- Tổng quan
- Nội dung
- Tiêu chuẩn liên quan
- Lược đồ
- Tải về
Tiêu chuẩn Việt Nam TCVN 5801-3:2005 Phân cấp và đóng phương tiện thủy nội địa - Hệ thống máy tàu
| Số hiệu: | TCVN 5801-3:2005 | Loại văn bản: | Tiêu chuẩn Việt Nam |
| Cơ quan ban hành: | Đang cập nhật | Lĩnh vực: | Giao thông , Công nghiệp , Hàng hải |
|
Ngày ban hành:
Ngày ban hành là ngày, tháng, năm văn bản được thông qua hoặc ký ban hành.
|
2005 |
Hiệu lực:
|
Đã biết
|
| Người ký: | Đang cập nhật |
Tình trạng hiệu lực:
Cho biết trạng thái hiệu lực của văn bản đang tra cứu: Chưa áp dụng, Còn hiệu lực, Hết hiệu lực, Hết hiệu lực 1 phần; Đã sửa đổi, Đính chính hay Không còn phù hợp,...
|
Đã biết
|
TÓM TẮT TIÊU CHUẨN VIỆT NAM TCVN 5801-3:2005
Nội dung tóm tắt đang được cập nhật, Quý khách vui lòng quay lại sau!
Tải tiêu chuẩn Việt Nam TCVN 5801-3:2005
TIÊU CHUẨN VIỆT NAM
TCVN 5801-3:2005
QUY PHẠM PHÂN CẤP VÀ ĐÓNG PHƯƠNG TIỆN THỦY NỘI ĐỊA
PHẦN 3 - HỆ THỐNG MÁY TÀU
CHƯƠNG 1 -
QUY ĐỊNH CHUNG
1.1 Quy định chung
1.1.1 Phạm vi áp dụng
1.1.1.1 Những yêu cầu của Chương này được áp dụng cho máy chính lai chân vịt, thiết bị truyền động, hệ trục, chân vịt, máy chính dẫn động không phải là máy chính lai chân vịt, nồi hơi v.v..., bình chịu áp lực, máy phụ, hệ thống ống và các hệ thống điều khiển chúng (sau đây gọi chung là "Hệ thống máy").
1.1.1.2 Đối với hệ thống máy lắp đặt trên các tàu nhỏ, một số yêu cầu trong Phần này có thể được sửa đổi một cách hợp lý nếu được Đăng kiểm xem xét và chấp nhận.
1.1.2 Thay thế tương đương
Hệ thống máy không phù hợp với những yêu cầu của Phần này có thể cũng được chấp nhận nếu chúng được Đăng kiểm công nhận là tương đương với các yêu cầu được quy định ở Phần này.
1.1.3 Hệ thống máy có đặc điểm thiết kế mới
Hệ thống máy có các đặc điểm thiết kế mới có thể được chấp nhận nếu như chúng thỏa mãn các yêu cầu bổ sung về thiết kế và người thiết kế đưa ra các quy trình thử ngoài các quy trình thử trong Phần này với kết quả thử đạt yêu cầu của Đăng kiểm.
1.1.4 Sửa đổi các yêu cầu
Đối với hệ thống máy và hệ thống điều khiển chúng nêu dưới đây có thể sửa đổi một số yêu cầu của Phần này, nếu Đăng kiểm thấy có thể chấp nhận được.
(1) Máy chính dẫn động nhỏ dùng để lai máy phát điện hoặc máy phụ (bao gồm cả thiết bị truyền động và hệ trục);
(2) Hệ thống máy được Đăng kiểm xem xét và thấy phù hợp về công suất, mục đích và điều kiện làm việc.
1.1.5 Thuật ngữ
1.1.5.1 Trong Phần này, máy phụ được phân loại thành những nhóm sau:
Khi các máy phụ liệt kê từ (1) đến (4) dưới đây được dùng vào nhiều mục đích thì chúng phải được xếp vào loại máy phụ quan trọng hơn.
(1) Máy phụ được sử dụng để phục vụ máy chính;
(2) Máy phụ có công dụng đặc biệt
Máy phụ dùng vào các hoạt động đặc biệt khi tàu hoạt động trên vùng thủy nội địa hoặc ở bến cảng;
(3) Máy phụ khác
Các máy phụ không thuộc loại được nêu từ (1) đến (2) trên đây.
1.1.5.2 Hệ trục chân vịt
Hệ trục chân vịt là hệ gồm trục đẩy, trục trung gian, trục chân vịt và các ổ đỡ của trục chân vịt.
1.1.6 Bản vẽ và tài liệu trình duyệt
Bản vẽ và tài liệu trình duyệt liên quan đến hệ thống máy phải phù hợp với các yêu cầu quy định ở trong từng chương của Phần này.
1.2 Vật liệu
1.2.1 Chọn vật liệu
Vật liệu dùng chế tạo hệ thống máy phải được chọn theo những quy định của từng chương trong Phần này xuất phát từ những yêu cầu tương ứng đã được quy định ở Phần 6A của Quy phạm này, có xét đến mục đích và điều kiện làm việc của chúng.
1.2.2 Vật liệu khác
Vật liệu dùng chế tạo hệ thống máy không được quy định trong từng chương của Phần này phải thỏa mãn những quy định ở (1) và (2) sau đây:
(1) Đối với các vật liệu của hệ thống máy, vật liệu được sử dụng để chế tạo máy chính, thiết bị truyền động, hệ trục, chân vịt, nồi hơi, bình chịu áp lực, hệ thống điều khiển và các vật liệu dùng để chế tạo máy phụ có công dụng quan trọng phục vụ máy chính và máy phụ dùng để điều động và bảo đảm an toàn cho tàu phải phù hợp với các yêu cầu của Tiêu chuẩn Việt Nam hoặc các tiêu chuẩn mà Đăng kiểm cho là phù hợp;
(2) Đối với các vật liệu của hệ thống máy, vật liệu được sử dụng để chế tạo máy phụ trừ máy phụ có công dụng quan trọng phục vụ máy chính, máy phụ dùng để điều động (sau đây được gọi là "Máy phụ chuyên dùng") và các vật liệu sử dụng cho thiết bị truyền động liên quan của chúng, hệ trục, hệ thống đường ống và hệ thống điều khiển phải được chọn lựa trên cơ sở xem xét mục đích và điều kiện làm việc của chúng.
1.3 Những yêu cầu chung về hệ thống máy
1.3.1 Quy định chung
1.3.1.1 Hệ thống máy phải được thiết kế và chế tạo phù hợp với mục đích sử dụng, phải được lắp đặt và bảo vệ sao cho làm giảm đến mức tối thiểu nguy hiểm đối với con người ở trên tàu nhờ quan tâm đúng mức đến các bộ phận chuyển động, bề mặt bị đốt nóng và các nguy hiểm có thể xảy ra khác.
Khi thiết kế phải quan tâm đến mục đích sử dụng của thiết bị, điều kiện làm việc của thiết bị cũng như điều kiện môi trường trên tàu.
1.3.1.2 Phải trang bị phương tiện mà nhờ đó có thể giữ được hoặc phục hồi lại được sự làm việc bình thường của máy chính lai chân vịt ngay cả khi một trong các máy phụ quan trọng không làm việc. Đặc biệt, cần lưu ý đến các sự cố của các thiết bị sau đây:
(1) Nguồn cung cấp hơi nước;
(2) Hệ thống cấp nước nồi hơi;
(3) Hệ thống cấp dầu đốt dùng cho nồi hơi hoặc máy chính;
(4) Nguồn tạo ra áp lực dầu bôi trơn;
(5) Nguồn tạo ra áp lực nước;
(6) Bơm nước ngưng tụ và thiết bị để duy trì độ chân không trong bầu ngưng;
(7) Nguồn cấp không khí cưỡng bức cho nồi hơi;
(8) Máy nén khí và bình chứa khí nén dùng vào mục đích khởi động hoặc điều khiển;
(9) Các thiết bị thủy lực, khí nén hoặc điện để điều khiển được dùng trong máy chính lai chân vịt bao gồm cả chân vịt biến bước.
Tuy nhiên, qua xem xét độ an toàn tổng thể, có thể chấp nhận cho phép giảm ở mức độ nhất định công suất đẩy tàu so với trạng thái hoạt động bình thường của tàu.
1.3.1.3 Phải trang bị cho tàu chở từ 50 khách trở lên và tàu dầu có trọng tải từ 500 tấn trở lên có cấp SI các phương tiện để đảm bảo sao cho hệ thống máy có thể hoạt động được từ trạng thái tàu chết mà không cần có sự hỗ trợ từ bên ngoài.
1.3.1.4 Máy chính lai chân vịt, máy phụ (trừ máy phụ chuyên dùng v.v...), của các tàu có cấp SI phải được thiết kế để làm việc trong các điều kiện nghiêng tới 15o và chúi tới 5o khi được lắp trên tàu. Có thể cho phép sai lệch so với các giá trị này trên cơ sở xem xét kiểu tàu, kích thước tàu và điều kiện làm việc của tàu.
1.3.1.5 Hệ thống máy phải được thiết kế để làm việc tốt trong điều kiện nhiệt độ được quy định ở Bảng 3/1.1.
1.3.1.6 Phải quy định biện pháp nhằm tạo điều kiện dễ dàng cho việc vận hành, vệ sinh, kiểm tra và bảo dưỡng hệ thống máy.
1.3.1.7 Phải đặc biệt quan tâm đến thiết kế, chế tạo và lắp đặt hệ thống máy sao cho không để xảy ra hiện tượng dao động gây nên ứng suất lớn trong khu vực tốc độ làm việc bình thường.
1.3.2 Công suất lùi
1.3.2.1 Phải bảo đảm đủ công suất chạy lùi nhằm duy trì sự điều khiển tàu trong mọi trạng thái làm việc bình thường.
1.3.2.2 Máy chính lai chân vịt phải có khả năng duy trì hành trình chạy lùi ít nhất bằng 70% số vòng quay chạy tiến trong thời gian ít nhất là 30 phút. Công suất lùi có thể được tạo ra trong khoảng thời gian chuyển tiếp sao cho có thể hãm được tàu trong khoảng thời gian hợp lý.
1.3.2.3 Đối với máy chính lai chân vịt qua hộp số hoặc lai chân vịt biến bước thì việc chạy lùi không được làm cho máy chính bị quá tải.
1.3.3 Hạn chế trong việc sử dụng dầu đốt
1.3.3.1 Trừ các trường hợp được quy định ở 1.3.3.2 đến 1.3.3.3 sau đây, không cho phép dùng dầu đốt có nhiệt độ chớp cháy dưới 60 oC.
1.3.3.2 Cho phép sử dụng dầu đốt có điểm chớp cháy dưới 60 oC nhưng không dưới 43 oC với các điều kiện sau:
(1) Có biện pháp phòng cháy được Đăng kiểm chấp nhận;
(2) Trong mọi trường hợp nhiệt độ ở trong buồng chứa hoặc buồng sử dụng dầu đốt phải thấp hơn 10 oC so với nhiệt độ chớp cháy của dầu đốt.
1.3.3.3 Có thể cho phép sử dụng dầu đốt có nhiệt độ chớp cháy dưới 43 oC nếu như dầu đốt như vậy không chứa trong buồng máy và được Đăng kiểm xét duyệt thiết bị đồng bộ.
1.3.4 Phòng cháy
1.3.4.1 Đường ống dầu bôi trơn, dầu đốt, dầu hàng và các hệ thống dầu dễ cháy khác không được đặt ngay trên nồi hơi, ống hơi nước, ống khí thải, bầu giảm âm, tua bin được dẫn động bằng khí thải hoặc các bề mặt bị đốt nóng cao và tùy theo điều kiện thực tế, phải bố trí xa các mục nêu trên, trừ khi có dụng cụ thích hợp để hứng dầu dò.
1.3.4.2 Tất cả các bề mặt của hệ thống máy có nhiệt độ cao hơn 220 oC phải được làm mát hoặc cách nhiệt tốt bằng vật liệu không cháy. Nếu như lớp cách nhiệt thấm dầu hoặc có thể cho phép thấm dầu thì lớp cách nhiệt phải được bọc bằng lớp thép hoặc vật liệu tương đương.
1.3.4.3 Khoảng cách giữa két chứa dầu dễ cháy đến bề mặt hệ thống máy có nhiệt độ cao phải ít nhất là 230 mm để đề phòng dầu bị nung nóng đến nhiệt độ cao hơn nhiệt độ chớp cháy của dầu.
1.3.4.4 Cơ cấu dẫn động quạt thông gió cho buồng máy, buồng ở, buồng phục vụ, khoang hàng và trạm điều khiển phải có khả năng dừng được từ vị trí dễ đến bên ngoài không gian có liên quan trong trường hợp có hỏa hoạn trong khoang đặt cơ cấu này hoặc vùng lân cận;
Phương tiện dừng quạt thông gió của buồng máy phải riêng biệt hoàn toàn với các phương tiện dừng quạt thông gió của các buồng khác.
1.3.4.5 Cơ cấu dẫn động bơm chuyển dầu đốt, bộ lọc dầu đốt, bơm dầu hàng và quạt nồi hơi phải có khả năng dừng được từ vị trí dễ đến ở bên ngoài không gian có liên quan trong trường hợp xảy ra hỏa hoạn trong khoang đặt các cơ cấu này hoặc vùng lân cận.
1.3.4.6 Hệ thống máy phải được bố trí và lắp đặt sao cho không để rò rỉ dầu đốt, dầu nhờn và các loại dầu dễ cháy khác. Đối với các máy móc bị rò rỉ dầu thì phải trang bị phương tiện đảm bảo dẫn dầu rò rỉ vào nơi chứa an toàn.
1.3.4.7 Hệ thống máy phải được bố trí và lắp đặt sao cho không để rò rỉ khí độc hại hoặc khí dễ cháy có thể gây ra hỏa hoạn. Đối với hệ thống máy bị rò rỉ khí thì phải được lắp đặt ở trong khoang được thông gió tốt có khả năng xả sạch nhanh khí này.
1.3.4.8 Nếu như kết cấu nằm trên hệ thống máy và khu vực bao quanh chúng được làm bằng vật liệu dễ cháy như gỗ và vật liệu tương tự thì phải có biện pháp thích hợp để đề phòng hỏa hoạn và thoát khí độc ra tàu.
1.3.4.9 Phương tiện được quy định ở (1) và (2) dưới đây phải được bố trí cho từng không gian nếu như trong đó có lắp đặt các máy xử lý sơ bộ đối với chất lỏng dễ cháy như bộ lọc, bầu hâm dầu v.v... Tuy nhiên, có thể bỏ qua yêu cầu này, nếu như Đăng kiểm thấy phù hợp sau khi xem xét kết cấu của tàu về mặt phòng cháy hoặc bố trí các máy móc trên cũng như biện pháp đối phó của tàu khi có dò dầu và hỏa hoạn:
(1) Mọi không gian có lắp đặt các bộ phận chính của hệ thống đã nêu trên phải được cách ly khỏi các máy móc khác;
(2) Thiết bị được quy định ở (a) đến (d) dưới đây phải được bố trí cho từng buồng kín phù hợp với các yêu cầu (1) trên.
(a) Hệ thống phát hiện và báo động cháy cố định phù hợp với các yêu cầu ở Chương 3, Phần 5 của Quy phạm này;
(b) Hệ thống chữa cháy phù hợp với các yêu cầu ở Chương 4, Phần 5 của Quy phạm này có khả năng hoạt động từ bên ngoài buồng;
(c) Thông gió cưỡng bức do động cơ độc lập lai quạt gió được bố trí cách ly với hệ thống thông gió tự nhiên buồng máy;
(d) Trang bị đóng các lỗ thông gió nêu trên từ vị trí gần với nơi đặt hệ thống chữa cháy cố định.
Bảng 3/1.1 - Nhiệt độ làm việc
|
| Nơi lắp đặt | Nhiệt độ (o C) |
|
| Ở khu vực kín | 0 đến 45 (*) |
| Không khí | Các chi tiết máy hoặc nồi hơi ở các khoang có nhiệt độ vượt quá 45 oC và dưới 0 oC | Tùy theo điều kiện riêng cục bộ |
|
| Trên boong hở | 0 đến 45 (*) |
| Nước ngoài mạn | - | 32 (*) |
Chú thích:
(*) Đăng kiểm có thể chấp nhận nhiệt độ khác nếu thấy phù hợp.
1.3.5 Hệ thống thông gió buồng máy
Buồng máy phải được thông gió tốt sao cho đảm bảo máy móc hoặc nồi hơi bên trong hoạt động ở chế độ toàn tải trong mọi điều kiện thời tiết bao gồm cả thời tiết xấu nhất và phải duy trì chế độ cung cấp đủ không khí cho buồng máy nhằm đảm bảo an toàn và thuận lợi cho thợ máy và sự hoạt động của máy móc. Các buồng máy khác phải được thông gió tốt phù hợp với mục đích sử dụng của buồng máy.
1.3.6 Ngăn ngừa tiếng ồn
Phải có biện pháp làm giảm tiếng ồn của máy móc trong buồng máy nhằm thỏa mãn tiêu chuẩn có thể chấp nhận được. Nếu tiếng ồn này không thể giảm đến mức chấp nhận được thì phải trang bị dụng cụ bịt tai chống ồn cho thợ máy phải làm việc trong buồng máy có tiếng ồn quá mức như vậy.
1.3.7 Thông tin liên lạc giữa lầu lái và buồng máy
1.3.7.1 Thông tin liên lạc giữa lầu lái buồng máy phải thỏa mãn các yêu cầu sau đây:
(1) Ít nhất phải trang bị hai phương tiện độc lập để truyền lệnh từ lầu lái đến buồng máy. Một trong những phương tiện này là chuông truyền lệnh buồng máy. Chuông truyền lệnh này phải đảm bảo truyền đạt rõ ràng lệnh được phát ra từ lầu lái và sự trả lời từ trạm điều khiển nêu trên;
(2) Phương tiện thông tin liên lạc, khi Đăng kiểm thấy cần thiết, phải được trang bị từ lầu lái và buồng máy đến bất kỳ nơi nào ngoài những yêu cầu quy định ở (1) trên đây, từ đó có thể kiểm soát tốc độ và chiều quay của chân vịt.
1.3.7.2 Trên tàu có máy chính được điều khiển từ buồng lái cho phép đặt một phương tiện thông tin liên lạc giữa buồng lái và buồng máy.
1.3.7.3 Đối với các tàu nhỏ, tùy từng trường hợp cụ thể có thể giảm bớt một phương tiện thông tin liên lạc.
1.3.8 Lối đi và lối thoát nạn
1.3.8.1 Trong buồng máy, máy chính và máy phụ phải được bố trí sao cho thuận tiện cho việc vận hành và bảo dưỡng máy móc.
1.3.8.2 Mỗi buồng máy, trừ các buồng nêu ở 1.3.8.3 dưới đây phải có ít nhất là hai lối thoát nạn, một trong các lối thoát nạn đó có thể đi qua cửa kín nước vào buồng có lối ra độc lập. Lối thứ hai phải dẫn trực tiếp lên boong hở. Có thể dùng cầu thang thép thẳng đứng làm lối thoát nạn này. Các lối thoát nạn phải được bố trí ở hai mạn đối diện nhau và cách nhau càng xa càng tốt. Kích thước của khoảng không gian thẳng đứng trong đó có bố trí cầu thang không được nhỏ hơn 600x600 mm.
1.3.8.3 Lối thoát nạn thứ hai không yêu cầu cho:
(1) Buồng máy có diện tích không lớn hơn 25 m2 nếu có lối ra không dẫn vào buồng máy bên cạnh hoặc vào buồng ở;
(2) Buồng máy của tàu có chiều dài không lớn hơn 25 m.
1.3.8.4 Nếu hai buồng máy kề nhau có cửa thông nhau và mỗi buồng chỉ có một lối thoát nạn dẫn ra boong hở thì các lối thoát nạn này phải được bố trí ở hai mạn đối diện nhau.
1.4 Thử nghiệm
1.4.1 Thử tại xưởng
1.4.1.1 Trước khi lắp đặt trên tàu, thiết bị và các chi tiết tạo nên hệ thống máy (trừ máy phụ chuyên dùng v.v...) phải được thử tại nhà máy chế tạo có máy móc và trang thiết bị cần thiết cho thử nghiệm (sau đây gọi là "Thử tại xưởng") phù hợp với các yêu cầu tương ứng trong Phần này.
1.4.1.2 Đối với trang thiết bị và các chi tiết của máy móc, trong Chương này không quy định yêu cầu thử tại xưởng và các chi tiết của máy phụ chuyên dùng v.v... thì các biên bản thử của nhà chế tạo phải được trình cho Đăng kiểm khi có yêu cầu.
1.4.2 Trang thiết bị sản xuất hàng loạt
Ngoài những yêu cầu quy định ở 1.4.1.1 trên, đối với thiết bị được sản xuất theo hệ thống sản xuất hàng loạt khi Đăng kiểm thấy phù hợp thì có thể chấp nhận quy trình thử tương ứng với phương pháp sản xuất thay cho các yêu cầu thử nghiệm được quy định trong Quy phạm nếu Nhà chế tạo yêu cầu.
1.4.3 Miễn thử nghiệm
Nếu như giấy chứng nhận thử hệ thống máy có nội dung phù hợp với yêu cầu của Đăng kiểm thì Đăng kiểm có thể bỏ qua một phần hay toàn bộ các cuộc thử nghiệm đối với máy móc quy định ở 1.4.1.
1.4.4 Thử sau khi lắp đặt trên tàu
1.4.4.1 Hệ thống máy phải được thử nghiệm sau khi lắp đặt lên tàu phù hợp với các yêu cầu được quy định trong từng chương của Phần này.
1.4.4.2 Nếu Đăng kiểm thấy cần thiết, các máy phụ chuyên dùng phải được thử hoạt động vào một dịp thích hợp trước khi chúng được sử dụng để xác định rằng chúng không gây nguy hiểm cho tàu và thuyền viên trên tàu.
1.4.4.3 Khi thấy cần thiết, Đăng kiểm có thể yêu cầu các việc thử khác với các việc thử đã quy định trong Phần này.
CHƯƠNG 2 -
ĐỘNG CƠ DIESEL
2.1 Quy định chung
2.1.1 Phạm vi áp dụng
Các yêu cầu của Chương này áp dụng cho các động cơ Diesel được dùng làm máy chính hoặc được dùng để lai máy phát điện và các máy phụ (không kể các máy phụ dùng cho những công việc chuyên dùng v.v...) nêu trong Chương này.
2.1.2 Bản vẽ và tài liệu
2.1.2.1 Thông thường phải trình duyệt các bản vẽ và tài liệu sau:
(1) Các bản vẽ và tài liệu để duyệt
(a) Bản thuyết minh về động cơ (theo mẫu của Đăng kiểm);
(b) Quy trình hàn đối với các bộ phận chính;
(c) Trục khuỷu (gồm cả các chi tiết, bu lông nối trục, các đối trọng và các bu lông ghép chặt chúng);
(d) Thanh truyền và các ổ đỡ (kể cả các bu lông và các chi tiết) của động cơ 4 kỳ;
(e) Sự bố trí các bu lông bệ máy;
(f) Kết cấu và sự bố trí các van phòng nổ thùng trục;
(g) Đặc tính vật liệu của các bộ phận chính;
(h) Hệ thống đường ống lắp trên động cơ (bao gồm đường ống dầu đốt, dầu bôi trơn, nước làm mát, các hệ thống thủy lực và khí nén, có số ghi kích thước, vật liệu và áp suất của đường ống);
(i) Mặt cắt lắp ráp tua bin khí thải (tua bin được dẫn động bằng khí thải).
(2) Các bản vẽ và tài liệu để tham khảo
(a) Danh mục các bản vẽ và tài liệu phải trình duyệt (với số hiệu bản vẽ liên quan và tình trạng soát xét lại);
(b) Mặt cắt dọc của động cơ;
(c) Mặt cắt ngang của động cơ;
(d) Đế máy và ổ chặn (nếu nó đồng bộ với động cơ);
(e) Thân động cơ;
(f) Nắp xi lanh, thân xi lanh và sơ mi xi lanh;
(g) Pít tông và chốt pít tông;
(h) Gu dông liên kết (kể cả bu lông nối và vít định vị);
(i) Thanh truyền và các ổ đỡ (kể cả các bu lông) của động cơ 2 kỳ;
(k) Lắp ráp ổ đỡ chặn;
(l) Cơ cấu dẫn động trục cam và sự lắp ráp cam với trục cam;
(m) Cơ cấu xu páp (cơ cấu van kiểu đòn);
(n) Bơm cao áp;
(o) Các bu lông ổ đỡ chính;
(p) Các bu lông cố định nắp xi lanh và các bu lông cố định hộp van;
(q) Bánh đà (đối với trường hợp là một thành phần truyền lực);
(r) Sơ đồ hệ thống điều khiển động cơ (kể cả các hệ thống kiểm tra, an toàn và tín hiệu báo động);
(s) Kết cấu và bố trí các bộ giảm chấn, bộ chống rung, thiết bị cân bằng hoặc cơ cấu bù chỉnh, các bản tính toán về cân bằng và ngăn ngừa dao động động cơ;
(t) Các tài liệu hướng dẫn sử dụng và vận hành động cơ;
(u) Các bản vẽ và tài liệu khác khi Đăng kiểm cho là cần thiết.
2.2 Vật liệu, kết cấu và sức bền
2.2.1 Vật liệu
2.2.1.1 Vật liệu dùng để làm các chi tiết chính của động cơ Diesel và thử chúng bằng phương pháp không phá hủy phải phù hợp với các yêu cầu được quy định Bảng 3/2.1. Trong trường hợp thử bằng siêu âm phải trình kết quả thử cho đăng kiểm viên xem xét.
2.2.1.2 Các xi lanh, pít tông và các bộ phận khác chịu nhiệt độ cao hoặc áp suất cao và các bộ phận truyền mô men dẫn động phải được làm bằng vật liệu phù hợp với nhiệt độ và tải trọng mà các bộ phận đó phải chịu.
2.2.2 Kết cấu, lắp đặt và quy định chung
2.2.2.1 Các xi lanh, pít tông và các bộ phận chịu nhiệt độ hoặc áp suất cao phải có kết cấu phù hợp với ứng suất nhiệt và ứng suất cơ học mà chúng phải chịu.
2.2.2.2 Khi các chi tiết chính của động cơ Diesel là kết cấu hàn thì chúng phải thỏa mãn các yêu cầu ở Phần 6B của Quy phạm này.
2.2.2.3 Các khung và đế máy phải có kết cấu cứng vững và kín dầu, đế máy phải được trang bị đủ số lượng bu lông cần thiết để cố định máy trên toàn bộ chiều dài bệ máy.
2.2.2.4 Thùng trục và các cửa thùng trục phải có đủ sức bền và các cửa thùng trục phải được bắt chặt sao cho không bị rời ra khi xảy ra nổ bên trong thùng trục.
2.2.2.5 Phải gắn lời cảnh báo ở nơi nhô cao, thích hợp trên cửa thùng trục ở cả hai phía của động cơ hoặc ở trạm điều khiển trong buồng máy. Lời cảnh báo này phải chỉ rõ rằng bất cứ khi nào nhiệt độ trong thùng trục tăng quá cao thì các cửa thùng trục hoặc các lỗ quan sát không được phép mở cho đến khi trong thùng trục nguội đi sau khi dừng động cơ.
2.2.2.6 Cấm thông gió thùng trục và bố trí bất kỳ thiết bị nào để đưa không khí bên ngoài vào trong thùng trục trừ trường hợp (1) và (2) dưới đây:
(1) Các ống thông hơi, nếu có, thì phải được làm nhỏ tới mức có thể được để giảm đến mức tối thiểu lượng không khí vào thùng trục sau khi nổ. Tuy nhiên, không được nối chung các ống thông hơi của hai động cơ hoặc nhiều hơn với nhau. Các ống thông hơi thùng trục của máy chính phải được dẫn ra vị trí an toàn trên boong hoặc một vị trí khác được chấp thuận;
(2) Khi thực hiện hút khí ra khỏi thùng trục (chẳng hạn để phát hiện hơi dầu) thì độ chân không trong thùng trục không được vượt quá 2,5.10-4 MPa.
2.2.2.7 Điều kiện môi trường để xác định công suất của các động cơ Diesel phải như sau:
(1) Áp suất khí quyển: 0,1 MPa;
(2) Nhiệt độ không khí: 45 oC;
(3) Độ ẩm tương đối: 60%.
(4) Nhiệt độ nước ngoài mạn (tại cửa vào bầu làm mát trung gian không khí nạp): 32 oC.
2.2.3 Ổ đỡ cổ biên của động cơ 4 kỳ
Ổ đỡ cổ biên của động cơ 4 kỳ phải được thiết kế và chế tạo sao cho áp suất nén đều trên bề mặt tiếp xúc của các nắp ổ đỡ và không gây ra ứng suất quá mức lên các bu lông ổ đỡ cổ biên, chịu được tải trọng thay đổi tác dụng lên thanh truyền.
2.2.4 Trục lắp bánh đà và các trục khác
Ổ chỗ lắp bánh đà hoặc các pu ly lệch tâm dùng cho các bơm trên trục khuỷu hoặc trục phụ ở giữa ổ trục cuối cùng và trục chịu lực đẩy, đường kính trục ở phần trục đó không được nhỏ hơn đường kính trục khuỷu được xác định bằng công thức ở 2.3.
Bảng 3/2.1 - Sử dụng vật liệu và thử không phá hủy đối với các chi tiết chính của động cơ Diesel
| Các chi tiết chủ yếu | Đường kính xi lanh D (mm) | |||||||||||
| D £ 300 | 300 < D £ 400 | 400 < D | ||||||||||
| (1) | (2) | (3) | (1) | (2) | (3) | (1) | (2) | (3) | ||||
| 1 | Trục khuỷu | Kiểu rèn liền | ´ | ´ | ´ | ´ | ´ | ´ | ´ | ´ | ´ | |
| Kiểu má khuỷu, cổ biên và cổ trục lắp ghép hoặc bán lắp ghép | ´ | ´ | ´ | ´ | ´ | ´ | ´ | ´ | ´ | |||
| Các kiểu khác (ví dụ kiểu hàn) | ´ | ´ | ´ | ´ | ´ | ´ | ´ | ´ | ´ | |||
| 2 | Các bích nối trên trục khuỷu (nếu rời) |
|
|
|
|
|
| ´ |
|
| ||
| 3 | Bu lông nối trục khuỷu |
|
|
|
|
|
| ´ |
|
| ||
| 4 | Đỉnh pít tông bằng thép |
|
| ´ |
|
| ´ | ´ | ´ | ´ | ||
| 5 | Thanh truyền cùng với nắp ổ đỡ | ´ | ´ |
| ´ | ´ |
| ´ | ´ | ´ | ||
| 6 | Phần bằng thép của sơ mi xi lanh |
|
|
| ´ |
|
| ´ |
|
| ||
| 7 | Nắp xi lanh bằng thép |
|
| ´ | ´ |
| ´ | ´ | ´ | ´ | ||
| 8 | Đế máy kết cấu n | Các tấm, các dầm ổ đỡ ngang bằng thép rèn hoặc đúc | ´ |
|
| ´ |
|
| ´ |
|
| |
| Các phần thép đúc kể cả mối hàn |
| ´ | ´ |
| ´ | ´ |
| ´ | ´ | |||
| 9 | Ổ chặn kết cấu hàn, các tấm và dầm ổ đỡ ngang làm bằng thép rèn và thép đúc | ´ |
|
| ´ |
|
| ´ |
|
| ||
| 10 | Gu dông liên kết | ´ | ´ |
| ´ | ´ |
| ´ | ´ |
| ||
| 11 | Các bánh răng bằng thép dẫn động trục cam |
|
|
|
|
|
| ´ | ´ |
| ||
| 12 | Các bu lông, vít cấy (dùng cho nắp xi lanh, ổ thanh truyền, ổ trục khuỷu) |
|
|
| ´ |
|
| ´ | ´ |
| ||
| 13 | Các vành đĩa tua bin, cánh tua bin, cánh quạt thổi và trục rô to của tua bin khí thải | ´ | ´ | ´ | ´ | ´ | ´ | ´ | ´ | ´ | ||
Chú thích:
Vật liệu dùng chế tạo các chi tiết được đánh dấu “x” ở cột (1) thì phải thỏa mãn các yêu cầu ở Phần 6A của Quy phạm này;
Vật liệu dùng chế tạo các chi tiết được đánh dấu “x” ở cột (2) thì phải được kiểm tra bằng phương pháp từ tính hoặc thẩm thấu chất lỏng;
Vật liệu dùng chế tạo các chi tiết được đánh dấu “x” ở cột (3) thì phải được kiểm tra bằng phương pháp siêu âm.
2.3 Trục khuỷu
2.3.1 Trục khuỷu liền
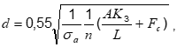
2.3.1.1 Đường kính cổ biên và cổ trục không được nhỏ hơn giá trị tính theo công thức sau:

trong đó:
dc : đường kính quy định của trục khuỷu, mm;
M = 10-2ALPmax
T = 10-2BSPmi
S: hành trình pít tông, mm;
L : khoảng cách giữa hai tâm ổ đỡ liền nhau (mm);
Pmax : áp suất cháy lớn nhất trong xi lanh, MPa;
Pmi : áp suất có ích chỉ thị trung bình, MPa;
A và B - hệ số lấy theo Bảng 3/2.2 và 3/2.3 đối với các động cơ có khoảng nổ bằng nhau (trong trường hợp động cơ chữ V thì các khoảng nổ trên mỗi hàng bằng nhau). Đối với động cơ Diesel có các khoảng nổ không bằng nhau hoặc không nằm trong các bảng trên, các giá trị A và B sẽ được xem xét trong từng trường hợp cụ thể;
D : đường kính xi lanh (mm);
km : giá trị được lấy theo (1) hoặc (2) dưới đây tùy theo giới hạn bền kéo danh nghĩa của vật liệu làm trục khuỷu. Tuy vậy, giá trị của km đối với các vật liệu không phải là thép rèn và thép đúc phải được Đăng kiểm quy định trong từng trường hợp cụ thể.
(1) Khi giới hạn bền kéo danh nghĩa của vật liệu trên 440 MPa:

trong đó:
Ts: giới hạn bền kéo danh nghĩa của vật liệu (MPa). Giá trị của Ts không được quá 760 MPa đối với thép các bon rèn và không quá 1080 MPa đối với thép hợp kim thấp rèn.
(2) Khi giới hạn bền kéo danh nghĩa của vật liệu không lớn hơn 440 Mpa nhưng không dưới 400 MPa thì km = 1,0.
ks: giá trị được lấy theo (a), (b) hoặc (c) sau đây, tùy theo phương pháp chế tạo trục khuỷu.
(a) Khi trục khuỷu được chế tạo bằng phương pháp đặc biệt đã được Đăng kiểm thừa nhận rằng rèn tạo thớ liên tục và chất lượng sản phẩm ổn định, sức bền mỏi được tăng thêm từ 20% trở lên so với quá trình rèn tự do:

(b) Khi trục khuỷu được chế tạo bằng phương pháp đặc biệt đã được Đăng kiểm thừa nhận rằng đã tăng độ cứng bề mặt và chất lượng sản phẩm ổn định, sức bền mỏi được nâng cao:

trong đó:
r : mức độ (cải thiện) tăng hơn về sức bền tùy theo độ cứng bề mặt (%) đã được Đăng kiểm thừa nhận
(c) Khi không nằm trong trường hợp (a) hoặc (b) nói trên:
ks = 1,0
kh : Giá trị lấy theo (a) hoặc (b) tùy theo đường kính trong của cổ biên hoặc cổ trục:
(a) Khi đường kính trong bằng và lớn hơn 1/3 đường kính ngoài:

R : tỷ số giữa đường kính trong của trục chia cho đường kính ngoài của trục.
(b) Khi đường kính trong nhỏ hơn 1/ 3 đường kính ngoài: kh = 1,0
2.3.1.2 Kích thước của các má khuỷu phải thỏa mãn các yêu cầu ở (1) và (2) sau đây:
(1) Chiều dày và rộng của các má khuỷu phải thỏa mãn công thức sau đây liên quan tới đường kính của cổ biên và cổ trục. Trong trường hợp này, chiều dày má khuỷu không được nhỏ hơn 0,36 lần đường kính của cổ biên và cổ trục. Khi đường kính thực tế của cổ biên và cổ trục lớn hơn đường kính yêu cầu của trục khuỷu được xác định bởi công thức ở 2.3.1.1 thì vế trái của công thức sau đây có thể được nhân với (dc/ da)3.

trong đó:
b: chiều rộng má khuỷu (mm)
da: đường kính thực tế của cổ trục hoặc cổ biên (mm)
t : chiều dày má khuỷu (mm).
(2) Bán kính góc lượn tại chỗ nối của má khuỷu với cổ biên hoặc cổ trục không được nhỏ hơn 0,05 lần đường kính thực tế của cổ biên hoặc cổ trục.
Bảng 3/2.2 - Giá trị hệ số A và B đối với động cơ một hàng xi lanh tác dụng đơn
| Số lượng xi lanh | Động cơ 2 kỳ | Động cơ 4 kỳ | ||
A | B | A | B | |
| 1 2 3 4 5 6 7 8 |
1,00 | 8,8 8,8 10,0 11,1 11,4 11,7 12,0 12,3 |
1,25 | 4,7 4,7 4,7 4,7 5,4 5,4 6,1 6,1 |
2.3.2 Trục khuỷu lắp ghép
2.3.2.1 Đường kính của cổ biên và cổ trục của trục khuỷu lắp ghép phải thỏa mãn yêu cầu ở 2.3.1.1
2.3.2.2 Kích thước của các má khuỷu phải thỏa mãn các yêu cầu ở (1) và (2) sau đây:
Chiều dày các má khuỷu loại lắp ép nóng phải thỏa mãn các công thức sau đây:

trong đó:
t : chiều dày của má khuỷu đo song song với đường tâm trục (mm)
c1 = 10 đối với động cơ 2 kỳ 1 hàng xi lanh;
c1 = 16 đối với động cơ 4 kỳ 1 hàng xi lanh;
t : tương tự như ở 2.3.1.1;
D: đường kính trong của xi lanh (mm);
c2 = 12,8a - 2,4a2, nhưng trong trường hợp trục rỗng thì c2 được nhân với (1 - R2)

dh : đường kính lỗ tại chỗ lắp ép nóng (mm);
dc : đường kính quy định của trục khuỷu được xác định bằng công thức ở 2.3.1.1.
(2) Kích thước tại góc lượn chỗ nối của má khuỷu với cổ biên của các trục khuỷu bán lắp ghép phải thỏa mãn các yêu cầu ở 2.3.1.2 (mm).
2.3.2.3 Đối với trục khuỷu lắp ghép thì giá trị a được dùng ở 2.3.2.2(1) phải nằm trong giới hạn sau:

trong đó:
Y : giới hạn chảy danh nghĩa của vật liệu má khuỷu (MPa);

Khi giới hạn chảy danh nghĩa của má khuỷu trên 390 MPa hoặc khi giá trị tính theo công thức sau đây nhỏ hơn 0,1 thì giá trị a sẽ được Đăng kiểm xem xét trong từng trường hợp cụ thể:

trong đó:
S : hành trình pít tông (mm);
dp: đường kính cổ biên (mm);
dj: đường kính cổ trục (mm).
Bảng 3/2.3 - Giá trị hệ số A và B đối với động cơ chữ V tác dụng đơn với thanh truyền song song
a) Động cơ 2 kỳ
| Số lượng xi lanh | Khoảng nổ nhỏ nhất giữa hai xi lanh trên cùng một cổ biên | |||||
| 45o | 60o | 90o | ||||
| A | B | A | B | A | B | |
| 6 8 10 12 |
1,05 | 17,0 17,0 19,0 20,5 |
1,00 | 12,6 15,7 18,7 21,6 |
1,00 | 17,0 20,5 20,5 20,5 |
b) Động cơ 4 kỳ
| Số lượng xi lanh | Khoảng nổ nhỏ nhất giữa hai xi lanh trên cùng một cổ biên | |||||||||||
| 45o | 60o | 90o | 270o | 300o | 315o | |||||||
| A | B | A | B | A | B | A | B | A | B | A | B | |
| 6 8 10 12 |
1,60 | 4,1 5,5 6,7 7,5 |
1,47 | 4,0 5,5 7,0 8,2 |
1,40 | 4,0 5,5 6,5 7,5 |
1,40 | 4,0 5,5 6,5 7,5 |
1,30 | 4,4 5,3 6,1 6,9 |
1,20 | 4,3 5,2 5,9 6,6 |
2.3.3 Nối trục và bu lông nối trục
2.3.3.1 Đường kính của các bu lông nối trục tại bề mặt nối của mối nối giữa các trục khuỷu hoặc giữa trục khuỷu với trục chịu lực đẩy hoặc giữa trục khuỷu với trục quy định ở 2.2.4 không được nhỏ hơn giá trị tính theo công thức sau:

trong đó:
db: đường kính bu lông nối trục (mm);
n : số lượng bu lông;
D : đường kính vòng tròn chia (mm);
dc: đường kính quy định của trục khuỷu (mm) được tính bằng công thức ở 2.3.1.1 khi các giá trị km, ks và kh được lấy bằng 1,0;
Tb : giới hạn bền kéo danh nghĩa của vật liệu làm bu lông (MPa). Khi giá trị này trên 1000 MPa thì trị số dùng cho công thức trên sẽ được Đăng kiểm xem xét một cách thích hợp.
2.3.3.2 Các chỗ nối trục phải đủ bền để chịu được các ứng suất khi làm việc. Các góc lượn ở các chỗ nối trục phải có bán kính đủ lớn để tránh sự tập trung ứng suất quá mức. Khi các mối nối trục tách biệt so với trục, thì phương pháp lắp ghép và kết cấu của mối nối phải có khả năng chịu được lực kéo khi tàu lùi. Khi lắp then cho các mối nối trục thì các rãnh then phải có kết cấu tránh được sự tập trung ứng suất quá mức.
2.3.4 Đánh giá chi tiết về sức bền
Khi trục khuỷu không thỏa mãn các yêu cầu ở 2.3.1 và 2.3.2 thì phải trình các tài liệu thiết kế và bản tính về sức bền trục khuỷu cho Đăng kiểm xem xét.
2.4 Thiết bị an toàn
2.4.1 Thiết bị chống vượt tốc và điều tốc
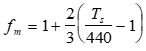
2.4.1.1 Khi trên tàu mà động cơ Diesel được dùng để lai trục chân vịt thì nó phải được trang bị một bộ điều tốc được điều chỉnh để ngăn ngừa tốc độ của động cơ vượt quá 15% số vòng quay liên tục lớn nhất.
2.4.1.2 Ngoài bộ điều tốc thông thường, mỗi động cơ Diesel lai trục chân vịt có công suất liên tục lớn nhất từ 220 kW trở lên có thể nhả khớp được hoặc lai chân vịt biến bước thì phải trang bị cho mỗi động cơ đó một thiết bị chống vượt tốc. Thiết bị chống vượt tốc và bánh răng lai nó phải độc lập với bộ điều tốc quy định ở 2.4.1.1 và phải điều chỉnh sao cho tốc độ của động cơ không thể vượt quá 20% số vòng quay liên tục lớn nhất của nó.
2.4.1.3 Các động cơ Diesel lai máy phát điện phải được trang bị các bộ điều tốc thỏa mãn các yêu cầu ở 2.8.2, Phần 4 của Quy phạm này.
2.4.1.4 Ngoài bộ điều tốc thông thường, mỗi động cơ Diesel là máy chính trên tàu chạy bằng điện và động cơ Diesel lai máy phát điện có công suất liên tục lớn nhất từ 220 kW trở lên phải được trang bị một thiết bị chống vượt tốc riêng biệt. Trong trường hợp này, thiết bị chống vượt tốc và cơ cấu dẫn động nó phải độc lập với bộ điều tốc yêu cầu ở 2.4.1.3 và đảm bảo sao cho tốc độ không thể vượt quá 15% số vòng quay liên tục lớn nhất.
2.4.2 Van an toàn cho xi lanh
Phải trang bị một van an toàn cho mỗi xi lanh của động cơ Diesel có đường kính xi lanh trên 230 mm, van đó phải hoạt động ở áp suất không quá 40% trên áp suất cháy lớn nhất tại công suất liên tục lớn nhất và van đó phải được bố trí sao cho khí xả ra không gây nguy hiểm cho người vận hành. Van an toàn có thể được thay thế bằng thiết bị chỉ báo sự vượt quá của áp suất trong mỗi xi lanh.
2.4.3 Phòng chống nổ thùng trục
2.4.3.1 Đối với các động cơ có đường kính xi lanh không dưới 200 mm hoặc có tổng thể tích thùng trục không dưới 0,6 m3 thì thùng trục phải được trang bị van có kiểu đã được duyệt để ngăn ngừa áp suất tăng quá mức trong trường hợp nổ bên trong thùng trục. Van an toàn thùng trục phải được thiết kế và chế tạo để mở nhanh chóng khi áp suất trong thùng trục tăng quá 0,02 MPa và tự động đóng lại ngay khi có lượng không khí rất nhỏ bên ngoài lọt vào thùng trục.
2.4.3.2 Số lượng và vị trí của các van quy định ở 2.4.3.1 phải tuân theo Bảng 3/2.4.
2.4.3.3 Phải lắp thêm các van an toàn ngoài những van quy định ở 2.4.3.1 cho những ngăn riêng biệt trong thùng trục chẳng hạn như ngăn bánh răng hoặc hộp xích lai trục cam hay những thiết bị dẫn động tương tự khi tổng dung tích của những ngăn như vậy không dưới 0,6 m3.
2.4.3.4 Kích thước của mỗi van an toàn quy định ở 2.4.3.1 và 2.4.3.3 bên trên phải thỏa mãn các yêu cầu quy định ở (1), (2) và (3) dưới đây:
(1) Tiết diện lưu thông của mỗi van an toàn không được dưới 45 cm2;
(2) Tiết diện lưu thông kết hợp của các van an toàn đặt trên một động cơ không được dưới 115 cm2 cho mỗi mét khối tổng dung tích thùng trục. Thể tích của các bộ phận không chuyển động trong thùng trục hoặc ngăn cách ly có thể bớt đi theo sự tính toán tổng dung tích đó;
(3) Mỗi van an toàn được trang bị theo các yêu cầu trên có thể được thay bằng hai van an toàn nhỏ hơn có tổng tiết diện lưu thông của van không dưới 45 cm2;
(4) Các cửa xả của van an toàn phải được che chắn thích hợp để giảm thiểu nguy hiểm do ngọn lửa phát ra.
Bảng 3/2.4 - Số lượng và vị trí các van an toàn
| Đường kính xi lanh (mm) | Số lượng và vị trí các van an toàn |
| 200 đến dưới 250
250 đến dưới 300 300 trở lên | - Ít nhất ở gần mỗi đầu lắp một van nhưng khi có trên 8 khủyu trục thì phải đặt thêm một van ở gần giữa động cơ - Ít nhất cách một khủyu trục đặt một van nhưng ít nhất là 2 van - Ít nhất mỗi khủyu trục một van |
2.4.4 Phòng nổ cho không gian khí quét
Không gian khí quét thông với xi lanh phải được trang bị van an toàn phòng nổ. Các van an toàn đó phải được bố trí sao cho khí xả ra không gây nguy hiểm cho người vận hành.
2.5 Thiết bị liên quan
2.5.1 Tua bin khí thải
2.5.1.1 Đối với máy chính được trang bị tua bin khí thải thì phải trang bị thiết bị để bảo đảm rằng động cơ đó có thể khai thác với công suất đủ để tạo ra tốc độ tối thiểu cho tàu trong trường hợp hỏng một trong các tua bin.
2.5.1.2 Khi máy chính không thể hoạt động được với tua bin khí thải lúc khởi động hoặc ở dãy tốc độ thấp thì phải trang bị một hệ thống khí quét phụ. Khi hỏng hệ thống phụ này thì phải có thiết bị thích hợp sao cho máy chính có thể tăng công suất đủ để tua bin khí thải hoạt động theo yêu cầu.
2.5.2 Thiết bị khí thải
2.5.2.1 Các ống khí thải có nhiệt độ bề mặt quá 220 oC phải được làm mát bằng nước hoặc được bọc cách nhiệt một cách có hiệu quả. Tuy vậy, trong trường hợp có thể đảm bảo an toàn về cháy thì các yêu cầu đó có thể được miễn trừ.
2.5.2.2 Các thiết bị khí thải phải thỏa mãn thêm các yêu cầu được quy định ở 10.15 trong Phần này.
2.5.3 Thiết bị khởi động
2.5.3.1 Các ống dẫn khí khởi động phải chống được nổ do lửa quay ngược lại từ các xi lanh bằng các thiết bị sau:
(1) Một van một chiều độc lập hoặc thiết bị tương đương được lắp trên ống dẫn khí tới mỗi động cơ;
(2) Trên động cơ đảo chiều trực tiếp có một cụm ống dẫn khí khởi động, phải lắp một đĩa ngăn lửa hoặc bộ dập lửa trên van khởi động ở mỗi xi lanh, trên các động cơ không đảo chiều có một cụm ống dẫn khí khởi động, phải lắp ít nhất một thiết bị như vậy ở đầu vào cụm ống khí khởi động trên mỗi động cơ. Tuy nhiên thiết bị đó có thể không cần đối với các động cơ có đường kính xi lanh không quá 230 mm.
2.5.3.2 Khi máy chính được khởi động bằng khí nén thì phải trang bị các bình chứa khí nén. Các bình chứa này phải được nối với nhau để sẵn sàng sử dụng. Trong trường hợp này tổng dung tích của các bình khí nén khởi động phải đủ, mà không cần phải nạp bổ sung, để đảm bảo số lần khởi động liên tục không nhỏ hơn trị số được quy định từ (1) và (3) dưới đây.
(1) Đối với các động cơ có thể đảo chiều trực tiếp: Z = 12C,
trong đó:
Z : tổng số lần khởi động cho mỗi động cơ;
C : hằng số = 1,0
(2) Đối với các động cơ sử dụng cơ cấu đảo chiều độc lập hoặc sử dụng chân vịt biến bước thì có thể chấp nhận số lần khởi động bằng 1/2 giá trị quy định ở (1) trên;
(3) Đối với các tàu chạy bằng điện:
Z = 6 + 3(k-1),
trong đó:
k : số lượng động cơ, nhưng không cần thiết lấy giá trị của k quá 2.
2.5.3.3 Khi các máy chính được khởi động bằng ắc quy, thì phải lắp đặt 2 tổ ắc quy. Tổng dung lượng của các ắc quy phải đủ để đảm bảo số lần khởi động máy chính quy định ở 2.5.3.2 trong 30 phút mà không phải nạp thêm.
2.5.3.4 Hệ thống khí nén khởi động phải thỏa mãn thêm các yêu cầu ở 10.12.
2.5.4 Thiết bị dầu đốt
2.5.4.1 Trên tất cả các động cơ có đường kính xi lanh từ 230 mm trở lên thì ống dẫn dầu đốt của bơm cao áp phải được che chắn và bảo vệ một cách đảm bảo. Sự bảo vệ này phải ngăn ngừa được dầu đốt hoặc hơi dầu đốt tiếp xúc với nguồn gây cháy trên động cơ hoặc những thiết bị xung quanh động cơ và có khả năng xả được lượng dầu đốt rò rỉ bên trong vỏ bọc bảo vệ qua hệ thống xả dầu của động cơ.
2.5.4.2 Các thiết bị dầu đốt phải thỏa mãn thêm các yêu cầu ở 10.9.
2.5.5 Thiết bị dầu bôi trơn
2.5.5.1 Thiết bị dầu bôi trơn của các động cơ Diesel có công suất liên tục lớn nhất trên 220 kW phải được trang bị thiết bị báo động bằng âm thanh và ánh sáng khi có hư hỏng ở việc cấp dầu bôi trơn hoặc áp suất dầu bôi trơn giảm đáng kể và thiết bị dừng động cơ hoạt động một cách tự động do áp suất thấp hơn sau khi báo động.
2.5.5.2 Phải trang bị ống nối lấy mẫu dầu ở các vị trí thích hợp.
2.5.5.3 Thiết bị bôi trơn trục rô to của tua bin khí xả phải được thiết kế sao cho dầu bôi trơn không thể chảy vào đường khí nạp.
2.5.5.4 Ngoài ra, hệ thống dầu bôi trơn phải thỏa mãn thêm các yêu cầu ở 10.10.
Bảng 3/2.5 - Áp suất thử thủy lực
| Chi tiết thử | Áp suất thử (5) (MPa) |
| Nắp xi lanh, khoang làm mát (1) | 0,7 |
| Ống lót xi lanh trên toàn bộ chiều dài khoang làm mát(2) | 0,7 |
| Vỏ xy lanh, khoang làm mát | 0,4(3) hoặc 1,5P, lấy giá trị nào lớn hơn. |
| Van xả, khoang làm mát | 0,4 hoặc 1,5P, lấy giá trị nào lớn hơn. |
| Đỉnh pít tông (1), | 0,7 |
| Hệ thống phun nhiên liệu: thân bơm, phía chịu áp lực(4) van(4), đường ống | 1,5P hoặc P + 30 lấy giá trị nhỏ hơn |
Tua bin, khoang làm mát | 0,4 hoặc 1,5P, lấy giá trị nào lớn hơn |
| Ống xả, khoang làm mát | 0,4 hoặc 1,5P, lấy giá trị nào lớn hơn |
| Bộ trao đổi nhiệt | 0,4 hoặc 1,5P, lấy giá trị nào lớn hơn |
| Bơm được động cơ dẫn động | 0,4 hoặc 1,5P, lấy giá trị nào lớn hơn |
| Hệ thống đường ống | Theo yêu cầu ở 9.6 |
Chú thích:
(1) Đối với các nắp xy lanh bằng thép rèn mà khoang làm mát của nó được gia công cơ khí không có quá trình hàn hoặc đối với các đỉnh pít tông mà chiều dày được đo chính xác sau khi gia công cơ khí cả bên trong và bên ngoài, và được Đăng kiểm viên xác nhận là không có khuyết tật bề mặt thì có thể không cần thử thủy lực;
(2) Khi sơ mi xy lanh được gia công tinh bằng máy cả bên trong và bên ngoài, được Đăng kiểm viên kiểm tra chính xác chiều dày và xác nhận không có các khuyết tật bề mặt, thì áp suất thử nêu trên của sơ mi xy lanh có thể được giảm đến 0,4 MPa;
(3) Đối với các động cơ Diesel không có sơ mi xi lanh thì áp suất thử thủy lực bằng 0,7 MPa;
(4) Khi các bơm phun nhiên liệu và van phun nhiên liệu được làm bằng thép rèn thì có thể không cần thử thủy lực;
(5) P là áp suất làm việc lớn nhất (MPa) của các bộ phận cần thử.
2.5.6 Thiết bị làm mát
2.5.6.1 Thiết bị làm mát phải thỏa mãn các yêu cầu ở 10.11 và các yêu cầu ở (1) và (2) sau đây:
(1) Đối với các động cơ có từ hai xi lanh trở lên thì phải trang bị thiết bị thích hợp để làm mát đồng bộ cho mỗi xi lanh;
(2) Phải lắp các vòi xả cho các áo nước và các đường ống dẫn nước làm mát tại vị trí thấp nhất.
2.6 Thử nghiệm
2.6.1 Thử tại xưởng
2.6.1.1 Đối với các chi tiết hoặc phụ tùng quy định ở Bảng 3/2.5 thì phải tiến hành thử thủy lực với áp suất quy định ở bảng đó.
2.6.1.2 Đối với các bộ phận quay của tua bin khí xả, phải tiến hành thử cân bằng động trước khi lắp ráp chúng.
2.6.1.3 Đối với các động cơ Diesel, phải tiến hành thử ở xưởng bằng các phương pháp thử được Đăng kiểm chấp thuận.
2.6.1.4 Đối với các động cơ Diesel có các đặc điểm thiết kế mới hoặc không có hồ sơ vận hành, trong trường hợp mà Đăng kiểm thấy cần thiết, phải tiến hành thử để kiểm tra lại khả năng làm việc của động cơ bằng các phương pháp do Đăng kiểm quy định.
CHƯƠNG 3 -
THIẾT BỊ TRUYỀN ĐỘNG
3.1 Quy định chung
3.1.1 Phạm vi áp dụng
Những yêu cầu đưa ra trong Chương này được áp dụng cho các thiết bị truyền động từ động cơ chính, động cơ dẫn động máy phát điện và các máy phụ, trừ máy phụ chuyên dùng.
3.1.2 Bản vẽ và tài liệu
3.1.2.1 Bản vẽ và tài liệu trình Đăng kiểm duyệt, gồm:
(1) Bản vẽ:
(a) Lắp ráp tổng thể;
(b) Bánh răng;
(c) Trục bánh răng;
(d) Khớp nối;
(e) Kết cấu các bộ phận chính.
(2) Tài liệu:
(a) Các thông số về vật liệu dùng trong các bộ phận truyền động (thành phần hóa học, phương pháp nhiệt luyện, cơ tính và phương pháp thử chúng);
(b) Công suất được truyền và tốc độ quay của từng bánh răng ở công suất liên tục lớn nhất;
(c) Thông số kỹ thuật của từng bánh răng (số răng, môđun, đường kính vòng chia, góc áp lực của răng, góc xoắn, chiều rộng mặt, khoảng cách tâm, bán kính đỉnh răng, khe hở bánh răng, phương pháp đánh bóng sườn răng, độ bóng bánh răng);
(d) Phương pháp hàn các bộ phận chính (bao gồm cả thử và kiểm tra);
(e) Tài liệu cần thiết để tính toán sức bền của các bộ phận chính của thiết bị truyền động.
3.2 Vật liệu và kết cấu
3.2.1 Vật liệu
3.2.1.1 Vật liệu dùng cho các chi tiết sau (sau đây gọi là các chi tiết chính của thiết bị truyền động) phải phù hợp với các yêu cầu có liên quan ở Phần 6A của Quy phạm này.
(1) Trục và bánh răng truyền công suất;
(2) Các bộ phận truyền công suất của khớp nối;
(3) Các bộ phận truyền công suất của ly hợp;
(4) Bu lông khớp nối.
3.2.1.2 Các chi tiết chính của thiết bị truyền động (trừ các bu lông khớp nối, đĩa ly hợp và các chi tiết tương tự) phải qua thử không phá hủy theo yêu cầu quy định tương ứng ở Phần 6A của Quy phạm này.
3.2.2 Hàn
Nếu như các chi tiết chính của thiết bị truyền động là kết cấu hàn, thì phải thỏa mãn các yêu cầu quy định ở Phần 6B của Quy phạm này.
3.2.3 Kết cấu của bánh răng
3.2.3.1 Kết cấu của các bánh răng phải thỏa mãn các yêu cầu quy định từ (1) đến (3) sau đây:
(1) Nếu vành răng được lắp ép vào may ơ thì vành răng phải có chiều dày đảm bảo đủ sức bền và lực ép để chịu được công suất truyền. Nếu như tiến hành lắp ép nóng sau khi cắt răng, thì kết cấu của bánh răng phải đảm bảo hoàn toàn độ chính xác của cơ cấu hoặc gia công tinh phải được tiến hành sau khi lắp ép chúng;
(2) Nếu bánh răng có kết cấu hàn, thì chúng phải có đủ độ cứng và phải được khử ứng suất trước khi cắt răng;
(3) Bánh răng không được có trọng lượng thừa gây mất cân bằng.
3.2.3.2 Hộp bánh răng phải có đủ độ cứng và kết cấu phải sao cho có thể kiểm tra và bảo dưỡng bánh răng một cách dễ dàng.
3.2.3.3 Trong trường hợp nếu như có các phần nặng được lắp vào phần kéo dài của trục bánh răng thì kết cấu của các bánh răng phải sao cho độ sai lệch của tâm trục là nhỏ nhất.
3.2.4 Kết cấu của thiết bị truyền động không phải kiểu bánh răng
3.2.4.1 Thiết bị truyền động không phải kiểu bánh răng phải là kiểu được Đăng kiểm duyệt về kết cấu và vật liệu, phải làm việc an toàn, tin cậy và phải có đủ sức bền để chịu được công suất truyền qua.
3.2.4.2 Kết cấu của khớp trượt điện từ phải được Đăng kiểm xem xét riêng.
3.2.4.3 Nếu như bộ ly hợp của thiết bị truyền động của máy chính được điều khiển bằng hệ thống thủy lực hoặc không khí nén, thì bơm hoặc máy nén khí phải sẵn sàng sử dụng hoặc phải trang bị các cụm chi tiết tương ứng khác sao cho đảm bảo con tàu có thể duy trì được chế độ làm việc bình thường.
3.2.5 Thiết bị của hệ thống dầu bôi trơn
3.2.5.1 Thiết bị của hệ thống dầu bôi trơn phải thỏa mãn những yêu cầu quy định ở 10.10. Ngoài ra, nên sử dụng bầu lọc có nam châm để hút mạt sắt trong các kết cấu truyền động bằng bánh răng.
3.2.5.2 Các thiết bị của hệ thống dầu bôi trơn của thiết bị truyền động trên 220 kW phải lắp thiết bị báo động bằng âm thanh và ánh sáng trong trường hợp hư nguồn cung cấp dầu bôi trơn hoặc hạ áp suất dầu trong hệ thống.
3.3 Sức bền của bánh răng
3.3.1 Phạm vi áp dụng
Những yêu cầu quy định ở 3.3 được áp dụng cho các bánh răng hình trụ với răng ăn khớp ngoài có prôfin răng dạng thân khai. Đối với các loại bánh răng khác thì phải được Đăng kiểm chấp thuận.
3.3.2 Yêu cầu chung
3.3.2.1 Chân của răng phải được liên kết bằng góc lượn có bán kính càng lớn càng tốt. Đỉnh răng và cả hai đầu chân răng phải được vát góc phù hợp.
3.3.2.2 Các bánh răng được làm cứng bề mặt phải có đủ độ cứng ở hông và có đủ độ sâu ở vùng được làm cứng.
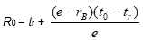
3.3.3 Tải trọng tiếp tuyến cho phép đối với ứng suất uốn
Tải trọng tiếp tuyến PMCR lên bánh răng phải thỏa mãn điều kiện sau đây đối với ứng suất uốn tại mặt cắt chân răng:

trong đó:
PMCR: tải trọng tiếp tuyến tác dụng lên răng ở công suất liên tục lớn nhất phải được tính theo công thức sau đây:

H: công suất do bánh răng nhận được tại công suất liên tục lớn nhất (kW);
N : số vòng quay của bánh răng tại công suất lớn nhất (vòng/min);
D1: đường kính vòng lăn của bánh răng (cm);
b : chiều rộng bề mặt có ích của bánh răng trên vòng lăn của mặt cắt song song với trục (cm);
Z : số răng;
mn : mô đun vuông góc của răng;
k1 : hệ số khuyếch đại tải trọng bên ngoài, được xác định bởi tổng tải trọng thay đổi bất thường tác động lên bánh răng và được tính theo công thức sau đây:

Pmax: tải trọng tiếp tuyến lớn nhất tức thời xảy ra bên trong dải vòng quay làm việc (N/cm); tuy nhiên, khi trị số k1 không biết, có thể lấy các giá trị của hệ số này ở Bảng 3/3.1;
k2: trị số khuyếch đại tải bên trong được tính từ công thức sau đây hoặc từ Hình 3/3.1 phụ thuộc vào độ chính xác của bánh răng và tỷ số trùng điệp của chúng;
k2 = k2 (Dn)0,8
D: đường kính vòng lăn của bánh răng (cm);
n: số vòng quay của bánh răng trong một phút chia cho 1000;
k2 : trị số quy định ở Bảng 3/3.2. Trong trường hợp này, trị số eSP được tính theo công thức sau:

be : chiều rộng mặt (trong trường hợp bánh răng có dạng xoắn kép, chiều rộng mặt là chiều rộng ở một phía) (cm);
b0 : góc xoắn.
k3 : hệ số khuyếch đại tải trọng do độ đàn hồi tính theo công thức sau hoặc lấy theo Hình 3/3.2, giá trị này phụ thuộc vào chiều rộng bề mặt và đường kính vòng lăn.

bt: tổng chiều rộng bề mặt của bánh răng (trong trường hợp bánh răng xoắn kép,bao gồm cả khe hở ở tâm) (cm);
D1: đường kính vòng lăn của bánh răng (cm);
k3: giá trị cho ở Bảng 3/3.1;
Sb: giá trị liên quan chủ yếu đến vật liệu của bánh răng, cho theo công thức sau. Tuy nhiên trong trường hợp bánh răng trung gian hành tiến chỉ lấy bằng 0,7 lần, còn bánh răng hành lùi lấy bằng 1,2 lần giá trị tính theo công thức sau đây. Trong trường hợp này Sb không vượt quá 25.
Bảng 3/3.1 - Trị số của k1(1) (2)
| Cụm chi tiết chủ động | Kết cấu | Sử dụng | |
| Loại khớp nối | Bánh răng của máy chính | Bánh răng của máy phụ | |
| Mô tơ điện | Hộp giảm tốc một cấp Hộp giảm tốc nhiều cấp | 1,00 1,00 (3); 1,10 (4) | 1,15 1,15 |
| Động cơ Diesel | Khớp thủy lực hoặc điện từ Khớp đàn hồi cao Khớp đàn hồi | 1,00 0,90 0,80 | 1,15 1,05 0,95 |
Chú thích:
(1) Nếu ăn khớp bánh răng với trên hai vành răng, lấy k1 bằng 0,9 lần giá trị này;
(2) Đối với giá trị k1 của khớp nối cứng, giá trị k1 phải được Đăng kiểm xét và chấp nhận;
(3) Chỉ áp dụng cho hệ bánh răng liên kết trực tiếp với hệ trục của máy chính;
(4) Áp dụng cho hệ bánh răng liên kết với hệ trục chân vịt qua khớp nối mềm.

Hình 3/3.1 - Trị số k2
(1) Trong trường hợp bánh răng có áp dụng quá trình làm cứng bề mặt bao gồm cả vùng đáy thì:
(2) Trong trường hợp các loại bánh răng khác:

trong đó: T : giới hạn bền kéo danh nghĩa của vật liệu bánh răng (MPa);
Y : giới hạn chảy danh nghĩa của vật liệu bánh răng (MPa);
ro : tỷ số của bán kính đỉnh răng với mô đun.

Hình 3/3.2 - Trị số k3
Bảng 3/3.2 - Giá trị k2
| Độ chính xác | esp ³ 1,25 | esp < 1,25 |
| Giá trị tương ứng với bào tinh hoặc mài | 0,044 | 0,088 |
| Giá trị tương ứng với phay tinh | 0,11 | 0,22 |
Bảng 3/3.3 - Trị số của k3
| Hệ số | Khi một bánh răng ăn khớp với một vành răng | Khi hai vành răng ăn khớp với 1 bánh răng tạo nên một hàng |
| k3 | 0,01 | 0,003 |
3.3.4 Tải trọng tiếp tuyến đối với ứng suất bề mặt
Tải trọng tiếp tuyến tác dụng lên các răng phải thỏa mãn điều kiện sau đây để hạn chế ứng suất tác dụng lên bề mặt răng, nhưng không áp dụng cho các bánh răng phía lùi:

Ss: giá trị liên quan chủ yếu đến vật liệu của bánh răng tính theo công thức sau:
(1) Sự ăn khớp của bánh răng được làm cứng: 
(2) Sự ăn khớp của các bánh răng khác:

HBP : độ cứng bề mặt của bánh răng (độ cứng Brinen);
HBW: độ cứng bề mặt răng của vành răng (độ cứng Brinen);
Tw : giới hạn bền danh nghĩa của vật liệu bánh răng (MPa);
k4 : hệ số bôi trơn được lấy theo công thức sau hoặc Hình 3/3.3 phụ thuộc vào đường kính vòng lăn và số vòng/min. Tuy nhiên, trong trường hợp ăn khớp của các bánh răng được làm cứng thì k4 = 0,53
k4 = 0,3(Dn)1/6
i : tỷ số răng (số răng của vành răng chia cho số răng của bánh răng).
Các ký hiệu khác xem ở 3.3.3.

Hình 3/3.3 - Trị số k2
3.3.5 Đánh giá chi tiết về sức bền
Ngoài những yêu cầu quy định ở 3.3.3 và 3.3.4, còn phải có các tài liệu và bản tính chi tiết về sức bền của cơ cấu bánh răng.
3.4 Trục bánh răng và khớp nối
3.4.1 Trục bánh răng
3.4.1.1 Đường kính của trục bánh răng phải thỏa mãn các yêu cầu quy định từ (1) đến (3) sau đây:
(1) Đường kính của trục bánh răng dùng để truyền công suất không được nhỏ hơn trị số tính theo công thức 4.2.2, Phần 3 của Quy phạm này. Trong công thức này H là công suất, N là số vòng quay của trục trong một phút tại công suất liên tục lớn nhất;
(2) Đường kính của trục bánh răng tại điểm giữa của hai ổ đỡ trục bánh răng phải có đủ độ cứng để chịu được lực uốn sinh ra do bánh răng ăn khớp với nhau;
(3) Đường kính của trục bánh răng giữa các ổ đỡ trục không được nhỏ hơn 1,16 lần giá trị quy định ở 3.4.1.1(1), nếu một bánh răng được ăn khớp với nhau hoặc hai bánh răng được bố trí ở một góc nhỏ hơn 120o được ăn khớp với nhau và không quá 1,1 lần giá trị quy định ở 3.4.1.1(1), khi hai bánh răng được bố trí ở một góc lớn hơn 120o ăn khớp với nhau.
3.4.1.2 Mặc dù đã có những yêu cầu quy định ở 3.4.1.1, Đăng kiểm sẽ xem xét riêng để đánh giá các tài liệu và bản tính chi tiết về sức bền của cơ cấu bánh răng được trình cho Đăng kiểm duyệt.
3.4.2 Khớp nối và bu lông khớp nối
Kích thước của khớp nối và bu lông khớp nối không được nhỏ hơn trị số tính theo công thức quy định ở 4.2.11.1 trong Phần này. Mặt khác, trong trường hợp đỡ vật có trọng lượng nặng kiểu công xon thì chúng phải được thiết kế sao cho có đủ sức bền để giữ được trọng lượng đó. Ngoài ra, giá trị đường kính trục d tính trong công thức này phải được xác định tương ứng theo từng loại trục.
3.5 Thử tại xưởng
3.5.1 Đối với các chi tiết được làm cứng bề mặt thì việc đo độ sâu lớp được làm cứng phải được tiến hành trên vật liệu mẫu.
3.5.2 Đối với các chi tiết được làm cứng bề mặt, phải tiến hành thử độ cứng và thử không phá hủy theo quy trình thử phù hợp.
3.5.3 Đối với bánh răng, phải tiến hành kiểm tra độ chính xác gia công sau khi hoàn thành.
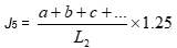
3.5.4 Trong trường hợp truyền động bánh răng, trị số tính theo tỷ số sau đây vượt quá 50 thì phải tiến hành thử cân bằng động.

trong đó:
D : đường kính vòng lăn của bánh răng, (cm);
N : vòng quay của bánh răng, (vòng/min).
3.5.5 Phải kiểm tra bề mặt tiếp xúc của răng đối với tất cả các cơ cấu truyền động bánh răng bằng loại sơn thích hợp được quét lớp mỏng và đều với điều kiện tải trọng tương ứng.
CHƯƠNG 4 -
HỆ TRỤC
4.1 Quy định chung
4.1.1 Phạm vi áp dụng
Những yêu cầu trong Chương này được áp dụng cho hệ trục chân vịt, hệ trục truyền công suất từ máy dẫn động đến máy phát điện và máy phụ (trừ máy phụ chuyên dùng). Đối với dao động xoắn, còn phải thỏa mãn những yêu cầu ở Chương 6 của Phần này.
4.1.2 Bản vẽ và tài liệu
4.1.2.1 Bản vẽ và tài liệu trình Đăng kiểm duyệt, gồm:
(1) Bản vẽ (trong đó ghi rõ cả các đặc tính kĩ thuật của vật liệu):
(a) Bố trí hệ trục;
(b) Trục đẩy;
(c) Trục trung gian;
(d) Trục chân vịt;
(2) Tài liệu tham khảo:
(a) Số liệu để tính sức bền của trục trong Chương này;
(b) Những tài liệu cần thiết khác mà Đăng kiểm yêu cầu.
4.2 Vật liệu, kết cấu và sức bền
4.2.1 Vật liệu
4.2.1.1 Vật liệu dùng để chế tạo các chi tiết chính được quy định dưới đây phải là thép rèn, còn vật liệu dùng để chế tạo các khớp nối dạng tháo lắp được có thể là thép đúc thỏa mãn những yêu cầu có liên quan ở Phần 6A của Quy phạm này.
(1) Trục đẩy;
(2) Trục trung gian;
(3) Trục chân vịt;
(4) Khớp nối trục;
(5) Bu lông khớp nối.
4.2.1.2 Các chi tiết chính của trục, trừ các bu lông khớp nối, phải tiến hành thử không phá hủy theo loại vật liệu như quy định có liên quan ở Phần 6A của Quy phạm này.
4.2.1.3 Vật liệu chế tạo trục phải có giới hạn bền kéo danh nghĩa nằm trong khoảng 400 đến 800 MPa. Việc sử dụng thép các bon rèn có giới hạn bền kéo danh nghĩa lớn hơn 600 MPa hoặc thép rèn hợp kim thấp có giới hạn bền kéo danh nghĩa lớn hơn 800 MPa để chế tạo trục phải được Đăng kiểm xem xét chấp nhận trong từng trường hợp cụ thể.
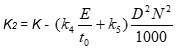
4.2.2 Trục trung gian
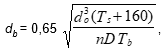
4.2.2.1 Đường kính trục trung gian được chế tạo bằng thép rèn (trừ thép rèn không gỉ) không được nhỏ hơn trị số tính theo công thức sau:

trong đó:
do: đường kính trục trung gian (mm);
H : công suất liên tục lớn nhất của động cơ (kW);
N : vòng quay của trục trung gian ở công suất liên tục lớn nhất (vòng/min);
F1: hệ số lấy theo Bảng 3/4.1;
k1: hệ số lấy theo Bảng 3/4.2;
Ts: giới hạn bền kéo danh nghĩa của vật liệu làm trục trung gian (MPa). Trong tính toán, trị số Ts không được lấy vượt quá 800 MPa.
K : hệ số trục rỗng tính theo công thức sau:

trong đó:
di : đường kính trong của trục rỗng (mm);
da : đường kính ngoài của trục rỗng (mm);

4.2.3 Trục đẩy
4.2.3.1 Đối với trục đẩy đường kính ở cả hai phía của vành chặn hoặc ở khu vực ổ đỡ dọc trục, nếu như ổ đỡ bi đũa được sử dụng làm ổ đỡ chặn, không được nhỏ hơn trị số tính theo công thức sau:

dt : đường kính trục đẩy (mm);
Các ký hiệu khác xem 4.2.2.1.
4.2.3.2 Nếu đường kính trục đẩy quy định ở 4.2.3.1 lớn hơn đường kính của trục trung gian thì đường kính của trục đẩy có thể giảm dần về phía mũi hoặc phía lái bằng cách nhân 0,91 với giá trị đường kính tính theo 4.2.3.1.
Bảng 3/4.1 - Trị số F1
| Đối với thiết bị Diesel có khớp nối kiểu trượt (xem chú thích), thiết bị đẩy bằng điện | Đối với tất cả các thiết bị Diesel không phải là các thiết bị ghi ở cột trái |
| 83 | 87 |
Chú thích: Khớp nối kiểu trượt nghĩa là khớp nối thủy lực, khớp điện từ hoặc các khớp nối tương đương.
4.2.4 Trục chân vịt
4.2.4.1 Đường kính của trục chân vịt làm bằng thép các bon rèn hoặc thép hợp kim thấp rèn không được nhỏ hơn trị số tính theo công thức sau đây:

ds: đường kính quy định của trục chân vịt (mm);
k2 : hệ số liên quan đến thiết kế trục được quy định ở Bảng 3/4.3;
Ts : giới hạn bền kéo danh nghĩa của vật liệu trục (MPa). Trong tính toán, trị số Ts không được lấy vượt quá 600 MPa.
Các ký hiệu khác xem 4.2.2.1.
Bảng 3/4.2 - Trị số k1
| Trục có khớp nối bích liền | Trục có khớp nối bích ép nóng, ép nguội hoặc lắp nguội | Trục có rãnh then(1) | Trục có lỗ khoét ngang(2) | Trục có khe khoét dọc (3) | Trục có then trượt(4) |
| 1,0 | 1,0 | 1,1 | 1,1 | 1,20 | 1,15 |
Chú thích:
(1) Sau một khoảng chiều dài không nhỏ hơn 0,2do tính từ đầu rãnh then, đường kính của trục có thể được giảm từ từ tới đường kính được tính toán với k1 = 1,0. Bán kính góc lượn ở mặt cắt ngang của đáy rãnh then phải từ 0,0125do trở lên;
(2) Đường kính lỗ khoét không được lớn hơn 0,3do;
(3) Chiều dài rãnh khoét phải bằng hoặc nhỏ hơn 1,4d, chiều rộng phải bằng hoặc nhỏ hơn 0,2d (trong đó: d là đường kính được tính toán với k1 = 1,0);
(4) Dạng của then trượt phải phù hợp với TCVN hoặc tiêu chuẩn tương đương khác.
4.2.4.2 Đường kính của trục chân vịt được chế tạo từ thép rèn như chỉ ra ở Bảng 3/4.4 không được nhỏ hơn trị số tính theo công thức sau:

trong đó: k3 là hệ số liên quan đến vật liệu trục được quy định ở Bảng 3/4.4. Vật liệu khác với vật liệu được quy định trong Bảng này sẽ do Đăng kiểm xem xét và quyết định trong từng trường hợp cụ thể.
4.2.4.3 Đường kính của trục chân vịt khác với trị số được tính theo 4.2.4.1 và 4.2.4.2 trên phải thỏa mãn các yêu cầu do Đăng kiểm quy định riêng.
4.2.4.4 Trục các đăng
(1) Đường kính trục các đăng không được nhỏ hơn đường kính trục trung gian tính theo công thức ở 4.2.2 của Quy phạm này;
(2) Tỉ số giữa đường kính trong chia cho đường kính ngoài của trục các đăng không được lớn hơn 0,7.
4.2.4.5 Mặt bích của khớp nối trục các đăng phải thỏa mãn các yêu cầu sau:
(1) Chiều dày của bích khớp nối đo tại khu vực đường tâm bu lông khớp nối không được nhỏ hơn đường kính bu lông khớp nối quy định ở 4.2.11;
(2) Góc lượn của bích khớp nối phải có bán kính lượn ít nhất không nhỏ hơn trị số quy định ở 4.2.11.3 của Quy phạm này.
Bảng 3/4.3 - Trị số k2
| TT | Phạm vi áp dụng | k2 | |
| 1 | Phần giữa đầu lớn phần côn của trục chân vịt (trong trường hợp chân vịt được lắp bích, mặt trước của bích) và đầu trước của ổ đỡ sau cùng trong ống bao trục hoặc 2,5 ds, lấy trị số nào lớn hơn. | Đối với mối ghép trục và chân vịt không dùng then hoặc nếu chân vịt được gắn bích liền | 1,154 |
| Đối với trục có rãnh then để lắp chân vịt | 1,192 | ||
| 2 | Trừ phần trục quy định ở 1 bên trên, phần trục tính về phía mũi cho đến phần trước của đệm kín ống bao trục trước | 1,087(1) | |
| 3 | Phần trục nằm ở phía trước của đầu trước đệm kín ống bao trục trước | 1,087(2) | |
Chú thích:
(1) Đường kính trục phải được vuốt côn theo đường biên;
(2) Đường kính trục có thể được vuốt côn đến đường kính tính theo công thức ở 4.2.2.
4.2.5 Các trục khác
Đường kính của các trục truyền công suất vào máy phát điện hoặc máy phụ có công dụng quan trọng phải phù hợp với những yêu cầu quy định ở 4.2.2.
4.2.6 Đánh giá chi tiết về sức bền
Đăng kiểm có thể xem xét và chấp thuận các giá trị đường kính trục được tính toán không tuân theo các yêu cầu ở 4.2.2, 4.2.3, 4.2.4 và 4.2.5 nếu như có các tài liệu và bản tính chi tiết chứng minh rằng chúng đủ bền trình để Đăng kiểm xét duyệt.
4.2.7 Bảo vệ chống ăn mòn cho trục chân vịt
4.2.7.1 Trục chân vịt phải được bảo vệ chống ăn mòn nước ngoài mạn một cách có hiệu quả bằng những phương pháp được Đăng kiểm chấp thuận hoặc phải được chế tạo bằng vật liệu chịu ăn mòn được Đăng kiểm chấp thuận.
4.2.7.2 Các biện pháp hữu hiệu phải được đảm bảo để ngăn ngừa nước ngoài mạn thâm nhập vào phần giữa đầu cuối của áo trục chân vịt hoặc phần sau của ổ đỡ phía sau cùng trong ống bao và củ chân vịt.
4.2.7.3 Khoảng không gian giữa ê cu chỉnh dòng của chân vịt hoặc củ chân vịt và trục chân vịt phải chứa đầy mỡ, hoặc phải có các biện pháp bảo vệ trục hữu hiệu chống lại sự ăn mòn của nước ngoài mạn.
4.2.8 Áo trục chân vịt
4.2.8.1 Áo trục được lắp vào trục chân vịt phải thỏa mãn những yêu cầu quy định từ (1) đến (3) sau đây:
(1) Chiều dày của áo trục không được nhỏ hơn giá trị tính theo công thức sau:
t1 = 0,03ds + 7,5
t2 = 0,75 t1,
trong đó:
t1 : chiều dày của áo trục ở vùng ổ đỡ ống bao trục hoặc ổ đỡ trong giá đỡ tiếp xúc với bề mặt ổ đỡ (mm);
t2 : chiều dày của áo trục ở các phần còn lại (mm).
ds : đường kính quy định của trục chân vịt tính theo công thức 4.2.4 (mm).
(2) Áo trục phải làm bằng đồng thau hoặc bằng những vật liệu tương đương và không được có vết rỗ và những khuyết tật khác.
(3) Áo trục phải được lắp vào trục theo phương pháp sao cho tránh được sự tập trung ứng suất lớn.
Bảng 3/4.4 - Trị số k3
| Vật liệu | Thành phần hóa học, % | Giới hạn chảy, Remin | Giới hạn bền Rmin | k3 |
| Thép các bon và thép các bon man gan | C :0,16-0,25 Si £ 0,45 S £ 0,04 P £ 0,04 |
200 |
400 |
119.7 |
| Thép không gỉ Austenit (loại 316) | C £ 0,08 Mn £ 2,0 Si £ 1,0 Cr: 16-18 Ni : 11-13 Mo: 2 -3 |
175 |
470 |
98.8 |
| Thép không gỉ Mactenxit (loại 431) | C £ 0,2 Mn : 1, Si : 0,8 Cr : 15-18 Ni : 2-3 |
675 |
850 |
89.3 |
| Đồng man gan | Cu: 52-62 Pb £ 0,5 Mn £ 2,0 Fe £ 1,20 Zn : Còn lại |
245 |
510 |
87.4 |
| Đồng nhôm-niken | Ni : 4-6 Al : 7-11 Mn £ 2,0 Fe : 2-6 Cu : Còn lại |
390 |
740 |
80.75 |
| Hợp kim đồng-niken (Monel K400) | Ni : 63-68 Mn £ 2,0 Fe £ 3,0 C : £ 0,3 Cu : Còn lại |
350 |
550 |
80.75 |
| Hợp kim đồng-ni ken (Monel K500) | Ni: 63-70 Al : 2-4 Mn £ 1,5 Fe £ 2,0 C £ 0,25 Cu : Còn lại |
690 |
960 |
67.45 |
4.2.9 Cố định chân vịt vào trục
4.2.9.1 Nếu chân vịt được lắp ép vào trục chân vịt thì bề mặt lắp ghép phải đủ sức bền để chịu được mô men xoắn truyền qua trục.
4.2.9.2 Nếu dùng then để cố định chân vịt vào trục thì các góc của rãnh then phải được lượn tròn thích đáng và then phải được lắp khít vào rãnh then. Đầu trước của rãnh then trên trục chân vịt phải được lượn tròn đều để tránh tập trung ứng suất quá mức.
4.2.9.3 Nếu chân vịt và mặt bích trục chân vịt được nối với nhau bằng bu lông thì các bu lông và chốt bu lông phải đủ bền.
4.2.9.4 Chiều dày mặt bích trục chân vịt phía sau tại vòng chia không nhỏ hơn 0,25 lần đường kính của trục trung gian (được tính với k1 = 1,0; k = 1,0 và Ts = 400) quy định ở 4.2.2.
4.2.10 Ổ đỡ trong ống bao và ổ đỡ trong giá đỡ trục
4.2.10.1 Ổ đỡ sau cùng trong ống bao hoặc ổ đỡ ở giá đỡ trục đỡ trọng lượng chân vịt phải thỏa mãn các yêu cầu quy định từ (1) đến (3) dưới đây:
(1) Trong trường hợp ổ đỡ làm bằng gỗ gai ắc được bôi trơn bằng nước:
(a) Chiều dài ổ đỡ không được nhỏ hơn 4 lần đường kính yêu cầu của trục chân vịt tính theo công thức ở 4.2.4.1 hoặc 3 lần đường kính trục thực, lấy trị số nào lớn hơn;
(b) Phải có biện pháp thích đáng để cung cấp một lượng nước sạch để bôi trơn và làm mát.
(2) Trong trường hợp ổ đỡ làm bằng kim loại màu được bôi trơn bằng dầu:
(a) Chiều dài của ổ đỡ không được nhỏ hơn 2 lần đường kính yêu cầu của trục chân vịt tính theo công thức 4.2.4.1 hoặc 1,5 lần giá trị đường kính thực, lấy trị số nào lớn hơn. Tuy nhiên Đăng kiểm có thể xem xét và chấp nhận trong những trường hợp cụ thể nếu ổ đỡ có kết cấu và bố trí kiểu khác. Trong trường hợp này, chiều dài của ổ đỡ trục có thể ngắn hơn so với giá trị quy định trên;
(b) Ống bao trục chân vịt phải luôn chứa đầy dầu để đảm bảo bôi trơn và làm mát;
(c) Nếu có sử dụng két dầu trọng lực để cấp dầu bôi trơn cho ổ đỡ trong ống bao trục thì phải đặt két này cao hơn đường nước chở hàng. Tuy nhiên, trong trường hợp hệ thống bôi trơn được thiết kế để sử dụng ở điều kiện áp lực dầu tĩnh của két trọng lực nhỏ hơn áp lực nước thì két này không yêu cầu đặt cao hơn đường nước chở hàng;
(d) Dầu bôi trơn phải được làm mát bằng cách ngâm ống bao trong nước tại két chứa phía đuôi tàu hoặc bằng các biện pháp thích hợp khác.
(3) Nếu sử dụng vật liệu làm ổ đỡ không phải loại vật liệu quy định ở (1) và (2) thì vật liệu, kết cấu và bố trí ổ đỡ phải được Đăng kiểm chấp thuận. Chiều dài của các ổ đỡ này phải thỏa mãn những yêu cầu ở (a) và (b) dưới đây:
(a) Trường hợp ổ đỡ bôi trơn bằng dầu được chế tạo từ vật liệu tổng hợp:
Đối với ổ đỡ được làm bằng cao su tổng hợp, nhựa hoặc chất dẻo được duyệt để sử dụng trong ống bao trục bôi trơn bằng dầu thì chiều dài của ổ đỡ không được nhỏ hơn 2 lần đường kính của trục chân vịt tính theo công thức 4.2.4.1 hoặc 1,5 lần đường kính thực, lấy giá trị nào lớn hơn. Tuy nhiên đối với các ổ đỡ có kết cấu và bố trí được Đăng kiểm xét duyệt riêng thì chiều dài của ổ đỡ có thể ngắn hơn so với chiều dài quy định ở trên;
(b) Trường hợp ổ đỡ trục chân vịt làm bằng vật liệu tổng hợp được bôi trơn bằng nước:
Đối với ổ đỡ làm bằng vật liệu tổng hợp được duyệt để sử dụng làm ổ đỡ trong ống bao trục bôi trơn bằng nước giống như cao su hoặc chất dẻo thì chiều dài của ổ đỡ không được nhỏ hơn 4 lần đường kính trục tính theo công thức 4.2.4.1 hoặc 3 lần đường kính thực, lấy trị số nào lớn hơn. Tuy nhiên, đối với những ổ đỡ có kết cấu và bố trí được Đăng kiểm xét duyệt riêng thì chiều dài của ổ đỡ có thể lấy ngắn hơn so với chiều dài quy định trên.
4.2.10.2 Trừ kiểu thiết bị làm kín nước ngoài mạn kiểu hộp đệm, các thiết bị làm kín khác phải được Đăng kiểm xét duyệt bổ sung về vật liệu, kết cấu và bố trí.
4.2.11 Khớp nối trục và bu lông khớp nối
4.2.11.1 Đường kính của bu lông khớp nối tại mặt phẳng lắp ghép của khớp nối không được nhỏ hơn trị số tính theo công thức sau:

trong đó:
db: đường kính bu lông (mm);
do: đường kính của trục trung gian tính với k1= 1,0 và k = 1,0 theo công thức ở 4.2.2 (mm);
n: số bu lông;
D: đường kính vòng chia (mm);
Ts: giới hạn bền kéo danh nghĩa của vật liệu làm trục trung gian (MPa);
Tb: giới hạn bền kéo danh nghĩa của vật liệu làm bu lông (MPa), nói chung
và giới hạn trên của Tb được sử dụng trong tính toán chỉ được lấy tối đa là 1000 MPa.
4.2.11.2 Chiều dày của mặt bích nối tại vòng chia không được nhỏ hơn đường kính yêu cầu của bu lông tính theo công thức ở 4.2.11.1 với giả thiết các bu lông phải có sức bền phù hợp với vật liệu làm trục tương ứng. Tuy nhiên, đường kính của bu lông không được nhỏ hơn 0,2 lần đường kính của trục tương ứng.
4.2.11.3 Bán kính góc lượn ở chân mặt bích không được nhỏ hơn 0,08 lần đường kính của trục và góc lượn không được nằm trong khu vực lắp ê cu và bu lông.
4.2.11.4 Nếu khớp nối trục không liền với trục thì các khớp nối phải đủ bền để chịu được mô men xoắn truyền vào trục và chịu được cả mô men khi tàu chạy lùi.
Trong trường hợp này, phải xem xét kỹ để tránh gây ra tập trung ứng suất lớn.
4.3 Thử nghiệm
4.3.1 Thử tại xưởng
4.3.1.1 Các chi tiết sau đây phải được thử thủy lực với áp suất quy định sau đây:
(1) Ống bao trục: 0,2 MPa;
(2) Áo trục chân vịt: 0,1 MPa (phải tiến hành thử trước khi lắp nóng).
4.3.2 Thử sau khi lắp lên tàu
Phải tiến hành thử thiết bị đệm kín quy định ở 4.2.10.2 để phát hiện rò rỉ dầu ở điều kiện áp suất làm việc sau khi lắp đặt lên tàu.
CHƯƠNG 5 -
CHÂN VỊT
5.1 Quy định chung
5.1.1 Phạm vi áp dụng
Những yêu cầu trong Chương này được áp dụng cho chân vịt của tàu.
5.1.2 Bản vẽ và tài liệu
5.1.2.1 Bản vẽ và tài liệu trình cho Đăng kiểm xét duyệt, gồm:
(1) Bản vẽ
(a) Chân vịt;
(b) Sơ đồ đường ống dầu của chân vịt biến bước có chỉ rõ vật liệu làm ống, kích cỡ ống và áp suất làm việc;
(c) Bu lông cố định cánh của chân vịt biến bước.
(2) Tài liệu
(a) Các thông số của chân vịt (công suất liên tục lớn nhất và số vòng quay (vòng/min) của trục chân vịt, chi tiết prôfin cánh, đường kính, bước, diện tích khai triển, tỷ số bước chân vịt, độ nghiêng hoặc góc nghiêng, số lượng cánh, khối lượng, mô men quán tính, các đặc tính kỹ thuật của vật liệu v.v...).
(b) Bản tính chiều dài ép chân vịt lên trục (chỉ yêu cầu khi lắp chân vịt không dùng then).
5.1.3 Vật liệu
Vật liệu chế tạo chân vịt và bu lông cố định cánh của chân vịt biến bước phải thỏa mãn những yêu cầu có liên quan quy định ở Phần 6A của Quy phạm này.
5.2 Kết cấu và sức bền
5.2.1 Chiều dày cánh
5.2.1.1 Chiều dày cánh chân vịt tại bán kính 0,25R và 0,6R đối với chân vịt cố định và tại bán kính 0,35R và 0,6R đối với chân vịt biến bước không được nhỏ hơn trị số tính theo công thức dưới đây. Chiều dày của cánh chân vịt có độ nghiêng lớn phải được Đăng kiểm xem xét cho từng trường hợp cụ thể.

trong đó:
t: chiều dày cánh (trừ góc lượn của chân cánh) (cm);
H: công suất liên tục lớn nhất của máy chính (kW);
Z: số cánh;
N: số vòng quay liên tục lớn nhất chia cho 100 (vòng/min/100);
chiều rộng của cánh tại bán kính đang xét (cm);
k1: hệ số tính theo công thức sau đây tại bán kính đang xét:

D: đường kính chân vịt (m)
k1, k2, k3: các hệ số lấy theo Bảng 3/5.1
P': bước tại bán kính đang xét (m)
P: bước tại bán kính 0,7R (m) (R là bán kính của chân vịt (m))
Bảng 3/5.1 - Trị số k1, k2, k3, k4, k5
| Vị trí theo hướng kính | k1 | k2 | k3 | k4 | k5 |
| 0,25R | 1,62 | 0,386 | 0,239 | 1,92 | 1,71 |
| 0,35R | 0,827 | 0,308 | 0,131 | 1,79 | 1,56 |
| 0,60R | 0,281 | 0,113 | 0,022 | 1,24 | 1,09 |
k2: hệ số được tính theo công thức sau:

trong đó:
k4, k5 : các hệ số tra theo Bảng 3/5.1;
E : độ nghiêng tại đầu mút cánh (đo từ đường chuẩn mặt bên và lấy giá trị dương đối với độ nghiêng theo chiều ngược) (cm);
to : chiều dày giả định của cánh tại đường tâm của trục chân vịt (to có thể nhận được nhờ kéo dài từng đường mép nối chiều dày đỉnh cánh với chiều dày cánh ở 0,25R (hoặc 0,35R đối với chân vịt biến bước), tại hình chiếu của tiết diện cánh dọc theo đường chiều dày cánh lớn nhất (cm);
K : hệ số tra theo Bảng 3/5.2.
Bảng 3/5.2 - Trị số K
| Vật liệu | K | |
|
Vật đúc bằng hợp kim đồng | HBsC1 | 1,15 |
| HBsC2 | ||
| AlBC3 | 1,30 | |
| AlBC4 | 1,15 | |
Chú thích:
Đối với cánh làm bằng vật liệu khác với các vật liệu trong Bảng trên thì giá trị k được xác định trong từng trường hợp cụ thể.
S: hệ số liên quan đến tăng ứng suất do thời tiết. Nếu S > 1,0 thì S lấy bằng 1,0; Nếu S < 0,8 thì giá trị của S lấy bằng 0,80;

trong đó:
Ds: chiều cao của tàu dùng trong tính toán sức bền;
ds: chiều chìm chở hàng;
W : hệ số liên quan đến ứng suất đổi dấu được tính theo công thức dưới đây:
Nếu W < 2,27 thì giá trị của W lấy bằng 2,27;

trong đó:
ae: tỷ số diện tích khai triển của chân vịt;
w : nước kèm trung bình định mức ở đĩa chân vịt;
: giá trị cực đại của dao động nước kèm ở đĩa chân vịt tại bán kính 0,7R. Giá trị của w và
phải được tính toán theo công thức dưới đây, trừ trường hợp tàu nhiều chân vịt hoặc tàu được Đăng kiểm xem xét riêng.

B : chiều rộng của tàu (m);
Cb : hệ số béo thể tích của tàu.
5.2.1.2 Bán kính góc lượn giữa chân của cánh và củ chân vịt không được nhỏ hơn giá trị Ro tính theo công thức sau tại mặt đạp ở phần cánh có chiều dày lớn nhất:

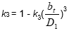
trong đó:
Ro : bán kính yêu cầu của góc lượn (cm);
tr : chiều dày yêu cầu của cánh ở bán kính 0,25R (hoặc 0,35R đối với chân vịt biến bước) quy định ở 5.2.1.1 (cm);
t0 : như quy định ở 5.2.1.1;
rB : tỷ số củ chân vịt;

e : 0,25 (hoặc 0,35 áp dụng cho chân vịt biến bước);
5.2.1.3 Ngoài những yêu cầu quy định ở 5.2.1.1 hoặc 5.2.1.2 trên đây, khi có các tài liệu chi tiết và bản tính được trình duyệt, Đăng kiểm vẫn tiến hành xem xét và duyệt chiều dày của cánh hoặc bán kính của góc lượn một cách thích hợp.
5.2.2 Chân vịt biến bước
5.2.2.1 Chiều dày cánh của chân vịt biến bước phải thỏa mãn những yêu cầu quy định ở 5.2.1.
5.2.2.2 Đường kính của bu lông cố định cánh chân vịt biến bước không được nhỏ hơn trị số tính theo công thức sau đây:

trong đó:
d : đường kính yêu cầu của bu lông cố định cánh (mm) (xem Hình 3/5.1);
A : trị số tính theo công thức sau đây, trong đó H, N và Z phải bằng trị số quy định ở 5.2.1;

K3 : trị số tính theo công thức sau:

xo: tỷ số bán kính tại đường viền giữa bích cánh và cơ cấu điều khiển bước trên bán kính chân vịt (xem Hình 3/5.1). Nếu xo > 0,3 thì tỷ số này được lấy bằng 0,3;
L : giá trị trung bình của L1 và L2 (cm);
L1 và L2: chiều dài của hai đường vuông góc vẽ đến đường qua tâm quay của bích cánh và có góc nghiêng tương ứng với góc bước
tại 0,7R ở công suất liên tục lớn nhất tính từ đường tâm của bu lông đặt ở phía mép ở phía bề mặt khi góc bước là
, (xem Hình 3/5.2).
Fc : lực ly tâm (N) của cánh chân vịt tính theo công thức sau:
Fc = 1,10 x mR'N2
m : khối lượng của một cánh (kg);
R’ : khoảng cách giữa trọng tâm của cánh và đường tâm trục chân vịt (cm);
n : số bu lông của bích cánh;
ứng suất cho phép của vật liệu bu lông (MPa) tính theo công thức sau đây:

: giới hạn bền kéo danh nghĩa của vật liệu làm bu lông (MPa). Nếu
> 800 MPa thì chỉ được lấy
= 800 MPa.
Các ký hiệu khác xem ở công thức ở 5.2.1.1.
5.2.2.3 Đối với bu lông cố định cánh phải sử dụng vật liệu chịu ăn mòn hoặc phải có phương pháp hữu hiệu để bu lông không tiếp xúc trực tiếp với nước ngoài mạn.
5.2.2.4 Chiều dày của bích để lắp cánh chân vịt vào cơ cấu điều khiển bước (chiều dày đo từ mặt tiếp xúc của bu lông cố định hoặc ê cu đến mặt bao giữa bích và cơ cấu điều khiển bước) không được nhỏ hơn trị số tính theo công thức:
tf = 0,9d
trong đó:
tf : chiều dày bích (mm) (xem Hình 3/5.1)
d : đường kính quy định của bu lông được tính theo công thức ở 5.2.2.2 (mm).
5.2.2.5 Bu lông cố định cánh phải được lắp chặt vào cơ cấu điều khiển bước và được hãm tốt.
5.2.2.6 Trong trường hợp nếu như lỗ bắt bu lông nằm đúng vào góc lượn của chân cánh thì tiết diện cánh thiết kế có chiều dày theo yêu cầu quy định ở 5.2.1 không được giảm để lỗ khoét chui qua.
5.2.2.7 Bề mặt bích của cánh phải được lắp chặt vào bề mặt của cơ cấu điều khiển bước và khe hở vòng của mép ngoài của bích phải là nhỏ nhất.
5.2.2.8 Nếu cơ cấu điều khiển bước làm việc bằng bơm dầu thủy lực, thì phải trang bị thêm một bơm dầu dự phòng được đấu vào hệ thống để sẵn sàng sử dụng hoặc một thiết bị tương ứng khác, để đảm bảo tàu vẫn giữ được điều kiện làm việc bình thường trong trường hợp bơm dầu chính bị hỏng.
5.2.2.9 Việc bố trí đường ống dầu thủy lực phải thỏa mãn thêm yêu cầu quy định ở 10.10.
5.2.3 Lắp rắp cánh của chân vịt kiểu cánh rời
Bu lông cố định cánh và bích để lắp cánh của chân vịt kiểu cánh rời phải được thiết kế thỏa mãn các yêu cầu như đối với chân vịt biến bước quy định ở 5.2.2.

5.3 Lắp ép chân vịt
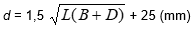
5.3.1 Chiều dài đoạn ép căng chân vịt
5.3.1.1 Nếu chân vịt được ép vào trục chân vịt trong mối ghép không dùng then thì giới hạn dưới và giới hạn trên của chiều dài đoạn ép căng chân vịt phải bằng trị số tính theo công thức sau đây. Đối với độ côn lớn hơn 1/15 thì giới hạn chiều dài đoạn ép căng chân vịt phải được Đăng kiểm chấp nhận.

trong đó:
L1 : giới hạn dưới của chiều dài đoạn ép căng chân vịt (mm);
L2 : giới hạn trên của chiều dài đoạn ép căng chân vịt (mm) (nếu khác với trường hợp L3 đưa ra dưới đây);
L3 : giới hạn trên của chiều dài đoạn ép căng chân vịt (mm) (trong trường hợp nếu vật liệu của củ chân vịt là bằng đồng thau đúc có sức bền cao và KR1 < 1,89);
Kw : trị số quy định ở Bảng 3/5.3. Nếu vật liệu của củ chân vịt khác vật liệu quy định ở Bảng 3/5.3 thì trị số này phải được Đăng kiểm chấp nhận trong từng trường hợp cụ thể;
KR1: tỷ số của R1 trên Ro (R1/Ro);
KR2 : tỷ số của R2 trên Ro (R2/Ro);
R0 : bán kính của trục chân vịt tại điểm giữa của đoạn côn theo hướng dọc trục (mm);
R1: bán kính của củ chân vịt tại điểm xác định tỷ số củ chân vịt (mm);
R2 : bán kính trong tại mặt cắt tương ứng với R0 đối với trục chân vịt rỗng (mm);
Cb : nhiệt độ của củ chân vịt tại thời điểm lắp ráp chân vịt (oC);
Co : trị số nhiệt độ cho như sau: 35 oC - đối với L1 và 0 oC - đối với L2 và L3;
P : trị số tính theo công thức sau (MPa):

S : diện tích tiếp xúc giữa trục chân vịt và củ chân vịt trên bản vẽ (mm2);
: nửa góc của đoạn côn tại phần côn của trục chân vịt (radian);
B = 0,0169 - 7,84 tg2a
T : lực đẩy tính theo công thức sau (N);
T = 1,76 x 103 (H/vs)
Fv : lực tiếp tuyến tác dụng lên bề mặt tiếp xúc được tính theo công thức sau (N):

c = 1,0 - đối với tàu lắp động cơ tua bin;
c = 1,2 hoặc trị số tính theo công thức sau, lấy trị số nào lớn hơn. Đối với tàu lắp động cơ Diesel. Tuy nhiên, nếu mô men xoắn cực đại tác dụng lên phần lắp chân vịt được xác định chính xác thỏa mãn với các yêu cầu của Đăng kiểm thì nó cũng có thể thỏa mãn các quy định khác.

trong đó:
Qv: mô men dao động xoắn tác dụng lên phần lắp chân vịt tại vòng quay cộng hưởng trên 25% vòng quay liên tục lớn nhất, (Nm);
H, N : xem 5.2.1.1;
Nc: số vòng quay (vòng/min) cộng hưởng chia cho 100.
vs : tốc độ của tàu ở công suất liên tục lớn nhất (hải lý/h);
KE : trị số tính theo công thức sau (mm3/N):

Nếu vật liệu của trục chân vịt không phải là thép rèn hoặc vật liệu của củ chân vịt không phải là vật liệu quy định ở Bảng 3/5.3 thì trị số KE phải được Đăng kiểm xem xét chấp thuận;
K4 và K5 : trị số quy định ở Bảng 3/5.3.
Kc : trị số tính theo công thức sau (mm/oC):

Nếu vật liệu của trục chân vịt không phải là thép rèn hoặc vật liệu của củ chân vịt không phải là vật liệu quy định ở Bảng 3/5.3 thì trị số Kc phải được Đăng kiểm xem xét chấp thuận;
Cs : nhiệt độ của chân vịt tại thời điểm lắp chân vịt (oC);
lo : nửa chiều dài của phần côn ở lỗ củ chân vịt theo hướng dọc trục (mm);
K6, K7 : trị số lấy theo Bảng 3/5.3.
5.3.1.2 Nếu chân vịt được lắp ép vào trục chân vịt có sử dụng then thì phần lắp ráp phải đủ bền để truyền mômen xoắn do chân vịt tạo ra.
Bảng 3/5.3 - Trị số K4, K5, K6, K7 và Kw
| Vật liệu củ chân vịt | K4 | K5 | K6 | K7 | Kw |
| HBsC1 | 9,27 | 1,65 | 0,55 | 1,20 | 123 |
| HBsC2 | 9,27 | 1,65 | 0,55 | 1,20 | 123 |
| AlBC3 | 8,49 | 1,40 | 0,55 | 1,20 | 172 |
| AlBC4 | 8,49 | 1,40 | 0,55 | 1,20 | 193 |
5.3.2 Củ chân vịt
5.3.2.1 Nếu chân vịt được lắp ép vào trục chân vịt thì mép ở đầu phía mũi của lỗ hình côn của củ chân vịt phải được lượn tròn một cách thích hợp.
5.3.2.2 Củ chân vịt không được nung nóng cục bộ đến nhiệt độ cao tại thời điểm ép chân vịt vào trục hoặc rút chân vịt ra khỏi trục.
5.4 Thử nghiệm
5.4.1 Thử tại xưởng
Chân vịt phải được thử cân bằng tĩnh.
5.4.2 Thử sau khi lắp lên tàu
Khi chân vịt được lắp ép vào trục chân vịt kể cả lắp then hoặc không lắp then, đều phải đo và ghi độ dài đoạn côn được ép;
Cuộc thử này được tiến hành giống như cuộc thử ở xưởng.
CHƯƠNG 6 -
DAO ĐỘNG XOẮN HỆ TRỤC
6.1 Quy định chung
6.1.1 Phạm vi áp dụng
6.1.1.1 Những yêu cầu trong Chương này được áp dụng cho thiết bị truyền động của máy chính và hệ trục chân vịt, chân vịt, trục khuỷu của động cơ Diesel dùng làm máy chính, là động cơ kiểu pít tông, có công suất máy chính từ 220 kW trở lên.
6.1.1.2 Những yêu cầu của Chương này cũng áp dụng cho hệ trục của máy phụ do động cơ Diesel có công suất từ 220 kW trở lên lai.
6.1.2 Tài liệu trình duyệt
6.1.2.1 Bản tính dao động xoắn của hệ thống nêu ở 6.1.1 trình cho Đăng kiểm duyệt phải bao gồm các nội dung sau đây:
(1) Bản tính tần số dao động tự do đối với dao động 1 nút và 2 nút, cũng như dao động nhiều nút nếu thấy cần thiết;
(2) Kết quả tính ứng suất dao động xoắn nói chung được tiến hành ở vòng quay cộng hưởng bên trong dải tốc độ đến 120% vòng quay liên tục lớn nhất, còn đối với động cơ Diesel, kết quả tính ứng suất dao động xoắn đối với dải tốc độ từ 90 đến 120% gây ra bởi cộng hưởng của bậc điều hòa chính đầu tiên, có nghĩa là bậc thứ n và bậc thứ n/2 (n là số xi lanh của động cơ), khi động cơ có vòng quay cộng hưởng trên 120% của vòng quay liên tục lớn nhất;
(3) Việc bố trí khuỷu trục và thứ tự nổ (trong trường hợp lắp động cơ Diesel).
6.1.2.2 Bất kể những yêu cầu quy định ở 6.1.2.1, trong những trường hợp sau đây có thể không cần trình Đăng kiểm duyệt bản tính dao động xoắn:
(1) Trong trường hợp hệ trục cùng kiểu với hệ trục đã được duyệt trước đó;
(2) Trong trường hợp nếu như có sự thay đổi nhỏ về các thông số kĩ thuật của hệ thống dao động, tần số và ứng suất của dao động xoắn có thể suy ra với độ chính xác đạt yêu cầu trên cơ sở kết quả tính toán hoặc đo đạc trước đó.
6.1.3 Đo dao động xoắn
Đối với hệ trục đã có yêu cầu trình duyệt bản tính dao động xoắn thì phải tiến hành đo để xác nhận độ chính xác của các trị số tính toán. Tuy nhiên, nếu như bản tính dao động xoắn không được duyệt theo quy định ở 6.1.2.2 và nếu Đăng kiểm xét thấy rằng không tồn tại vùng dao động xoắn cộng hưởng ở bên trong dải vòng quay làm việc thì có thể bỏ qua việc đo dao động xoắn.
6.2 Giới hạn ứng suất cho phép
6.2.1 Trục khuỷu
6.2.1.1 Ứng suất do dao động xoắn gây ra trên trục khuỷu của động cơ Diesel sử dụng làm máy chính của tàu phải phù hợp với những yêu cầu quy định từ (1) đến (4) sau đây:
(1) Khi động cơ hoạt động lâu dài, ứng suất dao động xoắn không được vượt quá t1 đưa ra dưới đây trong dải vòng quay từ 80% đến 100% của vòng quay liên tục lớn nhất.
(a) Đối với động cơ Diesel thẳng hàng bốn kỳ hoặc động cơ Diesel kiểu chữ V, bốn kỳ có góc nổ 45o hoặc 60o thì trị số của t1 được tính theo công thức: t1 = 45 - 24l2
(b) Đối với động cơ Diesel 2 kỳ hoặc động cơ Diesel hình chữ V, bốn kỳ khác kiểu đã quy định ở (a) trên, thì trị số t1 được tính theo công thức sau:
t1 = 45 - 29 l2, trong đó:
t1: giới hạn cho phép của ứng suất dao động xoắn đối với dải 
: tỉ số giữa vòng quay cộng hưởng trên số vòng quay liên tục lớn nhất.
(2) Trong vùng tốc độ thấp và tại 80% vòng quay liên tục lớn nhất, ứng suất dao động xoắn không được vượt quá trị số tính theo công thức sau. Trong trường hợp nếu ứng suất này vượt quá trị số tính theo công thức t1 ở 6.1.2(1) thì phải áp dụng dải vòng quay cấm quy định ở 6.3.
t2 = 2t1, trong đó:
t1 : giới hạn cho phép của ứng suất dao động xoắn đối với dải 
: tỉ số giữa vòng quay cộng hưởng trên số vòng quay liên tục lớn nhất.
(3) Ứng suất dao động xoắn không được vượt quá t3 đưa ra dưới đây trong dải vòng quay từ vòng quay liên tục lớn nhất đến 115%.
(a) Đối với động cơ Diesel thẳng hàng bốn kỳ hoặc động cơ Diesel hình chữ V, bốn kỳ có góc nổ 45o hoặc 60o thì trị số của t3 được tính theo công thức sau:

(b) Đối với động cơ Diesel hai kỳ hoặc động cơ Diesel bốn kỳ không phải là các loại động cơ quy định ở (a) trên đây, thì trị số t3 được tính theo công thức sau:

(4) Nếu giới hạn bền kéo của vật liệu vượt quá 440 MPa hoặc giới hạn chảy vượt quá 225 MPa thì trị số t1, t2, t3 quy định ở (1), (2), (3) có thể tăng lên bằng cách nhân thêm với hệ số fm quy định ở công thức dưới đây:
(a) Đối với t1 và t3

(b) Đối với t2

trong đó:
fm: hệ số hiệu chỉnh đối với giới hạn cho phép của ứng suất dao động xoắn của vật liệu trục;
Ts: giới hạn bền kéo của vật liệu trục (MPa); tuy nhiên, trị số Ts để tính fm không được vượt quá 760 MPa, đối với thép rèn các bon, hoặc 1080 MPa, đối với thép rèn hợp kim thấp.
Y: giới hạn chảy của vật liệu trục (MPa).
6.2.2 Trục trung gian, trục đẩy và trục chân vịt
6.2.2.1 Đối với tàu lắp động cơ Diesel, ứng suất dao động xoắn ở trục trung gian, trục đẩy và trục chân vịt phải thỏa mãn các yêu cầu quy định ở (1) và (2) sau đây:
(1) Để đảm bảo động cơ làm việc lâu dài, ứng suất dao động xoắn không được vượt quá giá trị t1 được tính theo công thức sau đây ở vòng quay từ 80% đến 105% vòng quay liên tục lớn nhất.

trong đó:
t1 : giới hạn cho phép của ứng suất dao động xoắn đối với vùng 
: tỉ số vòng quay cộng hưởng trên vòng quay liên tục lớn nhất;
Ts : giới hạn bền kéo danh nghĩa của vật liệu trục (MPa);
Tuy nhiên, trị số Ts để sử dụng trong công thức này không được lớn hơn 800 MPa đối với trục trung gian, trục đẩy và 600 MPa đối với trục chân vịt. Nếu trục chân vịt được làm bằng vật liệu chịu ăn mòn được duyệt hoặc vật liệu khác không được bảo vệ hữu hiệu để chống nước ngoài mạn ăn mòn thì trị số Ts sử dụng trong các công thức này phải do Đăng kiểm xem xét và quyết định;
Ck : hệ số liên quan đến kiểu và hình dáng của trục khuỷu được quy định ở Bảng 3/6.1;
CD : hệ số liên quan đến cỡ trục và được xác định theo công thức sau:

trong đó:
d : đường kính trục (mm).
(2) Trong vùng tốc độ thấp và ở 80% vòng quay liên tục lớn nhất, ứng suất dao động xoắn không được vượt quá t2 đưa ra trong công thức dưới đây. Trong trường hợp nếu ứng suất này vượt quá trị số tính theo công thức t1 đối với vùng
thì phải sử dụng vùng tốc độ cấm được quy định ở 6.3.

trong đó:
t2 : giới hạn cho phép của ứng suất dao động xoắn đối với vùng
;
Các ký hiệu khác như quy định ở (1).
Đối với tàu mà chân vịt được lai bằng động cơ điện hoặc động cơ Diesel có khớp trượt điện từ giữa máy chính và hệ trục chân vịt thì giới hạn cho phép của ứng suất dao động xoắn trên trục trung gian, trục đẩy và trục chân vịt còn phải thỏa mãn thêm các quy định khác.
Bảng 3/6.1 - Trị số Ck
| Trục trung gian | Trục đẩy | Trục chân vịt | |||
| Khớp nối bích liền | Khớp nối rời hoặc lắp ép nóng, lắp khít hoặc lắp nguội | Rãnh then | Trên 2 phía của vòng chặn | Ở khu vực chịu tải trọng dọc trục của ổ đỡ bi đũa | - |
| 1,0 | 1,0 | 0,6 | 0,85 | 0,85 | 0,55 |
Chú thích:
Trị số Ck nằm ngoài các trị số ở bảng trên, trong từng trường hợp cụ thể phải được Đăng kiểm chấp nhận.
Hệ trục của trạm phát điện
Ứng suất dao động xoắn trên trục khuỷu của động cơ Diesel dùng để lai máy phát điện, phải thỏa mãn các yêu cầu (1) và (2) sau đây:
Ứng suất dao động xoắn không được vượt quá t1 cho sau đây trong vùng tốc độ từ 90% đến 110% của vòng quay liên tục lớn nhất.
(a) Đối với động cơ Diesel bốn kỳ thẳng hàng hoặc động cơ Diesel bốn kỳ hình chữ V có góc nổ 45o hoặc 60o, thì trị số t1 được lấy theo công thức sau: t1 = 21 MPa
(b) Đối với động cơ Diesel hai kỳ và động cơ Diesel bốn kỳ hình chữ V, trừ các loại động cơ đã quy định ở (a), thì trị số t1 được lấy theo công thức sau:
t1 = 16 MPa
(2) Trong vùng tốc độ thấp và tại 90% vòng quay liên tục lớn nhất, ứng suất dao động xoắn không được vượt quá t2 cho dưới đây. Trong trường hợp nếu ứng suất này vượt quá trị số t1 quy định ở 6.2.3.2(1), thì phải áp dụng vùng tốc độ cấm quy định ở 6.3.
t2 = 90 MPa
6.2.3.2 Ứng suất dao động xoắn trên trục máy phát điện do động cơ Diesel lai phải thỏa mãn các yêu cầu (1) và (2) sau đây:
(1) Ứng suất dao động xoắn không được vượt quá t1 cho sau đây trong khu vực vòng quay từ 90% đến 110% vòng quay liên tục lớn nhất.
t1 = 31 MPa
(2) Trong vùng tốc độ thấp và tại 90% vòng quay liên tục lớn nhất, ứng suất dao động xoắn không được vượt quá t2 cho sau đây. Trong trường hợp nếu như ứng suất này vượt quá trị số t1 cho ở 6.2.3.2(1) thì phải áp dụng vùng tốc độ cấm được quy định ở 6.3.
t2 = 118 MPa
6.2.3.3 Nếu giới hạn bền kéo của vật liệu trục vượt quá 440 MPa hoặc giới hạn chảy vượt quá 225 MPa thì trị số t1 và t2 quy định ở 6.2.3.1 và 6.2.3.2 có thể được tăng lên bằng cách nhân thêm hệ số fm quy định ở 6.2.1.1(4).
6.2.4 Thiết bị truyền động
6.2.4.1 Mô men dao động xoắn trên thiết bị truyền động phải thỏa mãn với các yêu cầu (1) và (2) sau đây:
(1) Trong vùng áp dụng giới hạn cho phép của t1 được quy định ở 6.2.1, 6.2.2 và 6.2.3 thì biên độ của mô men dao động xoắn không được vượt quá mô men truyền trung bình của hệ thống.
(2) Bên trong vùng, trừ vùng quy định ở 6.2.4.1 (1) thì phải áp dụng vùng vòng quay cấm trong trường hợp nếu như biên độ của mô men dao động xoắn vượt quá mô men xoắn trung bình được truyền.
6.2.4.2 Ứng suất dao động xoắn trên trục bánh răng phải thỏa mãn các yêu cầu đối với trục trung gian được quy định ở 6.2.2.
6.2.4.3 Giới hạn cho phép của mô men dao động xoắn, ứng suất hoặc biên độ đối với thiết bị truyền động (bao gồm cả khớp nối trục) không phải là cơ cấu bánh răng phải được Đăng kiểm chấp nhận.
6.2.5 Tránh bậc cộng hưởng chính
6.2.5.1 Bậc cộng hưởng chính của dao động một nút trong động cơ Diesel thẳng hàng, ví dụ: bậc thứ n và thứ n/2 đối với động cơ bốn thì và bậc thứ n đối với động cơ hai thì (n là số xi lanh) không được tồn tại bên trong vùng vòng quay sau đây, trừ khi được Đăng kiểm chấp nhận.

6.2.6 Đánh giá chi tiết về sức bền
Đăng kiểm sẽ xem xét riêng đối với giới hạn cho phép của ứng suất dao động xoắn không thỏa mãn các yêu cầu ở 6.2.1, 6.2.2 và 6.2.3 với điều kiện các tài liệu chi tiết và bản tính được trình Đăng kiểm xem xét và chấp nhận.
6.3 Vùng tốc độ cấm
6.3.1 Vùng tốc độ cấm làm việc lâu dài
6.3.1.1 Nếu ứng suất dao động xoắn vượt quá giới hạn t1 quy định ở 6.2, thì phải áp dụng vùng vòng quay cấm giữa các giới hạn tốc độ sau đây.

Vùng vòng quay cấm phải được đánh dấu bằng sơn màu đỏ trên đồng hồ đo vòng quay của động cơ để chuyển nhanh qua khu vực này trong khi khai thác động cơ.
6.3.1.2 Nếu như tại khu vực vòng quay được đo mà ứng suất vượt quá giới hạn cho phép t1 quy định ở 6.2 thì khu vực vòng quay này cũng được coi là khu vực vòng quay cấm để tránh cho động cơ làm việc lâu dài ở đó, cho dù đã có yêu cầu ở 6.3.1.1. Trong quá trình xác định phải lưu ý đến độ chính xác của đồng hồ đo vòng quay.
6.3.1.3 Nếu như động cơ không thể tránh được làm việc ở khu vực vòng quay cấm như quy định ở 6.3.1.1 và 6.3.1.2 trên đây thì phải cho động cơ chuyển nhanh qua vòng quay cộng hưởng và phải đưa ra các biện pháp cần thiết khác.
CHƯƠNG 7 -
NỒI HƠI
7.1 Quy định chung
7.1.1 Phạm vi áp dụng
7.1.1.1 Những yêu cầu trong Chương này áp dụng cho các nồi hơi, trừ các nồi hơi được nêu ở (1) và (2) dưới đây:
(1) Nồi hơi với áp suất thiết kế không quá 0,1 MPa và bề mặt hấp nhiệt không quá 1 m2;
(2) Nồi nước nóng với áp suất thiết kế không quá 0,1 MPa và bề mặt hấp nhiệt không quá 8 m2.
7.1.2 Thuật ngữ
7.1.2.1 Các thuật ngữ được sử dụng trong Chương này được định nghĩa như sau:
(1) Nồi hơi là thiết bị tạo ra hơi nước hoặc nước nóng nhờ lửa, khí cháy hoặc các hơi nóng khác bao gồm bộ quá nhiệt, bầu hâm, bộ tiết kiệm, bộ tiết kiệm khí thải và các thiết bị tương đương khác;
(2) Nồi hơi phụ thiết yếu là nồi hơi cung cấp hơi nước cho hoạt động của các máy phụ cần thiết cho dẫn động chính, các máy phụ để phục vụ theo công dụng của tàu;
(3) Nồi hơi khí thải là nồi hơi chỉ dùng nhiệt khí thải của động cơ Diesel để tạo ra hơi nước hoặc nước nóng, có một buồng chứa hơi hoặc một bình ngưng và có một lối ra cho hơi hay nước nóng;
(4) Bộ tiết kiệm khí thải là thiết bị tạo ra hơi nước hay nước nóng chỉ nhờ dùng nhiệt của khí thải của động cơ Diesel, không có buồng chứa hơi nước hoặc bình ngưng;
(5) Mặt hấp nhiệt của nồi hơi là diện tích được tính cho bề mặt phía khí cháy nơi mà một phía tiếp xúc với khí cháy còn phía kia với nước nhưng không kể mặt hấp nhiệt của bộ quá nhiệt, bầu hâm, bộ tiết kiệm và bộ tiết kiệm khí thải trừ khi được quy định riêng;
(6) Áp suất làm việc đã được duyệt và áp suất danh nghĩa của nồi hơi có bộ quá nhiệt lắp đặt trong nồi hơi là tương ứng là áp suất lớn nhất trong thân nồi hơi và áp suất lớn nhất tại cửa ra của bộ quá nhiệt và là áp suất điều chỉnh để mở van an toàn của bộ quá nhiệt;
(7) Áp suất thiết kế là áp suất được dùng khi tính toán để quyết định các kích thước của các chi tiết và là áp suất làm việc cho phép lớn nhất của chi tiết. Áp suất thiết kế cho thân nồi hơi không được nhỏ hơn áp suất làm việc được quy định cho nồi hơi.
7.1.3 Các bản vẽ và tài liệu trình duyệt
7.1.3.1 Các bản vẽ và tài liệu trình duyệt bao gồm:
(1) Các bản vẽ (có chỉ rõ vật liệu và kích thước):
(a) Bố trí chung của nồi hơi;
(b) Các chi tiết thân nồi và ống góp (bao gồm cả các phụ tùng bên trong);
(c) Các chi tiết của giá lắp phụ tùng và vòi phun của nồi hơi;
(d) Bố trí và các chi tiết của các ống nồi hơi;
(e) Bố trí và các chi tiết của các ống của bộ quá nhiệt và bầu hâm nóng;
(f) Bố trí và các chi tiết của các ống của bộ hâm tiết kiệm và bầu hâm tiết kiệm khí xả;
(g) Các chi tiết của bộ hâm trước không khí;
(h) Bố trí và các chi tiết phụ tùng của nồi hơi;
(i) Bố trí các van an toàn (cùng với các chi tiết chính);
(j) Các bản vẽ khác mà Đăng kiểm thấy cần thiết.
(2) Tài liệu:
(a) Thông số kỹ thuật của nồi hơi;
(b) Quy trình hàn, vật liệu hàn và điều kiện hàn;
(c) Các tài liệu khác mà Đăng kiểm thấy cần thiết.
7.2 Vật liệu và hàn
7.2.1 Vật liệu
7.2.1.1 Vật liệu được dùng để chế tạo các chi tiết chịu áp suất của nồi hơi phải tuân theo các yêu cầu có liên quan trong theo từng công việc và được thử nghiệm theo các yêu cầu trong Phần 6A của Quy phạm này. Các loại vật liệu khác với yêu cầu của Phần 6A có thể được sử dụng với điều kiện là các đặc tính kỹ thuật của vật liệu phải được Đăng kiểm chấp thuận.
7.2.1.2 Những vật liệu không đáp ứng các yêu cầu trong 7.2.1.1 nhưng được ghi rõ trong các tiêu chuẩn đã được công nhận có thể được sử dụng cho các phụ tùng như các van, các họng lắp trên nồi hơi khi được Đăng kiểm xem xét và chấp thuận các kích thước và điều kiện phục vụ.
7.2.2 Giới hạn sử dụng của vật liệu dùng làm các phụ tùng
Giới hạn sử dụng của các vật liệu dùng làm các phụ tùng phải tuân theo quy định ở 7.9.1.
7.2.3 Xử lý nhiệt thép tấm
Khi xử lý nhiệt như gia công tạo hình nóng, khử ứng suất được thực hiện đối với thép tấm trong quá trình chế tạo nồi hơi, người chế tạo nồi hơi phải thông báo dự định cùng với đơn đặt hàng vật liệu. Những số liệu về thép tấm mà người chế tạo cần biết được quy định ở Phần 6A của Quy phạm này.
7.2.4 Thử không phá hủy đối với thép đúc
Vật liệu thép đúc được dùng làm thân nồi hơi chịu áp suất trong phải được chụp bằng tia X quang, kiểm tra bằng hạt từ và phải được xác nhận rằng chúng không có khuyết tật có hại.
7.2.5 Hàn
Thợ hàn nồi hơi phải phù hợp với những quy định trong Phần 6B của Quy phạm này.
7.3 Yêu cầu về thiết kế
7.3.1 Các ký hiệu
Nếu không có quy định khác, trong chương này sử dụng các ký hiệu như sau:
f : ứng suất cho phép (MPa) phù hợp với các yêu cầu trong 7.4.1 hoặc 9.2.1;
T : chiều dày quy định (mm) được tính theo áp suất thiết kế. áp suất cho phép là áp suất có được khi thay chiều dày quy định bằng chiều dày thực trong công thức;
P : áp suất thiết kế (MPa);
J : giá trị nhỏ nhất của hệ số bền của mối nối được quy định ở 7.4.2;
R : bán kính trong của thân nồi hơi (mm).
7.3.2 Áp suất thiết kế của bộ tiết kiệm và bộ tiết kiệm khí xả
7.3.2.1 Áp suất thiết kế của bộ tiết kiệm không được nhỏ hơn áp suất làm việc lớn nhất của bộ tiết kiệm được xác định trên cơ sở áp suất làm việc lớn nhất của bơm cấp nước.
7.3.2.2 Áp suất thiết kế của bộ tiết kiệm khí xả không được nhỏ hơn áp suất làm việc lớn nhất của bộ tiết kiệm khí xả được xác định trên cơ sở áp suất làm việc lớn nhất của bơm tuần hoàn nước nồi hơi.
7.3.3 Các lưu ý đối với sức bền kết cấu
7.3.3.1 Khi tác động của các ứng suất bổ sung như tập trung ứng suất cục bộ, tải trọng lặp lại và ứng suất nhiệt là đáng kể thì phải có các biện pháp thích hợp như tăng chiều dày nếu thấy cần thiết.
7.3.3.2 Những phần được cố định của ống lửa của nồi hơi kiểu đứng phải được thiết kế sao cho sự biến dạng của ống lửa do dãn nở nhiệt của lò đốt bán cầu không bị cản giữ quá chặt.
7.3.3.3 Cần phải xem xét đầy đủ theo các quy định (1) và (2) dưới đây để ngăn ngừa trước sự quá nóng các ống nước của nồi hơi có sản lượng nhiệt của buồng cháy cao.
(1) Nước nồi hơi phải đủ tuần hoàn tới các ống nước;
(2) Các phương tiện làm mềm nước phải được trang bị.
7.3.4 Nồi hơi có dạng không thông thường
7.3.4.1 Khi việc tính sức bền theo các quy định từ 7.5 tới 7.7 là không thực tế hoặc không hợp lý vì hình dạng của bộ phận chịu áp suất khác thường thì phải tiến hành các tính toán chi tiết thích hợp khác với sự chấp thuận của Đăng kiểm và Đăng kiểm sẽ xem xét việc tính toán theo các quy định 7.5 đến 7.7 có lưu ý đến kết quả tính toán.
7.3.4.2 Khi việc thiết kế theo các yêu cầu từ 7.5 tới 7.7 không thích hợp vì hình dạng các bộ phận chịu áp suất khác thường phải đo ứng suất hoặc biến dạng dưới tải trọng phù hợp với sự chấp thuận của Đăng kiểm và Đăng kiểm sẽ xem xét việc đo đó theo các quy định ở 7.5 đến 7.7 có lưu ý đến các kết quả đo.
7.3.5 Các lưu ý đối với việc lắp đặt
7.3.5.1 Nồi hơi phải được lắp đặt sao cho tác động của các tải trọng hoặc ngoại lực sau đây là nhỏ nhất:
(1) Các chuyển động hoặc chấn động của tàu do máy móc sinh ra;
(2) Ngoại lực sinh ra do các ống và các chi tiết đỡ được lắp vào nồi hơi;
(3) Sự dãn nở nhiệt do sự thay đổi nhiệt độ.
7.3.5.2 Nồi hơi phải được lắp đặt ở vị trí xa các vách ngăn đến mức có thể thực hiện được
7.3.6 Bảo vệ chống ngọn lửa
Khi phần bầu góp và ống góp là phần tiếp xúc với lửa hoặc khí có nhiệt độ cao thì phải có thêm cách nhiệt hoặc các biện pháp thích hợp khác.
7.3.7 Lưu ý cháy muội
Đối với nồi hơi khí thải và bộ tiết kiệm khí thải phải lưu ý để tránh cho chúng khỏi bị hư hại do cháy muội.
7.4 Ứng suất cho phép và hệ số bền của mối nối
7.4.1 Ứng suất cho phép
7.4.1.1 Ứng suất cho phép đối với từng loại vật liệu được xác định như sau: Nhiệt độ kim loại thường được dùng để đánh giá ứng suất cho phép của nồi hơi là nhiệt độ thiết kế lớn nhất của chất lỏng bên trong và nhiệt độ của bề mặt hấp nhiệt phải được tăng thêm trị số nhiệt độ cho trong Bảng 3/7.1. Nhiệt độ kim loại không được nhỏ hơn 250 0C.
(1) Ứng suất cho phép f của thép các bon (kể cả thép cácbon mangan) và thép hợp kim thấp (không kể thép đúc) không được lớn hơn giá trị có được từ các công thức sau đây lấy giá trị nào nhỏ hơn. Ứng suất cho phép ở mỗi một nhiệt độ kim loại cũng có thể lấy theo những giá trị được cho trong Bảng 3/7.2 thay cho việc tính theo công thức sau đây:

trong đó:
R20: giới hạn bền kéo của thép ở nhiệt độ 20 0C (MPa);
Et : giới hạn chảy của kim loại đang xét ở nhiệt độ của kim loại (hoặc giới hạn chảy quy ước) (MPa).
SR : ứng suất trung bình của thép đang xét để gây ra sự phá hủy trong 100.000 giờ ở nhiệt độ kim loại, nếu độ rộng của giới hạn dải phân tán các kết quả vượt quá ±20% giá trị trung bình thì bằng 1,25 lần ứng suất nhỏ nhất ở nhiệt độ kim loại gây ra sự phá hủy trong 100.000 giờ (MPa);
SC : ứng suất trung bình để tạo ra sự dãn dài 1% của thép đang xét trong 100.000 giờ ở nhiệt độ của kim loại (MPa).
Bảng 3/7.1 - Lượng tăng nhiệt độ so với nhiệt độ chất lỏng bên trong cho nhiệt độ kim loại tại mặt hấp nhiệt
| Mặt hấp nhiệt nói chung | Hấp nhiệt tiếp xúc | 25 oC |
| Hấp nhiệt bằng bức xạ | 50 oC | |
| Mặt hấp nhiệt của bộ quá nhiệt | Hấp nhiệt tiếp xúc | 35 oC |
| Hấp nhiệt bằng bức xạ | 50 oC | |
| Mặt hấp nhiệt của bộ tiết kiệm và bộ tiết kiệm khí xả | 25 oC | |
Bảng 3/7.2 - Trị số ứng suất cho phép
| Loại vật liệu (cấp) | Ứng suất cho phép f (MPa) | ||||||||||||
| £ 250 oC | 300 oC | 350 oC | 375 oC | 400 oC | 425 oC | 450 oC | 475 oC | 500 oC | 525 oC | 550 oC | 575 oC | ||
|
Tấm thép cán dùng cho nồi hơi | P 42 | 110 | 104 | 103 | 96 | 88 | 76 | 57 | 39 | - | - | - | - |
| P 46 | 122 | 117 | 113 | 106 | 95 | 80 | 58 | 39 | - | - | - | - | |
| P 49 | 124 | 122 | 121 | 114 | 102 | 84 | 58 | 39 | - | - | - | - | |
| PA 46 | 122 | 117 | 113 | 113 | 113 | 108 | 101 | 90 | 69 | 48 | - | - | |
| PA 49 | 124 | 122 | 121 | 121 | 121 | 117 | 106 | 91 | 69 | 48 | - | - | |
|
Bầu góp bằng thép | BH 1 | 105 | 104 | 103 | 97 | 88 | 76 | 57 | 39 | - | - | - | - |
| BH 2 | 117 | 115 | 113 | 106 | 95 | 80 | 58 | 39 | - | - | - | - | |
| BH 3 | 102 | 99 | 96 | 96 | 96 | 93 | 91 | 87 | 67 | - | - | - | |
| BH 4 | 106 | 104 | 103 | 103 | 103 | 102 | 98 | 92 | 74 | - | - | - | |
BH 5 | 106 | 104 | 103 | 103 | 103 | 102 | 98 | 92 | 81 | 64 | - | - | |
| BH 6 | 106 | 104 | 103 | 103 | 103 | 102 | 98 | 92 | 81 | 64 | - | - | |
|
Ống thép dùng cho nồi hơi | STB33 | 86 | 84 | 81 | 78 | 74 | 66 | - | - | - | - | - | - |
| STB35 | 88 | 87 | 86 | 82 | 76 | 76 | 53 | - | - | - | - | - | |
| STB42 | 113 | 104 | 103 | 97 | 88 | 94 | 57 | - | - | - | - | - | |
| STB12 | 102 | 99 | 96 | 96 | 96 | 102 | 91 | 87 | 69 | - | - | - | |
| STB22 | 106 | 104 | 103 | 103 | 103 | 102 | 98 | 92 | 81 | 64 | 44 | - | |
| STB23 | 106 | 104 | 103 | 103 | 103 | 102 | 98 | 92 | 81 | 64 | 47 | 34 | |
| STB24 | 106 | 104 | 103 | 103 | 103 | 102 | 98 | 92 | 81 | 64 | 48 | 36 | |
| Thép rèn (Xem Phần 6A) | 1/4 giới hạn bền kéo của vật liệu (khi được dùng ở 350 oC hoặc thấp hơn) | ||||||||||||
| Thép đúc (Xem Phần 6A) | 1/5 giới hạn bền kéo của vật liệu (khi được dùng ở 350 oC hoặc thấp hơn) | ||||||||||||
Chú thích:
Trong trường hợp nhiệt độ kim loại ở giữa các trị số đã cho trong bảng thì trị số ứng suất cho phép được xác định bằng phép nội suy.
(2) Ứng suất cho phép của ống thép hàn điện trở (hàn tiếp xúc) phải bằng 85% giá trị trong Bảng 3/7.2;
(3) Ứng suất cho phép của thép đúc phải bằng 80% giá trị tính được theo công thức ở (1) hoặc giá trị cho phép trong Bảng 3/7.2. Không được dùng thép đúc có chiều dày quá 50 mm nếu không có sự chấp thuận trước của Đăng kiểm;
(4) Giá trị ứng suất của vật liệu khác với các loại được chỉ ra trong (1) và (3) sẽ được Đăng kiểm xem xét riêng từng trường hợp có tính tới các đặc tính cơ học của vật liệu.
7.4.2 Hệ số sức bền của mối nối và thanh giằng
7.4.2.1 Hệ số sức bền của mối nối được xác định như sau:
(1) Vỏ liền: 1,0
(2) Vỏ hàn:
(a) Mối nối hàn giáp mép hai phía: 1,0
(b) Trường hợp khác: 0,9
7.4.2.2 Hệ số sức bền của thanh giằng được tính như sau:
(1) Hệ số sức bền của thanh giằng dọc (dưới đây được gọi là "hệ số dọc") hướng theo hàng của các lỗ ống trên tấm vỏ có hàng song song hoặc gần song song với các trục vỏ, hoặc vỏ hay mặt sàng có một số hàng song song với khoảng cách đủ giữa chúng phải được xác định theo công thức sau:
(a) Khi khoảng cách tâm các lỗ ống là đều, trong đó:

J1 : hệ số sức bền của thanh giằng;
p : khoảng cách tâm các lỗ ống (mm);
d : đường kính các lỗ ống (mm).
(b) Khi khoảng cách tâm các lỗ ống không đều, trong đó:

J2 : hệ số sức bền của thanh giằng;
d : đường kính các lỗ ống (mm);
L : tổng độ dài khoảng cách giữa các tâm tương ứng với n thanh giằng liên tiếp (mm);
n : số lỗ ống trên chiều dài L.
(2) Hệ số sức bền của thanh giằng vòng tròn (dưới đây được gọi là "hệ số vòng tròn") ở vùng các lỗ ống được khoan theo hướng vòng tròn của vỏ phải được tính tương tự như ở (1) trên và không nhỏ hơn 50% hệ số dọc. Trong trường hợp này khoảng cách giữa các lỗ ống theo hướng vòng tròn được đo trên tấm phẳng trước khi khoan lỗ hoặc dọc theo đường giữa của chiều dày tấm sau khi khoan;
(3) Hệ số sức bền của thanh giằng ở vùng lỗ ống khoan theo hướng đường chéo của vỏ được xác định bằng công thức sau:
(a) Khi các lỗ ống được khoan theo đường chéo như được chỉ trong Hình 3/7.1 và 3/7.2: Giá trị nhỏ trong các hệ số tính được từ công thức dưới đây hoặc hệ số dọc phải là hệ số của thanh giằng ở phần lỗ ống:

a : như được quy định ở các hình 3/7.1, 3/7.2 và 3/7.3;
a, b : như được quy định ở các hình 3/7.1, 3/7.2 và 3/7.3 (mm);
d : đường kính lỗ ống (mm).

(b) Trong (a) khi các lỗ được xếp theo hình so le đều như được ghi ở Hình 3/7.3 thì hệ số độ bền thanh chằng của phần lỗ ống được lấy theo giá trị nhỏ nhất trong các trị số sau: hệ số được tính theo công thức ở (a), hai lần hệ số vòng tròn hoặc hệ số dọc.

Hình 3/7.4 - Hệ số sức bền của thanh giằng ở phần lỗ ống được khoan theo vòng tròn
Chú thích:
Các hệ số sức bền của thanh giằng tính được từ (a) và (b) được chỉ trên Hình 3/7.4 và 3/7.5 với tỉ số d/a trên trục hoành còn tỉ số (2a-d)/2a là thông số.

Chú thích:
Khi điểm rơi trên vùng bên phải của đường giao Z - Z hệ số dọc được coi như là hệ số của phần các lỗ ống
Hình 3/7.5 - Hệ số độ bền của thanh giằng ở phần lỗ ống được khoan theo đường chéo
(4) Hệ số bền của thanh giằng theo đơn vị chiều dài khi lỗ ống được bố trí không đều theo hướng dọc của vỏ là giá trị nhỏ nhất trong các trị số được tính theo (a) hoặc (b) dưới đây, lấy trị số nào nhỏ hơn. Tuy nhiên,, hệ số này không được nhỏ hơn hệ số nhỏ nhất tính được khi lấy L1 là khoảng cách giữa tâm của các ống đo tại đầu của các hàng ống trong phạm vi chiều dài bằng đường kính trong của vỏ (khoảng cách tới tâm của lỗ ống kề sát, trong trường hợp chỉ có một lỗ ống trong phạm vi chiều dài bằng đường kính trong của vỏ).
(a) Với chiều dài L1 bằng đường kính trong của vỏ (không quá 1520 mm):

(b) Với chiều dài L2 bằng bán kính trong của vỏ (không quá 760 mm):

trong đó:
J4 và J5: hệ số sức bền của thanh giằng;
a, b, c : các khoảng cách giữa các lỗ ống được bố trí theo chiều dọc của vỏ.
Nếu chúng được bố trí theo hướng đường chéo thì khoảng cách phải là độ dài chiếu trên hướng dọc nhân với hệ số nhận được từ (3).
7.5 Tính các kích thước quy định cho từng cơ cấu
7.5.1 Giới hạn chiều dày của từng cơ cấu
7.5.1.1 Chiều dày tấm vỏ và các tấm đáy không được nhỏ hơn 6 mm. Chiều dày tấm đáy được tạo hình, trừ tấm đáy hình bán cầu không được nhỏ hơn chiều dày vỏ (được tính khi lấy hệ số sức bền bằng 1) mà tấm đáy được gắn vào.
7.5.1.2 Chiều dày mặt sàng không được nhỏ hơn 10 mm, chiều dày tấm phẳng không được nhỏ hơn 6 mm.
7.5.1.3 Chiều dày của miệng ống hàn vào thân và liên kết với giá đỡ không được nhỏ hơn 2,5 mm cộng thêm 1/25 đường kính ngoài của miệng ống hoặc giá trị tính toán theo công thức cho trong 7.7.4. Tuy nhiên,, trị số này không cần lớn hơn độ dày của thân nơi miệng ống được hàn vào.
7.5.1.4 Chiều dày của tấm buồng đốt không được nhỏ hơn 5 mm và không cần lớn hơn 22 mm.
7.5.2 Chiều dày quy định của tấm vỏ hình trụ chịu áp suất bên trong
Chiều dày quy định của tấm vỏ hình trụ chịu áp suất trong được tính toán theo công thức dưới đây:

Khi tấm vỏ hình trụ có các lỗ cần được gia cường thì các lỗ phải được gia cường theo yêu cầu trong 7.6.3.
7.5.3 Chiều dày quy định của tấm đáy được tạo hình chịu áp suất ở phía lõm không có thanh giằng hay giá đỡ khác
7.5.3.1 Chiều dày quy định của tấm đáy không có lỗ được tính theo công thức sau:
(1) Tấm đáy hình lòng đĩa hay bán cầu:

W = 1 cho tấm đáy hình bán cầu;
R1: bán kính trong của chỏm, R1 phải nhỏ hơn đường kính ngoài của tấm đáy;
r : bán kính trong của mối nối, r không được nhỏ hơn 6% trị số lớn nhất giữa đường kính ngoài của phần viền tấm đáy hoặc 3 lần chiều dày thực của tấm đáy.
(2) Tấm đáy hình nửa ê lip (khi tấm đáy có nửa trục ngắn bên trong không nhỏ hơn 1/4 trục dài tấm đáy).
7.5.3.2 Chiều dày quy định của tấm đáy có lỗ khoét phải tuân theo yêu cầu trong (1), (2) và (3) sau đây:
(1) Khi lỗ khoét không được gia cường phải tuân theo các yêu cầu trong 7.6.2 hoặc lỗ khoét được gia cường theo yêu cầu trong 7.6.3 thì chiều dày phải được tính theo công thức trong 7.6.1.
(2) Khi tấm đáy có lỗ kiểm tra có gờ trong hoặc cửa người chui với đường kính lớn nhất vượt quá 150 mm và sự gia cường bằng gờ trong tuân theo các yêu cầu nêu ở 7.6.3.7 thì chiều dày được tính như sau:
(a) Tấm đáy hình lòng đĩa hoặc bán cầu:
Chiều dày phải tăng thêm không ít hơn 15% (nếu trị số tính toán nhỏ hơn 3mm thì lấy bằng 3 mm) chiều dày được tính bằng công thức ở 7.5.3.1(1). Khi bán kính trong chỏm cầu của tấm đáy nhỏ hơn 0,8 lần đường kính trong của vỏ thì trị số bán kính trong chỏm cầu trong công thức phải là 0,8 lần đường kính trong của vỏ. Khi tính chiều dày của tấm đáy có hai lỗ người chui như nói ở (a) thì khoảng cách giữa hai lỗ không nhỏ hơn 1/4 đường kính ngoài của tấm đáy;
(b) Tấm đáy dạng nửa e lip:
Những yêu cầu trong 7.5.3.1(1) phải được áp dụng, khi đó R1 phải là 0,8 lần đường kính trong của vỏ và W = 1,77.
(3) Khi lỗ khoét không được gia cường theo những yêu cầu trong (1), (2) thì chiều dày quy định phải được tính theo công thức sau đây. Tuy nhiên,, chiều dày này không được nhỏ hơn trị số tính được bởi công thức cho ở 7.5.3.1.

trong đó:
D0: đường kính ngoài của tấm đáy (mm)
K : như được chỉ ra trong Hình 3/7.6, điều này có thể áp dụng cho tấm đáy phù hợp với điều kiện sau:
(a) Tấm đáy hình bán cầu:

(b) Tấm đáy dạng nửa ellip:

(c) Tấm đáy hình lòng đĩa:

Te : chiều dày thực của tấm đáy (mm),
H : chiều sâu của tấm đáy tính từ mặt ngoài tới mặt nối của phần hình lòng đĩa với phần hình trụ (mm).
R1 và r : như đã chỉ ra trong 7.5.3.1(1).
7.5.4 Chiều dày quy định của tấm đáy được tạo hình và chịu áp suất ở mặt lồi
Chiều dày quy định của tấm đáy được tạo hình và chịu áp suất ở phía mặt lồi không được nhỏ hơn chiều dày tính toán khi cho rằng phía mặt lõm chịu áp suất ít nhất là 1,67 lần áp suất thiết kế.
7.5.5 Chiều dày quy định của tấm đáy phẳng và nắp không có thanh giằng hoặc giá đỡ
7.5.5.1 Khi đáy phẳng và nắp không có thanh giằng hoặc giá đỡ được hàn vào tấm vỏ thì chiều dày được tính theo công thức sau:

d : đường kính được chỉ trên Hình 3/7.9 (đối với tấm tròn), hoặc độ dài nhỏ nhất (đối với tấm không tròn) (mm);
D' : chiều dài của tấm đáy hoặc nắp không tròn được đo vuông góc với chiều ngắn (mm).
7.5.5.2 Khi nắp phẳng không có thanh giằng được bắt bu lông vào tấm vỏ thì chiều dày quy định phải được tính theo công thức sau:
(1) Khi có các tấm đệm trên bề mặt

trong đó:
C3 : hằng số được xác định bởi phương pháp ghép bằng bu lông được chỉ ở Hình 3/7.10;

d : đường kính được chỉ trong Hình 3/7.10 (cho tấm tròn) hoặc chiều dài nhỏ nhất (cho tấm không tròn) (mm);
D' : chiều dài của tấm đáy hoặc nắp không tròn được đo vuông góc với chiều ngắn (mm)
W : tải trọng trung bình (N) của các tải trọng trên bu lông để làm kín nước và tải trọng cho phép đối với bu lông đang dùng;
L : tổng chu vi đường tròn đi qua tâm các bu lông (mm);
hg : cánh tay đòn của mômen do phản lực của đệm được chỉ ra trong Hình 3/7.10 (mm).
7.5.6 Chiều dày của tấm phẳng có thanh giằng hoặc giá đỡ khác
7.5.6.1 Chiều dày của tấm phẳng không kể chiều dày chỗ cụm ống được đỡ bởi thanh giằng hay ống giằng được tính theo công thức sau:

trong đó:
C5 : hằng số được xác định theo phương pháp cố định thanh giằng hoặc ống giằng được cho trong Bảng 3/7.3. Khi dùng các phương pháp cố định khác nhau, trị số C5 là trung bình của các hằng số cho từng phương pháp;
S : khi thanh giằng hoặc ống giằng được bố trí đều, S được tính theo công thức sau đây:

trong đó:
a : khoảng cách theo phương ngang của thanh giằng hay ống giằng (mm);
b : khoảng cách theo phương thẳng đứng (mm);
Khi thanh giằng hoặc ống giằng được bố trí không đều "S" là đường kính của đường tròn lớn nhất (mm) đi qua ít nhất 3 điểm đỡ nhưng không bao hàm bất kỳ điểm đỡ nào trong đường tròn.
7.5.6.2 Vị trí và hằng số C5 của điểm đỡ tại phần hàn giữa đầu phẳng và gờ cong hoặc vỏ, lò... như sau:
(1) Sự bắt đầu đường cong của gờ phải được coi là điểm đỡ. Khi bán kính trong của đường cong lớn hơn 2,5 lần chiều dày của tấm thì những điểm ở cách 3,5 lần chiều dày tấm tính từ mặt ngoài của gờ có thể được coi như là bắt đầu của đường cong. Trong trường hợp này trị số C5 phải bằng 0,39 nếu tấm tiếp xúc với lửa và 0,36 nếu tấm không tiếp xúc với lửa;
(2) Phía trong của phần được hàn giữa đầu phẳng với vỏ, lò... được coi như điểm đỡ. Khi đó giá trị của hằng số C5 là 0,47 nếu tấm tiếp xúc với lửa và 0,43 nếu tấm không tiếp xúc với lửa.
7.5.6.3 Chiều dày mặt sàng của cụm ống được đỡ bởi ống giằng phải được tính theo công thức sau:

trong đó:
C6 : hằng số được xác định bởi phương pháp cố định các ống giằng được cho trong Bảng 3/7.4;
p : khi ống giằng được bố trí đều, khoảng cách trung bình của các ống giằng tính được khi chia tổng 4 cạnh của hình được tạo bởi 4 điểm đỡ (mm). Khi ống giằng được bố trí không đều, "S" (mm) là đường kính vòng tròn lớn nhất đi qua ít nhất 3 điểm đỡ nhưng không chứa một điểm đỡ nào trong vòng tròn và
được dùng thay cho "p".
7.5.6.4 Chiều dày quy định của mặt sàng của các nồi hơi đứng có ống khói nằm ngang mà nó tạo thành các hốc ống khói phải là giá trị lớn nhất trong các trị số tính theo công thức trong 7.5.6.3 hoặc công thức sau:

trong đó:
D : 2 lần khoảng cách hướng kính của tâm dãy lỗ ống phía ngoài tới đường tâm vỏ (mm)
p : bước theo phương đứng của các ống (mm);
ds : đường kính lỗ ống trên mặt sàng (mm).
7.5.6.5 Chiều dày quy định của mặt sàng sau trong nồi hơi hình trụ với buồng đốt kiểu ướt phải là trị số lớn nhất trong các trị số được tính theo công thức trong 7.5.6.3 hoặc theo công thức sau:

trong đó:
H : khoảng cách theo phương ngang của các ống khói (mm);
di : đường kính trong của ống khói thông thường (mm);
W : chiều sâu của phần trên buồng đốt (mm).
7.5.6.6 Đối với kích thước của các tấm đỉnh và tấm cạnh được giằng của buồng đốt của nồi hơi hình trụ, khoảng cách giữa các hàng thanh giằng gần với mặt sàng hoặc tấm sau nhất và đường bắt đầu cong của mặt sàng hay tấm sau không được lớn hơn “a” được xác định bởi công thức trong 7.5.6.1, thay chiều dày thực cho chiều dày quy định.
Bảng 3/7.3 - Trị số C5
| Phương pháp cố định thanh giằng hoặc ống giằng | Khi các tấm không tiếp xúc với lửa | Khi các tấm tiếp xúc với lửa | |
| (1) | Khi thanh giằng gắn vào tấm như (5)A ở Hình 3/7.9 | 0,35 | 0,38 |
| (2) | Khi thanh giằng gắn vào tấm như (5)B ở Hình 3/7.9 | 0,37 | 0,40 |
| (3) | Khi thanh giằng gắn vào tấm như (5)C ở Hình 3/7.9 | 0,41 | 0,44 |
| (4) | Khi thanh giằng gắn vào tấm như (5)D ở Hình 3/7.9 | 0,50 | 0,53 |
| (5) | Khi ống giằng gắn vào tấm như (6)A ở Hình 3/7.9 | 0,42 | 0,45 |
| (6) | Khi ống giằng gắn vào tấm như (6)B ở Hình 3/7.9 | 0,49 | 0,52 |
| (7) | Khi ống giằng gắn vào tấm như (6) C ở Hình 3/7.9 | 0,49 | 0,52 |
Bảng 3/7.4 - Trị số C6
| Phương pháp cố định ống giằng | Khi tấm không tiếp xúc với lửa | Khi tấm tiếp xúc với lửa |
| Khi ống giằng được gắn vào tấm như (6)A, Hình 3/7.9 | 0,51 | 0,54 |
| Khi ống giằng được gắn vào tấm như (6)B, Hình 3/7.9 | 0,57 | 0,61 |
| Khi ống giằng được gắn vào tấm như (6)C, Hình 3/7.9 | 0,57 | 0,61 |
7.5.7 Chiều dày quy định của lò kiểu gợn sóng
Chiều dày của lò kiểu gợn sóng được tính theo công thức sau:

trong đó:
D : đường kính ngoài nhỏ nhất của phần gợn sóng của lò (mm);
C : hằng số được cho theo Bảng 3/7.5.
Bảng 3/7.5 - Trị số C
| Kiểu lò | C |
| Lò Mo-ri-xơn, Đây-tôn hay tương tự | 107 |
| Lò hình củ hành được rèn | 114 |
7.5.8 Độ dày quy định của lò hình trụ trơn
Chiều dày quy định của lò hình trụ trơn hoặc đáy trụ và ống khói của buồng đốt không được gia cường bằng các thanh giằng hoặc bằng cách khác phải được tính theo các công thức dưới đây lấy giá trị nào lớn hơn:

trong đó:
D : đường kính ngoài của lò hoặc đáy buồng đốt (mm);
L : chiều dài lò hoặc chiều sâu của đáy buồng đốt (mm).
Chiều dài của lò được tính từ chỗ bắt đầu cong nơi các tấm lò có gờ và được nối với các tấm khác, các vòng gia cường...
7.5.9 Chiều dày quy định của lò hình bán cầu không có thanh giằng hoặc giá đỡ khác
Chiều dày quy định của lò hình bán cầu không có thanh giằng hay giá đỡ khác được tính theo công thức sau:

trong đó:
Rf : bán kính ngoài của mặt cong của lò (mm).
7.5.10 Chiều dày quy định của vòng gờ hình chữ S của nồi hơi đứng
Chiều dày của vòng gờ hình chữ S nối đáy lò của nồi hơi đứng với vỏ chịu toàn bộ tải đứng của lò phải được tính theo công thức sau:

trong đó:
D : đường kính trong của vỏ (mm);
d : đường kính ngoài của phần thấp của lò nơi nối với vòng gờ hình chữ S (mm).
7.5.11 Chiều dày quy định của tấm đai bệ lò của nồi hơi đứng
Chiều dày quy định của tấm đai bệ lò (xem Hình 3/7.9(4)E) nối đáy lò nồi hơi đứng với vỏ được tính theo công thức sau:

trong đó:
D : đường kính trong của vỏ (mm).
7.5.12 Đường kính quy định của thanh giằng
7.5.12.1 Đường kính quy định của thanh giằng được tính theo công thức sau:

trong đó:
d : đường kính quy định của thanh giằng (mm);
A: diện tích thực được đỡ bởi một thanh giằng (mm2).
C = 0,13
7.5.12.2 Khi áp dụng công thức trong 7.5.12.1 cho thanh giằng chéo, C trong công thức được thay bằng C1 mà trị số được tính theo công thức sau:

trong đó:
L : chiều dài thanh giằng chéo (mm);
H : chiều dài tương đương của thanh giằng vuông góc với mặt đỡ (mm).
7.5.13 Kích thước quy định của ống giằng
Các kích thước quy định của ống giằng đỡ mặt sàng được tính theo công thức sau đây:
Tuy nhiên, chiều dày của ống giằng không được nhỏ hơn 6 mm cho những ống ở hàng biên của các cụm ống và 4,5 mm cho các ống khác.

trong đó:
a : diện tích mặt cắt thực bé nhất của một ống giằng (mm2);
A : diện tích thực được đỡ bởi một ống giằng (mm2).
7.5.14 Chiều dày quy định của các xà đỡ tấm đỉnh của buồng đốt và khoảng cách của chúng với các tấm cạnh
7.5.14.1 Chiều dày của xà thép đỡ tấm đỉnh của buồng đốt được tính theo công thức sau:

trong đó:
T : chiều dày quy định của xà hoặc là tổng chiều dày các tấm khi xà có kết cấu tấm kép (mm);
d : chiều cao của các xà ở trung tâm (mm);
L : chiều rộng của buồng đốt được đo dọc bên trong phần trên (mm);
p : bước của các thanh giằng đỡ các xà (mm);
D : khoảng cách của các xà (mm);
S : giới hạn bền kéo của vật liệu làm xà (MPa);
C : hằng số cho trong Bảng 3/7.6.
7.5.14.2 Khi bán kính ngoài của mối nối tấm đỉnh với tấm bên của buồng đốt của nồi hơi nhỏ hơn 1/2 bước D của dầm đỡ tính được từ công thức ở 7.5.14.1, nhờ thay độ dày thực của xà nồi hơi vào công thức, khoảng cách giữa mặt trong của tấm cạnh và tâm dầm đỡ gần nhất không được lớn hơn bước D. Khi bán kính ngoài của mối nối lớn hơn D/2 thì chiều rộng của bề mặt phẳng tính từ tâm dầm đỡ tới điểm bắt đầu của mối nối không được lớn hơn D/2.
7.5.15 Chiều dày quy định của bầu góp hình trụ
Chiều dày quy định của bầu góp hình trụ phải được tính theo công thức 7.5.2. Tuy vậy, khi chiều dày của bầu góp vượt quá 1/2 bán kính trong của nó và nhiệt độ vật liệu là 375 oC hoặc thấp hơn thì chiều dày được tính theo công thức sau:

Bảng 3/7.6 - Trị số C
| Khi số thanh giằng (n) của mỗi xà là lẻ |
|
| Khi số thanh giằng (n) của mỗi xà là chẵn |
|
7.5.16 Chiều dày quy định của bầu góp hình vuông
7.5.16.1 Chiều dày của bầu góp hình vuông được làm từ thép rèn hoặc thép tấm hàn phải được tính theo công thức sau:

trong đó:
l1 : chiều rộng bên trong được đo giữa các điểm đỡ của mặt phẳng để tính sức bền (mm);
l2 : chiều rộng bên trong của cạnh khác kề với l1 (mm).
7.6 Cửa quan sát, các lỗ khoét khác và sự gia cường chúng
7.6.1 Cửa chui, cửa làm vệ sinh và cửa kiểm tra
7.6.1.1 Nồi hơi phải có các cửa để chui vào hoặc cửa để làm vệ sinh với kích thước đủ tại vị trí thích hợp sao cho dễ đến gần để kiểm tra và bảo dưỡng. Tuy nhiên, do kết cấu hoặc do kích thước, yêu cầu làm cửa chui hoặc cửa làm vệ sinh là không thực tế thì việc bố trí hai cửa kiểm tra hoặc nhiều hơn ở các vị trí thích hợp để kiểm tra bên trong sẽ được coi là đủ.
7.6.1.2 Kết cấu của cửa chui hay cửa làm vệ sinh phải tuân theo những yêu cầu từ (1) đến (3) sau đây:
(1) Trục ngắn của cửa chui hình ôvan đặt trên tấm vỏ phải song song với phương dọc của trống (nồi hơi);
(2) Nắp cửa chui kiểu trong phải có đầu ống nối với khe hở không quá 1,5 mm toàn bộ xung quanh;
(3) Nắp cửa phải đủ bền và được kết cấu sao cho việc đóng mở lặp đi lặp lại không được gây tác hại cho sự an toàn. Trong trường hợp nắp được bắt bu lông thì nắp phải có kết cấu sao cho sự hư hỏng của bu lông không gây ra nguy hiểm.
7.6.1.3 Cửa để kiểm tra bầu góp phải được hoàn tất bằng máy sao cho nắp lỗ kiểm tra có thể lắp được một cách hữu hiệu.
7.6.2 Gia cường các lỗ khoét
Khi trên vỏ có các cửa chui, các lỗ khoét cho các họng... thì các lỗ khoét này phải được gia cường. Tuy thế, sự gia cường có thể được miễn khi chỉ có một lỗ trong các trường hợp sau:
(1) Đường kính lớn nhất của lỗ khoét (ở lỗ khoét có ren là đường kính chân ren) không quá 60 mm và cũng không lớn hơn 1/4 đường kính trong của vỏ;
(2) Những lỗ khoét trên tấm vỏ có đường kính lớn nhất không quá trị số cho trong Hình 3/7.7. Khi đó đường kính lỗ khoét không được gia cường không vượt quá 200 mm;
(3) Những lỗ khoét trên tấm đáy phù hợp với yêu cầu trong 7.5.3.2(3) khi không có yêu cầu gia cường do việc tăng chiều dày của các tấm đáy;
(4) Những lỗ khoét trên tấm đáy hoặc tấm nắp khi chiều dày của tấm đáy hoặc tấm nắp đã được tăng lên phù hợp với yêu cầu trong 7.6.3.3(2).
7.6.3 Phương pháp gia cường lỗ khoét
7.6.3.1 Ý nghĩa của các ký hiệu được dùng trong 7.6.3 như sau:
a : diện tích vỏ hoặc tấm đáy có thể gia cường (mm2);
Ao : diện tích quy định của tiết diện ngang của chi tiết gia cường (mm2);
d1 : đường kính lỗ khoét trên tiết diện ngang nơi dự định gia cường (mm).
7.6.3.2 Đối với lỗ khoét trên tấm vỏ và trên tấm đáy được tạo hình, phần gia cường phải sao cho diện tích mặt cắt ngang đi qua tâm lỗ khoét và trực giao với mặt lỗ khoét không nhỏ hơn trị số được tính theo công thức: A0 = d0T0
7.6.3.3 Khi tấm đáy phẳng hoặc tấm nắp được quy định ở 7.5.5 có lỗ khoét thì chúng phải phù hợp với yêu cầu sau:
(1) Khi tấm đáy phẳng hoặc tấm nắp có lỗ khoét với đường kính không quá 1,5 lần đường kính tấm tròn hoặc chiều dài nhỏ nhất (d được cho trong Hình 3/7.9 và 3/7.10) đối với tấm không tròn thì tấm đáy hoặc tấm nắp phải có tổng diện tích mặt cắt ngang của phần gia cường không nhỏ hơn trị số được tính theo công thức sau:
A0 = 0,5d0T0
(2) Khi tấm đáy phẳng hoặc tấm nắp có lỗ khoét với đường kính quá 1,5 đường kính của tấm tròn hoặc chiều dài nhỏ nhất (d được chỉ ra trong Hình 3/7.9 và 3/7.10) của tấm không tròn thì chiều dày của tấm đáy hoặc tấm nắp phải bằng 1,5 lần chiều dày quy định được chỉ ra trong điều 7.5.5 không kể đến lượng dư ăn mòn.



Hình 3/7.7 - Đường kính lớn nhất của lỗ khoét trên vỏ được phép không phải gia cường
Chú thích:
d : đường kính lớn nhất của lỗ khoét (mm) không yêu cầu phải gia cường, khi đó đường kính lớn của lỗ khoét hình ôvan là trị trung bình của trục dài và trục ngắn;
Do : đường kính ngoài của vỏ (mm);
t : độ dày thực của tấm vỏ (mm).


Hình 3/7.7 - Đường kính lớn nhất của lỗ khoét trên vỏ được phép không phải gia cường (tiếp theo)
Chú thích:
d : đường kính lớn nhất của lỗ khoét (mm) không yêu cầu phải gia cường, khi đó đường kính lớn của lỗ khoét hình ôvan là trị số trung bình của trục dài và trục ngắn;
Do : đường kính ngoài của vỏ (mm);
t : chiều dày thực của tấm vỏ (mm);

do : đường kính lớn nhất của lỗ khoét được gia công trên mặt cắt dọc của tấm vỏ hoặc mặt cắt ngang của tấm đáy (mm);
h : chiều dày của gờ được đo dọc theo trục lớn của lỗ khoét tính từ mặt ngoài của tấm đáy (mm)
tn : chiều dày thực của họng (mm);
Tnr: chiều dày quy định của họng (mm);
T : chiều thực của tấm vỏ hoặc tấm đáy (mm);
To : chiều dày quy định của tấm vỏ hoặc của tấm đáy trống (mm) được tính theo giả định hệ số sức bền mối nối bằng 1, trừ trường hợp khi các lỗ khoét và gia cường của nó hoàn toàn ở trong phần hình cầu của tấm đáy hình lòng đĩa, thì To là chiều dày quy định cho tấm đáy hình bán cầu có cùng bán kính với phần hình cầu của tấm đáy, hoặc khi lỗ khoét cùng với phần gia cường ở trong tấm đáy dạng nửa elip và toàn bộ nằm trong hình tròn trên tấm đáy với đường kính của đường tròn bằng 80% đường kính trong của vỏ thì To là chiều dày quy định của tấm đáy mặt bán cầu có bán kính đến 90% đường kính trong của vỏ.
7.6.3.4 Việc gia cường phải được thực hiện trong phạm vi có hiệu quả. Phạm vi hiệu quả của việc gia cường được giới hạn bởi hai đường dọc theo thành và hai đường song song với trục của lỗ khoét trên mặt thẳng đứng tới thành chứa tâm lỗ khoét. Chiều dài của bốn đường (Xem Hình 3/7.8) như sau:
(1) Chiều dài của những đường dọc theo thành phải là khoảng cách tính từ tâm lỗ khoét về mỗi phía và bằng giá trị lớn nhất trong các giá trị sau:
(a) Đường kính của lỗ khoét được gia công trên mặt cắt ngang (mm);
(b) Bán kính của lỗ khoét được gia công trên mặt cắt ngang cộng với chiều dày của thành và chiều dày thành của họng (mm).
(2) Chiều dài của các đường song song với trục của lỗ khoét tính từ mặt của thành phải bằng trị số nhỏ hơn trong các giá trị sau (mm):
(a) 2,5 lần chiều dày của thành (mm);
(b) 2,5 lần chiều dày thành của họng cộng với chiều dày của bất kỳ chi tiết gia cường nào trừ phần kim loại hàn.
7.6.3.5 Bất kỳ phần nào dày hơn chiều dày quy định của vỏ, tấm đáy hoặc họng nối được tính theo yêu cầu trong 7.5.2 và kim loại được hàn đắp có thể được coi là phần gia cường, với điều kiện là nó nằm trong phạm vi hiệu quả của phần gia cường. Khi đó diện tích của vỏ hoặc tấm đáy có thể gia cường phải là trị số lớn nhất trong các diện tích được tính theo các công thức sau:
a = d1(T-T0)
a = 2(T-T0)(T+tn)
7.6.3.6 Khi ứng suất cho phép của vật liệu gia cường khác với ứng suất của vật liệu dùng làm vỏ, phải tiến hành hiệu chỉnh theo công thức sau:

trong đó:
KR : hệ số được nhân với diện tích gia cường và hệ số này không được vượt quá 1;
fs : ứng suất cho phép của vật liệu được sử dụng làm vỏ (MPa);
fR : ứng suất cho phép của vật liệu phần gia cường (MPa).
7.6.3.7 Lỗ khoét ở tấm đáy có thể được gia cường bằng gờ. Trong trường hợp này chiều cao của gờ không nhỏ hơn trị số tính được từ công thức sau:
(1) Khi chiều dày của tấm không lớn hơn 38 mm: h = 3T0
(2) Khi chiều dày của tấm lớn hơn 38 mm: h = T0 +76

Hình 3/7.8 - Phạm vi có hiệu quả của phần gia cường
7.7 Ống
7.7.1 Lắp ống
7.7.1.1 Ống phải được lắp vào mặt sàng nhờ nong rộng hoặc phương pháp thích hợp khác và ống phải được đặt nhô ra không ít hơn 6 mm qua một cổ hay đai của mặt tựa song song, trừ trường hợp lắp ống bằng hàn. Khi đầu ống được cố định bằng hàn phải xem xét để tránh biến dạng của ống do chênh lệch về dãn nở nhiệt của ống đối với ống.
7.7.1.2 Khi các ống nước được liên kết với mặt sàng bằng cách làm loe miệng ống thì góc trong của miệng loe không được nhỏ hơn 30o.
7.7.1.3 Lỗ ống phải được gia công sao cho ống được đặt khít trong đó. Khi ống hầu như trực giao với mặt sàng thì mặt tựa song song của các lỗ phải dày không dưới 10 mm. Khi các đầu ống không trực giao với mặt sàng ống thì chiều dày của lỗ ống vuông góc với mặt sàng không được nhỏ hơn 10 mm đối với ống có đường kính ngoài không quá 60 mm và không được nhỏ hơn 13 mm đối với ống có đường kính ngoài lớn hơn 60 mm.
7.7.1.4 Ở nồi hơi đứng có các ống khói nằm ngang thì mỗi ống khói xen kẽ ở các hàng ống ngoài thẳng đứng phải là ống giằng.
7.7.2 Chiều dày tối thiểu của ống
Chiều dày của ống được dùng cho nồi hơi không được được nhỏ hơn 2 mm đối với ống có đường kính ngoài nhỏ hơn 30 mm và không được nhỏ hơn 2,5 mm đối với ống có đường kính ngoài từ 30 mm trở lên.
7.7.3 Chiều dày của ống khói
Chiều dày của ống khói được tính theo công thức sau:

d : đường kính ngoài của ống khói (mm).
7.7.4 Chiều dày của ống chịu áp suất bên trong
Chiều dày của ống (ống bay hơi, ống nước vách, ống nước tuần hoàn, ống của thiết bị quá nhiệt, ống của bình hâm tiết kiệm, ống bình hâm tiết kiệm khí xả...) chịu áp suất bên trong được tính theo công thức:

trong đó:
d : đường kính ngoài của ống (mm)
7.8 Nối ghép các bộ phận
7.8.1 Nối bằng hàn
7.8.1.1 Kích thước và hình dạng của mép hàn được chuẩn bị phải sao cho mối hàn ngấu, không có khuyết tật. Mỗi mối hàn phải được thiết kế sao cho không phải chịu ứng suất uốn lớn quá. Khi kết cấu có ứng suất uốn tập trung ở chân mối hàn do biến dạng gây ra bởi uốn phải tránh hàn nối góc hoặc mối hàn giáp mép đơn.
7.8.1.2 Khi các tấm có chiều dày khác nhau được nối bằng mối hàn giáp mép thì tấm dày hơn phải được vát mép để giảm dần chiều dày trong khoảng không nhỏ hơn bốn lần khoảng chênh lệch chiều dày giữa hai tấm sao cho 2 tấm có chiều dày bằng nhau ở chỗ được hàn. Trong trường hợp này, việc làm vát có thể được thực hiện ở một phía chỉ đối với những mối nối theo chu vi của vỏ, với những mối nối dọc việc vát mép phải được thực hiện ở cả hai phía sao cho đường tâm của cả hai tấm có thể trùng khớp. Trong trường hợp việc giảm chiều dày được thực hiện ở một phía của mối nối dọc, khoảng cách giữa đường tâm của mối hàn và điểm xuất phát của đường vát không được nhỏ hơn chiều dày của tấm mỏng hơn.
7.8.1.3 Mối nối theo chu vi hoặc dọc tấm vỏ phải là mối hàn hai phía hoặc mối hàn một phía được Đăng kiểm chấp nhận.
7.8.2 Hình dạng mối nối và ghép
Các mẫu mối nối hàn và ghép phải như được quy định ở Hình 3/7.9 hoặc tương đương, được Đăng kiểm chấp nhận.
7.8.3 Kết cấu các tấm nắp bắt bu lông
Kết cấu những tấm nắp phẳng không có giá đỡ được bắt bu lông vào vỏ được chỉ ra trong Hình 3/7.10 hoặc tương tự, được Đăng kiểm chấp nhận.
7.9 Phụ tùng
7.9.1 Vật liệu phụ tùng
7.9.1.1 Vật liệu của các miệng ống, gờ hay thanh giằng được gắn trực tiếp vào trống nồi hơi (kể cả các đầu ống) phải là thép thích hợp với nhiệt độ làm việc.
7.9.1.2 Trừ những điều đã được chỉ rõ trong 7.9.1.1 vật liệu làm hộp van hay các phụ tùng được lắp trên nồi hơi và chịu áp suất phải thích hợp với nhiệt độ làm việc và phải là thép, trừ những trường hợp sau:
(1) Vật đúc bằng hợp kim đồng có thể được sử dụng khi nhiệt độ làm việc tối đa không quá 210 oC;
(2) Vật đúc bằng gang xám có thể được sử dụng khi nhiệt độ làm việc tối đa không quá 220 oC và áp suất thiết kế quy định không quá 1 MPa, trừ các van xả;
(3) Gang đúc đặc biệt được chế tạo bởi nhà sản xuất được chấp nhận có thể được sử dụng khi nhiệt độ làm việc tối đa không quá 350 oC và áp suất thiết kế quy định không quá 2,5 MPa.
7.9.2 Kết cấu phụ tùng
7.9.2.1 Phụ tùng như van, bích nối, bulông, đai ốc, đệm... phải có kết cấu và kích thước phù hợp với các tiêu chuẩn được thừa nhận và chúng cũng phải phù hợp với những điều kiện phục vụ được ghi trong các tiêu chuẩn ấy.
7.9.2.2 Phải trang bị van đóng bằng tay cùng với thiết bị chỉ thị cho biết van đang đóng hay mở, trừ van kiểu cần nhô dài.
7.9.2.3 Các phụ tùng phải được lắp vào trống nồi hơi bằng mặt bích hoặc hàn. Tuy thế khi chiều dày của tang lớn hơn 12 mm hoặc đế có ren được cố định trên tang, thì các phụ tùng có đường kính danh nghĩa từ 32 mm trở xuống có thể được lắp thẳng vào nồi hơi bằng ren.
7.9.2.4 Khi các phụ tùng của nồi hơi được bắt chặt bằng các vít cấy, thì lỗ của vít cấy không được xuyên hết chiều dày của vỏ và chiều sâu của ren không nhỏ hơn đường kính của vít cấy.
7.9.3 Van an toàn và van xả áp
7.9.3.1 Mỗi nồi hơi phải có ít nhất hai van an toàn kiểu lò xo. Tuy thế chỉ một van an toàn cũng được chấp nhận cho các trường hợp sau:
(1) Nồi hơi có diện tích hấp nhiệt nhỏ hơn 10 m2;
(2) Nồi hơi có áp suất thiết kế quy định không quá 1 MPa, với điều kiện được trang bị thiết bị kiểm tra áp suất và thiết bị tự động cắt nhiên liệu khi áp suất vượt quá áp suất thiết kế quy định;
(3) Nồi hơi khí thải được lắp van xả áp được chỉ rõ trong 7.9.3.11.
7.9.3.2 Van an toàn có van dẫn hướng kiểu lò xo có thể được sử dụng thay cho van an toàn kiểu lò xo.
7.9.3.3 Đường kính đế van an toàn không được nhỏ hơn 25 mm, trừ những trường hợp được xét riêng.
7.9.3.4 Các van an toàn phải bắt đầu tự động xả hơi nước ở áp suất đã đặt theo yêu cầu trong 7.9.3.14 và phải có khả năng xả toàn bộ lượng hơi được sinh ra của nồi hơi trong điều kiện vận hành tối đa đã được thiết kế và áp suất nồi hơi không tăng quá 10% áp suất làm việc của nồi hơi.
7.9.3.5 Xét đến sự sinh hơi tối đa đã được thiết kế của nồi hơi, diện tích toàn bộ của các van an toàn không được nhỏ hơn diện tích quy định được tính trong từng trạng thái hơi nước và đối với mỗi kiểu van an toàn được quy định dưới đây. Tuy nhiên, van an toàn của nồi hơi có bộ quá nhiệt hơi phải phù hợp với những yêu cầu trong 7.9.3.7, 7.9.3.8 và 7.9.3.9. Hơn nữa đối với bất kỳ nồi hơi nào có bộ tíết kiệm khí thải được thiết kế để làm nóng thêm trong sử dụng thì diện tích quy định của các van an toàn phải được tính theo sự sinh hơi tối đa của nồi hơi được cộng với sự sinh hơi của bộ tiết kiệm khí thải.

D : đường kính mặt tựa của van an toàn (mm);
L : hành trình của van an toàn (mm);
A : diện tích yêu cầu của đế van an toàn (mm2);
A' : diện tích lỗ thông của van an toàn (mm2);
W : sản lượng sinh hơi thiết kế lớn nhất của nồi hơi (kg/h);
P : áp suất đặt cho van an toàn (MPa);
K1 = 4,8
K2 = 10,0
K3 = 20,0
K4 = 30,0
Tuy nhiên,, nếu thử và kiểm tra do Đăng kiểm chỉ định như thử lưu lượng hơi xả và đo độ nâng của van được tiến hành cho từng mẫu đầu tiên trong điều kiện tương đương với loại thực, trong các giá trị K1, K2, K3, K4 có thể nâng tới giá trị được Đăng kiểm chấp thuận trên cơ sở các kết quả này.
(2) Đối với hơi quá nhiệt:

trong đó:
As : diện tích quy định của đế van an toàn (mm2);
A : như đã được chỉ ra trong 7.9.3.5(1);
VH : thể tích riêng của hơi bão hòa (mm3/g);
Vs : thể tích riêng của hơi quá nhiệt (mm3/g).
7.9.3.6 Diện tích lối thông hơi của van an toàn phải bằng trị số dưới đây cho mỗi loại van an toàn.
(1) Diện tích tối thiểu lối thông hơi của van an toàn có hành trình thấp ở cửa vào hộp van không được nhỏ hơn 0,5 lần và ở cửa ra không được nhỏ hơn 1,1 lần diện tích quy định của mặt tựa van;
(2) Diện tích tối thiểu lối thông hơi của van an toàn có hành trình cao ở cửa vào hộp van không được nhỏ hơn 1,0 lần và ở cửa ra không được nhỏ hơn 2 lần diện tích quy định của mặt tựa van;
(3) Diện tích tối thiểu lối thông hơi của van nâng hết tại cửa vào không được nhỏ hơn 1,1 lần và ở cửa ra không nhỏ hơn 2 lần diện tích của lối thông hơi khi van được nâng lên 1/7 đường kính của mặt tựa van;
(4) Khi van mở, diện tích tối thiểu của lối thông hơi tại mặt tựa van không được nhỏ hơn 1,05 lần diện tích họng van. Ngoài ra diện tích tối thiểu của các lối thông hơi ở cửa vào van và họng không được nhỏ hơn 1,7 lần diện tích họng van và diện tích lối thông hơi tối thiểu ở cửa ra không được nhỏ hơn 2 lần diện tích tại mặt tựa van khi van mở.
7.9.3.7 Trong trường hợp nồi hơi có bộ quá nhiệt, thì phải có ít nhất một van an toàn lắp tại cửa ra của bộ quá nhiệt.
7.9.3.8 Khả năng xả của van an toàn lắp vào thiết bị quá nhiệt phải đảm bảo cho thiết bị quá nhiệt không bị hư hỏng khi nguồn cấp hơi chính bị đóng lại trong trường hợp sự cố trong khi nồi hơi đang hoạt động với tải ở công suất lâu dài lớn nhất. Khi yêu cầu này không được đáp ứng đầy đủ, thì phải có phương tiện để tự động đóng hoặc điều khiển việc cấp nhiên liệu cho nồi hơi trong trường hợp sự cố để bảo vệ thiết bị quá nhiệt khỏi hư hại.
7.9.3.9 Khi không có các thiết bị xen giữa thiết bị quá nhiệt và nồi hơi, thì diện tích của các van an toàn cho thiết bị quá nhiệt có thể được gộp vào tổng diện tích của các van an toàn của nồi hơi. Tuy nhiên,, tổng diện tích của các van an toàn lắp trên các phần sinh hơi của nồi hơi không được nhỏ hơn 0,75 lần diện tích quy định được tính theo công thức trong 7.9.3.5
| Phần hàn | Ký hiệu | Kiểu hàn và giá trị hằng số C1 | Ghi chú |
| (1) | A |
|
|
| (2) | B |
| Tf ³ 2Ts |
|
| C |
|
|
|
| D |
|
|
Hình 3/7.9 - Các ví dụ về mối hàn được chấp nhận cho từng trường hợp
| Phần hàn | Ký hiệu | Kiểu hàn và giá trị hằng số C1 | Ghi chú |
|
| E |
|
|
|
| F |
|
|
| (2) | G |
| T ³ 1,25Tro |
|
| H |
| T ³ 1,25Tro |
|
| I |
|
|
Hình 3/7.9 - Các ví dụ về mối hàn được chấp nhận cho từng trường hợp (tiếp theo)
| Phần hàn | Ký hiệu | Kiểu hàn và giá trị hằng số C1 | Ghi chú |
| (2) | J |
|
|
|
| A |
|
|
|
| B |
|
|
| (3) | C |
|
|
|
| D |
|
|
| (4) Mối hàn giữa vòng gờ hình chữ S và tấm vỏ | A |
| t ³ Ts |
| Phần hàn | Ký hiệu | Cách thức hàn | Ghi chú |
|
Mối hàn giữa vòng gờ hình chữ S và tấm vỏ | B |
| t ³ Ts |
| C |
| t ³ Ts | |
| D |
| t ³ Ts | |
| E |
|
|
Hình 3/7.9 - Các ví dụ về mối hàn được chấp nhận cho từng trường hợp (tiếp theo)
| Phần hàn | Ký hiệu | Cách thức hàn | Ghi chú |
| (5) | A |
|
|
| B |
|
| |
| C |
| Ở phía tiếp xúc với lửa e £ 1,5 | |
| D |
| Ở phía tiếp xúc với lửa h £ 10 và e £ 1,5 | |
| (6) Mối hàn giữa ống | A |
|
|
| Phần hàn | Ký hiệu | Cách thức hàn | Ghi chú |
| (6) Mối hàn giữa ống | B |
|
|
| C |
|
| |
| (7) Mối hàn giữa đế hoặc | A |
|
|
| B |
| ||
| C |
|
| |
| (8) | A |
|
|
Hình 3/7.9 - Các ví dụ về mối hàn được chấp nhận cho từng trường hợp (tiếp theo)
| Phần hàn | Ký hiệu | Cách thức hàn | Ghi chú |
| (8) | B |
|
|
| C |
| ||
| D |
| ||
| E |
|
| |
| F |
|
Chú thích:
(1) Hằng số C1 là trị số dùng cho công thức ở 7.5.5;
(2) Kích thước các phần hàn là trị số nhỏ nhất;
(3) Đơn vị của các trị số ở các hình đều là mm;
(4) Kích thước (đơn vị: mm) của các ký hiệu đặc trưng ở các hình như sau:
Ts : chiều dày thực của tấm vỏ;
Th : chiều dày thực của tấm đáy được tạo hình;
Te : chiều dày thực của tấm đáy phẳng hoặc tấm nắp;
Tro: chiều dày quy định của vỏ không ghép nối;
Tp : chiều dày thực của mặt sàng hoặc tấm đáy phẳng (tấm đáy được tạo hình);
Trf : chiều dày quy định của tấm vòng bệ lò;
Tk : chiều dày thực của ống hay ống giằng;
Tn : chiều dày thực của họng lắp phụ tùng;
tm : giá trị nhỏ của tấm được hàn nhưng lớn nhất là 20 mm.
| Phương pháp nối | Kích thước và hình dạng | C3 |
|
Bu lông có đệm kín phủ toàn bộ bề mặt |
|
|
|
|
|
0,3
|
Hình 3/7.10 - Các ví dụ về kiểu nối bu lông các nắp đậy và mặt sàng
7.9.3.10 Các van an toàn phải được lắp riêng biệt trên cửa vào và cửa ra của bầu hâm độc lập hoặc bộ quá nhiệt độc lập và tổng sản lượng xả không được nhỏ hơn lượng hơi đi qua lớn nhất. Tổng sản lượng xả của các van an toàn đặt trên đường ra của nó phải nhỏ hơn lượng hơi cần thiết để giữ cho nhiệt độ hơi của bầu hâm độc lập hoặc bộ quá nhiệt độc lập không cao hơn trị số thiết kế.Tuy nhiên, đối với bộ quá nhiệt độc lập được nối trực tiếp với nồi hơi được thiết kế có cùng áp suất thiết kế quy định như của nồi hơi thì có thể lắp ở cửa ra một van an toàn có khả năng xả một lượng hơi đủ để giữ cho nhiệt độ hơi của bộ quá nhiệt độc lập không cao hơn trị số thiết kế.
7.9.3.11 Đối với bộ tiết kiệm và bộ tiết kiệm khí thải (kể cả bộ phận hấp nhiệt của nồi hơi khí thải) được trang bị van xen giữa nồi hơi và bộ tiết kiệm hoặc bộ tiết kiệm khí thải phải lắp các van xả áp có khả năng xả một lượng hơi không ít hơn trị số tính toán từ năng lượng hấp thụ lớn nhất.
7.9.3.12 Kết cấu của van an toàn phải tuân theo các yêu cầu sau:
(1) Van an toàn phải có kết cấu sao cho lò xo và van phải được đặt trong hộp van và chúng không thể bị quá tải được đặt trước từ bên ngoài và trong trường hợp lò xo bị hỏng cũng không thể bị rơi ra khỏi hộp van;
(2) Van an toàn phải được lắp vào vỏ nồi hơi, bầu góp hoặc đầu ống ra của bộ quá nhiệt bằng mối nối bích hoặc mối nối hàn. Hộp van an toàn không được làm chung với các hộp van khác. Tuy nhiên, van an toàn của bộ quá nhiệt có thể được lắp bằng bích vào các ống lắp van được hàn vào đầu ống ra;
(3) Van an toàn của nồi hơi phải có cơ cấu thuận tiện và tay van phải được bố trí sao cho có thể thao tác được từ chỗ dễ tiếp cận mà không bị nguy hiểm;
(4) Lỗ thoát nước được định cỡ chính xác phải được bố trí ở phần thấp nhất của hộp van an toàn ở phía xả. Ống thoát nước phải được dẫn tới nơi an toàn ở xa nồi hơi. Không được lắp bất cứ van hoặc vòi nào trên ống đó.
7.9.3.13 Ống hơi thải của van an toàn phải tuân theo các yêu cầu sau:
(1) Đường ống hơi thải của van an toàn phải được kết cấu sao cho lực cản thoát không gây trở ngại cho hoạt động của van. Đường kính trong của ống hơi thải không được nhỏ hơn đường kính cửa ra của van và phải được thiết kế ở áp suất bằng hoặc lớn hơn 1/4 áp suất đặt của van an toàn;
(2) Khi đường ống hơi thải được thiết kế chung cho hai hay nhiều van an toàn thì diện tích tiết diện ngang của ống không nhỏ hơn tổng diện tích lỗ thoát hơi của các van an toàn đó. Các ống hơi thải của van an toàn cho nồi hơi phải được tách biệt với các đường ống có thể bao gồm một số lượng lớn ống xả như các ống xả hơi nước ra khí quyển hay ống hơi nước thải của van an toàn của bộ tiết kiệm khí thải.
7.9.3.14 Sau khi lắp đặt trên tàu van an toàn hay van xả áp phải được đặt chế độ làm việc phù hợp với những yêu cầu từ (1) đến (5) sau đây:
(1) Van an toàn phải được đặt mức xả hơi tự động ở áp suất không lớn hơn 1,03 lần áp suất làm việc quy định của nồi hơi;
(2) Van an toàn của bộ quá nhiệt phải được đặt mức xả hơi tự động ở áp suất không lớn hơn trị số đạt được khi trừ áp suất đã dặt của van an toàn lắp trên trống nồi hơi một trị số bằng 0,035 MPa cộng với độ giảm áp suất hơi trong bộ quá nhiệt ở tải bình thường
Tuy nhiên, khi áp suất này vượt quá 1,03 lần áp suất định mức của nồi hơi thì ít nhất một van an toàn phải được đặt mức xả hơi ở áp suất không quá 1,03 lần áp suất định mức và các van khác xả ở áp suất không quá 1,05 lần áp suất định mức;
(3) Áp suất xả của van an toàn ở cửa ra của bộ quá nhiệt phải được đặt ở mức thấp hơn áp suất ở cửa vào;
(4) Áp suất xả của van xả áp lắp trên bộ tiết kiệm hoặc bộ tiết kiệm khí thải được đặt ở áp suất không lớn hơn áp suất thiết kế tương ứng đã quy định;
(5) Van an toàn hoặc van xả áp phải hoạt động tốt khi xả ở áp suất đã được đặt theo những yêu cầu tương ứng từ (1) đến (4).
7.9.3.15 Khi lưu lượng xả tính toán của van an toàn không phù hợp với quy định ở 7.9.3.5 vì sự giảm áp suất làm việc quy định của nồi hơi, nó có thể được chấp nhận với điều kiện việc thử tích hơi đã được thực hiện thỏa mãn yêu cầu của Đăng kiểm và được xác nhận rằng áp suất trong trống nồi hơi không vượt quá 110% áp suất làm việc quy định.
7.9.4 Nối ống hơi nước
7.9.4.1 Van chặn phải được lắp trực tiếp trên trống nồi hơi ở mỗi đường hơi ra.
7.9.4.2 Khi hơi từ hai nồi hơi trở lên được dẫn tới một ống dẫn hơi nước chung, thì van chặn được trang bị ở mỗi cửa dẫn hơi ra như yêu cầu ở điều 7.9.4.1 phải là van chặn một chiều và một van chặn thêm vào giữa van chặn một chiều với điểm nối ống hơi.
7.9.4.3 Trên tàu có từ hai nồi hơi chính hoặc hai nồi hơi phụ thiết yếu trở lên thì đường ống hơi phải được dẫn sao cho việc cấp hơi nước liên tục cho các máy phụ dùng dể quay trở tàu và đảm bảo an toàn ngay cả trong trường hợp hư hỏng có thể xảy ra ở một trong các nồi hơi này.
7.9.5 Hệ thống nước cấp
7.9.5.1 Phải có một van chặn lắp vào chỗ nối ống nước cấp và một van chặn một chiều ở điểm sát với van chặn đến mức có thể thực hiện được. Bộ điều chỉnh cung cấp nước được chấp thuận có thể được đặt giữa van chặn một chiều và van chặn.
7.9.5.2 Bất kể các yêu cầu ở 7.9.5.1, khi nồi hơi có bộ tiết kiệm được coi là một phần của nồi hơi, thì có thể đặt một van chặn nước cấp tại cửa vào của bộ tiết kiệm. Khi đó phải có van chặn một chiều đặt ở điểm sát với van chặn đến mức có thể thực hiện được.
7.9.5.3 Phần trống nồi hơi nơi nước cấp được dẫn vào phải có các ống bọc hoặc thiết bị thích hợp khác sao cho không có ứng suất nhiệt quá cao do tiếp xúc trực tiếp của nước cấp lạnh với tang. Yêu cầu này cũng áp dụng cho bộ giảm quá nhiệt nếu có trong trống nồi hơi, khi mà các ống hơi nước quá nhiệt xuyên qua trống. Ngoài ra việc xả nước cấp trong trống phải được phân bố sao cho nước không tiếp xúc trực tiếp vào bề mặt hấp nhiệt đang ở nhiệt độ cao của nồi hơi .
7.9.6 Hệ thống xả
7.9.6.1 Mỗi nồi hơi phải được trang bị một van xả lắp trực tiếp vào trống sao cho nước của nồi hơi có thể xả từ đáy của khoang chứa nước của nồi. Đường kính danh nghĩa của van không được nhỏ hơn 25 mm nhưng không cần quá 65 mm, trừ trường hợp nồi hơi có diện tích mặt hấp nhiệt bằng hoặc nhỏ hơn 10 m2 van xả có thể có đường kính danh nghĩa bằng 20 mm.
7.9.6.2 Khi đường ống xả tiếp xúc với ống khói thì chúng phải được bảo vệ bằng các vật liệu cách nhiệt và được bố trí sao cho việc kiểm tra chúng được dễ dàng .
7.9.6.3 Áp suất thiết kế cho ống xả không được nhỏ hơn 1,25 lần áp suất thiết kế của nồi hơi.
7.9.6.4 Van xả phải có kết cấu sao cho không bị lắng đọng cáu, cặn.
7.9.6.5 Khi đường ống xả của hai nồi hơi trở lên được ghép vào một đường xả chung thì phải có một van chặn một chiều trên mỗi đường ống của mỗi nồi hơi.
7.9.7 Hệ thống đốt nhiên liệu
7.9.7.1 Vòi phun dầu
Vòi phun dầu phải được bố trí sao cho không thể rút vòi ra trừ khi nguồn cấp dầu cho các vòi phun này được khóa.
7.9.7.2 Quạt thông gió
Các nồi hơi phải có quạt thông gió có đủ sản lượng cho sản lượng hơi nước thiết kế lớn nhất của nồi hơi và đảm bảo sự đốt cháy ổn định trong phạm vi hoạt động của nồi. Phải có các phương tiện thay thế có thể bảo đảm chắc chắn cho việc hành tàu bình thường và cấp nhiệt cho hàng có yêu cầu hâm liên tục trong trường hợp quạt thông gió hư hỏng.
7.9.8 Thiết bị chỉ báo mức nước
7.9.8.1 Mỗi nồi hơi phải có ít nhất hai thiết bị chỉ báo mức nước độc lập, một trong số đó phải là thước chỉ mức nước bằng thủy tinh và chiếc kia phải tuân theo một trong các yêu cầu sau:
(1) Thước chỉ báo mức nước bằng thủy tinh được đặt ở nơi mà mức nước dễ đọc nhất;
(2) Thiết bị chỉ báo mức nứơc từ xa, nhưng khi nồi hơi có áp suất thiết kế từ 1 MPa trở xuống có thể thay bằng thiết bị báo động mức nước cao và thấp.
7.9.8.2 Đối với nồi hơi tuần hoàn cưỡng bức hay nồi hơi dòng thẳng khi các yêu cầu trong 7.9.8.1 không thể áp dụng để chỉ báo mức nước thì phải trang bị thiết bị chỉ báo mức nước thích hợp và thiết bị an toàn cho mức nước thấp gồm hai bộ chỉ báo được thiết kế để ngăn sự quá nhiệt cho bất cứ phần nào của nồi hơi do thiếu nước cấp.
7.9.8.3 Trong trường hợp khi mà khoang nước trong nồi hơi đặt dọc theo chiều ngang của tàu hoặc sự chênh lệch mức nước quá nhiều có thể xảy ra thì các thiết bị chỉ báo mức nước được chỉ ra trong 7.9.8.1 phải được bố trí sao cho chỉ báo được mực nứơc ở cả hai đầu của khoang nước.
7.9.8.4 Phần thấp nhất có thể nhìn thấy của thước chỉ mức nước bằng thước thủy tinh không được nhỏ hơn 50 mm ở trên mức nước giới hạn thấp nhất. Phạm vi nhìn thấy được của thiết bị chỉ báo mức nước từ xa phải bao hàm tất cả các khoảng có liên quan tới việc kiểm tra mức nước trong nồi hơi.
7.9.8.5 Kết cấu của thiết bị chỉ báo mực nứơc phải tuân theo những yêu cầu sau:
(1) Cấu tạo của thước chỉ báo bằng thủy tinh phải là kiểu hộp tiết diện hình chữ nhật (kiểu tấm kép) theo các tiêu chuẩn đã được công nhận hoặc tương đương, được Đăng kiểm chấp thuận;
(2) Khi thước đo mức nước được đặt ở bên ngoài nồi hơi thì phải có van chặn (hoặc vòi) lắp riêng trên đỉnh và đáy của thước và thêm vào đó phải có một thiết bị xả có hiệu quả.
(3) Khi thước đo nước hoặc ống thủy được nối bằng ống với với trống nồi hơi thì phải lắp một van chặn vào trống nồi hơi;
(4) Các van chặn (hay vòi) dùng cho thước đo nước và đường ống nối với trống nồi hơi phải có dạng không bị lắng cặn hoặc cáu bẩn khác từ nước của nồi hơi;
(5) Ống thủy và thước đo nước được bắt vào đó phải được đỡ chắc chắn sao cho có thể duy trì được vị trí đúng của nó. Đường kính trong của ống thủy không được nhỏ hơn 45 mm và ở đáy phải có lỗ xả có kích thước đủ lớn;
(6) Các ống nối với trống nồi hơi phải có đường kính danh nghĩa bằng hay lớn hơn 15 mm dùng cho thước đo nước và bằng hay lớn hơn 25 mm cho ống thủy;
(7) Khi ống nối từ ống thủy tới nồi hơi xuyên qua ống thông hơi thì toàn bộ đoạn qua ống thông hơi phải được bọc kín và phải bố trí các lỗ không khí không nhỏ hơn 50 mm quanh các ống.
7.9.9 Các thiết bị đo áp suất và nhiệt độ
7.9.9.1 Mỗi nồi hơi phải có một bộ thiết bị đo áp suất trên trống nồi hơi và một bộ ở cửa ra của bộ quá nhiệt và các đồng hồ áp suất phải được bố trí tại các trạm điều khiển.
7.9.9.2 Đồng hồ đo áp suất phải có thang chia tới 1,5 lần hay cao hơn áp suất của van an toàn. Áp suất làm việc quy định đối với trống nồi hơi hoặc áp suất chuẩn đối với bộ quá nhiệt phải được đánh dấu riêng trên thang chia của đồng hồ áp suất tương ứng.
7.9.9.3 Thiết bị đo và chỉ báo áp suất phải làm việc khi nồi hơi đang được vận hành.
7.9.9.4 Phải có các thiết bị đo nhiệt độ ở cửa hơi nước của bộ quá nhiệt hoặc bầu hâm.
7.9.10 Thiết bị an toàn và thiết bị báo động
7.9.10.1 Thiết bị cắt dầu đốt
Mỗi nồi hơi phải có thiết bị an toàn có khả năng tự động cắt việc cấp nhiên liệu cho toàn bộ vòi phun trong các trường hợp sau:
Các tín hiệu báo động chỉ báo sự hoạt động của thiết bị an toàn phải phù hợp với 14.2.6.2.
(1) Khi đánh lửa tự động không thành;
(2) Khi mất lửa (trong trường hợp này việc cấp dầu phải được cắt trong vòng 4 giây sau khi mất lửa);
(3) Khi mức nước hạ xuống;
(4) Khi việc cung cấp không khí cho sự cháy bị ngừng;
(5) Khi áp suất cấp nhiên liệu cho các vòi phun hạ xuống trong trường hợp phun nhiên liệu bằng áp suất, hoặc khi áp suất hơi nước đến các vòi phun hạ xuống trong trường hợp phun nhiên liệu bằng hơi nước;
(6) Khi Đăng kiểm cho là cần thiết.
7.9.10.2 Thiết bị báo động
(1) Mỗi nồi hơi phải có thiết bị báo động hoạt động khi mức nước trong trống nồi hơi hạ xuống;
(2) Ngoài yêu cầu nói trên các nồi hơi chính phải có thiết bị báo động làm việc trong các trường hợp sau:
(a) Khi việc cấp không khí đốt bị giảm hoặc khi quạt thông gió dừng;
(b) Khi áp suất nhiên liệu được cấp cho các vòi phun hạ xuống (trường hợp phun dầu bằng áp suất), hay khi áp suất hơi nước cho các vòi phun hạ xuống (trường hợp phun bằng hơi nước);
(c) Khi mức nước trong trống nồi hơi đạt tới mức cao;
(d) Khi nhiệt độ hơi nước ở cửa ra của bộ quá nhiệt tăng lên (khi có bộ quá nhiệt);
(e) Khi nhiệt độ khí thải tại cửa ra của bộ hâm nóng không khí kiểu khí hay kiểu bộ tiết kiệm tăng lên.
(3) Đối với các nồi hơi phụ cấp hơi nước cho các tua bin lai máy phát điện chính thì thiết bị báo động sẽ hoạt động khi mức nước trong trống nồi hơi đạt tới mức cao thì phải có thêm các thiết bị báo động nêu trong (1) trên.
7.9.10.3 Thiết bị chỉ báo mức nước
Các bộ chỉ báo mức nước của các thiết bị được quy định trong 7.9.10.1(3) phải được tách riêng ra khỏi các thiết bị của hệ thống điều chỉnh nước cấp và thiết bị chỉ báo mức nước từ xa được quy định trong 7.9.8.1(2).
7.9.11 Kiểm tra nước nồi hơi
7.9.11.1 Mỗi nồi hơi phải có ống nối để lấy mẫu nước nồi hơi ở vị trí thuận lợi, nhưng van lấy mẫu không được nối với ống thủy của thiết bị chỉ mức nước.
7.9.11.2 Nồi hơi phải có các phương tiện như bộ phân tích nước hoặc thiết bị thích hợp khác để giám sát và kiểm tra chất lượng của nước cấp và nước nồi hơi.
7.9.12 Thiết bị tháo nước của bộ quá nhiệt và bầu hâm
Bộ quá nhiệt và bầu hâm phải có các hệ thống tháo nước có hiệu quả và các phương tiện phòng hư hỏng xảy ra do ứng suất nhiệt hoặc sự thay đổi nhiệt độ đột ngột.
7.10 Thử nghiệm
7.10.1 Thử tại xưởng
7.10.1.1 Thử mối hàn phải theo các yêu cầu trong Phần 6B của Quy phạm này.
7.10.1.2 Nồi hơi phải được thử thủy lực ở áp suất bằng 1,5 lần áp suất thiết kế của nồi hơi và 2 lần áp suất thiết kế cho các phụ tùng.
7.10.2 Thử nghiệm sau khi lắp lên tàu
Nồi hơi phải được thử mở van an toàn và thử hoạt động của các thiết bị an toàn và các thiết bị tín hiệu báo động phải được thực hiện sau khi đã được lắp đặt lên tàu.
7.11 Kết cấu nồi hơi nhỏ
7.11.1 Quy định chung
Bất kể các yêu cầu trong các điều từ 7.2 dến 7.10, những yêu cầu trong 7.11 có thể được áp dụng cho nồi hơi có áp suất thiết kế không quá 0,35 MPa (sau đây gọi là "Nồi hơi nhỏ").
7.11.2 Vật liệu, kết cấu, sức bền và phụ tùng của nồi hơi nhỏ
7.11.2.1 Vật liệu, kết cấu, sức bền và phụ tùng của nồi hơi nhỏ phải tuân theo những yêu cầu trong các tiêu chuẩn đã được công nhận.
7.11.2.2 Nồi hơi nhỏ phải có các van an toàn hoặc ống xả áp có đủ dung lượng.
7.11.2.3 Nồi hơi nhỏ phải có các thiết bị an toàn sau:
(1) Hệ thống làm sạch trước để đề phòng nổ khí lò;
(2) Hệ thống ngừng cấp dầu đốt hoạt động trong trường hợp mất lửa, hỏng bộ đánh lửa tự động hoặc quạt thông gió ngừng làm việc;
(3) Hệ thống ngừng cấp dầu đốt hoạt động khi áp suất vượt quá áp suất làm việc đã quy định;
(4) Hệ thống ngừng cấp dầu đốt để ngăn ngừa quá nhiệt ở trường hợp nước cạn.
7.11.3 Thử nghiệm
7.11.3.1 Thử ở xưởng
Các bộ phận chịu áp suất phải được thử thủy lực ở áp suất bằng 2 lần áp suất thiết kế hoặc 0,2 MPa lấy trị số nào lớn hơn .
7.11.3.2 Thử sau khi lắp lên tàu
Nồi hơi nhỏ sau khi lắp lên tàu phải tiến hành thử hoạt động của các thiết bị an toàn được quy định trong 7.11.2.3.
CHƯƠNG 8 -
BÌNH CHỊU ÁP LỰC
8.1 Quy định chung
8.1.1 Phạm vi áp dụng
8.1.1.1 Các yêu cầu trong Chương này áp dụng cho các bình chứa khí hay chất lỏng chịu áp suất vượt quá áp suất khí quyển kể cả các thiết bị trao đổi nhiệt nhưng không tiếp xúc với lửa, khí cháy hay khí nóng.
8.1.1.2 Đối với các thiết bị trao đổi nhiệt có áp suất bên trong nhỏ hơn áp suất khí quyển cũng áp dụng những yêu cầu tương ứng trong Chương này (khi áp suất trên áp kế của bình có giá trị âm thì phải thay bằng áp suất dương có cùng trị số).
8.1.2 Áp suất thiết kế
8.1.2.1 Áp suất thiết kế được dùng cho tính toán sức bền của từng chi tiết kết cấu của bình chịu áp lực không được nhỏ hơn trị số lớn nhất trong các trị số sau:
(1) Áp suất làm việc đã được duyệt là áp suất lớn nhất trong thân bình;
(2) Áp suất làm việc lớn nhất ở nhiệt độ lớn nhất (nhiệt độ làm việc lớn nhất) được nhà chế tạo quy định;
(3) Trong trường hợp bình chịu áp lực dùng chứa khí hóa lỏng được giữ trong trạng thái có tăng áp ở nhiệt độ khí quyển hay gần nhiệt độ khí quyển là áp suất sau đây, lấy giá trị nào lớn hơn:
(a) Áp suất hơi của khí ở 45 0C;
(b) Áp suất làm việc lớn nhất;
(c) 0,7 MPa.
8.1.3 Phân loại bình chịu áp lực
8.1.3.1 Các bình chịu áp lực được phân thành 3 nhóm tùy theo chiều dày tấm vỏ và điều kiện làm việc của chúng.
(1) Các bình chịu áp lực nhóm I (PV-1)
Các bình chịu áp lực phù hợp với một trong những mục sau:
(a) Tấm vỏ dày hơn 38 mm (xem Chú thích 1);
(b) Áp suất thiết kế lớn hơn 4 MPa (xem Chú thích 1);
(c) Nhiệt độ làm việc lớn nhất cao hơn 350 oC;
(d) Thiết bị sinh hơi có áp suất thiết kế cao hơn 0,35 MPa.
(e) Bình chứa khí dễ cháy áp suất cao có áp suất khí không nhỏ hơn 0,2 MPa ở 38 oC (xem Chú thích 2).
Chú thích:
1) Bình chịu áp lực có tấm vỏ dày hơn 38 mm hoặc áp suất thiết kế cao hơn 4 MPa nhưng chỉ chịu áp suất thủy tĩnh của dầu hay nước ở nhiệt độ khí quyển thì được phân là loại “PV-2”;
2) Những yêu cầu đối với “PV-2” áp dụng cho các vật liệu, kết cấu và hàn khi bình chịu áp lực có dung tích không quá 500 lít.
(2) Bình chịu áp lực nhóm II (PV-2)
Bình chịu áp lực phù hợp với một trong những mục sau:
(a) Tấm vỏ dày hơn 16 mm;
(b) Áp suất thiết kế lớn hơn 1 MPa;
(c) Nhiệt độ làm việc tối đa lớn hơn 150 oC;
(d) Thiết bị sinh hơi với áp suất thiết kế không quá 0,35 MPa.
(3) Bình chịu áp lực nhóm III (PV-3)
Các bình chịu áp lực không nằm trong các nhóm I và II.
8.1.3.2 Loại bình chịu áp lực chứa chất nguy hiểm không quy định ở 8.1.3.1 sẽ được Đăng kiểm xem xét từng trường hợp cụ thể phù hợp với tính chất của chất đó và điều kiện làm việc v.v...
8.1.4 Bản vẽ và tài liệu trình duyệt
Các bản vẽ và tài liệu cần phải trình duyệt như nêu dưới đây. Tuy nhiên đối với các bình chịu áp lực thuộc nhóm III không phải trình nếu Đăng kiểm không có yêu cầu riêng.
(1) Các bản vẽ (có chỉ rõ loại và kích thước vật liệu)
(a) Bố trí chung;
(b) Các chi tiết về thân bình;
(c) Bố trí các thiết bị xả áp;
(d) Các bản vẽ khác mà Đăng kiểm thấy cần thiết.
(2) Tài liệu
(a) Thuyết minh các đặc tính kỹ thuật;
(b) Quy trình hàn, vật liệu hàn và điều kiện hàn;
(c) Các tài liệu khác mà Đăng kiểm thấy cần thiết.
8.2 Vật liệu và hàn
8.2.1 Vật liệu
8.2.1.1 Vật liệu dùng làm các chi tiết chịu áp suất của bình chịu áp lực phải thích hợp với điều kiện làm việc của chúng và tuân theo những yêu cầu trong các mục từ (1) đến (3) dưới đây. Tuy vậy những vật liệu đặc biệt được dùng phải trình đầy đủ các thông tin có liên quan với việc thiết kế và cách sử dụng của loại vật liệu đó cho Đăng kiểm để xét duyệt.
(1) Bình chịu áp lực nhóm I (PV-1)
Mọi vật liệu phải tuân theo các quy định ở Phần 6A của Quy phạm này.
(2) Bình chịu áp lực nhóm II (PV-2)
Giống như nhóm I. Tuy nhiên bình chịu áp lực tương ứng với một trong những quy định sau thì vật liệu có thể theo những quy định ở (3)
(a) Áp suất thiết kế dưới 0,7 MPa;
(b) Áp suất thiết kế không quá 2 MPa, nhiệt độ làm việc tối đa không quá 150 oC và dung tích không quá 500 lít.
(3) Bình chịu áp lực nhóm III (PV- 3)
Các vật liệu tuân theo các quy định trong các tiêu chuẩn đã được công nhận đều được sử dụng.
8.2.1.2 Bất kể các yêu cầu trong 8.2.1.1(1) và 8.2.1.1(2), vật liệu của các phụ tùng được lắp vào các bình chịu áp lực thuộc nhóm I, II như van, các họng để lắp phụ tùng... có thể lấy theo các quy định ở 8.2.1.1(3) khi được Đăng kiểm đồng ý sau khi xem xét kích thước và điều kiện làm việc.
8.2.2 Giới hạn sử dụng gang
8.2.2.1 Không được dùng gang xám làm thân các bình chịu áp lực sau:
(1) Nhiệt độ làm việc tối đa cao hơn 220 0C hoặc áp suất thiết kế lớn hơn 1 MPa;
(2) Chứa hoặc giữ các chất dễ cháy hoặc độc.
8.2.2.2 Các loại gang đúc đặc biệt như gang graphít cầu có thể được dùng làm bình chịu áp lực với nhiệt độ làm việc tối đa không quá 350 0C và áp suất thiết kế không quá 1,8 MPa khi được sự đồng ý của Đăng kiểm.
8.2.3 Giới hạn sử dụng các vật liệu dùng làm phụ tùng
Giới hạn sử dụng các vật liệu dùng làm phụ tùng phải tuân theo các quy định ở 7.9.1. Đối với các phụ tùng của bình chịu áp lực dùng để chứa hoặc giữ các chất dễ cháy, độc thì không được dùng gang nếu không được sự chấp thuận của Đăng kiểm.
8.2.4 Xử lí nhiệt các tấm thép
Khi tiến hành xử lí nhiệt như tạo hình nóng hay khử ứng suất trên thép tấm trong quá trình chế tạo bình chịu áp lực nhà chế tạo phải thông báo ý định cùng với đơn đặt hàng vật liệu.
8.2.5 Xử lí nhiệt cho vật liệu định hình nguội
Phải tiến hành biện pháp thích hợp như xử lí nhiệt khi định hình nguội được coi là có hại cho vật liệu làm bình chịu áp lực khi bình được sử dụng trong môi trường có thể xảy ra ứng suất do ăn mòn, nứt.
8.2.6 Thử không phá hủy đối với thép đúc và gang
8.2.6.1 Thép đúc và gang được dùng làm vỏ bình chịu áp lực nhóm I chịu áp suất bên trong phải được kiểm tra bằng chụp X quang, hay bằng siêu âm cũng như bằng hạt từ tính hoặc bằng thấm màu để khẳng định rằng chúng không có khuyết tật có hại.
8.2.6.2 Thép đúc và gang được dùng làm vỏ bình chịu áp lực nhóm II chịu áp suất bên trong phải thử không phá hủy thỏa đáng để khẳng định rằng chúng không có khuyết tật có hại.
8.2.7 Hàn
Thợ hàn bình chịu áp lực phải phù hợp với những yêu cầu trong Phần 6B của Quy phạm này.
8.3 Yêu cầu về thiết kế
8.3.1 Ký hiệu
Nếu không có chỉ dẫn đặc biệt nào khác, các ký hiệu được dùng trong Chương này như sau:
f : ứng suất cho phép (MPa) phù hợp với các yêu cầu trong 8.4.1.1,8.4.1.2 hoặc 9.2.1;
a : lượng dư ăn mòn (mm) phù hợp với yêu cầu trong 8.4.3;
Tr: chiều dày quy định (mm) được tính toán theo áp suất thiết kế. áp suất cho phép là áp suất có được khi thay chiều dày quy định bằng chiều dày thực trong công thức;
P : áp suất thiết kế (MPa);
J : giá trị nhỏ nhất của hệ số sức bền mối nối được quy định ở 8.4.2;
R : bán kính trong của vỏ (mm);
R20: giới hạn bền kéo của vật liệu đang xét ở nhiệt độ 20 0C (MPa);
E20 : giới hạn chảy nhỏ nhất (hoặc giới hạn chảy quy ước) của vật liệu đang xét ở nhiệt độ 20 0C (MPa).
8.3.2 Tải trọng thiết kế
Trong thiết kế bình chịu áp lực các tải trọng sau phải được đưa vào tính toán, khi cần thiết, cộng với áp suất bên trong.
(1) Cột áp tĩnh của chất lỏng trong bình;
(2) Áp suất ngoài;
(3) Tải trọng động gây ra do chuyển động của tàu;
(4) Ứng suất nhiệt;
(5) Tải trọng từ các phụ tùng;
(6) Tải trọng do các phản lực từ các kết cấu đỡ;
(7) Tải trọng áp suất thử thủy lực;
(8) Các tải trọng khác hay ngoại lực tác động lên bình chịu áp lực.
8.3.3 Bình chịu áp lực dạng không thông thường
Khi việc thiết kế theo các yêu cầu trong 8.5 và 8.6 là không hợp lý do phần chịu áp suất có hình dạng không thông thường thì ứng suất hoặc sự biến dạng dưới tác động của tải trọng tương ứng phải được đo với sự đồng ý của Đăng kiểm và Đăng kiểm sẽ xem xét chúng theo các yêu cầu trong 8.5 và 8.6 cùng với kết quả đo đạc.
8.3.4 Những lưu ý về thiết kế
8.3.4.1 Bình chịu áp lực làm việc ở nhiệt độ thấp phải có đủ độ vững chắc để chịu được nhiệt độ làm việc thấp nhất theo yêu cầu.
8.3.4.2 Bình chịu áp lực được dùng trong môi trường ăn mòn mạnh phải có các biện pháp kiểm tra ăn mòn có hiệu quả.
8.3.4.3 Các thiết bị trao đổi nhiệt phải có cơ cấu làm kín có hiệu quả tại chỗ nối các ống với mặt sàng và mặt sàng với vỏ sao cho tránh được sự trộn lẫn của hai loại chất lỏng trao đổi nhiệt.
8.3.5 Các lưu ý về lắp đặt
8.3.5.1 Bình chịu áp lực phải được lắp đặt sao cho có thể giảm tối đa các tác động do chuyển động của tàu, chấn động từ các hệ thống máy, các ngoại lực do ống dẫn và các giá đỡ cũng như sự dãn nở vì nhiệt do sự khác biệt về nhiệt độ.
8.3.5.2 Bình chịu áp lực và các phụ tùng của nó phải được bố trí tại các vị trí thuận tiện cho vận hành, sửa chữa và kiểm tra.
8.4 Ứng suất cho phép, hệ số sức bền mối nối và lượng dư ăn mòn
8.4.1 Ứng suất cho phép
8.4.1.1 Ứng suất cho phép của các vật liệu được dùng ở điều kiện nhiệt độ trong phòng phải được xác định theo các quy định sau:
(1) Ứng suất cho phép (f) của thép các bon (kể cả thép các bon man gan) và thép hợp kim thấp không kể thép đúc không được lấy lớn hơn giá trị nhỏ nhất trong các trị số tính được từ các công thức sau. Đối với bình chịu áp lực dùng cho khí hóa lỏng, giá trị của mẫu số cho f1 phải bằng 3 và cho f2 phải bằng 2.
(2) Ứng suất cho phép của ống thép hàn điện, trừ khi khi chúng được dùng làm vỏ bình chịu áp lực phải lấy theo các giá trị được nêu ở 8.4.1.1(1) khi được thử siêu âm hay bất kỳ một phương pháp phát hiện khuyết tật tương tự nào khác được Đăng kiểm chấp nhận cho toàn bộ chiều dài mối hàn và trong các trường hợp khác phải lấy bằng 85% giá trị được nêu ở 8.4.1.1(1);
(3) Ứng suất cho phép của thép đúc phải lấy bằng giá trị có được từ 8.4.1.1(1) nhân với hệ số được cho trong Bảng 3/8.1.
(4) Ứng suất cho phép của gang phải được lấy bằng 1/8 ứng suất kéo tối thiểu. Tuy thế, ứng suất cho phép của gang loại đặc biệt được Đăng kiểm đồng ý có thể lấy tới 1/6 ứng suất kéo tối thiểu.
(5) Ứng suất cho phép của thép ôstenit phải được lấy bằng giá trị nhỏ nhất trong các trị số f1, f2 dưới đây:
(6) Ứng suất cho phép của hợp kim nhôm phải được lấy bằng giá trị nhỏ nhất trong các trị số f1, f2 dưới đây:

Bảng 3/8.1 - Hệ số để nhân với ứng suất cho phép của thép đúc
| Dạng thử | Hệ số |
| Khi không tiến hành kiểm tra bằng chụp X quang hay bất kỳ một sự thử nghiệm theo lựa chọn nào khác | 0,7 |
| Khi tiến hành kiểm tra bằng chụp X quang ngẫu nhiên hoặc thử nghiệm theo lựa chọn | 0,8 |
| Khi các thử nghiệm trên được thực hiện trên toàn bộ các bộ phận | 0,9 |
8.4.1.2 Đối với ứng suất cho phép của vật liệu dùng làm bình chịu áp lực làm việc ở nhiệt độ cao phải áp dụng các yêu cầu trong 7.4.1 hoặc giá trị được Đăng kiểm coi là thích hợp.
8.4.1.3 Ứng suất kéo cho phép phải phù hợp với các yêu cầu trong 8.4.1.1 và 8.4.1.2. Tuy vậy ứng suất kéo cho phép của bu lông phải tuân theo những yêu cầu sau:
(1) Khi bu lông được sử dụng ở nhiệt độ trong phòng, trị số ứng suất kéo cho phép được lấy theo (a) hoặc (b) dưới đây, lấy trị số nào nhỏ hơn. Tuy nhiên đối với các bu lông phù hợp với các tiêu chuẩn đã được công nhận thì trị số ứng suất kéo cho phép có thể bằng 1/3 tải trọng thử được định ra ở đó.
(2) Trong trường hợp bu lông được được dùng ở nhiệt độ cao, thì trị số ứng suất kéo cho phép sẽ được Đăng kiểm xem xét trong từng trường hợp.
8.4.1.4 Ứng suất uốn cho phép phải phù hợp với các yêu cầu sau:
(1) Khi vật liệu được sử dụng ở nhiệt độ trong phòng thì phải phù hợp với yêu cầu ở 8.4.1.1. Tuy nhiên, đối với thép đúc hoặc gang trị số này được lấy bằng 1,2 lần giá trị trên;
(2) Khi vật liệu được sử dụng ở nhiệt độ cao giá trị ứng suất sẽ được Đăng kiểm xem xét trong từng trường hợp.
8.4.1.5 Ứng suất cắt cho phép đối với ứng suất cắt chính trung bình ở tiết diện chịu tải trọng cắt phải được lấy bằng 80% ứng suất kéo cho phép.
8.4.1.6 Ứng suất nén cho phép ở vỏ hình trụ của bình chịu áp lực ở nhiệt độ trong phòng chịu tải trọng gây ra ứng suất nén theo phương dọc trục được lấy theo (1) hoặc (2) sau đây, lấy giá trị nào nhỏ hơn.
(1) Trị số được nêu ở 8.4.1.1;
(2) Ứng suất uốn dọc cho phép theo công thức sau:
trong đó:
- ứng suất uốn dọc cho phép (MPa);
E - mô đun đàn hồi dọc ở nhiệt độ trong phòng (MPa);
To - chiều dày thực của tấm vỏ không kể đến lượng ăn mòn cho phép của tấm vỏ thực (mm) ;
Dm - đường kính trung bình của vỏ (mm).8.4.1.7 Khi thực hiện tính toán một cách chi tiết các ứng suất cho phép cho các loại ứng suất khác của thép các bon hoặc thép các bon man gan được dùng làm vỏ bình chịu áp lực được chế tạo bởi máy quay thì được lấy như sau:
trong đó:
Pm - ứng suất màng chính tương đương (MPa);
Pl - ứng suất màng cục bộ chính tương đương (MPa);
Pb - ứng suất uốn chính tương đương (MPa);
Q - ứng suất phụ tương đương (MPa).
8.4.2 Hệ số bền của mối nối
8.4.2.1 Hệ số bền của mối nối phải như sau:
(1) Vỏ không ghép nối: 1,00;
(2) Vỏ hàn: như cho ở Bảng 3/8.2;
(3) Ống thép hàn điện được dùng làm vỏ: như được cho ở 8.4.2.1(1) trong Bảng 3/8.2.
Bảng 3/8.2 - Hệ số bền của mối nối hàn

Chú thích: Phương pháp kiểm tra bằng chụp X quang có thể được thay bằng kiểm tra bằng phương pháp siêu âm nếu được Đăng kiểm chấp thuận.
8.4.3 Lượng dư ăn mòn
8.4.3.1 Lượng dư ăn mòn của vật liệu được dùng để tính sức bền, trừ trường hợp chúng bị ăn mòn hoặc mòn và xây xát quá mức phải được lấy không nhỏ hơn 1 mm hoặc 1/6 chiều dày quy định không kể lượng dư ăn mòn cho mặt trong lấy giá trị nào nhỏ hơn. Trong trường hợp sử dụng vật liệu chịu ăn mòn hoặc có các biện pháp kiểm tra ăn mòn có hiệu quả hoặc không có khả năng xảy ra ăn mòn thì giá trị này có thể được giảm tương ứng.
8.4.3.2 Trong trường hợp mặt ngoài của bình chịu áp lực có thể bị ăn mòn được bọc cách nhiệt, lớp cách nhiệt này làm trở ngại cho việc kiểm tra bên ngoài thì cũng phải có một lượng thích hợp lượng dư ăn mòn trên mặt ngoài của bình chịu áp lực.
8.5 Sức bền
8.5.1 Chiều dày tối thiểu của mỗi bộ phận
8.5.1.1 Chiều dày tấm vỏ và tấm đáy không được nhỏ hơn 5 mm trừ trường hợp được Đăng kiểm chấp nhận riêng với sự xét đến đường kính, áp suất, nhiệt độ, vật liệu... Trừ trường hợp tấm đáy là nửa hình cầu, chiều dày tấm đáy được tạo hình không được nhỏ hơn chiều dày quy định (được tính toán theo giả định hệ số bền mối nối bằng 1) của vỏ mà tấm đáy được hàn vào.
8.5.1.2 Chiều dày của các họng để lắp phụ tùng được hàn vào bình chịu áp lực phải phù hợp với những yêu cầu dưới đây. Những yêu cầu này sẽ được sửa đổi khi được Đăng kiểm chấp nhận trên cơ sở xem xét các kích thước hoặc hình dạng, vật liệu...
(1) Chiều dày này không được nhỏ hơn giá trị 2,5 mm cộng với 1/25 đường kính ngoài của họng lắp phụ tùng hoặc trị số được tính theo công thức trong 8.5.2.2.
Chiều dày này không cần lớn hơn chiều dày của vỏ bình nơi họng lắp phụ tùng được hàn vào;
(2) Bất kể các yêu cầu ở (1) chiều dày của những bình chịu áp lực thuộc nhóm II, III không cần lớn hơn 4 mm nếu nó không nhỏ hơn trị số được tính theo công thức 8.5.2.2.
8.5.2 Sức bền tấm vỏ, tấm đáy và tấm phẳng chịu áp suất bên trong
8.5.2.1 Quy định chung
Tấm vỏ, tấm đáy và tấm phẳng không có thanh giằng hoặc giá đỡ nào khác (không kể mặt sàng của thiết bị trao đổi nhiệt) chịu áp suất bên trong phải tuân theo những yêu cầu được nêu từ 8.5.2.2 tới 8.5.2.6 dưới đây. Tuy nhiên, sức bền của các tấm vỏ của bình chịu áp lực ở các điều kiện sau phải được tính toán theo các công thức được Đăng kiểm cho là thích hợp.
(1) Bình chịu áp lực hình trụ:
8.5.2.2 Chiều dày của các tấm vỏ hình trụ chịu áp suất bên trong:
Chiều dày quy định của các tấm vỏ chịu áp suất bên trong phải được tính theo công thức dưới đây. Tuy nhiên khi tấm vỏ hình trụ có lỗ khoét đòi hỏi được gia cường thì lỗ phải được gia cường theo những yêu cầu trong 8.6.3.
8.5.2.3 Chiều dày quy định của tấm vỏ hình cầu chịu áp suất bên trong:
Chiều dày quy định của tấm vỏ hình cầu chịu áp suất bên trong phải được tính toán theo công thức dướí đây. Khi tấm vỏ hình cầu có lỗ khoét đòi hỏi gia cường thì lỗ khoét phải được gia cường theo các yêu cầu trong 8.6.3.
8.5.2.4 Chiều dày của tấm đáy được tạo hình chịu áp suất trên phía lõm không có thanh giằng hay giá đỡ nào khác:
(1) Chiều dày quy định của tấm đáy không có lỗ khoét phải được tính theo công thức sau:
(a) Tấm đáy hình lòng đĩa hoặc hình bán cầu:
trong đó:
W = 1 cho tấm đáy hình bán cầu.
R1: bán kính trong chỏm cầu, R1 phải nhỏ hơn đường kính ngoài của phần viền mặt đáy;
r : bán kính trong của chỗ nối, r không được nhỏ hơn 6% của đường kính ngoài của phần viền của tấm đáy hoặc 3 lần chiều dày thực của tấm đáy, lấy trị số nào lớn hơn.
(b) Các tấm đáy hình nửa elíp (khi nửa trục ngắn trong của tấm đáy không nhỏ hơn 1/4 trục dài trong của tấm đáy)
(2) Chiều dày quy định của tấm đáy có lỗ khoét phải phù hợp với những yêu cầu ở (a), (b) hoặc (c) dưới đây:
(a) Khi không gia cường cho lỗ khoét theo các yêu cầu ở 8.6.2 hoặc lỗ khoét được gia cường theo yêu cầu trong 7.6.3.3 và 7.6.3.4 thì chiều dày quy định phải được tính theo công thức trong 8.5.2.4(1);
(b) Khi tấm đáy có cửa hay lỗ quan sát có gờ với đường kính lớn nhất vượt quá 150 mm và gờ gia cường phù hợp với yêu cầu trong 7.6.3.7 thì chiều dày phải được tính như sau:
(i) Tấm đáy hình lòng đĩa hoặc hình bán cầu:
Chiều dày phải được tăng thêm không dưới 15% (nếu trị số được tính toán nhỏ hơn 3 mm thì được lấy bằng 3 mm) chiều dày quy định tính theo công thức ghi trong 8.5.2.4(1)(a). Trường hợp khi bán kính chỏm cầu trong của tấm đáy nhỏ hơn 0,8 lần đường kính trong của vỏ thì trị số của bán kính chỏm cầu trong công thức phải lấy bằng 0,8 lần đường kính trong của vỏ. Khi tính chiều dày của tấm đáy có hai cửa theo (i), khoảng cách giữa hai cửa không được nhỏ hơn 1/4 đường kính ngoài của tấm đáy.
(ii) Tấm đáy hình nửa elíp
Phải áp dụng các yêu cầu trong (1)(a), tuy nhiên khi đó R1 phải bằng 0,8 lần đường kính trong của vỏ và W bằng 1,77.
(c) Khi các lỗ khoét không được gia cường theo các quy định ở (a) hoặc (b), thì chiều dày quy định phải được tính theo công thức sau. Tuy nhiên, chiều dày không được nhỏ hơn trị số tính được từ công thức ở 8.5.2.4(1)
trong đó:
D0: đường kính ngoài của tấm đáy (mm);
K : được chỉ ra trên Hình 3/.7.6. Tuy vậy, điều này thích hợp cho tấm đáy tuân theo các điều kiện sau:

Te: chiều dày thực của tấm đáy (mm);
H : chiều cao tấm đáy tính từ mặt ngoài tới mặt nối phần đĩa với phần hình trụ (mm);
R1 và r: như đã được quy định ở 8.5.2.4(1)(a).
8.5.2.5 Chiều dày quy định của tấm đáy được tạo hình chịu áp suất trên mặt lồi. Chiều dày quy định của tấm đáy được tạo hình chịu áp suất trên mặt lồi không được nhỏ hơn chiều dày khi tính toán với giả thiết rằng phía lõm của chúng chịu áp suất ít nhất là 1,67 lần áp suất thiết kế.
8.5.2.6 Chiều dày quy định của tấm đáy và nắp phẳng không có thanh giằng hoặc giá đỡ:
(1) Khi tấm đáy và tấm nắp phẳng không có thanh giằng hoặc giá đỡ được hàn vào tấm vỏ thì chiều dày quy định phải được tính theo công thức sau:

C1: hằng số cho trong Hình 3/7.9;
d : đường kính được cho trong Hình 3/7.9 (cho tấm đáy tròn), hoặc chiều ngắn nhất (cho tấm đáy không tròn) (mm);
D': chiều dài của tấm đáy hoặc nắp không tròn được đo thẳng góc với chiều ngắn (mm).
(2) Khi tấm nắp phẳng không có thanh giằng được bắt bu lông vào tấm vỏ thì chiều dày quy định phải được tính theo công thức sau:
(a) Khi dùng tấm đệm trên toàn mặt:



(b) Khi phải đưa mô men do phản lực của đệm vào tính toán:
C3: hằng số được xác định bởi phương pháp bắt bu lông cho trong Hình 3/7.10;
C4 = 3,4 - 2,4d/D', nhưng không cần quá 2,5;
d : đường kính được cho trong Hình 3/7.10 (cho tấm tròn) hoặc chiều ngắn nhất (cho tấm không tròn) (mm) ;
D: chiều dài của tấm đáy hoặc nắp không tròn được đo thẳng góc với chiều ngắn (mm);
W: trị số trung bình (N) của các tải trọng bu lông cần để làm kín và tải trọng cho phép cho bu lông được dùng thực tế;
L: tổng chiều dài của vòng tròn qua các tâm bu lông (mm);
hg: cánh tay đòn mômen của phản lực từ tấm đệm cho trong Hình 3/7.10 (mm).
8.5.3 Chiều dày quy định của mặt sàng của thiết bị trao đổi nhiệt
8.5.3.1 Chiều dày các mặt sàng của thiết bị trao đổi nhiệt không có thanh giằng hoặc giá đỡ phải tuân theo những yêu cầu sau:
Không kể đầu tự lựa, chiều dày quy định của mặt sàng phẳng không có ống giằng của thiết bị trao đổi nhiệt và thiết bị tương tự phải bằng trị số lớn nhất trong các trị số được tính theo các công thức dưới đây:
trong đó:
fb: ứng suất uốn cho phép của vật liệu (MPa);
ứng suất cắt cho phép của vật liệu (MPa);
C5: thừa số được xác định bởi phương pháp đỡ ống và mặt sàng. Khi mặt sàng không liền với vỏ, nếu ống thẳng thì trị số được lấy là 1, nếu ống hình chữ U thì trị số được lấy bằng 1,25. Khi mặt sàng liền với vỏ trị số này được lấy theo Hình 3/8.1;
D: đường kính vòng tròn ngoài của mặt sàng đáy (mm) khi nó được bắt bu lông vào mặt bích, D là đường kính của vòng tròn đi qua các vị trí mà phản lực của đệm tác dụng vào, khi mặt sàng được cố định vào vỏ thì D là đường kính trong của vỏ (lượng dư ăn mòn phải được khấu trừ đi);
A : diện tích đa giác được tạo thành khi nối tâm các lỗ ống ngoài cùng (xem Hình 3/8.2) (mm2) ;
L : chiều dài - bằng chu vi ngoài của đa giác nói trên trừ đi tổng các đường kính các lỗ ống ở ngoài cùng (mm);
a : lượng ăn mòn cho phép (mm). Trong trường hợp nếu bố trí rãnh xoi cho tấm ngăn hoặc rãnh xoi cho vòng đệm kín thì chiều sâu lớn hơn lương dư ăn mòn quy định ở 8.4.3 thì a được lấy bằng chiều sâu của rãnh xoi này.
(2) Khi tính Tr trong 8.5.3.1(1) phải tính theo cả 2 công thức với việc sử dụng P, C5 và D, tuy nhiên khi tính với các áp suất khác nhau Đăng kiểm sẽ xem xét từng trường hợp một.
8.5.4 Chiều dày quy định của ống của thiết bị trao đổi nhiệt
8.5.4.1 Vật liệu ống của thiết bị trao đổi nhiệt phải phù hợp với công dụng và chiều dày quy định phải được tính theo công thức sau:
trong đó:
D0 : đường kính ngoài của ống (mm);
a : 1,5 mm cho ống thép, 0,1T cho ống đồng hay hợp kim đồng;
T : chiều dày thực của ống (mm);
f : được cho trong 8.4.1 hay Bảng 3/8.3.
8.5.4.2 Phải lưu ý đầy đủ đến sự giảm độ dày khi uốn đối với ống hình chữ U của thiết bị trao đổi nhiệt.
8.5.5 Sức bền của các bình chịu áp lực bên ngoài
Khi áp suất bên trong của bình chịu áp lực thấp hơn áp suất bên ngoài phải tính sức bền theo uốn dọc.
8.5.6 Tính toán mỏi
Đối với các bình áp lực chịu tải trọng động hoặc xuất hiện tải trọng ngoài quá lớn có chu kỳ thì phải tính mỏi. Mức độ tích lũy mỏi trong trường hợp này phải phù hợp với công thức sau đây. Tuy nhiên, giá trị trong vế phải của công thức có thể được tăng đến giá trị được Đăng kiểm chấp nhận theo đường cong S-N được dùng trong tính toán nhưng không vượt quá 1,0.
ni : số chu kỳ ở mỗi mức ứng suất;
Ni : số chu kỳ tính tới khi nứt đối với mỗi mức ứng suất tương ứng được chỉ bằng đường cong S-N của vật liệu sử dụng.
8.5.7 Xem xét ứng suất phụ
Khi Đăng kiểm cho là cần thiết, phải xem xét sức bền phòng ứng suất phụ.
8.5.8 Xem xét ứng suất nhiệt
Đối với các bình chịu áp lực có thể phải chịu ứng suất nhiệt quá mức hoặc chứa chất lỏng có nhiệt độ sôi thấp hơn –55 0C, thì buộc phải xem xét sức bền phòng ứng suất nhiệt.
8.5.9 Tính sức bền theo phương pháp đặc biệt
Nếu bản tính sức bền chi tiết được trình duyệt, ngay cả khi kích thước của các bộ phận bình chịu áp lực không phù hợp với các quy định ở 8.5, Đăng kiểm sẽ kiểm tra các số liệu và sẽ chấp thuận bình chịu áp lực này với điều kiện kết quả kiểm tra đó được Đăng kiểm chấp nhận.
8.6 Các cửa người chui, các lỗ lắp họng để nối phụ tùng và việc gia cường chúng
8.6.1 Các cửa người chui, làm vệ sinh và kiểm tra
8.6.1.1 Bình chịu áp lực phải có cửa chui, cửa làm vệ sinh và cửa kiểm tra ở vỏ bình hoặc tấm đáy để kiểm tra và bảo dưỡng phù hợp với Bảng 3/8.4. Tuy nhiên, khi được Đăng kiểm đồng ý, có thể giảm số lượng và kích thước của các lỗ khoét.
Chú thích:
1) Kích thước lỗ làm vệ sinh nói chung phải phù hợp với các trị số dùng cho lỗ làm vệ sinh đối với vỏ có đường kính trong lớn hơn 750 mm được cho trong Bảng 3/8.5.
2) Bình chịu áp lực cũng như thiết bị trao đổi nhiệt v.v... mà không cần phải có cửa chui vì hình dạng, công dụng v.v... có thể có hai lỗ làm vệ sinh trở lên thay cho cửa chui.
8.6.1.2 Kích thước tiêu chuẩn của các cửa nói trên được cho ở Bảng 3/8.5.
8.6.1.3 Kết cấu của các lỗ và nắp phải phù hợp với các quy định ở 7.6.1.2.
Hình 3/8.2 - Cách xác định đa giác để tính toán mặt sàng ống
Bảng 3/8.3 - Giá trị ứng suất cho phép của các ống bằng đồng và hợp kim đồng
Chú thích: Các giá trị trung gian được xác định bằng nội suy.
Bảng 3/8.4 - Số lượng cửa chui, lỗ làm vệ sinh và lỗ kiểm tra
| Đường kính trong của vỏ | Số cửa chui, lỗ làm vệ sinh và lỗ kiểm tra | |
| Bình có dung tích trong không quá 100 lít và chiều dài trong không quá 1,5 m | Các bình khác | |
| 300 mm hoặc nhỏ hơn | Một lỗ kiểm tra trở lên | Hai lỗ kiểm tra trở lên |
| Lớn hơn 300 tới 500 mm | Hai lỗ làm vệ sinh trở lên, hoặc một lỗ làm vệ sinh trở lên và lỗ kiểm tra | |
| Lớn hơn 500 mm tới 750 mm |
_ | Một cửa chui trở lên, hoặc hai lỗ làm vệ sinh trở lên, hoặc một lỗ làm vệ sinh trê lên (chú thích 1) và lỗ kiểm tra |
| Lớn hơn 750 mm | Một cửa chui hoặc nhiều hơn (chú thích 2) | |
8.6.2 Gia cường lỗ khoét
8.6.2.1 Khi trên vỏ có cửa, lỗ khoét cho các họng lắp phụ tùng... thì chúng phải được gia cường. Tuy nhiên, trong trường hợp chỉ có một lỗ như sau đây, có thể không gia cường:
(1) Lỗ có đường kính tối đa không quá 60 mm (nếu lỗ được ren, thì đó là đường kính chân ren) nhưng không lớn hơn 1/4 đường kính trong của vỏ hay mặt bích của tấm đáy;
(2) Lỗ trên tấm vỏ có đường kính lớn nhất không vượt quá các trị số được quy định trên Hình 3/7.7. Trong trường hợp này lỗ không gia cường có thể vượt quá 200 mm;
(3) Lỗ trên tấm đáy phù hợp với các yêu cầu trong 8.5.2.4(2)(c) là lỗ không yêu cầu phải gia cường do chiều dày của tấm đáy đã được tăng lên.
Bảng 3/8.5 - Kích thước của lỗ
| Loại lỗ | Đường kính trong của vỏ, mm | Đường kính của lỗ, mm |
| Cửa chui | Cho tất cả các cỡ | Ô van: 400 x 300, Tròn: 400 |
| Lỗ làm vệ sinh | Lớn hơn 750 | Ô van: 150 x 100, Tròn: 150 |
| 750 trở xuống | Ô van: 100 x 75, Tròn: 100 | |
| Lỗ kiểm tra | Cho tất cả các cỡ | 50 |
8.6.3 Phương pháp gia cường lỗ khoét
Phương pháp gia cường đối với các lỗ trên tấm vỏ hoặc tấm đáy chịu áp suất bên trong phải tuân theo các yêu cầu trong 7.6.3. Tuy nhiên gia cường các lỗ sau đây sẽ được Đăng kiểm xem xét cho từng trường hợp.
(1) Lỗ khoét trên tấm vỏ và có đường kính không nhỏ hơn 1/2 đường kính trong của vỏ;
(2) Lỗ khoét có khoảng cách từ mép ngoài của lỗ tới mặt ngoài của vỏ bằng 1/10 đường kính ngoài của vỏ;
(3) Tổ hợp lỗ mà khoảng cách giữa trục của chúng quá gần.
8.7 Nối ghép các bộ phận
8.7.1 Mối nối hàn
8.7.1.1 Việc chuẩn bị kích thước và hình dạng của mép mối hàn cũng như cách tạo độ vát các tấm có độ dày khác nhau phải tuân theo các yêu cầu trong 7.8.1.1 và 7.8.1.2.
8.7.1.2 Mối nối hàn của vỏ bình chịu áp lực thuộc nhóm I phải tuân theo các yêu cầu sau:
(1) Mối nối theo chiều dọc: phải là mối nối giáp mép hàn hai phía hoặc mối nối hàn giáp mép được Đăng kiểm coi là tương đương;
(2) Mối nối theo đường tròn: phải phù hợp với (1) trên. Tuy nhiên, nếu được Đăng kiểm đồng ý mối nối giáp mép hàn hai phía có thể thay bằng mối hàn giáp mép một phía với tấm đệm hoặc mối hàn giáp mép khác được Đăng kiểm coi là tương đương.
8.7.1.3 Mối nối hàn vỏ các bình chịu áp lực thuộc nhóm II phải phù hợp với các yêu cầu sau đây:
(1) Mối nối theo chiều dọc;
Phải phù hợp với 8.7.1.2(1).
(2) Mối nối theo vòng tròn
Phải phù hợp với (1) trên hoặc mối nối giáp mép hàn một phía có tấm đệm hoặc mối hàn giáp mép khác được Đăng kiểm coi là tương đương. Tuy nhiên, đối với tấm có độ dày không quá 16 mm thì mối nối giáp mép hàn một phía có thể được chấp thuận.
8.7.1.4 Mối hàn của vỏ bình chịu áp lực thuộc nhóm III phải thỏa mãn những yêu cầu sau:
(1) Mối nối theo chiều dọc
(a) Đối với các tấm dày hơn 9 mm phải phù hợp với 8.7.1.3(1) hoặc là mối hàn giáp mép một phía có tấm đệm hoặc là mối hàn giáp mép khác được Đăng kiểm coi là tương đương;
(b) Đối với tấm dày không quá 9 mm phải phù hợp với (a) hoặc là mối hàn chồng hai phía đầy góc;
(c) Đối với tấm dày không quá 6 mm phải phù hợp với (b) hoặc là mối hàn giáp mép một phía.
(2) Mối nối theo vòng tròn phải phù hợp với (1)(c) hoặc là mối nối hàn liên tục ghép chồng một phía.
8.7.2 Hình dạng mối hàn và mối nối
Hình dạng mối hàn và mối nối phải như được chỉ ra trên Hình 3/7.9 hoặc được Đăng kiểm coi là tương đương.
8.7.3 Kết cấu của tấm nắp bắt bu lông
Kết cấu của tấm nắp phẳng không thanh giằng bắt bu lông vào vỏ phải phù hợp với các yêu cầu trong 7.8.3.
8.8 Phụ tùng
8.8.1 Vật liệu của phụ tùng
Vật liệu làm các họng lắp phụ tùng, mặt bích hoặc thanh giằng bắt trực tiếp vào vỏ bình chịu áp lực thuộc nhóm I hoặc nhóm II phải tương đương với vật liệu làm vỏ. Tuy nhiên yêu cầu này có thể được miễn đối với mặt bích được bắt bu lông hoặc khi được Đăng kiểm chấp thuận.
8.8.2 Kết cấu của phụ tùng
8.8.2.1 Các phụ tùng như van, mặt bích, bu lông, đai ốc, đệm kín v.v... phải có kết cấu, kích thước phù hợp với các tiêu chuẩn được công nhận và chúng phải thích hợp với điều kiện làm việc được chỉ ra trong tiêu chuẩn.
8.8.2.2 Các phụ tùng phải được bắt vào vỏ bình chịu áp lực thuộc nhóm I và nhóm II nhờ nối bích hay hàn. Khi vỏ dày hơn 12 mm hoặc khi đế của phụ tùng lắp vào vỏ bằng ren thì phụ tùng có đường kính danh nghĩa không quá 32 mm có thể được bắt vào vỏ bằng ren.
8.8.3 Lắp đặt các thiết bị an toàn
8.8.3.1 Các bình chịu áp lực mà áp suất bên trong bình có thể vượt quá áp suất thiết kế ở trạng thái làm việc phải có van an toàn, van này phải được đặt ở áp suất không lớn hơn áp suất thiết kế và có khả năng tránh được áp suất vượt quá 10% áp suất làm việc.
8.8.3.2 Khi có thể xảy ra nguy hiểm do bình chịu áp lực tiếp xúc với lửa hoặc nguồn nhiệt bất thường bên ngoài khác phải có thiết bị an toàn để tránh cho áp suất vượt quá 1,2 lần áp suất thiết kế. Nhưng, nếu bình chứa không khí có nút có thể nóng chảy ở nhiệt độ không quá 105 0C để có thể tự động giảm áp suất bên trong trong trường hợp gặp lửa thì có thể không cần lắp thiết bị an toàn.
8.8.3.3 Các thiết bị trao đổi nhiệt hoặc các bình chịu áp lực tương tự khác khi áp suất bên trong có thể vượt quá áp suất thiết kế do hỏng ống trao đổi nhiệt, mặt sàng, tấm vách và các bộ phận bên trong khác thì phải có van an toàn thích hợp.
8.8.3.4 Không được đặt van chặn giữa bình chịu áp lực với van an toàn hoặc thiết bị xả áp khác trừ trường hợp có các biện pháp naò đó không làm giảm chức năng của các thiết bị xả áp khi sử dụng bình chịu áp lực.
8.8.3.5 Có thể đặt một đĩa bảo hiểm giữa bình chịu áp lực và van an toàn hoặc trên đường xả của van an toàn. Khi đó áp suất nổ của đĩa bảo hiểm không được quá áp suất được đặt cho van an toàn. Ngoài ra sản lượng xả của đĩa bảo hiểm không được ít hơn sản lượng xả của van an toàn.
8.8.4 Thiết bị đo áp suất và nhiệt độ
Phải có thiết bị đo áp suất và nhiệt độ trên bình chịu áp lực khi thấy cần thiết.
8.8.5 Các phụ tùng của bình chứa không khí
8.8.5.1 Các thiết bị xả áp cho các bình chứa không khí phải phù hợp với các yêu cầu trong 8.8.3.
8.8.5.2 Các bình chứa không khí phải có hệ thống xả nước có hiệu quả.
8.8.5.3 Bình chứa không khí phải có các thiết bị đo áp suất.
8.9 Thử nghiệm
8.9.1 Thử tại xưởng
8.9.1.1 Thử mối hàn phải phù hợp với các yêu cầu trong Phần 6B của Quy phạm này.
8.9.1.2 Sau khi chế tạo xong bình chịu áp lực và phụ tùng của nó phải thử thủy lực theo các yêu cầu sau:
(1) Vỏ của bình chịu áp lực
(a) Bình chịu áp lực thuộc nhóm I và nhóm II phải được thử thủy lực ở áp suất bằng 1,5 lần áp suất thiết kế. Nhưng khi ứng suất màng chính của vỏ vượt quá 90% giới hạn chảy danh nghĩa của vật liệu do thử nghiệm này thì áp suất thử phải được hạ xuống sao cho ứng suất vào khoảng 90% giới hạn chảy của vật liệu;
(b) Bình chịu áp lực thuộc nhóm III phải được thử thủy lực theo các yêu cầu trong điểm (a) nói trên khi Đăng kiểm cho là cần thiết.
(2) Phụ tùng của bình chịu áp lực
Phụ tùng của bình chịu áp lực thuộc nhóm I và nhóm II phải được thử thủy lực ở áp suất bằng 2 lần áp suất thiết kế;
(3) Thử thủy lực cho các thiết bị trao đổi nhiệt không thuộc (1) và (2) và các bình chịu áp lực đặc biệt khác cũng như các phụ tùng của chúng sẽ được Đăng kiểm xem xét trong từng trường hợp.
CHƯƠNG 9 -
ỐNG, VAN, PHỤ TÙNG ỐNG VÀ MÁY PHỤ
9.1 Quy định chung
9.1.1 Phạm vi áp dụng
Các yêu cầu trong Chương này áp dụng cho thiết kế, chế tạo và thử nghiệm ống, van, phụ tùng ống và máy phụ.
9.1.2 Thuật ngữ
9.1.2.1 Áp suất thiết kế
Áp suất thiết kế là áp suất lớn nhất của chất làm việc trong ống và không được nhỏ hơn các áp suất cho dưới đây:
(1) Đối với các hệ thống có van an toàn hoặc thiết bị phòng quá áp khác, là áp suất đặt của van an toàn hoặc thiết bị phòng quá áp. Tuy nhiên, đối với hệ thống ống hơi được nối với nồi hơi hay hệ thống ống gắn với bình chịu áp lực, là áp suất thiết kế của thành nồi hơi (là áp suất định mức, nếu nồi hơi có bộ sấy hơi) hoặc áp suất thiết kế của thành bình chịu áp lực;
(2) Đối với ống ở phía đẩy của bơm, là áp suất đẩy khi bơm làm việc ở tốc độ định mức mà van ở phía đẩy đóng. Tuy nhiên, đối với các bơm có van an toàn hoặc thiết bị phòng quá áp, là áp suất đặt của van an toàn hoặc thiết bị phòng quá áp;
(3) Đối với đường ống xả của nồi hơi, áp suất thiết kế được quy định ở 7.9.6.3.
(4) Đối với van, ống và phụ tùng ống dầu đốt, là áp suất làm việc lớn nhất hoặc 0,3 MPa, lấy trị số nào lớn hơn. Tuy nhiên, với ống, van và phụ tùng ống dầu đốt có nhiệt độ trên 60 0C và áp suất làm việc trên 0,7 MPa, là áp suất làm việc lớn nhất hoặc 1,4 MPa, lấy trị số nào lớn hơn.
9.1.2.2 Nhiệt độ thiết kế
Nhiệt độ thiết kế là nhiệt độ lớn nhất của chất làm việc trong ống ở điều kiện thiết kế.
9.1.2.3 Phụ tùng ống
Phụ tùng ống là các phụ tùng nối ống như bích nối, mối nối cơ khí, các đoạn ống, mối nối giãn nở, mối nối mềm v.v... và các thiết bị khác của hệ thống đường ống như các thiết bị lọc và phân ly.
9.1.3 Phân loại ống
9.1.3.1 Các ống được phân loại như nêu ở Bảng 3/9.1, theo loại công chất, áp suất và nhiệt độ thiết kế. Tuy nhiên, với các ống có đầu hở như ống thải, ống tràn, ống khí thải, ống xả của van an toàn và ống xả áp suất hơi nước được xếp vào nhóm III không kể đến nhiệt độ thiết kế.
Bảng 3/9.1 - Phân loại ống
|
| Áp suất thiết kế (P) và nhiệt độ thiết kế (T) | ||
| Nhóm I | Nhóm II (Chú thích) | Nhóm III | |
| Hơi nước và dầu nóng | P > 1,6 MPa hoặc T > 300 oC |
|
|
| Dầu đốt | P > 1,6 MPa hoặc T > 150 oC |
|
|
| Không khí, khí CO2, nước, dầu bôi trơn và dầu thủy lực | P > 4,0 MPa hoặc T > 300 oC |
|
|
Chú thích: Trừ các ống đáp ứng điều kiện của nhóm III.
9.1.3.2 Hệ thống ống của các công chất khác với ở 9.1.3.1 sẽ được Đăng kiểm xem xét tùy theo đặc tính và điều kiện làm việc của công chất.
9.1.4 Vật liệu
9.1.4.1 Vật liệu chế tạo máy phụ phải phù hợp với điều kiện làm việc của máy. Vật liệu chế tạo các phần chủ yếu của máy phụ phải thỏa mãn các điều kiện đã được chấp nhận.
9.1.4.2 Vật liệu ống phải phù hợp với điều kiện làm việc của ống và thỏa mãn các yêu cầu sau:
(1) Vật liệu ống nhóm I hoặc nhóm II phải thỏa mãn các yêu cầu ở Phần 6A của Quy phạm này;
(2) Vật liệu ống nhóm III phải thỏa mãn các tiêu chuẩn đã được chấp nhận.
9.1.4.3 Vật liệu van và phụ tùng ống phải phù hợp với điều kiện làm việc của thiết bị đó và phải thỏa mãn các yêu cầu sau:
(1) Vật liệu chế tạo các van và phụ tùng ống nhóm I hoặc nhóm II, cũng như các van và phụ tùng gắn trực tiếp vào vỏ tàu và vách chống va phải thỏa mãn các yêu cầu ở Phần 6A của Quy phạm này. Tuy nhiên,, có thể dùng vật liệu trong các tiêu chuẩn được chấp nhận để chế tạo van và phụ tùng nếu Đăng kiểm đồng ý sau khi xem xét kích thước và điều kiện làm việc;
(2) Vật liệu van và phụ tùng ống nhóm III phải thỏa mãn các tiêu chuẩn được chấp nhận.
9.1.5 Giới hạn sử dụng vật liệu
9.1.5.1 Thông thường, các ống được chế tạo bằng thép, đồng, hợp kim đồng hoặc gang. Vật liệu phải thỏa mãn các yêu cầu về giới hạn sử dụng được liệt kê dưới đây theo nhiệt độ thiết kế, sự phân loại, công dụng v.v..., nếu không có chú thích gì thêm. Tuy nhiên,, các ống có đầu hở và thuộc nhóm III không kể đến nhiệt độ thiết kế, không phải áp dụng theo giới hạn sử dụng về nhiệt độ.
(1) Không được dùng các ống thép để làm các ống sau:
(a) Các ống có nhiệt độ thiết kế trên 350 oC với các ống loại 1 và loại 2 được nêu ở Phần 6A của Quy phạm này. Tuy nhiên, có thể dùng các ống thép này cho nhiệt độ thiết kế tới 400 oC nếu bảo đảm được ứng suất cho phép;
(b) Các ống có nhiệt độ thiết kế trên 450 oC đối với các ống loại 3, số hiệu 2 và 3 nêu ở Phần 6A của Quy phạm này;
(c) Các ống có nhiệt độ thiết kế trên 425 oC đối với các ống loại 3 số hiệu 4 nêu ở Phần 6A của Quy phạm này;
(d) Các ống có nhiệt độ thiết kế trên 500 oC đối với các ống loại 4, số hiệu 12 nêu ở Phần 6A của Quy phạm này;
(e) Các ống có nhiệt độ thiết kế trên 550 oC đối với ống loại 4, số hiệu 22, 23 và 24 nêu ở Phần 6A của Quy phạm này;
(f) Các ống nhóm I và các ống thép cácbon với áp suất thiết kế trên 1,0 MPa hoặc nhiệt độ tính toán trên 230 oC đối với hệ thống thông thường nêu ở Phần 6A của Quy phạm này;
(g) Các ống thép khác khi Đăng kiểm cho rằng thích hợp.
(2) Các ống đồng và hợp kim đồng không được dùng làm các ống sau:
(a) Các ống có nhiệt độ thiết kế lớn hơn 200 oC đối với các ống liền làm bằng hợp kim đồng - phốt pho đi-ô-xít, ống liền bằng đồng thau và ống của bầu ngưng;
(b) Các ống có nhiệt độ thiết kế lớn hơn 300 oC đối với các ống liền làm bằng hợp kim đồng ni ken và ống của bầu ngưng;
(c) Các ống hợp kim đồng xuyên qua các kết cấu cấp A và B, trừ trường hợp Đăng kiểm cho phép là trường hợp đặc biệt;
(d) Giới hạn sử dụng theo nhiệt độ đối với các ống đồng và hợp kim đồng khác do Đăng kiểm quy định.
(3) Không được dùng các ống gang để làm các ống sau:
(a) Các ống thuộc nhóm I và II đối với ống gang có độ dãn dài nhỏ hơn 12%;
(b) Các ống thuộc nhóm I đối với ống gang có độ dãn dài từ 12% trở lên;
(c) Các ống có thể bị va đập thủy lực và các ống phải chịu uốn hoặc chấn động lớn hoặc bị lệch tâm nhiều;
(4) Ngoài các quy định (2) và (3) trên đây, các ống đồng, hợp kim đồng và gang phải thỏa mãn các yêu cầu về công dụng trong Bảng 3/9.2. Tuy nhiên, có thể không áp dụng yêu cầu này nếu được Đăng kiểm đồng ý.

Chú thích:
1) Không bao gồm các ống đo, ống thải và các ống thông hơi;
2) Có thể sử dụng cho phần đặt trong két;
3) Bao gồm cả ở ngoài khoang máy.
Dấu hiệu: x : Có thể sử dụng; - : Cấm sử dụng.
9.1.5.2 Thông thường, các van và phụ tùng ống được chế tạo bằng thép, đồng hoặc gang và trừ các trường hợp được quy định khác đi, chúng phải thỏa mãn các yêu cầu dưới đây về giới hạn sử dụng theo nhiệt độ thiết kế, loại, sự áp dụng v.v... Tuy nhiên, đối với các van và phụ tùng ống có đầu hở và được phân loại ở nhóm III, bất kể nhiệt độ thiết kế, không phải thỏa mãn giới hạn sử dụng theo nhiệt độ.
(1) Không được dùng các sản phẩm thép rèn và đúc để làm van và phụ tùng ống sau:
(a) Các van và phụ tùng ống có nhiệt độ thiết kế lớn hơn 450 oC bằng thép các bon đúc và rèn được nêu ở Phần 6A của Quy phạm này;
(b) Các van và phụ tùng ống với nhiệt độ thiết kế lớn hơn 550 oC đối với thép hợp kim thấp đúc và thép hợp kim thấp rèn nêu ở Phần 6A của Quy phạm này;
(c) Các sản phẩm thép đúc và rèn khác khi Đăng kiểm thấy cần thiết.
(2) Không được dùng các van và phụ tùng ống bằng hợp kim đồng để làm van và phụ tùng có nhiệt độ thiết kế lớn hơn 210 oC. Tuy nhiên, có thể dùng đồng đỏ làm van và phụ tùng ống có nhiệt độ bằng hoặc nhỏ hơn 260 oC khi được Đăng kiểm đồng ý;
(3) Không được dùng các sản phẩm gang có độ dãn dài nhỏ hơn 12% để làm van và phụ tùng ống sau:
(a) Van và phụ tùng ống có nhiệt độ thiết kế lớn hơn 220 oC;
(b) Van và phụ tùng ống thuộc nhóm I;
(c) Van và phụ tùng ống thuộc nhóm II (trừ các ống hơi nước);
(d) Van lắp trên vách ngoài của két dầu đốt và chịu cột áp tĩnh của chất lỏng bên trong;
(e) Van, mặt tựa và đoạn ống lắp van vào tôn vỏ hoặc cửa thông thủy;
(f) Van được lắp trực tiếp vào vách chống va;
(g) Van và phụ tùng của hệ thống ống xả nước của nồi hơi;
(h) Hệ thống ống có thể bị va đập thủy lực và van, phụ tùng ống của hệ thống ống có thể bị lệch tâm hoặc chấn động lớn;
(i) Van và phụ tùng của hệ thống ống dằn sạch xuyên qua két dầu hàng để tới két mũi;
(j) Van và phụ tùng của hệ thống ống dầu hàng có áp suất thiết kế lớn hơn 1,6 MPa;
(k) Van nối của hệ thống hàng lỏng dễ cháy giữa bờ và tàu.
(4) Không được dùng các sản phẩm gang có độ dãn dài bằng hoặc lớn hớn 12% để làm van, phụ tùng ống v.v... sau đây:
(a) Van và phụ tùng ống nhóm I;
(b) Van, mặt tựa và đoạn ống để lắp van liệt kê ở (3)(d) và (3)(e) nêu trên. Tuy nhiên, các yêu cầu này không cần áp dụng cho vật liệu có phương pháp chế tạo đã được Đăng kiểm đồng ý.
9.1.6 Sử dụng vật liệu đặc biệt
Có thể sử dụng vật liệu đặc biệt như ống cao su mềm, ống nhựa, hợp kim nhôm v.v ... không theo các điều ở 9.1.5 nêu trên, nếu được Đăng kiểm đồng ý sau khi xem xét về an toàn chống cháy, ngập nước cũng như điều kiện làm việc.
9. 2 Chiều dày ống
9.2.1 Chiều dày quy định của ống chịu áp lực bên trong9.2.1.1 Chiều dày quy định của ống chịu áp lực bên trong được xác định theo công thức sau:
tr = t0 + b + C, trong đó:
tr : chiều dày quy định của ống (mm);
t0 : chiều dày danh nghĩa của ống;
P : áp suất thiết kế (MPa);
D : đường kính ngoài của ống (mm);
f : ứng suất cho phép, nêu ở 9.2.1.3 (MPa).
J : hệ số sức bền của mối nối được cho như sau:
Các ống liền: 1,00;
Các ống hàn điện trở: 0,85 (có thể lấy là 1,00 trong trường hợp phải tiến hành kiểm tra khuyết tật bằng siêu âm hoặc phương pháp kiểm tra khác mà Đăng kiểm cho là thích hợp đối với toàn bộ chiều dài mối hàn).
b: Số bù thêm cho chiều dày ống bị biến mỏng khi uốn, được tính theo công thức sau:
R : bán kính cong trung bình (mm);
Tuy nhiên, không cần xét đến b khi đảm bảo rằng ứng suất màng tính toán ở chỗ cong không vượt quá trị số cho phép.
C : lượng bù thêm cho ăn mòn nêu ở 9.2.1.5 (mm).
9.2.1.2 Chiều dày của ống có dung sai chiều dày âm không được nhỏ hơn trị số t1 theo công thức sau:
t1 = t r/(1-a/100), trong đó:
t r: xác định như ở 9.2.1.1 trên đây;
a : dung sai âm lớn nhất (%).
9.2.1.3 Ứng suất cho phép của từng vật liệu phải thỏa mãn các yêu cầu sau:
(1) Ứng suất cho phép (f) của các ống thép các bon và thép hợp kim thấp phải được chọn là trị số nhỏ nhất trong các trị số tính toán bởi các công thức sau, hoặc là trị số cho trong Bảng 3/9.3(1). Tuy nhiên, nếu nhiệt độ thiết kế không thuộc vào vùng rão, thì không cần xét trị số f3:
R20 : giới hạn bền kéo nhỏ nhất của vật liệu ở nhiệt độ 20 oC (MPa);
Et : giới hạn chảy hoặc giới hạn chảy quy ước của vật liệu ở nhiệt độ thiết kế (MPa);
SR : ứng suất trung bình của vật liệu bị phá hủy (nứt, gãy) sau 100.000 giờ ở nhiệt độ thiết kế (MPa).
(2) Ứng suất cho phép của ống đồng thau và ống đồng niken lấy theo các trị số cho trong Bảng 3/9.3(2);
(3) Đăng kiểm sẽ xem xét ứng suất cho phép của các vật liệu khác với vật liệu ở (1) và (2) cho từng trường hợp.
9.2.1.4 Khi tính t0 ở 9.2.1.1, lấy ứng suất cho phép bằng 1/5 giới hạn bền kéo nhỏ nhất của vật liệu ở nhiệt độ trong phòng thay cho ứng suất cho phép nêu ở 9.2.1.3(1) đối với ống thép có nhiệt độ thiết kế không vượt quá 250 oC, cần phải có b trong công thức tính t r ở 9.2.1.1 và không cần xét yêu cầu tăng thêm cho dung sai âm nêu ở 9.2.1.2.
Lượng bù thêm cho ăn mòn của các ống thép, đồng và hợp kim đồng phải lấy theo Bảng 3/9.4 và 3/9.5 tương ứng.
9.2.2 Chiều dày nhỏ nhất của ống
9.2.2.1 Chiều dày các ống thép phải thỏa mãn các yêu cầu nêu ở 9.2.1 tùy theo công dụng và vị trí đặt ống, không được nhỏ hơn trị số cho trong Bảng 3/9.6. Nhưng nếu dùng ống thép hợp kim chống ăn mòn thay cho ống thép, chiều dày nhỏ nhất của ống sẽ được Đăng kiểm xem xét trong từng trường hợp cụ thể.
9.2.2.2 Với các ống có khả năng chống ăn mòn, có thể giảm chiều dày nhỏ nhất nêu trong Bảng 3/9.6(2) xuống không quá 1 mm, trừ các ống thép dùng cho hệ thống dập cháy bằng CO2.
9.2.2.3 Khi xác định chiều dày ống theo Bảng 3/9.6(2), không hạn chế đối với dung sai âm và giảm độ dày do uốn ống. Nhưng đối với các ống có ren, phải đo chiều dày nhỏ nhất tại chân ren, trừ các phần ren để lắp đầu ống của các ống thông hơi, của các ống tràn và các ống đo cũng như phần ren của các ống dập cháy bằng CO2 từ trạm phân phối tới các đầu phun.
9.2.2.4 Chiều dày nhỏ nhất của các ống đồng và hợp kim đồng phải như quy định trong Bảng 3/9.7.
9.3 Kết cấu các van và phụ tùng ống
9.3.1 Quy định chung
Các van, phụ tùng ống, vòng đệm, đệm kín phải phù hợp với điều kiện sử dụng và phải có kết cấu theo tiêu chuẩn được Đăng kiểm cho là phù hợp hoặc có kết cấu tương đương.
9.3.2 Van và phụ tùng ống đặc biệt
Van, phụ tùng ống, vòng đệm và đệm kín có kết cấu đặc biệt hoặc được chế tạo theo một phương pháp công nghệ đặc biệt được dùng cho các ống nhóm I và II phải được Đăng kiểm chấp nhận.
9.4 Nối và uốn ống
9.4.1 Hàn ống
Việc hàn hệ thống ống phải thỏa mãn các yêu cầu ở Phần 6B của Quy phạm này.
9.4.2 Nối trực tiếp các đoạn ống
9.4.2.1 Việc nối trực tiếp các đoạn ống thuộc nhóm I hoặc II phải theo dạng hàn giáp mép. Tuy nhiên, đối với các ống có đường kính danh nghĩa không lớn hơn 50 mm, có thể dùng cách hàn có ống lồng ngoài (hàn chồng mép nhờ vòng đệm).
9.4.2.2 Không được nối ống bằng ren trừ các ống sau:
(1) Ống có đường kính danh nghĩa không lớn hơn 25 mm;
(2) Ống thuộc nhóm III với đường kính danh nghĩa không lớn hơn 50 mm không chứa các chất dễ cháy.

Chú thích:
1) Các giá trị trung gian được xác định bằng nội suy;
2) Vật liệu của ống thép trong bảng phải thỏa mãn các yêu cầu trong Phần 6A của Quy phạm này

Bảng 3/9.4 - Lượng bù thêm cho ăn mòn của ống thép (C )
| Công dụng của đường ống | C (mm) | |
Hệ thống hơi quá nhiệt | 0,3 | |
| Hệ thống hơi bão hòa | Công dụng chung | 0,8 |
| Hệ thống ống xoắn hơi nước trong các két dầu hàng | 2 | |
| Hệ thống cấp nước nồi hơi | Hệ thống tuần hoàn hở | 1,5 |
| Hệ thống tuần hoàn kín | 0,5 | |
| Hệ thống xả của nồi hơi | 1,5 | |
| Hệ thống không khí nén | 1 | |
| Hệ thống dầu bôi trơn và dầu thủy lực | 0,3 | |
| Hệ thống dầu đốt | 1 | |
| Hệ thống dầu hàng | 2 | |
| Hệ thống nước ngọt | 0,8 | |
| Hệ thống nước ngoài mạn | 3 | |
Chú thích:
1) Với các ống được bảo vệ chống ăn mòn bên trong có hiệu quả, có thể giảm lượng bù thêm cho ăn mòn trong bảng tới 50% nếu được Đăng kiểm đồng ý;
2) Nếu dùng thép hợp kim đặc biệt có khả năng chống ăn mòn, có thể giảm lượng bù thêm cho ăn mòn tới 0;
3) Với các ống nước bằng thép có đường kính danh nghĩa bằng hoặc nhỏ hơn 25 mm, có thể giảm lượng bù thêm cho ăn mòn xuống tới 1,5 mm;
Khi khí áp dụng theo Bảng này hoặc dùng công chất không có trong Bảng, lượng bù thêm cho ăn mòn sẽ được Đăng kiểm xem xét cho từng trường hợp theo điều kiện ăn mòn;
5) Đối với đường ống đi qua két, lượng bù thêm cho ăn mòn phải phù hợp với các trị số trong Bảng và tùy thuộc vào chất lỏng ngoài ống để tính độ ăn mòn bên ngoài ống.
Bảng 3/9.5 - Lượng bù thêm cho ăn mòn của đồng và hợp kim đồng (C)
| Loại vật liệu | C (mm) |
| Ống liền hợp kim đồng phốt pho đi-ô-xít và ống liền đồng thau nêu trong Bảng 3/9.3(2) | 0,8 |
| Ống liền đồng niken nêu trong Bảng 3/9.3(2) | 0,5 |
Chú thích: Với các công chất không gây ăn mòn cho vật liệu được dùng, có thể lấy lượng bù thêm cho ăn mòn bằng 0.
9.4.3 Nối ống với mặt bích hoặc phụ tùng ống
9.4.3.1 Mối nối giữa ống và bích ống phải phù hợp với điều kiện làm việc, có kết cấu và sức bền thỏa mãn các yêu cầu ở Hình 3/9.1 theo sự phân loại để áp dụng nêu trong Bảng 3/9.8 hoặc các dạng mối nối khác được Đăng kiểm cho phép.
9.4.3.2 Các van và phụ tùng ống bằng kim loại màu có thể được nối vào ống kim loại màu bằng hàn hơi. Trong trường hợp này dạng hàn hơi và phương pháp áp dụng phải phù hợp với các điều kiện sử dụng của chúng.
9.4.3.3 Mối nối giữa ống với phụ tùng ống phải thỏa mãn các yêu cầu ở 9.4.1 và 9.4.3.1 nêu trên.
9.4.4 Uốn ống và xử lí nhiệt sau khi uốn
9.4.4.1 Uốn nóng các ống thuộc nhóm I và II phải thỏa mãn các yêu cầu sau:
(1) Nói chung, uốn nóng phải tiến hành trong phạm vi nhiệt độ 1000 oC¸850 oC. Tuy nhiên, nhiệt độ có thể giảm tới 750 oC trong quá trình uốn ống;
(2) Với các ống thép cấp 4 trong Bảng 3/9.6 việc xử lí nhiệt để khử ứng suất phải tiến hành theo yêu cầu nêu ở Phần 6A của Quy phạm này đối với nhiệt độ và thời gian duy trì cho ống.
9.4.4.2 Khi các ống nhóm I và II được uốn nguội, phải tiến hành xử lí nhiệt tương ứng theo vật liệu ống, môi trường làm việc v.v... và xét đến biến dạng dẻo có hại do uốn nguội và phát triển ứng suất dư.
Đối với việc uốn ống và xử lý nhiệt sau khi uốn cho các ống thép khác với các ống nêu ở Phần 6A của Quy phạm này và các ống làm bằng vật liệu khác với thép phải được Đăng kiểm chấp thuận.
9.5 Kết cấu máy phụ và két chứa
9.5.1 Quy định chung
9.5.1.1 Máy phụ và két chứa phải đủ sức bền và phải có kết cấu sao cho dễ bảo dưỡng và kiểm tra.
Chiều dày tôn vỏ két chứa dầu đốt không được nhỏ hơn 6 mm. Nhưng đối với các két nhỏ có thể giảm chiều dày xuống tới 3 mm.
9.6 Thử nghiệm
9.6.1 Thử tại xưởng
9.6.1.1 Thử nghiệm các đường hàn của hệ thống ống và máy phụ phải thỏa mãn các yêu cầu trong Phần 6B của Quy phạm này.
9.6.1.2 Các ống nhóm I, II, các ống hơi nước, các ống cấp nước, các ống không khí nén và các ống dầu đốt có áp suất thiết kế trên 0,35 MPa phải được thử thủy lực cùng với các phụ tùng đã được hàn sau khi hoàn thành quá trình gia công, ở áp suất bằng 1,5 lần áp suất thiết kế. Thử nghiệm này có thể được tiến hành sau khi lắp ráp xuống tàu.
Bảng 3/9.6(1) - Chiều dày nhỏ nhất của ống thép
| Công dụng | Vị trí ống | Chiều dày nhỏ nhất (Các chữ cái được đặt trong ngoặc ứng với Bảng 3/9.6(2)) | |||
| Ống hút khô | Đi qua các két trừ két dầu hàng | (E) | |||
| Đi qua các két dầu hàng | 10 mm | ||||
| Không qua các két | (H) | ||||
| Ống nước dằn
| Đi qua các két trừ két dầu hàng (chú thích 2) | (E) | |||
| Đi qua két dầu hàng | Để xả ra ngoài mạn | 10 mm | |||
| Cho các két dằn trước vách chống va | 10 mm | ||||
| Cho các trường hợp khác | (E) là (D) khi D | ||||
| Không đi qua các két | (H) | ||||
| Ống thoát nước, ống vệ sinh (chú thích 1) | Xuyên qua vỏ tàu trừ các két dầu hàng và các hầm hàng và không yêu cầu có van 1 chiều tự động | (G) | |||
| Xuyên qua vỏ tàu trừ các két dầu hàng và các hầm hàng và yêu cầu có van 1 chiều tự động | (D) | ||||
| Dẫn từ boong trống và đi qua các két dầu hàng | (A) là 18,2 mm khi D | ||||
|
| Không được bảo vệ | (A) (chú thích 3) | |||
| Được bảo vệ | (C) (chú thích 3) | ||||
| Đi qua két dằn | (G) | ||||
| Không đi qua các két | (G) | ||||
| Ống thông hơi, ống tràn ống đo | Đi qua các két trừ két dầu hàng | (E) | |||
| Đi qua các két dầu hàng | (B) | ||||
| Cho các két liền vỏ | (G) | ||||
| Phần đầu cùng của ống thông hơi lộ ra phía trên boong mạn khô và boong thượng tầng (chú thích 1) | (Chú thích 3) | (E) | |||
| (Chú thích 4) | (G) | ||||
| Ống dầu đốt | Đi qua các két trừ các két dầu đốt | (E) | |||
| Ống nước | Đi qua các két | (E) | |||
| Không đi qua các két | (H) | ||||
| Ống nước ngọt | Đi qua các két | (E) | |||
| Ống dầu hàng | Đi qua các két dằn | (E) nhưng là (D) khi D | |||
| Đi qua các két dầu hàng |
| ||||
| Không đi qua két | (F) | ||||
| Ống dập cháy bằng CO2 | Từ các bình tới trạm phân phối | (I) | |||
| Từ trạm phân phối đến các đầu phun | (J) | ||||
| Các ống khác với các ống trên | (K) | ||||
Chú thích:
1) Các ống thoát nước và các ống vệ sinh của các tàu có chiều dài nhỏ hơn 24 m sẽ được miễn giảm một cách thích hợp;
2) (H) được áp dụng khi một ống nước dằn an toàn (nguy hiểm) qua một két nước dằn an toàn (nguy hiểm).
Ống nước dằn nguy hiểm là ống để hút và xả nước dằn của một két nước dằn nguy hiểm (một két nước dằn kề với một két dầu hàng hoặc một két nước dằn nối với một két dầu hàng qua một ống hở đầu).
Ống nước dằn an toàn là ống để hút và xả nước dằn cho một két nước dằn an toàn (két nước dằn không phải là két nước dằn nguy hiểm);
3) Chiều dày của ống không cần vượt quá chiều dày của tôn vỏ ở chỗ ống xuyên qua.
9.6.1.3 Các ống thép có nhiệt độ thiết kế lớn hơn 300 oC phải được thử thủy lực ở áp suất xác định theo công thức dưới đây. Nhưng không cần thử vượt quá 2 lần áp suất thiết kế. Trị số áp suất thử có thể giảm xuống 1,5 lần áp suất thiết kế để tránh ứng suất quá mức ở các chỗ bị uốn, ở các chi tiết chữ T v.v... thử nghiệm này có thể được tiến hành sau khi lắp ráp trên tàu.
Ph : áp suất thử (MPa);
P : áp suất thiết kế (MPa).
K100: ứng suất cho phép của vật liệu ống ở 100oC (MPa);
KT : ứng suất cho phép của vật liệu ống ở nhiệt độ thiết kế (MPa);
Bảng 3/9.6(2) - Chiều dày nhỏ nhất của ống thép (1).(3) (mm)
| Đường kính danh nghĩa | Đường kính ngoài (mm) | Chữ cái tương ứng | ||||||||||
| (A) | (B) | (C) | (D) | (E) | (F) | (G) | (H) | (I)(2) | (J)(2) | (K) | ||
| 6 | 10,5 | - | - | - | - | - | - | - | - | - | - | 1,6 |
| 8 | 13,8 | - | - | - | - | - | - | - | - | - | - | 1,8 |
| 10 | 17,3 | - | - | - | - | - | - | - | - | - | - | 1,8 |
| 15 | 21,7 | - | - | - | - | - | 2,8 | - | 3,2 | 3,2 | 2,6 | 2,0 |
| 20 | 27,2 | - | - | - | - | - | 2,9 | - | 3,2 | 3,2 | 2,6 | 2,0 |
| 25 | 34,0 | - | - | - | - | - | 3,4 | - | 3,2 | 4,0 | 3,2 | 2,0 |
| 32 | 42,7 | 6,4 | - | 4,9 | - | 6,3 | 3,6 | 4,5 | 3,6 | 4,0 | 3,2 | 2,0 |
| 40 | 48,6 | 7,1 | - | 5,1 | - | 6,3 | 3,7 | 4,5 | 3,6 | 4,0 | 3,2 | 2,3 |
| 50 | 60,5 | 8,7 | 8,7 | 5,5 | - | 6,3 | 3,9 | 4,5 | 4,0 | 4,5 | 3,6 | 2,3 |
| 65 | 76,3 | 9,5 | 8,7 | 7,0 | 7,0 | 6,3 | 5,2 | 4,5 | 4,5 | 5,0 | 3,6 | 2,6 |
| 80 | 89,1 | 11,1 | 8,7 | 7,6 | 7,6 | 7,1 | 5,5 | 4,5 | 4,5 | 5,6 | 4,0 | 2,9 |
| 90 | 101,6 | 12,7 | 8,7 | 8,1 | 8,0 | 7,1 | 5,7 | 4,5 | 4,5 | 6,3 | 4,0 | 2,9 |
| 100 | 114,3 | 13,5 | 11,1 | 8,6 | 8,6 | 8,0 | 6,0 | 4,5 | 4,5 | 7,1 | 4,5 | 3,2 |
| 125 | 139,8 | 15,9 | 11,1 | 9,5 | 9,5 | 8,0 | 6,6 | 4,5 | 4,5 | 8,0 | 5,0 | 3,6 |
| 150 | 165,2 | 18,2 | 11,1 | 11,0 | 11,0 | 8,8 | 7,1 | 4,5 | 4,5 | 8,8 | 5,6 | 4,0 |
| 175 | 191,0 | 20,6 | 11,1 | 11,9 | 11,8 | 8,8 | 7,7 | 5,3 | 5,3 | - | - | 4,5 |
| 200 | 216,3 | 23,0 | 12,7 | 12,7 | 12,5 | 8,8 | 8,2 | 5,8 | 5,8 | - | - | 4,5 |
Chú thích:
1) Khi chiều dày ống trong các tiêu chuẩn không khớp với chiều dày nhỏ nhất trong bảng này, có thể dùng ống tiêu chuẩn nếu chênh lệch không quá 0,4 mm;
2) Các ống phải được mạ kẽm ít nhất ở bên trong trừ các ống lắp trong buồng máy;
3) Đăng kiểm sẽ xem xét từng trường hợp đường kính nhỏ nhất của các ống có đường kính danh nghĩa khác với trong bảng này.
Bảng 3/9.7 - Chiều dày nhỏ nhất của ống đồng và hợp kim đồng (mm)
| Đường kính ngoài | Ống đồng | Ống hợp kim đồng |
| 8 - 10 | 1 | 0,8 |
| 12 - 22 | 1,2 | 1 |
| 25 - 45 | 1,5 | 1,2 |
| 50 - 76,2 | 2 | 1,5 |

Chú thích:
1) Kiểu mối nối (B) có thể dùng cho các ống hơi nước có đường kính ngoài £ 60,5 mm;
2) Kiểu mối nối (B) có thể dùng cho các ống hơi nước có đường kính ngoài £ 165,2 mm;
3) Kiểu mối nối (E) có thể dùng cho các ống có áp suất thiết kế £ 1,0 MPa;
4) Kiểu mối nối (F) có thể dùng cho các ống nước hoặc các ống một đầu hở.
9.6.1.4 Nếu chắc rằng tổng áp suất màng chính trong thành ống vượt quá 90% giới hạn chảy danh nghĩa ở áp suất thử được quy định ở 9.6.1.2 và 9.6.1.3, phải hạ thấp áp suất thử để giảm ứng suất xuống 90% giới hạn chảy danh nghĩa.
9.6.1.5 Các van và phụ tùng ống nhóm I và II phải được thử thủy lực với áp suất bằng 1,5 lần áp suất thiết kế.
9.6.1.6 Các van và đoạn ống để lắp van vào mạn tàu phía dưới đường nước chở hàng phải được thử thủy lực với áp suất bằng 1,5 lần áp suất thiết kế hoặc 0,5 MPa, lấy giá trị nào lớn hơn.
9.6.1.7 Các phần chịu áp lực của các máy phụ (trừ máy phụ có công dụng đặc biệt v.v...) phải được thử thủy lực ở áp suất bằng 1,5 lần áp suất thiết kế và 0,2 MPa lấy giá trị nào lớn hơn.
9.6.1.8 Các két chứa nhiên liệu rời phải được thử thủy lực với áp suất ứng với cột áp cao hơn tấm đỉnh 2,5 m.
9.6.1.9 Các máy phụ (trừ máy phụ có công dụng đặc biệt) phải được thử hoạt động khi Đăng kiểm yêu cầu.
9.6.2 Thử nghiệm sau khi lắp ráp trên tàu
Khi các mối nối giữa các ống hoặc giữa ống và van được hàn trên tàu, hệ thống đường ống này phải được thử thủy lực khi Đăng kiểm yêu cầu.|
| Các kiểu nối và kích thước |
| A |
|
| B |
|
| C |
|
| D |
|
| E |
|
| F |
|
Hình 3/9.1 - Các kiểu nối bích
Chú thích:
1) Các kích thước tiêu chuẩn của các mối hàn như sau:
a = 1,4t
m = t
S1 = t
S2 = 0,5t
Trong đó t là chiều dày quy định của ống.
2) Đối với kiểu D, ống và bích phải nối bằng ren côn và phải bắt chặt vào bích bằng độ căng. Tuy nhiên, đường kính ngoài của phần ren của ống không được nhỏ hơn so với đường kính ngoài của ống không cắt ren.
CHƯƠNG 10 -
HỆ THỐNG ĐƯỜNG ỐNG
10.1 Quy định chung
10.1.1 Phạm vi áp dụng
Các yêu cầu trong Chương này áp dụng cho các hệ thống đường ống lắp đặt trên tàu.
10.1.2 Các bản vẽ và tài liệu
10.1.2.1 Các bản vẽ và tài liệu phải trình duyệt như sau:
(1) Các bản vẽ (Có ghi vật liệu, kích thước, kiểu, áp suất và nhiệt độ thiết kế v.v... của ống, van...)
(a) Sơ đồ hệ thống đường ống động lực;
(b) Sơ đồ hệ thống đường ống trong buồng máy;
(c) Các bản vẽ cần thiết khác khi Đăng kiểm cho là cần thiết.
(2) Các tài liệu
(a) Bản thuyết minh trang bị;
(b) Các tài liệu cần thiết khác khi Đăng kiểm cho là cần thiết.
10.2 Đường ống
10.2.1 Quy định chung
10.2.1.1 Cố định ống
(1) Phải có phần ống dôi để bù hòa ảnh hưởng do dãn nở, co, biến dạng của vỏ tàu và chấn động. Độ dài nhịp được đỡ của ống phải thích hợp để tránh mọi quá tải;
(2) Phải giảm đến mức tối thiểu số lượng mối nối ống tháo được.
10.2.1.2 Bán kính uốn ống
Bán kính cong của đường tâm ống ở chỗ bị uốn không được nhỏ hơn 2 lần đường kính ngoài của ống.
10.2.1.3 Sự hoạt động của ống
Phải bố trí các ống sao cho không ảnh hưởng đến sự hoạt động của thiết bị do đọng nước, không khí hoặc tổn thất áp suất trong các ống.
10.2.1.4 Đường ống ở gần thiết bị điện
Không đưa đường ống đến gần các thiết bị điện như máy phát, bảng điện, thiết bị điều khiển v.v... Nếu không thể tránh được thì phải chú ý để không bố trí bích hoặc mối nối ở phía trên hoặc gần thiết bị điện, trừ khi đã có biện pháp phòng chống sự rò rỉ xuống thiết bị.
10.2.1.5 Bảo vệ ống và phụ tùng
(1) Phải bảo vệ thích hợp tất cả các ống, van, phụ tùng ống, cần van, tay vặn v.v... đặt ở trong hầm hàng hoặc trên boong hở mà ở đó chúng có khả năng bị hư hỏng. Hộp bảo vệ phải dễ tháo được để kiểm tra;
(2) Phải bảo vệ chống ăn mòn cho các ống bố trí ở nơi khó tới bảo dưỡng và kiểm tra.
10.2.1.6 Các van xả áp
(1) Phải bảo vệ tất cả các đường ống có thể có áp suất bên trong vượt quá áp suất thiết kế bằng các van xả áp hoặc các thiết bị phòng quá áp khác;
(2) Các đầu xả của các van xả áp hoặc thiết bị phòng qúa áp phải được dẫn tới các nơi an toàn.
10.2.1.7 Thiết bị đo áp suất và nhiệt độ
(1) Phải đặt các thiết bị đo áp suất và nhiệt độ ở những nơi cần thiết trên các hệ thống đường ống;
(2) Các vòi hoặc van phải được lắp ở chân thiết bị đo áp suất để cách ly thiết bị đo khỏi đường ống bị tăng áp suất.
10.2.1.8 Dấu hiệu phân biệt đường ống
(1) Phải sơn bằng các màu riêng cho các ống đặt ở những nơi cần an toàn để tránh sử dụng sai;
(2) Để đảm bảo an toàn trong sử dụng phải gắn thẻ ghi công dụng vào các van. Các van của hệ thống cứu hỏa phải được sơn màu đỏ;
(3) Phải gắn thẻ tên vào các đầu hở của các ống thông hơi, ống đo và ống tràn.
10.2.1.9 Vệ sinh hệ thống đường ống
Phải làm sạch các hệ thống đường ống sau khi chế tạo hoặc lắp ráp trên tàu nếu thấy cần thiết.
10.2.2 Nối và dùng chung ống
10.2.2.1 Nối ống dầu với ống khác
(1) Các ống dầu đốt phải độc lập hoàn toàn với các ống khác, trừ khi có các phương tiện ngăn ngừa trộn lẫn tình cờ với các chất lỏng khác trong khi hoạt động;
(2) Các ống dầu bôi trơn phải độc lập hoàn toàn với các đường ống khác;
(3) Các ống nước ngọt cấp cho nồi hơi hoặc nước ngọt sinh hoạt phải độc lập hoàn toàn với các ống khác để tránh nhiễm bẩn dầu hoặc nước chứa dầu;
(4) Các ống dầu và các ống hâm trong các két sâu có thể được dùng để chứa hàng thông thường phải có khả năng tháo rời được hoặc có các thiết bị thích hợp như nắp bích hoặc ống cuộn. Các ống hút khô và ống nước dằn trong các két sâu này phải thỏa mãn các yêu cầu ở 10.5.1.10.
10.2.2.2 Dùng chung các ống nước ngoài mạn và nước ngọt
Các ống nước ngoài mạn và nước ngọt phải độc lập nhau trừ khi có biện pháp thích hợp tránh trộn lẫn tình cờ của nước ngọt với nước ngoài mạn.
10.2.3 Ống xuyên vách
Nơi ống xuyên qua vách kín nước, boong và tấm đỉnh, tấm đáy, và các vách của két sâu và tấm đáy trong, phải có biện pháp đảm bảo kín nước cho các kết cấu.
10.2.4 Mối nối trượt
Không được dùng mối nối trượt ở các đường ống trong các hầm hàng và các khoang khó tới, trừ khi được Đăng kiểm cho phép.
10.2.5 Van trên vách ngăn
10.2.5.1 Các van hoặc vòi như các van xả không phải là một phần của một hệ thống đường ống nào cả thì không được lắp trên vách chống va.
10.2.5.2 Các ống xuyên qua vách chống va phải có van thích hợp thao tác được từ phía trên boong mạn khô và hộp van phải cố định chắc ở vách bên trong hầm mũi. Tuy nhiên có thể lắp van phía sau vách chống va với điều kiện là dễ đến gần được ở mọi điều kiện khai thác và nơi đặt van không phải là khoang chứa hàng. Có thể không cần có thiết bị điều khiển từ xa các van này.
10.2.5.3 Các van và vòi như van xả không phải là một phần của bất cứ hệ thống đường ống nào, có thể lắp trên vách kín nước không phải là vách chống va, với điều kiện là dễ đến gần được vào mọi lúc cần kiểm tra. Phải thao tác được các van này từ phía trên boong chính và có chỉ báo đóng mở, trừ khi các van được bắt chắc vào vách trước hoặc vách sau phía trong buồng máy.
10.2.5.4 Các phương tiện để điều khiển các van từ trên boong mạn khô hoặc trên boong chính phải được kết cấu sao cho trọng lượng của chúng không đè lên van.
10.2.5.5 Ngăn ngừa đóng băng trong các ống
Phải có biện pháp thích hợp để ngăn ngừa việc đóng băng đối với các loại ống hút khô, thông hơi, ống đo, ống xả v.v... đi qua hoặc đặt gần buồng lạnh, với có nguy cơ đóng băng mặt trong của ống.
10.3 Van hút nước ngoài mạn và van xả mạn
10.3.1 Nối ống hút nước ngoài mạn và các ống xả mạn
Các ống lấy nước ngoài mạn vào và xả ra mạn phải được nối vào các van hoăc vòi theo đúng các yêu cầu ở 10.3.2.2 và 10.3.2.3.
10.3.2 Vị trí và kết cấu của các van hút nước ngoài mạn và xả mạn
10.3.2.1 Các van hút nước ngoài mạn và xả mạn được lắp vào hộp van thông ngoài mạn ở mạn (là một phần kết cấu tàu) hoặc lắp vào đoạn ống nối vào tấm vỏ phải bố trí ở các vị trí dễ tới gần.
10.3.2.2 Các van hoặc vòi quy định ở 10.3.2.1 phải được lắp thỏa mãn các yêu cầu sau đây:
(1) Các van hoặc vòi phải được lắp vào các tấm ốp được hàn vào tấm vỏ hoặc vào hộp van thông ngoài mạn bằng các vít cấy. Các vít cấy này không được xuyên qua tấm vỏ và hộp van thông ngoài mạn;
(2) Các van hoặc vòi phải được lắp bằng bu lông với đoạn ống lắp van được cố định chắc vào vỏ tàu. Trong trường hợp này, các đoạn ống lắp van phải có kết cấu cứng và càng ngắn càng tốt.
10.3.2.3 Các cần van của các van hút nước ngoài mạn phải nhô lên cao hơn mặt sàn thấp, nơi dễ thao tác. Các van hút nước ngoài mạn dẫn động bằng cơ giới cũng phải dẫn động được bằng tay.
10.3.2.4 Các van xả mạn và vòi phải được trang bị các đầu nối đi qua tấm vỏ và các vòng bảo vệ nêu ở 10.3.2.5(1). Nhưng có thể không cần trang bị các đầu nối này nếu các phụ tùng được gắn vào các đệm lót hoặc đoạn ống lắp van tạo nên dạng đầu nối ở vùng tấm vỏ và vòng bảo vệ.
10.3.2.5 Các van xả của nồi hơi và thiết bị bốc hơi phải thỏa mãn các yêu cầu (1) và (2) sau đây:
(1) Các van xả của nồi hơi và thiết bị bốc hơi phải được lắp ở các vị trí dễ tiếp cận và phải có các vòng bảo vệ ở phía ngoài của tấm vỏ để chống ăn mòn;
(2) Các tay vặn vòi không được thể tháo ra được trừ khi vòi đang đóng và nếu dùng van, các vô lăng phải được giữ đúng vị trí trên cần van.
10.3.3 Kết cấu của các cửa thông ngoài mạn
Các cửa thông ngoài mạn phải có kết cấu đảm bảo không bị tắc hút do nút không khí.
10.3.4 Mặt sàng của các cửa hút nước ngoài mạn
10.3.4.1 Phải trang bị các mặt sàng cho các cửa lấy nước ngoài mạn vào. Diện tích thông qua các mặt sàng không được nhỏ hơn 2,5 lần tổng diện tích cửa vào của các van hút nước ngoài mạn.
10.3.4.2 Phải có thiết bị để làm sạch các mặt sàng nêu ở 10.3.4.1 trên bằng hơi nước, không khí nén, nước v.v... áp suất thấp.
10.4 Các lỗ thoát nước và các lỗ xả vệ sinh
10.4.1 Quy định chung
10.4.1.1 Hệ thống ống thoát nước với số lượng và kích thước ống đủ cho việc tiêu nước có hiệu quả phải được trang bị ở tất cả các boong. Tuy nhiên Đăng kiểm có thể cho phép miễn trừ các phương tiện thoát nước trong một khoang đặc biệt bất kỳ của một tàu hoặc một loại tàu nếu thỏa mãn điều kiện là kích thước hoặc sự phân khoang không ảnh hưởng đến an toàn của tàu.
10.4.1.2 Các ống thoát từ các khoang dưới boong mạn khô hoặc bên trong thượng tầng, lầu kín trên boong mạn khô phải đưa thẳng tới các hố gom nước. Ngoài ra có thể đưa chúng ra mạn khi có các van thỏa mãn các yêu cầu sau:
(1) Mỗi lỗ thoát độc lập phải có một van tự động một chiều có phương tiện đóng cưỡng bức từ trên boong mạn khô, hoặc là có một van tự động một chiều không có phương tiện đóng cưỡng bức và một van chặn điều khiển được từ trên boong mạn khô. Tuy nhiên ở chỗ các ống thoát nước dẫn ra mạn qua tấm vỏ ở buồng máy có người trực, việc lắp với tấm vỏ một van đóng cưỡng bức điều khiển tại chỗ cùng với một van một chiều ở trong tàu cũng được chấp nhận. Các phương tiện để thao tác van cưỡng bức từ phía trên boong mạn khô phải dễ tiếp cận;
(2) Nếu chiều cao từ đường nước chở hàng tới đầu ống thoát nước trong tàu lớn hơn 0,01Lf, thì ống thoát nước có thể có 2 van tự động một chiều không cần phương tiện đóng cưỡng bức để thay cho các van quy định ở 10.4.1.1. Trong trường hợp này, van phía trong tàu phải đặt cao hơn đường nước chở hàng và luôn tiếp cận được để kiểm tra ở điều kiện khai thác. Nếu không thể đặt được van trong tàu ở trên đường nước trên, cho phép đặt một van chặn điều khiển tại chỗ giữa hai van tự động một chiều;
(3) Nếu chiều cao nêu ở (2) vượt quá 0,02Lf thay cho các van quy định ở (1) và (2) trên có thể chỉ dùng một van tự động một chiều không cần phương tiện đóng cưỡng bức, nếu được Đăng kiểm đồng ý. Trong đó: Lf là chiều dài tàu để xác định mạn khô.
10.4.1.3 Bất kể các yêu cầu ở 10.4.1.2, các ống thoát nước từ các khoang hàng kín trên boong mạn khô phải tuân theo các yêu cầu sau:
(1) Nếu mạn khô của boong mạn khô bị ngập lúc tàu nghiêng quá 5o, phải có các ống thoát nước đưa thẳng ra mạn thỏa mãn các yêu cầu ở 10.4.1.2;
(2) Nếu mạn khô của boong mạn khô bị ngập khi tàu nghiêng bằng hoặc nhỏ hơn 5o, các ống thoát nước phải thỏa mãn các yêu cầu sau :
(a) Các ống thoát phải đưa thẳng tới các hố gom nước;
(b) Ở khoang hàng kín được bảo vệ bởi hệ thống dập cháy bằng CO2, các ống thoát nước cho boong phải có phương tiện ngăn ngừa khí ngạt thoát ra.
10.4.1.4 Bất kể các yêu cầu ở 10.4.1.2 có thể bố trí chỉ một van chặn cho các ống thoát mạn. Các ống này phải luôn luôn đóng trừ lúc tháo nước trong thời gian tàu hoạt động. Tuy nhiên van chặn này phải đóng được từ một nơi dễ tiếp cận trong trời gian tàu hoạt động bằng một thiết bị đóng có chỉ báo.
10.4.1.5 Các ống thoát nước xuất phát ở độ cao bất kỳ và xuyên qua tấm vỏ ở vị trí thấp hơn boong mạn khô 300 mm hoặc cao hơn đường nước chở hàng dưới 400 mm đối với tất cả các tàu khách và các tàu khác có ký hiệu cấp tàu là SI đều phải có một van một chiều ở chỗ tấm vỏ đó. Van này, trừ khi được quy định riêng ở 10.4.1.2 có thể không cần có với điều kiện là chiều dày của các ống thoát nước thỏa mãn các yêu cầu trong Bảng 3/9.6.
10.4.2 Lỗ xả mạn chung
Số lượng lỗ thoát nước, lỗ thoát vệ sinh và các lỗ tương tự khác ở tấm vỏ phải được giảm tới mức ít nhất bằng cách mỗi lỗ xả được dùng chung cho càng nhiều ống vệ sinh và các ống khác càng tốt, hoặc bằng bất cứ cách phù hợp nào khác. Tuy nhiên, các hệ thống xả ra mạn khác nhau không được nối với nhau, trừ khi được Đăng kiểm cho phép.
10.4.3 Hệ thống xả vệ sinh
Hệ thống vệ sinh phải thỏa mãn các yêu cầu ở 10.4.1 và 10.4.2.
10.5 Hệ thống đường ống hút khô và dằn
10.5.1 Quy định chung
10.5.1.1 Phải có hệ thống hút khô đủ khả năng bơm hút khô cho một khoang kín nước bất kỳ không phải là khoang luôn dùng để chở chất lỏng có đủ phương tiện bơm khác ở mọi điều kiện thực tế.
10.5.1.2 Phải có hệ thống nước dằn đủ khả năng bơm nước dằn vào và hút ra khỏi bất kỳ két chứa nước dằn nào ở mọi điều kiện thực tế.
10.5.1.3 Nếu hệ thống cố định dập lửa bằng phun nước nhờ áp suất hoặc hệ thống cứu hỏa cố định khác tạo ra nhiều nước hoặc khi có các phương tiện làm mát khoang hàng dưới boong chứa các hàng nguy hiểm bằng các vòi phun hoặc làm ngập khoang bằng nước, phải có hệ thống bơm đảm bảo xả được nước đó trực tiếp ra mạn .
10.5.1.4 Phải có biện pháp thích hợp cho hệ thống hút khô để phòng tránh nước ngoài mạn tràn vào khoang kín nước và do vô ý nước đáy tàu tràn từ khoang này sang khoang khác. Để thỏa mãn được yêu cầu này, tất cả các hộp van phân phối nước đáy tàu và các van điều khiển bằng tay gắn với hệ thống hút khô phải đặt ở những nơi tiếp cận được trong các tình huống thông thường. Tất cả các van trong hộp van phân phối nước đáy tàu phải là van một chiều.
10.5.1.5 Các ống hút khô cho các hầm hàng, buồng máy và hầm trục phải độc lập hoàn toàn với các ống không phải là ống hút khô.
10.5.1.6 Các ống hút khô đi qua các két sâu chỉ dùng để dằn và các ống hút khô, dằn đi qua các két sâu không phải là két dằn phải dẫn qua một hầm ống kín dầu hoặc kín nước, hoặc phải có đủ chiều dày thỏa mãn các yêu cầu ở Bảng 3/9.6 và tất cả các mối nối phải được hàn.
10.5.1.7 Các ống hút khô qua các két đáy đôi phải dẫn qua hầm kín dầu hoặc kín nước hoặc phải đủ chiều dày thỏa mãn các yêu cầu ở Bảng 3/9.6.
10.5.1.8 Các ống hút khô đi qua các đáy đôi, các két mạn, các hầm chứa nước đáy tàu hoặc qua các khoang trống có thể bị hư hỏng do mắc cạn hoặc va chạm, phải có các van một chiều ở gần các đầu hút nước đáy tàu, hoặc phải có các van chặn đóng được từ các vị trí dễ tiếp cận.
10.5.1.9 Hệ thống ống nước dằn phải có thiết bị dự phòng thích hợp như van một chiều hoặc van chặn luôn đóng trừ khi đang hút và xả dằn và phải có chỉ báo đóng mở để tránh do sơ suất nước ngoài mạn chảy vào két dằn hoặc chảy từ két dằn này sang két dằn khác.
10.5.1.10 Khi một hầm hàng được chứa nước dằn xen kẽ với chứa hàng, phải có các trang bị thích hợp như bích tịt, ống cuộn ở trong hệ thống ống nước dằn để tránh do sơ suất nước ngoài mạn chảy vào qua các ống nước dằn khi đang chở hàng và ở trong hệ thống ống hút khô để tránh do sơ suất nước dằn qua các ống hút khô chảy vào khi đang chứa nước dằn.
10.5.1.11 Nếu một két vừa để chứa dầu đốt vừa để chứa nước dằn, cần có trang bị thích hợp như bích tịt hoặc ống cuộn để ngăn sự pha trộn dầu đốt vào nước dằn trong ống dằn khi két đang chứa dầu đốt và trong ống dầu đốt khi két đang chứa nước dằn.
10.5.2 Các thuật ngữ
10.5.2.1 Đường ống hút khô chính là phần chính của đường ống hút khô nối vào các bơm hút khô được dẫn động cơ giới độc lập nêu ở 10.5.4.1 và nối vào nó tất cả các ống hút khô nhánh từ các đầu hút nêu ở 10.5.5 và từ 10.5.7.1 đến 10.5.7.4.
10.5.2.2 Đường ống hút khô nhánh là ống hút từ đầu hút của mỗi khoang nối vào đường ống hút khô chính.
10.5.2.3 Ống hút khô trực tiếp là ống hút khô được nối trực tiếp với một bơm được dẫn động cơ giới độc lập nêu ở 10.5.4.1 và hoàn toàn tách biệt với các ống khác.
10.5.2.4 Ống hút khô sự cố là ống hút khô được dùng trong trường hợp sự cố và được nối trực tiếp với một bơm được dẫn động cơ giới độc lập nêu ở 10.5.7.6(1).
10.5.3 Kích thước của các ống hút khô
10.5.3.1 Đuờng ống hút khô chính, các ống hút khô trực tiếp và ống nhánh từ các khoang kín nước phải có đường kính trong tính theo các công thức (1) và (2) dưới đây, hoặc phải là các ống tiêu chuẩn có đường kính trong gần nhất với đường kính tính được.
(1) Với đường ống hút khô chính và các ống hút khô trực tiếp:
(2) Với các ống hút khô nhánh:
trong đó:
d : đường kính trong của đường ống hút khô chính hoặc của các ống hút khô trực tiếp (mm);
d' : đường kính trong của ống hút khô nhánh (mm);
L, B, D : chiều dài, chiều rộng, chiều cao thiết kế của tàu (m).
Tuy nhiên đối với các tàu thỏa mãn yêu cầu 10.4.1.3(2), đại lượng "D" được xác định như sau:
(a) Đối các tàu có các khoang hàng kín kéo dài hết toàn bộ chiều dài tàu, "D" là chiều cao của tàu đo tới boong kề trên boong mạn khô (m);
(b) Đối các tàu có khoang hàng kín không kéo hết toàn bộ chiều dài tàu, "D" là chiều cao của tàu cộng với l 'xh/L (m); trong đó l ', h tương ứng là chiều dài và chiều cao trung bình của các khoang hàng kín;
l : chiều dài của khoang lớn nhất được các ống hút khô nhánh hút (m).
10.5.3.2 Đường kính trong của đường ống hút khô chính không được nhỏ hơn bất cứ đường kính của ống hút khô nhánh nào tính theo công thức ở 10.5.3.1(2)
10.5.3.3 Đường kính trong của các ống hút khô trực tiếp cũng phải thỏa mãn các yêu cầu ở 10.5.7.5.
10.5.3.4 Khi các đầu hút khô ở phần trước và sau của hầm hàng thỏa mãn các yêu cầu ở 10.5.5.1, đường kính trong của ống hút khô nhánh ở phần trước có thể giảm tới 0,7 lần đường kính tính theo công thức ở 10.5.3.1(2).
10.5.3.5 Khi các bơm hút khô trong khoang máy chỉ dùng riêng cho hút khô nước trong buồng máy, đường kính trong của đường kính hút khô chính và của các ống hút khô trực tiếp có thể giảm xuống tới trị số tính theo công thức sau:
l : chiều dài buồng máy (m);
d, B, D : như được nêu ở 10.5.3.1 trên.
10.5.3.6 Đường kính trong của ống hút khô nhánh không được nhỏ hơn 40 mm, trừ khi hút khô cho một khoang nhỏ đường kính trong có thể giảm tới trị số được Đăng kiểm đồng ý.
10.5.3.7 Diện tích tiết diện trong của các ống hút khô nối hai ống hút khô nhánh hoặc nhiều hơn vào đường ống hút khô chính không được nhỏ hơn tổng diện tích tiết diện trong của hai ống hút khô nhánh lớn nhất nhưng không cần vượt quá diện tích tiết diện trong của đường ống hút khô chính tính theo công thức ở 10.5.3.1(1).
10.5.3.8 Đường kính trong của các ống hút khô ở hầm mũi, hầm lái và hầm trục không được nhỏ hơn 35 mm.
10.5.4 Bơm hút khô
10.5.4.1 Số lượng bơm hút khô:
(1) Tất cả các tàu có cấp SI và tổng công suất máy chính từ 220 kW trở lên phải có ít nhất hai bơm hút khô độc lập được truyền động cơ giới, nối vào các ống hút khô chính. Tuy nhiên, đối với các tàu có chiều dài không quá 60 m, một trong các bơm có thể do động cơ chính lai;
(2) Nếu trên tàu có trang bị các bơm nước dằn, bơm vệ sinh và bơm dùng chung được dẫn động cơ giới độc lập có thể dùng làm các bơm hút khô độc lập, dẫn động bằng cơ giới với điều kiện là chúng được nối thích hợp vào đường ống hút khô chính;
Một trong các bơm hút khô độc lập được truyền động cơ giới quy định ở (1) có thể được thay bằng một bơm phụt nối với một bơm nước ngoài mạn không phải là bơm hút khô khi được Đăng kiểm cho phép. Trong trường hợp này lưu lượng của bơm phụt phải thỏa mãn yêu cầu ở 10.5.3.2.
10.5.4.2 Lưu lượng của bơm hút khô
(1) Mỗi bơm quy định ở 10.5.3.1 phải có khả năng hút được một lượng nước không nhỏ hơn trị số tính theo công thức dưới đây qua đường ống hút khô chính nêu ở 10.5.3:
Q = 5,66d2 ´ 10-3, trong đó:
Q: lưu lượng quy định (m3/h);
d: đường kính trong của đường ống hút khô chính quy định ở 10.5.3 (mm).
(2) Đối với tàu không phải là tàu khách có chiều dài không quá 30 m thì lưu lượng của bơm hút khô có thể được xác định theo công thức sau:
Q = 3,45d2 ´ 10-3, trong đó:
Q: (m3/h), d (mm): giống như quy định ở (1) trên đây;
Đối với tàu không tự hành, tàu cố định có thiết bị năng lượng hoặc tàu cố định được cung cấp điện từ bờ hoặc tàu khác, phải có một bơm được truyền động cơ giới và một bơm tay có lưu lượng ít nhất là 3,5 m3/h;
(4) Đối với tàu không tự hành khi hoạt động không cần thuyền viên thì việc hút khô có thể được tiến hành nhờ hệ thống hút khô của tàu kéo, tàu đẩy hoặc tàu phục vụ ở cảng;
(5) Đối với tàu không tự hành và tàu cố định không có thiết bị năng lượng, phải có bơm tay hút khô kiểu pit tấmg hoặc bơm hút khô truyền động cơ giới độc lập, lưu lượng của bơm này được xác định theo bảng sau:
| 0,8LxBxD (m3) | Lưu lượng (m3/h) |
| Đến 50 | 4 |
| Từ 51 đến 200 | 6 |
| Từ 201 trở lên | 8 |
L, B, D là chiều dài, chiều rộng và chiều cao của tàu như quy định ở 10.5.3.1.
(6) Nếu lưu lượng của một trong các bơm này nhỏ hơn quy định thì có thể bổ sung lượng thiếu hụt bằng lưu lượng dư của một bơm khác.
10.5.4.3 Kiểu bơm hút khô
Tất cả các bơm hút khô độc lập được truyền động cơ giới quy định ở 10.5.4.1 phải là loại tự hút hoặc tương đương và phải bố trí thích hợp để khi sử dụng có thể hoạt động được ngay;
Bơm hút khô của buồng bơm dầu phải là loại có kết cấu không phát sinh tia lửa;
Bơm tay phải đảm bảo độ cao hút trong điều kiện bơm được bố trí cao hơn boong mạn khô.
10.5.4.4 Nối các bơm hút khô và các ống hút
Tất cả các bơm được truyền động cơ giới quy định ở 10.5.4.1 phải được bố trí để hút khô nước đáy tàu ra khỏi tất cả các hầm hàng, buồng máy và hầm trục (nếu có). Tuy nhiên, nếu một bơm phụt chỉ dùng riêng cho hút khô trong một hầm hàng, thì đường ống hút khô hầm này không cần nối với các bơm hút khô quy định ở 10.5.4.1. Trong trường hợp này bơm phụt phải bố trí sao cho được dẫn động bởi hai bơm trở lên. Lưu lượng của bơm nước ngoài mạn dùng dẫn động cho bơm phụt, lưu lượng của bơm phụt, đuờng kính trong của ống hút phải được Đăng kiểm duyệt.
10.5.5 Bố trí đầu hút trong các hầm hàng
10.5.5.1 Ở các tàu chỉ có một hầm hàng với chiều dài quá 33 m thì các đầu hút phải được bố trí thích hợp ở nửa phía sau và ở nửa phía trước theo chiều dài hầm hàng.
10.5.5.2 Nếu sàn đáy trong của sàn đáy đôi kéo dài tới hai mạn tàu, thì phải đặt các đầu hút trong các hố gom nước ở cả hai bên hông; và nếu sàn cao có độ khum ngược lại còn phải đặt đầu hút ở đường tâm tàu.
10.5.5.3 Khi đặt tấm lót kín ở trên nước đáy tàu của hầm hàng, phải bố trí sao cho nước ở các phần của hầm hàng có thể chảy đến được các đầu hút.
10.5.6 Hút khô các két mũi, két đuôi và hầm xích
10.5.6.1 Có thể dùng bơm phụt hoặc bơm tay để hút khô các két mũi, két đuôi và các hầm xích. Các bơm phụt và bơm tay này phải hoạt động được bất kỳ lúc nào từ vị trí dễ đến ở trên đường nước chở hàng.
10.5.6.2 Đường ống hút đi qua vách chống va phải thỏa mãn các yêu cầu ở 10.2.5.2.
10.5.7 Bố trí đầu hút khô trong buồng máy
10.5.7.1 Trong buồng máy không có đáy đôi phải có ít nhất hai đầu hút ở gần đường tâm tàu. Một đầu cho ống hút khô nhánh và đầu kia cho ống hút khô trực tiếp. Nếu độ nghiêng của sàn nhỏ hơn 5o phải có thêm các đầu hút ở hai bên hông tàu.
10.5.7.2 Nếu đáy đôi trong buồng máy tạo thêm các rãnh nước ở hai bên hông tàu, phải có một ống hút khô nhánh và một ống hút khô trực tiếp cho mỗi bên hông tàu.
10.5.7.3 Khi sàn đáy đôi kéo dài tới hai mạn tàu phải tạo các hố gom nước ở cả hai bên hông tàu và phải có một ống hút nhánh và một ống hút trực tiếp cho mỗi hố gom nước.
10.5.7.4 Khi buồng máy có các vách kín nước cách ly với khoang nồi hơi và buồng máy phụ, thì phải bố trí các ống hút khô trong khoang nồi hơi và buồng máy phụ để thỏa mãn các yêu cầu ở 10.5.7.1 cho trường hợp không có đáy đôi và phải thỏa mãn các yêu cầu ở 10.5.7.2 và 10.5.7.3 khi có đáy đôi. Cho phép chỉ cần một ống hút khô trực tiếp cho trường hợp có đáy đôi.
10.5.7.5 Các ống hút khô trực tiếp phải thỏa mãn các yêu cầu sau:
(1) Đường kính trong của ống hút khô trực tiếp không được nhỏ hơn trị số tính theo công thức ở 10.5.3.1(1). Khi ở mỗi mạn buồng máy có một ống hút khô trực tiếp thỏa mãn các yêu cầu ở 10.5.7.2 hoặc 10.5.7.3, đường kính trong của một trong các ống hút có thể giảm tới trị số theo công thức ở 10.5.3.1(2). Trong trường hợp này phải đặt ống có đường kính đã giảm ở cùng phía với các ống hút khô sự cố nêu ở 10.5.7.6;
(2) Nếu các khoang có kích thước nhỏ thì không cần thỏa mãn các yêu cầu ở 10.5.7.5 (1) và có thể giảm thích đáng đường kính trong của các ống hút khô trực tiếp.
10.5.7.6 Ống hút khô sự cố cho các tàu có máy chính là động cơ Diesel phải thỏa mãn các yêu cầu sau:
(1) Phải lắp một ống hút khô sự cố với van chặn một chiều có tay quay dễ điều khiển từ sàn buồng máy vào bơm làm mát chính và ống hút phải được dẫn đến độ cao thích hợp trong buồng máy để hút khô được nước đáy tàu trong trường hợp sự cố. Đường kính trong của ống hút này phải bằng đường kính trong của ống hút của bơm;
(2) Nếu bơm làm mát chính không đáp ứng được việc hút khô, có thể nối ống hút khô sự cố với bơm thay cho bơm làm mát chính được dẫn động bằng điện lớn nhất có trong buồng máy nhưng không phải là bơm hút khô nêu ở 10.5.4.1. Đường kính trong của ống hút khô này phải bằng đường kính ống hút của bơm;
(3) Nếu bơm quy định ở 10.5.7.6(1) và 10.5.7.6(2) là loại tự hút, thì có thể bỏ ống hút khô trực tiếp ở cùng mạn tàu với ống hút khô sự cố.
10.5.8 Các hố gom nước đáy tàu
10.5.8.1 Chiều sâu của hố gom nước trong đáy đôi và chiều cao giữa tấm đáy trong và đáy của hố phải cố gắng để chiều sâu của nó không được lớn hơn một nửa chiều cao đáy đôi và đáy hố phải cách tấm bao đáy không nhỏ hơn 300 mm.
10.5.8.2 Thể tích của mỗi hố gom nước không được nhỏ hơn 0,15 m3.
10.5.8.3 Có thể thay các hố bằng các thùng nước bằng thép có thể tích thích hợp khi khoang phải hút khô nhỏ và không thể bố trí được các hố gom nước có thể tích quy định ở 10.5.8.2.
10.5.8.4 Nếu cần phải có các cửa vào các hố gom nước của các hầm hàng, thì phải cố gắng đặt cửa ở gần các đầu hút. Cố gắng tránh đặt cửa ở trên vách trước và vách sau và tấm đáy trong của buồng máy.
10.5.9 Các hộp xả cặn và các hộp lưới lọc
10.5.9.1 Trừ các ống hút khô sự cố trong buồng máy và trong hầm trục, các ống hút khô phải có các hộp xả cặn. Các hộp này phải dễ tới được từ sàn buồng máy, có nắp dễ đóng mở và phải nối các ống thẳng phía sau của các hố gom nước vào phía nạp của hộp xả cặn.
10.5.9.2 Các đầu hút trong các khoang hầm hàng phải có các hộp lưới lọc có lỗ với đường kính không lớn hơn 10 mm trừ khi được Đăng kiểm cho phép. Hộp lưới lọc phải có diện tích thông của các lỗ không nhỏ hơn 3 lần diện tích thông của các ống hút và không cần tháo bất kỳ mối nối nào của các ống hút cũng làm vệ sinh được.
10.6 Ống thông hơi
10.6.1 Quy định chung
10.6.1.1 Tất cả các két và các khoang cách ly cũng như các hộp van thông ngoài mạn phải có ống thông hơi đủ tiết diện ngang cho phép dễ dàng thông hơi từ mọi phần của các két và khoang cách ly. ống thông hơi của các hộp van thông ngoài mạn phải có van chặn lắp trực tiếp trên hộp van.
10.6.1.2 Các két hoặc các khoang cách ly có hình dạng phức tạp sẽ được xem xét riêng về số lượng và vị trí các ống thông hơi.
10.6.1.3 Phải bố trí các ống thông hơi sao cho có thể tự xả nước.
10.6.2 Các đầu hở của các ống thông hơi
10.6.2.1 Tùy theo loại và công dụng của các két, vị trí các đầu hở của các ống thông hơi phải thỏa mãn các yêu cầu từ (1) đến (4) sau đây:
(1) Phải dẫn lên trên boong chính các ống thông hơi cho các két và khoang cách ly sau đây:
(a) Các két đáy đôi;
(b) Các két có thể bị nước ngoài mạn chảy ngược lên;
(c) Các khoang cách ly.
(2) Phải đưa các ống thông hơi cho các két và khoang cách ly sau lên boong hở:
(a) Các két dầu đốt ;
(b) Các két dầu hàng;
(c) Các két dầu nhờn được hâm nóng và các két dầu ngoài mạn lực;
(d) Các két có thể được nạp bằng bơm (chỉ các két ở ngoài khoang máy và không có ống tràn);
(e) Khoang cách ly kề với các két dầu đốt và các két dầu hàng.
(3) Các ống thông hơi cho các két có thể được nạp bằng bơm phải được dẫn tới một vị trí an toàn, tránh thiết bị bị hỏng do tràn chất lỏng khi két bị đầy;
(4) Phải đưa ống thông hơi của các két chứa chất lỏng dễ cháy tới một vị trí an toàn, nơi không có khả năng cháy hơi dầu thoát ra từ các lỗ khoét khi két đang được nạp.
10.6.2.2 Phải trang bị các phương tiện cố định đóng các lỗ của ống thông hơi dẫn lên boong hở để ngăn nước ngoài mạn vào trong tàu khi thời tiết xấu cho các tàu khách và tàu khác có ký hiệu cấp tàu là SI. Phương tiện đóng phải là loại tự động ở nơi khó thao tác trên các tàu chở gỗ trên boong hở.
10.6.2.3 Đầu hở của các ống thông hơi của các két dầu đốt và dầu hàng phải có lưới chặn lửa bằng sợi chống ăn mòn, dễ vệ sinh, dễ tháo và có diện tích thông qua lưới không nhỏ hơn diện tích tiết diện cần thiết của ống thông hơi.
10.6.3 Kích thước của các ống thông hơi
Kích thước của các ống thông hơi phải như sau:
(1) Tổng diện tích tiết diện của các ống thông hơi cho các két có thể nạp bằng bơm không được nhỏ hơn 1,25 lần tổng diện tích tiết diện của các ống nạp. Có thể giảm đường kính của ống thông hơi xuống 40 mm khi két có ống tràn quy định ở 10.7;
(2) Phải có biện pháp an toàn tránh tạo ra chân không khi két được bơm ra;
(3) Đường kính trong của các ống thông hơi cho các két hoặc khoang cách ly liền vỏ không được nhỏ hơn 40 mm.
10.6.4 Chiều cao của các ống thông hơi
Khi các ống thông hơi kéo dài lên quá boong mạn khô hoặc boong thượng tầng, các phần nhô lên của các ống phải có kết cấu vững chắc. Chiều cao ống từ bề mặt trên của boong tới điểm nước có thể vào, ít nhất phải bằng:
(1) 300 mm - đối với tàu có cấp SI và tàu khách;
(2) 250 mm - đối với tàu có cấp SII.
Nếu các chiều cao này gây trở ngại cho hoạt động của tàu, có thể giảm chiều cao tới giá trị được Đăng kiểm chấp nhận.
10.7 Ống tràn
10.7.1 Quy định chung
10.7.1.1 Phải trang bị các ống tràn cho các két được nạp bằng bơm thuộc một trong các loại sau:
(1) Khi diện tích tiết diện của các ống thông hơi không thỏa mãn các yêu cầu ở 10.6.3(1);
(2) Khi có một lỗ khoét ở phía dưới các đầu hở của các ống thông hơi của két;
(3) Các két dầu đốt trực nhật.
10.7.1.2 Phải đưa các ống tràn không phải của các két dầu đốt, dầu bôi trơn và các dầu dễ cháy khác ra ngoài trời hay tới các vị trí thích hợp cho việc xử lý tràn.
10.7.2 Kích thước các ống tràn
Diện tích tiết diện toàn bộ các ống tràn nêu ở 10.7.1.1 không được nhỏ hơn 1,25 lần diện tích tiết diện toàn bộ các ống nạp.
10.7.3 Các ống tràn cho các két dầu đốt, dầu bôi trơn và các dầu dễ cháy khác
10.7.3.1 Các ống tràn phải được dẫn tới các két tràn có dung tích thích hợp hoặc tới một két chứa có thể tích đủ chứa dầu tràn.
10.7.3.2 Các ống tràn phải có kính quan sát ở các vị trí dễ thấy trên các ống thẳng đứng, trừ khi đã trang bị một thiết bị báo động cho trường hợp mức dầu tăng đến điểm định trước trong két.
10.7.4 Các phương tiện ngăn ngừa dòng tràn ngược
10.7.4.1 Phải trang bị các phương tiện thích hợp trên các ống tràn để ngay cả khi một két nào đó bị ngập, các két khác cũng không bị ngập do nước ngoài mạn vào qua các ống tràn.
10.7.4.2 Phải kéo dài các ống tràn xả qua mạn tàu lên quá đường nước chở hàng và phải có các van một chiều trên các mạn tàu. Khi không thể kéo các ống tràn lên quá boong mạn khô, thì phải có các phương tiện phụ để ngăn có hiệu quả nước ngoài mạn vào trong tàu.
10.8 Ống đo
10.8.1 Quy định chung
Phải có ống đo hoặc thiết bị chỉ báo mức chất lỏng cho tất cả các két, khoang cách ly và các vùng khó vào.
10.8.2 Đầu trên của ống đo
10.8.2.1 Phải đưa các ống đo tới các vị trí tiếp cận được vào bất cứ lúc nào ở trên boong chính và phải có phương tiện đóng có hiệu quả ở đầu trên của các ống đo. Tuy nhiên có thể dẫn các ống đo tới các vị trí dễ đến gần từ sàn khoang máy, với điều kiện là phải có các phương tiện đóng sau đây tùy theo các loại két:
(1) Các ống đo cho các két dầu đốt
(a) Các thiết bị khóa tự đóng trên các phần kết thúc của ống đo;
(b) Vòi kiểm tra có đường kính nhỏ đặt dưới thiết bị khóa để chắc chắn rằng không rò nhiên liệu trước khi mở khóa;
(c) Các phương tiện để đảm bảo bất cứ nhiên liệu rò nào qua vòi kiểm tra không gây nguy cơ cháy.
(2) Các ống đo cho các két dầu bôi trơn và các két dầu dễ cháy khác phải có các van thông và vòi tự đóng;
(3) Các ống đo cho các két không phải là két nêu ở (1), (2) và các khoang cách ly: phải có các van thông, vòi hoặc các nắp chụp có ren gắn vào đường ống bằng xích.
10.8.2.2 Các đầu trên của các ống đo cho các két dầu đốt, dầu bôi trơn và các loại dầu dễ cháy khác không được kết thúc ở các buồng ở và kề với các thiết bị điện, nồi hơi và các bề mặt bị nung nóng khác.
10.8.3 Kết cấu các ống đo
10.8.3.1 Các ống đo phải thật thẳng, nếu cong thì độ cong phải đủ lớn
10.8.3.2 Phải lắp các tấm có kích thước thích hợp và đủ dày vào tấm đáy dưới các ống đo có đầu hở để phòng hỏng tấm đáy khi va đập với thước đo. Nếu dùng các ống đo kín đầu, các nút kín ở các đầu phải có kết cấu chắc chắn.
10.8.3.3 Đường kính trong của các ống đo không được nhỏ hơn 32 mm.
10.8.4 Kết cấu của các dụng cụ chỉ báo mức chất lỏng
10.8.4.1 Mỗi dụng cụ chỉ báo mức chất lỏng quy định ở 10.8.1 phải là kiểu được Đăng kiểm duyệt. Tuy nhiên khi dụng cụ chỉ báo mức chất lỏng thỏa mãn một tiêu chuẩn Đăng kiểm đã duyệt hoặc có chứng chỉ được Đăng kiểm chấp nhận thì không cần áp dụng các yêu cầu này.
10.8.4.2 Thiết bị chỉ báo mức chất lỏng bằng kính của các két nhiên liệu, két dầu bôi trơn và các két chở chất lỏng dễ cháy khác phải thỏa mãn các yêu cầu (1) đến (2) dưới đây:
(1) Kính dùng cho thiết bị chỉ báo mức chất lỏng phải là kiểu phẳng, chịu nhiệt và được bảo vệ tránh các hư hỏng cơ học;
(2) Các van hoặc vòi ở các đầu dưới của các thiết bị có kính phải có các phương tiện tự đóng.
10.9 Hệ thống dầu đốt
10.9.1 Quy định chung
10.9.1.1 Giới hạn sử dụng đối với dầu đốt phải thỏa mãn các yêu cầu ở 1.3.3 của Phần 3 này.
10.9.1.2 Không được hâm nóng dầu đốt tới nhiệt độ thấp hơn điểm chớp cháy 10 oC trong các két dầu trừ khi được Đăng kiểm đồng ý.
10.9.1.3 Các khoang có bố trí các hệ thống đốt dầu đốt, các két dầu lắng và két dầu trực nhật, thiết bị phân ly dầu phải được bố trí ở những nơi dễ tiếp cận và phải được thông gió tốt.
10.9.1.4 Hệ thống dầu đốt trong buồng máy chính và buồng nồi hơi phải được xem xét cẩn thận để dễ bảo dưỡng và kiểm tra. Phải chú ý đề phòng rò lọt dầu để không gây hỏa hoạn và dễ phát hiện khi có rò lọt. Phải có khả năng thao tác được tất cả các van từ trên sàn.
10.9.1.5 Phải bố trí các van và các phụ tùng nối khác trên các két dầu đốt ở các vị trí an toàn tránh các hư hỏng từ bên ngoài.
10.9.1.6 Phải có các van chặn ở cả phía hút và đẩy của các bơm dầu đốt.
10.9.1.7 Nếu có van xả áp ở phía đẩy của bơm dầu đốt, thì phải bố trí để dầu xả ra có thể đưa về cửa hút của bơm.
10.9.1.8 Các van và phụ tùng ống với nhiệt độ thiết kế trên 60 oC và áp suất thiết kế trên 1,0 MPa phải thích hợp với áp suất không nhỏ hơn 1,6 MPa. Các van và phụ tùng ống dùng cho hệ thống vận chuyển dầu đốt, hệ thống ống nạp dầu đốt, và các hệ thống ống dầu đốt áp suất thấp khác phải thích hợp đối với áp suất không nhỏ hơn 0,5 MPa.
10.9.1.9 Các mối nối ren dùng để nối các ống phun dầu đốt của động cơ Diesel hoặc các ống của hệ thống đốt của nồi hơi phải có kết cấu cứng và có vòng đệm kim loại kín dầu.
10.9.2 Ống nạp dầu đốt
10.9.2.1 Các ống nạp dầu đốt từ ngoài tàu phải là loại chuyên dùng. Phải cố gắng đưa các đầu hở của các ống này lên trên các boong và các đầu này phải có các nắp cứng.
10.9.2.2 Nếu các ống nạp dầu đốt không được đặt ở trên hoặc ở gần đỉnh các két dầu đốt, thì cần phải đặt van một chiều sát với két hoặc phải có van hoặc vòi có phương tiện đóng từ xa nêu ở 10.9.3.
10.9.2.3 Bất kể các yêu cầu ở 10.9.2.1, khi các ống nạp dầu đốt được nối với các ống hút thì phải có các van chặn trên đường ống nạp. Phải có thêm các van chặn nếu các két nằm ở vị trí cao hơn đáy đôi và dầu đốt có thể vào các két dầu đốt khác qua các ống nạp và tràn từ các lỗ khoét của các ống đo v.v...
10.9.3 Các van của các ống hút két
10.9.3.1 Các ống hút dầu đốt từ các két đặt cao hơn đáy đôi phải có các van chặn bắt chặt trực tiếp vào các vách két.
10.9.3.2 Nếu các van nêu ở 10.9.3.1 ở vị trí thường mở thì chúng phải đóng được tại chỗ hoặc từ một vị trí an toàn bên ngoài chỗ đặt van.
10.9.3.3 Khi các van hoặc vòi của các két dầu sâu ở bên trong một hầm trục hoặc hầm ống hoặc một không gian tương tự, thì phải có các van trên các két, nhưng trong trường hợp hỏa hoạn có thể điều khiển được nhờ một van phụ trên ống hoặc trên các ống nằm ngoài hầm hoặc không gian tương tự. Nếu van phụ đặt ở trong khoang máy, thì phải cố gắng đặt thật gần vách và thao tác được từ vị trí bên ngoài khoang máy này.
10.9.3.4 Bất kể các yêu cầu ở 10.9.3.2 và 10.9.3.3, trong trường hợp các két rất nhỏ thì có thể xem xét để bỏ việc điều khiển từ xa.
10.9.4 Các bơm chuyển dầu đốt
10.9.4.1 Trên các tàu dùng bơm được dẫn động cơ giới để nạp cho các két lắng và két trực nhật phải có ít nhất một bơm chuyển dầu độc lập được dẫn động cơ giới. Nếu có một bơm dầu đốt độc lập dẫn động cơ giới nào đó đa dụng sẵn sàng hoạt động như là một bơm chuyển dầu đốt, thì có thể dùng bơm này làm bơm chuyển dầu.
10.9.4.2 Đối với tàu có lượng tiêu hao dầu đốt trong 20 giờ liên tục không quá 2000 kg thì chỉ cần đặt một bơm tay vận chuyển dầu đốt là đủ.
10.9.5 Các khay hứng dầu rò rỉ và hệ thống xả nước
10.9.5.1 Phải có khay hứng dầu rò rỉ đủ chiều cao đặt dưới các thiết bị liên quan với dầu đốt như động cơ Diesel (trừ máy chính), các mỏ đốt, các bơm dầu đốt, các bộ lọc dầu đốt và các két dầu đốt như két lắng dầu đốt và két dầu đốt trực nhật. Khi không thể trang bị các khay kim loại hứng dầu rò rỉ thì phải làm các thành quây để giữ dầu rò rỉ lại.
10.9.5.2 Các két lắng dầu dốt và các két trực nhật phải có các van xả nước đọng khỏi đáy két.
10.9.5.3 Các van xả của các két dầu đốt phải là loại tự đóng.
10.9.5.4 Các thiết bị xả nước phải thỏa mãn các yêu cầu sau:
(1) Dầu trong các khay hứng hoặc trong các thành quây nêu ở 10.9.5.1 và 10.9.5.2 và dầu xả ra từ các van xả lắp trên các két dầu đốt phải được đưa vào các két thải hoặc thiết bị phù hợp khác;
(2) Các két dầu đốt thải quy định trong 10.9.5.4(1) không được tạo thành một phần của hệ thống tràn;
(3) Phải trang bị các thiết bị thích hợp để xử lý dầu đốt thải chứa trong các két dầu thải quy định ở 10.9.5.4(1).
10.9.6 Hệ thống dầu đốt cho động cơ Diesel
10.9.6.1 Số lượng và sản luợng của các bơm cấp dầu đốt chính
Phải trang bị cho máy chính một bơm cấp dầu chính có đủ lưu lượng để duy trì lượng cấp dầu đốt ở công suất liên tục lớn nhất của máy chính.
10.9.6.2 Các bộ lọc dầu đốt
(1) Phải có các bộ lọc dầu trên đường ống cấp dầu đốt cho các động cơ Diesel. Các bộ lọc cho động cơ Diesel là máy chính phải có khả năng vệ sinh được mà không phải ngừng việc cấp dầu đã lọc;
(2) Các bộ lọc dầu đốt nêu ở (1) trên phải có các van để giảm áp suất trước khi mở.
10.9.7 Thiết bị đốt của nồi hơi
10.9.7.1 Thiết bị đốt cho nồi hơi
(1) Khi nồi hơi có thiết bị đốt kiểu phun nhiên liệu áp suất cao phải có hai tổ bơm và thiết bị hâm dầu. Mỗi tổ phải có khả năng cung cấp đủ lượng dầu để tạo hơi ở tốc độ sinh hơi lớn nhất ngay cả khi một tổ bị hỏng. Các bơm này phải được nối với nhau để sẵn sàng sử dụng;
(2) Phải trang bị các bộ lọc ở phía hút và phía đẩy của bơm phun nhiên liệu. Các bộ lọc phải có khả năng làm vệ sinh được mà không phải ngừng việc cấp dầu đã lọc;
(3) Khi cấp dầu đốt cho các vòi phun bằng trọng lực phải có các bộ lọc dầu đốt có thể vệ sinh được mà không cần phải ngừng cấp dầu đã lọc.
10.9.7.2 Đề phòng sự trộn lẫn dầu đốt vào các ống hơi nước và không khí nén.
Khi tiến hành thu dầu thừa trong các mỏ đốt bằng hơi nước hoặc khí nén, phải có các phương tiện để ngăn sự trộn lẫn dầu vào hơi nước và khí nén.
10.10 Hệ thống dầu bôi trơn và hệ thống dầu thủy lực
10.10.1 Quy định chung
10.10.1.1 Vị trí các khay hứng và thiết bị xả của hệ thống dầu bôi trơn phải thỏa mãn các yêu cầu 10.9.1 và 10.9.5. Việc bố trí các van cho các ống hút từ các két dầu bôi trơn trong khoang máy phải thỏa mãn các yêu cầu ở 10.9.3.
10.10.1.2 Vị trí các khay hứng dầu và thiết bị xả của các hệ thống dầu thủy lực phải thỏa mãn các yêu cầu ở 10.9.1; 10.9.5 (trong trường hợp này thay cho "dầu đốt" cần đọc là "dầu thủy lực").
10.10.2 Bơm dầu bôi trơn
10.10.2.1 Số lượng và lưu lượng của các bơm dầu bôi trơn cho máy chính, hệ trục chân vịt và thiết bị truyền động
(1) Tàu khách cấp SI có một máy chính, phải có một bơm dầu bôi trơn đủ lưu lượng cung cấp dầu bôi trơn ở công suất liên tục lớn nhất của máy chính và phải có một bơm dầu bôi trơn dự phòng đủ lưu lượng cấp dầu ở điều kiện hoạt động bình thường. Các bơm này phải được nối với nhau và sẵn sàng hoạt động;
(2) Nếu tàu nói ở (1) trên có từ hai máy chính trở lên và mỗi máy chính có sẵn một bơm dầu nhờn chính và nếu tàu có thể hoạt động bình thường ngay cả khi một trong các bơm dầu này không hoạt động thì có thể không cần có bơm dự phòng.
10.10.3 Các bộ lọc dầu bôi trơn
10.10.3.1 Khi dùng hệ thống bôi trơn cưỡng bức (bao gồm cả việc cấp dầu bằng trọng lực từ két áp lực) để bôi trơn các máy, thì phải trang bị các bộ lọc dầu bôi trơn.
10.10.3.2 Các bộ lọc dùng trong hệ thống bôi trơn cho máy chính, thiết bị truyền động và chân vịt biến bước phải có khả năng làm vệ sinh được mà không phải ngừng cấp dầu bôi trơn đã được lọc.
10.10.4 Các thiết bị phân ly dầu bôi trơn
Các hệ thống dầu bôi trơn phải có thiết bị phân ly dầu bôi trơn như thiết bị phân ly dầu bôi trơn gắn trên máy hoặc các bộ lọc dầu bôi trơn.
10.11 Hệ thống làm mát
10.11.1 Bơm làm mát
10.11.1.1 Số lượng và lưu lượng của bơm làm mát cho máy chính:
(1) Trong hệ thống nước làm mát gián tiếp máy chính các bơm làm mát phải có đủ lưu lượng để cung cấp ổn định nước làm mát ở công suất liên tục lớn nhất của máy chính, các bơm này có thể được truyền động độc lập hoặc được máy chính dẫn động, không cần có bơm dự phòng, song phải đảm bảo sự làm mát máy chính bằng nước ngoài tàu khi hỏng bơm nước ngọt làm mát;
(2) Đối với tàu khách cấp SI có một chân vịt, nếu không thể làm mát máy chính bằng nước ngoài tàu khi hỏng bơm nước ngọt làm mát thì phải có một bơm dự phòng được truyền động cơ giới độc lập;
(3) Khi tàu nói ở (2) trên có hai máy chính trở lên và mỗi máy có bơm làm mát chính có khả năng đảm bảo cho máy chính hoạt động bình thường khi một bơm không hoạt động thì không cần có bơm làm mát dự phòng.
10.11.1.2 Việc sử dụng các bơm khác
(1) Để làm bơm nước ngọt làm mát dự trữ có thể dùng bơm nước dằn và những bơm dùng chung khác, nếu chỉ dùng bơm nước sạch;
(2) Ngoài các bơm nêu trên có thể sử dụng bơm hút khô làm bơm nước ngoài tàu làm mát dự phòng.
10.11.2 Việc hút nước ngoài mạn
Phải có thiết bị để dẫn nước ngoài mạn làm mát vào từ các van hút nước đặt trong hai hộp thông sông trở lên.
10.11.3 Hệ thống làm mát cho động cơ Diesel
Khi dùng nước ngoài mạn để làm mát trực tiếp máy chính, thì phải trang bị bộ lọc đặt giữa van hút nước ngoài mạn và bơm nước ngoài mạn làm mát. Nó có thể làm vệ sinh được mà không phải ngừng cấp nước đã lọc.
10.12 Hệ thống đường ống không khí nén
10.12.1 Bố trí máy nén khí và hệ thống xả áp
10.12.1.1 Phải bố trí máy nén sao cho dầu vào không khí nén ít nhất.
10.12.1.2 Mỗi máy nén phải có một van an toàn phòng áp suất tăng quá 10% áp suất làm việc lớn nhất trong các xi lanh.
10.12.1.3 Khi các áo nước của bộ làm mát khí có thể bị quá áp nguy hiểm do rò không khí nén vào, phải có thiết bị xả áp thích hợp cho các áo nước này.
10.12.2 Thiết bị an toàn và phụ tùng khác cho bình không khí nén
Thiết bị an toàn và phụ tùng khác cho các bình không khí nén phải thỏa mãn các yêu cầu ở 8.8.
10.12.3 Số lượng và tổng lưu lượng của các máy nén
10.12.3.1 Khi máy chính được khởi động bằng không khí nén, thì phải có ít nhất một máy nén khí và phải được bố trí sao cho có thể nạp được cho mỗi bình chứa khí. Khi máy chính của tàu khách cấp SI được khởi động bằng không khí nén, thì phải có hai máy nén khí trở lên và phải được bố trí sao cho có thể nạp được cho mỗi bình chứa khí. Tuy nhiên khi các xi lanh của máy chính có van nạp không khí nén, thì các van nạp này sẽ được coi tương đương với một máy nén khí được dẫn động bởi máy chính.
10.12.3.2 Một trong các máy nén quy định ở 10.12.3.1 phải được dẫn động bằng cơ giới.
10.12.3.3 Tổng lưu lượng của các máy nén phải đủ để cấp khí từ áp suất khí trời vào các bình tới áp suất cần cho khởi động liên tục quy định ở 2.5.3.2 trong vòng một giờ.
10.12.4 Đường ống không khí nén
10.12.4.1 Phải có nút xả nước cho đường ống không khí nén có nước đọng bên trong các ống.
10.12.4.2 Tất cả các đường ống xả dẫn vào các bình khí khởi động phải được dẫn thẳng từ máy nén khí khởi động.
10.12.4.3 Các ống khí nén khởi động từ các bình khí tới máy chính hoặc các máy phụ phải hoàn toàn tách biệt với hệ thống xả của máy nén nêu ở 10.12.4.2.
10.13 Hệ thống ống hơi nước và hệ thống ngưng tụ
10.13.1 Các thiết bị xả nước
Thiết bị xả nước phải được lắp ở vị trí thích hợp trong các ống hơi nước.
10.13.2 Ống hơi qua hầm hàng
Nói chung, ống hơi nước không được đi qua các hầm hàng, nhưng khi không thể tránh được sự bố trí như vậy, thì các ống hơi phải được cách nhiệt và bảo vệ bằng các tấm thép và tất cả các mối nối phải được hàn.
10.13.3 Hệ thống ngưng tụ
Phải có bầu ngưng chính có hai bơm ngưng tụ được dẫn động bằng cơ giới độc lập và các thiết bị duy trì độ chân không trong các bầu ngưng với lưu lượng đáp ứng tốc độ ngưng tụ thiết kế lớn nhất tương ứng từ bầu ngưng chính. Có thể không trang bị các thiết bị này khi được Đăng kiểm coi là không cần thiết do xét đến kiểu của bầu ngưng chính.
10.14 Hệ thống cấp nước cho nồi hơi
10.14.1 Hệ thống cấp nước cho nồi hơi chính
10.14.1.1 Phải có hai hệ thống cấp nước cho nồi hơi chính. Mỗi hệ thống có một van chặn, một van một chiều nêu ở 7.9.5.1 và một bơm cấp. Các hệ thống cấp nước này phải có khả năng cấp nước cho nồi hơi khi một hệ thống bị hỏng.
10.14.1.2 Nồi hơi chính phải có hai bơm cấp nước có thể cấp đủ cho lượng bốc hơi lớn nhất dù bất cứ một bơm nào bị ngừng hoạt động. Các bơm này phải được nối vào để sẵn sàng sử dụng.
10.14.1.3 Các bơm cấp nước nêu ở 10.14.1.2 phải được các động cơ độc lập dẫn động.
10.14.1.4 Các hệ thống cấp nước phải có thiết bị điều chỉnh có khả năng tự động điều chỉnh lưu lượng nước cấp.
10.14.1.5 Các bơm cấp không được dùng cho việc khác ngoài việc cấp nước cho nồi hơi.
10.14.2 Hệ thống cấp nước cho nồi hơi phụ
Các nồi hơi phụ quan trọng dùng để cấp hơi liên tục cho việc hâm nóng hàng phải có các hệ thống cấp nước phù hợp với yêu cầu ở 10.14.1. Không phải áp dụng các yêu cầu 10.14.1.1 và 10.14.1.2 nếu có các phương tiện khác bảo đảm cho tàu hành bình thường và hâm nóng hàng khi một hệ thống cấp nước bị ngừng làm việc.
10.14.3 Các ống qua két
Các ống nước cấp cho nồi hơi không được đi qua các két chứa dầu hoặc không được để các ống dầu đi qua các két nước cấp cho nồi hơi.
10.15 Đường ống khí thải
10.15.1 Các ống khí thải của động cơ Diesel
10.15.1.1 Nói chung, không được nối các ống khí thải của hai động cơ Diesel trở lên với nhau. Nếu các ống khí thải được nối vào một bộ giảm âm chung, thì phải có phương tiện ngăn hiệu quả khí thải quay ngược về xi lanh của động cơ không hoạt động.
10.15.1.2 Nếu hệ thống khí thải xả qua mạn gần đường nước, thì phải bố trí sao cho tránh chảy ngược nước qua xi phông vào các xi lanh.
10.15.1.3 Đối với tàu chở hàng nguy hiểm, tàu chở gỗ, tàu dầu và tàu phục vụ tàu dầu cho phép dẫn đường ống khí xả qua tấm mạn tàu với điều kiện miệng xả phải ở dưới đường nước không tải một khoảng không dưới 0,3 m.
10.15.1.4 Không được nối ống khói của nồi hơi với hệ thống khí thải của động cơ Diesel, trừ trường hợp có nồi hơi khí thải tận dụng nhiệt thải của động cơ Diesel.
10.15.1.5 Không nên dùng a-mi-ăng để làm chất cách nhiệt cho đường ống khí thải của động cơ.
10.15.2 Các ống khí thải của nồi hơi
Nếu lắp các bướm khí thải trong các ống khói nồi hơi, thì độ mở của chúng không được giảm diện tích ống khói xuống quá 2/3 so với khi đóng. Các bướm phải khóa được ở vị trí mở bất kỳ và độ mở phải được chỉ rõ.
10.16 Thử nghiệm
10.16.1 Thử tại xưởng
Các máy chính, máy phụ và đường ống sau khi được chế tạo phải qua thử nghiệm theo các yêu cầu ở 9.6.
10.16.2 Thử sau khi lắp đặt trên tàu
10.16.2.1 Các máy chính, máy phụ (trừ máy chuyên dùng v.v...) phải qua thử hoạt động sau khi được lắp ráp trên tàu. Nhưng với máy đã qua thử nghiệm hoạt động nêu ở 9.6.1.9, phương pháp thử trên tàu có thể thay đổi thích hợp nhưng phải được Đăng kiểm chấp nhận.
10.16.2.2 Các hệ thống dầu đốt và các ống xoắn hâm nóng trong các két phải qua thử kín sau khi lắp, với áp suất là 1,5 lần áp suất thiết kế hoặc 0,4 MPa, lấy giá trị nào lớn hơn.
CHƯƠNG 11 -
HỆ THỐNG ĐƯỜNG ỐNG, HỆ THỐNG THÔNG HƠI VÀ THOÁT KHÍ CỦA TÀU DẦU
11.1 Quy định chung
11.1.1 Phạm vi áp dụng
11.1.1.1 Các quy định trong Chương này áp dụng cho các hệ thống đường ống, hệ thống thông hơi và hệ thống thoát khí của các tàu dầu.
11.1.1.2 Hệ thống đường ống, hệ thống thông hơi và hệ thống thoát khí của các tàu chở xô hóa chất nguy hiểm phải tuân theo các quy định của Chương này, trừ khi được quy định khác.
11.1.2 Bản vẽ và tài liệu
11.1.2.1 Các bản vẽ và tài liệu phải trình duyệt bao gồm:
(1) Các bản vẽ và tài liệu để duyệt (kèm vật liệu, kích thước, áp suất tính toán v.v... của các ống, van... và bố trí phương tiện ngăn sự lan truyền ngọn lửa):
(a) Sơ đồ đường ống của các ống dầu hàng và trang bị;
(b) Bố trí chung của hệ thống hút khô và hệ thống thông gió của buồng bơm dầu hàng;
(c) Bố trí chung của hệ thống thông hơi cho két dầu hàng;
(d) Sơ đồ hệ thống đường ống nước làm mát mặt boong tàu dầu;
(e) Sơ đồ hệ thống cứu hỏa bằng bọt cố định trên boong tàu dầu;
(f) Các bản vẽ và tài liệu khác mà Đăng kiểm xét thấy cần thiết;
(2) Bản vẽ và tài liệu để tham khảo
Các bản vẽ và tài liệu để tham khảo mà Đăng kiểm cho là cần thiết.
11.2 Bơm dầu hàng, hệ thống ống dầu hàng, hệ thống ống trong két dầu hàng
11.2.1 Bơm dầu hàng
11.2.1.1 Bơm dầu hàng phải thỏa mãn các yêu cầu sau:
Mỗi bơm phải được thiết kế để giảm đến mức nhỏ nhất nguy cơ phát ra tia lửa và rò dầu ở chỗ làm kín;
Khi bơm dầu hàng được dẫn động bằng trục đi qua vách hoặc boong buồng bơm, thì phải lắp hộp đệm kín khí có kiểu được Đăng kiểm duyệt tại phần trục xuyên qua vách và đường trục nên có khớp nối mềm. Hộp đệm kín phải được bôi trơn từ phía ngoài buồng bơm dầu hàng và phải có thiết bị đo nhiệt độ. Phần đệm kín của hộp đệm phải được chế tạo bằng vật liệu không phát ra tia lửa;
Phải trang bị một van chặn ở bên phía đẩy của bơm. Tuy nhiên, van chặn này có thể bỏ được với điều kiện là ống dầu hàng phía đẩy của bơm có một van chặn ở vị trí thích hợp;
Khi có van an toàn bên phía đẩy của bơm, thì phải bố trí để dầu thoát ra được dẫn về phía hút của bơm;
Thiết bị đo áp suất phải được lắp ở phía đẩy của mỗi bơm. Khi bơm được dẫn động bằng động cơ lai đặt ở không gian khác với buồng bơm, thì phải lắp thêm một thiết bị đo áp suất ở một vị trí thích hợp, có thể nhìn thấy được từ vị trí điều khiển.
11.2.1.2 Khi các động cơ dẫn động các bơm dầu hàng được đặt trong buồng bơm không phải là động cơ thủy lực, thì phải trình Đăng kiểm duyệt thuyết minh và kết cấu của động cơ lai cùng với hệ thống dẫn động.
11.2.1.3 Nói chung các bơm dầu hàng không được dùng cho các mục đích khác ngoài việc vận chuyển dầu hàng hoặc dằn trong các két dầu hàng, vận chuyển nước vệ sinh cho các két dầu hàng, tháo nước đáy tàu như quy định ở 11.3.1.2 hoặc xả dằn như quy định ở 11.3.2.2 của Chương này.
11.2.2 Bố trí hệ thống ống dầu hàng
11.2.2.1 Các ống dầu hàng được xếp vào nhóm III, trừ khi được Đăng kiểm quy định khác.
11.2.2.2 Mỗi két dầu hàng phải có một (hoặc nhiều) ống hút được bố trí sao cho để có thể tiến hành xả hàng khi một trong các bơm dầu hàng không dùng được nữa.
11.2.2.3 Các ống dầu hàng phải bố trí sao cho có thể nạp dầu hàng vào các két dầu hàng không qua các bơm dầu hàng.
Khi các ống nạp hàng được dẫn trực tiếp từ trên boong tới các két, thì đầu hở của các ống này phải được dẫn tới phần thấp hơn của các két đến mức có thể được để đề phòng tai nạn gây ra do phát sinh tĩnh điện.
11.2.2.4 Khi các ống hút nước ngoài mạn dùng để dằn được nối với các ống dầu hàng, thì phải có van chặn ở giữa các van hút nước thủy và đường ống dầu hàng.
11.2.2.5 Các mối nối trượt dùng trong các ống dầu hàng phải có đủ sức bền.
11.2.2.6 Các ống hút nước thủy và các ống xả cho các két dằn thường xuyên không được nối với các ống hút nước ngoài mạn và các ống xả của két dầu hàng.
11.2.3 Sự cách ly các bơm dầu hàng và đường ống dầu hàng
11.2.3.1 Đường ống dầu hàng phải tách biệt hoàn toàn với các đường ống khác, trừ khi được phép trong 11.2.2, 11.3.1 và 11.3.2 của Chương này.
11.2.3.2 Đường ống dầu hàng không được đi qua các két nhiên liệu, buồng máy, buồng ở và các khoang thường có nguồn phát sinh tia lửa do hơi. Ngoài ra, các ống này không được đưa tới các khoang phía trước vách chống va và phía sau vách trước của buồng máy.
11.2.3.3 Các ống dầu hàng trên boong hở phải được bố trí xa các khoang người ở.
11.2.3.4 Các ống dầu hàng và các ống tương tự dẫn tới các két dầu hàng không được đi qua các két dằn. Tuy nhiên,, các ống này có thể đi qua các két dằn với điều kiện là trong các két dằn chiều dài của chúng ngắn và nối các ống này bằng mối hàn hoặc nối bích không có nguy cơ rò lọt.
11.2.4 Các van ở vách của hệ thống ống dầu hàng
11.2.4.1 Các ống dầu hàng đi qua các vách kín dầu giữa két dầu hàng và buồng bơm phải có các van chặn ở càng gần vách càng tốt.
11.2.4.2 Khi các van nêu ở 11.2.4.1 được đặt trong buồng bơm, chúng phải làm bằng thép và phải đóng được tại chỗ đặt van và từ vị trí dễ tới bên ngoài khoang đặt van. Tuy nhiên, nếu các van này hoạt động được từ một vị trí phía trên boong và được lắp trên mỗi ống nhánh dầu hàng, thì các van đặt trong buồng bơm có thể làm bằng gang không có thiết bị điều khiển từ xa.
11.2.4.3 Khi các van nêu ở 11.2.4.1 được đặt trong két, thì các van này có thể bằng gang và không cần đóng được tại chỗ của van, nhưng chúng phải có thiết bị điều khiển từ xa và các ống phải có các van khác trong buồng bơm.
11.2.4.4 Khi các van cần phải điều khiển từ xa theo các yêu cầu ở 11.2.4.2 và 11.2.4.3, thì phải có các phương tiện chỉ báo đóng mở.
11.2.5 Van xuyên qua boong
Phải có các hộp đệm kín ở các nơi cần thao tác van dầu hàng xuyên qua các boong kín dầu hoặc kín khí.
11.2.6 Đường ống trong két dầu hàng
11.2.6.1 Các ống không phải ống dầu hàng, ống dằn của các két dầu hàng và các ống được cho phép trong 11.2.4.2 tới 11.2.4.4 dưới đây không được đi qua các két dầu hàng hoặc không được nối với các khoang này.
11.2.6.2 Các ống dùng để điều khiển từ xa hệ thống ống dầu hàng, các ống xả hơi, các ống vệ sinh két và các thiết bị đo của các két dầu hàng có thể đi qua các két dầu hàng.
11.2.6.3 Các ống thoát nước, các ống vệ sinh v.v... có thể được Đăng kiểm đồng ý cho đi qua các két dầu hàng.
11.2.6.4 Các ống dằn và các ống khác như các ống đo và thông hơi cho két dằn không được đi qua két dầu hàng. Tuy nhiên, các ống này có thể qua các két dầu hàng với điều kiện là trong các két này chúng ngắn và nối các ống này bằng mối hàn hoặc nối bích không có nguy cơ rò lọt.
11.2.7 Thiết bị đo của két dầu hàng
Phải lắp trên mỗi két dầu hàng một thiết bị đo thích hợp được Đăng kiểm đồng ý. Thiết bị đo này phải được thiết kế hoặc bố trí để ngăn được tất cả các dòng hơi gây cháy từ ngoài vào các không gian như buồng máy buồng ở... nơi thường có các nguồn bắt lửa do hơi cháy.
11.2.8 Ống hơi nước
11.2.8.1 Các ống cấp hơi nước hâm dầu hàng và ống hồi không được xuyên qua tôn vỏ két dầu hàng trừ tôn đỉnh két và các ống cấp chính phải bố trí trên boong hở.
11.2.8.2 Các van hoặc vòi ngắt cách ly phải được trang bị ở các chỗ nối vào và ra khỏi hệ thống hâm nóng của mỗi két.
11.2.8.3 Các ống hồi hơi nước hâm nóng dầu hàng phải dẫn tới một két kiểm tra hoặc các thiết bị phát hiện dầu khác lắp ở một vị trí càng xa các bề mặt nóng như nồi hơi hoặc nguồn tia lửa càng tốt để phát hiện dầu nhiễm bẩn trong ống dẫn hơi nước.
11.2.8.4 Nhiệt độ hơi nước trong các ống hơi nước bố trí ở các buồng bơm dầu hàng và các ống hơi nước hâm dầu hàng không được vượt quá 220 oC.
11.2.8.5 Trong buồng bơm dầu hàng, các ống xả nước từ các ống hơi hoặc các ống xả nước từ các xi lanh hơi nước của các bơm phải kết thúc hợp lý phía trên các hố gom nước đáy tàu.
11.2.8.6 Mỗi nhánh nối của các ống hơi nước làm vệ sinh của các két dầu hàng hoặc các két khác có ống dầu hàng nối vào, phải có một van chặn một chiều hoặc hai van chặn.
11.3 Hệ thống đường ống cho buồng bơm dầu hàng, khoang cách ly và két kề với các két dầu hàng
11.3 Hệ thống ống hút khô buồng bơm, khoang cách ly kề với các két dầu hàng
11.3.1.1 Phải trang bị cho hệ thống ống hút khô gồm một bơm được dẫn động cơ giới hoặc một bơm phụt để hút khô buồng bơm dầu hàng và khoang cách ly kề với một két dầu hàng. Nước đáy tàu trong các khoang này không được đưa vào buồng máy, trừ khi được phép ở 11.5.
11.3.1.2 Bơm dầu hàng có thể dùng làm bơm hút khô nêu ở 11.3.1.1 với điều kiện là mỗi ống hút khô có một van chặn một chiều và một van chặn hoặc khóa vòi lắp trên phía cửa hút của bơm và ngoài ra có một van chặn lắp giữa ống dầu hàng và van xả mạn.
11.3.1.3 Các ống hút khô cho khoang cách ly kề với một két dầu hàng phải độc lập hoàn toàn với các ống hút khô cho các khoang không kề với két dầu hàng. Tuy nhiên, bơm hút khô dùng chung (trừ bơm dầu hàng) có thể dùng hút khô cho các khoang này nếu Đăng kiểm đồng ý với điều kiện là ống hút khô cho các khoang không kề với két dầu hàng có một van một chiều.
11.3.1.4 Đường kính trong của các ống đo của các khoang cách ly kề với một két dầu hàng, không được nhỏ hơn 38 mm và phải dẫn lên trên boong hở trừ khi Đăng kiểm cho phép khác đi.
11.3.1.5 Các bơm nước dằn được dẫn động bằng trục đi qua vách hoặc boong buồng bơm phải tuân theo các quy định ở 11.2.1.1(2).
11.3.2 Két dằn kề với két dầu hàng
11.3.2.1 Các yêu cầu ở 11.3.2 cũng áp dụng cho két dằn được dùng làm khoang cách ly ở trước và sau của két dầu hàng. Tuy nhiên, nếu đầu trước của két dằn này đặt phía trước của vách chống va thì phải áp dụng các yêu cầu khác.
11.3.2.2 Các ống dằn nguy hiểm (xem chú thích 2 của Bảng 3/9.6(1)) như các ống dằn của két dằn kề với két dầu hàng phải độc lập với các ống khác và không được đưa vào buồng máy, trừ khi được phép ở 11.5. Để nhằm mục đích này, phải có một bơm riêng cho việc cấp nước dằn và hút nước dằn cho các két này ở trong buồng bơm. Tuy nhiên,, nếu được Đăng kiểm chấp nhận riêng, thì bơm dầu hàng có thể chỉ dùng để hút nước dằn ra trong trường hợp sự cố.
11.3.2.3 Các mối nối trượt dùng trong các ống dằn của két dằn kề với một két dầu hàng phải có đủ sức bền.
11.3.2.4 Mỗi ống thông hơi cho két dằn kề với một két dầu hàng phải có lưới dây đan dễ thay mới để phòng lửa đi vào tại các lối ra của ống, trừ khi được phép ở 11.5. Trong trường hợp được Đăng kiểm chấp nhận, thì yêu cầu ở 11.6.3.1(1) đối với kích thước của ống thông hơi sẽ được sửa đổi một cách thích hợp.
11.3.2.5 Các ống đo của két dằn kề với một két dầu hàng phải được đưa lên trên boong hở, trừ khi được phép ở 11.5.
11.3.3 Các két dầu đốt kề với két dầu hàng
Các ống đo của két dầu đốt kề với két dầu hàng phải được đưa lên trên boong hở trừ khi Đăng kiểm chấp thuận khác đi.
11.3.4 Bố trí bơm của khoang mũi
Phải có riêng một bơm đặt ở phần mũi tàu dùng để hút khô hoặc chuyển nước dằn hay nhiên liệu trong một khoang phía trước các két dầu hàng, trừ khi Đăng kiểm cho phép khác đi. Tuy nhiên, khi Đăng kiểm cho phép, có thể dùng bơm thích hợp khác với bơm nêu trên để hút khô hoặc chuyển nước dằn trong một khoang phía trước các két dầu hàng.
11.4 Hệ thống thông hơi, làm sạch khí và thoát khí
11.4.1 Hệ thống thông hơi của két dầu hàng
11.4.1.1 Hệ thống thông hơi của két dầu hàng phải độc lập hoàn toàn với ống thông hơi của các khoang khác trên tàu.
11.4.1.2 Thiết bị thông hơi phải được thiết kế và vận hành sao cho bảo đảm áp suất hay độ chân không trong các két dầu hàng không vượt quá các thông số thiết kế và sao cho có thể cho phép:
Một lượng thể tích nhỏ của hơi hoặc không khí gây nên bởi biến đổi nhiệt trong két dầu hàng, trong mọi trường hợp, đi qua các van áp suất/chân không; và
Một lượng thể tích lớn của hơi hoặc hỗn hợp không khí đi qua trong khi nạp hàng và dằn tàu hoặc trong khi xả.
11.4.1.3 Thiết bị thông hơi trong mỗi két dầu hàng có thể độc lập hoặc kết hợp với các két dầu hàng khác.
11.4.1.4 Khi bố trí kết hợp với các két dầu hàng khác phải có các van chặn hoặc các thiết bị thích hợp khác để cách ly từng két dầu hàng. Khi lắp các van chặn, thì chúng phải có thiết bị khóa. Mọi sự cách ly phải được duy trì sao cho luồng hơi được tạo bởi sự biến đổi nhiệt trong một két dầu hàng thỏa mãn 11.4.1.2(1).
11.4.1.5 Thiết bị thông hơi phải được nối với đỉnh của mỗi két dầu hàng và phải tự xả nước đọng vào các két hàng ở mọi điều kiện chúi và nghiêng thông thường của tàu. Khi không thể trang bị đường ống tự chảy thì phải có thiết bị cố định để tháo nước đọng của ống thông hơi tới một két dầu hàng.
11.4.1.6 Hệ thống thông hơi phải có thiết bị phòng ngọn lửa đi vào két dầu hàng. Việc thiết kế, thử và lắp đặt các thiết bị này phải thỏa mãn các yêu cầu tương ứng do Đăng kiểm xét.
11.4.1.7 Các lỗ để xả áp theo yêu cầu bởi 11.4.1.2(1) phải:
(1) Có chiều cao càng lớn càng tốt ở trên boong két dầu hàng để phân tán được tối đa hơi dễ cháy nhưng trong mọi trường hợp không được nhỏ hơn 2 m trên boong két dầu hàng;
(2) Bố trí cách càng xa càng tốt nhưng không được nhỏ hơn 5 m từ các cửa nạp không khí gần nhất và các lỗ khoét của các không gian kín chứa nguồn tia lửa và từ các máy trên boong và thiết bị có thể gây nguy hiểm đánh lửa.
11.4.1.8 Các van áp suất/chân không đòi hỏi ở 11.4.1.2(1) có thể có một van phụ khi chúng được đặt trên ống thông hơi chính. Khi có thiết bị này thì phải có thiết bị cách ly với chỉ báo thích hợp để chỉ van phụ đóng hay mở.
11.4.1.9 Cửa thoát hơi dùng cho nạp hàng, xả và dằn yêu cầu ở 11.4.1.2(2) phải:
(1) Cho phép luồng thoát tự do của hỗn hợp hơi hoặc cho phép tiết lưu xả hỗn hợp hơi để đạt được tốc độ không nhỏ hơn 30 m/s;
(2) Bố trí để hỗn hợp hơi được xả thẳng đứng lên phía trên;
(3) Khi dùng phương pháp luồng thoát tự do của hỗn hợp hơi, thì cửa ra phải cao hơn ít nhất 6 m so với boong két dầu hàng hoặc nếu đặt cầu đi dọc mũi và đuôi phải ở trong phạm vi 4 m của cầu đi dọc và được đặt theo chiều ngang cách các ống nạp không khí gần nhất và các cửa của các không gian kín chứa nguồn phát tia lửa và các máy trên boong và thiết bị có thể gây nguy cơ phát tia lửa không nhỏ hơn 10 m;
(4) Khi dùng phương pháp xả tốc độ cao, phải đặt ở độ cao trên boong két dầu hàng không dưới 2 m và theo chiều ngang cách các cửa nạp không khí gần nhất và các cửa của các không gian kín chứa nguồn phát tia lửa và các máy trên boong và thiết bị có thể gây nguy cơ phát tia lửa không nhỏ hơn 10 m;
(5) Được thiết kế cho mức nạp hàng thiết kế lớn nhất nhân với một hệ số ít nhất bằng 1,25, do kể đến sự bốc hơi, để tránh áp suất ở một két dầu hàng nào đó vượt quá áp suất thiết kế. Tàu phải có thông báo về tiêu chuẩn nạp hàng cho phép lớn nhất cho mỗi két dầu hàng và cho mỗi nhóm két dầu hàng trong trường hợp kết hợp các hệ thống thông hơi.
11.4.2 Hệ thống làm sạch khí và/hoặc hệ thống thoát khí của két dầu hàng
11.4.2.1 Phải trang bị cho các két dầu hàng hệ thống thoát khí có thể đưa không khí sạch vào để đẩy khí độc hại và hơi dễ cháy để tăng hàm lượng ôxy tới 21% thể tích.
11.4.2.2 Hệ thống làm sạch khí và/hoặc hệ thống thoát khí phải sao cho hạn chế đến mức nhỏ nhất nguy hiểm do phân tán hơi dễ cháy vào không khí và vào hỗn hợp dễ cháy trong két dầu hàng. Khi nồng độ hơi dễ cháy ở cửa ra được giảm tới 30% của giới hạn thấp có thể cháy được, thì việc thoát khí sau đó có thể tiếp tục ở mức boong két dầu hàng.
11.4.3 Hệ thống thông gió trong buồng bơm dầu hàng
11.4.3.1 Phải trang bị hệ thống thông gió kiểu hút cơ giới cho buồng bơm dầu hàng. Đầu ra của các ống xả phải được đưa tới vị trí an toàn trên boong hở và được lắp lưới dây kim loại với mắt lưới thích hợp.
11.4.3.2 Hệ thống thông gió nêu ở 11.4.3.1 phải có khả năng tuần hoàn lượng không khí đủ cho ít nhất 20 lần đổi không khí trong một giờ cho tổng thể tích của buồng bơm để tránh tích tụ hơi dễ cháy. Quạt thông gió phải là loại có kết cấu không phát sinh tia lửa. Khi hệ thống thông gió được dẫn động bằng trục đi qua vách hoặc boong buồng bơm, thì phải lắp hộp đệm kín khí có kiểu được Đăng kiểm duyệt tại vị trí trục xuyên qua vách.
11.4.3.3 Phải bố trí các ống cho phép thông gió vùng lân cận của đáy buồng bơm ở phía trên của tấm sàn ngang hoặc cơ cấu dọc đáy. Một cửa nạp không khí ứng cấp đặt cao khoảng 2 m trên sàn thấp buồng bơm được lắp vào các ống và cửa nạp ứng cấp này phải có một van tiết lưu có thể đóng mở được từ boong hở và mức sàn thấp.
11.4.4 Hệ thống thông hơi của các khoang cách ly kề với két dầu hàng
Phải có các hệ thống thông hơi có hiệu quả cho các khoang cách ly kề với một két dầu hàng. Khi có các ống thông hơi dùng cho mục đích này, thì mỗi ống thông hơi phải có lưới dây dễ thay mới để phòng lan ngọn lửa ở lối ra và đường kính trong của chúng không được nhỏ hơn 50 mm. Khi có hệ thống thông gió, kết cấu của quạt thông gió và lưới dây kim loại lắp ở các ống xả phải thỏa mãn các yêu cầu ở 11.4.3. Phải khoét các lỗ thông hơi ở mỗi phần kết cấu nơi mà ở đó có thể có sự thay đổi khí bị đọng.
11.4.5 Vị trí các lỗ khoét ở buồng máy, lầu lái v.v... và các thiết bị điện
Việc bố trí cửa vào và cửa ra của các kênh thông gió và các lỗ khoét của lầu và của các khoang cạnh thượng tầng khác phải thỏa mãn các yêu cầu ở 11.4.1. Đặc biệt lỗ thông hơi cho khoang máy đặt càng xa về phía đuôi tàu càng tốt. Phải quan tâm thích đáng điều này khi tàu được trang bị để nạp hoặc xả ở đuôi tàu. Nguồn gây tia lửa như thiết bị điện cần bố trí sao cho tránh được nguy hiểm do nổ.
11.4.6 Phát hiện khí
11.4.6.1 Phải trang bị các thiết bị di động thích hợp để đo nồng độ ô xy và hơi có thể cháy ở trên tàu. Các thiết bị di động để đo nồng độ hơi có thể cháy được phải được trang bị ít nhất một bộ ở trên tàu.
11.4.6.2 Vật liệu, kết cấu và kích thước của đường ống lấy mẫu thử khí phải sao cho tránh được hiện tượng khép mạch. Khi dùng vật liệu plastic, chúng phải dẫn được điện.
11.5 Tàu chỉ chở dầu có điểm chớp cháy lớn hơn 60 oC
11.5.1 Quy định chung
Đối với tàu chỉ chở dầu có điểm chớp cháy trên 60 oC, có thể sửa đổi từng phần các yêu cầu ở 11.1 tới 11.4 thỏa mãn các yêu cầu từ (1) tới (5) sau đây:
(1) Các yêu cầu ở 11.2.2 tới 11.2.8 có thể được sửa đổi thích hợp;
(2) Nước đáy tàu của buồng bơm dầu hàng và các khoang cách ly kề với két dầu hàng có thể được dẫn vào buồng máy (xem 11.3.1);
(3) Có thể đưa các ống dằn của két dằn kề với két dầu hàng tới buồng máy (xem 11.3.2.2). Có thể không cần lưới dây kim loại để ngăn ngọn lửa, được quy định cho đầu ra của các ống thông hơi của két dầu hàng (xem 11.3.2.4). Có thể bố trí các ống đo của các két này có các lỗ khoét ở dưới boong hở (xem 11.3.2.5);
(4) Có thể không cần đưa ống đo của két nhiên liệu kề với két dầu hàng lên trên boong hở (xem 11.3.3);
(5) Đối với hệ thống thông hơi, hệ thống làm sạch khí và thoát khí, thì các yêu cầu ở 11.4 có thể sửa đổi thích hợp.
11.6 Thử nghiệm
11.6.1 Thử tại xưởng
Sau khi chế tạo hệ thống đường ống, hệ thống thông hơi của tàu hàng lỏng, việc thử phải được tiến hành đúng theo các quy định ở 9.6.
11.6.2 Thử nghiệm sau khi lắp đặt trên tàu
11.6.2.1 Sau khi hoàn thành lắp ráp đường ống dầu hàng, chúng phải được thử rò rỉ ở áp suất bằng 1,25 lần áp suất thiết kế trở lên.
11.6.2.2 Các ống hâm nóng trong các két dầu hàng phải được thử rò rỉ ở áp suất bằng 1,5 lần áp suất thiết kế trở lên.
11.6.2.3 Sau khi lắp đặt trên tàu, các thiết bị phụ và hệ thống đường ống phải qua các thử nghiệm sau:
(1) Thử hoạt động các bơm dầu hàng;
(2) Thử hoạt động hệ thống thông hơi;
(3) Thử hoạt động các hệ thống khác liên quan đến các phương tiện an toàn nêu trong Chương này.
CHƯƠNG 12 -
HỆ THỐNG MÁY LÁI
12.1 Quy định chung
12.1.1 Phạm vi áp dụng
12.1.1.1 Những yêu cầu trong Chương này được áp dụng để thiết kế, chế tạo và thử nghiệm hệ thống máy lái được truyền động cơ giới lắp đặt trên tàu.
12.1.1.2 Đối với các hạng mục được quy định riêng ở Chương này, thì các yêu cầu trong Chương này được áp dụng thay cho các yêu cầu ở Chương 9 và 10.
12.1.1.3 Ngoài việc thỏa mãn các yêu cầu nêu ra ở Phần này, trang bị điện và dây cáp dùng cho thiết bị lái còn phải thỏa mãn các yêu cầu trong Phần 4 của Quy phạm này.
12.1.2 Thuật ngữ
12.1.2.1 Các thuật ngữ dùng trong Chương này được định nghĩa như sau:
(1) Hệ thống máy lái chính là máy móc, thiết bị dẫn động bánh lái, máy lái, trang bị phụ và phương tiện truyền mô men cần thiết cho trục lái (cần bánh lái v.v...) làm chuyển dịch bánh lái nhằm mục đích điều khiển hướng con tàu ở các chế độ khai thác bình thường;
(2) Hệ thống máy lái phụ là thiết bị lái khác với các phần của hệ thống máy lái chính, cần thiết cho việc lái tàu trong trường hợp máy lái chính bị sự cố;
(3) Máy lái:
(a) Máy lái điện gồm động cơ điện và các thiết bị gắn với nó;
(b) Máy lái xi lanh thủy lực: là máy lái điện-thuỷ lực, truyền lực lái từ bơm tới trục lái bằng hệ thống ống dầu và xi lanh thuỷ lực
(c) Máy lái động cơ thủy lực: là máy lái điện-thuỷ lực, truyền lực lái từ bơm tới trục lái bằng hệ thống ống dầu và động cơ thuỷ lực khác kiểu ở (b).
(4) Hệ thống truyền động là thiết bị cơ khí hoặc thủy lực để tạo lực quay trục bánh lái, gồm một hoặc nhiều bộ phận tạo lực cùng với các đường ống thủy lực và phụ tùng nối với chúng và một thiết bị dẫn động bánh lái. Các hệ thống truyền động cơ giới có thể có các bộ phận cơ khí chung như cần bánh lái v.v...;
(5) Thiết bị tác động bánh lái là thiết bị chuyển trực tiếp lực quay từ vô lăng hoặc áp suất thủy lực thành tác dụng cơ giới để chuyển dịch bánh lái;
(6) Hệ thống điều khiển là thiết bị dùng để truyền mệnh lệnh từ buồng lái đến buồng đặt máy lái. Các hệ thống điều khiển thiết bị lái gồm các thiết bị truyền, nhận, các bơm điều khiển bằng thủy lực và các động cơ nối với chúng, thiết bị điều khiển động cơ, đường ống và các dây cáp.
12.1.3 Bản vẽ và tài liệu
Các bản vẽ và tài liệu phải trình duyệt bao gồm:
(1) Bản vẽ:
(a) Bố trí chung hệ thống máy lái;
(b) Các chi tiết của cần bánh lái;
(c) Lắp ráp và chi tiết của máy lái;
(d) Lắp ráp và chi tiết của thiết bị dẫn động bánh lái;
(e) Sơ đồ đường ống thủy lực và điện (kể cả các thiết bị báo động);
(f) Sơ đồ hệ thống thủy lực và điện;
(g) Bố trí và sơ đồ của nguồn năng lượng dự phòng;
(h) Sơ đồ của thiết bị chỉ báo góc bánh lái;
(i) Những bản vẽ khác mà Đăng kiểm cho là cần thiết.
(2) Tài liệu:
(a) Bản kê các chi tiết;
(b) Các chỉ dẫn vận hành (kể cả các bản vẽ trình bày quy trình chuyển đổi giữa các máy lái và giữa các hệ thống điều khiển. Các bản vẽ thể hiện trình tự cấp năng lượng tự động từ một nguồn năng lượng dự phòng, kiểu loại, chi tiết và sự lắp ráp nguồn năng lượng trong trường hợp nguồn dự phòng là nguồn độc lập);
(c) Tài liệu hướng dẫn biện pháp đối phó khi có hỏng hóc riêng ở hệ thống truyền động;
(d) Bản tính sức bền của những bộ phận quan trọng;
(e) Các tài liệu khác mà Đăng kiểm thấy cần thiết.
12.2 Đặc tính và bố trí máy lái
12.2.1 Số lượng máy lái
12.2.1.1 Mỗi tàu bất kỳ phải có ít nhất một máy lái chính và một máy lái phụ. Máy lái chính và phụ phải được bố trí sao cho máy này hỏng không làm ngừng hoạt động của máy kia.
12.2.1.2 Khi máy lái chính có hai máy lái giống nhau thì không cần phải có máy lái phụ với điều kiện là:
(1) Máy lái chính có khả năng điều khiển hoạt động của bánh lái thỏa mãn các yêu cầu ở 12.2.2.1(1) khi tất cả các máy lái làm việc;
(2) Máy lái chính được bố trí để sao cho sau khi có hỏng hóc riêng trong hệ thống của nó hoặc ở một trong các máy lái, thì chỗ hỏng hóc được cách ly ra để khả năng lái có thể duy trì hoặc nhanh chóng phục hồi.
12.2.1.3 Không phải trang bị máy lái phụ trên các tàu truyền động lái bằng cần đặt trực tiếp vào trục bánh lái
12.2.2 Đặc tính của máy lái chính
12.2.2.1 Máy lái chính là điện hoặc điện-thủy lực phải:
(1) Có khả năng quay bánh lái từ 35o mạn này sang 30o mạn kia khi tàu ở mớn nước tải trọng và hành tiến với tốc độ thiết kế mà tàu có đáy sạch có thể đạt được ở công suất liên tục lớn nhất của máy chính ở trạng thái ứng với đường nước chở hàng thiết kế lớn nhất; và ở các điều kiện đó, thời gian quay bánh lái từ 35o mạn này sang 30o mạn kia không được quá 28 giây;
(2) Được thiết kế sao cho không bị hỏng khi lùi ở tốc độ lớn nhất. Tuy nhiên yêu cầu thiết kế này không cần phải chứng minh bằng thử ở tốc độ lùi lớn nhất và ở góc bẻ lái lớn nhất.
12.2.2.2 Máy lái chính là cơ khí phải:
(1) Có khả năng quay bánh lái từ 35o mạn này sang 30o mạn kia khi tàu ở mớn nước tải trọng và hành tiến với tốc độ thiết kế mà tàu có đáy sạch có thể đạt được ở công suất liên tục lớn nhất của máy chính ở trạng thái ứng với đường nước chở hàng thiết kế lớn nhất; và ở các điều kiện đó, thời gian quay bánh lái từ 35o mạn này sang 30o mạn kia không được quá 28 giây;
(2) Được thiết kế sao cho không bị hỏng khi lùi ở tốc độ lớn nhất. Tuy nhiên yêu cầu thiết kế này không cần phải chứng minh bằng thử ở tốc độ lùi lớn nhất và ở góc bẻ lái lớn nhất;
(3) Lực tác dụng lên tay lái không quá 118 N và tốc độ quay không quá 25 vòng/phút.
12.2.3 Đặc tính của máy lái phụ
Máy lái phụ phải có khả năng quay bánh lái từ 15o mạn này sang 15o mạn kia không lâu hơn 60 giây khi tàu ở trạng thái đầy tải và chạy tiến với tốc độ bằng số lớn hơn giữa trị số tốc độ thiết kế mà tàu có đáy sạch có thể đạt được ở công suất liên tục lớn nhất của máy chính và 6 km/h và có khả năng khởi động nhanh chóng trong trường hợp khẩn cấp.
12.2.4 Bố trí các bộ phận của hệ truyền động cơ khí
12.2.4.1 Tất cả các chi tiết của bộ phận truyền động lái phải được bố trí sao cho dễ tiếp cận để kiểm tra, sửa chữa khi cần thiết.
12.2.4.2 Những đoạn cáp dùng làm dây lái và trục dẫn động của bộ phận truyền động lái bố trí trên mặt boong hoặc các chỗ khác phải có hộp che chắn bảo vệ và dễ tháo lắp để kiểm tra. Dây cáp hoặc trục dẫn động lái không được cọ sát vào thân tàu.
12.2.4.3 Việc bố trí cáp lái, trục dẫn động của bộ phận truyền động lái phải cố gắng sao cho số điểm gấp khúc là ít nhất.
12.2.4.4 Để dung hòa các điểm gấp khúc và sự dịch chuyển dọc trong hệ cáp và trục dẫn phải bố trí các khớp quay và các khớp trượt có khe hở nhất định.
12.2.4.5 Chỗ dây cáp và trục dẫn đi qua vách ngang phải bố trí cao hơn boong mạn khô. Nếu không thể thực hiện được yêu cầu này thì tại các chỗ đó phải có các đệm kín nước. Cáp dùng làm dây lái phải mềm, được tráng kẽm, không bị vặn, xoắn.
12.2.5 Đường ống
12.2.5.1 Hệ thống ống thủy lực phải được bố trí để sao cho có thể luôn sẵn sàng chuyển đổi được giữa các máy lái.
12.2.5.2 Phải bố trí các thiết bị thích hợp để giữ sạch chất lỏng thủy lực có để ý tới kiểu loại và thiết kế của hệ thống truyền động cơ giới.
12.2.5.3 Phải có thiết bị để xả khí ra khỏi hệ thống truyền động cơ giới nếu thấy cần thiết.
12.2.5.4 Van an toàn phải lắp ở phần bất kỳ của hệ thống thủy lực có thể bị cô lập và sinh ra áp suất bởi nguồn năng lượng hoặc ngoại lực. Áp suất đặt của van an toàn không được lớn hơn 1,25 lần áp suất làm việc lớn nhất có thể có trong phần được bảo vệ này. Sản lượng xả nhỏ nhất của các van an toàn này không được nhỏ hơn sản lượng tổng của các bơm cấp năng lượng cho thiết bị dẫn động khi đã tăng lên 10%. Ở điều kiện như vậy sự tăng áp suất không được vượt quá 10% áp suất đặt van an toàn. Về mặt này, phải chú ý thích đáng tới các điều kiện xung quanh tối đa dự kiến trước được đối với độ nhớt của dầu.
12.2.5.5 Két chứa cố định phải có đủ dung tích để nạp lại cho ít nhất một hệ thống truyền động lực, gồm cả bình chứa nếu thiết bị lái chính hoạt động bằng thủy lực. Két chứa phải luôn nối với hệ thống ống để hệ thống thủy lực luôn có thể dễ dàng được nạp lại từ một vị trí trong phạm vi khoang máy lái và phải có đồng hồ chỉ mức dầu.
12.2.6 Khởi động lại và báo động mất năng lượng của máy lái
Các máy lái của thiết bị lái chính phải:
(1) Được bố trí để tự động khởi động lại được khi năng lượng được khôi phục sau khi mất năng lượng, và
(2) Có khả năng khởi động được từ một vị trí trên buồng lái. Trong trường hợp mất năng lượng ở bất kỳ máy lái nào, thì các tín hiệu báo động ánh sáng và âm thanh phải được đưa tới buồng lái.
12.2.7 Trang bị điện cho máy lái điện và điện thủy lực
12.2.7.1 Các đường cáp trong mạch điện theo yêu cầu của Chương này phải trang bị kép cần cố gắng tách xa ra trên suốt chiều dài.
12.2.7.2 Mỗi máy lái điện hoặc điện - thủy lực phải có ít nhất hai mạch điện riêng cấp trực tiếp từ bảng điện chính. Tuy vậy một trong các mạch này có thể được cấp qua bảng điện sự cố.
12.2.7.3 Phải trang bị thiết bị bảo vệ ngắn mạch và báo động quá tải cho các mạch và các động cơ. Tín hiệu báo động quá tải phải bằng âm thanh và ánh sáng và phải được đặt ở vị trí dễ thấy ở buồng lái.
12.2.7.4 Thiết bị bảo vệ quá dòng điện trong đó có dòng khởi động, nếu có, phải chịu được không ít hơn hai lần dòng toàn tải của động cơ hoặc của mạch được bảo vệ và được bố trí để cho phép dòng khởi động thích hợp đi qua.
12.2.7.5 Với các tàu có thiết bị lái phụ bằng tay, thì có thể chỉ cần một mạch điện cung cấp từ bảng điện chính cho thiết lái chính.
12.2.7.6 Phương tiện chỉ báo các máy lái hoạt động, được đặt trên buồng lái và ở vị trí dễ quan sát.
12.2.8 Vị trí lắp đặt máy lái
12.2.8.1 Máy lái phải được đặt ở một khoang kín dễ đến và đặt cách khoang máy càng xa càng tốt.
12.2.8.2 Khoang máy lái phải được trang bị phù hợp để đảm bảo lối vào làm việc và điều khiển khi cần. Các trang bị này gồm cả tay vịn cầu thang và lưới sắt hoặc các bề mặt không trơn để đảm bảo điều kiện làm việc thích hợp trong trường hợp rò rỉ chất lỏng thủy lực. Khoang máy phải được thông gió tự nhiên hay cưỡng bức.
12.2.9 Phương tiện liên lạc
Các tàu cấp SI, gồm tàu dầu có trọng tải từ 500 tấn trở lên và tàu khách chở trên 200 khách phải có hai phương tiện liên lạc giữa buồng máy và khoang máy lái.
12.2.10 Thiết bị chỉ báo góc bánh lái
Vị trí góc bánh lái phải được:
(1) Chỉ báo trong buồng lái: thiết bị chỉ báo góc bánh lái phải độc lập với hệ thống điều khiển;
(2) Nhận biết được trong khoang máy lái.
12.3 Điều khiển
12.3.1 Quy định chung
12.3.1.1 Hệ thống điều khiển máy lái phải được trang bị:
(1) Cho máy lái chính cả ở buồng lái lẫn trong khoang máy lái;
(2) Hai hệ thống điều khiển độc lập nếu thiết bị lái chính được bố trí thỏa mãn yêu cầu 12.2.1.2; cả hai đều có thể vận hành được từ buồng lái. Trong trường hợp này không đòi hỏi phải trang bị gấp đôi vô lăng lái hoặc cần lái.
12.3.1.2 Bất kỳ hệ thống điều khiển máy lái chính và phụ có thể vận hành được từ buồng lái đều phải thỏa mãn các quy định sau:
(1) Nếu điều khiển bằng điện, thì phải có mạng điện riêng và được cấp điện từ một mạng điện của máy lái từ một điểm trong phạm vi khoang máy lái hoặc trực tiếp từ các thanh dẫn của bảng điện cấp điện cho mạch điện của thiết bị lái đó tại một điểm trên bảng điện ở cạnh nguồn điện cấp cho mạch điện của máy lái;
(2) Ở trong khoang máy lái phải có phương tiện để ngắt bất kỳ hệ thống điều khiển vận hành được từ buồng lái ra khỏi máy lái mà nó điều khiển;
(3) Phải có khả năng đưa hệ thống vào hoạt động được từ một vị trí trên buồng lái;
(4) Trong trường hợp mất điện cấp cho hệ thống điều khiển, thì tín hiệu báo động bằng âm thanh và ánh sáng phải phát ra được trên buồng lái;
Chỉ phải trang bị thiết bị bảo vệ ngắn mạch cho các mạch cấp cho hệ thống điều khiển máy lái.
Trong máy lái phải có bộ phận bảo vệ quá tải cho thiết bị. Mômen quá tải cho phép trên trục lái bằng 1,5 lần mômen lái tính toán. Máy lái tay chính chỉ cần có lò xo giảm chấn. Máy lái tay phụ không cần bảo vệ quá tải.
12.3.1.3 Các dây cáp và hệ thống điều khiển mà Chương này yêu cầu mắc kép phải cố gắng hết sức đặt xa nhau nhất trên suốt chiều dài của chúng.
12.4 Vật liệu, kết cấu và sức bền của máy lái
12.4.1 Vật liệu
12.4.1.1 Vật liệu dùng chế tạo máy lái phải đủ bền, không có khuyết tật và thích hợp với điều kiện khai thác.
12.4.1.2 Vật liệu làm xi lanh và vỏ của thiết bị dẫn động bánh lái, các đường ống chịu áp lực thủy lực và các bộ phận truyền lực cơ giới cho trục bánh lái phải có độ dãn dài tối thiểu không nhỏ hơn 12% hoặc giới hạn bền kéo không lớn hơn 650 MPa.
12.4.1.3 Vật liệu làm cần bánh lái phải là thép rèn hoặc thép đúc đã được thử thỏa mãn các yêu cầu có liên quan ở Phần 6A của Quy phạm này.
12.4.1.4 Vật liệu làm may-ơ và các cánh của thiết bị dẫn động bánh lái kiểu cánh quay phải là thép cán, thép rèn hoặc thép đúc đã thử thỏa mãn các yêu cầu có liên quan ở Phần 6A của Quy phạm này.
12.4.1.5 Vật liệu bu lông để lắp ghép cần bánh lái kiểu rời và bu lông cố định các cánh vào may-ơ của thiết bị dẫn động bánh lái kiểu cánh quay phải là thép rèn hoặc thép cán đã thử thỏa mãn các yêu cầu có liên quan ở Phần 6A của Quy phạm này.
12.4.1.6 Vật liệu làm các bộ phận chính khác với các bộ phận ở 12.4.1.3 đến 12.4.1.5 phải thỏa mãn các tiêu chuẩn hiện hành.
12.4.1.7 Có thể dùng các vật liệu khác với vật liệu ở 12.4.1.2 đến 12.4.1.6 nếu được Đăng kiểm chấp nhận.
12.4.2 Hàn
12.4.2.1 Tất cả các mối hàn của các bộ phận của hệ thống truyền động bằng cơ giới phải ngấu hoàn toàn và không có các khuyết tật có hại.
12.4.2.2 Các mối hàn trong các bộ phận chịu áp lực bên trong của hệ thống truyền động bằng cơ giới phải có đủ sức bền.
12.4.3 Kết cấu chung của máy lái
12.4.3.1 Máy lái phải có đủ sức bền và độ tin cậy.
12.4.3.2 Áp suất thiết kế để xác định kích thước đường ống và các chi tiết khác của máy lái chịu áp lực thủy lực bên trong phải bằng ít nhất 1,25 lần áp suất làm việc lớn nhất có thể có trong các điều kiện làm việc đã được quy định ở 12.2.2.1(1), có tính đến mọi áp suất có thể có ở phía bên áp suất thấp của hệ thống. Áp suất thiết kế không được nhỏ hơn áp suất đặt của van an toàn.
12.4.4 Sức bền của thiết bị dẫn động bánh lái
Sức bền của tất cả các bộ phận của thiết bị dẫn động bánh lái chịu áp lực bên trong phải thỏa mãn các yêu cầu tương ứng ở Chương 8 của Phần này.
12.4.5 Đệm kín dầu ở thiết bị dẫn động bánh lái
12.4.5.1 Các đệm kín dầu giữa các bộ phận không chuyển động tạo thành một phần của ranh giới áp suất bên ngoài phải là kiểu kim loại áp lên kim loại hoặc kiểu tương đương.
12.4.5.2 Các đệm kín dầu giữa các chi tiết chuyển động tạo thành một ranh giới áp suất bên ngoài phải được lắp kép để một đệm kín hỏng không làm cho thiết bị dẫn động không hoạt động được. Có thể dùng các thiết bị dự phòng chống rò rỉ tương đương khi được Đăng kiểm chấp nhận.
12.4.6 Ống mềm
Các tổ hợp ống có kiểu đã được Đăng kiểm duyệt và thỏa mãn các yêu cầu sau, có thể được phép lắp đặt ở những nơi đòi hỏi tính mềm dẻo:
(1) Các ống không bị biến dạng xoắn ở điều kiện làm việc bình thường;
(2) Nói chung, phải giới hạn chiều dài cần thiết của ống để bảo đảm độ linh hoạt và sự làm việc chính xác của máy;
(3) Các ống phải là ống thủy lực chịu áp suất cao và thích hợp với điều kiện làm việc tức là phù hợp với chất lỏng bên trong, áp suất, nhiệt độ v.v...;
(4) Áp suất nổ vỡ ống không được nhỏ hơn 4 lần áp suất thiết kế.
12.4.7 Thiết bị chặn
12.4.7.1 Các cần bánh lái phải có các thiết bị chặn bánh lái.
12.4.7.2 Thiết bị lái phải có các thiết bị cuỡng bức như là các công tắc giới hạn để dừng máy lái trước khi bánh lái đến vị trí dừng. Các thiết bị này phải đồng bộ với riêng máy lái và không đồng bộ với hệ thống điều khiển máy lái. Tuy nhiên thiết bị này có thể hoạt động được thông qua các thanh nối cơ khí như là các cần lắc.
12.4.7.3 Phải có các thiết bị chặn hoặc dây cáp thích hợp cho cần bánh lái để giữ bánh lái chắc chắn trong trường hợp khẩn cấp. Trong trường hợp dùng thiết bị lái thủy lực, nếu có thể dừng bánh lái một cách an toàn bằng cách đóng các van áp lực dầu thì không yêu cầu thiết bị chặn này.
12.4.8 Thiết bị giảm chấn
Những thiết bị lái không phải là kiểu thủy lực phải có các thiết bị giảm chấn kiểu lò xo hoặc thiết bị giảm chấn thích hợp khác để giảm va đập mạnh cho bánh răng truyền động gây nên do bánh lái.
12.5 Thử nghiệm
12.5.1 Thử tại xưởng
12.5.1.1 Các bình chịu áp lực và hệ thống ống đều phải được thử thỏa mãn các yêu cầu 8.9, 9.6, 10.16 ngoài các thử nghiệm quy định ở 12.5 của Chương này.
12.5.1.2 Tất cả các phần chịu áp suất đều phải qua thử áp lực với áp suất bằng 1,5 lần áp suất thiết kế.
12.5.2 Thử nghiệm sau khi lắp đặt trên tàu
12.5.2.1 Các hệ thống ống thủy lực sau khi lắp đặt trên tàu phải được thử rò rỉ ở áp suất ít nhất bằng áp suất làm việc lớn nhất.
12.5.2.2 Phải thử hoạt động thiết bị lái sau khi lắp đặt trên tàu.
12.5.2.3 Nếu thiết bị lái được thiết kế để tránh hiện tượng khóa thủy lực thì đặc tính này phải được thử nghiệm. Nếu cần, việc thử nghiệm này phải được tiến hành trong khi thử đường dài.
CHƯƠNG 13 -
MÁY KÉO NEO VÀ TỜI CHẰNG BUỘC
13.1 Quy định chung
13.1.1 Phạm vi áp dụng
13.1.1.1 Các yêu cầu ở Chương này áp dụng đối với các máy kéo neo, tời chằng buộc được dẫn động bằng điện, thủy lực hoặc hơi nước được lắp đặt trên tàu.
13.1.1.2 Các máy kéo neo và tời chằng buộc khác với các loại tời ở 13.1.1.1 phải được Đăng kiểm duyệt.
13.2 Máy kéo neo
13.2.1 Bản vẽ và tài liệu
Phải trình Đăng kiểm duyệt các bản vẽ và tài liệu dưới đây:
(1) Bản vẽ:
Bố trí chung;
Các bản vẽ khác mà Đăng kiểm cho là cần thiết.
(2) Tài liệu:
Quy trình thử sản phẩm;
Bản tính sức bền của các bộ phận chính;
Các tài liệu khác mà Đăng kiểm cho là cần thiết.
13.2.2 Kết cấu
13.2.2.1 Máy kéo neo phải thỏa mãn các tiêu chuẩn Việt nam hoặc các tiêu chuẩn được Đăng kiểm công nhận.
13.2.2.2 Máy kéo neo và bệ đỡ tời cùng các chi tiết và phụ tùng của nó phải được lắp đặt chắc chắn vào boong tàu.
13.2.3 Thử nghiệm
13.2.3.1 Thử tại xưởng
(1) Trước khi lắp ráp, các chi tiết sau đây phải được tiến hành thử thủy lực phù hợp với các yêu cầu quy định ở 9.6.1 của Phần 3 này. Áp suất thử phải bằng 1,5 lần áp suất thiết kế. Tuy nhiên, áp suất thử của bình chứa hơi nước có thể lấy bằng 1,5 lần áp suất làm việc.
Đường ống;
Van và phụ tùng;
Bình chịu áp lực;
Các bình chứa hơi nước.
(2) Phải tiến hành thử tải, quá tải, thử hoạt động và thử hãm vành xích cùng với động cơ dẫn động máy kéo neo. Nếu máy kéo neo đã được Đăng kiểm công nhận thì có thể bỏ qua các cuộc thử nghiệm này.
(3) Có thể miễn thử cho các máy kéo neo đã được Đăng kiểm thử nhiều lần theo yêu cầu quy định ở (2) trên với kết quả đạt yêu cầu.
13.2.3.2 Thử sau khi lắp đặt lên tàu
Khi thử tải đường dài, phải tiến hành thử hoạt động các máy kéo neo.
13.3 Tời chằng buộc
13.3.1 Kết cấu
13.3.1.1 Tời chằng buộc phải thỏa mãn các tiêu chuẩn Việt nam hoặc các tiêu chuẩn được Đăng kiểm công nhận.
13.3.1.2 Tời chằng buộc và bệ đỡ tời cùng các chi tiết và phụ tùng của nó phải được lắp đặt chắc chắn vào boong tàu.
13.3.2 Thử nghiệm
Tất cả các tời chằng buộc phải qua các thử nghiệm sau đây trước khi lắp đặt lên tàu:
Chạy không tải 15 phút theo từng hướng quay với tốc độ lớn nhất để kiểm tra các hỏng hóc;
Thử chức năng của bộ hãm tang trống dưới điều kiện hoạt động được quy định ở (1) trên;
Mặc dù đã có các quy định ở (1) và (2) trên, nếu như có nhiều cụm chi tiết cùng loại thì Đăng kiểm có thể giảm thời gian quá trình thử và số lượng cụm chi tiết phải thử.
CHƯƠNG 14 -
ĐIỀU KHIỂN TỰ ĐỘNG VÀ ĐIỀU KHIỂN TỪ XA
14.1 Quy định chung
14.1.1 Phạm vi áp dụng
14.1.1.1 Những yêu cầu trong Chương này áp dụng đối với hệ thống điều khiển tự động và điều khiển từ xa được sử dụng để điều khiển các máy và thiết bị sau:
(1) Máy chính (bao gồm cả động cơ lai chân vịt trên tàu truyền động điện);
(2) Chân vịt biến bước;
(3) Máy phát điện (bao gồm cả động cơ điện lai chân vịt trên tàu trang bị hệ thống điện chân vịt).
14.1.1.2 Những trường hợp cụ thể sẽ được Đăng kiểm xem xét riêng. Những yêu cầu của Chương này được áp dụng phù hợp với hệ thống điều khiển tự động và điều khiển từ xa dùng để điều khiển các máy và thiết bị không nêu từ 14.1.1.1(1) đến 14.1.1.1(3).
14.1.2 Thuật ngữ
Những thuật ngữ sử dụng trong Chương này được định nghĩa như sau:
(1) Trạm điều khiển là địa điểm tập trung các thiết bị đo lường, chỉ báo, báo động v.v... cho các máy, thiết bị và thu nhận những thông tin cần thiết để nắm rõ trạng thái hoạt động của các máy và thiết bị đó và thiết bị có thể được điều khiển;
Thiết bị điều khiển trên buồng lái là thiết bị điều khiển từ xa máy chính hoặc chân vịt biến bước được đặt trên buồng lái;
(3) Điều khiển theo trình tự là mô hình điều khiển được thực hiện tự động theo trình tự đã định;
(4) Điều khiển theo chương trình là mô hình điều khiển mà những giá trị mong muốn có thể được chuyển đổi theo sơ đồ đã định;
(5) Điều khiển tại chỗ là việc điều khiển trực tiếp bằng tay các máy và thiết bị tại chỗ hoặc gần vị trí lắp đặt chúng, và tại đó nhận được những thông tin cần thiết từ dụng cụ đo, chỉ báo v.v...;
(6) Hệ thống an toàn là hệ thống hoạt động tự động nhằm ngăn ngừa các tổn thất đối với máy và thiết bị trong trường hợp:
(a) Khởi động máy hoặc thiết bị dự phòng;
(b) Giảm công suất của máy hoặc thiết bị;
(c) Ngừng cấp nhiên liệu hoặc ngắt nguồn cấp điện để dừng máy và thiết bị.
14.1.3 Bản vẽ và tài liệu
Các bản vẽ và tài liệu phải trình duyệt bao gồm:
(1) Các bản vẽ và tài liệu liên quan đến tự động hóa:
(a) Danh mục các điểm đo;
(b) Danh mục các điểm báo;
(c) Thiết bị điều khiển và thiết bị an toàn:
Danh mục các thiết bị được điều khiển và các tham số được điều khiển;
Kiểu nguồn năng lượng điều khiển (tự nạp, khí nén, điện, v.v...);
Danh mục các trạng thái ngừng sự cố, giảm tốc (giảm tự động hoặc giảm theo lệnh), v.v...;
(2) Các bản vẽ và tài liệu cho thiết bị điều khiển tự động và thiết bị điều khiển từ xa máy chính hoặc chân vịt biến bước:
(a) Tài liệu hướng dẫn sử dụng máy chính như khởi động và tắt, thay đổi hướng quay, tăng hoặc giảm công suất, v.v...;
(b) Bản vẽ bố trí các thiết bị an toàn (gồm cả những thiết bị đã gắn vào động cơ) và đèn báo hiệu;
(c) Sơ đồ điều khiển.
(3) Sơ đồ và tài liệu hướng dẫn sử dụng thiết bị điều khiển tự động dùng cho máy phát điện (thiết bị phân chia tải tự động, thiết bị khởi động tự động, thiết bị tạo đồng bộ tự động, thiết bị khởi động theo trình tự, v.v...);
(4) Bản vẽ bố trí bảng giám sát, bảng báo động và vị trí điều khiển tại các trạm điều khiển tương ứng.
14.2 Các hệ thống
14.2.1 Thiết kế hệ thống
14.2.1.1 Hệ thống điều khiển, hệ thống báo động và hệ thống an toàn phải được thiết kế sao cho sự cố này không kéo theo sự cố khác và không làm gia tăng những tổn thất nhất định.
14.2.1.2 Hệ thống điều khiển, hệ thống báo động và hệ thống an toàn phải được thiết kế trên nguyên tắc an toàn. Đặc tính an toàn không những được đánh giá đối với các hệ thống tương ứng và các thiết bị, máy móc kèm theo mà còn được đánh giá trên cơ sở an toàn chung toàn tàu.
14.2.1.3 Hệ thống điều khiển từ xa hoặc điều khiển tự động phải đủ tin cậy ở các điều kiện khai thác.
14.2.1.4 Cáp tín hiệu phải được lắp đặt sao cho tránh được các sự cố kể cả nhiễu nội bộ.
14.2.2 Nguồn cấp năng lượng
14.2.2.1 Nguồn cấp điện
Nguồn cấp điện phải thỏa mãn những yêu cầu sau đây:
(1) Mạch cấp điện nguồn cho hệ thống điều khiển, hệ thống báo động và hệ thống an toàn phải được thiết kế độc lập với mạch điện động lực và mạch điện chiếu sáng, trừ trường hợp nguồn điện cho hệ thống điều khiển, hệ thống báo động và hệ thống an tòan được cấp từ mạch điện cho máy và thiết bị mà chúng phục vụ;
(2) Nguồn điện cho hệ thống báo động và hệ thống an toàn dùng cho máy phát điện phải được cấp từ ắc quy.
14.2.2.2 Nguồn cấp dầu thủy lực
Nguồn cấp dầu thủy lực phải thỏa mãn những yêu cầu sau đây:
(1) Nguồn cấp dầu thủy lực phải có khả năng cấp ổn định dầu đã được làm sạch với áp suất và số lượng cần thiết;
(2) Phải lắp đặt thiết bị quá áp trên phía đẩy của bơm áp lực;
(3) Phải trang bị bơm áp lực dầu cho việc điều khiển máy chính.
14.2.2.3 Nguồn cấp áp lực khí
Nguồn cấp khí điều khiển phải thỏa mãn những yêu cầu sau đây:
(1) Hệ thống điều khiển phải trang bị bình khí có dung tích đủ khả năng cấp khí cho thiết bị điều khiển ít nhất 5 phút trong trường hợp xảy ra sự cố của máy nén khí điều khiển;
(2) Khi bình khí khởi động của động cơ Diesel dùng làm máy chính được sử dụng như là bình khí điều khiển thì phải tăng gấp đôi số van giảm áp hoặc phải có van giảm áp dự trữ trên tàu;
(3) Phải có máy nén khí để có thể sử dụng làm nguồn cấp khí điều khiển;
(4) Khí điều khiển phải đi qua phin lọc và cần thiết phải được làm khô để khử bỏ tối đa các vật rắn, dầu và nước;
(5) Đường ống dẫn khí điều khiển phải độc lập với đường ống khí phục vụ chung và khí khởi động.
14.2.3 Điều kiện môi trường
Hệ thống điều khiển tự động hoặc điều khiển từ xa phải có khả năng chịu được tác động của môi trường ở nơi lắp đặt.
14.2.4 Hệ thống điều khiển
14.2.4.1 Tính độc lập của hệ thống điều khiển
Hệ thống điều khiển máy chính hoặc chân vịt biến bước và máy phát điện phải độc lập với nhau. Tuy nhiên, khi động cơ lai chân vịt và tổ hợp phát điện chính được liên kết với nhau thành một tuyến thì hệ thống điều khiển chúng có thể được kết hợp lại với nhau.
14.2.4.2 Thiết bị liên kết
Khi máy chính hoặc chân vịt biến bước, máy phát điện được thiết kế để hoạt động đồng thời trong nhiều nhánh dưới cùng điều kiện, thì phải trang bị thiết bị liên kết giữa các thiết bị điều khiển của các trạm với nhau.
14.2.4.3 Đặc tính điều khiển
Thiết bị điều khiển tự động và thiết bị điều khiển từ xa phải có đặc tính điều khiển phù hợp với tính chất động lực học của máy và thiết bị được chúng điều khiển và phải lưu ý để không tạo ra các chức năng giả và loạn do nhiễu.
14.2.4.4 Khóa liên động
Thiết bị điều khiển phải được trang bị khóa liên động thích hợp để ngăn ngừa hư hỏng cho máy và thiết bị do chức năng giả và thao tác giả của máy và thiết bị được dự kiến trước.
14.2.4.5 Bộ chuyển đổi thao tác bằng tay
Bộ chuyển đổi thao tác bằng tay phải thỏa mãn những yêu cầu sau:
(1) Máy chính hoặc chân vịt biến bước và máy phát điện phải được lắp đặt sao cho có thể được khởi động, thao tác và điều khiển bằng tay cả trong trường hợp thiết bị điều khiển tự động không hoạt động;
(2) Nói chung, thiết bị điều khiển tự động phải được trang bị các bộ phận để ngắt bằng tay các chức năng tự động của thiết bị;
(3) Bộ phận quy định ở (2) trên phải có khả năng ngắt các chức năng tự động của thiết bị điều khiển tự động trong trường hợp bất cứ bộ phận nào của thiết bị điều khiển tự động không hoạt động.
14.2.4.6 Ngắt chức năng điều khiển từ xa
Đối với thiết bị điều khiển từ xa, chức năng điều khiển từ xa phải có khả năng ngắt được bằng tay.
14.2.5 Hệ thống báo động
14.2.5.1 Chức năng của hệ thống báo động phải thỏa mãn những yêu cầu sau đây:
(1) Khi một trạng thái khác thường được phát hiện, thì thiết bị phát tín hiệu ánh sáng và âm thanh (sau đây gọi tắt là “Thiết bị báo động”) phải hoạt động;
(2) Khi thiết bị được chế tạo để phát báo động âm thanh nhỏ thì chúng không được tắt tín hiệu ánh sáng;
(3) Đồng thời cùng một lúc phải chỉ báo được hai hoặc nhiều hơn các sai sót;
(4) Tín hiệu âm thanh cho máy và thiết bị phải có khả năng phân biệt rõ ràng so với các tín hiệu khác như tín hiệu báo động chung, tín hiệu báo nồng độ CO2, tín hiệu báo động cháy v.v...
14.2.5.2 Chức năng của hệ thống báo động đặt trong trạm điều khiển máy chính hoặc chân vịt biến bước phải thỏa mãn những yêu cầu sau đây, để bổ sung cho 14.2.5.1:
(1) Tín hiệu ánh sáng phải được lưu giữ đến khi khắc phục xong sự cố;
(2) Nhận tín hiệu này không làm ảnh hưởng đến tín hiệu khác;
(3) Nếu đang nhận tín hiệu này mà sự cố thứ hai xảy ra trong thời gian sự cố đầu chưa khắc phục xong thì thiết bị báo động phải hoạt động trở lại;
(4) Phải chỉ báo rõ ràng vị trí ngắt bằng tay của mỗi hệ thống báo động.
14.2.5.3 Tín hiệu ánh sáng phải được bố trí sao cho có thể thông báo đầy đủ với tín hiệu rõ ràng, dễ nhận biết đối với mỗi trạng thái khác thường của máy và thiết bị.
14.2.6 Hệ thống an toàn
14.2.6.1 Cấu trúc hệ thống
Cấu trúc hệ thống phải thỏa mãn những yêu cầu sau đây:
(1) Hệ thống an toàn phải được trang bị độc lập với hệ thống điều khiển và hệ thống báo động đến mức có thể được;
(2) Hệ thống an toàn dùng cho máy chính và máy phát điện phải độc lập với nhau.
14.2.6.2 Chức năng của hệ thống an toàn
Chức năng của hệ thống an toàn phải thỏa mãn những yêu cầu sau:
(1) Hệ thống báo động có chức năng được quy định ở 14.2.5 phải hoạt động khi hệ thống an toàn đi vào hoạt động;
(2) Khi hệ thống an toàn đi vào hoạt động và thao tác của máy hoặc thiết bị bị ngừng, thì không được khởi động tự động lại trước khi thực hiện khởi động bằng tay.
14.2.6.3 Thiết bị xóa bỏ tác động an toàn
Khi có bố trí thiết bị xóa bỏ tác động an toàn cho hệ thống an toàn, thì những yêu cầu (1) và (2) dưới đây phải thỏa mãn:
(1) Tín hiệu ánh sáng phải hoạt động tại các trạm điều khiển máy và thiết bị có liên quan khi thiết bị xóa bỏ tác động an toàn hoạt động;
(2) Thiết bị xóa bỏ tác động an toàn phải sao cho ngăn ngừa được các thao tác sai.
14.3 Điều khiển tự động và điều khiển từ xa máy chính hoặc chân vịt biến bước
14.3.1 Quy định chung
Thiết bị điều khiển tự động hoặc từ xa máy chính hoặc chân vịt biến bước phải thỏa mãn những yêu cầu quy định ở 14.3.
14.3.2 Thiết bị điều khiển từ xa máy chính hoặc chân vịt biến bước
14.3.2.1 Quy định chung
Thiết bị điều khiển tự động hoặc điều khiển từ xa máy chính hoặc chân vịt biến bước phải thỏa mãn những yêu cầu sau:
Thiết bị điều khiển từ xa máy chính hoặc chân vịt biến bước phải có khả năng điều khiển được vòng quay chân vịt và hướng lực đẩy (góc cánh chân vịt trong trường hợp là chân vịt biến bước) bằng các phương tiện thao tác đơn giản;
Thiết bị điều khiển từ xa máy chính hoặc chân vịt biến bước phải được trang bị cho từng chân vịt. Tuy nhiên, khi hai chân vịt cùng được điều khiển tại cùng một thời điểm thì những chân vịt này có thể được điều khiển bằng các thiết bị của một bộ điều khiển từ xa;
Khi tốc độ của động cơ Diesel sử dụng làm máy chính được điều khiển bằng bộ điều tốc, thì bộ điều tốc phải được hiệu chỉnh sao cho máy chính không vượt quá 103% vòng quay liên tục lớn nhất. Bộ điều tốc phải có khả năng duy trì tốc độ tối thiểu an toàn;
Khi chọn cách điều khiển theo chương trình, thì chương trình để làm tăng hoặc giảm công suất phải được thiết kế sao cho ứng suất cơ học và ứng suất nhiệt quá giới hạn cho phép không xảy ra tại bất cứ bộ phận nào của máy;
Tại các trạm điều khiển từ xa máy chính hoặc chân vịt biến bước phải trang bị những thiết bị sau đây:
(a) Thiết bị chỉ báo vòng quay chân vịt và hướng quay chân vịt trong trường hợp chân vịt có bước cố định;
(b) Thiết bị chỉ báo vòng quay và trị số bước chân vịt trong trường hợp chân vịt biến bước.
(6) Tại các trạm điều khiển từ xa máy chính hoặc chân vịt biến bước phải trang bị các thiết bị báo động cần thiết phục vụ việc điều khiển máy chính hoặc chân vịt biến bước.
14.3.2.2 Chuyển điều khiển
Thiết bị điều khiển từ xa máy chính hoặc chân vịt biến bước phải thỏa mãn những yêu cầu sau đây về chuyển điều khiển:
(1) Mỗi trạm điều khiển máy chính hoặc chân vịt biến bước phải được trang bị thiết bị để chỉ báo rằng chúng đang trong trạng thái được điều khiển;
(2) Việc điều khiển từ xa máy chính hoặc chân vịt biến bước chỉ có thể thực hiện được từ một vị trí tại cùng một thời điểm;
(3) Việc chuyển điều khiển chỉ có thể thực hiện được theo lệnh từ trạm phục vụ và nhận tín hiệu điều khiển trong trạm tiếp nhận, trừ các trường hợp sau đây:
(a) Chuyển điều khiển giữa trạm điều khiển tại chỗ máy chính hoặc chân vịt biến bước và trạm điều khiển chính hoặc trạm điều khiển dự phòng;
(b) Chuyển điều khiển thực hiện trong trạng thái máy chính không làm việc.
(4) Phải có biện pháp ngăn ngừa lực đẩy chân vịt thay đổi quá lớn khi chuyển điều khiển từ vị trí này sang vị trí khác trừ việc chuyển điều khiển như quy định ở (3).
14.3.2.3 Sự cố của hệ thống điều khiển từ xa máy chính hoặc chân vịt biến bước
Những yêu cầu sau đây phải được thỏa mãn trong trường hợp xảy ra sự cố của hệ thống điều khiển từ xa máy chính hoặc chân vịt biến bước:
(1) Phải trang bị thiết bị báo động hoạt động khi xảy ra sự cố của thiết bị điều khiển từ xa máy chính hoặc chân vịt biến bước trong các trạm điều khiển từ xa máy chính hoặc chân vịt biến bước;
(2) Khi xảy ra sự cố của thiết bị điều khiển từ xa máy chính hoặc chân vịt biến bước thì máy chính hoặc chân vịt biến bước phải có khả năng điều khiển được tại chỗ.
(3) Trạm điều khiển từ xa máy chính hoặc chân vịt biến bước phải được trang bị thiết bị ngắt khẩn cấp độc lập dùng cho máy chính. Thiết bị này sẽ tác động khi xảy ra sự cố của thiết bị điều khiển từ xa máy chính hoặc chân vịt biến bước.
14.3.2.4 Khởi động từ xa máy chính trên tàu Diesel
Việc khởi động bằng thiết bị điều khiển từ xa máy chính phải thỏa mãn những quy định sau đây:
(1) Số lần khởi động máy chính phải thỏa mãn yêu cầu ở 2.5.3.
(2) Thiết bị khởi động từ xa máy chính có bộ khởi động tự động phải được thiết kế sao cho số lần khởi động tự động liên tục không thành được giới hạn đến 3 lần. Khi có sự cố khởi động, thì các tín hiệu ánh sáng và âm thanh phải hoạt động tại các trạm điều khiển máy chính hoặc chân vịt biến bước.
(3) Khi sử dụng khí nén để khởi động máy chính, thì phải trang bị thiết bị báo động để chỉ báo áp suất khí khởi động thấp tại trạm điều khiển từ xa và trạm giám sát máy chính.
(4) Áp suất khí khởi động thấp như quy định ở (3) để thiết bị báo động làm việc phải được đặt ở mức cho phép các thao tác khởi động máy chính làm việc thêm.
14.3.3 Biện pháp an toàn
14.3.3.1 Biện pháp an toàn cho máy chính hoặc chân vịt biến bước
Biện pháp an toàn cho máy chính hoặc chân vịt biến bước phải thỏa mãn những yêu cầu sau đây:
(1) Phải sử dụng những thiết bị an toàn dưới đây cho những thiết bị điều khiển từ xa máy chính hoặc chân vịt biến bước:
Khóa liên động để ngăn ngừa tổn thất nghiêm trọng do vận hành sai;
Máy phụ cần thiết cho máy chính của tàu được dẫn động bằng mô tơ điện, thì máy chính phải được thiết kế sao cho dừng tự động trong trường hợp có sự cố nguồn cấp điện hoặc phải có khả năng dừng máy lại;
Máy chính phải được thiết kế lắp đặt sao cho không có khả năng tự khởi động khi nguồn điện được phục hồi sau khi xảy ra sự cố nguồn điện làm cho máy chính dừng lại;
Thiết bị điều khiển từ xa máy chính hoặc chân vịt biến bước phải được thiết kế sao cho động cơ không bị quá tải trong trường hợp xảy ra sự cố của chúng.
(2) Thiết bị dừng máy chính phải được đặt trong trạm giám sát máy chính hoặc chân vịt biến bước.
14.3.3.2 Hệ thống an toàn của máy chính
Hệ thống an toàn của máy chính phải thỏa mãn những yêu cầu sau đây:
(1) Thiết bị cắt nhiên liệu hoặc nguồn cấp hơi (gọi tắt là “Thiết bị an toàn”) máy chính không được tự động hoạt động trừ khi có thể tạo ra hỏng máy, tổn thất nghiêm trọng hoặc nổ;
(2) Hệ thống an toàn máy chính phải được thiết kế sao cho không làm mất các chức năng của chúng hoặc mất an toàn ngay cả khi xảy ra sự cố nguồn điện chính hoặc nguồn không khí.
14.3.3.3 Động cơ Diesel tự đảo chiều
ít nhất phải có các biện pháp an toàn sau đây được áp dụng đối với thiết bị điều khiển từ xa động cơ Diesel tự đảo chiều:
(1) Thao tác khởi động chỉ có khả năng thực hiện được khi trục cam chắc chắn ở vị trí “tiến” hoặc “lùi”;
(2) Trong khi thao tác đổi chiều nhiên liệu không được phun vào;
(3) Thao tác đảo chiều phải được điều khiển sau vòng quay “tiến“ được giảm đến một giá trị định trước.
14.3.3.4 Máy chính có khớp ly hợp
Ít nhất các biện pháp an toàn sau đây phải được áp dụng đối với máy chính có khớp ly hợp:
(1) Việc đóng và nhả khớp ly hợp chỉ được thực hiện dưới vòng quay được quy định trước của máy chính;
(2) Phải lắp thiết bị bảo vệ quá tốc quy định ở 2.4.1.2;
(3) Phải lắp thiết bị bảo vệ quá tốc khi Đăng kiểm cho là cần thiết để đề phòng tốc độ của mô tơ đẩy vượt quá 125% vòng quay định mức khi ly hợp được nhả ra.
14.3.3.5 Máy chính dẫn động chân vịt biến bước
Ít nhất các biện pháp an toàn sau đây phải được áp dụng đối với thiết bị điều khiển từ xa động cơ lai chân vịt biến bước:
(1) Phải lắp đặt thiết bị đề phòng quá tải;
(2) Khởi động động cơ hoặc đóng khớp ly hợp phải được thực hiện trong thời gian cánh chân vịt đang ở vị trí có bước bằng không;
(3) Phải lắp đặt thiết bị chống quá tốc như quy định ở 2.4.1.2;
(4) Trong trường hợp cần đề phòng tốc độ của mô tơ lai chân vịt vượt quá 125% vòng quay định mức khi bước chân vịt thay đổi thì phải trang bị thiết bị chống vượt tốc nếu Đăng kiểm cho là cần thiết.
14.4 Điều khiển tự động và từ xa máy phát điện
14.4.1 Quy định chung
14.4.1.1 Máy phát điện được trang bị để khởi động tự động hoặc từ xa phải được trang bị thiết bị khóa liên động để đảm bảo thao tác an toàn.
14.4.1.2 Máy phát điện được trang bị để khởi động tự động phải được thiết kế sao cho số lần khởi động liên tiếp không thành công chỉ được giới hạn đến hai lần và phải trang bị thiết bị báo động trong thời gian xảy ra sự cố khởi động.
14.4.1.3 Khi động cơ Diesel lai máy phát điện chính được khởi động từ xa thì số lần khởi động phải theo số lần yêu cầu quy định ở 2.5.3.
14.4.1.4 Khi khởi động từ xa máy phát dự phòng có nối tự động với thanh dẫn của bảng điện, thì việc tự động đóng điện vào thanh dẫn được giới hạn một lần trong trường hợp xảy ra sự cố nguồn điện ban đầu do ngắn mạch.
14.5 Thử nghiệm
14.5.1 Thử tại xưởng
Sau khi chế tạo, hệ thống điều khiển tự động hoặc điều khiển từ xa các máy và thiết bị phải chịu những đợt thử sau đây:
(1) Thử điều kiện môi trường
Các chi tiết, bộ phận, đầu dò (gọi tắt là “Thiết bị tự động”) và hệ tự động bao gồm cả thiết bị tự động phải trải qua các lần thử ở điều kiện môi trường dưới đây tại cơ sở sản xuất. Quy trình thử phải trình Đăng kiểm xét duyệt.
Kiểm tra bên ngoài;
Thử hoạt động và thử tính năng;
Thử sự cố cung cấp nguồn điện (áp dụng cho các thiết bị điện, điện tử và v.v...);
Thử dao động nguồn cấp năng lượng (áp dụng cho các thiết bị thủy lực, khí nén và v.v...);
Thử dao động nguồn điện (áp dụng cho các thiết bị điện và điện tử v.v...);
Thử độ cách điện (áp dụng cho các thiết bị điện, điện tử và v.v...);
Thử điện áp cao (áp dụng cho các thiết bị điện, điện tử và v.v...);
Thử áp lực (áp dụng cho các thiết bị thủy lực, khí nén và v.v...);
Thử nhiệt độ cao ở môi trường khô;
Thử nhiệt độ cao ở môi trường ẩm;
Thử chấn động;
Thử chịu nghiêng (chỉ khi lắp trên các tàu có cấp SI);
Thử chịu lạnh;
Thử mù muối (áp dụng cho các thiết bị sẽ được đặt trong khu vực không đóng kín như là boong hở và khi lắp trên các tàu có cấp SI);
Thử độ khử tĩnh điện (áp dụng cho các thiết bị điện tử và v.v...);
Thử nhiễm điện từ (áp dụng cho các thiết bị điện tử và v.v...);
Thử quá độ và hoặc tăng đột ngột (áp dụng cho các thiết bị điện và điện tử .v...);
Các dạng thử khác mà Đăng kiểm xét thấy cần thiết.
(2) Thử đồng bộ hệ tự động
Các thiết bị tự động sau khi đã trải qua các lần thử quy định ở (1) phải chịu các lần thử dưới đây sau khi đã lắp ráp đồng bộ thành hệ tự động:
Kiểm tra bên ngoài;
Thử hoạt động và thử tính năng;
Thử độ cách điện và thử điện áp cao (áp dụng cho các thiết bị điện, điện tử.);
Thử áp lực (áp dụng cho các thiết bị thủy lực, khí nén);
Các dạng thử khác mà Đăng kiểm xét thấy cần thiết.
14.5.2 Thử sau khi lắp đặt trên tàu
Hệ thống điều khiển tự động hoặc điều khiển từ xa các máy và thiết bị, sau khi lắp đặt trên tàu phải được thử để xác nhận rằng chúng hoạt động có hiệu quả, chính xác theo các điều kiện có thể. Tuy nhiên, một phần của những thử nghiệm này có thể được thực hiện trong lần thử đường dài.
CHƯƠNG 15 -
PHỤ TÙNG DỰ TRỮ, DỤNG CỤ VÀ ĐỒ NGHỀ
15.1 Quy định chung
15.1.1 Phạm vi áp dụng
15.1.1.1 Các yêu cầu trong Chương này áp dụng cho các phụ tùng dự trữ, các dụng cụ và đồ nghề của hệ thống máy tàu.
15.1.1.2 Thông thường, các phụ tùng dự trữ và dụng cụ được quy định trong Chương này phải được trang bị trong buồng máy, buồng nồi hơi hoặc các vị trí thuận tiện khác ở trên tàu.
15.2 Phụ tùng dự trữ, các dụng cụ và đồ nghề
15.2.1 Định mức phụ tùng dự trữ, các dụng cụ và đồ nghề
15.2.1.1 Định mức phụ tùng cho nồi hơi của tàu cấp SI cho ở Bảng 3/15.1
Bảng 3/15.1 - Phụ tùng dự trữ cho nồi hơi
Phụ tùng dự trữ | Số lượng quy định |
| Lò xo van an toàn của mỗi cỡ gồm cả lò xo van an toàn của thiết bị quá nhiệt | 1 |
| Vòi phun dầu đủ bộ cho một nồi hơi | 1 bộ |
| Kính của dụng cụ chỉ mức nước kiểu tròn gồm cả đệm bít | 1 |
| Kính của dụng cụ chỉ mực nước kiểu phẳng | 2 |
| Khung của dụng cụ chỉ mức nước kiểu phẳng | 1 |
15.2.1.2 Các dụng cụ và đồ nghề
Mỗi một tàu phải được trang bị các dụng cụ sửa chữa, tháo lắp, đo đạc cho các máy, trang thiết bị như sau:
(1) Để xiết chặt các bu lông, đai ốc quan trọng;
(2) Để đo co bóp trục khuỷu của động cơ.
Bạn chưa Đăng nhập thành viên.
Đây là tiện ích dành cho tài khoản thành viên. Vui lòng Đăng nhập để xem chi tiết. Nếu chưa có tài khoản, vui lòng Đăng ký tại đây!





































































114,3 mm
165,2 mm
114,3 mm




