- Tổng quan
- Nội dung
- Tiêu chuẩn liên quan
- Lược đồ
- Tải về
Tiêu chuẩn ngành 14 TCN 129:2002 Đất xây dựng công trình thuỷ lợi - Phương pháp phân tích thành phần hạt của đất
| Số hiệu: | 14 TCN 129:2002 | Loại văn bản: | Tiêu chuẩn ngành |
| Cơ quan ban hành: | Bộ Nông nghiệp và Phát triển nông thôn | Lĩnh vực: | Đất đai-Nhà ở |
| Trích yếu: | Đất xây dựng công trình thuỷ lợi - Phương pháp phân tích thành phần hạt của đất trong phòng thí nghiệm | ||
|
Ngày ban hành:
Ngày ban hành là ngày, tháng, năm văn bản được thông qua hoặc ký ban hành.
|
2002 |
Hiệu lực:
|
Đang cập nhật |
| Người ký: | Bùi Bá Bổng |
Tình trạng hiệu lực:
Cho biết trạng thái hiệu lực của văn bản đang tra cứu: Chưa áp dụng, Còn hiệu lực, Hết hiệu lực, Hết hiệu lực 1 phần; Đã sửa đổi, Đính chính hay Không còn phù hợp,...
|
Đã biết
|
TÓM TẮT TIÊU CHUẨN NGÀNH 14 TCN 129:2002
Nội dung tóm tắt đang được cập nhật, Quý khách vui lòng quay lại sau!
TIÊU CHUẨN NGÀNH
14 TCN 129:2002
ĐẤT XÂY DỰNG CÔNG TRÌNH THUỶ LỢI -
PHƯƠNG PHÁP PHÂN TÍCH THÀNH PHẦN HẠT CỦA ĐẤT TRONG PHÒNG THÍ NGHIỆM
Soils. Laboratory methods of determination of grain size distribution
1. QUY ĐỊNH CHUNG
1.1. Tiêu chuẩn này quy định phương pháp phân tích thành phần hạt của đất trong phòng thí nghiệm, gồm:
1. Phương pháp phân tích bằng sàng (rây): Áp dụng để xác định hàm lượng của các cỡ hạt lớn hơn 0,10mm (hạt thô);
2. Phương pháp phân tích bằng tỷ trọng kế: Áp dụng để xác định hàm lượng của các cỡ hạt nhỏ hơn 0,10mm (hạt mịn).
Ghi chú:
1. Đối với đất có nhiều cả hạt thô và hạt mịn thì phối hợp phương pháp phân tích bằng sàng và phương pháp tỷ trọng kế để xác định hàm lượng của mọi cỡ hạt và vẽ đường cong phân bố các cỡ hạt của đất liên tục từ cỡ thô nhất đến cỡ hạt sét.
2. Đối với đất có hàm lượng các cỡ hạt lớn hơn 0,1 mm ít hơn 10% thì được phép không phân tích chi tiết các cỡ hạt lớn hơn 0,1 mm bằng sàng; với đất có hàm lượng các cỡ hạt nhỏ hơn 0,1 mm ít hơn 10% thì được phép không phân tích chi tiết các cỡ hạt nhỏ hơn 0,1mm bằng tỷ trọng kế.
1.2. Thành phần hạt của đất, tuỳ thuộc vào nguồn gốc và điều kiện thành tạo đất, có thể bao gồm các hạt rắn đơn lẻ từ cỡ rất nhỏ (hạt sét, hạt keo) đến các hòn cuội, tảng. Phân tích thành phần hạt của đất là xác định hàm lượng của các cỡ hạt tạo đất biểu thị bằng số phần trăm theo khối lượng khô, chính xác đến 0,1%.
Ghi chú : Đất được cho là khô khi đã được sấy khô đến khối lượng không đổi ở nhiệt độ 105 ± 50C đối với đất vô cơ, ở nhiệt độ 65 đến 800C đối với đất chứa hữu cơ, than bùn và đất chứa cacbonat; Thời gian sấy khô đất theo quy định ở tiêu chuẩn 14 TCN 125 - 2002: Phương pháp xác định độ ẩm của đất trong phòng thí nghiệm.
1.3. Mỗi mẫu đất lấy một mẫu đại biểu để phân tích thành phần hạt. Mẫu đất đại biểu dùng phân tích thành phần hạt chỉ sử dụng một lần, nếu phải thí nghiệm lại thì phải lấy mẫu khác trong số đất còn lại.
Ghi chú:
1. Đối với các đất chứa hữu cơ và đất nhiễm muối thì phải tiến hành xử lý hữu cơ và xử lý muối cho mẫu đất trước khi phân tích thành phần hạt.
2. Việc làm phân tán đất cục và các vón kết thành các hạt đơn lẻ vốn có: Chỉ được lăn, nghiền đất bằng chày gỗ với đất rải trên tấm cao su; Khuấy nghiền đất trong cối bằng chày đầu bọc cao su hoặc bằng phương pháp khác thích hợp, đảm bảo không làm vỡ vụn các hạt đất đơn lẻ vốn có.
2. PHƯƠNG PHÁP PHÂN TÍCH BẰNG SÀNG
2.1. Nguyên tắc chung
Phương pháp phân tích bằng sàng (rây) là làm phân tán đất thành các hạt đơn lẻ vốn có bằng những biện pháp thích hợp, dùng thiết bị thí nghiệm theo Điều 2.2 để sàng phân loại các cỡ hạt thô của đất; Sau đó cân chính xác khối lượng khô của hạt lưu lại trên mỗi cỡ sàng sử dụng và tính toán hàm lượng của nó so với khối lượng toàn mẫu.
2.2. Thiết bị, dụng cụ, vật tư
1. Bộ sàng thí nghiệm, gồm:
- Sàng lỗ to gồm các sàng có đường kính lỗ: 100, 80, 60, 40, 20, 10, 5 và 2mm;
- Sàng lỗ nhỏ gồm các sàng có đường kính lỗ: 1; 0,5; 0,25 và 0,1mm.
Ghi chú: Cũng được sử dụng các sàng thí nghiệm của các nước khác (như Anh, Mỹ v.v…) với các cỡ gần bằng hoặc tương tự: 100; 75; 63; 40,5; 19; 9,5; 4,75; 2; 1; 0,5; 0,25 và 0,106 mm, hoặc 0.009 mm. Trong trường hợp này, theo biểu đồ phân bố thành phần hạt của đất mà chỉnh lý lại hàm lượng của các cỡ hạt ứng với đường kính lỗ sàng tiêu chuẩn quy định nói trên.
2. Máy sàng lắc: Có thể có hoặc không, nếu có thì thuận tiện hơn.
3. Các cân kỹ thuật, gồm:
- Cân bàn, sức cân ³10 kg, chính xác đến 5 g;
- Cân bàn, sức cân 1 đến 5 kg, chính xác đến 1 g;
- Cân đĩa, sức cân 200 đến 1000 g, chính xác đến 0,1 g;
- Cân đĩa, sức cân dưới 200 g, chính xác đến 0,01 g.
Bảng 2.1. Khối lượng khô của mẫu đất đại biểu lấy để phân tích thành phần hạt bằng sàng
| Cỡ hạt lớn nhất của vật liệu chiếm nhiều hơn 10% (Cỡ sàng thí nghiệm, mm) | Khối lượng khô của mẫu đất lấy để phân tích bằng sàng (kg) |
| 100 | 150 |
| 80 | 100 |
| 60 | 50 |
| 40 | 15 |
| 20 | 2 |
| 10 | 1,5 |
| 5 | 1 |
| 2 | 0,5 |
| Nhỏ hơn 2 | 0,2 |
4. Tủ sấy điện: Sấy được đến nhiệt độ 110oC, có thể khống chế và duy trì nhiệt độ sấy theo mọi mức yêu cầu với độ chính xác tới 0,5oC. Các dụng cụ kèm theo, gồm: Hộp có nắp đậy kín, bằng vật liệu không gỉ, gồm nhiều cỡ thích hợp để chứa mẫu đất xác định độ ẩm. Bình hút ẩm có chất hút ẩm Silicagel khan hoặc Canxi clorua (tốt nhất nên dùng Silicagel khan).
5. Khay đựng đất các cỡ thích hợp, bằng vật liệu không gỉ.
6. Bình rửa tia hoặc quả lê bằng cao su có thể hút nước và xịt nước.
7. Chày gỗ hình trụ tròn, tang bọc cao su. Cối sứ (hoặc đồng) và chày đầu bọc cao su. Tấm cao su, kích thước khoảng 1,5 x 1,5 m.
8. Hộp chia mẫu 4 ngăn hoặc 2 ngăn. Thước thẳng và cứng bản rộng khoảng 7¸10cm, dày khoảng 0,5 ¸ 1 cm, dài khoảng 0,5 ¸ 1 m.
9. Các thùng ngâm mẫu bằng vật liệu không gỉ có dung tích khoảng 2; 5; 10 lít.
10. Nước cất và nước sạch đã khử khoáng.
11. Các bàn chải mềm dùng quét sàng, và một vài bàn chải cứng dùng chải các hạt mịn bám trên bề mặt các đá tảng, đá cuội và sỏi (sạn) to.
12. Dung dịch Pirophotphat natri nồng độ 4% hoặc dung dịch Hexametaphotphat natri nồng độ 4%.
13. Các dụng cụ khác, gồm: Cốc thuỷ tinh, xẻng và muôi xúc đất, dao gọt, giấy trắng, phễu thuỷ tinh miệng rộng hơn đường kính sàng cỡ 0,1mm v.v…
2.3. Phân tích bằng sàng đối với đất không có tính dính (đất không chứa hoặc có chứa không đáng kể các hạt bụi và hạt sét)
2.3.1. Chuẩn bị và lấy mẫu thí nghiệm
1. Đem mẫu đất đã lấy về phơi khô gió ở trong phòng, rải đất lên tấm cao su đã lau sạch, dùng chày gỗ bọc cao su lăn nghiền làm tơi vụn đất. Sau đó đem đất sấy khô trong tủ sấy ở nhiệt độ 105 ± 5oC đến khối lượng không đổi, sau đó để nguội đến nhiệt độ trong phòng.
2. Lấy mẫu: Đem đất đã sấy khô và để ngội ra trộn đều, dùng hộp chia mẫu theo phương pháp chia tư, chia đôi thích hợp để lấy ra mẫu đất đại biểu có khối lượng khô phù hợp theo bảng 2.1, dùng cân kỹ thuật theo Điều 2.2 để cân chính xác khối lượng khô của mẫu đất dùng thí nghiệm (m0).
2.3.2. Làm phân tán đất
1. Rải mẫu đất thí nghiệm lên tấm cao su đã lau sạch. Dùng bàn chải cứng quét bề mặt các hạt sỏi (sạn) to và đá cuội, đá tảng cho đến khi chúng sạch các hạt nhỏ bám vào, rồi nhặt các hạt quá cỡ đó cho vào một khay chứa riêng. Nếu không có các hạt quá cỡ thì làm theo điểm 2 Điều 2.3.2.
2. Tiếp tục làm phân tán đất. Dùng chày gỗ bọc cao su để lăn, nghiền đất trên tấm cao su cho đến khi làm phân tán hết các cục đất và các kết thể thành các hạt đơn lẻ vốn có. Nếu thấy cần thiết thì khuấy nghiền đất thêm trong cối sứ bằng chày đầu bọc cao su.
2.3.3. Sàng phân loại các cỡ hạt của đất
1. Lắp sàng thí nghiệm cỡ lớn nhất thích hợp với cỡ hạt to nhất của đất với khay hứng.
2. Cho đất vào sàng, đậy nắp sàng lại rồi lắc sàng sao cho các hạt đất lăn trên sàng không theo quy tắc để các hạt nhỏ hơn lỗ sàng lọt hết qua sàng xuống khay hứng, đảm bảo sau khi sàng chỉ còn lại các hạt riêng biệt nằm lại trên sàng đều lớn hơn lỗ sàng sử dụng.
3. Mở nắp đậy sàng, lấy đất nằm lại trên sàng ra rồi dùng cân kỹ thuật theo Điều 2.2, cân chính xác khối lượng khô của đất.
Ghi chú: Nếu mẫu đất có khối lượng lớn thì sàng làm nhiều mẻ để tránh cho sàng quá tải và dễ sàng sạch đất.
4. Chuyển đất ở trong khay hứng vào khay đựng khác để lấy khay hứng sử dụng. Lắp sàng cỡ nhỏ hơn kế tiếp cỡ sàng trước đó vào khay hứng. Cho đất ở khay đựng vào sàng rồi đậy nắp lại theo điểm 2, 3 Điều 2.3.3 để xác định khối lượng của cỡ hạt nằm lại trên cỡ sàng này.
5. Lặp lại theo điểm 2, 3, 4 Điều 2.3.3 với tất cả các cỡ sàng kế tiếp nhỏ hơn còn lại cho đến cỡ sàng nhỏ nhất (0,1mm).
Ghi chú:
1. Nếu có máy sàng lắc thì có thể sàng đất qua nhiều cỡ sàng cùng một lúc với điều kiện sàng trên cùng không bị quá tải. Thời gian lắc sàng tối thiểu là 10 phút.
2. Trong quá trình sàng phân loại các cỡ hạt của đất, không làm rơi vãi hao hụt mất đất quá 1% khối lượng mẫu.
2.3.4. Tính toán và biểu thị kết quả
1. Cộng toàn bộ khối lượng khô của đất nằm lại trên các cỡ sàng thí nghiệm sử dụng và của hạt lọt sàng 0,1mm được khối lượng khô của mẫu đất sau phân tích (m'o) theo công thức 2.1:
m'o= å mi + m<0,1 (2.1)
Trong đó: m'o - khối lượng khô của mẫu đất sau phân tích, g;
å mi - tổng khối lượng khô của các cỡ hạt nằm lại trên các cỡ sàng thí nghiệm sử dụng, g;
m<0,1 - khối lượng khô của phần hạt lọt sàng 0,1 mm, g.
2. Tính toán hệ số hao hụt của mẫu đất sau quá trình phân tích, K, theo công thức 2.2:
(2.2)
Trong đó:
mo - khối lượng khô ban đầu của mẫu đất thí nghiệm, g;
m'o - khối lượng khô hiện có của mẫu đất thí nghiệm sau quá trình phân tích, g;
K - hệ số hao hụt, % khối lượng.
Ghi chú: Nếu K lớn hơn 1% thì phải ghi chú trong phần báo cáo kết quả.
3. Tính toán hàm lượng của hạt nằm lại trên từng cỡ sàng thí nghiệm theo công thức 2.3:
(2.3)
Trong đó:
Pi - số phần trăm theo khối lượng của hạt nằm lại trên sàng thí nghiệm cỡ i mm;
mi - khối lượng khô của hạt nằm lại trên sàng thí nghiệm cỡ i mm, g;
m'o - khối lượng khô của mẫu đất thí nghiệm hiện có, g.
4. Tính toán số phần trăm tích luỹ theo khối lượng của vật liệu hạt nhỏ hơn (lọt qua) cỡ sàng nào đó theo công thức 2.4:
% khối lượng của vật liệu lọt qua cỡ sàng này = 100 - tổng số % khối lượng của hạt nằm lại trên sàng này và trên các cỡ sàng lớn hơn (2.4)
5. Tính toán số % khối lượng của hạt lọt sàng 0,1 mm theo công thức 2.5:
(2.5)
Trong đó:
P<0,1 - số % theo khối lượng của hạt lọt sàng thí nghiệm 0,1 mm;
m<0,1 - khối lượng khô của hạt lọt sàng 0,1 mm (hạt mịn), g;
m'o - khối lượng khô của mẫu đất thí nghiệm hiện có, g.
6. Biểu thị kết quả phân tích bằng bảng theo như bảng A.1 phụ lục A, với hàm lượng của hạt nằm lại trên mỗi cỡ sàng chính xác đến 0,1% (hàm lượng của các cỡ hạt: > 200; 200 ¸ 100; 100 ¸ 80; 80 ¸ 60; 60 ¸ 40; 40¸20; 20¸10; 10 ¸ 5; 5 ¸ 2; 2 ¸ 1; 1 ¸ 0.5; 0.5 ¸ 0.25; 0.25 ¸ 0.1 và nhỏ hơn 0,1mm).
- Biểu thị kết quả lên biểu đồ bán logarit với dạng theo hình A.1 phụ lục A.
- Tính hệ số không đồng nhất (Cu) theo công thức 2.6:
(2.6)
- Tính hệ số đường cong phân bố thành phần hạt (Cc) theo công thức 2.7:
(2.7)
Trong đó: D10, D30 và D60 - là đường kính hạt tương ứng với hàm lượng bằng 10%, 30% và 60%.
2.3.5. Báo cáo thí nghiệm
Phải đảm bảo kết quả thí nghiệm được tiến hành phù hợp với tiêu chuẩn, bao gồm các thông tin chủ yếu sau:
- Tên công trình, hạng mục công trình; đơn vị khảo sát;
- Số hiệu hố thăm dò; số hiệu mẫu đất, độ sâu lấy mẫu, ngày tháng lấy mẫu;
- Số hiệu mẫu đất thí nghiệm, mô tả sơ bộ đất;
- Phương pháp thí nghiệm áp dụng;
- Khối lượng mẫu đất dùng thí nghiệm;
- Phương pháp phân tán đất;
- Bảng kết quả phân tích: Khối lượng khô và hàm lượng tương ứng của các cỡ hạt;
- Biểu đồ phân bố thành phần hạt.
- Trị số hệ số không đồng nhất (Cu) và hệ số đường cong phân bố thành phần hạt (Cc);
- Các thông tin khác có liên quan.
2.4. Phân tích bằng sàng đối với đất có tính dính (đất có chứa đáng kể các hạt bụi hạt sét)
2.4.1. Chuẩn bị và lấy mẫu đất thí nghiệm: Theo Điều 2.3.1.
2.4.2. Làm phân tán đất
1. Làm phân tán đất bằng nghiền đất khô theo Điều 2.3.2.
2. Lắp sàng cỡ 10 mm vào khay hứng. Cho đất đã được làm phân tán vào sàng, đậy nắp sàng lại, rồi lắc theo điểm 2 Điều 2.3.3 cho đến khi các hạt nhỏ hơn 10 mm lọt hết qua sàng xuống khay hứng; Mở nắp sàng ra, lấy đất nằm lại trên sàng cho vào khay đựng riêng và dùng cân kỹ thuật thích hợp cân chính xác khối lượng của đất.
Ghi chú: Nếu mẫu đất có khối lượng lớn thì sàng đất làm nhiều mẻ để tránh sàng quá tải và dễ sàng sạch đất.
3. Đem phần đất lọt sàng 10 mm ở trong khay hứng cho vào thùng hoặc cốc có sức chứa thích hợp. Đổ nước cất hoặc nước sạch đã khử khoáng vào ngập đất. Nếu là đất nguồn gốc phong hoá thì thêm Hexametaphotphat natri vào nước với liều lượng 2 g/lít.
Khuấy kỹ dung dịch đất đó, để ít nhất là 1 giờ rồi khuấy lại. Nếu cần thì dùng chày đầu bọc cao su khuấy nghiền đất thêm.
4. Lắp sàng cỡ 2 mm lên khay hứng. Cho từng ít một dung dịch đất vào sàng và dùng bình rửa tia với nước cất hoặc nước sạch đã khử khoáng, tia rửa cho các hạt nhỏ lọt hết qua sàng xuống khay hứng, đảm bảo sau khi rửa tia chỉ còn các hạt lớn hơn 2mm nằm lại trên sàng.
5. Chuyển hạt nằm lại trên sàng 2mm vào khay chứa riêng, rồi lại lắp sàng vào khay hứng và tiếp tục theo điểm 4 Điều 2.4.2 cho đến khi sàng rửa hết dung dịch đất trong thùng ngâm. Đem toàn bộ vật liệu hạt nằm lại trên sàng 2 mm ở các mẻ sàng cho vào một khay chứa và sấy khô nó ở 105 ± 5oC đến khối lượng không đổi, để nguội rồi cân khối lượng của nó chính xác đến 0,1 g.
6. Chuyển dung dịch đất lọt sàng 2 mm ở khay hứng vào bình chứa khác để lấy khay hứng sử dụng. Dùng chày đầu bọc cao su khuấy nghiền đất thêm.
7. Lắp sàng cỡ 0,1 mm vào khay hứng. Cho dung dịch đất lọt sàng 2 mm ở bình chứa vào sàng (dùng bình tia nước để dồn hết dung dịch đất trong bình chứa vào sàng). Dùng bình tia nước với nước cất hoặc nước sạch đã khử khoáng tia rửa cho các hạt mịn lọt hết qua sàng xuống khay hứng, đến khi nước chảy xuống thấy trong thì kết thúc rửa tia.
8. Đem vật liệu nằm lại trên sàng 0,1 mm cho vào khay đựng và sấy khô ở 105 ± 5oC đến khối lượng không đổi, để nguội rồi cân khối lượng của nó chính xác đến 0,1g.
9. Đem dung dịch đất lọt sàng 0,1 mm ở khay hứng cho vào cốc, để các hạt đất lắng chìm, gạn đổ nước trong ở bên trên rồi sấy khô ở 105 ± 5oC đến khối lượng không đổi, để nguội, rồi cân khối lượng của nó chính xác đến 0,1 g.
2.4.3. Sàng phân loại các cỡ hạt: Tương tự như Điều 2.3.3.
1. Đem phần vật liệu hạt nằm lại trên sàng 10 mm, sàng phân loại qua cỡ sàng lớn nhất phù hợp với cỡ hạt lớn nhất của đất, rồi qua cỡ sàng nhỏ hơn kế tiếp, cứ như thế cho đến cỡ sàng 20 mm. Cân chính xác khối lượng hạt nằm lại trên mỗi cỡ sàng sử dụng chính xác đến 0,1 g.
2. Đem phần vật liệu hạt nằm lại trên sàng 2 mm đã được sấy khô sàng phân loại qua sàng 5 mm, rồi cân khối lượng của hạt nằm lại trên sàng chính xác đến 0,1 g.
3. Đem phần vật liệu hạt nằm lại trên sàng 0,1 mm đã được sấy khô sàng phân loại theo thứ tự qua sàng 1 mm, rồi đến sàng 0,5 mm và đến sàng 0,25mm. Cân khối lượng của hạt nằm lại trên mỗi cỡ sàng chính xác đến 0,1 g.
2.4.4. Tính toán và biểu thị kết quả: Theo Điều 2.3.4.
Ghi chú: Nếu vật liệu hạt nhỏ hơn 0,1 mm (lọt sàng 0,1 mm) chiếm hơn 10% khối lượng mẫu thì phải lấy mẫu và phân tích bằng tỷ trọng kế như phần 3.
2.4.5. Báo cáo thí nghiệm: Theo Điều 2.3.5.
3. PHƯƠNG PHÁP PHÂN TÍCH BẰNG TỶ TRỌNG KẾ
3.1. Nguyên tắc chung
3.1.1. Phương pháp tỷ trọng kế áp dụng để xác định hàm lượng của các cỡ hạt nhỏ hơn 0,1 mm của đất, bằng cách dùng phao tỷ trọng kế đo khối lượng riêng của huyền phù đất tại các thời gian lắng chìm khác nhau của hạt phân tán.
Khi trong đất có các cỡ hạt lớn hơn thì phải kết hợp phương pháp phân tích bằng tỷ trọng kế với phương pháp phân tích bằng sàng (rây) ở phần 2.
3.1.2. Mẫu đất dùng để phân tích thành phần hạt theo phương pháp tỷ trọng kế, đặc biệt là đất loại sét, tốt nhất nên dùng đất ở độ ẩm tự nhiên.
3.2. Dụng cụ, thiết bị, vật tư
1. Ít nhất có 1 tỷ trọng kế loại B, trên cán phao khắc vạch từ 0,995 đến 1,030 (hoặc 1,050) với các khoảng chia chính xác đến 0,001; hoặc 1 tỷ trọng kế loại A trên cán phao khắc vạch từ 0 đến 60 độ, khoảng chia chính xác đến 1 độ.
2. Ống lường (ống đo) bằng thuỷ tinh, chiều cao khoảng 45 cm, đường kính trong khoảng 6 cm, dung tích 1200 đến 1300 cm3, được khắc vạch chia đều 20 cm3, vạch khắc trên cùng ứng với 1000 cm3, diện tích mặt cắt ngang của ống phải đồng đều trên suốt chiều dài ống, nên có ít nhất 25 đến 30 ống.
3. Ống lường bằng thuỷ tinh, dung tích 500 cm3, được khắc vạch chia đều 10cm3 một, nên có ít nhất 10 ống.
4. Bình tam giác bằng thuỷ tinh chịu nhiệt, dung tích 500 cm3, nên có ít nhất 25 đến 30 bình.
5. Bộ sàng thí nghiệm như Điều 2.2.
6. Thiết bị đun sôi và khay cát kèm theo.
7. Các cân phân tích có độ chính xác 0,1g; 0,01 g; 0,001 g.
8. Que khuấy, đầu đệm cao su hình tròn bỏ lọt dễ dàng vào ống lường và được đục thủng nhiều lỗ đường kính 3 đến 5mm. Đũa thuỷ tinh.
9. Đồng hồ bấm giây và đồng hồ để bàn.
10. Giấy lọc.
11. Nước cất và nước sạch đã khử khoáng.
12. Tủ sấy đạt tới nhiệt độ 110oC, có khả năng khống chế và duy trì nhiệt độ ở các mức yêu cầu và các hộp chứa mẫu xác định độ ẩm.
13. Nhiệt kế đo được trong phạm vi từ 0 đến 50oC, số đọc chính xác đến 0,5oC.
14. Bình hút ẩm có chứa Silicagen khan.
15. Cối sứ hoặc đồng và chày đầu bọc cao su.
16. Khay đựng bằng vật liệu không gỉ, gồm nhiều cỡ thích hợp.
17. Bình tia nước.
18. Các hoá chất gồm: Hydroxyt Amon (NH4OH) nồng độ 25%; Acid clohydric (HCl) nồng độ 10%; Acid nitric (HNO3) nồng độ 10%; Pirophotphat natri (Na4P2O7) nồng độ 4% hoặc Hexametaphotphat natri (NaPO3)6 nồng độ 4%; Peroxid hydrogen nồng độ 6%, BaCl2 nồng độ 5%, AgNO3 nồng độ 5%, NaOH nồng độ 25%v.v...
19. Các dụng cụ khác như cốc thuỷ tinh, phễu thuỷ tinh, chổi quét sàng, muôi xúc v.v…
3.3. Chuẩn bị và lấy mẫu đất thí nghiệm
3.3.1. Trộn đều đất, rồi lấy mẫu xác định độ ẩm tự nhiên của đất theo 14 TCN 125 - 2002; Đựng đất còn lại vào túi nhựa, buộc kín để giữ nguyên độ ẩm.
3.3.2. Tính toán khối lượng mẫu đất cần lấy ở độ ẩm tự nhiên để phân tích thành phần hạt theo công thức 3.1:
m = mo (1 + 0,01W) (3.1)
Trong đó:
m - khối lượng mẫu đất cần lấy ở độ ẩm tự nhiên, g;
mo - khối lượng khô của mẫu đất cần có để phân tích hạt, tuỳ thuộc vào loại đất, thường là 100 g đối với đất cát pha sét, và 50g đối với đất sét và đất bụi;
W - độ ẩm tự nhiên của đất, % theo khối lượng.
3.3.3. Cân lấy mẫu đất đại biểu để thí nghiệm có khối lượng ở độ ẩm tự nhiên (m) để có khối lượng khô yêu cầu (mo) như Điều 3.3.2, cân chính xác đến 0,1 g.
Ghi chú: Nếu phần hạt nhỏ hơn 0,1 mm của mẫu đất đã qua phân tích bằng sàng, thì cân lấy 25 đến 30g đất khô đó để phân tích tỷ trọng kế.
3.3.4. Xử lý trước đối với đất có chứa hữu cơ
Nếu là đất chứa hữu cơ, thì phải xử lý hữu cơ cho mẫu đất thí nghiệm trước khi tiến hành phân tích hạt, theo trình tự:
1. Cho mẫu đất đã lấy theo Điều 3.3.2 và 3.3.3 vào bình tam giác, chế vào 150cm3 hydrogen peroxide, dùng đũa thuỷ tinh khuấy hỗn hợp trong hai đến ba phút, đậy miệng bình bằng tấm kính rồi để qua đêm.
Ghi chú: Nếu có các mảnh di tích động-thực vật chưa phân huỷ thì phải nhặt chúng để riêng ra rồi mới cho hydrogen peroxide vào mẫu đất để làm oxy hoá các mùn hữu cơ, rồi đem sấy khô xác định khối lượng của chúng.
2. Đem dung dịch đất và hydrogen peroxide đun sôi nhẹ cho cạn dần cho đến khi còn khoảng 50 cm3, không để sủi trào bọt, thường xuyên dùng đũa thuỷ tinh khuấy hỗn hợp. Nếu đất chứa nhiều hữu cơ, thì cho thêm hydrogen peroxide để ôxy hoá hết chất hữu cơ, rồi để nguội đất trong bình.
3. Đặt giấy lọc phủ kín mặt trong của phễu, rồi để phễu vào bình chứa. Chuyển hết dung dịch đất trong bình đã được làm ôxy hoá hết chất hữu cơ vào phễu lọc, không làm rơi vãi hao hụt mất đất. Dùng nước cất chế vào ngập đất trong phễu để rửa đất nhiều lần cho đến khi sạch.
4. Chuyển hết đất ở trong phễu đã được rửa sạch hữu cơ cho vào đĩa bốc hơi, rồi đem sấy khô đất ở nhiệt độ 105±50C đến khối lượng không đổi, để nguội, cân khối lượng khô của đất (m'o) chính xác đến 0,01g. Trị số m'o chính là khối lượng khô của mẫu đất dùng phân tích thành phần hạt.
5. Tính toán khối lượng và hàm lượng của chất hữu cơ có trong đất theo công thức 3.2 và 3.3:
mhc = mo - m'o (3.2)
(3.3)
Trong đó:
mhc - khối lượng của hữu cơ có trong mẫu đất thí nghiệm, g;
Phc - hàm lượng của hữu cơ có trong đất, % theo khối lượng;
mo - khối lượng khô của mẫu đất trước khi xử lý hữu cơ, g;
m'o - khối lượng khô của mẫu đất sau khi xử lý hữu cơ, g (phải tính đến khối lượng của các mảnh di tích động-thực vật chưa bị phân huỷ, nếu có).
6. Kết thúc việc xử lý hữu cơ cho mẫu đất thí nghiệm, chuyển sang làm phân tán đất theo Điều 3.4 để phân tích hạt.
3.3.5. Xử lý trước đối với đất chứa muối hoà tan (thường đối với đất trầm tích vùng đồng bằng ven biển)
1. Trắc nghiệm muối
Trộn đều đất, lấy 3 g đem nghiền nhỏ, cho vào bình tam giác rồi chế vào 20cm3 nước cất. Đem dịch thể đất đun sôi khoảng 10 phút rồi để nguội. Sau đó cho dịch thể đất này vào ống nghiệm có dung tích khoảng 150 cm3, rồi cho thêm nước cất đã đun sôi để nguội vào đến khoảng 100 cm3, lắc đảo dung dịch khoảng 1 phút rồi để yên sau 12 đến 24 giờ. Sau thời gian đó, nếu thấy có kết tủa bông xốp và hình thành lớp nước trong suốt ở bên trên, thì chứng tỏ là đất có chứa muối hoà tan và phải rửa muối cho mẫu đất trước khi tiến hành phân tích hạt.
2. Rửa muối
Đem mẫu đất đã lấy theo Điều 3.3.2 và 3.3.3 để phân tích hạt cho vào cối sứ hoặc cối đồng, dùng chày đầu bọc cao su nghiền kỹ làm phân tán đất, rồi cho đất vào bình tam giác dung tích 500 cm3, chế nước cất vào ngập quá đất. Dùng đũa thuỷ tinh khuấy dung dịch đất làm cho muối hoà tan hết.
3. Lót giấy lọc kín khắp mặt trong của phễu, rồi đặt phễu vào ống lường hoặc bình tam giác dung tích 1000 cm3. Nhẹ nhàng cho dung dịch đất vào phễu, dùng bình tia với nước cất tia dồn hết dung dịch đất trong bình tam giác vào phễu. Dùng nước cất rửa đất trong phễu, rửa nhiều lần cho đến khi thải hết muối hoà tan có trong đất.
Để kiểm tra đã rửa sạch muối hay chưa, dùng hai ống nghiệm, hứng vào mỗi ống 2cm3 nước lọc qua ở dưới cuống phễu, rồi cho thêm vào ống nghiệm thứ nhất vài giọt HCl nồng độ 10% và BaCl2 nồng độ 5%, cho vào ống nghiệm thứ hai vài giọt HNO3 nồng độ 10% và AgNO3 5%. Nếu cả hai ống nghiệm không thấy có kết tủa trắng thì chứng tỏ đất đã được rửa sạch muối.
Ghi chú: Trong quá trình rửa muối, đảm bảo giấy lọc không bị thủng và cuống phễu luôn cao hơn mực nước thải ra ở trong ống đong.
4. Để ống đong chứa nước đã rửa muối lên bàn phẳng ngang, đọc thể tích chính xác đến 1 cm3. Khuấy đảo đều nước rửa muối ở trong ống đong từ trên xuống dưới và từ dưới lên trên, rồi lấy ra hai mẫu, mỗi mẫu 100 cm3 cho vào một bát riêng; Đem sấy khô chúng ở nhiệt độ 105 ± 5°C, để nguội rồi cân khối lượng của cặn muối chính xác đến 0,001 g.
5. Chuyển hết đất đã được rửa muối ở trên giấy lọc trong phễu cho vào bình tam giác dung tích 500 cm3 để làm phân tán đất theo Điều 3.4.
6. Tính toán khối lượng và hàm lượng của muối hoà tan có trong đất theo các công thức 3.4 và 3.5:
(3.4)
Trong đó:
mm - khối lượng muối hoà tan có trong đất, g;
m (trung bình) - khối lượng trung bình của muối hoà tan có trong 100 cm3 nước rửa muối, g;
Vn - thể tích mẫu nước rửa muối lấy đem sấy khô, 100 cm3;
V0 - thể tích của nước rửa muối có trong ống đong, cm3;
mo - khối lượng khô ban đầu của mẫu đất dùng thí nghiệm được lấy theo Điều 3.3.2 và 3.3.3;
Pm - số phần trăm theo khối lượng của muối hoà tan có trong đất.
7. Tính toán khối lượng khô của mẫu đất sau khi đã rửa muối (m'o) theo công thức 3.6:
m'o = mo - mm (3.6)
Trong đó:
mo - khối lượng khô ban đầu của mẫu đất trước khi xử lý muối, g;
mm - khối lượng của muối hoà tan có trong mẫu đất, g.
8. Kết thúc việc xử lý muối hoà tan cho mẫu đất thí nghiệm, chuyển sang làm phân tán đất theo Điều 3.4 để phân tích hạt.
3.4. Làm phân tán đất và chuẩn bị huyền phù
1. Đem mẫu đất dùng phân tích hạt đã lấy theo điều 3.3.2 và 3.3.3 (không phải xử lý hoặc đã được xử lý hữu cơ, xử lý muối) cho vào bình tam giác dung tích 500cm3 hoặc lớn hơn, chế vào khoảng 200 cm3 nước cất và 1cm3 dung dịch NH4OH nồng độ 25%, dùng đũa thuỷ tinh khuấy đều dung dịch đất rồi để ngâm khoảng 18 giờ.
2. Đậy bình bằng một phễu thuỷ tinh hoặc bằng nút có nối với ống ruột gà làm lạnh, rồi đun sôi dung dịch đất ít nhất là khoảng 1 giờ.
3. Để dung dịch đất nguội đến nhiệt độ trong phòng, rồi cho tất cả vào cối sứ hoặc đồng và dùng chày đầu bọc cao su nghiền phân tán đất.
Ghi chú: Dùng bình tia với nước cất đã đun sôi để nguội để chuyển hết đất trong bình tam giác cho vào cối, trong quá trình nghiền đất không được làm đổ vãi hao hụt đất.
4. Đặt phễu thuỷ tinh lên miệng ống lường dung tích đánh dấu 1000cm3 đã được rửa sạch, rồi đặt sàng cỡ 0,1 mm vào phễu. Cho từng ít một dung dịch đất đã nghiền ở trong cối vào sàng, vừa lắc nhẹ sàng vừa tia nước cất đã đun sôi để nguội để sàng rửa đất cho đến khi đảm bảo chỉ còn các hạt thô hơn và sạch nằm lại trên sàng. Đem phần hạt nằm lại trên sàng cho vào khay đựng đã được rửa sạch. Tiếp tục sàng rửa dung dịch đất qua sàng 0,1 mm cho đến hết.
Ghi chú: Trong quá trình sàng rửa không được làm tràn dung dịch đất ra ngoài sàng, dùng nước rửa vừa đủ để được dung dịch huyền phù trong ống lường dưới mức 1000 cm3.
5. Đem phần hạt nằm lại trên sàng 0,1 mm sấy khô ở nhiệt độ 105 ± 5°C đến khối lượng không đổi, rồi đặt vào bình hút ẩm, làm nguội đến nhiệt độ trong phòng. Tiếp theo cân khối lượng khô của đất (m1) chính xác đến 0,1 g, rồi sàng phân loại các cỡ hạt của đất này qua các sàng từ cỡ lớn nhất thích hợp đến các sàng: 2; 1; 0,5 và 0,25 mm. Cân khối lượng khô của các hạt nằm lại trên từng cỡ sàng và hạt lọt sàng 0,25 mm chính xác đến 0,1g.
6. Tính toán khối lượng khô của phần hạt lọt sàng 0,1 mm (m<0.1) có trong huyền phù theo công thức 3.6:
m<0,1 = m'o - m1 (3.6)
Trong đó: m'0và m1 ký hiệu đã giải thích ở phần trên.
7. Đặt ống lường chứa dung dịch hạt nhỏ hơn 0,1 mm lên bàn phẳng ngang, đảm bảo vững chắc. Cho vào dung dịch 25 cm3 pirophotphat natri (Na4P2O7) nồng độ 4% hoặc Hexametaphotphat natri (NaPO3)6 nồng độ 4% để ổn định dung dịch và cho thêm nước cất đã đun sôi để nguội vào ống lường đến đúng mức 1000 cm3. Dùng que khuấy đầu đệm cao su có đục thủng nhiều lỗ nhỏ khuấy, đảo dung dịch từ trên xuống và từ dưới lên 15 đến 20 lần, làm cho các cỡ hạt phân tán phân bố đều trong dung dịch.
8. Nếu thấy huyền phù còn có kết tủa tạo thành và lắng xuống đáy ống lường, thì cần phải cho thêm dung dịch (NaPO3)6 vào huyền phù vừa đủ để phá keo. Đến đây kết thúc việc chuẩn bị huyền phù, chuyển sang lấy số đo của phao tỷ trọng kế theo Điều 3.5.
3.5. Lấy số đo của tỷ trọng kế trong huyền phù ở trong các thời gian lắng chìm khác nhau của hạt phân tán
1. Dùng que khuấy đầu đệm cao su có đục thủng nhiều lỗ, khuấy đảo đều huyền phù từ trên xuống và từ dưới lên ít nhất trong 2 phút với khoảng 60 lần khuấy. Ngừng khuấy, lấy que khuấy ra cho vào ống đong có chứa nước cất, lập tức bấm đồng hồ, đồng thời nhẹ nhàng thả phao tỷ trọng kế theo hướng thẳng đứng vào huyền phù sao cho phao nổi tự do ổn định ở trung tâm tiết diện ống lường, rồi đọc số đo (Ro) trên cán phao tỷ trọng kế ở thời gian: Sau 30 giây, 1 phút, 2 phút và 5 phút kể từ khi ngừng khuấy. Mỗi thời điểm đọc không quá 15 giây và đọc theo mép trên của mặt cong huyền phù. Đọc xong loạt số đo này, lấy tỷ trọng kế ra lau sạch rồi thả vào ống lường đựng nước cất, đồng thời đo và ghi lại nhiệt độ của huyền phù.
Ghi chú: Khi đọc tỷ trọng kế loại B, để đơn giản, bỏ hàng đơn vị và dịch dấu phẩy về bên phải ba con số. Ví dụ: Vạch khắc 1,0252 được đọc và ghi là 25,2. Khi đọc tỷ trọng kế loại A, đọc chính xác đến 0,1o.
2. Khuấy lại huyền phù lần thứ hai theo điểm 1 Điều 3.5, rồi ngừng khuấy và lập tức bấm đồng hồ theo dõi thời gian. Tiếp theo, thả tỷ trọng kế vào huyền phù và đọc số đo (Ro) trên cán phao ở các thời gian: Sau 15 phút; 30 phút; 1h; 2h; 4h; 8h và 24 giờ kể từ khi ngừng khuấy; 2 lần trong ngày tiếp sau (nếu có yêu cầu). Mỗi lần đọc xong số đo, nhẹ nhàng lấy tỷ trọng kế ra, lau sạch rồi thả vào ống lường có đựng nước cất, đồng thời đo và ghi lại nhiệt độ của huyền phù chính xác đến 0,5oC.
Ghi chú: Khi lấy số đọc tỷ trọng kế lần sau, cần thả tỷ trọng kế vào sâu hơn số đọc lần trước một ít để phao chóng ổn định.
3.6. Tính toán và biểu thị kết quả
3.6.1. Tính toán phần phân tích bằng sàng
1. Tính toán trị số % theo khối lượng của hạt nằm lại trên từng cỡ sàng thí nghiệm theo công thức 3.7:
(3.7)
Trong đó:
Pi - trị số % theo khối lượng của hạt nằm lại trên cỡ sàng i;
mi - khối lượng khô của hạt nằm lại trên cỡ sàng i, g;
mo - khối lượng khô của mẫu đất thí nghiệm, g.
Ghi chú: Nếu đất thí nghiệm phải xử lý hữu cơ hoặc xử lý muối hoà tan thì lấy mo = m'o (khối lượng khô của mẫu thí nghiệm sau xử lý).
2. Tính toán trị số % tích luỹ theo khối lượng của cỡ hạt lọt qua cỡ sàng i theo công thức 3.8:
% tích luỹ qua sàng i = 100 - tổng số % của cỡ hạt nằm lại trên sàng i và trên các sàng lớn hơn sàng i (3.8)
3. Tính trị số % tích luỹ theo khối lượng của cỡ hạt lọt sàng 0,1 mm: Tương tự như trên.
3.6.2. Tính toán phần phân tích bằng tỷ trọng kế
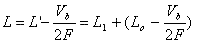
1. Tính toán cự ly chìm lắng hiệu quả của hạt đất (L), khoảng cách từ vạch khắc đang xét trên cán tỷ trọng kế, ngang với mặt nước (cũng là số đọc tỷ trọng kế, R0) đến trung tâm phao tỷ trọng kế, theo công thức 3.9:
(3.9)
Trong đó:
L - cự ly chìm lắng hiệu quả của hạt đất, cm;
L' - cự ly từ mặt nước đến trung tâm bầu tỷ trọng kế, cm;
L1 - cự ly từ vạch khắc thấp nhất đến vạch khắc đang xét ngang với mặt nước (cũng là số đọc tỷ trọng kế, R0) trên cán phao tỷ trọng kế, cm;
Lo - cự ly từ trung tâm phao tỷ trọng kế đến vạch khắc thấp nhất trên
cán phao tỷ trọng kế, cm;
Vb - thể tích bầu (phao) tỷ trọng kế, cm3;
F - diện tích tiết diện ngang của ống lường 1000 cm3 dùng trong thí nghiệm, cm2.
(Xem hình C.1 và C.2 phụ lục C)
Ghi chú: Để thuận tiện trong tính toán, cần lập bảng hiệu chính trước các cự ly chìm lắng hiệu quả của hạt đất (L) đối với mỗi tỷ trọng kế và từng ống lường 1000 cm3 sử dụng thí nghiệm, theo như ví dụ ở bảng C.3 và C.4 phụ lục C.
2. Tính toán đường kính tương đương của hạt đất ứng với thời gian lắng chìm theo công thức 3.10:
(3.10)
Trong đó:
d - đường kính tương đương của hạt đất, mm;
h - hệ số nhớt động của nước ở nhiệt độ thí nghiệm, Poazơ, tra bảng A.4 phụ lục A;
g - gia tốc trọng trường, bằng 981cm/s2;
rs - khối lượng riêng của hạt đất nhỏ hơn 2 mm, g/cm3;
rn - khối lượng riêng của nước, lấy bằng 1 g/cm3;
t - thời gian lắng chìm của hạt đất kể từ khi ngừng khuấy huyền phù đến khi lấy số đọc tỷ trọng kế (R0), s;
L - cự ly lắng chìm hiệu quả của hạt đất tương ứng với thời gian lắng chìm (t) khi lấy số đọc tỷ trọng kế, cm;
Ghi chú:
1. Để thuận tiện trong tính toán, công thức 3.10 được viết gọn dạng 3.11:
![]()
2. Thực tế, để nhanh chóng và thuận tiện, thường sử dụng toán đồ Stoke để xác định đường kính d của hạt theo hình B.1 phụ lục B.
3. Tính toán trị số x, % theo khối lượng của cỡ hạt nhỏ hơn đường kính d nào đó ứng với các số đọc tỷ trọng kế:
a/ Khi sử dụng tỷ trọng kế loại A: Tính theo công thức 3.12:
(3.12)
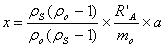
Trong đó: x - trị số % theo khối lượng khô của cỡ hạt nhỏ hơn đường kính tương đương d nào đó đã xác định theo điểm 2 Điều 3.6.2;
rs - khối lượng riêng của hạt đất, g/cm3;
ro - khối lượng riêng giả định dùng để khắc độ trên tỷ trọng kế, bằng 2,65 g/cm3;
mo - khối lượng khô của mẫu đất thí nghiệm, g;
a - trị số % theo khối lượng khô của cỡ hạt lọt sàng 0,1 mm;
RA - số đọc tỷ trọng kế loại A đã được hiệu chỉnh, tính theo công thức:
RA = ROA + mA + nA - CA
Trong đó: ROA - số đọc tỷ trọng kế loại A;
mA - số hiệu chỉnh nhiệt độ của nước khi thí nghiệm sử dụng tỷ trọng kế loại A (tra bảng C.5 phụ lục C);
nA - số hiệu chỉnh mặt cong dịch thể trên độ khắc của tỷ trọng kế loại A (phụ lục C);
CA - số hiệu chỉnh chất phân tán ứng với thí nghiệm sử dụng tỷ trọng kế loại A (phụ lục C).

Trong đó: x - Trị số % theo khối lượng khô của cỡ hạt nhỏ hơn đường kính tương đương d nào đó đã xác định theo điểm 2 Điều 3.6.2;
R'B - Số đọc tỷ trọng kế loại B đã được hiệu chỉnh, tính theo công thức:
R'B = ROB + mB + nB - CB
Trong đó: ROB - số đọc tỷ trọng kế loại B;
mB - số hiệu chỉnh nhiệt độ của nước ứng với thí nghiệm sử dụng tỷ trọng kế loại B (tra bảng C.5 phụ lục C);
nB - số hiệu chỉnh mặt cong dịch thể theo độ khắc của tỷ trọng kế loại B (phụ lục C);
CB - số hiệu chỉnh chất phân tán ứng với thí nghiệm sử dụng tỷ trọng kế loại B (phụ lục C);
- Các ký hiệu khác như đã giải thích ở phần trên.

3.6.3. Biểu thị kết quả
Biểu thị kết quả phân tích bằng bảng tất các trị số hàm lượng của các cỡ hạt thô được phân tích bằng sàng và của các cỡ hạt mịn được phân tích bằng tỷ trọng kế, đồng thời biểu thị lên biểu đồ phân bố thành phần cỡ hạt của đất dưới dạng đường cong trơn như bảng A.1; A.2 và hình A.1 phụ lục A.
3.7. Báo cáo thí nghiệm
Phải đảm bảo kết quả thí nghiệm được tiến hành phù hợp với tiêu chuẩn 14 TCN 129 - 2002, bao gồm các thông tin chủ yếu sau:
- Tên công trình, hạng mục công trình, đơn vị khảo sát;
- Số hiệu hố thăm dò;
- Số hiệu mẫu đất, độ sâu lấy mẫu;
- Số hiệu mẫu thí nghiệm trong phòng;
- Phương pháp thí nghiệm sử dụng;
- Khối lượng mẫu đất dùng thí nghiệm;
- Phương pháp phân tán đất;
- Kết quả phân tích: Hàm lượng của các cỡ hạt, Biểu đồ phân bố thành phần hạt;
- Các thông tin khác có liên quan như: xử lý hữu cơ, xử lý muối (nếu có) v.v...
PHỤ LỤC A
CÁC MẪU BẢNG GHI CHÉP PHÂN TÍCH THÀNH PHẦN HẠT ĐẤT
Bảng A.1. Mẫu ghi chép khi phân tích bằng sàng
- Tên công trình: …
- Hạng mục công trình: …
- Đơn vị khảo sát địa chất: …
- Số hiệu hố thăm dò: …
- Số hiệu mẫu đất: … Độ sâu lấy mẫu: … Ngày tháng lấy mẫu: …
- Số hiệu mẫu thí nghiệm: … Mô tả đất sơ bộ: …
- Khối lượng khô của mẫu đất lấy thí nghiệm: … g
| Các cỡ sàng sử dụng (mm) | Vật liệu hạt nằm lại trên sàng | Phần trăm tích luỹ của vật liệu lọt sàng | Ghi chú | |
| Khối lượng (g) | Hàm lượng (%) | |||
| 200 |
|
|
|
|
| 100 |
|
|
|
|
| 80 |
|
|
|
|
| 60 |
|
|
|
|
| 40 |
|
|
|
|
| 20 |
|
|
|
|
| 10 |
|
|
|
|
| 5 |
|
|
|
|
| 2 |
|
|
|
|
| 1 |
|
|
|
|
| 0,50 |
|
|
|
|
| 0,25 |
|
|
|
|
| 0,10 |
|
|
|
|
Ngày …... tháng …… năm …… phân tích
| Người thực hiện | Người kiểm tra | Người duyệt |
|
|
|
|
|
|
|
|
Bảng A.2. Mẫu ghi chép thí nghiệm phân tích hạt bằng phương pháp tỷ trọng kế
| - Tên công trình: … | - Ngày thí nghiệm: … |
| - Hạng mục công trình: … | - Người thí nghiệm: … |
| - Số hiệu mẫu đất: … | - Người tính toán: … |
| - Số hiệu mẫu thí nghiệm: … | - Người kiểm tra: … |
| - Tổng khối lượng mẫu đất khô gió: … |
|
| - Tổng khối lượng mẫu đất khô: … |
|
|
|
|
|
| - Khối lượng khô của hạt <0,1 mm | - Tỷ trọng kế loại: A (hoặc B); số: ... | |
| - Phần trăm theo khối lượng của hạt <0,1 mm: … | - Ống lường 1000 cm3; số: … | |
| - Khối lượng khô của mẫu đất thí nghiệm hạt <0,1 mm: … |
| |
| - Khối lượng riêng của hạt đất <2 mm: … |
| |
| - Xử lý hữu cơ (có hay không): … |
| |
| - Xử lý muối (có hay không): … |
| |
|
Thời gian lắng chìm (t) |
Nhiệt độ dung dịch (ToC) | Số đọc tỷ trọng kế |
Cự ly chìm lắng hiệu quả của hạt đất L (cm) |
Đường kính hạt d (mm) |
Phần trăm khối lượng của hạt nhỏ hơn đường kính d nào đó (%) | ||||
| Số đọc tỷ trọng kế (Ro) | Trị số hiệu chỉnh mặt cong dịch thể (n) | Trị số hiệu chỉnh nhiệt độ (m) | Trị số hiệu chỉnh chất phân tán (CD) | Số đọc tỷ trọng kế đã hiệu chính R'=Ro+n+m-CD | |||||
| 30'' |
|
|
|
|
|
|
|
|
|
| 1' |
|
|
|
|
|
|
|
|
|
| 2' |
|
|
|
|
|
|
|
|
|
| 5' |
|
|
|
|
|
|
|
|
|
| 15' |
|
|
|
|
|
|
|
|
|
| 30' |
|
|
|
|
|
|
|
|
|
| 1h |
|
|
|
|
|
|
|
|
|
| 2h |
|
|
|
|
|
|
|
|
|
| 4h |
|
|
|
|
|
|
|
|
|
| 8h |
|
|
|
|
|
|
|
|
|
| 24h |
|
|
|
|
|
|
|
|
|
| … |
|
|
|
|
|
|
|
|
|
| … |
|
|
|
|
|
|
|
|
|

Bảng A.3. Bảng trị số hệ số K dùng để tính toán đường kính hạt (d)

| Nhiệt độ (oC) | Hệ số K | ||||||||
| Khối lượng riêng của đất | |||||||||
| 2,45 | 2,50 | 2,55 | 2,60 | 2,65 | 2,70 | 2,75 | 2,80 | 2,85 | |
| 5 | 0,1335 | 0,1360 | 0,1339 | 0,1318 | 0,1293 | 0,1270 | 0,1261 | 0,1243 | 0,1226 |
| 6 | 0,1365 | 0,1312 | 0,1320 | 0,1299 | 0,1280 | 0,1261 | 0,1243 | 0,1225 | 0,1208 |
| 7 | 0,1344 | 0,1321 | 0,1300 | 0,1280 | 0,1260 | 0,1241 | 0,1224 | 0,1206 | 0,1179 |
| 8 | 0,1324 | 0,1302 | 0,1281 | 0,1260 | 0,1241 | 0,1223 | 0,1205 | 0,1188 | 0,1182 |
| 9 | 0,1305 | 0,1283 | 0,1262 | 0,1242 | 0,1221 | 0,1205 | 0,1187 | 0,1171 | 0,1164 |
| 10 | 0,1288 | 0,1267 | 0,1247 | 0,1227 | 0,1208 | 0,1189 | 0,1173 | 0,1156 | 0,1141 |
| 11 | 0,1270 | 0,1249 | 0,1229 | 0,1209 | 0,1190 | 0,1173 | 0,1156 | 0,1140 | 0,1124 |
| 12 | 0,1253 | 0,1232 | 0,1212 | 0,1193 | 0,1175 | 0,1157 | 0,1140 | 0,1124 | 0,1109 |
| 13 | 0,1235 | 0,1214 | 0,1195 | 0,1175 | 0,1158 | 0,1141 | 0,1124 | 0,1109 | 0,1098 |
| 14 | 0,1221 | 0,1200 | 0,1180 | 0,1162 | 0,1149 | 0,1127 | 0,1111 | 0,1095 | 0,1079 |
| 15 | 0,1205 | 0,1184 | 0,1165 | 0,1148 | 0,1130 | 0,1113 | 0,1096 | 0,1081 | 0,1067 |
| 16 | 0,1189 | 0,1169 | 0,1150 | 0,1132 | 0,1115 | 0,1098 | 0,1083 | 0,1067 | 0,1053 |
| 17 | 0,1175 | 0,1154 | 0,1135 | 0,1118 | 0,1100 | 0,1085 | 0,1069 | 0,1047 | 0,1039 |
| 18 | 0,1159 | 0,1140 | 0,1121 | 0,1103 | 0,1086 | 0,1071 | 0,1055 | 0,1040 | 0,1026 |
| 19 | 0,1145 | 0,1135 | 0,1117 | 0,1090 | 0,1073 | 0,1058 | 0,1031 | 0,1038 | 0,1014 |
| 20 | 0,1130 | 0,1111 | 0,1108 | 0,1075 | 0,1059 | 0,1043 | 0,1029 | 0,1014 | 0,1000 |
| 21 | 0,1118 | 0,1099 | 0,1080 | 0,1064 | 0,1043 | 0,1033 | 0,1018 | 0,1003 | 0,0990 |
| 22 | 0,1103 | 0,1085 | 0,1067 | 0,1050 | 0,1034 | 0,1019 | 0,1004 | 0,0990 | 0,0977 |
| 23 | 0,1091 | 0,1072 | 0,1055 | 0,1033 | 0,1023 | 0,1007 | 0,0993 | 0,0979 | 0,09659 |
| 24 | 0,1073 | 0,1061 | 0,1042 | 0,1028 | 0,1012 | 0,0997 | 0,0982 | 0,09600 | 0,09570 |
| 25 | 0,1065 | 0,1047 | 0,1031 | 0,1011 | 0,0999 | 0,0984 | 0,09701 | 0,09566 | 0,09434 |
| 26 | 0,1054 | 0,1035 | 0,1019 | 0,1003 | 0,0988 | 0,09731 | 0,09592 | 0,09455 | 0,09327 |
| 27 | 0,1041 | 0,1024 | 0,1007 | 0,0992 | 0,09767 | 0,09623 | 0,09482 | 0,09349 | 0,09225 |
| 28 | 0,1032 | 0,1014 | 0,0998 | 0,09818 | 0,09670 | 0,09529 | 0,09391 | 0,09257 | 0,09132 |
| 29 | 0,1015 | 0,1002 | 0,09895 | 0,09706 | 0,09555 | 0,09413 | 0,09279 | 0,09144 | 0,09028 |
| 30 | 0,1006 | 0,09910 | 0,09567 | 0,09567 | 0,09450 | 0,09311 | 0,09176 | 0,09050 | 0,08927 |
Bảng A.4. Bảng tra hệ số nhớt của nước
| Nhiệt độ (oC) | Hệ số nhớt (Poazơ) | Nhiệt độ (oC) | Hệ số nhớt (Poazơ) |
| 10 | 0,01308 | 26 | 0,00874 |
| 11 | 0,01272 | 27 | 0,00854 |
| 12 | 0,01236 | 28 | 0,00836 |
| 13 | 0,01208 | 29 | 0,00818 |
| 14 | 0,01171 | 30 | 0,00801 |
| 15 | 0,01140 | 31 | 0,00784 |
| 16 | 0,01111 | 32 | 0,00768 |
| 17 | 0,01086 | 33 | 0,00752 |
| 18 | 0,01056 | 34 | 0,00737 |
| 19 | 0,01050 | 35 | 0,00722 |
| 20 | 0,01005 | 36 | 0,00718 |
| 21 | 0,00981 | 37 | 0,00695 |
| 22 | 0,00958 | 38 | 0,00681 |
| 23 | 0,00936 | 39 | 0,00668 |
| 24 | 0,00914 | 40 | 0,00656 |
| 25 | 0,00894 |
|
|
PHỤ LỤC B
TOÁN ĐỒ STOKE DÙNG ĐỂ XÁC ĐỊNH ĐƯỜNG KÍNH HẠT KHI PHÂN TÍCH ĐẤT BẰNG PHƯƠNG PHÁP TỶ TRỌNG KẾ
Trình tự:
- Áp thước kẻ vào thang N1và N2 tại các điểm tương ứng với khối lượng riêng của đất (rS) và nhiệt độ của huyền phù (ToC) khi đo, ghi lại giao điểm ở thang N3, (Ax103).
- Áp thước kẻ vào các thang N4 và thang N5 tại các điểm tương ứng với số đo của tỷ trọng kế (R) và thời gian của lần đo đang xét (t), tại giao điểm với thang N6, ta được tốc độ rơi (v) của các hạt ở lần đo đó.
- Nối các giao điểm nhận được trên các thang N3 và N6 lại, trên giao điểm của đường này với thang N7 ta đọc được đường kính của hạt (d) cần tìm tương ứng với lần đo đang xét.

Hình B.1. Sơ họa toán đồ Stoke dùng để xác định đường kính hạt (d) khi phân tích đất bằng phương pháp tỷ trọng kế
Ghi chú: Toán đồ Stoke chuẩn có thể mua ở thị trường, chỉ cần đem các số đọc tỷ trọng kế đã hiệu chính mặt cong (R) tương ứng với các trị số L (ở bên trái thang số 4) áp vào bên phải thang số 4 để sử dụng.
PHỤ LỤC C
HIỆU CHỈNH TỶ TRỌNG KẾ
C.1. Nội dung hiệu chỉnh tỷ trọng kế
C.1.1. Hiệu chỉnh cự ly chìm lắng hiệu quả của hạt đất: Số đọc tỷ trọng kế biểu thị khối lượng riêng của dịch thể lơ lửng; Cự ly từ mặt dịch thể đến trung tâm thể tích của bầu tỷ trọng kế biểu thị độ sâu chìm lắng hiệu quả của hạt đất. Khi thí nghiệm, sau khi thả tỷ trọng kế vào dịch thể để đọc số đo, mặt dịch thể vì thế mà dâng lên làm cho cự ly chìm lắng của hạt lớn hơn so với thực tế, do đó cần phải tiến hành hiệu chỉnh để dùng xác định đường kính hạt đất theo công thức 3.10, hoặc theo phương pháp toán đồ stoke.
C.1.2. Hiệu chỉnh mặt cong của dịch thể: Khi thí nghiệm, số đọc trên cán phao tỷ trọng kế đều lấy đỉnh của mặt cong dịch thể làm chuẩn, nhưng khi khắc độ thì lấy đáy mặt cong của nước làm chuẩn, do đó cần phải hiệu chỉnh.
C.1.3. Hiệu chỉnh chất phân tán: Khi khắc độ trên cán phao tỷ trọng kế lấy nước sạch làm chuẩn; Khi thí nghiệm, trong dịch thể cho vào đất phân tán thì khối lượng riêng tăng lên, do đó cần phải hiệu chỉnh.
C.1.4. Hiệu chỉnh nhiệt độ: Độ khắc trên tỷ trọng kế là khắc ở nhiệt độ 20oC; Khi thí nghiệm, nhiệt độ của dịch thể khác với 20oC, sự thay đổi khối lượng riêng của nước và sự co dãn thể tích của phao tỷ trọng kế sẽ ảnh hưởng đến độ chính xác của tỷ trọng kế, do đó cần hiệu chỉnh.
C.1.5. Hiệu chỉnh khối lượng riêng của hạt đất: Khi khắc độ trên cán phao tỷ trọng kế đều giả định khối lượng riêng của đất trong dịch thể là 2,65; Khi thí nghiệm, khối lượng riêng của đất khác với 2,65 thì cần hiệu chỉnh.
C.2. Thiết bị, dụng cụ, vật tư
1. Tỷ trọng kế: Loại A, đơn vị chia vạch nhỏ nhất là 1,0; Loại B, (20oC/20oC), đơn vị chia vạch nhỏ nhất là 0,001.
2. Ống đo: Đường kính 6cm (±1mm), có 2 loại: Loại dung tích 1000 cm3 chia vạch chính xác đến 20ml, loại dung tích 250 cm3 chia vạch chính xác đến 1cm3.
3. Que khuấy, đầu đệm cao su có đục lỗ. Đũa thuỷ tinh.
4. Bể nước: Khống chế nhiệt độ ở 20oC, độ chính xác ±1oC.
5. Bình tỷ trọng: Dung tích100cm3.
6. Nhiệt kế: Khắc độ từ 0 đến 50oC, chính xác đến 0,5oC.
7. Cân kỹ thuật: Có 2 loại cân: Loại có sức cân 100g, độ chính xác đến 0,001g; loại có sức cân 200g, độ chính xác đến 0,01g.
8. Dung dịch Hexametaphotphat natri hoặc Pirophotphat natri nồng độ 4%.
9. Ngoài ra: Cốc đựng, nước cất, giấy kẻ ly, thước đo v.v...
C.3. Tiến hành hiệu chỉnh
C.3.1. Hiệu chỉnh cự ly lắng chìm hiệu quả của hạt đất: Hiệu chỉnh cho mỗi tỷ trọng kế với từng ống lường 1000 cm3 được dùng để phân tích, theo các bước sau đây:
1. Xác định thể tích của phao tỷ trọng kế, V0: Đặt ống lường lên mặt bàn phẳng ngang, đổ vào khoảng 800 đến 900 cm3 nước cất giữ ở 200C, rồi đọc số đo của mặt nước trong ống, V1 (theo biên dưới mặt cong của nước) chính xác đến 1 cm3. Thả tỷ trọng kế vào thật thẳng đứng, đến mức mặt nước trong ống ngang với vạch khắc thấp nhất trên cán phao, vạch khắc 1.030 (theo mép trên của mặt khum ở cán phao), rồi đọc số đo của mặt nước trong ống, V2 (theo biên dưới mặt cong của nước), chính xác đến 1 cm3. Hiệu số của hai số đọc đó là thể tích của phao tỷ trọng kế, V0, cm3;
2. Xác định trị số của L0: Sau khi xác định được thể tích của phao tỷ trọng kế, tính được một nửa thể tích của nó là V0/2; cm3, và lại thả tỷ trọng kế vào ống, nhưng không cho chìm đến vạch khắc thấp nhất, mà đến khi nước trong ống dâng lên một đoạn phù hợp với lượng tăng thể tích nước lên một nửa thể tích của bầu (V0/2), tức là khi dìm nó đến tâm bâu. Giữ nguyên tỷ trọng kế, dùng thước kẻ li để đo khoảng cách từ mặt nước (theo biên dưới mặt cong của nước) đến vạch khắc thấp nhất ở cán tỷ trọng kế, nghĩa là đến vạch khắc 1.030. Như vậy ta được trị số L0, cm;
3. Đo đường kính trong của ống lường 1000 cm3, chính xác đến 1mm, và tính toán diện tích tiết diện của ống lường (F), cm2;
4. Đo cự ly từ vạch khắc thấp nhất đến các vạch khắc khác trên cán tỷ trọng kế: Cứ cách 5 vạch đo cự ly 1 lần, chính xác đến 1mm, được các trị số L1 tương ứng.
5. Tính toán cự ly chìm lắng hiệu quả của hạt đất tương ứng với các trị số L1 xác định: Theo công C.1:
(C.1)
Trong đó: L- cự ly chìm lắng hiệu quả của hạt đất, cm;
L1- cự ly từ vạch khắc thấp nhất đến vạch khắc khác đang xét trên cán tỷ trọng kế, (xem hình C.2) cm;
L0- cự ly từ trung tâm phao tỷ trọng đến vạch khắc thấp nhất trên cán phao, cm;
Vb- thể tích của phao tỷ trọng kế, cm3;
F- Diện tích tiết diện ngang của ống lường 1000 cm3, cm2.
Hình C.1. Sơ hoạ hiệu chỉnh cự ly chìm lắng hiệu quả của hạt đất
6. Đem các trị số L1 đã đo được thay vào công thức C.1, tính toán được các trị số L tương ứng, rồi lập thành bảng tra như ví dụ ở bảng C.3 và C.4 phụ lục C, và vẽ đường quan hệ giữa số đọc của tỷ trọng kế(*) và cự ly chìm lắng hiệu quả của hạt đất như ở bảng C.2, C.3 để tra cứu sử dụng; hoặc đem các số đọc của tỷ trọng kế(*) áp vào bên phải của thang số 4, tương ứng với các trị số L ở bên trái thang số 4 của toán đồ Stoke để dùng xác định đường kính tương đương của hạt đất, d, theo phương pháp toán đồ Stoke.
Ghi chú: (*) Số đọc trên tỷ trọng kế đã được hiệu chỉnh mặt cong dịch thể.

Hình C.2. Sơ hoạ tỷ trọng kế loại B và các thông số đo khi hiệu chỉnh
Bảng C.3. Mẫu ví dụ tính toán hiệu chỉnh cự ly chìm lắng hiệu quả của hạt đất khi sử dụng tỷ trọng kế loại A
| Người hiệu chỉnh: … | Người kiểm tra: … |
| Người tính toán: … | Ngày tháng hiệu chỉnh: … |
|
|
|
| Ký hiệu tỷ trọng kế: Loại A, số: 2 | Ký hiệu ống lường 1000 cm3: Số 5 |
| Thể tích của phao tỷ trọng kế, Vb = 86 cm3 | Đường kính trong của ống đo, D =6,79cm |
| Cự ly từ trung tâm phao tỷ trọng kế đến độ khắc thấp nhất, Lo = 8,5cm; | Diện tích tiết diện ống đo, F = 36,19 cm2 |
| Tính toán: | Trị số hiệu chỉnh mặt cong: n = -1,2 |
|
| |
![]()
Đường quan hệ giữa số đọc tỷ trọng kế với cự ly chìm lắng hiệu quả của hạt đất

RA
| Độ khắc trên tỷ trọng kế | Cự ly từ độ khắc thấp nhất đến các độ khắc, L1 (cm) | Cự ly chìm lắng hữu hiệu của hạt đất L (cm) | Số đọc trên tỷ trọng kế đã hiệu chỉnh mặt cong |
| 0 | 10,58 | 17,99 | -1,2 |
| 10 | 8,72 | 16,13 | 8,8 |
| 20 | 7,02 | 14,43 | 18,8 |
| 30 | 5,21 | 12,62 | 28,8 |
| 40 | 3,43 | 10,84 | 38,8 |
| 50 | 1,63 | 9,04 | 48,8 |
| 60 | 0 |
|
|
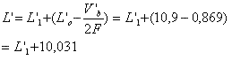
Bảng C.4. Mẫu ví dụ tính toán hiệu chỉnh cự ly chìm lắng hiệu quả của hạt đất khi sử dụng tỷ trọng kế loại B
| Người hiệu chỉnh: … | Người kiểm tra: … |
| Người tính toán: … | Ngày tháng hiệu chỉnh: … |
| Ký hiệu tỷ trọng kế: Loại B, số … | Ống đo số: … |
| Thể tích phao tỷ trọng kế, Vb = 60 cm3 | Đường kính trong của ống đo, D=6,63cm |
| Cự ly từ trung tâm phao tỷ trọng kế đến độ khắc thấp nhất, Lo = 10,9 cm; | Diện tích ống đo, A= 34,52cm2 |
|
| Trị số hiệu chỉnh mặt cong của dịch thể: n = - 0,0004 |
| Độ khắc trên tỷ trọng kế | Cự ly từ độ khắc thấp nhất đến các độ khắc, L1 (cm) | Cự ly chìm lắng hữu hiệu của hạt đất, L (cm) | Số đọc trên tỷ trọng kế đã hiệu chỉnh mặt cong |
| 0,995 | 14,330 | 24,361 | 0,9946 |
| 1,000 | 12,968 | 22,999 | 0,9996 |
| 1,005 | 11,612 | 21,643 | 1,0046 |
| 1,010 | 10,268 | 20,299 | 1,0096 |
| 1,015 | 8,924 | 18,955 | 1,0146 |
| 1,020 | 7,586 | 17,617 | 1,0196 |
| 1,025 | 6,268 | 16,299 | 1,0246 |
| 1,030 | 4,986 | 15,017 | 1,0296 |
| 1,035 | 3,712 | 13,743 | 1,0346 |
| 1,040 | 2,436 | 12,467 | 1,0396 |
| 1,045 | 1,244 | 11,275 | 1,0446 |
| 1,050 | 0,000 | 10,031 | 1,0496 |

Số đọc tỷ trọng kế RB (đã hiệu chỉnh mặt cong)
Đường quan hệ giữa số đọc tỷ trọng kế với cự ly chìm lắng hiệu quả của hạt đất
C.3.2. Hiệu chỉnh mặt cong dịch thể: Thả tỷ trọng kế vào ống lường 1000cm3 có chứa nước cất ở nhiệt độ 20oC, đọc các số đo trên cán phao theo biên dưới và biên trên của mặt cong dịch thể; Hiệu số các số đọc là trị số hiệu chỉnh mặt cong dịch thể (hình C.3).

Hình C.3. Sơ đồ hiệu chỉnh mặt cong dịch thể
C.3.3. Hiệu chỉnh chất phân tán
1. Đổ 950 cm3 nước cất vào ống lường 1000 cm3, khống chế ở nhiệt độ 20oC, thả tỷ trọng kế vào và đọc số đo theo mép trên của mặt cong, rồi lấy tỷ trọng kế ra cho vào ống lường có chứa nước cất.
2. Cho thêm chất phân tán vào (loại và lượng dùng giống như khi sử dụng thí nghiệm: 25 cm3 dung dịch hexametaphotphat natri nồng độ 4%). Sau đó dùng que khuấy đầu đệm cao su khuấy đều hỗn hợp từ trên xuống dưới và từ dưới lên trên, rồi thả tỷ trọng kế và đọc số đo theo mép trên của mặt cong.
3. Tính trị số hiệu chỉnh chất phân tán theo công thức C.2:
CD = R'20 - R20 (C.2)
Trong đó: CD - trị số hiệu chỉnh chất phân tán;
R'20- số đọc của tỷ trọng kế trong dung dịch có cho chất phân tán;
R20- số đọc của tỷ trọng kế ở trong nước cất.
Ghi chú: Điều chế dung dịch hexametaphotphat natri nồng độ 4% bằng cách cho 33g sodium hexametaphotphat với 7g muối cacbonat sodium vào nước cất để được 1 lít dung dịch.
C.3.4. Hiệu chỉnh nhiệt độ: Khi thí nghiệm, nếu nhiệt độ của dung dịch khác 20oC, thì hiệu chỉnh nhiệt độ theo trị số ở bảng C.5.
C.3.5. Hiệu chỉnh khối lượng riêng của đất: Khi thí nghiệm, nếu khối lượng riêng của đất khác 2,65 g/cm3, thì hiệu chỉnh khối lượng riêng của đất theo trị số ở bảng C.6.
Bảng C.5. Trị số hiệu chính nhiệt độ
| Nhiệt độ của dung dịch (oC) | Trị số hiệu chỉnh nhiệt độ | Nhiệt độ của dung dịch (oC) | Trị số hiệu chỉnh nhiệt độ | ||
| Tỷ trọng kế loại A | Tỷ trọng kế loại B | Tỷ trọng kế loại A | Tỷ trọng kế loại B | ||
| 10,0 | -2,0 | -0,0012 | 20,0 | +0,0 | +0,0000 |
| 10,5 | -1,9 | -0,0012 | 20,5 | +0,1 | +0,0001 |
| 11,0 | -1,9 | -0,0012 | 21,0 | +0,3 | +0,0002 |
| 11,5 | -1,8 | -0,0011 | 21,5 | +0,5 | +0,0003 |
| 12,0 | -1,8 | -0,0011 | 22,0 | +0,6 | +0,0004 |
| 12,5 | -1,7 | -0,0010 | 22,5 | +0,8 | +0,0005 |
| 13,0 | -1,6 | -0,0010 | 23,0 | +0,9 | +0,0006 |
| 13,5 | -1,5 | -0,0009 | 23,5 | +1,1 | +0,0007 |
| 14,0 | -1,4 | -0,0009 | 24,0 | +1,3 | +0,0008 |
| 14,5 | -1,3 | -0,0008 | 24,5 | +1,5 | +0,0009 |
| 15,0 | -1,2 | -0,0008 | 25,0 | +1,7 | +0,0010 |
| 15,5 | -1,1 | -0,0007 | 25,5 | +1,9 | +0,0011 |
| 16,0 | -1,0 | -0,0006 | 26,0 | +2,1 | +0,0013 |
| 16,5 | -0,9 | -0,0006 | 26,5 | +2,2 | +0,0014 |
| 17,0 | -0,8 | -0,0005 | 27,0 | +2,5 | +0,0015 |
| 17,5 | -0,7 | -0,0004 | 27,5 | +2,6 | +0,0016 |
| 18,0 | -0,5 | -0,0003 | 28,0 | +2,9 | +0,0018 |
| 18,5 | -0,4 | -0,0003 | 28,5 | +3,1 | +0,0019 |
| 19,0 | -0,3 | -0,0002 | 29,0 | +3,3 | +0,0021 |
| 19,5 | -0,1 | -0,0001 | 29,5 | +3,5 | +0,0022 |
| 20,0 | 0,0 | 0,0000 | 30,0 | +3,7 | +0,0023 |
Bảng C.6. Trị số hiệu chính khối lượng riêng của hạt đất
| Khối lượng riêng của hạt đất | Trị số hiệu chính | |
| Tỷ trọng kế loại A | Tỷ trọng kế loại B | |
| 2,50 | 1,038 | 1,666 |
| 2,52 | 1,032 | 1,658 |
| 2,54 | 1,027 | 1,649 |
| 2,56 | 1,022 | 1,641 |
| 2,58 | 1,017 | 1,632 |
| 2,60 | 1,012 | 1,625 |
| 2,62 | 1,007 | 1,617 |
| 2,64 | 1,002 | 1,609 |
| 2,66 | 0,998 | 1,603 |
| 2,68 | 0,993 | 1,595 |
| 2,70 | 0,989 | 1,588 |
| 2,72 | 0,985 | 1,581 |
| 2,74 | 0,981 | 1,575 |
| 2,76 | 0,977 | 1,568 |
| 2,78 | 0,973 | 1,562 |
| 2,80 | 0,969 | 1,556 |
| 2,82 | 0,965 | 1,549 |
| 2,84 | 0,961 | 1,543 |
| 2,86 | 0,958 | 1,538 |
| 2,88 | 0,954 | 1,532 |
|
| KT. BỘ TRƯỞNG BỘ NÔNG NGHIỆP VÀ PTNT |
Bạn chưa Đăng nhập thành viên.
Đây là tiện ích dành cho tài khoản thành viên. Vui lòng Đăng nhập để xem chi tiết. Nếu chưa có tài khoản, vui lòng Đăng ký tại đây!
