- Tổng quan
- Nội dung
- Tiêu chuẩn liên quan
- Lược đồ
- Tải về
Tiêu chuẩn quốc gia TCVN 10687-14:2025 IEC/TS 61400-14:2005 Hệ thống phát điện gió - Phần 14: Công bố mức công suất âm thanh biểu kiến và giá trị tính âm sắc
| Số hiệu: | TCVN 10687-14:2025 | Loại văn bản: | Tiêu chuẩn Việt Nam |
| Cơ quan ban hành: | Bộ Khoa học và Công nghệ | Lĩnh vực: | Công nghiệp , Điện lực |
| Trích yếu: | IEC/TS 61400-14:2005 Hệ thống phát điện gió - Phần 14: Công bố mức công suất âm thanh biểu kiến và giá trị tính âm sắc | ||
|
Ngày ban hành:
Ngày ban hành là ngày, tháng, năm văn bản được thông qua hoặc ký ban hành.
|
01/10/2025 |
Hiệu lực:
|
Đã biết
|
| Người ký: | Đang cập nhật |
Tình trạng hiệu lực:
Cho biết trạng thái hiệu lực của văn bản đang tra cứu: Chưa áp dụng, Còn hiệu lực, Hết hiệu lực, Hết hiệu lực 1 phần; Đã sửa đổi, Đính chính hay Không còn phù hợp,...
|
Đã biết
|
TÓM TẮT TIÊU CHUẨN VIỆT NAM TCVN 10687-14:2025
Tiêu chuẩn quốc gia TCVN 10687-14:2025: Quy định về công suất âm thanh của tuabin gió
Tiêu chuẩn quốc gia TCVN 10687-14:2025 được ban hành theo tương đương với IEC/TS 61400-14:2005, có hiệu lực từ ngày ban hành và được xây dựng bởi Ban kỹ thuật tiêu chuẩn quốc gia TCVN/TC E13 Năng lượng tái tạo. Tiêu chuẩn này chỉ đạo cách công bố mức công suất âm thanh biểu kiến và giá trị tính âm sắc của các lô tuabin gió, làm rõ quy trình đo lường được mô tả tại IEC 61400-11.
Phạm vi áp dụng: TCVN 10687-14:2025 áp dụng cho tuabin gió, giữa các sản phẩm cùng loại và lô sản xuất đều cần có mức công suất âm thanh công bố giống nhau. Tiêu chuẩn này cũng đưa ra các hướng dẫn cụ thể về quyết định các thông số kỹ thuật cần thiết cho việc đo lường.
Công bố mức công suất âm thanh: Mức công suất âm thanh biểu kiến phải được công bố theo quy định của IEC 61400-11. Để tính toán, cần kết hợp n kết quả đo từ từng tuabin gió riêng biệt trong cùng một lô sản xuất. Bên cạnh đó, công bố cần bao gồm giá trị trung bình, độ lệch chuẩn của các phép đo, giúp đánh giá tính chính xác và đáng tin cậy của kết quả.
Công bố tính âm sắc: Việc công bố tính âm sắc của từng tuabin trong lô sản xuất là cần thiết. Các chỉ số âm sắc và tần số cần được ghi nhận để giúp xác định mức độ âm sắc của từng mẫu thiết bị.
Thông tin cần báo cáo: Báo cáo công bố phải bao gồm thông tin chi tiết về tuabin gió như tên nhà sản xuất, số model, công suất danh định, độ cao của hub, chiều dài rotor, và chứng nhận của nhà sản xuất. Kết quả đo lường cũng cần phải được đưa vào báo cáo bao gồm các thông số về mức công suất âm thanh và giá trị tính âm sắc.
TCVN 10687-14:2025 không chỉ cung cấp khung pháp lý cho việc đo lường và công bố thông tin của tuabin gió mà còn nhằm tăng tính minh bạch, đảm bảo chất lượng sản phẩm trong ngành công nghiệp năng lượng tái tạo. Tiêu chuẩn này hiện đã thay thế tiêu chuẩn cũ và giúp các doanh nghiệp, nhà sản xuất nâng cao trách nhiệm trong việc cung cấp thông tin về khả năng hoạt động của thiết bị của họ.
Tải tiêu chuẩn Việt Nam TCVN 10687-14:2025
TIÊU CHUẨN QUỐC GIA
TCVN 10687-14:2025
IEC/TS 61400-14:2005
HỆ THỐNG PHÁT ĐIỆN GIÓ - PHẦN 14: CÔNG BỐ MỨC CÔNG SUẤT ÂM THANH BIỂU KIẾN VÀ GIÁ TRỊ TÍNH ÂM SẮC
Wind turbines - Part 14: Declaration of apparent sound power level and tonality values
Lời nói đầu
TCVN 10687-14:2025 hoàn toàn tương đương với IEC/TS 61400-14:2005.
TCVN 10687-14:2025 do Ban kỹ thuật tiêu chuẩn quốc gia TCVN/TC E13 Năng lượng tái tạo biên soạn, Viện Tiêu chuẩn Chất lượng Việt Nam đề nghị, Ủy ban Tiêu chuẩn Đo lường Chất lượng Quốc gia thẩm định, Bộ Khoa học và Công nghệ công bố.
Bộ TCVN 10687 (IEC 61400), Hệ thống phát điện gió gồm các phần sau:
- TCVN 10687-1:2025 (IEC 61400-1:2019), Phần 1: Yêu cầu thiết kế
- TCVN 10687-3-1:2025 (IEC 61400-3-1:2019), Phần 3-1: Yêu cầu thiết kế đối với tuabin gió cố định ngoài khơi
- TCVN 10687-3-2:2025 (IEC 61400-3-2:2025), Phần 3-2: Yêu cầu thiết kế đối với tuabin gió nổi ngoài khơi
- TCVN 10687-4:2025 (IEC 61400-4:2025), Phần 4: Yêu cầu thiết kế hộp số tuabin gió
- TCVN 10687-5:2025 (IEC 61400-5:2020), Phần 5: Cánh tuabin gió
- TCVN 10687-6:2025 (IEC 61400-6:2020), Phần 6: Yêu cầu thiết kế tháp và móng
- TCVN 10687-11:2025 (IEC 61400-11:2012+AMD1:2018), Phần 11: Yêu cầu thiết kế tháp và móng
- TCVN 10687-12:2025 (IEC 61400-12:2022), Phần 12: Đo đặc tính công suất của tuabin gió phát điện - Tổng quan
- TCVN 10687-12-1:2023 (IEC 61400-12-1:2022), Phần 12-1: Đo hiệu suất năng lượng của tuabin gió phát điện
- TCVN 10687-12-2:2023 (IEC 61400-12-2:2022), Phần 12-2: Hiệu suất năng lượng của tuabin gió phát điện dựa trên phép đo gió trên vỏ tuabin
- TCVN 10687-12-3:2025 (IEC 61400-12-3:2022), Phần 12-3: Đặc tính công suất - Hiệu chuẩn theo vị trí dựa trên phép đo
- TCVN 10687-12-4:2023 (IEC TR 61400-12-4:2020), Phần 12-4: Hiệu chuẩn vị trí bằng số đối với thử nghiệm hiệu suất năng lượng của tuabin gió
- TCVN 10687-12-5:2025 (IEC 61400-12-5:2022), Phần 12-5: Đặc tính công suất - Đánh giá chướng ngại vật và địa hình
- TCVN 10687-12-6:2025 (IEC 61400-12-6:2022), Phần 12-6: Hàm truyền vỏ tuabin dựa trên phép đo của tuabin gió phát điện
- TCVN 10687-13:2025 (IEC 61400-13:2015+AMD1:2021), Phần 13: Đo tải cơ học
- TCVN 10687-14:2025 (IEC/TS 61400-14:2005), Phần 14: Công bố mức công suất âm biểu kiến và giá trị tính âm sắc
- TCVN 10687-21:2018 (IEC 61400-21:2008), Phần 21: Đo và đánh giá đặc tính chất lượng điện năng của tuabin gió nối lưới
- TCVN 10687-22:2018, Phần 22: Hướng dẫn thử nghiệm và chứng nhận sự phù hợp
- TCVN 10687-23:2025 (IEC 61400-23:2014), Phần 23: Thử nghiệm kết cấu đầy đủ của cánh rôto
- TCVN 10687-24:2025 (IEC 61400-24:2024), Phần 24: Bảo vệ chống sét
- TCVN 10687-25-1:2025 (IEC 61400-25-1:2017), Phần 25-1: Truyền thông để giám sát và điều khiển các nhà máy điện gió - Mô tả tổng thể các nguyên lý và mô hình
- TCVN 10687-25-2:2025 (IEC 61400-25-2:2015), Phần 25-2: Truyền thông để giám sát và điều khiển nhà máy điện gió - Mô hình thông tin
- TCVN 10687-25-3:2025 (IEC 61400-25-3:2015), Phần 25-3: Truyền thông để giám sát và điều khiển nhà máy điện gió - Mô hình dữ liệu
- TCVN 10687-25-4:2025 (IEC 61400-25-4:2016), Phần 25-4: Truyền thông để giám sát và điều khiển nhà máy điện gió - Ánh xạ hồ sơ truyền thông
- TCVN 10687-25-5:2025 (IEC 61400-25-5:2017), Phần 25-5: Truyền thông để giám sát và điều khiển nhà máy điện gió - Thử nghiệm sự phù hợp
- TCVN 10687-25-6:2025 (IEC 61400-25-6:2016), Phần 25-6: Truyền thông để giám sát và điều khiển nhà máy điện gió - Các lớp nút logic và các lớp dữ liệu để giám sát tình trạng
- TCVN 10687-25-71:2025 (IEC/TS 61400-25-71:2019), Phần 25-71: Truyền thông để giám sát và điều khiển nhà máy điện gió - Ngôn ngữ mô tả cấu hình
- TCVN 10687-26-1:2025 (IEC 61400-26-1:2019), Phần 26-1: Tính khả dụng của hệ thống phát điện gió
- TCVN 10687-27-1:2025 (IEC 61400-27-1:2020), Phần 27-1: Mô hình mô phỏng điện - Mô hình chung
- TCVN 10687-27-2:2025 (IEC 61400-27-2:2020), Phần 27-2: Mô hình mô phỏng điện - Xác nhận mô hình
- TCVN 10687-50:2025 (IEC 61400-50:2022), Phần 50: Đo gió - Tổng quan
- TCVN 10687-50-1:2025 (IEC 61400-50-1:2022), Phần 50-1: Đo gió - Ứng dụng các thiết bị đo lắp trên cột khí tượng, vỏ tuabin và mũ hub
- TCVN 10687-50-2:2025 (IEC 61400-50-2:2022), Phần 50-2: Đo gió - Ứng dụng công nghệ cảm biến từ xa lắp trên mặt đất
- TCVN 10687-50-3:2025 (IEC 61400-50-3:2022), Phần 50-3: Sử dụng lidar lắp trên vỏ tuabin để đo gió
HỆ THỐNG PHÁT ĐIỆN GIÓ - PHẦN 14: CÔNG BỐ MỨC CÔNG SUẤT ÂM THANH BIỂU KIẾN VÀ GIÁ TRỊ TÍNH ÂM SẮC
Wind turbines - Part 14: Declaration of apparent sound power level and tonality values
1 Phạm vi áp dụng
Tiêu chuẩn này cung cấp hướng dẫn về cách công bố mức công suất âm thanh biểu kiến và tính âm sắc của các lô tuabin gió. Các quy trình đo lường liên quan đến mức công suất âm thanh biểu kiến và tính âm sắc được mô tả trong IEC 61400-11.
2 Tài liệu viện dẫn
Các tài liệu viện dẫn sau đây rất cần thiết cho việc áp dụng tiêu chuẩn này. Đối với các tài liệu viện dẫn ghi năm công bố thì áp dụng phiên bản được nêu. Đối với các tài liệu viện dẫn không ghi năm công bố thì áp dụng phiên bản mới nhất, bao gồm cả các sửa đổi, bổ sung (nếu có).
IEC 61400-11:20021), Wind turbines - Part 11: Acoustic noise measurement techniques (Tuabin gió - Phần 11: Kỹ thuật đo tiếng ồn âm thanh)
ISO 4871:1996, Acoustics - Declaration and verification of noise emission values of machinery and equipment (Âm học - Phương pháp thống kê để xác định và kiểm tra xác nhận các giá trị phát thải tiếng ồn của máy móc và thiết bị)
ISO 7574 (tất cả các phần), Acoustics - Statistical methods for determining and verifying stated noise emission values of machinery and equipment (Âm học - Phương pháp thống kê để xác định và kiểm tra xác nhận các giá trị phát thải tiếng ồn của máy móc và thiết bị)
3 Thuật ngữ và định nghĩa
Tiêu chuẩn này áp dụng các thuật ngữ và định nghĩa dưới đây.
3.1
Độ lệch chuẩn của khả năng tái lập (standard deviation of reproducibility)
σR
Độ lệch chuẩn của các giá trị phát thải tiếng ồn, đạt được trong các điều kiện tái lập, tức là việc áp dụng lặp lại cùng một phương pháp đo phát thải tiếng ồn trên cùng một tuabin gió vào những thời điểm khác nhau và trong các điều kiện khác nhau (hướng gió khác nhau, người vận hành khác nhau, thiết bị khác nhau).
3.2
Độ lệch chuẩn của sản xuất (standard deviation of production)
σP
Độ lệch chuẩn của các giá trị phát thải tiếng ồn thu được ở các tuabin khác nhau trong một lô, sử dụng phương pháp đo phát thải tiếng ồn như nhau trong các điều kiện lặp lại (với cùng người vận hành và thiết bị).
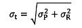
3.3
Tổng độ lệch chuẩn (total standard deviation)
σt
Tổng độ lệch chuẩn σt được định nghĩa bằng công thức sau:
|
| (1) |
3.4
Lô sản phẩm (batch)
Các tuabin gió được chế tạo như nhau và cùng kiểu mẫu với các thông số kỹ thuật giống hệt nhau được tạo thành một lô. Lô được đặc trưng bởi cùng một mức công suất âm thanh biểu kiến và tính âm sắc được công bố. Phạm vi của các thành phần trong công bố được quy định trong tài liệu công bố của nhà sản xuất.
Chú thích 1: Do những thay đổi nhỏ trong thiết kế tuabin có thể ảnh hưởng đến mức công suất âm thanh biểu kiến và tính âm sắc, thông tin về ảnh hưởng của các thông số tuabin đến các đặc tính âm học đã đo được trình bày trong Phụ lục B.
4 Quy định chung
ISO 4871 và ISO 7574 mô tả các quy trình chung cho việc công bố và kiểm tra xác nhận tiếng ồn âm thanh từ máy móc và thiết bị. Đối với các lô sản phẩm, quy trình công bố và kiểm tra xác nhận dựa trên giả định rằng độ lệch chuẩn của quá trình sản xuất của loại đó đã được xác định thông qua các phép đo trước đó.
Quy trình công bố trong tiêu chuẩn này khác với quy trình trong các tiêu chuẩn nêu trên và cho phép thực hiện công bố dựa trên ít nhất ba phép đo.
Các quy trình công bố có thể áp dụng để công bố giá trị ở bất kỳ tốc độ gió nào mà kết quả đo đã có sẵn.
5 Công bố
5.1 Công bố mức công suất âm thanh biểu kiến cho tuabin gió
Mức công suất âm thanh biểu kiến theo IEC 61400-11 phải được công bố.
Mức công suất âm thanh biểu kiến này có thể được xác định dựa trên kết quả của n phép đo {Li} i = 1, ....n, với mỗi phép đo được thực hiện cho một tuabin gió riêng biệt của n tuabin gió thuộc cùng loại. Đối với các tuabin có cùng loại và tháp nhưng khác nhau về độ cao hub, mức công suất âm thanh có thể được điều chỉnh để phù hợp với độ cao hub khác, theo hướng dẫn trong Phụ lục A.
Từ n kết quả đo này, ta có thể tính được giá trị trung bình
và độ lệch chuẩn s, được xác định như sau:
|
| (2) |
|
| (3) |
Độ lệch chuẩn của sản xuất σP có thể được ước tính dựa trên:
|
| (4) |
Ước tính độ lệch chuẩn của khả năng tái lập σR là 0,9 dB (tham khảo các độ không đảm bảo trong Phụ lục D của IEC 61400-11). Khi dữ liệu về độ lệch chuẩn thực tế của khả năng tái hiện còn hạn chế, và trong một số trường hợp giá trị σR rất nhỏ, thì cần sử dụng mối quan hệ σP = s.
Độ lệch chuẩn σ được sử dụng trong việc công bố (bao gồm cả độ lệch chuẩn σR và σP từ các phép đo hiện có và từ phép đo kiểm tra xác nhận) được xác định bằng:
|
| (5) |
với σR = 0,9 dB và σP = s
Cuối cùng, mức công suất âm thanh biểu kiến được tính toán theo công thức:
|
| (6) |
Mức công suất âm thanh biểu kiến cần được công bố dưới dạng giá trị phát thải tiếng ồn kép, bao gồm cả giá trị trung bình
và giá trị K. K thể hiện mức độ tin cậy nhất định và K = 1,645σ phản ánh xác suất 5% rằng kết quả đo mức công suất âm thanh biểu kiến thực hiện theo IEC 61400-11 tại một tuabin trong lô sẽ vượt quá mức công bố.
5.2 Công bố tính âm sắc
Công bố tính âm sắc là báo cáo về các chỉ số tính âm sắc và tần số của từng tuabin trong một lô sản xuất. Việc công bố tính âm sắc không giống với việc xác định mức công suất âm thanh biểu kiến. Hiện tại, dữ liệu để thực hiện phân tích thống kê còn rất hạn chế.
6 Thông tin cần được báo cáo
Các báo cáo đo riêng rẽ phải được đính kèm vào báo cáo chính thức về công bố.
Ngoài ra, cần báo cáo các thông tin bổ sung sau đây:
a) Thông tin chi tiết về tuabin gió
- nhà sản xuất tuabin;
- số model/tên;
- công suất danh định;
- độ cao hub;
- đường kính rôto;
- chứng nhận của nhà sản xuất mô tả chi tiết về sự khác biệt của thành phần, được cung cấp bởi nhà sản xuất.
b) Kết quả công bố
Kết quả về mức công suất âm thanh biểu kiến bao gồm:
- các mức công suất âm thanh biểu kiến được đo riêng lẻ {Li} i = 1 ,....n;
- giá trị trung bình của các mức công suất âm thanh biểu kiến đã đo
;
- độ lệch chuẩn mẫu của các mức công suất âm thanh biểu kiến, s;
- các giá trị σP, σR, σ;
- hệ số K;
- giá trị công bố, LWd.
c) Kết quả tính âm sắc
Tính âm sắc và tần số âm sắc của tất cả các phép đo.
Phụ lục A
(tham khảo)
Phương pháp chuyển đổi mức công suất âm thanh biểu kiến sang một độ cao hub khác
Khi các tuabin gió có cùng loại và tháp nhưng có độ cao hub khác nhau, mức công suất âm thanh có thể được chuyển đổi sang độ cao hub khác dựa trên giả định rằng biên dạng gió tuân theo dạng logarit.
Nếu mức áp suất âm thanh được đo và mức công suất âm thanh LWA,P,meas được tính toán cho một tuabin gió cụ thể, thì mức công suất âm thanh LWA,P, cho cùng một tuabin gió tại độ cao hub khác có thể được xác định dựa trên các giá trị hồi quy thu được từ các tuabin đã được đo.
Giá trị tốc độ gió (v10,i) tại 10 m so với mặt đắt gây ra mức công suất đầu ra tương đương tại tuabin gió đã đo như trên cùng một tuabin ở độ cao hub mới khi tốc độ gió được chọn là (v10,ref) tại 10 m so với mặt đất.
|
| (A.1) |
trong đó
| v10,i | tốc độ gió được xác định tại 10 m so với mặt đất; |
| v10,ref | tốc độ gió chuẩn tại 10 m so với mặt đất; |
| hnew | độ cao hub mới của tuabin gió; |
| hmeas | độ cao hub của tuabin gió đã đo; |
| z0 | chiều dài gồ ghề. |
Mức áp suất âm thanh được tính toán bằng cách sử dụng các hệ số hồi quy từ tuabin đã đo đối với tiếng ồn tổng và tiếng ồn nền, dựa trên tốc độ gió V10,i) được tính từ công thức A.1. Sau đó, giá trị áp suất âm thanh đã điều chỉnh nền được xác định bằng công thức A.2.
|
| (A.2) |
trong đó
| LAeq,c,meas (v10,i): | mức áp suất âm thanh đã điều chỉnh nền liên quan đến tốc độ gió tại 10 m so với mặt đất của tuabin gió đã đo; |
| LAeq,meas (v10,i): | mức áp suất âm thanh của tiếng ồn tổng liên quan đến tốc độ gió tại 10 m so với mặt đất; |
| Lback,meas (v10,i): | mức áp suất âm thanh của tiếng ồn nền liên quan đến tốc độ gió tại 10 m so với mặt đất. |
Dựa trên giá trị áp suất âm thanh LAeq,c,meas (v10,i), mức công suất âm thanh LWA,P,meas (v10,i) được xác định có tính đến dữ liệu hình học của tuabin gió đã đo.
|
| (A.3) |
trong đó:
| LWA,P,meas (v10,i): | mức công suất âm thanh liên quan đến tốc độ gió tại 10 m so với của tuabin gió đã đo; |
| LAeq,meas (v10,i): | mức áp suất âm thanh của tiếng ồn tổng liên quan đến tốc độ gió tại 10 m so với mặt đất; |
| R1: | khoảng cách từ tâm của rôto đến micrô; |
| S0: | diện tích tham chiếu là S0 = 1 m2. |
Mức công suất âm thanh được tính toán LWA,P,meas (v10,i) từ phương trình A.3 sẽ tương ứng với mức công suất âm thanh LWA,P,new (v10,ref) tại độ cao hub mới hN,new và tốc độ gió tham chiếu v10,ref).
| LWA,P,new (v10,ref) = LWA,P,meas (v10,i) | (A.4) |
trong đó:
| LWA,P,new (v10,ref) | mức công suất âm thanh đã chuyển đổi tại tốc độ gió v10,ref và độ cao hub mới; |
| LWA,P,meas (v10,i) | mức công suất âm thanh liên quan đến tốc độ gió tại 10 m so với mặt đất (tuabin gió đã đo). |
Phụ lục B
(tham khảo)
Ảnh hưởng của đặc điểm tuabin và đặc điểm vị trí đến hiệu suất âm thanh
a) Độ cao hub
Mức công suất âm thanh biểu kiến có tương quan với tốc độ gió chuẩn, không phải tốc độ gió tại độ cao hub. Khi độ cao hub tăng, mức công suất âm thanh biểu kiến cũng tăng theo và có thể gây ra những thay đổi không dự đoán trước đến tính âm sắc.
b) Tốc độ đầu cánh
Mức công suất âm thanh biểu kiến rất nhạy với tốc độ đầu cánh (Lw ~ (50 to 60) log Vtip). Khi tốc độ đầu cánh tăng, mức công suất âm thanh biểu kiến cũng tăng theo.
c) Thiết lập góc nghiêng cánh
Việc thiết lập góc nghiêng cánh ảnh hưởng trực tiếp đến các quá trình khí động học, có thể làm thay đổi đáng kể mức công suất âm thanh biểu kiến cũng như tính âm sắc tổng thể.
d) Hộp số
Hộp số là một trong những nguồn phát âm cơ học quan trọng. Những thay đổi nhỏ trong thiết kế của hộp số (như tỷ số truyền, hình dạng bánh răng, độ dày của vỏ) có thể ảnh hưởng lớn đến tần số và mức độ của âm thanh phát ra.
e) Cánh
Những thay đổi về cấu trúc hình học của cánh, ví dụ như độ dày cạnh sau, hình dạng đầu cánh, hoàn thiện bề mặt, kết cấu bên trong, và phân bố độ xoắn, đều có thể ảnh hưởng đáng kể đến hiệu suất âm thanh.
f) Cường độ nhiễu động tại vị trí thử nghiệm
Cường độ nhiễu động của vị trí thử nghiệm cũng có thể ảnh hưởng đến quá trình tạo ra âm thanh.
Ngoài các hạng mục được đề cập ở trên thì các hạng mục khác (máy phát, loại tháp, động cơ xoay cánh, quạt làm mát, bơm thủy lực, v.v.) cũng có thể tác động đến hiệu suất âm thanh của tuabin.
MỤC LỤC
Lời nói đầu
1 Phạm vi áp dụng
2 Tài liệu viện dẫn
3 Thuật ngữ và định nghĩa
4 Quy định chung
5 Công bố
5.1 Công bố mức công suất âm thanh biểu kiến cho tuabin gió
5.2 Công bố tính âm sắc
6 Thông tin cần được báo cáo
Phụ lục A (tham khảo), Phương pháp chuyển đổi mức công suất âm thanh biểu kiến sang một độ cao hub khác
Phụ lục B (tham khảo). Ảnh hưởng của đặc điểm tuabin và đặc điểm vị trí đến hiệu suất âm thanh
1) Hệ thống tiêu chuẩn quốc gia đã có TCVN 10687-11:2025 (IEC 61400-11:2018).
Bạn chưa Đăng nhập thành viên.
Đây là tiện ích dành cho tài khoản thành viên. Vui lòng Đăng nhập để xem chi tiết. Nếu chưa có tài khoản, vui lòng Đăng ký tại đây!




