- Tổng quan
- Nội dung
- Tiêu chuẩn liên quan
- Lược đồ
- Tải về
Tiêu chuẩn quốc gia TCVN 14237-1:2024 ISO 712-1:2024 Ngũ cốc và sản phẩm ngũ cốc - Xác định độ ẩm - Phần 1: Phương pháp chuẩn
| Số hiệu: | TCVN 14237-1:2024 | Loại văn bản: | Tiêu chuẩn Việt Nam |
| Cơ quan ban hành: | Bộ Khoa học và Công nghệ | Lĩnh vực: | Thực phẩm-Dược phẩm |
| Trích yếu: | ISO 712-1:2024 Ngũ cốc và sản phẩm ngũ cốc - Xác định độ ẩm - Phần 1: Phương pháp chuẩn | ||
|
Ngày ban hành:
Ngày ban hành là ngày, tháng, năm văn bản được thông qua hoặc ký ban hành.
|
31/12/2024 |
Hiệu lực:
|
Đã biết
|
| Người ký: | Đang cập nhật |
Tình trạng hiệu lực:
Cho biết trạng thái hiệu lực của văn bản đang tra cứu: Chưa áp dụng, Còn hiệu lực, Hết hiệu lực, Hết hiệu lực 1 phần; Đã sửa đổi, Đính chính hay Không còn phù hợp,...
|
Đã biết
|
TÓM TẮT TIÊU CHUẨN VIỆT NAM TCVN 14237-1:2024
Nội dung tóm tắt đang được cập nhật, Quý khách vui lòng quay lại sau!
Tải tiêu chuẩn Việt Nam TCVN 14237-1:2024
TIÊU CHUẨN QUỐC GIA
TCVN 14237-1:2024
ISO 712-1:2024
NGŨ CỐC VÀ SẢN PHẨM NGŨ CỐC - XÁC ĐỊNH ĐỘ ẨM - PHẦN 1: PHƯƠNG PHÁP CHUẨN
Cereals and cereal products - Determination of moisture content - Part 1: Reference method
Lời nói đầu
TCVN 14237-1:2024 hoàn toàn tương đương với ISO 712-1:2024;
TCVN 14237-1:2024 do Ban kỹ thuật tiêu chuẩn quốc gia TCVN/TC/F1 Ngũ cốc và đậu đỗ biên soạn, Viện Tiêu chuẩn Chất lượng Việt Nam đề nghị, Ủy ban Tiêu chuẩn Đo lường Chất lượng Quốc gia thẩm định, Bộ Khoa học và Công nghệ công bố;
Bộ tiêu chuẩn ISO 712 còn có ISO 712-2:2024 Cereals and cereal products - Determination of moisture content - Part 2: Automatic drying oven method.
NGŨ CỐC VÀ SẢN PHẨM NGŨ CỐC - XÁC ĐỊNH ĐỘ ẨM - PHẦN 1: PHƯƠNG PHÁP CHUẨN
Cereals and cereal products - Determination of moisture content - Part 1: Reference method
1 Phạm vi áp dụng
Tiêu chuẩn này quy định phương pháp chuẩn để xác định độ ẩm của ngũ cốc và sản phẩm ngũ cốc.
Tiêu chuẩn này áp dụng cho lúa mì, thóc, gạo lật, gạo xát, đại mạch, kê (Panicum miliaceum), lúa mạch đen, yến mạch, tiểu hắc mạch (triticale), lúa miến, ở dạng hạt, hạt xay xát, tấm lõi (semolina) hoặc dạng bột.
Phương pháp này không áp dụng cho ngô và đậu.
CHÚ THÍCH Để xác định độ ẩm trong ngô, xem TCVN 4846 (ISO 6540)[5] và đối với đậu, xem ISO 24557[7].
2 Tài liệu viện dẫn
Trong tiêu chuẩn này không có các tài liệu viện dẫn.
3 Thuật ngữ và định nghĩa
Trong tiêu chuẩn này áp dụng thuật ngữ và định nghĩa sau:
3.1
Độ ẩm (moisture content)
Độ ẩm thực (true moisture content)
Hao hụt khối lượng của sản phẩm
CHÚ THÍCH Độ ẩm được biểu thị bằng phần trăm.
4 Nguyên tắc
Mẫu phòng thử nghiệm được nghiền sau khi xử lý sơ bộ, nếu cần. Phần mẫu thử được sấy ở nhiệt độ từ 130 °C đến 133 °C, trong các điều kiện cho phép để thu được kết quả tương ứng với kết quả thu được bằng phương pháp tuyệt đối mô tả trong Phụ lục B.
5 Thiết bị, dụng cụ
5.1 Cân phân tích, có thể cân chính xác đến ± 0,001 g.
5.2 Máy nghiền, có các đặc tính sau:
a) được làm bằng vật liệu không hấp thụ ẩm;
b) dễ làm sạch và có không gian chết ít nhất có thể;
c) có thể tiến hành nghiền và đồng hoá nhanh, không bị tăng nhiệt đáng kể (chênh lệch nhiệt độ trước và sau khi nghiền nhỏ hơn hoặc bằng 5 °C);
CHÚ THÍCH: Máy nghiền có lắp bộ phận làm mát có thể phù hợp với yêu cầu này.
d) kín khí để tránh trao đổi nước giữa mẫu và không khí bên ngoài;
e) có thể điều chỉnh để thu được các mảnh có kích thước nêu trong Bảng 1.
5.3 Đĩa kim loại, không bị ăn mòn trong các điều kiện thử nghiệm, hoặc đĩa thủy tinh, có nắp đậy và có diện tích bề mặt hiệu quả có thể phân bố phần mẫu thử sao cho khối lượng trên đơn vị diện tích không lớn hơn 0,3 g/cm2.
5.4 Tủ sấy có thể duy trì nhiệt độ không đổi, được gia nhiệt bằng điện, được kiểm soát sao cho trong quá trình làm việc thông thường, nhiệt độ của không khí và của các giá đựng phần mẫu thử được duy trì trong khoảng từ 130 °C đến 133 °C quanh mẫu thử.
Tủ sấy phải có công suất nhiệt sao cho khi được điều chỉnh ban đầu ở nhiệt độ 131 °C, tủ sấy có thể đạt trở lại nhiệt độ này trong ít hơn 30 min sau khi cho lượng tối đa phần mẫu thử vào mà có thể sấy được đồng thời.
Xác định hiệu lực của việc thông gió bằng cách sử dụng tấm lõi lúa mì cứng, có cỡ hạt tối đa là 1 mm làm vật liệu thử. Việc thông gió cần đảm bảo sao cho sau khi đưa lượng tối đa phần mẫu thử vào tủ sấy và sấy ở nhiệt độ từ 130 °C đến 133 °C, kết quả thu được sau khi sấy các phần mẫu thử đó trong 2 h và sau đó thêm 1 h nữa, không được chênh lệch quá 0,15 g độ ẩm trên 100 g mẫu.
5.5 Bình hút ẩm, chứa chất hút ẩm hiệu quả.
6 Lấy mẫu
Việc lấy mẫu không quy định trong tiêu chuẩn này. Nên lấy mẫu theo phương pháp được nêu trong TCVN 9027 (ISO 24333) [6].
Mẫu gửi đến phòng thử nghiệm là mẫu đại diện, đựng trong bao bì kín khí. Mẫu không bị hư hỏng hoặc thay đổi trong quá trình vận chuyển hoặc bảo quản.
7 Chuẩn bị mẫu thử
7.1 Sản phẩm không cần nghiền
Các sản phẩm có đặc tính về cỡ hạt nêu trong Bảng 1 không cần nghiền trước khi xác định độ ẩm.
Trộn kỹ mẫu phòng thử nghiệm trước khi lấy phần mẫu thử (8.2).
Bảng 1 - Đặc tính về cỡ hạt của sản phẩm không cần nghiền
| Cỡ hạt | Tỷ lệ |
| mm | % |
| ≤ 1,7 (1,8) a | 100 |
| > 1,0 (1,0) b | ≤ 10 |
| < 0,5 (0,56) a | ≥ 50 |
| a Cỡ lỗ định danh của sàng, ISO 3310-1 [1], không giữ lại cỡ hạt này. b Cỡ lỗ định danh của sàng, ISO 3310-1 [1], giữ lại cỡ hạt này. | |
7.2 Sản phẩm cần phải nghiền
7.2.1 Yêu cầu chung
Nếu các sản phẩm không có đặc tính về cỡ hạt nêu trong Bảng 1 thì cần được nghiền mà không xử lý sơ bộ (7.2.2) hoặc có xử lý sơ bộ (7.2.3), tùy theo yêu cầu.
7.2.2 Nghiền không cần xử lý sơ bộ
Đối với các sản phẩm không có khả năng thay đổi độ ẩm trong quá trình nghiền (nói chung là các sản phẩm có độ ẩm từ 9 % đến 15 %), thì nghiền luôn mà không cần xử lý sơ bộ.
CHÚ THÍCH Dải độ ẩm để xử lý sơ bộ các sản phẩm trước khi nghiền tương ứng với nhiệt độ xấp xỉ trong phòng thử nghiệm là 20 °C và độ ẩm tương đối từ 40 % đến 70 %.
Chỉnh máy nghiền (5.2) để thu được hạt có kích cỡ nêu trong Bảng 1.
Sau đó, nghiền nhanh một lượng mẫu phòng thử nghiệm tùy theo thiết bị được sử dụng và ít nhất lớn hơn một chút so với yêu cầu đối với phần mẫu thử (khoảng 5 g) và tiến hành ngay theo 8.2.
7.2.3 Nghiền có xử lý sơ bộ
Các sản phẩm có khả năng thay đổi độ ẩm trong quá trình nghiền (nói chung là các sản phẩm có độ ẩm lớn hơn 15 % hoặc nhỏ hơn 9 %) phải được xử lý sơ bộ trước khi nghiền để đưa độ ẩm về trong khoảng từ 9 % đến 15 %.
Nếu độ ẩm lớn hơn 15 % (trường hợp thường gặp nhất) thì cân đủ một lượng mẫu phòng thử nghiệm, chính xác đến 0,001 g, để thu được phần mẫu thử lớn hơn 5 g một chút (xem 7.2.2). Ghi lại khối lượng của phần mẫu thử trước khi xử lý sơ bộ và đĩa là m'2. Sấy sơ bộ theo 8.3, ngoại trừ thời gian gia nhiệt trong tủ sấy (5.4) phải từ 7 min đến 10 min và sản phẩm phải được làm nguội đến nhiệt độ phòng thử nghiệm với đĩa (5.3) không đậy nắp và không có chất hút ẩm, trong thời gian ít nhất 2 h.
CHÚ THÍCH Có thể khoảng thời gian này không phù hợp với tất cả các sản phẩm, ví dụ hạt thóc.
Đối với các sản phẩm có độ ẩm nhỏ hơn 9 %, cân đủ một lượng mẫu phòng thử nghiệm, chính xác đến 0,001 g, để thu được phần mẫu thử lớn hơn 5 g một chút (xem 7.2.2). Ghi lại khối lượng của phần mẫu thử trước khi xử lý sơ bộ và đĩa là m'2. Đặt trong môi trường thích hợp (thường là môi trường phòng thử nghiệm) và để yên cho đến khi đạt được độ ẩm trong giới hạn nêu trên.
Sau khi xử lý, cân mẫu chính xác đến 0,001 g. Ghi lại khối lượng của phần mẫu thử sau khi xử lý sơ bộ và đĩa là m'3. Nghiền ngay, điều chỉnh máy nghiền sao cho thu được các hạt có kích cỡ nêu trong Bảng 1 và tiến hành ngay theo 7.2.2.
8 Cách tiến hành
8.1 Số phép xác định
Tiến hành các phép xác định riêng rẽ trên hai phần mẫu thử được lấy từ mẫu phòng thử nghiệm theo 8.2 và 8.3. Nếu chênh lệch tuyệt đối giữa hai giá trị thu được lớn hơn giới hạn lặp lại nêu trong Điều 10, thì lặp lại phép xác định cho đến khi thỏa mãn các yêu cầu.
8.2 Phần mẫu thử
Cân nhanh một lượng 5 g ± 1 g mẫu phòng thử nghiệm (7.2.2 hoặc 7.2.3) trong đĩa (5.3), chính xác đến 0,001 g. Ghi lại khối lượng của phần mẫu thử chưa sấy khô và đĩa là m'0. Trước đó, sấy và cân bì đĩa cùng với nắp và ghi lại khối lượng, md, chính xác đến 0,001 g.
8.3 Sấy
Đặt đĩa cùng với phần mẫu thử (8.2) có nắp mở để vào tủ sấy (5.4) và sấy trong 120 min ± 5 min (riêng đối với bột là 90 min).
Trong một số trường hợp nhất định và đặc biệt ở các vùng khô và nóng, thời gian sấy có thể giảm xuống còn 60 min ± 5 min, đây là thời gian đủ để phần mẫu thử đạt được khối lượng không đổi. Thường xuyên kiểm tra trong thời gian này.
Không mở cửa tủ sấy trong suốt quá trình sấy và không đặt các sản phẩm ẩm vào tủ sấy trước khi lấy các phần mẫu thử khô ra, vì điều này sẽ dẫn đến mẫu khô bị hút ẩm lại từ các sản phẩm ẩm.
Sau khi sấy, lấy ngay đĩa ra khỏi tủ sấy, đậy nắp và đặt vào bình hút ẩm (5.5). Khi tiến hành một số phép thử, không được đặt các đĩa chồng lên nhau trong bình hút ẩm mà nên đặt chúng cạnh nhau.
8.4 Cân
Khi đĩa đã nguội đến nhiệt độ phòng thử nghiệm (thường từ 30 min đến 45 min sau khi đặt đĩa vào bình hút ẩm), cân đĩa chính xác đến 0,001 g. Ghi lại khối lượng của phần mẫu thử đã sấy và đĩa là m'1.
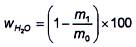
9 Biểu thị kết quả
9.1 Trường hợp không xử lý sơ bộ
Độ ẩm, WH2O, được biểu thị bằng gam trên 100 g sản phẩm nhận được, được tính theo Công thức (1):
|
| (1) |
Trong đó:
m0 = m’0 - md là khối lượng của phần mẫu thử (8.2), tính bằng gam (g);
m1 = m'1 - md là khối lượng của phần mẫu thử sau khi sấy (8.4), tính bằng gam (g).
Tính giá trị trung bình của hai kết quả thỏa mãn các điều kiện lặp lại (xem 10.2). Làm tròn kết quả đến hai chữ số thập phân.
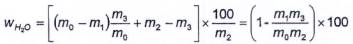
9.2 Trường hợp có xử lý sơ bộ
Độ ẩm, WH2O, được biểu thị bằng gam trên 100 g sản phẩm nhận được, được tính theo Công thức (2):
|
| (2) |
Trong đó:
m2 = m'2 - md là khối lượng của mẫu được lấy trước khi xử lý sơ bộ (7.2.3), tính bằng gam (g);
m3 = m'3 - md là khối lượng của mẫu đã xử lý sơ bộ (7.2.3), tính bằng gam (g);
Tính giá trị trung bình cộng của hai kết quả thỏa mãn các điều kiện lặp lại (xem 10.2). Làm tròn kết quả đến hai chữ số thập phân.
10 Độ chụm
10.1 Thử nghiệm liên phòng
Chi tiết phép thử liên phòng thử nghiệm về độ chụm của phương pháp được nêu trong Phụ lục A. Các giá trị thu được từ phép thử này có thể chỉ áp dụng cho các độ ẩm khác trong khoảng từ 10 % đến 18 % và các nền mẫu đã nêu.
10.2 Độ lặp lại
Chênh lệch tuyệt đối giữa hai kết quả thử nghiệm độc lập, riêng rẽ, thu được khi sử dụng cùng một phương pháp, trên vật liệu giống hệt nhau, trong cùng một phòng thử nghiệm, do cùng một người thao tác, sử dụng cùng một thiết bị, trong một khoảng thời gian ngắn, không quá 5 % các trường hợp vượt quá giới hạn lặp lại
r = 2,77 sr
r = 2,77 × 0,043 = 0,12
đối với các sản phẩm có độ ẩm nằm trong khoảng từ 10,00 % đến 18,00 % (xem Bảng A.1 và Hình A.1).
10.3 Độ tái lập
Chênh lệch tuyệt đối giữa hai kết quả thử nghiệm riêng rẽ, thu được khi sử dụng cùng một phương pháp, trên vật liệu thử nghiệm giống hệt nhau trong các phòng thử nghiệm khác nhau do những người thực hiện khác nhau, sử dụng thiết bị khác nhau, không được quá 5 % trường hợp vượt quá giới hạn tái lập
R = 2,77 sR
R = 2,77 × 0,161 4 = 0,45
đối với các sản phẩm có độ ẩm nằm trong khoảng từ 10,00 % đến 18,00 % (xem Bảng A.1 và Hình A.1).
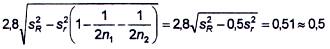
10.4 So sánh hai nhóm phép đo trong phòng thử nghiệm
Chênh lệch tới hạn (CD) là chênh lệch giữa hai giá trị trung bình thu được từ hai kết quả thử trong các điều kiện lặp lại. Kết quả là giá trị trung bình của hai giá trị (xem 7.1), việc so sánh hai độ ẩm phải được thực hiện với CD.
CD giữa hai giá trị trung bình thu được từ hai kết quả thử trong các điều kiện lặp lại theo Công thức (3):
|
| (3) |
Trong đó:
sr là độ lệch chuẩn lặp lại;
n1, n2 là số kết quả thử tương ứng với từng giá trị trung bình.
10.5 So sánh hai nhóm phép đo tại hai phòng thử nghiệm
CD giữa hai giá trị trung bình thu được trong hai phòng thử nghiệm khác nhau từ hai kết quả thử nghiệm trong các điều kiện lặp lại được cho bởi Công thức (4):
|
| (4) |
Trong đó:
sr là độ lệch chuẩn lặp lại;
sr là độ lệch chuẩn tái lập;
n1, n2 là số kết quả thử nghiệm tương ứng với từng giá trị trung bình.
10.6 Độ không đảm bảo đo
Độ không đảm bảo đo, Ue, là thông số đặc trưng cho sự phân bố của các giá trị có thể được cho là kết quả. Độ không đảm bảo đo được thiết lập thông qua sự phân bố thống kê của các kết quả đã cho theo phép thử liên phòng thử nghiệm và đặc trưng bởi độ lệch chuẩn thực nghiệm.
Ue = ± 2 sR = ± 0,30
Trong đó:
sR là độ lệch chuẩn tái lập.
11 Báo cáo thử nghiệm
Báo cáo thử nghiệm phải ít nhất bao gồm các thông tin sau:
a) mọi thông tin cần thiết để nhận biết đầy đủ về mẫu thử;
b) phương pháp lấy mẫu được sử dụng, nếu biết;
c) phương pháp được sử dụng, viện dẫn tiêu chuẩn này;
d) kết quả thử nghiệm thu được;
e) nếu kiểm tra độ lặp lại thì nêu kết quả cuối cùng thu được;
f) mọi điều kiện thao tác không quy định trong tiêu chuẩn này hoặc được xem là tùy chọn, cùng với mọi tình huống bất thường có thể ảnh hưởng đến kết quả;
g) ngày tiến hành phép thử.
Phụ lục A
(tham khảo)
Kết quả phép thử liên phòng thử nghiệm
Độ lặp lại, độ tái lập và chênh lệch tới hạn của phương pháp được thiết lập trong phép thử liên phòng thử nghiệm được tiến hành theo các yêu cầu của TCVN 6910-1 (ISO 5725-1 )[2], TCVN 6910-2 (ISO 5725-2)[3] và TCVN 6910-6 (ISO 5725-6)[4].
Trong phép thử này, 19 phòng thử nghiệm đã tham gia. Bảy sản phẩm đã được phân tích.
Các kết quả thống kê của nghiên cứu được trình bày trong Bảng A.1 và Hình A.1.
Bảng A.1 - Kết quả thống kê của phép thử liên phòng thử nghiệm
| Thông số | Các sản phẩm | |||||||
| Bột mì Semolina | Lúa mì thông thường 1 | Lúa mạch | Gạo | Lúa mì cứng 1 | Lúa mì cứng 2 | Lúa mì thông thường 2 | Trung bình tổng số | |
| Số phòng thử nghiệm tham gia sau khi trừ ngoại lệ | 17 | 18 | 18 | 17 | 18 | 14 | 14 |
|
| Giá trị trung bình, | 10,50 | 11,91 | 12,67 | 14,17 | 14,59 | 16,92 | 17,87 |
|
| Độ lệch chuẩn lặp lại, sr | 0,03 | 0,05 | 0,04 | 0,04 | 0,03 | 0,06 | 0,05 | 0,04 |
| Hệ số biến thiên lặp lại,
| 0,29 | 0,42 | 0,32 | 0,28 | 0,21 | 0,35 | 0,28 |
|
| Giới hạn lặp lại, r (2,77 sr) | 0,08 | 0,14 | 0,11 | 0,11 | 0,08 | 0,17 | 0,14 |
|
| Độ lệch chuẩn tái lập, sR | 0,13 | 0,13 | 0,17 | 0,16 | 0,21 | 0,19 | 0,14 | 0,16 |
| Hệ số biến thiên tái lập,
| 1,24 | 1,09 | 1,34 | 1,13 | 1,44 | 1,12 | 0,78 |
|
| Giới hạn tái lập, R (2,77 sR) | 0,36 | 0,36 | 0,47 | 0,44 | 0,58 | 0,53 | 0,39 |
|

CHÚ DẪN
s độ lệch chuẩn
độ ẩm trung bình
| 1 | Đường hồi quy đối với độ lệch chuẩn lặp lại, sr |
|
|
|
| 2 | Đường hồi quy đối với độ lệch chuẩn tái lập, sR |
|
|
|
Hình A.1 - Giá trị độ chính xác so với giá trị trung bình
Phụ lục B
(tham khảo)
Ngũ cốc và sản phẩm ngũ cốc - Xác định độ ẩm - Phương pháp tuyệt đối
B.1 Khái quát
Phụ lục này mô tả phương pháp tuyệt đối để xác định độ ẩm thực của ngũ cốc và các sản phẩm ngũ cốc1) so với phương pháp chuẩn quy định trong tiêu chuẩn này.
Phương pháp này không áp dụng cho ngô; đối với ngô có một phương pháp giống hệt, gọi là phương pháp tuyệt đối, được quy định trong Phụ lục A của TCVN 4846:2024 (ISO 6540:2021)[5].
Phương pháp tuyệt đối cần sử dụng các thiết bị đặc biệt và người phân tích có kinh nghiệm, do đó chỉ thích hợp để sử dụng trong các phòng thử nghiệm chuyên ngành và được dùng làm chuẩn để kiểm tra và hoàn thiện các phương pháp khác khi xác định độ ẩm. Phương pháp này không nhằm mục đích sử dụng để giải quyết các tranh chấp thương mại.
B.2 Nguyên tắc
Nghiền mẫu phòng thử nghiệm, sau khi xử lý sơ bộ, nếu cần. Phần mẫu thử được sấy dưới áp suất giảm, ở nhiệt độ từ 45 °C đến 50 °C, có chất hút ẩm, cho đến khi thu được khối lượng không đổi.
B.3 Thiết bị, dụng cụ
B.3.1 Cân phân tích.
B.3.2 Thiết bị để giảm áp suất, từ 1,3 kPa đến 2,6 kPa2), ví dụ máy bơm nước.
B.3.3 Máy nghiền, có các đặc tính sau:
a) được làm bằng vật liệu không hấp thụ ẩm;
b) dễ lau chùi và có không gian chết ít nhất có thể;
c) có thể tiến hành nghiền nhanh và đồng nhất mà không làm tăng nhiệt đáng kể;
d) càng kín càng tốt, kín với không khí bên ngoài;
e) có thể điều chỉnh để thu được các hạt có kích cỡ nêu trong B.5.1.1.
B.3.4 Đĩa kim loại, không bị ăn mòn trong các điều kiện thử nghiệm, có nắp đậy đủ kín và có diện tích bề mặt hiệu quả để cho phép phân bố phần mẫu thử thành một lớp có khối lượng trên đơn vị diện tích không lớn hơn 0,3 g/cm2.
Xem Hình B.1.
Kích thước tính bằng milimét

CHÚ DẪN
1 đĩa kim loại
2 nắp
CHÚ THÍCH Đĩa có đáy phẳng với diện tích bề mặt hiệu dụng là 16 cm2 và chiều cao bên trong là 14 mm. Có thể được sử dụng với ống sấy như trong Hình B.2.
Hình B.1 - Sơ đồ đĩa và nắp kim loại thích hợp (chỉ để hướng dẫn)
B.3.5 Cốc, bằng thủy tinh hoặc sứ.
B.3.6 Ống sấy, bằng thủy tinh, có hai phần, một phần được đóng kín ở một đầu để đựng đĩa (B.3.4) và phần kia dùng để chứa cốc (B.3.5), mang một ống bán mao dẫn, có van khóa, để rút chân không. Hai phần được nối với nhau bằng khớp nối thủy tinh mài.
Phần mẫu thử có thể được làm nguội trong thiết bị này sau khi sấy, khi đó bình hút ẩm (B.3.9) không cần thiết cho thao tác này.
Xem Hình B.2.
Kích thước tính bằng milimét

CHÚ DẪN
1 dầu ô liu
a Ống sấy thể hiện trong sơ đồ có khớp nối thủy tinh mài 40/50 (đường kính 40 mm ở đầu lớn và có chiều dài của phần mài là 50 mm). Phù hợp để sử dụng với đĩa được nêu trong Hình B.1. Khoá vòi phủ dầu ô liu có thể được thay thế bằng khớp thủy tinh nhám.
Hình B.2 - Sơ đồ ống sấy thích hợp (chỉ để hướng dẫn)
B.3.7 Tủ sấy có thể duy trì nhiệt độ không đổi, được gia nhiệt bằng điện, cho phép duy trì phần ống sấy (B.3.6) chứa đĩa (B.3.4) được duy trì ở nhiệt độ từ 45 °C đến 50 °C.
B.3.8 Bộ làm khô không khí, bình rửa khí chứa axit sulfuric loại tinh khiết phân tích (tỷ trọng tương đối, d20 ≥ 1,83 g/ml), được nối với ống có chứa phospho pentaoxit tinh khiết phân tích dàn đều trên bông thủy tinh.
B.3.9 Bình hút ẩm, có chứa chất hút ẩm hiệu quả.
B.4 Lấy mẫu
Xem TCVN 9027 (ISO 24333) [6].
B.5 Cách tiến hành
B.5.1 Chuẩn bị mẫu thử
B.5.1.1 Sản phẩm không cần nghiền
Không cần nghiền trước khi xác định đối với các sản phẩm có cỡ hạt nhỏ hơn hoặc bằng 1,7 mm, trong đó phần khối lượng của các hạt có kích cỡ trên 1 mm là ít hơn 10 % và có trên 50 % khối lượng của các hạt có kích cỡ nhỏ hơn 0,5 mm.
Trộn kỹ mẫu phòng thử nghiệm trước khi lấy phần mẫu thử (B.5.2.1).
B.5.1.2 Sản phẩm cần phải nghiền
Nếu mẫu không phù hợp với các đặc tính kích cỡ hạt nêu trong B.5.1.1, thi nghiền mẫu mà không cần xử lý sơ bộ (B.5.1.2.1) hoặc có xử lý sơ bộ (B.5.1.2.2).
B.5.1.2.1 Nghiền không cần xử lý sơ bộ
Đối với các sản phẩm không có khả năng thay đổi độ ẩm trong quá trình nghiền [nói chung là các sản phẩm có độ ẩm nằm trong khoảng từ 7 % đến 17 %)3) xem B.7.1)], thì nghiền luôn mà không cần xử lý sơ bộ.
Chỉnh máy nghiền (B.3.3) để thu được các hạt có kích cỡ nêu trong B.5.1.1, nghiền một lượng nhỏ mẫu phòng thử nghiệm và bỏ đi.
Sau đó nghiền nhanh khoảng 3,5 g mẫu phòng thử nghiệm và tiến hành ngay theo B.5.2.2.
B.5.1.2.2 Nghiền có xử lý sơ bộ
Các sản phẩm có khả năng thay đổi độ ẩm trong quá trình nghiền (nói chung là các sản phẩm có độ ẩm lớn hơn 17 % khối lượng 3)) thì phải được xử lý sơ bộ để đưa độ ẩm về khoảng từ 7 % đến 17 % khối lượng 3) [nếu có thể từ 9 % đến 15 % khối lượng (xem B.7.1)], trước khi nghiền.
Nếu độ ẩm lớn hơn 17 % khối lượng 3) (trường hợp này thường gặp hơn) thì cân khoảng 3,5 g mẫu phòng thử nghiệm, chính xác đến 0,2 mg. Ghi lại khối lượng là m'2. Tính khối lượng của phần mẫu thử trước khi xử lý sơ bộ, m2, là chênh lệch giữa m'2 và khối lượng của đĩa, md.
Sau đó sấy sơ bộ phần mẫu thử theo 8.3, ngoại trừ thời gian sấy từ 1,5 h đến 2 h (xem B.7.2) và không cần thay mới phospho pentaoxit.
Nếu độ ẩm nhỏ hơn 7 % thì chuẩn bị một phần mẫu thử khoảng 3,5 g từ mẫu phòng thử nghiệm. Cân cùng đĩa, chính xác đến 0,2 mg. Ghi lại khối lượng là m'2. Tính khối lượng của phần mẫu thử trước khi xử lý sơ bộ, m2, là chênh lệch giữa m'2 và khối lượng của đĩa, md. Sau đó đặt phần mẫu thử và đĩa vào môi trường thích hợp (thường là môi trường của phòng thử nghiệm) và để đạt được độ ẩm trong các giới hạn quy định ở trên.
Sau khí xử lý sơ bộ, cân mẫu chính xác đến 0,2 mg. Ghi lại khối lượng là m'3. Tính khối lượng của phần mẫu thử sau khi xử lý sơ bộ, m3, là chênh lệch giữa m'3 và khối lượng của đĩa, md. Nghiền ngay phần mẫu thử trong máy nghiền (B.3.3) được điều chỉnh để thu được các hạt có kích thước nêu trong B.5.1.1 và tiến hành ngay theo B.5.2.2.
B.5.2 Phần mẫu thử
B.5.2.1 Đối với các sản phẩm không cần nghiền, cân nhanh khoảng 3 g mẫu thử (B.5.1.1) trong đĩa (B.3.4) đã sấy khô và cân trước cùng với nắp, chính xác đến 0,2 mg. Ghi lại khối lượng là m'0. Tính khối lượng của phần mẫu thử, m0, là chênh lệch giữa m'0 và khối lượng của đĩa, md.
B.5.2.2 Đối với các sản phẩm đã được nghiền, cân nhanh tất cả phần nghiền thu được (7.2.2 hoặc 7.2.3) trong đĩa (B.3.4), đã được sấy khô và cân trước cùng với nắp đậy của đĩa, chính xác đến 0,2 mg. Ghi lại khối lượng là m'0. Tính khối lượng của phần mẫu thử, m0, là chênh lệch giữa m'0 và khối lượng của đĩa, md.
B.5.3 Sấy
Mở nắp đĩa (để nắp đã mở trong bình hút ẩm) chứa phần mẫu thử (B.5.2) ở đầu kín của ống sấy (B.3.6): Đặt gần cốc (B.3.5) có chứa một lớp phospho pentaoxit dày khoảng 10 mm. Lắp hai phần của ống sấy với nhau và giảm áp suất trong ống đã lắp ráp đến giá trị nằm trong khoảng từ 1,3 kPa đến 2,6 kPa, sử dụng thiết bị chân không (B.3.2); điều này nên được thực hiện từ từ theo thứ tự để tránh nguyên liệu bị văng ra khỏi đĩa. Đóng đầu nối với thiết bị chân không và đặt phần ống chứa phần mẫu thử vào tủ sấy (B.3.7), duy trì ở nhiệt độ từ 45 °C đến 50 °C (xem B.7.4).
Khi phospho pentaoxit kết tụ trên bề mặt, làm mới sau khi phục hồi áp suất khí quyển bên trong ống sấy bằng cách cho không khí đi qua bộ làm khô (B.3.8) đi vào từ từ qua ống bán mao quản. Giảm áp suất trong ống sấy một lần nữa và tiếp tục sấy như trước.
Sau khoảng 100 h, lấy ống ra khỏi tủ sấy, để nguội đến nhiệt độ phòng thử nghiệm và phục hồi áp suất khí quyển bên trong ống như mô tả ở trên. Ngắt kết nối hai phần của ống, lấy ngay đĩa ra, đậy nắp và cân chính xác đến 0,2 mg. Ghi lại khối lượng là m'1. Tính khối lượng của phần mẫu thử sau khi sấy, m1, là chênh lệch giữa m'1 và khối lượng của đĩa, md.
Lặp lại các thao tác quy định ở trên cho đến khi khối lượng thực tế không đổi (nghĩa là cho đến khi chênh lệch giữa hai lần cân liên tiếp cách nhau 48 h nhỏ hơn 0,6 mg) (xem B.7.3).
B.5.4 Số lượng phép xác định
Tiến hành hai phép xác định trên các phần mẫu thử được lấy từ các mẫu thử khác nhau của một mẫu phòng thử nghiệm.
B.6 Biểu thị kết quả
B.6.1 Phương pháp tính toán và công thức
B.6.1.1 Trường hợp không xử lý sơ bộ
Độ ẩm thực tế, WH2O, biểu thị bằng phần trăm khối lượng của sản phẩm khi nhận được, theo công thức:
![]()
Trong đó:
m0 là khối lượng của phần mẫu thử (B.5.2.1 hoặc B.5.2.2), tính bằng gam (g);
m1 là khối lượng của phần mẫu thử sau khi sấy (B.5.3), tính bằng gam (g).
Tính giá trị trung bình của hai kết quả thỏa mãn điều kiện lặp lại (xem B.6.2). Nếu điều kiện lặp lại không đáp ứng, lặp lại phép xác định.
Biểu thị kết quả đến hai chữ số thập phân.
B.6.1.2 Trường hợp có xử lý sơ bộ
Độ ẩm thực tế, WH2O, biểu thị bằng phần trăm khối lượng của sản phẩm khi nhận được, theo công thức:

Trong đó:
m0 là khối lượng của phần mẫu thử (B.5.2.2), tính bằng gam (g);
m1 là khối lượng của phần mẫu thử sau khi sấy (B.5.3), tính bằng gam (g);
m2 là khối lượng mẫu được lấy trước khi xử lý sơ bộ (B.5.1.2.2), tính bằng gam (g);
m3 là khối lượng của mẫu đã xử lý sơ bộ (B.5.1.2.2), tính bằng gam (g).
Tính giá trị trung bình cộng của hai kết quả thỏa mãn điều kiện lặp lại (xem B.6.2). Nếu điều kiện lặp lại không đáp ứng, lặp lại phép xác định.
Biểu thị kết quả đến hai chữ số thập phân.
B.6.2 Độ lặp lại
Chênh lệch giữa các giá trị thu được từ hai phép xác định (xem B.5.4) được tiến hành đồng thời hoặc nhanh liên tiếp bởi cùng một người phân tích không được vượt quá 0,10 g ẩm trên 100 g mẫu.
CHÚ THÍCH Với một vài thực nghiệm, có thể thu được sự chênh lệch nhỏ hơn 0,05 g ẩm trên 100 g mẫu trong cùng một phòng thử nghiệm.
B.7 Lưu ý về quy trình
B.7.1 Dải độ ẩm đã cho đối với các sản phẩm xử lý sơ bộ trước khi nghiền, tương ứng với môi trường phòng thử nghiệm có nhiệt độ 20 °C và độ ẩm tương đối từ 40 % đến 70 %. Nên điều chỉnh đối với các điều kiện môi trường khác.
B.7.2 Thời gian sấy sơ bộ được đưa ra chỉ nhằm mục đích hướng dẫn. Kiểm tra xem thời gian sấy sơ bộ như vậy có thể giúp quá trình xử lý sơ bộ đạt được trạng thái mong muốn với thiết bị và sản phẩm được sử dụng.
B.7.3 Thời gian sấy tối thiểu là 150 h.
B.7.4 Màu trên bề mặt của phospho (V) oxit sẽ cho biết về việc thất thoát chất hữu cơ dạng vết dễ bay hơi khỏi phần mẫu thử. Với một số sản phẩm bị hư hỏng, nếu màu sắc trở nên rõ rệt thì nên giảm nhiệt độ gia nhiệt.
B.8 Báo cáo thử nghiệm
Báo cáo thử nghiệm phải ít nhất bao gồm các thông tin sau:
a) phương pháp được sử dụng, bao gồm viện dẫn đến phụ lục này;
b) kết quả thu được;
c) mọi điều kiện thao tác không quy định trong tiêu chuẩn này hoặc được xem là tùy chọn, cùng với mọi tình huống bất thường có thể ảnh hưởng đến kết quả;
d) mọi chi tiết cần thiết để nhận biết đầy đủ mẫu thử và đặc biệt là ngày tiến hành phân tích.
Thư mục tài liệu tham khảo
[1] ISO 3310-1, Test sieves - Technical requirement and testing - Part 1: Test sieves of metal wire cloth
[2] TCVN 6910-1 (ISO 5725-1), Độ chính xác (độ đúng và độ chụm) của phương pháp đo và kết quả đo - Phần 1: Nguyên tắc và định nghĩa chung
[3] TCVN 6910-2 (ISO 5725-2), Độ chính xác (độ đúng và độ chụm) của phương pháp đo và kết quả đo - Phần 2: Phương pháp cơ bản xác định độ lặp lại và độ tái lập của phương pháp đo tiêu chuẩn
[4] TCVN 6910-6 (ISO 5725-6), Độ chính xác (độ đúng và độ chụm) của phương pháp đo và kết quả đo - Phần 6: Sử dụng các giá trị độ chính xác trong thực tế
[5] TCVN 4846:2024 (ISO 6540:2021), Ngô - Xác định độ ẩm của ngô xay và ngô hạt
[6] TCVN 9027 (ISO 24333), Ngũ cốc và sản phẩm ngũ cốc - Lấy mẫu
[7] ISO 24557, Pulses - Determination of moisture content - Air-oven method
1) Phương pháp này đã được áp dụng thành công cho: lúa mì, thóc gạo, gạo lật, gạo trắng, lúa mạch, kê, lúa mạch đen và yến mạch, ở dạng hạt, hạt nghiền, bột lõi hoặc bột.
2) 1,3 kPa đến 2,6 kPa = 13 mbar đến 26 mbar = 10 mmHg đến 20 mmHg.
3) Đối với yến mạch và gạo (thóc, gạo đã nghiền và gạo xát) độ ẩm là 15 % khối lượng.
Bạn chưa Đăng nhập thành viên.
Đây là tiện ích dành cho tài khoản thành viên. Vui lòng Đăng nhập để xem chi tiết. Nếu chưa có tài khoản, vui lòng Đăng ký tại đây!

