- Tổng quan
- Nội dung
- Tiêu chuẩn liên quan
- Lược đồ
- Tải về
Tiêu chuẩn quốc gia TCVN 14214:2024 Nhà ở và công trình công cộng - Các yêu cầu đối với thông số vi khí hậu trong phòng
| Số hiệu: | TCVN 14214:2024 | Loại văn bản: | Tiêu chuẩn Việt Nam |
| Cơ quan ban hành: | Bộ Khoa học và Công nghệ | Lĩnh vực: | Xây dựng |
| Trích yếu: | Nhà ở và công trình công cộng - Các yêu cầu đối với thông số vi khí hậu trong phòng | ||
|
Ngày ban hành:
Ngày ban hành là ngày, tháng, năm văn bản được thông qua hoặc ký ban hành.
|
25/12/2024 |
Hiệu lực:
|
Đã biết
|
| Người ký: | Đang cập nhật |
Tình trạng hiệu lực:
Cho biết trạng thái hiệu lực của văn bản đang tra cứu: Chưa áp dụng, Còn hiệu lực, Hết hiệu lực, Hết hiệu lực 1 phần; Đã sửa đổi, Đính chính hay Không còn phù hợp,...
|
Đã biết
|
TÓM TẮT TIÊU CHUẨN VIỆT NAM TCVN 14214:2024
TCVN 14214:2024: Quy định các yêu cầu đối với thông số vi khí hậu trong phòng
Tiêu chuẩn quốc gia TCVN 14214:2024, được ban hành ngày 25/12/2024, có hiệu lực từ ngày 25/12/2024, quy định yêu cầu đối với các thông số vi khí hậu trong không gian hoạt động của các phòng ở và công trình công cộng. Tiêu chuẩn này phân loại vi khí hậu thành vi khí hậu tự nhiên và nhân tạo, cũng như xác định các thông số như nhiệt độ, độ ẩm, tốc độ chuyển động của không khí.
TCVN 14214:2024 không chỉ quy định về nhiệt độ và độ ẩm, mà còn lưu ý tới các yếu tố ảnh hưởng đến cảm giác nhiệt của con người, bao gồm cả nhiệt độ bức xạ và tốc độ gió. Tiêu chuẩn này xác định rằng khoảng chênh lệch nhiệt độ không khí giữa các vị trí khác nhau trong phòng phải không vượt quá ±2 °C. Trong khi đó, tốc độ chuyển động của không khí tối đa cho phép là 1,5 m/s trong mùa nóng và 0,5 m/s trong mùa lạnh cho các phòng ở.
Đối với các phòng có người hoạt động thường xuyên, các điều kiện tiện nghi nhiệt được phân thành các cấp từ A đến D. Cụ thể, điều kiện tiện nghi cấp A yêu cầu tỷ lệ người cảm thấy thoải mái đạt ≥90%, trong khi cấp D chỉ yêu cầu tỷ lệ này bằng 50%. Các thông số vi khí hậu phải được tính toán và đáp ứng các giá trị giới hạn cụ thể theo mùa nóng và lạnh, với yêu cầu nhiệt độ không khí và độ ẩm phải nằm trong các khoảng nhất định.
Tiêu chuẩn cũng quy định rằng đối với các phòng công cộng như phòng mổ, nhiệt độ thấp nhất cần đạt là 25 °C và độ ẩm tương đối từ 50% đến 60%. Ngoài ra, điều kiện vi khí hậu còn có sự khác biệt rõ rệt giữa các không gian như phòng xem phim, phòng đọc thư viện, hoặc phòng thể dục thể thao, với các yêu cầu cụ thể cho từng loại phòng.
TCVN 14214:2024 yêu cầu đánh giá các thông số vi khí hậu như nhiệt độ bức xạ trung bình không được hơn 2,5 °C so với nhiệt độ không khí trong phòng. Các thông số phải được kiểm tra và đo lường trong thực tế để đảm bảo tính khả thi và hiệu quả của môi trường sống.
Bên cạnh đó, tiêu chuẩn khuyến khích các công trình áp dụng hệ thống điều hòa không khí tự động để điều chỉnh các thông số vi khí hậu, nhằm đảm bảo sức khỏe và sự thoải mái cho người sử dụng. Với yêu cầu khắt khe về các thông số vi khí hậu, TCVN 14214:2024 hướng tới việc nâng cao chất lượng cuộc sống cho cư dân và người sử dụng các công trình công cộng, đồng thời bảo vệ sức khỏe con người trong môi trường không khí trong nhà.
Tải tiêu chuẩn Việt Nam TCVN 14214:2024
TIÊU CHUẨN QUỐC GIA
TCVN 14214:2024
NHÀ Ở VÀ CÔNG TRÌNH CÔNG CỘNG - CÁC YÊU CẦU ĐỐI VỚI THÔNG SỐ VI KHÍ HẬU TRONG PHÒNG
Residential and public buildings - Requirements for microclimate parameters in the room
Lời nói đầu
TCVN 14214:2024 do Hội Môi trường Xây dựng Việt Nam biên soạn, Bộ Xây dựng đề nghị, Ủy ban Tiêu chuẩn Đo lường Chất lượng quốc gia thẩm định, Bộ Khoa học và Công nghệ công bố.
NHÀ Ở VÀ CÔNG TRÌNH CÔNG CỘNG - CÁC YÊU CẦU ĐỐI VỚI THÔNG SỐ VI KHÍ HẬU TRONG PHÒNG
Residential and public buildings - Requirements for microclimate parameters in the room
1 Phạm vi áp dụng
1.1 Tiêu chuẩn này quy định các yêu cầu đối với thông số vi khí hậu trong phạm vi không gian hoạt động của người sử dụng trong các phòng của nhà ở và công trình công cộng, được chia thành vi khí hậu tự nhiên, vi khí hậu nhân tạo, và mùa lạnh, mùa nóng trong năm.
1.2 Các thông số vi khí hậu quy định trong tiêu chuẩn này tương ứng với các trạng thái hoạt động sinh lý bình thường của con người trong nhà ở và công trình công cộng, bao gồm:
- Nhiệt độ, độ ẩm, tốc độ chuyển động của không khí, và nhiệt độ bức xạ trung bình bề mặt trong phòng;
- Nhiệt độ thao tác của phòng;
- Điều kiện tiện nghi nhiệt tổng thể và điều kiện tiện nghi nhiệt cục bộ trong phòng;
- Phương pháp kiểm tra, đo vi khí hậu trong phòng.
1.3 Tiêu chuẩn này không đề cập đến các yếu tố môi trường trong nhà ở và công trình công cộng không thuộc lĩnh vực nhiệt ẩm, như chất lượng không khí, âm thanh, chiếu sáng, hoặc các chất ô nhiễm vật lý, hóa học hay sinh học khác có thể ảnh hưởng đến sức khoẻ của người sử dụng trong nhà.
2 Tài liệu viện dẫn
Các tài liệu viện dẫn sau là cần thiết cho việc áp dụng tiêu chuẩn này. Đối với các tài liệu viện dẫn có ghi năm công bố áp dụng thì áp dụng bản được nêu. Đối với các tài liệu viện dẫn không ghi năm công bố thì áp dụng phiên bản mới nhất, bao gồm cả bản sửa đổi, bổ sung (nếu có).
TCVN 4605 - Kỹ thuật nhiệt - Kết cấu ngăn che - Tiêu chuẩn thiết kế.
TCVN 5508 - Không khí vùng làm việc vi khí hậu - Giá trị cho phép, phương pháp đo và đánh giá.
TCVN 7438 (ISO 7730) - Ecgônômi - Môi trường nhiệt ôn hòa - Xác định các chỉ số PMV, PPD và đặc trưng của điều kiện tiện nghi nhiệt.
TCVN 13521 - Nhà ở và nhà công cộng - Các thông số chất lượng không khí trong nhà.
3 Thuật ngữ và định nghĩa
Trong tiêu chuẩn này áp dụng các thuật ngữ và định nghĩa sau:
Bất tiện nghi nhiệt cục bộ (local thermal discomfort)
Sự khó chịu về cảm giác nhiệt cục bộ trên cơ thể con người được gây ra bởi sự chênh lệch nhiệt độ không khí theo chiều đứng ở độ cao bàn chân và ở độ cao đầu người, hoặc bởi một trường bức xạ nhiệt bất đối xứng (mặt nóng hay lạnh bức xạ nhiệt chiếu từ một phía, hay trực xạ của mặt trời chiếu vào con người), hoặc do làm lạnh đối lưu cục bộ (gió lùa), hoặc do tiếp xúc với mặt sàn nóng hoặc lạnh.
3.2
Các thông số vi khí hậu tiện nghi nhiệt (microclimate parameters for thermal comfort)
Tổ hợp các giá trị của các thông số vi khí hậu tác động lâu dài và thường xuyên tới con người để đảm bảo trạng thái trao đổi nhiệt của cơ thể con người cân bằng tự nhiên với môi trường nhiệt xung quanh, có lợi nhất cho sức khoẻ, trong điều kiện cường độ điều chỉnh nhiệt của cơ thể con người là tối thiểu.
3.3
Cảm giác nhiệt của con người (thermal sensation)
Cảm giác chủ quan có ý thức về nóng lạnh của con người do sáu yếu tố chính gây nên, bao gồm: nhiệt độ, độ ẩm, tốc độ chuyển động của không khí, nhiệt độ bức xạ trung bình bề mặt trong phòng, mức chuyển hóa nhiệt sinh lý của bản thân cơ thể con người và cách nhiệt của quần áo.
3.4
Không gian hoạt động của người sử dụng trong phòng (sphere of occupation spaces in the room)
Không gian trong phòng, được giới hạn bởi các bề mặt của các bức tường, vách ngăn, trần và sàn nhà, có chiều cao từ 0,0 m đến 2,0 m tính từ mặt sàn, nhưng phải cách mặt trần tối thiểu là 1 m đối với trần của các tầng không sát mái; tối thiểu là 0,5 m đối với trần sát mái hay có thiết bị cấp nhiệt, đồng thời phải cách các bề mặt tường ngoài, các cửa sổ và thiết bị cấp nhiệt, cấp lạnh tối thiểu là 0,5 m, và cách các mặt tường trong của phòng tối thiểu là 0,3 m.
3.5
Mức chuyển hóa nhiệt sinh lý (metabolic rate)
Lượng nhiệt được sinh ra do biến đổi chất trong cơ thể con người từ năng lượng hóa học thành hoạt động cơ học và nhiệt năng, đơn vị đo là “met”.
CHÚ THÍCH: 1 met là hệ số biến đổi chất của cơ thể người phương Tây trung bình với diện tích bề mặt cơ thể khoảng 1,8 m2 ở trạng thái ngồi nghỉ; 1 met = 58,2 W/m2. Tương tự, đối với người phương Tây, mức chuyển hóa nhiệt sinh lý khi nằm nghĩ là 0,8 met; ngồi làm việc văn phòng, học tập là 1,0 met đến 1,1 met; đứng, hoạt động nhẹ là 1,6 met. Khi tính mức chuyển hóa nhiệt sinh lý đối với người Việt Nam thì các giá trị cho ở trên đều phải nhân với hệ số điều chỉnh là 0,9.
3.6
Mùa lạnh trong năm (cold season)
Thời kỳ lạnh trong năm, được đặc trưng bằng nhiệt độ trung bình ngày đêm của không khí ngoài trời thấp hơn 21,7 °C.
3.7
Mùa nóng trong năm (hot season)
Thời kỳ nóng trong năm, được đặc trưng bằng nhiệt độ trung bình ngày đêm của không khí ngoài trời lớn hơn 29,3 °C.
3.8
Nhiệt độ bức xạ trung bình bề mặt trong phòng (mean radiant temperature)
Nhiệt độ bề mặt trung bình trên diện tích của các bề mặt kết cấu bao che trong phòng và các bề mặt thiết bị cấp nhiệt hay cấp lạnh (lấy trung bình có trọng số theo diện tích).
3.9
Nhiệt độ của cầu đen (black globe temperature)
Nhiệt độ tại điểm trung tâm của quả cầu rỗng bằng đồng, mặt ngoài được sơn đen tuyệt đối, được đặc trưng bằng sự tác động đồng thời của nhiệt độ không khí, nhiệt độ bức xạ và tốc độ chuyển động của không khí trong phòng (xem Phụ lục C).
3.10
Nhiệt độ thao tác của phòng (operative temperature)
Trị số nhiệt độ quy ước của phòng với giả thiết rằng tổng lượng nhiệt trao đổi bằng bức xạ và đối lưu của con người với toàn bộ không gian phòng và kết cấu bao che có nhiệt độ đồng đều của phòng sẽ tương tự như tổng lượng nhiệt trao đổi của con người bằng bức xạ và đối lưu trong môi trường nhiệt thực tế của phòng với tổ hợp các thông số vi khí hậu thực tế là nhiệt độ, độ ẩm, tốc độ chuyển động của không khí và nhiệt độ bức xạ trung bình bề mặt trong phòng.
CHÚ THÍCH: Nhiệt độ thao tác của phòng (to; °C) thường được dùng để đánh giá điều kiện tiện nghi nhiệt của phòng trên cơ sở số liệu khảo sát đo vi khí hậu của phòng thực tế.
3.11.
Nhiệt độ hiệu quả (effective temperature)
Đại lượng đánh giá tác động tổng hợp của ba yếu tố: nhiệt độ, độ ẩm và tốc độ chuyển động của không khí đối với cảm giác nhiệt của con người.
CHÚ THÍCH: Nhiệt độ hiệu quả (ET) khác với nhiệt độ hiệu quả mới (ET). Nhiệt độ hiệu quả mới là nhiệt độ giả thiết của môi trường đẳng nhiệt, bức xạ đồng nhất và có độ ẩm không khí là 50 %.
3.12
Nhiệt trở quần áo (clothing insulation)
Khả năng cách nhiệt của quần áo mặc, đơn vị đo là “clo”.
CHÚ THÍCH: 1 clo = 0,155 m2.°C/W. Quần áo mỏng ngắn mùa nóng: 0,2 clo đến 0,5 clo; quần dài, áo dài tay, áo vét mỏng, đi giày: 0,85 clo đến 1 clo; quần vải len dày, áo dài tay, áo len dài tay, áo vét dầy ấm mùa lạnh: 1,25 clo đến 1,50 clo; quần vải len dày, áo dài tay, áo len dài tay, áo vét ấm, áo choàng dầy ấm: 1,8 clo đến 2 clo.
3.13
Phòng có người hoạt động tạm thời (non-regularly occupied space(s))
Những phòng có người hoạt động liên tục ít hơn 1 h hoặc gián đoạn ít hơn 3 h trong một ngày đêm.
3.14
Phòng có người hoạt động thường xuyên (regularly occupied space(s))
Những phòng có người hoạt động liên tục không ít hơn 2 h hoặc gián đoạn không ít hơn 6 h trong một ngày đêm.
3.15
Giá trị cho phép của các thông số vi khí hậu (permissible values of the microclimate parameters)
Tập hợp các giá trị của thông số vi khí hậu, nếu tác động lâu dài và thường xuyên đến con người thì có thể gây ra cảm giác mất tiện nghi nhiệt (gây khó chịu và giảm năng suất lao động trong khi cường độ điều chỉnh nhiệt của cơ thể gia tăng), tuy vậy các tác động bất lợi cho sức khoẻ con người ở mức chấp nhận được.
3.16
Tính bất đối xứng cục bộ của nhiệt độ bức xạ trung bình bề mặt trong phòng (radiant temperature asymmetry)
Sự chênh lệch của nhiệt độ bức xạ theo hai hướng trái ngược nhau trong phòng, thường được xác định bằng thiết bị đo nhiệt độ bề mặt hoặc nhiệt kế cầu đen.
3.17
Tốc độ chuyển động của không khí trong phòng (air velocity in the room)
Tốc độ chuyển động của không khí trung bình trong phạm vi không gian hoạt động của người sử dụng trong phòng.
3.18
Vi khí hậu trong phòng (microclimate in the room)
Trạng thái nhiệt ẩm của không khí trong phòng tác động đến tâm sinh lý về cảm giác nhiệt của con người, được đặc trưng bằng các thông số: nhiệt độ, độ ẩm, tốc độ chuyển động của không khí và nhiệt độ bức xạ trung bình bề mặt trong phòng.
4 Quy định chung
4.1 Các thông số vi khí hậu được coi là tiện nghi hay là cho phép trong các phòng của nhà ở và công trình công cộng được quy định trong tiêu chuẩn này phụ thuộc vào công năng của phòng, và được phân loại theo nhà thông gió tự nhiên, nhà điều hòa không khí và theo mùa lạnh, mùa nóng trong năm.
4.2 Sáu thông số chính ảnh hưởng đến cảm giác nhiệt nóng lạnh của con người trong các phòng của nhà ở và công trình công cộng là:
1) Mức chuyển hóa nhiệt sinh lý của cơ thể con người (M, met);
2) Nhiệt trở quần áo (Icl, clo);
3) Nhiệt độ không khí trong phòng (tk, °C);
4) Tốc độ chuyển động của không khí trong phòng (v, m/s);
5) Độ ẩm tương đối của không khí trong phòng ((φ, %);
6) Nhiệt độ bức xạ trung bình bề mặt trong phòng (tr, °C).
Trong tiêu chuẩn này thừa nhận mức chuyển hóa nhiệt sinh lý của cơ thể người khỏe mạnh bình thường (đối với hoạt động đọc sách, học tập, làm việc văn phòng, nghiên cứu và các hoạt động tương tự trong nhà ở và công trình công cộng) từ 0,9 met đến 1,0 met, và nhiệt trở quần áo mặc thông thường về mùa nóng từ 0,4 clo đến 0,5 clo, về mùa lạnh từ 0,8 clo đến 1,0 clo.
Tiêu chuẩn này chỉ quy định tiêu chuẩn đối với bốn thông số vi khí hậu: nhiệt độ, độ ẩm, tốc độ chuyển động của không khí và nhiệt độ bức xạ trung bình bề mặt trong phòng. Ba thông số vi khí hậu: nhiệt độ, độ ẩm và tốc độ chuyển động của không khí là các thông số tính toán trong nhà khi thiết kế hệ thống thông gió và điều hòa không khí. cần xem xét thông số nhiệt độ bức xạ trung bình bề mặt trong phòng khi đánh giá điều kiện tiện nghi cục bộ hoặc dùng trong thiết kế cách nhiệt cho kết cấu bao che, được quy định trong TCVN 4605.
4.3 Cảm giác nhiệt nóng lạnh của con người được phân theo thang cảm giác nhiệt 7 bậc trong TCVN 7438 (ISO 7730) như sau:
- Nóng;
- Ấm;
- Hơi ấm;
- Bình thường (tiện nghi nhiệt hoàn toàn, không nóng và cũng không lạnh);
- Hơi mát;
- Mát;
- Lạnh.
Điều kiện tiện nghi nhiệt hoàn toàn (bình thường) tương ứng với con người cảm thấy thoải mái là tổ hợp các thông số vi khí hậu đảm bảo trạng thái trao đổi nhiệt của cơ thể con người cân bằng tự nhiên với môi trường nhiệt xung quanh, có lợi nhất cho sức khoẻ, trong điều kiện cường độ điều chỉnh nhiệt cơ thể của con người là tối thiểu.
4.4 Tùy theo công năng và tính chất của các phòng trong nhà ở và công trình công cộng khác nhau mà có các yêu cầu bảo đảm tiện nghi nhiệt ở các cấp khác nhau. Điều kiện tiện nghi nhiệt trong nhà ở và công trình công cộng được chia thành ba cấp A, B, C và cấp chấp nhận (cấp D) và được trình bảy ở Bảng 1.
Bảng 1 - Các cấp tiện nghi nhiệt trong nhà ở và công trình công cộng
| Tiện nghi nhiệt cấp A | Tiện nghi nhiệt cấp B | Tiện nghi nhiệt cấp C | Tiện nghi nhiệt cấp D |
| Tiện nghi cao | Tiện nghi trung bình | Tiện nghi thấp | Điều kiện vi khí hậu có thể chấp nhận |
| Số người phát biểu cảm thấy vi khí hậu dễ chịu, thoải mái chiếm tỷ lệ ≥ 90 % trong tổng số người được khảo sát. | Số người phát biểu cảm thấy vi khí hậu dễ chịu, thoải mái chiếm tỷ lệ ≥ 80 % trong tổng số người được khảo sát. | Số người phát biểu cảm thấy vi khí hậu dễ chịu, thoải mái chiếm tỷ lệ ≥ 70 % trong tổng số người được khảo sát. | Số người phát biểu cảm thấy vi khí hậu dễ chịu, thoải mái chiếm tỷ lệ bằng 50 % trong tổng số người được khảo sát. |
4.5 Nhiệt độ bức xạ trung bình bề mặt trong phòng không được lớn hơn 2,5 °C về mùa nóng và không được nhỏ hơn 2,5 °C về mùa lạnh so với nhiệt độ không khí tiện nghi trong phòng. Nếu nhiệt độ bức xạ trung bình bề mặt trong phòng không thỏa mãn yêu cầu trên thì phải tiến hành kiểm tra điều kiện tiện nghi bức xạ cục bộ.
4.6 Chênh lệch (độ không đồng đều) các thông số vi khí hậu tại các vị trí khác nhau trên cao độ mặt phẳng làm việc của phạm vi không gian hoạt động trong phòng được quy định như sau:
- Chênh lệch nhiệt độ không khí giữa các vị trí khác nhau không vượt quá ± 2 °C;
- Chênh lệch nhiệt độ thao tác giữa các vị trí khác nhau không vượt quá ± 2 °C;
- Chênh lệch tốc độ chuyển động của không khí giữa các vị trí khác nhau không được vượt quá ± 0,07 m/s đối với phòng điều hòa không khí và không được vượt quá ± 0,3 m/s đối với phòng thông gió tự nhiên;
- Chênh lệch độ ẩm tương đối giữa các vị trí khác nhau không được vượt quá ± 10 %.
4.7 Đối với công trình công cộng có hệ thống điều hòa không khí nhân tạo, trong các giờ không làm việc, cho phép tắt hệ thống điều hòa không khí, hoặc giảm nhiệt độ không khí 2 °C đối với mùa lạnh và cho phép tăng nhiệt độ không khí 2 °C đối với mùa nóng, nhưng khi bắt đầu giờ làm việc phải đảm bảo các thông số vi khí hậu theo yêu cầu tiện nghi.
4.8 Tốc độ chuyển động của không khí trong phòng (v, m/s) có tác dụng rất quan trọng đối với cảm giác tiện nghi nhiệt của con người. Trong mùa lạnh cần phải đóng kín cửa, trị số v (m/s) rất nhỏ, chỉ cần bảo đảm trao đổi giữa không khí trong nhà và ngoài nhà tối thiểu để thông số khí CO2 trong phòng không vượt quá trị số khuyến cáo theo TCVN 13521. Trong mùa nóng, tốc độ chuyển động của không khí trong nhà có tác dụng nâng cao trị số nhiệt độ không khí tiện nghi, ước tính gần đúng là nhiệt độ không khí tiện nghi tăng lên khoảng 0,7 °C khi tốc độ chuyển động của không khí tăng thêm khoảng 0,5 m/s.
Để bảo đảm an toàn sức khỏe đối với các phòng ở của những người già yếu, phòng bệnh nhân, phòng khám chữa bệnh, các phòng trong nhà trẻ và trường mẫu giáo, tốc độ chuyển động của không khí trong nhà không được lớn hơn 1,0 m/s đối với mùa nóng và không được lớn hơn 0,3 m/s đối với mùa lạnh.
Đối với các phòng ở và phòng làm việc của những người khỏe mạnh bình thường, tốc độ chuyển động của không khí trong nhà không được lớn hơn 1,5 m/s đối với mùa nóng và không được lớn hơn 0,5 m/s đối với mùa lạnh.
5 Điều kiện tiêu chuẩn tiện nghi và giới hạn cho phép của vi khí hậu trong phòng
5.1 Điều kiện tiêu chuẩn tiện nghi và giới hạn cho phép của vi khí hậu trong phòng đối với nhà ở
Tiêu chuẩn tiện nghi nhiệt của người Việt Nam đối với nhà ở được quy định tương ứng với cấp tiện nghi B (xác suất tiện nghi 80 %), riêng đối với các phòng phụ như phòng bếp và phòng vệ sinh lấy tương ứng với cấp tiện nghi C (xác suất tiện nghi 70 %), và được trình bày trong Bảng 2 dưới đây. Các không gian hoạt động được chia thành phòng có điều kiện vi khí hậu nhân tạo (phòng có điều hòa không khí, hay phòng có làm mát nhân tạo), phòng có điều kiện vi khí hậu tự nhiên (phòng thông gió tự nhiên hay có thông gió tự nhiên kết hợp với thông gió cơ khí) và theo mùa lạnh, mùa nóng trong năm.
CHÚ THÍCH: Phòng thông gió tự nhiên là phòng trong mùa nóng không làm lạnh nhân tạo (không điều hòa không khí), trong mùa lạnh không sưởi ấm nhân tạo.
5.2 Điều kiện tiêu chuẩn tiện nghi và giới hạn cho phép của vi khí hậu trong phòng đối với công trình công cộng
Tiêu chuẩn tiện nghi nhiệt của người Việt Nam đối với công trình công cộng được quy định tương ứng với cấp tiện nghi B (xác suất tiện nghi 80 %), đối với phòng mổ, phòng phẫu thuật, phòng trong nhà trẻ và trường mẫu giáo lấy tương ứng với cấp tiện nghi A (xác suất tiện nghi 90 %), đối với phòng hút thuốc, phòng thể dục thể thao, phòng vệ sinh lấy tương ứng với cấp tiện nghi C (xác suất tiện nghi 70 %), và được trình bày trong Bảng 3 dưới đây. Các không gian hoạt động được phân thành phòng có điều kiện vi khí hậu nhân tạo, phòng có điều kiện vi khí hậu tự nhiên và theo mùa lạnh, mùa nóng trong năm.
Bảng 2 - Tiêu chuẩn nhiệt độ tiện nghi và giới hạn cho phép, độ ẩm tương đối và tốc độ chuyển động của không khí trong phạm vi không gian hoạt động của nhà ở
| Các phòng trong nhà ở | Phòng có điều kiện vi khí hậu nhân tạo | Phòng có điều kiện vi khí hậu tự nhiên | ||||||
| Nhiệt độ không khí, °C | Tốc độ chuyển động của không khí, m/s | Độ ẩm tương đối, % | Nhiệt độ không khí giới hạn cho phép, °C | Tốc độ chuyển động của không khí, m/s | ||||
| Tiện nghi | Giới hạn cho phép | Tiện nghi | Tối đa cho phép | Tiện nghi | Tối đa cho phép | |||
| MÙA LẠNH | Phòng có sưởi ấm |
| Phòng vi khí hậu tự nhiên | |||||
| 1. Phòng ở trong khách sạn, nhà khách, nhà nghỉ | 24,5 | 22 - 25 | 0,05 - 0,1 | 0,2 | 60 - 70 | ≥ 21,5 | 0,1 - 0,2 | 0,5 |
| 2. Phòng ở trong nhà ở | 24,5 | 22 - 25 | 0,05 - 0,1 | 0,2 | 60 - 70 | ≥ 21,5 | 0,1 - 0,2 | 0,5 |
| 3. Phòng nghỉ và học tập trong nhà ở | 24,5 | 22 - 25 | 0,05 - 0,1 | 0,2 | 60 - 70 | ≥ 21,5 | 0,1 - 0,2 | 0,5 |
| 4. Phòng sinh hoạt chung, tiếp khách | 24,5 | 22 - 25 | 0,05 - 0,1 | 0,2 | 60 - 70 | ≥ 21,5 | 0,1 - 0,2 | 0,5 |
| 5. Phòng ăn | 24,5 | 22 - 25 | 0,05 - 0,1 | 0,2 | 60 - 70 | ≥ 21,5 | 0,1 - 0,3 | 0,5 |
| 6. Bếp | 23,5 | 21 - 24 | 0,05 - 0,1 | 0,2 | 60 - 70 | ≥ 20 | 0,1 - 0,3 | 0,5 |
| 7. Phòng vệ sinh | 23,5 | 21 - 24 | 0,05 - 0,1 | 0,2 | 60 - 70 | ≥ 20 | 0,1 - 0,3 | 0,75 |
| MÙA NÓNG | Phòng có điều hòa không khí | Phòng thông gió tự nhiên | ||||||
| 1. Phòng ở trong khách sạn, nhà khách, nhà nghỉ | 26 | 25 - 27 | 0,1 - 0,2 | 0,3 | 60 - 70 | ≤ 30 | 0,5 - 0,75 | 1,5 |
| 2. Phòng ở trong nhà ở | 26 | 25 - 27 | 0,1 - 0,2 | 0,3 | 60 - 70 | ≤ 30 | 0,5 - 0,75 | 1,5 |
| 3. Phòng nghỉ và học tập trong nhà ở | 26 | 25 - 27 | 0,1 - 0,2 | 0,3 | 60 - 70 | ≤ 30 | 0,5 - 0,75 | 1,5 |
| 4. Phòng sinh hoạt chung, tiếp khách | 26 | 25 - 27 | 0,1 - 0,2 | 0,3 | 60 - 70 | ≤ 30 | 0,5 - 0,75 | 1,5 |
| 5. Phòng ăn | 26 | 25 - 27 | 0,1 - 0,2 | 0,5 | 60 - 70 | ≤ 30 | 0,5 - 0,75 | 1,5 |
| 6. Bếp | 27 | 26 - 28 | 0,1 - 0,2 | 0,5 | 60 - 70 | ≤ 31 | 0,5 - 0,75 | 1,5 |
| 7. Phòng vệ sinh | 27 | 26 - 28 | 0,1 - 0,2 | 0,5 | 60-70 | ≤ 31 | 0,5 - 0,75 | 1,5 |
Bảng 3 - Tiêu chuẩn nhiệt độ tiện nghi và giới hạn cho phép, độ ẩm tương đối và tốc độ chuyển động của không khí trong phạm vi không gian hoạt động của công trình công cộng
| Các phòng trong công trình công cộng | Phòng có điều kiện vi khí hậu nhân tạo | Phòng có điều kiện vi khí hậu tự nhiên | ||||||
| Nhiệt độ không khí, °C | Tốc độ chuyển động của không khí, m/s | Độ ẩm tương đối, % | Nhiệt độ không khí giới hạn cho phép, °C | Tốc độ chuyển động của không khí, m/s | ||||
| Tiện nghi | Giới hạn cho phép | Tiện nghi | Tối đa cho phép | Tiện nghi | Tối đa cho phép | |||
| MÙA LẠNH | Phòng có sưởi ấm | Phòng vi khí hậu tự nhiên | ||||||
| 1. Phòng mổ, phẫu thuật | 25 | 25 - 26 | 0,05 - 0,1 | 0,2 | 50 - 60 | Không có | ||
| 2. Phòng đọc thư viện, phòng chờ ở sân bay, trung tâm thương mại | 25 | 23 - 25 | 0,05 - 0,1 | 0,2 | 50 - 60 | ≥ 24 | 0,1 - 0,2 | 0,5 |
| 3. Phòng trưng bày bảo tàng - hiện vật gỗ, giấy, da, đồ vật dán keo | 25 | 23 - 25 | 0,05 - 0,1 | 0,2 | 50 - 60 | ≥ 24 | 0,1 - 0,2 | 0,5 |
| 4. Phòng trưng bày bảo tàng - hiện vật khác | 24 | 23 - 25 | 0,1 - 0,2 | 0,3 | 60 - 70 | ≥ 24 | 0,1 - 0,2 | 0,5 |
| 5. Phòng nhà trẻ và mẫu giáo | 25 | 24 - 25 | 0,1 - 0,2 | 0,3 | 60 - 70 | ≥ 24 | 0,1 - 0,2 | 0,3 |
| 6. Phòng khám chữa bệnh, phòng bệnh nhân | 24,5 | 23 - 25 | 0,05 - 0,1 | 0,2 | 60 - 70 | ≥ 21,5 | 0,1 - 0,2 | 0,3 |
| 7. Phòng học, văn phòng làm việc, nghiên cứu, thiết kế, thí nghiệm | 24,5 | 23 - 25 | 0,05 - 0,1 | 0,2 | 60 - 70 | ≥ 21,5 | 0,1 - 0,2 | 0,5 |
| 8. Phòng họp, phòng ăn, câu lạc bộ, phòng khán giả, phòng chiếu phim | 24,5 | 23 - 25 | 0,05 - 0,1 | 0,2 | 60 - 70 | ≥ 21,5 | 0,1 - 0,2 | 0,5 |
| 9. Phòng tập thể dục, thể thao và thi đấu |
|
|
|
|
|
|
|
|
| - khu vực thi đấu, tập luyện | 22,5 | 20 - 23 | 0,1 - 0,2 | 0,3 | 60 - 70 | ≥ 20 | 0,1 - 0,3 | 0,5 |
| - khu vực khán giả | 24,5 | 23 - 25 | 0,05 - 0,1 | 0,2 | 60 - 70 | ≥ 21,5 | 0,1 - 0,2 | 0,5 |
| 10. Tiền sảnh, phòng thay quần áo, phòng vệ sinh | 23,5 | 22 - 24 | 0,1 - 0,2 | 0,3 | 60 - 70 | ≥ 20 | 0,1 - 0,2 | 0,5 |
| 11. Phòng hút thuốc | 22,5 | 20 - 23 | 0,4 - 0,6 | 0,7 | 60 - 70 | ≥ 19 | 0,5 | 0,75 |
| MÙA NÓNG | Phòng có điều hòa không khí | Phòng thông gió tự nhiên | ||||||
| 1. Phòng mổ, phẫu thuật | 26 | 25 - 26 | 0,1 - 0,2 | 0,3 | 50 - 60 | Không có | ||
| 2. Phòng đọc thư viện, phòng chờ ở sân bay, trung tâm thương mại | 26 | 25 - 27 | 0,1 - 0,2 | 0,3 | 50 - 60 | ≤ 30 | 0,5 | 1,5 |
| 3. Phòng trưng bày bảo tàng - hiện vật gỗ, giấy, da, đồ vật dán keo | 26 | 25 - 27 | 0,1 - 0,2 | 0,3 | 50 - 60 | ≤ 30 | 0,5 | 1,5 |
| 4. Phòng trưng bày bảo tàng - hiện vật khác | 26 | 25 - 27 | 0,1 - 0,2 | 0,3 | 60 - 70 | ≤ 30 | 0,5 | 1,5 |
| 5. Phòng nhà trẻ và mẫu giáo | 26 | 25 - 27 | 0,1 - 0,2 | 0,3 | 60 - 70 | ≤ 29 | 0,5 | 1,0 |
| 6. Phòng khám chữa bệnh, phòng bệnh nhân | 26 | 25 - 27 | 0,1 - 0,2 | 0,3 | 60 - 70 | ≤ 29 | 0,5 | 1,0 |
| 7. Phòng học, văn phòng làm việc, nghiên cứu, thiết kế, thí nghiệm | 26 | 25 - 27 | 0,1 - 0,2 | 0,3 | 60 - 70 | ≤ 30 | 0,5 | 1,5 |
| 8. Phòng họp, phòng ăn, câu lạc bộ, phòng khán giả, phòng chiếu phim | 26 | 25 - 27 | 0,1 - 0,2 | 0,3 | 60 - 70 | ≤ 30 | 0,5 - 0,75 | 1,5 |
| 9. Phòng tập thể dục, thể thao và thi đấu |
|
|
|
|
|
|
|
|
| - khu vực thi đấu, tập luyện | 25 | 24 - 26 | 0,1 - 0,3 | 0,5 | 60 - 70 | ≤ 28 | 0,5 - 0,75 | 1,5 |
| - khu vực khán giả | 26 | 25 - 27 | 0,1 - 0,2 | 0,3 | 60 - 70 | ≤ 30 | 0,5 - 0,75 | 1,5 |
| 10. Tiền sảnh, phòng thay quần áo, phòng vệ sinh | 27 | 26 - 28 | 0,1 - 0,3 | 0,5 | 60 - 70 | ≤ 31 | 0,5 - 0,75 | 1,5 |
| 11. Phòng hút thuốc | 28 | 27 - 29 | 0,3 - 0,5 | 0,7 | 60 - 70 | ≤ 31 | 0,5 - 0,75 | 1,5 |
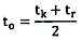
6 Nhiệt độ thao tác của phòng
Nhiệt độ thao tác của phòng to (°C) được xác định theo Công thức (1) [13]:
| to = kv × tk + (1 - kv) × tr | (1) |
Trong đó:
tk là nhiệt độ không khí trong phòng; (°C);
tr là nhiệt độ bức xạ trung bình bề mặt trong phòng; (°C);
kv là hệ số tác dụng của tốc độ chuyển động của không khí trong phòng đối với cảm giác nhiệt của con người, được xác định theo Bảng 4.
Bảng 4 - Hệ số tác dụng của tốc độ chuyển động của không khí trong phòng đối với cảm giác nhiệt của con người [13]
| Tốc độ chuyển động của không khí v (m/s) | 0,01 đến 0,05 | 0,1 | 0,2 | 0,3 | 0,6 | 0,9 | 1,2 | 1,5 |
| Hệ số kv | 0,5 | 0,59 | 0,67 | 0,73 | 0,78 | 0,82 | 0,84 | 0,87 |
Khi đánh giá điều kiện tiện nghi vi khí hậu tổng thể của phòng bằng số liệu khảo sát đo các thông số: nhiệt độ, độ ẩm, tốc độ chuyển động của không khí và nhiệt độ bức xạ trung bình bề mặt trong phòng thì sử dụng Công thức (1) ở trên.
Nếu tốc độ chuyển động của không khí rất nhỏ (v = 0,01 m/s đến 0,05 m/s) thì trị số kv = 0,5 và Công thức (1) trở thành:
|
| (2) |
Trong đó tk và tr xem Công thức (1)
Công thức (2) thường được dùng để đánh giá điều kiện tiện nghi vi khí hậu tổng thể đối với phòng đóng kín cửa và sử dụng điều hòa không khí trong mùa nóng hay sưởi ấm trong mùa lạnh, có nghĩa là nếu trị số to tính theo Công thức (2) đáp ứng trị số nhiệt độ không khí tiêu chuẩn tk tương ứng trong Bảng 2 hoặc Bảng 3 thì vi khí hậu tổng thể của phòng đạt tiện nghi nhiệt.
Đối với các phòng thông gió tự nhiên, khi tốc độ chuyển động của không khí càng lớn thì nhiệt độ thao tác của phòng to càng tiến gần tới trị số nhiệt độ không khí tk và cảm giác nhiệt của con người càng phụ thuộc vào nhiệt độ không khí tk. Khi v = 1,5 m/s thì Công thức (1) trở thành:
| to = 0,87 × tk + 0,13 × tr | (3) |
Trong đó tk và tr xem Công thức (1)
7 Nhiệt độ thao tác chấp nhận tiện nghi của phòng thông gió tự nhiên thích nghi với điều kiện khí hậu địa phương
Kết quả nghiên cứu khảo sát thực địa trên toàn thế giới [1] đã chỉ ra rằng phản ứng cảm giác nhiệt chấp nhận tiện nghi của con người sống và làm việc trong các phòng thông gió tự nhiên có phần phụ thuộc vào điều kiện khí hậu ngoài nhà của địa phương (thích nghi với nhiệt độ ngoài nhà trung bình tháng của địa phương) và có thể khác với cảm giác nhiệt tiện nghi ở các phòng có hệ thống điều hòa không khí, thiết bị làm lạnh hay sưởi ấm nhân tạo. Nguyên nhân chủ yếu là do những hoạt động thích nghi về tâm lý, thích nghi sinh lí và thích nghi bằng các hành động vốn diễn ra nhiều hơn và tự do hơn trong các phòng thông gió tự nhiên, như là: thay đổi mặc quần áo dài hay ngắn, dầy hay mỏng khác nhau; kiểm soát đóng mở cửa sổ khác nhau để thông gió tự nhiên; tắt hay mở, tăng giảm tốc độ thiết bị quạt gió khác nhau; và thay đổi mức cảm giác nhiệt của người sử dụng phù hợp hoàn cảnh môi trường.
Mô hình chấp nhận tiện nghi (công thức chấp nhận tiện nghi) của nhiệt độ thao tác chấp nhận tiện nghi (to.comf) của phòng có điều kiện thông gió tự nhiên có quan hệ với nhiệt độ ngoài nhà trung bình tháng (ta.out) của địa phương được xác lập từ kết quả điều tra, khảo sát thực tế ở vùng Đông Nam Á [6] có dạng như sau:
| to.comf = 0,341 × ta.out + 18,83 | (4) |
Trong đó:
to.comf là nhiệt độ thao tác chấp nhận tiện nghi của phòng có điều kiện thông gió tự nhiên; (°C);
ta.out là nhiệt độ ngoài nhà trung bình tháng ở địa phương xây dựng công trình; (°C).
Biểu đồ xác định dải nhiệt độ thao tác chấp nhận tiện nghi trong các phòng thông gió tự nhiên
Theo phương pháp luận của tài liệu [1] và thừa nhận mô hình nhiệt độ thao tác chấp nhận tiện nghi của phòng có điều kiện vi khí hậu tự nhiên ở vùng Đông Nam Á [6], theo công thức (4) ở trên, thiết lập được biểu đồ xác định dải nhiệt độ thao tác chấp nhận tiện nghi trong các phòng thông gió tự nhiên, được thể hiện ở Hình 1 dưới đây.

Hình 1 - Dải nhiệt độ thao tác chấp nhận tiện nghi của các phòng nhà ở và công trình công cộng thông gió tự nhiên
Hình 1 thể hiện dải nhiệt độ thao tác chấp nhận tiện nghi trong các phòng của nhà ở và công trình công cộng có điều kiện thông gió tự nhiên, bao gồm hai bộ giới hạn nhiệt độ thao tác, một cho mức 80% người khảo sát chấp nhận tiện nghi và một cho mức 90% người khảo sát chấp nhận tiện nghi. Giới hạn chấp nhận tiện nghi 80% là trường hợp điển hình và thường được sử dụng khi không có thông tin khác. Các giới hạn chấp nhận tiện nghi 90% có thể được sử dụng khi đặt tiêu chuẩn cao hơn về sự thoải mái nhiệt mong muốn.
Thể hiện trên Hình 1:
Giá trị trung hòa:
| to.comf = 0,341 × ta.out + 18,83 | (5) |
Cận trên của giới hạn chấp nhận tiện nghi 80% là:
| to.comf = 0,341 × ta.out + 22,33 | (5a) |
Cận dưới của giới hạn chấp nhận tiện nghi 80% là:
| to.comf = 0,341 × ta.out + 15,33 | (5b) |
Cận trên của giới hạn chấp nhận tiện nghi 90% là:
| to.comf = 0,341 × ta.out + 21,33 | (5c) |
Cận dưới của giới hạn chấp nhận tiện nghi 90% là:
| to.comf = 0,341 × ta.out + 16,33 | (5d) |
Các giới hạn nhiệt độ thao tác chấp nhận tiện nghi cho trong Hình 1 không được ngoại suy cho nhiệt độ ngoài nhà trung bình tháng ở dưới điểm kết cuối và ở trên điểm kết trên của các đường biểu diễn trong hình này. Cụ thể là nếu nhiệt độ ngoài nhà trung bình tháng thấp hơn 17,8 °C hoặc cao hơn 30,5 °C thì không được sử dụng các công thức (5, 5a, 5b, 5c, 5d) ở trên, bởi vì khi nhiệt độ ngoài nhà trung bình tháng thấp hơn 17,8 °C thì cảm giác nhiệt tương ứng thuộc phạm vi lạnh và khi nhiệt độ ngoài nhà trung bình tháng cao hơn 30,5 °C thì cảm giác nhiệt tương ứng thuộc phạm vi nóng, trong các phạm vi lạnh hay nóng này không thể điều chỉnh vi khí hậu tự nhiên trở về trạng thái tiện nghi chấp nhận được bằng các hành vi thích nghi của con người mà không gặp bất lợi trong hoạt động sinh hoạt và làm việc, dù có kết hợp với thông gió cơ khí.
Hình 1 cũng cho thấy nhiệt độ thao tác chấp nhận tiện nghi của con người trong không gian thông gió tự nhiên được con người tự điều chỉnh tùy theo điều kiện khí hậu chủ đạo ngoài nhà, và không yêu cầu giá trị nhiệt trở quần áo “clo” cho không gian này để đảm bảo hoạt động thích nghi của con người.
8 Điều kiện bất tiện nghi nhiệt cục bộ trong phòng
8.1 Bất tiện nghi cục bộ do bức xạ nhiệt không đối xứng từ mặt nóng
Đối với các kết cấu bao che nhà (tường, mái, cửa/vách kính) bị mặt trời thiêu nóng trong mùa nóng thì nhiệt độ các bề mặt phía trong nhà của các kết cấu đó phải nhỏ hơn trị số cho phép được xác định theo Công thức (6) dưới đây để đảm bảo tiện nghi nhiệt cục bộ [13]:
|
| (6) |
Trong đó:
là trị số nhiệt độ bề mặt cho phép; (°C);
là hệ số góc bức xạ giữa vi phân diện tích bề mặt cơ thể con người và bề mặt kết cấu
“x”, tính theo Công thức (7):
|
| (7) |
Trong đó:
x là khoảng cách giữa vi phân diện tích bề mặt cơ thể con người và bề mặt kết cấu cần xét; (m);
I là kích thước đặc trưng của bề mặt kết cấu, đơn vị là (m). I được tính theo Công thức (8):
|
| (8) |
Trong đó:
A là diện tích bề mặt kết cấu; (m2).
8.2 Bất tiện nghi nhiệt cục bộ do bức xạ nhiệt không đối xứng từ mặt lạnh
Đối với các kết cấu bao che nhà (tường, mái, cửa/vách kính) bị mất nhiệt trong mùa lạnh thì nhiệt độ các bề mặt phía trong nhà của các kết cấu đó phải lớn hơn trị số cho phép (
), được xác định theo Công thức (9) dưới đây để đảm bảo tiện nghi nhiệt cục bộ [13]:
|
| (9) |
Trong đó:
là trị số nhiệt độ bề mặt cho phép; (°C);
là hệ số góc bức xạ giữa vi phân diện tích bề mặt cơ thể con người và bề mặt kết cấu
“x”, tính theo Công thức (7).
CHÚ THÍCH: Đối với công thức (6) và (9):
- Khi tính nhiệt bức xạ cục bộ của mặt trong mái nhà thì tính với người đứng ở giữa phòng, có chiều cao quy ước là 1,65 m;
- Khi tính nhiệt bức xạ cục bộ của mặt trong tường ngoài đối với văn phòng, trụ sở cơ quan, trường học và công trình công cộng tương tự thì tính với vị trí người ngồi ở giữa bức tường và cách tường 0,8 m;
- Khi tính nhiệt bức xạ cục bộ của mặt trong tường ngoài đối với nhà ở và công trình dân dụng tương tự thì tính với vị trí người nằm trên giường ở giữa bức tường và cách tường 0,5 m.
8.3 Bất tiện nghi nhiệt cục bộ do nhiệt độ bề mặt sàn nhà nóng hay lạnh
Người sử dụng có thể cảm thấy không thoải mái cục bộ do chân để trần tiếp xúc với bề mặt sàn nóng hoặc lạnh. Trường hợp người sử dụng mặc quần áo lót hay quần áo mỏng, ngồi hay nằm trên sàn nóng hoặc sàn lạnh cũng bị cảm thấy khó chịu cục bộ. Để bảo đảm không gây ra cảm giác bất tiện nghi nhiệt cục bộ thì nhiệt độ mặt sàn nhà không được nhỏ hơn 20 °C và không được lớn hơn 33 °C. Trong trường hợp nhiệt độ mặt sàn nhỏ hơn 20 °C thì cần phải trải thảm sàn nhà, hoặc chân đi tất dầy, hay đi dép trong nhà, để tránh lạnh cục bộ đối với bàn chân.
8.4 Bất tiện nghi nhiệt cục bộ do gió lùa
Gió lùa là các luồng gió lạnh thổi xuyên qua phòng trong mùa lạnh. Gió lùa gây cảm giác bất tiện nghi nhiệt cục bộ, phụ thuộc vào tốc độ chuyển động của gió lùa, chênh lệch nhiệt độ giữa luồng gió lùa và nhiệt độ không khí trong nhà, cường độ không khí chảy rối, mức độ hoạt động của con người và tình trạng mặc quần áo. Độ nhạy cảm đối với gió lùa mạnh nhất là khi con người nằm ngủ, da để trần, đặc biệt là ở vùng gần đầu để hở, bao gồm: đầu, cổ, bả vai và vùng chân (mắt cá chân, bàn chân và chân).
Không được để xảy ra hiện tượng gió lùa trong nhà ở và công trình công cộng khi nhiệt độ luồng gió lùa thấp hơn nhiệt độ không khí trong phòng từ 3 °C trở lên và tốc độ gió lùa từ 0,6 m/s trở lên.
9 Các yêu cầu về kiểm tra và phương pháp đo vi khí hậu trong phòng
9.1 Nguyên tắc chung
Phải đảm bảo lấy đủ điểm đo và số liệu đo để đại diện cho phạm không gian hoạt động trong phòng.
- Trong trường hợp không gian này có tính tuần hoàn lặp lại giống nhau, thì chỉ cần đo và lấy số liệu cho các không gian đơn nguyên điển hình.
- Các số liệu đo ở các điểm khác nhau trong không gian hoạt động của phòng thường được lấy đồng thời hoặc lấy trong khoảng thời gian một ốp đo không quá 5 min.
9.2 Đo kiểm tra các chỉ tiêu vi khí hậu trong phòng trong mùa lạnh của năm
Hoạt động đo kiểm tra được tiến hành khi nhiệt độ không khí bên ngoài nhà nhỏ hơn 19,0 °C. Không được đo khi trời mưa hoặc không có mây trong thời gian ban ngày.
9.3 Đo kiểm tra các chỉ tiêu vi khí hậu trong phòng trong mùa nóng của năm
Hoạt động đo kiểm tra được tiến hành khi nhiệt độ không khí bên ngoài không nhỏ hơn 33,0 °C. Không được đo khi trời mưa trong thời gian ban ngày.
9.4 Đo kiểm tra nhiệt độ, độ ẩm, tốc độ chuyển động của không khí, nhiệt độ bức xạ trung bình bề mặt và nhiệt kế cầu đen trong phòng
Hoạt động đo kiểm tra được tiến hành trong không gian hoạt động ở các phòng đặc trưng cho chức năng sử dụng của nhà ở và công trình công cộng.
9.4.1 Đo nhiệt độ không khí trong phòng
9.4.1.1 Vị trí điểm do nhiệt độ biến thiên theo chiều cao của phòng
Đo trên trục thẳng đứng ở điểm giữa phòng và ở các độ cao như sau:
- 0,1 m; 1,1 m và 1,6 m tính từ mặt sàn đối với các phòng của nhà ở và công trình công cộng;
- 0,1 m; 0,4 m và 1,6 m tính từ mặt sàn đối với các phòng của nhà trẻ, trường mẫu giáo.
9.4.1.2 Vị trí và số lượng điểm đo nhiệt độ biến thiên theo chiều ngang của phòng
Đo tại các điểm trên mặt phẳng nằm ngang tại các độ cao như hướng dẫn ở 9.4.1.1.
- Phòng có diện tích nhỏ hơn 15 m2 thì đo ở 1 điểm ở giữa phòng;
- Phòng có diện tích từ 15 m2 đến 30 m2 thì đo ở 3 điểm trên đường chéo của phòng (1 điểm đo ở giữa phòng và 2 điểm đo ở hai góc trên đường chéo của phòng, cách mặt tường và mặt thiết bị cấp lạnh hay cấp nhiệt tối thiểu là 0,5 m);
- Phòng có diện tích lớn hơn 30 m2 đến 100 m2 thì đo ở 5 điểm trên 2 đường chéo của phòng (1 điểm đo ở giữa phòng và 4 điểm đo ở bốn góc của phòng, cách mặt tường và mặt thiết bị cấp lạnh hay cấp nhiệt tối thiểu là 0,5 m);
- Phòng có diện tích lớn hơn 100 m2 thì phân chia phòng đó thành nhiều không gian có diện tích nhỏ hơn 100 m2 và lựa chọn số lượng và vị trí điểm đo đối với mỗi không gian thành phần này giống như các phòng có diện tích nhỏ hơn 100 m2 như nêu ở trên.
9.4.2 Đo độ ẩm và tốc độ chuyển động của không khí trong phòng
Đo độ ẩm tương đối và tốc độ chuyển động của không khí trong phòng tại các vị trí cùng với các điểm đo nhiệt độ phân bố theo chiều ngang của phòng, tại các độ cao như hướng dẫn ở 9.4.1.1.
9.4.3 Vị trí đo nhiệt độ bức xạ của các bề mặt trong phòng
Nhiệt độ bức xạ bề mặt bên trong của các tường, vách ngăn, sàn, trần của phòng cần được đo ở vị trí nằm ở giữa các bề mặt tương ứng đó. Đối với các tường ngoài có cửa chiếu sáng và các thiết bị cấp nhiệt thì nhiệt độ bức xạ trên bề mặt bên trong được đo ở giữa các bộ phận của mặt tường ngoài, khoảng giữa của cửa lấy ánh sáng.
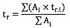
Nhiệt độ bức xạ trung bình bề mặt trong phòng tr (°C) tại điểm giữa phòng được tính gần đúng theo Công thức (10) dưới đây:
|
| (10) |
Trong đó:
Ai là diện tích bề mặt bên trong của các kết cấu bao che (mặt i); (m2);
tr.i là nhiệt độ bề mặt bên trong của các kết cấu bao che (mặt i); (°C).
Để tính chính xác nhiệt độ bức xạ trung bình bề mặt trong phòng tại điểm bất kỳ trong phòng, tham khảo công thức tính trong Phụ lục B.
9.4.4 Vị trí đo nhiệt độ cầu đen trong phòng
Nhiệt độ cầu đen trong phòng được đo bằng nhiệt kế cầu đen đặt ở điểm giữa phòng, trên cao độ 1,1 m tính từ mặt sàn nhà.
Nhiệt độ bức xạ trung bình bề mặt trong phòng tr (°C) được tính theo nhiệt độ của nhiệt kế cầu đen theo Công thức (11) dưới đây [2]:
|
| (11) |
Trong đó:
tcđ là nhiệt độ đo bằng nhiệt kế cầu đen; (°C);
tk là nhiệt độ không khí trong phòng; (°C);
v là tốc độ chuyển động của không khí trong phòng; (m/s);
εcđ là hệ số phát xạ của quả cầu đen; εcđ = 0,95;
D là đường kính quả cầu đen; (m);
Cấu tạo của nhiệt kế cầu đen và quy trình đo - lấy số liệu xem Phụ lục C.
9.4.5 Đo tính bất đối xứng bức xạ nhiệt cục bộ (bất đối xứng bức xạ giữa trần và sàn phòng, hay giữa mặt tường ngoài và mặt tường trong của phòng)
Được đo bằng nhiệt kế cầu đen với một nửa mặt ngoài bán cầu là mặt gương và một nửa mặt ngoài bán cầu là mặt đen lý tưởng (xem Phụ lục C). Vị trí đo bất đối xứng bức xạ là điểm ở giữa phòng và ở độ cao 1,1 m.
Chênh lệch nhiệt độ bức xạ giữa hai phía (bất đối xứng) được xác định theo Công thức (12):
| Δtr = tcd1 - tcd2 | (12) |
Trong đó:
Δtr là chênh lệch nhiệt độ bức xạ giữa hai phía; (°C);
tcd1 và tcd2 là nhiệt độ đo bằng nhiệt kế cầu đen theo hai hướng ngược chiều nhau; (°C) (xem Phụ lục C).
9.5 Lựa chọn các tầng, phòng đại diện tòa nhà để đo vi khí hậu
1) Đối với nhà ở và công trình công cộng thấp tầng:
Tối thiểu chọn ba phòng đại diện cho chức năng sử dụng chính và ở các hướng khác nhau để đo và kiểm tra vi khí hậu trong nhà.
2) Đối với nhà ở và công trình công cộng nhiều tầng và cao tầng:
Trước tiên cần phải xác định số lượng tầng của tòa nhà cần phải đo và kiểm tra vi khí hậu trong phòng, được hướng dẫn theo Bảng 5 dưới đây.
Bảng 5 - Chỉ dẫn lựa chọn số tầng cần phải đo vi khí hậu trong phòng
| Số TT | Tổng số tầng được sử dụng của tòa nhà (tầng) | Tỷ lệ % số tầng được lựa chọn để đo vi khí hậu trong phòng |
| 1 | Từ 3 đến 5 | 70% số tầng * |
| 2 | Từ 6 đến 10 | 60% số tầng * |
| 3 | Từ 11 đến 20 | 50% số tầng * |
| 4 | Từ 21 đến 30 | 40% số tầng * |
| 5 | Từ 31 đến 40 | 30% số tầng * |
| 6 | Từ 41 đến 50 | 25% số tầng * |
| 7 | Trên 50 | 20% số tầng * |
| CHÚ THÍCH: - * Làm tròn đến số nguyên; - Số tầng cần phải đo vi khí hậu ở trên được lựa chọn ngẫu nhiên trên toàn bộ chiều cao của nhà; - Đối với mỗi tầng nhà được chọn để đo vi khí hậu cần phải chọn tối thiểu từ 3 phòng đến 5 phòng đại diện cho chức năng sử dụng chính của tòa nhà và ở các hướng khác nhau của tầng đó để đo và kiểm tra vi khí hậu trong phòng; - Vị trí đo vi khí hậu trong các phòng này được hướng dẫn tại điểm 9.4. | ||
9.6 Xác định nhiệt độ thao tác của phòng
Nhiệt độ thao tác của phòng được tính theo các công thức nêu ở Điểm 6.
Đối với phòng có điều kiện vi khí hậu nhân tạo (sưởi ấm trong mùa lạnh, điều hòa không khí hay làm lạnh trong mùa nóng), nhiệt độ thao tác của phòng được xác định theo Công thức (2) sau khi có kết quả đo của các thông số:
- Nhiệt độ không khí;
- Nhiệt độ bức xạ trung bình bề mặt bên trong của các kết cấu bao che hoặc số liệu đo của nhiệt kế cầu đen tại vị trí điểm đo ở giữa phòng, với chiều cao 1,1 m kể từ mặt sàn.
Đối với phòng có điều kiện thông gió tự nhiên hoặc thông gió tự nhiên kết hợp với thông gió cơ khí, nhiệt độ thao tác trong phòng được xác định theo Công thức (1) sau khi có kết quả đo của các thông số:
- Nhiệt độ không khí;
- Tốc độ chuyển động của không khí;
- Nhiệt độ bức xạ trung bình bề mặt bên trong của các kết cấu bao che hoặc số liệu đo của nhiệt kế cầu đen tại vị trí điểm đo ở giữa phòng, với chiều cao 1,1 m kể từ mặt sàn.
9.7 Dụng cụ đo
Các thông số vi khí hậu trong phòng được đo bằng dụng cụ đo đã được đăng ký và cấp giấy chứng nhận theo quy định hiện hành của cơ quan có thẩm quyền. Khoảng đo và sai số cho phép của các dụng cụ đo được quy định trong TCVN 5508 và Bảng 6 dưới đây.
Các thông số vi khí hậu đo bằng dụng cụ đo cầm tay thì phải đo ít nhất 3 lần trong khoảng thời gian mỗi lần đo không quá 5 min. Khi đo bằng dụng cụ đo tự động thì có thể tiến hành mỗi lần đo liên tục trong 1 h. Sử dụng các giá trị trung bình của các trị số đo để so sánh với các thông số vi khí hậu tiêu chuẩn.
Bảng 6 - Khoảng đo và sai số cho phép của các dụng cụ đo
| Các thông số vi khí hậu | Khoảng đo | Sai số cho phép |
| Nhiệt độ không khí trong phòng; (°C) | Từ 0 đến 50 | ± 0,2 |
| Nhiệt độ các bề mặt bên trong của kết cấu bao che; (°C) | Từ 0 đến 50 | ± 0,5 |
| Nhiệt độ các bề mặt của thiết bị cấp nhiệt; (°C) | Từ 5 đến 90 | ± 0,5 |
| Độ ẩm tương đối của không khí; (%) | Từ 10 đến 90 | ± 1 |
| Tốc độ chuyển động của không khí; (m/s) | Từ 0 đến 5,0 | ± 0,1 |
| Nhiệt độ cầu đen; (°C) | Từ 0 đến 50 | ± 0,2 |
Phụ lục A
(Tham khảo)
Kết quả khảo sát điều kiện tiện nghi vi khí hậu đối với người Việt Nam
Khảo sát đo thực tế về điều kiện tiện nghi vi khí hậu đối với các nam nữ có tuổi từ thanh niên đến trung niên [12], [13], sinh sống ở ba miền Bắc, Trung, Nam Việt Nam, có sức khỏe bình thường, mặc quần áo bình thường (mùa nóng: nhiệt trở quần áo Icl = 0,4 clo đến 0,5 clo; mùa lạnh: nhiệt trở quần áo Icl = 0,8 clo đến 1,0 clo), lao động trí óc nhẹ (làm việc văn phòng, đọc sách, thiết kế, nghiên cứu,...) với mức chuyển hóa nhiệt sinh lý M ~ 0,9 met, cho kết quả về điều kiện tiện nghi vi khí hậu đối với người Việt Nam, được trình bày ở Bảng A.1 dưới đây.
Bảng A.1 - Các giới hạn tiện nghi nhiệt cấp A, B, C và D đối với người Việt Nam theo nhiệt độ hiệu quả (ET) và tổ hợp nhiệt độ (tk,°C), độ ẩm (φ, %) và tốc độ chuyển động của không khí (v, m/s) [12],[13]
| Các mức tiện nghi nhiệt - Xác suất xuất hiện cảm giác tiện nghi nhiệt (%) | Nhiệt độ hiệu quả (ET), °C | Nhiệt độ tk khi φ= 65 % và V = 0,1 m/s, °C | Nhiệt độ tk khi φ = 80 %, (°C) | ||
| v = 0,5 m/s | v = 1,0 m/s | v = 1,5 m/s | |||
| - Tiện nghi 100 %, mùa lạnh | 23,3 | 25,2 | 25,5 | - | - |
| - Tiện nghi 100 %, mùa nóng | 24,4 | 26,3 | 26,5 | 27,0 | 27,7 |
| - Cấp A, xác suất tiện nghi 90 % | 22,6 - 25,0 | 25,0 - 27,2 | 24,5 - 27,8 | 25,3 - 28,4 | 26,0 - 29,0 |
| - Cấp B, xác suất tiện nghi 80 % | 22,0 - 25,5 | 24,5 - 27,8 | 23,8 - 28,5 | 24,5 - 29,0 | 25,3 - 29,6 |
| - Cấp C, xác suất tiện nghi 70 % | 21,5 - 26,0 | - | 23,5 - 29,2 | 24,2 - 29,6 | 24,8 - 30,2 |
| - Cấp D, xác suất tiện nghi 50 % | 20,0 - 27,0 | - | 21,5 - 30,5 | 22,6 - 31,1 | 23,3 - 31,8 |
| CHÚ THÍCH: - Cột nhiệt độ không khí tk (°C), khi độ ẩm φ = 65 % và tốc độ chuyển động của không khí v = 0,1 m/s là tương ứng với các phòng nhà ở và công trình công cộng có điều hòa không khí làm mát mùa nóng, và sưởi ấm mùa lạnh; - Cột nhiệt độ không khí tk (°C), khi độ ẩm φ = 80 % và v = 0,5 m/s là tương ứng với các phòng nhà ở và công trình công cộng thông gió tự nhiên; - Cột nhiệt độ không khí tk (°C), khi φ = 80 % và v = 1,0 m/s và v = 1,5 m/s là tương ứng với các phòng nhà ở và công trình công cộng thông gió tự nhiên kết hợp với thông gió cơ khí; - Các thông số vi khí hậu cho trong Bảng A.1 ở trên được xem là các thông số vi khí hậu tiện nghi nhiệt cơ bản đối với người Việt Nam, được dùng để xây dựng các thông số vi khí hậu tiện nghi và cho phép ở Bảng 2 và Bảng 3 trong tiêu chuẩn này. | |||||
Phụ lục B
(Tham khảo)
Tính toán nhiệt độ bức xạ trung bình bề mặt trong phòng tại điểm bất kỳ
Nhiệt độ bức xạ trung bình bề mặt trong phòng (tr, °C) tại điểm bất kỳ trong phòng có thể tính toán từ số liệu nhiệt độ bề mặt của các kết cấu bao che và vị trí của các kết cấu đối với con người theo Công thức sau [2]:
|
| (B.1) |
Trong đó:
trN là nhiệt độ bề mặt bên trong của kết cấu N; (°C);
Fp-N là hệ số góc bức xạ giữa con người và bề mặt kết cấu N.
Hệ số góc bức xạ giữa con người và bề mặt kết cấu phụ thuộc vào vị trí và hướng giữa con người với bề mặt kết cấu, và thông thường là rất khó xác định. Hình B.1 a) và B.1 b) dưới đây giới thiệu hệ số góc bức xạ giữa người ngồi và bề mặt kết cấu được ước tính đối với các bề mặt hình chữ nhật.

| a) Hình chữ nhật nằm ngang (trần hoặc sàn) | b) Hình chữ nhật thẳng đứng (tường) - ở phía trên hoặc phía dưới trung điểm của người |
Hình B.1 - Giá trị trung bình của hệ số góc bức xạ giữa người ngồi và mặt kết cấu có dạng hình chữ nhật nằm ngang hoặc thẳng đứng khi người được quay quanh trục thẳng đứng [2]
Phụ lục C
(Tham khảo)
Cấu tạo nhiệt kế cầu đen và quy trình đo - lấy số liệu
Nhiệt kế cầu đen dùng để xác định nhiệt độ cầu đen và từ nhiệt độ cầu đen tính ra nhiệt độ bức xạ trung bình bề mặt trong phòng. Nhiệt kế cầu đen là một quả cầu rỗng có bề mặt bên ngoài hoàn toàn đen (độ đen các bề mặt không nhỏ hơn 0,95), được chế tạo bằng vật liệu đồng hay vật liệu có độ dẫn nhiệt tương tự khác. Bên trong tại điểm tâm của quả cầu đặt bầu thủy ngân của nhiệt kế thủy ngân, hoặc đầu đo pin nhiệt điện.
Nhiệt kế cầu đen dùng để xác định tính bất đối xứng cục bộ của nhiệt độ bức xạ là một quả cầu rỗng, trong đó có một bán cầu bề mặt ngoài là mặt gương cầu (độ đen của bề mặt không quá 0,05), mặt ngoài bán cầu còn lại phải đạt độ đen tuyệt đối (độ đen của bề mặt không nhỏ hơn 0,95).
Việc đo nhiệt độ bằng quả cầu của nhiệt kế cầu đen là xác định chênh lệch nhiệt độ do sự trao đổi nhiệt bằng bức xạ và đối lưu giữa môi trường trong quả cầu và môi trường bên ngoài.
Đường kính của quả cầu rỗng thường là 150 mm. Chiều dày vách của quả cầu rỗng bằng đồng là 0,4 mm. Bề mặt gương cầu được tráng mạ bằng Crôm hoặc cho phép làm bằng kim loại mỏng đánh bóng hoặc bằng các vật liệu tương tự khác.
Thời gian đặt nhiệt kế cầu đen tại điểm đo trước khi đo (trước khi đọc số liệu) không được nhỏ hơn 20 min.
Tính toán nhiệt độ bức xạ trung bình bề mặt trong phòng tr (°C) được tính theo nhiệt độ của nhiệt kế cầu đen theo Công thức (11).
Thư mục tài liệu tham khảo
[1] American Society of Heating, Refrigerating and Air-Conditioning Engineers, Inc; ASHRAE standard 55:2020 - Thermal Environmental Condition for Human Occupancy.
[2] American Society of Heating, Refrigerating and Air-Conditioning Engineers, Inc; ASHRAE Handbook - Fundamentals - 2009.
[3] BS EN 16798-1:2019, Energy performance of buildings - ventilation for buildings. Indoor environmental input parameters for design and assessment of energy performance of buildings addressing indoor air quality, thermal environment, lighting and acoustics - Module M1-6.
![]()
[5] S.V.Szokolay. Thermal design of building. The Royal Australian Institute of Architects -1995
[6] Anh Tuan Nguyen, Manoj Kumar, Sigrid Reiter. An adaptive thermal comfort model for hot humid South-East Asia. Published in Building & Environment 56 (2012); Pages 291-300.
[7] TCVN 5508:1991, Không khí vùng làm việc vi khí hậu - Giá trị cho phép, phương pháp đo và đánh giá.
[8] TCVN 4605:1988, Kỹ thuật nhiệt - Kết cấu ngăn che - Tiêu chuẩn thiết kế.
[9] TCVN 7438:2004 (ISO 7730:1994), Ecgônômi - Môi trường nhiệt ôn hòa - Xác định các chỉ số PMV, PPD và đặc trưng của điều kiện tiện nghi nhiệt.
[10] TCVN 13521:2022, Nhà ở và nhà công cộng - Các thông số chất lượng không khí trong nhà.
[11] TCVN 5687:2024, Thông gió, điều hòa không khí - Tiêu chuẩn thiết kế.
[12] Phạm Ngọc Đăng. Cơ sở khoa học của các giải pháp thiết kế kiến trúc. Nhà xuất bản Khoa học & kỹ thuật. Hà Nội - 1981
[13] Phạm Ngọc Đăng, Phạm Hải Hà. Nhiệt và khí hậu kiến trúc. Nhà xuất bản Xây dựng. Hà Nội - 2002
[14] Đào Ngọc Phong, Phùng Văn Hoàn. Vệ sinh môi trường dịch tễ - Tập 1. Bộ môn vệ sinh - môi trường- dịch tễ. Đại học Y khoa Hà Nội - 2001.
Mục lục
Lời nói đầu
1 Phạm vi áp dụng
2 Tài liệu viện dẫn
3 Thuật ngữ và định nghĩa
4 Quy định chung
5 Điều kiện tiêu chuẩn tiện nghi và giới hạn cho phép của vi khí hậu trong phòng
5.1 Điều kiện tiêu chuẩn tiện nghi và giới hạn cho phép của vi khí hậu trong phòng đối với nhà ở
5.2 Điều kiện tiêu chuẩn tiện nghi và giới hạn cho phép của vi khí hậu trong phòng đối với công trình công cộng
6 Nhiệt độ thao tác của phòng
7 Nhiệt độ thao tác chấp nhận tiện nghi của phòng thông gió tự nhiên thích nghi với điều kiện khí hậu địa phương
8 Điều kiện bất tiện nghi nhiệt cục bộ trong phòng
8.1 Bất tiện nghi cục bộ do bức xạ nhiệt không đối xứng từ mặt nóng
8.2 Bất tiện nghi nhiệt cục bộ do bức xạ nhiệt không đối xứng từ mặt lạnh
8.3 Bất tiện nghi nhiệt cục bộ do nhiệt độ bề mặt sản nhà nóng hay lạnh
8.4 Bất tiện nghi nhiệt cục bộ do gió lùa
9 Các yêu cầu về kiểm tra và phương pháp đo vi khí hậu trong phòng
9.1 Nguyên tắc chung
9.2 Đo kiểm tra các chỉ tiêu vi khí hậu trong phòng trong mùa lạnh của năm
9.3 Đo kiểm tra các chỉ tiêu vi khí hậu trong phòng trong mùa nóng của năm
9.4 Đo kiểm tra nhiệt độ, độ ẩm, tốc độ chuyển động của không khí, nhiệt độ bức xạ trung bình bề mặt và nhiệt kế cầu đen trong phòng
9.5 Lựa chọn các tầng, phòng đại diện tòa nhà để đo vi khí hậu
9.6 Xác định nhiệt độ thao tác của phòng
9.7 Dụng cụ đo
Phụ lục A (Tham khảo) - Kết quả khảo sát điều kiện tiện nghi vi khí hậu đối với người Việt Nam
Phụ lục B (Tham khảo) - Tính toán nhiệt độ bức xạ trung bình bề mặt trong phòng tại điểm bất kỳ
Phụ lục C (Tham khảo) - cấu tạo nhiệt kế cầu đen và quy trình đo - lấy số liệu
Thư mục tài liệu tham khảo
Bạn chưa Đăng nhập thành viên.
Đây là tiện ích dành cho tài khoản thành viên. Vui lòng Đăng nhập để xem chi tiết. Nếu chưa có tài khoản, vui lòng Đăng ký tại đây!