- Tổng quan
- Nội dung
- Tiêu chuẩn liên quan
- Lược đồ
- Tải về
Tiêu chuẩn quốc gia TCVN 10687-23:2025 IEC 61400-23:2014 Hệ thống phát điện gió - Phần 23: Thử nghiệm kết cấu đầy đủ của cánh rôto
| Số hiệu: | TCVN 10687-23:2025 | Loại văn bản: | Tiêu chuẩn Việt Nam |
| Cơ quan ban hành: | Bộ Khoa học và Công nghệ | Lĩnh vực: | Công nghiệp , Điện lực |
| Trích yếu: | IEC 61400-23:2014 Hệ thống phát điện gió - Phần 23: Thử nghiệm kết cấu đầy đủ của cánh rôto | ||
|
Ngày ban hành:
Ngày ban hành là ngày, tháng, năm văn bản được thông qua hoặc ký ban hành.
|
01/10/2025 |
Hiệu lực:
|
Đã biết
|
| Người ký: | Đang cập nhật |
Tình trạng hiệu lực:
Cho biết trạng thái hiệu lực của văn bản đang tra cứu: Chưa áp dụng, Còn hiệu lực, Hết hiệu lực, Hết hiệu lực 1 phần; Đã sửa đổi, Đính chính hay Không còn phù hợp,...
|
Đã biết
|
TÓM TẮT TIÊU CHUẨN VIỆT NAM TCVN 10687-23:2025
Tiêu chuẩn quốc gia TCVN 10687-23:2025: Quy định thử nghiệm cánh tuabin gió
Tiêu chuẩn quốc gia TCVN 10687-23:2025, tương đương với IEC 61400-23:2014, được ban hành nhằm quy định các yêu cầu thử nghiệm cho cánh của tuabin gió. Tiêu chuẩn này có hiệu lực từ ngày ban hành và chủ yếu hướng đến các nhà sản xuất và tổ chức kiểm tra. Nội dung chính của tiêu chuẩn tập trung vào việc đánh giá tính toàn vẹn của cánh tuabin thông qua các phương pháp thử nghiệm cụ thể như thử nghiệm tải tĩnh, thử nghiệm mỏi, và thử nghiệm tải tĩnh sau mỏi nhằm xác nhận chất lượng sản phẩm.
Phạm vi áp dụng của tiêu chuẩn này bao gồm các yêu cầu thiết kế cho cánh tuabin gió với khối lượng và đặc tính vật liệu cụ thể. Dữ liệu cần thiết cho các thử nghiệm được xác định từ các tiêu chuẩn thiết kế như IEC 61400-1. Các thử nghiệm cánh được tiến hành trên các mẫu thực tế, chủ yếu tuabin gió trục ngang, có thể được làm từ nhựa gia cường sợi hoặc gỗ/epoxy, nhưng các nguyên tắc trong tiêu chuẩn có thể áp dụng cho bất kỳ cấu hình và vật liệu nào của tuabin gió.
Một trong những điểm nổi bật trong tiêu chuẩn này là các yêu cầu chung về thử nghiệm nhằm đảm bảo cánh tuabin có độ bền và chịu tải theo đúng thiết kế dự kiến. Điều này bao gồm việc phải tuân thủ các điều khoản quy định về hệ số an toàn đối với các tải trọng thiết kế, giúp các nhà sản xuất hiểu rõ hơn về khả năng chịu tải và tuổi thọ của cánh.
Tiêu chuẩn cũng chỉ rõ về các tài liệu và quy trình cần thiết cho việc thực hiện thử nghiệm, yêu cầu nhà sản xuất lưu trữ thông tin chi tiết về thiết kế, chế tạo cánh, cũng như các báo cáo thử nghiệm. Ngoài ra, các yêu cầu cụ thể liên quan đến kế hoạch thử nghiệm và chương trình thử nghiệm được nêu rõ, từ đó đảm bảo quá trình thử nghiệm được thực hiện có hệ thống và hiệu quả.
TCVN 10687-23:2025 được công bố nhằm hỗ trợ các nhà sản xuất cải tiến chất lượng sản phẩm, với mục tiêu mang lại an toàn và hiệu quả cho các hệ thống phát điện gió. Các nhà sản xuất tuabin gió cần lưu ý áp dụng và tuân thủ nghiêm ngặt tiêu chuẩn này trong quá trình sản xuất để đảm bảo rằng các sản phẩm của họ đáp ứng được các yêu cầu khắt khe của thị trường và nâng cao tính cạnh tranh trong ngành năng lượng tái tạo.
Tải tiêu chuẩn Việt Nam TCVN 10687-23:2025
TIÊU CHUẨN QUỐC GIA
TCVN 10687-23:2025
IEC 61400-23:2014
HỆ THỐNG PHÁT ĐIỆN GIÓ – PHẦN 23: THỬ NGHIỆM KẾT CẤU ĐẦY ĐỦ CỦA CÁNH RÔTO
Wind turbines - Part 23: Full-scale structural testing of rotor blades
Mục lục
Mục lục
Lời nói đầu
1 Phạm vi áp dụng
2 Tài liệu viện dẫn
3 Thuật ngữ và định nghĩa
4 Chú giải
4.1 Ký hiệu
4.2 Ký hiệu Hy Lạp
4.3 Chỉ số dưới
4.4 Hệ toạ độ
5 Nguyên tắc chung
5.1 Mục đích của thử nghiệm
5.2 Trạng thái giới hạn
5.3 Các ràng buộc thực tế
5.4 Kết quả thử nghiệm
6 Tài liệu và quy trình cho thử nghiệm cánh
7 Chương trình thử nghiệm cánh và kế hoạch thử nghiệm
7.1 Các khu vực cần thử nghiệm
7.2 Chương trình thử nghiệm
7.3 Kế hoạch thử nghiệm
8 Hệ số tải trọng cho thử nghiệm
8.1 Quy định chung
8.2 Hệ số an toàn từng phần trong thiết kế
8.3 Hệ số tải trọng thử nghiệm
8.4 Ứng dụng các hệ số tải trọng để xác định tải trọng mục tiêu
9 Tải trọng thử nghiệm và đánh giá tải trọng thử nghiệm
9.1 Quy định chung
9.2 Ảnh hưởng của việc đưa vào tải trọng
9.3 Thử nghiệm tải trọng tĩnh
9.4 Thử nghiệm tải trọng mỏi
10 Yêu cầu thử nghiệm
10.1 Quy định chung
10.2 Thử nghiệm tĩnh
10.3 Thử nghiệm mỏi
10.4 Các thử nghiệm đặc tính khác của cánh
11 Đánh giá kết quả thử nghiệm
11.1 Quy định chung
11.2 Hỏng hóc nghiêm trọng
11.3 Biến dạng vĩnh viễn, mất độ cứng, hoặc thay đổi tính chất cánh
11.4 Hư hại bề mặt
11.5 Đánh giá hỏng hóc
12 Báo cáo
12.1 Quy định chung
12.2 Nội dung báo cáo thử nghiệm
12.3 Đánh giá thử nghiệm so với yêu cầu thiết kế
Phụ lục A_(tham khảo),_Hướng dẫn về sự cần thiết của việc thử nghiệm lại: thử nghiệm tĩnh và thử nghiệm mỏi
Phụ lục B_(tham khảo),_Các khu vực cần thử nghiệm
Phụ lục C_(tham khảo), Ảnh hưởng của độ lệch lớn và hướng tải trọng
Phụ lục D_(tham khảo), Phương pháp xác định tải trọng thử nghiệm
Phụ lục E_(tham khảo),_Sự khác biệt giữa điều kiện tải trọng thiết kế và tải trọng thử nghiệm
Phụ lục F_(tham khảo),_Xác định số lượng chu kỳ tải trọng trong các thử nghiệm mỏi
Thư mục tài liệu tham khảo
Lời nói đầu
TCVN 10687-23:2025 hoàn toàn tương đương với IEC 61400-23:2014;
TCVN 10687-23:2025 do Ban kỹ thuật tiêu chuẩn quốc gia TCVN/TC/E13
Năng lượng tái tạo biên soạn, Viện Tiêu chuẩn Chất lượng Việt Nam đề nghị, Ủy ban Tiêu chuẩn Đo lường Chất lượng Quốc gia thẩm định, Bộ Khoa học và Công nghệ công bố.
Bộ TCVN 10687 (IEC 61400), Hệ thống phát điện gió gồm các phần sau:
- TCVN 10687-1:2025 (IEC 61400-1:2019), Phần 1: Yêu cầu thiết kế
- TCVN 10687-3-1:2025 (IEC 61400-3-1:2019), Phần 3-1: Yêu cầu thiết kế đối với tuabin gió cố định ngoài khơi
- TCVN 10687-3-2:2025 (IEC 61400-3-2:2025), Phần 3-2: Yêu cầu thiết kế đối với tuabin gió nổi ngoài khơi
- TCVN 10687-4:2025 (IEC 61400-4:2025), Phần 4: Yêu cầu thiết kế hộp số tuabin gió
- TCVN 10687-5:2025 (IEC 61400-5:2020), Phần 5: Cánh tuabin gió
- TCVN 10687-6:2025 (IEC 61400-6:2020), Phần 6: Yêu cầu thiết kế tháp và mỏng
- TCVN 10687-11:2025 (IEC 61400-11:2018), Phần 11: Yêu cầu thiết kế tháp và móng
- TCVN 10687-12:2025 (IEC 61400-12:2022), Phần 12: Đo đặc tính công suất của tuabin gió phát điện - Tổng quan
- TCVN 10687-12-1:2023 (IEC 61400-12-1:2022), Phần 12-1: Đo hiệu suất năng lượng của tuabin gió phát điện
- TCVN 10687-12-2:2023 (IEC 61400-12-2:2022), Phần 12-2: Hiệu suất năng lượng của tuabin gió phát điện dựa trên phép đo giỏ trên vỏ tuabin
- TCVN 10687-12-3:2025 (IEC 61400-12-3:2022), Phần 12-3: Đặc tính công suất - Hiệu chuẩn theo vị trí dựa trên phép đo
- TCVN 10687-12-4:2023 (IEC TR 61400-12-4:2020), Phần 12-4: Hiệu chuẩn vị trí bằng số đối với thử nghiệm hiệu suất năng lượng của tuabin gió
- TCVN 10687-12-5:2025 (IEC 61400-12-5:2022), Phần 12-5: Đặc tính công suất - Đánh giá chướng ngại vật và địa hình
- TCVN 10687-12-6:2025 (IEC 61400-12-6:2022), Phần 12-6: Hàm truyền vỏ tuabin dựa trên phép đo của tuabin gió phát điện
- TCVN 10687-13:2025 (IEC 61400-13:2015+AMD1:2021), Phần 13: Đo tải trọng cơ học
- TCVN 10687-14:2025 (IEC TS 61400-14:2005), Phần 14: Công bố mức công suất âm biểu kiến và giá trị tính âm sắc
- TCVN 10687-21:2018 (IEC 61400-21:2008), Phần 21: Đo và đánh giá đặc tính chất lượng điện năng của tuabin gió nối lưới
- TCVN 10687-22:2018, Phần 22: Hướng dẫn thử nghiệm và chứng nhận sự phù hợp
- TCVN 10687-23:2025 (IEC 61400-23:2014), Phần 23: Thử nghiệm kết cấu đầy đủ của cánh rôto
- TCVN 10687-24:2025 (IEC 61400-24:2024), Phần 24: Bảo vệ chống sét
- TCVN 10687-25-1:2025 (IEC 61400-25-1:2017), Phần 25-1: Truyền thông để giám sát và điều khiển các nhà máy điện gió - Mô tả tổng thể các nguyên lý và mô hình
- TCVN 10687-25-2:2025 (IEC 61400-25-2:2015), Phần 25-2: Truyền thông để giám sát và điều khiển nhà máy điện gió - Mô hình thông tin
- TCVN 10687-25-3:2025 (IEC 61400-25-3:2015), Phần 25-3: Truyền thông để giám sát và điều khiển nhà máy điện gió - Mô hình dữ liệu
- TCVN 10687-25-4:2025 (lEC 61400-25-4:2016), Phần 25-4: Truyền thông để giám sát và điều khiển nhà máy điện gió - Ánh xạ đến hồ sơ truyền thông
- TCVN 10687-25-5:2025 (IEC 61400-25-5:2017), Phần 25-5: Truyền thông để giám sát và điều khiển nhà máy điện gió - Thử nghiệm sự phù hợp
- TCVN 10687-25-6:2025 (IEC 61400-25-6:2016), Phần 25-6: Truyền thông để giám sát và điều khiển nhà máy điện gió - Các lớp nút logic và các lớp dữ liệu để giám sát tình trạng
- TCVN 10687-25-71:2025 (IEC 61400-25-71:2019), Phần 25-71: Truyền thông để giám sát và điều khiển nhà máy điện gió - Ngôn ngữ mô tả cấu hình
- TCVN 10687-26-1:2025 (IEC 61400-26-1:2019), Phần 26-1: Tính khả dụng của hệ thống phát điện gió
- TCVN 10687-27-1:2025 (IEC 61400-27-1:2020), Phần 27-1: Mô hình mô phỏng điện - Mô hình chung
- TCVN 10687-27-2:2025 (IEC 61400-27-2:2020), Phần 27-2: Mô hình mô phỏng điện - Xác thực mô hình
- TCVN 10687-50:2025 (IEC 61400-50:2022), Phần 50: Đo gió - Tổng quan
- TCVN 10687-50-1:2025 (IEC 61400-50-1:2022), Phần 50-1: Đo gió - Ứng dụng các thiết bị đo lắp trên cột khí tượng, vỏ tuabin và mũ hub
- TCVN 10687-50-2:2025 (IEC 61400-50-2:2022), Phần 50-2: Đo gió - Ứng dụng công nghệ cảm biến từ xa lắp trên mặt đất
- TCVN 10687-50-3:2025 (IEC 61400-50-3:2022), Phần 50-3: Sử dụng lidar lắp trên vỏ tuabin để đo gió
HỆ THỐNG PHÁT ĐIỆN GIÓ – PHẦN 23: THỬ NGHIỆM KẾT CẤU ĐẦY ĐỦ CỦA CÁNH RÔTO
Wind turbines - Part 23: Full-scale structural testing of rotor blades
1 Phạm vi áp dụng
Tiêu chuẩn này quy định các yêu cầu thử nghiệm kết cấu đầy đủ của cánh tuabin gió, cũng như cách thức diễn giải và đánh giá các kết quả thử nghiệm đạt được. Tiêu chuẩn này tập trung vào các khía cạnh thử nghiệm liên quan đến việc đánh giá tính toàn vẹn của cánh, dành cho các nhà sản xuất và tổ chức kiểm tra thứ ba.
Các thử nghiệm sau được đề cập trong tiêu chuẩn này:
• thử nghiệm tải tĩnh;
• thử nghiệm mỏi;
• thử nghiệm tải tĩnh sau thử nghiệm mỏi;
• thử nghiệm xác định các đặc tính khác của cánh.
Mục đích của các thử nghiệm là để xác nhận, với mức độ xác suất chấp nhận được, rằng toàn bộ cánh thuộc một loại cụ thể đều đáp ứng các giả thiết thiết kế.
Tiêu chuẩn này giả định rằng các dữ liệu cần thiết để xác định các thông số thử nghiệm đã có sẵn và được xây dựng dựa trên tiêu chuẩn về yêu cầu thiết kế cho tuabin gió như IEC 61400-1 hoặc các tiêu chuẩn tương đương. Tải trọng thiết kế và dữ liệu vật liệu của cánh được coi là điểm khởi đầu để thiết lập và đánh giá các tải trọng thử nghiệm. Việc đánh giá tải trọng thiết kế so với tải trọng thực tế trên tuabin gió không thuộc phạm vi của tiêu chuẩn này.
Trong tiêu chuẩn này, các thử nghiệm toàn bộ quy mô chủ yếu được thực hiện trên cánh của tuabin gió trục ngang. Cánh thường được làm từ nhựa gia cường sợi (FRP) và gỗ/epoxy. Tuy nhiên, hầu hết các nguyên tắc trong tiêu chuẩn này có thể áp dụng cho bất kỳ cấu hình, kích thước hoặc vật liệu nào của tuabin gió.
2 Tài liệu viện dẫn
Các tài liệu viện dẫn sau đây rất cần thiết cho việc áp dụng tiêu chuẩn này. Đối với các tài liệu viện dẫn ghi năm công bố thì áp dụng phiên bản được nêu. Đối với các tài liệu viện dẫn không ghi năm công bố thì áp dụng phiên bản mới nhất, bao gồm cả các sửa đổi (nếu có).
IEC 60050-415:1999, International Electrotechnical Vocabulary - Part 415: Wind turbine generator systems (Từ vựng kỹ thuật điện quốc tế - Phần 415: Hệ thống máy phát điện tuabin gió)
IEC 61400-1:2005[1], Wind turbines - Part 1: Design requirements (Tuabin gió - Phần 1: Yêu cầu thiết kế)
TCVN ISO IEC 17025:2007 (ISO/IEC 17025:2005)[2], Yêu cầu chung về năng lực của phòng thử nghiệm và hiệu chuẩn
ISO 2394:1998, General principles on reliability for structures (Các nguyên tắc chung về độ tin cậy cho các kết cấu)
3 Thuật ngữ và định nghĩa
Tiêu chuẩn này sử dụng các thuật ngữ và định nghĩa liên quan đến tuabin gió hoặc năng lượng gió được nêu trong IEC 60050-415 và các thuật ngữ, định nghĩa dưới đây.
3.1
Cơ cấu chấp hành (actuator)
Thiết bị có thể điều khiển để áp dụng lực và sự dịch chuyển với biên độ không đổi hoặc thay đổi
3.2
Gốc cánh (blade root)
Phần của cánh rôto được nối với hub của rôto.
3.3
Hệ thống con của cánh (blade subsystem)
Tập hợp tích hợp các hạng mục nhằm thực hiện mục tiêu hoặc chức năng xác định trong cánh (ví dụ: hệ thống con chống sét, hệ thống con phanh khí động học, hệ thống con giám sát, hệ thống con điều khiển khí động học, v.v...).
3.4
Hiện tượng oằn (buckling)
Tính không ổn định được đặc trưng bởi sự gia tăng phi tuyến tính của độ lệch ngoài mặt phẳng với sự thay đổi tải trọng nén cục bộ.
3.5
Dây cung cánh (chord)
Chiều dài của đường thẳng tham chiếu nối các mép đầu và mép cuối của mặt cắt cánh tại một vị trí theo hướng dọc cánh cho trước.
3.6
Tải trọng có biên độ không đổi (constant amplitude loading)
Trong quá trình thử nghiệm mỏi, việc áp dụng các chu kỳ tải trọng với biên độ và giá trị trung bình không đổi.
3.7
Độ rão (creep)
Sự gia tăng biến dạng theo thời gian khi chịu tải trọng duy trì.
3.8
Tải trọng thiết kế (design loads)
Các tải trọng mà cánh được thiết kế để chịu lực, bao gồm các hệ số an toàn từng phần thích hợp.
3.9
Hướng cạnh cánh (edgewise)
Hướng song song với dây cung cánh cục bộ.
3.10
Trục đàn hồi (elastic axis)
Đường thẳng theo chiều dài cánh, dọc theo đó tải trọng ngang được áp dụng để tạo ra hiện tượng uốn mà không có sự xoắn ở bất kỳ vị trí nào.
Chú thích 1: Thực tế, không có đường nào như vậy ngoại trừ trong một số điều kiện tải nhất định. Thông thường, trục đàn hồi được giả định là đường thẳng đi qua tâm đàn hồi của mỗi mặt cắt. Định nghĩa này không áp dụng cho các cánh có sự kết hợp giữa uốn và xoắn.
3.11
Phương pháp ước lượng mỏi (fatigue formulation)
Phương pháp dùng để ước lượng tuổi thọ mỏi.
3.12
Thử nghiệm mỏi (fatigue test)
Thử nghiệm trong đó tải trọng chu kỳ với biên độ không đổi hoặc thay đổi được đặt lên mẫu thử.
3.13
Bộ gá (fixture)
Bộ phận hoặc thiết bị dùng để đặt tải trọng hoặc đỡ mẫu thử.
3.14
Hướng vẫy cánh (flapwise)
Hướng vuông góc với mặt phẳng được quét bởi trục cánh rôto khi cánh chưa biến dạng.
Chú thích 1: Xem 4.4.
3.15
Hướng bản cánh (flatwise)
Hướng vuông góc với dây cung cánh và trục dọc cánh.
Chú thích 1: Xem 4.4.
3.16
Thử nghiệm kết cấu đầy đủ (full-scale test)
Thử nghiệm được thực hiện trên cánh thực tế hoặc một phần của nó.
3.17
Phía trong (inboard)
Hướng về phía gốc cánh.
3.18
Tiến-lùi (lead-lag)
Hướng song song với mặt phẳng tiếp tuyến mặt quét và vuông góc với trục dọc của cánh rôto khi chưa bị biến dạng.
Chú thích 1: Xem 4.4.
3.19
Đường bao tải trọng (load envelope)
Tập hợp các tải trọng thiết kế tối đa ở tất cả các hướng và vị trí theo hướng dọc cánh.
3.20
Tần số riêng (natural frequency/eigen frequency)
Tần số tại đó kết cấu sẽ dao động khi bị nhiễu loạn và được phép dao động tự do.
3.21
Hệ số an toàn từng phần (partial safety factors)
Các hệ số được áp dụng cho tải trọng và độ bền vật liệu để tính đến độ không đảm bảo trong các giá trị đại diện (đặc trưng).
3.22
Độ cong sẵn (prebend)
Độ cong của cánh trong mặt phẳng vẫy cánh ở điều kiện không tải.
3.23
Tỷ lệ R (R-value)
Tỷ lệ giữa giá trị tối thiểu và tối đa trong một chu kỳ tải.
3.24
Phương pháp S-N (S-N formulation)
Phương pháp được sử dụng để mô tả các đặc tính ứng suất và/hoặc biến dạng (S) theo chu kỳ (N) của một vật liệu, thành phần hoặc kết cấu.
3.25
Hướng dọc cánh (spanwise)
Hướng song song với trục dọc của cánh rôto.
3.26
Thử nghiệm tĩnh (static test)
Thử nghiệm với việc áp dụng một chu kỳ tải đơn mà không đưa vào các hiệu ứng động.
3.27
Độ cứng (stiffness)
Tỷ số giữa sự thay đổi lực và sự thay đổi độ dịch chuyển tương ứng của vật đàn hồi.
3.28
Biến dạng (strain)
Tỷ lệ độ giãn dài (hoặc độ dịch chuyển cắt) của vật liệu chịu ứng suất so với chiều dài ban đầu của vật liệu.
3.29
Độ cong quét (sweep)
Độ cong của cánh trong mặt phẳng tiến-lùi ở điều kiện không tải.
3.30
Tải trọng giả (tare loads)
Tải trọng trọng lực hoặc các tải trọng khác có sẵn trong bố trí thử nghiệm.
3.31
Tải trọng mục tiêu (target load)
Tải trọng được phát triển từ tải trọng thiết kế và là tải trọng thử nghiệm lý tưởng.
3.32
Tải trọng thử nghiệm (test load)
Lực được đặt trong quá trình thử nghiệm.
3.33
Khu vực thử nghiệm (tested area)
Khu vực của mẫu thử nghiệm mà tại đó tải trọng dự kiến được đặt.
3.34
Xoắn (twist)
Sự thay đổi góc theo chiều dọc cánh của các dây cung cánh thuộc mặt cắt ngang cánh.
3.35
Tải trọng có biên độ biến thiên (variable amplitude loading)
Việc đặt các chu kỳ tải trọng với giá trị trung bình và/hoặc phạm vi chu kỳ không cố định.
3.36
Thiết bị phân phối tải trọng (whiffle tree)
Thiết bị dùng để phân phối một nguồn tải duy nhất đến nhiều điểm trên mẫu thử.
4 Chú giải
4.1 Ký hiệu
C hệ số chuyển đổi liên quan đến độ bền vật liệu
D hỏng theo lý thuyết
F tải trọng
Fa lực cắt theo hướng bản cánh (tọa độ dây cung cánh)
Fb lực cắt theo hướng cạnh cánh (tọa độ dây cung cánh)
Fc lực kéo theo hướng dọc cánh (tọa độ dây cung cánh)
Fx lực cắt theo hướng vẫy cánh (tọa độ rôto)
Fy lực cắt theo hướng tiến-lùi (tọa độ rôto)
Fz lực kéo theo hướng dọc cánh (tọa độ rôto)
Ma mômen uốn theo hướng cạnh cánh (tọa độ dây cung cánh)
Mb mômen uốn theo hướng bản cánh (tọa độ dây cung cánh)
Mc mômen xoắn của cánh (tọa độ dây cung cánh)
Mx mômen uốn theo hướng tiến-lùi (tọa độ rôto)
My mômen uốn theo hướng vẫy cánh (tọa độ rôto)
Mz mômen xoắn của cánh (tọa độ rôto)
N chu kỳ
S biến dạng hoặc ứng suất
4.2 Ký hiệu Hy Lạp
γ hệ số an toàn từng phần hoặc hệ số tải trọng thử nghiệm
σ ứng suất hoặc biến dạng
4.3 Chỉ số dưới
| design | điều kiện tải trọng thiết kế |
| df | tải trọng thiết kế: mỏi |
| du | tải trọng thiết kế: tĩnh |
| ef | độ không đảm bảo trong phương pháp ước lượng mỏi của tải trọng thử nghiệm |
| f | tải trọng |
| If | tác động môi trường: mỏi |
| lu | tác động môi trường: tĩnh |
| m | vật liệu |
| n | hệ quả của lỗi |
| nf | hệ quả của lỗi: mỏi |
| nu | hệ quả của lỗi: tĩnh |
| sf | sự biến thiên giữa các cánh: tải trọng thử nghiệm mỏi |
| su | sự biến thiên giữa các cánh: tải trọng thử nghiệm tĩnh |
| target | điều kiện tải trọng mục tiêu |
| test | điều kiện tải trọng thử nghiệm |
4.4 Hệ toạ độ
Hai hệ tọa độ khác nhau có thể được sử dụng để tham chiếu trong quá trình thử nghiệm kết cấu. Hệ thứ nhất, được minh họa trên Hình 1, tham chiếu theo hướng dây cung cánh. Hệ thứ hai, được minh họa trên Hình 2, tham chiếu theo hướng mặt phẳng rôto.

Tải trọng dọc theo và vuông góc với các hướng dây cung cánh cục bộ.
CHÚ DẪN:
Ma mômen uốn theo hướng cạnh cánh
Mb mômen uốn theo hướng bản cánh
Mc mômen xoắn
Fa lực cắt bản cánh
Fb lực cắt dọc cạnh cánh
Fc lực dọc trục
1 góc xoắn
2 dịch chuyển theo hướng vẫy cánh
3 dịch chuyển tiến-lùi
Hình 1 - Hệ tọa độ dây cung cánh (theo hướng bản cánh, theo hướng cạnh cánh)

Tải trọng dọc theo các hướng tham chiếu của mặt phẳng rôto.
CHÚ DẪN
Mx mômen uốn tiến-lùi
My mômen uốn theo hướng vẫy cánh
Mz mômen xoắn
Fx lực cắt theo hướng vẫy cánh
Fy lực cắt tiến-lùi
Fz lực lượng theo hướng dọc cánh
1 dịch chuyển theo hướng vẫy cánh
2 dịch chuyển tiến-lùi
Hình 2 -Hệ tọa độ rôto (theo hướng vẫy cánh, tiến-lùi)
5 Nguyên tắc chung
5.1 Mục đích của thử nghiệm
Mục đích cơ bản của thử nghiệm cánh tuabin gió là để chứng minh với mức độ chắc chắn hợp lý rằng một loại cánh khi được sản xuất theo một tập hợp quy định kỹ thuật nhất định, có độ tin cậy như yêu cầu đối với các trạng thái giới hạn cụ thể, hoặc, chính xác hơn, để kiểm tra xác nhận rằng các trạng thái giới hạn quy định không bị vượt quá và do đó, các cánh có khả năng chịu tải và tuổi thọ hoạt động như được thiết kế.
Ngoài ra, các thử nghiệm xác định đặc tính cánh phải được thực hiện để xác nhận một số giả định thiết kế quan trọng được sử dụng làm đầu vào cho các tính toán tải trọng thiết kế. Cần lưu ý rằng các thử nghiệm đặc tính cánh cần thiết không bao gồm tất cả các giả định thiết kế.
Thông thường, các thử nghiệm kết cấu đầy đủ được đề cập trong tiêu chuẩn này là các thử nghiệm trên một số lượng mẫu hạn chế; chỉ có một hoặc hai cánh của một thiết kế nhất định được thử nghiệm, do đó không thể thu được phân bố thống kê về khả năng chịu tải của cánh sản xuất. Mặc dù các thử nghiệm này cung cấp thông tin có giá trị cho loại cánh, chúng không thể thay thế quá trình thiết kế nghiêm ngặt hoặc hệ thống chất lượng cho sản xuất hàng loạt cánh. Hơn nữa, các thử nghiệm được mô tả trong tiêu chuẩn này không nhằm mục đích thử nghiệm chức năng cơ cấu hay thiết lập dữ liệu độ bền vật liệu cơ bản hoặc dữ liệu thiết kế mỏi cho cánh và/hoặc các thành phần.
5.2 Trạng thái giới hạn
Để thiết lập và đánh giá tải trọng thử nghiệm, cần phải có một số thông tin nhất định về thiết kế. Thông thường, các cánh được thiết kế dựa trên một số tiêu chuẩn hoặc quy tắc thực hành, ví dụ như IEC 61400-1, sử dụng các nguyên tắc của ISO 2394 để xác định các trạng thái giới hạn và các hệ số từng phần. Các hệ số này cần được áp dụng để thu được các giá trị thiết kế tương ứng. Trạng thái giới hạn là trạng thái của kết cấu và các tải trọng tác động lên nó, mà nếu vượt qua trạng thái đó, kết cấu sẽ không còn đáp ứng được các yêu cầu thiết kế. Các hệ số từng phần này phản ánh độ không đảm bảo và được chọn, ít nhất là về nguyên tắc, để giữ cho xác suất đạt đến trạng thái giới hạn dưới một giá trị quy định cho kết cấu. Theo đó, một cánh sẽ vượt qua thử nghiệm nếu trạng thái giới hạn không bị vượt quá khi cánh chịu tải trọng thử nghiệm, đại diện cho tải trọng thiết kế.
Cơ sở để xác lập tải trọng thử nghiệm là toàn bộ phạm vi tải trọng thiết kế của cánh, được xác định theo tiêu chuẩn IEC 61400-1 hoặc các tiêu chuẩn tương đương. Tải trọng thử nghiệm đại diện có thể cao hơn tải trọng thiết kế để tính đến các yếu tố khác, ví dụ như tác động môi trường, độ không đảm bảo trong thử nghiệm, và sự biến đổi trong quá trình sản xuất (xem Điều 8).
Việc xác định các biên độ thực tế đối với các trạng thái giới hạn có thể là điều mong muốn vì các biên này có thể cung cấp một thước đo về mức độ an toàn thực tế đạt được cho khả năng chịu tải của cánh thử nghiệm. Tuy nhiên, việc diễn giải các giá trị này không hề đơn giản và cần áp dụng các phương pháp xác suất. Trong tiêu chuẩn này, chỉ có trạng thái giới hạn tối đa và sự mỏi được đề cập.
5.3 Các ràng buộc thực tế
Việc thực hiện thử nghiệm trong thực tế phải đối mặt với nhiều ràng buộc về mặt kỹ thuật và kinh tế. Dưới đây là một số ràng buộc quan trọng nhất:
• tải trọng phân bố trên cánh chỉ có thể được mô phỏng một cách tương đối;
• thời gian dành cho thử nghiệm thường chỉ kéo dài một năm hoặc ít hơn;
• chỉ có một hoặc một vài cánh có thể được thử nghiệm;
• một số lỗi rất khó phát hiện.
Thử nghiệm cần được điều chỉnh vì các ràng buộc này cần được xử lý sao cho các kết quả cuối cùng có thể sử dụng để đánh giá các trạng thái giới hạn đã xác định.
Khi diễn giải kết quả, cần lưu ý rằng cánh được sử dụng để thử nghiệm thường là một trong những cánh đầu tiên được sản xuất hàng loạt và sẽ trải qua các cải tiến theo thời gian. Ngay cả những thay đổi nhỏ cũng có thể làm giảm tính hợp lệ của các thử nghiệm (xem Phụ lục A).
5.4 Kết quả thử nghiệm
Tải trọng thiết kế là cơ sở để xác định tải trọng thử nghiệm. Theo tính toán thiết kế, cánh phải có khả năng chịu được tải trọng thiết kế. Trong các tính toán này, một số giả định được áp dụng ngầm định như sau:
• ứng suất hoặc biến dạng được tính toán chính xác hoặc được ước lượng một cách thận trọng;
• phân loại về khả năng chịu lực và độ bền mỏi của tất cả các vật liệu và chi tiết liên quan được ước lượng chính xác hoặc thận trọng;
• các phương pháp ước lượng độ bền và độ bền mỏi được sử dụng đề tính toán độ bền là chính xác hoặc thận trọng;
• việc sản xuất tuân theo thiết kế.
Trong một thử nghiệm kết cấu đầy đủ được sử dụng như bước xác kiểm tra xác nhận cuối cùng của thiết kế, tính hợp lệ của các giả định nêu trên sẽ được kiểm tra đồng thời. Khi cánh bị lỗi trong quá trình thử nghiệm, điều đó cho thấy ít nhất một trong các giả định trên đã bị vi phạm, mặc dù không phân tích sâu hơn thì có thể không xác định được nguyên nhân cụ thể gây ra lỗi không dự kiến trước được này.
Nếu không có hỏng hóc nào xảy ra đối với cánh trong suốt quá trình thử nghiệm, và kết cấu cánh cũng như tải trọng thử nghiệm được đánh giá đúng, thì việc này chỉ ra rằng thiết kế cánh sẽ đáp ứng các yêu cầu đề ra. Cần lưu ý rằng các thử nghiệm đặc tính của cánh cho phép kiểm tra một số giả định thiết kế chính được sử dụng trong quá trình tính toán thiết kế.
6 Tài liệu và quy trình cho thử nghiệm cánh
Nhà sản xuất cánh phải ghi chép bằng chứng tài liệu có thể truy xuất liên quan đến thiết kế và chế tạo cánh thử nghiệm. Hồ sơ cần ghi rõ:
• nhận dạng duy nhất;
• các bản vẽ và thông số kỹ thuật liên quan;
• các kế hoạch cán lớp và hướng dẫn công việc;
• liệt kê nhà sản xuất, loại và số nhận dạng cho tất cả các vật liệu quan trọng được sử dụng;
• chứng nhận từ nhà cung cấp và báo cáo chấp nhận của phòng thí nghiệm của nhà sản xuất cánh cho tất cả các vật liệu quan trọng được sử dụng;
• biểu đồ nhiệt ghi lại quá trình đóng cứng của nhựa nhiệt rắn và chất kết dính tại các vị trí quan trọng;
• các phép đo nhiệt độ quét vi sai hoặc các phương pháp kiểm soát quá trình đóng cứng khác;
• các bảng ghi nhận chất lượng sản xuất đã được người có trách nhiệm ký xác nhận;
• báo cáo về trọng lượng và cân bằng, bao gồm chi tiết khối lượng tổng và trọng tâm. Báo cáo này sẽ bao gồm thông tin về bất kỳ hạng mục rời nào được lắp trong quá trình cân, ví dụ như các phần tử nối gốc và chất lỏng giảm chấn;
• các báo cáo liên quan về sự sai lệch trong quá trình sản xuất.
Việc sửa chữa cũng phải được lập thành tài liệu. Hồ sơ sửa chữa cần bao gồm các mục đã nêu ở trên. Sửa chữa có thể bao gồm:
• các ví dụ điển hình về quy trình sửa chữa cho những lỗi sản xuất và hỏng hóc trong quá trình sử dụng đã được xác nhận đối với cánh thử nghiệm;
• các sửa chữa được thực hiện do hỏng hóc phát sinh từ tải trọng thử nghiệm vượt quá tải trọng mục tiêu (xem 9.3 và 9.4).
Việc sửa đổi cánh đặc biệt có thể được thực hiện cho mục đích thử nghiệm. Trong các thử nghiệm mỏi, tải trọng có thể cần được tăng cường để hoàn thành thử nghiệm trong khung thời gian chấp nhận được. Trong một số trường hợp, việc tăng cường tải trọng mỏi có thể dẫn đến hỏng hóc ở những khu vực không được dự kiến thử nghiệm. Trong những trường hợp này, việc sửa đổi cánh đặc biệt có thể được xem xét. Việc sửa đổi cũng có thể do gia cường truyền tải trọng. Tất cả các sửa đổi cánh đặc biệt đều phải được lập thành tài liệu.
7 Chương trình thử nghiệm cánh và kế hoạch thử nghiệm
7.1 Các khu vực cần thử nghiệm
Không có một thử nghiệm nào có thể đặt tải toàn bộ cánh một cách tối ưu. Do đó, tất cả các khu vực quan trọng cần được tải ít nhất đến mức tải trọng mục tiêu. Các khu vực này được mô tả chi tiết trong Phụ lục B. Các thử nghiệm theo chiều tiến-lùi và vẫy cánh có thể là đủ, nhưng cần phải được đánh giá một cách cẩn thận (xem Phụ lục D).
7.2 Chương trình thử nghiệm
Chương trình thử nghiệm cho một loại cánh phải bao gồm ít nhất các thử nghiệm sau theo trình tự nhất định:
• kiểm tra khối lượng, trọng tâm và tần số riêng (xem 10.4.1 và 10.4.2);
• thực hiện các thử nghiệm tĩnh (xem 9.3 và 10.2);
• tiến hành các thử nghiệm tải trọng mỏi (xem 9.4 và 10.3);
• thực hiện các thử nghiệm tĩnh sau mỏi.
Ngoài ra, việc thử nghiệm các đặc chất khác của cánh cũng có thể được xem xét (xem 10.4.3).
Tất cả các thử nghiệm theo một hướng đã cho và khu vực đã cho của cánh phải được thực hiện trên cùng một bộ phận cánh. Chuỗi thử nghiệm theo hướng vẫy cánh và hướng tiến-lùi có thể được thực hiện trên hai cánh khác nhau. Tuy nhiên, nếu một khu vực của cánh có tầm quan trọng do sự kết hợp của tải trọng vẫy và tiến-lùi, thì toàn bộ chuỗi thử nghiệm cần phải thực hiện trên một cánh duy nhất.
Chương trình thử nghiệm cũng phải bao gồm việc kiểm tra cánh (xem Điều 11).
7.3 Kế hoạch thử nghiệm
7.3.1 Quy định chung
Kế hoạch thử nghiệm cần được lập cho tất cả các thử nghiệm riêng lẻ trong chương trình thử nghiệm cánh. Kế hoạch này phải bao gồm mô tả cánh, thông số kỹ thuật về tải trọng, điều kiện và thiết bị đo sẽ được sử dụng trong thử nghiệm.
7.3.2 Mô tả cánh
Mô tả cánh trong kế hoạch thử nghiệm phải đủ chi tiết để đảm bảo rằng cánh sẽ vừa vặn với giá đỡ thử nghiệm và tránh tình trạng quá tải không mong muốn trong quá trình lưu trữ, xử lý, nâng, lắp đặt và thử nghiệm tại phòng thí nghiệm.
Các thông tin sau đây cần được cung cấp:
• hình học cánh (tốt nhất ở dạng bản vẽ):
- chiều dài cánh;
- phân bố dây cung và xoắn;
- độ cong sẵn hoặc độ cong quét;
• khối lượng và trọng tâm;
• tình trạng bề mặt cánh;
• chi tiết lắp đặt cánh:
- mẫu bu lông (bao gồm cả các sai số cho phép) và kích thước giao diện;
- kích cỡ, loại và cấp của bu lông;
- chiều dài kẹp bu lông;
- quy trình độ căng hoặc mômen xoắn của bu lông;
• quy trình nâng và xử lý;
• độ lệch tối đa dự kiến dưới tác dụng của tải trọng;
• hình học biên dạng tại các điểm truyền tải trọng.
Các thông tin bổ sung (như độ cứng của cấu trúc lắp đặt) có thể được yêu cầu tùy thuộc vào tính chất cụ thể của thử nghiệm.
7.3.3 Tải trọng và điều kiện
Kế hoạch thử nghiệm cần nêu rõ tải trọng mục tiêu, tải trọng thử nghiệm, phương pháp áp dụng, và thứ tự các thử nghiệm sẽ được thực hiện. Ngoài ra, kế hoạch cũng phải đề cập đến các điều kiện môi trường có thể ảnh hưởng đến việc thực hiện thử nghiệm (xem 8.3.3).
7.3.4 Thiết bị đo
Vị trí và hướng lắp đặt của các cảm biến lực, cảm biến biến dạng, cảm biến độ lệch và các cảm biến khác phải được quy định rõ trong kế hoạch thử nghiệm.
7.3.5 Kết quả thử nghiệm dự kiến
Nên cung cấp các dự đoán (độ lệch, biến dạng, v.v.) tương ứng với các phép đo từ cảm biến để cho phép và hỗ trợ việc lập kế hoạch, đánh giá, và kiểm soát chất lượng.
8 Hệ số tải trọng cho thử nghiệm
8.1 Quy định chung
Trong quá trình thử nghiệm, cần xem xét nhiều hệ số tải trọng khác nhau. Các hệ số phát sinh từ thiết kế được nêu trong 8.2. Bên cạnh đó, cần áp dụng các hệ số tải trọng thử nghiệm bổ sung để tính đến các ảnh hưởng từ phương pháp thử nghiệm. Các hệ số này được nêu trong 8.3.
8.2 Hệ số an toàn từng phần trong thiết kế
8.2.1 Quy định chung
Trong các tính toán thiết kế, cần phải bao gồm các hệ số an toàn từng phần (hay còn gọi là hệ số). Theo IEC 61400-1, các hệ số này bao gồm:
γm hệ Số vật liệu từng phần;
γn hệ số từng phần cho hệ quả của lỗi;
γf hệ số tải trọng từng phần
Tất cả ba hệ số an toàn từng phần (γm, γn và γf) cần được áp dụng trong quá trình tính toán thiết kế. Tích của các hệ số này là một chỉ số quan trọng cho mức độ an toàn tổng thể của thiết kế. Đối với tải trọng thử nghiệm, chỉ γf và γn có ảnh hưởng đến tải trọng thử nghiệm vì những lý do sẽ được trình bày trong các điều tiếp theo.
8.2.2 Hệ số từng phần về vật liệu
Dữ liệu vật liệu thường được lấy từ các thử nghiệm mẫu được sản xuất và thử nghiệm trong điều kiện phòng thí nghiệm.
Hệ số chuyển đổi vật liệu xem xét các khác biệt cụ thể giữa điều kiện của vật liệu trong kết cấu và điều kiện mà từ đó các công thức về độ bền và mỏi được xây dựng. Ví dụ về các hệ số chuyển đổi này bao gồm các hệ số liên quan đến kích thước, độ ẩm, lão hóa và nhiệt độ. Các hệ số này sẽ được áp dụng một cách ngầm định thông qua các công thức về độ bền và mỏi phù hợp trong quá trình đánh giá.
Hệ số từng phần cho vật liệu, γm, được áp dụng trong thiết kế để tính đến độ không đảm bảo trong các hệ số chuyển đổi và khả năng có sai lệch không thuận lợi của các đặc tính vật liệu so với giá trị đặc trưng. Tải trọng thử nghiệm không nên được điều chỉnh bởi hệ số từng phần này (γm) vì vật liệu trong cánh thử nghiệm là vật liệu thực tế.
8.2.3 Hệ số từng phần về hệ quả của lỗi
Theo IEC 61400-1, các hệ số từng phần cho hệ quả của lỗi, γn, là những hệ số dùng để phản ánh tầm quan trọng của kết cấu và các hệ quả của lỗi, bao gồm mức độ ảnh hưởng của hỏng hóc[3]. Điều này đặc biệt quan trọng đối với các thành phần không an toàn (như cánh), đòi hỏi mức độ an toàn cao hơn so với các thành phần an toàn. Do đó, thử nghiệm quy mô lớn phải thể hiện yêu cầu an toàn bổ sung này, và các hệ số này sẽ được tính vào tải trọng thử nghiệm.
8.2.4 Hệ số từng phần về tải trọng
Trong quá trình thiết kế, các hệ số thành phần về tải trọng γf sẽ xem xét độ không đảm bảo liên quan đến các tải trọng. Vì lý do đó, cánh thử nghiệm cần có khả năng chịu tải trọng thiết kế (bao gồm các hệ số từng phần thích hợp cho tải trọng).
8.3 Hệ số tải trọng thử nghiệm
8.3.1 Sự biến thiên giữa các cánh
Trong trường hợp không có dữ liệu về phân bố xác suất lỗi cho thiết kế cánh và quy trình sản xuất cụ thể, các hệ số tải trọng thử nghiệm sau đây phải được áp dụng:
đối với các thử nghiệm tĩnh: γsu = 1,1
đối với các thử nghiệm mỏi: γsf = 1,1
Hệ số tải trọng tĩnh nêu trên cần được sử dụng cho ít nhất một trong hai thử nghiệm tĩnh yêu cầu (trước hoặc sau mỏi). Đối với thử nghiệm tĩnh còn lại, γsu có thể được đặt là 1,0.
8.3.2 Sai số có thể có trong phương pháp ước lượng mỏi
Việc chuyển đổi từ tải trọng thiết kế mỏi ban đầu sang tải trọng thử nghiệm mỏi sẽ tạo ra độ không đảm bảo do các sai số có thể phát sinh trong phương pháp ước lượng mỏi.
Khi thử nghiệm mỏi được tăng tốc (tức là số chu kỳ trong thử nghiệm mỏi thấp hơn), độ không đảm bảo liên quan đến việc chuyển đổi từ tải trọng thiết kế mỏi sang tải trọng thử nghiệm mỏi sẽ tăng lên.
Để giải quyết vấn đề này trong các thử nghiệm mỏi, cần áp dụng hệ số γef cho tải trọng thử nghiệm mỏi. Giá trị của γef được cung cấp cho các số chu kỳ tải trọng thử nghiệm khác nhau trong Bảng 1 dưới đây (xem Phụ lục F).
Bảng 1 - Giá trị được khuyến nghị cho γef cho các số chu kỳ tải trọng khác nhau
| Số chu kỳ tải trọng | γef |
| 5 x 105 | 1,065 |
| 1 x 106 | 1,050 |
| 2,5 x 106 | 1,035 |
| 5 x 106 | 1,025 |
| 1 x 107 | 1,015 |
Đối với các thử nghiệm mỏi mà số chu kỳ tải trọng không giống như những giá trị đã nêu trong bảng trên, γef có thể được chọn một cách thận trọng hoặc được xác định thông qua phương pháp nội suy hoặc ngoại suy.
8.3.3 Điều kiện môi trường
Nói chung, điều kiện tại cơ sở thử nghiệm thường nhẹ hơn so với điều kiện thực tế và thiết kế. Trong nhiều phương pháp ước lượng tính toán bền và mỏi, ảnh hưởng của những điều kiện này được thể hiện qua các hệ số. Tuy nhiên, điều này cũng có thể dẫn đến sự khác biệt trong phương pháp ước lượng độ bền hoặc mỏi cho các điều kiện khác nhau.
Khi điều kiện thử nghiệm nhẹ hơn thì cần phải tăng cường tải trọng thử nghiệm yêu cầu. Hệ số thích hợp phải được kiểm tra bằng cách đánh giá phân phối tải trọng thử nghiệm, nhưng phương pháp ước lượng độ bền hoặc mỏi thích hợp vẫn cần phải được áp dụng cho cả hai điều kiện (xem Phụ lục E). Nếu tác động được thể hiện qua các hệ số thì các hệ số này có thể được sử dụng như một ước lượng ban đầu cho hệ số cần thiết nhằm tảng cường tải trọng để đạt được tải trọng thử nghiệm tương đương.
8.4 Ứng dụng các hệ số tải trọng để xác định tải trọng mục tiêu
Trong các thử nghiệm, tải trọng thiết kế được tổng hợp thành tải trọng mục tiêu. Tải trọng thử nghiệm lý tưởng nên tương đương với tải trọng mục tiêu. Việc xác định tải trọng mục tiêu cần dựa trên các công thức độ bền và/hoặc mỏi thích hợp cũng như các tính chất đàn hồi của vật liệu được sử dụng trong các khu vực thử nghiệm.
Tải trọng mục tiêu cho thử nghiệm tĩnh được xác định như sau:
|
| (1) |
trong đó:
Ftarget-u tải trọng mục tiêu
Fdu tải trọng thiết kế (bao gồm hệ số từng phần cho tải trọng γf) (xem 8.2.1);
γnu hệ số thành phần cho hệ quả của lỗi (xem 8.2.3);
γsu hệ số tải trọng thử nghiệm cho sự biến thiên giữa các cánh (xem 8.3.1);
γlu hệ số tải trọng thử nghiệm cho các tác động môi trường, nếu có (xem 8.3.3).
Tải trọng mục tiêu cho thử nghiệm mỏi được xác định như sau:
|
| (2) |
trong đó:
Ftarget-f tải trọng mục tiêu
Fdf tải trọng thiết kế tương đương hỏng (bao gồm: hệ số từng phần cho tải trọng γnf) (xem 8.2.1);
γnf hệ số thành phần cho hệ quả của lỗi (xem 8.2.3);
γsf hệ số tải trọng thử nghiệm cho sự biến thiên giữa các cánh (xem 8.3.1);
γef hệ số tải trọng thử nghiệm cho các sai số trong phương pháp ước lượng mỏi (xem 8.3.2);
γlf hệ số tải trọng thử nghiệm cho các tác động môi trường, nếu có. Ngoài ra, các tác động môi trường có thể được tính đến trong quá trình chuyển đổi từ tải trọng thiết kế sang tải trọng thiết kế tương đương hỏng, nếu cần (xem 8.3.3).
Việc xác định tải trọng thiết kế tương đương hỏng cho thử nghiệm mỏi cần bao gồm các phương pháp S-N phù hợp, quy trình đếm chu kỳ, mô hình tổng hợp hỏng thích hợp, ảnh hưởng của giá trị R, cùng tất cả thông tin.
9 Tải trọng thử nghiệm và đánh giá tải trọng thử nghiệm
9.1 Quy định chung
Đối với từng thử nghiệm, phải xác định tải trọng mục tiêu trong kế hoạch thử nghiệm. Phải cung cấp đầy đủ thông tin để đánh giá chính xác tải trọng thử nghiệm theo tải trọng mục tiêu. Thông thường, cần chỉ ra sáu thành phần tải trọng, bao gồm thông tin về pha và tần số cần thiết để tạo ra các trường hợp tải trọng kết hợp. Trong thực tế, các thành phần tải trọng mômen tiến-lùi và mômen theo hướng vẫy cánh là những thành phần quan trọng nhất. Các tải trọng cắt theo hướng tiến-lùi và vẫy cánh thường được tính toán ngầm định thông qua các mômen. Chỉ đối với các cánh chuyên dụng hơn mới cần xem xét lực xoắn và lực theo chiều dọc cánh. Hệ tọa độ liên quan đến các thành phần tải trọng cần được xác định rõ ràng (xem 4.4). Độ lệch lớn của cánh trong quá trình thử nghiệm thường dẫn đến sự thay đổi về hướng và độ lớn của tải trọng (xem Phụ lục C). Tác động của sự thay đổi hướng tải trọng cần được xem xét cẩn thận trong quá trình chuẩn bị kế hoạch và báo cáo thử nghiệm, cũng như trong việc ước lượng độ không đảm bảo theo 10.1.3.
Vì thử nghiệm cần chứng minh rằng cánh có thể chịu tải trọng mục tiêu, việc đánh giá tải trọng thử nghiệm là rất quan trọng, cần kiểm tra xem ở khu vực nào của cánh mà mức khắc nghiệt của tải trọng thử nghiệm bằng hoặc khắc nghiệt hơn tải trọng mục tiêu. Do mức khắc nghiệt của tải trọng thử nghiệm so với tải trọng mục tiêu có thể thay đổi trên toàn bộ khu vực cánh, về nguyên tắc, việc đánh giá cần được thực hiện tại tất cả các vị trí của khu vực cánh sẽ được thử nghiệm. Một số ví dụ về đánh giá thử nghiệm có thể tham khảo trong Phụ lục D.
Tải trọng trên các hệ thống con cơ khí và điện quan trọng của cánh, như phanh đầu cánh và các thành phần bảo vệ chống sét, thường khác biệt về tính chất so với tải trọng tổng quát và có thể cần được chỉ định thêm cùng các thử nghiệm cụ thể. Đối với các cơ cấu, khả năng có đủ điều kiện tải trọng trong các thử nghiệm tiêu chuẩn để đảm bảo tính toàn vẹn của hệ thống con là rất thấp. Việc thử nghiệm bổ sung có thể cần thiết để mô phỏng tải trọng trong các trường hợp đặc biệt, bao gồm tải trọng xoắn và tải trọng hướng tâm. Đối với các hệ thống mà sự cố có thể dẫn đến vận hành không an toàn của tuabin, cần xem xét đặc biệt để đảm bảo tính toàn vẹn cấu trúc ở mức thích hợp. Hỏng tích lũy không nên dẫn đến lỗi chức năng của các hệ thống con này. Các tải trọng cho thử nghiệm hệ thống con của cánh không được đề cập thêm trong tiêu chuẩn này.
9.2 Ảnh hưởng của việc đưa vào tải trọng
Trong trường hợp tải trọng thử nghiệm được đưa vào dưới dạng các lực tập trung tại một số vị trí hạn chế (ví dụ: tại vị trí thiết bị chấp hành), các khu vực mà tải trọng được đặt vào sẽ bị ảnh hưởng và có thể được gia cường trong một khu vực nhất định nhờ các bộ gá đưa tải vào. Do đó, tại những khu vực này, cánh có thể không được thử nghiệm đúng cách và không nên được xem xét trong phân tích hoặc đánh giá. Chiều dài (theo phương dọc cánh) của khu vực bị ảnh hưởng có thể được ước lượng từ các phép tính hoặc phép đo.
Nếu không có phân tích thêm, có thể giả định rằng khu vực bị ảnh hưởng có thể mở rộng tới ba phần tư chiều dài dây cung ở mỗi bên bộ gá. Trong thiết kế giá đỡ dạng yên ngựa, cần chú ý đặc biệt đến các khu vực nhạy với hiện tượng oằn (ví dụ: mép sau chịu nén).
Ngoài ra, nếu có các sửa đổi đặc biệt được thực hiện cho mục đích thử nghiệm (xem Điều 6), các xem xét được đề cập ở trên là có liên quan.
9.3 Thử nghiệm tải trọng tĩnh
Trong thử nghiệm tải trọng tĩnh, khu vực cần thử nghiệm sẽ được chịu tải trong các điều kiện tải trọng thiết kế khắc nghiệt nhất. Điều này cần xem xét sự biến thiên trong tập hợp các cánh được sản xuất và sự khác biệt giữa điều kiện môi trường trong phòng thí nghiệm và điều kiện thiết kế (xem 8.3.1 và 8.3.3).
Nếu cần thiết phải sử dụng các phân phối hoặc định hướng tải trọng khác nhau để đại diện cho các trường hợp tải trọng cực trị trong các khu vực thử nghiệm, mỗi trường hợp này phải được áp dụng. Để biết thêm chi tiết về hướng tải trọng, xem Điều D.1.
Lưu ý rằng cánh có thể dễ bị hư hại đối với một số chế độ lỗi khi một tải trọng tổng hợp, không nhất thiết phải là tải trọng lớn nhất về độ lớn, được đặt vào theo một hướng cụ thể. Đối với mỗi tải trọng, cánh cần có khả năng chịu được tải trọng tối đa trong khoảng thời gian đã quy định. Vì hầu hết các vật liệu cánh nói chung có xu hướng giảm độ bền theo thời gian chịu tải trọng nên thời gian chịu tải trọng thử nghiệm cần ít nhất bằng với thời gian tải trọng thiết kế đỉnh. Nếu thông tin về tải trọng thiết kế đưa ra thời gian cụ thể cho tải trọng đỉnh trên cánh, thì tải trọng và thời gian thử nghiệm sẽ dựa trực tiếp vào đó. Nếu không có khoảng thời gian cho tải trọng thử nghiệm không đổi được nêu rõ, thì giá trị tối thiểu phải là 10 s.
Nhìn chung, tất cả các vị trí sẽ được coi là đã được thử nghiệm đủ nếu tải trọng trong quá trình thử nghiệm tĩnh bằng hoặc lớn hơn tải trọng mục tiêu. Trong trường hợp có hỏng hóc do tải trọng lớn hơn tải trọng mục tiêu, việc sửa chữa là cho phép trước khi tiến hành thử nghiệm mỏi.
Nếu cánh được thử nghiệm với tải trọng kết hợp, không có ý định kết hợp tải trọng tối đa theo một phương với tải trọng tối đa theo phương khác. Thay vào đó, tải trọng tối đa theo một phương sẽ được kết hợp với một tải trọng phù hợp theo phương còn lại.
9.4 Thử nghiệm tải trọng mỏi
Ở các khu vực thử nghiệm, phải tạo ra tải trọng thử nghiệm gây ra hỏng do mỏi tương đương với hỏng do tải trọng mục tiêu. Tải trọng thử nghiệm mỏi thường được chọn để giảm thời gian thử nghiệm vì lý do thực tiễn. Để thử nghiệm các khu vực xung quanh toàn bộ mặt cắt ngang của cánh, có thể sử dụng nhiều tổ hợp tải trọng theo hướng bản cánh và hướng cạnh cánh.
Để giảm số chu kỳ trong quá trình thử nghiệm, tải trọng thường được tăng lên để đạt được sự cân bằng hợp lý giữa tính thực tế của thử nghiệm và thời gian thử nghiệm.
Việc tăng tải trọng sẽ dẫn đến sự tích lũy hỏng do mỏi tương đương về lý thuyết, với các giới hạn sau:
• các giá trị tối đa của ứng suất hoặc biến dạng có thể vượt quá độ bền tĩnh của vật liệu, dẫn đến hỏng hóc tĩnh hoặc lỗi;
• ứng suất hoặc biến dạng có thể đạt mức cao đến nỗi giả định thông thường về tính tuyến tính giữa lực và ứng suất không còn đúng, như trong trường hợp oằn;
• sự nóng lên bên trong các khu vực ứng suất cao.
Đặc biệt trong trường hợp tải trọng có biên độ biến thiên, những giới hạn này có thể đạt được với tỷ lệ tăng cường tải trọng tương đối thấp. Trong trường hợp này, chỉ các chu kỳ tải trung gian có thể được tăng thêm, và tải trọng thử nghiệm dần trở thành tải trọng có biên độ không đổi.
Tải trọng trung bình đặt vào trong quá trình thử nghiệm mỏi thường cần gần nhất với tải trọng trung bình ở các điều kiện vận hành khắc nghiệt nhất đối với độ bền mỏi.
Các vị trí sẽ được coi là đã được thử nghiệm đủ nếu hỏng lý thuyết (ví dụ: tổng hợp Miner) trong quá trình thử nghiệm mỏi bằng hoặc lớn hơn hỏng lý thuyết dựa trên tải trọng mục tiêu.
Hỏng lý thuyết trong thử nghiệm có thể được đánh giá bằng cách tổng hợp hỏng từ tất cả các thử nghiệm từng phần.
Khi một khu vực nhất định của cánh bị hỏng sau khi đã chịu hỏng lý thuyết do tải trọng thử nghiệm tương đương hoặc lớn hơn hỏng do tải trọng mục tiêu, khu vực đó được coi là đã vượt qua thử nghiệm, về nguyên tắc, việc thử nghiệm cánh có thể tiếp tục để đạt được mức độ khắc nghiệt tương đương cho các khu vực khác. Điều này chỉ có hiệu lực đối với các khu vực không bị ảnh hưởng bởi sự phân bố lại ứng suất do hỏng.
Trong trường hợp có lỗi do tải trọng lớn hơn tải trọng mục tiêu, việc sửa chữa được cho phép. Các hệ quả của bất kỳ sửa chữa nào cũng phải được đánh giá.
10 Yêu cầu thử nghiệm
10.1 Quy định chung
10.1.1 Hồ sơ thử nghiệm
Tất cả các hoạt động thử nghiệm phải được ghi chép đầy đủ trong một số nhật ký.
10.1.2 Hiệu chuẩn thiết bị đo
Tất cả các thiết bị đo được sử dụng để thu thập dữ liệu cho việc đánh giá kết quả thử nghiệm phải được thực hiện hiệu chuẩn. Nếu có các cảm biến và thiết bị đo không thể hiệu chuẩn độc lập, các thông số kỹ thuật phải có thể truy nguyên, và toàn bộ chuỗi liên quan phải được hiệu chuẩn. Các quy trình kiểm soát, hiệu chuẩn, bảo trì và kiểm tra thiết bị đo và thử nghiệm phải được xây dựng và thực hiện theo ISO/IEC 17025 hoặc tiêu chuẩn tương đương. Khi có thể, cần thực hiện hiệu chuẩn toàn bộ hệ thống để kiểm tra xác nhận tính năng của tất cả các thành phần trong hệ thống. Trong các quy trình, cần chỉ ra rằng việc hiệu chuẩn lại phải được thực hiện cho các cảm biến có khả năng bị hỏng do hỏng hóc nghiêm trọng của cánh hoặc thiết bị trong quá trình thử nghiệm[4].
10.1.3 Độ không đảm bảo đo
Tất cả các độ không đảm bảo của thiết bị đo phải được liệt kê trong báo cáo thử nghiệm.
Ngoài ra, phải ước lượng và báo cáo các độ không đảm bảo đo sau đây:
• độ không đảm bảo đo về độ lớn, hướng và vị trí của bất kỳ tải trọng nào được đặt vào;
• độ không đảm bảo đo về độ lớn, hướng và vị trí của sự dịch chuyển;
• độ không đảm bảo đo về độ lớn, hướng và vị trí của biến dạng đo được[5].
10.1.4 Yêu cầu về bộ gá gốc cánh và bệ thử nghiệm
Trong trường hợp khu vực gốc cánh và bộ gá được xem xét để thử nghiệm, độ lệch giữa bệ thử nghiệm và cánh tuabin gió đánh giá sự sai lệch giữa bệ thử nghiệm và cụm cánh gió.
Độ lệch đo được của cánh cần được điều chỉnh để bù đắp cho sự biến dạng của thiết bị gốc và bệ thử nghiệm. Đối với tần số riêng, độ giảm chấn và hình dạng chế độ đo được, cần xem xét ảnh hưởng của bệ thử nghiệm. Đối với các bệ thử nghiệm cứng (đóng góp vào độ lệch đầu cánh nhỏ hơn 1 %), có thể bỏ qua ảnh hưởng của bệ thử nghiệm.
10.1.5 Giám sát điều kiện môi trường
Hồ sơ môi trường có thể cần thiết để xác định các tác động lên cánh thử nghiệm, ví dụ như sự biến thiên độ cứng, độ trôi của cảm biến đo biến dạng (đặc biệt đối với các cầu một phần tử) hoặc độ trôi của các cảm biến khác.
Ít nhất, nhiệt độ phải được ghi lại cả bên ngoài và bên trong cánh và trên bề mặt cánh, để đánh giá sự khác biệt giữa nhiệt độ môi trường và nhiệt độ của cánh. Các hồ sơ này phải được lưu giữ trong khoảng thời gian đủ dài để theo dõi các biến động trong suốt quá trình thử nghiệm.
Đối với các vật liệu bị ảnh hưởng bởi độ ẩm, độ ẩm môi trường cũng cần được ghi lại tại các khoảng thời gian đủ dài để theo dõi sự thay đổi trong quá trình thử nghiệm.
10.1.6 Hiệu chỉnh mang tính xác định
10.1.6.1 Tải trọng giả
Thử nghiệm có thể bị ảnh hưởng bởi các tải trọng trọng lực không nằm trong tải trọng thử nghiệm hoặc không được thiết bị đo lường ghi nhận. Những tải trọng này cần được tính toán một cách chính xác trong quá trình thử nghiệm và xử lý dữ liệu.
Tải trọng giả có thể xuất phát từ khối lượng của:
• cánh;
• bộ gá hỗ trợ đặt tải (cơ cấu chấp hành, thiết bị phân phối tải, cấu trúc kẹp, v.v.):
• cáp, dây đai và bộ biến đổi.
Tải trọng giả và vị trí của chúng so với hệ tọa độ của cánh phải được lập thành tài liệu.
10.1.6.2 Thay đổi góc tải trọng
Khi cánh bị lệch, hướng tải trọng liên quan đến định hướng của cánh có thể thay đổi. Cần phải xem xét những thay đổi này trong hướng tải trọng. Thông tin chi tiết hơn được giải thích trong Phụ lục C.
10.1.6.3 Tải trọng xoắn phát sinh
Các tải trọng không tác dụng qua trục đàn hồi, ví dụ như do lệch, uốn sẵn hoặc bố trí thử nghiệm, có thể tạo ra các mômen xoắn trong cánh. Các mômen này có thể đáng kể và cần được xem xét khi xác định tải trọng thử nghiệm. Các tải trọng được đặt vào có thể lệch có chủ ý khỏi trục đàn hồi để tạo ra một mômen xoắn định trước.
10.2 Thử nghiệm tĩnh
10.2.1 Quy định chung
Việc thử nghiệm bằng tải tĩnh nhằm thu thập hai loại thông tin khác nhau. Một loại thông tin liên quan đến khả năng của cánh để chịu đựng các tải trọng mà nó được thiết kế. Loại thông tin còn lại liên quan đến các đặc tính của cánh, biến dạng và độ lệch phát sinh từ tải trọng đặt vào. Thông thường, cả hai loại thông tin này được thu thập trong cùng một thử nghiệm tĩnh, mặc dù điều này không phải là yêu cầu bắt buộc.
10.2.2 Thử nghiệm tải tĩnh
Trong các thử nghiệm tải tĩnh, cần đo và ghi lại các thông số sau:
• độ lớn và hướng của các tải trọng được đặt vào ở năm mức tải mà độ biến dạng được đo (xem 10.2.3);
• tín hiệu thời gian - để đảm bảo thời gian tối thiểu ở một mức tải trọng (xem 9.3). Điều này có thể dưới dạng tín hiệu thời gian thực hoặc có thể được suy ra từ tốc độ lấy mẫu.
10.2.3 Phép đo độ biến dạng
Độ biến dạng trong cánh rôto phải được đo ở các khu vực quan tâm. Cảm biến đo biến dạng là thiết bị được ưu tiên sử dụng cho các phép đo này. Tùy thuộc vào khu vực quan tâm, phải đo độ biến dạng theo một hoặc nhiều hướng. Tối thiểu phải đo độ biến dạng tại các khu vực sau:
• kết cấu mang tải trọng chính (nắp dầm, gờ dầm) ở vỏ trên và dưới, tại bốn mặt cắt phân bố trên khu vực cần thử nghiệm. Hướng đo độ biến dạng thường là theo chiều dọc với trục dọc cánh, nhưng có thể theo hướng khác theo yêu cầu kiểm tra xác nhận mô hình;
• cạnh trước và cạnh sau ở vị trí chiều dài dây cung tối đa và giữa chiều dài cánh. Hướng đo độ biến dạng thường song song với các cạnh của cánh, nhưng có thể theo hướng khác theo yêu cầu kiểm tra xác nhận mô hình.
• các tấm liên kết tại khu vực gốc cánh và trên một phần tấm liên kết có độ biến dạng được tính toán cao. Phép đo biến dạng cắt là phép đo quan trọng và thường sử dụng các cảm biến đo biến dạng nhiều hướng (rosette).
• hai bulông kết nối chịu tải cao nhất, nếu các bulông này là bộ phận tích hợp trong khu vực thử nghiệm. Cả độ căng và độ uốn của bulông đều phải được đo.
Các khu vực quan tâm khác dùng cho các phép đo độ biến dạng thường là các vị trí cánh trong đó có sự chuyển tiếp về hình học và các chi tiết thiết kế quan trọng hoặc mức độ biến dạng được dự kiến sẽ cao.
Vị trí và hướng của từng phép đo biến dạng cần được lập tài liệu một cách chính xác. Các phép đo này phải được thực hiện cho ít nhất năm mức tải trọng khác nhau, phân bố trên toàn bộ phạm vi tải trọng sử dụng trong thử nghiệm.
10.2.4 Phép đo độ lệch
Độ lệch phải được đo tại nhiều điểm đủ để xác định độ lệch toàn bộ của cánh, nhưng không ít hơn ba vị trí. Độ lệch theo hướng vẫy cánh phải được đo ở đủ các vị trí và tại tải trọng đủ cao để xác minh các phép tính độ lệch đầu cánh theo thiết kế.
10.3 Thử nghiệm mỏi
Trong quá trình thử nghiệm mỏi, phải đo và ghi lại các thông số sau:
• đếm chu kỳ;
• các tín hiệu được sử dụng để kiểm soát thử nghiệm cánh (ví dụ: tải trọng đặt vào, độ lệch, gia tốc và biến dạng).
Chức năng của các cảm biến phải được kiểm tra xác nhận liên tục trong suốt quá trình thử nghiệm. Nếu một cảm biến hoặc thiết bị đo nào đó không đạt trong quá trình thử nghiệm mỏi, cần đánh giá mức độ quan trọng của nó đối với thử nghiệm. Các thiết bị quan trọng cho thử nghiệm mỏi phải được sửa chữa hoặc thay thế. Để đảm bảo rằng các giả định cho thử nghiệm mỏi vẫn có hiệu lực, độ cứng của cánh cần được kiểm tra và lập tài liệu vài lần (ví dụ: 5 lần) trong suốt quá trình thử nghiệm.
10.4 Các thử nghiệm đặc tính khác của cánh
10.4.1 Khối lượng cánh và trọng tâm
Cần xác định khối lượng cánh và vị trí của trọng tâm theo hướng dọc cánh. Các thành phần phụ, như bulông gốc, cũng phải được quy định.
10.4.2 Tần số riêng
Tối thiểu, tần số theo hướng bản cánh thứ nhất và thứ hai cùng với tần số theo hướng cạnh cạnh thứ nhất phải được đo. Lưu ý rằng khối lượng của thiết bị thử nghiệm có thể ảnh hưởng đến kết quả đo tần số riêng.
10.4.3 Các thử nghiệm tính chất cánh tùy chọn
Ngoài các thử nghiệm trên, việc thử nghiệm thêm các tính chất khác của cánh cũng có thể được thực hiện, bao gồm nhưng không giới hạn ở các thử nghiệm:
• độ giảm chấn,
• hình dạng dao động,
• độ rão,
• phân bố khối lượng,
• phân bố độ cứng.
11 Đánh giá kết quả thử nghiệm
11.1 Quy định chung
Trước khi khởi động chương trình thử nghiệm, cánh sẽ được kiểm tra bằng mắt cả bên trong lẫn bên ngoài sau mỗi thử nghiệm và tại các thời điểm định kỳ trong quá trình thử nghiệm mỏi.
Ngoài việc kiểm tra bằng mắt, có thể sử dụng phương pháp kiểm tra hồng ngoại hoặc siêu âm và ghi lại phát xạ âm thanh để bổ sung cho kết quả kiểm tra.
Tất cả kết quả kiểm tra cần được ghi lại trong số ghi chép, và các quan sát phải đi kèm với tài liệu thích hợp.
Các hệ thống điện quan trọng được gắn hoặc nhúng, ví dụ như dây dẫn chống sét và cảm biến liên quan đến kiểm soát, cần được kiểm tra và đánh giá chức năng định kỳ trong suốt chương trình thử nghiệm.
Trong Điều 11, các thay đổi thuộc tính không thể khôi phục của cánh sẽ được coi là hư hại. Có ba loại hư hại được xác định:
• hư hại dưới dạng hỏng hóc nghiêm trọng của cánh thử nghiệm;
• hư hại do biến dạng vĩnh viễn, mất độ cứng hoặc thay đổi các thuộc tính khác;
• hư hại bề mặt.
Các hư hại được quan sát sẽ được xem xét bởi nhà thiết kế trong quá trình đánh giá hỏng hóc (xem 11.5).
Để tiến hành các điều tra chi tiết sau khi thử nghiệm, cánh có thể được cắt thành các phần.
11.2 Hỏng hóc nghiêm trọng
Hỏng hóc nghiêm trọng đề cập đến sự phân rã hoặc sụp đổ của một thành phần hoặc toàn bộ cánh thử nghiệm, dẫn đến mất chức năng quan trọng và ảnh hưởng đến an toàn. Các dấu hiệu sau đây có thể được coi là hỏng hóc nghiêm trọng:
• gãy hoặc sụp đổ cấu trúc chính của cánh;
• hỏng hóc hoàn toàn của các phần cấu trúc như các đường liên kết nội bộ hoặc bên ngoài, lớp bề mặt, các tẩm liên kết chịu cắt, và bu lông gốc cánh;
• các bộ phận chính tách rời khỏi cấu trúc chính.
Hỏng hóc nghiêm trọng thường dễ dàng quan sát.
Các quan sát phải được ghi lại bằng mô tả chi tiết và qua hình ảnh hoặc video.
11.3 Biến dạng vĩnh viễn, mất độ cứng, hoặc thay đổi tính chất cánh
Khối lượng, trọng tâm và tần số riêng được đo trước thử nghiệm tĩnh (xem 7.2, 10.4.1 và 10.4.2) sẽ được so sánh với các giả định thiết kế. Các tính chất khác của cánh, như đã mô tả trong 10.2.3 và 10.2.4 (bao gồm phân bố biến dạng và độ lệch), sẽ được đánh giá sau thử nghiệm tĩnh và sau thử nghiệm tĩnh sau mỏi.
Việc đo tải trọng, độ lệch, biến dạng và/hoặc tần số riêng theo 10.2.2, 10.2.3, 10.2.4 và 10.4.2 sẽ được thực hiện nhằm phát hiện bất kỳ sự mất độ cứng và/hoặc biến dạng vĩnh viễn nào.
11.4 Hư hại bề mặt
Việc ghi lại thời gian và mức độ hư hại trên bề mặt cánh sẽ được sử dụng như một tham chiếu để theo dõi sự phát triển của hư hại trong suốt chương trình thử nghiệm. Các ví dụ sau đây có thể được xem như là hư hại bề mặt:
• nứt nhỏ trong các lớp hoặc đường liên kết;
• nứt lớp phủ gelcoat;
• tróc sơn;
• bọt khí trên bề mặt;
• oằn bảng nhỏ mà không gây biến dạng hoặc hư hại vĩnh viễn;
• tách lớp nhỏ.
Nếu việc sửa chữa bất kỳ hư hại bề mặt nào được đề cập trong hướng dẫn vận hành và bảo trì của loại cánh, thì các hư hại này có thể được sửa chữa trong quá trình thử nghiệm. Ví dụ, điều này có thể áp dụng cho nứt nhỏ trong các lớp hoặc đường liên kết, nứt lớp phủ gelcoat hoặc tróc sơn. Tất cả các sửa chữa phải được ghi lại theo quy định tại Điều 6.
11.5 Đánh giá hỏng hóc
Hư hại dưới dạng biến dạng vĩnh viễn hoặc mất độ cứng có thể dẫn đến hỏng hóc nghiêm trọng hoặc hỏng hóc chức năng đối với một cánh trong quá trình hoạt động.
Hư hại bề mặt có thể tiến triển thành hỏng hóc chức năng hoặc hỏng hóc nghiêm trọng theo thời gian, tùy thuộc vào các điều kiện môi trường mà cánh phải chịu trong suốt thời gian sử dụng.
Nhà thiết kế có trách nhiệm đánh giá các hư hại quan sát được trong các thử nghiệm tĩnh ban đầu và thử nghiệm mỏi, từ đó xác định tác động của những hư hại này đối với an toàn và khả năng hoạt động của cánh. Căn cứ cho việc đánh giá này không được đề cập trong tiêu chuẩn.
12 Báo cáo
12.1 Quy định chung
Các thử nghiệm phải được ghi lại trong một báo cáo cung cấp đủ thông tin để giúp người đọc hiểu rõ các thử nghiệm và kết quả thu được.
12.2 Nội dung báo cáo thử nghiệm
Báo cáo thử nghiệm phải bao gồm các hạng mục dưới đây, tùy thuộc vào loại thử nghiệm:
• mục lục;
• đơn vị thực hiện thử nghiệm;
• ngày và địa điểm tiến hành thử nghiệm;
• nhận dạng cánh;
• mô tả cánh;
• bố trí và quy trình thử nghiệm;
• mô tả tải trọng thử nghiệm;
• các thiết bị thử nghiệm được sử dụng (bao gồm hãng sản xuất, model, số seri, v.v.);
• tham chiếu đến hồ sơ hiệu chuẩn của các thiết bị đo;
• vị trí các cảm biến và điểm đo;
• mô tả chi tiết việc hiệu chuẩn cánh (tải trọng giả, biến dạng, v.v.);
• độ không đảm bảo ước lượng;
• mô tả việc kiểm tra, sửa chữa và quan sát;
• tóm tắt các thử nghiệm và kết quả thử nghiệm;
• những sai lệch so với kế hoạch thử nghiệm, quy trình phòng thí nghiệm hoặc tài liệu viện dẫn;
• danh sách các tài liệu tham khảo (kế hoạch thử nghiệm, quy trình phòng thí nghiệm, tài liệu viện dẫn).
12.3 Đánh giá thử nghiệm so với yêu cầu thiết kế
Đánh giá thử nghiệm so với yêu cầu thiết kế phải bao gồm ít nhất:
• đánh giá tải trọng thử nghiệm, bao gồm phân phối tải trọng thử nghiệm;
• đánh giá kết quả thử nghiệm so với cơ sở thiết kế ban đầu;
• đánh giá độ cứng của cánh.
Phụ lục A
(tham khảo)
Hướng dẫn về sự cần thiết của việc thử nghiệm lại: thử nghiệm tĩnh và thử nghiệm mỏi
Vì sự điều chỉnh trong sản xuất, cải tiến trong thiết kế và tối ưu hóa tổng thể, các cánh rôto sản xuất thường có sự khác biệt so với mẫu cánh ban đầu đã được thử nghiệm kết cấu đầy đủ.
Việc tiến hành thử nghiệm kết cấu đầy đủ mỗi khi có điều chỉnh và cải tiến là không thực tế, do đó, cần phải xác định rõ những thay đổi nào yêu cầu cần thử nghiệm kết cấu đầy đủ lại và những thay đổi nào không yêu cầu. Tuy các yêu cầu này nằm ngoài phạm vi của tiêu chuẩn và phụ thuộc vào phán xét của nhà sản xuất hoặc tổ chức chứng nhận, nhưng một số hướng dẫn dưới đây có thể được tham khảo.
Những quan sát từ thử nghiệm kết cấu đầy đủ trước đó cần được xem xét, vì chúng có thể cho thấy tính đúng đắn của giả thiết thiết kế và hỗ trợ việc đánh giá nhu cầu thử nghiệm lại. Tùy vào mức độ thay đổi, nhu cầu thử nghiệm kết cấu đầy đủ lại có thể chỉ yêu cầu thử nghiệm ở mức độ hạn chế, ví dụ như chỉ thử nghiệm tĩnh, thử nghiệm mỏi, hoặc thử nghiệm theo một hướng nhất định.
Thông thường, các điều chỉnh và cải tiến rõ ràng làm tăng độ bền của cánh có xu hướng giảm nhu cầu thử nghiệm kết cấu đầy đủ lại. Thêm vào đó, các thay đổi chỉ ảnh hưởng đến các khu vực có biên an toàn lớn sẽ ít có khả năng yêu cầu thử nghiệm lại. Tuy nhiên, các thay đổi ảnh hưởng đến tải trọng của tuabin gió và từ đó ảnh hưởng đến giả thiết thiết kế của cánh nên được xem xét cẩn thận.
Một số ví dụ về sự điều chỉnh và cải tiến trong sản xuất và thiết kế thường yêu cầu hoặc không yêu cầu thử nghiệm kết cấu đầy đủ lại được liệt kê trong Bảng A.1.
Bảng A.1 - Các ví dụ về tình huống thường yêu cầu hoặc không yêu cầu thử nghiệm lại
| Điều chỉnh và cải tiến thường yêu cầu thử nghiệm kết cấu đầy đủ lại | Điều chỉnh và cải tiến thường không yêu cầu thử nghiệm kết cấu đầy đủ lại |
| Thay đổi hình dạng biên dạng quanh các khu vực được thử nghiệm đáng kể (ví dụ, dây cung cánh lớn nhất) | Thay đổi hình dạng đầu cánh |
| Rút ngắn một số lớp sợi | Kéo dài một số lớp sợi |
| Chuyển sang loại nhựa mới hoặc loại sợi mới (ví dụ, từ polyester sang epoxy hoặc từ sợi thủy tinh sang sợi carbon) | Điều chỉnh nhỏ các vật liệu thô như một phần của quá trình phát triển liên tục bởi nhà cung cấp hoặc chuyển sang nhà cung cấp vật liệu giống nhau. Trong trường hợp sau, thử nghiệm trường hợp ở cấp mẫu thử nhỏ có thể cần thiết |
| Chuyển sang loại vật liệu lõi mới có môđun đàn hồi Young hoặc môđun cắt khác nhau trong kết cấu nhiều lớp. (Thường kết hợp với sự thay đổi về độ dày vật liệu lõi) | Điều chỉnh góc vát trong một số vật liệu lõi của kết cấu sandwich. |
| Thay đổi lớn trong trình tự xếp lớp của kết cấu sandwich. | Thay đổi nhỏ trong trình tự xếp lớp trong kết cấu nhiều lớp |
| Chuyển sang phương pháp sản xuất mới (ví dụ: từ phương pháp dán thủ công sang phương pháp ép phun) | Thay đổi nhỏ trong quá trình sản xuất (ví dụ, điều chỉnh trong chu kỳ đóng rắn) |
Ngoài các điều chỉnh và thay đổi về kết cấu cánh, có thể xảy ra trường hợp tải trọng thiết kế cho một cánh cụ thể thay đổi sau khi quá trình thử nghiệm kết cấu đầy đủ đã hoàn tất. Trong trường hợp này, việc thử nghiệm kết cấu đầy đủ lại chỉ cần thiết nếu tải trọng thiết kế tăng lên. Khi tải trọng thiết kế thay đổi, cần tiến hành đánh giá lại tải trọng thử nghiệm so với tải trọng thiết kế.
Phụ lục B
(tham khảo)
Các khu vực cần thử nghiệm
Các khu vực tiềm ẩn rủi ro sau đây cần được xem xét:
• phần bên trong của cánh kéo dài đến bản cánh từ nơi mà các đặc tính mặt cắt thay đổi một cách từ từ;
• các khu vực trên cánh mà kết quả tính toán cho thấy có hệ số dự trữ an toàn thấp nhất đối với hiện tượng oằn, độ bền hoặc tuổi thọ mỏi;
• nếu cánh có tích hợp thiết bị phanh khí động (hoặc hệ thống cánh khác), đặc biệt là những khu vực bị ảnh hưởng bởi thiết bị này.
Dù sử dụng phương pháp thử nghiệm nào, việc đảm bảo phân bố tải trọng đúng đắn ở phần đầu cánh luôn là một thách thức. Tuy nhiên, trong nhiều trường hợp, điều này không gây ra vấn đề nghiêm trọng vì biên an toàn của cánh thường tăng khi tiến gần đến đầu cánh.
Do khó khăn trong việc phân bố tải trọng đúng cách và vì thử nghiệm phần đầu cánh có thể không cần thiết do biên an toàn lớn, có thể xem xét cắt bỏ phần đầu cánh trước khi tiến hành thử nghiệm.
Việc cắt bỏ đầu cánh phải đảm bảo để lại phần đủ lớn của cánh để thực hiện các thử nghiệm ở những phần có biên độ an toàn thấp nhất. Nếu không, có thể cân nhắc tăng tải trọng thử nghiệm ở một khu vực khác của cánh, tương tự với khu vực có biên độ an toàn thấp nhất, theo phương pháp sau:
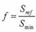
Tải trọng thử nghiệm cần được tăng lên bởi một hệ số /, được xác định bởi công thức sau:
![]()
trong đó:
ƒ là hệ số tăng tải trọng;
Sref là biên an toàn tại khu vực dùng để kiểm tra xác nhận độ bền của khu vực có biên an toàn thấp nhất;
Smin là biên an toàn tại khu vực có biên an toàn thấp nhất.
Công thức tính hệ số ƒ phải được sử dụng cho từng chế độ hỏng hóc khác nhau, và giá trị lớn nhất của ƒ phải được áp dụng để xác định tải trọng thử nghiệm.
Trong trường hợp các bulông dùng để kết nối cánh với hub hoặc ổ trục cánh tạo thành một bộ phận tích hợp của gốc cánh (ví dụ trong trường hợp kết nối bulông chữ T), thử nghiệm kết cấu đầy đủ cần bao gồm cả các bulông cánh đúng với lực siết trước dự kiến.
Phụ lục C
(tham khảo)
Ảnh hưởng của độ lệch lớn và hướng tải trọng
Trong quá trình thử nghiệm, các độ lệch lớn của cánh thường dẫn đến sự thay đổi hướng tải trọng với các mức độ khác nhau.
Khoảng cách hữu hạn giữa các điểm gắn của hệ thống cơ cấu chấp hành trong phòng thí nghiệm và giá đỡ cánh dạng yên ngựa làm cho các góc hướng tải trọng thay đổi khi tải trọng được đặt lên cánh. Việc kéo dài khoảng cách này thường giảm bớt sự thay đổi này. Sự thay đổi góc dẫn đến thay đổi hướng tải trọng so với trục cánh và ảnh hưởng đến cánh tay đòn trong tính toán mômen gốc cánh, từ đó tác động đến mômen tại bất kỳ vị trí nào giữa gốc cánh và điểm đặt tải trọng. Ảnh hưởng này được minh họa trên Hình C.1.

Hình C.1 - Ảnh hưởng của tải trọng đặt vào do biến dạng và góc nghiêng của cánh
Khi đường tâm quay của tải trọng đặt vào không cắt qua trục đàn hồi của cánh, một mômen bổ sung sẽ xuất hiện từ điểm đặt tải trọng (xem Hình C.1). Mômen này cũng có thể gây ra áp suất tiếp xúc cục bộ cao lên bề mặt cánh từ bộ gá đặt tải trọng.
Trong trường hợp có một tải trọng trục đơn với biến dạng vuông góc với tải trọng, chẳng hạn khi tải trọng được đặt theo hướng tiến-lùi và cánh bị biến dạng theo hướng vẫy cánh, hướng tải trọng cũng có thể thay đổi. Giá đỡ dạng yên ngựa không được đặt vuông góc với trục cánh ở tải trọng cao có thể bị trượt do lực tiếp tuyến (xem Ft trong Hình C.1). Tải trọng tác dụng của gối đỡ này có thể tạo ra lực bẩy cục bộ, gây quá tải không mong muốn cho kết cấu cánh.
Việc sử dụng nhiều điểm gắn tải trọng có thể giảm thiểu các điều kiện tải trọng bất lợi, đặc biệt là khi tải trọng ở mức cao hơn. cần đặc biệt chủ ý để đảm bảo rằng các giá đỡ dạng yên ngựa được bố trí cách xa các khu vực quan trọng cần thử nghiệm, tránh việc chúng được hỗ trợ hoặc bị ảnh hưởng bất lợi bởi bộ gá đặt tải trọng.
Phụ lục D
(tham khảo)
Phương pháp xác định tải trọng thử nghiệm
D.1 Tải trọng tĩnh mục tiêu
Để tạo ra một tập hợp tải trọng đại diện cho tình huống xấu nhất có thể xảy ra, tất cả các điểm tại thời điểm mô phỏng phải được xử lý sau đó. Hướng và độ lớn của các tải trọng thiết kế phải được lựa chọn sao cho bao trùm đường bao tải trọng toàn phần này. Sau đó, các tải trọng thiết kế cần được điều chỉnh với các hệ số để phản ánh độ không đảm bảo trong việc thiết lập tải trọng thử nghiệm, đơn giản hóa quá trình áp dụng tải trọng, sự khác biệt giữa các cánh, và ảnh hưởng của môi trường trong suốt quá trình thử nghiệm.
Trong ví dụ dưới đây, tải trọng chỉ giới hạn trong hai thành phần là tải trọng theo hướng vẫy cánh và tải trọng tiến-lùi. Để kiểm tra khả năng chịu tải của cánh trước tác động của tải trọng kết hợp (hướng tiến- lùi và hướng vẫy cánh), cần phải tính toán véctơ tải trọng kết hợp tại bất kỳ vị trí nào được xét đến. Trong nhiều trường hợp, véctơ tải trọng kết hợp ở khoảng giữa hai hướng tiến-lùi và vẫy cánh thường có giá trị lớn hơn so với từng hướng riêng lẻ. Ví dụ trên Hình D.1 minh họa một biểu đồ cực về mômen uốn của một cánh điển hình. Các đường bao được tạo ra sử dụng dữ liệu tải trọng trong 10 điều kiện khác nhau. Các đường thẳng thể hiện các vị trí riêng rẽ theo hướng dọc cánh. Véctơ tải trọng thu được được xem xét 360° xung quanh trục cánh với mỗi bước nhảy là 15°. Kết quả cho thấy rằng thử nghiệm chỉ theo hướng vẫy cánh và hướng tiến-lùi không thể bao trùm được tất cả các tải trọng thiết kế.

Hình D.1 - Biểu đồ cực của đường bao tải trọng từ một cánh điển hình
D.2 Tải trọng mỏi mục tiêu
Đối với mỗi phần của cánh cần thử nghiệm, cần đảm bảo rằng mức độ hư hại do tải trọng thử nghiệm gây ra phải tương đương hoặc vượt quá mức độ hư hại do tải trọng mục tiêu gây ra.
Để xác định mức độ hư hại do một hệ thống tải trọng gây ra, cần chuyển đổi tải trọng thành các chu kỳ biến dạng hoặc chu kỳ ứng suất. Từ các chu kỳ này, mức độ hư hại có thể được tính toán bằng cách áp dụng phương pháp đếm chu kỳ và một phương pháp tính toán mỏi phù hợp.
Để tránh việc xếp chồng của độ không chính xác, mức độ hư hại do tải trọng thử nghiệm và do tải trọng mục tiêu phải được đánh giá bằng các phương pháp giống hệt nhau.
Trong thực tế, không phải tất cả các phần của cánh đều có thể được thử nghiệm một cách đầy đủ. Một tiêu chí để xác định sự cần thiết của việc thử nghiệm một phần cụ thể của cánh là mức dự trữ chống hỏng do mỏi tại khu vực đó. Việc xác định này cần được thực hiện theo sự hướng dẫn của tổ chức chứng nhận.
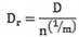
Mức dự trữ này thường được biểu thị bằng hệ số biến dạng mỏi (FSF), là hệ số nhân tải trọng để đạt được mức độ hư hại bằng với đơn vị. Do việc xác định hư hại là một quá trình phi tuyến, FSF cần phải được xác định thông qua quá trình lặp lại. Đối với những khu vực có FSF cao, mức dự trữ chống hỏng do mỏi lớn, do đó sự cần thiết phải thử nghiệm khu vực này không quá cấp bách. Ngược lại, nếu FSF gần bằng với đơn vị, khu vực này trở nên quan trọng và việc thử nghiệm là cần thiết.
Để thử nghiệm một khu vực cụ thể đạt hiệu quả, mức độ hư hại do tải trọng thử nghiệm gây ra phải bằng hoặc lớn hơn mức độ hư hại do tải trọng mục tiêu gây ra. Điều này có nghĩa là FSF cho tải trọng thử nghiệm phải bằng hoặc nhỏ hơn FSF cho tải trọng mục tiêu đối với mỏi.
Tỷ lệ giữa FSF cho tải trọng mục tiêu và FSF cho tải trọng thử nghiệm được gọi là hệ số biến dạng mỏi tương đối (rFSF):

trong đó
rFSF là hệ số biến dạng mỏi tương đối;
FSF target là hệ số biến dạng mỏi cho tải trọng mục tiêu;
FSFtest là hệ số biến dạng mỏi cho tải trọng thử nghiệm.
Khi rFSF lớn hơn 1 ở mọi vị trí, cánh được xem là đã được thử nghiệm đầy đủ.
Ví dụ về việc đánh giá tải trọng thử nghiệm cho cánh dài 62,5 m được trình bày qua hai phương pháp thử nghiệm. Các ví dụ chỉ tập trung vào các ứng suất theo hướng dọc của cánh mà không xem xét các chi tiết và ứng suất quan trọng theo các hướng khác. Đầu tiên, việc đánh giá tải trọng thử nghiệm được thực hiện bằng cách tiến hành thử nghiệm trục đơn theo chuỗi, trong đó cánh được tải trọng theo hướng phẳng thuần túy và hướng tiến-lùi thuần túy. Trên cánh dài 62,5 m, biến dạng được tính toán ở mỗi 2 m đường kính rôto và tại 26 vị trí phân bố xung quanh chu vi của dây cung cho từng vị trí theo chiều dài cánh. Dựa trên chuỗi thời gian biến dạng ở tất cả các vị trí này, cùng với bảng tần suất xuất hiện và phương pháp tính tuổi thọ mỏi, hư hại và các hệ số FSF được xác định. Hư hại ở mỗi loại vật liệu được tính toán và tại các vật liệu chồng chéo với các phương pháp mỏi khác nhau, hệ số FSF nhỏ nhất được áp dụng. Các tính toán được thực hiện trên toàn bộ tập hợp tải trọng theo các tài liệu hướng dẫn bằng cách sử dụng công cụ thiết kế tuabin gió tích hợp.
Hư hại của cánh sau 20 năm hoạt động đã được xác định. Các hệ số FSF được trình bày dưới dạng biểu đồ mức độ trong Hình D.2. Trong ví dụ này, các khu vực có hệ số FSF thấp hơn 1,4 được coi là quan trọng mặc dù đây là một sự lựa chọn tùy ý.

Hình D.2 - FSF Thiết kế
Đường màu đen trên Hình D.2 nối các điểm mà tại đó FSF bằng 1,4. Các khu vực của cánh tại đó FSF nhỏ hơn 1,4 cần được thử nghiệm. Để làm rõ, các khu vực này được đánh dấu bằng màu đó trên Hình D.3.

Hình D.3 - Khu vực có FSF thiết kế nhỏ hơn 1,4 (khu vực quan trọng)
Cần lưu ý các khu vực mà việc tính toán có thể làm giảm đánh giá ứng suất, ví dụ như các khu vực có sự tập trung ứng suất cao trong kết nối gốc bằng bu lông, các mối ghép liên kết của cạnh trước và cạnh sau, cũng như khu vực giữa gốc và dây cung lớn nhất.
D.3 Thử nghiệm trục đơn theo chuỗi, tại một vị trí
Tại một vị trí cụ thể, hai tải trọng riêng biệt được áp dụng theo chuỗi trong các hướng chính, với các tải trọng này là định kỳ. Tải trọng được áp dụng ở khoảng cách R = 40,0 m. Tải trọng do gia tốc của khối lượng cánh được bỏ qua. Số chu kỳ thử nghiệm cho mỗi tải trọng được quy định là 1 triệu chu kỳ. Hình D.4 minh họa tỷ lệ giữa FSF thử nghiệm và FSF thiết kế. Trong đồ thị, các khu vực quan trọng từ Hình D.3 cũng được đánh dấu bằng đường viền màu đen. Đồ thị còn cho thấy phần nào của khu vực quan trọng đã được thử nghiệm, trong khi tại khu vực quan trọng, cánh đã bị quá tải hơn 30 % tại các điểm cụ thể. Ví dụ này chỉ xét một điểm áp dụng tải trọng duy nhất và không tính đến các hiệu ứng quán tính. Có thể cải thiện điều này bằng cách phân phối tải trọng một cách thực tế hơn.

Hình D.4 - rFSF và các khu vực quan trọng, thử nghiệm trục đơn theo chuỗi
D.4 Thử nghiệm đa trục tại một vị trí
Ví dụ thứ hai liên quan đến một thử nghiệm hai trục, trong đó tại một vị trí cụ thể, cả tải trọng phẳng và tải trọng tiến-lùi được áp dụng với sự hiệu chỉnh pha khoảng 90°. Kết quả là điểm áp dụng tải trọng sẽ mô tả một đường đi hình ellipsoid trong không gian. Các đường viền của rFSF được hiển thị cùng với khu vực quan trọng như đã đề cập trong Hình D.5.

Hình D.5 - rFSF và khu vực quan trọng, thử nghiệm đa trục
Có thể thấy rằng trong loại thử nghiệm này, một phần lớn hơn của khu vực quan trọng được kiểm tra, trong khi mức quá tải ở khu vực này chỉ giới hạn ở 19 %. Trong ví dụ này, với giá trị FSF được chọn tùy ý là 1,4 để xác định khu vực quan trọng, có thể nhận thấy rằng cả hai phương pháp thử nghiệm đều không hoàn toàn kiểm tra các phần của khu vực quan trọng. Tuy nhiên, như với thử nghiệm tĩnh, thử nghiệm mỏi cho thấy rằng việc áp dụng tải trọng kết hợp (đa trục) giúp kiểm tra một phần lớn hơn đáng kể của cánh một cách hiệu quả hơn.
Phụ lục E
(tham khảo)
Sự khác biệt giữa điều kiện tải trọng thiết kế và tải trọng thử nghiệm
E.1 Quy định chung
Trong điều kiện lý tưởng, thử nghiệm cánh gió nên tái hiện chính xác các điều kiện thiết kế của nó. Tuy nhiên, thực tế cho thấy có nhiều hạn chế đối với việc thực hiện các thử nghiệm. Do đó, cần phải thực hiện một số sửa đổi và thỏa hiệp trong các thử nghiệm tĩnh và mỏi trên cánh. Dưới đây là những điểm chính về sự khác biệt giữa điều kiện tải trọng thiết kế và tải trọng thử nghiệm.
E.2 Đặt tải trọng
Trong quá trình thử nghiệm, tải trọng thường được tập trung ở các đoạn cánh theo chiều dài. Việc tập trung tải trọng và khả năng gia cố của mặt cắt ngang có thể ngăn cản các biến dạng dự kiến của mặt cắt ngang, từ đó làm thay đổi ứng suất và/hoặc độ bền của cánh tại chỗ. Vì lý do này, các điểm đặt tải trọng nên được đặt cách xa các khu vực đã được quy định để thử nghiệm (xem 9.2 và Phụ lục B).
E.3 Mômen uốn và lực cắt
Trong thử nghiệm tĩnh cánh, tải trọng thường được áp dụng tại một số khu vực cố định - trong khi tải trọng thử nghiệm lý tưởng được phân phối đều. Điều này dẫn đến sự phân bổ khác nhau của mômen của các khu vực (xem Hình E.1) và lực cắt. Phân bố mômen các khu vực có thể được cải thiện bằng cách tăng số lượng vị trí áp dụng tải trọng; tuy nhiên, điều này có nhược điểm là làm tăng diện tích của cánh bị xáo trộn. Mục tiêu là sao cho tải trọng mục tiêu được tái tạo càng chính xác càng tốt mà không làm giảm tính hợp lệ của thử nghiệm.

Hình E.1 - Sự khác biệt về phân bố mômen giữa tải trọng mục tiêu và tải trọng thử nghiệm thực tế
E.4 Kết hợp theo hướng vẫy cánh và tiến-lùi
Trong các thử nghiệm tĩnh và mỏi, kết quả sẽ đại diện nhất khi kết hợp tải trọng theo hướng vẫy cánh và tiến-lùi. Nếu chỉ áp dụng mômen uốn theo hướng vẫy cánh hoặc mômen tiến-lùi đơn lẻ, ứng suất và biến dạng cũng như tỷ lệ hư hại ở một số khu vực có thể thấp hơn so với giá trị mục tiêu (xem Phụ lục D).
E.5 Tải trọng hướng tâm
Tải trọng hướng tâm trên cánh tuabin gió hoạt động phát sinh từ các trọng lực và lực ly tâm. Thông thường, ứng suất do lực hướng tâm tạo ra là thấp.
E.6 Tải trọng xoắn
Cần xem xét độ lớn của tải trọng thiết kế xoắn trong quá trình thử nghiệm. Nếu tải trọng xoắn có vai trò quan trọng trong thiết kế kết cấu của cánh, nó nên được đưa vào thử nghiệm (xem 10.1.6.3).
Áp dụng tải trọng đa trục sẽ phản ánh tình huống thực tế hơn so với tải trọng đơn trục. Đối với cánh thẳng, tải trọng theo chiều phẳng và sự dịch chuyển theo chiều phẳng đồng thời tạo ra tải trọng xoắn tăng dần về phía gốc. Điều này phù hợp với cả tình huống vận hành thực tế và tải trọng thử nghiệm đa trục.
E.7 Điều kiện môi trường
Điều kiện môi trường và thời gian trong thử nghiệm khác với điều kiện thiết kế. Những điều kiện này có thể bao gồm:
• độ ẩm;
• tác động của nhiệt độ;
• bức xạ UV;
• lão hóa (tương tác giữa mỏi và thời gian);
• độ mặn;
• ô nhiễm hóa học.
Các ảnh hưởng liên quan cần được xem xét khi đánh giá bằng cách sử dụng công thức độ bền và mỏi phù hợp cho cả điều kiện thiết kế và thử nghiệm. Tuy nhiên, tính hợp lệ của các công thức thiết kế cho các điều kiện khác nhau vẫn chưa được kiểm tra.
E.8 Phổ của tải trọng mỏi và trình tự
Thử nghiệm mỏi thường được thực hiện nhanh hơn so với mỏi trong thực tế bằng cách áp dụng tải trọng thử nghiệm, điều này giúp cánh đạt mức độ hư hại mỏi đủ trong khoảng thời gian thử nghiệm hợp lý (xem 9.4 và Phụ lục D).
Phụ lục F
(tham khảo)
Xác định số lượng chu kỳ tải trọng trong các thử nghiệm mỏi
F.1 Quy định chung
Phụ lục này đưa ra số lượng chu kỳ tải trọng được áp dụng trong các thử nghiệm mỏi kết cấu đầy đủ của cánh.
Giả định rằng hệ số tải trọng thử nghiệm cần bao gồm các sai số trong phương pháp ước lượng mỏi γef là 1,05, điều này phù hợp cho các thử nghiệm mỏi với tổng số 1 triệu chu kỳ tải trọng.
Dựa trên giả định này, hệ số γef là 1,035 nên được sử dụng cho các thử nghiệm mỏi kết cấu đầy đủ với kết cấu chịu tải trọng với chu kỳ tải trọng ví dụ là 2,5 triệu chu kỳ. Các kết quả này cùng với các kết quả khác được tóm tắt trong Bảng F.1 dưới đây.
Bảng F.1 - Giá trị được khuyến nghị cho γef cho các số chu kỳ tải trọng khác nhau
| Số chu kỳ tải trọng | γef |
| 5 x 105 | 1,065 |
| 1 x 106 | 1,050 |
| 2,5 x 106 | 1,035 |
| 5 x 106 | 1,025 |
| 1 x 107 | 1,015 |
F.2 Cơ sở
Số lượng chu kỳ tải trọng mà cánh rôto phải chịu trong thử nghiệm mỏi kết cấu đầy đủ là hệ số quyết định thời gian của thử nghiệm. Vì vậy, luôn có nhu cầu giảm số lượng chu kỳ tải trọng, miễn là thử nghiệm vẫn đạt được độ tin cậy và mục đích yêu cầu.
Dựa trên các hệ số lịch sử đã được sử dụng để tính toán hệ số tải trọng thử nghiệm, các phép tính được thực hiện nhằm đánh giá ảnh hưởng của số lượng chu kỳ tải trọng đối với hệ số tải trọng thử nghiệm trong các thử nghiệm mỏi kết cấu đầy đủ.
F.3 Phương pháp tiếp cận được sử dụng
Trước hết, xem xét biểu đồ Goodman trong Hình F.1, được đơn giản hóa thành biểu đồ một mặt để dễ hiểu hơn.

Hình F.1 - Biểu đồ Goodman đơn giản hóa
Đường “đặc trưng” được dựa trên các giá trị độ bền đặc trưng, giao điểm của nó với trục hoành tương ứng với độ bền tĩnh của cấu trúc S, và giao điểm với trục tung tương ứng với độ bền động cho một chu kỳ tải trọng đơn D.
Đường “giảm” áp dụng cho một số chu kỳ nhất định n. Đường này cũng giao trục hoành tại điểm s, nhưng giao trục tung tại điểm Dr, được tính theo công thức (F.1).
|
| (F.1) |
| trong đó |
|
| Dr | là độ bền động giảm hợp lệ cho một chu kỳ tải; |
| D | là độ bền động hợp lệ cho một chu kỳ tải; |
| n | là số chu kỳ tải thực tế; |
| m | là hệ số hỏng hóc mỏi của vật liệu |
Hỏng hóc (Damage) cho một độ rộng tải nhất định W và giá trị tải trung bình M được cho bởi số chu kỳ tải thực tế n chia cho số chu kỳ tải cho phép N, mà bằng độ rộng tải thực tế chia cho độ rộng tải cho phép với mũ là m, công thức (F.2).
|
| (F.2) |
| trong đó |
|
| N | là số chu kỳ tải cho phép; |
| W | là độ rộng tải; |
| S | là độ bền tĩnh của kết cấu. |
| M | is the load mean value. |
Sau khi thay Công thức (F.1) vào Công thức (F.2) và sắp xếp lại, ta có Công thức (F.3).
|
| (F.3) |
Thử nghiệm mỏi (TestDamage) được tiếp tục cho đến khi hỏng hóc thử nghiệm, được cho bởi Công thức (F.4), bằng với hỏng hóc mục tiêu (TargetDamage), được cho bởi Công thức (F.5) mà chỉ số phụ “t” đề cập đến thử nghiệm và chỉ số phụ “0” đề cập đến các tải tính toán và do đó hỏng hóc mục tiêu.
|
| (F.4) |
|
| (F.5) |
trong đó
t là chỉ số phụ cho các giá trị thử nghiệm;
0 là chỉ số phụ cho các giá trị tính toán;
γtest là hệ số tải trọng thử nghiệm.
Khi thiết lập hỏng hóc thử nghiệm bằng hỏng hóc mục tiêu, Công thức (F.6) sẽ được thu được sau khi điều chỉnh.
|
| (F.6) |
Để kiểm tra độ nhạy của Wt đối với hệ số hỏng hóc mỏi m, đạo hàm của Wt theo m được tính theo Công thức (F.7).
|
| (F.7) |
Ảnh hưởng của việc thay đổi từ số chu kỳ tải nt1 trong thử nghiệm mỏi sang số chu kỳ tải khác nt2 có thể được mô tả bằng R, được xác định theo Công thức (F.8).
|
| (F.8) |
trong đó
R là ảnh hưởng tương đối khi thay đổi từ số chu kỳ tải (nt1) sang số chu kỳ tải (nt2);
nt1 là số chu kỳ tải tham chiếu ban đầu;
nt2 là số chu kỳ tải sau cùng.
Giả sử tổng số chu kỳ tải trong ma trận Markov (n0) là 50 triệu và hệ số hỏng hóc mỏi m là 9. Nếu nt1 là 2,5 triệu và nt2 là 1 triệu, Công thức (F.8) cho kết quả R = 0,7. Độ nhạy của R đối với các thay đổi của n0 và m là rất nhỏ.
Hệ số tải trọng thử nghiệm dùng trong các thử nghiệm mỏi là tích của 3 hệ số, trong đó γef bằng 1,05 nhằm tính đến các sai số có thể xảy ra trong công thức mỏi, như sự khác biệt của các hệ số hỏng hóc mỏi so với các giá trị giả định.
Nếu γef là 1,05 là phù hợp cho các thử nghiệm với 1 triệu chu kỳ, mức tăng 5 % trong tải cần được giảm xuống còn 3,5 % khi mở rộng thử nghiệm đến 2,5 triệu chu kỳ, do 0,05 x 0,7 = 0,035. Kết quả cho các giá trị khác nhau của số chu kỳ tải trong thử nghiệm mỏi được trình bày trong Bảng F.2.
Bảng F.2 - Các giá trị γef được khuyến nghị mở rộng cho các số chu kỳ tải khác nhau
| nt1 | R | γef |
| 5 x 105 | 1,3 | 1,064 |
| 1 x 106 | 1 | 1,050 |
| 2,5 x 106 | 0,7 | 1,035 |
| 5 x 106 | 0,5 | 1,025 |
| 1 x 107 | 0,32 | 1,016 |
| Các giá trị được tính toán dựa trên Công thức (F.8) sử dụng n0 = 50 triệu, nt2 = 1 triệu và m = 9. | ||
Các kết quả được nêu trong Bảng F.2 được minh họa bằng đồ họa trên Hình F.2.

Hình F.2 - Hệ số tải trọng thử nghiệm đối với số chu kỳ tải trọng khác nhau trong thử nghiệm
Thư mục tài liệu tham khảo
[1] TCVN 10687-22 (IEC 61400-22), Tuabin gió - Phần 22: Hướng dẫn thử nghiệm và chứng nhận sự phù hợp
[1] Hệ thống tiêu chuẩn quốc gia đã có TCVN 10687-1:2025 (IEC 61400-1:2019).
[2] Hệ thống tiêu chuẩn quốc gia đã có TCVN ISO IEC 17025:2017 (ISO/IEC 17025:2017)
[3] Trong một số quy tắc, điều này được tính đến bằng cách áp dụng các hệ số từng phần khác nhau trên tải trọng.
[4] Lỗi cánh hoặc thiết bị có thể gây ra quá tải cho một cảm biến, ví dụ như cảm biến tải. Do những tác động động lực mạnh mẽ có thể xảy ra, tình trạng quá tải này có thể diễn ra trong một khoảng thời gian rất ngắn, khiến hệ thống đo có thể không (hoàn toàn) phát hiện được.
[5] Dung sai của cảm biến đo biến dạng thường nhỏ hơn 1 %. Tuy nhiên, các cảm biến này thường được làm từ vật liệu cứng hơn nhiều so với các lớp phủ và chất kết dính được sử dụng trong thiết kế cánh tuabin gió. Điều này cho thấy rằng thiết kế của cảm biến đo biến dạng có thể ảnh hưởng đến kết quả đo khi chúng được đặt trên bề mặt của các lớp phủ và chất kết dính dày. Kết quả đo được trên bề mặt các lớp phủ và chất kết dính dày có thể không phản ánh chính xác ứng suất trong các lớp bên dưới. Việc sử dụng các cảm biến đo biến dạng lớn hơn hoặc loại bỏ lớp phủ bằng cách mài có thể làm giảm sự chênh lệch giữa giá trị đọc của cảm biến đo biến dạng và biến dạng thực tế trong các lớp.
Bạn chưa Đăng nhập thành viên.
Đây là tiện ích dành cho tài khoản thành viên. Vui lòng Đăng nhập để xem chi tiết. Nếu chưa có tài khoản, vui lòng Đăng ký tại đây!




