- Tổng quan
- Nội dung
- Tiêu chuẩn liên quan
- Lược đồ
- Tải về
Tiêu chuẩn TCVN 11823-4:2017 Phân tích, đánh giá kết cấu cầu đường bộ
| Số hiệu: | TCVN 11823-4:2017 | Loại văn bản: | Tiêu chuẩn Việt Nam |
| Cơ quan ban hành: | Bộ Khoa học và Công nghệ | Lĩnh vực: | Xây dựng , Giao thông |
|
Ngày ban hành:
Ngày ban hành là ngày, tháng, năm văn bản được thông qua hoặc ký ban hành.
|
2017 |
Hiệu lực:
|
Đã biết
|
| Người ký: | Đang cập nhật |
Tình trạng hiệu lực:
Cho biết trạng thái hiệu lực của văn bản đang tra cứu: Chưa áp dụng, Còn hiệu lực, Hết hiệu lực, Hết hiệu lực 1 phần; Đã sửa đổi, Đính chính hay Không còn phù hợp,...
|
Đã biết
|
TÓM TẮT TIÊU CHUẨN VIỆT NAM TCVN 11823-4:2017
Nội dung tóm tắt đang được cập nhật, Quý khách vui lòng quay lại sau!
Tải tiêu chuẩn Việt Nam TCVN 11823-4:2017
TIÊU CHUẨN QUỐC GIA
TCVN 11823-4:2017
THIẾT KẾ CẦU ĐƯỜNG BỘ - PHẦN 4: PHÂN TÍCH VÀ ĐÁNH GIÁ KẾT CẤU
Highway bridge design specification - Part 4: Structure analysis and evaluation
MỤC LỤC
LỜI NÓI ĐẦU
1 PHẠM VI ÁP DỤNG
2 KÝ HIỆU
3 THUẬT NGỮ VÀ ĐỊNH NGHĨA
4 CÁC PHƯƠNG PHÁP PHÂN TÍCH KẾT CẤU ĐƯỢC CHẤP NHẬN
5 MÔ HÌNH TOÁN HỌC
5.1 TỔNG QUÁT
5.2 SỰ LÀM VIỆC CỦA VẬT LIỆU KẾT CẤU
5.2.1 Đàn hồi và không đàn hồi
5.2.2 Sự làm việc đàn hồi
5.2.3 Sự làm việc không đàn hồi
5.3 HÌNH HỌC
5.3.1 Lý thuyết biến dạng nhỏ
5.3.2 Lý thuyết biến dạng lớn
5.3.2.1 Tổng quát
5.3.2.2 Các phương pháp tính xấp xỉ
5.3.2.2.1 Tổng quát
5.3.2.2.2 Áp dụng phương pháp khuyếch đại mô men tính cột chịu nén lệch tâm
5.3.2.2.3 Áp dụng phương pháp khuyếch đại mô men để tính kết cấu vòm
5.3.2.3 Các phương pháp chính xác
5.4 CÁC ĐIỀU KIỆN BIÊN CỦA MÔ HÌNH
5.5 CẤU KIỆN TƯƠNG ĐƯƠNG
6 PHÂN TÍCH TĨNH HỌC
6.1. ẢNH HƯỞNG CỦA KÍCH THƯỚC HÌNH HỌC
6.1.1 Tỷ số mặt cắt phẳng
6.1.2 Các kết cấu cong trong mặt bằng
6.1.2.1 Tổng quát
6.1.2.2 Kết cấu nhịp dầm đơn cứng chịu xoắn
6.1.2.3 Cầu dầm hộp bê tông
6.1.2.4 Kết cấu phần trên nhiều dầm thép
6.1.2.4.1 Tổng quát
6.1.2.4.2 Dầm - I
6.1.2.4.3 Dầm hộp kín và dầm mặt cắt hình chậu
6.2 CÁC PHƯƠNG PHÁP PHÂN TÍCH GẦN ĐÚNG
6.2.1 Mặt cầu
6.2.1.1 Tổng quát
6.2.1.2 Khả năng áp dụng
6.2.1.3 Bề rộng của các dải tương đương bên trong
6.2.1.4 Bề rộng dải tương đương tại các mép của bản
6.2.1.4.1 Tổng quát
6.2.1.4.2 Các mép dọc
6.2.1.4.3 Các mép ngang
6.2.1.5 Phân bố tải trọng bánh xe
6.2.1.6 Tính toán các hiệu ứng lực
6.2.1.7 Hiệu ứng khung của mặt cắt ngang
6.2.1.8 Nội lực do hoạt tải của mạng bản thép được lấp đầy bê tông hay lấp đầy một phần và mạng bản thép không được lấp bê tông, liên hợp với bản bê tông cốt thép
6.2.1.9 Phép phân tích phi tuyến
6.2.2 Các loại cầu dầm - bản
6.2.2.1 Tổng quát
6.2.2.2 Phương pháp hệ số phân bố dùng cho mô men và lực cắt
6.2.2.2.1 Các dầm bên trong với mặt cầu bê tông
6.2.2.2.2 Các dầm bên trong có mặt cầu bằng bản thép lượn sóng
6.2.2.2.3 Các dầm biên
6.2.2.2.4 Cầu chéo
6.2.2.2.5 Mô men uốn và lực cắt trong dầm ngang hệ mặt cầu
6.2.2.3 Phương pháp hệ số phân bố cho lực cắt
6.2.2.3.1 Các dầm bên trong
6.2.2.3.2 Các dầm biên
6.2.2.3.3 Các cầu chéo
6.2.2.4 Cầu thép cong
6.2.2.5 Tải trọng đặc biệt với phương tiện giao thông khác
6.2.3 Bề rộng dải tương đương đối với các loại cầu bản
6.2.4 Cầu giàn và vòm
6.2.5 Hệ số chiều dài có hiệu, K
6.2.6 Bề rộng bản cánh có hiệu của dầm
6.2.6.1 Tổng quát
6.2.6.2 Các dầm bê tông hộp và dầm một hộp thi công phân đoạn, dầm bê tông hộp đúc tại chỗ
6.2.6.3 Kết cấu dầm hộp nhiều ngăn đúc tại chỗ
6.2.6.4 Mặt cầu thép bản trực hướng
6.2.6.5 Dầm ngang mặt cầu và xà mũ trụ khung nối cứng với kết cấu phần trên
6.2.7 Phân bố tải trọng gió ngang trong hệ thống dầm cầu
6.2.7.1 Dầm mặt cắt hình I
6.2.7.2 Các mặt cắt hình hộp
6.2.7.3 Thi công
6.2.8 Sự phân phối tải trọng ngang do động đất
6.2.8.1 Tổng quát
6.2.8.2 Các tiêu chí thiết kế
6.2.8.3 Sự phân bố tải trọng do động đất
6.2.9 Phân tích các cầu bê tông thi công phân đoạn
6.2.9.1 Tổng quát
6.2.9.2 Các mô hình giàn ảo (mô hình chống - giằng)
6.2.9.3 Chiều rộng có hiệu của bản cánh
6.2.9.4 Phân tích theo phương ngang
6.2.9.5 Phân tích theo phương dọc
6.2.9.5.1 Tổng quát
6.2.9.5.2 Phân tích kết cấu khi xây lắp
6.2.9.5.3 Phân tích hệ thống kết cấu ở trạng thái đã hoàn thành
6.2.10 Bề rộng tương đương cống hộp
6.2.10.1 Tổng quát
6.2.10.2 Trường hợp 1: Xe chạy lưu thông song song với nhịp
6.2.10.3 Trường hợp 2: xe chạy lưu thông vuông góc với nhịp
6.2.10.4 Cống hộp đúc sẵn
6.3 PHƯƠNG PHÁP PHÂN TÍCH CHÍNH XÁC
6.3.1 Tổng quát
6.3.2 Mặt cầu
6.3.2.1 Tổng quát
6.3.2.2 Mô hình bản đẳng hướng
6.3.2.3 Mô hình bản trực hướng
6.3.2.4 Xây dựng mô hình tính chính xác bản trực hướng
6.3.3 Cầu dầm- bản
6.3.3.1 Tổng quát
6.3.3.2 Cầu thép cong
6.3.4 Các cầu hình hộp và cầu mặt cắt nhiều ngăn
6.3.5 Cầu giàn
6.3.6 Cầu vòm
6.3.7 Cầu dây văng
6.3.8 Cầu treo dây võng
6.4 SỰ PHÂN BỐ LẠI MÔ MEN ÂM TRONG CẦU DẦM LIÊN TỤC
6.4.1 Tổng quát
6.4.2 Phương pháp chính xác
6.4.3 Phương pháp gần đúng
6.5 ỔN ĐỊNH
6.6 PHÂN TÍCH VỀ GRA-ĐI-EN NHIỆT ĐỘ
7 PHÂN TÍCH ĐỘNG LỰC HỌC
7.1 NHỮNG YÊU CẦU CƠ BẢN VỀ ĐỘNG LỰC HỌC KẾT CẤU
7.1.1 Tổng quát
7.1.2 Sự phân bố khối lượng
7.1.3 Độ cứng
7.1.4 Giảm chấn
7.1.5 Tần số dao động riêng
7.2 ỨNG XỬ ĐỘNG HỌC ĐÀN HỒI
7.2.1 Dao động do xe cộ
7.2.2 Dao động do gió
7.2.2.1 Các vận tốc gió
7.2.2.2 Các hiệu ứng động học
7.2.2.3 Giải pháp cấu tạo thiết kế
7.3 ỨNG XỬ ĐỘNG HỌC KHÔNG ĐÀN HỒI
7.3.1 Tổng quát
7.3.2 Các khớp dẻo và các đường chảy dẻo
7.4 PHÂN TÍCH TẢI TRỌNG ĐỘNG ĐẤT
7.4.1 Tổng quát
7.4.2 Các cầu một nhịp
7.4.3 Các cầu nhiều nhịp
7.4.3.1 Lựa chọn phương pháp
7.4.3.2 Phương pháp phân tích dạng đơn (đơn mốt)
7.4.3.2.1 Tổng quát
7.4.3.2.2 Phương pháp phổ dạng đơn
7.4.3.2.3 Phương pháp tải trọng rải đều
7.4.3.3 Phương pháp phân tích phổ dạng phức (đa mốt)
7.4.3.4 Phương pháp lịch sử thời gian
7.4.4 Các yêu cầu chiều rộng đỡ dầm tối thiểu
7.5 PHÂN TÍCH TẢI TRỌNG VA TẦU
8 PHÂN TÍCH THEO MÔ HÌNH VẬT LÝ
8.1 THÍ NGHIỆM TRÊN MÔ HÌNH CÓ TỶ LỆ THU NHỎ KẾT CẤU
8.2 THỬ CẦU
PHỤ LỤC- A
BẢNG TRA THIẾT KẾ BẢN MẶT CẦU
LỜI NÓI ĐẦU
TCVN 11823 - 4: 2017 được biên soạn trên cơ sở tham khảo Tiêu chuẩn thiết kế cầu theo hệ số tải trọng và sức kháng của AASHTO (AASHTO, LRFD Bridge Design Specification). Tiêu chuẩn này là một Phần thuộc Bộ tiêu chuẩn Thiết kế cầu đường bộ, bao gồm 12 Phần như sau:
- TCVN 11823-1:2017 Thiết kế cầu đường bộ - Phần 1: Yêu cầu chung
- TCVN 11823-2:2017 Thiết kế cầu đường bộ - Phần 2: Tổng thể và đặc điểm vị trí
- TCVN 11823-3:2017 Thiết kế cầu đường bộ - Phần 3: Tải trọng và Hệ số tải trọng
- TCVN 11823-4:2017 Thiết kế cầu đường bộ - Phần 4: Phân tích và Đánh giá kết cấu
- TCVN 11823-5:2017 Thiết kế cầu đường bộ - Phần 5: Kết cấu bê tông
- TCVN 11823-6:2017 Thiết kế cầu đường bộ - Phần 6: Kết cấu thép
- TCVN 11823-9:2017 Thiết kế cầu đường bộ - Phần 9: Mặt cầu và Hệ mặt cầu
- TCVN 11823-10:2017 Thiết kế cầu đường bộ - Phần 10: Nền móng
- TCVN 11823-11:2017 Thiết kế cầu đường bộ - Phần 11: Mố, Trụ và Tường chắn
- TCVN 11823-12:2017 Thiết kế cầu đường bộ - Phần 12: Kết cấu vùi và Áo hầm
- TCVN 11823-13:2017 Thiết kế cầu đường bộ - Phần 13: Lan can
- TCVN 11823-14:2017 Thiết kế cầu đường bộ - Phần 14: Khe co giãn và Gối cầu
Tiêu chuẩn kỹ thuật thi công tương thích với Bộ tiêu chuẩn này là Tiêu chuẩn kỹ thuật thi công cầu AASHTO LRFD (AASHTO LRFD Bridge construction Specifications)
TCVN 11823 - 4: 2017 do Bộ Giao thông vận tải tổ chức biên soạn, Bộ Giao thông vận tải đề nghị, Tổng cục Tiêu chuẩn Đo lường Chất lượng thẩm định, Bộ Khoa học và Công nghệ công bố.
THIẾT KẾ CẦU ĐƯỜNG BỘ - PHẦN 4: PHÂN TÍCH VÀ ĐÁNH GIÁ KẾT CẤU
Highway Bridge Design Specification - Part 4: Structure Analysis and Evaluation
1 PHẠM VI ÁP DỤNG
Tiêu chuẩn này quy định các phương pháp phân tích thích hợp để thiết kế và đánh giá các loại cầu, nhưng chỉ giới hạn trong việc mô hình hóa kết cấu và xác định tác động của lực (hiệu ứng lực).
Nói chung, các kết cấu cầu được phân tích trên cơ sở vật liệu đàn hồi. Tuy nhiên tiêu chuẩn cho phép phân tích không đàn hồi hoặc phân bố lại hiệu ứng lực trong một số kết cấu nhịp dầm liên tục. Tiêu chuẩn quy định phân tích không đàn hồi đối với các cấu kiện chịu nén làm việc ở trạng thái không đàn hồi và được coi như là một trường hợp của các trạng thái giới hạn đặc biệt.
Có thể sử dụng các phương pháp phân tích khác dựa trên cơ các tính chất vật liệu được quy định trong tiêu chuẩn đồng thời thỏa mãn điều kiện cân bằng và tính tương hợp.
2 KÝ HIỆU
Các ký hiệu sử dụng trong tiêu chuẩn này được liệt kê trong Bảng 1
Bảng 1- Các ký hiệu
| Ký hiệu | Đơn vị | Mô tả | Điều viện dẫn |
| A | mm2 | diện tích dầm, dầm dọc hoặc bộ phận kết cấu | 6.2.2.1 |
| As | mm2 | diện tích tổng cộng của các sườn tăng cường | 6.2.6.4 |
| As | mm2 | diện tích tổng cộng của các sườn tăng cường | 6.2.6.4 |
| a | mm | chiều dài vùng chuyển tiếp của bề rộng bản cánh dầm hữu hiệu của dầm hộp bê tông; cự ly giữa các cấu kiện tăng cứng dọc, hoặc bề rộng sườn cứng trong mặt cầu thép trực hướng | 6.2.6.2; 6.2.6.4 |
| B | mm | khoảng cách giữa các dầm ngang | 6.2.6.4 |
| b | mm | chiều dài lốp xe; bề rộng dầm; bề rộng của cấu kiện tấm; bề rộng bản cánh dầm đo về mỗi phía của bản bụng dầm | 6.2.1.8; 6.2.2.1; 6.2.6.2 |
| be | mm | bề rộng bản cánh có hiệu tương ứng với vị trí cụ thể của từng phần đoạn nhịp đang xét | 6.2.6.2 |
| bo | mm | bề rộng bản bụng dầm chiếu lên mặt phẳng trung tuyến của kết cấu nhịp cầu. | 6.2.6.2 |
| bm | mm | bề rộng bản cánh hữu hiệu cho phân đoạn phía trong của nhịp; Trường hợp đặc biệt của be | 2.6.2; 6 2.6.2 |
| bn | mm | bề rộng bản cánh có hiệu đối với các lực pháp tuyến tác dụng tại vùng neo | 6.2.6.2 |
| bs | mm | bề rộng bản cánh có hiệu tại các gối đỡ phía trong hoặc đối với bản cánh hẫng; Trường hợp đặc biệt của be | 6.2.6.2 |
| C | - | hệ số liên tục; Tham số độ cứng | 6.2.1.8; 6.2.2.1 |
| Cm | - | hệ số gradien của mômen | 5.3.2.2.1 |
| C1 | - | tham số của các gối đỡ chéo | 6.2.2.2.5 |
| D | mm | Chiều dầy bản bụng của dầm cong theo chiều ngang; Dx/Dy, bề rộng phân bố trên 1 làn | 6.2.1.8; 6.2.2.1 |
| Dx | N.mm2/mm | độ cứng chống uốn theo phương của các thanh cốt thép chủ | 6.2.1.8 |
| Dy | N.mm2/mm | độ cứng chống uốn thẳng góc với các thanh cốt thép chủ | 6.2.1.8 |
| d | mm | chiều cao của dầm hoặc dầm dọc phụ | 6.2.2.1 |
| de | mm | khoảng cách giữa bản bản bụng phía ngoài của dầm biên và mép trong của đá vỉa hoặc rào chắn giao thông | 6.2.2.1 |
| do | mm | chiều cao của kết cấu nhịp | 6.2.2.2 |
| E | MPa; mm | mô đun đàn hồi; bề rộng tương đương phân bố; bề rộng tương đương vuông góc với nhịp dầm | 5.3.2.2.1; 6.2.3; 6.2.10.2 |
| EB | MPa | mô đun đàn hồi của vật liệu dầm | 6.2.2.1 |
| ED | MPa | mô đun đàn hồi của vật liệu bản | 6.2.2.1 |
| EMOD | MPa | mô đun đàn hồi tương đương của cáp dùng tính, xét đến hiệu ứng phi tuyến | 6.3.7 |
| Espan | mm | chiều dài phân bố tương đương song song với nhịp dầm | 6.2.10.2 |
| e | mm | hệ số điều chỉnh phân bố tải trọng; khoảng cách sườn trong mặt cầu thép trực hướng | 6.2.2.1; 6.2.6.4 |
| eg | mm | khoảng cách giữa các trọng tâm của dầm và mặt cầu | 6.2.2.1 |
| fc | MPa | ứng suất tính toán (đã nhân hệ số), được hiệu chỉnh để tính các hiệu ứng lực thứ cấp | 5.3.2.2.2.1 |
| f2b | MPa | ứng suất tương ứng với M2b | 5.3.2.2.2.2 |
| GD | kN | hiệu ứng lực do tải trọng thiết kế | 6.2.2.4 |
| Gp | kN; | hiệu ứng lực do quá tải xe | 6.2.2.4 |
| g | m/s2 | gia tốc trọng trường | 6.2.2.1 |
| gm | - | hệ số phân bố hoạt tải nhiều làn xe | 6.2.2.4 |
| g1 | - | hệ số phân bố hoạt tải một làn xe | 6.2.2.4 |
| H | mm | chiều sâu từ mép trên cống đến mép mặt đường; chiều cao trung bình của kết cấu phần dưới đỡ gối đang được xét | 6.2.10.2; 7.4.4 |
| H,H1,H2 | N | thành phần nằm ngang của lực cáp | 6.3.7 |
| h | mm | bề dày của bản | 6.2.1.3 |
| I | mm4 | mô men quán tính | 5.3.2.2.2 |
| lp | mm4 | mô men quán tính cực | 6.2.2.1 |
| Is | mm4 | mô men quán tính của dải tương đương | 6.2.1.5 |
| J | mm4 | hằng số xoắn St. Venant | 6.2.2.1 |
| K | - | hệ số chiều dài có hiệu cho sườn vòm: hằng số đối với các loại kết cấu khác nhau: hệ số chiều dài có hiệu của cột | 5.3.2.2.2; 6.2.2.1; 6.2.5 |
| Kg | mm4 | tham số của độ cứng dọc | 6.2.2.1 |
| k | - | hệ số sử dụng để tính toán hệ số phân bố cho các cầu nhiều dầm | 6.2.2.1 |
| ks | N/mm | hệ số cứng của dải | 6.2.1.5 |
| L | mm | chiều dài nhịp của bản mặt cầu; chiều dài nhịp của dầm | 6.2.1.8; 6.2.2.1 |
| Las | - | ảnh hưởng do nhịp cong của dầm hộp cong theo phương ngang | 6.1.2.4.1 |
| LLDF | - | hệ số phân bố của hoạt tải theo chiều dày của nền đắp của đường, | 6.2.10.2 |
| LT | mm | chiều dài của vùng tiếp xúc song song lốp xe và nhịp, | 6.2.10.2 |
| L1 | mm | chiều dài nhịp đã được sửa đổi lấy bằng giá trị nhỏ nhất trong 2 giá trị hoặc chiều dài nhịp thực tế hoặc 18000 | 6.2.3 |
| L2 | mm | khoảng cách giữa các điểm uốn của dầm ngang | 6.2.6.4 |
| li | mm | chiều dài nhịp tương ứng | 6.2.6.2 |
| lu | mm | chiều dài tự do của thanh chịu nén; 1/2 chiều dài của sườn vòm | 5.3.2.2.2; 4.5.3.2.2.3 |
| M | N.mm/mm | mômen do hoạt tải trên kết cấu kiểu hệ mạng dầm được lấp đầy một phần hoặc toàn phần | 6.2.1.8 |
| Mc | N.mm | mô men tính toán đã nhân hệ số, được hiệu chỉnh để xét các hiệu ứng thứ cấp | 5.3.2.2.2 |
| M1b | N.mm | mô men ở đầu thanh có giá trị nhỏ hơn của thanh chịu nén do tải trọng trọng lực sinh ra không bị oằn nhiều, mang giá trị dương nếu thanh bị uốn theo đường cong một chiều, mang giá trị âm nếu bị uốn theo đường cong hai chiều | 5.3.2.2.1 |
| M2b | N.mm | mô men trên thanh chịu nén do tải trọng trọng lực tính toán (đã nhân hệ số) không bị oằn lớn tính theo phân tích khung đàn hồi bậc nhất quy ước, luôn mang giá trị dương | 5.3.2.2.2 |
| M2s | N.mm | mô men trên thanh chịu nén do tải trọng trọng lực tính toán hoặc tải trọng ngang tính toán sinh ra độ oằn lớn hơn Iu/1500, tính theo phân tích khung đàn hồi bậc nhất quy ước, luôn mang giá trị dương | 5.3.2.2.2 |
| N | mm | chiều dài chống đỡ nhỏ nhất | 7.4.4 |
| Nb | - | số dầm, dầm dọc hay dầm tổ hợp (dàn) | 6.2.2.1 |
| Nc | - | số ô ngăn trong dầm hộp bê tông | 6.2.2.1 |
| NL | - | số làn đường thiết kế | 6.2.2.1 |
| n | -- | tỷ số mô đun giữa dầm và mặt cầu | 6.2.2.1 |
| P | N | tải trọng trục xe | 6.2.1.3 |
| Pe | N | Tải trọng oằn dọc trục tới hạn Ơ le | 5.3.2.2.2 |
| Pe | N | tải trọng tới hạn (oằn dọc) Ơ le | 5.3.2.2.2 |
| Pu | N | Tải trọng tính toán (đã nhân hệ số) dọc trục | 5.3.2.2.2 |
| p | MPa | áp lực lốp xe | 6.2.1.8 |
| r | - | hệ số chiết giảm tác dụng của lực dọc trong các cầu chéo | 6.2.3 |
| S | Mm | khoảng cách của các cấu kiện đỡ; khoảng cách của các dầm hoặc bản bụng dầm (mm), | 6.2.1.3 6.2.2.1 |
| Sb | mm | khoảng cách giữa các thanh của mạng dầm | 6.2.1.3 |
| t | mm | chiều dày của bản bản cánh trong mặt cầu thép trực hướng | 6.2.6.4 |
| tg | mm | chiều dày lưới thép hoặc tấm thép hình lượn sóng | 6.2.1.1 |
| to | mm | chiều dày của lớp phủ kết cấu | 6.2.2.1 |
| ts | mm | chiều dày của bản bê tông | 6.2.2.1 |
| VLD | N | lực cắt thẳng đứng tối đa tại vị trí 3d hoặc L/4 do tải trọng bánh xe phân bố sang hai bên. | 6.2.2.2.1 |
| VLL | N | lực cắt do hoạt tải phân bố | 6.2.2.2.1 |
| VLU | N | lực cắt dọc lớn nhất tại vị trí 3d hoặc L/4 do chưa phân bố tải trọng bánh xe | 6.2.2.2.1 |
| W | mm | bề rộng từ mép tới mép của cầu | 6.2.2.1 |
| We | mm | một nửa khoảng cách các bản bụng dầm, cộng với tổng các phần hẫng | 6.2.2.1 |
| W1 | mm | bề rộng mép tới mép đã điều chỉnh của cầu, lấy bằng giá trị nhỏ nhất trong hai giá trị hoặc bề rộng thực tế hoặc 1800 mm cho nhiều làn tải, hoặc 9000 mm cho một làn tải | 6.2.3 |
| w | mm | bề rộng khổ đường | 6.2.2.2.1 |
| w(x) | N/mm | tĩnh tải danh định của kết cấu phần trên và kết cấu phần dưới | 7.4.3.2.1 |
| Wp | mm | bề rộng tấm | 6.2.1.3 |
| X | mm | khoảng cách từ tải trọng đến điểm gối tựa | 6.2.1.3 |
| Z | - | hệ số lấy bằng 1,20 trong đó nguyên lý đòn bẩy không được áp dụng, và bằng 1,0 khi nguyên lý đòn bẩy được sử dụng cho hệ số phân bố hoạt tải cho 1 làn | 6.2.2.4 |
| ∞ | Độ | góc giữa dây cáp và phương nằm ngang | 6.3.7 |
| δb | - | Hệ số phóng đại mô men hoặc ứng suất cho dạng thức uốn có kiềm chế | 5.3.2.2.2 |
| δs | - | Hệ số phóng đại mô men hoặc ứng suất cho dạng thức uốn không kiềm chế | 5.3.2.2.2 |
| θ | Độ | góc chéo | 6.2.2.1 |
| m | - | hệ số Poisson | 6.2.2.1 |
| φ | - | hệ số kháng cho nén dọc trục; | 5.3.2.2.2 |
| ϕK | - | hệ số triết giảm độ cứng 0,75 cho cấu kiện bê tông và 1,0 cho thép | 5.3.2.2.2 |
3 THUẬT NGỮ VÀ ĐỊNH NGHĨA
3.1 Phương pháp phân tích được chấp nhận (Accepted Method of Analysis)- Phương pháp phân tích tính toán cho kết quả tin cậy, không đòi hỏi việc xác minh lại và đã trở thành thông dụng trong thực tế kỹ thuật kết cấu công trình.
3.2 Nhịp cong (Arc Span) - Khoảng cách tim của các gối liền kề nhau, hoặc các điểm gối tựa khác, được đo theo phương nằm ngang dọc theo đường tim của một phần tử cong.
3.3 Tỉ số mặt cắt (Aspect Ratio) - Tỉ số giữa chiều dài và chiều rộng của hình chữ nhật
3.4 Các điều kiện biên (Boundary Conditions) - Các đặc trưng hạn chế kết cấu về liên kết gối và/hoặc tính liên tục giữa các mô hình kết cấu
3.5 Đường bao (Bounding) - Lấy 2 hoặc nhiều hơn các cực trị của các tham số để vẽ đường bao đặc trưng nhằm đạt được một thiết kế thiên về an toàn.
3.6 Góc ở tâm (Central Angle) - Góc bao giữa 2 điểm dọc theo đường tim của cầu cong đo từ tâm của đường cong như thể hiện trong Hình 1.
3.7 Phương pháp biến dạng cổ điển (Classical Deformation Method) - Phương pháp phân tích trong đó kết cấu được chia thành các thành phần mà độ cứng của chúng có thể được tính một cách độc lập. Điều kiện cân bằng và tính tương hợp giữa các thành phần được bảo đảm bằng cách xác định biến dạng tại các giao diện.
3.8 Phương pháp lực cổ điển (Classical Force Method) - Phương pháp phân tích trong đó kết cấu được chia thành các thành phần tĩnh định và tính tương hợp giữa các thành phần được bảo đảm bằng cách xác định lực tại các giao diện.
3.9 Mặt cắt dạng hộp kín (Closed-Box Section) - Một mặt cắt ngang gồm hai vách thẳng đứng hay nghiêng trong đó có ít nhất một khoang hoàn toàn kín. Mặt cắt đóng kín có hiệu quả trong việc chống xoắn do hình thành dòng ứng suất tiếp trong các vách và bản cánh.
3.10 Phương pháp giải đúng dần (Closed-Form Solution) - Một hoặc nhiều phương trình, bao gồm cả những phương trình dựa trên các chuỗi hội tụ, cho phép tính toán các hiệu ứng lực bằng việc đưa trực tiếp tải trọng và tham số của kết cấu vào phương trình.
3.11 Tính tương hợp (Compatibility) - Sự tương đương hình học của chuyển vị tại giao diện của các thành phần được nối với nhau.
3.12 Thành phần (Component) - Một đơn vị kết cấu đòi hỏi thiết kế riêng biệt, từ này đồng nghĩa với từ cấu kiện.
3.13 Phép khử dần (Condensation) - Quá trình làm giảm số phương trình phải giải bằng cách tạo mối liên hệ giữa các biến số phải khử dần nhờ việc phân tích các biến số giữ lại.
3.14 Chiều rộng của lõi (Core Width) - Chiều rộng kết cấu nhịp liền khối trừ đi phần hẫng của bản mặt cầu.
3.15 Vặn mặt cắt ngang (Cross-Section Distortion) - Sự biến dạng mặt cắt ngang của mặt cắt dạng hộp kín hoặc mặt cắt dạng ống do tải trọng xoắn
3.16 Dầm cong (Curved Girder) - Một dầm I, dầm hộp kín, hoặc dầm ống bị uốn cong theo mặt phẳng ngang
3.17 Bộ giảm chấn (Damper) - Một thiết bị truyền và giảm lực giữa các bộ phận kết cấu phần trên và/hoặc kết cấu phần trên và kết cấu phần dưới, trong khi cho phép chuyển dịch do nhiệt. Thiết bị cung cấp giảm chấn bằng cách tiêu hao năng lượng do địa chấn, phanh, hoặc tải trọng động khác.
3.18 Mặt cầu (Deck) - Cấu kiện, có hoặc không có lớp áo đường, trực tiếp chịu tải trọng của bánh xe
3.19 Hệ mặt cầu (Deck System) - Kết cấu phần trên, trong đó mặt cầu là một thể thống nhất với các cấu kiện đỡ, hoặc khi mà tác động hoặc biến dạng của các cấu kiện đỡ có ảnh hưởng đáng kể đến sự làm việc của mặt cầu.
3.20 Biến dạng (Deformation) - Sự thay đổi hình học của kết cấu do tác dụng của lực, bao gồm chuyển vị dọc trục, chuyển vị cắt hoặc xoay.
3.21 Bậc tự do (Degree-of-Freedom) - Một trong số những chuyển dịch tịnh tiến hoặc chuyển vị xoay cần thiết để xác định chuyển động của một nút. Dạng dịch chuyển của các cấu kiện và/ hoặc toàn bộ kết cấu có thể được xác định bằng số bậc tự do.
3.22 Thiết kế (Design) - Việc xác định kích thước và bố trí cấu tạo các cấu kiện và liên kết của cầu nhằm thỏa mãn các yêu cầu của các Tiêu chuẩn kỹ thuật.
3.23 Bậc tự do động (Dynamic Degree-of-Freedom) - Bậc tự do với nó khối lượng hoặc hiệu ứng của khối lượng đã được đi kèm.
3.24 Đàn hồi (Elastic) - Sự làm việc của vật liệu kết cấu trong đó tỷ lệ giữa ứng suất và biến dạng là hằng số, và khi lực thôi tác dụng thì vật liệu quay trở lại trạng thái ban đầu như khi chưa chịu tải.
3.25 Phần tử (Element) - Một phần của cấu kiện hoặc bộ phận được cấu tạo chỉ bằng một loại vật liệu.
3.26 Vùng biên (End Zone) - Vùng kết cấu không áp dụng được lý thuyết thông thường về dầm do tính gián đoạn của kết cấu và/hoặc do phân bố của tải trọng tập trung.
3.27 Trạng thái cân bằng (Equilibrium) - Trạng thái có tổng lực và mô men đối với bất kỳ điểm nào trong không gian đều bằng không.
3.28 Dầm tương đương (Equivalent Beam) - Dầm giản đơn cong hoặc thẳng chịu được cả tác động của lực xoắn và uốn.
3.29 Dải tương đương (Equivalent Strip) - Một phần tử tuyến tính nhân tạo được tách ra từ mặt cầu để phân tích, trong đó hiệu ứng của lực cực trị tính cho một đường của tải trọng bánh xe, theo phương ngang hoặc dọc, sẽ xấp xỉ bằng các tải trọng này xuất hiện thật trên mặt cầu.
3.30 Phương pháp sai phân hữu hạn (Finite Difference Method) - Phương pháp phân tích trong đó phương trình vi phân khống chế được thỏa mãn chỉ ở các điểm riêng biệt của kết cấu.
3.31 Phương pháp phần tử hữu hạn (Finite Element Method) - Phương pháp phân tích trong đó kết cấu được tách ra thành các phần tử nối với nhau tại các nút, dạng của trường chuyển vị của các phần tử được giả định, tính tương hợp một phần hoặc đầy đủ sẽ được duy trì giữa giao diện của các phần tử, và các chuyển vị nút được xác định bằng cách sử dụng nguyên lý biến đổi năng lượng hoặc phương pháp cân bằng
3.32 Phương pháp dải hữu hạn (Finite Strip Method) - Phương pháp phân tích trong đó kết cấu được chia thành các dải nhỏ song song, dạng chuyển vị của dải được giả định và tính tương hợp từng phần được duy trì giữa các giao diện của các phần tử, các tham số chuyển vị của mô hình được xác định bằng cách sử dụng nguyên lý biến đổi năng lượng hoặc phương pháp cân bằng.
3.33 Phân tích bậc nhất (First-Order Analysis) - Sự phân tích trong đó điều kiện cân bằng được xây dựng trên kết cấu không biến dạng; nghĩa là ảnh hưởng của độ võng không được đưa vào phương trình cân bằng.
3.34 Ứng suất uốn ngang bản cánh (Flange Lateral Bending Stress) - Ứng suất pháp do sự uốn ngang bản cánh
3.35 Phương pháp bản gập (Folded Plate Method) - Phương pháp phân tích trong đó kết cấu được chia thành các bản thành phần và cả hai yêu cầu về điều kiện cân bằng và tính tương hợp được thỏa mãn tại các giao diện giữa các phần tử.
3.36 Vết bánh xe (Footprint) - Diện tích tiếp xúc giữa bánh xe và mặt đường
3.37 Hiệu ứng lực (Force Effect) - Biến dạng, ứng suất hoặc hợp lực, có nghĩa là lực dọc trục, lực cắt, mô men uốn và mô men xoắn gây ra do tải trọng tạo nên biến dạng hoặc thay đổi thể tích.
3.38 Nền móng (Foundation) - Cấu kiện đỡ có được sức kháng bằng cách truyền tải trọng của nó lên nền đất hoặc nền đá.
3.39 Hiệu ứng khung (Frame Action) - Tính liên tục ngang giữa bản mặt cầu và bản bụng của mặt cắt ngang rỗng hoặc giữa bản mặt cầu với các cấu kiện chịu lực chính của các cầu rộng.
3.40 Hiệu ứng khung đối với gió (Frame Action for Wind) - Sự uốn ngang của bản bụng dầm và của phần giằng khung nếu có, nhờ vậy mà tải trọng gió ngang được truyền một phần hoặc toàn bộ lên bản mặt cầu.
3.41 Bán kính cong dầm (Girder Radius) - Bán kính của đường tâm cung tròn của một đoạn dầm cong
3.42 Sự phân tích tổng thể (Global Analysis) - Sự phân tích kết cấu như một tổng thể
3.43 Vị trí khống chế (Governing Position) - Vị trí và hướng của tải trọng tức thời để gây ra tác động cực trị của hiệu ứng lực.
3.44 Phương pháp mạng dầm tương đương (Grillage Analogy Method) - Phương pháp phân tích mà trong đó toàn bộ hoặc một phần của kết cấu phần trên được tách thành các phần tử trực hướng đại diện cho các đặc trưng của kết cấu.
3.45 Tính không đàn hồi (Inelastic) - Mọi trạng thái làm việc của kết cấu mà ở đó tỷ lệ giữa ứng suất và biến dạng không phải là một hằng số và một phần của biến dạng vẫn tồn tại sau khi dỡ tải.
3.46 Hoạt tải làn xe (Lane Live Load) - Sự tổ hợp giữa 2 trục của xe hai trục với tải trọng phân bố đều, hoặc sự tổ hợp của xe tải thiết kế với tải trọng phân bố đều theo thiết kế.
3.47 Lý thuyết biến dạng lớn (Large Deflection Theory) - Mọi phương pháp phân tích mà các ảnh hưởng của biến dạng lên hiệu ứng lực luôn luôn được xét tới.
3.48 Uốn ngang bản cánh (Lateral Flange Bending) - Sự uốn cong bản cánh theo phương vuông góc với mặt phẳng bản cánh do xoắn ngang bản cánh và/hoặc sự xoắn không đều trong cấu kiện.
3.49 Nguyên tắc đòn bẩy (Lever Rule) - Tổng mô men tĩnh tại một điểm để tính phản lực ở điểm thứ hai.
3.50 Ứng xử tuyến tính (Linear Response) - Sự làm việc của kết cấu trong đó biến dạng tỷ lệ thuận với tải trọng
3.51 Phân tích cục bộ (Local Analysis) - Sự nghiên cứu theo chiều cao mặt cắt về quan hệ ứng suất và biến dạng bên trong cấu kiện hoặc giữa các cấu kiện bằng cách sử dụng các hiệu ứng lực đã tính toán được từ những phân tích tổng thể hơn
3.52 Bộ phận, cấu kiện (Member) - Như định nghĩa về cấu kiện.
3.53 Phương pháp phân tích (Method of Analysis) - Phương pháp dùng toán học để xác định biến dạng, lực và ứng suất.
3.54 Mô hình (Model) - Sự lý tưởng hóa theo vật lý hoặc toán học của kết cấu hoặc một bộ phận của nó để phân tích.
3.55 Kết cấu liền khối (Monolithic Construction) - Các cầu một hộp thép và/hoặc một hộp bê tông kết cấu nhịp cầu bê tông đúc tại chỗ đặc hoặc rỗng, và kết cấu nhịp cầu đúc sẵn bao gồm các phần tử dọc đặc hoặc rỗng được liên kết chặt với nhau bằng cách tạo dự ứng lực căng sau theo chiều ngang.
3.56 Phương pháp M/R (M/R Method) - Một phương pháp gần đúng cho việc phân tích dầm hộp cong trong đó dầm cong được xem xét như một dầm thẳng tương đương để tính toán các hiệu ứng uốn và như một dầm giả thẳng để tính toán mô men xoắn đồng thời St.Venant do độ cong.
3.57 Mô men âm (Negative Moment) - Mô men sinh ra lực kéo tại vị trí trên cùng của một phần tử chịu uốn
3.58 Nút (Node) - Điểm mà ở đó các phần tử hữu hạn hoặc các cấu kiện của hệ mạng dầm gặp nhau. Trong phương pháp sai phân hữu hạn, nút là một điểm mà ở đó phương trình vi phân cơ bản được thỏa mãn.
3.59 ứng xử phi tuyến (Nonlinear Response) - Sự làm việc của kết cấu khi mà độ võng không tỷ lệ thuận với tải trọng do ứng suất ở trong phạm vi không đàn hồi, hoặc độ võng gây ra sự thay đổi khá lớn về hiệu ứng lực, hoặc do kết hợp cả hai tình huống trên.
3.60 Xoắn không đều (Nonuniform Torsion) - Xoắn cục bộ trong mặt cắt thành mỏng, cũng được biết đến như xoắn cong vênh, sinh ra ứng suất cắt và ứng suất pháp, và theo đó mặt cắt không còn phẳng. Thành phần kháng xoắn bên ngoài được áp dụng bởi xoắn cong vênh và xoắn St.Venant. Mỗi thành phần kháng xoắn cục bộ khác nhau dọc theo chiều dài cấu kiện, mặc dù ngoài mô men xoắn tập trung có thể không thay đổi dọc theo cấu kiện giữa hai điểm kháng xoắn lân cận. Xoắn cong vênh lớn hơn xoắn St.Venant ở cấu kiện có mặt cắt hở, trong khi xoắn St.Venant là lớn hơn xoắn cong vênh ở cấu kiện có mặt cắt kín.
3.61 Mặt cắt hở (Open Section) - Một mặt cắt không đóng kín các vách. Mặt cắt hở chống xoắn chủ yếu bởi xoắn không đồng đều do ứng suất pháp tại đầu bản cánh.
3.62 Trực hướng (Orthotropic) - Vật thể mà theo hai hoặc nhiều phương vuông góc với nhau thì có tính chất vật lý khác nhau.
3.63 Tim nút dàn (Panel Point) - Điểm mà ở đó đường tim của các cấu kiện giao nhau, thường gặp ở dàn, vòm, cầu dây văng và cầu dây võng.
3.64 Liên kết chốt (Pin Connection) - Liên kết giữa các cấu kiện tại một điểm bằng chốt coi như không có ma sát.
3.65 Điều kiện biên chốt (Pinned End) - Điều kiện biên cho phép quay tự do, nhưng không cho phép tịnh tiến trong mặt phẳng tác dụng.
3.66 Điểm uốn ngược (Point of Contraflexure) - Điểm mà tại đó chiều của mô men uốn thay đổi; đồng nghĩa với từ điểm uốn.
3.67 Mô men dương (Positive Moment) - Mô men sinh ra lực kéo tại vị trí dưới cùng của phần tử chịu uốn
3.68 Cấu kiện chính (Primary Member) - Một cấu kiện được thiết kế để chịu tải trọng tác dụng lên kết cấu như được xác định từ một phân tích.
3.69 Xe chuẩn xếp hạng (Rating Vehicle) - Dãy trục sử dụng như một cơ sở chung để thể hiện khả năng chịu tải của cầu.
3.70 Phương pháp phân tích chính xác (Refined Methods of Analysis) - Phương pháp phân tích kết cấu xem xét toàn bộ kết cấu phần trên như một đơn vị nguyên khối và cung cấp độ võng và tác động cần thiết.
3.71 Ngàm Giằng neo (Restrainers) - Hệ thống cáp hoặc thanh cường độ cao truyền lực giữa các cấu kiện kết cấu phần trên và/hoặc kết cấu phần trên và cấu kiện kết cấu phần dưới chịu tác dụng của địa chấn hoặc các tải trọng động khác sau khi dịch chuyển khỏi vị trí ban đầu, trong đó cho phép dịch chuyển do nhiệt.
3.72 Độ cứng (Rigidity) - Hiệu ứng lực sinh ra bởi biến dạng đơn vị tương ứng trên đơn vị chiều dài của cấu kiện.
3.73 Cấu kiện thứ cấp (Secondary Member) - Một cấu kiện mà ứng suất thường không được đánh giá khi phân tích
3.74 Phân tích bậc hai (Second-Order Analysis) - Phân tích trong đó điều kiện cân bằng được xây dựng dựa trên biến dạng của kết cấu, có nghĩa là, trong đó sự sai lệch vị trí của kết cấu được sử dụng trong việc viết các phương trình cân bằng.
3.75 Chuỗi hoặc Phương pháp điều hòa (Series or Harmonic Method) - Phương pháp phân tích trong đó mô hình tải trọng được phân chia thành các phần nhỏ thích hợp, những phần như vậy tương ứng với một số hạng của chuỗi vô hạn hội tụ, nhờ đó các biến dạng của kết cấu được mô tả.
3.76 Dòng ứng suất tiếp (Shear Flow) - Lực cắt trên một đơn vị chiều rộng tác động song song với các cạnh của một cấu kiện tấm
3.77 Cắt trễ (Shear Lag) - Phân bố phi tuyến của ứng suất pháp qua một cấu kiện do biến dạng bởi lực cắt.
3.78 Thiết bị truyền dẫn xung động (STU) (Shock Transmission Unit) - Một thiết bị cung cấp một liên kết cứng tạm thời giữa các cấu kiện phần trên với/hoặc cấu kiện phần trên với các cấu kiện phần dưới, chịu tác động của địa chấn, lực hãm, hoặc tải trọng động khác, trong khi cho phép chuyển dịch do nhiệt.
3.79 Góc chéo (Skew Angle) - Góc giữa đường tim của gối đỡ và đường thẳng vuông góc với tim đường.
3.80 Lý thuyết biến dạng nhỏ (Small Deflection Theory) - Cơ sở cho phương pháp phân tích mà trong đó có thể bỏ qua ảnh hưởng của biến dạng đến các hiệu ứng lực trong kết cấu.
3.81 Khoảng cách giữa các dầm (Spacing of Beams) - Khoảng cách tim tới tim của các đường gối đỡ
3.82 Mô hình dầm đốt sống (Spine Beam Model) - Mô hình phân tích cầu trong đó kết cấu phần trên được mô tả bởi một phần tử dầm đơn hoặc một loạt dầm thẳng hay các phần tử thanh dàn nằm dọc theo đường tim cầu.
3.83 Dầm phân bố (Spread Beams) - Những dầm không có tiếp xúc cơ học trực tiếp, mà dùng đỡ mặt cầu bê tông đúc tại chỗ.
3.84 Độ cứng (Stiffness) - Hiệu ứng lực phát sinh từ biến dạng đơn vị.
3.85 ứng biến (Strain) - Độ giãn dài trên một đơn vị chiều dài.
3.86 Biên độ của ứng suất (Stress Range) - Độ chênh đại số giữa các ứng suất cực trị.
3.87 Xoắn St.Venant (St. Venant Torsion) - Đó là một phần của chống xoắn cục bộ trong cấu kiện sinh ra chỉ do lực cắt thuần túy trên mặt cắt ngang, có thể gọi là xoắn thuần túy hoặc xoắn đều
3.88 Mô hình con (Submodel) -Thành phần cấu thành của mô hình kết cấu tổng thể.
3.89 Biến dạng cưỡng bức (Superimposed Deformation) - Tác động của lún, từ biến và thay đổi nhiệt độ và/hoặc độ ẩm.
3.90 Cộng tác dụng (Superposition) - Trạng thái mà hiệu ứng lực do một tải trọng có thể được thêm vào hiệu ứng lực do tải trọng khác. Việc sử dụng cộng tác dụng chỉ có giá trị khi các mối quan hệ ứng suất biến dạng tuyến tính đàn hồi và lý thuyết biến dạng nhỏ được sử dụng.
3.91 Xe Tandem (Tandem) - Xe có hai trục với trọng lượng bằng nhau, đặt kề sát nhau và nối cứng với nhau
3.92 Ứng suất điều tiết bề dày (Through-Thickness Stress) - Ứng suất uốn trong vách dầm hoặc bản cánh gây ra sự biến dạng vặn mặt cắt ngang.
3.93 Ứng suất cắt xoắn (Torsional Shear Stress) - Ứng suất cắt bao gồm xoắn St.Venant
3.94 Mặt cắt dạng ống (Tub Section) - Một mặt cắt dạng hở có nắp trong đó bao gồm một bản cánh dưới, hai vách nghiêng hoặc thẳng đứng và các bản cánh trên.
3.95 Mặt cắt không nứt (Uncracked Section) - Mặt cắt trong đó bê tông được giả định là hoàn toàn có hiệu trong kéo và nén
3.96 Phương pháp tải trọng-V (V-Load Method) - Một phương pháp gần đúng cho việc phân tích cầu dầm l-cong trong đó dầm cong được coi tương đương dầm thẳng và ảnh hưởng của độ cong được biểu diễn bởi lực dọc và ngang tác dụng tại các vị trí khung giằng. Uốn ngang bản cánh tại điểm giằng do độ cong được ước tính.
3.97 Ứng suất tiết lưu do chiều dày (Warping Stress) - Ứng suất pháp trên mặt cắt do xoắn cong vênh và/hoặc do sự biến dạng vặn của mặt cắt
3.98 Tải trọng bánh xe (Wheel Load) -Một nửa của tải trọng thiết kế của trục xe.
3.99 Đường chảy dẻo (Yield Line) - Đường khớp nối dẻo.
3.100 Phương pháp đường chảy dẻo (Yield Line Method) - Phương pháp phân tích trong đó một số đồ thị đường chảy dẻo có thể có được xem xét để xác định khả năng chịu tải trọng.
4 CÁC PHƯƠNG PHÁP PHÂN TÍCH KẾT CẤU ĐƯỢC CHẤP NHẬN
Khi thiết kế, được sử dụng bất cứ phương pháp phân tích kết cấu nào thỏa mãn các yêu cầu về điều kiện cân bằng với tính tương hợp và sử dụng được mối liên hệ ứng suất - biến dạng cho loại vật liệu đang xét, chúng bao gồm các phương pháp sau:
• Phương pháp chuyển vị và phương pháp lực cổ điển,
• Phương pháp sai phân hữu hạn,
• Phương pháp phần tử hữu hạn,
• Phương pháp bản gấp khúc,
• Phương pháp dải băng hữu hạn,
• Phương pháp tương tự mạng dầm,
• Phương pháp chuỗi hoặc các phương pháp điều hòa khác,
• Phương pháp dựa trên sự hình thành các chốt dẻo, và
• Phương pháp đường chảy dẻo.
Tổ chức thiết kế có trách nhiệm sử dụng các chương trình máy tính có bản quyền để dễ phân tích kết cấu cũng như sử dụng các kết quả và giải trình.
Trong tài liệu tính toán và báo cáo thiết kế cần chỉ rõ tên, phiên bản và ngày phần mềm được đưa vào sử dụng
5 MÔ HÌNH TOÁN HỌC
5.1 TỔNG QUÁT
Các mô hình toán học phải bao gồm tải trọng, đặc trưng hình học và tính năng vật liệu của kết cấu, và khi thấy thích hợp, cả những đặc trưng ứng xử của móng. Trong việc lựa chọn mô hình, phải dựa vào các trạng thái giới hạn đang xét, định lượng hiệu ứng lực đang xét và độ chính xác yêu cầu.
Việc xem xét đến sự làm việc liên hợp của các lan can rào chắn lan can liên tục phải hạn chế chỉ xét trong các trạng thái giới hạn khai thác và trạng thái giới hạn mỏi và trong đánh giá kết cấu, trừ khi quy định cho phép khác.
Không xét đến độ cứng của các lan can, dải tường phân cách giữa và các lan can giao thông không liên tục theo kết cấu trong khi phân tích kết cấu.
Phải mô tả thích hợp đặc trưng của đất và/hoặc đá nền móng cầu trong mô hình toán học của nền móng.
Khi thiết kế về động đất, phải xét đến sự chuyển động tổng thể và sự hóa lỏng của đất.
Nếu gối bị nâng lên khi kết cấu làm việc, thì phải mô tả độ tự do theo phương thẳng đứng của dầm tại vị trí gối khi phân tích.
5.2 SỰ LÀM VIỆC CỦA VẬT LIỆU KẾT CẤU
5.2.1 Đàn hồi và không đàn hồi
Khi phân tích phải xét vật liệu của kết cấu làm việc tuyến tính cho đến giới hạn đàn hồi rồi sau đó làm việc không đàn hồi.
Đối với các tác động ở trạng thái giới hạn đặc biệt có thể xét trong phạm vi cả đàn hồi và không đàn hồi.
5.2.2 Sự làm việc đàn hồi
Tính chất và các đặc tính của vật liệu đàn hồi phải phù hợp với các quy định trong các Phần 5 và 6 bộ tiêu chuẩn này. Sự thay đổi các giá trị này do phát triển cường độ của bê tông theo tuổi và các tác động của môi trường cần được đưa vào mô hình thích hợp.
Các đặc trưng độ cứng của bê tông và các bộ phận liên hợp phải dựa trên các mặt cắt bị nứt và/hoặc không bị nứt tùy theo trạng thái làm việc của kết cấu dự kiến. Độ cứng của cầu dầm bản có thể dựa trên sự tham gia toàn phần của bản mặt cầu bằng bê tông.
5.2.3 Sự làm việc không đàn hồi
Các mặt cắt của cấu kiện có khả năng phát triển biến dạng không đàn hồi phải được chỉ rõ là có thể biến dạng dẻo bằng sự bao cốt thép đai hoặc bằng cách khác. Khi sử dụng phép phân tích không đàn hồi thì phải xác định cơ cầu phá hủy dự tính trước và các vị trí khớp sẽ xuất hiện: Trong phân tích kết cấu phải xác nhận rằng sự phá hủy do cắt, do mất ổn định khi uốn dọc và do mất dính kết trong các bộ phận kết cấu chỉ xảy ra sau khi hình thành cơ cấu không đàn hồi khi uốn. Cần xét đến sự chịu tải quá mức dự kiến của cấu kiện mà trong đó khớp dẻo sẽ hình thành. Phải xét đến sự phá vỡ tính nguyên vẹn về hình học của kết cấu do các biến dạng lớn.
Mô hình không đàn hồi phải dựa trên kết quả thử nghiệm vật lý hoặc dựa trên mối quan hệ tải trọng - biến dạng thu được bằng thí nghiệm. Ở vị trí có thể xuất hiện sự làm việc không đàn hồi (phát sinh chốt dẻo) bằng biện pháp cốt thép đai thì các mẫu thử phải bao gồm cả các phần tử tạo ra các hạn chế đó. Ở vị trí nội lực cực trị được dự kiến là lặp lại thì việc thử nghiệm cần phản ánh bản chất chu kỳ của chúng.
Ngoại trừ những chỗ được ghi chú, ứng suất và biến dạng phải dựa trên sự phân bố tuyến tính của ứng biến trong mặt cắt ngang của cấu kiện hình lăng trụ. Phải xét đến biến dạng do cắt của các cấu kiện cao. Không được vượt quá giới hạn ứng biến của bê tông, như quy định trong Phần 5 bộ tiêu chuẩn này.
Phải xét sự làm việc không đàn hồi của các cấu kiện chịu nén tại bất cứ chỗ nào thích hợp.
5.3 HÌNH HỌC
5.3.1 Lý thuyết biến dạng nhỏ
Nếu biến dạng của kết cấu không tạo ra sự thay đổi đáng kể của nội lực do sự tăng độ lệch tâm của các lực kéo hoặc nén thì có thể bỏ qua nội lực phụ thêm này.
5.3.2 Lý thuyết biến dạng lớn
5.3.2.1 Tổng quát
Nếu biến dạng của kết cấu gây ra thay đổi đáng kể về hiệu ứng lực thì phải xét các tác động của biến dạng trong các phương trình về điều kiện cân bằng.
Ảnh hưởng của biến dạng và trục cong của các cấu kiện phải được xét khi phân tích về ổn định và các phân tích về biến dạng lớn.
Đối với các cấu kiện bê tông mảnh chịu nén, trong phân tích phải xem xét các tính chất vật liệu phụ thuộc vào thời gian và ứng suất gây ra những thay đổi đáng kể về hình học kết cấu.
Các hiệu ứng tương tác của các lực nén và kéo dọc trục trong các cấu kiện liền kề nhau phải được xem xét khi phân tích về khung và giàn.
Phải dùng tải trọng tính toán và không áp dụng nguyên lý cộng tác dụng của hiệu ứng lực trong phạm vi không tuyến tính. Thứ tự đặt tải trọng trong phân tích không tuyến tính phải theo đúng thứ tự đặt tải thực tế trên cầu.
5.3.2.2 Các phương pháp tính xấp xỉ
5.3.2.2.1 Tổng quát
Khi trong Phần 5 và 6 bộ tiêu chuẩn này quy định cho phép, các ảnh hưởng của biến dạng đối với hiệu ứng lực trên các cột kiểu dầm (cột chịu nén lệch tâm) và các vòm thỏa mãn các quy định của Bộ Tiêu chuẩn này, có thể tính xấp xỉ bằng phương pháp điều chỉnh bước đơn, thường gọi là phương pháp khuyếch đại mô men.
5.3.2.2.2 Áp dụng phương pháp khuyếch đại mô men tính cột chịu nén lệch tâm
Mô men hoặc ứng suất tính toán có thể được tăng lên để phản ánh hiệu ứng của biến dạng như sau:
Mc=δbM2b + δsM2s (1)
fc=δbf2b + δsf2s (2)
trong đó:
(3)
(4)
ở đây:
M2b = mô men trên thanh (cấu kiện) chịu nén do tải trọng trọng lực tính toán (đã nhân hệ số) mà không dẫn đến oằn đáng kể được tính toán bằng phương pháp thanh đàn hồi bậc nhất thông thường, luôn luôn dương (N.mm)
M2s = mô men trên thanh chịu nén do lực ngang tính toán hoặc tải trọng trọng lực tính toán (đã nhân hệ số) mà gây ra độ oằn, Δ lớn hơn λu/1500, được tính bằng phương pháp phân tích thanh đàn hồi bậc nhất thông thường, luôn luôn dương (N.mm).
f2b = ứng suất tương ứng với M2b (MPa)
f2s = ứng suất tương ứng với M2s (MPa)
Pu = tải trọng tính toán (đã nhân hệ số) dọc trục (N)
ϕk = hệ số triết giảm độ cứng; 0,75 cho cấu kiện bê tông và 1,0 cho cấu kiện thép
Pe = tải trọng uốn dọc tới hạn Ơle (N)
Đối với cột bê tông thép liên hợp tải trọng uốn dọc tới hạn Ơ le, Pe phải được xác định theo quy định trong Điều 9.5.1 Phần 6 bộ tiêu chuẩn này. Với tất cả các trường hợp khác, Pe phải lấy như sau:
(5)
trong đó:
λu = chiều dài tự do của thanh chịu nén (mm)
K = hệ số chiều dài có hiệu lấy theo Điều 6.2.5. Đối với tính toán δb, Pe phải dựa trên hệ số K đối với thanh có giằng, đối với tính toán δs, Pe sẽ được dựa trên hệ số K đối với thanh không giằng
E = mô đun đàn hồi (MPa)
I = mô men quán tính đối với trục đang xét (mm4)
Đối với các thanh bê tông chịu nén, phải theo các quy định trong Điều 7.4.3 Phần 5 bộ tiêu chuẩn này.
Đối với các thanh giằng chống oằn, δs lấy giá trị 1,0 trừ khi phân tích cho thấy có thể sử dụng giá trị nhỏ hơn. Với các thanh không có giằng chống oằn, phải xác định δb như đối với các thanh được giằng và xác định δs như đối với các thanh không được giằng.
Đối với các thanh có giằng chống oằn và không có tải trọng ngang giữa các gối tựa, Cm có thể lấy như sau:
(6)
trong đó:
M1b = mô men tính toán tại đầu mút bé hơn
M2b = mô men tính toán tại đầu mút lớn hơn
Tỉ số M1b/M2b được coi là dương nếu cấu kiện bị uốn theo độ cong một chiều và âm nếu nó bị uốn theo độ cong hai chiều.
Với tất cả các trường hợp khác, Cm phải được lấy bằng 1,0.
Trong các kết cấu không được giằng chống oằn, các cấu kiện chịu uốn và các phần móng tạo thành khung, cấu kiện chịu nén phải được thiết kế để chịu tổng các mô men đầu mút của cấu kiện chịu nén tại điểm nối.
Khi các cấu kiện chịu nén bị uốn theo cả hai trục chính, mô men tại mỗi trục phải được nhân với δ, được xác định từ các điều kiện hạn chế tương ứng đối với trục đó.
Khi nhóm các cấu kiện chịu nén trên một cao độ bao gồm mố kiểu khung hoặc khi chúng được nối chắc chắn với cùng một kết cấu phần trên và tất cả cùng chống sự oằn của kết cấu, giá trị của δs phải được tính cho một nhóm cấu kiện với ∑Pu và ∑Pe tương đương với tổng của tất cả các cột trong nhóm.
5.3.2.2.3 Áp dụng phương pháp khuyếch đại mô men để tính kết cấu vòm
Mô men do hoạt tải và lực xung kích đã tính được nhờ phép phân tích biến dạng nhỏ phải được tăng lên bằng hệ số khuyếch đại mô men, δb, như chỉ ra trong Điều 5.3.2.2.2, với các thông số được định nghĩa sau:
λu = 1/2 chiều dài của sườn vòm (mm)
K = hệ số chiều dài có hiệu như chỉ ra trong Bảng 2
Cm = 1,0
Bảng 2- Giá trị K cho chiều dài có hiệu của các sườn vòm
| Tỉ lệ | Vòm | Vòm | Vòm ngàm |
| Đường tên vòm / nhịp | 3 khớp | 2 khớp | cứng |
| 0,1 - 0,2 | 1,16 | 1,04 | 0,70 |
| 0,2 - 0,3 | 1,13 | 0,70 | 0,70 |
| 0,3 - 0,4 | 1,16 | 1,16 | 0,72 |
5.3.2.3 Các phương pháp chính xác
Các phương pháp phân tích chính xác phải được dựa trên khái niệm về các lực thỏa mãn điều kiện cân bằng tại vị trí biến dạng.
5.4 CÁC ĐIỀU KIỆN BIÊN CỦA MÔ HÌNH
Các điều kiện biên phải thể hiện được các đặc tính của gối tựa và tính liên tục.
Phải mô hình hóa các điều kiện của móng sao cho thể hiện được các tính chất của đất nằm dưới móng cầu, tác dụng tương tác của cọc với đất và các tính chất đàn hồi của cọc.
5.5 CẤU KIỆN TƯƠNG ĐƯƠNG
Có thể mô hình hóa các cấu kiện không có dạng hình lăng trụ bằng cách chia nhỏ các thành phần thành một số các phần tử thanh có đặc trưng về độ cứng đại diện cho kết cấu thực tế tại vị trí của cấu kiện.
Có thể mô hình hóa các cấu kiện hoặc các nhóm cấu kiện của các cầu có hoặc không có mặt cắt thay đổi như một cấu kiện đơn tương đương, miễn là thể hiện tất cả các đặc trưng về độ cứng của các cấu kiện hoặc các nhóm cấu kiện. Các đặc trưng về độ cứng tương đương có thể đạt được bằng các phương pháp giải có nghiệm đóng, tích phân số, phân tích mô hình con, phương pháp chuỗi và tương tự song song.
6 PHÂN TÍCH TĨNH HỌC
6.1. ẢNH HƯỞNG CỦA KÍCH THƯỚC HÌNH HỌC
6.1.1 Tỷ số mặt cắt phẳng
Nếu chiều dài nhịp của kết cấu phần trên với các mặt cắt kín cứng chịu xoắn vượt quá 2,5 lần chiều rộng của nó, thì kết cấu phần trên đó có thể được lý tưởng hóa như dầm giản đơn. Các định nghĩa về kích thước sau đây phải được dùng để áp dụng tiêu chuẩn này:
• Bề rộng: - lấy bằng bề rộng phần lõi của bản mặt cầu liền khối hoặc khoảng cách trung bình giữa các mặt ngoài của các bản bụng phía ngoài.
• Chiều dài đối với các cầu gối tựa giản đơn, hình chữ nhật: - khoảng cách giữa các khe mối nối của bản mặt cầu, hoặc
• Chiều dài đối với các cầu liên tục và/hoặc cầu chéo: - chiều dài của cạnh dài nhất của hình chữ nhật mà có thể vẽ được trong mặt bằng của bề rộng của nhịp bé nhất, như định nghĩa ở đây.
• Giới hạn tỷ lệ chiều dài với chiều rộng nói trên không áp dụng cho dầm hộp nhiều ngăn đúc tại chỗ của các cầu dầm hộp bê tông.
6.1.2 Các kết cấu cong trong mặt bằng
6.1.2.1 Tổng quát
Phân tích cơ học của toàn bộ kết cấu phần trên để xác định mômen, lực cắt, và các hiệu ứng lực khác dùng cho thiết kế kích thước các cấu kiện của kết cấu phần trên. Phân tích mặt cắt với trục không đối xứng cần xem xét vị trí tương đối của trọng tâm và tâm xoắn. Kết cấu phần dưới được xem xét mô tả trong mô hình tính tổng thể với kết cấu phần trên trong trường hợp các mố của cầu tích hợp (mố tương tác với đất đầu cầu), các trụ, hoặc trụ khung.
Toàn bộ kết cấu phần trên, bao gồm gối, sẽ được xem xét như là một đơn vị kết cấu thống nhất. Điều kiện biên sẽ được thể hiện bằng các các khớp tại gối và/hoặc các liên kết cứng dùng trong thiết kế. Phân tích này có thể dựa trên lý thuyết đàn hồi biến dạng nhỏ, trừ khi có các phương pháp tiếp cận chặt chẽ hơn để cần có kết quả chính xác hơn.
Khi phân tích phải xem xét việc định hướng gối và neo giữ gối do kết cấu phần dưới đảm nhiệm. Những hiệu ứng tải trọng phải được xem xét trong thiết kế gối, khung giằng ngang, vách ngăn, thanh giằng và bản mặt cầu.
Sự vặn của mặt cắt ngang không cần phải được xem xét trong phân tích kết cấu. Tác dụng lực ly tâm sẽ được xem xét theo Điều 6.3 Phần 3 bộ tiêu chuẩn này.
6.1.2.2 Kết cấu nhịp dầm đơn cứng chịu xoắn
Trừ các cầu dầm hộp bê tông cốt thép, kết cấu nhịp dầm đơn cong trong mặt bằng, cứng chịu xoắn thỏa mãn điều kiện của Điều 6.1.1, có thể được phân tích nội lực kết cấu tổng thể theo mô hình dầm đốt sống cong.
Vị trí đường tim của loại dầm này phải lấy theo đường đi qua trọng tâm của mặt cắt, và phải tính độ lệch tâm của tải trọng bản thân bằng cách xem xét thể tích.
6.1.2.3 Cầu dầm hộp bê tông
Các cầu dầm hộp bêtông dạng cong bằng có thể được thiết kế với các phân đoạn thẳng có các góc ở tâm lên tới 12° trong một nhịp, trừ khi có những lo ngại về hiệu ứng tải trọng khác.
Kết cấu phần trên cầu dầm hộp bê tông thi công không phân đoạn dang cong bằng có thể được phân tích và thiết kế hiệu ứng lực tổng thể theo mô hình dầm đốt sống trục đơn gồm các phân khúc thẳng, với các góc ở tâm lên tới 34° độ trong một nhịp như thể hiện trong Hình 1, trừ khi có những lo ngại về hiệu ứng tải trọng khác. Vị trí tim dầm được lấy tại trọng tâm mặt cắt ngang, và độ lệch tâm của tĩnh tải được xác định bởi xem xét theo thể tích. Đối với kết cấu phần dưới liền khối với kết cấu phần trên, các phần tử kết cấu phần dưới phải mô tả trong mô hình tính và phải xem xét mất mát dự ứng lực bởi ma sát do đường cong bằng hoặc do cáp chuyển hướng.

Hình 1- Định nghĩa góc ở tâm
Kết cấu phần trên dầm hộp bê tông thi công phân đoạn dạng cong bằng đáp ứng yêu cầu tại Điều 6.1.1, và góc ở tâm của một nhịp trong khoảng giữa 12° và 34° có thể được phân tích theo mô hình dầm đốt sống trục dầm đơn bao gồm các phân khúc thẳng miễn là không phân khúc nào có góc ở tâm lớn hơn 3,5° như miêu tả ở Hình 2. Đối với kết cấu phần dưới liền khối sẽ sử dụng mô hình ba chiều thích hợp với kết cấu. Sự phân phối lại lực do đặc tính thay đổi theo thời gian của bêtông phải được tính toán.
Đối với cả hai loại dầm hộp thi công phân đoạn và không phân đoạn có góc ở tâm vượt quá 34° trong phạm vi một nhịp hoặc với các cầu có góc ở tâm vượt quá 12°, thì phải phân tích cầu với mô hình ba chiều 6 bậc tự do.

Hình 2 - Mô hình trục dầm 3 chiều của cầu dầm hộp bê tông trong đường cong
6.1.2.4 Kết cấu phần trên nhiều dầm thép
6.1.2.4.1 Tổng quát
Kết cấu phần trên dạng cong bằng có thể được phân tích như lưới hoặc miền liên tục trong đó các phân đoạn của dầm dọc được giả định là thẳng giữa các nút. Độ lệch tâm thực tế giữa các phân khúc không được vượt quá 2,5% chiều dài của phân khúc.
6.1.2.4.2 Dầm - I
Ảnh hưởng của độ cong tới sự ổn định được xem xét cho tất cả các dầm l-cong.
Khi cầu dầm I đáp ứng 4 điều kiện sau đây, ảnh hưởng của độ cong có thể được bỏ qua trong phân tích để xác định mô men uốn trục chính và lực cắt dọc:
• Các dầm đồng tâm
• Đường nối tim gối không được lệch quá 10° với đường xuyên tâm
• Độ cứng của các dầm là như nhau
• Đối với tất cả các nhịp, nhịp cong được chia bởi các bán kính dầm bằng đơn vị mm nhỏ hơn 0,06 bán kính, trong đó nhịp dầm cong, Las, sẽ được lấy như sau:
Với nhịp giản đơn:
Las= chiều dài cung dầm (mm)
Với nhịp cuối của dầm liên tục:
Las= 0,9 lần chiều dài cung dầm (mm)
Với các nhịp trong của dầm liên tục:
Las= 0,8 lần chiều dài cung dầm (mm)
Một dầm I trong cầu đáp ứng các tiêu chí này có thể được phân tích như một dầm thẳng với chiều dài nhịp bằng chiều dài cung. Hiệu ứng uốn ngang của bản cánh được xác định bằng phương pháp gần đúng và được xem xét trong thiết kế.
Khung ngang hoặc vách ngăn được thiết kế theo Điều 7.4 và Điều 13 Phần 6 bộ tiêu chuẩn này với các lực được tính toán hợp lý. Khoảng cách khung ngang được bố trí hợp lý để hạn chế uốn bản cánh trong các dầm.
6.1.2.4.3 Dầm hộp kín và dầm mặt cắt hình chậu
Ảnh hưởng của độ cong tới cường độ và sự ổn định sẽ được xem xét cho tất cả dầm hộp cong.
Trường hợp cầu dầm hộp đáp ứng ba điều kiện sau đây, ảnh hưởng của độ cong có thể được bỏ qua trong phân tích để xác định mô men uốn trục chính và lực kéo uốn:
• Các dầm đồng tâm
• Gối không chéo, và
• Đối với tất cả các nhịp, nhịp cong (tính theo cung) được chia bởi bán kính dầm nhỏ hơn 0,3 radian, và chiều cao dầm nhỏ hơn bề rộng hộp tại giữa chiều cao nhịp cong, Las được lấy theo Điều 6.1.2.4.2
Một dầm hộp trong kết cấu cầu đáp ứng các tiêu chí này có thể được phân tích như một dầm thẳng với chiều dài nhịp bằng chiều dài cung. Hiệu ứng uốn ngang bản cánh nên được tìm từ phương pháp gần đúng thích hợp và xem xét trong thiết kế.
Kết cấu khung ngang hoặc vách ngăn được thiết kế phù hợp với các quy định theo Điều 7.4 và Điều 13 Phần 6 bộ tiêu chuẩn này và các cấu kiện giằng ngang sẽ được thiết kế phù hợp với Điều 7.5 và Điều 13 Phần 6 bộ tiêu chuẩn này cho các thành phần lực được tính toán bằng phương pháp hợp lý.
6.2 CÁC PHƯƠNG PHÁP PHÂN TÍCH GẦN ĐÚNG
6.2.1 Mặt cầu
6.2.1.1 Tổng quát
Phương pháp phân tích gần đúng trong đó mặt cầu được chia thành những dải nhỏ vuông góc với các cấu kiện đỡ phải được xem như chấp nhận được đối với các mặt cầu không phải là:
• loại mạng bản thép được lấp bê tông đầy một phần hoặc toàn phần, với loại này phải áp dụng các quy định trong Điều 6.2.1.8.
• bản mặt của dầm hộp thi công phân đoạn, với loại này phải áp dụng các quy định của Điều 6.2.9.4
Khi áp dụng phương pháp dải thì phải lấy mô men dương cực trị trong bất cứ khoang sàn giữa các dầm để áp dụng cho tất cả các vùng có mô men dương. Tương tự phải lấy mô men âm cực trị trên bất cứ dầm nào để áp dụng cho tất cả các vùng có mô men âm.
6.2.1.2 Khả năng áp dụng
Đối với những loại mặt cầu bằng cấu kiện chế tạo sẵn, có thể được phép dùng các công cụ trợ giúp thiết kế thay cho phân tích kết cấu, nếu tính năng của tấm bản mặt cầu đã được lập thành hồ sơ và có những luận cứ kỹ thuật thoả đáng.
Đối với các cầu bản và các bản bê tông có nhịp lớn hơn 4600mm và có hướng nhịp tính toán là song song với hướng xe chạy, phải áp dụng Điều 6.2.3.
6.2.1.3 Bề rộng của các dải tương đương bên trong
Có thể lấy bề rộng dải tương đương của mặt cầu theo Bảng 3. Khi kết cấu nhịp cầu chủ yếu đặt theo hướng song song với hướng xe chạy, các dải nhỏ đỡ tải trọng trục xe không được lấy lớn hơn 1000mm cho hệ mạng bản thép kiểu hở, và không được lấy lớn hơn 3600mm cho tất cả các loại mặt cầu khác mà ở đó xét việc chất tải trọng lên nhiều làn. Đối với phần hẫng của mặt cầu, khi thích hợp, có thể sử dụng các quy định trong Điều 6.1.3.4 Phần 3 bộ tiêu chuẩn này để thay thế bề rộng dải như nêu trong Bảng 3 cho phần hẫng của mặt cầu. Các dải tương đương cho mặt cầu mà có nhịp dài chủ yếu vượt qua theo hướng ngang thì không được giới hạn bề rộng.
Bảng 3 - Các dải tương đương
| Loại kết cấu nhịp cầu | Hướng của dải chính liên quan tới giao thông | bề rộng của dải chính |
| Bê tông: |
|
|
| • Đúc tại chỗ | Phần hẫng Hoặc song song hoặc vuông góc | 1140 + 0,833X* + M: 660 + 0,55S - M: 1220 + 0,25S |
| • Đúc tại chỗ có ván khuôn bằng bê tông để lại vĩnh viễn | Hoặc song song hoặc vuông góc | + M: 660 + 0,55S - M: 1220 + 0,25S |
| • Đúc sẵn, căng sau | Hoặc song song hoặc vuông góc | + M: 660 + 0,55S - M: 1220 + 0,25S |
| Thép: |
|
|
| • Hệ mạng bản thép hở | Các dầm chủ chịu lực | 0,007P + 4,0Sb |
| • Hệ mạng bản thép lấp bê tông một phần hoặc toàn phần | Các dầm chủ chịu lực | áp dụng Điều 6.2.1.8 |
| • Hệ mạng bản thép không lấp bê tông, liên hợp | Các dầm chủ chịu lực | áp dụng Điều 6.2.1.8 |
| Các ký hiệu dùng trong Bảng như sau: S = khoảng cách của các cấu kiện đỡ (mm) h = bề dày bản (mm) L = chiều dài nhịp của bản (mm) P = tải trọng trục xe (N) Sb = khoảng cách của các thanh trong hệ mạng dầm (mm) +M = mô men dương -M = mô men âm X = khoảng cách từ tải trọng đến điểm gối tựa (mm) | ||
6.2.1.4 Bề rộng dải tương đương tại các mép của bản
6.2.1.4.1 Tổng quát
Khi thiết kế, phải xem như có dầm mép biên quy ước là một chiều rộng dải băng quy giảm được quy định dưới đây. Bất kỳ gờ tăng chiều dày cục bộ nào gắn liền với nó hay bộ phận nhô ra có tác dụng tăng cứng cho bản mặt cầu nằm trong bề rộng dải bản quy giảm có thể được coi là cùng làm việc với bề rộng dải quy giảm như các dầm biên qui ước.
6.2.1.4.2 Các mép dọc
Dầm gờ mép được coi là chịu lực một hàng bánh xe và khi thích hợp, một phần nhánh của tải trọng làn thiết kế.
Khi mặt cầu chủ yếu có nhịp bắc theo hướng xe chạy, bề rộng có hiệu của dải, có hoặc không có gờ biên, có thể được lấy giá trị bằng tổng của: Khoảng cách giữa mép của bản với bề mặt trong của lan can giao thông, cộng với 300 mm và cộng với 1/4 bề rộng của dải như trong Điều 6.2.1.3 hoặc 6.2.10, một cách phù hợp,nhưng không quá 1/2 chiều rộng toàn bộ dải hoặc 1800 mm.
6.2.1.4.3 Các mép ngang
Dầm ngoài được coi là chịu lực một trục của xe tải thiết kế trong một hoặc nhiều làn thiết kế, được định vị trí để tạo ra các hiệu ứng lực lớn nhất. Hệ số làn xe và tải trọng xung kích được áp dụng.
Bề rộng có hiệu của dải, có hoặc không có dầm biên có thể được lấy bằng tổng của: khoảng cách giữa mép ngang của bản và đường trục của gối, thường là bản bụng dầm cộng với 1/2 bề rộng của dải như trong Điều 6.2.1.3, nhưng không vượt quá bề rộng dải tổng cộng, như Điều 6.2.1.3.
6.2.1.5 Phân bố tải trọng bánh xe
Nếu khoảng cách của các cấu kiện đỡ theo hướng phụ vượt quá 1,5 lần khoảng cách theo hướng chính, tất cả tải trọng bánh xe phải coi như được đặt lên dải chính, và các quy định trong Điều 7.3.2 Phần 9 bộ tiêu chuẩn này có thể được áp dụng cho hướng phụ.
Nếu khoảng cách của các cấu kiện đỡ theo hướng phụ nhỏ hơn 1,5 lần khoảng cách theo hướng chính, thì mặt cầu phải được mô hình hóa như 1 hệ các dải giao nhau.
Bề rộng của các dải tương đương theo cả hai hướng có thể được lấy như trong Bảng 3. Mọi tải trọng bánh xe sẽ được phân bố giữa 2 dải giao nhau. Sự phân bố phải được xác định bằng tỉ số giữa độ cứng của dải và tổng của các độ cứng của các dải giao nhau. Nếu không có sự tính toán chính xác hơn thì độ cứng của dải có thể được ước lượng như sau:
(7)
trong đó:
Is = mô men quán tính của dải tương đương (mm4)
S = khoảng cách giữa các cấu kiện đỡ (mm)
6.2.1.6 Tính toán các hiệu ứng lực
Các dải bản mặt cầu phải được coi như các dầm liên tục hoặc dầm đơn giản. Chiều dài nhịp phải được lấy bằng khoảng cách tim đến tim giữa các cấu kiện đỡ. Nhằm xác định hiệu ứng lực trong các dải, các cấu kiện đỡ phải được giả thiết là cứng vô hạn.
Các tải trọng bánh xe có thể được mô hình hóa dưới dạng tải trọng tập trung hoặc dạng tải trọng vệt mà chiều dài dọc theo nhịp sẽ là chiều dài của diện tích tiếp xúc của lốp xe được quy định trong Điều 6.1.2.5 Phần 3 bộ tiêu chuẩn này, cộng với chiều cao của bản mặt cầu. Các dải cần được phân tích bằng lý thuyết dầm cổ điển
Mặt cắt thiết kế cho các mô men âm và lực cắt có thể được lấy tại các vị trí như sau:
- Đối với dầm bê tông đúc liền khối, hộp thép kín, hộp bê tông kín, hộp bê tông hở không bản cánh trên, và dầm có sườn đúc sẵn, như Mặt cắt ngang (b), (c), (d), (e), (f), (g), (h), (i), và (j) trong Bảng 4, ở mặt cấu kiện đỡ bản mặt cầu,
- Đối với dầm thép I và dầm hình máng thép, như mặt cắt ngang (a) and (c) trong Bảng 4., ở 1/4 bề rộng bản cánh dầm kể từ đường tim của cấu kiện đỡ,
- Đối với dầm I bê tông đúc sẵn và dầm bê tông mặt cắt hở có bản cánh trên, như mặt cắt ngang (c) và (k) trong Bảng 4, ở 1/3 bề rộng của bản cánh dầm, nhưng không quá 380 mm tính từ đường tim của cấu kiện đỡ,
Đối với các dầm hộp hở, mỗi vách hộp phải được coi như là một gối đỡ riêng biệt của bản mặt cầu. Khoảng cách giữa tim mỗi vách đến các mặt cắt thiết kế mô men âm liền kề sẽ được xác định dựa trên biện pháp thi công hộp và hình dạng mặt đỉnh của vách để theo cách sử dụng các yêu cầu nêu trên.
6.2.1.7 Hiệu ứng khung của mặt cắt ngang
Khi mặt cầu là một phần không tách rời của mặt cắt nhiều ngăn hoặc mặt cắt hình hộp, thì độ cứng uốn hoặc xoắn của các thành phần đỡ của mặt cắt, tức là các bản bụng dầm và bản đáy dầm có thể gây ra các nội lực đáng kể trong bản mặt cầu. Phải đưa các thành phần đó vào trong tính toán bản mặt cầu.
Nếu chiều dài của phân đoạn khung được mô hình hóa như bề rộng của dải tương đương, có thể sử dụng các quy định của các Điều 6.2.1.3, 6.2.1.5 và 6.2.1.6.
6.2.1.8 Nội lực do hoạt tải của mạng bản thép được lấp đầy bê tông hay lấp đầy một phần và mạng bản thép không được lấp bê tông, liên hợp với bản bê tông cốt thép
Mô men do hoạt tải, N-mm/mm của bản, có thể được xác định như sau:
Các thanh chính nằm ngang hướng xe chạy:
Cho L ≤ 3000 mm
Mtra = 1290D0,197L0,459C (8)
Cho L > 3000 mm
(9)
Các thanh chính song song với hướng xe chạy:
Cho L ≤ 3000 mm
Mtra = 408D0.123L0.64C (10)
Cho L > 3000 mm
(11)
trong đó:
L = Chiều dài nhịp từ tâm tới tâm của kết cấu chống đỡ (mm)
C = hệ số liên tục, bằng 1,0 cho nhịp giản đơn và 0,8 cho nhịp liên tục
D = Dx/Dy
Dx = độ cứng uốn của bản theo hướng của các thanh chính (N.mm2/mm)
Dy = độ cứng uốn của bản vuông góc với các thanh chính (N.mm2/mm)
Đối với mạng bản thép, Dx và Dy nên được tính như là Elx và Ely trong đó E là mô đun đàn hồi và lx và ly là mô men quán tính trên một đơn vị chiều rộng bản, xem xét mặt cắt như bị nứt và sử dụng phương pháp chuyển đổi diện tích cho việc xác định hướng thanh chính và vuông góc với thanh chính, tương ứng
Mô men mỏi có thể được xác định trên toàn bộ chiều dài nhịp bằng cách giảm Phương trình. 8 đối với các thanh chính vuông góc với hướng xe di chuyển hoặc Phương trình 10 cho các thanh chính song song với hướng xe di chuyển với hệ số bằng 3.
Độ võng đơn vị mm do hoạt tải xe có thể được xác định như sau:
• Các thanh chính vuông góc với hướng xe di chuyển:
(12)
• Các thanh chính song song với hướng xe di chuyển:
(13)
6.2.1.9 Phép phân tích phi tuyến
Có thể cho phép dùng phương pháp phân tích phần tử hữu hạn phi tuyến hoặc phương pháp đường chảy.
6.2.2 Các loại cầu dầm - bản
6.2.2.1 Tổng quát
Cầu dầm - bản là loại cầu trên mặt cắt ngang có hệ dầm đỡ bản mặt cầu. Các quy định của Điều này có thể được áp dụng cho cầu dầm thẳng và cầu bê tông cong bằng, cũng như cầu dầm thép cong bằng phù hợp với các quy định của Điều 6.1.2.4. Các quy định của Điều này cũng có thể được sử dụng để xác định một điểm khởi đầu cho một số phương pháp phân tích để xác định tác dụng lực trong các dầm cong với bất kỳ mức độ cong trên mặt bằng.
Trừ trường hợp quy định tại Điều 6.2.2.5, các quy định của Điều này sẽ được thực hiện để áp dụng cho các cầu được phân tích:
• Một làn đặt tải, hoặc
• Nhiều làn hoạt tải cũng có hiệu ứng tương tự như một làn
Nếu một làn xe được chất tải với một xe đặc biệt hoặc một xe để kiểm toán cho phép xe qua cầu, kết quả hiệu ứng lực thiết kế cho dầm do hỗn hợp các phương tiện giao thông có thể được xác định theo quy định tại Điều 6.2.2.5
Nếu khoảng cách giữa các tim dầm vượt quá phạm vi áp dụng như quy định trong các Bảng của các Điều 6.2.2.2 và 6.2.2.3, hoạt tải trên mỗi dầm là phản lực của các làn chất tải dựa trên nguyên lý đòn bẩy trừ khi có quy định khác.
Điều 6.1.1.2 Phần 3 bộ tiêu chuẩn này quy định không cho dùng các hệ số làn với phương pháp tải trọng gần đúng trừ các phương pháp mô men tĩnh hoặc phương pháp đòn bẩy, vì các hệ số đó đã được đưa vào trong các hệ số phân bổ.
Các loại cầu nào không thỏa mãn các quy định của Điều này phải được phân tích theo quy định của Điều 6.3.
Sự phân bố hoạt tải theo quy định của các Điều 6.2.2.2 và 6.2.2.3, có thể được sử dụng cho các dầm tổ hợp, dầm chủ và các dầm dọc phụ mà không phải là dầm thép nhiều hộp có mặt cầu bê tông thỏa mãn các điều kiện sau đây và bất cứ điều kiện nào khác được đưa ra trong các bảng về các hệ số phân bố như quy định tại Điều này:
• Bề rộng của mặt cầu là một hằng số
• Trừ khi được quy định khác, số dầm không nhỏ hơn 4
• Các dầm song song với nhau và có độ cứng xấp xỉ nhau
• Phần đường xe chạy của phần hẫng, de’ không vượt quá 910mm, trừ khi được quy định khác
• Độ cong trong mặt bằng nhỏ hơn giới hạn được nêu trong Điều 6.1.2.4, hoặc hệ số phân bố được yêu cầu để thực hiện tính gần đúng có thể chấp nhận được hoặc Phương pháp tính chính xác đáp ứng các yêu cầu của Điều 4 đối với các cầu có độ cong bất kỳ;
• Mắt cắt ngang phù hợp với một trong những mặt cắt trong Bảng 4.
Nếu mức độ thay đổi chiều rộng bản mặt cầu không lớn so với chiều rộng mặt cầu không đổi hoặc trục dầm song song thì có thể lấy giá trị hệ số phân bố khác nhau tại các vị trí được lựa chọn dọc theo chiều dài nhịp, nếu không cũng có thể lấy một hệ số phân bố duy nhất theo giá trị cự ly dầm thích hợp.
Các loại cầu dầm hộp nhiều ngăn đúc tại chỗ có thể được thiết kế như một kết cấu với toàn chiều rộng. Mặt cắt như vậy được thiết kế với các hệ số phân bố hoạt tải theo Điều 6.2.2.2 và 6.2.2.3 cho các dầm bên trong, được nhân lên với số dầm, tức là số các vách dầm.
Các yêu cầu thêm về dầm thép nhiều hộp với bản mặt cầu bê tông được quy định trong Điều 6.2.2.2.2.
Khi các cầu thỏa mãn các điều kiện nêu ra ở đây, tĩnh tải thường xuyên của bản mặt cầu và trên bản mặt cầu có thể được phân bố đều cho các dầm và/ hoặc các dầm dọc.
Hệ số phân bố hoạt tải quy định ở đây có thể được sử dụng để kiểm toán cho phép loại xe đặc biệt đi qua cầu mà bề rộng của xe này gần với bề rộng của xe tải thiết kế.
Trừ khi được quy định khác, các tham số độ cứng đối với diện tích, mô men quán tính và độ cứng chống xoắn được sử dụng ở đây và trong các Điều 6.2.2.2 và 6.2.2.3 phải được lấy theo mặt cắt ngang trên đó chịu tác dụng của tải trọng giao thông, tức là mặt cắt liên hợp.
Chiều dài L dùng trong các phương trình hệ số phân bố hoạt tải quy định trong các Điều 6.2.2.2 và 6.2.2.3 được xác định như trong Bảng 5
Tham số độ cứng dọc, Kg, phải được lấy theo:
(14)
Với:
(15)
trong đó:
EB = môđun đàn hồi của vật liệu dầm (MPa)
Ed = mô đun đàn hồi của vật liệu bản (MPa)
I = mô men quán tính của dầm (mm4)
eg = khoảng cách giữa các trọng tâm của dầm cơ bản và bản mặt (mm)
Các thông số A và I trong Phương trình 14. phải lấy theo dầm không liên hợp.
Các loại cầu nêu trong các Bảng của các Điều 6.2.2.2 và 6 2.2.3, tham chiếu Bảng 14 có thể lấy như đại diện cho loại cầu được áp dụng phương trình tính toán gần đúng thích hợp.
Bất kể phương pháp phân tích nào được áp dụng, tức là phương pháp gần đúng hay phương pháp chính xác, các dầm biên của cầu nhiều dầm không được có sức kháng nhỏ hơn sức kháng của dầm phía trong, trừ khi Điều 5.2.7.1 Phần 2 bộ tiêu chuẩn này cho phép áp dụng.
Bảng 4 - Kết cấu phần trên của cầu thông thường được nêu trong các Điều 6.2.2.2 và 6.2.2.3
| CẤU KIỆN ĐỠ | LOẠI MẶT CẦU | MẶT CẮT ĐIỂN HÌNH |
| Dầm thép | Mặt cầu bê tông đúc tại chỗ, đúc sẵn, lưới thép. |
|
| Các hộp kín bằng bê tông đúc sẵn hoặc bằng thép | Mặt cầu bê tông đúc tại chỗ |
|
| Các hộp hở bằng bê tông đúc sẵn hoặc bằng thép | Mặt cầu bê tông đúc tại chỗ, mặt cầu bê tông đúc sẵn |
|
| Hộp bê tông đúc sẵn có nhiều ngăn | Bê tông toàn khối |
|
| Dầm bê tông đúc tại chỗ hình chữ T | Bê tông toàn khối |
|
| Các loại hộp bê tông lỗ rỗng, đặc hoặc có nhiều ngăn được đúc sẵn và có các khóa chống cắt | Lớp mặt bê tông đúc tại chỗ |
|
| Hộp bê tông dạng ngăn, rỗng đặc hoặc có nhiều ngăn được đúc sẵn và có các khóa chống cắt | Lớp mặt bê tông đúc tại chỗ |
|
| Mặt cắt dạng máng bê tông đúc sẵn có các khóa chống cắt | Lớp mặt bê tông đúc tại chỗ |
|
| Mặt cắt chữ T kép bê tông đúc sẵn có khóa chống cắt có hoặc không có cáp dự ứng lực căng sau theo chiều ngang | Bê tông toàn khối |
|
| Mặt cắt chữ T bê tông đúc sẵn có khóa chống cắt có hoặc không có cáp dự ứng lực căng sau theo chiều ngang | Bê tông toàn khối |
|
| Mặt cắt chữ I hoặc chữ T béo bê tông đúc sẵn | Bê tông đổ tại chỗ, bê tông đúc sẵn |
|
Bảng 5 - Chiều dài L dùng cho các phương trình tính hệ số phân bố hoạt tải
| Nội lực | L (mm)* |
| Mô men dương | Chiều dài nhịp dùng để tính mô men |
| Mô men âm gần gối giữa của dầm liên tục từ điểm mô men đổi dấu này đến điểm mô men đổi dấu kia do tác dụng tĩnh tải dải đều | Chiều dài trung bình của hai nhịp liền kề |
| Mô men âm không gần gối giữa của dầm liên tục | Chiều dài của nhịp tại đó tính toán mô men |
| Lực cắt | Chiều dài của nhịp tính lực cắt |
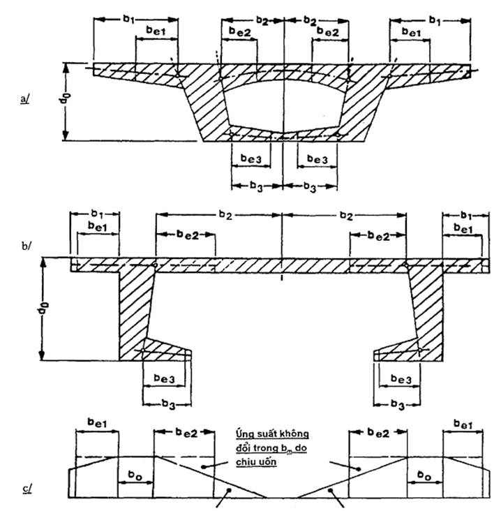
| Phản lực gối ngoài | Chiều dài nhịp ngoài |
| Phản lực gối giữa | Chiều dài trung bình của hai nhịp liền kề |
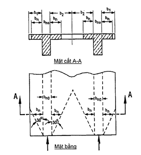
| * Các ký hiệu sau đây được áp dụng cho các Bảng trong các Điều 6.2.2.2 và 6.2.2.3: A = diện tích của dầm dọc phụ, dầm thép cán hoặc dầm tổ hợp (mm2) b = bề rộng của dầm (mm) C = tham số độ cứng d = chiều cao của dầm hoặc dầm dọc phụ (mm) de = khoảng cách giữa tim bản bụng phía ngoài của dầm biên và mép trong của bó vỉa hoặc lan can chắn xe (mm) D = bề rộng phân bố trên làn (mm) e = hệ số điều chỉnh g = hệ số phân bố hoạt tải đại diện số làn thiết kế Ip = mô men quán tính cực (mm4) J = mô men quán tính chống xoắn St. Venant K = hằng số cho các loại kết cấu khác nhau Kg = tham số độ cứng dọc (mm4) L = nhịp của dầm Nb = số dầm, dầm dọc phụ hoặc dầm tổ hợp Nc = số ngăn trong một dầm hộp bê tông NL = số lần thiết kế quy định trong Điều 6.1.1.1 Phần 3 bộ tiêu chuẩn này S = khoảng cách của các dầm hoặc các vách bản bụng dầm (mm) Tg = chiều dày của lưới thép hoặc tấm thép lượn sóng bao gồm cả lớp phủ bê tông hoặc cấu kiện bê tông, không tính sự mài mòn, bào rãnh, sự hư hỏng (mm) T0 = chiều dày của lớp phủ (mm) Ts = chiều dày của bản bê tông (mm) W = bề rộng mép-đến-mép của cầu (mm) We = 1/2 khoảng cách bản bụng dầm, cộng với tổng phần hẫng (mm) ϴ = góc chéo (Độ) μ = hệ số Poisson | |
Đối với hộp bê tông nhiều ngăn đổ tại chỗ được thể hiện như mặt cắt “d” trong Bảng 4, hệ số phân bố trong Điều 6.2.2.2 và 6.2.2.3 sẽ được áp dụng đối với mặt cắt có hình dạng qui ước bao gồm bụng dầm, bản hẫng của bụng dầm ngoài, và một nửa các bản cánh liên quan giữa bụng dầm được xem xét và bụng biên liền kề hoặc giữa các bụng dầm.
6.2.2.2 Phương pháp hệ số phân bố dùng cho mô men và lực cắt
6.2.2.2.1 Các dầm bên trong với mặt cầu bê tông
Có thể xác định mô men uốn do hoạt tải đối với các dầm bên trong với mặt cầu bê tông bằng cách áp dụng hệ số phân hoạt tải, g, cho trong Bảng 6.
Đối với các dầm bê tông, trừ dầm hộp được sử dụng trong các hệ mặt cầu nhiều dầm có khóa chống cắt:
• Phải bố trí cấu tạo các vách ngăn đầu dầm cứng và cao để đảm bảo phân bố tải trọng hợp lý.
• Nếu cự ly các sườn của dầm có sườn nhỏ hơn 1200 hoặc lớn hơn 3000mm phải sử dụng phép phân tích chính xác theo quy định của Điều 6.3.
Đối với dầm thép nhiều hộp có mặt cầu bê tông đáp ứng theo yêu cầu của Điều 6.11.2.3, mô men uốn do hoạt tải có thể được xác định bằng cách sử dụng hệ số phân bố thích hợp quy định trong Bảng 6.
Khi cự ly của các dầm hộp biến đổi theo chiều dài của cầu, hệ số phân bố có giá trị khác nhau tại các vị trí dọc theo chiều dài nhịp hoặc hệ số phân bố duy nhất có thể được sử dụng kết hợp với giá trị thích hợp của NL. Trong cả hai trường hợp, giá trị của NL sẽ được xác định cụ thể theo Điều 6.1.1.1, Phần 3 bộ tiêu chuẩn này, với chiều rộng, w, lấy tại mặt cắt được xem xét
Bảng 6 - Hệ số phân bố hoạt tải, g, cho mô men trong các dầm giữa
| Loại kết cấu phần trên | Loại mặt cắt lấy theo Bảng 4 | Các hệ số phân số | Phạm vi áp dụng |
| |
| Mặt bê tông, hoặc mặt cầu kiểu mạng bản thép lấp bê tông đầy hoặc mạng bản thép lấp một phần, hoặc mạng bản thép không lấp đầy liên hợp với bản bê tông cốt thép_trên dầm thép hoặc bê tông; dầm bê tông chữ T, mặt cắt T hoặc T kép | a, e, k cũng cho i,j nếu được liên kết đủ để làm việc như một khối | Một làn thiết kế chịu tải:
Hai hoặc hơn hai làn thiết kế chịu tải:
| 1100 ≤ S ≤ 4900 110 ≤ ts ≤ 300 6000 ≤ L ≤ 73000 Nb ≥ 4 4x109 ≤ Kg ≤ 3x1012 |
| |
| Dùng các giá trị lớn nhất trong các giá trị tính từ phương trình trên với Nb = 3 hoặc theo nguyên tắc đòn bẩy. | Nb = 3 |
| |||
| hộp bê tông nhiều ngăn đổ tại chỗ | d | Một làn thiết kế chịu tải:
Hai hoặc hơn hai làn thiết kế chịu tải:
| 2100 ≤ S ≤ 4000 18000 ≤ L ≤ 73000 N0 ≥ 3 Nếu N0 > 8, dùng N0 = 8 |
| |
| Mặt bê tông trên các dầm hộp bê tông khoảng rộng | b,c | Một làn thiết kế chịu tải
Hai hoặc hơn hai làn thiết kế chịu tải
| 1800 ≤ S ≤ 3500 6000 ≤ L ≤ 43000 450 ≤ d ≤ 1700 Nb ≥ 3 |
| |
| Dùng nguyên tắc đòn bẩy | S ≥ 5500 |
| |||
| Dầm bê tông được dùng trong mặt cầu nhiều dầm | f | Một làn thiết kế chịu tải
| 900 ≤ b ≤ 1500 6000 ≤ L ≤ 37000 |
| |
| Dầm bê tông được dùng trong mặt cầu nhiều dầm | g nếu được liên kết đủ để làm việc như một khối | trong đó: K = 2,5 (Nb)-0,2 ≥ 1,5 Hai hoặc hơn hai làn chịu tải:
|
5 ≤ Nb ≤ 20 |
| |
| Dầm bê tông được dùng trong mặt cầu nhiều dầm | h | Số làn chịu tải bất kỳ: S/D Trong đó: C = K(W/L) ≤ K D = 300 [11,5 - NL + 1,4 NL (1 - 0,2C)2] Khi C ≤ 5 D = 300(11,5 - NL), Khi C > 5
để thiết kế sơ bộ, có thể sử dụng các giá trị sau đây của K: | Góc nghiêng ≤ 450 NL ≤ 6 |
| |
|
g, i, j Nếu chỉ được liên kết đủ để ngăn chặn sự chuyển dịch thẳng đứng tương đối tại mặt tiếp xúc | |||||
| Loại dầm | K | ||||
| Dầm chữ nhật không khoét lỗ | 0,7 | ||||
| Dầm chữ nhật có lỗ tròn | 0,8 |
| |||
| Dầm mặt cắt hộp | 1.0 |
| |||
| Dầm hình máng | 2,2 |
| |||
| Dầm T | 2,0 |
| |||
| Dầm T kép | 2,0 |
| |||
| Mặt cầu dạng mạng bản thép đặt trên dầm thép | a | 1 làn thiết kế chịu tải: S/2300 nếu tg < 100mm S/3050 nếu tg ≥ 100mm Hai hoặc hơn hai làn thiết kế chịu tải: S/2400 nếu tg < 100mm S/3050 nếu tg ≥ 100mm | S ≤ 1800 mm
S ≤ 3200 mm | ||
| Mặt cầu trên nhiều dầm hộp thép | b, c | Số làn chịu tải bất kỳ:
|
|
| |
6.2.2.2.2 Các dầm bên trong có mặt cầu bằng bản thép lượn sóng
Có thể xác định mô men uốn do hoạt tải đối với dầm bên trong có mặt cầu là tấm thép lượn sóng bằng cách áp dụng hệ số phân bố hoạt tải g, nêu trong Bảng 7.
Bảng 7- Hệ số Phân bố hoạt tải cho mô men trên các dầm giữa với mặt cầu là tấm thép lượn sóng
| 1 làn thiết kế chịu tải | 2 hoặc hơn 2 làn thiết kế chịu tải | Phạm vi áp dụng |
| S/2800 | S/2700 | S ≤ 1700 tg ≥ 50 |
6.2.2.2.3 Các dầm biên
Có thể xác định mô men uốn do hoạt tải của các dầm biên bằng cách áp dụng hệ số phân bố hoạt tải, g, nêu trong Bảng 8. Nếu cự ly giữa các dầm khác nhau thì hệ số g cho dầm biên là hàm số của gbên trong, gbên trong xác định theo khoảng cách giữa dầm biên và dầm bên trong thứ nhất.
Khoảng cách, de, phải được lấy giá trị dương nếu bản bụng dầm biên ở vào phía trong của mặt trong của lan can chắn xe và âm nếu ở về phía ngoài của bó vỉa hoặc lan can chắn xe. Tuy nhiên nếu giá trị de âm nằm ngoài phạm vi áp dụng quy định trong Bảng 8, thì de nên lấy giới hạn tới -1,0.
Trong các mặt cắt ngang cầu thép loại dầm - bản có vách ngăn hoặc khung ngang, hệ số phân bố cho dầm biên không được lấy giá trị bé hơn giá trị tính theo giả thiết mặt cắt ngang võng xuống và quay như một mặt cắt cứng tuyệt đối. Phải áp dụng các quy định của Điều 6.1.1.2 Phần 3 bộ tiêu chuẩn này.
Bảng 8 - Hệ số Phân bố hoạt tải cho mô men trong dầm dọc biên
| Loại kết cấu nhịp | Loại mặt cắt lấy theo Bảng 4 | 1 làn thiết kế chịu tải | 2 hoặc hơn 2 làn thiết kế chịu tải | Phạm vi áp dụng |
| Mặt cầu bê tông, mặt cầu dạng mạng bản thép lấp đầy hoặc lấp một phần trên dầm bê tông hoặc thép; dầm bê tông chữ T, mặt cắt T hoặc T kép | Cho a, e, k và cũng có thể cho i, j nếu được liên kết chặt chẽ để làm việc như một khối | Quy tắc đòn bẩy | g = e gbên trong
| - 300 ≤ de ≤ 1700 |
| Dùng giá trị nhỏ nhất trong hai giá trị hoặc tính theo phương trình trên với Nb = 3 hoặc theo nguyên tắc đòn bẩy | Nb = 3 | |||
| Dầm bê tông nhiều hộp đổ tại chỗ | d |
|
| We ≤ S |
| Hoặc theo các quy định cho thiết kế toàn chiều rộng, quy định trong Điều 6.2.2.1 | ||||
| Mặt cầu bê tông trên dầm hộp bê tông mở rộng | b, c | Quy tắc đòn bẩy | g = e gbên trong
| 0 ≤ de ≤ 1400 1800 < S ≤ 5500 |
| Dùng quy tắc đòn bẩy | S >5500 | |||
| Dầm hộp bê tông sử dụng trong kết cấu nhịp nhiều dầm | f, g h | g=egbên trong
| g= e gbên trong
|
de ≤ 600 |
| Dầm bê tông, trừ dầm hộp được sử dụng trong mặt cầu nhiều dầm | h | Quy tắc đòn bẩy | Quy tắc đòn bẩy | Không áp dụng |
| i, j nếu chỉ liên kết đủ để ngăn chặn sự chuyển vị thẳng đứng tương đối tại mặt tiếp xúc | ||||
| Mặt cầu dạng lưới thép trên các dầm thép | a | Quy tắc đòn bẩy | Quy tắc đòn bẩy | Không áp dụng |
| Mặt cầu bê tông trên dầm thép nhiều hộp | b, c | Như quy định trong Bảng 6 | ||
6.2.2.2.4 Cầu chéo
Khi đường tim của các gối tựa là chéo và độ sai khác giữa các góc chéo của hai đường kề nhau của các gối tựa không vượt quá 10° thì có thể giảm mô men uốn trong dầm theo Bảng 9.
Bảng 9 - Độ giảm của các hệ số phân bố tải trọng đối với mômen của các dầm dọc trên các gối tựa chéo
| Dạng kết cấu nhịp | Loại mặt cắt theo Bảng 4 | Số làn chịu tải bất kỳ | Phạm vi áp dụng |
| Mặt cầu bê tông, mặt cầu dạng lưới lấp bê tông đầy hoặc lấp một phần trên dầm bê tông hoặc thép; dầm bê tông chữ T, mặt cắt T hoặc T kép | Cho a, e, k và cũng dùng cho i, j nếu được liên kết đủ chặt chẽ để làm việc như một khối | 1-c1(tan θ)1,5
Nếu θ < 30° thì c1 = 0,0 Nếu θ > 60° sử dụng θ = 60° | 30° ≤θ≤ 60° 1100 ≤ S ≤ 4900 6000 ≤ L ≤ 73000 Nb≥4 |
| Mặt cầu bê tông trên dầm hộp bê tông mở rộng. Dầm hộp bê tông và mặt cắt T kép sử dụng trong các kết cấu nhiều nhịp | b, c, f, g | 1,05 - 0,25 tgθ ≤ 1,0 Nếu θ> 60° sử dụng θ = 60° | 0≤θ≤ 60° |
6.2.2.2.5 Mô men uốn và lực cắt trong dầm ngang hệ mặt cầu
Nếu mặt cầu được tựa trực tiếp lên dầm ngang hệ mặt cầu thì dầm ngang có thể được thiết kế với các tải trọng được xác định theo Bảng 10.
Các hệ số phân bố hoạt tải cho trong Bảng 10 phải được sử dụng cùng với tải trọng trục thiết kế 145 KN. Đối với các cự ly của các dầm của hệ mặt cầu nằm ngoài phạm vi áp dụng đã cho, thì tất cả các hoạt tải thiết kế phải được xét và có thể sử dụng quy tắc đòn bẩy.
Bảng 10 - Phân bố hoạt tải cho mô men và lực cắt của dầm ngang
| Loại mặt cầu | Phần số của tải trọng bánh xe cho mỗi dầm sàn | Phạm vi áp dụng |
| Bê tông |
| S ≤ 1800 |
| Mạng bản thép và mặt cầu mạng bản thép không lấp bê tông liên hợp với bản bê tông cốt thép |
| tg ≤ 100 S ≤ 1500 |
| Mạng bản thép và mặt cầu mạng bản thép không lấp bê tông liên hợp với bản bê tông cốt thép |
| tg > 100 S ≤ 1800 |
| Tấm mặt cầu thép lượn sóng |
| tg ≥ 50 |
6.2.2.3 Phương pháp hệ số phân bố cho lực cắt
6.2.2.3.1 Các dầm bên trong
Có thể xác định lực cắt do hoạt tải đối với các dầm bên trong bằng cách áp dụng các hệ số phân bố hoạt tải quy định trong Bảng 11. Đối với các loại dầm bên trong không được liệt kê trong Bảng 11, sự phân bố của bánh xe hoặc trục xe nằm giáp đầu nhịp dầm phải tính theo quy tắc đòn bẩy.
Đối với các dầm hộp bê tông sử dụng trong các mặt cầu có nhiều dầm, nếu giá trị của I hoặc J không nằm trong các giới hạn quy định trong Bảng 11, thì hệ số phân bố hoạt tải cho lực cắt có thể được lấy bằng giá trị dùng cho mô men.
Bảng 11 - Hệ số phân bố hoạt tải để tính lực cắt của các dầm bên trong
| Loại kết cấu nhịp | Loại mặt cắt lấy theo Bảng 4 | 1 làn | 2 hoặc hơn 2 làn thiết kế chịu tải | Phạm vi áp dụng |
| Mặt cầu bêtông hoặc mạng bản thép lấp bê tông đầy hoặc lấp một phần hoặc không lấp liên hợp với bản bê tông trên dầm thép hoặc bêtông, dầm bêtông chữ T, mặt cắt T hoặc T kép | Cho a, e, k và cũng cho i, j nếu được liên kết chặt làm việc như một khối |
|
| 1100 ≤ S ≤ 4900 6000 ≤ L ≤ 73000 110 ≤ ts ≤ 300 Nb ≥ 4 |
| Quy tắc đòn bẩy | Quy tắc đòn bẩy | Nb = 3 | ||
| Phần dầm hộp bê tông nhiều ngăn, đổ tại chỗ | d |
|
| 1800 ≤ S ≤ 4000 6000 ≤ L ≤ 73000 890 ≤ d ≤ 2800 Nc≥ 3 |
| Mặt cầu bê tông trên dầm bê tông mặt cắt ngang rộng nhiều hộp | b, c |
|
| 1800 ≤ S ≤ 3500 6000 ≤ L ≤ 43000 450 ≤ d ≤ 1700 Nb≥ 3 |
| Quy tắc đòn bẩy | Quy tắc đòn bẩy | S > 5500 | ||
| Dầm hộp bê tông trong kết cấu nhịp nhiều dầm | f, g |
|
| 900 ≤ b ≤ 1500 6000 ≤ L ≤ 37000 5 ≤ Nb ≤ 20 1,0x1010≤ J ≤ 2,5x1011 1,7x1010 ≤ I ≤ 2,5x1011 |
| Dầm bê tông, trừ dầm hộp được sử dụng trong mặt cầu nhiều dầm | h cũng như i,j, nếu liên kết đủ để ngăn chặn chuyển vị thẳng đứng tương đối tại mặt tiếp xúc | Quy tắc đòn bẩy | Quy tắc đòn bẩy | Không giới hạn |
| Mặt cầu dạng mạng bản thép trên các dầm thép | a | Quy tắc đòn bẩy | Quy tắc đòn bẩy | Không giới hạn |
| Mặt cầu bê tông trên dầm thép nhiều hộp | b, c | Như quy định trong Bảng 6 | ||
6.2.2.3.2 Các dầm biên
Phải xác định lực cắt do hoạt tải của các dầm biên bằng cách áp dụng các hệ số phân bố hoạt tải quy định trong Bảng 12. Đối với các trường hợp không nêu ở Bảng 11 và Bảng 12, sự phân bố hoạt tải trên các dầm biên sẽ được xác định bằng cách sử dụng quy tắc đòn bẩy.
Tham số de phải được lấy giá trị dương nếu bản bụng dầm biên nằm vào phía trong của bó vỉa hoặc của lan can chắn xe và âm nếu nó nằm ra phía ngoài.
Phải áp dụng các quy định phụ cho các dầm biên của các loại cầu dầm - bản có các khung ngang hoặc vách ngăn, như quy định trong Điều 6.2.2.2.3.
Bảng 12 - Hệ số phân bố hoạt tải để tính lực cắt trong dầm biên
| Dạng kết cấu nhịp | Loại mặt cắt lấy theo Bảng 4 | 1 làn thiết kế chịu tải | 2 hoặc hơn 2 làn thiết kế chịu tải | Phạm vi áp dụng |
| Mặt cầu bê tông, mặt cầu dạng bản thép lấp bê tông đầy hoặc lấp một phần trên dầm bê tông hoặc thép; dầm T bê tông, mặt cắt T hoặc T kép | Cho a, e, k và cũng cho i, j nếu được liên kết chắc chắn để làm việc như một khối | Quy tắc đòn bẩy | g = e gbên trong
| - 300 ≤ de ≤ 1700 |
| Quy tắc đòn bẩy | Nb = 3 | |||
| Dầm hộp bê tông nhiều ngăn | d | Quy tắc đòn bẩy | g = e gbên trong
| -600 ≤ de ≤ 1500 |
| Hoặc theo các quy định cho thiết kế toàn chiều rộng, quy định trong Điều 6.2.2.1 | ||||
| Mặt cầu bê tông trên dầm bê tông mặt cắt ngang rộng nhiều hộp | b, c | Quy tắc đòn bẩy | g = e gbên trong
| 0 ≤ de ≤ 1400 |
| Quy tắc đòn bẩy | S > 5500 | |||
| Dầm hộp bê tông được sử dụng trong kết cấu nhịp nhiều dầm | f, g | g = e gbên trong
|
| 300 ≤ de ≤ 600 |
| Dầm bê tông trừ dầm hộp được sử dụng trong các kết cấu nhịp nhiều dầm | h | Quy tắc đòn bẩy | Quy tắc đòn bẩy | Không giới hạn |
| i,j nếu chỉ liên kết đủ để ngăn chặn chuyển vị tương đối thẳng đứng tại mặt tiếp xúc | ||||
| Mặt cầu mạng bản thép trên dầm thép | a | Quy tắc đòn bẩy | Quy tắc đòn bẩy | Không giới hạn |
| Mặt cầu bê tông trên dầm thép nhiều hộp | b, c | Như quy định trong Bảng 6 | ||
6.2.2.3.3 Các cầu chéo
Phải điều chỉnh lực cắt trong dầm biên tại góc tù của cầu khi đường tim của gối bị chéo, phải lấy giá trị của hệ số điều chỉnh từ Bảng 13 để điều chỉnh hệ số phân bố hoạt tải g, đã quy định trong Bảng 11 cho các dầm bên trong và trong Bảng 12 đối với dầm biên. Không nên dùng hệ số này cho mô hình tính gối chéo.
Khi xác định lực cắt đầu dầm trong các cầu nhiều dầm phải thực hiện điều chỉnh cho tất cả các dầm tại góc tù.
Bảng 13 - Hệ số điều chỉnh cho hệ số phân bố hoạt tải của lực cắt tại góc tù
| Dạng kết cấu nhịp | Mặt cắt thích hợp lấy từ Bảng 4 | Hệ số điều chỉnh | Phạm vi áp dụng |
| Mặt cầu bê tông, mặt cầu dạng mạng bản thép lấp bê tông đầy hoặc lấp một phần trên dầm bê tông hoặc thép; dầm bê tông dạng chữ T, mặt cắt T hoặc T kép | Cho a, e, k hoặc dùng cho i, j nếu liên kết đủ cứng để làm việc như một khối |
| 00 ≤ θ ≤ 600 1100 ≤ S ≤ 4900 6000 ≤ L ≤ 73000 Nb ≥ 4 |
| Dầm hộp bê tông nhiều ngăn, các dầm hộp | d |
| 0°≤θ≤ 60° 1800 ≤ S ≤ 4000 6000 ≤ L ≤ 73000 900 ≤ d ≤ 2700 Nb≥ 3 |
| Mặt cầu bê tông trên dầm hộp bê tông mặt cắt ngang rộng nhiều hộp | b, c |
| 0°≤θ≤ 60° 1800 ≤ S ≤ 3500 6000 ≤ L ≤ 43000 450 ≤ d ≤ 1700 Nb ≥ 3 |
| Dầm hộp bê tông sử dụng trong kết cấu nhịp nhiều dầm | f, g |
| 0o≤ θ ≤ 60o 6000 ≤ L ≤ 37000 430 ≤ d ≤ 1500 900 ≤ b ≤ 1500 5 ≤ Nb ≤ 20 |
6.2.2.4 Cầu thép cong
Phương pháp phân tích gần đúng có thể được sử dụng để phân tích cầu thép cong. Phải lựa chọn phương pháp phân tích gần đúng thích hợp, đáp ứng các yêu cầu quy định tại Điều 4.
Trong các hệ thống cong, cần xem xét đặt lan can, vỉa hè, các rào chắn và các dòng tải trọng nặng khác tại vị trí thực tế của chúng trên cầu. Lớp phủ mặt cầu và tải trọng phân bố khác có thể được giả định phân bố đều cho các dầm trên mặt cắt ngang.
6.2.2.5 Tải trọng đặc biệt với phương tiện giao thông khác
Các quy định của Điều này có thể áp dụng khi các phương pháp phân tích gần đúng để phân tích cầu dầm - bản quy định tại Điều 6.2.2 và loại cầu bản quy định tại Điều 6.2.3 được sử dụng. Các quy định của Điều này không được áp dụng trong trường hợp sau:
• quy tắc đòn bẩy đã được quy định cụ thể cho cả đặt tải một làn và nhiều làn tải trọng, hoặc
• yêu cầu đặc biệt cho dầm biên của mặt cắt ngang cầu dầm - bản với các vách ngăn quy định tại Điều 6.2.2.2.3 đã được sử dụng để phân tích đơn giản.
Tổng hợp ứng lực từ các xe hạng nặng trong một làn với lưu lượng tham gia thường xuyên trong các làn lân cận, chẳng hạn như xem xét với trạng thái giới hạn cường độ II trong Bảng 3 Phần 3 bộ tiêu chuẩn này có thể được xác định như sau:
(16)
G = Tổng hợp ứng lực tác dụng lên dầm (kN hoặc kN-mm)
Gp = ứng lực do xe quá tải (kN hoặc kN-mm)
g1 = Hệ số phân bố hoạt tải một làn
GD = ứng lực do tải trọng thiết kế (kN hoặc kN-mm)
gm = Hệ số phân bố hoạt tải nhiều làn
Z = Hệ số lấy bằng 1,20 khi không được sử dụng quy tắc đòn bẩy, và bằng 1,0 khi dụng quy tắc đòn bẩy, đối với hệ số phân bố hoạt tải một làn
6.2.3 Bề rộng dải tương đương đối với các loại cầu bản
Điều này phải được áp dụng cho loại mặt cắt thể hiện trong biểu đồ ở Bảng 14. Các loại cầu bản có lỗ rỗng đúc tại chỗ có thể được coi là cầu bản.
Bề rộng tương đương theo làn của các dải dọc cho cả lực cắt và mô men cho một làn, tức là hai đường của bánh xe đặt tải có thể được xác định như sau:
(17)
Bề rộng tương đương theo làn của các dải dọc cho cả lực cắt lẫn mô men với số làn chịu tải lớn hơn một có thể được xác định như sau:
(18)
trong đó:
E = bề rộng tương đương (mm)
L1 = chiều dài nhịp đã được điều chỉnh, lấy bằng giá trị nhỏ hơn của nhịp thực tế hoặc 18000 (mm)
W1 = bề rộng mép-tới-mép đã được điều chỉnh của cầu, được lấy bằng giá trị nhỏ hơn của bề rộng thực tế hoặc 18000 mm nếu chịu tải trọng trên nhiều làn, hoặc 9000 mm nếu chịu tải trên một làn(mm)
W = bề rộng thực tế mép-tới-mép của cầu (mm)
NL = số làn thiết kế, lấy theo Điều 6.1.1.1 Phần 3 bộ tiêu chuẩn này
Đối với cầu chéo, các hiệu ứng lực dọc có thể được giảm đi bằng hệ số r:
r = 1,05 - 0,25tg θ ≤ 1,00 (19)
trong đó:
θ = góc chéo (độ)
Bảng 14 - Dạng mặt cắt ngang điển hình

6.2.4 Cầu giàn và vòm
Quy tắc đòn bẩy có thể được sử dụng để phân bố tải trọng trong giàn và vòm khi chúng được phân tích như các kết cấu phẳng. Nếu áp dụng kiểu phân tích không gian, thì hoặc quy tắc đòn bẩy hoặc cách chất tải trực tiếp lên mặt cầu hoặc hệ mặt cầu có thể được sử dụng.
Khi các tải trọng, không phải là trọng lượng bản thân của các cấu kiện và tải trọng gió trên đó, được truyền lên giàn tại các điểm nút, thì giàn có thể được phân tích như một tổ hợp kết cấu được liên kết chốt.
6.2.5 Hệ số chiều dài có hiệu, K
Chiều dài thực tế của cột phải được nhân với hệ số chiều dài có hiệu, K, để bù vào các điều kiện biên về chuyển vị quay và tịnh tiến khác với các đầu cột liên kết chốt.
Nếu không có phân tích chính xác hơn, khi độ ổn định bên được tăng cường bởi hệ giằng chéo hoặc các phương tiện chắc chắn khác, thì hệ số chiều dài có hiệu trong mặt phẳng giằng, K, đối với các thanh chịu nén trong giàn tam giác, giàn thường và khung có thể được tính như sau:
• với liên kết bu-lông hoặc hàn ở cả hai đầu: K = 0,750
• với liên kết chốt ở cả hai đầu: K = 0,875
• Thanh thép góc đơn, bất kể liên kết ở đầu: K = 1,0
Các loại giàn kiểu Vierendeel (loại dàn với các thanh dàn liên nút nối cứng, như khung, không thanh chéo) phải được coi như các khung không được giằng.
6.2.6 Bề rộng bản cánh có hiệu của dầm
6.2.6.1 Tổng quát
Trừ khi được quy định khác trong Điều này hoặc trong các Điều 6.2.6.2, 6.2.6.3 hoặc 6.2.6.5, bề rộng có hiệu của bản bê tông trong một dầm liên hợp hay dầm bê tông liền khối được lấy bằng một dải rộng vuông góc với trục của dầm cần xác định độ cứng mặt cắt để tính sức kháng uốn. Bề rộng của bản mặt cầu thép trực hướng xác định theo quy định của Điều 6.2.6.4. Khi có yêu cầu tính độ võng do hoạt tải, phải áp dụng các quy định của Điều 5.2.6.2 Phần 2 bộ tiêu chuẩn này.
Khi mặt cầu có cấu tạo gờ chắn bê tông liên tục và được đưa vào tính phân tích như quy định của Điều 5.1, thì bề rộng phần hẫng của bản mặt cầu được dùng trong tính toán và kiểm tra sức kháng của dầm liên hợp được mở rộng thêm một dải có chiều rộng được xác định như sau:
(20)
Trong đó:
Ab = diện tích mặt cắt ngang của gờ chắn (mm2)
ts = chiều dày của bản mặt cầu (mm)
Chiều rộng bản cánh có hiệu của dầm liên hợp, sườn dọc bản mặt cầu hay mạ trên của kết cấu dàn liên hợp lấy bằng một nửa khoảng cách giữa tim các dầm, các sườn dọc liền kề về mỗi phía hoặc bằng khoảng cách giữa các dầm hay sườn dọc liền kề cộng với toàn bộ chiều rộng phần hẫng của bản mặt cầu, trừ các trường hợp được quy định dưới đây.
Trong các trường hợp sau, chiều rộng có hiệu của bản cánh dầm liên hợp phải được xác định bằng phương pháp tính chính xác:
• Mặt cắt ngang của kết cấu liên hợp hoặc liền khối chịu lực nén lớn kết hợp với uốn, trừ các lực phát sinh do cưỡng bức giãn nở vì nhiệt thì xác định chiều rộng bản cánh có hiệu theo nhánh như chỉ dẫn ở trên.
• Cầu chéo có góc θ lớn hơn 750, θ là góc giữa đường nối tim các gối với đường vuông góc với trục tim cầu. Dầm có tỷ lệ giữa chiều dài nhịp với cự ly giữa các tim dầm liền kề L/S nhỏ hơn 2 và chiều rộng cánh hẫng của bản lớn hơn 0,5S. Trong đó L là chiều dài nhịp tính toán và S là cự ly giữa các tim dầm liền kề
• Nhịp làm việc của bản theo chiều dọc của cầu giữa các dầm ngang của sàn mặt cầu, hoặc.
• Bản được thiết kế có cấu tạo làm việc theo hai hướng.
6.2.6.2 Các dầm bê tông hộp và dầm một hộp thi công phân đoạn, dầm bê tông hộp đúc tại chỗ.
Có thể giả thiết các bề rộng bản cánh dầm có hiệu bằng bề rộng bản cánh thực nếu như:
b ≤ 0,1 li
b ≤ 0,3 do
Nếu không, có thể lấy bề rộng có hiệu của các bản cánh như quy định biểu thị trong các Hình 3 đến 6.
Trong đó:
do = chiều cao của kết cấu nhịp (mm)
b = bề rộng thực của bản cánh tính từ bản bụng dầm ra mỗi phía nghĩa là b1, b2, b3 như thể hiện trong Hình 5 (mm)
be = bề rộng bản cánh dầm có hiệu tương ứng với vị trí cụ thể của đoạn nhịp khảo sát như quy định trong Hình 3 (mm)
bm = bề rộng bản cánh có hiệu của các phần bên trong nhịp như quy định ở Hình 4; là trường hợp đặc biệt của be (mm)
bs = bề rộng bản cánh có hiệu ở trụ phía trong hoặc của bản cánh hẫng được xác định theo Hình 4.; trường hợp đặc biệt của be (mm)
a = phần đoạn nhịp có phần chuyển tiếp bề rộng bản cánh có hiệu được tính bằng giá trị nhỏ hơn trong 2 giá trị hoặc là bề rộng bản cánh thực tính từ bản bụng dầm ra mỗi phía như trong Hình 5 hoặc 1/4 chiều dài nhịp. (mm)
li = chiều dài nhịp quy ước cho trong Hình 3 với mục đích xác định chiều rộng bản cánh có hiệu lấy theo Hình 4.
Cần áp dụng các yêu cầu sau:
• Trong mọi trường hợp, bề rộng bản cánh có hiệu không được lấy lớn hơn bề rộng bản cánh thực.
• Có thể bỏ qua ảnh hưởng của việc chất tải không đối xứng đến bề rộng bản cánh dầm có hiệu
• Phải tính giá trị của bs bằng trị số lớn hơn trong 2 chiều dài nhịp liền kề với trụ
• Nếu bm nhỏ hơn bs trong một nhịp nào đó, có thể xác định sơ đồ bề rộng có hiệu trong phạm vi của nhịp bằng cách nối đường có bề rộng có hiệu bs ở điểm gối liền kề với nhau.
Để cộng tác dụng các nội lực cục bộ và nội lực tổng thể, có thể giả thiết sự phân bố ứng suất do nội lực tổng thể gây ra có sơ đồ đường thẳng như trên Hình 5c. Xác định sự phân bố ứng suất tuyến tính là phân bố ứng suất không đổi với các điều kiện là lực trong bản cánh dầm không thay đổi và bề rộng cực đại của phân bố ứng suất tuyến tính trên mỗi bên của bản bụng bằng hai lần bề rộng bản cánh có hiệu. Các tính chất của mặt cắt đối với các lực pháp tuyến có thể dựa trên sơ đồ như Hình 6 hoặc được xác định bằng phép phân tích chính xác hơn

Hình 3 - Sơ đồ của các bề rộng bản cánh dầm có hiệu be, bm và bs

Hình 4 - Giá trị của hệ số bề rộng bản cánh dầm có hiệu bm và bs tính theo giá trị b/l1 cho trước

Phân bố tuyến tính của ứng suất trong bản cánh trên
Hình 5 - Các mặt cắt ngang và bề rộng bản cánh dầm có hiệu tương ứng be theo uốn và cắt.

Hình 6 - Bề rộng bản cánh dầm có hiệu, bn theo lực pháp tuyến
6.2.6.3 Kết cấu dầm hộp nhiều ngăn đúc tại chỗ
Bề rộng có hiệu của các kết cấu dầm hộp dạng nhiều ngăn đúc bê tông tại chỗ có thể lấy theo quy định trong Điều 6.2.6.1, với mỗi bản bụng lấy như là một dầm, hoặc bằng chiều rộng toàn phần của bản mặt cầu. Trong trường hợp sau, ảnh hưởng của cắt trễ xuất hiện trong vùng đầu dầm phải được xem xét.
6.2.6.4 Mặt cầu thép bản trực hướng
Không cần xác định bề rộng có hiệu khi sử dụng phương pháp phân tích chính xác hơn như quy định tại Điều 6.3.2.4. Khi dùng các phương pháp tính đơn giản hóa, bề rộng có hiệu của bản bao gồm bản mặt thép và sườn tăng cường, làm việc như bản cánh trên của một sườn cứng dọc, hoặc của một dầm ngang, được xác định như sau:
• L/B ≥5: toàn bộ bản có hiệu
• L/B <5: bod = 1/5 L
Trong đó:
L = Chiều dài của nhịp dầm bản trực hướng (mm)
B = Chiều rộng bản giữa các dầm trực hướng hoặc giữa các dầm ngang (mm)
bod = Bề rộng có hiệu của bản trực hướng (mm)
Khi tính mô men uốn dương hoặc mô men uốn âm trạng thái giới hạn cường độ hay tính theo trạng thái giới hạn sử dụng và giới hạn mỏi trong vùng có lực cắt lớn thì chiều rộng có hiệu được xác định bằng các phương pháp chính xác hoặc các phương pháp gần đúng được chấp nhận.
6.2.6.5 Dầm ngang mặt cầu và xà mũ trụ khung nối cứng với kết cấu phần trên
Đối với dầm ngang mặt cầu và xà mũ trụ khung có nối cứng với bản bê tông mặt cầu thì chiều rộng có hiệu của bản hẫng về mỗi phía lấy không lớn hơn sáu lần chiều dầy nhỏ nhất của bản hoặc bằng 1/10 chiều dài nhịp. Đối với phần hẫng của dầm ngang mặt cầu hoặc xà mũ của trụ khung thì chiều dài nhịp lấy bằng hai lần chiều dài của phần hẫng.
6.2.7 Phân bố tải trọng gió ngang trong hệ thống dầm cầu
6.2.7.1 Dầm mặt cắt hình I
Trong các cầu có kết cấu nhịp liên hợp, kết cấu nhịp không liên hợp với bản bêtông có nách và các loại kết cấu nhịp cầu khác có khả năng làm việc như một tấm cứng nằm ngang, phải giả thiết tải trọng gió lên nửa trên của dầm biên, lên mặt sàn, xe cộ, lan can, và các cấu kiện phụ trên cầu sẽ truyền lực trực tiếp lên kết cấu nhịp, đang làm việc như tấm cứng ngăn ngang, để rồi truyền tải trọng đến các gối tựa. Phải giả thiết tải trọng gió trên nửa dưới của dầm biên sẽ tác dụng hướng ngang vào bản cánh dưới của dầm.
Đối với các cầu có kết cấu nhịp không làm việc như một tấm cứng nằm ngang thì phải áp dụng quy tắc đòn bẩy cho việc phân bố tải trọng gió lên các bản cánh trên và dưới của dầm.
Phải giả thiết các bản cánh trên và dưới của dầm chịu tải trọng gió ngang truyền tải trọng đến các điểm giằng liền kề bằng tác động uốn. Những điểm giằng như vậy đặt tại các nút giằng gió hoặc tại các khung ngang và các vị trí vách ngăn.
Các lực ngang tác dụng lên các điểm giằng qua bản cánh dầm phải được truyền đến các gối tựa bằng một trong những đường truyền tải sau:
• Sự làm việc trong kết cấu giàn của giằng gió ngang trong mặt phẳng bản cánh dầm
• Hoạt động theo kết cấu khung của các khung ngang hoặc các vách ngang truyền lực lên mặt cầu hoặc giằng gió trong mặt phẳng của bản cánh dầm khác, và sau đó qua tác dụng vách ngăn của mặt cầu, hoặc tác dụng giàn của giằng gió lên các gối tựa.
• Sự uốn theo chiều ngang của bản cánh dầm do các lực ngang gây ra và tất cả các bản cánh dầm khác trong cùng một mặt phẳng sẽ truyền lực lên các đầu cuối của nhịp, ví dụ, khi mặt cầu không có tác dụng như một tấm cứng nằm ngang và không có giằng gió trong mặt phẳng của cả hai bản cánh dầm.
6.2.7.2 Các mặt cắt hình hộp
Một phần tư của lực gió tác dụng lên mặt cắt hình hộp sẽ tác dụng lên bản cánh dưới của dầm hộp bên ngoài. Mặt cắt được giả thiết để chống lại lực gió bao gồm bản cánh dưới (đáy hộp) và một phần của thành hộp như được xác định trong các Phần 5 và 6 bộ tiêu chuẩn này, phải giả thiết ba phần tư còn lại của lực gió lên mặt cắt hình hộp, cộng với lực gió lên xe cộ, barie và các chi tiết phụ khác được truyền đến các gối tựa qua sự làm việc của vách ngang của dầm cầu. Phải có các giằng ngang giữa các hộp nếu mặt cắt dự kiến không đủ chịu lực gió.
6.2.7.3 Thi công
Phải lắp đặt các giằng gió tạm trong quá trình xây dựng đối với các cầu mặt cắt chữ I hoặc hộp.
6.2.8 Sự phân phối tải trọng ngang do động đất
6.2.8.1 Tổng quát
Các điều khoản này được áp dụng cho các vách ngang, các khung giằng và các hệ giằng ngang tức là những bộ phận của hệ thống chịu lực ngang do động đất nói chung, đối với các cầu gọi chung là hệ cầu có bản- trên- dầm trong các vùng động đất cấp 2 và 3. Các quy định trong Điều 9.9.2 Phần 3 bộ tiêu chuẩn này được áp dụng đối với vùng động đất cấp 1.
6.2.8.2 Các tiêu chí thiết kế
Khi thiết kế, phải chứng minh là đã có một đường truyền tải trọng rõ ràng và trực tiếp xuống kết cấu phần dưới của công trình và tất cả các thành phần kết cấu, các mối liên kết có đủ khả năng chịu tác dụng của tải trọng phù hợp với đường truyền tải trọng đã chọn.
Dòng truyền lực trên đường truyền tải trọng đã giả định phải phù hợp với tất cả các thành phần kết cấu và kể cả các chi tiết bị tác động, nhưng không phải chỉ giới hạn như thế, phải kể cả các bản cánh và vách đứng của các dầm hay giàn chủ, các khung giằng ngang, các liên kết, các mặt phân giới của các dầm - bản với tất cả các bộ phận của hệ thống gối cầu truyền từ mặt phân giới của bản cánh trên thông qua sự khống chế của các bu lông neo hoặc các bộ phận tương tự khác của kết cấu bên dưới.
Trong việc phân tích và thiết kế các vách ngăn ở đầu dầm và các khung giằng, cần xét tới hê gối đỡ theo phương nằm ngang với một số lượng gối đỡ thích hợp. Độ mảnh và các yêu cầu về liên kết của các cấu kiện giằng tham gia vào hệ thống chịu lực theo phương ngang phải phù hợp với các điều khoản được quy định cho việc thiết kế các cấu kiện chính.
Phải thiết kế và cấu tạo các bộ phận của các vách ngang và khung giằng ngang do người thiết kế xác định và coi như là một phần của đường truyền tải trọng động đất từ kết cấu phần trên xuống các gối để vẫn giữ được tính đàn hồi dựa vào các tiêu chuẩn áp dụng cho diện tích mặt cắt nguyên khi chịu mọi trận động đất thiết kế bất kể là loại gối đỡ nào. Các điều khoản dùng thiết kế các cấu kiện chính sẽ được áp dụng cho các bộ phận trên.
6.2.8.3 Sự phân bố tải trọng do động đất
Cần phải thiết lập được một đường truyền tải trọng đủ khỏe để truyền các tải trọng theo phương ngang xuống tới móng, căn cứ vào các đặc điểm về độ cứng của mặt cầu, của các vách ngăn, các khung giằng ngang và hệ thống giằng ngang. Trừ trường hợp cần có sự phân tích nghiên cứu kỹ càng hơn thì cần phải giả định xấp xỉ một tuyến đường truyền tải trọng như dưới đây:
• Đối với những cầu có:
o Mặt cầu bằng bê tông có khả năng làm việc như một tấm cứng nằm ngang hoặc.
o Một hệ giằng nằm ngang trong mặt phẳng của bản cánh trên,
các tải trọng ngang tác dụng vào mặt cầu có thể coi như được truyền trực tiếp tới các gối đỡ thông qua các vách ngăn ở đầu dầm hoặc khung giằng. Việc tính toán và phân tích đường truyền tải trọng thông qua mặt cầu hoặc thông qua hệ giằng ngang trên cùng nếu có, sẽ căn cứ vào các tác dụng về mặt kết cấu tương tự như khi phân tích đối với các tải trọng gió.
• Đối với những cầu mà:
o Các mặt cầu không đủ khả năng làm việc như một tấm cứng nằm ngang và
o Không có hệ giằng ngang trong mặt phẳng của bản cánh trên,
thì các tải trọng ngang tác dụng lên mặt cầu phải được phân phối thông qua các vách ngăn và khung giằng trung gian tới hệ giằng ngang dưới và sau đó tới các gối đỡ thông qua các vách ngang đầu dầm theo tỷ lệ với độ cứng tương đối của chúng và khối lượng tương ứng của mặt cầu.
• Nếu không có hệ thống giằng ngang dưới và nếu bản cánh dưới không đủ chịu tác dụng của lực thì cần sử dụng giải pháp thứ nhất và mặt cầu cần được thiết kế và cấu tạo chi tiết sao cho có tác dụng như một tấm cứng nằm ngang cần thiết.
6.2.9 Phân tích các cầu bê tông thi công phân đoạn
6.2.9.1 Tổng quát
Có thể áp dụng sự phân tích đàn hồi và lý thuyết dầm để xác định các mô men, lực cắt và độ võng thiết kế. Phải xem xét các ảnh hưởng do co ngót và từ biến, thay đổi nhiệt độ cũng như những ảnh hưởng do biến dạng cắt trễ. Tính có xét đến biến dạng do cắt trễ theo các quy định của Điều 6.2.9.3.
Đối với các nhịp lớn hơn 75000mm thì khi đánh giá các kết quả về phân tích đàn hồi cần đề cập tới các sự biến đổi có thể có về mô đun đàn hồi của bê tông, các sự biến đổi về tính chất co ngót, từ biến của bê tông và ảnh hưởng của những biến đổi trong các bước thi công tới các yếu tố này và các thông số thiết kế khác.
6.2.9.2 Các mô hình giàn ảo (mô hình chống - giằng)
Các "mô hình giàn ảo" có thể được áp dụng để phân tích trong các vùng đặt tải trọng hoặc vùng có kích thước hình học có sự thay đổi đột ngột.
6.2.9.3 Chiều rộng có hiệu của bản cánh
Chiều rộng có hiệu của bản cánh dùng cho việc tính toán ứng suất khi chịu tải tổ hợp khai thác có thể được xác định theo các quy định của Điều 6.2.6.2.
Các đặc trưng mặt cắt dùng cho việc tính toán với các lực pháp tuyến có thể được xác định theo Hình 6 hoặc bằng cách phân tích chính xác hơn.
Tính toán nội lực uốn, lực cắt và lực pháp tuyến với các sức kháng có hệ số tương ứng.
Khả năng chịu tải của một mặt cắt ngang theo trạng thái giới hạn về cường độ có thể được xác định với giả thiết là toàn bộ bề rộng bản cánh chịu nén.
6.2.9.4 Phân tích theo phương ngang
Khi thiết kế theo phương ngang đối với các đốt dầm hộp, phải xem xét đốt đó như là một khung hộp cứng. Bản mặt hộp dầm sẽ được tính toán như là các mặt cắt có chiều dày thay đổi, có kể đến phần tăng cường góc giữa bản mặt và thành hộp. Các tải trọng do bánh xe tác dụng phải được đặt sao cho có mô men cực đại và phải dùng phương pháp phân tích đàn hồi để xác định sự phân bố thực tế theo chiều dọc của tải trọng bánh xe đối với mỗi vị trí đặt tải. Cần xem xét tới sự gia tăng của lực cắt ở thành hộp và các ảnh hưởng khác đối với mặt cắt ngang do tải trọng lệch tâm hoặc do sự mất đối xứng hình học của kết cấu.
Có thể áp dụng theo các quy định của các Điều 6.2.1 và 6.3.2, khi thiết lập mặt ảnh hưởng, ví dụ như các mặt ảnh hưởng do Hemberg (1968) và Pucher (1964), hoặc các phương pháp phân tích đàn hồi khác, để tính mô men do hoạt tải cộng thêm với ảnh hưởng của xung kích của bản mặt trên của mặt cắt hộp.
Khi phân tích theo phương ngang phải xem xét tới sự co ngắn đàn hồi và từ biến ngang do tác dụng của dự ứng lực gây ra cũng như xét đến co ngót.
Cần phải xét đến các mômen thứ cấp do dự ứng lực trong khi tính toán ứng suất theo trạng thái giới hạn sử dụng và trong việc tính giai đoạn thi công. Trong trạng thái giới hạn về cường độ, tác dụng của lực thứ cấp phát sinh do dự ứng lực, với hệ số vượt tải là 1,0, sẽ được cộng đại số thêm vào các tác dụng của lực gây ra do tĩnh tải và hoạt tải tính toán (có hệ số) và các tải trọng khác.
6.2.9.5 Phân tích theo phương dọc
6.2.9.5.1 Tổng quát
Khi phân tích theo phương dọc các cầu bê tông thi công phân đoạn phải xem xét tới biện pháp thi công đã định và các bước thi công cũng như ảnh hưởng co ngót, từ biến của bê tông theo thời gian và mất mát dự ứng lực.
Phải xét ảnh hưởng của các mômen thứ cấp phát sinh do dự ứng lực trong tính toán ứng suất ở trạng thái giới hạn về sử dụng. Trong trạng thái giới hạn về cường độ, tác dụng của lực thứ cấp gây ra do dự ứng lực với hệ số vượt tải 1,0 phải được cộng đại số thêm vào các tải trọng tính toán (có hệ số) khác cho thích hợp.
6.2.9.5.2 Phân tích kết cấu khi xây lắp
Việc phân tích kết cấu trong bất kỳ giai đoạn thi công nào cũng phải xem xét tới các tổ hợp tải trọng, ứng suất và sự ổn định trong thi công như đã chỉ dẫn trong Điều 14.2.3 Phần 5 bộ tiêu chuẩn này.
6.2.9.5.3 Phân tích hệ thống kết cấu ở trạng thái đã hoàn thành
Áp dụng các quy định trong Điều 14.2.2.3 Phần 5 bộ tiêu chuẩn nầy
6.2.10 Bề rộng tương đương cống hộp
6.2.10.1 Tổng quát
Điều này được áp dụng cho cống hộp với chiều cao đắp nhỏ hơn 600 mm.
6.2.10.2 Trường hợp 1: Xe chạy lưu thông song song với nhịp
Khi xe di chuyển chủ yếu là song song với nhịp, cống sẽ được phân tích cho một làn xếp tải đơn với hệ số làn đơn.
Tải trọng trục xe được phân bố cho bản nắp cống để xác định mô men, lực đẩy ngang, và lực cắt như sau:
Vuông góc với nhịp:
E = 2440 + 0,12S (21)
Song song với nhịp:
Espan = LT + LLDF(H) (22)
Trong đó:
E = chiều rộng phân bố tương đương vuông góc với nhịp (mm)
S = khẩu độ nhịp tịnh (mm)
Espan = chiều dài phân bố tương đương song song với nhịp (mm)
LT = chiều dài của diện tích tiếp xúc của lốp bánh xe song song với nhịp, theo quy định tại Điều 6.1.2.5 Phần 3 bộ tiêu chuẩn này (mm)
LLDF = hệ số phân bố hoạt tải theo chiều sâu đất đắp, 1,15 hoặc 1,00, theo quy định tại Điều 6.1.2.6 Phần 3 bộ tiêu chuẩn này.
H = chiều dày lớp đất đắp từ cống lên đến mặt đường (mm)
6.2.10.3 Trường hợp 2: xe chạy lưu thông vuông góc với nhịp
Khi xe chạy lưu thông vuông góc với nhịp, hoạt tải được phân bố cho bản nắp theo phương trình quy định tại Điều 6.2.1 cho bản bê tông với các dải chính vuông góc với hướng xe chạy.
6.2.10.4 Cống hộp đúc sẵn
Đối với cống hộp đúc sẵn, với bản nắp hộp có tỷ lệ giữa chiều dài nhịp với chiều dày bản bằng 18 hoặc nhỏ hơn và chiều dài đốt cống lớn hơn hoặc bằng 1200mm, thì không cần cấu tạo cơ cấu truyền lực cắt tại khe nối.
Với cống hộp đúc sẵn không thỏa mãn yêu cầu trên, phải thiết kế theo một trong các yêu cầu sau:
• Phải có cấu tạo cơ cấu truyền lực cắt tại mối nối. Cơ cấu truyền lực cắt có thể bằng lớp mặt đường, đất đắp hoặc mối nối cơ học giữa các đốt cống liền kề.
• Thiết kế mặt cắt đầu đốt cống như một dầm gờ mép theo các quy định của Điều 6.2.1.4.2 với chiều rộng phân bố tính theo Phương trình 21. Chiều rộng phân bố không lớn hơn khoảng cách giữa hai mối nối đốt cống liền kề.
6.3 PHƯƠNG PHÁP PHÂN TÍCH CHÍNH XÁC
6.3.1 Tổng quát
Có thể sử dụng các phương pháp chính xác liệt kê trong Điều 4 để phân tích các cầu. Trong phân tích như vậy, phải xem xét các tỷ lệ hình học của các cấu kiện, vị trí và số nút, và các đặc trưng khác về hình dáng có thể ảnh hưởng đến độ chính xác của kết quả giải tích.
Có thể xem xét lan can, rào chắn hay dải phân cách có kết cấu liên tục liên hợp với các bộ phận kết cấu đỡ chúng là thành phần làm việc liên hợp của kết cấu ở trạng thái giới hạn sử dụng và trạng thái giới hạn mỏi.
Khi sử dụng phương pháp phân tích chính xác, phải cung cấp trong hồ sơ thiết kế bảng kết quả tính về các hệ số phân bố hoạt tải cho các nội lực cực trị trong mỗi nhịp để giúp việc cấp giấy phép tải trọng và đánh giá cầu khi quản lý cầu về sau.
6.3.2 Mặt cầu
6.3.2.1 Tổng quát
Trừ khi được quy định khác, phải xét đến biến dạng xoắn và uốn của mặt cầu, riêng biến dạng cắt thẳng đứng có thể bỏ qua trong tính toán.
Ở những vị trí mô men uốn thay đổi đột biến, tại đó lực cắt có thể truyền qua, phải mô hình hóa như các khớp.
Khi phân tích các loại mặt cầu có thể nứt và hoặc tách ra dọc theo các đường biên của cấu kiện khi chịu tải, hệ số Poisson có thể được bỏ qua. Tải trọng bánh xe sẽ được mô hình hóa như một vệt tải trọng phân bố trên diện tích theo quy định của Điều 6.1.2.5 Phần 3 bộ tiêu chuẩn này, lấy tại mặt tiếp xúc. Diện tích này có thể mở rộng theo bề dày của lớp phủ mặt cầu, toàn phần hoặc không toàn phần, trên cả bốn mặt. Khi tính phần mở rộng diện tích vệt bánh xe, phải xét giảm độ dày của lớp phủ do bị mài mòn vào thời điểm xem xét. Các diện tích vệt bánh xe mở rộng khác có thể được sử dụng với sự cho phép của chủ đầu tư, miễn là diện tích mở rộng như vậy là phù hợp với các giả định, và phương pháp áp dụng, của phương pháp phân tích chính xác.
6.3.2.2 Mô hình bản đẳng hướng
Để áp dụng quy định của Điều này, kết cấu nhịp cầu đặc có chiều cao không đổi hoặc gần như không đổi, và độ cứng của chúng gần tương đương trong mỗi hướng trong mặt phẳng phải được coi là bản đẳng hướng
6.3.2.3 Mô hình bản trực hướng
Trong mô hình bản trực hướng, độ cứng chống uốn của các phần tử có thể được phân bố đều dọc theo mặt cắt ngang của kết cấu nhịp cầu. Khi độ cứng chống xoắn của kết cấu nhịp cầu không được tạo ra chỉ bởi tấm bản đặc với độ dày không đổi, thì độ cứng chống xoắn phải được xác định bằng thí nghiệm vật lý hay bằng phép phân tích không gian hoặc các phương pháp gần đúng đã được chấp nhận rộng rãi và đã được kiểm tra.
6.3.2.4 Xây dựng mô hình tính chính xác bản trực hướng
Phải thực hiện tính chính xác bản trực hướng chịu tác dụng trực tiếp của tải trọng bánh xe bằng cách xây dựng mô hình chi tiết kết cấu phần tử hữu hạn 3 chiều với các phần tử tấm hoặc phần tử khối. Mô hình kết cấu nên bao gồm tất cả các bộ phận, liên kết và xét đến các ứng suất cục bộ ở các chi tiết chịu mỏi như chỉ ra trong Bảng 3 Phần 6 bộ tiêu chuẩn này. Kỹ thuật xây dựng mô hình kết cấu có thể áp dụng các giả thiết đơn giản hóa như sau:
• Vật liệu đàn hồi tuyến tính
• Lý thuyết biến dạng nhỏ
• Mặt cắt phẳng vẫn giữ nguyên phẳng
• Bỏ qua ứng suất dư, và
• Bỏ qua các sai số thi công và kích thước hình học mối hàn
Lưới chia phần tử phải đủ chi tiết để tính ứng suất cục bộ ở chân mối hàn và tính áp lực vệt bánh xe với độ chính xác hợp lý.
6.3.3 Cầu dầm - bản
6.3.3.1 Tổng quát
Tỷ số mặt của các phần tử hữu hạn và khoang hệ mạng không được vượt quá 5,0. Cần phải tránh sự thay đổi đột ngột về kích thước và/hoặc dạng của các phần tử hữu hạn.
Các tải trọng nút phải tương đương tĩnh học với tải trọng thực tế tác dụng.
6.3.3.2 Cầu thép cong
Phương pháp phân tích chính xác nên được sử dụng cho việc phân tích cầu thép cong trừ khi có cơ sở khoa học khẳng định các phương pháp phân tích gần đúng là thích hợp theo quy định của Điều 6.2.2.4.
6.3.4 Các cầu hình hộp và cầu mặt cắt nhiều ngăn
Phép phân tích chính xác về cầu mặt cắt nhiều ngăn có thể được thực hiện bằng bất cứ phương pháp phân tích nào như quy định trong Điều 4, ngoại trừ phương pháp đường chảy dẻo, nó xét đến hai chiều trên mặt bằng và mô hình hóa các điều kiện biên. Các mô hình nhằm xác định độ vênh xoắn và tác động khung ngang phải là mô hình ba chiều
Đối với các mặt cắt hộp đơn, kết cấu nhịp có thể được phân tích như dầm bao gồm chuỗi đốt (kiểu cột sống) cho cả các hiệu ứng xoắn và uốn. Hộp thép không được coi là hộp cứng xoắn trừ khi có hệ giằng trong để duy trì mặt cắt hộp đủ cứng. Vị trí ngang của các gối tựa phải được mô hình hóa.
6.3.5 Cầu giàn
Phép phân tích khung không gian hoặc khung phẳng chính xác cần bao gồm việc xét đến các vấn đề sau:
• Tác động liên hợp với mặt cầu hoặc hệ mặt cầu;
Tính liên tục giữa các cấu kiện;
• Các hiệu ứng lực do tải trọng bản thân của các cấu kiện, sự thay đổi hình học do biến dạng, và dịch chuyển dọc trục của các nút, và
• Sự oằn trong và ngoài mặt phẳng của các cấu kiện bao gồm cả độ vênh ban đầu, tính liên tục giữa các cấu kiện và ảnh hưởng của lực dọc trục có mặt trong các cấu kiện này.
Sự mất ổn định (oằn) ra ngoài mặt phẳng dàn của mạ thượng trong các cầu giàn thấp không có hệ giằng gió trên phải được nghiên cứu chi tiết. Nếu giàn được cấu tạo giữ ổn định ngang bằng các khung ngang mà các dầm ngang là một phần của chúng, thì biến dạng của các dầm ngang do tải trọng xe phải được xét đến.
6.3.6 Cầu vòm
Cần áp dụng các quy định trong Điều 6.3.5 khi thích hợp.
Hiệu ứng giãn dài của cáp treo phải được xét đến khi phân tích vòm với thanh căng.
Khi không khống chế được bằng cấu tạo hợp lý thì phải xét đến sự co ngắn của sườn vòm.
Phải sử dụng phép phân tích biến dạng lớn cho các vòm có nhịp lớn để thay cho phương pháp hệ số khuyếch đại mô men như quy định trong Điều 5.3.2.2.3.
Khi sự phân bố ứng suất giữa mạ thượng và mạ hạ của vòm giàn bị phụ thuộc vào cách lắp dựng, thì cách lắp dựng phải được chỉ rõ trong hồ sơ thiết kế.
6.3.7 Cầu dây văng
Có thể xác định sự phân bố nội lực cho các bộ phận của cầu dây văng bằng phân tích mô hình tính không gian hoặc mô hình tính phẳng nếu đánh giá, điều chỉnh đặc trưng hình học của trụ tháp, số mặt phẳng dây và độ cứng chống xoắn của kết cấu mặt cầu
Phải xét đến hiệu ứng phi tuyến trong kết cấu cầu dây văng do các yếu tố sau gây ra:
• Thay đổi độ võng cáp văng trong mọi trạng thái giới hạn,
• Biến dạng của kết cấu dầm cầu và các trụ tháp trong mọi trạng thái giới hạn, và
• Tính không tuyến tính của vật liệu trong các trạng thái giới hạn đặc biệt.
Có thể xét ảnh hưởng độ võng của dây cáp văng bằng cách sử dụng cấu kiện tương đương được mô hình hóa như 1 thanh với mô đun đàn hồi được điều chỉnh theo Phương trình 23 cho độ cứng tức thời và theo Phương trình 24 theo cách tính lặp, ứng với sự thay đổi tải trọng cáp văng.
(23)
(24)
| trong đó: |
| |
| E | = | mô đun đàn hồi của dây cáp văng (MPa) |
| W | = | tổng trọng lượng của dây cáp văng (N) |
| A | = | diện tích mặt cắt của dây cáp văng (mm2) |
| α | = | góc giữa dây cáp văng và phương nằm ngang (Độ) |
| H, H1, H2, | = | thành phần nằm ngang của lực cáp văng (N). |
Khi xét sự thay đổi hiệu ứng lực do độ võng có thể sử dụng phương pháp bất kỳ thỏa mãn các quy định của Điều 5.3.2.1, và có xét đến sự thay đổi góc xiên của các đầu dây cáp văng.
Cầu dây văng phải được tính toán xét đến tình huống đứt một dây văng bất kỳ và trường hợp thay một dây văng.
6.3.8 Cầu treo dây võng
Các hiệu ứng lực trong cầu treo dây võng phải được phân tích bằng lý thuyết biến dạng lớn đối với tải trọng thẳng đứng. Các hiệu ứng của tải trọng gió phải được phân tích có xét sự tăng độ cứng do kéo căng của các dây cáp. Độ cứng chống xoắn của dầm cầu có thể bỏ qua khi đặt lực tác dụng lên các dây cáp võng, các thanh treo và các thành phần của giàn tăng cứng.
6.4 SỰ PHÂN BỐ LẠI MÔ MEN ÂM TRONG CẦU DẦM LIÊN TỤC
6.4.1 Tổng quát
Có thể cho phép xem xét phân bố lại các nội lực trong các kết cấu nhịp dầm có nhiều nhịp, có nhiều dầm hoặc dầm tổ hợp. Sự làm việc không đàn hồi chỉ được giới hạn xét đối với chịu uốn của dầm hoặc dầm tổ hợp, không cho phép xét sự làm việc không đàn hồi do lực cắt và sự oằn dọc không kiểm soát được. Sự phân bố lại tải trọng không được xét đến trong phương ngang.
Sự giảm các mô men âm trên các gối tựa của các nhịp giữa do sự phân bố lại phải kèm theo tăng mô men dương tương ứng trong các nhịp.
6.4.2 Phương pháp chính xác
Các mô men âm trên gối tựa, được xác định bởi phép phân tích đàn hồi tuyến tính, có thể được giảm đi bằng quá trình phân bố lại khi xét đến các đặc tính mô men- góc quay của mặt cắt, hoặc bằng phương pháp cơ học được công nhận. Mối quan hệ mô men - chuyển động quay phải được thiết lập bằng cách sử dụng các đặc tính của vật liệu, như quy định trong bộ tiêu chuẩn này, và/hoặc bằng thí nghiệm vật lý.
6.4.3 Phương pháp gần đúng
Thay cho phép phân tích như quy định trong Điều 6.4.2 có thể sử dụng phương pháp phân bố lại đã được đơn giản hóa cho các dầm thép và bê tông, như quy định trong các Phần 5 và 6 bộ tiêu chuẩn này..
6.5 ỔN ĐỊNH
Khi tính toán ổn định phải sử dụng thuyết lý biến dạng lớn.
6.6 PHÂN TÍCH VỀ GRA-ĐI-EN NHIỆT ĐỘ
Khi có yêu cầu xác định nội lực do gra-đi-en nhiệt thẳng đứng gây ra, thì phép phân tích cần xét đến độ giãn dài dọc trục, biến dạng uốn và các nội ứng suất.
Các gra-đi-en phải theo quy định trong Điều 11.3 Phần 3 bộ tiêu chuẩn này..
7 PHÂN TÍCH ĐỘNG LỰC HỌC
7.1 NHỮNG YÊU CẦU CƠ BẢN VỀ ĐỘNG LỰC HỌC KẾT CẤU
7.1.1 Tổng quát
Để phân tích sự làm việc động học của cầu, độ cứng, khối lượng và các đặc tính giảm chấn của các thành phần kết cấu phải được mô hình hóa.
Số lượng bậc tự do ít nhất được tính đến trong phép phân tích phải dựa trên số lượng tần số tự nhiên sẽ nhận được và độ tin cậy của các dạng thức dao động đã giả thiết. Mô hình phải tương thích với độ chính xác của phương pháp giải. Các mô hình động học phải bao hàm các dạng liên quan đến kết cấu và sự kích rung. Các dạng liên quan của kết cấu có thể bao gồm:
• Sự phân bố khối lượng,
• Sự phân bố độ cứng, và
• Các đặc tính giảm chấn.
Các khía cạnh có liên quan của sự kích rung có thể bao gồm:
• Tần số của hàm số lực,
• Thời gian đặt tải, và
• Hướng đặt tải.
7.1.2 Sự phân bố khối lượng
Việc mô hình hóa khối lượng phải được thực hiện có xét đến mức độ rời rạc phân giải trong mô hình, và sự chuyển động dự kiến.
7.1.3 Độ cứng
Cầu phải được mô hình hóa để nhất quán với số bậc tự do được chọn đại diện các dạng thức và các tần số riêng của dao động. Độ cứng của các phần tử của mô hình phải được quy định cho phù hợp với cầu đang được mô hình hóa.
7.1.4 Giảm chấn
Bộ giảm chấn nhớt tương đương có thể được sử dụng để thể hiện tính tiêu năng.
7.1.5 Tần số dao động riêng
Để thực hiện Điều 7.2, phải sử dụng các dạng thức và các tần số dao động riêng (dao động tự nhiên) không giảm chấn đàn hồi. Để thực hiện Điều 7.4 và 7.5, phải xét đến tất cả các dạng thức dao động và các tần số giảm chấn thích hợp.
7.2 ỨNG XỬ ĐỘNG HỌC ĐÀN HỒI
7.2.1 Dao động do xe cộ
Khi cần sự phân tích về tác động động học tương hỗ giữa cầu và hoạt tải, Phải có luận cứ để kiến nghị và được chấp thuận các số liệu về độ nhám bề mặt, vận tốc và các đặc tính động học của xe cộ đưa vào trong phép phân tích. Hệ số xung kích phải được lấy bằng tỷ số giữa hiệu ứng lực động học cực trị và hiệu ứng lực tĩnh tương ứng.
Trong mọi trường hợp, độ gia tăng tải trọng động sử dụng trong thiết kế không được nhỏ hơn 50% độ gia tăng tải trọng động được quy định trong Bảng 10 Phần 3 bộ tiêu chuẩn này, ngoài ra không cho phép giảm đối với các khe nối mặt cầu.
7.2.2 Dao động do gió
7.2.2.1 Các vận tốc gió
Đối với các kết cấu quan trọng nhạy cảm với các tác động của gió, vị trí và độ lớn của các giá trị về áp lực cực trị và sức hút phải được xác định bằng các thí nghiệm trong hầm gió.
7.2.2.2 Các hiệu ứng động học
Các kết cấu nhạy cảm với gió phải được phân tích về các hiệu ứng động học như sự lắc do gió xoáy hoặc gió giật, và tác động tương hỗ gió - kết cấu không ổn định như rung giật và chao đảo. Các kết cấu mảnh hoặc dễ uốn xoắn phải được phân tích về oằn ngang, đẩy nâng quá mức và rung lệch tăng dần.
7.2.2.3 Giải pháp cấu tạo thiết kế
Biến dạng dao động dưới tác động của gió có thể dẫn đến các ứng suất quá mức, sự mỏi kết cấu, và sự phiền phức hoặc bất tiện cho người dùng. Mặt cầu, cáp văng và cáp treo phải được bảo vệ tránh bị gió xoáy quá mức và các dao động do mưa gió. Khi áp dụng thực tế, việc sử dụng các bộ giảm chấn phải được xét để kiểm soát được những tác động động học quá mức. Khi các đặt bộ giảm chấn hoặc sự thay đổi hình dạng không thực hiện được, thì hệ kết cấu phải được thay đổi để đạt được sự kiểm soát đó.
7.3 ỨNG XỬ ĐỘNG HỌC KHÔNG ĐÀN HỒI
7.3.1 Tổng quát
Trong khi chịu tác động của động đất hoặc va chạm tầu thuyền, năng lượng có thể được làm tiêu đi bằng một hoặc nhiều cơ chế dưới đây:
• Biến dạng đàn hồi và không đàn hồi của vật thể có thể va chạm với kết cấu,
• Biến dạng không đàn hồi của kết cấu và các vật gắn liền với nó,
• Chuyển vị không hồi phục của các khối lượng của kết cấu và các vật gắn với nó, và
• Biến dạng không đàn hồi của các bộ phận tiêu năng cơ học chuyên dụng.
7.3.2 Các khớp dẻo và các đường chảy dẻo
Để phân tích, năng lượng hấp thụ được bởi biến dạng không đàn hồi trong thành phần kết cấu có thể được giả thiết là tập trung tại các khớp dẻo và các đường chảy dẻo. Vị trí của những mặt cắt này có thể xác định bằng phép xấp xỉ liên tiếp để đạt được lời giải sát hơn về năng lượng được hấp thụ. Đối với các mặt cắt này, các đường cong mô men-góc quay có thể được xác định bằng cách sử dụng các mô hình vật liệu phân tích đã được kiểm tra.
7.4 PHÂN TÍCH TẢI TRỌNG ĐỘNG ĐẤT
7.4.1 Tổng quát
Phải thực hiện các yêu cầu phân tích tối thiểu về các hiệu ứng động đất theo quy định trong Bảng 14.
Đối với các phương pháp phân tích theo kiểu dạng được quy định trong các Điều 7.4.3.2 và 7.4.3.3 phải tính phổ thiết kế đàn hồi theo Phương trình 19 Phần 3 bộ tiêu chuẩn này.
Đối với các cầu nằm trong vùng động đất I không cần thiết phải phân tích về tải trọng động đất bất kể tầm quan trọng và hình dạng của nó. Tuy nhiên phải tuân theo các yêu cầu tối thiểu quy định trong các Điều 7.4.4 và Điều 9.9 Phần 3 bộ tiêu chuẩn này.
7.4.2 Các cầu một nhịp
Không cần phân tích động đất đối với các cầu một nhịp dù nó nằm trong vùng động đất.
Phải thiết kế liên kết giữa kết cấu cầu và các mố cầu theo các yêu cầu tối thiểu về lực như quy định trong Điều 9.9 Phần 3 bộ tiêu chuẩn này.
Phải bố trí kích thước mố cầu có đủ bề rộng tựa dầm tối thiểu để đỡ dầm phòng khi dầm bị rơi khỏi gối, theo quy định trong Điều 7.4.4.
7.4.3 Các cầu nhiều nhịp
7.4.3.1 Lựa chọn phương pháp
Đối với các kết cấu nhiều nhịp phải thực hiện các yêu cầu phân tích tối thiểu theo quy định trong Bảng 14,
Cầu có cấu tạo đáp ứng các yêu cầu của Bảng 15 có thể được coi là cầu "bình thường". Cầu không đáp ứng các yêu cầu của Bảng 15 có thể được coi là cầu "bất thường".
Bảng 14 - Các yêu cầu tối thiểu đối với tác động của động đất
| Vùng động đất | Cầu một nhịp | Cầu nhiều nhịp | |||||
| Các cầu loại khác | Các cầu chủ yếu | Các cầu đặc biệt | |||||
| Bình thường | Không bình thường | Bình thường | Không bình thường | Bình thường | Không bình thường | ||
| 1 | Không cần xét | 0* | 0 | 0 | 0 | 0 | 0 |
| 2 | SM/UL** | SM | SM/UL | MM | MM | MM | |
| 3 | SM/UL | MM | MM | MM | MM | TH | |
| * = không cần đến phân tích động đất ** Các ký hiệu trong bảng này như sau: SM = phương pháp đàn hồi dạng đơn UL = phương pháp đàn hồi tải trọng phân bố đều MM = phương pháp đàn hồi dạng phức TH = phương pháp lịch sử thời gian | |||||||
Bảng 15 - Yêu cầu phân tích tối thiểu đối với tác động của động đất
| Thông số | Giá trị | ||||
| Số nhịp | 2 | 3 | 4 | 5 | 6 |
| Góc chắn tối đa cho cầu cong | 90° | 90° | 90° | 90° | 90° |
| Tỷ lệ chiều dài nhịp tối đa từ nhịp tới nhịp | 3 | 2 | 2 | 1.5 | 1.5 |
| Tỷ lệ độ cứng của tru/trụ khung lớn nhất từ nhịp tới nhịp, không bao gồm mố cầu | - | 4 | 4 | 3 | 2 |
Cầu cong bao gồm nhiều dịp giản đơn sẽ được coi là bất thường nếu góc chắn cung lớn hơn 200. Loại cầu này sẽ được phân tích bằng phương pháp đàn hồi dạng phức hoặc phương pháp lịch sử thời gian.
Một cầu dầm cong liên tục có thể được phân tích như cầu thẳng nếu các điều kiện sau được thỏa mãn:
• Cầu là "bình thường" theo quy định tại Bảng 15, ngoại trừ cầu hai nhịp có tỷ lệ chiều dài giữa nhịp tối đa với nhịp khác không vượt quá 2;
• Góc chắn cung trên mặt bằng không quá 900, và
• Chiều dài nhịp của các cầu thẳng tương đương bằng chiều dài dây cung của cầu cong.
Nếu các yêu cầu này không được đáp ứng, thì cầu dầm cong liên tục phải được phân tích bằng cách sử dụng hình học cong thực tế.
7.4.3.2 Phương pháp phân tích dạng đơn (đơn mốt)
7.4.3.2.1 Tổng quát
Một trong hai phương pháp phân tích kiểu dạng đơn được chỉ định ở đây đều có thể được sử dụng trong trường hợp thích hợp.
7.4.3.2.2 Phương pháp phổ dạng đơn
Phương pháp dạng đơn để phân tích phổ dựa trên dạng dao động cơ bản theo phương dọc hoặc phương ngang. Hình dạng dao động này có thể thấy được khi ta tác động vào kết cấu một tải trọng nằm ngang rải đều và tính toán biến hình tương ứng. Có thể tính toán chu kỳ dao động riêng bằng cách cân bằng thế năng và động năng cực đại kết hợp với hình dạng dao động cơ bản. Biên độ của hình dạng chuyển vị có thể được tính ra nhờ hệ số ứng xử động đất đàn hồi Csm như đã được nêu trong Điều 9.6. Phần 3 bộ tiêu chuẩn này và từ chuyển vị phổ tương ứng. Biên độ này được dùng để xác định các hiệu ứng lực.
7.4.3.2.3 Phương pháp tải trọng rải đều
Phương pháp tải trọng rải đều được dựa trên dạng dao động cơ bản theo phương dọc hoặc phương ngang. Chu kỳ của dạng dao động này phải được lấy bằng chu kỳ của một bộ chấn động khối - lò xo đơn tương đương. Để tính độ cứng của lò xo tương đương này phải sử dụng chuyển vị cực đại phát sinh khi cầu chịu tác dụng của một tải trọng ngang rải đều bất kỳ. Hệ số ứng xử động đất đàn hồi Csm quy định trong Điều 9.6 Phần 3 bộ tiêu chuẩn này phải được sử dụng để tính tải trọng rải đều tương đương do động đất mà từ đó tính được các hiệu ứng lực do động đất.
7.4.3.3 Phương pháp phân tích phổ dạng phức (đa mốt)
Phải sử dụng phương pháp phân tích phổ dạng phức đối với cầu trong đó có kết hợp xét 2 hay 3 hướng tọa độ trong mỗi dạng dao động. Ít nhất thì phép phân tích động học tuyến tính với mô hình không gian 3 chiều phải được sử dụng để thể hiện kết cấu.
Số dạng dao động đưa vào trong phép phân tích ít nhất phải bằng ba lần số nhịp trong mô hình. Phải sử dụng phổ ứng xử động đất đàn hồi theo Điều 9.6 Phần 3 bộ tiêu chuẩn này cho mỗi dạng dao động.
Ước lượng các lực và các chuyển vị của các cấu kiện bằng cách sử dụng cách tổ hợp các ứng xử tương ứng của các đại lượng (mômen, lực, chuyển vị, hay chuyển vị tương đối) rút ra từ các dạng dao động riêng theo phương pháp tổ hợp toàn phương (CQC)
7.4.3.4 Phương pháp lịch sử thời gian
Bất cứ phương pháp lịch sử thời gian cập nhật nào được sử dụng cho phép phân tích đàn hồi hoặc không đàn hồi, phải thỏa mãn các yêu cầu của Điều 7.
Phải xác định độ nhạy cảm của lời giải số cho kích thước của bước thời gian được sử dụng cho phép phân tích. Việc nghiên cứu độ nhạy cũng phải được thực hiện để khảo sát các hiệu ứng của sự biến đổi các tính chất trễ của vật liệu đã giả thiết.
Các lịch sử thời gian của gia tốc đưa vào sử dụng để mô tả các tải trọng động đất phải được lựa chọn với sự tư vấn của Chủ đầu tư. Trừ phi được chỉ dẫn khác đi, 5 lịch sử thời gian với phổ tương thích phải được sử dụng khi các lịch sử thời gian riêng tại vị trí xây dựng cầu là không có sẵn. Phổ được sử dụng để phát ra 5 lịch sử thời gian này sẽ giống như phổ được sử dụng cho các phương pháp dạng dao động như quy định trong Điều 9.6. Phần 3 bộ tiêu chuẩn này được thay đổi cho địa tầng thích hợp.
7.4.4 Các yêu cầu chiều rộng đỡ dầm tối thiểu
Bề rộng đỡ dầm (chiều dài chồng lấn giữa mặt mố trụ và dầm cầu) tại vị trí gối di động mà không có thiết bị truyền động, STUs, hoặc bộ giảm chấn phải lấy lớn hơn chuyển vị cực đại tính theo các quy định của Điều 7.4.3 trừ các cầu ở Vùng động đất 1, hoặc phần trăm của bề rộng lấy theo kinh nghiệm, N, như cho trong Phương trình 25, hoặc phải đặt các neo giữ chiều dọc theo Điều 9.9.5 Phần 3 bộ tiêu chuẩn này. Các gối được giữ chống dịch chuyển dọc phải được thiết kế theo Điều 9.9 Phần 3 bộ tiêu chuẩn này. Các phần trăm của N, áp dụng cho mỗi vùng động đất phải lấy theo Bảng 16.
Bề rộng đỡ dầm, theo kinh nghiệm phải lấy như sau:
N = (200+ 0.0017 L+ 0.0067 H) (1+0.000 125 S2) (25)
trong đó:
N = chiều dài đỡ dầm tối thiểu được đo vuông góc với đường trục của gối (mm)
L = chiều dài của mặt cầu đến khe co giãn lân cận, hoặc đến điểm cuối của mặt cầu. Đối với các khớp trong nhịp, L phải là tổng các khoảng đến khớp ở hai bên. Đối với các cầu một nhịp, L tương đương với chiều dài của mặt cầu (mm)
H = đối với các mố, chiều cao trung bình của các cột đỡ kết cấu nhịp cầu đến khe co giãn gần nhất (mm)
đối với các cột và các trụ, là chiều cao của cột hoặc trụ (mm)
đối với các khớp nối treo dầm bên trong nhịp, chiều cao trung bình của 2 cột hoặc trụ lân cận (mm),
lấy giá trị 0.0 cho các cầu một nhịp (mm)
S = độ chéo mặt đỡ, đo từ đường vuông góc với nhịp (Độ)
Bảng 16- Phần trăm của N theo vùng và hệ số gia tốc
| Vùng | Hệ số gia tốc | Loại đất | % N |
| 1 | < 0.025 | I hoặc II | ≥ 50 |
| 1 | < 0.025 | III hoặc IV | 100 |
| 1 | > 0.025 | Tất cả | 100 |
| 2 | Thích hợp tất cả | Tất cả | 100 |
| 3 | Thích hợp tất cả | Tất cả | 150 |
7.5 PHÂN TÍCH TẢI TRỌNG VA TẦU
Trong phạm vi cho phép của các quy định tại Phần 3 bộ tiêu chuẩn này, có thể thay thế phép phân tích động học đối với các va tầu thuyền bằng phép phân tích đàn hồi tĩnh học tương đương. Khi có quy định dùng phép phân tích không đàn hồi thì phải xem xét tác động của các tải trọng khác có thể xẩy ra.
8 PHÂN TÍCH THEO MÔ HÌNH VẬT LÝ
8.1 THÍ NGHIỆM TRÊN MÔ HÌNH CÓ TỶ LỆ THU NHỎ KẾT CẤU
Để thiết lập và kiểm tra sự làm việc của kết cấu, có thể yêu cầu và làm thí nghiệm các mô hình tỷ lệ thu nhỏ kết cấu và các bộ phận của nó, các tính chất về kích thước và vật liệu của kết cấu, cũng như các điều kiện biên và tải trọng, phải được mô hình hóa càng chính xác càng tốt. Đối với phân tích lực học phải sử dụng hợp lý tỷ lệ quán tính nội bộ, các hàm tải trọng/ kích thích và hàm giảm chấn. Đối với các thí nghiệm về trạng thái giới hạn cường độ phải mô phỏng trong bản thân tính toán sự đo đạc bằng dụng cụ không được ảnh hưởng đáng kể đến lời giải và kết quả của mô hình.
8.2 THỬ CẦU
Để xác định hiệu ứng lực và khả năng chịu tải của các cầu hiện có người ta có thể thử bằng các dụng cụ đo và các kết quả đạt được dưới các điều kiện khác nhau của tải trọng của giao thông và của tải trọng môi trường hoặc tải trọng thí nghiệm bằng các xe chuyên dùng.
Phụ lục - A
(tham khảo)
Bảng tra thiết kế bản mặt cầu
Có thể sử dụng Bảng A1 để tra các giá trị mô men thiết kế bản cho các kiểu bố trí dầm khác nhau. Các giả thiết cũng như các hạn chế liệt kê dưới đây đã được chấp nhận khi xây dựng các giá trị của Bảng này cần được chú ý khi sử dụng các giá trị trong Bảng cho công tác thiết kế:
• Các giá trị mô men là kết quả tính bằng phương pháp dải tương đương áp dụng cho các bản bê tông tựa trên các dầm song song.
• Các giá trị trong bảng đã nhân với hệ số làn và hệ số xung kích.
• Xác định khoảng cách từ tim dầm tới vị trí mặt cắt thiết kế mô men âm của bản theo Điều 6.2.1.6. Có thể dùng phương pháp nội suy theo các giá trị trong Bảng A1 để xác định các giá trị cho các khoảng cách không liệt kê trong Bảng.
• Các giá trị mô men của bản tựa trên ít nhất ba dầm và có chiều rộng giữa tim các dầm biên không nhỏ hơn 4200 mm..
• Các giá trị mô men đại diện giới hạn trên của mô men ở vùng trong của bản cho một khoảng cách bất kỳ giữa các dầm được lấy như giá trị lớn nhất tính toán và số lượng dầm khác nhau trong mặt cắt ngang cầu. Với mỗi tổ hợp khoảng cách dầm với số lượng dầm, hai trường hợp chiều rộng cánh hẫng của ban sau được xem xét:
(a) Chiều rộng nhỏ nhất cánh hẫng của bản là 530 mm tính từ tim của dầm biên, và
(b) Chiều rộng lớn nhất cánh hẫng của bản lấy bằng giá trị nhỏ hơn giữa các giá trị 0.625 lần khoảng cách tim dầm và 1800 mm.
Khi xác định chiều rộng tịnh cánh hẫng của bản, lấy chiều rộng của rào chắn lan can bằng 530 mm. Nếu lan can rào chắn có chiều rộng khác, sự khác biệt với mô men ở vùng trong được coi là trong giới hạn có thể chấp nhận được cho thực tế thiết kế.
• Các giá trị mô men không dùng cho cánh hẫng của bản và các vùng bản lân cận mà phải thiết kế theo các quy định của Điều 13.7.3.5.
• Kết quả tính cho thấy hiệu ứng lực gây ra do xe hai trụ thiết kế với cặp trục 110000 N đặt cách nhau 1200 mm bằng với hiệu ứng lực do trục xe 145 000 N. Xe 2 trục thiết kế tạo ra mô men lớn hơn nhưng lại phân bố trên một chiều rộng bản lớn hơn. Vì thế có thể kết luận rằng việc tính lặp cho các chiều rộng dải khác nhau với xe hai trục thiết kế sẽ có kết quả khác nhau không đáng kể.
Bảng A1- Mô men uốn lớn nhất trên một đơn vị chiều rộng bản, N-mm/mm
| Smm | Mômen dương | Mômen âm | ||||||
| Khoảng cách từ đường tim dầm tới mặt cắt thiết kế cho mômen âm | ||||||||
| 0.0 mm | 75 mm | 150 mm | 225 mm | 300 mm | 450 mm | 600 mm | ||
| 1300 | 21 130 | 11 720 | 10 270 | 8940 | 7950 | 7150 | 6060 | 5470 |
| 1400 | 21 010 | 14 140 | 12 210 | 10 340 | 8940 | 7670 | 5960 | 5120 |
| 1500 | 21 050 | 16 320 | 14 030 | 11 720 | 9980 | 8240 | 5820 | 5250 |
| 1600 | 21 190 | 18 400 | 15 780 | 13 160 | 11 030 | 8970 | 5910 | 4290 |
| 1700 | 21 440 | 20 140 | 17 290 | 14 450 | 12 010 | 9710 | 6060 | 4510 |
| 1800 | 21 790 | 21 690 | 18 660 | 15 630 | 12 930 | 10 440 | 6270 | 4790 |
| 1900 | 22 240 | 23 050 | 19 880 | 16 710 | 13 780 | 11 130 | 6650 | 5130 |
| 2000 | 22 780 | 24 260 | 20 960 | 17 670 | 14 550 | 11 770 | 7030 | 5570 |
| 2100 | 23 380 | 26 780 | 23 190 | 19 580 | 16 060 | 12 870 | 7410 | 6080 |
| 2200 | 24 040 | 27 670 | 24 020 | 20 370 | 16 740 | 13 490 | 7360 | 6730 |
| 2300 | 24 750 | 28 450 | 24 760 | 21 070 | 17 380 | 14 570 | 9080 | 8050 |
| 2400 | 25 500 | 29 140 | 25 420 | 21 700 | 17 980 | 15 410 | 10 870 | 9340 |
| 2500 | 26 310 | 29 720 | 25 990 | 22 250 | 18 510 | 16 050 | 12 400 | 10 630 |
| 2600 | 27 220 | 30 220 | 26 470 | 22 730 | 18 980 | 16 480 | 13 660 | 11 880 |
| 2700 | 28 120 | 30 680 | 26 920 | 23 170 | 19 420 | 16 760 | 14 710 | 13 110 |
| 2800 | 29 020 | 31 050 | 27 300 | 23 550 | 19 990 | 17 410 | 15 540 | 14 310 |
| 2900 | 29 910 | 32 490 | 28 720 | 24 940 | 21 260 | 18 410 | 16 800 | 15 480 |
| 3000 | 30 800 | 34 630 | 30 790 | 26 960 | 23 120 | 19 460 | 18 030 | 16 620 |
| 3100 | 31 660 | 36 630 | 32 770 | 28 890 | 23 970 | 21 150 | 19 230 | 17 780 |
| 3200 | 32 500 | 38 570 | 34 670 | 30 770 | 26 880 | 22 980 | 20 380 | 18 910 |
| 3300 | 33 360 | 40 440 | 36 520 | 32 600 | 28 680 | 24 770 | 21 500 | 20 010 |
| 3400 | 34 210 | 42 250 | 38 340 | 34 430 | 30 520 | 26 610 | 22 600 | 21 090 |
| 3500 | 35 050 | 43 970 | 40 030 | 36 090 | 32 150 | 28 210 | 23 670 | 22 130 |
| 3600 | 35 870 | 45 650 | 41 700 | 37 760 | 33 810 | 29 870 | 24 700 | 23 150 |
| 3700 | 36 670 | 47 250 | 43 310 | 39 370 | 35 430 | 31 490 | 25 790 | 24 140 |
| 3800 | 37 450 | 48 820 | 44 880 | 40 940 | 37 010 | 33 070 | 27 080 | 25 100 |
| 3900 | 38 230 | 50 320 | 46 390 | 42 460 | 38 540 | 34 600 | 28 330 | 25 550 |
| 4000 | 38 970 | 51 790 | 47 870 | 43 950 | 40 030 | 36 110 | 29 570 | 26 410 |
| 4100 | 39 710 | 53 190 | 49 280 | 45 370 | 41 470 | 37 570 | 30 770 | 27 850 |
| 4200 | 40 420 | 54 560 | 50 670 | 46 770 | 42 880 | 38 990 | 31 960 | 28 730 |
| 4300 | 41 120 | 55 880 | 52 000 | 48 130 | 44 250 | 40 380 | 33 130 | 29 570 |
| 4400 | 41 800 | 57 150 | 53 290 | 49 440 | 45 580 | 41 720 | 34 250 | 30 400 |
| 4500 | 42 460 | 58 420 | 54 580 | 50 740 | 46 900 | 43 060 | 35 380 | 31 290 |
| 4600 | 43 110 | 59 620 | 55 800 | 51 980 | 48 160 | 44 340 | 36 700 | 32 360 |
Bạn chưa Đăng nhập thành viên.
Đây là tiện ích dành cho tài khoản thành viên. Vui lòng Đăng nhập để xem chi tiết. Nếu chưa có tài khoản, vui lòng Đăng ký tại đây!

















































