- Tổng quan
- Nội dung
- Tiêu chuẩn liên quan
- Lược đồ
- Tải về
Tiêu chuẩn TCVN 14158:2024 Viên đá tự nhiên bó vỉa ngoài trời
| Số hiệu: | TCVN 14158:2024 | Loại văn bản: | Tiêu chuẩn Việt Nam |
| Cơ quan ban hành: | Bộ Khoa học và Công nghệ | Lĩnh vực: | Xây dựng |
| Trích yếu: | Viên đá tự nhiên bó vỉa ngoài trời | ||
|
Ngày ban hành:
Ngày ban hành là ngày, tháng, năm văn bản được thông qua hoặc ký ban hành.
|
31/12/2024 |
Hiệu lực:
|
Đã biết
|
| Người ký: | Đang cập nhật |
Tình trạng hiệu lực:
Cho biết trạng thái hiệu lực của văn bản đang tra cứu: Chưa áp dụng, Còn hiệu lực, Hết hiệu lực, Hết hiệu lực 1 phần; Đã sửa đổi, Đính chính hay Không còn phù hợp,...
|
Đã biết
|
TÓM TẮT TIÊU CHUẨN VIỆT NAM TCVN 14158:2024
Tiêu chuẩn quốc gia TCVN 14158:2024 về viên đá tự nhiên bó vỉa ngoài trời
Ngày 31/12/2024, Bộ Khoa học và Công nghệ đã công bố Tiêu chuẩn quốc gia TCVN 14158:2024 về yêu cầu và phương pháp thử các viên đá tự nhiên dùng bó vỉa ngoài trời. Văn bản này được Viện Vật liệu Xây dựng soạn thảo và phối hợp với Tổng cục Tiêu chuẩn Đo lường Chất lượng thực hiện.
Tiêu chuẩn này áp dụng cho các viên đá tự nhiên sử dụng trong các công trình lát vỉa hè và hoàn thiện lề đường ở khu vực công cộng như đường bộ, quảng trường trong điều kiện thời tiết khắc nghiệt (nhiệt độ, mưa, băng, gió,…). Nó cũng quy định về các yêu cầu kỹ thuật đối với sản phẩm và việc ghi nhãn cho viên đá tự nhiên.
Yêu cầu kỹ thuật và phương pháp thử
Tiêu chuẩn này yêu cầu viên đá bó vỉa phải đáp ứng các thông số về kích thước, hình dạng và chất lượng. Chẳng hạn, chiều dài viên bó vỉa cong tối thiểu là 500 mm và có khả năng chịu lực uốn phù hợp với các thí nghiệm tiêu chuẩn như EN 12372. Những viên bó vỉa cần có đặc tính bền bỉ, chống băng giá, với yêu cầu thử nghiệm độ bền chịu đựng trong điều kiện thường và khi có muối.
Thêm vào đó, tiêu chuẩn quy định độ hút nước phải thử nghiệm theo EN 13755, đồng thời các đặc tính thạch học của viên đá cũng cần tuân theo tiêu chí EN 12407. Nhà cung cấp phải công khai thông tin cụ thể về các thuộc tính này.
Ghi nhãn và đóng gói
Tiêu chuẩn quy định sản phẩm phải được ghi nhãn rõ ràng với các thông tin như tên gọi, kích thước và trọng lượng của viên đá. Để đảm bảo an toàn trong vận chuyển và lưu trữ, viên đá cần được đóng gói chắc chắn, tránh bụi bẩn hay hư hỏng trong quá trình vận chuyển.
Đặc tính ngoại quan và chất lượng
Màu sắc, hoa văn và bề mặt viên đá phải được xác định theo tiêu chí chung và so sánh với mẫu tham chiếu. Những viên bó vỉa cần phải có bề mặt đều màu, không có lỗ hay khuyết tật lớn, đảm bảo sự đồng đều về cảm quan.
Phụ lục và tài liệu tham khảo
Tiêu chuẩn cung cấp các phụ lục liên quan đến hướng dẫn thực hiện thí nghiệm, lấy mẫu và tính toán cấp độ bền của viên bó vỉa, cũng như các tiêu chuẩn châu Âu liên quan được bản địa hóa hay áp dụng trong bối cảnh Việt Nam.
TCVN 14158:2024 là cơ sở quy định rõ ràng về chất lượng viên đá tự nhiên bó vỉa ngoài trời, nhằm nâng cao tiêu chuẩn xây dựng và hoàn thiện các công trình công cộng, đảm bảo tính bền vững và an toàn cho người sử dụng.
Tải tiêu chuẩn Việt Nam TCVN 14158:2024
TIÊU CHUẨN QUỐC GIA
TCVN 14158:2024
VIÊN ĐÁ TỰ NHIÊN BÓ VỈA NGOÀI TRỜI
Kerb of natural stone for external paving - Requirement and test methods
Lời nói đầu
TCVN 14158:2024 xây dựng dựa trên cơ sở tham khảo BS EN 1343:2012
TCVN 14158:2024 do Viện Vật liệu Xây dựng biên soạn, Bộ Xây dựng đề nghị, Tổng cục Tiêu chuẩn Đo lường Chất lượng thẩm định, Bộ Khoa học và Công nghệ công bố.
VIÊN ĐÁ TỰ NHIÊN BÓ VỈA NGOÀI TRỜI
Kerb of natural stone for external paving - Requirement and test methods
1 Phạm vi áp dụng
Tiêu chuẩn này quy định yêu cầu kỹ thuật và phương pháp thử tương ứng cho các viên đá tự nhiên bó vỉa ngoài trời và hoàn thiện lề đường.
Sử dụng lát ngoài trời bao gồm tất cả các vỉa hè điển hình của công trình đường bộ, như khu vực cho người đi bộ, khu vực đường giao thông, các quảng trường và các khu vực tương tự sử dụng trong điều kiện ngoài trời chịu sự tác động của các yếu tố thời tiết, như thay đổi nhiệt độ, mưa, băng, gió, ...
Tiêu chuẩn này cũng quy định về ghi nhãn cho sản phẩm viên đá tự nhiên bó vỉa.
Tiêu chuẩn này cũng đề cập đến các đặc tính quan trọng cho thương mại.
2 Tài liệu viện dẫn
Các tài liệu viện dẫn sau là cần thiết khi áp dụng tiêu chuẩn này. Đối với các tài liệu viện dẫn ghi năm công bố thì áp dụng bản được nêu. Đối với các tài liệu viện dẫn không ghi năm công bố thì áp dụng phiên bản mới nhất, bao gồm các bản sửa đổi, bổ sung (nếu có).
EN 1936, Natural stone test methos - Determination of real density and apparent density, and of total and open porosity (Đá tự nhiên phương pháp thử - Xác định khối lượng thể tích và khối lượng riêng, độ xốp hở và tổng độ xốp);
EN 12371, Natural stone test methods - Determination of frost resistance (Đá tự nhiên phương pháp thử - Xác định độ bền băng giá);
EN 12372, Natural stone test methods - Determination of flexural strength under concentrated load (Đá tự nhiên phương pháp thử-Xác định cường độ uốn dưới tải trọng tập trung);
EN 12407, Natural stone test methods - Petrographic examination (Đá tự nhiên phương pháp thử - Thạch học);
EN 12440, Natural stone - Denomination criteria (Đá tự nhiên - Tên gọi);
EN 13373, Natural stone test methods - Determination of geometric characteristics on units (Đá tự nhiên phương pháp thử - Xác định đặc tính hình học);
EN 13755, Natural stone test methods - Determination of water absorption at atmospheric pressure (Đá tự nhiên phương pháp thử - Xác định độ hút nước tại áp suất khí quyển);
3 Thuật ngữ và định nghĩa
Trong tiêu chuẩn này sử dụng các thuật ngữ và định nghĩa sau:
3.1
Viên đá tự nhiên bó vỉa (viên bỏ vỉa) (Kerb)
Khối có chiều dài lớn hơn 300mm, thường dùng để lát viền (lát lề, bó vỉa) các con đường hoặc lối đi bộ.
CHÚ THÍCH 1: xem Hình 1.
3.1.1
Viên bó vỉa cong lõm (Curved concave kerb)
Viên bó vỉa có mặt trước cong lõm.
CHÚ THÍCH 1: xem Hình 1.
3.1.2
Viên bó vỉa cong lồi (Curved convex kerb)
Viên bó vỉa có mặt trước cong lồi.
CHÚ THÍCH 1: xem Hình 1.
3.2
Mặt trên (Upper face)
Bề mặt phía trên của viên bó vỉa được nhìn thấy khi sử dụng.
3.3
Mặt dưới (Bed face)
Bề mặt của viên bó vỉa tiếp xúc với vật liệu đệm khi sử dụng.
3.4
Mặt trước (Front face)
Bề mặt đứng của viên bó vỉa hướng vào đường đi.
3.5
Mặt sau (Rear face)
Bề mặt đứng quay lại với đường đi (có thể tiếp xúc với nền đường).
3.6
Kích thước thực tế (Actual dimension)
Kích thước đo được trên viên bó vỉa.
3.7
Kích thước làm việc (Work dimension)
Kích thước quy định của viên bó vỉa.
3.8
Chiều dài tổng (Overall length)
Kích thước đo được trên mặt nhìn thấy.
CHÚ THÍCH 1: xem Hình 2.
3.9
Chiều rộng tổng (Overall width)
Chiều rộng của hình chữ nhật nhỏ nhất bao phủ viên bó vỉa.
3.10
Chiều cao (Height)
Khoảng cách giữa mặt trên và mặt dưới của viên bó vỉa.
3.11
Mặt dốc (Batter)
Mặt dốc hướng ra lòng đường.
3.12
Hoa văn bề mặt (Textured)
Viên bó vỉa với bề mặt sau khi hoàn thiện được xử lý thứ cấp bằng cách cưa hoặc đục từ bề mặt.
3.13
Hoa văn tinh (Fine textured)
Bề mặt gia công có chênh lệch độ cao giữa đỉnh lồi và đáy lõm không quá 1mm (ví dụ như đánh bóng, mài hoặc xẻ bằng dao hoặc lưỡi cắt kim cương).
3.14
Hoa văn thô (Coarse textured)
Bề mặt gia công có chênh lệch độ cao giữa đỉnh lồi và đáy lõm lớn hơn 1 mm (ví dụ như băm, bắn hoặc gia công nhiệt).
3.15
Chẻ (Hewn)
Viên bó vỉa có bề mặt tự nhiên, không trải qua quá trình gia công thứ hai (bề mặt được chẻ, tách, bửa).
3.16
Chạm (Tooled)
Hoàn thiện bề mặt bằng chạm, khắc.
3.17
Giá trị kỳ vọng thấp hơn
LEV (lower expected value)
Giá trị (EL) tương ứng với phân vị 5% của phân bố logarit chuẩn cho hệ số tin cậy 75%.
3.18
Giá trị kỳ vọng cao hơn HEV
Giá trị (EL) tương ứng với phân vị 95% của phân bố logarit cho hệ số tin cậy 75%.

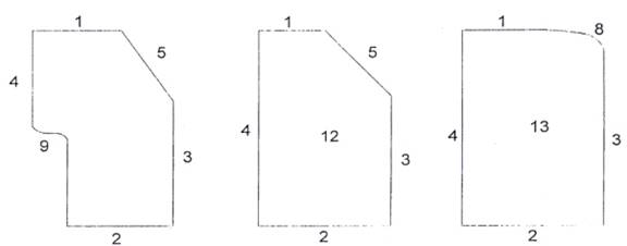
CHÚ DẪN:
1 Mặt ngoài của vỉa hè cong lõm
2 Cung cong
3 Mặt ngoài của vỉa hè cong lồi
Hình 1 - Sơ đồ thể hiện viên bó vỉa cong lõm và cong lồi

a) Viên bó vỉa cong lõm

b) Viên bó vỉa cong lồi
CHÚ DẪN:
1) Chiều dài tổng
2) Chiều rộng tổng
3) Mặt dốc
4) Mặt trước
Hình 2 - Ví dụ về chiều dài tổng và chiều rộng tổng của viên bó vỉa cong
4 Yêu cầu kỹ thuật và phương pháp thử
4.1 Giới thiệu
4.1.1 Quy định chung
Trừ khi có quy định, viên bó vỉa thường được cung cấp với kích thước dải tùy ý. Chiều dài của viên bó vỉa cong là kết quả đo được trên mặt cong hướng ra lòng đường. Nhà sản xuất cũng có thể công bố chiều dài làm việc lớn nhất và nhỏ nhất của một viên (đơn vị) bó vỉa.
Hai đầu viên bó vỉa cong phải hướng tâm.
Viên bó vỉa cong phải được nhận biết bằng độ cong của mặt nhìn thấy hay mặt hướng ra đường đi. Chiều dài tổng của của những viên bó vỉa cong ghép với nhau là chiều dài đo được trên mặt nhìn thấy không kể phần mạch ghép nối.
Chiều dài nhỏ nhất của viên bó vỉa cong là 500 mm.
Thông thường, các cạnh vuông có thể được mài vát theo phương ngang và phương thẳng đứng với kích thước không quá 2 mm.
Khi cạnh được mài vát nhiều hơn, mài tròn, hoặc cắt vát dốc thì nhà cung cấp phải nêu rõ. Ví dụ mặt cắt ngang của một loại viên bỏ vỉa thông dụng được thể hiện trên Hình 3.
4.1.2 Tên gọi
Tên gọi được công bố theo EN 12440 (bao gồm tên thương mại, họ thạch học, màu sắc đặc trưng và xuất xứ chính xác nhất có thể ví dụ tọa độ địa lý).
4.1.3 Sự đa dạng về tính chất cơ lý của đá tự nhiên.
Nếu trong quá trình sản xuất viên bó vỉa có sử dụng các phương pháp gia công làm thay đổi tính chất cơ lý của đá (ví dụ xử lý hóa học, vá, điền đầy các lỗ rỗng, khuyết tật, vết nứt tự nhiên), thì phải công bố phương pháp đã sử dụng.
Ngoài ra, các mẫu để thử nghiệm phải là mẫu đại diện cho loại đá, loại sản phẩm và cách thức gia công.
4.2 Kích thước
4.2.1 Chiều rộng tổng và chiều cao tổng.
Chiều rộng tổng và chiều cao tổng của viên bó vỉa được xác định theo 5.2, EN 13373:2003. Sai lệch cho phép so với kích thước công bố phải phù hợp với dung sai quy định trong Bảng 1.
Bảng 1 - Dung sai của chiều rộng tổng, chiều cao tổng danh nghĩa
| Vị trí | Chiều rộng | Chiều cao | ||
| Loại 0 | Loại 1 | Loại 2 | ||
| Ký hiệu |
| H0 | H1 | H2 |
| Giữa hai mặt chẻ, chạm | ± 10 mm | không yêu cầu | ± 30 mm | ± 20 mm |
| Giữa mặt có hoa văn và mặt chẻ hay mặt chạm | ± 5 mm | ± 20 mm | ± 10 mm | |
| Giữa hai mặt có hoa văn | ± 3 mm | ± 10 mm | ± 5 mm | |

| a) | b) | c) |

| d) | e) | f) |
CHÚ DẪN:
A) Cạnh
1) Mặt trên
2) Mặt dưới
3) Mặt trước
4) Mặt sau
5) Mặt vát
6) Cạnh mài vát
7) Cạnh mài tròn
8) Mặt cong
9) Vạt cắt lõm chân
10) Mặt dốc
11) Viên bó vỉa chữ nhật
12) Viên bó vỉa có cạnh vát hoặc mặt vát
13) Viên bó vỉa có mặt cong
14) Viên bó vỉa có mặt dốc bán phần
Hình 3 - Mặt cắt ngang của một số loại viên bó vỉa điển hình
4.2.2 Mặt dốc
Mặt dốc phải được đo theo 5.6, EN 13373:2003, vả sai lệch kích thước phải phù hợp với dung sai quy định theo Bảng 2.
Bảng 2 - Ví dụ về dung sai theo mặt cắt ngang trên mặt dốc của một số loại viên bó vỉa điển hình
|
| Loại 0 | Loại 1 | Loại 2 |
| Ký hiệu | không yêu cầu | D1 | D2 |
| Hoa văn tinh | ± 5 mm | ± 2 mm | |
| Hoa văn thô | ± 5 mm | ± 5 mm | |
| Chẻ hoặc chạm | ± 15 mm | ± 15 mm |
4.2.3 Sai lệch góc giữa các mặt (chỉ áp dụng với viên bó vỉa thẳng)
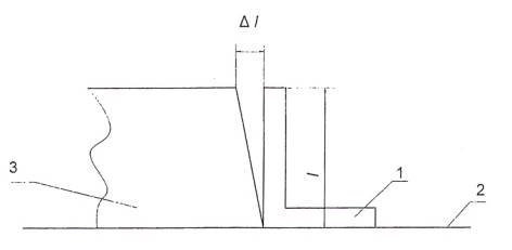
Độ lệch góc vuông giữa các mặt của viên bó vỉa vuông và độ thẳng danh nghĩa được xác định theo 5.6, EN 13373:2003 (xem Hình 4). Sai lệch kích thước phải phù hợp với dung sai quy định trong Bảng 3.

CHÚ DẪN:
l Khoảng cách đo
1 Ê ke
2 Mặt phẳng tham chiếu
3 Mẫu thử nghiệm
Hình 4 - Cách đo độ lệch góc vuông (sử dụng mặt phẳng tham chiếu và ê ke)
Bảng 3 - Sai lệch trên mặt của viên bó vỉa thẳng
|
| Chẻ hoặc chạm | Hoa văn |
| Cạnh song song với mặt phẳng của mặt trên | ± 6 mm | ± 3 mm |
| Cạnh vuông góc với mặt trên | ± 6 mm | ± 3 mm |
| Độ lệch góc vuông giữa mặt trên và mặt trước, đối với góc vuông danh nghĩa | ± 10 mm | ± 7 mm |
| Sự biến dạng của mặt trên | ± 10 mm | ± 5 mm |
| Độ lệch góc vuông giữa mặt trên và mặt sau | cả hai loại ± 5 mm | |
4.2.4 Viên bó vỉa cong
Độ cong của bề mặt có gia công phải được kiểm tra bằng mẫu dưỡng chuẩn, sai lệch ở các điểm đo phải phù hợp với dung sai quy định trong Bảng 1 (xem Hình 5).

CHÚ DẪN
1 Thước đo biến dạng
2 Mẫu thử nghiệm
Hình 5 - Cách đo độ cong của bề mặt
4.2.5 Độ đồng đều bề mặt
Mặt của đá phải không có lỗ khoan.
Sai lệch kích thước do lồi và lõm được xác định theo 5.3, EN 13373:2003, và phải phù hợp với dung sai quy định trong Bảng 4. Nếu là đá chẻ thì các đặc điểm cá biệt nằm ở hai đầu viên bó vỉa không được nhô ra quá 5mm.
Bảng 4 - Sai lệch cho các mặt cá biệt
|
| Hai đầu | Mặt trước và sau |
| Chẻ hoặc chạm | + 3 mm, -10 mm | + 10 mm, -15 mm |
| Trang trí thô | + 3 mm, -10 mm | + 5 mm, -10 mm |
| Trang trí tinh | + 3 mm, -3 mm | + 3 mm, -3 mm |
Không cộng các dung sai với nhau, ví dụ dung sai lồi với dung sai góc vuông.
4.3 Độ bền chống đóng băng, tan băng
4.3.1 Đóng băng/tan băng trong điều kiện thường
Khi sử dụng viên bó vỉa ở vùng có điều kiện khí hậu lạnh giá thì chỉ tiêu độ bền băng giá được xác định theo phương pháp thử trong EN 12371. Kết quả thử nghiệm là cường độ uốn trước và sau 56 chu kỳ đóng băng/tan băng (phương pháp công nghệ).
Sự phá hủy đá tự nhiên do băng giá phụ thuộc vào điều kiện khí hậu, vị trí sử dụng (quyết định độ bão hòa nước của viên đá), và tuổi thọ dự đoán của công trình, số chu kỳ thử này phù hợp với một dự án cụ thể và giúp định hướng lý giải các kết quả thử nghiệm. Việc lựa chọn đá phụ thuộc vào vùng khí hậu và/hoặc các quy phạm xây dựng.
Trong vài điều kiện sử dụng đặc biệt như làm việc dưới -12 °C, phương pháp thử có thể thay đổi như đóng băng trong nước, đóng băng ở nhiệt độ thấp hoặc bao phủ mẫu bằng hạt silic không lỗ xốp hoặc tăng chu kỳ thử...như thử nghiệm định danh quy định trong EN 12371.
4.3.2 Đóng băng/tan băng khi có muối tan băng
Khi có yêu cầu, độ bền băng giá với sự ảnh hưởng của muối tan băng phải được xác định và công bố. Trong trường hợp không có phương pháp thử này, độ bền băng giá với sự ảnh hưởng của muối tan băng sẽ được xác định và công bố theo quy định quốc gia có hiệu lực tại nơi sử dụng của sản phẩm.
4.4 Độ bền uốn
Độ bền uốn được xác định theo EN 12372 và giá trị kỳ vọng thấp hơn (EL) được công bố.
Thông thường, độ bền uốn được xác định theo phương pháp định danh của EN 12372. Nhưng trong trường hợp biết trước kỹ thuật hoàn thiện bề mặt, và thực hiện phép thử trên sản phẩm hoàn thiện bề mặt thì áp dụng phương pháp công nghệ của EN 12372.
CHÚ THÍCH 1: Hướng dẫn chọn lực uốn gãy thích hợp cho từng trường hợp sử dụng theo Phụ lục A.
Đối với những ứng dụng đặc biệt có yêu cầu tải trọng không đổi, thì nên xác định độ bền uốn theo EN 13161.
CHÚ THÍCH 2: Ví dụ tính toán giá trị kỳ vọng thấp hơn được trình bày ở Phụ lục C.
4.5 Ngoại quan
4.5.1 Quy định chung
Màu sắc, vân, hoa văn... của đá tự nhiên được nhận biết trực quan, đặc trưng bởi một mẫu tham chiếu điển hình, đại diện cho loại đá đó.
Mẫu tham chiếu được cung cấp bởi nhà cung cấp như 4.5.2.
4.5.2 Mẫu tham chiếu, khuyết tật ngoại quan và tiêu chí chấp nhận.
Mẫu tham chiếu là tổ hợp một số viên bó vỉa hoặc phần viên bó vỉa mà đảm bảo đủ số lượng, kích cỡ để thể hiện được bề mặt khi hoàn thiện. Chúng phải thể hiện đầy đủ các loại màu sắc, vân, kết cấu vật lý và bề mặt hoàn thiện. Từng phần của mẫu đối chứng phải thể hiện được các đặc tính của loại đá như lỗ, vân tinh thể, vệt vô định hình, vệt sắt...
Mẫu tham chiếu không nhất thiết đồng nhất với nhau và với nguồn cung thực tế vì trong tự nhiên luôn có sự biến đổi.
Nếu quá trình sản xuất đá sử dụng các loại vữa vá, hồ vá, chất điền đầy hay các hợp chất tương tự cho các loại lỗ, khuyết tật và vết nứt, thì mẫu đối chứng cũng phải thể hiện tương đồng tác động như trên bề mặt hoàn thiện.
Các đặc tính của mẫu tham chiếu được coi là đặc tính điển hình của loại đá đó, không kể các khuyết tật trừ khi chúng tập trung thành cụm và làm mất các đặc trưng của loại đá.
Các thông tin về nhà sản xuất, cung cấp đá, tên gọi của đá theo 4.1 và cách gia công xử lý theo 4.1.2 ở trên phải được chỉ ra rõ ràng trên mẫu tham chiếu.
Khi so sánh mẫu sản phẩm và mẫu tham chiếu thì cần đặt cạnh nhau quan sát ở khoảng cách 2 m trong điều kiện ánh sáng ban ngày. Ghi lại tất cả những khác biệt giữa chúng.
4.6 Độ hút nước
Khi có yêu cầu, độ hút nước được thử theo EN 13755 và phải công bố giá trị kỳ vọng cao hơn (EH).
4.7 Khối lượng thể tích và độ rỗng hở
Khối lượng thể tích và độ rỗng hở được thử theo EN 1936.
4.8 Mô tả thạch học
Các mô tả thạch học phải chỉ rõ tên đá, loại đá theo EN 12407.
5 Ghi nhãn và đóng gói
Để nhận dạng thì trên bao gói sản phẩm viên bó vỉa phải có tối thiểu các thông tin sau:
a) Tên gọi đá theo EN 12440 (xem 4.1.2);
b) Số lượng và kích thước viên bó vỉa.
Các thông tin nên có:
c) Khối lượng viên bó vỉa;
d) Kích thước và khối lượng đóng gói.
Những thông tin trên cần có trên nhãn dán, lô đóng gói và trên các hồ sơ đi kèm.
Các thông tin nhận biết này có thể dùng để đặt hàng cho từng loại viên bó vỉa; trong trường hợp như vậy từng loại viên bó vỉa được ghi nhãn rõ ràng. Các nhãn dán thường có số, mã (để xác định vị trí sử dụng thích hợp).
Viên bó vỉa phải sạch trước khi đóng gói.
Các bao gói phải đủ cứng, bền đề đóng gói viên bó vỉa. Để ngăn ngừa sự di chuyển của đá trong khi vận chuyển và lưu kho, cần cố định từng viên bó vỉa riêng biệt.
Các bao gói phải có khối lượng và kích cỡ phù hợp để vận chuyển, ghi rõ đầu trên và đầu dưới.
Phải đảm bảo quá trình đóng gói không làm bám bẩn viên bó vỉa, cả trong điều kiện khô hay ẩm. Không sử dụng bao bì và băng dính gây vết bẩn trên viên bó vỉa. Bề mặt đánh bóng cần được bảo vệ bằng phoi nhựa, không sử dụng sản phẩm có thành phần chứa chất ăn da.
Phụ lục A
(tham khảo)
Tính chiều cao của viên đá bó vỉa, có mặt cắt ngang là hình vuông
Chiều cao của đá được tính từ giá trị cường độ uốn và tải trọng uốn gãy kỳ vọng P (kN) theo công thức:

trong đó:
h: Chiều cao viên đá (mm)
P: Lực uốn gãy cho các mục đích sử dụng (kN)
CHÚ THÍCH: hướng dẫn tính P xem ở Bảng A1
L: chiều dài viên đá (mm)
W: chiều rộng viên đá tính từ mặt trước đến mặt sau (mm)
Rf: giá trị kỳ vọng thấp của cường độ uốn (MPa) tính theo EN 12372
FS: hệ số an toàn cho cường độ uốn, thường lấy bằng 1,6 trừ khi yêu cầu cao hơn
Bảng A1. Tải trọng uốn gãy
| Loại | Tải trọng nhỏ nhất | Ứng dụng điển hình |
| 0 | không yêu cầu | trang trí |
| 1 | 0,75 | đá có vữa lót, chỉ dùng cho khu vực đi bộ |
| 2 | 3,5 | khu vực đi bộ và xe đạp |
| 3 | 6,0 | lối vào gara, nơi có ô tô, xe tải nhẹ và xe máy không thường xuyên |
| 4 | 9,0 | Trung tâm thương mại, khu vực đi bộ nơi có xe trong trường hợp khẩn cấp, xe chở hàng ra vào không thường xuyên |
| 5 | 14,0 | Khu vực đi bộ thường xuyên có xe tải nặng ra vào |
| 6 | 25,0 | Đường phố, trạm xăng dầu |
Phụ lục B
(tham khảo)
Hướng dẫn lấy mẫu
B.1 Quy định chung
Phụ lục này hướng dẫn cách lấy mẫu từ mỏ đá, nhà máy và công trường thi công nếu trường hợp công trường sử dụng trực tiếp đá tự nhiên do nhà cung cấp đưa đến.
Mục đích của việc lấy mẫu là đảm bảo mẫu thu được mẫu đại diện cho các tính chất trung bình của lô và sự đa dạng của lô.
Mẫu được lấy thủ công. Cách này thì bị giới hạn khi lấy mẫu ở công trường hoặc công trình xây dựng. Người lấy mẫu phải được đào tạo và am hiểu tiêu chuẩn này.
Trong trường hợp có tranh chấp hoặc mẫu được chứng nhận bởi nhiều hơn một tổ chức thì các bên liên quan phải có cơ hội giám sát lấy mẫu và thống nhất và số lượng mẫu cần lấy.
B.2 Nguyên tắc lấy mẫu
Lấy mẫu và vận chuyển mẫu chính xác, cẩn thận đảm bảo độ tin cậy của kết quả thử nghiệm, số lượng mẫu phải đủ nhiều để đại diện tốt cho sự không đồng nhất trong tự nhiên của lô.
Người lấy mẫu phải được thông tin về mục đích của việc lấy mẫu.
B.3 Mẫu đại diện
Số lượng và cỡ mẫu phụ thuộc vào phương pháp thử lựa chọn, số lượng và hình dạng được quy định trong các phương pháp thử tương ứng.
B.4 Chuẩn bị phương án lấy mẫu
Cần lên kế hoạch lấy mẫu trước, cần xem xét các yếu tố sau:
- Loại đá (theo EN 12440 và EN 12670);
- Mục đích lấy mẫu, bao gồm các chỉ tiêu thử nghiệm;
- Điểm lấy mẫu;
- Định hướng lấy mẫu phù hợp với nguồn đá hoặc lớp đá;
- Kích thước tương đối của mẫu;
- Số lượng mẫu;
- Dụng cụ lấy mẫu;
- Phương pháp lấy mẫu;
- Ghi nhãn, đóng gói và vận chuyển mẫu.
B.5 Dụng cụ lấy mẫu
Dụng cụ là các máy cưa cắt, khoan sao cho phù hợp với mẫu cần lấy.
B.6 Phương pháp lấy mẫu
B.6.1 Quy định chung
Phương pháp lấy mẫu bao gồm cả quy tắc cho người lấy mẫu tại mở đá, nhà máy hoặc công trình xây dựng. Nguyên tắc là đảm bảo an toàn và dễ dàng.
B.6.2 Lấy mẫu tại mỏ
B.6.2.1 Quy định chung
Mục tiêu chính của lấy mẫu tại mỏ là có thể thu được mẫu trung bình, thể hiện sự đa dạng và những khác biệt về cấu trúc và tính chất của đá, có tính đến các yếu tố kết cấu của đá, cấu trúc địa chất và điều kiện khai thác.
B.6.2.2 Lấy mẫu đá cứng
a) Xác định tính dị hướng và định hướng của mẫu
Nếu việc khảo sát mỏ trước đó đã ghi nhận kết cấu của đá và cấu trúc địa chất mà những thông tin này không nhất định thể hiện trên trên quy mô mẫu (ví dụ phân tầng, phân vỉa lớn, phân tấm, cát khai hoặc đứt gãy), thì mẫu phải được ghi nhãn theo kết quả khảo sát.
b) Lấy mẫu phân tích thạch học
Để phân tích thạch học, các mẫu thử thủ công phải được lấy từ tất cả loại và biến thể đặc trưng cho thành phần khoáng, kết cấu của đá và cấu trúc địa chất.
Có thể lấy mẫu bằng cách khoan.
Ngoài các mẫu đá chưa phong hoá, cần lấy cả mẫu thể hiện được tác động của sự phong hoá.
c) Lấy mẫu kiểm tra tính chất cơ lý
Để thử nghiệm tính chất cơ lý, sử dụng các mẫu thử là đá dạng khối hoặc dạng cục. Số lượng và vị trí phụ thuộc kết quả phân tích thạch học và phương pháp thử,
Đá dạng khối phải có kích thước khoảng 0,40 m × 0,25 m × 0,25 m hoặc lớn hơn nếu đá có cấu trúc hạt thô hoặc lỗ rỗng lớn.
Các khối mẫu phải được tách ra cẩn thận. Vì vậy khuyến nghị lấy mẫu từ những tảng lớn ít chịu tác động của việc nổ mìn. Khi tách mẫu cần cẩn thận để các khối mẫu và cục mẫu không bị nứt tóc.
Mẫu còn có thể được cắt từ các khối, tấm đá. số lượng và kích cỡ phụ thuộc vào phương pháp thử.
B.6.3 Lấy mẫu từ nơi sản xuất và bán hàng.
Mẫu đại diện phải phù hợp với kích cỡ vả đặc tính của loại đá về thành phần khoáng, kết cấu và cấu trúc địa chất, được lấy từ sản phẩm sau gia công (tấm đá lát đá định sẵn kích cỡ...) và xem xét đến cả mục đích sử dụng.
B.6.4 Lấy mẫu từ công trình xây dựng
Điểm lấy mẫu được lựa chọn theo nguyên tắc lấy mẫu đại diện, lưu ý những sai khác nhỏ nhất quan sát bằng mắt thường. Nếu cần cho phép lấy từng mẫu riêng lẻ có tính chất cơ lý phù hợp.
Vị trí lấy mẫu tại công trình phải nêu trong báo cáo.
B.7 Ghi nhãn, đóng gói và vận chuyển mẫu
Mẫu hoặc thùng chứa mẫu phải có nhãn ghi rõ ràng và chắc chắn, bao gồm các thông tin sau:
a) mã hiệu hoặc
b) định danh mẫu phòng thí nghiệm, nơi lấy mẫu, ngày lấy mẫu và tên gọi loại mẫu.
Các mẫu được đóng gói và vận chuyển cẩn thận để tránh các va chạm làm hư hỏng mẫu.
B.8 Báo cáo lấy mẫu
B.8.1 Người lấy mẫu phải chuẩn bị một báo cáo lấy mẫu cho từng mẫu phòng thí nghiệm hoặc từng nhóm mẫu phòng thí nghiệm khi lấy mẫu từ một nguồn. Báo cáo lấy mẫu phải nêu tên tiêu chuẩn này và bao gồm các thông tin sau:
a) Số hiệu báo cáo;
b) Ký hiệu định danh mẫu phòng thí nghiệm;
c) Ngày và nơi lấy mẫu;
d) Điểm lấy mẫu hoặc lô lấy mẫu;
f) Kế hoạch lấy mẫu theo B.4;
g) Tên người lấy mẫu.
B.8.2 Tùy vào từng trường hợp, có thể đưa thêm các thông tin liên quan khác. Bảng B.1 là ví dụ về một báo cáo lấy mẫu toàn diện:
Bảng B.1 Ví dụ về báo cáo lấy mẫu
| Số hiệu báo cáo: | |
| Ký hiệu định danh mẫu phòng thí nghiệm: | Số đóng gói: |
Miêu tả về loại đá và nơi lấy mẫu
| Tên mỏ đá, nhà máy hoặc công trình: |
| Tên nhà sản xuất: |
| Nguồn gốc lô: |
| Mục đích sử dụng của đá: |
| Vị trí lấy mẫu: |
| Tên lô, kích cỡ lô: |
| Những thông tin khác: |
Miêu tả về phương pháp lấy mẫu
| Ngày, giờ lấy mẫu: |
| Kế hoạch lấy mẫu: |
| Phương pháp, dụng cụ lấy mẫu: |
| Mục đích lấy mẫu: |
Mẫu
| Số và kích thước mẫu: |
| Thông tin khác: |
| Hình thức vận chuyển: |
| Người lấy mẫu: (ký tên) |
Thông tin hợp đồng
| Mã hợp đồng: |
| Tên và địa chỉ cơ quan yêu cầu lấy mẫu: .......................................................... ............................................................................................................................ |
| Tên cá nhân có mặt khi lấy mẫu: ....................................................................... ............................................................................................................................ |
| Chữ ký: .............................................................................................................. ............................................................................................................................ |
Phụ lục C
(Tham khảo)
Ví dụ về tính toán giá trị kỳ vọng thấp hơn
C.1 Tổng quan
Phụ lục này hướng dẫn tính toán giá trị kỳ vọng thấp hơn (EL).
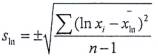
C.2 Ký hiệu và định nghĩa.
| Giá trị đo | X1, X2,...Xi,...,Xn |
| Số giá trị đo | n |
| Giá trị trung bình |
|
| Độ lệch chuẩn |
|
| Hệ số biến động |
|
| Trung bình logarit |
|
| Độ lệch tiêu chuẩn logarit |
|
Giá trị lớn nhất Max
Giá trị nhỏ nhất Min
Giá trị kỳ vọng thấp hơn
ở đây ks là hệ số phân vị cho ở Bảng C.1
Hệ số phân vị ks xem bảng C.1
C.3 Tính toán giá trị kỳ vọng thấp hơn
Tính toán giá trị kỳ vọng thấp hơn (EL) bằng một phân phối thông thường logarit. Giá trị kỳ vọng thấp hơn tương ứng với 5 % điểm vi phân của phân phối thông thường logarit với hệ số tin cậy là 75%.
Bảng C.1 - hệ số phân vị phụ thuộc vào số lượng giá trị đo (n) tương ứng với 5% phân vị đối với mức tin cậy 75%.
| n | ks |
| 3 | 3,15 |
| 4 | 2,68 |
| 5 | 2,46 |
| 6 | 2,34 |
| 7 | 2,25 |
| 8 | 2,19 |
| 9 | 2,14 |
| 10 | 2,10 |
| 15 | 1,99 |
| 20 | 1,93 |
| 30 | 1,87 |
| 40 | 1,83 |
| 50 | 1,81 |
|
|
|
| ∞ | 1,64 |
hệ số phân vị phụ thuộc số lượng giá trị đo (n) và tương ứng với phân vị 5% đối với mức tin cậy 75%.
Ví dụ dưới đây minh họa cho phương pháp tính:
Ví dụ 1:
tính toán giá trị trung bình, độ lệch chuẩn, giá trị lớn nhất và giá trị nhỏ nhất của 6 giá trị đo.
Bảng C.2 - Tính toán giá trị trung bình và độ lệch chuẩn
| số thứ tự phép đo | giá trị đo X |
| 1 | 2000 |
| 2 | 2150 |
| 3 | 2200 |
| 4 | 2300 |
| 5 | 2350 |
| 6 | 2400 |
|
| ------- |
| Giá trị trung bình | 2233 |
| Độ lệch chuẩn | 147 |
| Giá trị lớn nhất | 2400 |
| Giá trị nhỏ nhất | 2000 |
Ví dụ 2:
tính toán giá trị trung bình, độ lệch chuẩn, hệ số biến động và giá trị kỳ vọng thấp của 10 giá trị đo
Bảng C.3 - Tính toán giá trị kỳ vọng thấp hơn
| số thứ tự phép đo | giá trị đo X | (In X) |
| 1 | 2000 | (7,60) |
| 2 | 2150 | (7,67) |
| 3 | 2200 | (7,70) |
| 4 | 2300 | (7,74) |
| 5 | 2350 | (7,76) |
| 6 | 2400 | (7,78) |
| 7 | 2600 | (7,92) |
| 8 | 2750 | (7,97) |
| 9 | 2900 | (8,06) |
| 10 | 3150 |
|
|
| -------- | --------- |
| Giá trị trung bình | 2480 | (7,807) |
| Độ lệch chuẩn | 363 | (0,143) |
| Hệ số biến động | 0,15 |
|
Từ Bảng C.1 có n = 10 thì ks = 2,1 và giá trị kỳ vọng thấp hơn là 1819.
Phụ lục D
(tham khảo)
Đánh giá sự phù hợp
D.1 Quy định chung
Sự phù hợp của sản phẩm viên bó vỉa với yêu cầu kỹ thuật quy định bởi tiêu chuẩn này và sự phù hợp của các đặc tính công bố (ví dụ như loại, giá trị) với mục đích sử dụng được xác định thông qua:
a) Thử nghiệm điển hình ban đầu,
b) Kiểm soát sản xuất tại nhà máy bao gồm cả đánh giá sản phẩm.
Để phục vụ mục đích kiểm tra, các sản phẩm được phân nhóm theo đặc tính. Một hoặc nhiều đặc tính của sản phẩm trong nhóm đại diện cho đặc tính tương ứng của tất cả sản phẩm trong nhóm.
Một sản phẩm có thể ở nhiều hơn một nhóm tùy thuộc vào đặc tính được quan tâm.
D.2 Thử nghiệm điển hình ban đầu (ITT) và thử nghiệm điển hình (TT)
Thử nghiệm điển hình ban đầu và thử nghiệm điển hình, nếu cần, cho các đặc tính công bố của sản phẩm theo tiêu chuẩn này:
- Khi phát triển loại sản phẩm mới (trước khi đưa ra thị trường) hoặc
- Khi bắt đầu phương pháp sản xuất mới hoặc cải tiến phương pháp sản xuất mà có thể ảnh hưởng đến các đặc tính công bố.
Các đặc tính công bố phải đại diện cho sản phẩm hiện tại. Ví dụ như giá trị kỳ vọng thấp hơn của sản phẩm thông thường.
Mỗi khi có thay đổi đáng kể ở nguyên liệu ban đầu hoặc ở quá trình sản xuất làm thay đổi đặc tính của sản phẩm so với công bố, thì phải coi như đó là sản phẩm mới và làm bản công bố đặc tính cho sản phẩm này.
Cần đối chiếu tiêu chuẩn phương pháp thử để lựa chọn mẫu đại diện phù hợp.
Các đặc tính cần thiết, nêu ở Bảng D.1, thể hiện tính năng sản phẩm công bố thì phải thử nghiệm điển hình ban đầu.
Ngoài ra, cần thực hiện các thử nghiệm điển hình ban đầu với tất cả đặc tính sản phẩm ở Bảng D.1, khi nhà sản xuất cam kết sự phù hợp, trừ khi tiêu chuẩn đưa ra các điều khoản cho việc công bố tính năng (dữ liệu trước đó, phân loại không kiểm tra (CWFT) và tính năng chấp nhận thông thường).
Thử nghiệm điển hình ban đầu và thử nghiệm điển hình cho sản phẩm diễn ra khi:
- Lần đầu áp dụng tiêu chuẩn này hoặc bắt đầu sử dụng loại đá mới.
- Khi có thay đổi đáng kể ở vật liệu, quan sát được bằng mắt thường hoặc thông qua các kết quả trong kiểm soát sản xuất tại nhà máy (FPC).
Các kiểm tra trước đó theo tiêu chuẩn này (với cùng loại đá, cùng chỉ tiêu thử, cùng phương pháp thử, cùng cách chuẩn bị mẫu và cùng hệ thống chứng nhận phù hợp) có thể tính đến khi thử ITT.
Bảng D.1 - Các chỉ tiêu của viên đá tự nhiên bó vỉa khi kiểm tra sự phù hợp ban đầu
| Điều yêu cầu | Chỉ tiêu (đặc tính) | Phương pháp thử | Biểu thị kết quả |
| 4.4 | Độ bền uốn | EN 12372 | Công bố giá trị |
| 4.3.1 | Độ bền đóng băng/tan băng ở điều kiện thường, lực uốn gãy sau khi thử băng giá | EN 12371 | Công bố 2 giá trị |
| 4.3.2 | Độ bền đóng băng/tan băng khi có mặt muối tan băng, lực uốn gãy sau khi thử băng giá | xem 4.3.2 | Công bố giá trị |
| 4.2.1 | Dung sai - Kích thước danh nghĩa | EN 13373:2003, 5.2 | Bảng 1 |
| 4.2.1 | Kích thước | EN 13373 | Công bố giá trị |
| 4.6 | Độ hút nước | EM 13755 | Công bố giá trị |
| 4.7 | Khối lượng thể tích và độ rỗng hở | EN 1936 | Công bố giá trị |
| 4.8 | Mô tả thạch học | EN 12407 | Công bố miêu tả |
Đánh giá sự phù hợp được thực hiện với cùng phương pháp (công nghệ hoặc định danh) như khi xác định các giá trị công bố.
Các đặc tính công bố có thể được lấy từ báo cáo thử nghiệm cung cấp kèm theo khối hoặc tấm đá nguyên liệu miễn là các thử nghiệm được thực hiện theo yêu cầu kỹ thuật và phương pháp thử của tiêu chuẩn này.
Kết quả các thử nghiệm lựa chọn phải được biểu thị theo quy định tại Điều 4.
D.3 Kiểm soát sản xuất tại nhà máy
D.3.1 Hệ thống kiểm soát sản xuất tại nhà máy (FPC) phải được thiết lập và ghi thành văn bản. Hệ thống này bao gồm các quy trình kiểm soát nội bộ. Các kết quả thử nghiệm trong FPC phải thể hiện rằng sản phẩm đưa ra thị trường đáp ứng tiêu chuẩn này và phù hợp với các đặc tính kỹ thuật công bố dựa trên kết quả thử ITT theo Điều 4.
Trong trường hợp quá trình gia công đá tự nhiên có khả năng làm thay đổi các đặc tính so với công bố ban đầu (ví dụ như là kết quả của phương pháp gia công, hoặc các tính chất vật lý bị thay đổi do ngâm tẩm, vá các lỗ, vết nứt, vết sứt...) thì phải xem là thuộc phạm vi quy trình FPC như quy định tại tiêu chuẩn này.
D.3.2 Kiểm soát sản xuất tại nhà máy bao gồm các phép thử và kiểm tra thường xuyên, và sử dụng các kết quả để kiểm soát nguyên liệu đầu vào (đá), thiết bị, quá trình sản xuất và sản phẩm.
Khi sử dụng các phương pháp thử thay thế cho phương pháp thử tiêu chuẩn thì mối tương quan giữa chúng phải được xác định và có sẵn để kiểm tra.
Tất cả các thiết bị thử nghiệm phải được hiệu chuẩn, quy trình, tần suất và tiêu chí chấp nhận phải được công bố.
D.3.3 Kế hoạch lấy mẫu thử nghiệm phải xác lập rõ và kết quả thử nghiệm phải được ghi lại phục vụ cho quá trình kiểm soát.
CHÚ THÍCH: Hướng dẫn lấy mẫu được nêu ở Phụ lục B.
D.3.4 Kiểm soát sản phẩm lưu kho cùng với quy trình xử lý sản phẩm không đạt yêu cầu phải cụ thể.
D.3.5 Các thông tin lưu tại nhà máy cần đảm bảo ít nhất các thông tin như sau:
a) định danh sản phẩm cần kiểm tra;
b) thông tin về mẫu kiểm tra:
1) địa điểm và thời gian lấy mẫu;
2) định dạng lô sản phẩm lấy mẫu;
3) tần suất lấy mẫu;
4) kích thước và số lượng mẫu;
c) phương pháp thử;
d) kết quả kiểm tra và đánh giá;
e) dung sai thiết bị.
D.3.6 Các quy trình thử nghiệm (tiêu chuẩn hoặc thay thế) phục vụ cho FPC đều phải có tiêu chí chấp nhận tương ứng. Trong trường hợp thử không đạt, thì phải có phương án cụ thể cho FPC. Nguyên tắc là lặp lại quy trình FPC với lượng mẫu thử hoặc sản phẩm nhiều hơn. Trường hợp kết quả thử không đạt so với đã công bố, đánh giá cuối cùng sẽ dựa trên thử nghiệm bằng phương pháp (định danh hoặc công nghệ) đã dùng để xác định các đặc tính công bố và tham khảo Bảng D.2.
Bảng D.2 - Các chỉ tiêu để kiểm soát sản xuất viên bó vỉa tự nhiên tại nhà máy
| Điều yêu cầu | Chỉ tiêu (đặc tính) | Kiểm tra quá trình sản xuất | Phương pháp thử | Tần suất thử tối thiểu | Mức tiêu chuẩn |
| 4.2.1 | Kích thước | Kiểm tra liên tục thông qua hệ thống FPC tại nhà máy. | EN 13373 | từng lô | trong phạm vi sai lệch a |
| 4.2.1 | Dung sai-Kích thước danh nghĩa | EN 13373:2003, 5.2 | |||
| 4.4 | Độ bền uốn | EN 12371 | 2 năm một lần b | >80% kết quả thu được > số liệu công bố | |
| 4.6 | Độ hút nước | EN 13755 | >80% kết quả thu được > số liệu công bố | ||
| 4.7 | Khối lượng thể tích và độ rỗng hở | EN 1936 | không yêu cầu | ||
| 4.3.1 | Độ bền đóng băng/tan băng trong điều kiện thường | EN 12371 | 10 năm một lần | trong phạm vi sai lệch a với cả hai giá trị công bố | |
| 4.3.2 | Độ bền đóng băng/tan băng khi có mặt muối tan băng | Xem 4.3.2 | trong phạm vi sai lệch a với giá trị công bố | ||
| 4.8 | Thạch học | EN12407 | phù hợp với công bố | ||
| 1) Tần suất thử nghiệm phải được thiết lập sao cho đảm bảo sự ổn định về tính năng của sản phẩm và cung cấp thông tin đáng tin cậy cho cả người dùng và nhà sản xuất.. 2) Sự kiểm tra kiểm soát từng chỉ tiêu được thực hiện bằng các phương pháp kiểm tra/thử gián tiếp thích hợp nhất, được định rõ trong chu trình kiểm soát chất lượng của nhà máy cho các thông số, thông qua ITT, nếu có, liên quan tới các từng chỉ tiêu (ví dụ nguyên liệu đầu, thành phẩm). 3) Nếu quá trình gia công có thể làm thay đổi các đặc tính của sản phẩm cuối cùng so với nguyên liệu ban đầu (ví dụ như là kết quả của phương pháp gia công, hoặc do vá, điền đầy các lỗ, vết nứt, vết sứt...) thì phải tính đến điều này khi xác định tần suất kiểm tra. a Thường được đề cập trong các điều khoản yêu cầu. b Đại diện cho các giới hạn trên của tần suất thử (xem 1). | |||||
Thư mục tài liệu tham khảo
[1] EN 12670, Natural stone - Terminology
[2] EN 13161, Natural stone test methods - Determination of flexural strength under constant moment
Bạn chưa Đăng nhập thành viên.
Đây là tiện ích dành cho tài khoản thành viên. Vui lòng Đăng nhập để xem chi tiết. Nếu chưa có tài khoản, vui lòng Đăng ký tại đây!



