- Tổng quan
- Nội dung
- VB gốc
- Tiếng Anh
- Hiệu lực
- VB liên quan
- Lược đồ
-
Nội dung hợp nhất
Tính năng này chỉ có tại LuatVietnam.vn. Nội dung hợp nhất tổng hợp lại tất cả các quy định còn hiệu lực của văn bản gốc và các văn bản sửa đổi, bổ sung, đính chính... trên một trang. Việc hợp nhất văn bản gốc và những văn bản, Thông tư, Nghị định hướng dẫn khác không làm thay đổi thứ tự điều khoản, nội dung.
Khách hàng chỉ cần xem Nội dung hợp nhất là có thể nắm bắt toàn bộ quy định hiện hành đang áp dụng, cho dù văn bản gốc đã qua nhiều lần chỉnh sửa, bổ sung.
- Tải về
Nghị định 159/2025/NĐ-CP hướng dẫn Luật Bảo hiểm xã hội tự nguyện
| Cơ quan ban hành: | Chính phủ |
Số công báo:
Số công báo là mã số ấn phẩm được đăng chính thức trên ấn phẩm thông tin của Nhà nước. Mã số này do Chính phủ thống nhất quản lý.
|
Đã biết
|
| Số hiệu: | 159/2025/NĐ-CP | Ngày đăng công báo: |
Đã biết
|
| Loại văn bản: | Nghị định | Người ký: | Hồ Đức Phớc |
| Trích yếu: | Quy định chi tiết và hướng dẫn thi hành một số điều của Luật Bảo hiểm xã hội về bảo hiểm xã hội tự nguyện | ||
|
Ngày ban hành:
Ngày ban hành là ngày, tháng, năm văn bản được thông qua hoặc ký ban hành.
|
25/06/2025 |
Ngày hết hiệu lực:
Ngày hết hiệu lực là ngày, tháng, năm văn bản chính thức không còn hiệu lực (áp dụng).
|
Đang cập nhật |
|
Áp dụng:
Ngày áp dụng là ngày, tháng, năm văn bản chính thức có hiệu lực (áp dụng).
|
Đã biết
|
Tình trạng hiệu lực:
Cho biết trạng thái hiệu lực của văn bản đang tra cứu: Chưa áp dụng, Còn hiệu lực, Hết hiệu lực, Hết hiệu lực 1 phần; Đã sửa đổi, Đính chính hay Không còn phù hợp,...
|
Đã biết
|
| Lĩnh vực: | Bảo hiểm | ||
TÓM TẮT NGHỊ ĐỊNH 159/2025/NĐ-CP
Quy định chi tiết về bảo hiểm xã hội tự nguyện từ 01/7/2025
Ngày 25/6/2025, Chính phủ đã ban hành Nghị định 159/2025/NĐ-CP quy định chi tiết và hướng dẫn thi hành một số điều của Luật Bảo hiểm xã hội về bảo hiểm xã hội tự nguyện, có hiệu lực từ ngày 01/7/2025.
Nghị định này áp dụng cho các đối tượng tham gia bảo hiểm xã hội tự nguyện, người thụ hưởng chế độ bảo hiểm xã hội, và các cơ quan, tổ chức, cá nhân liên quan đến bảo hiểm xã hội tự nguyện.
- Chế độ đối với người không đủ điều kiện hưởng lương hưu
Nghị định quy định chế độ cho người tham gia bảo hiểm xã hội tự nguyện không đủ điều kiện hưởng lương hưu và chưa đủ tuổi hưởng trợ cấp hưu trí xã hội.
Những người này có thể được hưởng trợ cấp hằng tháng dựa trên thời gian và mức thu nhập đã đóng bảo hiểm xã hội.
- Mức đóng và phương thức đóng bảo hiểm xã hội tự nguyện
Người tham gia bảo hiểm xã hội tự nguyện có thể chọn phương thức đóng một lần cho nhiều năm về sau, tối đa 5 năm.
Mức đóng được tính dựa trên lãi suất đầu tư quỹ bảo hiểm xã hội bình quân tháng của năm trước liền kề.
- Hỗ trợ tiền đóng bảo hiểm xã hội
Nhà nước hỗ trợ tiền đóng bảo hiểm xã hội cho người tham gia theo tỷ lệ phần trăm trên mức đóng hàng tháng, với mức hỗ trợ khác nhau cho các đối tượng như hộ nghèo, cận nghèo, người dân tộc thiểu số, và các đối tượng khác. Thời gian hỗ trợ tối đa là 10 năm.
- Chế độ hưu trí và tử tuất
Người có thời gian đóng bảo hiểm xã hội bắt buộc và tự nguyện sẽ được tính tổng thời gian để hưởng chế độ hưu trí và tử tuất. Điều kiện và mức hưởng lương hưu, trợ cấp tử tuất được quy định chi tiết, bao gồm cả trường hợp người tham gia bảo hiểm xã hội tự nguyện trước ngày 01/01/2021.
- Quy định chuyển tiếp
Người đã tham gia bảo hiểm xã hội tự nguyện trước ngày 01/7/2025 sẽ thực hiện theo quy định mới. Những người đang hưởng lương hưu trước ngày này vẫn thực hiện theo quy định cũ nhưng được điều chỉnh mức hưởng.
Xem chi tiết Nghị định 159/2025/NĐ-CP có hiệu lực kể từ ngày 01/07/2025
Tải Nghị định 159/2025/NĐ-CP
|
CHÍNH PHỦ __________ Số: 159/2025/NĐ-CP
|
CỘNG HÒA XÃ HỘI CHỦ NGHĨA VIỆT NAM Độc lập - Tự do - Hạnh phúc ______________________ Hà Nội, ngày 25 tháng 6 năm 2025
|
NGHỊ ĐỊNH
Quy định chi tiết và hướng dẫn thi hành một số điều của
Luật Bảo hiểm xã hội về bảo hiểm xã hội tự nguyện
______________
Căn cứ Luật Tổ chức Chính phủ ngày 18 tháng 02 năm 2025;
Căn cứ Luật Tổ chức chính quyền địa phương ngày 16 tháng 6 năm 2025;
Căn cứ Luật Bảo hiểm xã hội ngày 29 tháng 6 năm 2024;
Theo đề nghị của Bộ trưởng Bộ Nội vụ;
Chính phủ ban hành Nghị định quy định chi tiết và hướng dẫn thi hành một số điều của Luật Bảo hiểm xã hội về bảo hiểm xã hội tự nguyện.
Điều 1. Phạm vi điều chỉnh
Nghị định này quy định chi tiết và hướng dẫn thi hành một số điều của Luật Bảo hiểm xã hội về bảo hiểm xã hội tự nguyện, bao gồm:
1. Khoản 7 Điều 23 về chế độ đối với người tham gia bảo hiểm xã hội tự nguyện không đủ điều kiện hưởng lương hưu và chưa đủ tuổi hưởng trợ cấp hưu trí xã hội.
2. Khoản 1 và khoản 4 Điều 36 về mức đóng, phương thức đóng và thời hạn đóng bảo hiểm xã hội của người tham gia bảo hiểm xã hội tự nguyện; thay đổi phương thức đóng, mức thu nhập tháng làm căn cứ đóng bảo hiểm xã hội tự nguyện; hoàn trả tiền đã đóng bảo hiểm xã hội tự nguyện.
3. Khoản 6 Điều 102 về hưởng bảo hiểm xã hội một lần.
4. Khoản 2 Điều 104 về điều chỉnh thu nhập tháng đã đóng bảo hiểm xã hội.
5. Khoản 2 Điều 111 về chế độ hưu trí và chế độ tử tuất đối với người vừa có thời gian đóng bảo hiểm xã hội bắt buộc vừa có thời gian đóng bảo hiểm xã hội tự nguyện.
6. Khoản 15 Điều 141 về quy định chuyển tiếp.
Điều 2. Đối tượng áp dụng
1. Đối tượng tham gia bảo hiểm xã hội tự nguyện theo quy định tại Điều 3 của Nghị định này.
2. Người thụ hưởng chế độ bảo hiểm xã hội theo quy định của Luật Bảo hiểm xã hội.
3. Cơ quan, tổ chức và cá nhân có liên quan đến bảo hiểm xã hội tự nguyện.
Điều 3. Đối tượng tham gia bảo hiểm xã hội tự nguyện
1. Đối tượng tham gia bảo hiểm xã hội tự nguyện thực hiện theo quy định tại khoản 4 Điều 2 của Luật Bảo hiểm xã hội.
2. Người đang hưởng trợ cấp bảo hiểm xã hội, trợ cấp hằng tháng quy định tại điểm a khoản 4 Điều 2 của Luật Bảo hiểm xã hội là đối tượng quy định tại khoản 4 Điều 3 của Nghị định số 158/2025/NĐ-CP ngày 25 tháng 6 năm 2025 của Chính phủ quy định chi tiết và hướng dẫn thi hành một số điều của Luật Bảo hiểm xã hội về bảo hiểm xã hội bắt buộc.
Điều 4. Thay đổi phương thức đóng, mức thu nhập làm căn cứ đóng bảo hiểm xã hội tự nguyện
Người tham gia bảo hiểm xã hội tự nguyện đã lựa chọn một trong các phương thức đóng theo quy định tại các điểm a, b, c, d và đ khoản 2 Điều 36 của Luật Bảo hiểm xã hội và mức thu nhập làm căn cứ đóng bảo hiểm xã hội tự nguyện theo quy định tại khoản 2 Điều 31 của Luật Bảo hiểm xã hội mà có yêu cầu thay đổi phương thức đóng, mức thu nhập làm căn cứ đóng bảo hiểm xã hội tự nguyện thì nộp tờ khai điều chỉnh thông tin tham gia bảo hiểm xã hội tự nguyện cho cơ quan bảo hiểm xã hội. Việc thay đổi phương thức đóng, mức thu nhập làm căn cứ đóng bảo hiểm xã hội tự nguyện được thực hiện sau khi người tham gia bảo hiểm xã hội tự nguyện đã hoàn thành xong phương thức đóng, mức thu nhập làm căn cứ đóng bảo hiểm xã hội tự nguyện đã chọn trước đó.
Điều 5. Hỗ trợ tiền đóng bảo hiểm xã hội cho người tham gia bảo hiểm xã hội tự nguyện
1. Mức hỗ trợ và đối tượng hỗ trợ
Người tham gia bảo hiểm xã hội tự nguyện được Nhà nước hỗ trợ tiền đóng theo tỷ lệ phần trăm (%) trên mức đóng bảo hiểm xã hội tự nguyện hằng tháng theo mức chuẩn hộ nghèo của khu vực nông thôn theo quy định tại khoản 2 Điều 31 và khoản 1 Điều 36 của Luật Bảo hiểm xã hội, cụ thể:
a) Bằng 50% đối với người tham gia thuộc hộ nghèo, người đang sinh sống tại xã đảo, đặc khu theo quy định của Chính phủ, Thủ tướng Chính phủ;
b) Bằng 40% đối với người tham gia thuộc hộ cận nghèo;
c) Bằng 30% đối với người tham gia là người dân tộc thiểu số;
d) Bằng 20% đối với người tham gia khác.
Người tham gia bảo hiểm xã hội tự nguyện thuộc đối tượng hỗ trợ ở nhiều mức khác nhau thì được hỗ trợ theo mức cao nhất.
Khuyến khích các cơ quan, tổ chức và cá nhân hỗ trợ tiền đóng bảo hiểm xã hội cho người tham gia bảo hiểm xã hội tự nguyện.
Tùy theo điều kiện kinh tế - xã hội, khả năng cân đối ngân sách, kết hợp huy động các nguồn lực xã hội, Ủy ban nhân dân các tỉnh, thành phố trực thuộc trung ương trình Hội đồng nhân dân cùng cấp quyết định hỗ trợ tiền đóng bảo hiểm xã hội cho người tham gia bảo hiểm xã hội tự nguyện trên địa bàn ngoài mức hỗ trợ quy định tại Nghị định này.
Căn cứ vào điều kiện phát triển kinh tế - xã hội, khả năng ngân sách nhà nước từng thời kỳ, Chính phủ xem xét điều chỉnh mức hỗ trợ tiền đóng cho người tham gia bảo hiểm xã hội tự nguyện cho phù hợp.
2. Thời gian hỗ trợ tùy thuộc vào thời gian tham gia bảo hiểm xã hội tự nguyện thực tế của mỗi người nhưng không quá 10 năm (120 tháng).
3. Phương thức hỗ trợ
a) Người tham gia bảo hiểm xã hội tự nguyện thuộc đối tượng hỗ trợ theo quy định tại khoản 1 Điều này nộp số tiền đóng bảo hiểm xã hội phần thuộc trách nhiệm đóng của mình cho cơ quan bảo hiểm xã hội hoặc tổ chức dịch vụ thu bảo hiểm xã hội tự nguyện do cơ quan bảo hiểm xã hội ủy quyền;
b) Định kỳ 03 tháng, 06 tháng hoặc 12 tháng, cơ quan bảo hiểm xã hội tổng hợp số đối tượng được hỗ trợ, số tiền thu của đối tượng và số tiền, ngân sách nhà nước hỗ trợ theo mẫu do Bảo hiểm xã hội Việt Nam ban hành, gửi cơ quan tài chính để chuyển kinh phí vào quỹ bảo hiểm xã hội;
c) Cơ quan tài chính căn cứ quy định về phân cấp quản lý ngân sách của địa phương và bảng tổng hợp đối tượng tham gia bảo hiểm xã hội tự nguyện, kinh phí ngân sách nhà nước hỗ trợ do cơ quan Bảo hiểm xã hội chuyển đến, có trách nhiệm chuyến kinh phí vào quỹ bảo hiểm xã hội mỗi quý một lần; chậm nhất đến ngày 31 tháng 12 hằng năm phải thực hiện xong việc chuyển kinh phí hỗ trợ vào quỹ bảo hiểm xã hội của năm đó.
4. Kinh phí hỗ trợ tiền đóng bảo hiểm xã hội cho người tham gia bảo hiểm xã hội tự nguyện do ngân sách địa phương đảm bảo theo phân cấp ngân sách nhà nước hiện hành; ngân sách trung ương hỗ trợ ngân sách địa phương theo quy định của pháp luật về nguyên tắc hỗ trợ có mục tiêu từ ngân sách trung ương cho ngân sách địa phương thực hiện các chính sách an sinh xã hội do trung ương ban hành.
5. Trường hợp người tham gia bảo hiểm xã hội tự nguyện đã đóng theo phương thức đóng 03 tháng hoặc 06 tháng hoặc 12 tháng một lần hoặc đóng một lần cho nhiều năm về sau theo quy định tại các điểm b, c, d và đ khoản 2 Điều 36 của Luật Bảo hiểm xã hội mà trong thời gian đó có sự thay đổi về đối tượng được hỗ trợ theo quy định tại khoản 1 Điều này hoặc thay đổi mức chuẩn hộ nghèo của khu vực nông thôn thì không điều chỉnh mức chênh lệch số tiền đã đóng.
6. Hoàn trả tiền hỗ trợ đóng bảo hiểm xã hội của Nhà nước
a) Hoàn trả số tiền Nhà nước đã hỗ trợ tiền đóng đối với người hưởng bảo hiểm xã hội một lần theo quy định tại các điểm a, b, đ và e khoản 1 Điều 70 của Luật Bảo hiểm xã hội; các điểm a, b và đ khoản 1 Điều 102 của Luật Bảo hiểm xã hội và đối tượng quy định tại khoản 1, khoản 3 Điều 8 của Nghị định này cho ngân sách nhà nước;
b) Số tiền hoàn trả bằng số tiền Nhà nước đã hỗ trợ tiền đóng bảo hiểm xã hội đối với người tham gia bảo hiểm xã hội tự nguyện.
Điều 6. Mức đóng của phương thức đóng một lần cho nhiều năm về sau
1. Người tham gia bảo hiểm xã hội tự nguyện được chọn phương thức đóng một lần cho nhiều năm về sau nhưng không quá 5 năm (60 tháng) một lần.
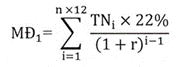
2. Mức đóng một lần cho nhiều năm về sau được tính bằng tổng mức đóng của các tháng đóng trước, chiết khấu theo lãi suất đầu tư quỹ bảo hiểm xã hội bình quân tháng của năm trước liền kề với năm đóng do Bảo hiểm xã hội Việt Nam công bố và được xác định theo công thức sau:

Trong đó:
MĐ1: Mức đóng một lần cho n năm về sau (đồng);
TNi: Mức thu nhập làm căn cứ đóng bảo hiểm xã hội tự nguyện do người tham gia bảo hiểm xã hội tự nguyện chọn tại thời điểm đóng (đồng/tháng);
r: Lãi suất đầu tư quỹ bảo hiểm xã hội bình quân tháng của năm trước liền kề với năm đóng do Bảo hiểm xã hội Việt Nam công bố (%/tháng);
n: Số năm đóng trước do người tham gia bảo hiểm xã hội tự nguyện lựa chọn, nhận một trong các giá trị từ 2 đến 5;
i: Tham số tự nhiên có giá trị từ 1 đến (n x 12).
Điều 7. Mức đóng của phương thức đóng một lần cho thời gian đóng bảo hiểm xã hội còn thiếu để đủ điều kiện hưởng lương hưu
1. Người tham gia bảo hiểm xã hội tự nguyện đã đủ tuổi nghỉ hưu theo quy định tại khoản 2 Điều 169 của Bộ luật Lao động nhưng thời gian đóng bảo hiểm xã hội còn thiếu không quá 5 năm (60 tháng) thì được đóng một lần cho đủ 15 năm để hưởng lương hưu.
2. Mức đóng một lần cho thời gian đóng bảo hiểm xã hội còn thiếu được tính bằng tổng mức đóng của các tháng còn thiếu, áp dụng lãi gộp bằng lãi suất đầu tư quỹ bảo hiểm xã hội bình quân tháng của năm trước liền kề với năm đóng do Bảo hiểm xã hội Việt Nam công bố và được xác định theo công thức sau:

Trong đó:
MĐ2: Mức đóng một lần cho thời gian đóng bảo hiểm xã hội còn thiếu (đồng);
TNi: Mức thu nhập làm căn cứ đóng bảo hiểm xã hội tự nguyện do người tham gia bảo hiểm xã hội tự nguyện chọn tại thời điểm đóng (đồng/tháng);
r: Lãi suất đầu tư quỹ bảo hiểm xã hội bình quân tháng của năm trước liền kề với năm đóng do Bảo hiểm xã hội Việt Nam công bố (%/tháng);
t: Số tháng đóng bảo hiểm xã hội còn thiếu, nhận một trong các giá trị từ 1 đến 60;
i: Tham số tự nhiên có giá trị từ 1 đến t.
Điều 8. Hoàn trả một phần số tiền đã đóng
1. Người tham gia bảo hiểm xã hội tự nguyện đã đóng theo phương thức đóng 03 tháng hoặc 06 tháng hoặc 12 tháng một lần hoặc đóng một lần cho nhiều năm về sau quy định tại các điểm b, c, d và đ khoản 2 Điều 36 của Luật Bảo hiểm xã hội mà trong thời gian đó thuộc một trong các trường hợp sau đây sẽ được hoàn trả một phần số tiền đã đóng trước đó:
a) Thuộc đối tượng tham gia bảo hiểm xã hội bắt buộc;
b) Hưởng bảo hiểm xã hội một lần theo quy định tại Điều 102 của Luật Bảo hiểm xã hội;
c) Chết hoặc Tòa án tuyên bố là đã chết;
d) Đủ điều kiện và có đề nghị được giải quyết hưởng lương hưu theo quy định tại Điều 98 hoặc khoản 9 Điều 141 của Luật Bảo hiểm xã hội.
2. Số tiền hoàn trả cho người tham gia bảo hiểm xã hội tự nguyện trong trường hợp quy định tại các điểm a, b và d khoản 1 Điều này hoặc hoàn trả cho thân nhân của người tham gia bảo hiểm xã hội tự nguyện trong trường hợp quy định tại điểm c khoản 1 Điều này được xác định bằng tổng số tiền đã đóng tương ứng với thời gian còn lại của phương thức đóng mà người tham gia bảo hiểm xã hội tự nguyện đã đóng và không bao gồm tiền hỗ trợ đóng của Nhà nước quy định tại Điều 5 Nghị định này (nếu có).
3. Trường hợp người tham gia bảo hiểm xã hội tự nguyện đã đóng theo phương thức đóng một lần cho nhiều năm về sau quy định tại Điều 6 của Nghị định này, số tiền hoàn trả được xác định theo công thức sau:

Trong đó:
HT: Số tiền hoàn trả (đồng);
TNi: Mức thu nhập làm căn cứ đóng bảo hiểm xã hội tự nguyện do người tham gia bảo hiểm xã hội tự nguyện chọn tại thời điểm đóng (đồng/tháng);
M: Số tiền hỗ trợ đóng bảo hiểm xã hội tự nguyện của Nhà nước (nếu có) (đồng);
r: Lãi suất đầu tư quỹ bảo hiểm xã hội bình quân tháng của năm trước liền kề với năm đóng do Bảo hiểm xã hội Việt Nam công bố (%/tháng);
n: Số năm đóng trước do người tham gia bảo hiểm xã hội tự nguyện lựa chọn, nhận một trong các giá trị từ 2 đến 5;
m: Số tháng còn lại của phương thức đóng mà người tham gia bảo hiểm xã hội tự nguyện đã đóng;
i: Tham số tự nhiên có giá trị từ (n x 12 - m +1) đên (n x 12).
Điều 9. Bảo hiểm xã hội một lần
1. Mức hưởng bảo hiểm xã hội một lần của một trong các trường hợp quy định tại các điểm a, b và đ khoản 1 Điều 102 của Luật Bảo hiểm xã hội được xác định như sau:
MH = TC - M
Trong đó:
MH: Mức hưởng bảo hiểm xã hội một lần (đồng);
TC: Mức hưởng xác định theo quy định tại khoản 2 Điều 102 của Luật Bảo hiểm xã hội (đồng);
M: Số tiền hỗ trợ đóng bảo hiểm xã hội tự nguyện của Nhà nước (đồng).
2. Số tiền hỗ trợ đóng bảo hiểm xã hội tự nguyện của Nhà nước được tính bằng tổng số tiền Nhà nước hỗ trợ của từng tháng người tham gia bảo hiểm xã hội tự nguyện đã đóng bảo hiểm xã hội tự nguyện. Mức hỗ trợ của từng tháng được tính theo công thức sau:
Mi = 0,22 x CNi x k
Trong đó:
Mi: Số tiền hỗ trợ đóng bảo hiểm xã hội tự nguyện của Nhà nước tại tháng i (đồng);
CNi: Chuẩn nghèo khu vực nông thôn tại tháng i (đồng);
k: Tỷ lệ hỗ trợ của Nhà nước tại tháng i (%);
i: Là tháng Nhà nước hỗ trợ đóng bảo hiểm xã hội tự nguyện.
Điều 10. Điều chỉnh thu nhập tháng đã đóng bảo hiểm xã hội
1. Thu nhập tháng đã đóng bảo hiểm xã hội sau điều chỉnh của từng năm bằng thu nhập tháng đã đóng bảo hiểm xã hội của từng năm nhân với hệ số điều chỉnh thu nhập tháng đã đóng bảo hiểm xã hội của năm tương ứng.
2. Hệ số điều chỉnh thu nhập tháng đã đóng bảo hiểm xã hội được tính trên cơ sở chỉ số giá tiêu dùng bình quân năm tính theo gốc so sánh bình quân năm 2008 do Cục Thống kê, Bộ Tài chính cung cấp và được xác định bằng công thức sau:
|
Hệ số điều chỉnh thu nhập tháng đã đóng bảo hiểm xã hội của năm t |
= |
Chỉ số giá tiêu dùng bình quân năm liền kề trước năm người tham gia bảo hiểm xã hội tự nguyện hưởng bảo hiểm xã hội tính theo gốc so sánh bình quân năm 2008 |
|
Chỉ số giá tiêu dùng bình quân năm t tính theo gốc so |
Trong đó:
t: Là năm bất kỳ trong giai đoạn điều chỉnh;
Hệ số điều chỉnh thu nhập tháng đã đóng bảo hiểm xã hội của năm t được lấy tròn đến hai chữ số thập phân và mức thấp nhất bằng 1.
3. Trường hợp người tham gia bảo hiểm xã hội tự nguyện đóng một lần cho thời gian đóng bảo hiểm xã hội còn thiếu theo quy định tại Điều 7 của Nghị định này thì thu nhập tháng đã đóng bảo hiểm xã hội của thời gian đóng bảo hiểm xã hội còn thiếu sau điều chỉnh bằng thu nhập tháng đã đóng bảo hiểm xã hội của thời gian đóng bảo hiểm xã hội còn thiếu nhân với hệ số điều chỉnh bằng 1.
4. Trên cơ sở chỉ số giá tiêu dùng bình quân năm tính theo gốc so sánh bình quân năm 2008 do Cục Thống kê, Bộ Tài chính cung cấp, Bảo hiểm xã hội Việt Nam xác định hệ số điều chỉnh thu nhập tháng đã đóng bảo hiểm xã hội theo quy định tại khoản 2 Điều này và thực hiện việc điều chỉnh thu nhập tháng đã đóng bảo hiểm xã hội cho người tham gia bảo hiểm xã hội tự nguyện theo quy định tại khoản 1 Điều này.
Điều 11. Chế độ hưu trí đối với người vừa có thời gian đóng bảo hiểm xã hội bắt buộc vừa có thời gian đóng bảo hiểm xã hội tự nguyện
1. Người vừa có thời gian đóng bảo hiểm xã hội bắt buộc vừa có thời gian đóng bảo hiểm xã hội tự nguyện thì thời gian tính hưởng chế độ hưu trí là tổng thời gian đã đóng bảo hiểm xã hội bắt buộc và bảo hiểm xã hội tự nguyện.
2. Điều kiện hưởng lương hưu
a) Trường hợp người tham gia bảo hiểm xã hội tự nguyện có từ đủ 15 năm đóng bảo hiểm xã hội bắt buộc trở lên thì điều kiện về tuổi đời hưởng lương hưu được thực hiện theo quy định tại Điều 64 của Luật Bảo hiểm xã hội, trừ trường hợp quy định tại điểm b và điểm c khoản này.
b) Trường hợp người tham gia bảo hiểm xã hội tự nguyện có từ đủ 20 năm đóng bảo hiểm xã hội bắt buộc trở lên mà bị suy giảm khả năng lao động từ 61% trở lên thì điều kiện về tuổi đời hưởng lương hưu được thực hiện theo quy định tại Điều 65 của Luật Bảo hiểm xã hội.
c) Trường hợp người tham gia bảo hiểm xã hội tự nguyện trước ngày 01 tháng 01 năm 2021 và đủ 20 năm đóng bảo hiểm xã hội tự nguyện trở lên thì được hưởng lương hưu khi đủ 60 tuổi đối với nam, đủ 55 tuổi đối với nữ.
3. Mức lương hưu hằng tháng được tính bằng tỷ lệ hưởng lương hưu hằng tháng nhân với mức bình quân tiền lương và thu nhập tháng đóng bảo hiểm xã hội theo quy định tại khoản 4 Điều này.
Trường hợp người vừa có thời gian đóng bảo hiểm xã hội bắt buộc vừa có thời gian đóng bảo hiểm xã hội tự nguyện đã tham gia bảo hiểm xã hội theo đối tượng theo quy định tại các điểm a, b, c, d, đ, g và i khoản 1 Điều 2 của Luật Bảo hiểm xã hội từ trước ngày 01 tháng 7 năm 2025 và có thời gian đóng bảo hiểm xã hội bắt buộc theo các đối tượng này từ đủ 20 năm trở lên khi tính mức lương hưu hằng tháng thấp hơn mức tham chiếu thì được tính bằng mức tham chiếu.
4. Mức bình quân tiền lương và thu nhập làm căn cứ đóng bảo hiểm xã hội được tính theo công thức sau:
|
Mức bình quân tiền lương và thu nhập làm căn cứ đóng bảo hiểm xã hội |
= |
Mức bình quân tiền lương làm căn cứ đóng bảo hiểm xã hội bắt buộc |
x |
Tổng số tháng đóng bảo hiểm xã hội bắt buộc |
+ |
Tổng các mức thu nhập làm căn cứ đóng bảo hiểm xã hội tự nguyện |
||
|
Tổng số tháng đóng bảo hiểm xã hội bắt buộc |
+ |
Tổng số tháng đóng bảo hiểm xã hội tự nguyện |
||||||
Trong đó:
Mức bình quân tiền lương làm căn cứ đóng bảo hiểm xã hội bắt buộc được thực hiện theo quy định tại Điều 72 và Điều 73 của Luật Bảo hiểm xã hội;
Tổng các mức thu nhập làm căn cứ đóng bảo hiểm xã hội tự nguyện là tổng các mức thu nhập làm căn cứ đóng bảo hiểm xã hội tự nguyện đã được điều chỉnh theo quy định tại Điều 10 của Nghị định này.
5. Mức trợ cấp một lần khi nghỉ hưu được thực hiện theo quy định tại Điều 100 của Luật Bảo hiểm xã hội.
6. Bảo hiểm xã hội một lần được thực hiện theo quy định tại Điều 102 của Luật Bảo hiểm xã hội và Điều 9 của Nghị định này. Mức hưởng bảo hiểm xã hội một lần được tính trên cơ sở mức bình quân tiền lương và thu nhập làm căn cứ đóng bảo hiểm xã hội quy định tại khoản 4 Điều này.
Điều 12. Chế độ tử tuất đối với người vừa có thời gian đóng bảo hiểm xã hội bắt buộc vừa có thời gian đóng bảo hiểm xã hội tự nguyện
1. Người vừa có thời gian đóng bảo hiểm xã hội bắt buộc vừa có thời gian đóng bảo hiểm xã hội tự nguyện thì thời gian tính hưởng chế độ tử tuất là tổng thời gian đã đóng bảo hiểm xã hội bắt buộc và bảo hiểm xã hội tự nguyện.
2. Người tham gia bảo hiểm xã hội tự nguyện thuộc một trong các trường hợp dưới đây chết thì tổ chức, cá nhân lo mai táng được nhận một lần trợ cấp mai táng quy định tại khoản 2 Điều 85 của Luật Bảo hiểm xã hội:
a) Có thời gian đóng bảo hiểm xã hội bắt buộc từ đủ 12 tháng trở lên;
b) Có thời gian đóng bảo hiểm xã hội bắt buộc dưới 12 tháng và có tổng thời gian đóng bảo hiểm xã hội bắt buộc và bảo hiểm xã hội tự nguyện từ đủ 60 tháng trở lên;
c) Người đang hưởng hoặc tạm dừng hưởng trợ cấp tai nạn lao động, bệnh nghề nghiệp hằng tháng đã nghỉ việc;
d) Người đang hưởng hoặc tạm dừng hưởng lương hưu.
3. Người tham gia bảo hiểm xã hội tự nguyện thuộc một trong các trường hợp dưới đây chết thì thân nhân đủ điều kiện theo quy định tại khoản 2 và khoản 3 Điều 86 của Luật Bảo hiểm xã hội được hưởng trợ cấp tuất hằng tháng theo quy định tại Điều 87 của Luật Bảo hiểm xã hội:
a) Có thời gian đóng bảo hiểm xã hội bắt buộc từ đủ 15 năm trở lên;
b) Đang hưởng hoặc đang tạm dừng hưởng trợ cấp tai nạn lao động, bệnh nghề nghiệp hằng tháng với mức suy giảm khả năng lao động từ 61% trở lên;
c) Đang hưởng hoặc đang tạm dừng hưởng lương hưu mà trước đó có thời gian đóng bảo hiểm xã hội bắt buộc từ đủ 15 năm trở lên.
4. Thân nhân của người tham gia bảo hiểm xã hội tự nguyện được giải quyết hưởng trợ cấp tuất một lần trong các trường hợp dưới đây:
a) Người tham gia bảo hiểm xã hội tự nguyện chết không thuộc một các trường hợp quy định tại khoản 3 Điều này;
b) Người tham gia bảo hiểm xã hội tự nguyện chết thuộc một trong các trường hợp quy định tại khoản 3 Điều này nhưng không có thân nhân hưởng trợ cấp tuất hằng tháng theo quy định tại khoản 2 và khoản 3 Điều 86 của Luật Bảo hiểm xã hội;
c) Thân nhân thuộc diện hưởng trợ cấp tuất hằng tháng theo quy định tại khoản 2 và khoản 3 Điều 86 của Luật Bảo hiểm xã hội mà có nguyện vọng hưởng trợ cấp tuất một lần.
5. Trợ cấp tuất một lần:
a) Đối với người đang tham gia bảo hiểm xã hội hoặc đang bảo lưu thời gian đóng bảo hiểm xã hội chết thì trợ cấp tuất một lần được tính theo quy định tại khoản 2 Điều 110 của Luật Bảo hiểm xã hội trên cơ sở mức bình quân tiền lương và thu nhập làm căn cứ đóng bảo hiểm xã hội quy định tại khoản 4 Điều 11 của Nghị định này;
b) Đối với người đang hưởng lương hưu hoặc đang tạm dừng hưởng lương hưu chết thì trợ cấp tuất một lần được tính theo quy định tại khoản 4 Điều 110 của Luật Bảo hiểm xã hội;
c) Đối với người đang hưởng hoặc đang tạm dừng hưởng trợ cấp tai nạn lao động, bệnh nghề nghiệp hằng tháng mà đang tham gia hoặc đang bảo lưu thời gian đóng bảo hiểm xã hội khi chết thì trợ cấp tuất một lần được giải quyết đối với trường hợp người đang tham gia hoặc đang bảo lưu thời gian đóng bảo hiểm xã hội chết;
d) Đối với người đang hưởng hoặc đang tạm dừng hưởng trợ cấp tai nạn lao động, bệnh nghề nghiệp hằng tháng mà đã hưởng bảo hiểm xã hội một lần, không còn bảo lưu thời gian đóng bảo hiểm xã hội chết thì trợ cấp tuất một lần bằng 3 tháng trợ cấp tai nạn lao động, bệnh nghề nghiệp hằng tháng đang hưởng.
Điều 13. Chế độ hưu trí đối với người tham gia bảo hiểm xã hội tự nguyện trước ngày 01 tháng 01 năm 2021
1. Người bắt đầu tham gia bảo hiểm xã hội tự nguyện trước ngày 01 tháng 01 năm 2021 và có từ đủ 20 năm đóng bảo hiểm xã hội tự nguyện trở lên nếu có nguyện vọng thì được hưởng lương hưu khi đủ 60 tuổi đối với nam, đủ 55 tuổi đối với nữ.
2. Mức lương hưu hằng tháng đối với người tham gia bảo hiểm xã hội tự nguyện hưởng lương hưu theo quy định tại khoản 1 Điều này được thực hiện theo quy định tại Điều 99 của Luật Bảo hiểm xã hội.
3. Thời điểm hưởng lương hưu đối với người tham gia bảo hiểm xã hội tự nguyện hưởng lương hưu theo quy định tại khoản 1 Điều này được thực hiện theo quy định tại Điều 101 của Luật Bảo hiểm xã hội.
4. Bộ trưởng Bộ Nội vụ quy định chi tiết khoản 3 Điều này.
Điều 14. Chế độ đối với người tham gia bảo hiểm xã hội tự nguyện không đủ điều kiện hưởng lương hưu và chưa đủ tuổi hưởng trợ cấp hưu trí xã hội
1. Đối tượng áp dụng là người tham gia bảo hiểm xã hội tự nguyện theo quy định tại Điều 3 của Nghị định này đủ tuổi nghỉ hưu theo quy định tại khoản 2 Điều 169 của Bộ luật Lao động nhưng không đủ điều kiện về thời gian đóng bảo hiểm xã hội để hưởng lương hưu theo quy định tại Điều 98 của Luật Bảo hiểm xã hội và chưa đủ điều kiện hưởng trợ cấp hưu trí xã hội theo quy định tại Điều 21 của Luật Bảo hiểm xã hội.
2. Điều kiện hưởng là đối tượng quy định tại khoản 1 Điều này không hưởng bảo hiểm xã hội một lần, không bảo lưu thời gian đóng bảo hiểm xã hội và có đề nghị được hưởng trợ cấp hằng tháng.
3. Thời gian hưởng trợ cấp hằng tháng của người tham gia bảo hiểm xã hội theo quy định tại khoản 1 và đủ điều kiện theo quy định khoản 2 Điều này được xác định theo thời gian đóng, mức bình quân thu nhập làm căn cứ đóng bảo hiểm xã hội tự nguyện hoặc mức bình quân tiền lương và thu nhập làm căn cứ đóng bảo hiểm xã hội và được tính theo công thức sau:

Trong đó:
Ttt: Thời gian hưởng trợ cấp hằng tháng (tháng);
Mbq: Mức bình quân thu nhập làm căn cứ đóng bảo hiểm xã hội tự nguyện được tính theo quy định tại Điều 104 của Luật Bảo hiểm xã hội đối với người tham gia bảo hiểm xã hội tự nguyện hoặc mức bình quân tiền lương và thu nhập làm căn cứ đóng bảo hiểm xã hội được tính theo quy định tại khoản 4 Điều 11 của Nghị định này đối với người vừa có thời gian đóng bảo hiểm xã hội bắt buộc vừa có thời gian đóng bảo hiểm xã hội tự nguyện (đồng/tháng);
N: Số năm đóng bảo hiểm xã hội (từ đủ 12 tháng trở lên). Trường hợp thời gian đóng bảo hiểm xã hội có tháng lẻ từ 01 tháng đến 06 tháng được tính là nửa năm, từ 07 tháng đến 12 tháng được tính là một năm;
TChtxh: Mức trợ cấp hưu trí xã hội hằng tháng tại thời điểm giải quyết chế độ trợ cấp hằng tháng (đồng/tháng);
Trường hợp tính theo công thức nêu trên có thời gian lẻ chưa đủ tháng thì được tính làm tròn thành 01 tháng.
4. Thời gian hưởng trợ cấp hằng tháng được xác định trong khoảng thời gian từ tháng người tham gia bảo hiểm xã hội tự nguyện có văn bản đề nghị khi đã đủ tuổi nghỉ hưu đến khi đủ tuổi hưởng trợ cấp hưu trí xã hội theo quy định của pháp luật tại thời điểm giải quyết chế độ. Trường hợp thời gian hưởng trợ cấp hằng tháng tính theo công thức quy định tại khoản 3 Điều này vượt quá thời gian đến khi đủ tuổi hưởng trợ cấp hưu trí xã hội thì người tham gia bảo hiểm xã hội tự nguyện được tính hưởng mức với mức cao hơn theo quy định tại khoản 8 Điều này.
5. Trường hợp thời gian hưởng trợ cấp hằng tháng tính theo công thức quy định tại khoản 3 Điều này không đủ để người tham gia bảo hiểm xã hội tự nguyện hưởng trợ cấp hằng tháng cho đến khi đủ tuổi hưởng trợ cấp hưu trí xã hội và người tham gia bảo hiểm xã hội tự nguyện có nguyện vọng được đóng một lần cho phần còn thiếu để hưởng cho đến khi đủ tuổi hưởng trợ cấp hưu trí xã hội, số tiền đóng một lần cho phần còn thiếu để hưởng cho đến khi đủ tuổi hưởng trợ cấp hưu trí xã hội được tính theo công thức sau:
STmlct = (Tdt - Ttt) x TChtxh
Trong đó:
STmlct: Số tiền đóng một lần cho phần còn thiếu (đồng);
Tdt: Thời gian từ tháng người tham gia bảo hiểm xã hội tự nguyện có văn bản đề nghị đến khi đủ tuổi hưởng trợ cấp hưu trí xã hội (tháng);
Ttt: Thời gian hưởng trợ cấp hằng tháng tính theo công thức quy định tại khoản 3 Điều này (tháng);
TChtxh: Mức trợ cấp hưu trí xã hội hằng tháng được tính tại thời điểm giải quyết chế độ trợ cấp hằng tháng (đồng/tháng). Trường hợp người tham gia bảo hiểm xã hội tự nguyện không thực hiện đóng một lần cho phần còn thiếu ngay tại thời điểm giải quyết hưởng trợ cấp hằng tháng thì mức trợ cấp hưu trí xã hội hằng tháng được tính tại thời điểm người tham gia bảo hiểm xã hội tự nguyện đóng một lần cho phần còn thiếu.
6. Trường hợp trong thời gian hưởng trợ cấp hằng tháng, người tham gia bảo hiểm xã hội tự nguyện có thay đổi về chính sách hoặc điều kiện của người tham gia bảo hiểm xã hội tự nguyện làm thay đổi về tuổi hưởng trợ cấp hưu trí xã hội hằng tháng thì tiếp tục hưởng trợ cấp hằng tháng theo thời hạn đã được giải quyết. Trường hợp hết thời hạn hưởng trợ cấp hằng tháng đã được giải quyết người tham gia bảo hiểm xã hội tự nguyện chưa đủ tuổi hưởng trợ cấp hưu trí xã hội mà người tham gia bảo hiểm xã hội tự nguyện có nguyện vọng được đóng một lần cho phần còn thiếu để hưởng cho đến khi đủ tuổi hưởng trợ cấp hưu trí xã hội thì thực hiện theo quy định tại khoản 5 Điều này.
7. Mức trợ cấp hằng tháng tại thời điểm giải quyết được tính bằng mức trợ cấp hưu trí xã hội hàng tháng quy định tại khoản 1 Điều 22 của Luật Bảo hiểm xã hội.
8. Trường hợp thời gian hưởng trợ cấp hằng tháng tính theo công thức nêu tại khoản 3 Điều này vượt quá thời gian đến khi đủ tuổi hưởng trợ cấp hưu trí xã hội thì người tham gia bảo hiểm xã hội tự nguyện được tính để hưởng trợ cấp hằng tháng với mức cao hơn mức trợ cấp hưu trí xã hội tại thời điểm giải quyết, mức trợ cấp hằng tháng cao hơn mức trợ cấp hưu trí xã hội được xác định theo công thức sau:

Trong đó:
TCtt: Mức trợ cấp hằng tháng cao hơn mức trợ cấp hưu trí xã hội tại thời điểm giải quyết (đồng/tháng);
TChtxh: Mức trợ cấp hưu trí xã hội hằng tháng được tính tại thời điểm giải quyết chế độ trợ cấp hằng tháng (đồng/tháng);
Ttt: Thời gian hưởng trợ cấp hằng tháng tính theo công thức quy định tại khoản 3 Điều này (tháng);
Tdt: Thời gian từ tháng người tham gia bảo hiểm xã hội tự nguyện có văn bản đề nghị đến khi đủ tuổi hưởng trợ cấp hưu trí xã hội (tháng).
9. Mức trợ cấp hằng tháng được điều chỉnh khi Chính phủ điều chỉnh lương hưu theo quy định tại Điều 67 của Luật Bảo hiểm xã hội.
10. Văn bản đề nghị hưởng trợ cấp hàng tháng của người tham gia bảo hiểm xã hội tự nguyện thực hiện theo mẫu do Bảo hiểm xã hội Việt Nam ban hành.
Điều 15. Chế độ đối với thân nhân người đang hưởng trợ cấp hằng tháng chết trước khi hết thời hạn hưởng trợ cấp
1. Người tham gia bảo hiểm xã hội tự nguyện đang hưởng trợ cấp hằng tháng theo quy định tại Điều 14 của Nghị định này chết khi chưa hết thời hạn hưởng trợ cấp hằng tháng thì thân nhân được hưởng trợ cấp một lần cho những tháng chưa nhận. Mức trợ cấp một lần được tính bằng số tháng chưa nhận nhân với mức trợ cấp hằng tháng đang hưởng trước khi chết.
2. Người tham gia bảo hiểm xã hội tự nguyện đang hưởng trợ cấp hằng tháng thuộc một trong các trường hợp dưới đây chết thì tổ chức, cá nhân lo mai táng được nhận một lần trợ cấp mai táng quy định tại khoản 2 Điều 109 của Luật Bảo hiểm xã hội:
a) Có thời gian đóng bảo hiểm xã hội bắt buộc từ đủ 12 tháng trở lên;
b) Có thời gian đóng bảo hiểm xã hội từ đủ 60 tháng trở lên.
3. Hồ sơ đề nghị hưởng trợ cấp một lần và trợ cấp mai táng quy định tại khoản 1 và khoản 2 Điều này bao gồm:
a) Bản sao giấy chứng tử hoặc trích lục khai tử hoặc bản sao giấy báo tử hoặc bản sao quyết định của Tòa án tuyên bố là đã chết;
b) Tờ khai của thân nhân theo mẫu do Bảo hiểm xã hội Việt Nam ban hành.
4. Giải quyết hưởng trợ cấp một lần và trợ cấp mai táng quy định tại khoản 1 và khoản 2 Điều này như sau:
a) Trong thời hạn 90 ngày, kể từ ngày người hưởng trợ cấp hằng tháng chết thì thân nhân nộp hồ sơ quy định tại khoản 3 Điều này cho cơ quan bảo hiểm xã hội;
b) Trong thời hạn 10 ngày làm việc, kể từ ngày nhận đủ hồ sơ theo quy định, cơ quan bảo hiểm xã hội có trách nhiệm giải quyết; trường hợp không giải quyết thì phải trả lời bằng văn bản và nêu rõ lý do.
Điều 16. Quy định chuyển tiếp
1. Người đã tham gia bảo hiểm xã hội tự nguyện từ trước ngày 01 tháng 7 năm 2025 thực hiện theo các quy định tại Nghị định này.
2. Người đang hưởng lương hưu hằng tháng trước ngày 01 tháng 7 năm 2025 thì vẫn thực hiện theo các quy định trước đây và được điều chỉnh mức hưởng.
3. Người tham gia bảo hiểm xã hội tự nguyện mà trước đó có thời gian đóng bảo hiểm xã hội bắt buộc bao gồm phụ cấp khu vực thì ngoài lương hưu, bảo hiểm xã hội một lần và trợ cấp tuất thì được giải quyết hưởng trợ cấp khu vực một lần theo quy định của pháp luật bảo hiểm xã hội bắt buộc.
4. Người tham gia bảo hiểm xã hội tự nguyện có đủ điều kiện và hưởng các chế độ bảo hiểm xã hội tự nguyện trước ngày 01 tháng 7 năm 2025 thì vẫn thực hiện theo quy định của Luật Bảo hiểm xã hội năm 2014.
5. Trường hợp người tham gia bảo hiểm xã hội tự nguyện đã đóng theo các phương thức đóng 03 tháng hoặc 06 tháng hoặc 12 tháng một lần hoặc đóng một lần cho nhiều năm về sau mà trong đó có thời gian kể từ ngày 01 tháng 7 năm 2025 trở đi thì việc hỗ trợ tiền đóng quy định tại Điều 5 của Nghị định này được thực hiện kể từ thời điểm người tham gia đóng bảo hiểm xã hội tự nguyện theo phương thức đóng mới, sau khi hoàn thành thời gian đóng bảo hiểm xã hội tự nguyện theo phương thức đã đăng ký trước đó.
Điều 17. Hiệu lực thi hành
1. Nghị định này có hiệu lực thi hành từ ngày 01 tháng 7 năm 2025.
2. Nghị định số 134/2015/NĐ-CP ngày 29 tháng 12 năm 2015 của Chính phủ quy định chi tiết một số điều của Luật Bảo hiểm xã hội về bảo hiểm xã hội tự nguyện hết hiệu lực kể từ ngày Nghị định này có hiệu lực thi hành.
Điều 18. Trách nhiệm thi hành
1. Bộ trưởng Bộ Nội vụ có trách nhiệm hướng dẫn thi hành Nghị định này.
2. Bộ trưởng Bộ Tài chính và Ủy ban nhân dân tỉnh, thành phố trực thuộc trung ương có trách nhiệm đảm bảo ngân sách thực hiện chính sách hỗ trợ cho người tham gia bảo hiểm xã hội tự nguyện theo quy định tại Nghị định này.
3. Hằng năm, Cục Thống kê, Bộ Tài chính có trách nhiệm cung cấp kịp thời cho Bảo hiểm xã hội Việt Nam chỉ số giá tiêu dùng bình quân năm tính theo gốc so sánh bình quân năm 2008 để xác định hệ số điều chỉnh thu nhập tháng đã đóng bảo hiểm xã hội theo quy định tại khoản 2 Điều 10 của Nghị định này.
4. Hằng năm, Bảo hiểm xã hội Việt Nam có trách nhiệm công bố lãi suất đầu tư quỹ bảo hiểm xã hội bình quân tháng của năm trước liền kề để làm căn cứ xác định mức đóng, số tiền hoàn trả đối với người tham gia bảo hiểm xã hội tự nguyện theo quy định tại các Điều 6, 7 và 8 của Nghị định này và xác định hệ số điều chỉnh thu nhập tháng đã đóng bảo hiểm xã hội để thực hiện việc điều chỉnh thu nhập tháng đã đóng bảo hiểm xã hội cho người tham gia bảo hiểm xã hội tự nguyện theo quy định tại Điều 10 của Nghị định này. Thực hiện việc đăng tải lãi suất đầu tư quỹ bảo hiểm xã hội bình quân tháng của năm trước liền kề và hệ số điều chỉnh thu nhập tháng đã đóng bảo hiểm xã hội trên Cổng thông tin điện tử Bảo hiểm xã hội Việt Nam.
5. Cơ quan bảo hiểm xã hội có trách nhiệm đối chiếu người tham gia bảo hiểm xã hội tự nguyện theo quy định tại Điều 5 của Nghị định này với danh sách hộ nghèo, hộ cận nghèo do chính quyền địa phương cung cấp để xác định đối tượng hỗ trợ là người thuộc hộ nghèo, hộ cận nghèo; đối chiếu với Cơ sở dữ liệu quốc gia về dân cư để xác định đối tượng hỗ trợ là người đang sinh sống tại xã đảo, đặc khu, người dân tộc thiểu số và tổ chức thực hiện các quy định tại Nghị định này.
6. Các Bộ trưởng, Thủ trưởng cơ quan ngang bộ, Thủ trưởng cơ quan thuộc Chính phủ, Chủ tịch Ủy ban nhân dân tỉnh, thành phố trực thuộc trung ương chịu trách nhiệm thi hành Nghị định này.
| Nơi nhận: - Ban Bí thư Trung ương Đảng; - Thủ tướng, các Phó Thủ tướng Chính phủ; - Các bộ, cơ quan ngang bộ, cơ quan thuộc Chính phủ; - HĐND, UBND các tỉnh, thành phố trực thuộc trung ương: - Văn phòng Trung ương và các Ban của Đảng; - Văn phòng Tổng Bí thư; - Văn phòng Chủ tịch nước; - Hội đồng Dân tộc và các Ủy ban của Quốc hội; - Văn phòng Quốc hội; - Tòa án nhân dân tối cao; - Viện kiểm sát nhân dân tối cao; - Kiểm toán nhà nước; - Ủy ban Trung ương Mặt trận Tổ quốc Việt Nam; - Cơ quan trung ương của các đoàn thể; - VPCP: BTCN, các PCN, Trợ lý TTg, TGĐ Cổng TTĐT, các Vụ, Cục, đơn vị trực thuộc, Công báo; - Lưu: VT, KTTH (2b) |
TM. CHÍNH PHỦ KT. THỦ TƯỚNG PHÓ THỦ TƯỚNG Hồ Đức Phớc
|
Bạn chưa Đăng nhập thành viên.
Đây là tiện ích dành cho tài khoản thành viên. Vui lòng Đăng nhập để xem chi tiết. Nếu chưa có tài khoản, vui lòng Đăng ký tại đây!
Bạn chưa Đăng nhập thành viên.
Đây là tiện ích dành cho tài khoản thành viên. Vui lòng Đăng nhập để xem chi tiết. Nếu chưa có tài khoản, vui lòng Đăng ký tại đây!