- Tổng quan
- Nội dung
- Tiêu chuẩn liên quan
- Lược đồ
- Tải về
Tiêu chuẩn TCVN 13331:2025 Hệ vách kính - Thiết kế, thi công và nghiệm thu
| Số hiệu: | TCVN 13331:2025 | Loại văn bản: | Tiêu chuẩn Việt Nam |
| Cơ quan ban hành: | Bộ Khoa học và Công nghệ | Lĩnh vực: | Xây dựng |
| Trích yếu: | Hệ vách kính - Thiết kế, thi công và nghiệm thu | ||
|
Ngày ban hành:
Ngày ban hành là ngày, tháng, năm văn bản được thông qua hoặc ký ban hành.
|
18/07/2025 |
Hiệu lực:
|
Đã biết
|
| Người ký: | Đang cập nhật |
Tình trạng hiệu lực:
Cho biết trạng thái hiệu lực của văn bản đang tra cứu: Chưa áp dụng, Còn hiệu lực, Hết hiệu lực, Hết hiệu lực 1 phần; Đã sửa đổi, Đính chính hay Không còn phù hợp,...
|
Đã biết
|
TÓM TẮT TIÊU CHUẨN VIỆT NAM TCVN 13331:2025
TCVN 13331:2025: Quy định mới về hệ vách kính trong thiết kế, thi công và nghiệm thu
Tiêu chuẩn quốc gia TCVN 13331:2025 được ban hành nhằm quy định các yêu cầu kỹ thuật cho việc thiết kế, thi công và nghiệm thu hệ vách kính, thay thế cho TCVN 13331:2021. Văn bản này được biên soạn bởi Viện Khoa học Công nghệ Xây dựng - Bộ Xây dựng và có hiệu lực từ ngày ban hành. Nó đã được xây dựng dựa trên tiêu chuẩn JGJ 102-2003 của Trung Quốc, tạo ra một sự sáng tỏ và đồng bộ trong quy trình xây dựng liên quan đến hệ vách kính.
Tiêu chuẩn này giới thiệu nhiều cải tiến lớn, bao gồm các yêu cầu tính toán kết cấu, quy trình thi công, nghiệm thu và các phương pháp kiểm tra độ kín nước, cùng với hướng dẫn bảo trì sau thi công. Trong đó, một số điểm nổi bật là việc điều chỉnh yêu cầu xác định tải trọng gió và động đất, giúp tối ưu hóa quá trình thiết kế công trình.
Phạm vi áp dụng của tiêu chuẩn xác định rõ các yêu cầu thiết kế và thi công cho hệ vách kính. Ngoài ra, TCVN 13331:2025 bổ sung và quy định các tài liệu viện dẫn cần thiết cho việc áp dụng tiêu chuẩn này, bao gồm nhiều tiêu chuẩn quốc gia liên quan đến vật liệu nhôm, kính, keo kết cấu, gioăng và phụ kiện.
Hệ vách kính được phân loại theo nhiều phương thức như hệ vách kính dạng khung, dạng toàn kính và dạng đỡ điểm, trong đó mỗi loại đều có những yêu cầu thiết kế và thi công khác nhau. Tiêu chuẩn đã quy định rõ ràng về chất lượng vật liệu sử dụng cho hệ vách kính. Ví dụ, vật liệu kim loại và phụ kiện cần phải chịu thời tiết và có khả năng chống ăn mòn tốt.
Đặc biệt, tiêu chuẩn quy định về kính sử dụng trong hệ vách kính như: kính an toàn, kính nhiều lớp và kính hộp, cùng những yêu cầu về hiệu suất như tính năng chịu áp lực gió, kín khí, và cách âm cần phải được đánh giá trong cả thiết kế và thực tế thi công.
Việc nghiệm thu hệ vách kính cũng được quy định cụ thể, nhằm đảm bảo tất cả các yêu cầu kỹ thuật đều được đáp ứng, từ vật liệu cho đến quy trình thi công. Tiêu chuẩn nhấn mạnh tầm quan trọng của bảo trì định kỳ cho các hệ vách kính để đảm bảo an toàn và hiệu quả trong suốt thời gian sử dụng.
TCVN 13331:2025 không chỉ tạo ra một cơ sở pháp lý vững chắc cho các nhà thầu, mà còn bảo vệ quyền lợi của người sử dụng thông qua việc đảm bảo chất lượng và an toàn cho các công trình xây dựng có ứng dụng hệ vách kính.
Tải tiêu chuẩn Việt Nam TCVN 13331:2025
TIÊU CHUẨN QUỐC GIA
TCVN 13331:2025
HỆ VÁCH KÍNH - THIẾT KẾ, THI CÔNG VÀ NGHIỆM THU
Glass curtain wall - Design, construction and acceptance
Lời nói đầu
TCVN 13331:2025 được biên soạn trên cơ sở tham khảo tiêu chuẩn JGJ 102-2003 Technical code for glass curtain wall engineering
TCVN 13331:2025 thay thế TCVN 13331:2021.
TCVN 13331:2025 do Viện Khoa học Công nghệ Xây dựng - Bộ Xây dựng biên soạn, Bộ Xây dựng đề nghị, Ủy ban Tiêu chuẩn Đo lường Chất lượng Quốc gia, Bộ Khoa học và Công nghệ công bố.
Lời giới thiệu
Cơ sở tham khảo để xây dựng TCVN 13331:2025 là tiêu chuẩn JGJ 102-2003 của Trung Quốc cùng với các tài liệu, tiêu chuẩn trong và ngoài nước liên quan đến thiết kế, thi công và nghiệm thu hệ vách kính. Tiêu chuẩn này được xây dựng nhằm thay thế TCVN 13331:2021, với nhiều nội dung cập nhật nhằm đảm bảo chất lượng, an toàn và khả năng vận hành của hệ vách kính trong các công trình xây dựng.
Trong phần tài liệu viện dẫn của TCVN 13331:2025, có các tiêu chuẩn liên quan đến vật liệu nhôm, kính, keo kết cấu, gioăng và phụ kiện sử dụng trong hệ vách kính. Các tài liệu viện dẫn này đảm bảo sự đồng bộ và thống nhất trong thiết kế, sản xuất, thi công và nghiệm thu hệ vách kính.
Trong tiêu chuẩn TCVN 13331:2025, nhiều điểm mới đáng chú ý được đưa vào, trong đó có:
- Thay đổi các yêu cầu về tính toán kết cấu, bao gồm phương pháp xác định tải trọng gió, tải trọng động đất và các tiêu chuẩn về độ bền liên kết, ổn định kết cấu.
- Điều chỉnh quy trình thi công và nghiệm thu, bổ sung các phương pháp kiểm tra độ kín nước, khả năng chịu tải trọng và sai số lắp đặt.
- Bổ sung hướng dẫn về bảo trì và sửa chữa.
Những thay đổi này giúp tiêu chuẩn TCVN 13331:2025 phù hợp hơn với các yêu cầu kỹ thuật hiện đại, đảm bảo hệ vách kính đạt chất lượng cao, an toàn và bền vững trong thực tế áp dụng.
HỆ VÁCH KÍNH - THIẾT KẾ, THI CÔNG VÀ NGHIỆM THU
Glass curtain wall - Design, construction and acceptance
1 Phạm vi áp dụng
Tiêu chuẩn này quy định các yêu cầu kỹ thuật đối với các công tác thiết kế, thi công và nghiệm thu hệ vách kính.
Các yêu cầu khác không nêu trong tiêu chuẩn này (cách âm, cách nhiệt, thông gió, chiếu sáng, tiết kiệm năng lượng v.v.) được quy định trong các tiêu chuẩn khác hoặc trong các tài liệu kỹ thuật chuyên ngành có liên quan.
2 Tài liệu viện dẫn
Các tài liệu viện dẫn sau là cần thiết cho việc áp dụng tiêu chuẩn này. Đối với các tài liệu viện dẫn ghi năm công bố thì áp dụng phiên bản được nêu. Đối với các tài liệu viện dẫn không ghi năm công bố thì áp dụng phiên bản mới nhất, bao gồm cả các sửa đổi, bổ sung (nếu có).
TCVN 1765:1975, Thép các bon kết cấu thông thường - Mác thép và yêu cầu kỹ thuật
TCVN 1766:1975, Thép các bon kết cấu chất lượng tốt - Mác thép và yêu cầu kỹ thuật
TCVN 1916:1995, Bu lông, vít, vít cấy và đai ốc - Yêu cầu kỹ thuật
TCVN 2737:2023, Tải trọng và tác động
TCVN 3104:1979, Thép kết cấu hợp kim thấp - Mác, yêu cầu kỹ thuật
TCVN 5026:2010, Lớp phủ kim loại và lớp phủ vô cơ khác - Lớp kẽm mạ điện có xử lý bổ sung trên nền gang hoặc thép
TCVN 5308:1991, Quy phạm kỹ thuật an toàn trong xây dựng
TCVN 5408:2007, Lớp phủ kẽm nhúng nóng trên bề mặt sản phẩm gang và thép - Yêu cầu kỹ thuật và phương pháp thử
TCVN 5574:2018, Thiết kế kết cấu bê tông và bê tông cốt thép
TCVN 5575:2024, Thiết kế kết cấu thép
TCVN 5709:2009, Thép các bon cán nóng dùng làm kết cấu trong xây dựng - Yêu cầu kỹ thuật
TCVN 6115:2015 (ISO 6520:2007) (tất cả các phần), Hàn và các quá trình liên quan - Phân loại khuyết tật hình học ở kim loại
TCVN 6522:2018, Thép tấm mỏng cán nóng chất lượng kết cấu
TCVN 6834:2001 (ISO 9956:1995) (tất cả các phần), Đặc tính kỹ thuật và sự chấp nhận các quy trình hàn vật liệu kim loại
TCVN 7218:2018, Kính tấm xây dựng - Kính nổi - Yêu cầu kỹ thuật
TCVN 7296:2003, Hàn - Dung sai chung cho các kết cấu hàn - Kích thước dài và kích thước góc - Hình dạng và vị trí
TCVN 7364:2018 (ISO 12543:2011) (tất cả các phần), Kính xây dựng - Kính dán nhiều lớp và kính dán an toàn nhiều lớp
TCVN 7455:2013, Kính xây dựng - Kính phẳng tôi nhiệt
TCVN 7456:2004, Kính xây dựng - Kính cốt lưới thép
TCVN 7472:2018, Hàn - Các liên kết hàn nóng chảy ở thép, niken titan và các hợp kim của chúng (trừ hàn chùm tia) - Mức chất lượng đối với khuyết tật
TCVN 7474:2005, Liên kết hàn hồ quang nhôm và các hợp kim nhôm - Chỉ dẫn mức chất lượng cho khuyết tật
TCVN 7505:2005, Quy phạm sử dụng kính trong xây dựng - Lựa chọn và lắp đặt
TCVN 7506:2011 (ISO 3834:2005) (tất cả các phần), Yêu cầu chất lượng đối với hàn nóng chảy kim loại
TCVN 7526:2005, Kính xây dựng - Định nghĩa và phân loại
TCVN 7527:2005, Kính xây dựng - Kính cán vân hoa
TCVN 7528:2005, Kính xây dựng - Kính phủ phản quang
TCVN 7529:2005, Kính xây dựng - Kính màu hấp thụ nhiệt
TCVN 7736:2007, Kính xây dựng - Kính kéo
TCVN 7737:2007, Kính xây dựng - Phương pháp xác định độ xuyên quang, độ phản quang, tổng năng lượng bức xạ mặt trời truyền qua và độ xuyên bức xạ tử ngoại
TCVN 8260:2009, Kính xây dựng - Kính hộp gắn kín cách nhiệt
TCVN 8266:2009, Silicon xảm khe cho kết cấu xây dựng - Yêu cầu kỹ thuật
TCVN 8267:2009 (tất cả các phần), Silicon xảm khe cho kết cấu xây dựng
TCVN 8594:2011 (tất cả các phần), Thép không gỉ cán nguội liên tục - Dung sai kích thước và hình dạng
TCVN 9366-2:2012, Cửa đi cửa sổ - Phần 2: Cửa kim loại
TCVN 9385:2012, Chống sét cho công trình xây dựng - Hướng dẫn thiết kế, kiểm tra và bảo trì hệ thống
TCVN 9386, Thiết kế công trình chịu động đất
TCVN 11791:2017 (ISO 630-5), Thép kết cấu - Điều kiện kỹ thuật khi cung cấp thép chịu ăn mòn khí quyển
TCVN 10356:2017 (ISO 15510:2014), Thép không gỉ - Thành phần hóa học
TCVN 10357:2014 (tất cả các phần), Thép không gỉ cán nóng liên tục - Dung sai kích thước và hình dạng
TCVN 11244 (tất cả các phần), Đặc tính kỹ thuật và chấp nhận các quy trình hàn vật liệu kim loại
TCVN 12002:2020, Kết cấu thép xây dựng - Chế tạo và kiểm tra chất lượng
TCVN 12109 (tất cả các phần), Thép không gỉ thông dụng - Phần 1: Sản phẩm phẳng chịu ăn mòn
TCVN 12152:2017 (ISO 7583:2013), Anốt hóa nhôm và hợp kim nhôm - Thuật ngữ và định nghĩa
TCVN 12513:2018 (ISO 6362:2012) (tất cả các phần), Nhôm và hợp kim nhôm gia công áp lực - Que/thanh, ống và sản phẩm định hình ép đùn
TCVN 13194:2020, Kết cấu thép - Lắp dựng và nghiệm thu
3 Thuật ngữ và định nghĩa
Tiêu chuẩn này sử dụng các thuật ngữ và định nghĩa sau:
3.1
Ăn mòn điện hóa (electrochemical corrosion)
Hiện tượng ăn mòn do sự hình thành cặp pin điện từ của hai kim loại, trong đó xảy ra phản ứng điện hóa không ngừng để trao đổi dòng điện tử và làm giảm độ bền kim loại.
3.2
Băng dính hai mặt (double-faced adhesive tape)
Băng dính có hai mặt dính để định vị kính trong hệ vách kính.
3.3
Hệ bao che (facade)
Kết cấu có chức năng bảo vệ các không gian bên trong tòa nhà và công trình khỏi tác động của tự nhiên từ bên ngoài, với các yêu cầu về độ bền, cách nhiệt, cách nước, cách hơi ẩm, chống lọt khí, cách âm,...
3.4
Hệ vách kính (glass curtain wall)
Hệ bao che bao gồm các kết cấu đỡ và kính.
3.5
Hệ vách kính hỗn hợp (composite curtain wall)
Hệ vách kính được chế tạo từ nhiều loại vật liệu khác nhau (như kính, kim loại, đá...).
3.6
Hệ vách kính nghiêng (inclined building curtain wall)
Hệ vách kính có góc nghiêng lớn hơn 75° và nhỏ hơn 90°.
3.7
Hệ vách kính dạng khung đỡ (frame supported glass curtain wall)
Hệ vách kính được cấu tạo chủ yếu từ các tấm kính và được đỡ xung quanh chu vi tấm kính bởi các khung kim loại. Hệ vách kính dạng khung đỡ thường được phân loại theo hình thức của khung đỡ và theo phương pháp lắp đặt, cụ thể như sau:
a) Phân loại theo khung kim loại:
- Hệ vách kính khung lộ: Khung kim loại lộ ra ngoài bề mặt của hệ vách kính.
- Hệ vách kính khung kín: Khung kim loại không lộ ra ngoài bề mặt của hệ vách kính.
- Hệ vách kính khung nửa lộ: Khung kim loại lộ ra ngoài bề mặt của hệ vách kính ở đố dọc hoặc đố ngang.
b) Phân loại theo các phương pháp lắp đặt:
- Hệ vách kính dạng panen là hệ vách kính được sản xuất, gia công và hoàn thiện thành các tấm panen ngay từ trong nhà máy, sau đó được chuyển đến công trình để lắp dựng và hoàn thiện tổng thể.
- Hệ vách kính dạng tổ hợp là hệ vách kính được sản xuất và gia công các thanh nhôm, kính và một số chi tiết khác tại nhà máy, toàn bộ công việc liên kết, lắp dựng và hoàn thiện được thực hiện tại công trường.
3.8
Hệ vách kính dạng toàn kính (full glass curtain wall)
Hệ vách kính có các bộ phận chính đều bằng kính (panen kính và sườn đỡ bằng kính).
3.9
Hệ vách kính dạng đỡ điểm (point-supported glass curtain wall)
Hệ vách kính chỉ dùng các chốt giữ kính để tạo thành các điểm liên kết và kết nối các tấm kính lại với nhau.
3.10
Kết cấu liên kết (supporting device)
Kết cấu dùng để liên kết các tấm kính và kết cấu đỡ.
3.11
Kết cấu đỡ (suppporting structure)
Kết cấu dùng để đỡ tấm kính thông qua kết cấu liên kết.
3.12
Kết cấu chính (main structure)
Kết cấu hoặc cấu kiện chịu lực của công trình (cột, dầm, sàn, tường ...) mà hệ vách kính liên kết vào.
3.13
Keo silicon kết cấu (structural silicone sealant)
Chất bịt kín bằng silicon để liên kết (chịu lực) giữa khung kim loại và kính.
3.14
Keo silicon thời tiết (weather silicone sealant)
Chất bịt kín bằng silicon để chịu các tác động của thời tiết.
3.15
Tao cáp (strand)
Tổ hợp của nhiều sợi thép quấn thành một hoặc nhiều lớp quanh một sợi đơn làm lõi tạo ra một tiết diện trụ tròn.
3.16
Tính tương thích (compatibility)
Khả năng làm việc với nhau giữa các loại vật liệu mà không gây hư hỏng về vật lý hay hóa học.
4 Ký hiệu và đơn vị
Tiêu chuẩn này sử dụng các ký hiệu và đơn vị cho trong Bảng 1.
Bảng 1 - Ký hiệu và đơn vị đo của các đại lượng
| Ký hiệu | Đơn vị | Giải thích |
| A | mm2 | Diện tích tiết diện nguyên của đố đứng |
| An | mm2 | Diện tích tiết diện thực của đố đứng |
| D | Nmm | Độ cứng của kính |
| E | MPa | Mô đun đàn hồi của vật liệu |
| H | m | Chiều cao của hệ vách kính |
| Ix | mm4 | Mô men quán tính đối với đối với trục x-x của tiết diện nguyên của đố ngang |
| Iy | mm4 | Mô men quán tính đối với trục y-y của tiết diện nguyên của đố ngang |
| L | mm | Chiều dài cấu kiện |
| Ln | mm | Khoảng cách theo phương ngang |
| M | Nmm | Mô men tính toán của đố đứng |
| Mx | Nmm | Mô men tính toán đối với trục x-x (song song với mặt phẳng của hệ vách kính) của đố ngang |
| My | Nmm | Mô men tính toán đối với trục y-y (vuông góc với mặt phẳng của hệ vách kính) của đố ngang |
| N | N | Lực nén (dọc) tính toán của đố đứng |
| NE | N | Lực nén tới hạn |
| Sx | mm3 | Mô men tĩnh của tiết diện nguyên của đố ngang đối với trục x-x |
| Sy | mm3 | Mô men tĩnh của tiết diện nguyên của đố ngang đối với trục y-y |
| Vx | N | Lực cắt tính toán theo phương ngang (trục x-x) của đố ngang |
| Vy | N | Lực cắt tính toán theo phương thẳng đứng (trục y-y) của đố ngang |
| W | mm3 | Mô men chống uốn của tiết diện nguyên theo phương tác dụng của mô men ứng với phía chịu nén lớn hơn |
| Wn | mm3 | Mô men chống uốn theo phương tác dụng của mô men của tiết diện thực của đố đứng |
| Wnx | mm3 | Mô men chống uốn của tiết diện thực đối với trục x-x (song song với mặt phẳng của hệ vách kính) của đố ngang |
| Wny | mm3 | Mô men chống uốn của tiết diện thực đối với trục y-y (vuông góc với mặt phẳng của hệ vách kính) của đố ngang |
| a | mm | Cạnh ngắn của tấm kính hình chữ nhật |
| ack | mm | Chiều cao của cấu kiện liên kết |
| ak | mm | Bề rộng khe giữa kính và mép lỗ khe |
| alk | mm | Bề rộng của của kích thước lỗ khe (đầu mộng dương) |
| b | mm | Cạnh dài của tấm kính |
| bck | mm | Chiều dài của cấu kiện liên kết |
| bk | mm | Độ sâu ngàm của kính vào lỗ khe |
| blk | mm | Chiều cao của kích thước lỗ khe (đầu mộng dương) |
| c1 | mm | Khe hở trung bình giữa kính và cạnh khung bên trái và bên phải |
| c2 | mm | Khe hở trung bình giữa kính và cạnh khung bên trên và bên dưới |
| cck | mm | Khoảng cách lỗ của cấu kiện liên kết |
| ck | mm | Khoảng cách từ đầu mút của kính và thành lỗ khe |
| clk | mm | Khoảng cách từ tâm của kích thước lỗ khe (đầu mộng dương) đến mép |
| cs | mm | Bề rộng bám dính của keo silicon kết cấu |
| da | mm | Chiều dày lớp không khí của kính hộp |
| dck | mm | Bề rộng lỗ của cấu kiện liên kết |
| df | mm | Độ võng của cấu kiện khi chịu tác động của tải trọng gió tiêu chuẩn hoặc khi chịu tác động của tải trọng thường xuyên tiêu chuẩn |
| df,lim | mm | Giá trị độ võng giới hạn |
| eck | mm | Khoảng cách đến mép của cấu kiện liên kết |
| fy | MPa | Cường độ chịu kéo tính toán của vật liệu fya (nhôm) hoặc fys (thép) theo giới hạn chảy (MPa). |
| f1 | MPa | Cường độ tính toán của keo silicon kết cấu dưới tác dụng của tải trọng gió |
| f2 | MPa | Cường độ tính toán của keo silicon kết cấu dưới tác dụng của tải trọng thường xuyên |
| fg | MPa | Cường độ tính toán của mặt bên kính |
| h | mm | Khoảng cách giữa các điểm đỡ phía trên và dưới gờ kính, tức nhịp tính toán |
| hg | mm | Chiều cao của tấm kính |
| hr | mm | Chiều cao tiết diện gờ kính |
| l | mm | Nhịp của đố ngang (khoảng cách giữa các gối kê) (nhịp của tấm kính giữa hai gờ) |
| l1 | mm | Chiều dài theo phương đứng của cạnh tấm kính hình chữ nhật |
| l2 | mm | Chiều dài theo phương ngang của cạnh tấm kính hình chữ nhật |
| m | Không thứ nguyên | Hệ số mô men |
| q | MPa | Tải trọng tính toán phân bố vuông góc lên mặt kính, khi thiết kế chịu động đất phải bao gồm cả tải trọng phân bố tính toán do động đất tác dụng |
| qE | MPa | Tải trọng động đất tính toán tác dụng vuông góc với mặt phẳng của hệ vách kính |
| qE1 | MPa | Tải trọng động đất tính toán tác dụng vuông góc với mặt phẳng của lớp kính thứ nhất của của hệ vách kính |
| qE2 | MPa | Tải trọng động đất tính toán tác dụng vuông góc với mặt phẳng của lớp kính thứ hai của của hệ vách kính |
| qG | MPa | Tải trọng bản thân tính toán trên một đơn vị diện tích kính của hệ vách kính |
| t | mm | Chiều dày tấm kính (chiều dày tiết diện gờ kính) |
| t1 | mm | Chiều dày lớp kính thứ nhất |
| t2 | mm | Chiều dày lớp kính thứ hai |
| ta | pm | Chiều dày lớp xử lý bề mặt |
| tck | mm | Chiều dày của cấu kiện liên kết |
| te | mm | Chiều dày hữu hiệu của tấm kính nhiều lớp (tấm kính hộp) |
| tt | mm | Chiều dày thép |
| ts | mm | Chiều dày bám dính của keo silicon kết cấu |
| tx | mm | Tổng bề rộng của tiết diện bản bụng vuông góc với trục x-x của tiết diện đố ngang |
| ty | mm | Tổng bề rộng của tiết diện bản bụng vuông góc với trục y-y của tiết diện đố ngang |
| us | mm | Chuyển vị tương đối giữa hệ vách kính với khung hợp kim nhôm |
| ulim | mm | Giá trị biến dạng giới hạn của ô khung do chuyển vị lệch tầng của hệ kết cấu chính gây ra |
| w | MPa | Áp lực gió tính toán tác dụng vuông góc với mặt phẳng của hệ vách kính |
| wk | MPa | Áp lực gió tiêu chuẩn tác dụng vuông góc với mặt phẳng của hệ vách kính |
| w1 | MPa | Áp lực gió tính toán tác dụng vuông góc với mặt phẳng của lớp kính thứ nhất của hệ vách kính |
| w2 | MPa | Áp lực gió tính toán tác dụng vuông góc với mặt phẳng của lớp kính thứ hai của hệ vách kính |
| α | 1/°C | Hệ số giãn nở nhiệt của vật liệu |
| β | Độ | Góc uốn của cấu kiện liên kết |
| δ | Không thứ nguyên | Khả năng chịu chuyển dịch của keo silicon kết cấu |
| γ | Không thứ nguyên | Hệ số phát triển biến dạng dẻo |
| γg | kN/m3 | Trọng lượng thể tích của vật liệu |
| η | Không thứ nguyên | Hệ số giảm |
| φ | Không thứ nguyên | Hệ số ổn định khi chịu nén đúng tâm theo phương tác dụng của mô men |
| λ | Không thứ nguyên | Độ mảnh |
| μ | Không thứ nguyên | Hệ số độ võng |
| v | Không thứ nguyên | Hệ số poát-xông của vật liệu |
| θ | rad | Giới hạn góc xoay của chuyển vị lệch tầng đàn hồi của hệ kết cấu chính do tải trọng gió gây ra |
| ξ | Không thứ nguyên | Tham số |
| σw | MPa | Ứng suất lớn nhất của tiết diện kính khi chịu tác động của tải trọng gió |
| σE | MPa | Ứng suất lớn nhất của tiết diện kính khi chịu tác động của tải trọng động đất |
5 Vật liệu
5.1 Quy định chung
5.1.1 Vật liệu dùng cho hệ vách kính cần phù hợp với các quy định liên quan của tiêu chuẩn quốc gia hiện hành và yêu cầu thiết kế. Nếu vật liệu không có tiêu chuẩn tương ứng thì cần phù hợp với yêu cầu thiết kế, đồng thời cần có chứng nhận xuất xưởng đạt chất lượng.
5.1.2 Hệ vách kính phải sử dụng vật liệu chịu thời tiết. Vật liệu kim loại và phụ kiện kim loại nếu không sử dụng thép không gỉ và thép chịu thời tiết thì phải tiến hành mạ kẽm nhúng nóng, phủ lớp giàu kẽm vô cơ hoặc sử dụng các biện pháp chống ăn mòn hữu hiệu khác. Vật liệu hợp kim nhôm cần tiến hành xử lý bề mặt bằng các phương pháp ô-xy hóa dương cực bề mặt, sơn tĩnh điện, phun bột hoặc phun sơn florua-cacbon.
5.1.3 Vật liệu của hệ vách kính nên lựa chọn vật liệu không cháy hoặc vật liệu khó cháy; cấu tạo bịt khe chống cháy phải sử dụng vật liệu bịt chống cháy.
5.1.4 Đối với hệ vách kính khung kín hoặc khung nửa lộ, vật liệu dính kết giữa kính và thanh nhôm phải sử dụng keo silicon kết cấu trung tính; đối với hệ vách kính dạng toàn kính và hệ vách kính dạng đỡ điểm sử dụng kính phủ mặt, không được sử dụng keo silicon kết cấu dạng axit để liên kết.
5.1.5 Keo silicon kết cấu và keo silicon kiến trúc cần sử dụng trong thời hạn sử dụng.
5.2 Hợp kim nhôm
5.2.1 Chất lượng của hợp kim nhôm sử dụng trong hệ vách kính cần thỏa mãn các quy định liên quan trong TCVN 12513:2018 (ISO 6362:2012) (tất cả các phần).
5.2.2 Khi tiến hành xử lý bề mặt thanh hợp kim nhôm bằng phương pháp ô-xy hóa dương cực, sơn tĩnh điện, phun bột hoặc phun sơn florua-cacbon thì cần tuân thủ các yêu cầu chất lượng quy định trong TCVN 12513:2018 (ISO 6362:2012) (tất cả các phần), chiều dày lớp xử lý bề mặt cần thỏa mãn yêu cầu tại Bảng 2.
Bảng 2 - Chiều dày lớp xử lý bề mặt vật liệu hợp kim nhôm
| Phương pháp xử lý bề mặt | Cấp chiều dày lớp màng | Chiều dày lớp xử lý bề mặt ta, μm | ||
| Chiều dày trung bình | Chiều dày cục bộ | |||
| Ô-xy hóa dương cực | Không thấp hơn AA15 1) | ta ≥ 15 | ta ≥ 12 | |
| Sơn điện di | Màng ô-xy hóa dương cực | B | ta ≥ 10 | ta ≥ 8 |
| Màng sơn | B | - | ta ≥ 7 | |
| Màng phức hợp | B | - | ta ≥ 16 | |
| Phun bột | - | - | 40 ≤ ta ≤ 120 | |
| Phun sơn florua-cacbon | - | ta ≥ 40 | ta ≥ 34 | |
| CHÚ THÍCH: 1) Cấp chiều dày lớp màng theo TCVN 12152:2017 (ISO 7583:2013). | ||||
5.2.3 Khi sử dụng công nghệ đặt lớp cách nhiệt để sản xuất vật liệu hợp kim nhôm cách nhiệt, vật liệu bề mặt không được sử dụng vật liệu PVC. Khi sử dụng công nghệ đổ lớp cách nhiệt để sản xuất vật liệu hợp kim nhôm cách nhiệt, thì vật liệu bề mặt cần sử dụng vật liệu PUR (Polyurethane). Cường độ chịu cắt tại vị trí liên kết cần thỏa mãn yêu cầu thiết kế.
5.2.4 Cửa đi, cửa sổ hợp kim nhôm đồng bộ với hệ vách kính cần phù hợp với TCVN 9366-2:2012 và các tiêu chuẩn về sản phẩm liên quan khác.
5.2.5 Phụ kiện, liên kết đồng bộ với hệ vách kính cần phù hợp với các tiêu chuẩn sản phẩm tương ứng.
5.3 Thép
5.3.1 Chủng loại, mã hiệu, chất lượng của vật liệu thép cacbon, thép hợp kim thấp sử dụng cho hệ vách kính cần tuân thủ các quy định trong TCVN 1765:1975, TCVN 1766:1975, TCVN 3104:1979, TCVN 5709:2009, TCVN 6522:2018 và các tiêu chuẩn tương đương khác.
5.3.2 Thép không gỉ dùng cho hệ vách kính nên sử dụng loại thép không gỉ austenitic, đồng thời hàm lượng niken không được nhỏ hơn 8 %. Thép không gỉ cần tuân thủ các quy định trong TCVN 8594:2011 (tất cả các phần), TCVN 10357:2014 (tất cả các phần), TCVN 10356:2017 (ISO 15510:2014), TCVN 12109 (tất cả các phần) và các tiêu chuẩn tương đương khác.
5.3.3 Thép chịu thời tiết dùng cho hệ vách kính cần tuân thủ các quy định trong TCVN 11791:2017 (ISO 630-5) và các tiêu chuẩn tương đương khác.
5.3.4 Thép cacbon và thép cường độ cao hợp kim thấp dùng cho hệ vách kính phải được xử lý chống ăn mòn hữu hiệu, khi sử dụng biện pháp chống ăn mòn bằng mạ kẽm nhúng nóng, chiều dày lớp mạ cần thỏa mãn quy định trong TCVN 5408:2007 và các tiêu chuẩn tương đương khác.
5.3.5 Thép cacbon và thép cường độ cao hợp kim thấp dùng cho kết cấu đỡ sử dụng sơn fluorocarbon hoặc sơn polyurethane để sơn bề mặt thì chiều dày lớp sơn không nhỏ hơn 35 μm, trong vùng không khí bị ô nhiễm nặng hoặc vùng gần biển, thì chiều dày lớp sơn không nhỏ hơn 45 μm.
5.3.6 Sợi cáp không gỉ dùng trong hệ vách kính dạng đỡ điểm cần thỏa mãn các quy định trong TCVN 12109-3:2018 hoặc các tiêu chuẩn tương đương khác.
5.3.7 Yêu cầu kỹ thuật của đầu neo sử dụng trong hệ vách kính dạng đỡ điểm cần tuân thủ các quy định trong các tiêu chuẩn sản phẩm tương ứng.
5.3.8 Phụ kiện đỡ của hệ vách kính dạng đỡ điểm và dạng toàn kính cần phù hợp với các tiêu chuẩn sản phẩm tương ứng.
5.3.9 Khi tiến hành hàn thép, nhôm và các kim loại khác, cần tuân thủ quy định trong TCVN 6115:2015 (ISO 6520:2007) (tất cả các phần), TCVN 6834:2001 (ISO 9956:1995) (tất cả các phần), TCVN 7296:2003, TCVN 7472:2005, TCVN 7474:2005, TCVN 7506:2011 (ISO 3834:2005) (tất cả các phần), TCVN 11244 (tất cả các phần) và các tiêu chuẩn liên quan khác.
5.4 Kính
5.4.1 Kính phải đáp ứng các yêu cầu về an toàn quy định trong [2].
5.4.2 Chất lượng bề ngoài và tính năng của kính cần thỏa mãn các quy định trong TCVN 7218:2002, TCVN 7364:2018 (ISO 12543:2011) (tất cả các phần), TCVN 7455:2004, TCVN 7456:2004, TCVN 7505:2005, TCVN 7526:2005, TCVN 7527:2005, TCVN 7528:2005, TCVN 7529:2005, TCVN 7624:2007, TCVN 7625:2007, TCVN 7736:2007, TCVN 7737:2007, TCVN 8260:2009 hoặc các tiêu chuẩn sản phẩm khác.
5.4.3 Nếu hệ vách kính sử dụng kính có phủ lớp phản quang, khi không sản xuất trên dây chuyền thì sử dụng công nghệ “phủ chân không” để sản xuất; khi sản xuất trên dây chuyền thì sử dụng công nghệ phun nóng để sản xuất.
5.4.4 Khi hệ vách kính sử dụng kính hộp, ngoài thỏa mãn các quy định liên quan trong TCVN 8260:2009 và các tiêu chuẩn sản phẩm khác, còn thỏa mãn các quy định sau:
a) Khoảng rỗng lớp khí giữa lớp kính không được nhỏ hơn 9 mm.
b) Kính hộp cần sử dụng hai lớp ngăn để bịt. Lớp bịt thứ nhất sử dụng keo butyl nóng chảy. Lớp bịt thứ hai của kính hộp dùng trong hệ vách kính dạng khung kín, dạng khung nửa lộ và dạng đỡ điểm cần sử dụng keo silicon kết cấu; lớp bịt thứ hai của kính hộp dùng trong hệ vách kính dạng khung lộ nên sử dụng keo bịt gốc polysulfide, cũng có thể sử dụng keo silicon. Lớp bịt thứ hai nên sử dụng máy chuyên dụng để trộn và bôi keo.
c) Khung nhôm giữa các tấm kính hộp có thể sử dụng dạng bẻ uốn liên tục hoặc dạng chèn góc, không được sử dụng thanh keo ngăn cách loại nóng chảy. Vật liệu hút ẩm trong các khung nhôm ngăn cách nên sử dụng thiết bị chuyên dụng để đặt.
d) Quá trình gia công kính hộp cần lựa chọn giải pháp để ngăn chặn hiện tượng lồi lõm có thể xảy ra trên bề mặt kính.
5.4.5 Kính hộp phải được mài cạnh bằng máy chuyên dụng phù hợp. Lỗ của hệ vách kính dạng đỡ điểm, cạnh của tấm đều cần tiến hành mài và vát cạnh sao cho bề rộng vát góc không nhỏ hơn 1 mm.
5.4.6 Kính cường lực phải tiến hành xử lý nhiệt lần hai.
5.4.7 Khi hệ vách kính sử dụng kính nhiều lớp, phải sử dụng phương pháp gia công khô để hợp thành, phim xen kẹp nên sử dụng loại polyvinyl butyral (PVB); khi ghép mặt các lớp kính nhiều lớp, phải khống chế nghiêm ngặt nhiệt độ và độ ẩm.
5.4.8 Khi hệ vách kính sử dụng kính có phủ lớp bức xạ thấp một mặt, phải sử dụng kính được phun nóng để phủ lớp bức xạ thấp trên dây chuyền; đối với kính được phủ lớp bức xạ thấp sau, thì nên gia công thành kính hộp để sử dụng, đồng thời lớp phủ phải quay vào phía lớp không khí ở giữa.
5.4.9 Đối với kính có yêu cầu chống cháy, cần dựa vào yêu cầu của giới hạn chịu lửa để lựa chọn tấm kính ngăn cháy hoặc các sản phẩm của nó.
5.4.10 Đối với hệ vách kính lấy sáng ban ngày thì nên sử dụng kính phủ men.
5.5 Vật liệu bịt kiến trúc
5.5.1 Các sản phẩm cao su của hệ vách kính nên sử dụng cao su EPDM, cao su neoprene và silicon.
5.5.2 Vật liệu bịt cần phù hợp với các tiêu chuẩn sản phẩm tương ứng.
5.5.3 Vật liệu bịt của kính hộp nên sử dụng keo butyl nóng chảy và cần thỏa mãn các tiêu chuẩn sản phẩm tương ứng. Lớp bịt thứ hai của kính hộp của hệ vách kính khung kín hoặc khung nửa lộ ngoài cần thỏa mãn các quy định liên quan tại 5.6.
5.5.4 Vật liệu bịt chịu thời tiết của hệ vách kính phải sử dụng keo silicon thời tiết; khi hệ vách kính dạng đỡ điểm và hệ vách kính dạng toàn kính sử dụng kính không phủ mặt, thì keo silicon thời tiết dạng axít cần có tính năng thỏa mãn các yêu cầu trong TCVN 8266:2009. Keo bịt giữa các tấm kính nhiều lớp nên sử dụng keo silicon kiến trúc dạng trung tính.
5.6 Vật liệu bịt kết cấu
5.6.1 Vật liệu bịt kết cấu thường là keo silicon kết cấu dạng trung tính và keo silicon kết cấu dạng axít. Tính năng của hai loại keo silicon này cần thỏa mãn các yêu cầu trong TCVN 8266:2009.
5.6.2 Keo silicon kết cấu trước khi sử dụng phải được thí nghiệm tính tương thích với vật liệu tiếp xúc, độ cứng Shore và tính năng bám dính khi kéo ở trạng thái tiêu chuẩn theo TCVN 8267:2009 (tất cả các phần) và các tiêu chuẩn tương ứng khác.
5.6.3 Nhà sản xuất keo silicon kết cấu phải cung cấp số liệu về khả năng chịu biến dạng và giấy chứng nhận chất lượng.
5.7 Các vật liệu khác
5.7.1 Băng dính hai mặt dạng ít sủi bọt sử dụng cùng với keo silicon kết cấu một thành phần phải có tính thông khí.
5.7.2 Hệ vách kính nên sử dụng thanh bọt polyethylene làm vật liệu chèn đầy, khối lượng thể tích của vật liệu này không được lớn hơn 37 kg/m3.
5.7.3 Vật liệu cách nhiệt, bảo ôn của hệ vách kính nên sử dụng bông đá, bông quặng, bông thủy tinh, tấm ngăn cháy bằng vật liệu không cháy hoặc khó cháy.
6 Thiết kế kiến trúc
6.1 Quy định chung
6.1.1 Cần phải dựa vào công năng sử dụng, thiết kế mặt đứng, phân tích kinh tế kỹ thuật để lựa chọn dạng, cấu tạo và vật liệu của hệ vách kính.
6.1.2 Hệ vách kính phải tương thích với tổng thể công trình và môi trường xung quanh.
6.1.3 Việc phân ô trên mặt đứng của hệ vách kính nên tương thích với tổ chức không gian bên trong, không được ảnh hưởng đến công năng và thị giác trong phòng. Khi xác định kích thước của tấm kính phải cố gắng nâng cao hiệu quả sử dụng của tấm kính nguyên, đồng thời cần phù hợp với năng lực gia công của thiết bị khi cường lực, phủ màng, dính lớp.
6.1.4 Các tấm kính của hệ vách kính phải dễ thay thế.
6.1.5 Việc bố trí cửa sổ trên hệ vách kính cần thỏa mãn yêu cầu về công năng sử dụng và hiệu quả mặt đứng, đồng thời phải đóng mở dễ dàng, tránh bố trí tại vị trí dầm, cột, tường ngăn. Góc mở của cửa sổ không lớn hơn 30°, khoảng cách mở không lớn hơn 300 mm.
6.1.6 Hệ vách kính phải thuận tiện cho công tác bảo trì và vệ sinh. Đối với hệ vách kính có chiều cao lớn hơn 40 m nên bố trí thiết bị dùng để bảo trì (Building Maintenance Unit - BMU).
6.2 Tính năng và yêu cầu kiểm tra
6.2.1 Việc thiết kế tính năng của hệ vách kính phải dựa vào phân loại, cao độ, hình dạng của công trình và điều kiện địa lý, khí hậu môi trường tại vị trí công trình để thực hiện.
6.2.2 Việc phân cấp tính năng chịu áp lực gió, kín khí, kín nước, cách nhiệt, cách âm của hệ vách kính cần thỏa mãn các quy định trong tiêu chuẩn Việt Nam hiện hành và chỉ dẫn kỹ thuật của công trình.
6.2.3 Tính năng chịu áp lực gió của hệ vách kính cần thỏa mãn biến dạng không vượt quá giá trị giới hạn cho phép, đồng thời không gây ra bất kỳ hư hỏng khi chịu tác động của tải trọng gió.
6.2.4 Khi có yêu cầu về sưởi ấm, thông gió, điều hòa không khí, thì tính năng kín khí của hệ vách kính không thấp hơn yêu cầu của các tiêu chuẩn hiện hành và chỉ dẫn kỹ thuật của công trình.
6.2.5 Áp lực gió dùng cho thí nghiệm tính năng về kín nước của hệ vách kính được quy định trong chỉ dẫn kỹ thuật của công trình. Khi không có chỉ dẫn cụ thể thì lấy như sau:
a) Giá trị tính toán của áp lực gió cho độ kín nước bằng 0,3 lần giá trị tiêu chuẩn của áp lực gió xác định theo TCVN 2737:2023, nhưng không được nhỏ hơn 300 Pa;
b) Độ kín nước của phần mở được nên bằng với phần cố định.
6.2.6 Tính năng biến dạng trong mặt phẳng của hệ vách kính, khi không thiết kế chịu động đất thì tiến hành thiết kế theo giới hạn chuyển vị lệch tầng đàn hồi của hệ kết cấu chính; khi có thiết kế chịu động đất, cần tiến hành thiết kế theo 3 lần giới hạn chuyển vị lệch tầng đàn hồi của hệ kết cấu chính. Kích thước tương thích giữa kính và khung nhôm còn cần thỏa mãn các yêu cầu tại 11.5.2 và 11.5.3 của tiêu chuẩn này.
6.2.7 Khi hệ vách kính có yêu cầu về giữ nhiệt thì phải sử dụng kính hộp, khi cần thiết có thể sử dụng vật liệu hợp kim nhôm cách nhiệt; khi hệ vách kính có yêu cầu cách nhiệt, nên thiết kế hệ che nắng thích hợp hoặc sử dụng kính tiết kiệm năng lượng.
6.2.8 Việc thiết kế tính năng cách âm của hệ vách kính cần căn cứ vào chỉ dẫn kỹ thuật của công trình và điều kiện môi trường để thực hiện.
6.2.9 Hệ vách kính phải sử dụng kính có độ phản xạ không lớn hơn 0,2, đối với hệ vách kính có yêu cầu lấy sáng thì hệ số truyền sáng không nhỏ hơn 0,2.
6.2.10 Các nội dung kiểm tra tính năng của hệ vách kính bao gồm độ bền gió, độ kín khí, độ kín nước, khi cần thiết có thể bổ sung kiểm tra tính năng chịu biến dạng trong mặt phẳng và các tính năng khác theo chỉ dẫn kỹ thuật của công trình.
6.2.11 Việc thí nghiệm tính năng của hệ vách kính được thực hiện với vật liệu, cấu tạo, phương pháp thi công lắp đặt của mẫu thí nghiệm phải giống với công trình thực tế.
6.2.12 Khi thí nghiệm tính năng của hệ vách kính, nếu một tính năng nào đó không đạt yêu cầu do lỗi lắp đặt, cho phép cải tiến công nghệ lắp đặt, sửa chữa lỗi và kiểm tra lại. Báo cáo thí nghiệm nên nêu rõ nội dung cải tiến, khi thi công hệ vách kính phải dựa vào công nghệ lắp đặt cải tiến để thi công; nếu một tính năng nào đó không đạt yêu cầu do lỗi của thiết kế hoặc do vật liệu thì dừng việc thí nghiệm, sau khi thay đổi thiết kế và thay thế vật liệu, chế tạo mẫu thử mới và tiến hành thí nghiệm lại.
6.3 Thiết kế cấu tạo
6.3.1 Việc thiết kế cấu tạo hệ vách kính cần thỏa mãn các nguyên tắc về an toàn, khả thi và mỹ quan, đồng thời thuận tiện cho việc chế tạo, lắp đặt, duy tu bảo dưỡng và thay thế cục bộ.
6.3.2 Vị trí nối của hệ vách kính khung lộ, vị trí ghép của các tổ hợp hệ vách kính dạng panen và vị trí mở nên được tiến hành thiết kế theo nguyên lý tấm che mưa. Đối với vị trí có thể bị thấm nước mưa và hình thành nước ngưng tụ thì phải có biện pháp cấu tạo để dẫn thoát nước.
6.3.3 Khe nối không chịu lực của hệ vách kính phải sử dụng keo silicon kiến trúc. Khe hở xung quanh vị trí cánh mở nên sử dụng cao su tổng hợp, cao su EPDM hoặc thanh nẹp cao su silicon để bịt kín.
6.3.4 Khi có sê nô, mái hiên và các cấu tạo kiến trúc nhô ra khỏi bề mặt hệ vách kính thì việc ngăn, thoát nước tại vị trí liên kết cần được thiết kế cấu tạo hoàn chỉnh.
6.3.5 Hệ vách kính phải lựa chọn vật liệu có tính năng chống ẩm và cách nhiệt hoặc sử dụng biện pháp cấu tạo chống ẩm và cách nhiệt.
6.3.6 Đối với hệ vách kính dạng panen, khi giữa các panen sử dụng phụ kiện tổ hợp dạng cắm ghép, thì vị trí giao giữa khe đứng và khe ngang phải sử dụng biện pháp cấu tạo chống thấm.
6.3.7 Tại vị trí liên kết của hệ vách kính cần có biện pháp để ngăn chặn tiếng ồn do ma sát. Vị trí liên kết giữa đố ngang và đố đứng của hệ vách kính phải tránh tiếp xúc cứng, có thể bố trí đệm mềm hoặc để chừa khe hở từ 1 mm đến 2 mm rồi bơm keo lấp đầy; đối với hệ vách kính khung kín, khi sử dụng liên kết cố định dạng treo thì mặt tiếp xúc của móc treo nên đặt tấm lót mềm.
6.3.8 Trừ thép không gỉ, tại vị trí tiếp xúc giữa các vật liệu kim loại khác nhau của hệ vách kính phải bố trí đệm ngăn một cách hợp lý hoặc sử dụng biện pháp chống ăn mòn khác.
6.3.9 Bề rộng khe nối giữa các tấm kính của hệ vách kính cần thỏa mãn yêu cầu biến dạng của kính và keo, đồng thời không nhỏ hơn 10 mm.
6.3.10 Khe hở giữa bề mặt xung quanh tấm kính với lớp hoàn thiện bên trong và bên ngoài công trình không nhỏ hơn 5 mm, có thể sử dụng vật liệu mềm để bịt khe. Hệ vách kính dạng toàn kính còn cần thỏa mãn 9.1.6.
6.3.11 Giữa cạnh dưới của kính trong hệ vách kính khung lộ và đáy khung phải sử dụng đệm cao su cứng để đỡ, số lượng đệm không ít hơn 2 cái, chiều dày không nhỏ hơn 5 mm, chiều dài mỗi tấm không nhỏ hơn 100 mm.
6.3.12 Khe hở giữa cạnh dưới của kính trong hệ vách kính khung lộ và đáy khung cần thỏa mãn của công thức sau:
|
| (1) |
trong đó:
ulim là giá trị biến dạng giới hạn của ô khung do chuyển vị lệch tầng của hệ kết cấu chính gây ra (mm);
l1 là chiều dài theo phương đứng của cạnh tấm kính hình chữ nhật (mm);
l2 là chiều dài theo phương ngang của cạnh tấm kính hình chữ nhật (mm);
c1 là khe hở trung bình giữa kính và cạnh khung bên trái và bên phải (mm), khi xác định phải xét đến sai lệch 1,5 mm do thi công;
c2 là khe hở trung bình giữa kính và cạnh khung bên trên và bên dưới (mm), khi xác định phải xét đến sai lệch 1,5 mm do thi công.
CHÚ THÍCH: Khi không thiết kế chịu động đất, ulim thì căn cứ vào giá trị giới hạn của chuyển vị lệch tầng đàn hồi của kết cấu chính để xác định; khi có thiết kế chịu động đất, ulim thì căn cứ vào 3 lần giá trị giới hạn của chuyển vị lệch tầng đàn hồi của kết cấu chính để xác định.
6.3.13 Panen kính của hệ vách kính không được vượt qua khe biến dạng của kết cấu chính, việc thiết kế khe cấu tạo giữa kính và khe biến dạng của kết cấu chính cần thỏa mãn yêu cầu biến dạng của hệ kết cấu chính.
6.4 Quy định về an toàn
6.4.1 Hệ vách kính dạng khung đỡ phải sử dụng kính an toàn.
6.4.2 Tấm kính của hệ vách kính dạng đỡ điểm phải là kính cường lực.
6.4.3 Đối với hệ vách kính dạng đỡ điểm sử dụng gờ kính để đỡ, thì gờ kính phải sử dụng kính dán nhiều lớp.
6.4.4 Tại các nơi có lưu lượng người lớn, nơi thanh thiếu niên hoạt động và những vị trí dễ xảy ra va đập khi sử dụng thì hệ vách kính phải sử dụng kính an toàn; đối với vị trí dễ xảy ra va đập khi sử dụng phải đặt biển hiệu cảnh báo.
6.4.5 Khi mép sàn gần với hệ vách kính không có tường đặc ngăn cách, thì phải sử dụng các vật cố định (lan can, tấm chắn, ...) để bảo vệ theo các quy định hiện hành [2].
6.4.6 Việc thiết kế phòng cháy của hệ vách kính phải tuân thủ các quy định hiện hành [3].
6.4.7 Khe hở giữa hệ vách kính và các cấu kiện ngăn cháy xung quanh, giữa hệ vách kính và bản sàn hoặc tường ngăn, giữa hệ vách kính và lỗ mở trên tường đặc đều phải thiết kế bịt kín chống cháy.
6.4.8 Trong điều kiện sử dụng bình thường, hệ thống cấu tạo ngăn cháy của hệ vách kính phải có khả năng biến dạng, phải kín khít và đảm bảo độ bền lâu; khi chịu cháy thì không được nứt hoặc rơi, đảm bảo tính ổn định tương đối trong thời gian chịu cháy quy định.
6.4.9 Vật liệu nhồi trong và vật liệu bảo vệ bề mặt của hệ thống chống cháy của hệ vách kính phải sử dụng vật liệu không cháy hoặc vật liệu khó cháy có khả năng chịu lửa phù hợp với yêu cầu thiết kế.
6.4.10 Đối với hệ vách kính không có cửa sổ, thì ở phía mép sàn ở mỗi tầng phải bố trí đoạn tường đặc hoặc đoạn tường kính chịu cháy có chiều cao không thấp hơn 0,8 m và có thời gian ngăn cháy không ít hơn 1 h.
6.4.11 Khe hở giữa hệ vách kính và bản sàn mỗi tầng, giữa hệ vách kính và mép ngoài tường ngăn, khi sử dụng bông đá hoặc bông quặng để bịt thì chiều dày bịt không được nhỏ hơn 100 mm và phải được nhồi chặt; bông đá hoặc bông quặng tại dải ngăn khói theo phương ngang giữa các tầng nên sử dụng bản thép mạ kẽm có chiều dày không nhỏ hơn 1,5 mm để đỡ; khe hở giữa tấm đỡ và kết cấu chính, giữa kết cấu hệ vách kính và tấm đỡ nên dùng vật liệu ngăn cháy để bịt. Khi vùng ngăn cháy có yêu cầu bố trí tường ngăn trong suốt, thì có thể sử dụng kính ngăn cháy có giới hạn chịu lửa thỏa mãn yêu cầu thiết kế.
6.4.12 Cùng một panen kính của hệ vách kính không nên thuộc hai vùng ngăn cháy của công trình.
6.4.13 Việc thiết kế chống sét của hệ vách kính cần thỏa mãn các yêu cầu liên quan trong TCVN 9385:2012. Hệ thống chống sét giữa khung kim loại của hệ vách kính với kết cấu chính phải được liên kết chắc chắn, tại vị trí liên kết phải bóc bỏ lớp bảo vệ cách điện.
7 Quy định cơ bản về thiết kế kết cấu
7.1 Quy định chung
7.1.1 Hệ vách kính cần được thiết kế đạt yêu cầu chung về đảm bảo an toàn chịu lực và đảm bảo khả năng sử dụng bình thường trong suốt thời hạn sử dụng công trình.
7.1.2 Khi thiết kế hệ vách kính còn cần tuân thủ các tiêu chuẩn tương ứng về phòng chống cháy, bảo vệ chống ăn mòn.
7.1.3 Khi thiết kế hệ vách kính cần đảm bảo:
- Tiết kiệm vật liệu.
- Lựa chọn sơ đồ kết cấu hợp lý, tiết diện cấu kiện hợp lý về mặt kinh tế - kỹ thuật.
- Ưu tiên sử dụng công nghệ chế tạo tiên tiến.
- Công nghiệp hóa quá trình sản xuất và lắp dựng, sử dụng hệ vách kính dạng panen.
- Hệ vách kính phải có cấu tạo để dễ quan sát, dễ làm sạch bụi, sơn, tránh tụ nước.
7.2 Các yêu cầu đối với thiết kế
7.2.1 Hệ vách kính phải được tính toán với các tổ hợp tải trọng bất lợi nhất, kể cả tải trọng theo thời gian và mọi yếu tố tác động khác. Việc xác định nội lực có thể thực hiện theo phương pháp phân tích đàn hồi.
7.2.2 Trong phương pháp phân tích đàn hồi, các cấu kiện kim loại được giả thiết là luôn đàn hồi dưới tác dụng của tải trọng tính toán, sơ đồ kết cấu là sơ đồ ban đầu không biến dạng.
7.2.3 Hệ vách kính chỉ chịu tải trọng tác dụng tĩnh (không có tải trọng động hoặc tải trọng lặp).
7.2.4 Hệ vách kính phải có đủ khả năng chịu lực, độ cứng, độ ổn định và khả năng dịch chuyển tương đối so với kết cấu chính. Các cấu kiện của hệ vách kính sử dụng liên kết bu lông phải có biện pháp tin cậy để tránh bị lỏng, bị trượt; các cấu kiện của hệ vách kính sử dụng liên kết treo hoặc liên kết cắm thì phải có biện pháp tin cậy để tránh bị tuột, bị trượt.
7.3 Cơ sở thiết kế
7.3.1 Khi thiết kế hệ vách kính, cần tuân thủ các nguyên tắc sau:
a) Tiêu chuẩn này sử dụng phương pháp tính toán theo trạng thái giới hạn. Kết cấu được thiết kế sao cho không vượt quá trạng thái giới hạn của nó.
b) Trạng thái giới hạn là trạng thái mà khi vượt quá thì kết cấu không còn thỏa mãn các yêu cầu sử dụng hoặc khi lắp dựng được quy định trong thiết kế. Các trạng thái giới hạn gồm:
- Các trạng thái giới hạn về khả năng chịu lực là các trạng thái mà kết cấu không còn đủ khả năng chịu lực, sẽ bị phá hoại, sụp đổ hoặc hư hỏng làm nguy hại đến sự an toàn của con người, của công trình. Đó là các trường hợp: kết cấu không đủ độ bền (phá hoại bền), hoặc kết cấu bị mất ổn định, hoặc kết cấu bị phá hoại giòn hoặc vật liệu kết cấu bị chảy.
- Các trạng thái giới hạn về sử dụng là các trạng thái mà kết cấu không còn sử dụng bình thường được nữa do bị biến dạng quá lớn hoặc do hư hỏng cục bộ. Các trạng thái giới hạn này gồm: trạng thái giới hạn về độ võng và biến dạng làm ảnh hưởng đến việc sử dụng bình thường của thiết bị máy móc, của con người hoặc làm hỏng sự hoàn thiện của kết cấu, do đó hạn chế việc sử dụng công trình; sự rung động quá mức; sự han gỉ quá mức.
7.3.2 Khi thiết kế hệ vách kính, tải trọng được cần tuân thủ các yêu cầu sau:
a) Tải trọng dùng trong thiết kế kết cấu được lấy theo TCVN 2737:2023 hoặc tiêu chuẩn tương đương về tải trọng và tác động áp dụng cho dự án.
b) Các trường hợp tải trọng đều được xét riêng rẽ và được tổ hợp để có tác dụng bất lợi nhất đối với kết cấu. Giá trị của tải trọng, các loại tổ hợp tải trọng, các hệ số tổ hợp, các hệ số độ tin cậy về tải trọng được lấy theo TCVN 2737:2023.
c) Tải trọng do khối lượng vật liệu của hệ vách kính, tải trọng gió và tải trọng động đất được quy định trong 7.4.
7.4 Tải trọng và tổ hợp tải trọng
7.4.1 Trọng lượng thể tích của một số vật liệu sử dụng trong hệ vách kính được cho trong Bảng 3.
7.4.2 Giá trị của tải trọng gió tính toán tác dụng lên hệ vách kính được xác định theo TCVN 2737:2023, nhưng không được nhỏ hơn 1 kN/m2.
7.4.3 Tải trọng gió tác dụng lên hệ vách kính có thể xác định từ kết quả thí nghiệm trong ống thổi khí động.
7.4.4 Giá trị tính toán của tải trọng động đất phân bố qEk (kN/m2) và tập trung PEk (kN) theo phương ngang tác dụng vuông góc với bề mặt hệ vách kính được xác định theo 4.3.5 của TCVN 9386.
7.4.5 Khi thiết kế cấu kiện hệ vách kính theo trạng thái giới hạn về khả năng chịu lực và về điều kiện sử dụng, tổ hợp của hệ quả tác động cần tuân thủ các quy định trong TCVN 2737:2023.
Bảng 3 - Trọng lượng thể tích của vật liệu
| Vật liệu | Trọng lượng thể tích của vật liệu γg, kN/m3 |
| 1. Kính thường, kính nhiều lớp, kính cường lực, kính cường lực bán phần | 25,0 |
| 2. Thép | 78,5 |
| 3. Hợp kim nhôm | 27,0 |
| 4. Bông quặng | từ 1,2 đến 1,5 |
| 5. Bông thủy tinh | từ 0,5 đến 1,0 |
| 6. Bông đá | từ 0,5 đến 2,5 |
7.5 Đặc trưng cơ học của vật liệu
7.5.1 Cường độ tính toán của kính được lấy theo quy định trong Bảng 4.
Bảng 4 - Cường độ tính toán của kính
| Loại kính | Chiều dày, mm | Cường độ tính toán của kính fg, MPa | |
| Mặt kính | Mặt bên | ||
| Kính thường | 5 | 28,0 | 19,5 |
| Kính nổi | từ 5 đến 12 | 28,0 | 19,5 |
| từ 15 đến 19 | 24,0 | 17,0 | |
| ≥ 20 | 20,0 | 14,0 | |
| Kính cường lực | từ 5 đến 12 | 84,0 | 58,8 |
| từ 15 đến 19 | 72,0 | 50,4 | |
| ≥ 20 | 59,0 | 41,3 | |
| CHÚ THÍCH: 1) Cường độ tính toán của kính nhiều lớp và kính hộp có thể dựa vào chủng loại vật liệu kính để xác định; 2) Khi cường độ tiêu chuẩn của kính cường lực không bằng 3 lần cường độ tiêu chuẩn của kính nổi, thì giá trị trong bảng phải dựa vào kết quả đo thực tế để điều chỉnh; 3) Cường độ tính toán của kính cường lực bán phần có thể lấy bằng 2 lần cường độ tính toán của kinh nổi. Khi cường độ tiêu chuẩn của kính cường lực bán phần không bằng 2 lần cường độ tiêu chuẩn của kính nổi, thì giá trị tính toán phải dựa vào kết quả đo thực để điều chỉnh; 4) Mặt bên chỉ mặt cắt kính sau khi cắt, bề rộng của nó bằng chiều dày kính. | |||
7.5.2 Cường độ tính toán của hợp kim nhôm được lấy theo quy định trong Bảng 5.
7.5.3 Cường độ tính toán của thép được lấy theo quy định trong TCVN 5575:2024.
Bảng 5 - Cường độ tính toán của vật liệu hợp kim nhôm
| Loại hợp kim nhôm | Độ cứng | Chiều dày, mm | Cường độ tính toán fya, MPa | ||
| Chịu kéo, nén | Chịu cắt | Chịu nén cục bộ | |||
| 6061 | T4 | Không phân biệt | 85,5 | 49,6 | 133,0 |
| T6 | Không phân biệt | 190,5 | 110,5 | 199,0 | |
| 6063 | T5 | Không phân biệt | 85,5 | 49,6 | 120,0 |
| T6 | Không phân biệt | 140,0 | 81,2 | 161,0 | |
| 6063A | T5 | ≤ 10 | 124,4 | 72,2 | 150,0 |
| > 10 | 116,6 | 67,6 | 141,5 | ||
| T6 | ≤ 10 | 147,7 | 85,7 | 172,0 | |
| > 10 | 140,0 | 81,2 | 163,0 | ||
7.5.4 Cường độ chịu kéo, chịu nén tính toán fys của vật liệu thép không gỉ lấy bằng giá trị tiêu chuẩn của giới hạn chảy qui ước 0,2 % (σ0,2) chia cho hệ số 1,15, cường độ chịu cắt tính toán lấy bằng 0,58 lần cường độ chịu kéo tính toán.
7.5.5 Trong hệ vách kính dạng đỡ điểm, cường độ tính toán của thanh kéo, cáp cần tuân theo quy định sau:
a) Cường độ chịu kéo tính toán của thanh kéo bằng thép không gỉ lấy bằng giá trị tiêu chuẩn của giới hạn chảy qui ước σ0,2 chia cho hệ số 1,4.
b) Cường độ chịu kéo tính toán của cáp cường độ cao hoặc cáp không gỉ lấy bằng giá trị tiêu chuẩn của khả năng chịu kéo cực hạn chia cho hệ số 1,8, rồi quy đổi dựa theo diện tích hiệu dụng của cáp để sử dụng. Nếu biết trước giá trị tiêu chuẩn của khả năng chịu kéo cực hạn của cáp, thì giá trị tính toán của khả năng chịu kéo sẽ lấy bằng giá trị này chia cho 1,8.
c) Cường độ chịu kéo, chịu nén tính toán của cấu kiện neo, cấu kiện liên kết của thanh kéo và cáp được xác định theo tiêu chuẩn sản phẩm tương ứng.
7.5.6 Cường độ tính toán của thép chịu thời tiết được quy định trong TCVN 11791:2017 (ISO 630-5).
7.5.7 Vật liệu dùng cho cấu kiện, liên kết kết cấu thép và cường độ tính toán được quy định trong TCVN 5575:2024.
7.5.8 Mô đun đàn hồi của vật liệu sử dụng trong hệ vách kính được quy định tại Bảng 6.
Bảng 6 - Mô đun đàn hồi của vật liệu
| Vật liệu | Mô đun đàn hồi của vật liệu E, MPa |
| 1. Kính | 0,72 x 105 |
| 2. Hợp kim nhôm | 0,70 x 105 |
| 3. Thép, thép không gỉ | 2,06 x 105 |
| 4. Sợi thép cường độ cao loại bỏ ứng suất | 2,05 x 105 |
| 5. Dây thép bện không gỉ | từ 1,20 x 105 đến 1,50 x 105 |
| 6. Dây thép bện cường độ cao | 1,95 x 105 |
| 7. Dây thép | từ 0,80 x 105 đến 1,00 x 105 |
| CHÚ THÍCH: Mô đun đàn hồi của dây thép bện có thể dựa vào giá trị đo thực tế để sử dụng | |
7.5.9 Hệ số poát-xông của vật liệu sử dụng trong hệ vách kính được quy định tại Bảng 7.
Bảng 7 - Hệ số poát-xông của vật liệu
| Vật liệu | Hệ số poát-xông của vật liệu v |
| Kính | 0,20 |
| Hợp kim nhôm | 0,33 |
| Thép, thép không gỉ | 0,30 |
| Sợi thép cường độ cao, dây thép bện | 0,30 |
7.5.10 Hệ số giãn nở nhiệt của vật liệu sử dụng trong hệ vách kính được quy định tại Bảng 8.
Bảng 8 - Hệ số giãn nở nhiệt của vật liệu
| Vật liệu | Hệ số giãn nở nhiệt của vật liệu α, 1/°C |
| 1. Kính | từ 0,8 x 10-5 đến 1,00 x 10-5 |
| 2. Hợp kim nhôm | 2,35 x 10-5 |
| 3. Thép | 1,20 x 10-5 |
| 4. Thép tấm không gỉ | 1,80 x 10-5 |
| 5. Bê tông | 1,00 x 10-5 |
| 6. Khối xây | 0,50 x 10-5 |
7.6 Thiết kế liên kết
7.6.1 Kết cấu hoặc cấu kiện chính phải chịu được tải trọng và tác dụng do hệ vách kính truyền vào. Độ bền thiết kế của vị trí neo giữa cấu kiện liên kết và kết cấu chính phải lớn hơn độ bền thiết kế của cấu kiện liên kết.
7.6.2 Việc thiết kế cấu kiện liên kết, đường hàn, bu lông, ốc vít tại vị trí liên kết của cấu kiện hệ vách kính cần tuân thủ TCVN 5575:2024. Số lượng bu lông, ốc vít chịu lực tại vị trí liên kết không được ít hơn 2 cái.
7.6.3 Đố đứng của hệ vách kính dạng khung đỡ nên được liên kết vào hệ kết cấu chính.
7.6.4 Khi đố đứng của hệ vách kính liên kết với hệ kết cấu chính thông qua cấu kiện đặt sẵn, thì cấu kiện đặt sẵn phải được đặt trong khi thi công kết cấu chính, vị trí của cấu kiện đặt sẵn cần chính xác; Khi không có điều kiện sử dụng cấu kiện đặt sẵn, thì phải sử dụng phương pháp liên kết chắc chắn khác, đồng thời tiến hành thí nghiệm để xác định khả năng chịu lực.
7.6.5 Đối với cấu kiện đặt sẵn gồm bản thép và cốt thép neo bố trí đối xứng có thể được thiết kế theo TCVN 5574:2018.
7.6.6 Đối với bản thép đặt sẵn trong cấu kiện đặt sẵn dạng máng và các biện pháp liên kết khác, có thể được thiết kế theo TCVN 5575:2024, đồng thời nên xác định khả năng chịu lực của liên kết thông qua thí nghiệm.
7.6.7 Khi sử dụng bu lông neo khoan sau để liên kết hệ vách kính vào kết cấu chính cần thỏa mãn các quy định sau:
a) Phải có giấy chứng nhận xuất xưởng.
b) Phải được xử lý chống ăn mòn đối với bu lông neo thép cacbon.
c) Phải tiến hành thí nghiệm hiện trường để xác định khả năng chịu lực, trường hợp cần thiết còn phải tiến hành thí nghiệm kéo đứt.
d) Có ít nhất hai bu lông neo tại mỗi nút liên kết.
e) Đường kính danh nghĩa của bu lông neo không được nhỏ hơn 10 mm và được xác định bằng tính toán chịu lực.
f) Không nên tiến hành hàn trên cấu kiện liên kết tiếp xúc với bu lông hóa chất.
g) Lực tác dụng lên bu lông neo không được lớn hơn 50 % khả năng chịu lực được quy định.
7.6.8 Khi hệ vách kính liên kết với kết cấu xây, thì trong kết cấu chính nên bổ sung thêm trụ hoặc dầm bằng bê tông cốt thép hoặc kết cấu thép tại vị trí liên kết. Tường ngăn xây gạch nhẹ không được làm kết cấu đỡ cho hệ vách kính.
7.7 Tính toán keo silicon kết cấu
7.7.1 Bề rộng bám dính của keo silicon kết cấu cần thỏa mãn quy định tại 7.7.3 hoặc 7.7.4 của tiêu chuẩn này, đồng thời không được nhỏ hơn 7 mm; chiều cao bám dính của keo silicon kết cấu cần thỏa mãn quy định tại 7.7.5, đồng thời không được nhỏ hơn 6 mm. Bề rộng bám dính của keo silicon kết cấu nên lớn hơn chiều dày của keo, nhưng không lớn hơn 2 lần chiều dày. Chiều dày bám dính của keo silicon kết cấu của hệ vách kính khung kín không được lớn hơn 12 mm.
7.7.2 Dựa vào các tình huống chịu lực khác nhau để tiến hành kiểm tra khả năng chịu lực của keo silicon kết cấu. Dưới tác dụng của tải trọng gió và tải trọng động đất theo phương ngang, giá trị tính toán của ứng suất kéo hoặc ứng suất cắt của keo silicon kết cấu không được lớn hơn cường độ tính toán f1, f1 lấy bằng 0,2 MPa; Dưới tác dụng của tải trọng thường xuyên, giá trị tính toán của ứng suất kéo hoặc ứng suất cắt của keo silicon kết cấu không được lớn hơn cường độ tính toán f2, f2 lấy bằng 0,01 MPa.
7.7.3 Chiều rộng bám dính cs của keo silicon kết cấu tại liên kết giữa kính và khung nhôm của hộ vách kính dạng khung đứng kín, khung đứng nửa lộ phải dựa vào tình huống chịu lực để tính toán theo các quy định dưới đây. Khi không thiết kế chịu động đất, có thể lấy giá trị tính toán lớn nhất theo công thức (2) và (4); đối với thiết kế chịu động đất, có thể lấy giá trị tính toán lớn nhất theo công thức (3) và (4).
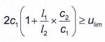
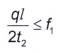
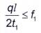
a) Dưới tác dụng của tải trọng gió, bề rộng bám dính cs được xác định theo công thức sau:
|
| (2) |
trong đó:
cs là bề rộng bám dính của keo silicon kết cấu (mm);
w là áp lực gió tính toán tác dụng vuông góc với mặt phẳng của hệ vách kính (MPa);
a là cạnh ngắn của tấm kính hình chữ nhật (mm);
f1 là cường độ tính toán của keo silicon kết cấu dưới tác dụng của tải trọng gió, lấy bằng 0,2 MPa.
b) Dưới tác dụng của tải trọng gió và tải trọng động đất theo phương ngang, bề rộng bám dính cs được xác định theo công thức sau:
|
| (3) |
trong đó:
qE là tải trọng động đất tính toán tác dụng vuông góc với mặt phẳng của hệ vách kính (MPa).
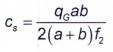
c) Dưới tác dụng của tải trọng thường xuyên, bề rộng bám dính cs được xác định theo công thức sau:
|
| (4) |
trong đó:
qG là tải trọng thường xuyên (bản thân) tính toán trên một đơn vị diện tích kính của hệ vách kính (MPa);
a, b lần lượt là cạnh ngắn và cạnh dài của tấm kính hình chữ nhật (mm);
f2 là cường độ tính toán của keo silicon kết cấu dưới tác dụng của tải trọng thường xuyên, lấy bằng 0,01 MPa.
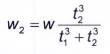
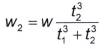
7.7.4 Chiều rộng bám dính cs của keo silicon kết cấu tại liên kết giữa kính và khung nhôm của hệ vách kính nằm ngang treo ngược khung kín, khung nửa lộ được tính toán theo công thức sau:
|
| (5) |
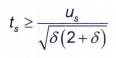
7.7.5 Chiều dày bám dính ts của keo silicon kết cấu (Hình 1) cần thỏa mãn công thức (6).
|
| (6) |
| us = θhg | (7) |
trong đó:
ts là chiều dày bám dính của keo silicon kết cấu (mm);
us là chuyển vị tương đối giữa hệ vách kính với khung hợp kim nhôm (mm), chuyển vị tương đối do dịch chuyển ngang của kết cấu chính được tính toán theo công thức (7), trường hợp cần thiết còn cần xét đến chuyển vị tương đối do sự thay đổi nhiệt độ gây ra;
θ là giới hạn góc xoay của chuyển vị lệch tầng đàn hồi của hệ kết cấu chính do tải trọng gió gây ra (rad);
hg là chiều cao của tấm kính (mm), lấy bằng chiều dài cạnh a hoặc b;
δ là khả năng chịu chuyển dịch của keo silicon kết cấu, lấy bằng độ giãn dài của keo khi ứng suất kéo bằng 0,14 MPa.

CHÚ DẪN:
1 Kính
2 Tấm đỡ
3 Keo silicon kết cấu
4 Khung nhôm
Hình 1 - Sơ đồ liên kết giữa kính và khung nhôm bằng keo silicon kết cấu
7.7.6 Đối với hệ vách kính khung kín hoặc dạng khung ngang nửa lộ, mặt dưới mỗi tấm kính nên đặt hai thanh đỡ bằng hợp kim nhôm hoặc thép không gỉ, thanh đỡ phải chịu được tác dụng của tải trọng bản thân của tấm kính của ô đó, đồng thời thanh đỡ có chiều dài không nhỏ hơn 100 mm, chiều dày không nhỏ hơn 2 mm, chiều cao không vượt quá mặt ngoài kính. Trên thanh đỡ phải bố trí đệm lót.
8 Tính toán kết cấu hệ vách kính dạng khung đỡ
8.1 Kính
8.1.1 Chiều dày của tấm kính đơn của hệ vách kính dạng khung đỡ không nhỏ hơn 6 mm, chiều dày lớp kính của tấm kính nhiều lớp không nhỏ hơn 5 mm. Độ chênh chiều dày giữa các lớp kính của tấm kính nhiều lớp và tấm kính hộp không lớn hơn 3 mm.
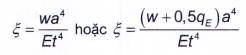
8.1.2 Dưới tác dụng của tải trọng gió và tải trọng động đất vuông góc với mặt phẳng của hệ vách kính, ứng suất lớn nhất trong tiết diện tấm kính đơn thỏa mãn quy định sau:
a) Giá trị tiêu chuẩn của ứng suất lớn nhất có thể tính toán bằng phương pháp phần tử hữu hạn có xét đến phi tuyến hình học, cũng có thể xác định bằng công thức sau:
|
| (8) |
|
| (9) |
trong đó:
σw, σE lần lượt là ứng suất lớn nhất của tiết diện kính khi chịu tác động của tải trọng gió và tải trọng động đất (MPa);
w, qE lần lượt là tải trọng gió tính toán, tải trọng động đất tính toán tác dụng vuông góc với mặt phẳng của hệ vách kính (MPa);
a là cạnh ngắn của tấm kính hình chữ nhật (mm);
t là chiều dày tấm kính (mm);
E là mô đun đàn hồi của kính (MPa) (xác định theo Bảng 6);
m là hệ số mô men, dựa vào tỷ số giữa cạnh ngắn và cạnh dài của tấm kính a/b, tra Bảng 9 để xác định;
η là hệ số giảm, dựa vào giá trị của tham số ξ tra Bảng 10 để xác định, với ξ được xác định theo công thức (10).
|
| (10) |
Bảng 9 - Hệ số mô men của tấm kính kê bốn cạnh m
| a/b | 0,00 | 0,25 | 0,33 | 0,40 | 0,50 | 0,55 | 0,60 | 0,65 |
| m | 0,1250 | 0,1230 | 0,1180 | 0,1115 | 0,1000 | 0,0934 | 0,0868 | 0,0804 |
| a/b | 0,70 | 0,75 | 0,80 | 0,85 | 0,90 | 0,95 | 1,0 | - |
| m | 0,0742 | 0,0683 | 0,0628 | 0,0576 | 0,0528 | 0,0483 | 0,0442 | - |
b) Tổ hợp tải trọng cho tính toán ứng suất lớn nhất phải dựa vào quy định tại 7.4 của tiêu chuẩn này.
Bảng 10 - Hệ số giảm η
| ξ | ≤ 5 | 10 | 20 | 40 | 60 | 80 | 100 |
| η | 1,00 | 0,96 | 0,92 | 0,84 | 0,78 | 0,73 | 0,68 |
| ξ | 120 | 150 | 200 | 250 | 300 | 350 | ≥ 400 |
| η | 0,65 | 0,61 | 0,57 | 0,54 | 0,52 | 0,51 | 0,50 |
c) Ứng suất lớn nhất không được vượt quá cường độ tính toán của tấm kính lớn fg.
8.1.3 Độ võng giữa nhịp của tấm kính dưới tác dụng của tải trọng gió cần thỏa mãn các quy định sau:
a) Độ cứng của kính đơn xác định theo công thức sau:
|
| (11) |
trong đó:
D là độ cứng của kính (Nmm);
t là chiều dày tấm kính (mm);
v là hệ số poát-xông, xác định theo Bảng 6.
b) Độ võng giữa nhịp của tấm kính có thể tính toán bằng phương pháp phần tử hữu hạn có xét đến phi tuyến hình học hoặc xác định bằng công thức sau:
|
| (12) |
trong đó:
df là độ võng lớn nhất dưới tác dụng của tải trọng gió tiêu chuẩn (mm);
Wk là tải trọng gió tiêu chuẩn tác dụng vuông góc với mặt phẳng của hệ vách kính (MPa);
μ là hệ số độ võng, dựa vào tỷ số giữa cạnh ngắn và cạnh dài của tấm kính a/b, tra Bảng 11 để xác định;
η là hệ số giảm, tra Bảng 10 để xác định.
Bảng 11 - Hệ số độ võng của tấm kê bốn cạnh μ
| a/b | 0,00 | 0,20 | 0,25 | 0,33 | 0,50 |
| μ | 0,01302 | 0,01297 | 0,01282 | 0,01223 | 0,01013 |
| a/b | 0,55 | 0,60 | 0,65 | 0,70 | 0,75 |
| μ | 0,00940 | 0,00867 | 0,00796 | 0,00727 | 0,00663 |
| a/b | 0,80 | 0,85 | 0,90 | 0,95 | 1,00 |
| μ | 0,00603 | 0,00547 | 0,00496 | 0,00449 | 0,00406 |
c) Dưới tác dụng của tải trọng gió, độ võng giới hạn của tấm kính kê bốn cạnh df,lim nên lấy bằng 1/60 chiều dài cạnh ngắn hoặc theo chỉ dẫn kỹ thuật của công trình.
8.1.4 Tấm kính nhiều lớp được tính toán theo các quy định sau:
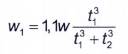
a) Tải trọng gió và động đất tác dụng lên tấm kính nhiều lớp có thể dựa vào các công thức sau để phân phối lên hai lớp kính:
|
| (13) |
|
| (14) |
|
| (15) |
|
| (16) |
trong đó:
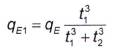
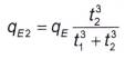
w1, w2 lần lượt là tải trọng gió tính toán tác dụng vuông góc với mặt phẳng của lớp kính số 1 và số 2 của hệ vách kính (MPa);
qE1, qE2 lần lượt là tải trọng động đất tính toán tác dụng vuông góc với mặt phẳng của lớp kính số 1 và số 2 của hệ vách kính (MPa);
t1, t2 lần lượt là chiều dày của lớp kính số 1 và số 2 (mm).
b) Tiến hành tính toán ứng suất của hai lớp kính theo quy định tại 8.1.2.
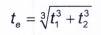
c) Độ võng của tấm kính nhiều lớp có thể dựa vào quy định tại 8.1.3 để tính toán, tuy nhiên khi tính toán độ cứng D của tấm kính, phải sử dụng chiều dày hữu hiệu te, te xác định theo công thức sau:
|
| (17) |
trong đó:
te là chiều dày hữu hiệu của tấm kính nhiều lớp (mm).
8.1.5 Tấm kính hộp được tính toán theo các quy định sau:
a) Tải trọng gió tác dụng lên tấm kính hộp có thể dựa vào các công thức sau để phân phối lên hai lớp kính:
- Lớp kính chịu tác động trực tiếp của tải trọng gió:
|
| (18) |
- Lớp kính không chịu tác động trực tiếp của tải trọng gió:
|
| (19) |
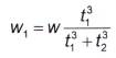
b) Tải trọng động đất qE1, qE2 tác dụng lên tấm kính hộp có thể dựa vào trọng lượng bản thân của mỗi lớp kính.
c) Ứng suất của hai lớp kính được xác định theo 8.1.2;
d) Độ võng của tấm kính hộp có thể dựa vào quy định tại 8.1.3 để tiến hành tính toán, tuy nhiên khi tính toán độ cứng D của tấm kính, phải sử dụng chiều dày hữu hiệu te, te xác định theo công thức sau:
|
| (20) |
trong đó:
te là chiều dày hữu hiệu của tấm kính hộp (mm).
8.1.6 Khi tính toán khả năng chịu lực của hệ vách kính xiên, cần xét đến ứng suất do uốn gây ra bởi tải trọng thường xuyên và tải trọng thi công tác dụng vuông góc với mặt phẳng kính.
Tải trọng thi công phải dựa vào tình trạng thi công để xác định, nhưng tải trọng tập trung không nhỏ hơn 2 kN, vị trí tác dụng của tải trọng tập trung phải xét đến vị trí bất lợi nhất.
8.2 Đố ngang
8.2.1 Chiều dày của bộ phận chịu lực chính của tiết diện đố ngang cần thỏa mãn yêu cầu sau:
a) Tỷ lệ chiều rộng với chiều dày b0/t tại vị trí đua ra của tiết diện (Hình 2a) và vị trí đặt sườn gia cường hai bên (Hình 2b) thỏa mãn yêu cầu của Bảng 12.
b) Khi nhịp của đố ngang nhỏ hơn hoặc bằng 1,2 m, thì chiều dày tại vị trí chịu lực chính của tiết diện hợp kim nhôm không nhỏ hơn 2 mm; khi nhịp của đố ngang lớn hơn 1,2 m, thì chiều dày tại vị trí chịu lực chính của tiết diện không nhỏ hơn 2,5 mm. Khi thành lỗ của thanh và ốc vít sử dụng ren để chịu lực trực tiếp thì chiều dày tiết diện cục bộ không nhỏ hơn đường kính danh nghĩa của ốc vít.
c) Chiều dày tại vị trí chịu lực chính của tiết diện thép không nhỏ hơn 2,5 mm.
Bảng 12 - Giá trị giới hạn của tỷ số b0/t của tiết diện đố ngang
| Vị trí tiết diện | Nhôm | Thép | ||||
| 6063-T5 6061-T4 | 6063A-T5 | 6063-T6 6063A-T6 | 6061-T6 | CT38 | CT42 | |
| Vươn tự do | 17 | 15 | 13 | 12 | 15 | 12 |
| Gia cường hai bên | 50 | 45 | 40 | 35 | 40 | 33 |

8.2.2 Đố ngang có thể sử dụng vật liệu hợp kim nhôm hoặc vật liệu thép, việc xử lý bề mặt hợp nhôm phải phù hợp với yêu cầu tại 5.2.2. Vật liệu thép nên sử dụng thép chịu thời tiết, thép cacbon mạ kẽm nhúng nóng hoặc sử dụng biện pháp chống ăn mòn hữu hiệu khác, đường hàn được phủ vật liệu chống ăn mòn; đối với vật liệu thép trong điều kiện ăn mòn cao thì nên để dư bề dày ăn mòn.
8.2.3 Cần căn cứ điều kiện kê của tấm lên đố ngang để xác định tải trọng lên đố ngang, đồng thời tính toán mô men và lực cắt lên đố ngang. Khi sử dụng đố ngang nhịp lớn tiết diện hở, nên xét đến mô men hai phương do sự ngăn cản xoắn gây ra. Đối với hệ vách kính dạng panen sử dụng đố ngang tổ hợp thì phần trên và phần dưới của đố ngang phải được tiến hành tính toán riêng rẽ dựa vào tải trọng và tác dụng do mỗi phần chịu.
8.2.4 Khả năng chịu uốn của tiết diện đố ngang cần thỏa mãn yêu cầu sau:
|
| (21) |
trong đó:
Mx là mô men uốn đối với trục x-x (song song với mặt phẳng của hệ vách kính) của đố ngang (Nmm);
My là mô men uốn đối với trục y-y (vuông góc với mặt phẳng của hệ vách kính) của đố ngang (Nmm);
Wnx là mô men chống uốn của tiết diện thực đối với trục x-x (song song với mặt phẳng của hệ vách kính) của đố ngang (mm3);
Wny là mô men chống uốn của tiết diện thực đối với trục y-y (vuông góc với mặt phẳng của hệ vách kính) của đố ngang (mm3);
γ là hệ số phát triển biến dạng dẻo, có thể lấy bằng 1,05;
fy là cường độ chịu kéo tính toán của vật liệu fya (nhôm) hoặc fys (thép) theo giới hạn chảy (MPa).
8.2.5 Khả năng chịu cắt của tiết diện đố ngang cần thỏa mãn các quy định sau:
|
| (22) |
|
| (23) |
trong đó:
Vx là lực cắt tính toán theo phương ngang (trục x-x) của đố ngang (N);
Vy là lực cắt tính toán theo phương thẳng đứng (trục y-y) của đố ngang (N);
Sx là mô men quán tính tĩnh đối với trục x-x của tiết diện nguyên của đố ngang (mm3);
Sy là mô men quán tính tĩnh đối với trục y-y của tiết diện nguyên của đố ngang (mm3);
Ix là mô men quán tính đối với trục x-x của tiết diện nguyên của đố ngang (mm4);
Iy là mô men quán tính đối với trục y-y của tiết diện nguyên của đố ngang (mm4);
tx là tổng bề rộng của tiết diện bản bụng vuông góc với trục x-x của tiết diện đố ngang (mm);
ty là tổng bề rộng của tiết diện bản bụng vuông góc với trục y-y của tiết diện đố ngang (mm);
fv là cường độ chịu cắt tính toán của vật liệu fvs (nhôm) hoặc fvs (thép) (MPa).
8.2.6 Khi tấm kính đặt lệch tâm trên đố ngang gây ra mô men xoắn lớn, cần tiến hành tính toán kiểm tra khả năng chịu xoắn của đố ngang.
8.2.7 Dưới tác dụng của tải trọng thường xuyên và tải trọng gió tiêu chuẩn, giá trị giới hạn về độ võng của đố ngang df,lim nên xác định theo quy định sau:
- Đối với hợp kim nhôm:
| df,lim ≤ l / 180 | (24) |
trong đó:
l là nhịp của đố ngang (mm), đối với cấu kiện côngxôn lấy bằng 2 lần chiều dài đua.
- Đối với thép:
| df,lim ≤ l / 250 | (25) |
8.3 Đố đứng
8.3.1 Chiều dày của bộ phận chịu lực chính của tiết diện đố đứng cần thỏa mãn yêu cầu sau:
a) Chiều dày tại vị trí hở của tiết diện bằng nhôm không nhỏ hơn 3,0 mm, chiều dày tại vị trí kín của tiết diện không nhỏ hơn 2,5 mm; Khi thành lỗ của thanh và ốc vít sử dụng ren để chịu lực trực tiếp thì chiều dày tiết diện cục bộ không nhỏ hơn đường kính danh nghĩa của ốc vít;
b) Chiều dày tại vị trí chịu lực chính của tiết diện thép không nhỏ hơn 3,0 mm;
c) Đối với đố đứng chịu nén lệch tâm, tỷ số giữa chiều rộng và chiều dày của tiết diện cần thỏa mãn 8.2.1.
8.3.2 Đố đứng có thể sử dụng vật liệu hợp kim nhôm hoặc vật liệu thép. Việc xử lý bề mặt hợp nhôm phải phù hợp với yêu cầu tại 5.2.2; vật liệu thép nên sử dụng thép chịu thời tiết, thép cacbon mạ kẽm nhúng nóng hoặc sử dụng biện pháp chống ăn mòn hữu hiệu khác, đường hàn phải được phủ vật liệu chống ăn mòn; đối với vật liệu thép trong điều kiện ăn mòn nghiêm trọng thì nên để dư chiều dày ăn mòn.
8.3.3 Đố đứng trên và dưới phải chừa khe có bề rộng không nhỏ hơn 15 mm, đối với tiết diện kín có thể sử dụng thanh nối lõi có chiều dài không nhỏ hơn 250 mm, thanh nối lõi phải khớp chặt với đố đứng. Sử dụng liên kết cơ khí để cố định lõi nối và đố đứng phía trên và phía dưới. Đối với tiết diện hở, giữa đố đứng phía trên và phía dưới có thể sử dụng liên kết cơ khí bằng vật liệu có cùng cường độ.
8.3.4 Trong công trình nhiều tầng hoặc cao tầng, khi bố trí đố đứng vượt tầng, thì số điểm liên kết giữa đố đứng và kết cấu chính ở mỗi tầng không ít hơn 1 điểm; nên tăng số điểm liên kết trên mặt vách bê tông đặc. Khi bố trí mỗi tầng 2 điểm đỡ, thì điểm đỡ bên trên nên sử dụng lỗ tròn, điểm đỡ bên dưới nên sử dụng lỗ tròn dẹt.
8.3.5 Nếu bố trí đố đứng tại mỗi tầng, đầu trên và đầu dưới của đố đứng nên liên kết với kết cấu chính, nên sử dụng liên kết treo ở đầu trên; khi điểm đỡ của đố đứng có thể phát sinh chuyển vị lớn thì sử dụng bộ đỡ có khả năng chuyển dịch tương ứng.
8.3.6 Dựa vào điều kiện chịu lực thực tế của đố đứng để phân thành dầm đơn nhịp, dầm hai nhịp hoặc dầm liên tục nhiều nhịp, từ đó tính toán mô men do tải trọng gió hoặc tải trọng động đất gây ra, đồng thời dựa vào loại gối đỡ để tính toán lực dọc trục.
8.3.7 Khả năng chịu lực của đố đứng chịu kéo và mô men cần thỏa mãn yêu cầu sau:
|
| (26) |
trong đó:
N là lực kéo tính toán của đố đứng (N);
M là mô men tính toán của đố đứng (Nmm);
An là diện tích tiết diện thực của đố đứng (mm2);
Wn là mô men kháng uốn theo phương tác dụng của mô men của tiết diện thực của đố đứng (mm3);
γ là hệ số phát triển biến dạng dẻo, có thẻ lấy bằng 1,05;
fy là cường độ chịu kéo tính toán của vật liệu fya (nhôm) hoặc fys (thép) theo giới hạn chảy (MPa).
8.3.8 Đối với đố đứng chịu tác dụng đồng thời của lực nén và mô men, tính ổn định theo phương tác dụng của mô men cần thỏa mãn yêu cầu sau:
|
| (27) |
|
| (28) |
trong đó:
N là lực nén tính toán của đố đứng (N);
NE là lực nén tới hạn (N);
M là mô men tính toán lớn nhất của đố đứng (Nmm);
φ là hệ số ổn định khi chịu nén đúng tâm theo phương tác dụng của mô men, có thể xác định theo Bảng 13 đối với đố đứng làm bằng nhôm. Trường hợp đố đứng làm bằng thép, hệ số φ xác định theo TCVN 5575:2024.
A là diện tích tiết diện nguyên của đố đứng (mm2);
W là mô men kháng uốn của tiết diện nguyên theo phương tác dụng của mô men ứng với phía chịu nén lớn hơn (mm3);
λ là độ mảnh, λ = lef/i;
lef là chiều dài tính toán, xác định theo TCVN 5575:2024;
i là bán kính quán tính của tiết diện;
γ là hệ số phát triển biến dạng dẻo, có thể lấy bằng 1,05;
fy là cường độ chịu kéo tính toán của vật liệu fya (nhôm) hoặc fys (thép) theo giới hạn chảy (MPa).
Bảng 13 - Hệ số uốn dọc của đố đứng chịu nén đúng tâm, φ
| Độ mảnh λ | Nhôm | ||
| 6063-T5; 6061-T4 | 6063-T6; 6063A-T5; 6063A-T6 | 6061-T6 | |
| 20 | 0,98 | 0,96 | 0,92 |
| 40 | 0,88 | 0,84 | 0,80 |
| 60 | 0,81 | 0,75 | 0,71 |
| 80 | 0,70 | 0,58 | 0,48 |
| 90 | 0,63 | 0,48 | 0,40 |
| 100 | 0,56 | 0,38 | 0,32 |
| 110 | 0,49 | 0,34 | 0,26 |
| 120 | 0,41 | 0,30 | 0,22 |
| 130 | 0,33 | 0,26 | 0,19 |
| 140 | 0,29 | 0,22 | 0,16 |
| 150 | 0,24 | 0,19 | 0,14 |
| CHÚ THÍCH: Với các giá trị trung gian của λ thì giá trị φ được xác định bằng nội suy tuyến tính. | |||
8.3.9 Độ mảnh λ của đố đứng chịu nén và chịu uốn không lớn hơn 150.
8.3.10 Dưới tác dụng của tải trọng gió tiêu chuẩn, giới hạn độ võng df,lim của đố đứng nên xác định theo công thức sau:
- Đối với hợp kim nhôm:
| df,lim ≤ l / 180 | (29) |
trong đó:
l là khoảng cách giữa các gối kê (mm), đối với cấu kiện côngxôn lấy bằng 2 lần chiều dài đua.
- Đối với thép:
| df,lim ≤ l / 250 | (30) |
8.3.11 Đố ngang có thể liên kết với đố đứng qua bản góc, vít xoắn hoặc bu lông. Bản góc phải chịu được lực cắt trong đố ngang, chiều dày không nhỏ hơn 3 mm; vít xoắn hoặc bu lông liên kết giữa bản góc và đố đứng thỏa mãn khả năng chịu cắt và chịu xoắn.
8.3.12 Số lượng bu lông tại mỗi vị trí liên kết chịu lực giữa đố đứng và kết cấu chính không ít hơn 2 cái, đường kính bu lông không nhỏ hơn 10 mm;
8.3.13 Khi vật liệu của bản góc và đố đứng khác nhau, sử dụng tấm đệm cách điện để phân cách hoặc có biện pháp hữu hiệu khác để tránh ăn mòn hai kim loại.
9 Tính toán kết cấu hệ vách kính dạng toàn kính
9.1 Quy định chung
9.1.1 Khi chiều cao kính của hệ vách kính dạng toàn kính lớn hơn giá trị giới hạn trong Bảng 14 thì phải liên kết với hộ kết cấu chính.
Bảng 14 - Chiều cao lớn nhất của hệ vách kính dạng toàn kính
| Chiều dày kính (mm) | 10; 12 | 15 | 19 |
| Chiều cao lớn nhất (m) | 4 | 5 | 6 |
9.1.2 Khe hở giữa thành xung quanh của hệ vách kính dạng toàn kính với tấm kính hoặc gờ kính không lớn hơn 8 mm, khe hở giữa cạnh dưới của tấm kính treo và đáy rãnh cần thỏa mãn yêu cầu biến dạng giãn dài của kính; giữa cạnh kính và đáy khe cần sử dụng đệm đàn hồi để đỡ hoặc bịt kín, chiều dài đệm đỡ không nhỏ hơn 100 mm; giữa thành khe và kính cần sử dụng keo silicon để bịt.
9.1.3 Hệ kết cấu hoặc cấu kiện kết cấu treo hệ vách kính dạng toàn kính cần có đủ độ cứng, khi sử dụng giàn thép hoặc dầm thép làm cấu kiện chịu lực, thì giới hạn độ võng df,lim nên lấy bằng 1/250 chiều dài nhịp.
9.1.4 Giữa giá treo hệ vách kính dạng toàn kính dạng treo và kết cấu chính phải sử dụng hệ kết cấu cứng để truyền lực ngang.
9.1.5 Tải trọng thường xuyên (bản thân) của kính không nên chỉ do keo kết cấu chịu.
9.1.6 Bề mặt của hệ vách kính dạng toàn kính không được tiếp xúc trực tiếp với vật liệu cứng khác. Khe hở giữa tấm mặt và bề mặt hoàn thiện hoặc bề mặt kết cấu không nhỏ hơn 8 mm, và phải sử dụng keo bịt để bịt kín.
9.1.7 Giá treo cần thỏa mãn các quy định liên quan trong TCVN 5574:2018 và các tiêu chuẩn liên quan khác.
9.1.8 Kính của hệ vách kính dạng toàn kính dạng đỡ điểm cần thỏa mãn yêu cầu tại 6.4.2 và 6.4.3.
9.2 Kính
9.2.1 Chiều dày của tấm kính không nhỏ hơn 10 mm; chiều dày của lớp kính đơn nhiều lớp không được nhỏ hơn 8 mm.
9.2.2 Khi tấm kính được liên kết với gờ kính bằng keo thì tấm kính có thể thiết kế như bản kê đơn giản lên gờ kính. Ứng suất và độ võng của tấm kính được tính toán căn cứ vào các quy định tại 8.1 2 và 8.1.3, trong đó giá trị a trong công thức lấy bằng nhịp của tấm kính, hệ số m và μ lần lượt lấy bằng 0,125 và 0,013; nếu tấm kính mặt là tấm kính nhiều lớp hoặc tấm kính hộp, thì dựa vào quy định tại 8.1.4 hoặc 9.1.5 để tính toán; nếu tấm kính là dạng kính đỡ điểm thì có thể dựa vào quy định tại 10.1.5 để tính toán, khi cần thiết có thể tiến hành thí nghiệm để kiểm chứng.
9.2.3 Đối với tấm kính liên kết với gờ kính bằng keo, dưới tác dụng của tải trọng gió tiêu chuẩn, giá trị giới hạn của độ võng df,lim nên lấy bằng 1/60 chiều dài nhịp; độ võng giới hạn df,lim của tấm kính đỡ điểm nên lấy bằng 1/60 cạnh dài của khoảng cách giữa các điểm đỡ.
9.3 Gờ kính
9.3.1 Chiều dày tiết diện của gờ kính của hệ vách kính dạng toàn kính không nhỏ hơn 12 mm, chiều cao tiết diện không nhỏ hơn 100 mm.
9.3.2 Chiều cao tiết diện của gờ kính của hệ vách kính dạng toàn kính hr (Hình 3) có thể xác định theo công thức sau:
- Đối với sườn kính kép:
|
| (31) |
- Đối với sườn kính đơn:
|
| (32) |
trong đó:
hr là chiều cao tiết diện sườn kính (mm);
w là áp lực gió tính toán (MPa);
l là nhịp của tấm kính giữa hai sườn kính (mm);
fg là cường độ tính toán của mặt bên kính (MPa);
t là chiều dày tiết diện sườn kính (mm);
h là khoảng cách giữa các điểm đỡ phía trên và dưới gờ kính, tức nhịp tính toán (mm);

CHÚ DẪN:
1 Sườn kính
2 Tấm kính
Hình 3 - Hệ vách kính dạng toàn kính với kết cấu sườn đứng
9.3.3 Độ võng df do tác dụng của tải trọng gió tiêu chuẩn lên hệ vách kính dạng toàn kính có thể tính toán theo công thức sau:
- Đối với sườn kính kép:
|
| (33) |
- Đối với sườn kính đơn:
|
| (34) |
trong đó:
wk là áp lực gió tiêu chuẩn tác dụng vuông góc với mặt phẳng của hệ vách kính (MPa);
E là mô đun đàn hồi của kính (MPa).
9.3.4 Dưới tác dụng của tải trọng gió tiêu chuẩn, giới hạn độ võng df,lim của gờ kính lái bằng 1/200 chiều dài nhịp.
9.3.5 Đối với sườn kính sử dụng liên kết bằng phụ kiện thép thì chiều dày của phụ kiện thép liên kết không nhỏ hơn 6 mm. Bu lông liên kết nên sử dụng bu lông không gỉ, đường kính bu lông không nhỏ hơn 8 mm.
Đầu nối liên kết phải chịu được mô men tính toán và lực cắt tính toán của tiết diện. Tại đầu nối tiến hành tính toán kiểm tra bu lông chịu cắt và lỗ kính chịu ép mặt, khi kiểm tra kính, lấy cường độ tính toán của mặt bên kính.
9.3.6 Chiều dày tiết diện hữu hiệu của tấm kính nhiều lớp có thể lấy bằng tổng chiều dày của 2 lớp kính đơn.
9.3.7 Đối với gờ kính có chiều cao lớn hơn 8 m nên kiểm tra ổn định ngoài mặt phẳng; đối với gờ kính có chiều cao lớn hơn 12 m, phải tiến hành kiểm tra ổn định ngoài mặt phẳng, khi cần thiết phải có biện pháp cấu tạo tránh mất ổn định ngoài mặt phẳng.
9.4 Keo bịt
9.4.1 Đối với hệ vách kính dạng toàn kính sử dụng keo bịt truyền lực thì phải sử dụng loại keo silicon kết cấu.
9.4.2 Khả năng chịu lực của keo bịt của hệ vách kính dạng toàn kính cần thỏa mãn các yêu cầu sau:
a) Đối với sườn kính phẳng với bề mặt kính hoặc nhô ra khỏi bề mặt kính:
|
| (35) |
- Đối với sườn kính đặt sau hoặc gờ kính kép:
|
| (36) |
trong đó:
q là giá trị tính toán của tải trọng tác dụng vuông góc với mặt phẳng cả hệ vách kính, khi thiết kế chịu động đất phải bao gồm cả tải trọng phân bố tính toán do động đất tác dụng (MPa);
l là nhịp của tấm kính giữa hai sườn kính (mm);
t1 là bề rộng của keo, lấy chiều dày của tiết diện tấm kính (mm);
t2 là bề rộng của keo, lấy chiều dày tiết diện của sườn kính (mm);
f1 là cường độ tính toán của keo silicon kết cấu dưới tác dụng của tải trọng gió, lấy bằng 0,2 MPa.
b) Chiều dày của keo cần thỏa mãn yêu cầu tại 7.7.5, đồng thời không được nhỏ hơn 6 mm.
9.4.3 Khi bề rộng keo không thỏa mãn yêu cầu tại mục (a), (b) của 9.4.2 có thể sử dụng giải pháp thêm dải kính phụ hoặc dải thép không gỉ, để tăng bề rộng keo.
10 Tính toán kết cấu hệ vách kính dạng đỡ điểm
10.1 Kính
10.1.1 Tấm kính hình tứ giác có thể sử dụng 4 điểm đỡ hoặc 6 điểm đỡ; tấm kính hình tam giác có thể sử dụng 3 điểm đỡ. Khoảng cách từ mép lỗ đến cạnh tấm kính không nhỏ hơn 70 mm.
10.1.2 Chiều dày tấm kính của hệ vách kính sử dụng liên kết dạng đầu nổi không nhỏ hơn 6 mm; chiều dày tấm kính của hệ vách kính sử dụng liên kết dạng đầu chìm không nhỏ hơn 8 mm.
Chiều dày lớp kính của kính nhiều lớp và kính hộp của cấu kiện liên kết cũng cần thỏa mãn yêu cầu nêu trên.
10.1.3 Bề rộng khe hở giữa các tấm kính không nhỏ hơn 10 mm, đồng thời phải dùng keo silicon để bịt khe.
10.1.4 Phải tiến hành bịt kín chắc chắn xung quanh lỗ đỡ tấm kính. Khi sử dụng kính hộp dạng đỡ điểm, thì xung quanh lỗ đỡ phải sử dụng giải pháp bịt nhiều lớp.
10.1.5 Dưới tác dụng của tải trọng gió và tải trọng động đất vuông góc với mặt phẳng kính, ứng suất và độ võng của tấm kính kê bốn điểm cần thỏa mãn quy định sau:
a) Ứng suất lớn nhất và độ võng lớn nhất có thể sử dụng phương pháp phần tử hữu hạn có xét đến phi tuyến hình học để tính toán, cũng có thể xác định bằng công thức sau:
|
| (37) |
|
| (38) |
|
| (39) |
trong đó:
σk, σEk lần lượt là ứng suất lớn nhất của tiết diện kính khi chịu tác động của tải trọng gió và tải trọng động đất (MPa);
df là độ võng lớn nhất dưới tác dụng của tải trọng gió tiêu chuẩn (mm);
w, qE lần lượt là tải trọng gió tính toán, tải trọng động đất tính toán tác dụng vuông góc với mặt phẳng của hệ vách kính (MPa);
wk lần lượt là tải trọng gió tiêu chuẩn tác dụng vuông góc với mặt phẳng của hệ vách kính (MPa);
b là cạnh dài của tấm kính giữa các điểm đỡ (mm);
t là chiều dày tấm kính (mm);
m là hệ số mô men, dựa vào tỷ sổ giữa cạnh ngắn và cạnh dài của tấm kính giữa các điểm đỡ a/b, tra Bảng 15 để xác định;
D là độ cứng của tấm kính, xác định theo công thức (18);
μ là hệ số độ võng, dựa vào tỷ số giữa cạnh ngắn và cạnh dài của tấm kính giữa các điểm đỡ a/b, tra Bảng 16 để xác định;
η là hệ số giảm, dựa vào giá trị của tham số ξ tra Bảng 16 để xác định, với ξ được xác định theo công thức (40).
|
| (40) |
Bảng 15 - Hệ số mô men của tấm kính đỡ bốn điểm, m
| a/b | 0,00 | 0,20 | 0,30 | 0,40 | 0,50 | 0,55 | 0,60 | 0,65 |
| m | 0,125 | 0,126 | 0,127 | 0,129 | 0,130 | 0,132 | 0,134 | 0,136 |
| a/b | 0,70 | 0,75 | 0,80 | 0,85 | 0,90 | 0,95 | 1,00 | - |
| m | 0,138 | 0,140 | 0,142 | 0,145 | 0,148 | 0,151 | 0,154 | - |
| CHÚ THÍCH: a là chiều dài cạnh ngắn giữa các điểm đỡ | ||||||||
b) Ứng suất lớn nhất xác định theo trạng thái giới hạn về khả năng chịu lực quy định tại 7.3 và 7.4, đồng thời không được vượt quá cường độ tính toán của tấm kính lớn fg;
c) Dưới tác dụng của tải trọng gió tiêu chuẩn, độ võng giới hạn df,lim của tấm kính đỡ điểm nên lấy bằng 1/60 cạnh dài của khoảng cách giữa các điểm đỡ.
Bảng 16 - Hệ số độ võng của tấm kính đỡ bốn điểm, μ
| a/b | 0,00 | 0,20 | 0,30 | 0,40 | 0,50 | 0,55 | 0,60 |
| μ | 0,01302 | 0,01317 | 0,01335 | 0,01367 | 0,01417 | 0,01451 | 0,01496 |
| a/b | 0,65 | 0,70 | 0,75 | 0,80 | 0,85 | 0,90 | 0,95 |
| μ | 0,01555 | 0,01630 | 0,01725 | 0,01842 | 0,01984 | 0,02157 | 0,02363 |
| a/b | 1,00 | - | - | - | - | - | - |
| μ | 0,02603 | - | - | - | - | - | - |
| CHÚ THÍCH: a là chiều dài cạnh ngắn giữa các điểm đỡ | |||||||
10.2 Phụ kiện đỡ
10.2.1 Phụ kiện đỡ cần thỏa mãn các quy định trong các tiêu chuẩn sản phẩm tương ứng.
10.2.2 Đầu đỡ phải phù hợp với biến dạng xoay của tấm kính tại vị trí điểm đỡ.
10.2.3 Giữa vật liệu thép của đầu đỡ và tấm kính phải bố trí tấm đệm hoặc lớp lót bằng vật liệu đàn hồi, chiều dày của tấm đếm và lớp lót không nhỏ hơn 1 mm.
10.2.4 Ngoài để chịu tải trọng hoặc tác động do tấm kính truyền lên, không sử dụng phụ kiện đỡ vào mục đích khác.
10.3 Kết cấu đỡ
10.3.1 Kết cấu đỡ của hệ vách kính dạng đỡ điểm nên được tiến hành tính toán độc lập, không nên xem tấm kính là một phần của kết cấu đỡ.
Đối với kết cấu đỡ phức tạp, nên sử dụng phương pháp phần tử hữu hạn để phân tích.
10.3.2 Sườn kính có thể căn cứ vào quy định tại 9.3 để tiến hành tính toán.
10.3.3 Thiết kế kết cấu đỡ bằng thép cần tuân thủ các yêu cầu của TCVN 5575:2024.
10.3.4 Khi chỉ có một thành thép hình hoặc ống thép làm kết cấu đỡ thì cần thỏa mãn các quy định sau:
a) Cấu tạo liên kết của đầu liên kết và kết cấu chính cần phù hợp với chuyển vị của kết cấu chính;
b) Đối với cấu kiện thẳng đứng nên thiết kế theo cấu kiện chịu kéo/nén lệch tâm; cấu kiện theo phương ngang nên thiết kế theo cấu kiện chịu uốn hai phương, khi có tác dụng của mô men xoắn, thì cần xét đến ảnh hưởng bất lợi của mô men xoắn;
c) Độ mảnh của cấu kiện chịu nén λ không lớn hơn 150;
d) Dưới tác dụng của tải trọng gió tiêu chuẩn, độ võng giới hạn df,lim nên lấy bằng 1/250 chiều dài nhịp. Khi tính toán, nhịp của cấu kiện con xon lấy bằng 2 lần chiều dài vươn.
10.3.5 Việc thiết kế giàn, giàn rỗng cần thỏa mãn các quy định sau:
a) Có thể sử dụng thép hình, thép ống làm cấu kiện. Khi sử dụng thép ống nên hàn trực tiếp tại đầu nút, ống chính không nên mở lỗ, ống phụ không được xuyên vào ống chính.
b) Đường kính ngoài của ống thép không lớn hơn 50 lần chiều dày ống, đường kính ngoài của ống phụ không nhỏ hơn 0,3 lần đường kính ngoài của ống chính. Chiều dày ống thép không nhỏ hơn 4 mm, chiều dày ống chính không được nhỏ hơn chiều dày ống phụ.
c) Các thanh giàn không nên liên kết lệch tâm. Góc nghiêng giữa thanh cánh và thanh bụng, góc giữa các thanh bụng không nhỏ hơn 30°.
d) Giàn rỗng ống thép hàn phải tính toán theo mô hình nút cứng.
e) Độ mảnh của thanh chịu nén đúng tâm hoặc thanh chịu nén lệch tâm không được lớn hơn 150; độ mảnh của thanh chịu kéo đúng tâm và chịu kéo lệch tâm không được lớn hơn 350.
f) Khi khoảng cách gối đỡ cố định ngoài mặt phẳng của giàn hoặc giàn rỗng cách xa nhau, phải bố trí kết cấu giằng giữ ổn định theo phương vuông góc.
g) Dưới tác dụng của tải trọng gió tiêu chuẩn, giá trị giới hạn của độ võng df,lim nên lấy bằng 1/250 chiều dài nhịp. Khi tính toán, nhịp của cấu kiện côngxôn lấy bằng 2 lần chiều dài vươn.
10.3.6 Việc thiết kế hệ thanh cáp kéo căng cần thỏa mãn các quy định sau:
a) Phải hình thành hệ kết cấu ổn định chịu tác dụng của tải trọng gió và tải trọng động đất theo cả hai phương. Tại phương vuông góc với phương chịu lực chính, khi cần thiết phải bố trí hệ thanh cáp kéo căng hoặc giàn để giữ ổn định.
b) Phụ kiện nối, thanh chịu nén và thanh căng nên sử dụng vật liệu thép không gỉ, đường kính thanh căng không nhỏ hơn 10 mm; thanh chịu nén của hệ tự cân bằng có thể sử dụng thép cacbon. Cáp căng nên sử dụng cáp không gì, cáp cường độ cao, cũng có thể sử dụng cáp bọc nhôm. Đường kính sợi của cáp không nhỏ hơn 1,2 mm, đường kính cáp không nhỏ hơn 8 mm. Khi sử dụng cáp cường độ cao, thì bề mặt cáp phải có lớp bảo vệ chống ăn mòn.
c) Khi phân tích kết cấu nên xét đến ảnh hưởng của phi tuyến hình học.
d) Vị trí liên kết với kết cấu chính phải có khả năng đáp ứng chuyển vị của kết cấu chính, hệ kết cấu chính phải chịu được lực căng trước của hệ thanh căng hoặc hệ cáp căng và các tải trọng khác.
e) Đối với hệ tự cân bằng, độ mảnh của thanh chịu nén của hệ không được lớn hơn 150.
f) Không nên sử dụng hàn nối thanh chịu kéo; đối với cáp có thể sử dụng đầu neo để liên kết, không được sử dụng phương pháp hàn để liên kết.
g) Dưới tác dụng của tải trọng gió tiêu chuẩn, giá trị của độ võng giới hạn df,lim lấy bằng 1/200 khoảng cách giữa các điểm đỡ.
10.3.7 Lực căng trước nhỏ nhất trong hệ thanh/cáp căng phải đảm bảo thanh hoặc cáp chịu được tác dụng của tải trọng tính toán.
11 Gia công, chế tạo
11.1 Quy định chung
11.1.1 Trước khi gia công, chế tạo hệ vách kính cần tiến hành đối chiếu với bản vẽ thi công công trình, tiến hành đo kiểm đối với kết cấu chính đã thi công, đồng thời dựa vào kết quả đo thực tế để tiến hành điều chỉnh khi thiết kế hệ vách kính.
11.1.2 Thiết bị, công cụ sử dụng khi gia công cấu kiện của hệ vách kính cần thỏa mãn yêu cầu về độ chính xác của cấu kiện hệ vách kính, phải tiến hành kiểm định định kỳ đối với các thiết bị, công cụ này.
11.1.3 Khi sử dụng keo silicon kết cấu để dính kết cố định cấu kiện của hệ vách kính khung kín thì phải tiến hành bôi keo trong môi trường sạch sẽ, thông gió trong nhà, đồng thời điều kiện nhiệt độ, độ ẩm của môi trường cần thỏa mãn quy định của sản phẩm; bề rộng và chiều dày bôi keo phải phù hợp yêu cầu thiết kế.
11.1.4 Ngoại trừ hệ vách kính dạng toàn kính, hạn chế sử dụng keo silicon kết cấu tại hiện trường, trừ khi cần thiết.
11.1.5 Các panen kính và phụ kiện của hệ vách kính khung kín đều phải gia công tổ hợp trong nhà máy.
11.1.6 Đối với kính có phủ lớp bức xạ thấp thì phải dựa vào tính năng bám dính của vật liệu phủ và các yêu cầu kỹ thuật khác để xác định công nghệ gia công chế tạo; khi lớp phủ và keo silicon kết cấu không tương thích, thì phải loại bỏ lớp phủ.
11.1.7 Keo silicon kết cấu không được sử dụng làm keo silicon kiến trúc.
11.2 Vật liệu nhôm
11.2.1 Việc gia công cấu kiện hợp kim nhôm của hệ vách kính cần thỏa mãn các yêu cầu sau:
a) Trước khi cắt thanh hợp kim nhôm phải tiến hành điều chỉnh cho thẳng.
b) Sai số chiều dài cho phép của đố ngang là ± 0,5 mm, sai số chiều dài cho phép của đố đứng là ± 1,0 mm, sai số của độ nghiêng ở đầu thành là -15' (Hình 4).
c) Đoạn đầu của thanh không được gia công biến dạng, đồng thời phải cạo sạch riềm.
d) Sai số của vị trí lỗ là ± 0,5 mm, sai số cho phép của khoảng cách lỗ là ± 0,5 mm, sai số tích lũy là ± 1,0 mm.
e) Sai số kích thước lỗ khoan cần thỏa mãn quy định trong tiêu chuẩn được áp dụng và yêu cầu kỹ thuật.
f) Sai số kích thước lỗ của đinh tán đầu chìm cần thỏa mãn quy định trong tiêu chuẩn được áp dụng và yêu cầu kỹ thuật.
g) Kích thước lỗ của đầu trụ tròn, bu lông cần thỏa mãn quy định trong tiêu chuẩn được áp dụng và yêu cầu kỹ thuật.
h) Việc gia công lỗ ốc vít cần thỏa mãn yêu cầu kỹ thuật.

11.2.2 Việc gia công khe, đầu mộng âm dương của cấu kiện hợp kim nhôm của hệ vách kính cần thỏa mãn các yêu cầu sau:
a) Sai số cho phép của kích thước lỗ khe (Hình 5) của cấu kiện hợp kim nhôm cần thỏa mãn yêu cầu trong Bảng 17.
Bảng 17 - Sai số cho phép của kích thước lỗ khe
| Nội dung | alk, mm | blk, mm | clk, mm |
| Sai số cho phép | + 0,5 0,0 | + 0,5 0,0 | ± 0,5 |

b) Sai số cho phép của kích thước đầu mộng âm (Hình 6) của cấu kiện hợp kim nhôm cần thỏa mãn yêu cầu trong Bảng 18.
Bảng 18 - Sai số cho phép của kích thước đầu mộng âm
| Nội dung | alk, mm | blk, mm | clk, mm |
| Sai số cho phép | + 0,5 0,0 | + 0,5 0,0 | ± 0,5 |

c) Sai số cho phép của kích thước đầu mộng dương (Hình 7) của cấu kiện hợp kim nhôm cần thỏa mãn yêu cầu trong Bảng 19.
Bảng 19 - Sai số cho phép của kích thước đầu mộng dương
| Nội dung | alk, mm | blk, mm | clk, mm |
| Sai số cho phép | 0,0 - 0,5 | 0,0 - 0,5 | ± 0,5 |

11.2.3 Việc gia công uốn các cấu kiện hợp kim nhôm của hệ vách kính cần thỏa mãn các yêu cầu sau:
a) Nên sử dụng thiết bị uốn để tiến hành gia công uốn cấu kiện hợp kim nhôm.
b) Bề mặt cấu kiện sau khi gia công phải trơn nhẵn, không có vết nhăn, lồi lõm, vết nứt.
11.3 Cấu kiện thép
11.3.1 Độ chính xác khi gia công cấu kiện đặt sẵn dạng tấm cần thỏa mãn yêu cầu sau:
a) Sai số cho phép chiều dài cạnh của bản đặt sẵn là ± 5 mm.
b) Sai số cho phép của chiều dài cốt thép neo là +10 mm, sai số cho phép của chiều dài cốt thép neo đối với cấu kiện đặt sẵn dạng xuyên suốt có hai mặt là cả tấm thép là + 5 mm, đồng thời không cho phép có sai số âm.
c) Sai số cho phép của đường tâm của thép neo tròn là ± 5 mm.
d) Sai số cho phép của độ thẳng đứng của cốt thép neo và mặt tấm là ls/30 (ls là chiều dài cốt thép neo, đơn vị tính là milimét).
11.3.2 Mặt trong và mặt ngoài của cấu kiện đặt sẵn dạng rãnh phải được tiến hành xử lý chống ăn mòn, độ chính xác khi gia công cần thỏa mãn các quy định sau:
a) Sai số cho phép về chiều dài, chiều rộng và chiều dày của cấu kiện đặt sẵn đều là +10 mm, không cho phép sai số âm.
b) Sai số cho phép của lỗ khe là +1,5 mm, không cho phép sai số âm.
c) Sai số cho phép của chiều dài cốt thép neo là + 5 mm, không cho phép sai số âm.
d) Sai số cho phép của đường tâm cốt thép là ± 1,5 mm.
e) Sai số cho phép của độ thẳng đứng của cốt thép neo và mặt tấm là ls/30 (ls là chiều dài cốt thép neo, đơn vị tính là mm).
11.3.3 Độ chính xác của cấu kiện liên kết, cấu kiện đỡ của hệ vách kính cần thỏa mãn yêu cầu sau:
a) Bề ngoài của cấu kiện liên kết, cấu kiện đỡ phải bằng phẳng, không được có khiếm khuyết như vết nhăn, riềm, lồi lõm, cong vênh, biến dạng.
b) Sai số cho phép khi gia công cấu kiện liên kết, cấu kiện đỡ (Hình 8) phải thỏa mãn yêu cầu trong Bảng 20.

Bảng 20 - Sai số cho phép của cấu kiện liên kết và cấu kiện đỡ
| Loại sai lệch | Sai số cho phép |
| 1. Chiều cao của cấu kiện liên kết, akc | + 5 mm; - 2 mm |
| 2. Chiều dài của cấu kiện liên kết, bkc | + 5 mm; - 2 mm |
| 3. Khoảng cách lỗ, ckc | ±1,0 mm |
| 4. Bề rộng lỗ, dkc | + 1,0 mm; 0 mm |
| 5. Khoảng cách đến mép, ekc | + 1,0 mm; 0 mm |
| 6. Chiều dày, tkc | + 0,5 mm, - 0,2 mm |
| 7. Góc uốn, β | ± 2° |
11.3.4 Việc gia công đố đứng và đố ngang bằng thép hình cần thỏa mãn các quy định trong TCVN 5575:2024, TCVN 12002:2020 và TCVN 13194:2020.
11.3.5 Việc gia công kết cấu đỡ bằng thép của hệ vách kính dạng đỡ điểm cần thỏa mãn các yêu cầu sau:
a) Phải được phân chia thành các bộ phận lắp ráp hợp lý.
b) Thanh ống của giàn phải được tính toán đường giao, sử dụng máy cắt tự động để gia công.
c) Sai số cho phép vị trí nút của các bộ phận lắp ráp là ± 2,0 mm.
d) Sai số cho phép của chiều dài cấu kiện, chiều dài bộ phận lắp ráp là
chiều dài của chúng.
e) Đường hàn liên kết ống phải liên tục, đều đặn, bằng phẳng, không có bọt khí và sạn; khi chiều dày ống nhỏ hơn 6 mm có thể không cần cắt vát; chiều cao của đường hàn góc không nhỏ hơn 2 lần chiều dày của ống.
f) Việc xử lý bề mặt của kết cấu thép cần thỏa mãn các quy định liên quan tại 5.3.
g) Đối với kết cấu thép chia thành các bộ phận lắp ráp, thì nên tiến hành lắp thử trước khi lắp đặt c hình thức tại công trường.
11.3.6 Việc gia công hệ kết cấu thanh cáp cần thỏa mãn các yêu cầu sau:
a) Phải tiến hành thí nghiệm kéo đứng đối với thanh căng và cáp;
b) Trước khi cắt sợi cáp phải tiến hành căng trước để kéo thẳng, lực căng trước có thể lấy bằng 50 % lực kéo đứt và giữ trong 2 h;
c) Cáp sau khi cắt đứt phải sử dụng máy ép để tiến hành cố định bằng vỏ ống;
d) Thanh căng và thanh góc không sử dụng liên kết hàn để liên kết;
e) Hệ kết cấu thanh, cáp phải được tiến hành lắp đặt trên bàn công tác, đồng thời tránh làm hư hỏng bề mặt.
11.3.7 Liên kết hàn, liên kết bu lông của cấu kiện kết cấu thép cần thỏa mãn các quy định liên quan trong TCVN 5575:2024, TCVN 12002:2020 và TCVN 13194:2020.
11.3.8 Việc sơn bề mặt cấu kiện kết cấu thép cần thỏa mãn các quy định liên quan trong TCVN 12002:2020 và TCVN 13194:2020.
11.4 Kính
11.4.1 Độ chính xác khi gia công kính một lớp, kính nhiều lớp và kính hộp của hệ vách kính cần thỏa mãn các yêu cầu sau:
a) Sai số kích thước cho phép của kính cường lực một lớp cần thỏa mãn yêu cầu trong Bảng 21.
b) Khi sử dụng kính hộp, sai số kích thước cho phép cần thỏa mãn yêu cầu trong Bảng 22.
Bảng 21 - Sai số cho phép của kích thước kính cường lực
| Loại sai lệch | Chiều dày kính, mm | Chiều dài cạnh L ≤ 2 m | Chiều dài cạnh L > 2 m |
| Chiều dài cạnh | 6; 8; 10; 12 | ± 1,5 mm | ± 2,0 mm |
| 15; 19 | ± 2,0 mm | ± 3,0 mm | |
| Sai lệch đường chéo | 6; 8; 10; 12 | ≤ 2,0 mm | ≤ 3,0 mm |
| 15; 19 | ≤ 3,0 mm | ≤ 3,5 mm |
11.4.2 Sau khi gia công uốn cong kính, sai số cho phép về chiều cao của cung cong trên mỗi mét chiều dài cung là ± 3,0 mm, đồng thời cạnh cong của kính phải suôn thẳng; độ uốn cong của cạnh thẳng của kính không được vượt quá 0,5 % đối với dạng vòm và không vượt quá 0,3 % đối với dạng sóng.
11.4.3 Việc gia công hệ vách kính dạng toàn kính cần thỏa mãn các yêu cầu sau:
a) Phải cắt vát mép cạnh kính và mài kỹ; cạnh kính lộ ra ngoài phải mài mịn.
b) Khi sử dụng phương pháp khoan lỗ lắp đặt, phải tiến hành vát mép cạnh lỗ, đồng thời không được làm sứt mẻ.
c) Khi sử dụng kính nhiều lớp, sai số kích thước cho phép phải thỏa mãn yêu cầu trong Bảng 23.
Bảng 22 - Sai số cho phép của kích thước kính hộp
| Loại sai lệch | Sai số cho phép, mm | |
| Chiều dài cạnh (mm) | L < 1 000 | ± 2,0 |
| 1 000 ≤ L < 2 000 | + 2,0; -3,0 | |
| L ≥ 2 000 | ± 3,0 | |
| Sai lệch đường chéo (mm) | L ≤ 2 000 | ≤ 2,5 |
| L > 2 000 | ≤ 3,5 | |
| Chiều dày (mm) | t < 17 | ± 1,0 |
| 17 ≤ t < 22 | ± 1,5 | |
| t ≥ 22 | ± 2,0 | |
| Sai lệch xếp chồng (mm) | L < 1 000 | ± 2,0 |
| 1 000 ≤ L < 2 000 | ± 3,0 | |
| 2 000 ≤ L < 4 000 | ± 4,0 | |
| L ≥ 4 000 | ± 6,0 | |
Bảng 23 - Sai số cho phép của kích thước kính nhiều lớp
| Loại sai lệch | Sai số cho phép, mm | |
| Chiều dài cạnh (mm) | L ≤ 2 000 | ± 2,0 |
| L > 2 000 | ± 2,5 | |
| Sai lệch đường chéo (mm) | L ≤ 2 000 | ≤ 2,5 |
| L > 2 000 | ≤ 3,5 | |
| Sai lệch xếp chồng (mm) | L < 1 000 | ± 2,0 |
| 1 000 ≤ L < 2 000 | ± 3,0 | |
| 2 000 ≤ L < 4 000 | ± 4,0 | |
| L ≥ 4 000 | ± 6,0 | |
11.4.4 Việc gia công kính dạng đỡ điểm cần thỏa mãn các yêu cầu sau:
a) Cạnh của tấm kính và lỗ đều vào cắt vát và mài cạnh, bề rộng vát góc không được nhỏ hơn 1 mm, nên mài nhẵn cạnh.
b) Việc cắt góc, khoan lỗ, mài cạnh phải tiến hành trước khi tôi cường lực.
c) Sai số cho phép khi gia công kính cần thỏa mãn quy định trong Bảng 24.
Bảng 24 - Sai số cho phép khi gia công kính đỡ điểm
| Loại sai lệch | Kích thước cạnh, mm | Sai lệch đường chéo, mm | Vị trí khoan lỗ, mm | Khoảng cách lỗ, mm | Độ thẳng đứng giữa trục lỗ và bề mặt kính |
| Sai số cho phép | ± 1,0 | ≤ 2,0 | ± 0,8 | ± 1,0 | ± 12’ |
d) Kính hộp sau khi mở lỗ thì tại lỗ mở phải sử dụng biện pháp bịt kín nhiều lớp.
e) Việc khoan lỗ đối với kính nhiều lớp, kính hộp có thể sử dụng phương thức khoan lỗ to, lỗ nhỏ xen kẽ.
11.4.5 Khi gia công ghép lớp kính hộp, cần xét đến ảnh hưởng áp suất không khí khác nhau giữa nơi gia công và lắp đặt để lựa chọn biện pháp ngăn chặn biến dạng lớn.
11.5 Phụ kiện của hệ vách kính dạng khung lộ
11.5.1 Sai số kích thước cho phép khi gia công phụ kiện của hệ vách kính dạng khung lộ cần thỏa mãn các yêu cầu sau:
a) Sai số cho phép về kích thước lắp đặt của phụ kiện cần thỏa mãn yêu cầu trong Bảng 25.
b) Sai số cho phép về khe giữa cấu kiện liền kề và sai số cùng mặt phẳng cần thỏa mãn yêu cầu trong Bảng 26.
Bảng 25 - Sai số cho phép của kích thước phụ kiện
| Loại sai lệch | Chiều dài cấu kiện L, mm | Sai số cho phép, mm |
| Kích thước khe lỗ của vật liệu thép hình | L ≤ 2 000 | ± 2,0 |
| L > 2 000 | ± 2,5 | |
| Sai lệch kích thước cặp cạnh đối diện | L ≤ 2 000 | ≤ 2,0 |
| L > 2 000 | ≤ 3,0 | |
| Sai lệch đường chéo của phụ kiện | L ≤ 2 000 | ≤ 3,0 |
| L > 2 000 | ≤ 3,5 |
Bảng 26 - Sai số cho phép của khe và độ phẳng của cấu kiện liền kề
| Loại sai lệch | Sai số cho phép, mm |
| Khe lắp đặt | ≤ 0,5 |
| Sai số độ phẳng | ≤ 0,5 |
11.5.2 Kích thước giữa kính một lớp và lỗ khe (Hình 9) cần thỏa mãn yêu cầu trong Bảng 27.
Bảng 27 - Kích thước liên kết giữa kính một lớp và lỗ khe
| Chiều dày kính, mm | ak, mm | bk, mm | ck, mm |
| Từ 5 đến 6 | ≥ 3,5 | ≥ 15 | ≥5 |
| Từ 8 đến 10 | ≥ 4,5 | ≥ 16 | ≥ 5 |
| Không nhỏ hơn 12 | ≥ 5,5 | ≥ 18 | ≥ 5 |

Hình 9 - Cấu tạo liên kết giữa kính một lớp với lỗ khe
11.5.3 Kích thước giữa kính hộp và lỗ khe (Hình 10) cần thỏa mãn yêu cầu trong Bảng 28.
11.5.4 Việc bố trí lỗ dẫn khí và lỗ thoát nước của phụ kiện hệ vách kính dạng khung lộ cần thỏa mãn yêu cầu thiết kế, khi lắp đặt phải đảm bảo lỗ thoát khí và thoát nước thông suốt.
11.5.5 Phụ kiện hệ vách kính dạng khung lộ phải lắp đặt kín khít. Nếu thiết kế có yêu cầu bịt kín, phải sử dụng keo silicon kiến trúc để bịt kín.

Hình 10 - Cấu tạo liên kết giữa kính hộp với lỗ khe
Bảng 28 - Kích thước liên kết giữa kính hộp và lỗ khe
| Chiều dày kính hộp, mm | ak, mm | bk, mm | ck, mm | ||
| Cạnh dưới | Cạnh trên | Cạnh biên | |||
| 6 + da + 6 | ≥ 5 | ≥ 17 | ≥ 7 | ≥ 5 | ≥ 5 |
| 8 + da + 8 và lớn hơn | ≥ 5 | ≥ 18 | ≥ 7 | ≥ 5 | ≥ 5 |
| CHÚ THÍCH: da là chiều dày lớp không khí, không được nhỏ hơn 9 mm. | |||||
11.5.6 Khi lắp đặt hệ vách kính dạng khung lộ, cần có biện pháp để bảo đảm khe hở giữa kính và khung hợp kim nhôm. Cạnh dưới của kính phải sử dụng hai miếng đệm (được ép thành hình) bằng cao su tổng hợp để đỡ, kích thước miếng đệm cần thỏa mãn yêu cầu tại 6.3.11.
11.6 Phụ kiện của hệ vách kính khung kín
11.6.1 Trong hệ vách kính khung kín, khung nửa lộ, việc làm sạch bề mặt kính và khung nhôm cần thỏa mãn các yêu cầu sau:
a) Bụi bẩn, vết dầu và các bám bẩn khác trên bề mặt bám dính giữa kính và khung nhôm cần được làm sạch lần lượt bằng khăn lau có sử dụng dung dịch làm sạch và khăn khô.
b) Sau khi làm sạch 1h mới được tiến hành bơm keo; nếu trước khi bơm keo lại bị bám bẩn thì cần làm sạch lại từ đầu.
c) Sau mỗi lần làm sạch một cấu kiện hoặc một tấm kính cần thay khăn khô làm sạch.
11.6.2 Khi sử dụng dung dịch làm sạch thì cần thỏa mãn các yêu cầu sau:
a) Không được đem khăn lau ngâm vào trong dung dịch, phải đem dung dịch đổ lên khăn.
b) Phải sử dụng bình chứa sạch để sử dụng và bảo quản dung dịch.
c) Phải cấm lửa tại hiện trường sử dụng dung dịch.
d) Phải tuân thủ các chỉ dẫn của sản phẩm làm sạch.
11.6.3 Phải có báo cáo kiểm tra tính tương thích đạt tiêu chuẩn trước khi bơm keo silicon kết cấu, trường hợp cần thiết phải quét lớp sơn lót; đối với keo silicon kết cấu hai thành phần thì còn phải tiến hành thí nghiệm con bướm và thí nghiệm kéo đứt.
11.6.4 Khi sử dụng keo silicon kết cấu để dán các tấm, không được để keo kết cấu trong trạng thái chịu lực riêng rẽ trong thời gian dài. Không được vận chuyển các bộ phận vừa bơm keo trước khi keo đạt được đủ khả năng chịu lực.
11.6.5 Khi kết dính các cấu kiện của hệ vách kính khung kín thì keo bơm phải đầy tràn, không được xuất hiện bọt khí, bề mặt khe dán phải bằng phẳng, trơn nhẵn; không được sử dụng lại keo còn thừa tại chỗ dán.
11.6.6 Sau khi keo silicon kết cấu kết dính hoàn toàn, sai số kích thước cho phép của các bộ phận lắp đặt của hệ vách kính khung kín cần thỏa mãn quy định tại Bảng 29.
11.6.7 Khi hệ vách kính khung kín sử dụng tấm kính dạng côngxôn, thì kích thước côngxôn của kính cần thỏa mãn yêu cầu tính toán, đồng thời không vượt quá 150 mm.
11.7 Hệ vách kính dạng panen
11.7.1 Trước khi gia công hệ vách kính dạng panen phải tiến hành đánh số các tấm, đồng thời ghi rõ hướng và thứ tự khi gia công, vận chuyển và lắp đặt.
11.7.2 Các cấu kiện liên kết các panen phải chắc chắn, khe hở giữa các cấu kiện liên kết phải sử dụng keo silicon kiến trúc để bịt, việc thi công bịt khe cần thỏa mãn các yêu cầu tại 12.3.7.
11.7.3 Các cấu kiện treo, cấu kiện đỡ của panen phải có phạm vi điều chỉnh, đồng thời phải sử dụng bu lông không gỉ để cố định chắc chắn cấu kiện treo vào đố đứng, số lượng bu lông cố định không được ít hơn 2 cái.
Bảng 29 - Sai số cho phép của kích thước cấu kiện hệ vách kính khung kín sau khi keo silicon kết cấu đóng rắn
| Loại sai lệch | Sai số cho phép, mm | |
| 1. Kích thước khung | ± 1,0 | |
| 2. Kích thước phụ kiện | ± 2,5 | |
| 3. Sai số chiều cao bịt khe | ≤ 0,5 | |
| 4. Sai lệch đường chéo bên trong khung và sai lệch đường chéo của phụ kiện | Khi cạnh ≤ 2 000 mm | ≤ 2,5 |
| Khi cạnh > 2 000 mm | ≤ 3,5 | |
| 5. Khe giữa khung | ≤ 0,5 | |
| 6. Bề rộng keo | + 2,0 0 | |
| 7. Chiều dày keo | + 0,5 0 | |
| 8. Sai số giữa kính xung quanh phụ kiện và khung nhôm | ± 1,0 | |
| 9. Độ bằng phẳng của cấu kiện kết cấu | ≤ 3,0 | |
| 10. Chiều dày phụ kiện |
| ± 1,5 |
11.7.4 Keo silicon kết cấu của panen được lộ ra ngoài.
11.7.5 Khi dịch chuyển, vận chuyển, cẩu các panen dạng khung lộ, phải có giải pháp để tránh kính bị trượt hoặc biến dạng.
11.7.6 Sau khi lắp đặt xong các panen, thì nên bịt các lỗ thi công; còn lỗ thông khí, lỗ thoát nước phải thông suốt.
11.7.7 Khi sử dụng vít để liên kết khung của các panen, thì số lượng vít tại mỗi vị trí không được ít hơn 3 cái, đường kính vít không được nhỏ hơn 4 mm. Đường kính trong lớn nhất, nhỏ nhất của lỗ vít và mô men xoắn vặn vít cần thỏa mãn yêu cầu tại Bảng 30.
Bảng 30 - Yêu cầu về đường kính trong của lỗ vít và mômen xoắn
| Đường kính danh nghĩa của lỗ, mm | Đường kính lỗ, mm | Mômen xoắn, Nm | |
| Nhỏ nhất | Lớn nhất | ||
| 4,2 | 3,430 | 3,480 | 4,4 |
| 4,6 | 4,015 | 4,065 | 6,3 |
| 5,5 | 4,735 | 4,785 | 10,0 |
| 6,3 | 5,475 | 5,525 | 13,6 |
11.7.8 Sai số cho phép khi gia công chế tạo khung của panen cần thỏa mãn quy định tại Bảng 31.
Bảng 31 - Sai số kích thước cho phép khi gia công khung panen
| Loại sai lệch | Sai số cho phép | Dụng cụ kiểm tra | |
| 1. Chiều dài (rộng) của khung (mm) | ≤ 2 000 | ± 1,5 mm | Thước thép hoặc thước tấm |
| > 2 000 | ± 2,0 mm | Thước thép hoặc thước tấm | |
| 2. Chiều dài (rộng) ô (mm) | ≤ 2 000 | ± 1,5 mm | Thước thép hoặc thước tấm |
| > 2 000 | ± 2,0 mm | Thước kẹp đo chiều sâu | |
| 3. Sai lệch chiều dài đường chéo (mm) | ≤ 2 000 | ≤ 2,5 mm | Nhét tấm |
| > 2 000 | ≤ 3,5 mm |
| |
| 4. Sai số chiều sâu khe | ≤ 0,5 mm |
| |
| 5. Bề rộng khe | ≤ 0,5 mm |
| |
| 6. Vết xước trên bề mặt khung | ≤ 3 chỗ, tổng chiều dài ≤ 100 mm |
| |
| 7. Vùng xước trên bề mặt khung | ≤ 3 chỗ, tổng diện tích ≤ 200 mm2 |
| |
11.7.9 Sai số cho phép khi lắp đặt tổ hợp panen cần thỏa mãn quy định tại Bảng 32.
Bảng 32 - Sai số cho phép khi lắp đặt tổ hợp panen
| Loại sai lệch | Sai số cho phép, mm | Dụng cụ kiểm tra | |
| 1. Chiều dài (rộng) tổ hợp (mm) | ≤ 2 000 | ± 1,5 | Thước thép |
| > 2 000 | ± 2,0 | ||
| 2. Sai lệch đường chéo tổ hợp (mm) | ≤ 2 000 | ≤ 2,5 | Thước thép |
| > 2 000 | ≤ 3,5 | ||
| 3. Bề rộng keo | + 1,0 0 | Thước kẹp hoặc thước thép tấm | |
| 4. Chiều dày keo | + 0,5 0 | Thước kẹp hoặc thước thép tấm | |
| 5. Phần giao (so với giá trị thiết kế) | + 1,0 0 | Thước thép tấm | |
| 6. Độ phẳng của tổ hợp | ≤ 1,5 | Thước 1m | |
| 7. Bề rộng khe nối bên trong tổ hợp (so với giá trị thiết kế) | ± 1,0 | Thước nhét | |
| 8. Khoảng cách giữa trục theo phương đứng của cấu kiện liên kết đến mặt ngoài tổ hợp (so với giá trị thiết kế) | ± 1,0 | Thước thép | |
| 9. Khoảng cách giữa trục theo phương ngang của cấu kiện liên kết đến trục ngang của tổ hợp | ± 1,0 (± 2,0 khi có thể chỉnh lên xuống) | Thước thép | |
| 10. Khoảng cách giữa trục theo phương đứng của cấu kiện liên kết với trục đứng của tổ hợp | ± 1,0 | Thước thép | |
| 11. Khoảng cách theo phương ngang của tâm hai cấu kiện liên kết | ± 1,0 | Thước thép | |
| 12. Sai lệch khoảng cách theo phương ngang đầu trên và đầu dưới của hai cấu kiện liên kết | ± 0,5 | Thước thép | |
| 13. Sai lệch đường chéo của đầu trên và dưới của hai cấu kiện liên kết | ± 1,0 | Thước thép | |
11.8 Kiểm tra cấu kiện của hệ vách kính
11.8.1 Phải lựa chọn ngẫu nhiên 5 % số lượng cấu kiện của hệ vách kính để kiểm tra, đồng thời số lượng của mỗi loại cấu kiện không được ít hơn 5 cái. Khi có một cấu kiện không thỏa mãn yêu cầu, thì phải tăng số lượng kiểm tra, sau khi kiểm tra lại đạt yêu cầu mới được xuất xưởng.
Sản phẩm khi xuất xưởng phải có giấy chứng nhận đạt chất lượng.
12 Thi công lắp đặt
12.1 Quy định chung
12.1.1 Kết cấu chính để lắp đặt hệ vách kính cần thỏa mãn các yêu cầu liên quan của quy phạm nghiệm thu chất lượng thi công kết cấu.
12.1.2 Chủng loại vật liệu, quy cách, màu sắc và tính năng của cấu kiện và phụ kiện của hệ vách kính khi nhập vào công trường cần thỏa mãn yêu cầu của thiết kế.
12.1.3 Phải lập riêng phương án tổ chức thi công cho việc thi công lắp đặt hệ vách kính, đồng thời phải bao gồm các nội dung sau:
a) Kế hoạch tiến độ.
b) Phương án phối hợp với các công tác thi công kết cấu chính, lắp đặt thiết bị, công tác hoàn thiện.
c) Phương pháp vận chuyển, cẩu lắp.
d) Phương pháp trắc đạc.
e) Phương pháp lắp đặt.
f) Trình tự lắp đặt.
g) Phương pháp bảo vệ cấu kiện, phụ kiện và thành phẩm tại hiện trường.
h) Kiểm tra nghiệm thu.
i) An toàn lao động.
12.1.4 Thiết kế tổ chức thi công lắp đặt hệ vách kính dạng panen còn cần bao gồm các nội dung sau:
a) Chủng loại thiết bị cẩu, phương pháp dịch chuyển thiết bị cẩu, vị trí cẩu các panen, phương pháp và công cụ vận chuyển theo phương đứng và theo phương ngang.
b) Vị trí panen khép kín, công nghệ và phương pháp thao tác để khép kín.
c) Trình tự cẩu các panen, phương pháp và giải pháp khi cẩu, điều chỉnh, định vị cố định.
d) Thiết kế tổ chức thi công hệ vách kính phải kết hợp với thiết kế tổ chức thi công hệ kết cấu chính, vị trí của panen khép kín nên phù hợp với bố trí các thiết bị thi công trên tổng mặt bằng, nếu sử dụng xe cẩu để cẩu trực tiếp các panen, thì tay cẩu của xe phải phủ khắp toàn bộ các vị trí lắp đặt.
12.1.5 Thiết kế tổ chức thi công lắp đặt hệ vách kính dạng đỡ điểm còn phải bao gồm các nội dung sau:
a) Phương án vận chuyển, lắp đặt hiện trường và cẩu của hệ kết cấu thép đỡ.
b) Phương án gia tải kéo trước, đo lường và điều chỉnh đối với hệ thanh căng và cáp; phương pháp định vị và cố định hệ thanh cáp.
c) Phương pháp vận chuyển, định vị, điều chỉnh và cố định kính.
d) Giải pháp để đảm bảo keo được bơm đầy khe và đảm bảo chất lượng.
12.1.6 Khi sử dụng giàn giáo để thi công, đơn vị thi công lắp đặt hệ vách kính xây dựng phương án sử dụng giàn giáo.
12.1.7 Chất lượng thi công hệ vách kính cần thỏa mãn các yêu cầu sau:
a) Việc phân ô để trắc đạc hệ vách kính phải kết hợp với việc trắc đạc hệ kết cấu chính, nếu có sai lệch phải kịp thời điều chỉnh, không được để sai số tích lũy.
b) Phải tiến hành kiểm tra định kỳ các mốc định vị để lắp đặt hệ vách kính.
c) Việc trắc đạc đối với công trình cao tầng chỉ tiến hành khi cấp gió nhỏ hơn 4 theo [1].
12.1.8 Trong quá trình lắp đặt hệ vách kính, việc lưu giữ, vận chuyển, cẩu các cấu kiện không được va đập và hư hỏng; bán thành phẩm phải được bảo vệ; phải có giải pháp để bảo vệ lớp phủ bảo vệ đối với các vật liệu thanh (profile).
12.1.9 Khi lắp đặt kính có lớp phủ, thì phương của mặt có lớp phủ phải phù hợp với yêu cầu của thiết kế.
12.1.10 Khi thực hiện công tác hàn, phải có biện pháp tránh gây hư hỏng đến thanh (profile) kim loại và lớp phủ của kính.
12.2 Chuẩn bị thi công lắp đặt
12.2.1 Trước khi thi công lắp đặt, đơn vị lắp đặt hệ vách kính phải cùng với nhà thầu xây dựng kiểm tra hiện trường thi công, giàn giáo và thiết bị vận chuyển, cẩu lắp để xác nhận điều kiện thi công hệ vách kính.
12.2.2 Khi lưu giữ cấu kiện phải dựa vào trình tự lắp đặt để sắp xếp, giá để cấu kiện phải đảm bảo khả năng chịu lực và độ cứng. Nếu cất giữ cấu kiện ngoài trời thì phải có biện pháp bảo vệ.
12.2.3 Các cấu kiện đặt sẵn để liên kết hệ vách kính với hệ kết cấu chính phải được đặt theo đúng yêu cầu thiết kế khi thi công kết cấu chính; sai số vị trí của cấu kiện đặt sẵn không được lớn hơn 20 mm.
12.2.4 Nếu vị trí của cấu kiện đặt sẵn sai lệch quá nhiều hoặc không đặt cấu kiện đặt sẵn, thì phải lập giải pháp bổ sung để khắc phục, sau khi được sự chấp thuận của chủ đầu tư và các bên liên quan thì mới được tiến hành các bước tiếp theo.
12.2.5 Khi sai lệch của việc thi công kết cấu chính ảnh hưởng đến việc thi công lắp đặt hệ vách kính, thì phải cùng với các bên liên quan tìm giải pháp khắc phục và thực hiện giải pháp trước khi lắp đặt.
12.2.6 Nếu hệ vách kính sử dụng vật liệu mới, kết cấu mới, nên chế tạo mẫu tại hiện trường, sau khi được sự đồng ý của các bên liên quan mới được tiến hành thi công lắp đặt.
12.2.7 Trước khi lắp đặt cấu kiện phải tiến hành kiểm tra và hiệu chỉnh. Cấu kiện không đạt yêu cầu không được lắp đặt sử dụng.
12.3 Lắp đặt hệ vách kính dạng tổ hợp
12.3.1 Việc lắp đặt đố đứng của hệ vách kính cần thỏa mãn các yêu cầu sau:
a) Sai lệch trục của đố đứng khi lắp đặt không được lớn hơn 2 mm.
b) Sai số cao độ của hai thanh đố đứng liền kề không được lớn hơn 3 mm, sai lệch cao độ lớn nhất của đố đứng trong một tầng không được lớn hơn 5 mm; Sai số khoảng cách điểm cố định của hai thanh đố đứng liền kề không được lớn hơn 2 mm.
c) Sau khi định vị, hiệu chỉnh vị trí, đố đứng phải được cố định kịp thời.
12.3.2 Việc lắp đặt đố ngang của hệ vách kính cần thỏa mãn các yêu cầu sau:
a) Đố ngang phải được lắp đặt chắc chắn, khi thiết kế chừa khe hở giữa đố ngang và đố đứng, thì bề rộng khe hở phải thỏa mãn yêu cầu thiết kế.
b) Sai lệch về cao độ giữa hai đầu đố ngang hoặc giữa hai thanh đố ngang liền kề không được lớn hơn 1 mm. Sai lệch cao độ trong một lớp: khi bề rộng của hệ vách kính không lớn hơn 35 m, thì không được lớn hơn 5 mm; khi bề rộng của hệ vách kính lớn hơn 35 m thì không được lớn hơn 7 mm;
c) Sau khi lắp đặt xong một lớp thì phải lập tức tiến hành kiểm tra, hiệu chỉnh và cố định.
12.3.3 Việc lắp đặt các phụ kiện chính của hệ vách kính cần thỏa mãn các yêu cầu sau:
a) Vật liệu chống cháy, bảo ôn phải được rải bằng phẳng và được cố định chắc chắn, vị trí nối không được có khe hở.
b) Ống thoát nước ngưng và phụ kiện của nó phải được liên kết chắc chắn với lỗ chừa của cấu kiện nằm ngang, vị trí liên kết với lỗ thoát nước của tấm lót trong phải được bịt kín.
c) Các ống rãnh thông khí, cửa thoát nước mưa phải được thi công theo yêu cầu thiết kế, không được bỏ sót.
d) Công tác bịt phải tiến hành xử lý bịt kín theo yêu cầu thiết kế.
e) Khi sử dụng bu lông tạm thời để lắp đặt hệ vách kính, sau khi cố định cấu kiện xong phải tháo bỏ kịp thời.
f) Đối với cấu kiện sử dụng hàn hiện trường hoặc bu lông cường độ cao để liên kết, sau khi cố định cấu kiện xong phải tiến hành xử lý chống gỉ kịp thời.
12.3.4 Việc lắp đặt kính phải cần tiến hành theo các yêu cầu sau:
a) Lắp đặt kính theo thiết kế và chỉ dẫn kỹ thuật của công trình. Trước khi lắp đặt phải làm sạch bề mặt kính.
b) Phải dựa vào chủng loại quy định để lựa chọn thanh nẹp cao su ở bốn cạnh, chiều dài nẹp nên lớn hơn chiều dài khe của khung từ 1,5 % đến 2,0 %; sau khi cắt đứng mặt xiên của nẹp cao su thì phải ghép thành góc nghiêng thiết kế định trước, đồng thời sử dụng keo dính để dính cố định; các cạnh phải bằng phẳng.
12.3.5 Việc lắp đặt tấm bản ép trang trí bằng hợp kim nhôm, thì bề mặt phải bằng phẳng, màu sắc đồng đều, khe nối phải đều đặn, kín khít.
12.3.6 Không bơm keo silicon kiến trúc vào ban đêm và ngày mưa, nhiệt độ bơm keo phải phù hợp với yêu cầu thiết kế và yêu cầu của sản phẩm, trước khi bơm keo, phải làm sạch và làm khô bề mặt.
12.3.7 Việc thi công keo silicon kiến trúc của hệ vách kính dạng tổ hợp cần thỏa mãn các yêu cầu sau:
a) Chiều dày thi công của keo silicon kiến trúc phải lớn hơn 3,5 mm, bề rộng thi công không nhỏ hơn 2 lần chiều dày thi công; đối với khe sâu thì phần đáy khe phải sử dụng vật liệu bọt bằng polyethylene để bịt;
b) Keo silicon kiến trúc phải kết dính hai mặt, không được kết dính ba mặt.
12.4 Lắp đặt hệ vách kính dạng panen
12.4.1 Việc chuẩn bị thiết bị cẩu lắp cần thỏa mãn các yêu cầu sau:
a) Phải dựa vào panen để lựa chọn thiết bị cẩu lắp thích hợp để lắp đặt chắc chắn vào hệ kết cấu chính.
b) Trước khi sử dụng thiết bị cẩu lắp, phải tiến hành kiểm tra chất lượng, an toàn tổng thể.
c) Việc thiết kế thiết bị cẩu phải làm sao cho trong quá trình cẩu không được gây ra lực theo phương ngang giữa các tấm panen.
d) Phải điều khiển được tốc độ cẩu, đồng thời phải có biện pháp an toàn bảo vệ.
e) Thiết bị cẩu phải có biện pháp chống xoay lắc của panen khi cẩu.
12.4.2 Việc vận chuyển cấu kiện panen cần thỏa mãn các yêu cầu sau:
a) Trước khi vận chuyển phải đánh số các tấm panen và phải làm tốt công tác bảo vệ thành phẩm.
b) Trong quá trình xếp dỡ, vận chuyển, phải sử dụng đệm đàn hồi và giá đỡ có đủ sức chịu tải và độ cứng, để đảm bảo các tấm tách rời nhau và cố định tương đối, không được để các tấm đè lên nhau.
c) Đối với panen có vượt quá kích thước vận chuyển cho phép thì phải có giải pháp phù hợp để xử lý.
d) Các panen phải được đặt cân bằng theo thứ tự, không được làm biến dạng tấm mặt hoặc các thanh.
e) Trong quá trình vận chuyển, phải có biện pháp giảm chấn.
12.4.3 Khi lưu giữ các panen ở hiện trường cần thỏa mãn các yêu cầu sau:
a) Nên bố trí chỗ lưu giữ riêng biệt, và phải có biện pháp bảo vệ an toàn.
b) Nên đặt trên các giá đỡ.
c) Phải dựa vào thứ tự lắp đặt để sắp xếp.
d) Không được xếp chồng trực tiếp lên nhau.
e) Không nên xếp dỡ thường xuyên.
12.4.4 Việc cẩu và định vị cần thỏa mãn các yêu cầu sau:
a) Điểm cầu và điểm treo cần thỏa mãn yêu cầu thiết kế, số điểm cẩu không được ít hơn 2 điểm. Khi cần thiết có thể bố trí thêm điểm cầu gia cường và cẩu thử.
b) Khi cẩu các panen cần đảm bảo lực phân bố đều trên mỗi điểm cẩu, cần đảm bảo giữ ổn định cho panen trong suốt quá trình cẩu.
c) Không được để panen xoay lắc trong quá trình cẩu, không được để va chạm với các vật thể khác.
d) Phải có biện pháp để đảm bảo mặt trang trí không bị mài và đè trong quá trình cẩu.
e) Khi đưa panen vào vị trí, trước tiên phải treo panen vào kết cấu chính, trước khi cố định panen không được tháo rời thiết bị cẩu.
12.4.5 Sai số cho phép khi lắp đặt cấu kiện liên kết cần thỏa mãn quy định tại Bảng 33.
Bảng 33 - Sai số cho phép khi lắp đặt cấu kiện liên kết
| Loại sai lệch | Sai số cho phép, mm | Dụng cụ kiểm tra |
| 1. Cao độ | ± 1,0 (± 2,0 nếu có thể điểm chỉnh lên xuống) | Máy thủy bình |
| 2. Độ bằng phẳng 2 đầu cấu kiện liên kết | ≤ 1,0 | Thước thép |
| 3. Khoảng cách theo phương ngang đến trục lắp đặt | ≤ 1,0 | Thước thép |
| 4. Sai lệch theo phương đứng (sai lệch độ thẳng đứng của hai đầu cấu kiện liên kết) | ± 1,0 | Thước thép |
| 5. Khoảng cách giữa đường tâm của hai cấu kiện liên kết tại vị trí điểm liên kết | ± 1,0 | Thước thép |
| 6. Sai lệch đường chéo đầu trên và dưới của hai cấu kiện liên kết | ± 1,0 | Thước thép |
| 7. Sai lệch của ba cấu kiện liên kết (trên dưới, trái phải) | ± 1,0 | Thước thép |
12.4.6 Việc hiệu chỉnh và cố định phải được tiến hành theo các quy định sau:
a) Sau khi đưa panen vào vị trí phải tiến hành hiệu chỉnh ngay.
b) Sau khi hiệu chỉnh xong, phải cố định với vị trí liên kết luôn, đồng thời tiến hành nghiệm thu các hạng mục lấp kín.
c) Sai số sau khi lắp đặt cố định hệ vách kính dạng panen cần thỏa mãn yêu cầu trong Bảng 34.
d) Sau khi cố định panen có thể tháo rời thiết bị cẩu, đồng thời phải tiến hành làm sạch các khe, lỗ của thanh khung của panen.
12.4.7 Nếu tạm thời dừng lắp đặt trong quá trình thi công, thì phải tiến hành bảo vệ các vị trí khe lỗ; đối với panen lắp đặt xong thì phải có các biện pháp bảo vệ.
Bảng 34 - Sai số cho phép khi lắp đặt hệ vách kính dạng panen
| Loại sai lệch | Sai số cho phép, mm | Dụng cụ kiểm tra | |
| 1. Độ thẳng đứng của hệ vách kính (theo chiều cao của hệ vách kính H) | H ≤ 30 m | ≤ 10 | Máy laze hoặc máy kinh vĩ |
| 30 m < H ≤ 60 m | ≤ 15 | ||
| 60 m < H ≤ 90 m | ≤ 20 | ||
| H > 90 m | ≤ 25 | ||
| 2. Độ bằng phẳng của hệ vách kính | ≤ 2,5 | Thước 2 m, thước thép bản | |
| 3. Độ thẳng hàng của khe đứng | ≤ 2,5 | Thước 2 m, thước thép bản | |
| 4. Độ thẳng hàng của khe ngang | ≤ 2,5 | Thước 2 m, thước thép bản | |
| 5. Bề rộng của khe (so với giá trị thiết kế) | ± 2 | Thước kẹp | |
| 6. Độ thẳng hàng của khe bịt keo chịu thời tiết | L ≤ 20 m | 1 | Thước thép |
| 20 m ≤ L ≤ 60 m | 3 | ||
| 60 m < L ≤ 100 m | 6 | ||
| L > 100 m | 10 | ||
| 7. Sai lệch cao độ giữa hai tấm liền kề | ≤ 1,0 | Thước đo chiều sâu | |
| 8. Cao độ của phụ kiện trong cùng một tầng | Bề rộng ≤ 35 m | ≤ 3,0 | Máy laze hoặc máy kinh vĩ |
| Bề rộng > 35 m | ≤ 5,0 | ||
| 9. Sai lệch cao độ bề mặt của hai phụ kiện liền kề | ≤ 1,0 | Thước đo chiều sâu | |
| 10. Chiều dài nối khe của hai phụ kiện (so với giá trị thiết kế) | ± 1,0 | Thước kẹp | |
| 11. Khoảng cách đến đáy khe của hai phụ kiện (so với giá trị thiết kế) | ± 1,0 | Thước kẹp | |
12.5 Lắp đặt hệ vách kính dạng toàn kính
12.5.1 Trước khi lắp đặt hệ vách kính dạng toàn kính, phải làm sạch mộng lắp; nếu dừng thi công giữa chừng thì phải có biện pháp bảo vệ mộng lắp đặt.
12.5.2 Trong quá trình lắp đặt hệ vách kính dạng toàn kính, phải thường xuyên kiểm tra và điều chỉnh tấm mặt, độ bằng phẳng và thẳng đứng của sườn, để tấm kính được lắp đặt bằng phẳng.
12.5.3 Các kẹp treo của mỗi tấm kính phải ở trong cùng mặt phẳng, các kẹp treo phải chịu lực đồng đều.
12.5.4 Chiều sâu ngàm vào mộng và khe hở hai bên tấm kính của hệ vách kính dạng toàn kính cần thỏa mãn yêu cầu thiết kế, kích thước khe hai bên nên giống nhau.
12.5.5 Kính của hệ vách kính dạng toàn kính nên sử dụng máy hít kính để lắp đặt, đồng thời phải có biện pháp đảm bảo an toàn cần thiết.
12.5.6 Sai số cho phép của hệ vách kính dạng toàn kính cần thỏa mãn yêu cầu trong Bảng 35.
Bảng 35 - Sai số cho phép khi lắp đặt hệ vách kính dạng toàn kính
| Loại sai lệch | Sai số cho phép | Dụng cụ kiểm tra | |
| 1. Độ thẳng đứng của hệ vách kính (theo chiều cao của hệ vách kính H) | H ≤ 30 m | 10 mm | Máy laze hoặc máy kinh vĩ |
| 30 m < H ≤ 60 m | 15 mm | ||
| 60 m < H ≤ 90 m | 20 mm | ||
| H > 90 m | 25 mm | ||
| 2. Độ bằng phẳng của hệ vách kính | 2,5 mm | Thước 2 m, thước thép bản | |
| 3. Độ thẳng hàng của khe đứng | 2,5 mm | Thước 2 m, thước thép bản | |
| 4. Độ thẳng hàng của khe ngang | 2,5 mm | Thước 2 m, thước thép bản | |
| 5. Bề rộng của khe (so với giá trị thiết kế) | ± 2,0 mm | Thước kẹp | |
| 6. Sai lệch cao độ giữa hai tấm liền kề | 1,0 mm | Thước đo chiều sâu | |
| 7. Sai lệch của góc giữa mặt tấm kính với mặt gờ so với giá trị thiết kế | ≤ 1° | Dụng cụ đo góc | |
12.6 Lắp đặt hệ vách kính dạng điểm đỡ
12.6.1 Việc lắp đặt hệ kết cấu đỡ của hệ vách kính dạng điểm đỡ cần thỏa mãn các yêu cầu sau:
a) Trong quá trình lắp đặt kết cấu thép, các công tác tạo lỗ, tổ hợp, hàn và sơn đều cần thỏa mãn các quy định trong TCVN 12002:2020 và TCVN 13194:2020.
b) Đối với cấu kiện thép kích thước lớn, phải có phương án cẩu lắp và phải cẩu thử.
c) Sau khi đưa cấu kiện thép vào vị trí và hiệu chỉnh xong thì phải cố định luôn, đồng thời tiến hành nghiệm thu các hạng mục lấp kín.
d) Lớp sơn bị hỏng trong quá trình vận chuyển, cất giữ, lắp đặt và chỗ chưa sơn ở vị trí liên kết lắp đặt phải được sơn bù theo các quy định liên quan trong tiêu chuẩn TCVN 12002:2020 và TCVN 13194:2020.
12.6.2 Việc gia tải lực căng trước đối với thanh căng và cáp trong hệ thanh cáp cần thỏa mãn các yêu cầu sau:
a) Khi lắp đặt thanh căng thép và cáp căng thép phải tiến hành gia tải lực căng trước theo yêu cầu của thiết kế, đồng thời nên lắp đặt bộ phận điều chỉnh lực căng; lực căng trước nên sử dụng lực kế để đo. Khi sử dụng cờ lê lực phải tiến hành hiệu chỉnh trước.
b) Việc gia tải lực căng trước phải lấy lực căng làm yếu tố khống chế; phải phân cấp, phân nhóm thanh căng và cáp để kéo căng đối xứng; trong quá trình kéo căng phải thường xuyên điều chỉnh lực kéo căng trong thanh và cáp.
c) Trước khi kéo căng, phải tiến hành kiểm tra tổng thể đối với cấu kiện và đầu neo, và ký thông báo cho phép kéo căng. Thông báo kéo căng phải bao gồm các thông tin như ngày tháng, số lượng phân nhóm, lực căng trong mỗi cấp kéo, thiết bị và dụng cụ đo khi kéo căng và các biện pháp an toàn.
d) Phải có nhật ký kéo căng.
e) Lực căng thực tế trong thanh và cáp phải xét đến ảnh hưởng của nhiệt độ thi công.
12.6.3 Sai số lắp đặt của cấu kiện hệ kết cấu đỡ cần thỏa mãn yêu cầu tại Bảng 36.
12.6.4 Trước khi lắp đặt chụp bắt của hệ vách kính dạng đỡ điểm, phải xác định chính xác vị trí lắp đặt của cấu kiện này. Sai số cho phép của đế chụp cần thỏa mãn Bảng 36.
12.6.5 Chất lượng lắp đặt của tấm mặt của hệ vách kính dạng đỡ điểm cần thỏa mãn Bảng 36.
12.7 Quy định về an toàn
12.7.1 Việc thi công lắp đặt hệ vách kính cần tuân thủ các quy định về an toàn trong TCVN 5308:1991.
12.7.2 Trước khi sử dụng thiết bị thi công lắp đặt phải tiến hành kiểm tra nghiêm ngặt. Thiết bị điện phải tiến hành thí nghiệm điện áp cách điện; thiết bị hút kính cầm tay và máy hút kính phải tiến hành thí nghiệm hút vật nặng và thí nghiệm kiểm tra thời gian hút.
12.7.3 Khi sử dụng giàn giáo ngoài, thì giàn giáo phải được thiết kế, đồng thời phải có liên kết chắc chắn với kết cấu chính. Khi sử dụng giàn giáo tiếp đất thì phải bố trí thành hai hàng.
12.7.4 Khi công tác lắp đặt hệ vách kính xen kẽ với công tác thi công kết cấu chính, thì phải bố trí lưới bảo vệ ở phía dưới tầng đang thi công của hệ kết cấu chính; tại cao độ cách mặt đất khoảng 3 m, phải bố trí lưới bảo vệ theo phương ngang có bề rộng vươn ra không được nhỏ hơn 6 m.
Bảng 36 - Sai số cho phép khi lắp đặt kết cấu đỡ
| Loại sai lệch | Sai số cho phép, mm |
| 1. Khoảng cách giữa hai cấu kiện đứng liền kề | ± 2,5 |
| 2. Độ thẳng đứng của cấu kiện đứng | l/1 000 hoặc ≤ 5, l là nhịp |
| 3. Độ phẳng mặt ngoài của ba cầu kiện đứng liền kề | 5 |
| 4. Khoảng cách theo phương ngang và theo phương đứng của gối chụp thép | ± 1,5 |
| 5. Sai số cao độ theo phương ngang của hai gối chụp liền kề | 1,5 |
| 6. Độ bằng phẳng của gối chụp | 2 |
| 7. Sai số cao độ để chụp trong cùng một tầng: khoảng cách ≤ 35 m khoảng cách > 35 m |
5 7 |
| 8. Khoảng cách theo phương đứng của hai gối chụp liền kề | ± 2,0 |
| 9. Sai lệch đường chéo của gối chụp trong cùng một ô kính | 4 |
| 10. Độ bằng phẳng của mặt gối chụp | 6 |
12.7.5 Khi sử dụng giáo treo để thi công thì cần thỏa mãn các yêu cầu sau:
a) Giáo treo phải được thiết kế, trước khi sử dụng phải tiến hành kiểm tra an toàn.
b) Giáo treo không được sử dụng làm công cụ vận chuyển theo phương đứng, và không được quá tải.
c) Không được tiến hành kiểm tra sửa chữa giáo treo giữa không trung.
d) Công nhân thi công trên giáo treo phải có dây an toàn.
12.7.6 Phải có biện pháp chống cháy khi hàn ở hiện trường.
13 Nghiệm thu
13.1 Quy định chung
13.1.1 Trước khi nghiệm thu hệ vách kính phải làm sạch bề mặt của hệ vách kính.
13.1.2 Khi nghiệm thu hệ vách kính, cần cung cấp các tài liệu theo quy định về công tác quản lý chất lượng xây dựng, bao gồm:
a) Bản vẽ hoàn công hoặc bản vẽ thi công của hệ vách kính, thuyết minh tính toán kết cấu, hồ sơ chỉnh sửa thiết kế và các tài liệu thiết kế khác.
b) Giấy chứng nhận chất lượng của các loại vật liệu, phụ kiện, cấu kiện mà hệ vách kính sử dụng, báo cáo thí nghiệm, hồ sơ nghiệm thu vào hiện trường và báo cáo thí nghiệm bổ sung.
c) Giấy chứng nhận kiểm tra đối với keo silicon kết cấu nhập khẩu; báo cáo thí nghiệm về tính tương thích và tính dính kết của keo silicon kết cấu do đơn vị thí nghiệm được nhà nước cấp phép.
d) Báo cáo thí nghiệm kéo tại hiện trường của cấu kiện chôn sẵn.
e) Báo cáo thí nghiệm về các tính năng chịu áp lực gió, kín khí, kín nước và các tính năng khác theo yêu cầu thiết kế.
f) Nhật ký nhiệt độ, độ ẩm môi trường khi bơm keo và dưỡng hộ; Nhật ký thí nghiệm trộn của keo silicon kết cấu hai thành phần và nhật ký thí nghiệm kéo đứt.
g) Nhật ký kiểm tra thiết bị chống sét.
h) Báo cáo nghiệm thu các hạng mục lấp kín.
i) Nhật ký gia công chế tạo cấu kiện, phụ kiện của hệ vách kính; nhật ký thi công lắp đặt hệ vách kính.
j) Nhật ký kéo căng lực căng trước trong hệ kết cấu thanh cáp.
k) Nhật ký thí nghiệm phun nước.
l) Các tài liệu đảm bảo chất lượng khác.
13.1.3 Trước khi nghiệm thu hệ vách kính, thì trong quá trình thi công phải nghiệm thu hiện trường các hạng mục lấp kín sau:
a) Cấu kiện đặt sẵn hoặc cấu kiện liên kết bu lông đặt sau.
b) Nút liên kết giữa cấu kiện và kết cấu chính.
c) Công tác bịt xung quanh hệ vách kính, giữa mặt trong của hệ vách kính với kết cấu chính.
d) Khe co giãn, khe lún, khe kháng chấn và nút tại vị trí góc của hệ vách kính.
e) Việc cố định tấm kính của hệ vách kính khung kín.
f) Vị trí liên kết chống sét của hệ vách kính.
g) Vị trí phòng cháy, ngăn khói của hệ vách kính.
h) Vị trí đóng của hệ vách kính dạng panen.
13.1.4 Việc kiểm tra chất lượng hệ vách kính phải tiến hành kiểm tra trực quan và lấy mẫu kiểm tra, đồng thời dựa vào các quy định sau để phân nhóm kiểm tra, mỗi một mặt của hệ vách kính đều phải kiểm tra.
a) Đối với hệ vách kính có cùng thiết kế, vật liệu, công nghệ và điều kiện thi công, thì mỗi 500 m2 đến 1000 m2 được phân thành một đợt kiểm tra, không đủ 500 m2 cũng phải phân thành một đợt kiểm tra. Trong một đợt kiểm tra, cứ 100 m2 phải kiểm tra ít nhất một chỗ, mỗi chỗ không được ít hơn 10 m2.
b) Đối với hệ vách kính không liên tục trong cùng một công trình thì phải chia đợt kiểm tra một cách riêng rẽ.
c) Đối với hệ vách kính có hình dạng phức tạp hoặc có yêu cầu đặc biệt, thì việc chia đợt kiểm tra nên dựa vào kết cấu, đặc điểm công nghệ và quy mô của hệ vách kính để các bên liên quan xem xét và quyết định.
13.2 Hệ vách kính dạng khung đỡ
13.2.1 Việc kiểm tra trực quan cần thỏa mãn các yêu cầu sau:
a) Khung của hệ vách kính dạng khung lộ phải vuông vắn; khe nối panen của hệ vách kính dạng panen hoặc khe nối các ô kính của hệ vách kính khung kín phải vuông vắn, bề rộng nối phải đồng đều, đồng thời cần thỏa mãn yêu cầu thiết kế.
b) Vật liệu hợp kim nhôm không được xuất hiện hiện tượng bóc màng; chủng loại, quy cách và màu sắc của kính phải tương tích với thiết kế, màu sắc của cả mảng kính phải đồng đều; đồng thời không được xuất hiện hiện tượng mốc, bóc lớp mạ.
c) Bề mặt tấm trang trí phải bằng phẳng, không được có các khiếm khuyết như biến dạng, vết nhăn hoặc vết ép cục bộ có thể nhìn thấy bằng mắt thường.
d) Việc xử lý bịt các cạnh, khe lún, khe co giãn, khe kháng chấn của hệ vách kính và hệ chống sét cần thỏa mãn yêu cầu thiết kế.
e) Việc xử lý các nút chìm của hệ vách kính phải bằng phẳng, mỹ quan.
f) Khi thí nghiệm phun nước, hệ vách kính không được thấm nước.
13.2.2 Việc lấy mẫu kiểm tra của hệ vách kính dạng khung đỡ cần thỏa mãn các yêu cầu sau:
a) Vật liệu hợp kim nhôm và bề mặt kính không được có phôi nhôm, rằm, vết hàn hỏng rõ rệt, vết dầu hoặc các vết bẩn khác.
b) Kính của hệ vách kính phải lắp đặt chắc chắn, thanh nẹp cao su phải được chèn chắc chắn, keo bịt phải được bơm bằng phẳng.
c) Việc kiểm tra chất lượng bề mặt trên mỗi mét vuông kính cần thỏa mãn quy định trong Bảng 37.
d) Việc kiểm tra chất lượng bề mặt mỗi ô khung hợp kim nhôm cần thỏa mãn các quy định trong Bảng 38.
Bảng 37 - Yêu cầu chất lượng bề mặt kính trên mỗi mét vuông
| Nội dung | Yêu cầu chất lượng |
| 1. Vết xước có bề rộng từ 0,1 mm đến 0,3 mm | Chiều dài nhỏ hơn 100 mm; không quá 8 vết |
| 2. Vùng xước | Không lớn hơn 500 mm2 |
Bảng 38 - Yêu cầu chất lượng bề mặt một ô khung hợp kim nhôm
| Nội dung | Yêu cầu chất lượng |
| 1. Vùng xước, chiều sâu vết xước | Không lớn hơn 2 lần chiều dày lớp phim ôxit |
| 2. Tổng diện tích vùng xước (mm2) | Không lớn hơn 500 |
| 3. Tổng chiều dài vết xước (mm) | Không lớn hơn 150 |
| 4. Tổng số vùng xước và vết xước | Không lớn hơn 4 |
| CHÚ THÍCH: Một ô khung hợp kim nhôm là chỉ cấu kiện khung xung quanh một ô | |
e) Chất lượng lắp đặt cấu kiện khung hợp kim nhôm cần thỏa mãn các quy định trong Bảng 39, việc đo lường kiểm tra chỉ được tiến hành khi cấp gió nhỏ hơn cấp 4 theo [1].
Bảng 39 - Yêu cầu chất lượng lắp đặt khung hợp kim nhôm
| Loại sai lệch | Sai số cho phép, mm | Phương pháp kiểm tra | |
| 1. Độ thẳng đứng của hệ vách kính (theo chiều cao của hệ vách kính H) | H ≤ 30 m | 10 | Máy laze hoặc máy kinh vĩ |
| 30 m < H ≤ 60 m | 15 | ||
| 60 m < H ≤ 90 m | 20 | ||
| 90 m < H ≤ 150 m | 25 | ||
| H > 150 m | 30 | ||
| 2. Độ thẳng của cấu kiện đứng | 2,5 | Thước 2 m, thước nhét | |
| 3. Độ phẳng của cấu kiện ngang | Chiều dài ≤ 2 000 mm | 2 | Máy thủy bình |
| Chiều dài > 2 000 mm | 3 | ||
| 4. Sai số cao độ của hai thanh ngang liền kề cùng cao độ | 1 | Thước thép bản, thước nhét | |
| 5. Độ phẳng của cấu kiện ngang của hệ vách kính | Chiều rộng ≤ 35 m | 5 | Máy thủy bình |
| Chiều rộng > 35 m | 7 | ||
| 6. Sai lệch đường chéo của khung ô | Chiều dài đường chéo ≤ 2 000 mm | 3 | Thước đo đường chéo hoặc thước dây |
| Chiều dài đường chéo > 2 000 mm | 3,5 | ||
| CHÚ THÍCH: 1) Các mục từ 1 đến 5 kiểm tra lấy mẫu thanh theo xác suất, mục 6 kiểm tra xác suất theo ô; 2) Đối với hệ vách kính vuông góc với mặt nền, độ thẳng đứng của cấu kiện đứng bao gồm việc kiểm tra trong mặt phẳng và ngoài mặt phẳng của hệ vách kính; 3) Độ thẳng theo phương đứng bao gồm việc kiểm tra độ thẳng trong mặt phẳng và ngoài mặt phẳng. | |||
13.2.3 Chất lượng lắp đặt hệ vách kính khung kín cần thỏa mãn quy định tại Bảng 40.
13.2.4 Số lượng lấy mẫu kiểm tra của hệ vách kính, đối với cấu kiện thẳng đứng hoặc khe nối thẳng đứng và cấu kiện nằm ngang hoặc khe nối nằm ngang của mỗi mặt của hệ vách kính là 5 % mỗi loại, đồng thời không ít hơn 3 thanh; đối với ô kính của mỗi mặt của hệ vách kính là 5 %, đồng thời không ít hơn 10 ô. Chất lượng kiểm tra cần thỏa mãn quy định tại 13.2.2 hoặc 13.2.3.
CHÚ THÍCH:
1. Lấy mẫu: một thanh cấu kiện đứng hoặc khe nối đứng là một thanh cấu kiện đứng hoặc khe nối đứng trên suốt chiều cao của hệ vách kính; một thanh cấu kiện nằm ngang hoặc khe nối nằm ngang là một thanh cấu kiện nằm ngang hoặc khe nối nằm ngang theo suốt chiều rộng của hệ vách kính.
2. Tất cả các phần mở của hệ vách kính thì việc lấy mẫu kiểm tra cần tuân thủ các quy định hiện hành và chỉ dẫn kỹ thuật của công trình.
Bảng 40 - Yêu cầu chất lượng lắp đặt hệ vách kính khung kín
| Loại sai lệch | Sai số cho phép, mm | Dụng cụ kiểm tra | |
| 1. Độ thẳng đứng của khe đứng và bề mặt của hệ vách kính (theo chiều cao của hệ vách kính H (m)) | H ≤ 30 m | 10 | Máy laze hoặc máy kinh vĩ |
| 30 m < H ≤ 60 m | 15 | ||
| 60 m < H ≤ 90 m | 20 | ||
| 90 m < H ≤ 150 m | 25 | ||
| H > 150 m | 30 | ||
| 2. Độ bằng phẳng của hệ vách kính | 2,5 | Thước 2 m, thước thép tấm | |
| 3. Độ thẳng hàng của khe đứng | 2,5 | Thước 2 m, thước thép tấm | |
| 4. Độ thẳng hàng của khe ngang | 2,5 | Thước 2 m, thước thép tấm | |
| 5. Bề rộng khe (so với giá trị thiết kế) | 2 | Thước kẹp | |
13.3 Hệ vách kính dạng toàn kính
13.3.1 Bề ngoài của hệ vách kính phải phẳng, khe nối phải phẳng nhẵn, bề rộng đồng đều. Sai số bề rộng khe so với yêu cầu thiết kế không được lớn hơn 2 mm.
13.3.2 Độ sai lệch theo phương đứng giữa tấm kính và gờ không được lớn hơn 2 mm; sai số về cao độ mặt bằng giữa hai tấm kính liền kề không được lớn hơn 1 mm.
13.3.3 Khe ở giữa kính và rãnh mộng cần thỏa mãn yêu cầu thiết kế, keo bịt phải bơm đều, đặc chắc, liên tục.
13.3.4 Khe hở giữa kính và kết cấu xung quanh hoặc bộ phận hoàn thiện không được lớn hơn 8 mm, keo bịt phải bơm đều, đặc chắc, liên tục.
13.4 Hệ vách kính dạng đỡ điểm
13.4.1 Bề mặt của cả tấm kính phải bằng phẳng, khe nối phải vuông vắn, bề rộng khe phải đều, bề mặt bằng phẳng. Đường hàn cấu kiện thép phải bằng nhẵn, lớp sơn chống ăn mòn phải được quét đều, không được bóc hỏng. Độ sáng bóng của cấu kiện thép không gỉ phải tương thích với yêu cầu thiết kế, không được có vết gỉ.
13.4.2 Việc nghiệm thu kết cấu thép cần tuân thủ các yêu cầu trong TCVN 12002:2020 và TCVN 13194:2020 hiện hành.
13.4.3 Lực căng trước trong thanh và cáp cần thỏa mãn yêu cầu thiết kế.
13.4.4 Sai số cho phép khi lắp đặt hệ vách kính dạng đỡ điểm cần thỏa mãn quy định tại Bảng 41.
Bảng 41 - Sai số cho phép khi lắp đặt hệ vách kính dạng đỡ điểm
| Loại sai lệch | Sai số cho phép, mm | Phương pháp kiểm tra | |
| 1. Độ thẳng đứng của khe đứng và bề mặt của hệ vách kính (theo chiều cao của hệ vách kính H (m)) | H ≤ 30 m | 10,0 | Máy laze hoặc máy kinh vĩ |
| 30 m < H ≤ 50 m | 15,0 | ||
| 2. Độ bằng phẳng | 2,5 | Thước 2 m, thước thép tấm | |
| 3. Độ thẳng hàng của khe | 2,5 | Thước 2 m, thước thép tấm | |
| 4. Bề rộng khe | 2 | Thước kẹp | |
| 5. Sai số mặt phẳng hai tấm kính liền kề | 1,0 | Thước | |
13.4.5 Sai số lắp đặt chụp thép cần thỏa mãn các yêu cầu sau:
a) Sai số khoảng cách theo phương ngang và theo phương đứng giữa hai chụp thép là ± 1,5 mm.
b) Sai số cho phép về cao độ của chụp thép trong cùng một tầng cần thỏa mãn quy định trong Bảng 42.
Bảng 42 - Sai số cho phép về cao độ chụp thép trong cùng một tầng
| Khoảng cách theo phương ngang Ln, m | Sai số cho phép (x 1000 mm) |
| Ln ≤ 35 | Ln/700 |
| 35 < Ln ≤ 50 | Ln/600 |
| 50 < Ln ≤ 100 | Ln/500 |
14 Bảo trì và sửa chữa
14.1 Quy định chung
14.1.1 Khi nghiệm thu hạng mục hệ vách kính, nhà thầu phải cung cấp cho chủ đầu tư thuyết minh sử dụng và sửa chữa hệ vách kính. Thuyết minh sử dụng và sửa chữa hệ vách kính bao gồm các nội dung sau:
a) Cơ sở thiết kế hệ vách kính, các tham số tính năng chính và tuổi thọ thiết kế của kết cấu hệ vách kính.
b) Các điểm cần chú ý khi sử dụng.
c) Ảnh hưởng của sự thay đổi điều kiện môi trường đến hệ vách kính.
d) Yêu cầu về bảo dưỡng, bảo trì hàng ngày và định kỳ.
e) Đặc điểm của kết cấu chính của hệ vách kính và phương pháp thay thế các linh phụ kiện dễ hỏng.
f) Danh mục các phụ kiện và tên, quy cách của các bộ phận dễ hỏng.
g) Trách nhiệm bảo trì, sửa chữa của nhà thầu.
14.1.2 Trước khi bàn giao cho chủ đầu tư để sử dụng, nhà thầu thi công hệ vách kính phải tập huấn về bảo dưỡng và bảo trì hệ vách kính.
14.1.3 Trong điều kiện thời tiết có mưa hoặc khi cấp gió lớn hơn 4, không được sử dụng cửa sổ mở; khi cấp gió lớn hơn 6, phải đóng toàn bộ cửa sổ.
14.1.4 Công tác kiểm tra, làm sạch, bảo dưỡng và bảo trì mặt ngoài của hệ vách kính không được tiến hành trong điều kiện thời tiết mưa to và có cấp gió lớn hơn 4 theo [1].
14.1.5 Các thiết bị, công cụ sử dụng khi kiểm tra, làm sạch, bảo dưỡng, bảo trì mặt ngoài hệ vách kính (ví dụ máy nâng, máy lau cửa, sàn công tác) phải được bảo dưỡng tốt, công năng bình thường, thao tác thuận tiện, đảm bảo an toàn; trước khi sử dụng đều phải tiến hành kiểm tra các trang thiết bị an toàn, để đảm bảo an toàn cho người và thiết bị.
14.1.6 Nhân viên khi thực hiện công tác kiểm tra, làm sạch, bảo dưỡng, bảo trì mặt ngoài của hệ vách kính nếu hoạt động trên cao thì cần đảm bảo các quy định về an toàn.
14.2 Bảo trì và sửa chữa
14.2.1 Công tác bảo trì cần đảm bảo các quy định sau:
a) Phải đảm bảo bề mặt của hệ vách kính sạch sẽ, không được để vật nhọn, chất khí và chất lỏng có tính ăn mòn tiếp xúc với bề mặt của hệ vách kính;
b) Phải đảm bảo hệ thống thoát nước của hệ vách kính thông suốt, nếu phát hiện có vấn đề thì phải xử lý kịp thời;
c) Trong quá trình sử dụng, nếu phát hiện hiện tượng cửa, cửa sổ có vấn đề về đóng mở hoặc phụ kiện bị hư hỏng thì phải kịp thời sửa chữa hoặc thay thế;
d) Nếu phát hiện kẹo bịt khe hoặc thanh bị khe rơi rụng hoặc hư hỏng thì phải kịp thời sửa chữa hoặc thay thế;
e) Khi phát hiện bu lông, ốc vít của cấu kiện hoặc phụ kiện của hệ vách kính lỏng lẻo hoặc bị han gỉ thì phải vặn chặt lại hoặc thay thế;
f) Khi phát hiện cấu kiện của hệ vách kính bị han gỉ thì phải lập tức cạo gỉ, sơn bổ sung hoặc sử dụng biện pháp chống han gỉ khác.
14.2.2 Công tác bảo trì định kỳ cần thỏa mãn các quy định sau:
a) Một năm sau ngày nghiệm thu thi công hệ vách kính phải tiến hành kiểm tra một cách toàn diện hệ vách kính, sau đó mỗi năm năm kiểm tra lại một lần. Các hạng mục kiểm tra bao gồm:
- Hệ vách kính có biến dạng, xô lệch, lỏng lẻo hay không, nếu có phải tiến hành kiểm tra kỹ kết cấu hệ vách kính tại vị trí xuất hiện. Kiểm tra các cấu kiện chịu lực chính, cấu kiện liên kết, bu lông liên kết của hệ vách kính xem có bị hư hỏng không, liên kết có chắc chắn không, có bị han gỉ không.
- Tấm kính có bị lỏng lẻo hay hư hỏng không.
- Keo bịt khe có bị tách rời, nứt, sủi bọt không; thanh bịt khe có hiện tượng rơi ra, lão hóa hay hư hỏng không.
- Bộ phận đóng mở hoạt động có tốt không, công năng của phụ kiện thép có bị hư hỏng không, bu lông hoặc ốc vít có bị lỏng hay trờn không.
- Hệ thống thoát nước của hệ vách kính có hoạt động không.
b) Phải tiến hành sửa chữa hoặc thay thế đối với các nội dung không thỏa mãn yêu cầu trong mục (a);
c) Đối với các thanh hoặc dây có kéo ứng lực trước, sáu tháng sau khi nghiệm thu thi công bắt buộc phải tiến hành tổng kiểm tra và điều chỉnh lực kéo trước, sau đó mỗi ba năm kiểm tra lại một lần;
d) Sau khi sử dụng hệ vách kính mười năm, phải tiến hành lấy mẫu kiểm tra tính năng bám dính của keo silicon bịt khe tại các vị trí khác nhau, sau đó mỗi năm năm nên kiểm tra lại một lần.
14.2.3 Công tác kiểm tra và sửa chữa sau khi có sự cố cần thỏa mãn các quy định sau:
a) Sau khi hệ vách kính chịu ảnh hưởng của gió bão, phải tiến hành kiểm tra, sửa chữa hoặc thay thế các cấu kiện bị hư hỏng một cách toàn diện. Đối với hệ vách kính có các thanh hoặc dây có kéo ứng lực trước, thì phải tiến hành tổng kiểm tra và điều chỉnh lực căng trước.
b) Sau khi hệ vách kính chịu tác động của động đất hay hỏa hoạn, thì phải tiến hành kiểm tra một cách tổng thể hệ vách kính, đồng thời căn cứ vào mức độ hư hỏng để lập phương án sửa chữa để xử lý kịp thời.
14.3 Làm sạch
14.3.1 Căn cứ vào mức độ bám bẩn của bề mặt của hệ vách kính để xác định số lần làm sạch, nhưng không được ít hơn một lần mỗi năm.
14.3.2 Việc làm sạch hệ vách kính phải dựa vào yêu cầu của chỉ dẫn kỹ thuật để lựa chọn dung dịch làm sạch.
14.3.3 Trong quá trình làm sạch không được va chạm và làm hư hỏng hệ vách kính.
Thư mục tài liệu tham khảo
[1] QCVN 02:2022/BXD, Quy chuẩn kỹ thuật Quốc gia về số liệu điều kiện tự nhiên dùng trong xây dựng
[2] QCXDVN 05:2008/BXD, Quy chuẩn Xây dựng Việt Nam về Nhà ở và công trình công cộng - An toàn sinh mạng và sức khỏe
[3] QCVN 06:2022/BXD, Quy chuẩn kỹ thuật quốc gia về an toàn cháy cho nhà và công trình (và Sửa đổi 1:2023)
[4] TCXDVN 330:2004, Nhôm hợp kim định hình dùng trong xây dựng. Yêu cầu kỹ thuật và phương pháp kiểm tra chất lượng sản phẩm
MỤC LỤC
1 Phạm vi áp dụng
2 Tài liệu viện dẫn
3 Thuật ngữ và định nghĩa
4 Ký hiệu và đơn vị đo
5 Vật liệu
6 Thiết kế kiến trúc
7 Quy định cơ bản về thiết kế kết cấu
8 Tính toán kết cấu hệ vách kính dạng khung đỡ
9 Tính toán kết cấu hệ vách kính dạng toàn kính
10 Tính toán kết cấu hệ vách kính dạng đỡ điểm
11 Gia công, chế tạo
12 Thi công lắp đặt
13 Nghiệm thu
14 Bảo trì và sửa chữa
Bạn chưa Đăng nhập thành viên.
Đây là tiện ích dành cho tài khoản thành viên. Vui lòng Đăng nhập để xem chi tiết. Nếu chưa có tài khoản, vui lòng Đăng ký tại đây!






















