
| x |
| 83 | Ngọc lan | Michelia alba | x | x | x | x | x | x | x |
| x |
| 84 | Nhãn | Dimocarpus longan Lour. | x | x | x | x | x | x | x | x | x |
| 85 | Nhội | Bischofia javanica Blume (Bischofia trifoliata (Roxb.) Hook.f.) | x | x |
|
|
|
| x |
| x |
| 86 | Nhựa ruồi | Ilex rotunda Thunb. | x |
|
| x |
|
| x |
|
|
| 87 | Pơ mu | Fokienia hodginsii (Dunn) Henry & Thomas | x |
| x |
|
|
|
| x | x |
| 88 | Phi lao | Casuarina equisetifolia Forst & Forst f |
| x | x | x | x | x | x | x |
|
| 89 | Phong lá đỏ | Acer rubrum | x |
|
|
|
|
| x |
|
|
| 90 | Phượng vĩ | Denolix regia (Bojer ex Hook,) Raf. | x | x | x | x | x | x | x |
| x |
| 91 | Quế | Cinnamomum cassia Blume | x |
|
|
|
|
| x | x |
|
| 92 | Ràng ràng | Ormosia balansae Drake. | x | x | x |
|
|
| x | x |
|
| 93 | Re gừng | Cinnamomum bejolghota | x | x | x |
|
|
| x | x |
|
| 94 | Re hương | Cinnamomum partheroxylum (Jack.) Nees | x | x | x |
|
|
| x | x |
|
| 95 | Sa mộc | Cunninghamia lanceolata (Lamb.) Hook. | x | x |
|
|
|
| x | x |
|
| 96 | Sa nhân tím | Amomum longiligulare T.L.Wu | x | x |
| x |
|
|
|
|
|
| 97 | Sanh | Ficus benjamina Linn | x | x | x | x | x | x | x |
|
|
| 98 | Sao đen | Hopea odorata Roxb. |
|
| x | x | x | x | x | x | x |
| 99 | Sau sau | Liquidambar formosana Hance - L. tonkinensis A.chev. | x | x | x |
|
|
| x | x | x |
| 100 | Sấu | Dracontomelon dupperreanum Pierre | x | x | x | x |
|
| x |
| x |
| 101 | Sến mật | Madhuca pasquieri (Dunbard.) H. J. Lam. | x | x | x |
|
|
| x |
|
|
| 102 | Sến xanh | Mimusops elengi L |
|
|
| x | x |
| x |
|
|
| 103 | Sếu (cơm nguội) | Celtis sinenscs Pers. | x | x | x |
|
|
| x |
|
|
| 104 | Si | Ficus microcarpa L.F. | x | x | x | x | x | x | x |
|
|
| 105 | Sở | Camellia oleifera C. Abel. | x |
|
|
|
|
| x |
|
|
| 106 | Sở chè | Camellia sasanqua Thunb | x |
|
|
|
|
| x |
|
|
| 107 | Sơn tra | Docynia indica (Wall) Decne | x |
|
|
|
|
| x | x |
|
| 108 | Sung | Ficus glomerata Roxb. | x | x | x | x | x | x | x |
| x |
| 109 | Sữa | Alstonia scholaris (L.) R. Br. | x | x | x | x | x | x |
|
| x |
| 110 | Sưa | Dalbergia tonkinensis Prain | x | x | x | x | x | x | x | x |
|
| 111 | Tai chua | Garcinia cowa Roxb. | x | x |
|
|
|
| x |
|
|
| 112 | Tếch | Tectona grandis L | x |
|
| x | x |
| x | x |
|
| 113 | Tông dù | Toona sinensis (A.Juss.) M.Roem. | x |
|
|
|
|
| x |
|
|
| 114 | Tống quá sủ | Alnus nepalensis D. Don | x |
|
|
|
|
| x | x |
|
| 115 | Thàn mát | Millettia ichthyochtona Dra ke | x |
| x |
|
|
| x | x |
|
| 116 | Thanh thất | Ailanthus triphysa (Dennst.) Alston |
|
| x |
|
|
| x |
|
|
| 117 | Thị | Diospyros rubra H.Lec | x | x | x | x |
|
|
|
| x |
| 118 | Thông ba lá | Pinus kesiya Royle ex Gordon |
|
|
| x |
|
| x | x |
|
| 119 | Thông caribe | Pinus caribaea Morelet |
|
| x |
|
|
| x | x |
|
| 120 | Thông đá | Pinus pinea L. | x |
|
|
|
|
| x | x |
|
| 121 | Thông đuôi ngựa | Pinus massoniana Lamb. | x | x |
|
|
|
| x | x |
|
| 122 | Thông nhựa | Pinus merkusii Jungh.et de Vries |
| x | x |
|
|
| x | x |
|
| 123 | Thông tre lá dài | Podocarpus neriifolius D. Don |
|
| x |
|
|
| x | x |
|
| 124 | Thông tre lá ngắn | Podocarpus pilgeri Foxw. |
|
| x |
|
|
| x | x |
|
| 125 | Thung (Đăng) | Tetrameles nudiflora R. Br. in Benn. | x | x |
| x | x |
| x |
|
|
| 126 | Tràm cừ | Melaleuca cajuputi Powell. |
|
|
|
|
|
| x | x |
|
| 127 | Trám đen | Canarium pimela Leench. (Canarium nigrum, Canarium tramdenum) | x | x |
| x |
|
| x | x | x |
| 128 | Tràm lá dài | Melaleuca leucadendra L. |
|
|
|
|
| x | x | x |
|
| 129 | Trám trắng | Canarium album (Lour.) Raeusch. | x |
| x | x |
|
| x | x |
|
| 130 | Trầu | Vernicia montana Lour. (Aleurites montana (Lour.) Wilson) | x |
|
|
|
|
| x | x |
|
| 131 | Tre | Bambusa aff. funghomii McClure | x |
|
|
|
|
|
|
|
|
| 132 | Trôm | Sterculia foetida L. |
|
| x |
| x |
| x |
| x |
| 133 | Vàng anh | Saraca indica L. |
|
| x |
|
|
| x |
| x |
| 134 | Vàng tâm | Manglietia dandyi (Gagnep.) Dandy (Magnolia dandyi Gagnep.) |
|
| x |
|
|
| x |
|
|
| 135 | Vạng trứng | Endospermum chinense Benth. |
|
| x |
|
|
|
| x |
|
| 136 | Vầu | Bambusa nutans |
|
| x |
|
|
| x |
|
|
| 137 | Vối thuốc (Kháo dặm) | Schima wallichii var. noronhae (Blume ) Bloemb. | x |
|
|
|
|
| x | x |
|
| 138 | Vông | Erythrinca variegata L. (Erythrina indica Lamk.) | x | x | x | x | x | x | x |
|
|
| 139 | Vù hương | Cinnamomum balansae Lecomte | x |
|
|
|
|
| x |
|
|
| 140 | Vú sữa | Chysophyllum cainito Linn | x | x | x | x | x | x | x |
| x |
| 141 | Vẹt dù | Bruguiera gymnorrhiza (L) Lam |
|
|
|
| x | x |
|
|
|
| 142 | Xà cừ | Khaya senegalensis (Desr.) A. Juss. | x | x | x | x | x | x | x |
|
|
| 143 | Xoài | Mangifera indica L. |
|
| x |
|
|
| x |
| x |
| 144 | Xoan chịu hạn | Azadirachta indica A. Juss. |
|
| x |
|
|
| x | x |
|
| 145 | Xoan đào | Prunus arborea (Blume) Kalkm(Pygeum arboreum EngL.) | x | x | x |
|
|
| x | x |
|
| 146 | Xoan nhừ | Choerespondias axillaris (Roxb.) Burtt. & Hill | x | x |
|
|
|
| x | x |
|
| 147 | Xoan ta | Melia azedarach L. | x | x | x | x | x | x | x | x |
|
(x: loài cây được lựa chọn)
Phụ lục 03. Một số loài cây trồng thích hợp tại các khu vực điển hình
| TT | Tên tiếng việt | Tên khoa học | Hành lang đường, ven kênh mương, bờ | Cơ sở giáo dục đào tạo | Trụ sở cơ quan, nhà văn hóa, sinh hoạt cộng đồng | Cơ sở khám chữa bệnh | Công viên, quảng trường, vườn hoa | Cơ sở tín ngưỡng, tôn giáo | Các nhà máy, xí nghiệp, khu công nghiệp, khu chế xuất | Bến tàu, bến xe, bến cảng, chợ |
| 1 | Bạch đàn urô | Eucalyptus urophylla S.T. Blake | x |
|
|
|
|
|
|
|
| 2 | Bạch đàn carnal | Eucalyptus camaldulensis Dehnh | x |
|
|
|
|
|
|
|
| 3 | Bạch đàn lai | Eucalyptus hybrid | x |
|
|
|
|
|
|
|
| 4 | Bách tán | Araucaria excelsa R. Br. |
| x | x |
|
|
|
|
|
| 5 | Ban Tây Bắc | Bauhinia variegata | x | x |
|
|
|
|
|
|
| 6 | Bàng | Terminalia catappa L. |
| x |
|
|
|
|
|
|
| 7 | Bàng đài loan | Bucida molineti I. | x | x |
|
|
|
| x |
|
| 8 | Bằng lăng nước | Lagerstroemia flos-reginae Retz. | x | x |
|
|
|
|
|
|
| 9 | Bần chua | Sonneratia caseolaris (L.) Engl. | x |
|
|
|
|
|
|
|
| 10 | Bồ đề | Ficus religiosa L. | x |
| x |
|
| x |
|
|
| 11 | Bông gòn | Ceiba pentandra (L.) Gaertn. |
|
|
|
| x |
|
|
|
| 12 | Bời lời đỏ | Litsea glutinosa Roxb | x |
|
|
| x |
|
|
|
| 13 | Bụt mọc | Taxodium distichum (L.) Rich. |
|
|
|
| x |
|
|
|
| 14 | Cọ phèn | Protium serratum | x |
|
|
|
|
|
|
|
| 15 | Cóc trắng | Lumnitzera littorea | x |
|
|
|
|
|
|
|
| 16 | Chiêu liêu | Terminalia chebula Retz. |
| x |
|
| x |
|
|
|
| 17 | Chò chỉ | Parashorea chinensis H. Wang |
| x |
|
| x |
|
|
|
| 18 | Chò đãi | Annamocarya sinensis |
| x |
|
| x |
|
|
|
| 19 | Chò nâu | Dipterocarpus tonkinensis A. chev |
| x |
|
| x |
|
|
|
| 20 | Chùm bao lớn | Hydnocarpus anthelmintica Pierre |
| x |
|
|
|
|
|
|
| 21 | Dái ngựa (Xà cừ Tây Ấn) | Swietenia mahogani (L.) Jacq. | x |
|
|
|
|
|
|
|
| 22 | Dâu da xoan | Spondias lakonensis | x | x | x |
|
|
|
|
|
| 23 | Dầu nước | Parashrea stellata Kurz |
| x | x |
|
|
|
|
|
| 24 | Dầu rái | Dipterocarpus alatus Roxb. ex G.Don | x |
|
|
| x |
|
|
|
| 25 | Dẻ bộp (Sồi phảng) | Lithocarpus fissus (Champ.ex Benth.) A. Camus; |
| x |
|
| x |
|
|
|
| 26 | Dẻ đỏ | Lithocarpus ducampii (Hickel et A. Camus) A. Camus |
| x |
|
| x |
|
|
|
| 27 | Dẻ trắng | Lithocarpus dealbatus |
|
|
| x |
|
|
|
|
| 28 | Dó bầu | Aquilaria crassna Pierre ex Lecomte |
| x |
| x |
|
|
|
|
| 29 | Dó trầm | Aquilaria apiculata |
|
|
| x |
|
|
|
|
| 30 | Dừa | Cocos nucifera L. | x |
|
|
|
|
|
|
|
| 31 | Dừa nước | Nypa fruticans | x |
|
|
|
|
|
|
|
| 32 | Đa búp đỏ | Ficus elastica Roxb. |
|
| x | x | x |
|
|
|
| 33 | Đa lông | Ficus pilosa Reinw. Ex Blume |
|
| x | x | x |
|
|
|
| 34 | Đài loan tương tư | Acacia confusa Merr | x | x |
|
| x |
|
|
|
| 35 | Đàn hương | Santalum album |
|
|
|
| x |
|
|
|
| 36 | Đâng | Rhizophora stylosa Griff. |
|
|
|
| x |
|
|
|
| 37 | Đậu ma | Lonchocarpus sericeus (Poir.) DC. |
|
|
|
| x |
|
|
|
| 38 | Đinh | Markhamia stipulata (Wall.) Schum. |
| x | x | x |
|
|
|
|
| 39 | Đước đôi | Rhizophora apiculata Blume | x |
|
|
|
|
|
|
|
| 40 | Đước vòi | Rhizophora stylosa Griff. | x |
|
|
|
|
|
|
|
| 41 | Gáo | Sarcocephalus cordatus (Roxb.) Miq. |
|
| x |
|
|
|
|
|
| 42 | Gạo | Bombax ceiba L. (Bombax malabaricum DC.) | x |
|
|
|
| x |
|
|
| 43 | Gáo trắng | Neolamarckia cadamba |
| x |
|
|
|
|
|
|
| 44 | Gội trắng | Aphanamixis grandifolia Blume A moor a grandifolia Walp. |
| x |
|
|
|
|
|
|
| 45 | Gụ lau | Sindora tonkinensis A. Chev. ex Larsen |
| x | x |
| x |
|
|
|
| 46 | Giáng Hương lá to | Pterocarpus macrocarpus Kurz (Pterocarpus cambodianus Pierre) | x |
|
|
|
|
|
|
|
| 47 | Gioi | Syzygium samarangense (Blume) Merr. et Perry - Myrtus samarangense Blume | x |
| x | x |
|
|
|
|
| 48 | Giổi xanh | Michelia mediocris Dandy | x | x |
|
|
|
|
|
|
| 49 | Giổi ăn hạt | Michelia tonlinensis A.Chev |
|
| x |
|
|
|
|
|
| 50 | Hoàng đàn | Cupressus torulosa |
|
|
|
| x |
|
|
|
| 51 | Hoàng lan | Magnolia champaca (L.) Baill. ex Pierre |
|
|
|
| x |
|
|
|
| 52 | Hoàng nam | Polyalthia longifolia |
|
| x | x | x |
|
| x |
| 53 | Hồi | Illlicium verum Hook f. |
| x |
|
| x |
|
|
|
| 54 | Huỳnh | Tarrietia javanica Blume |
|
|
|
| x |
|
|
|
| 55 | Kèn hồng | Tabebuia rosea | x | x |
|
|
|
|
|
|
| 56 | Keo lá tràm | Acacia auriculiformis A. Cunn. ex Benth |
|
|
|
|
|
|
|
|
| 57 | Keo lai | Acacia hybrid | x |
|
|
|
|
|
|
|
| 58 | Keo lưỡi liềm | Acacia crassicarpa A. Cunn. ex Benth. | x |
|
|
|
|
|
|
|
| 59 | Keo tai tượng | Acacia mangium Willd. | x |
|
|
|
|
|
|
|
| 60 | Kim giao | Nageia fleuryi (Hickel) De Laub. (Podocarpus fleuryi Hickel) |
| x | x | x |
|
|
|
|
| 61 | Kơ nia | Irvingia malayana |
|
| x |
|
| x |
|
|
| 62 | Lát hoa | Chukrasia tabularis A. Juss. | x |
|
|
| x |
| x | x |
| 63 | Lát Mexico | Cedrela dorata | x |
|
|
| x |
|
| x |
| 64 | Liễu rủ | Salix babylonica L. | x |
|
|
| x |
|
|
|
| 65 | Lim xanh | Erythrophloeu m fordii Oliv. | x | x |
|
| x |
|
| x |
| 66 | Lim xẹt | Pelthophorum dasyrrachis (Miq.) Kurz. var. tonkinensis (Pierre) K. & S. Larsen | x | x |
|
| x |
|
| x |
| 67 | Lõi thọ | Gmelina arborea Roxb. |
|
|
|
| x |
|
|
|
| 68 | Long não | Cinnamomum camphora (L.) J. Presl | x | x | x |
| x |
|
|
|
| 69 | Lộc vừng | Barringtonia racemosa (L.) Spreng. | x |
|
| x |
| x |
|
|
| 70 | Luồng chiết | Dendrocalamu s barbatus |
|
|
|
|
|
|
|
|
| 71 | Luồng gốc chét | Dendrocalamu s barbatus |
|
|
|
|
|
|
|
|
| 72 | Mắm | Avicennia marina (Fork.) Vierh. | x |
|
|
|
|
|
|
|
| 73 | Mắm đen | Avicennia officinalis L. | x |
|
|
|
|
|
|
|
| 74 | Móng bò tím | Bauhinia purpurea (L.) Benth. | x | x | x | x | x |
|
|
|
| 75 | Mỡ | Manglietia conifera Dandy, Manglietia glauca Blume) |
| x |
|
| x |
|
| x |
| 76 | Muồng đen | Cassia siamea Lam. |
| x | x |
|
|
| x | x |
| 77 | Muồng hoa đào | Cassia javanica L. | x | x | x |
| x |
|
| x |
| 78 | Muồng hoa vàng | Cassia splendida Vogel | x | x | x |
|
|
|
|
|
| 79 | Muồng ngủ | Samanea saman (Jacq.) Merr. | x | x | x |
|
|
|
| x |
| 80 | Muồng vàng chanh | Cassia fistula L. | x | x | x |
|
|
|
| x |
| 81 | Mắc ca | Macadamia |
|
| x |
|
|
|
|
|
| 82 | Nụ (Bứa) | Garcinia oblongifolia Champ. |
| x | x |
|
| x | x |
|
| 83 | Núc nác | Oroxylum indicum (L.) Benth. ex Kurz | x |
|
| x |
|
|
|
|
| 84 | Ngọc lan | Michelia alba | x | x | x | x | x |
|
| x |
| 85 | Nhãn | Dimocarpus longan Lour. | x |
|
|
|
| x |
|
|
| 86 | Nhội | Bischofia javanica Blume (Bischofia trifoliata (Roxb.) Hook.f.) |
| x | x |
|
|
| x |
|
| 87 | Nhựa ruồi | Ilex rotunda Thunb. |
| x | x |
|
|
|
|
|
| 88 | Pơ mu | Fokienia hodginsii (Dunn) Henry & Thomas | x |
|
|
|
|
|
|
|
| 89 | Phi lao | Casuarina equisetifolia Forst & Forst f | x |
|
|
|
|
| x |
|
| 90 | Phong lá đỏ | Acer rubrum | x |
|
|
|
|
| x |
|
| 91 | Phượng vĩ | Denolix regia (Bojer ex Hook,) Raf. | x | x |
|
|
|
| x | x |
| 92 | Quế | Cinnamomum cassia Blume |
|
|
| x | x |
|
|
|
| 93 | Ràng ràng | Ormosia balansae Drake. |
|
|
|
| x |
|
|
|
| 94 | Re gừng | Cinnamomum bejolghota |
|
|
|
| x |
|
|
|
| 95 | Re hương | Cinnamomum parlheroxylum (Jack.) Nees |
|
|
|
| x | x |
|
|
| 96 | Sa nhân tím | Amomum longiligulare T.L.Wu |
|
|
|
|
|
|
|
|
| 97 | Sa mộc | Cunninghamia lanceolata (Lamb.) Hook. | x |
|
|
| x |
|
|
|
| 98 | Sanh | Ficus benjamina Linn |
|
|
| x |
| x | x |
|
| 99 | Sao đen | Hopea odorata Roxb. | x | x |
|
| x |
|
|
|
| 100 | Sau sau | Liquidambar formosana Hance - L. tonkinensis A.chev. |
| x |
|
| x |
|
|
|
| 101 | Sấu | Dracontomelo n dupperreanum Pierre | x |
|
| x |
|
| x | x |
| 102 | Sến mật | Madhuca pasquieri (Dunbard.) H. J. Lam. | x |
| x |
|
|
|
|
|
| 103 | Sến xanh | Mimusops elengi L | x |
|
|
|
|
|
|
|
| 104 | Sếu (cơm nguội) | Celtis sinenscs Pers. |
|
|
|
|
|
|
|
|
| 105 | Si | Ficus microcarpa L.F. | x |
|
|
| x | x |
|
|
| 106 | Sở | Camellia oleifera C. Abel. | x |
|
|
| x |
|
|
|
| 106 | Sở chè | Camellia sasanqua Thunb |
|
|
|
|
|
|
|
|
| 107 | Sơn tra | Crataegus cuneara |
|
|
|
|
|
|
|
|
| 108 | Sung | Ficus glomerata Roxb. |
|
| x | x |
| x | x |
|
| 109 | Sữa | Alstonia scholaris (L.) R. Br. | x |
|
|
| x |
|
| x |
| 110 | Sưa | Dalbergia tonkinensis Prain | x |
| x |
| x |
|
|
|
| 111 | Tai chua | Garcinia cowa Roxb. |
| x | x |
| x |
|
|
|
| 112 | Tếch | Tectona grandis L | x | x |
|
|
|
| x |
|
| 113 | Tông dù | Toona sinensis (A.Juss.) M.Roem. |
|
|
|
|
|
|
|
|
| 114 | Tống quá sủ | Alnus nepalensis D. Don |
|
|
|
|
|
|
|
|
| 115 | Thàn mát | Millettia ichth yochtona Drake |
|
| x |
|
|
|
|
|
| 116 | Thanh thất | Allan thus triphysa (Dennst.) Alston | x | x |
|
|
|
|
|
|
| 117 | Thị | Diospyros rubra H.Lec |
| x | x | x |
| x |
|
|
| 118 | Thông ba lá | Pinus kesiya Royle ex Gordon |
|
|
|
|
|
|
|
|
| 119 | Thông caribe | Pinus caribaea Morelet | x |
|
|
|
|
|
|
|
| 120 | Thông đá | Pinus pinea L. | x |
|
|
|
|
|
|
|
| 121 | Thông đuôi ngựa | Pinus massoniana Lamb. | x |
|
|
|
|
|
|
|
| 122 | Thông nhựa | Pinus merkusii Jungh.et de Vries | x |
|
|
|
|
|
|
|
| 123 | Thông tre lá dài | Podocarpus neriifolius D. Don | x |
|
|
|
|
|
|
|
| 124 | Thông tre lá ngắn | Podocarpus pilgeri Foxw. | x |
|
|
|
|
|
|
|
| 125 | Thung (Đăng) | Tetrameỉes nudiflora R. Br. in Benn. |
|
|
|
|
|
|
|
|
| 126 | Tràm cừ | Melaleuca cajuputi Powell. | x |
|
|
|
|
|
|
|
| 127 | Trám đen | Canarium pimela Leench. (Canarium nigrum, Canarium tramdenum) |
| x | x |
|
|
|
|
|
| 128 | Tràm lá dài | Melaleuca leucadendra L. |
|
|
|
|
|
|
|
|
| 129 | Trám trắng | Canarium album (Lour.) Raeusch. | x | x | x | x | x |
|
|
|
| 130 | Trầu | Vernicia montana Lour. (Aleurites montana (Lour.) Wilson) | x | x |
| x | x |
|
|
|
| 131 | Tre |
| x |
|
|
|
| x |
|
|
| 132 | Trôm | Sterculia foetida L. |
| x |
|
|
|
|
|
|
| 133 | Vàng anh | Saraca indica L. |
|
|
|
|
|
|
| x |
| 134 | Vàng tâm | Manglietia dandyi (Gagnep.) Dandy (Magnolia dandyi Gagnep.) |
| x |
|
|
|
|
|
|
| 135 | Vạng trứng | Endospermum chinense Benth. | x | x |
|
|
|
|
|
|
| 136 | Vầu | Bambusa nutans | x |
|
|
|
| x |
|
|
| 137 | Vối thuốc (Kháo dặm) | Schima wallichii var. noronhae (Blume ) Bloemb. | x |
|
|
|
|
|
|
|
| 138 | Vông | Erythrina variegata L. (Erythrina indica Lamk.) |
| x | x | x | x |
|
|
|
| 139 | Vù hương | Cinnamomum balansae Lecomte |
| x |
|
| x |
|
|
|
| 140 | Vú sữa | Chysophyllum cainito Linn |
| x | x | x |
| x |
|
|
| 141 | Vẹt dù | Bruguiera gymnorrhiza (L) Lam | x |
|
|
|
|
|
|
|
| 142 | Xà cừ | Khaya senegalensis (Desr.) A. Juss. |
| x |
|
|
|
|
|
|
| 143 | Xoài | Mangifera indica L. | x | x |
|
|
| x | x |
|
| 144 | Xoan chịu hạn | Azadirachta indica A. Juss. | x |
|
|
|
|
|
|
|
| 145 | Xoan đào | Prunus arborea (Blume) Kalkm(Pygeu m arboreum Engl.) | x |
|
|
|
|
|
|
|
| 146 | Xoan nhừ | Choerespondi as axillaris (Roxb.) Burtt. & Hill | x |
|
|
|
|
|
|
|
| 147 | Xoan ta | Melia azedarach L. | x |
|
|
|
|
|
|
|
(x: loài cây được lựa chọn)
Phụ lục 04. Tiêu chuẩn cây giống của một số loài cây trồng phân tán theo băng, theo hàng
| TT | Tên tiếng việt | Tên khoa học | Thời gian tạo giống tối thiểu (tháng) | Chiều cao (Hvn) tối thiểu (m) | Đường kính cổ rễ (D00) tối thiểu (cm) | Khối lượng bầu (kg) |
| 1 | Bạch đàn hom | Eucalyptus urophylla S.T. Blake | 6 | 0,6 | 0,6 | Dưới 0,5 |
| 2 | Bạch đàn urophylla gieo ươm từ hạt | Eucalyptus urophylla S.T. Blake | 6 | 0,6 | 0,6 | Dưới 0,5 |
| 3 | Ban | Bauhinia variegata | 6 | 1,0 | 1,0 | Trên 1,2 - 1,5 |
| 4 | Bàng đài loan | Bucida molineti I. | 18 | 1,0 | 1,0 | Trên 1,2- 1,5 |
| 5 | Bằng lăng | Lagerstroemia flos- reginae Retz. | 24 | 2,0 | 2,0 | Trên 1,5-2 |
| 6 | Bồ đề | Ficus religiosa L. | 8 | 0,6 | 0,6 | Dưới 0,5 |
| 7 | Bời lời đỏ | Machilus odoratissima Nees | 6 | 0,6 | 0,6 | Trên 0,8 - 1,2 |
| 8 | Hồi | Illicium verum Hook f. | 18-24 | 0,6 | 0,6 | Trên 1,5-2 |
| 9 | Lim xẹt | Pelthophorum dasyrrachis (Miq.) Kurz. var. tonkinensis (Pierre) K. & S. Larsen | 24 | 1,0 | 1,0 | Trên 1,2 - 1,5 |
| 10 | Vầu - Quan Sơn | Bambusa nutans | 8-12 |
|
| Bó bầu |
| 11 | Chò chỉ | Parashorea chinensis H. Wang | 18-24 | 1,0 | 1,0 | Trên 1,5-2 |
| 15 | Chò đãi | Annamocarya sinensis | 30 | 1,0 | 1,0 | Trên 1,5-2 |
| 16 | Chò nâu | Dipterocarpus retusus | 18-24 | 1,0 | 1,0 | Trên 1,5-2 |
| 17 | Cọ phèn | Protium serratum | 8-10 | 0,6 | 0,6 | 0,5 -0,8 |
| 18 | Cồng trắng (Dẻ bộp, Sồi phảng) | Lithocarpus fissus (Champ.ex Benth.) A. Camus; | 12 | 0,6 | 0,6 | 0,5 -0,8 |
| 19 | Đàn hương | Santalum album | 8-12 | 0,7 | 0,6 | 0,5 -0,8 |
| 20 | Dầu rái | Dipterocarpus alatus Roxb. ex G.Don | 6-8 | 0,6 | 0,6 | Trên 1,2 - 1,5 |
| 21 | Dẻ đỏ | Lithocarpus ducampii (Hickel et A. Camus) A. Camus | 12-14 | 0,6 | 0,8 | 0,5 -0,8 |
| 22 | Dẻ | Fagus sylvatica | 12 | 0,6 | 0,6 | 0,5 -0,8 |
| 23 | Dẻ trắng | Lithocarpus dealbatus | 10-12 | 0,6 | 0,6 | 0,5 -0,8 |
| 24 | Đinh | Markhamia stipulata (Wall.) Schum. | 18-24 | 1,0 | 1,0 | Trên 1,5-2 |
| 25 | Dó bầu | Aquilaria crassna Pierre ex Lecomte | 8-12 | 0,6 | 0,7 | 0,5 -0,8 |
| 26 | Dó trầm | Aquilaria apiculata | 12 | 0,6 | 0,6 | 0,5 -0,8 |
| 27 | Dừa nước | Nypa fruticans | 8-12 | 0,6 | 4-5 bẹ lá | Trên 1,5-2 |
| 28 | Gáo trắng | Neolamarckia cadamba | 6-8 | 0,6 | 0,7 | 0,5 -0,8 |
| 29 | Giáng hương | Pterocarpus macrocarpus Kurz (Pterocarpus cambodianus Pierre) | 15 | 1,0 | 1,0 | Trên 1,2 - 1,5 |
| 30 | Giổi ăn hạt ghép | Michelia tonkinensis a.Chev | 6-10 | 06 | 1,0 | Trên 0,8 - 1,2 |
| 31 | Giổi ăn hạt thực sinh | Michelia tonkinensis a.Chev | 24 | 0,8 | 1,0 | Trên 0,8 - 1,2 |
| 32 | Giổi xanh | Michelia mediocris Dandy | 24 | 1,5 | 1,9 | Trên 1,5-2 |
| 33 | Gụ lau | Sindora tonkinensis A. Chev. ex Larsen | 12 | 0,6 | 0,7 | 0,5 -0,8 |
| 34 | Hoàng đàn | Cupressus torulosa | 36 | 0,9 | 1,0 | Trên 1,5-2 |
| 35 | Huỷnh | Tarrietia javanica Blume | 9-10 | 0,7 | 0,7 | Trên 1,2 - 1,5 |
| 36 | Kèn hồng | Tabebuia rosea | 8 | 0,6 | 0,7 | 0,5 -0,8 |
| 37 | Keo lá tràm hạt | Acacia auriculiformis A. Cunn. ex Benth | 6-8 | 0,7 | 0,7 | Dưới 0,5 |
| 38 | Keo lai dâm hom | Acacia mangium Wild. x Acacia auriculiformis A. Cunn. ex Benth. | 6-8 | 0,6 | 0,7 | Dưới 0,5 |
| 39 | Keo lưỡi liềm hạt | Acacia crassicarpa A. Cunn. ex Benth. | 6-8 | 0,6 | 0,7 | Dưới 0,5 |
| 40 | Keo tai tượng | Acacia mangium Wild. | 6-8 | 0,6 | 0,7 | Dưới 0,5 |
| 41 | Lát hoa | Chukrasia tabularis A. Juss. | 7-8 | 1,0 | 0,6 | Trên 1,2 - 1,5 |
| 42 | Lát Mexico | Cedrela dorata | 6 | 0,6 | 0,6 | 0,5 -0,8 |
| 43 | Lim xanh | Erythrophloeum fordii Oliv. | 24 | 0,7 | 1,0 | Trên 1,2 - 1,5 |
| 44 | Lõi thọ | Gmelina arborea Roxb. | 6-8 | 0,6 | 0,8 | 0,5 -0,8 |
| 45 | Long não | Cinnamomum camphora (L.) J. Presl | 18-24 | 1,0 | 1,0 | Trên 1,5-2 |
| 46 | Luồng | Dendrocalamus barbatus | 10-15 | 1,0 | 0,8 | Rễ trần |
| 47 | Mỡ | Manglietia conifera Dandy, Manglietia glauca Blume) | 12 | 0,6 | 0,6 | 0,5 -0,8 |
| 48 | Muồng đen | Cassia siamea Lam. | 6-8 | 0,6 | 0,6 | 0,5 -0,8 |
| 49 | Muồng hoa đào | Cassia javanica L. | 8 | 0,6 | 0,6 | 0,5 -0,8 |
| 50 | Muồng hoa vàng | Cassia splendida Vogel | 8 | 0,6 | 0,6 | 0,5 -0,8 |
| 51 | Muồng ngủ | Samanea saman (Jacq.) Merr. | 8 | 0,6 | 0,6 | 0,5 -0,8 |
| 52 | Ngọc lan | Michelia alba | 8 | 0,6 | 0,6 | 0,5 -0,8 |
| 53 | Nhội | Bischofia javanica Blume (Bischofia trifoliata (Roxb.) Hook,f.) | 18 | 1,0 | 1,0 | Trên 1,2 - 1,5 |
| 54 | Phi lao | Casuarina equisetifolia Forst & Forst f | 6-8 | 0,6 | 0,6 | Trên 0,8 - 1,2 |
| 55 | Phượng vĩ | Denolix regia (Bojer ex Hook,) Raf. | 24 | 2,0 | 1,9 | Trên 1,5-2 |
| 56 | Pơ mu | Fokienia hodginsii (Dunn) Henry & Thomas | 18 | 0,6 | 0,6 | 0,5 -0,8 |
| 57 | Quế | Cinnamomum cassia | 8-10 | 0,6 | 0,7 | 0,5 -0,8 |
| 58 | Ràng ràng | Ormosia balansae Drake. | 18-24 | 1,0 | 1,0 | Trên 1,5-2 |
| 59 | Re gừng | Cinnamomum bejolghota | 18-24 | 1,0 | 1,0 | Trên 1,5-2 |
| 60 | Re hương | Cunnamomum partheroxylum (Jack.) Nees | 18 | 1,0 | 1,0 | Trên 1,2 - 1,5 |
| 61 | Sa mộc | Cunninghamia lanceolata (Lamb.) Hook. | 18-24 | 1,0 | 1,0 | Trên 1,5-2 |
| 62 | Sao đen | Hopea odorata Roxb. | 12 | 0,8 | 0,8 | Trên 1,2 - 1,5 |
| 63 | Sấu | Dracontomelon dupperreanum Pierre | 18 | 1,0 | 1,0 | Trên 1,2 - 1,5 |
| 64 | Sấu ghép | Dracontomelon dupperreanum Pierre | 24 | 1,2 | 0,7 | Trên 1,2 - 1,5 |
| 65 | Sến mật | Madhuca pasquieri (Dunbard.) H. J. Lam. | 10-18 | 0,6 | 0,6 | 0,5 -0,8 |
| 66 | Sở | Camellia oleifera C. Abel. | 12-18 | 0,6 | 0,6 | 0,5 -0,8 |
| 67 | Sơn tra | Crataegus cuneara | 6-10 | 0,6 | 0,6 | 0,5 -0,8 |
| 68 | Sưa đỏ | Dalbergia tonkinensis Prain | 24 | 1,2 | 1,5 | Trên 1,2- 1,5 |
| 69 | Sữa | Alstonia scholaris | 8 | 0,6 | 0,6 | 0,5 -0,8 |
| 70 | Tai chua | Garcinia cowa Roxb. | 24 | 1,2 | 0,8 | Trên 1,2 - 1,5 |
| 71 | Tếch | Tectona grandis L. | 12 | 0,6 | 1,0 | Trên 0,8 - 1,2 |
| 72 | Thanh thất | Ailanthus triphysa (Dennst.) Alston | 6 | 0,6 | 0,6 | Trên 1,5-2 |
| 73 | Thông ba lá | Pinus kesiya Royle ex Gordon | 6 | 0,6 | 0,6 | 0,5 -0,8 |
| 74 | Thông caribe | Pinus caribaea Morelet | 24 | 0,6 | 0,6 | Trên 0,8 - 1,2 |
| 75 | Thông đuôi ngựa | Pinus massoniana Lamb. | 12 | 0,6 | 0,6 | Trên 0,8 - 1,2 |
| 76 | Thông nhựa | Pinus merkusii Jungh.et de Vries | 7 | 0,6 | 0,6 | 0,5 -0,8 |
| 77 | Thông tre lá dài | Podocarpus neriifolius D. Don | 14-18 | 0,6 | 0,6 | 0,5 -0,8 |
| 78 | Thông tre lá ngắn | Podocarpus pilgeri Foxw. | 14-18 | 0,6 | 0,6 | 0,5 -0,8 |
| 79 | Thông đá | Pinus pinea L. | 8-12 | 0,6 | 0,6 | 0,5 -0,8 |
| 80 | Tông dù | Toona sinensis (A.Juss.) M.Roem. | 10-15 | 0,6 | 0,6 | 0,5 -0,8 |
| 81 | Tống quá sủ | Alnus nepalensis D. Don | 18-24 | 0,6 | 0,6 | 0,5 -0,8 |
| 82 | Tràm cừ | Melaleuca cajuputi Powell. | 8 | 0,6 | 0,6 | 0,5 -0,8 |
| 83 | Trám đen | Canarium pimela Leench. (Canarium nigrum, Canarium tramdenum) | 9-12 | 0,7 | 0,7 | 0,5 -0,8 |
| 84 | Tràm lá dài | Melaleuca leucadendra L. | 6-8 | 0,8 | 0,6 | 0,5 -0,8 |
| 85 | Tràm ta | Melaleuca cajuputi Powell | 6-10 | 0,6 | 0,6 | 0,5 -0,8 |
| 86 | Trám trắng | Canarium album (Lour.) Raeusch. | 24 | 1,0 | 1,0 | Trên 1,2- 1,5 |
| 87 | Trám đen | Canarium pimela Leench. (Canarium nigrum, Canarium tramdenum) | 24 | 1,0 | 1,0 | Trên 1,2 - 1,5 |
| 88 | Trẩu | Vernicia montana Lour. (Aleurites montana (Lour.) Wilson) | 7-10 | 0,6 | 0,6 | 0,5 -0,8 |
| 89 | Tròm | Sterculia foetida L. | 8 | 0,6 | 0,6 | 0,5 -0,8 |
| 90 | Vàng anh | Saraca indica L. | 8 | 0,6 | 0,6 | 0,5 -0,8 |
| 91 | Vàng tâm | Manglietia dandyi (Gagnep.) Dandy (Magnolia dandyi Gagnep.) | 10 | 0,6 | 0,6 | 0,5 -0,8 |
| 92 | Vạng trứng | Endospermum chinense Benth. | 12 | 0,6 | 0,6 | 0,5 -0,8 |
| 93 | Vối thuốc (Kháo dặm) | Schima wallichii var. noronhae (Blume) Bloemb. | 18-24 | 1,0 | 1,0 | Trên 1,2- 1,5 |
| 94 | Vù Hương | Cinnamomum balansae Lecomte | 8-10 | 0,7 | 0,6 | 0,5 -0,8 |
| 95 | Xà cừ | Khaya senegalensis (Desr.) A. Juss. | 18-24 | 1,0 | 1,0 | Trên 1,5 -2 |
| 96 | Xoan chịu hạn | Azadirachta indica A. Juss. | 8 | 0,6 | 0,6 | 0,5 -0,8 |
| 97 | Xoan đào | Prunus arborea (Blume) Kalkm(Pygeum arboreum Engl.) | 18-24 | 1,0 | 1,0 | Trên 1,5 -2 |
| 98 | Xoan nhừ | Choerespondias axillaris (Roxb.) Burtt. & Hill | 9-12 | 0,7 | 1,0 | 0,5 -0,8 |
| 99 | Xoan ta | Melia azedarach L. | 6-8 | 0,6 | 0,6 | Trên 1,2 - 1,5 |
Phụ lục 05. Tiêu chuẩn giống một số loài cây lâm nghiệp hiện nay
| TT | Tên tiếng Việt | Tên khoa học | Tên tiêu chuẩn |
| 1 | Keo tai tượng | Acacia mangium Willd. | |
| 2 | Keo lai | Acacia hybrid | |
| 3 | Bạch đàn lai | Eucalyptus hybrid | |
| 4 | Sở chè | Camellia sasanqua Thunb | |
| 5 | Mắc ca | Macadamia | TCVN 11766-2017 |
| 6 | Hồi | Illlicium verum Hook f. | TCVN 11769-2017 |
| 7 | Sa nhân tím | Amomum longiligulare T.L.Wu | TCVN 11770-2017 |
| 8 | Tràm (nhân giống bằng hạt) | Melaleuca | |
| 9 | Keo lá liềm và Keo lá tràm | Acacia crassicarpa A. Cunn. ex Benth và Acacia auriculiformis A. Cunn. ex Benth | |
| 10 | Thông đuôi ngựa và Thông caribe | Pinus massoniana Lamb, và Pinus caribaea Morelet | |
| 11 | Bạch đàn urophylla và Bạch đàn camaldulensis | Eucalyptus urophylla S.T. Blake và Eucalyptus camaldulensis Dehnh. | |
| 12 | Thông nhựa | Pinus merkusii Jungh.et de Vries | |
| 13 | Thông ba lá | Pinus kesiya Royle ex Gordon | |
| 14 | Quế | Cinnamomum cassia Blume | |
| 15 | Bởi lời đỏ | Litsea glutinosa Roxb. | |
| 16 | Dó bầu | Aquilaria crassna Pierre ex Lecomte | |
| 17 | Trôm | Sterculia foetida | |
| 18 | Sơn tra | Docynia indica (Wall) Decne | |
| 19 | Bần chua | Sonneratia caseolaris (L.) Engl. | |
| 20 | Mắm đen | Avicennia officinalis L. | |
| 21 | Vẹt dù | Bruguiera gymnorrhiza (L.) Lam. | |
| 22 | Giổi ăn hạt | Michelia tonlinensis A.Chev |
Phụ lục 06. Tiêu chuẩn cây giống của một số loài cây trồng bổ sung
| TT | Tên tiếng việt | Tên khoa học | Thời gian tạo giống tối thiểu (tháng) | Chiều cao (Hvn) tối thiểu (m) | Đường kính cổ rễ (D00) tối thiểu (cm) | Kích thước bầu (cm) |
| 1 | Sảng nhung | Sterculia lanceolata Cav | 48 | 3,0 | 4,0 | 30x40 |
| 2 | Lim xanh | Erythrophloeum fordii Oliv. | 60 | 3,0 | 3,0 | 30x40 |
| 3 | Giổi xanh | Michelia mediocris Dandy | 48 | 3,0 | 4,0 | 30x40 |
| 4 | Chò chỉ | Parashorea chinensis H. Wang | 60 | 3,0 | 3,0 | 30x40 |
| 5 | Nhội | Bischofia javanica Blume (Bischofia trifoliata (Roxb.) Hook.f.) | 48 | 3,0 | 4,0 | 30x40 |
| 6 | Thông Caribe | Pinus caribaea Morelet | 48 | 3,0 | 4,0 | 30x40 |
| 7 | Re hương | Cinnamomum partheroxylum (Jack.) Nees | 48 | 3,0 | 4,0 | 30x40 |
| 8 | Sao đen | Hopea odorata Roxb. | 48 | 3,0 | 4,0 | 30x40 |
| 9 | Xà cừ | Khaya senegalensis (Desr.) A. Juss. | 36 | 2,0 | 3,0 | 20x30 |
| 10 | Sấu | Dracontomelon dupperreanum Pierre | 36 | 2,0 | 3,0 | 20x30 |
| 11 | Bằng lăng | Lagerstroemia flos-reginae Retz. | 36 | 2,0 | 3,0 | 20x30 |
| 12 | Xoài | Mangifera indica L. | 36 | 2,0 | 3,0 | 20x30 |
| 13 | Phượng vĩ | Denolix regia (Bojer ex Hook,) Raf. | 48 | 3,0 | 5,0 | 30x40 |
| 14 | Ban tây bắc | Bauhinia variegata | 24 | 2,0 | 3,0 | 20x30 |
| 15 | Bàng đài loan | Bucida molineti I. | 48 | 3,0 | 4,0 | 30x40 |
| 16 | Kèn hồng | Tabebuia rosea | 36 | 2,5 | 3,0 | 30x40 |
| 17 | Muồng hoa vàng | Cassia splendida Vogel | 36 | 2,5 | 3,0 | 20x30 |
| 18 | Dầu rái | Dipterocarpus alalus Roxb. ex G.Don | 36 | 2,5 | 3,0 | 30x40 |
| 19 | Giáng hương | Pterocarpus macrocarpus Kurz (Pterocarpus cambodianus Pierre) | 48 | 3,0 | 4,0 | 30x40 |
| 20 | Hoàng nam | Polyalthia longifolia | 24 | 2,0 | 3,0 | 20x30 |
| 21 | Bồ đề | Ficus religiosa L. | 36 | 3,0 | 4.0 | 30x40 |
| 22 | Muồng ngủ | Samanea saman (Jacq.) Merr. | 48 | 3,0 | 4,0 | 30x40 |
| 23 | Muồng hoa đào | Cassia javanica L. | 36 | 2,5 | 3,0 | 20x30 |
| 24 | Sưa | Dalbergia tonkinensis Prain | 36 | 3.0 | 6.0 | 30x40 |
| 25 | Lát hoa | Chukrasia tabularis A. Juss. | 24 | 2.0 | 3.0 | 20x30 |
Phụ lục 07. Phương pháp xác định diện tích tán của một cây/loài cây; diện tích đất trồng cây phân tán tại điểm dân cư nông thôn
I. PHƯƠNG PHÁP XÁC ĐỊNH DIỆN TÍCH TÁN CỦA MỘT CÂY
1. Phương pháp quy đổi từ số cây trồng
- Diện tích tán: áp dụng với cây trồng phân tán đã vào thời kỳ chăm sóc;
- Tính diện tích: đối với nhóm cây phân tán trồng tập trung trên diện tích < 0,3 ha trong quy hoạch lâm nghiệp hoặc diện tích trồng tập trung ngoài quy hoạch lâm nghiệp;
- Quy đối mật độ với những cây mới trồng hoặc chưa đủ điều kiện vào giai đoạn chăm sóc bảo vệ.
2. Các Phương pháp xác định
a) Quy đổi từ số cây trồng
Mật độ cây đạt 1.000 cây xanh sẽ được quy đổi = 10.000 m2 (01 ha).
b) Phương pháp đo trực tiếp
Phương pháp này giúp xác định tổng diện tích tán cho một cây hoặc loài cây ở nhiều cấp tuổi khác nhau tại điểm dân cư nông thôn. Trong trường hợp xác định tổng diện tích tán của nhiều loài cần thực hiện cho từng loài và cộng tổng lại với nhau.
- Phân nhóm cây theo nhóm tuổi
Bước 1: Phân loại các cây của cùng một loài trong khu vực thành các nhóm tuổi khác nhau (ví dụ: 5 tuổi, 10 tuổi, 15 tuổi, v.v.).
Bước 2: xác định số lượng cây trong mỗi nhóm tuổi.
- Đo đường kính tán trung bình cho từng nhóm tuổi
Bước 1: Đo đường kính tán của một số cây điển hình (5-10 cây) trong mỗi nhóm tuổi. Đơn vị đo đường kính tán cây là mét (m). Đường kính tán của một cây là trị số trung bình đường kính tán cây đo theo 2 chiều Đông - Tây và Nam - Bắc.
Bước 2: Tính đường kính tán trung bình (Davg) cho từng nhóm tuổi.
- Tính diện tích tán trung bình cho từng nhóm tuổi
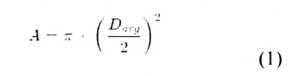
Diện tích tán của một cây trong nhóm tuổi cụ thể tính theo công thức:

Trong đó: + A: là diện tích tán trung bình của một cây trong nhóm tuổi (m2)
+ Davg: là đường kính tán trung bình của cây ở nhóm tuổi (m)
- Xác định tổng diện tích tán cho mỗi nhóm tuổi
Tổng diện tích tán nhóm tuổi đó:
| Anhóm = A x N | (2) |
Trong đó:
+ Anhóm: là tổng diện tích tán cho nhóm tuổi (m2);
+ A: là diện tích tán trung bình của một cây trong nhóm tuổi (m2);
+ N: là số lượng cây trong nhóm tuổi (cây).
- Tính tổng diện tích tán của tất cả các nhóm tuổi
Tổng diện tích tán tại điểm dân cư nông thôn:
| SA =Anhóm1 + Anhóm2+...+ Anhómn | (3) |
Trong đó:
+ SA: tổng diện tích tán toàn đơn vị (m2)
+ Anhóm1 đến Anhómn: diện tích tán cho từng nhóm loài (m2).
- Điều chỉnh các yếu tố ảnh hưởng
Chồng lấn tán cây: trong trường hợp tán cây chồng lấn giữa các nhóm tuổi khác nhau, cần điều chỉnh giảm diện tích tán bị chồng lấn;
Ứng dụng công nghệ GIS hoặc drone: để đạt độ chính xác cao hơn, đặc biệt trong các khu vực rộng lớn, có thể sử dụng công nghệ GIS hoặc drone để quét và tính toán tự động diện tích tán.
- Kiểm tra và hiệu chỉnh
Sau khi tính toán, cần kiểm tra lại các giá trị và hiệu chỉnh dựa trên thực tế và các dữ liệu hiện trường (nếu cần).
c) Ứng dụng công nghệ ảnh flycam hoặc drone kết hợp với GIS để quét và tính toán tự động diện tích tán
Công cụ hỗ trợ:
- Phần mềm GIS: QGIS, ArcGIS;
- Phần mềm xử lý ảnh drone: Pix4D, Agisoft Metashape, DroneDeploy;
- Phần mềm lập kế hoạch bay: DJI Ground Station, DroneDeploy Flight Planner,
Để tính toán tự động diện tích tán cây xanh trồng phân tán và tập trung tại điểm dân cư bằng ảnh flycam hoặc drone kết hợp với GIS, có thể thực hiện theo các bước sau:
Bước 1: Thu thập dữ liệu ảnh bằng flycam hoặc drone
(1) Chuẩn bị thiết bị drone: Đảm bảo drone có camera chất lượng cao, và được cài đặt phần mềm điều khiển tự động bay (nếu có).
(2) Lên kế hoạch bay:
- Xác định khu vực cần khảo sát (diện tích, địa hình, loại cây trồng);
- Thiết lập độ cao bay hợp lý (thường từ 50-100m tùy vào loại cây và mục tiêu khảo sát);
- Thiết lập mạng lưới bay (grid pattern) để thu thập ảnh phủ toàn bộ khu vực, đảm bảo ảnh chồng lấp ít nhất từ 60-80% để có thể ghép ảnh chính xác;
(3) Thực hiện bay: Tiến hành bay để thu thập ảnh toàn cảnh khu vực cây xanh.
Bước 2: Xử lý dữ liệu ảnh
(1) Tải dữ liệu ảnh về máy tính: Sau khi hoàn thành việc bay, tải các ảnh chụp từ drone xuống máy tính.
(2) Ghép ảnh (Mosaic): Sử dụng phần mềm chuyên dụng như Pix4D; Agisoft Metashape hoặc DroneDeploy để ghép các ảnh chụp thành một ảnh tổng thể (orthomosaic). Đảm bảo chất lượng ghép chính xác và không bị méo hình.
(3) Tạo bản đồ 3D (nếu cần): Một số phần mềm có thể tạo mô hình địa hình 3D (Digital Surface Model - DSM) để hỗ trợ tính toán chiều cao của cây.
Bước 3: Nhập ảnh vào GIS
(1) Sử dụng phần mềm GIS: các phần mềm GIS như QGIS hoặc ArcGIS để xử lý dữ liệu.
(2) Nhập ảnh orthomosaic: tải ảnh ghép (orthomosaic) vào phần mềm GIS.
(3) Chỉnh sửa hệ tọa độ: đảm bảo ảnh đã được định vị chính xác với hệ tọa độ chuẩn như WGS 84, VN2000, hoặc hệ tọa độ mà khu vực yêu cầu phân tích.
Bước 4: Phân loại và phát hiện cây xanh
(1) Phân loại ảnh:
- Sử dụng các công cụ phân loại ảnh trong GIS như NDVI (Normalized Difference Vegetation Index) hoặc phân loại theo màu sắc (color index) để phát hiện các vùng tán cây;
- NDVI thường sử dụng phổ cận hồng ngoại (NIR) để phân biệt tán cây xanh với các vật thể khác.
(2) Phân tán và tập trung
- Sau khi phân loại, bạn có thể tách riêng các khu vực cây xanh tập trung (khu vực có mật độ cây cao, rừng nhỏ) và cây phân tán (các cây đơn lẻ hoặc cụm cây rời rạc).
Bước 5: Tính toán diện tích tán cây
(1) Tạo lớp đa giác cho tán cây: Sau khi phát hiện các vùng tán cây, tạo lớp đa giác (polygon) bao quanh các tán cây.
(2) Tính toán diện tích tự động: Sử dụng công cụ tính diện tích của phần mềm GIS để tự động tính diện tích của từng vùng cây xanh. Tính toán diện tích tán cây có thể theo từng đối tượng hoặc toàn bộ khu vực.
(3) Phân tích kết quả: Lưu kết quả phân tích ra dưới dạng bản đồ, bảng biểu hoặc file dữ liệu (ví dụ: Shapefile) để đánh giá diện tích tổng thể và phân tích chi tiết diện tích từng loại cây.
Bước 6: Xuất và báo cáo kết quả
(1) Xuất dữ liệu: xuất kết quả dưới các định dạng phù hợp (hình ảnh, file shapefile, bản đồ in) để chia sẻ hoặc sử dụng cho các phân tích tiếp theo;
(2) Lập báo cáo: lập báo cáo tổng hợp diện tích tán cây trồng phân tán và tập trung, kèm theo hình ảnh và các bản đồ minh họa;
Lưu ý: Đảm bảo điều kiện thời tiết tốt khi bay thiết bị thu thập dữ liệu ảnh để tránh ảnh hưởng đến chất lượng ảnh. Đối với những khu vực lớn, có thể cần chia nhỏ khu vực và tiến hành bay nhiều lần để đảm bảo độ chi tiết và chính xác.
Việc kết hợp công nghệ drone và GIS sẽ giúp tự động hóa quá trình thu thập và phân tích dữ liệu, từ đó tối ưu hóa tính toán diện tích tán cây một cách nhanh chóng và chính xác.
II. PHƯƠNG PHÁP TÍNH TOÁN ĐẤT CÂY XANH SỬ DỤNG CÔNG CỘNG TẠI ĐIỂM DÂN CƯ NÔNG THÔN
Diện tích bình quân (m2/người) tại một địa phương được tính bằng tổng diện tích cây xanh chia cho tổng nhân khẩu tại địa phương đó.
Cụ thể:
Diện tích bình quân (m2/người): S = ∑A / ∑N (4)
Trong đó:
- S: là diện tích cây xanh bình quân (m2/người)
- ∑A: là tổng diện tích cây xanh (m2)
- ∑N: Tổng số nhân khẩu tại điểm dân cư nông thôn (người).
Phụ lục 08. Đặc điểm hình thái và vật hậu của một số cây trồng phân tán thường gặp
| TT | Tên tiếng việt | Tên khoa học | Chiều cao (m) | Đường kính tán (m) | Hình thức tán | Hình dạng phiến lá | Màu lá xanh | Kỳ rụng lá trơ cành (tháng) | Kỳ nở hoa (tháng) | Màu hoa |
| 1 | Ban (Móng bò sọc) | Bauhinia variegata Linn. | 6-8 | 3-4 | tự do | rộng | nhạt | 11-1 | 12-4 | tím, trắng |
| 2 | Bụt mọc | Taxodium distichum (L.) Rich. | 10-15 | 5-7 | tháp | kim | sẫm | 2-3 | 4-5 | xanh hồ thủy |
| 3 | Bách tán | Araucaria excelsa R. Br. | 40 | 4-8 | tháp | kim | sẫm |
| 4-5 | xanh lam |
| 4 | Bàng | Tenninalia catappa L. | 15-20 | 10 | phân tầng | rộng | xanh | 2-3 | 7-8 | xanh |
| 5 | Bóng gòn | Ceiba pentandra (L.) Gaertn. | 20-30 | 6-10 | phân tầng | rộng | nhạt | 2-4 | 3-4 | trắng |
| 6 | Bằng lăng | Lagerstroemia flos-reginae Retz. | 15-20 | 8-10 | thuỗn | rộng | sẫm | 2-3 | 5-7 | tím hồng |
| 7 | Chiêu liêu | Terminalia chebula Retz. | 15-30 | 8-15 | trứng | rộng | vàng | 3-4 | 5-6 | trắng ngà |
| 8 | Chò nâu | Dipterocarpus retusus Blume | 30-40 | 6-10 | tròn | rộng | nhạt | - | 8-9 | vàng ngà |
| 9 | Chùm bao lớn | Hydnocarpus anthebnintica Pierre | 15-20 | 8-15 | trứng | rộng |
| - | 1-3 | hồng |
| 10 | Dầu nước | Parashrea stellata Kurz | 35 | 8-10 | tháp | rộng | nhạt | - | 5-6 | trắng ngà |
| 11 | Giáng hương | Pterocarpus macrocarpus Kurz (Pterocarpus cambodianus Pierre) | 20-25 | 8-10 | tròn | rộng | vàng | 3-4 | - | vàng |
| 12 | Dâu da xoan | Spondias lakonensis | 6-10 | 6-8 | tròn | rộng | nhạt | 2-3 | 4-5 | trắng ngà |
| 13 | Dái ngựa (Xà cừ Tây Ấn) | Swietenia mahagoni (L.) Jacq. | 15-20 | 6-10 | trứng | rộng | sẫm | 1-2 | 4-5 | vàng nhạt |
| 14 | Dẻ đỏ | Lithocarpus ducampii (Hickel et A. Camus) A. Camus | 25-30 |
|
| rộng |
|
| 5-7 |
|
| 15 | Dừa | Cocos nucifera L. | 15-20 | 8-15 | phân tầng | rộng | xanh |
|
| vàng |
| 16 | Đa búp đỏ | Ficus elastica Roxb. | 30-40 | 25 | tự do | rộng | sẫm |
| 11 | vàng |
| 17 | Đề | Ficus religiosa L. | 18-20 | 15-20 | trứng | rộng | đỏ | 4 | 5 | trắng ngà |
| 18 | Đa lông | Ficus pilosa Reinw. Ex Blume | 15-20 | 15-20 | tự do | rộng | sẫm | - | 11 | vàng ngà |
| 19 | Đài loan tương tư | Acacia confusa Merr | 8-10 | 5-6 | tự do | rộng | sẫm | - | 6-10 | vàng |
| 20 | Đậu ma | Lonchocarpus sericeus (Poir.) DC. | 13-15 | 12-13 | tròn | rộng | sẫm | - | 4-5 | tím nhạt |
| 21 | Giổi | Syzygium samarangense (Blume) Merr. et Perry - Myrtus samarangense Blume | 10-12 | 6-8 | trứng | rộng | vàng | - | 4-5 | trắng xanh |
| 22 | Gạo | Bombax ceiba L.(Bombax malabaricum DC) | 20-25 | 8-12 | phân tầng | rộng | nhạt | 2-4 | 3-4 | đỏ tươi |
| 23 | Gáo | Sarcocephalus cordatus (Roxb.) Miq. | 18 | 8-10 | tự do | rộng | vàng nhạt | - | 4-5 | vàng nhạt |
| 24 | Gội trắng | Aphanamixis grandifolia Blume - Amoora grandifolia Walp. | 40 | 15 | trứng | rộng | vàng nhạt | - | 3-4 | xanh |
| 25 | Hoàng lan | Magnolia champaca (L.) Baill. ex Pierre | 15-20 | 6-8 | tháp | rộng | vàng nhạt | - | 5-6 | vàng |
| 26 | Kim giao | Nageia fleuryi (Hickel) De Laub. (Podocarpus fleuryi Hickel) | 10-15 | 6-8 | tháp | rộng |
|
| 5-6 | vàng |
| 27 | Liễu rũ | Salyx babylonica L. | 7-10 | 4-6 | rủ | rộng | nhạt | 1-3 | 4-5 | vàng nhạt |
| 28 | Lộc vừng | Barringtonia racemosa (L.) Spreng. | 10-12 | 8-10 | tròn | rộng | sẫm vàng | 2-3 | 4-10 | đỏ thẩm |
| 29 | Long não | Cinnamomum camphora (L.) J. Presl | 15-20 | 8-15 | tròn | rộng | nhạt | - | 3-5 | vàng |
| 30 | Lim xẹt | Pelthophorum dasyrrachis (Miq.) Kurz. var. tonkinensis (Pierre) K. & S. Larsen | 25 | 7-8 | tròn | rộng | vàng | 1-3 | 5-7 | vàng |
| 31 | Muồng vàng chanh | Cassia fistula L. | 15 | 10 | tròn | rộng | nhạt | - | 6-9 | hoàng yến |
| 32 | Muồng hoa đào | Cassia javanica L. | 10-15 | 10-15 | tròn | rộng | nhạt | 4 | 5-8 | hồng |
| 33 | Muồng ngủ | Pithecoloblum saman benth | 15-20 | 30-40 | tròn | rộng | vàng sẫm | 1-3 | 6-7 | hồng đào |
| 34 | Muồng đen | Samanea saman (Jacq.) Merr. | 15-20 | 10-12 | tròn | rộng | sẫm | - | 6-7 | vàng |
| 35 | Mỡ | Manglietia conifera Dandy, Manglietia glauca Blume) | 10-12 | 23 | thuỗn | rộng | sẫm | - | 1-2 | trắng |
| 36 | Móng bò tím | Bauhinia purpurea (L.) Benth. | 8-10 | 4-5 | tròn | rộng | nhạt | - | 8-10 | tím nhạt |
| 37 | Ngọc lan | Michelia alba | 15-20 | 5-8 | thuỗn | rộng | vàng nhạt | - | 5-9 | trắng |
| 38 | Nhãn | Dimocarpus longan Lour. | 8-10 | 7-8 | tròn | rộng | sẫm | - | 2-4 | vàng ngà |
| 39 | Nhội | Bischofia javanica Blume (Bischofia trifoliata (Roxb.) Hook.f.) | 10-15 | 6-10 | tròn | rộng | nhạt đỏ | - | 2-3 | vàng nhạt |
| 40 | Nụ (Bứa) | Garcinia oblongifolia Champ. | 10-15 | 6-9 | tháp | rộng | sẫm hồng | - | 4-5 | vàng ngà |
| 41 | Nhựa ruồi | Ilex rotunda Thunb. | 20 | 6-8 | tự do | rộng | sẫm | - | 4-5 | trắng lục |
| 42 | Núc nác | Oroxylum indicum (L.) Benth. ex Kurz | 15-20 | 9-12 | phân tầng | rộng | nhạt | - | 6-9 | đỏ |
| 43 | Phượng vĩ | Denolix regia (Bojer ex Hook,) Raf. | 12-15 | 8-15 | tự do | rộng | nhạt | 1-4 | 5-7 | đỏ |
| 44 | Sấu | Dracontomelon dupperreanum Pierre | 15-20 | 6-10 | tròn | rộng | sẫm | - | 3-5 | xanh vàng |
| 45 | Sếu (cơm nguội) | Celtis sinenscs Pers. | 15-20 | 6-8 | trứng | rộng | sẫm | 12-3 | 2-3 | trắng xanh |
| 46 | Sữa | Alstonia scholaris (L.) R. Br. | 15-20 | 5-8 | phân tầng | rộng | nhạt | 5-8 | 10-12 | trắng xanh |
| 47 | Sao đen | Hopea odorata Roxb. | 20-25 | 8-10 | thuỗn | rộng | sẫm | 2-3 | 4 | xanh lục |
| 48 | Sung | Ficus glomerata Roxb. | 10-15 | 8-10 | tự do | rộng | nhạt | - | - |
|
| 49 | Si (Gừa) | Ficus Microcarpa L.F. | 10-20 | 6-8 | tự do | rộng | sẫm | - | 6-7 | trắng xám |
| 50 | Sanh | Ficus benjamina Linn | 15-20 | 6-12 | tự do | rộng | sẫm | - | 6-7 |
|
| 51 | Sưa | Dalbergia tonkinensis Prain | 8-10 |
| thuỗn | rộng | nhạt | - | 4-5 | xanh |
| 52 | Sau sau | Liquidambar forntosana Hance - L. tonkinensis A.chev. | 20-30 | 8-15 | trứng | rộng | nhạt vàng | - | 3-4 |
|
| 53 | Sến mật | Madhuca pasquieri (Dubard) H. J. Lam | 15-20 | 10-15 | tròn | rộng | sẫm | - | 1-3 | trắng vàng |
| 54 | Sung hoa | Citharexylon quadrifolia | 10-12 | 6-8 | trứng | rộng | nhạt | - | 5-6 | trắng |
| 55 | Tếch | Tectona grandis L | 20-25 | 6-8 | thuỗn | rộng | vàng | 1-3 | 6-10 | trắng nâu |
| 56 | Trôm | Sterculia foetida L. | 15-20 | 8-15 | tròn | rộng | nhạt | 2-4 | 4-5 | đỏ nhạt |
| 57 | Thàn mát | Millettia ichthyochtona Drake | 15 | 4-7 | trứng | rộng | nhạt | 11-1 | 3-4 | trắng |
| 58 | Thung (Đăng) | Tetrameles nudiflora R. Br. in Benn. | 30-40 | 5-8 | thuỗn | rộng | nhạt vàng |
| 3-4 | nâu vàng |
| 59 | Thị | Diospyros rubra H.Lec | 20 | 8-12 | trứng | rộng | sẫm |
| 4-5 | vàng nâu |
| 60 | Trầu | Vernicia Montana Lour. (Aleurites montana (Lour.) Wilson) | 8-12 | 5-7 | phân tầng | rộng | nhạt | 3-4 | 3-4 | trắng hồng |
| 61 | Trám đen | Canarium pimela Leench. (Canarium nigrum, Canarium tramdenum) | 10-15 | 7-10 | tròn | rộng | nhạt | - | 1-2 | trắng |
| 62 | Thông nhựa hai lá | Pinus merkusii Jungh.et de Vries | 30 | 8-10 | tự do | kim | sẫm | - | 5-6 | xanh lam |
| 63 | Thông đuôi ngựa | Pinus Massoniana Lamb. | 30-35 |
| tháp | kim | vàng nhạt | - | 4 | xanh lam |
| 64 | Vú sữa | Chysophyllum cainito Linn | 12 | 6-8 | tròn | rộng | nâu | - | 9-10 | vàng ngà |
| 65 | Vông | Erythrina variegata L. | 8-10 | 6-8 | trứng | rộng | nhạt | 1-4 | 4-5 | đỏ |
| 66 | Vàng anh | Saraca indica L. | 7-12 | 8-10 | tròn | rộng | sẫm | - | 1-3 | vàng sẫm |
| 67 | Xà cừ | Khaya senegalensis (Desr.) A. Juss | 15-20 | 10-20 | tự do | rộng | nhạt | - | 2-3 | trắng ngà |
Bạn chưa Đăng nhập thành viên.
Đây là tiện ích dành cho tài khoản thành viên. Vui lòng Đăng nhập để xem chi tiết. Nếu chưa có tài khoản, vui lòng Đăng ký tại đây!
Bạn chưa Đăng nhập thành viên.
Đây là tiện ích dành cho tài khoản thành viên. Vui lòng Đăng nhập để xem chi tiết. Nếu chưa có tài khoản, vui lòng Đăng ký tại đây!