- Tổng quan
- Nội dung
- Tiêu chuẩn liên quan
- Lược đồ
- Tải về
Tiêu chuẩn quốc gia TCVN 10687-6:2025 IEC 61400-6:2020 Hệ thống phát điện gió - Phần 6: Yêu cầu thiết kế tháp và móng
| Số hiệu: | TCVN 10687-6:2025 | Loại văn bản: | Tiêu chuẩn Việt Nam |
| Cơ quan ban hành: | Bộ Khoa học và Công nghệ | Lĩnh vực: | Công nghiệp , Điện lực |
| Trích yếu: | IEC 61400-6:2020 Hệ thống phát điện gió - Phần 6: Yêu cầu thiết kế tháp và móng | ||
|
Ngày ban hành:
Ngày ban hành là ngày, tháng, năm văn bản được thông qua hoặc ký ban hành.
|
01/10/2025 |
Hiệu lực:
|
Đã biết
|
| Người ký: | Đang cập nhật |
Tình trạng hiệu lực:
Cho biết trạng thái hiệu lực của văn bản đang tra cứu: Chưa áp dụng, Còn hiệu lực, Hết hiệu lực, Hết hiệu lực 1 phần; Đã sửa đổi, Đính chính hay Không còn phù hợp,...
|
Đã biết
|
TÓM TẮT TIÊU CHUẨN VIỆT NAM TCVN 10687-6:2025
Tiêu chuẩn thiết kế tháp và móng cho hệ thống phát điện gió
Ngày 01/10/2025, Bộ Khoa học và Công nghệ đã ban hành Tiêu chuẩn quốc gia TCVN 10687-6:2025 IEC 61400-6:2020 quy định về yêu cầu thiết kế tháp và móng cho hệ thống phát điện gió, có hiệu lực từ ngày ban hành.
Tiêu chuẩn này áp dụng cho các kết cấu đỡ của tuabin gió trên bờ, bao gồm cả móng, và đánh giá tính toàn vẹn của cấu trúc trong vòng đời như lắp ráp, bảo trì, cũng như chịu tải trong các điều kiện cụ thể.
Những yêu cầu thiết kế cụ thể
- Thiết kế tháp:
- Tiêu chuẩn quy định các cơ sở thiết kế cho tháp bằng thép hoặc bê tông, bao gồm yêu cầu về vật liệu, ổn định và phân tích độ bền.
- Đối với tháp bằng thép, yêu cầu phân tích độ bền cực hạn và trạng thái giới hạn mỏi cũng như các mối nối mặt bích và bulông.
- Đối với tháp bê tông và móng, yêu cầu về độ bền, phân tích cấu trúc và các trạng thái giới hạn cũng được quy định rạch ròi.
- Yêu cầu về nền móng:
- Tiêu chuẩn bao gồm quy định thiết kế địa kỹ thuật, yêu cầu về giám sát và bảo trì các công trình móng như móng cọc, móng neo đá yêu cầu cơ sở thiết kế và dữ liệu địa chất để đảm bảo độ ổn định.
- Vận hành, hoạt động và bảo trì:
- Yêu cầu kiểm tra định kỳ cấu trúc và bảo trì độ căng của bulông để đảm bảo tính toàn vẹn của cấu trúc trong suốt thời gian hoạt động.
Phụ lục hướng dẫn
Tiêu chuẩn cũng bao gồm các phụ lục liên quan như:
- Danh mục các quy tắc và hướng dẫn thiết kế,
- Danh mục vật liệu cho kết cấu thép,
- Hướng dẫn kiểm tra và giám sát các yếu tố ảnh hưởng đến độ bền của tháp và móng.
TCVN 10687-6:2025 góp phần nâng cao chất lượng thiết kế và thi công các công trình điện gió, đảm bảo an toàn và hiệu quả trong việc phát triển nguồn năng lượng tái tạo ở Việt Nam.
Tải tiêu chuẩn Việt Nam TCVN 10687-6:2025
TIÊU CHUẨN QUỐC GIA
TCVN 10687-6:2025
IEC 61400-6:2020
HỆ THỐNG PHÁT ĐIỆN GIÓ - PHẦN 6: YÊU CẦU THIẾT KẾ THÁP VÀ MÓNG
Wind energy generation systems - Part 6: Tower and foundation degign requirements
MỤC LỤC
Lời nói đầu
1 Phạm vi áp dụng
2 Tài liệu viện dẫn
3 Thuật ngữ và định nghĩa
4 Ký hiệu và chữ viết tắt
4.1 Ký hiệu
4.2 Thuật ngữ viết tắt
5 Cơ sở thiết kế bao gồm tải trọng
5.1 Quy định chung
5.2 Cơ sở thiết kế
5.3 Vật liệu
5.4 Tải trọng
5.5 Dữ liệu tải và yêu cầu báo cáo giao diện
5.6 Yêu cầu thiết kế kết cấu chung
5.7 Tài liệu bàn giao
6 Tháp bằng thép
6.1 Quy định chung
6.2 Cơ sở thiết kế
6.3 Vật liệu
6.4 Phân tích độ bền cực hạn cho tháp và lỗ mở
6.5 Tính ổn định
6.6 Trạng thái giới hạn mỏi
6.7 Mối nối mặt bích vòng
6.8 Kết nối bulông chịu lực cắt thông qua ma sát
7 Tháp bê tông và móng
7.1 Quy định chung
7.2 Cơ sở thiết kế
7.3 Vật liệu
7.4 Độ bền
7.5 Phân tích cấu trúc
7.6 Mối nối bê tông với bê tông
7.7 Trạng thái giới hạn cực hạn
7.8 Trạng thái giới hạn mỏi
7.9 Trạng thái giới hạn khả năng hoạt động
7.10 Thực hiện
8 Nền móng - Thiết kế địa kỹ thuật
8.1 Quy định chung
8.2 Cơ sở thiết kế
8.3 Dữ liệu địa kỹ thuật
8.4 Giám sát, theo dõi và bảo trì công trình xây dựng
8.5 Nền móng trọng lực
8.6 Móng cọc
8.7 Móng neo đá
9 Yêu cầu về vận hành, hoạt động và bảo trì
9.1 Vận hành, bảo trì và giám sát
9.2 Kiểm tra kết cấu định kỳ
9.3 Kiểm tra phần kết cấu thép đặt sẵn
9.4 Bảo trì độ căng của bulông
9.5 Giám sát tình trạng kết cấu
Phụ lục A_(tham khảo), Danh mục các quy tắc và hướng dẫn thiết kế thích hợp để làm cơ sở tính toán
Phụ lục B_(tham khảo), Danh mục vật liệu cho kết cấu thép
Phụ lục C_(tham khảo), Bulông
Phụ lục D_(tham khảo), Giá trị Z cho thép kết cấu
Phụ lục E_(tham khảo), Kiểm tra độ cong vênh đơn giản cho các lỗ mở trong tháp thép ống
Phụ lục F_(tham khảo), Kiểm tra xác nhận độ mỏi
Phụ lục G_(tham khảo), Phương pháp kiểm tra xác nhận mặt bích vòng
Phụ lục H_(tham khảo), Kiểm soát vết nứt - Hướng dẫn cho 7.9.3
Phụ lục I_(tham khảo), Phân tích phần tử hữu hạn cho bê tông
Phụ lục J_(tham khảo), Neo tháp-móng
Phụ lục K_(tham khảo), Phần thanh chống và giằng
Phụ lục L_(tham khảo), Hướng dẫn lựa chọn môđun đất và độ cứng xoay của nền móng
Phụ lục M_(tham khảo), Hướng dẫn thiết kế móng neo đá
Phụ lục N_(tham khảo), Tải trọng bên trong - Giải thích về tải trọng bên trong
Phụ lục O_(tham khảo), Ước tính tải trọng động đất cho tháp và móng tuabin gió
Phụ lục P_(tham khảo), Tỷ lệ giảm chấn kết cấu cho tháp tuabin gió
Phụ lục Q_(tham khảo), Hướng dẫn về các hệ số an toàn từng phần cho các trạng thái giới hạn địa kỹ thuật
Thư mục tài liệu tham khảo
Lời nói đầu
TCVN 10687-6:2025 hoàn toàn tương đương với IEC 61400-6:2020;
TCVN 10687-6:2025 do Ban kỹ thuật tiêu chuẩn quốc gia TCVN/TC/E13 Năng lượng tái tạo biên soạn, Viện Tiêu chuẩn Chất lượng Vệt Nam đề nghị, Ủy ban Tiêu chuẩn Đo lường Chất lượng Quốc gia thẩm định, Bộ Khoa học và Công nghệ công bố.
Bộ TCVN 10687 (IEC 61400), Hệ thống phát điện gió gồm các phần sau:
- TCVN 10687-1:2025 (IEC 61400-1:2019), Phần 1: Yêu cầu thiết kế
- TCVN 10687-3-1:2025 (IEC 61400-3-1:2019), Phần 3-1: Yêu cầu thiết kế đối với tuabin gió cố định ngoài khơi
- TCVN 10687-3-2:2025 (IEC 61400-3-2:2025), Phần 3-2: Yêu cầu thiết kế đối với tuabin gió nổi ngoài khơi
- TCVN 10687-4:2025 (IEC 61400-4:2025), Phần 4: Yêu cầu thiết kế hộp số tuabin gió
- TCVN 10687-5:2025 (IEC 61400-5:2020), Phần 5: Cánh tuabin gió
- TCVN 10687-6:2025 (IEC 61400-6:2020), Phần 6: Yêu cầu thiết kế tháp và móng
- TCVN 10687-11:2025 (IEC 61400-11:2012+AMD1:2018), Phần 11: Kỹ thuật đo tiếng ồn âm thanh
- TCVN 10687-12:2025 (IEC 61400-12:2022), Phần 12: Đo đặc tính công suất của tuabin gió phát điện - Tổng quan
- TCVN 10687-12-1:2023 (IEC 61400-12-1:2022), Phần 12-1: Đo hiệu suất năng lượng của tuabin gió phát điện
- TCVN 10687-12-2:2023 (IEC 61400-12-2:2022), Phần 12-2: Hiệu suất năng lượng của tuabin gió phát điện dựa trên phép đo gió trên vỏ tuabin
- TCVN 10687-12-3:2025 (IEC 61400-12-3:2022), Phần 12-3: Đặc tính công suất - Hiệu chuẩn theo vị trí dựa trên phép đo
- TCVN 10687-12-4:2023 (IEC TR 61400-12-4:2020), Phần 12-4: Hiệu chuẩn vị trí bằng số đối với thử nghiệm hiệu suất năng lượng của tuabin gió
- TCVN 10687-12-5:2025 (IEC 61400-12-5:2022), Phần 12-5: Đặc tính công suất - Đánh giá chướng ngại vật và địa hình
- TCVN 10687-12-6:2025 (IEC 61400-12-6:2022), Phần 12-6: Hàm truyền vỏ tuabin dựa trên phép đo của tuabin gió phát điện
- TCVN 10687-13:2025 (IEC 61400-13:2015+AMD1:2021), Phần 13: Đo tải trọng cơ học
- TCVN 10687-14:2025 (IEC TS 61400-14:2005), Phần 14: Công bố mức công suất âm biểu kiến và giá trị tính âm sắc
- TCVN 10687-21:2018 (IEC 61400-21:2008), Phần 21: Đo và đánh giá đặc tính chất lượng điện năng của tuabin gió nối lưới
- TCVN 10687-22:2018, Phần 22: Hướng dẫn thử nghiệm và chứng nhận sự phù hợp
- TCVN 10687-23:2025 (IEC 61400-23:2014), Phần 23: Thử nghiệm kết cấu đầy đủ của cánh rôto
- TCVN 10687-24:2025 (IEC 61400-24:2024), Phần 24: Bảo vệ chống sét
- TCVN 10687-25-1:2025 (IEC 61400-25-1:2017), Phần 25-1: Truyền thông để giám sát và điều khiển các nhà máy điện gió - Mô tả tổng thể các nguyên lý và mô hình
- TCVN 10687-25-2:2025 (IEC 61400-25-2:2015), Phần 25-2: Truyền thông để giám sát và điều khiển nhà máy điện gió - Mô hình thông tin
- TCVN 10687-25-3:2025 (IEC 61400-25-3:2015), Phần 25-3: Truyền thông để giám sát và điều khiển nhà máy điện gió - Mô hình dữ liệu
- TCVN 10687-25-4:2025 (IEC 61400-25-4:2016), Phần 25-4: Truyền thông để giám sát và điều khiển nhà máy điện gió - Ánh xạ hồ sơ truyền thông
- TCVN 10687-25-5:2025 (IEC 61400-25-5:2017), Phần 25-5: Truyền thông để giám sát và điều khiển nhà máy điện gió - Thử nghiệm sự phù hợp
- TCVN 10687-25-6:2025 (IEC 61400-25-6:2016), Phần 25-6: Truyền thông để giám sát và điều khiển nhà máy điện gió - Các lớp nút logic và các lớp dữ liệu để giám sát tình trạng
- TCVN 10687-25-71:2025 (IEC 61400-25-71:2019), Phần 25-71: Truyền thông để giám sát và điều khiển nhà máy điện gió - Ngôn ngữ mô tả cấu hình
- TCVN 10687-26-1:2025 (IEC 61400-26-1:2019), Phần 26-1: Tính khả dụng của hệ thống phát điện gió
- TCVN 10687-27-1:2025 (IEC 61400-27-1:2020), Phần 27-1: Mô hình mô phỏng điện - Mô hình chung
- TCVN 10687-27-2:2025 (IEC 61400-27-2:2020), Phần 27-2: Mô hình mô phỏng điện - Xác thực mô hình
- TCVN 10687-50:2025 (IEC 61400-50:2022), Phần 50: Đo gió - Tổng quan
- TCVN 10687-50-1:2025 (IEC 61400-50-1:2022), Phần 50-1: Đo gió - Ứng dụng các thiết bị đo lắp trên cột khí tượng, vỏ tuabin và mũ hub
- TCVN 10687-50-2:2025 (IEC 61400-50-2:2022), Phần 50-2: Đo gió - Ứng dụng công nghệ cảm biến từ xa lắp trên mặt đất
- TCVN 10687-50-3:2025 (IEC 61400-50-3:2022), Phần 50-3: Sử dụng lidar lắp trên vỏ tuabin để đo gió
HỆ THỐNG PHÁT ĐIỆN GIÓ - PHẦN 6: YÊU CẦU THIẾT KẾ THÁP VÀ MÓNG
Wind energy generation systems - Part 6: Tower and foundation design requirements
1 Phạm vi áp dụng
Tiêu chuẩn này quy định các yêu cầu và nguyên tắc chung được sử dụng để đánh giá tính toàn vẹn về cấu trúc của các kết cấu đỡ tuabin gió trên bờ (bao gồm cả móng). Tiêu chuẩn này bao gồm việc đánh giá địa kỹ thuật của đất cho các mục đích chung hoặc địa điểm cụ thể. Độ bền của mỗi mặt bích và hệ thống kết nối nào được kết nối với bộ phận vỏ rôto (bao gồm cả kết nối với ổ trục xoay tuabin) đều được thiết kế và ghi lại theo tiêu chuẩn này hoặc theo TCVN 10687-1 (IEC 61400-1). Tiêu chuẩn này bao gồm tất cả các vấn đề trong vòng đời có thể ảnh hưởng đến tính toàn vẹn của cấu trúc như lắp ráp và bảo trì.
Việc đánh giá được triển khai trên cơ sở giả định rằng dữ liệu tải theo TCVN 10687-1 (IEC 61400-1) hoặc IEC 61400-2 và sử dụng mức độ tin cậy mặc định và hệ số an toàn từng phần cho tải.
2 Tài liệu viện dẫn
Các tài liệu viện dẫn sau đây rất cần thiết cho việc áp dụng tiêu chuẩn này. Đối với các tài liệu viện dẫn ghi năm công bố thì áp dụng phiên bản được nêu. Đối với các tài liệu viện dẫn không ghi năm công bố thì áp dụng phiên bản mới nhất, bao gồm cả các sửa đổi (nếu có).
TCVN 10687-1:2025 (IEC 61400-1:2019), Hệ thống phát điện gió - Phần 1: Yêu cầu thiết kế
TCVN 10687-3-1 (IEC 61400-3-1), Hệ thống phát điện gió - Phần 3-1: Yêu cầu thiết kế đối với tuabin gió cố định ngoài khơi
TCVN 12705 (ISO 12944) (tất cả các phần), Sơn và vecni - Bảo vệ chống ăn mòn kết cấu thép bằng các hệ sơn bảo vệ
IEC 61400-2, Wind turbines - Part 2: Small wind turbines (Tuabin gió - Phần 2: Tuabin gió nhỏ)
ISO 2394:2015, General principles on reliability for structures (Nguyên tắc chung về độ tin cậy của kết cấu)
ISO 22965-1, Concrete - Part 1: Methods of specifying and guidance for the specifier (Bê tông - Phần 1: Phương pháp xác định và hướng dẫn cho người xác định)
ISO 22965-2, Concrete - Part 2: Specification of constituent materials, production of concrete and compliance of concrete (Bê tông - Phần 2: Đặc điểm kỹ thuật của vật liệu cấu thành, sản xuất bê tông và sự tuân thủ của bê tông)
ISO 22966, Execution of concrete structures (Thi công kết cấu bê tông)
ISO 69341) (all parts), Steel for the prestressing of concrete (tất cả các phần), (Thép dùng cho ứng suất trước của bê tông)
ISO 69352) , (all parts), Steel for the reinforcement of concrete (tất cả các phần), (Thép làm cốt bê tông)
ISO 9016:20123), Destructive tests on welds in metallic materials - Impact tests - Test specimen location, notch orientation and examination (Thử phá hủy mối hàn trên vật liệu kim loại - Thử va đập - Vị trí mẫu thử, hướng rãnh khía và kiểm tra)
EN 1993-1-9:2005, Eurocode 3: Design of steel structures - Part 1-9: Fatigue (Eurocode 3: Thiết kế kết cấu thép - Phần 1-9: Độ mỏi)
EN 1993-3-2:2006, Eurocode 3: Design of steel structures - Part 3-2: Towers, masts and chimneys - Chimneys (Eurocode 3: Thiết kế kết cấu thép - Phần 3-2: Tháp, cột và ống khói - Ống khói)
3 Thuật ngữ và định nghĩa
Tiêu chuẩn này sử dụng các thuật ngữ và định nghĩa nêu trong TCVN 10687-1 (IEC 61400-1), IEC 61400-2 và các thuật ngữ và định nghĩa dưới đây.
3.1
Đánh giá (assessment)
Tập hợp đầy đủ các hoạt động được thực hiện để tìm ra xem độ tin cậy của kết cấu có được chấp nhận hay không.
3.2
Tải trọng đặc trưng (characteristic load)
Tải trọng có tính đến mức xác suất vượt quá yêu cầu và không bao gồm hệ số an toàn từng phần cho tải trọng.
3.3
Độ bền chịu oằn đặc trưng (characteristic buckling resistance)
Tải trọng liên quan đến hiện tượng oằn khi có đáp ứng vật liệu không đàn hồi, các sai lệch hình học và kết cấu không thể tránh khỏi trong thực tế và hệ quá tải trọng đi kèm.
3.4
Cấp thành phần (component class)
Phân loại các bộ phận kết cấu tuabin gió theo yêu cầu dự phòng và an toàn.
Chú thích 1: Tham khảo TCVN 10687-1 (IEC 61400-1).
3.5
Nhiệt độ thành phần (component temperature)
Nhiệt độ cục bộ sẽ ảnh hưởng đến tính chất vật liệu của thành phần.
Chú thích 1: Nhiệt độ phải được lấy bằng nhiệt độ môi trường trừ khi có các phương tiện bảo vệ hoặc phương tiện chủ động để thay đổi nhiệt độ.
3.6
Tuổi thọ thiết kế (design lifetime)
Khoảng thời gian hoàn chỉnh trong đó tuabin gió được thiết kế để chịu tải quy định bao gồm bảo dưỡng, chạy không tải, phát điện, khởi động và dừng.
3.7
Tải trọng thiết kế (design load)
Lực thiết kế (design force)
Tải trọng (lực) được sử dụng trong công thức so sánh tác động với độ bền đối với trạng thái giới hạn có tính đến xác suất vượt quá yêu cầu và hệ số an toàn từng phần đối với tải trọng.
3.8
Độ bền thiết kế (design resistance)
Độ bền được sử dụng trong công thức so sánh tác động với độ bền đối với trạng thái giới hạn có tính đến xác suất vượt quá yêu cầu và hệ số an toàn từng phần đối với vật liệu.
3.9
Tình huống thiết kế (design situations)
Tập hợp các điều kiện vật lý thể hiện các điều kiện thực tế xảy ra trong một khoảng thời gian nhất định mà trong đó thiết kế sẽ chứng minh rằng các trạng thái giới hạn liên quan không bị vượt quá.
3.10
Độ cứng động của móng (dynamic stiffness for foundation)
Tiếp tuyến với đồ thị chuyển vị tuyến tính hoặc góc của móng theo lực hoặc mômen tác dụng lên móng ở biến dạng bằng 0 hoặc biến dạng nhỏ (<10-4 biến dạng cắt của đất).
Chú thích 1: Thông thường đối với móng bê tông, giá trị này được tính toán cho riêng tác động của cơ học đất với giả thiết móng cứng. Khi độ mềm dẻo của móng không đáng kể thì điều này cần được tính đến khi tính toán độ cứng động.
3.11
Hệ quả của các tác động (effect of actions)
Ảnh hưởng của các tác động (hoặc hệ quả tác động) lên các bộ phận kết cấu hoặc trên toàn bộ kết cấu.
Chú thích 1: Tải trọng bên trong, mômen, ứng suất và biến dạng là những ví dụ về các tác động lên các bộ phận kết cấu. Độ võng và góc xoay là những ví dụ về hệ quả tác động lên toàn bộ cấu trúc.
3.12
Trạng thái giới hạn mỏi (fatigue limit state)
Hỏng hóc kết cấu do hỏng tích tụ dưới tác dụng của tải trọng lặp lại.
3.13
Phân tích phi tuyến hình học và vật liệu (geometrically and materially nonlinear analysis)
GMNA
Phân tích được thực hiện trên cấu trúc tổng thể dựa trên lý thuyết uốn vỏ áp dụng cho cấu trúc lý tưởng, sử dụng giả thiết là lý thuyết về độ lệch phi tuyến lớn đối với các chuyển vị và áp dụng định luật vật liệu đàn hồi-dẻo phi tuyến bỏ qua ảnh hưởng do biến cứng.
3.14
Phân tích phi tuyến hình học và vật liệu không lý tưởng (geometrically and materially nonlinear analysis with imperfection included)
GMNIA
Phân tích được thực hiện trên cấu trúc tổng thể có sự không lý tưởng rõ ràng, dựa trên lý thuyết uốn vỏ áp dụng cho cấu trúc không lý tưởng, bao gồm lý thuyết độ lệch phi tuyến lớn đối với các chuyển vị và áp dụng định luật vật liệu đàn hồi-dẻo phi tuyến bỏ qua ảnh hưởng do biến cứng.
Chú thích 1: Việc kiểm tra giá trị riêng phân nhánh được bao gồm ở mỗi mức tải trọng.
Chú thích 2: Ví dụ về kết cấu không lý tưởng là những sai lệch ngoài ý muốn so với hình dạng lý tưởng, không lý tưởng trong điều kiện biên và ứng suất dư.
3.15
Tải trọng bên trong (internal loads)
Ba lực trực giao và ba mômen trực giao phản lực trên một mặt phẳng bất kỳ cắt xuyên qua kết cấu.
Chú thích 1: Thuật ngữ này liên quan đến việc sử dụng thuật ngữ "tải trọng" trong TCVN 10687-1 (IEC 61400-1), IEC 61400-2 và TCVN 10687-3-1 (IEC 61400-3-1). Thuật ngữ này khác khi sử dụng trong các lĩnh vực kỹ thuật xây dựng dân dụng khác. Thông thường, mặt phẳng bất kỳ được căn chỉnh với một số giao diện vật lý hoặc với hai trục của hệ trục cục bộ. Tải trọng bên trong đơn lẻ sẽ là một trong ba lực hoặc ba mômen. Xem thêm 5.4.6.
3.16
Phân tích phi tuyến vật liệu (materially nonlinear analysis)
MNA
Phân tích được thực hiện trên cấu trúc tổng thể dựa trên lý thuyết uốn vỏ áp dụng cho cấu trúc lý tưởng, sử dụng giả thiết là độ lệch nhỏ, nhưng áp dụng định luật vật liệu đàn hồi-dẻo phi tuyến bỏ qua ảnh hưởng do biến cứng.
3.17
Lớp bê tông bảo vệ danh nghĩa (nominal concrete cover)
Lớp bê tông giữa bề mặt bê tông và bề mặt gần nhất của cốt thép, bao gồm cả dung sai quy định cho việc bố trí cốt thép.
Chú thích 1: Lớp bê tông bảo vệ danh nghĩa được tính bằng lớp bê tông bảo vệ tối thiểu cộng với dung sai quy định.
3.18
Tỷ lệ danh nghĩa (nominal ratio)
Tỷ lệ của các giá trị không đổi dựa trên các cơ sở phi thống kê, ví dụ như kinh nghiệm tích lũy hoặc điều kiện vật lý.
3.19
Giá trị danh nghĩa (nominal value)
Giá trị không đổi dựa trên các cơ sở phi thống kê, ví dụ như kinh nghiệm tích lũy hoặc điều kiện vật lý.
3.20
Hệ số an toàn từng phần cho tải trọng (partial safety factor for load)
Hệ số dùng để tăng giá trị đặc trưng của hệ quả của các tác động nhằm tính toán giá trị thiết kế của hệ quả của các tác động.
3.21
Hệ số an toàn từng phần cho vật liệu (partial safety factor for material)
Hệ số dùng để giảm giá trị đặc trưng của tính chất vật liệu nhằm tính toán giá trị thiết kế của tính chất vật liệu.
3.22
Tải trọng giới hạn dẻo (plastic limit load)
Tải trọng giới hạn, được xác định bằng cách giả thiết là các điều kiện được lý tưởng hóa của đáp ứng vật liệu dẻo-đàn hồi, hình học lý tưởng, ứng dụng tải trọng lý tưởng, kết cấu đỡ lý tưởng và tính đẳng hướng vật liệu.
Chú thích 1: Tải trọng giới hạn dẻo được xác định bằng cách giả thiết là các điều kiện được lý tưởng hóa của đáp ứng vật liệu dẻo-đàn hồi, hình học lý tưởng, ứng dụng tải trọng lý tưởng, kết cấu đỡ lý tưởng và tính đẳng hướng vật liệu.
3.23
Độ bền tham chiếu dẻo (plastic reference resistance)
Tải trọng giới hạn dẻo, được xác định bằng cách giả thiết là các điều kiện được lý tưởng hóa của đáp ứng vật liệu dẻo cứng, ứng dụng tải trọng lý tưởng, kết cấu đỡ lý tưởng và tính đẳng hướng vật liệu.
3.24
Bê tông căng sau (post-tensioned concrete)
Ứng suất trước của kết cấu đạt được bằng cách kéo các cáp hoặc bulông sau khi đổ bê tông.
Chú thích 1: Các cáp có thể được liên kết hoặc không được liên kết với bê tông.
3.25
Bê tông ứng suất trước (prestressed concrete)
Kết cấu bê tông được ứng suất trước trước khi đưa vào sử dụng.
Chú thích 1: Ứng suất trước được đặt bởi các cáp hoặc bulông và các cáp có thể được căng trước (trước khi đổ bê tông) hoặc căng sau (sau khi đổ bê tông).
3.26
Bê tông căng trước (pre-tensioned concrete)
Bê tông được căng trước bằng cách kéo các cáp trước khi đổ bê tông.
Chú thích 1: Các cáp được liên kết với bê tông.
3.27
Kết cấu chính (primary structure)
Các phần tử kết cấu được thiết kế để chịu tải trọng từ bộ phận vỏ rôto.
3.28
Tiêu chuẩn tham khảo (reference standard)
Tài liệu trình bày các phương pháp phân tích thiết kế phối hợp với các giá trị đặc trưng về tác động và độ bền cũng như các hệ số an toàn, được công bố bởi một tổ chức chuyên gia đáng tin cậy, có thể là tổ chức tư nhân, khu vực, quốc gia hoặc quốc tế.
3.29
Cụm rôto-vỏ tuabin (rotor nacelle assembly)
RNA
Bộ phận của tuabin gió được mang bởi kết cấu đỡ.
3.30
Kết cấu phụ (secondary structure)
Các phần tử kết cấu được thiết kế để chịu tải trọng từ thiết bị như hệ thống tiếp cận, cáp, tủ, và các thiết bị bên trong như các bộ giảm chấn.
3.31
Bộ tiêu chuẩn (series of standard)
Bộ tài liệu phối hợp trình bày các phương pháp phân tích thiết kế với các giá trị đặc trưng về tác động và độ bền cũng như các hệ số an toàn, được công bố bởi một tổ chức chuyên gia đáng tin cậy, có thể là tổ chức tư nhân, khu vực, quốc gia hoặc quốc tế.
3.32
Ứng suất von-Mises có dấu (signed von-Mises stress)
Ứng suất tương đương có chiều (lý thuyết) được suy ra từ các ứng suất chính.
3.33
Tải trọng đặc trưng SLS (SLS characteristic load)
S1
Mức tải trọng của trạng thái giới hạn hoạt động cho các hành động trong suốt thời gian thiết kế, liên quan đến việc tiếp tục hoạt động đúng của tuabin gió, ví dụ như khoảng cách của các thành phần và mức chất lỏng kỹ thuật, kiểm soát nứt bê tông.
3.34
Trường hợp tải trọng thường xuyên SLS 10-4 (SLS 10-4 frequent load case)
S2
Mức tải trọng của trạng thái giới hạn hoạt động cho các hành động thường xuyên, vượt quá 10-4 thời gian thiết kế, liên quan đến khả năng chống nứt, ăn mòn, kiểm soát nứt bê tông và các liên kết trong bê tông ứng suất trước.
3.35
Trường hợp tải trọng thường xuyên SLS 10-2 (SLS 10-2 frequent load case)
S3
Mức tải trọng của trạng thái giới hạn hoạt động cho các hành động tương tự như các hành động thường xuyên, vượt quá 10-2 thời gian thiết kế, liên quan đến kiểm tra độ cứng của bê tông bị nứt, kiểm soát nứt bê tông, độ cứng của móng, nghiêng và lún, khe hở đất và giới hạn kéo cọc.
3.36
Khả năng hoạt động (serviceability)
Khả năng của một cấu trúc hoặc phần tử kết cấu hoạt động đầy đủ trong điều kiện sử dụng bình thường dưới tất cả các tác động dự kiến.
3.37
Trạng thái giới hạn khả năng hoạt động (serviceability limit state)
Trạng thái tương ứng với các điều kiện vượt quá các yêu cầu sử dụng quy định đối với kết cấu hoặc bộ phận kết cấu không còn được đáp ứng.
3.38
Độ cứng tĩnh của móng (static stiffness for foundation)
Cát tuyến của điểm trên đồ thị độ võng tuyến tính hoặc góc của móng đối với lực hoặc mômen tác dụng lên móng ở biến dạng tương ứng với trường hợp tải trọng tác dụng.
Chú thích 1: Thông thường đối với móng bê tông, giá trị này được tính toán cho riêng tác động của biến dạng đất với giả thiết móng cứng. Khi độ mềm dẻo của móng không đáng kể thì điều này cần được tính đến khi tính toán độ cứng tĩnh.
3.39
Kết cấu đỡ (support structure)
Bộ phận của tuabin gió bao gồm tháp, kết cấu phụ và móng.
Chú thích 1: Xem Hình 1 của TCVN 10687-3-1:2025 (IEC 61400-3-1:2019)
3.40
Phần tháp (tower section)
Khối tháp có thể được vận chuyển từ nhà máy đến địa điểm lắp đặt, đặc biệt là tháp dạng ống thép được làm bằng một số ống thép nhỏ hơn được nối cố định, toàn bộ khối được cung cấp các kết nối bằng bulông để lắp ráp tại chỗ ở đầu trên và đầu dưới.
3.41
Trạng thái giới hạn cực hạn (ultimate limit state)
Trạng thái giới hạn thường tương ứng với khả năng chịu tải tối đa.
Chú thích 1: Điều này thường tương ứng với khả năng chịu tải tối đa của kết cấu hoặc bộ phận kết cấu nhưng trong một số trường hợp với giới hạn biến dạng hoặc biến dạng.
3.42
Quy định kỹ thuật của tuabin gió (wind turbine specification)
Tài liệu và các tài liệu liên quan chứa thông tin liên quan đến hệ thống tuabin đầy đủ và cụm rôto-vỏ tuabin (RNA) cho phép thiết kế tháp và móng, đồng thời xác định tuabin gio có thể được sử dụng với tháp và/hoặc móng.
4 Ký hiệu và chữ viết tắt
4.1 Ký hiệu
| A1 | tham số hệ số giảm |
| As | tiết diện ứng suất hiệu dụng |
| A’ | diện tích nền hiệu dụng quanh đường tác động của lực tổng hợp đối với Fzd. |
| b | chiều dày cổ hàn (thường bằng với chiều dày của vỏ tháp được kết nối). |
| btot | chiều rộng mặt bích |
| B1 | tham số hệ số giảm. |
| c | chiều cao của bề mặt chuẩn bị hàn |
| C1 | hệ số giảm cho ảnh hưởng của lỗ hổng. |
| DEd | tổng số thiệt hại |
| e | độ lệch tâm, thường là của tải trọng. |
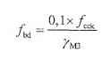
| fbd | giá trị thiết kế của cường độ bám giữa đá và vữa xi măng. |
| fck | cường độ nén đặc trưng của bê tông trụ |
| fcck | cường độ nén đặc trưng của vữa |
| fc,r | ứng suất oằn thiết kế theo phương kinh tuyến |
| fpk | cường độ kéo đặc trưng của cốt thép ứng suất trước |
| fp0,1k | ứng suất kiểm chứng đặc trưng ở mức 0,1 % của thép ứng suất trước. |
| fyk | cường độ chảy đặc trưng của cốt thép |
| Fd | tải trọng thiết kế cực hạn |
| Fd | giá trị thiết kế của tác động gây mất ổn định, bao gồm hệ số an toàn từng phần bất lợi cho tải trọng |
| Fp,C’ | lực siết bulông mang tải trước dùng trong tính toán thiết kế |
| Fp,C | lực siết bulông mang tải trước được cho trong quy tắc thiết kế hoặc chứng nhận kỹ thuật liên quan |
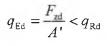
| Fzd | giá trị thiết kế của lực thẳng đứng tác động lên nền đất. |
| G | môđun cắt của đất giảm từ Go để tính đến biến dạng không bằng không của đất. |
| Go | môđun cắt với biến dạng nhỏ của đất. |
| KR,dy n | độ cứng xoay động của móng khi chịu mômen lật. |
| KR,stat | độ cứng xoay tĩnh của móng khi chịu mômen lật. |
| l | khoảng cách từ bán kính chuyển tiếp đến chuẩn bị hàn. |
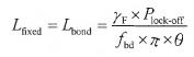
| Lanchor | chiều dài đầy đủ của cọc neo. |
| Lfixed | chiều dài đã liên kết của cọc neo. |
| Lfree | chiều dài tự do của cọc neo. |
| Lf | hệ số mất lực kéo, không được xem xét trong mã thiết kế áp dụng. |
| Md, overturning | giá trị thiết kế của mômen gây mất ổn định do tải gió và các tải trọng khác. |
| Md, stabilizing | giá trị thiết kế của mômen ổn định từ tải trọng trọng lực và lớp đắp. |
| n | số lượng giao diện truyền lực trong kết nối. |
| n (Δσi) | số lượng chu kỳ tải cho một phạm vi Δσi. |
| N (Δσi) | số lượng chu kỳ tải đến khi hỏng cho phạm vi Δσi. |
| Pk | cường độ kéo đặc trưng của thép ứng suất trước. |
| Plock-off | tải trọng khóa của cọc neo đá. |
| Po, Plock-off: | tải trọng truyền vào móng bởi cọc neo đá sau khi hoàn thành quá trình kéo (sau khi khóa). |
| Pp | tải trọng kiểm tra cọc neo. |
| Pp0,1k | cường độ chảy của cọc neo. |
| qEd | áp suất đất dẻo (đồng đều) dựa trên tính toán lệch tâm. |
| qRd | giá trị thiết kế của khả năng chịu tải của đất trong trạng thái giới hạn cực hạn. |
| r | bán kính chuyển tiếp. |
| R | bán kính của móng tiếp xúc với lớp nền. |
| Ra: | tham số độ nhám bề mặt. |
| Rd | giá trị thiết kế của tác động ổn định bao gồm trọng lực và độ bền của đất. |
| RRrk | độ bền uốn tham chiếu giảm. |
| RRpl | độ bền tham chiếu dẻo. |
| tf | độ dày của mặt bích. |
| ttot | độ dày tổng của mặt bích bao gồm cả cổ hàn. |
| Textreme, min/max | phạm vi nhiệt độ cực trị. |
| Terection, min/max | phạm vi nhiệt độ cho phép được định nghĩa cho việc lắp đặt tháp. |
| ΔTk | tác động nhiệt độ đặc trưng trên các tháp bê tông |
| ΔT1 | chênh lệch nhiệt độ đồng đều trong các tháp bê tông so với nhiệt độ tại thời điểm lắp đặt. |
| ΔT2 | chênh lệch nhiệt độ hình cosin trên các tháp bê tông do bức xạ mặt trời gây ra. |
| ΔT3 | chênh lệch nhiệt độ cho các tháp bê tông giữa bề mặt tường bên trong và bên ngoài. |
| α | tỷ lệ của các môđun đàn hồi giữa cốt thép và bê tông. |
|
| hệ số an toàn từng phần cho các tác động nhiệt độ trên các tháp bê tông. |
|
| hệ số an toàn từng phần cho ứng suất ứng suất trước có lợi. |
|
| hệ số an toàn từng phần cho vật liệu. |
|
| hệ số an toàn từng phần cho độ bền bám của cọc neo đá. |
|
| hệ số an toàn từng phần cho ứng suất ứng suất trước bất lợi. |
|
| góc mở dọc theo chu vi của cửa mở. |
|
| độ biến dạng tổng. |
| θ | đường kính của lỗ khoan. |
| μ | hệ số ma sát. |
|
| tỷ lệ Poisson (của đất). |
| σhs | ứng suất điểm nóng kết cấu cho mô hình vật liệu đàn hồi tuyến tính. |
| σy,d | ứng suất chảy thiết kế của vật liệu. |
|
| độ bền mỏi được biểu diễn bằng "đường cong S-N" (đường cong Wöhler). |
|
| ứng suất uốn thiết kế theo phương dọc vỏ theo EN 1993-1-6. |
|
| một thành phần của tensor ứng suất Cauchy theo một hướng chính của hệ tọa độ Đề các (ví dụ ơx). |
|
| một thành phần của tensor ứng suất Cauchy theo một hướng chính của hệ tọa độ Đề các vuông góc với |
|
| ứng suất cắt trong phần tử theo mặt phẳng của các hướng của |
4.2 Thuật ngữ viết tắt
| DLC | design load case | trường hợp tải trọng thiết kế. |
| FLS | fatigue limit state | trạng thái giới hạn mỏi. |
| GIR | ground investigation report | báo cáo khảo sát nền đất. |
| GMNA | geometrically and materially nonlinear analysis | phân tích phi tuyến hình học và vật liệu |
| GMNIA | geometrically and materially nonlinear numerical buckling analysis with imperfections included | phân tích oằn phi tuyến hình học và vật liệu không lý tưởng được bao gồm. |
| MNA | materially nonlinear analysis | Phân tích phi tuyến vật liệu |
| psfl | partial safety factor for loads | Hệ số an toàn từng phần cho tải trọng |
| psfm | partial safety factor for materials | Hệ số an toàn từng phần cho vật liệu |
| RNA | rotor nacelle assembly | Cụm rôto-vỏ tuabin |
| SI | geotechnical site investigation | Khảo sát địa chất công trình |
| SLS | serviceability limit state | Trạng thái giới hạn hoạt động |
| ULS | ultimate limit state | Trạng thái giới hạn cực hạn |
5 Cơ sở thiết kế bao gồm tải trọng
5.1 Quy định chung
Điều 5 bao gồm các cơ sở thiết kế kỹ thuật cần thiết cho các ngành kỹ thuật chính để thiết lập các kết cấu hỗ trợ cho tuabin gió trên bờ.
Để cung cấp một tiêu chuẩn hữu ích cho ngành, một số chủ đề sẽ được trình bày một cách toàn diện khi hiện tại không có tài liệu tham khảo nào có liên quan. Đối với các chủ đề quen thuộc về thiết kế các bộ phận kết cấu, Điều 5 dự kiến sẽ được sử dụng cùng với các tiêu chuẩn tham khảo phù hợp cho thiết kế kết cấu đỡ. Cho phép sử dụng các tiêu chuẩn tham khảo phù hợp cung cấp mức an toàn yêu cầu như quy định trong TCVN 10687-1 (IEC 61400-1) hoặc IEC 61400-2. Chỉ các tài liệu IEC và ISO khác sẽ được tham chiếu trực tiếp trong tiêu chuẩn.
5.2 Cơ sở thiết kế
5.2.1 Nguyên tắc cơ bản
Kết cấu phải được xác định kích thước sao cho nó có thể chịu được các tác động tác động trong quá trình chạy thử trước khi có và không có vỏ tuabin và rôto, quá trình lắp đặt và tuổi thọ thiết kế. Nếu được yêu cầu, điều này cũng phải bao gồm cả việc vận chuyển đến nơi lắp đặt hoặc ngừng hoạt động ban đầu. Nhìn chung, việc xem xét tất cả các trường hợp tải nêu trong TCVN 10687-1 (IEC 61400-1) hoặc 61400-2 là đủ để xác định kích thước. Tuy nhiên, phải tính đến các tải trọng bổ sung do độ nghiêng của tháp và móng cũng như các ảnh hưởng từ nhiệt độ và rung động do xoáy gây ra. Việc xem xét các hành động bổ sung theo tiêu chuẩn cũng có thể cần thiết.
Thiết kế kết cấu phải tuân thủ theo một bộ tiêu chuẩn được công nhận hoặc một tiêu chuẩn tham khảo đã chọn. Các bộ tiêu chuẩn hoặc tiêu chuẩn tham khảo này phải bao quát đầy đủ các lĩnh vực cần thiết liên quan đến thiết kế kết cấu hỗ trợ tuabin gió và, khi cần thiết, phải được bổ sung thêm các yêu cầu quy định trong tiêu chuẩn này. Đặc biệt, các phương pháp kiểm tra xác nhận phải tính toán chính xác các tiêu chuẩn thực hiện của bộ tiêu chuẩn này để đảm bảo một thiết kế nhất quán. Việc kết hợp các tiêu chuẩn từ các bộ tiêu chuẩn khác nhau chỉ được phép nếu đã được kiểm tra xác nhận rằng sự kết hợp đó không làm giảm mức độ tin cậy.
Tiêu chuẩn tham khảo phải tuân theo TCVN 10687-1 (IEC 61400-1) hoặc IEC 61400-2, khi cần thiết, ví dụ về mức độ tin cậy và điều kiện môi trường.
Giá trị tối thiểu của hệ số an toàn từng phần đối với vật liệu có thể được lấy từ bộ tiêu chuẩn hoặc tiêu chuẩn tham khảo đã chọn trừ khi được quy định trong tiêu chuẩn này và miễn là nó được kiểm tra xác nhận rằng những điều này đáp ứng mức độ tin cậy yêu cầu nêu trong TCVN 10687-1 (IEC 61400-1) hoặc IEC 61400-2 kết hợp với các tải đặc tính đã cho.
Trong Phụ lục A một số tiêu chuẩn được liệt kê nhằm đáp ứng các yêu cầu nêu trên. Việc áp dụng các tiêu chuẩn khác không được liệt kê trong Phụ lục A vẫn có thể thực hiện nếu đáp ứng mức độ tin cậy yêu cầu theo tiêu chuẩn TCVN 10687-1 (IEC 61400-1) hoặc IEC 61400-2. Các phương pháp và hệ số an toàn không được phép kết hợp từ các tiêu chuẩn tham khảo khác nhau nếu điều này làm giảm mức độ an toàn.
Các khả năng chịu tải được xác định trong các mã thiết kế đã chọn chỉ có hiệu lực nếu các yêu cầu về vật liệu theo 6.3 và 7.3 được đáp ứng.
5.2.2 Độ bền
Kết cấu hỗ trợ phải được thiết kế sao cho các thay đổi phụ thuộc vào thời gian của các đặc tính không ảnh hưởng đến đáp ứng của kết cấu trong suốt tuổi thọ thiết kế. Điều này bao gồm cả việc thiết kế đủ để chống lại hiện tượng mỏi và, nếu áp dụng, động đất.
Dựa trên các giả định thiết kế và điều kiện môi trường, các hệ thống bảo vệ chống ăn mòn phù hợp phải được xem xét cho toàn bộ kết cấu đỡ. Nếu việc bảo vệ chống ăn mòn được thực hiện bằng lớp phủ, lớp phủ này phải được lựa chọn và áp dụng theo tiêu chuẩn TCVN 12705 (ISO 12944) (tất cả các phần).
Ngoài ra, các khoảng thời gian bảo trì và hoạt động theo Điều 9 phải được tuân thủ.
5.2.3 Nguyên tắc thiết kế trạng thái giới hạn
Các điều kiện liên quan đến an toàn con người hoặc tính toàn vẹn của kết cấu được xem như là trạng thái giới hạn cực hạn (ULS) hoặc trạng thái giới hạn mỏi (FLS). Để đơn giản hóa, các điều kiện trước khi xảy ra hỏng hóc của các thành phần có thể được xử lý như là trạng thái giới hạn.
Nói chung, việc kiểm tra xác nhận các trạng thái giới hạn sau đây phải được thực hiện đối với kết cấu:
• hỏng hóc do biến dạng quá mức hoặc do chuyển toàn bộ kết cấu hoặc các bộ phận của nó sang trạng thái động học hoặc đứt gãy hoặc trạng thái không ổn định (trạng thái giới hạn cực hạn, ULS);
• hỏng hóc toàn bộ kết cấu hoặc các bộ phận của nó do mỏi hoặc các ảnh hưởng phụ thuộc vào thời gian (trạng thái giới hạn mỏi, FLS);
• các trạng thái giới hạn xem xét chức năng của kết cấu hoặc một trong các thành phần của nó trong điều kiện sử dụng bình thường hoặc hình thức bên ngoài của kết cấu (trạng thái giới hạn khả năng hoạt động, SLS).
Các trạng thái giới hạn cực hạn và giới hạn mỏi phải được kiểm tra trong các tình huống thiết kế. Việc kiểm tra trạng thái giới hạn mỏi phải dựa vào tuổi thọ thiết kế của kết cấu.
5.2.4 Phân tích kết cấu
Việc xác định kích thước phải được thực hiện với các mô hình thích hợp của hệ kết cấu đối với các trạng thái giới hạn.
Phải kiểm tra xác nhận rằng các trạng thái giới hạn cực hạn và giới hạn mỏi không bị vượt quá nếu sử dụng các giá trị thiết kế phù hợp cho
• tải trọng,
• đặc tính vật liệu,
• các đặc tính thành phần, và
• các kích thước hình học trong mô hình tính toán.
Kiểm tra xác nhận phải được thực hiện đối với tất cả các tình huống thiết kế và trường hợp tải trọng quyết định. Khi cần thiết, phải tính đến các khuyết tật và biến dạng của kết cấu.
Kiểm tra xác nhận cũng phải bao gồm việc đánh giá độ suy giảm và tần số của hệ thống như được quy định trong các yêu cầu thiết kế.
5.2.5 Đánh giá bằng thử nghiệm
Việc thiết kế và tính toán kết cấu cũng có thể được thực hiện kết hợp với các thử nghiệm như mô tả trong ISO 2394 và TCVN 10687-1:2025 (IEC 61400-1:2019), Phụ lục K. Các phòng thí nghiệm thực hiện các thử nghiệm phải đảm bảo tuân thủ các yêu cầu phù hợp về hiệu chuẩn.
CHÚ THÍCH: Hướng dẫn về thực hành hiệu chuẩn tốt có thể có trong ISO/IEC 17025
Về nguyên tắc, việc xác định các giá trị độ bền, cả giá trị đặc trưng hoặc giá trị thiết kế từ các thử nghiệm là có thể. Các thử nghiệm phải được thực hiện theo cách đảm bảo mức độ an toàn và độ tin cậy yêu cầu cho tình huống thiết kế theo TCVN 10687-1 (IEC 61400-1) hoặc IEC 61400-2, như được đề cập trong quá trình kiểm tra xác nhận (xem thêm 7.6.2.2 của TCVN 10687-1:2025 (IEC 61400-1:2019)).
Nếu tiêu chuẩn tham khảo được sử dụng để kiểm tra kết cấu đưa ra các quy tắc đánh giá bằng thử nghiệm thì những quy tắc này cũng phải được xem xét.
5.3 Vật liệu
Yêu cầu cụ thể được đưa ra cho từng loại vật liệu trong 6.3 và 7.3.
Tất cả vật liệu phải được xử lý theo các tiêu chuẩn liên quan về yêu cầu chất lượng và điều kiện thử nghiệm.
Các giá trị đặc trưng của đặc tính vật liệu phải được lấy từ các tiêu chuẩn tương ứng trừ khi có đủ dữ liệu thử nghiệm để đạt được mức độ tin cậy yêu cầu trong TCVN 10687-1 (IEC 61400-1).
5.4 Tải trọng
5.4.1 Sử dụng các trường hợp tải trọng trong TCVN 10687-1 (IEC 61400-1) hoặc IEC 61400-2 và hệ số an toàn từng phần cho tải trọng
Tải trọng dùng để đánh giá trạng thái giới hạn cực hạn và trạng thái giới hạn mỏi của tháp và móng theo tiêu chuẩn này phải được lấy theo TCVN 10687-1 (IEC 61400-1) hoặc IEC 61400-2 và phải sử dụng hệ số an toàn được quy định trong TCVN 10687-1 (IEC 61400-1) hoặc IEC 61400-2 trừ khi có quy định khác trong tiêu chuẩn này. Tháp hoặc móng có thể được thiết kế cho các điều kiện môi trường thay thế, tức là các điều kiện khác với các điều kiện được sử dụng trong kiểm tra cụm rôto-vỏ tuabin. Ngoài ra, tải trọng riêng của vị trí có thể được phân bổ xung quanh tháp để tính đến hướng gió, ví dụ như tải trọng mỏi trên bất kỳ điểm nào trên tháp hoặc móng có thể giảm bằng cách tính đến hướng gió, ví dụ như vị trí của các lỗ mở có thể được bố trí ở những vùng chịu tải ít mỏi hơn. Điều này chỉ được áp dụng trong trường hợp tháp hoặc móng cho một địa điểm cụ thể.
Các phương pháp phân tích động học để tính toán tải trọng bên trong sẽ sử dụng độ cứng động của đất/nền cho mọi mức tải.
Ở những khu vực mà hoạt động động đất có thể ảnh hưởng đến tải trọng thì các trường hợp tải trọng động đất cũng phải được tính toán theo quy định phù hợp với TCVN 10687-1 (IEC 61400-1) hoặc IEC 61400-2 và các tiêu chuẩn động đất thích hợp. Hướng dẫn ước tính tải trọng động đất lên tháp và móng được mô tả trong Phụ lục O.
5.4.2 Thay thế hệ số an toàn từng phần TCVN 10687-1 (IEC 61400-1) hoặc IEC 61400-2 đối với vật liệu
Hệ số an toàn từng phần đối với vật liệu nêu trong tiêu chuẩn này thay thế các yêu cầu trong TCVN 10687-1 (IEC 61400-1) hoặc IEC 61400-2 đối với tháp tuabin gió trên bờ, móng và thiết kế địa kỹ thuật.
5.4.3 Mức khả năng chịu tải sử dụng
5.4.3.1 Quy định chung
Các mức tải trọng sử dụng cho trạng thái giới hạn hoạt động phải được áp dụng. Theo ISO 2394:2015, định nghĩa 2.2.10, trạng thái giới hạn sử dụng là “trạng thái giới hạn liên quan đến các tiêu chí quy định chức năng liên quan đến việc sử dụng bình thường” 4).
Các tháp tuabin gió và móng của chúng khác với hầu hết các công trình kỹ thuật dân dụng ở chỗ tỷ lệ giữa tải trọng tĩnh và tải trọng động rất nhỏ. Do đó, để thiết kế tháp tuabin gió và móng, các tải trọng SLS theo ISO 2394 được điều chỉnh sao cho các mức tải trọng SLS S1, S2 và S3 được áp dụng, tương ứng với mức tải trọng đặc trưng và hai mức tải trọng thường xuyên, với các mức độ tần suất khác nhau. Mức tải trọng thường xuyên hơn (xem S3 bên dưới) được sử dụng cho các tình huống thường được phân tích với mức tải trọng gần như vĩnh cửu.
Trong trường hợp phân tích trạng thái giới hạn khả năng hoạt động, phải sử dụng các mô phỏng tải tương tự như trên nhưng hệ số an toàn từng phần cho tải quy định trong TCVN 10687-1 (IEC 61400-1) hoặc IEC 61400-2 phải được thay thế bằng γkhả năng hoạt động, trong đó:
γkhả năng hoạt động = 1,0 (1)
CHÚ THÍCH: Có nhiều mức tải được sử dụng để phân tích SLS. Một số mức tải này được quy định trực tiếp trong TCVN 10687-1 (IEC 61400-1) hoặc IEC 61400-2. Tuy nhiên, một số khác được lấy từ các mô phỏng tải tương tự bằng cách sử dụng các thông số kỹ thuật dưới đây.
5.4.3.2 S1 - Giá trị đặc trưng của trường hợp bình thường và trường hợp vận chuyển
Các giá trị này bằng các giá trị cực trị từ tập hợp hoàn chỉnh các trường hợp được biểu thị bằng cách sử dụng psfl thông thường. Mức tải SLS này thường được biểu diễn bằng dữ liệu lịch sử thời gian trong hệ thống trực giao tại các điểm liên quan trong hệ thống, sau đó có thể được sử dụng để tạo ra lịch sử thời gian của ứng suất thông qua các mô hình tuyến tính và phi tuyến tính. Cho phép biểu diễn mức tải trọng SLS này bằng ma trận tải trọng trực giao tại các điểm cực hạn trong kết cấu nếu tổ hợp các tải trọng sẽ tạo ra ứng suất bảo toàn.
psfl cho SLS theo yêu cầu của tiêu chuẩn này phải được áp dụng.
5.4.3.3 S2 - p = 10-4 từ các mức tải trọng phổ mỏi
Các giá trị bằng 0,01 giá trị phân vị từ bộ hoàn chỉnh các trường hợp tải thiết kế (DLC) 1.1 theo yêu cầu của TCVN 10687-1:2025 (IEC 61400-1:2019), 7.6.2. Đối với mỗi bộ phận kết cấu, phải tạo ra sự phân bố xác suất cho tải trọng theo hướng tạo ra ứng suất cao nhất. Ngoài ra, có thể áp dụng các cách đơn giản hóa sau:
- đối với móng, tải trọng theo hướng gió ngang có thể bỏ qua;
- đối với tháp, giá trị phân vị yêu cầu có thể được lấy từ phân bổ xác suất của tải tổng hợp tại mỗi vị trí tháp.
CHÚ THÍCH: p = 10-4 hàm ý khoảng thời gian tiếp xúc với tải cao hơn là 0,87 giờ mỗi năm.
5.4.3.4 S3 - p = 10-2 từ mức tải trọng phổ mỏi
Điều này được suy ra như đối với S2 ở trên, nhưng giá trị 1 phần trăm được sử dụng.
CHÚ THÍCH: p = 10-2 hàm ý khoảng thời gian tiếp xúc với tải cao hơn là 87 giờ mỗi năm.
5.4.4 Tổ hợp tải trọng trong ULS
5.4.4.1 Ứng suất trước trong bê tông
Ứng suất trước phải được phân loại là một tác động vĩnh viễn. Trong hầu hết các tình huống, ứng suất trước được thiết kế để có lợi và, để kiểm tra trạng thái giới hạn cực hạn, hệ số an toàn từng phần cho tải trọng
phải được sử dụng.
(2)
Nếu ứng suất trước bất lợi thì hệ số từng phần tối thiểu cho phân tích tổng thể và cục bộ phải như sau.
(3)
Khi thực hiện các biện pháp để giảm độ không đảm bảo đo của tải trọng ứng suất trước, các hệ số có thể được lấy là
> 0,9 và
< 1,1. Trong khi độ chính xác cao của thiết bị căng có thể cải thiện độ chính xác của mức ứng suất ban đầu thì độ không đảm bảo còn lại liên quan đến tổn thất ứng suất trước cũng phải được xem xét nếu
và
sẽ được sửa đổi.
Đối với các ảnh hưởng cục bộ (ví dụ như các khu vực đưa tải trọng vào) và phân tích độ ổn định (ví dụ như mất ổn định),
trong mọi trường hợp không được lấy nhỏ hơn 1,1.
5.4.4.2 Tải trọng động đất
Tải trọng động đất phải được xếp chồng lên tải trọng vận hành (xem TCVN 10687-1 (IEC 61400-1) hoặc TCVN 10687-1:2025 (IEC 61400-1:2019), 11.6). Hệ số an toàn từng phần đối với tải trọng động đất được cho trong TCVN 10687-1 (IEC 61400-1).
5.4.4.3 Các tải trọng khí hậu khác như tải trọng tuyết
Tải trọng tuyết và khí hậu thường được coi là không đáng kể, nhưng cần được xem xét nếu có liên quan trong các trường hợp cụ thể của vị trí. Tải trọng này được áp dụng theo trạng thái giới hạn sử dụng, S1, với hệ số an toàn từng phần cho tải trọng như sau:
(4)
5.4.4.4 Ảnh hưởng của nhiệt độ
Ứng suất do nhiệt gây ra phải được kiểm tra khi kết hợp với trạng thái giới hạn sử dụng S1, cùng với ảnh hưởng của nhiệt độ và hệ số an toàn từng phần cho tải trọng như sau, khi ảnh hưởng của nhiệt độ là tải trọng chiếm ưu thế.
(5)
Các kết hợp tải trọng với các tải trọng khác có trong 7.2.3.1 cho các kết cấu bê tông.
5.4.4.5 Ảnh hưởng của lực nổi
Ảnh hưởng của lực nổi phải được xem xét như được mô tả trong TCVN 10687-1:2025 (IEC 61400-1:2019), 7.6.2.3.
5.4.5 Giá trị giảm chấn kết cấu được sử dụng trong tính toán tải trọng
Các giá trị giảm chấn của tháp và móng được sử dụng để tính tải trọng được mô tả ở 5.4.1 phải được chứng minh bằng phép đo hoặc phân tích liên quan. Phụ lục P đưa ra một số hướng dẫn.
Giảm chấn phải được tính toán một cách thận trọng về hình học, vật liệu và hình dạng dao động riêng trong trường hợp tháp bao gồm sự kết hợp của bê tông, ống thép, lưới hoặc các phần kết cấu khác. Giảm chấn kết cấu không bao gồm các nguồn sau:
• khí động học của kết cấu;
• các tác động điều khiển, khí động học hoặc cơ điện;
• bộ giảm chấn cơ khí;
• ảnh hưởng từ đất nền.
Tuy nhiên, tất cả những điều trên có thể được tính đến trong phần phân tích thích hợp, ví dụ khí động học và tác động điều khiển giảm xóc được mô phỏng theo mô hình đàn hồi khí động học. Bộ giảm chấn cơ học và ảnh hưởng từ đất nền có thể được mô hình hóa thông qua việc bổ sung hệ số giảm chấn kết cấu.
5.4.6 Xác định và phương pháp sử dụng tải trọng bên trong
Các tải được cung cấp bởi các phương pháp trong TCVN 10687-1 (IEC 61400-1) hoặc IEC 61400-2 là các tải bên ngoài có thể được sử dụng để tính toán các tải giữa các phần bên trong và các bề mặt như mặt bích. Các phương pháp phân tích cấu trúc phải tính đến điều này. Đây là một vấn đề cụ thể khi sử dụng tải với mô hình phần tử hữu hạn trong đó cần đảm bảo rằng tải trọng bên trong được biểu diễn chính xác tại giao diện liên quan nhưng không thể áp dụng trực tiếp vì giao diện không thể là cạnh tự do hoặc phải bị ràng buộc chính xác. Xem thêm Phụ lục N.
5.4.7 Xác định dữ liệu tải cần thiết để phân tích độ mỏi
Tải trọng mỏi phải có sẵn dưới dạng dữ liệu lịch sử thời gian trong hệ thống trực giao tại các điểm liên quan trong hệ thống, có thể được sử dụng để tạo ra ứng suất tại các vị trí quan trọng thông qua các mô hình tuyến tính và phi tuyến tính. Tải trọng phải phù hợp với thành phần kết cấu được phân tích.
Các phương pháp phân tích độ mỏi phải sử dụng cách đếm chu kỳ dòng mưa (tham khảo TCVN 10687-1 (IEC 61400-1) hoặc IEC 61400-2).
Dữ liệu phải được trình bày dưới dạng ma trận Markov cho biết số chu kỳ tải của từng bin tải có giá trị trung bình kết hợp với từng bin của các chu kỳ tải. Các phân tích phải sử dụng giá trị khắc nghiệt nhất của phạm vi bin để đảm bảo tính bảo toàn hoặc giá trị có trọng số theo độ dốc SN được sử dụng. Không có giới hạn về mức độ lớn hay nhỏ của phạm vi bin.
Cho phép sử dụng các dạng biểu diễn tải trọng mỏi khác cho các mục đích thích hợp. Cho phép sử dụng chu kỳ phạm vi không có phương tiện đối với một số chi tiết kết cấu nhất định, ví dụ như hàn, hoặc khi thực hiện giả định tải trọng trung bình bảo toàn. Tải trọng tương đương hỏng hóc chỉ được phép sử dụng trong các tình huống có lựa chọn độ dốc của đường cong SN và số chu kỳ tham chiếu, trong đó độ dốc tuyến tính đơn được chọn để thể hiện một cách thận trọng đường cong S-N thực tế.
5.4.8 Xác định dữ liệu tải cần thiết cho mức tải cực trị
Mức tải trọng cực trị phải được thể hiện bằng bảng tải trọng thiết kế (ba lực và ba mômen cho một hệ trục tọa độ trực giao xác định, cộng với lực ngang tổng hợp và mômen lật) tại các điểm quan trọng trong cấu trúc được chọn theo cách mà sự kết hợp của các tải trọng sẽ tạo ra ứng suất bảo toàn nhất. Bảng này cung cấp giá trị cực trị trong từng thành phần tải và các giá trị đương thời trong các thành phần tải khác 5).
Để rõ ràng trong một số phương pháp tính toán cường độ, bảng tải trọng đặc tính trực giao cũng phải được cung cấp, nghĩa là không áp dụng psfl.
Việc sử dụng tải đồng thời trong đánh giá cường độ phải tuân theo TCVN 10687-1 (IEC 61400-1) hoặc IEC 61400-2.
5.4.9 Rung động do xoáy
Các dao động ngang do dòng chảy không ổn định gây ra do khí động học cục bộ của tháp, đặc biệt là ở các tần số giao động riêng của tháp, thường được gọi là các rung động do xoáy gây ra, phải được xem xét khi tính toán tuổi thọ mỏi và tải trọng cực trị 6). Thiệt hại do rung động gió ngang gây ra bởi xoáy (ViV) phải được đánh giá cho tất cả các trạng thái của quá trình lắp ráp tháp và tuabin, trong thời gian bảo trì và dự phòng.
Thiệt hại do ViV gây ra có thể bỏ qua đến giá trị tổng thiệt hại D = 0,10.
Mặt khác, thiệt hại do ViV vượt quá 0,1 và thiệt hại theo hướng gió ngang đối với tải mỏi do tuổi thọ của tuabin phải được cộng thêm.
Khi tính toán các tác động do ViV gây ra, không được áp dụng giảm chấn khí động học.
5.4.10 Tải trọng do dung sai hình học và biến dạng đàn hồi theo phương thẳng đứng của tháp
Hiệu ứng tải trọng do dịch chuyển của tháp và cụm rôto-vỏ tuabin ra khỏi vị trí thẳng đứng không bị lệch được thiết kế phải được tính vào các tải như được xác định trong TCVN 10687-1 (IEC 61400-1) hoặc IEC 61400-2 hoặc phải được tính toán riêng theo yêu cầu của tiêu chuẩn này.
Các ảnh hưởng sau đây phải được xem xét:
• chuyển vị ngang do độ võng đàn hồi;
• chênh lệch giữa độ cứng xoay tĩnh và động của móng;
• sự không lý tưởng;
• tải trọng do chênh lệch độ lún;
• nhiệt độ, bao gồm cả ảnh hưởng của chênh lệch nhiệt độ;
• độ võng phi tuyến do mặt cắt ngang của tháp và móng bê tông bị nứt.
Các phương pháp tính toán tải theo yêu cầu của TCVN 10687-1 (IEC 61400-1) hoặc IEC 61400-2 bao gồm tác dụng tải của tải trọng hấp dẫn do độ lệch đàn hồi của kết cấu so với vị trí ban đầu, bao gồm cả sự giảm độ cứng biểu kiến.
Dung sai cho phép về độ thẳng đứng của tháp 7) phải được nêu trong tài liệu thiết kế và phải bao gồm các tác động ban đầu trong quá trình lắp ráp và lắp đặt, các tác động ngắn hạn do giãn nở nhiệt và các tác động lâu dài do sụt lún đất vĩnh viễn. Ảnh hưởng của độ thẳng đứng của tháp đến tải trọng hấp dẫn phải được tính đến riêng biệt trong quá trình phân tích kết cấu tháp và móng.
Tải trọng bổ sung do hiệu ứng bậc hai sẽ được xem xét trong tính toán tháp và móng để phân tích trạng thái giới hạn cực hạn. Để đơn giản hóa, chúng có thể được coi là có ảnh hưởng không đáng kể đến độ cứng của kết cấu. Theo đó, các hiệu ứng bậc hai có thể được đưa vào dưới dạng tải trọng bán tĩnh bổ sung (chủ yếu là tải trọng uốn do lực thẳng đứng và chuyển vị ngang của tháp).
Nhiều phần mềm mô phỏng tải trọng đàn hồi hàng không hiện đại bao gồm các hiệu ứng bậc hai nêu trên nên có thể không cần phân tích bán tĩnh bổ sung ở trên. Điều này sẽ được thực hiện rõ ràng trong các thông số kỹ thuật tải thiết kế cơ khí và kết cấu.
5.5 Dữ liệu tải và yêu cầu báo cáo giao diện
5.5.1 Mục đích
Tháp hoặc móng chỉ được chứng minh là tuân thủ tiêu chuẩn này nếu thiết kế dựa trên dữ liệu nhất định dành riêng cho cụm vỏ bọc rôto tuabin gió được sử dụng cùng với tháp và móng đó. Tài liệu giao diện có thể liên quan đến sự kết hợp giữa tháp và móng hoặc chỉ nền móng.
5.5.2 Đặc tính tuabin gió
Dữ liệu tải và báo cáo giao diện phải trình bày một số thông tin cơ bản nhất định cho tuabin gió để đảm bảo sự liên kết rõ ràng với cấu hình cụm rôto-vỏ tuabin tuabin gió cụ thể. Dữ liệu này phải bao gồm ít nhất những thông tin sau:
• ký hiệu mô hình;
• cấp gió thiết kế RNA hoặc điều kiện môi trường cấp S (xem bên dưới trong trường hợp có các điều kiện môi trường thay thế);
Cho phép bất kỳ điều kiện môi trường nào đối với thiết kế tháp khác với điều kiện môi trường đối với RNA. Trong trường hợp có các điều kiện môi trường thay thế như vậy thì các điều kiện này phải được quy định riêng. Những điều kiện môi trường thay thế này không bao hàm sự thay đổi về tính phù hợp của vị trí của RNA.
• chiều cao mặt bích trên so với mặt đất;
• các thông số quán tính của nền giả định, (có thể được cho là không đáng kể);
• dung sai cho phép, bao gồm cả độ thẳng đứng do xây dựng và độ lún;
• nền móng và mức độ cứng động và tĩnh cho phép (nếu có) của địa kỹ thuật, độ cứng xoay và độ cứng ngang.
Thông tin sau chỉ được yêu cầu nếu dữ liệu dành cho thiết kế tháp:
• giả định dải tần số chế độ uốn cơ bản của hệ thống ở cả hai trục chính;
• các giá trị giảm chấn sử dụng trong tính toán dẫn xuất tải, bao gồm cả biện minh nếu không tuân thủ 5.4.4.5;
• giả định hình học bên ngoài tháp;
• cấu hình mặt bích đỉnh tháp;
• các ràng buộc khác của tháp, ví dụ như cáp, bộ giảm chấn.
Thông tin sau đây chỉ được yêu cầu nếu dữ liệu được dùng cho thiết kế nền móng:
• chi tiết giao diện tháp - móng;
• giao diện nền móng cho các dịch vụ điện và các dịch vụ khác, bao gồm giới hạn về độ lún;
• cũng lưu ý các yêu cầu liên quan đến cọc trong 8.6.
Các thông số sau đây không bắt buộc nhưng có thể hỗ trợ việc liên kết dữ liệu với loại tuabin:
• ký hiệu cánh rôto;
• công suất danh định;
• đường kính rô to không bị lệch;
• phần mềm điều khiển và xác định tham số.
Nếu phân tích tải trọng cho thấy việc đưa các chế độ tháp cao hơn chế độ cơ bản làm tăng bất kỳ tải trọng quan trọng nào hơn 3%, thì phải cung cấp phạm vi giả định cho các chế độ khác.
Trong trường hợp thiết kế mặt bích đỉnh tháp được cung cấp riêng, phải cung cấp đủ thông tin để tái tạo thiết kế này và đảm bảo giao diện hình học, chức năng và cấu trúc chính xác.
5.5.3 Dữ liệu lịch sử thời gian
Tất cả dữ liệu tải trọng có liên quan sẽ được cung cấp dưới dạng lịch sử thời gian để thiết kế tháp.
5.5.4 Nguồn gốc tải trọng
Phải đảm bảo dữ liệu có sẵn tại tất cả các điểm tới hạn. Đề xuất rằng ít nhất các điểm tới hạn sau đây, được gọi là điểm gốc, được xem xét; đỉnh tháp, đáy tháp và ở các cấp độ có liên quan (ví dụ: các điểm kết nối cho các phần tháp được cố định bằng chi tiết bắt chặt) trong tháp.
5.5.5 Các thành phần tải trọng
Dữ liệu tải trọng sẽ được trình bày dưới dạng sáu thành phần như tải trọng bên trong tại các gốc cần thiết trên một mặt cắt ngang được quy định; lực theo ba trục vuông góc với nhau và mômen quanh các trục đó, trong đó một trục vuông góc với mặt cắt ngang.
5.6 Yêu cầu thiết kế kết cấu chung
5.6.1 Ảnh hưởng của kết cấu phụ
Tác động của các thành phần kết cấu phụ đến độ bền hoặc tuổi thọ chịu mỏi của kết cấu chính sẽ được đưa vào phân tích.
5.6.2 Phân tích độ mỏi
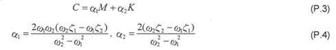
Thiệt hại do mỏi được tính toán do các mức phạm vi khác nhau sẽ được cộng lại trong quá trình kiểm tra xác nhận mỏi theo quy tắc Palmgren-Miner. Tổng thiệt hại DEd kết quả do tải trọng mỏi nghiêm trọng gây ra phải đáp ứng các điều kiện sau:
![]()
Trong đó:
n (Δσi) là số chu kỳ tải cho một phạm vi nhất định Δσi;
N (Δσi) là số chu kỳ tải khi hỏng trong phạm vi Δσi tính đến ứng suất trung bình khi cần thiết và tính đến sự an toàn từng phần cho vật liệu và tải trọng.
Tổng giới hạn thiệt hại phải thấp hơn 1,0 nếu được quy định trong tiêu chuẩn tham khảo.
5.7 Tài liệu bàn giao
Tài liệu phải phù hợp với TCVN 10687-1:2025 (EC 61400-1:2019),12.6.
6 Tháp bằng thép
6.1 Quy định chung
Các nguyên tắc thiết kế thép chủ yếu được định nghĩa rõ ràng và ghi chép trong tài liệu, bao gồm các tiêu chuẩn tham khảo. Điều 6 cung cấp các quy tắc và hướng dẫn bổ sung hoặc chi tiết hơn dành riêng cho các tháp tuabin gió trên bờ và bổ sung cho các yêu cầu chung hơn của các tiêu chuẩn hiện hành.
Điều 6 đưa ra các yêu cầu dưới dạng các tuyên bố chung và phương pháp phân tích. Hướng dẫn về các phương pháp tính toán được chấp nhận được coi là tuân thủ các yêu cầu được trình bày trong Phụ lục A đến Phụ lục G.
6.2 Cơ sở thiết kế
Cơ sở của các yêu cầu thiết kế được đưa ra ở 5.1.
6.3 Vật liệu
6.3.1 Quy định chung
Trong 6.3, các yêu cầu đối với thép kết cấu và vật liệu bulông được quy định. Các vật liệu khác có thể được sử dụng nếu các đặc tính vật liệu của chúng (ví dụ độ dẻo) tuân thủ các giả định của phương pháp kiểm tra xác nhận.
6.3.2 Thép kết cấu
6.3.2.1 Yêu cầu về thép kết cấu
Chỉ được sử dụng thép kết cấu đáp ứng các yêu cầu sau về độ dẻo, độ bền chống nứt và khả năng hàn.
Để đảm bảo khả năng hàn tốt hơn, khả năng chống lão hóa tốt hơn và nguy cơ gãy giòn thấp hơn, thép kết cấu phải được khử oxy một phần trong điều kiện khí hậu bình thường và khử oxy hoàn toàn trong điều kiện khí hậu lạnh (khử oxy theo các phương pháp được công nhận).
CHÚ THÍCH: Danh sách các loại thép kết cấu đáp ứng các yêu cầu về độ dẻo và độ bền chống nứt được nêu trong Phụ lục B.
6.3.2.2 Độ dẻo
Tỷ lệ danh nghĩa giữa độ bền kéo và giới hạn chảy phải bằng hoặc lớn hơn 1,10.
Độ giãn dài khi đứt phải lớn hơn hoặc bằng 15 %.
6.3.2.3 Độ bền chống nứt
Độ bền chống nứt được định nghĩa là "năng lượng va đập tối thiểu được hấp thụ ở nhiệt độ thử nghiệm" đối với mẫu thử có rãnh khía V kích thước tiêu chuẩn theo ISO 148-1. Hướng rãnh khía đối với mẫu hàn phải theo ISO 9016:2012.
Độ bền chống nứt cần thiết sẽ được xác định bằng cách xem xét:
• nhiệt độ thành phần thấp nhất (bao gồm cả tổn thất bức xạ);
• độ dày của bộ phận;
• mức ứng suất tới hạn liên quan đến giới hạn chảy (tùy thuộc vào độ dày của tấm);
• mạ kẽm nhúng nóng, nếu có thể.
Việc xác định độ bền chống nứt cần thiết của vật liệu sẽ được thực hiện theo tiêu chuẩn tham khảo hoặc bằng phương pháp cơ học phá hủy.
Mức ứng suất cực hạn có thể được xác định là ứng suất danh nghĩa trong các mặt cắt ngang cực hạn và các bộ phận kết cấu tại vị trí lan truyền vết nứt dự kiến (ví dụ tại các vòng gia cường theo chu vi hoặc mặt bích vòng tròn) 8).
Nhiệt độ thành phần thấp nhất phải tương ứng với ứng suất cực hạn được xác định ở mức tải S2 (xem 5.4.3.3).
Đối với điều kiện khí hậu bình thường, nhiệt độ thành phần thấp nhất là -30 °C phải được áp dụng cho việc lựa chọn cấp của thép. Đối với điều kiện khí hậu lạnh, nhiệt độ để lựa chọn cấp của thép phải thấp hơn 10 °C so với nhiệt độ môi trường thấp nhất trong quá trình vận hành. Sau đó, có thể bỏ qua tác động của quá trình tạo hình nguội và tốc độ biến dạng tăng.
Ngoài ra, nhiệt độ thành phần thấp nhất cũng có thể được xác định bằng cách sử dụng nhiệt độ thấp nhất thực tế trong phạm vi nhiệt độ bình thường. Trong trường hợp đó, cần tính đến tác động của quá trình tạo hình nguội và tốc độ biến dạng tăng 9).
Độ bền chống nứt của vật liệu sẽ được kiểm tra xác nhận bằng thử nghiệm phá hủy. Kết quả của các thử nghiệm độ bền sẽ được liệt kê trong giấy chứng nhận vật liệu. Ở đây, tiêu chí đạt-không đạt của các thử nghiệm Charpy có thể được lấy từ tiêu chuẩn tham khảo.
Về độ bền chống nứt của các kết nối mặt bích vòng, độ dày vật liệu quyết định có thể được lựa chọn theo các điều kiện sau.
a) Đối với mặt bích vòng có cổ hàn, độ dày vật liệu quyết định tương quan với độ dày vỏ tháp kết nối (b theo Hình 1) trong các điều kiện sau 10).
Khoảng cách giữa mép mối hàn chu vi và sản phẩm hoàn thiện (mặt trên của bề mặt bích) phải đáp ứng Công thức (7) (các tham số r và l theo Hình 1). Nếu không đáp ứng, mặt bích phải được đánh giá là "không có cổ hàn".
r + l ≥ max. (r, 10 mm) (7)
Nếu không quy định chuẩn bị mối hàn, việc chuẩn bị mối hàn đối đầu kép hình chữ V với góc vát 45° (cả hai bên) để tính toán khoảng cách hiệu quả, c.
c = b/2 (8)
Một cách thận trọng, toàn bộ độ dày của mặt bích (ttot theo Hình 1) cũng có thể được tính đến để kiểm tra xác nhận đủ độ bền chống nứt của vật liệu.
b) Đối với mặt bích vòng không có cổ hàn, độ dày vật liệu quyết định tương quan với độ dày mặt bích (tf theo Hình 1) của mặt bích vòng.

CHÚ DẪN:
tf Độ dày mặt bích
ttot Tổng độ dày mặt bích, bao gồm cả phần cổ hàn
btot Chiều rộng mặt bích
r Bán kính chuyển tiếp
c Chiều cao vát mép của phần chuẩn bị hàn
b Độ dày cổ hàn
l Khoảng cách từ bán kính chuyển tiếp đến đỉnh mỗi hàn (= ttot - tf - r - c)
CHÚ THÍCH: Trong Hình 1, độ dài l được định nghĩa là khoảng cách từ cuối bán kính đến đầu của cạnh vát. Đối với công thức, có thể cần phải tính đến khoảng cách l ngắn hơn, vì vị trí của đỉnh mối hàn có thể không trùng với cuối của cạnh vát mà gần hơn với bán kính do sự chồng lấp của đường hàn.
Hình 1 - Ký hiệu mặt bích là một ví dụ về mặt bích chữ L
6.3.2.4 Đặc tính xuyên chiều dày
Yêu cầu về đặc tính xuyên chiều dày cần thiết cho vật liệu phát sinh từ quá trình hàn, khi độ co ngót của mối hàn được hạn chế cục bộ hoặc toàn bộ theo hướng xuyên suốt chiều dày và cần được bù đắp bằng ứng suất xuyên suốt độ dày dẻo cục bộ. Do đó, đối với các tấm được tải vuông góc với hướng cán, các tính chất cần thiết theo một tiêu chuẩn được công nhận đã chọn sẽ được kiểm tra xác nhận. Đối với mặt bích có cổ hàn được sản xuất từ các tấm (độ dày của tấm giống với chiều cao mặt bích ttot theo Hình 1), chiều cao cổ chỉ có thể được thêm vào để cải thiện kết quả một cách có lợi nếu khoảng cách từ điểm chuyển tiếp mối hàn đến cuối bán kính gốc lượn (l + r theo Hình 1) tương ứng với ít nhất một nửa độ dày của cổ (b theo Hình 1):
l + r ≥ b/2
Đối với mặt bích được sản xuất từ các tấm được tải theo chiều dọc theo hướng cán (độ dày của tấm bằng với chiều rộng mặt bích btot theo Hình 1) và đối với các mặt bích là được sản xuất từ một vòng cán liền mạch hoặc từ một thanh cán trên tất cả các mặt, không cần phải kiểm tra xác nhận các đặc tính xuyên chiều dày.
Phụ lục D cung cấp phương pháp kiểm tra xác nhận đặc tính xuyên chiều dày.
6.3.2.5 Khả năng hàn
Thành phần hóa học của thép phải phù hợp để hàn theo tiêu chuẩn thi công mà thiết kế dựa vào.
6.3.2.6 Không bị tách lớp
Phải kiểm tra xác nhận độ không bị tách lớp đủ cho các tấm được tải vuông góc với hướng cán (ví dụ bằng thử nghiệm siêu âm). Các tiêu chí chấp nhận cần được lấy từ các tiêu chuẩn thiết kế và sản xuất được tham khảo.
6.3.3 Bulông và neo
Vật liệu cho bulông và neo phải tuân thủ các yêu cầu nêu trong ISO 898-1 hoặc tương đương. Các bulông lớn hơn các bulông được đề cập trong ISO 898 (M39) phải được lấy một cách hợp lý từ các bulông được đề cập trong tiêu chuẩn tham khảo. Đối với các bulông trong các kết nối bích vòng, chỉ được phép sử dụng các loại 8.8 và 10.9.
Có thể sử dụng bulông cấp 12,9 nếu tuân thủ theo quy định thiết kế được công nhận. Các bulông như vậy không được mạ kẽm nhúng nóng. Trong trường hợp này, cần đánh giá hệ thống sơn phủ thay thế cũng như các đặc tính cơ học kết hợp với quy trình áp dụng lực căng trước cho bulông.
Phạm vi nhiệt độ áp dụng của vật liệu bulông phải tương ứng với điều kiện khí hậu của thông số kỹ thuật tuabin gió.
Việc so sánh giữa các tiêu chuẩn và việc sử dụng thông lệ tốt nhất có thể có trong Phụ lục A.
6.4 Phân tích độ bền cực hạn cho tháp và lỗ mở
6.4.1 Quy định chung
Việc kiểm tra xác nhận sẽ được thực hiện theo các yêu cầu về phân tích độ bền cực hạn theo 7.6.2 của TCVN 10687-1:2025 (IEC 61400-1:2019).
6.4.2 Hệ số an toàn từng phần
Các hệ số an toàn từng phần sẽ được lựa chọn dựa trên tiêu chuẩn áp dụng. Các hệ số an toàn tối thiểu cho ULS được định nghĩa trong TCVN 10687-1 (IEC 61400-1) hoặc IEC 61400-2.
Tháp tuabin gió bao gồm các thành phần kết cấu thường không chịu được hỏng hóc, đạt loại thành phần 2 theo TCVN 10687-1 (IEC 61400-1).
6.4.3 Kiểm tra độ bền cực hạn
Việc kiểm tra xác nhận sẽ được thực hiện với các tổ hợp trường hợp tải trọng thiết kế bất lợi nhất của tải trọng trọng trường, mômen uốn tổng hợp, mômen xoắn và lực cắt tổng hợp.
6.4.4 Đánh giá tháp
Trong các tháp thép ống hình trụ và hình nón, ứng suất cần thiết để kiểm tra xác nhận ULS có thể được xác định theo lý thuyết màng vỏ. Điều đó có nghĩa là, ví dụ, đối với việc truyền tải tải trọng gió, có thể áp dụng lý thuyết uốn ống cơ bản. Các mômen uốn vỏ do áp suất gió không đều xung quanh chu vi hoặc ứng suất hạn chế do nhiễu loạn cạnh tại các mặt bích hoặc thanh gia cường có thể bị bỏ qua. Tại các điểm chuyển tiếp có độ côn thay đổi, không được hỗ trợ bởi các thanh gia cường vòng hoặc mặt bích, ứng suất màng chu vi cục bộ và mômen uốn vỏ do độ lệch lực sẽ được xem xét.
Đối với các khu vực tháp bị suy yếu do các lỗ hổng và các đánh giá chi tiết cụ thể khác, xem 6.4.5.
6.4.5 Đánh giá chi tiết
6.4.5.1 Các lỗ mở
Đối với các lỗ mở trong tháp thép ống, phải xem xét đến sự tập trung ứng suất tại mép lỗ mở.
6.4.5.2 Mặt bích đỉnh tháp
Trong quá trình phân tích ứng suất của mặt bích đỉnh tháp, cần xem xét đến điểm tập trung ứng suất đối với mối hàn chu vi và phần chuyển tiếp từ cổ mối hàn sang mặt bích, có thể là bán kính (xem Hình 1).
Các hiệu ứng phi tuyến tính sẽ được xem xét trong quá trình truyền tải tải từ ổ trục xoay tuabin, bao gồm bất kỳ đường dẫn tải không đều nào từ vỏ tuabin đến mặt bích trên cùng và hiệu ứng của các góc tiếp xúc ổ trục và các thay đổi tại các điểm tiếp xúc, đòi hỏi thông tin chi tiết từ thông số kỹ thuật của tuabin gió. Thiết kế mặt bích có thể được trình bày trong thông số kỹ thuật của tuabin gió để sử dụng trên bất kỳ thiết kế tháp nào với điều kiện là phạm vi tải thiết kế mặt bích bằng hoặc vượt quá phạm vi tải thiết kế của tháp.
6.4.5.3 Xử lý với dẻo hóa cục bộ
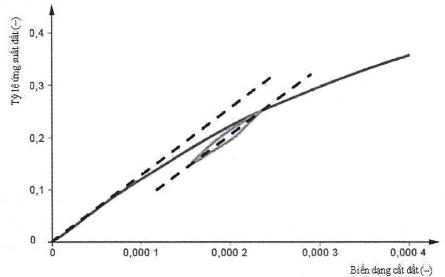
Nếu không có phân tích phi tuyến tính chi tiết về vật liệu, quá trình dẻo hóa cục bộ sẽ bị giới hạn ở các vùng nhỏ đối với ULS.
Đối với ULS, tổng biến dạng cỏ thể được ước tính bằng quy tắc Neuber sử dụng ứng suất điểm nóng von Mises có được bằng mô hình vật liệu đàn hồi tuyến tính. Ứng suất dư từ hàn và khuyết tật có thể được bỏ qua. Trong trường hợp quy tắc Neuper được sử dụng để ước tính tổng biến dạng trong trường hợp dẻo hóa, tổng biến dạng sẽ được giới hạn ở mức 1 %.
![]()
Trong đó:
tổng biến dạng
điểm tập trung ứng suất cục bộ của kết cấu
ứng suất giới hạn chảy thiết kế của vật liệu
Nếu đánh giá độ mỏi cho các chi tiết hàn được thực hiện bằng các phương pháp tiếp cận cục bộ, thì không có quá trình dẻo hóa cục bộ (được đánh giá dựa trên ứng suất kết cấu ngoại suy) sẽ xảy ra đối với mức tải trọng mỏi tối đa từ các trường hợp tải trọng mỏi được xác định trong Bảng 2 của IEC 61400-1:2019, trừ khi đánh giá chi tiết hơn về độ mỏi chu kỳ thấp được thực hiện. Ở đây, ứng suất dư từ quá trình hàn và các khuyết tật có thể bị bỏ qua.
6.5 Tính ổn định
6.5.1 Quy định chung
Phân tích độ ổn định của tháp bằng thép phải được thực hiện bằng cách xem xét các chế độ phá hủy có liên quan đến loại kết cấu cụ thể, tức là độ võng vỏ đối với tháp ống hoặc độ võng dầm đối với tháp lưới.
Phân tích độ ổn định cho các tháp ống thép có thể được thực hiện dựa trên chiều dài của phần giữa các mặt bích nếu các mặt bích là mặt bích L hoặc T. Đối với các khái niệm khác, cần kiểm tra xác nhận rằng các kết nối phần sẽ cung cấp các điều kiện biên cần thiết để chỉ tính toán theo từng phần, nếu không, phải sử dụng toàn bộ chiều cao của tháp.
Việc kiểm tra xác nhận phải được thực hiện với các tổ hợp trường hợp tải bất lợi nhất của tải trọng hấp dẫn, mômen uốn tổng hợp, mômen xoắn và lực cắt tổng hợp.
6.5.2 Hệ số an toàn từng phần
Các hệ số an toàn từng phần phải được lựa chọn dựa trên phương pháp kiểm tra xác nhận được áp dụng. Các hệ số an toàn tối thiểu để kiểm tra xác nhận độ võng được xác định trong 5.4. 11)
6.5.3 Đánh giá
Việc kiểm tra xác nhận độ an toàn khi oằn của vách của tháp bằng thép hình ống phải được thực hiện bằng một trong các kỹ thuật sau:
• kiểm tra xác nhận bằng cách phân tích theo các quy trình được thừa nhận;
• kiểm tra xác nhận độ an toàn khi oằn được hỗ trợ bằng số.
Các mức độ khác nhau khi xem xét tính phi tuyến tính của vật liệu, hình học (MNA, GMNA) cũng như các khuyết tật (GMNIA) được mô tả trong tài liệu, để biết chi tiết, xem ví dụ tài liệu tham khảo trong Phụ lục A.
Nếu sử dụng kiểm tra xác nhận an toàn khi oằn được hỗ trợ bằng số, các thông số đầu vào chính là độ bền tải giới hạn dẻo, độ bền tham chiếu đàn hồi và độ nhạy khuyết tật. Điện trở tham chiếu dẻo có thể được tính toán bằng số hoặc (nếu có) bằng các công thức đại số. Việc giảm điện trở do sự hiện diện của khuyết tật sẽ xem xét trường hợp xấu nhất, bằng cách đưa trực tiếp các khuyết tật vào mô hình số hoặc bằng các đường cong suy giảm phụ thuộc vào độ mảnh.
Sự không lý tưởng được xem xét trong thiết kế phải bao gồm sự không lý tưởng tiềm ẩn về hình học, cấu trúc và vật liệu có thể xảy ra trong quá trình chế tạo và lắp đặt.
6.5.4 Khung cửa/cổ gia cường
Việc kiểm tra xác nhận độ an toàn khi oằn cho các lỗ mở có hoặc không có bộ phận gia cường trong tháp bằng thép hình ống phải được thực hiện bằng một trong các kỹ thuật sau:
• phân tích độ oằn số phi tuyến tính về mặt hình học và vật liệu bao gồm các khuyết tật (GMNIA);
• kiểm tra xác nhận bằng cách phân tích theo các phương pháp do Velickov đề xuất (xem Phụ lục E);
Đối với các lỗ mở có cổ gia cường, mặt cắt ngang của cổ gia cường phải được căn giữa với vỏ tháp ở vị trí 3 h và 9 h của cổ gia cường (xem Hình 2 và Hình E.2). Đối với vỏ trụ, cho phép lệch từ tâm trong phạm vi lên đến vị trí căn giữa của cổ gia cường với vỏ tháp ở vị trí 12 h của cổ gia cường. Đối với vỏ hình nón, có thể cần xem xét thêm.
• các phương pháp thay thế từ tài liệu bao gồm sửa đổi, đơn giản hóa hoặc mở rộng các cách tiếp cận nêu trên có thể được xem xét nếu chúng dẫn đến mức độ an toàn tương đương.

Hình 2 - Hình học của cửa mở
6.6 Trạng thái giới hạn mỏi
6.6.1 Quy định chung
Việc kiểm tra xác nhận phải được thực hiện với các tổ hợp tải trọng mỏi theo 5.4. Mỗi thành phần chịu tải trọng mỏi phải được kiểm tra xác nhận.
Đối với tháp ống, việc sử dụng mômen uốn chủ yếu (trước-sau hoặc bên-bên) có thể được coi là đủ để kiểm tra xác nhận độ mỏi nhưng chỉ ở những vùng không có điểm gián đoạn, ví dụ như không ở khu vực cửa.
Trong trường hợp kết cấu có dây neo, cần xem xét thêm các yêu cầu (ví dụ như dao động mạnh) về tải trọng mỏi.
6.6.2 Hệ số an toàn từng phần cho vật liệu
Tháp tuabin gió thường chứa các thành phần kết cấu không chịu được hỏng hóc, do đó thành phần này được xếp vào loại 2 theo TCVN 10687-1 (IEC 61400-1).
Việc sử dụng thành phần loại 1 thay vì thành phần loại 2 cho các chi tiết cụ thể của thành phần cần được nghiên cứu bằng các kiểm tra xác nhận bổ sung, ví dụ như cơ học phá hủy, để chứng minh rằng hỏng hóc cục bộ không dẫn đến chuỗi hỏng hóc với hậu quả nghiêm trọng.
Các phương pháp xác định hệ số an toàn từng phần sẽ được lựa chọn theo Phụ lục K của TCVN 10687-1:2025 (IEC 61400-1:2019) để đạt được mức độ tin cậy mong muốn.
Tần suất kiểm tra sẽ được đánh giá và xác định dựa trên các chi tiết lựa chọn, vật liệu và mức độ ứng suất cũng như các quy định được đưa ra theo phương pháp chịu hỏng hóc theo Phụ lục K của TCVN 10687-1:2025 (IEC 61400-1:2019).
6.6.3 Đánh giá
Có thể thực hiện kiểm tra xác nhận bằng nhiều cách tiếp cận khác nhau. Tham khảo chi tiết về các phương pháp áp dụng được nêu trong Phụ lục F. Phương pháp được chọn phải bao gồm các tác động của sự không lý tưởng về hình học và cấu trúc từ quá trình sản xuất và thực hiện vật liệu (ví dụ: tác động của dung sai và ứng suất dư từ quá trình hàn).
Không được áp dụng giới hạn cắt của độ bền mỏi trong đường cong S/N cho bất kỳ số chu kỳ tải nào.
Nhìn chung, các phương pháp áp dụng bao gồm nhưng không giới hạn ở,
, phương pháp biến dạng tại chỗ và cơ học nứt, đồng thời cần tính đến việc xử lý sau chế tạo. Việc xem xét xử lý sau chế tạo chỉ có hiệu lực nếu nó được bao gồm trong tiêu chuẩn tham khảo hoặc được xác nhận bằng các thử nghiệm theo Phụ lục K của TCVN 10687-1:2025 (IEC 61400-1:2019).
Khi sử dụng phương án
và các thành phần ứng suất, mọi thành phần ứng suất có liên quan (
,
) sẽ được xem xét trong tính toán mỏi. Nếu sử dụng ứng suất chính, đường cong S/N được áp dụng phải phù hợp với hướng ứng suất chính. Hướng dẫn bổ sung được cung cấp trong Phụ lục F và các tài liệu liên quan.
Không được sử dụng ứng suất tương đương có dấu (von Mises) để đánh giá độ mỏi.
Bất kể phương pháp hoặc tiêu chuẩn tham khảo nào được áp dụng, mức độ tin cậy không được thấp hơn mức quy định trong TCVN 10687-1 (IEC 61400-1) hoặc IEC 61400-2.
6.6.4 Chi tiết
Các chi tiết hàn hoặc lỗ khoan phải được đánh giá về tác động của sự tập trung ứng suất cục bộ. Thông tin chi tiết có thể tham khảo trong Phụ lục F.
Ứng suất cấu trúc cần thiết để tính toán độ mỏi của mối hàn và thanh tăng cứng cửa phải được đánh giá bằng một trong các phương pháp sau:
1) mô hình hóa thanh tăng cứng cửa có mối hàn;
2) mô hình hóa thanh tăng cứng cửa không có mối hàn và ngoại suy theo ứng suất điểm nóng theo IIW-2259-15 [9];
3) các phương pháp tương đương khác.
6.7 Mối nối mặt bích vòng
6.7.1 Quy định chung
Các quy định nêu trong 6.7 có hiệu lực đối với cả kết nối mặt bích chữ L và chữ T.
6.7.2 Giả định và yêu cầu thiết kế, gia công mặt bích vòng
Các kết nối mặt bích vòng phải được siết chặt theo cách có kiểm soát trong nhiều bước theo tiêu chuẩn tham khảo và/hoặc quy trình được phê duyệt.
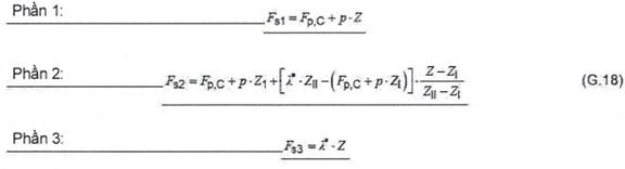
Lực căng trước thiết kế của bulông phải được giới hạn ở 70 % độ bền kéo của một bulông. Nếu không, phải chứng minh rằng hệ thống căng có thể tạo ứng suất trước cho bulông theo cách mà lực căng trước đạt được nhưng bulông không bị ứng suất quá mức (tức là có thể cho phép ứng suất trước vượt quá giới hạn căng khi xem xét khả năng biến dạng dẻo của bulông).
Tất cả các khoảng hở mặt bích k trong khu vực tường tháp dẫn đến tăng tải trọng mỏi của bulông, đặc biệt là khi khoảng hở chỉ kéo dài trên một phần chu vi. Ảnh hưởng của hỏng hóc tăng lên khi chiều dài nhịp giảm dần lk trên chu vi của mặt bích.
Dung sai phải được nêu trong bản vẽ hoặc tài liệu làm việc.

Hình 3 - Khoảng hở mặt bích k trong khu vực tường tháp
Sau khi hoàn tất quá trình sản xuất các phần tháp riêng lẻ, độ lệch phẳng theo mặt bích đến bên trong bề mặt kết nối (độ côn) của mỗi mặt bích (xem Hình 3, trường hợp 2 và 3) sẽ được kiểm tra và không được vượt quá các giá trị trong Bảng 1, lưu ý rằng vùng gần tường tháp là quyết định. Độ côn bên ngoài nói chung không được phép nếu không xem xét thêm.
Bảng 1 - Dung sai mặt bích
| Đặc điểm | Giá trị giới hạn |
| Độ lệch phẳng trên mỗi mặt bích (k/2 theo Hình 3) xung quanh toàn bộ chu vi | 2,0mm |
| Độ lệch phẳng trên mỗi mặt bích (k/2 theo Hình 3) trên một đoạn 30° | tối đa 1,0 mm |
| Thuôn nhọn αs vào bên trong bề mặt kết nối của mỗi mặt bích | 0,0° đến 0,7° |
| Bề mặt bích ngoài giới hạn αs trước khi sử dụng vòng đệm côn | 2° |
Nếu độ lệch phẳng lớn hơn được giả định trong thiết kế, phân tích trạng thái giới hạn mỏi sẽ bao gồm tác động của độ lệch phẳng lớn hơn này (ví dụ: khả năng mở mặt bích để tính toán lực bulông dọc và uốn). Ngoài ra, mức căng trước thiết kế được giả định trong tính toán bulông sẽ được giảm đi giá trị tải trước cần thiết để đóng các khoảng hở mặt bích trong khu vực tường tháp.
Phải đảm bảo rằng lực nén cục bộ đủ lớn tại các khu vực tiếp xúc của mặt bích được tạo ra từ lực tải trước của từng bulông riêng lẻ thông qua việc sản xuất chính xác các mặt bích và các kết nối hàn của chúng, bao gồm cả tải trước chính xác.
Trong trường hợp bề mặt tiếp xúc của mặt bích không có đủ ứng suất nén tại tháp bên ngoài sau khi tải trước bulông, cần thực hiện các biện pháp phù hợp. Các biện pháp phù hợp có thể bao gồm làm lại, chèn hoặc lấp đầy các khoảng trống liên quan đến hỏng hóc khi không áp dụng tải trước.
Các miếng đệm hoặc vật liệu độn phải có đủ môđun đàn hồi và cường độ nén (điểm chảy khi nén) để sao chép hiệu ứng của vật liệu mặt bích gốc. Việc lấp đầy khe hở phải được thực hiện sao cho tiếp xúc được tạo ra tốt nhất là trước quá trình tải trước, nhưng chậm nhất là sau khi áp dụng 10 % tải trước, hoặc ở vùng lân cận trực tiếp của mỗi bulông hoặc ở khu vực giữa mỗi bulông riêng lẻ và tường tháp (bao gồm cả khu vực ngay bên dưới tường tháp).
Nếu sau khi tải trước, độ nghiêng còn lại αs của các bề mặt bích ngoài (xem Hình 3) vượt quá giá trị giới hạn 2°, phải sử dụng vòng đệm côn thích hợp có độ cứng đủ thay cho vòng đệm thông thường.
Có thể cho rằng kết nối hàn của mặt bích với tường tháp không bị ảnh hưởng bởi sự biến dạng cạnh của vỏ tháp, nếu
• bán kính giữa bề mặt bích và cổ hàn ít nhất là 10 mm,
• khoảng cách giữa mép mối hàn chu vi và sản phẩm hoàn thiện (mặt trên của bề mặt bích) phải đáp ứng các yêu cầu trong 6.3.2.3,
• yêu cầu về khoảng cách từ chân mối hàn đến bề mặt bích áp dụng cho hàn sản xuất và hàn sửa chữa, và
• Độ côn bên trong mỗi mặt bích được giới hạn ở mức 0,7°.
Trong trường hợp đáp ứng được các yêu cầu trên, đối với mặt bích chữ L, chỉ cần kiểm tra trạng thái giới hạn mỏi của bulông mặt bích và đường hàn chu vi.
Trong trường hợp không đáp ứng được các yêu cầu trên, cần phải tiến hành phân tích chi tiết về trạng thái giới hạn mỏi và cực hạn cho mặt bích, mối hàn giữa mặt bích và vỏ tháp và vỏ tháp gần mối hàn. Ngoài ra, phải chọn phân loại chi tiết cho mối hàn như đối với kết nối mặt bích không có cổ hàn.
6.7.3 Phân tích trạng thái giới hạn cực hạn của kết nối mặt bích và bulông
Trong phân tích trạng thái giới hạn cực hạn của các kết nối mặt bích, mang tải mỏi trước của bulông có thể không cần xem xét, nghĩa là phân tích trạng thái giới hạn cực hạn có thể được thực hiện như đối với kết nối bulông không tải trước.
Có thể sử dụng phương pháp tính toán đơn giản theo Petersen/Seidel hoặc Tobinaga (xem Phụ lục G) nếu phương pháp này bao gồm các khoảng hở mặt bích có độ lớn được cho phép khi gia công.
Phương pháp tính toán cần phải xem xét ít nhất ba chế độ hỏng hóc sau:
• bulông bị hỏng do vỡ;
• bulông bị hỏng do vỡ kết hợp với bản lề chịu lực trong vỏ tháp và/hoặc vật liệu mặt bích;
• bản lề chịu lực trong vỏ tháp và/hoặc trong vật liệu mặt bích.
Ảnh hưởng của tải trọng dọc trục trong vỏ tháp phải được xem xét khi tính toán cường độ uốn của vỏ tháp và/hoặc vật liệu mặt bích.
Tải trọng có lợi (giảm tải trọng lên kết nối bulông, ví dụ như trọng lượng), nếu có, sẽ sử dụng hệ số an toàn từng phần cho tải trọng có lợi.
6.7.4 Phân tích trạng thái giới hạn mỏi của liên kết bulông
Trong phân tích an toàn chịu mỏi của kết nối mặt bích, tải trọng chịu mỏi của bulông có thể được xác định bằng cách xem xét tải trọng nén trước của mặt bích, với điều kiện đáp ứng các điều kiện sau.
Đối với tính toán độ mỏi, lực căng trước của bulông có thể được áp dụng với tối đa 90% lực căng trước thiết kế Fp,C, với điều kiện là các bulông được siết chặt lại sau lần đầu tiên nới lỏng kết nối bulông. Việc siết chặt lại sẽ được thực hiện sau ít nhất 240 h sản xuất điện nhưng trong mọi trường hợp, không muộn hơn sáu tháng sau khi đưa vào vận hành. Nếu không, 70 % lực căng trước thiết kế Fp,c sẽ được sử dụng để tính toán độ mỏi.
Việc kiểm tra xác nhận an toàn mỏi sẽ dựa trên hàm lực bulông phi tuyến tính FS = f(Z) từ đó phạm vi mỏi của lực bulông FS có thể được đọc ra cho một phạm vi nhất định của lực vỏ tháp Z (xem Hình 4).
Hàm lực bulông phi tuyến tính có thể được suy ra từ phương pháp tính toán đơn giản theo Schmidt/ Neuper (xem Phụ lục G) nếu nó bao gồm các khoảng hở mặt bích có độ lớn được cho phép khi gia công.
Trong quá trình xác định hàm lực bulông với sự hỗ trợ của phương pháp tính toán tinh vi hơn (ví dụ FEM sử dụng các phần tử tiếp xúc hoặc lò xo), các khoảng hở mặt bích được cho phép khi gia công phải được coi là các khuyết tật. Nếu hàm lực bulông được xác định mà không có khuyết tật với sự hỗ trợ của phương pháp tính toán lý tường như vậy, các khoảng hở mặt bích được cho phép khi gia công có thể được tính đến bằng cách tăng độ dốc ban đầu của hàm lực bulông một cách phù hợp dựa trên các nghiên cứu về tác động của các khuyết tật được thể hiện một cách định tính trong Hình 4.

Hình 4 - Lực bulông theo lực tường
Khi sử dụng các phương pháp tính toán không xét đến ảnh hưởng của mômen uốn lên bulông (ví dụ phương pháp tính toán đơn giản hóa từ Schmidt/Neuper, xem Phụ lục G), độ an toàn chống mỏi của bulông sẽ được xác định bằng cách sử dụng phân loại chi tiết số 36*, như trình bày trong Hình 5.
Đối với bulông lớn hơn M30, đường cong S/N giảm theo hệ số ks với ks = (30 mm/d)0,25 phải được tính đến, trong đó d là đường kính danh nghĩa của bulông.

Hình 5 - Đường cong SN cho phân loại chi tiết số 36
6.8 Kết nối bulông chịu lực cắt thông qua ma sát
6.8.1 Yêu cầu chung
Các kết nối bulông trong các mối nối và mối ghép của các phần tử xây dựng của kết cấu chính phải được thiết kế cho trạng thái giới hạn cực hạn (khả năng chống trượt cực hạn) và trạng thái giới hạn mỏi (khả năng chống trượt trong điều kiện tải trọng mỏi dài hạn).
Đối với trạng thái giới hạn cực hạn, phải kiểm tra xác nhận rằng đối với mỗi bulông trong kết nối, lực tối đa tác dụng tại mối nối cắt không vượt quá lực trượt giới hạn. Ngoài việc tính toán trạng thái giới hạn cực hạn (khả năng chống trượt cuối cùng), phải thực hiện các kiểm tra xác nhận sau:
• lực thiết kế tối đa tác dụng lên bulông trong mối nối cắt không được vượt quá sức cản thiết kế của lỗ giới hạn;
• lực thiết kế tối đa tác dụng lên bulông trong mối nối cắt không được vượt quá sức cản thiết kế đàn hồi giới hạn của mặt cắt ngang tại các lỗ bulông đối với trạng thái giới hạn cực hạn;
• lực thiết kế tối đa tác dụng lên bulông trong mối nối cắt không được vượt quá sức chịu cắt thiết kế trên mỗi mặt phẳng cắt;
• lực tối đa tác dụng lên bulông trong mối nối kéo và cắt kết hợp không vượt quá sức cản thiết kế trượt giới hạn cho trạng thái giới hạn cực hạn;
• vật liệu tấm được kết nối bằng liên kết ma sát phải có đủ khả năng chịu tải trọng mỏi, đặc biệt khi xét đến sự gia tăng ứng suất cục bộ do lỗ (bao gồm cả các xem xét do chế tạo lỗ) và bất kỳ độ lệch tâm nào đối với trạng thái giới hạn mỏi và cực hạn.
Kiểm tra độ mỏi của các tấm và bulông, cả chịu cắt và chịu lực, phải sử dụng đường cong SN từ tiêu chuẩn tham khảo hoặc các thử nghiệm mỏi liên quan đến các kết nối, đảm bảo không vượt quá khoảng cách tối đa và tối thiểu giữa các bulông.
Tải trọng thực tế của bulông phải vượt quá các giả định về tải trọng trong thiết kế trong suốt thời gian thiết kế. Kết nối có thể được thiết kế dựa trên giả định về việc bảo dưỡng bulông theo quy định hoặc không, và giả định về tải trọng phải tính đến điều này. Việc bảo dưỡng phải được nêu rõ trong tài liệu giao hàng. Các yêu cầu tối thiểu về bảo dưỡng cho thiết kế không có thử nghiệm được nêu trong 6.8.3.
Trong các kết nối có nguy cơ ăn mòn tiếp xúc giữa bulông và lỗ, các biện pháp bảo vệ chống ăn mòn đặc biệt phải được thực hiện, đặc biệt khi sử dụng các bộ phận xây dựng mạ kẽm nhúng nóng.
6.8.2 Thiết kế hỗ trợ thử nghiệm
Có thể đạt được kết nối không cần bảo trì bằng thiết kế hỗ trợ thử nghiệm như sau:
• đối với trạng thái giới hạn mỏi, phải kiểm tra xác nhận rằng việc sử dụng ma sát cho tải trọng tối đa trong các trường hợp tải trọng mỏi không vượt quá việc sử dụng ma sát cho tải trọng tối đa được áp dụng trong thử nghiệm;
• lực cản cắt thiết kế của mối nối ma sát được tính theo công thức sau:
![]()
trong đó:
![]()
trong đó
là lực bulông tải trước được sử dụng trong tính toán thiết kế;
là lực bulông tải trước được đưa ra trong quy định thiết kế hoặc phê duyệt kỹ thuật có liên quan;
Lf là hệ số mất tải trước, không được xem xét trong quy tắc thiết kế áp dụng;
μ là hệ số ma sát;
n là số lượng giao diện truyền lực trong kết nối;
là hệ số an toàn từng phần cho vật liệu.
Lực tải trước
sẽ tính đến sự mất tải trước trong kết nối bulông bằng hệ số Lf hoặc bằng cách triển khai đợt đo và chương trình bảo trì dựa trên kết quả của đợt đo.
Để xác định Lf có hai cách tiếp cận có thể thực hiện.
1) Kiểm tra các mẫu đại diện của kết nối ma sát để xác định kết nối không cần bảo trì.
Các mẫu thử nghiệm phải giống với mối nối được sử dụng trong thiết kế tháp thực tế. Điều này có nghĩa là ít nhất các thông số sau đây phải được xem xét:
• chiều dài kẹp;
• chuẩn bị bề mặt, tình trạng và độ dày lớp;
• loại bulông, kích thước, chiều dài, cấp, chất lượng, bề mặt tiếp xúc của bulông, đai ốc và vòng đệm;
• lực căng trước;
• chất lượng của vật liệu cơ bản;
• phạm vi nhiệt độ;
• hình dạng của kết nối (ví dụ độ lệch tâm, số lượng bulông theo hướng tải, khoảng cách giữa các bulông, độ dày của các bộ phận kẹp);
• kích thước và chế tạo lỗ;
• mức tải trọng tối đa dự kiến cho ULS và FLS;
• phương pháp lắp đặt.
2) Giả sử một giá trị cho Lf trong giai đoạn thiết kế và xác nhận bằng một đợt đo thích hợp trên kết nối ma sát rằng giả định cho Lf là thận trọng.
Đợt đo sẽ bắt đầu ngay sau quá trình căng trước. Thiết bị đo sẽ không thay đổi các thông số có liên quan so với các kết nối bulông được sử dụng trong tháp.
Nếu cần thiết, chương trình bảo trì sẽ được xác định dựa trên kết quả của đợt đo.
Các thử nghiệm, phép đo và giải thích kết quả phải được tiến hành theo tiêu chuẩn được công nhận và được đánh giá theo TCVN 10687-1:2025 (IEC 61400-1:2019), Phụ lục K.
Đối với thiết kế dựa trên thử nghiệm không cần bảo trì, hệ số ma sát μ sẽ được thử nghiệm kết hợp với việc xác định hệ số Lf .
Đối với thiết kế có đợt đo và chương trình bảo trì, hệ số ma sát sẽ được thử nghiệm theo tiêu chuẩn được công nhận trong khi tính đến hình dạng của kết nối, điều kiện bề mặt chi tiết tại tháp thực tế và mức lực căng trước.
Điều này phải tuân thủ các tiêu chuẩn thiết kế được công nhận và TCVN 10687-1 (IEC 61400-1). Giá trị sau đây của γM được khuyến khích.
| γM = 1.25 | (12) |
6.8.3 Thiết kế không có thử nghiệm
Đối với thiết kế không có sự hỗ trợ của thử nghiệm, điều sau đây được áp dụng:
• độ chống trượt tối đa của mối nối phải được thiết kế theo tiêu chuẩn tham khảo;
• lực ứng suất trước phải được kiểm tra bằng cách kiểm tra và nếu cần, phải đảm bảo bằng cách siết chặt lại trong vòng sáu tháng đầu tiên sau khi lắp đặt, mặc dù không phải ngay sau khi đưa vào vận hành.
7 Tháp bê tông và móng
7.1 Quy định chung
Các nguyên tắc thiết kế cụ thể chủ yếu được định nghĩa rõ ràng và ghi chép trong tài liệu, bao gồm các tiêu chuẩn tham khảo. Điều 7 cung cấp các quy tắc và hướng dẫn bổ sung hoặc chi tiết hơn dành riêng cho các tháp và móng tuabin gió trên bờ và bổ sung cho các yêu cầu chung hơn của các tiêu chuẩn hiện hành.
Điều khoản 7 đưa ra các yêu cầu dưới dạng các tuyên bố chung và phương pháp phân tích. Hướng dẫn về các phương pháp tính toán được chấp nhận được coi là tuân thủ các yêu cầu được trình bày trong Phụ lục H đến Phụ lục K.
7.2 Cơ sở thiết kế
7.2.1 Tiêu chuẩn tham khảo cho thiết kế bê tông
Tiêu chuẩn tham khảo phải tuân thủ các nguyên tắc cơ bản của TCVN 10687-1 (IEC 61400-1) hoặc IEC 61400-2 và phải tuân thủ ISO 19338. Tiêu chuẩn tham khảo phải đưa ra các nguyên tắc cần thiết cho thiết kế chống mỏi cho tất cả các chế độ hỏng hóc có thể xảy ra.
7.2.2 Hệ số an toàn từng phần
Các hệ số an toàn từng phần được nêu trong TCVN 10687-1 (IEC 61400-1), IEC 61400-2 và trong 5.4 cũng như các hệ số dưới đây phải được áp dụng cho thiết kế kết cấu bê tông như các yêu cầu tối thiểu. Các hệ số an toàn từ tiêu chuẩn tham khảo đã chọn phải được xem xét và chúng phải đáp ứng ít nhất độ tin cậy mục tiêu trong các tiêu chuẩn.
Đối với việc kiểm tra xác nhận chung tại SLS, hệ số an toàn từng phần cho vật liệu nói chung có thể được lấy là γM = 1,0.
Trong trường hợp bê tông ứng suất trước trong ULS, các tổn thất ứng suất trước và các biến đổi có thể có trong ứng suất trước phải được xem xét. Việc xem xét các biến đổi phải được thực hiện bằng cách áp dụng giá trị bất lợi nhất trong hai hệ số yf, ứng suất trước có lợi và yf, ứng suất trước, bất lợi.
Trong trường hợp bê tông ứng suất trước trong FLS và SLS, các biến đổi phải được xem xét bằng cách áp dụng giá trị bất lợi nhất trong các hệ số rsup và rinf . Đối với FLS và SLS, khuyến nghị các hệ số được sử dụng để căng sau với cáp liên kết là rsup = 1,10 và rinf = 0,90, nhưng các hệ số được khuyến nghị cho căng sau với cáp không liên kết và cho căng trước là rsup = 1,05 và rinf = 0,95.
Khi các biện pháp được thực hiện để giảm độ không đảm bảo về tải trọng ứng suất trước, các hệ số rsup và rinf có thể được coi là rsup = rinf = 1,0. Trong khi độ chính xác cao của các thiết bị căng có thể cải thiện độ chính xác của mức ứng suất trước ban đầu, độ không đảm bảo còn lại liên quan đến tổn thất ứng suất trước cũng sẽ được xem xét nếu rsup và rinf phải được sửa đổi.
Khi độ bền cao của một bộ phận không có lợi, giá trị độ bền đặc trưng cao hơn sẽ được sử dụng để giảm thiểu khả năng hỏng hóc của kết cấu liền kề.
Giá trị trên phải được chọn với cùng mức xác suất vượt quá như xác suất các giá trị thấp hơn được gạch chân. Trong những trường hợp như vậy, hệ số an toàn từng phần cho vật liệu phải là 1,0 để tính toán độ bền được sử dụng khi các hành động được áp dụng cho các thành phần liền kề.
7.2.3 Biến cơ bản
7.2.3.1 Tác động nhiệt
7.2.3.1.1 Yêu cầu chung
Tháp bê tông phải chịu tác động ứng suất gây ra do sự thay đổi nhiệt độ liên quan đến nhiệt độ tại thời điểm dựng cũng như sự thay đổi nhiệt độ trong mặt cắt ngang của tháp như thể hiện trong Hình 6.

Hình 6 - Hiệu ứng nhiệt xung quanh mặt cắt ngang của tháp
Những tác động nhiệt độ đặc trưng này sẽ được xem xét trong thiết kế như giải thích sau đây.
ΔT1 là sự chênh lệch nhiệt độ đồng đều so với nhiệt độ tại thời điểm lắp dựng (nhiệt độ không đổi dọc theo chu vi và xuyên qua độ dày tường). ΔT1 cần được xem xét ở trường hợp bất lợi nhất trong số các giá trị sau:
• Tcực trị, max - Tlắp đặt, min.
• Tcực trị, min - Tlắp đặt, max.
trong đó
Tcực trị, max và Tlắp đặt, min là phạm vi nhiệt độ cực trị được định nghĩa trong TCVN 10687-1:2025 (IEC 61400-1:2019), 6.4.2.1
Tlắp đặt, max và Tlắp đặt, min là phạm vi nhiệt độ cho phép được xác định để xây dựng tháp
Tác động nhiệt độ này thường có thể bị bỏ qua miễn là tháp không kết hợp hoặc không bị hạn chế bởi các vật liệu có hệ số giãn nở nhiệt khác nhau. Trên cơ sở ΔT1, một giả định hợp lý sẽ được đưa ra cho sự chênh lệch nhiệt độ giữa tháp và móng có thể gây ra ứng suất do bị hạn chế.
ΔT2 = ±15 K là sự chênh lệch nhiệt độ hình cosin do bức xạ mặt trời gây ra trên một mặt bên của tháp (nhiệt độ không đổi trên toàn bộ độ dày của tường và hình dạng cosin dọc theo chu vi).
Tải trọng thứ cấp bổ sung ( P - Δ effect) phát sinh do sự lệch hướng do ΔT2 có thể bị bỏ qua nếu độ lệch tháp ít nhất là 5 mm/m độ lệch ngang trên một mét chiều cao được áp dụng làm dung sai hình học trong thiết kế kết cấu của tháp (độ lún khác biệt của móng sẽ được xem xét riêng theo 8.5.3.3).
Hơn nữa, có thể cho rằng sự hạn chế gây ra bởi ΔT2 được bao phủ bởi ΔT3 nếu mômen uốn trong tường gây ra bởi ΔT3 được tính toán dựa trên phân tích tuyến tính (mặt cắt ngang không nứt, mối quan hệ ứng suất-biến dạng tuyến tính và giá trị trung bình của môđun đàn hồi).
ΔT3 = ±15 K là chênh lệch nhiệt độ giữa bề mặt tường bên trong và bên ngoài (hằng số nhiệt độ dọc theo chu vi, thay đổi tuyến tính trên toàn bộ độ dày của thành). Giá trị ±15 K có mục đích bao gồm những thay đổi về nhiệt độ môi trường; ΔT3 có thể cần phải là tăng lên nếu có nhiều nguồn nhiệt đáng kể khác được đặt trong hoặc gần tháp tuabin gió.
Các tác động gây ra bởi sự giải phóng nhiệt hydrat hóa trong các tháp bê tông tại chỗ không được bao gồm trong ΔT1 - ΔT3 và sẽ được xem xét riêng.
Các hành động nhiệt độ nêu trên thường bao gồm các điều kiện môi trường bình thường được xác định trong TCVN 10687-1 (IEC 61400-1) hoặc IEC 61400-2. Các điều kiện khí hậu khu vực đặc biệt nằm ngoài các điều kiện môi trường bình thường sẽ được tính đến khi áp dụng các hành động nhiệt độ.
Các thành phần nhiệt độ khác nhau sẽ được xếp chồng lên nhau để tác động nhiệt độ đặc trưng ΔTk sẽ được coi là bất lợi nhất trong số:

7.2.3.1.2 Yêu cầu về trạng thái giới hạn cực hạn
Trong ULS, các tác động nhiệt độ sẽ được chồng lên tải trọng thiết kế cực hạn Fd, của trường hợp tải N theo Bảng 2 của TCVN 10687-1:2025 (IEC 61400-1:2019). Hệ số an toàn từng phần cho các hành động nhiệt độ sẽ được lấy là γf, Temp = 1,35 nên ΔTd = γf , Temp ΔTk. Ít nhất sự kết hợp có lợi sau đây sẽ được xem xét trong thiết kế.
Fd + 0,6 ΔTd
0,6 Fd + ΔTd
psfm, γf Temp có thể giảm xuống còn 1,0 nếu các hiệu ứng được xác định dựa trên phân tích đàn hồi tuyến tính.
7.2.3.1.3 Yêu cầu về trạng thái giới hạn khả năng hoạt động
Trong SLS, các tác động của nhiệt độ sẽ được chồng lên FSLS, giá trị tải trọng của các trường hợp tải trọng SLS áp dụng như được định nghĩa trong Phụ lục H.
Đối với các trường hợp tải S2 và S3 (xem_5.4.3), chỉ cần xem xét sự kết hợp của FSLS + 0,6ΔTk trong thiết kế, trong khi đối với trường hợp tải S1 cũng là sự kết hợp của 0,6FSLS+ Tk sẽ được xem xét.
7.2.2.2 Ứng suất trước
Ứng suất trước của các kết cấu bê tông được xem xét trong 7.2.3.2 được áp dụng bằng các bó thép cường độ cao (dây, sợi hoặc thanh) hoặc bulông cường độ cao.
Cáp và bulông có thể được đặt sẵn trong bê tông. Chúng có thể được căng trước rồi liên kết hoặc căng sau rồi liên kết hoặc không liên kết.
Cáp cũng có thể nằm bên ngoài cấu trúc với các điểm tiếp xúc xảy ra tại các điểm lệch và điểm neo.
7.3 Vật liệu
Vật liệu kết cấu bê tông phải tuân thủ ISO 22965-1 và ISO 22965-2 đối với bê tông và ISO 6934 (tất cả các phần) và ISO 6935 (tất cả các phần) đối với cốt thép trừ khi các yêu cầu trong các tiêu chuẩn tham khảo được chọn có tính chất nghiêm ngặt hơn. Trong cả hai trường hợp, các yêu cầu của tiêu chuẩn này sẽ thay thế.
7.4 Độ bền
7.4.1 Yêu cầu về độ bền
Để đạt được tuổi thọ thiết kế theo yêu cầu của kết cấu, cần phải thực hiện các biện pháp thích hợp để bảo vệ từng thành phần kết cấu khỏi các tác động môi trường có liên quan. Các yêu cầu được xác định trong tiêu chuẩn tham khảo về độ bền phải được đáp ứng.
Các yêu cầu về độ bền sẽ được đưa vào khi xem xét những điều sau:
• khái niệm cấu trúc;
• lựa chọn vật liệu;
• chi tiết xây dựng;
• thực hiện;
• kiểm soát chất lượng;
• điều tra;
• kiểm tra xác nhận:
• các biện pháp đặc biệt (ví dụ sử dụng thép không gỉ, lớp phủ và bảo vệ catốt).
7.4.2 Cấp độ tiếp xúc
Nếu không được quy định trong tiêu chuẩn tham khảo, có thể sử dụng các cấp độ tiếp xúc được cho trong ISO 22965-1.
7.4.3 Lớp phủ bê tông
Yêu cầu về lớp phủ bê tông sẽ bao gồm cấp độ tiếp xúc, chất lượng bê tông và tuổi thọ thiết kế của kết cấu. Các thông số khác có thể quan trọng trong các trường hợp cụ thể.
Lớp bê tông che phủ danh nghĩa phải được quy định trên bản vẽ hoặc thông số kỹ thuật thi công.
7.5 Phân tích cấu trúc
7.5.1 Phân tích phần tử hữu hạn
Mô hình phần tử hữu hạn phải phù hợp với mục đích điều tra. Các mục sau đây sẽ được xem xét nếu chúng được dự kiến sẽ ảnh hưởng đáng kể đến kết quả phân tích có liên quan.
• Cấu trúc phải cân bằng với tải trọng tác dụng và các điều kiện biên.
• Thứ tự và loại của từng phần tử phải đủ để nắm bắt được các mô hình biến dạng dự kiến.
• Nghiên cứu độ nhạy lưới thường được yêu cầu để đánh giá xem mô hình có dự đoán đầy đủ sự biến dạng của kết cấu hay không và do đó dự đoán được sự phân bố tải trọng trong kết cấu.
• Biến dạng thứ cấp và hiệu ứng ba chiều sẽ được xem xét.
• Tính tương thích của biến dạng phải được xem xét, bao gồm cả độ lệch biến dạng giữa các loại vật liệu và sự phân hủy biến dạng. Sự phụ thuộc của tải trọng-đường dẫn cũng có thể cần được xem xét.
• Phản ứng không đàn hồi của vật liệu, bao gồm nứt bê tông và biến dạng của cốt thép, sẽ được xem xét khi cần thiết. Vì nguyên tắc chồng chất không áp dụng khi vật liệu thể hiện phản ứng không đàn hồi, nên cần có một phân tích riêng cho mỗi tổ hợp tải trọng được tính toán.
• Sự suy giảm của các cơ cấu chịu lực, chẳng hạn như liên kết, khả năng chống trượt dọc theo vết nứt, bong tróc và các yếu tố khác ảnh hưởng đến độ cứng và độ bền của các thành phần kết cấu phải được xem xét.
• Các tác động theo thời gian, chẳng hạn như hiện tượng từ biến của bê tông và sự giãn nở của ứng suất trước, sẽ được xem xét khi các tác động này là đáng kể.
Các hướng dẫn chi tiết hơn về phân tích phần tử hữu hạn có thể có trong Phụ lục I.
7.5.2 Bản móng
Bản móng đặc chịu uốn cong hai chiều phải được phân tích bằng một hoặc nhiều phương pháp sau.
• Phân tích dựa trên độ đàn hồi tuyến tính
Phương pháp này dựa trên lý thuyết đàn hồi áp dụng mối quan hệ mômen-độ cong tuyến tính. Nó có thể được sử dụng cho khả năng hoạt động, độ mỏi và trạng thái giới hạn cực hạn.
• Phân tích theo độ đàn hồi tuyến tính với sự phân bố lại giới hạn của các mômen uốn
Phân tích tuyến tính với sự phân phối lại hạn chế các mômen có thể được áp dụng cho phân tích các bản móng để kiểm tra chỉ ở trạng thái giới hạn cực hạn. Việc giảm mômen sẽ được thực hiện với giả định giá trị trung bình cho một chiều rộng thích hợp, với điều kiện là các mômen trung bình cho cùng một chiều rộng tại phần tương ứng được điều chỉnh để thỏa mãn trạng thái cân bằng. Khả năng quay cần được kiểm tra.
• Phân tích dẻo
Các trường mômen dẻo có thể chấp nhận tĩnh thỏa mãn điều kiện cân bằng có thể được tìm trực tiếp (ví dụ bằng cách áp dụng phương pháp dải) hoặc bằng cách bắt đầu từ phân tích tuyến tính. Phương pháp này chỉ có thể được sử dụng cho trạng thái giới hạn cực hạn.
• Phân tích phi tuyến tính
Phân tích phi tuyến tính bao gồm ULS, FLS và SLS, với điều kiện cân bằng và khả năng tương thích được thỏa mãn và vật liệu có trạng thái phi tuyến tính phù hợp.
7.5.3 Vùng có sự gián đoạn về hình học hoặc tải trọng
Các vùng không liên tục sẽ được đánh giá bằng các mô hình lực đã được xác nhận bằng kết quả thử nghiệm và/hoặc các xem xét lý thuyết. Các mô hình này có thể là hệ thống mô hình thanh chống và giằng, trường ứng suất hoặc tương tự, đáp ứng các điều kiện cân bằng.
Nếu không có mô hình tính toán nào được công nhận cho thành phần đang đề cập, hình dạng của mô hình có thể được xác định từ điều kiện ứng suất cho một cấu trúc đồng nhất không bị nứt theo lý thuyết đàn hồi.
Các phương pháp xác định cường độ của giàn chịu tải (gồm các thanh chống, thanh giằng và mối nối (hoặc nút)) phải tuân theo các tiêu chuẩn tham khảo bao gồm khả năng chịu ứng suất bê tông tối đa cho các thanh chống và vùng nút, cũng như các quy tắc xác định kích thước của các thanh chống, thanh giằng và vùng nút.
Tiêu chuẩn này không quy định hình dạng của giàn chịu tải.
Đối với việc thiết kế các vùng không liên tục trong đó sử dụng mô hình thanh giằng phức tạp và có khả năng không xác định, cần hết sức thận trọng để đảm bảo các thành phần có thể đạt được và duy trì khả năng chịu lực cho đến khi hình thành cơ cấu giàn dẻo.
Hướng dẫn chi tiết hơn về mô hình thanh chống và giằng có thể có trong Phụ lục K. Xem thêm Phụ lục J quy định về các kết nối giữa móng bê tông và tháp thép.
7.5.4 Bố trí bulông neo đúc
Bulông và mặt bích neo đúc vào bê tông để neo tháp thép hoặc tương tự phải được thiết kế theo Điều 6 khi thích hợp. Tác động lên bê tông phải được coi là tương tự như tác động từ cáp ứng suất trước.
7.6 Mối nối bê tông với bê tông
Các mối nối bê tông với bê tông được coi là giao diện giữa bê tông cốt thép đổ tại chỗ với độ trễ đáng kể hoặc các mối nối giữa các khối đúc sẵn (thường được cố định bằng cốt thép căng sau) có hoặc không có vữa.
Các mối nối bê tông với bê tông sẽ được xem xét khi kiểm tra xác nhận ULS, FLS và SLS cho tất cả các kết cấu hỗ trợ bê tông.
Cường độ cắt phải được kiểm tra trong mối nối, phần lớn bị ảnh hưởng bởi hệ số ma sát bê tông trên mối nối, cốt thép trên mối nối đúc tại chỗ và mức lực căng sau trên các mối nối của phần tử đúc sẵn. Hệ số ma sát là một hàm của độ nhám bề mặt, thường được mô tả bằng tham số độ nhám bề mặt, Ra. Hệ số ma sát phải được kiểm tra theo tiêu chuẩn tham khảo.
Do tải trọng tuần hoàn thay đổi của tuabin gió, nên cần xem xét đến nguy cơ giảm khả năng chịu cắt của mối nối.
Khả năng chịu tải nén của vữa và các thành phần liền kề sẽ được kiểm tra xác nhận bằng cách xem xét độ cứng của vữa và hình dạng của mối nối. Khi có thể xảy ra các khuyết tật như không khớp trong kết cấu phân đoạn, chúng sẽ được xem xét trong thiết kế. Các ứng suất ngang gây ra sẽ được gia cố khi cần thiết.
Phân tích phi tuyến tính (độ cứng phụ thuộc tải) thường được yêu cầu khi xem xét độ cứng giảm của mối nối (ở ULS, phải giả định rằng có thể xảy ra hiện tượng mở hoặc nứt, trừ khi thiết kế được kiểm tra xác nhận để tránh hiện tượng này).
Cần đặc biệt chú ý đến các vùng chịu các ảnh hưởng tập trung ứng suất, ví dụ như các neo ứng suất trước, vùng tiếp xúc không đồng đều và các điểm không liên tục về mặt hình học và/hoặc vật liệu.
Khả năng chịu kéo qua mối nối có thể được cung cấp bằng thanh căng sau, cáp bện căng sau hoặc cốt thép thụ động.
Dung sai tại các mối nối phải được xác định theo các yêu cầu thực hiện nêu trong 7.10.
Dung sai tại các mối nối phải đủ để các bộ phận có thể khớp với nhau theo ý muốn.
7.7 Trạng thái giới hạn cực hạn
7.7.1 Quy định chung
Nhìn chung, tiêu chuẩn tham khảo được chọn sẽ được tuân theo khi thiết kế ULS.
7.7.2 Cắt và cắt đột
Lượng cốt thép chịu cắt tối thiểu theo yêu cầu trong tiêu chuẩn tham khảo phải được sử dụng ngay cả khi không cần thiết để đáp ứng các yêu cầu của ULS. Việc gia cố này sẽ làm giảm tác động của kích thước trong các thành phần lớn và cũng giúp giải quyết các tác động có hại của các tác động cắt tuần hoàn. Khoảng cách của cốt thép này không được vượt quá giới hạn của tiêu chuẩn tham khảo.
Sự cố cắt đột phải được kiểm tra xác nhận tại các khu vực xảy ra hiện tượng này, ví dụ như trường hợp kết nối giữa tháp và móng.
7.8 Trạng thái giới hạn mỏi
7.8.1 Quy định chung
Trong các tháp và móng bê tông cốt thép và bê tông ứng suất trước, phải tiến hành kiểm tra an toàn chịu mỏi cho bê tông, thép cốt, cốt thép, mối nối đúc, v.v.
Các mô hình đàn hồi tuyến tính thường có thể được sử dụng và bê tông cốt thép chịu kéo được coi là bị nứt. Tỷ lệ môđun đàn hồi cho thép và bê tông có thể được lấy là α = 10.
Tiêu chuẩn tham khảo cung cấp các nguyên tắc cần thiết cho thiết kế chống mỏi cho tất cả các chế độ hỏng hóc có thể xảy ra. Điều này bao gồm bê tông trong nén/nén hoặc nén/kéo; cắt ngang xem xét cả kéo cắt và nén cắt; cốt thép xem xét cả thanh chính và đai bao gồm hỏng liên kết; và cốt thép ứng suất trước. Các tiêu chuẩn vật liệu có thể bao gồm một số yêu cầu liên quan đến mỏi; những yêu cầu này thường không đủ cho các ứng dụng tuabin gió. Các đặc tính mỏi cho các ứng dụng tuabin gió có thể khác biệt đáng kể, ngay cả đối với các vật liệu vượt qua các yêu cầu chung về vật liệu đối với mỏi. Đường cong SN biểu thị xác suất tồn tại 95 % sẽ được sử dụng để thiết kế cốt thép, và đặc biệt đối với các hạng mục có tập trung ứng suất như khớp nối, đầu neo và đầu chữ T.
Nhìn chung, nên tránh hàn các thanh cốt thép trong các kết cấu bê tông của tuabin gió. Tuy nhiên, nếu không thể tránh được điều này, đường cong SN sẽ tính đến tác động của hàn lên các đặc tính cốt thép.
CHÚ THÍCH: Vật liệu thường được thử nghiệm mỏi ở 106 hoặc 2 106 chu kỳ cho một phạm vi ứng suất nhất định. Cấu trúc tuabin gió sẽ thường trải nghiệm 108 chu kỳ tải hoặc nhiều hơn ở các phạm vi ứng suất thay đổi mạnh, do đó một số thử nghiệm mỏi vật liệu sẽ không phù hợp với mọi tình huống.
Các phương pháp kiểm tra xác nhận an toàn mỏi được mô tả trong 7.8.2 và 7.8.3 sẽ tạo ra một thiết kế đáp ứng mức độ tin cậy mục tiêu của tiêu chuẩn này. Các phương pháp này sẽ được áp dụng nếu không có phương pháp chi tiết nào trong tiêu chuẩn tham khảo hoặc nếu các phương pháp trong tiêu chuẩn tham khảo là tùy chọn.
7.8.2 Cốt thép và thép ứng suất trước bị hỏng do mỏi
Khi không thực hiện tính toán chi tiết theo thời gian, các kiểm tra xác nhận mỏi cho các kết cấu ứng suất trước sẽ được thực hiện đối với lực ứng suất trước ngay sau khi tháo kích ứng suất và đối với lực ứng suất trước sau khi từ biến, co ngót và chùng ứng. Tác động xấu nhất từ hiện tượng từ biến, co ngót và chùng ứng sẽ được xem xét.
Để kiểm tra cốt thép và thép ứng suất trước, có thể áp dụng đường cong cường độ mỏi SN theo tiêu chuẩn hiện hành, trong trường hợp đó phải sử dụng các tiêu chuẩn sản xuất phù hợp.
7.8.3 Sự phá hủy mỏi của bê tông
Để kiểm tra bê tông, các phương pháp hiện đại sẽ được áp dụng cùng với các hệ số an toàn từng phần tối thiểu được quy định trong TCVN 10687-1 (IEC 61400-1) hoặc IEC 61400-2, trong trường hợp đó sẽ sử dụng các tiêu chuẩn sản xuất phù hợp.
7.9 Trạng thái giới hạn khả năng hoạt động
7.9.1 Giảm độ cứng phụ thuộc vào tải
Đối với các tháp bê tông cốt thép và bê tông ứng suất trước, độ cứng phụ thuộc vào tải trọng giảm do nứt sẽ được tính đến khi tính toán tần số tự nhiên của tháp. Đối với phép tính này, các điều kiện nứt ổn định sẽ được giả định cho toàn bộ tháp. Biểu đồ độ cong mômen sẽ được sử dụng khi có liên quan.
Có thể bỏ qua việc giảm độ cứng phụ thuộc vào tải trọng khi tính toán tần số riêng nếu giải nén được kiểm tra xác nhận cho mức tải trọng S3 (xem định nghĩa 5.4.3 về các trường hợp tải trọng SLS).
Tuy nhiên, việc giảm độ cứng phụ thuộc vào tải trọng sẽ được xem xét trong ULS để tính toán mômen uốn bằng lý thuyết bậc hai (P - ∆ effect), xem 5.4.10.
7.9.2 Giới hạn ứng suất
Trong các tháp và móng bê tông cốt thép và bê tông ứng suất trước, ứng suất nén trong bê tông và ứng suất kéo trong cốt thép (bao gồm cả thép ứng suất trước) phải được giới hạn để đảm bảo chức năng và độ bền của kết cấu. Nên áp dụng các giới hạn sau.
Ứng suất nén trong bê tông phải được giới hạn ở mức 0,6 fck cho đặc điểm tổ hợp tải trọng S1 (xem 5.4.3.2). Điều này là cần thiết để hạn chế sự hình thành các vết nứt dọc có thể dẫn đến giảm độ bền.
Phải tính đến độ rão. Nếu ứng suất nén trong bê tông được giới hạn ở mức 0,45 fck đối với các tác động vĩnh cửu do tải trọng trọng trường và ứng suất trước, có thể giả định độ rão tuyến tính. Trên giới hạn này, phải xem xét độ rão phi tuyến tính.
Ứng suất kéo trong cốt thép (bao gồm cả thép ứng suất trước) phải được giới hạn để tránh biến dạng không đàn hồi, nứt hoặc biến dạng không thể chấp nhận được.
Dưới tổ hợp tải trọng đặc trưng S1 (xem 5.4.3.2), ứng suất kéo trong cốt thép không được vượt quá 0,9 fyk. Nơi mà ứng suất được gây ra bởi sự biến dạng áp đặt (ví dụ hạn chế do nhiệt độ), giới hạn có thể được mở rộng đến 1,0 fyk. Theo tổ hợp tải trọng đặc trưng S1 (xem 2), ứng suất trung bình (tức là γsup = γinf = 1,0) trong các cáp ứng suất trước sau khi các tổn thất tức thời không được vượt quá 0,75fpk.
7.9.3 Kiểm soát vết nứt
Việc nứt các kết cấu bê tông của tuabin gió phải được giới hạn ở mức không làm ảnh hưởng đến chức năng hoạt động bình thường hoặc độ bền của kết cấu hoặc khiến hình thức của kết cấu trở nên không thể chấp nhận được.
Các biện pháp thích hợp để hạn chế độ rộng vết nứt phải được lựa chọn theo tiêu chuẩn tham khảo. Các tiêu chuẩn thiết kế bê tông thường không tính đến cụ thể tác động của tải trọng động cao, như phổ biến trong các tuabin gió, đối với trạng thái của các vết nứt trong bê tông. Do đó, các phương pháp được đề xuất trong tiêu chuẩn tham khảo có thể cần phải được sửa đổi. Hướng dẫn thêm về kiểm soát vết nứt cho một số quốc gia và khu vực được đưa ra trong Phụ lục H. Trừ khi mức tải cao hơn được xác định trong các tiêu chuẩn tham khảo hoặc trong Phụ lục H, mức tải cho các tính toán kiểm soát vết nứt phải được lấy là mức tải S3 được xác định trong 5.4.3.4. Ngoài các tải trọng phát sinh từ hoạt động của tuabin gió, các tác động nhiệt độ được xác định trong 7.2.3.1 phải được xem xét để kiểm soát vết nứt, đặc biệt là ở các bộ phận của kết cấu mà nhiệt độ có thể là tác động thúc đẩy thiết kế, ví dụ như đối với cốt thép nằm ngang trong các tháp.
Ngoài việc hạn chế chiều rộng vết nứt, phải ngăn chặn hoàn toàn sự giải nén (tức là ứng suất kéo thẳng đứng trong bê tông) trong các trường hợp sau:
a) trong các tháp bê tông ứng suất trước có thanh liên kết cho mức tải trọng S3 (xem 5.4.3.4);
b) nếu tháp có gân liên kết tiếp xúc với điều kiện môi trường có hiện tượng ăn mòn do clorua gây ra (ví dụ không khí mặn gần bờ biển), thì phải tiến hành kiểm tra xác nhận ở mức tải S2 (xem 5.4.3.3).
Việc kiểm tra xác nhận giải nén thường được khuyến nghị cho tất cả các loại tháp bê tông để tránh độ cứng giảm vượt quá mức tải S3 (xem 5.4.3.4). Nếu không, tác động đến tần số tự nhiên của tháp sẽ được xem xét (tức là tham khảo 7.9.1).
7.9.4 Biến dạng
Trừ khi có yêu cầu đặc biệt phát sinh từ hoạt động của tuabin gió thì không cần phải hạn chế biến dạng.
7.10 Thực hiện
7.10.1 Quy định chung
Điều 7.10 đưa ra các yêu cầu liên quan đến việc thực hiện (chế tạo, xây dựng, lắp dựng, v.v.) các kết cấu bê tông được sử dụng để đỡ tuabin gió và áp dụng cho các kết cấu và móng bê tông cốt thép bao gồm các sơ đồ đúc tại chỗ hoặc chế tạo sẵn bao gồm bê tông không ứng suất trước hoặc ứng suất trước. Điều này bao gồm thử nghiệm vật liệu, ván khuôn, cốt thép, sản xuất bê tông, lớp phủ bê tông, hệ thống căng trước, căng sau và sửa chữa trong quá trình xây dựng các kết cấu bê tông.
7.10.2 Yêu cầu
Trừ khi có các yêu cầu khác được nêu trong tiêu chuẩn tham khảo, kết cấu bê tông phải được xây dựng theo ISO 22966. Tuy nhiên, phải đảm bảo đáp ứng các yêu cầu trong 7.10.3 đến 7.10.8.
7.10.3 Kiểm tra vật liệu và sản phẩm
Vệc kiểm tra vật liệu và sản phẩm phải được thực hiện theo tiêu chuẩn thực hiện cấp 2 trong ISO 22966 hoặc tiêu chuẩn tương đương.
7.10.4 Giàn đỡ và ván khuôn
Ván khuôn và giàn đỡ phải được thực hiện theo tiêu chuẩn ISO 22966.
7.10.5 Cốt thép và thép đặt sẵn
Việc gia cố và thép đặt sẵn phải được thực hiện theo tiêu chuẩn ISO 22966. Không được phép hàn cốt thép nếu điều này không được xem xét cụ thể trong thiết kế.
7.10.6 Ứng suất trước
Các cáp bện căng trước được liên kết phải sạch mọi lớp phủ và chất bôi trơn và được cố định đúng cách trong quá trình kéo để hạn chế chuyển động trong bê tông trước khi bảo dưỡng. Có thể áp dụng giới hạn ứng suất được xác định trong tiêu chuẩn vật liệu áp dụng (hoặc phê duyệt loại) cho thép căng trước.
Các cáp không liên kết được đặt bên trong phần bê tông phải được bịt kín đầy đủ trước khi đồ vữa vào các ống rãnh và các điểm neo của chúng. Các cáp không liên kết được lắp đặt bên ngoài phần bê tông phải được bịt kín đầy đủ để chống lại sự xâm nhập của độ ẩm dọc theo chiều dài của chúng. Các phương pháp để đạt được khả năng bảo vệ chống ăn mòn này phải đạt được thông qua lớp phủ bảo vệ các sợi. Có thể xem xét biện pháp bảo vệ thay thế để đánh giá bằng cách sử dụng môi trường bên trong được khử ẩm. Tất cả các neo cốt thép không liên kết phải được bịt kín và bịt đầu để làm kín cáp chống lại độ ẩm và môi trường ăn mòn.
Phải tuân thủ các hướng dẫn ứng suất trước do nhà thiết kế đưa ra cũng như bất kỳ yêu cầu nào được nêu trong các tiêu chuẩn hoặc phê duyệt loại cho một hệ thống ứng suất trước cụ thể.
Các hoạt động ứng suất trước phải được ghi chép lại trong một biên bản.
Chất chống ăn mòn được chọn cho cáp phải phù hợp với việc lắp đặt thẳng đứng trong tuabin gió, nghĩa là chúng sẽ không bắt đầu chảy hoặc nhỏ giọt do tác động của trọng lực và nhiệt độ.
7.10.7 Các thành phần bê tông đúc sẵn
Các thành phần đúc sẵn phải được đúc bằng cách sử dụng mức độ rung động thích hợp của bê tông trong quá trình đúc để hạn chế khả năng tạo thành tổ ong và đạt được sự cố kết thích hợp. Ngoài ra, có thể sử dụng bê tông tự đầm (SCC) nếu áp dụng các biện pháp thích hợp. Khi nối các thành phần đúc sẵn thông qua việc sử dụng đổ kín, cường độ bê tông và cốt thép trong phần kín phải được thiết kế để chịu toàn bộ cường độ của mặt cắt ngang đúc sẵn liền kề với mối nối kín. Khi không có đổ kín giữa các thành phần đúc sẵn, phải đạt được diện tích tiếp xúc đủ giữa các mối nối để truyền tất cả các ứng suất dọc, uốn và cắt cần thiết. Diện tích bề mặt không được tạo ra các điểm tập trung ứng suất cục bộ vượt quá cường độ bê tông thiết kế cho phép. Phải thực hiện mọi yêu cầu về việc thi công các mối nối do nhà thiết kế xác định.
7.10.8 Dung sai hình học
Dung sai đúc sẵn phải tuân thủ tiêu chuẩn tham khảo và phải được xem xét trong thiết kế. Đối với các thành phần đúc sẵn, các giá trị dung sai cho độ phẳng của bề mặt mối nối và độ lệch cho phép giữa các bề mặt mối nối phải được xác định có tính đến tiêu chuẩn tham khảo.
8 Nền móng - Thiết kế địa kỹ thuật
8.1 Quy định chung
Thiết kế địa kỹ thuật dựa trên việc áp dụng các nguyên tắc kỹ thuật hợp lý, hầu hết đều được định nghĩa rõ ràng và ghi chép trong tài liệu, bao gồm các tiêu chuẩn quốc gia và quốc tế. Điều 8 cung cấp các quy tắc và hướng dẫn bổ sung hoặc chi tiết hơn dành riêng cho nền móng tuabin gió trên bờ và bổ sung cho các yêu cầu địa kỹ thuật chung hơn của các tiêu chuẩn hiện hành.
Các loại móng được xem xét bao gồm phần lớn các loại móng được sử dụng cho móng tuabin gió:
1) đế trọng lực;
2) cọc;
3) neo vào đá.
Điều khoản 8 đưa ra các yêu cầu dưới dạng các tuyên bố chung và phương pháp phân tích. Hướng dẫn về các phương pháp tính toán được chấp nhận được coi là tuân thủ các yêu cầu được trình bày trong Phụ lục L của Phụ lục M.
8.2 Cơ sở thiết kế
8.2.1 Quy định chung
Cơ sở chung của các yêu cầu thiết kế được đưa ra trong 5.1.
Nếu sử dụng các nguyên tắc thiết kế trạng thái giới hạn, hệ số an toàn từng phần cho tải trọng phải phù hợp với cách thức tải trọng móng tuabin gió được xác định theo định nghĩa trong Điều 5. Có thể áp dụng phương pháp thay thế (như thiết kế ứng suất cho phép hoặc tải trọng làm việc) khi cần thiết để duy trì tính nhất quán với tiêu chuẩn tham khảo cho khu vực mà thiết kế được áp dụng nhưng điều này phải mang lại ít nhất mức độ an toàn tương tự như yêu cầu của TCVN 10687-1 (IEC 61400-1) hoặc IEC 61400-2.
Điều kiện trạng thái giới hạn khả năng hoạt động (SLS) cho các mức tải S1, S2, S3 phải như trình bày trong 5.4.3.
Các trường hợp tải trọng môi thường không được coi là một phần của thiết kế địa kỹ thuật do thiếu các phương pháp thiết kế đã được thiết lập và chi phí quá cao cho các thử nghiệm tại hiện trường hoặc trong phòng thí nghiệm cụ thể tại địa điểm cần thiết để xác định khả năng chống mỏi của đất. Tác động của tải trọng tuần hoàn lên cường độ và độ cứng của đất sẽ được giải quyết bằng cách xem xét các tác động tiềm ẩn của xói mòn do khoảng hở mặt đất, tác động của tải trọng lặp lại lên độ cứng của đất và sự suy giảm cường độ của đất do tải trọng lặp lại.
8.2.2 Trạng thái giới hạn địa kỹ thuật
Bảng 2 trình bày tóm tắt các trạng thái giới hạn cần được xem xét trong quá trình thiết kế địa kỹ thuật.
Bảng 2 - Tóm tắt các trạng thái giới hạn địa kỹ thuật
| Trạng thái giới hạn | Tình hình thiết kế |
| Trang thái giới hạn cực hạn - ULS | Mất cân bằng tĩnh do lật đổ |
| Sự cố hoặc biến dạng quá mức của mặt đất do sức chịu tải hoặc trượt | |
| Hỏng hóc kết cấu bên trong hoặc biến dạng quá mức - đối với các công trình địa kỹ thuật chuyên dụng, ví dụ như cọc và neo | |
| Trạng thái giới hạn khả năng hoạt động - SLS | Độ cứng xoay và độ cứng ngang trong điều kiện động và tĩnh |
| Độ nghiêng dài hạn quá mức và độ ổn định tuyệt đối | |
| Sự suy thoái lâu dài của khả năng địa kỹ thuật dẫn đến sự phá hủy các trạng thái giới hạn khác - đánh giá định tính | |
| Trang thái giới hạn cực hạn - ULS | Mất cân bằng tĩnh do lật đổ |
| Sự cố hoặc biến dạng quá mức của mặt đất do sức chịu tải hoặc trượt | |
| Hỏng hóc kết cấu bên trong hoặc biến dạng quá mức - đối với các công trình địa kỹ thuật chuyên dụng, ví dụ như cọc và neo | |
| Trạng thái giới hạn khả năng hoạt động - SLS | Độ cứng xoay và độ cứng ngang trong điều kiện động và tĩnh |
| Độ nghiêng dài hạn quá mức và độ ổn định tuyệt đối | |
| Sự suy thoái lâu dài của khả năng địa kỹ thuật dẫn đến sự phá hủy các trạng thái giới hạn khác - đánh giá định tính |
Các hệ số an toàn từng phần đối với tải trọng cho các tác động thay đổi (tải trọng tuabin gió) và các tác động cố định (tải trọng trọng lực và lực đẩy nổi) sẽ được quy định trong 61400-1 hoặc IEC 61400-2. Tính phi tuyến tính hoàn toàn của phản ứng kết cấu đất nền, đặc biệt là đối với các để trọng lực tải lệch tâm, chỉ được tính đến đúng khi các hệ số an toàn từng phần được áp dụng cho tải trọng đầu vào.
Các hệ số an toàn từng phần về vật liệu (độ bền) sẽ được áp dụng theo trạng thái giới hạn đang được xem xét, như được tóm tắt trong 8.5, 8.6 và 8.7.
Các hệ số an toàn từng phần về vật liệu và/hoặc độ bền sẽ được áp dụng cho các thông số địa kỹ thuật đặc trưng để đưa ra các giá trị thiết kế phù hợp. Tùy thuộc vào các tiêu chuẩn và quốc gia hiện hành, các hệ số an toàn từng phần này có thể được áp dụng cho các đặc tính của đất (có thể phụ thuộc vào loại đất) hoặc trực tiếp cho độ bền thu được.
CHÚ THÍCH: Phương pháp áp dụng hệ số an toàn toàn bộ (thiết kế ứng suất cho phép) vào độ bền là không phù hợp khi áp dụng thiết kế trạng thái giới hạn theo cách này.
8.3 Dữ liệu địa kỹ thuật
8.3.1 Quy định chung
Thiết kế móng phải dựa trên sự hiểu biết tốt về điều kiện mặt đất tại mỗi vị trí tuabin bằng cách sử dụng dữ liệu địa kỹ thuật có chất lượng và số lượng đầy đủ. Dữ liệu địa kỹ thuật phải được thu thập bằng cách thực hiện đủ thử nghiệm tại chỗ và trong phòng thí nghiệm trong vùng ảnh hưởng của móng để thực hiện thiết kế địa kỹ thuật.
Khảo sát địa kỹ thuật tại địa điểm (SI) phải bao gồm ít nhất một điểm khảo sát tại mỗi vị trí tuabin riêng lẻ để xác định các thông số địa kỹ thuật hoặc chứng minh tính nghiêm ngặt tương đương thông qua các phương pháp thay thế; tuy nhiên, cần xem xét thêm các điểm khi xác định được các mối nguy hiểm hoặc bất trắc địa kỹ thuật cụ thể như được liệt kê trong 8.3.2 và có thể được giảm thiểu trong thiết kế bằng cách thu thập dữ liệu bổ sung. SI phải được thiết kế, giám sát và báo cáo bởi nhân viên chuyên môn có trình độ phù hợp. Thiết kế, giám sát và báo cáo SI yêu cầu trình độ phù hợp.
Kết quả của SI phải được báo cáo trong báo cáo thực tế.
Một báo cáo diễn giải địa kỹ thuật (GIR) cũng sẽ được lập để cung cấp hướng dẫn rõ ràng cho việc xác định các thông số đất thích hợp để tính toán khả năng địa kỹ thuật, độ lún, độ cứng và điều kiện nước ngầm tại mỗi vị trí tuabin và để sử dụng trong thiết kế móng. Báo cáo này nên tập trung vào việc phát triển một mô hình địa kỹ thuật (hồ sơ đất) cho mỗi vị trí dựa trên thông tin được trình bày trong báo cáo thực tế.
Cần phải thử nghiệm thành phần hóa học của đất để định lượng mức độ ăn mòn hóa học của các điều kiện đất xung quanh đối với các thành phần bị chôn vùi liên quan đến thiết kế hỗn hợp bê tông và/hoặc tốc độ ăn mòn của kết cấu thép đối với các giải pháp móng.
Bất kỳ khu vực nào có rủi ro địa kỹ thuật cụ thể sẽ được nêu bật và các phương pháp có thể giảm thiểu rủi ro đó sẽ được giải quyết, có thể bao gồm điều tra, thử nghiệm, giám sát hoặc kiểm tra xác nhận bổ sung trước hoặc như một phần của các hoạt động xây dựng. Trong trường hợp này, phương pháp thực hiện và xem xét sẽ được ghi chép rõ ràng và đưa vào tài liệu dự án có liên quan.
Khi thích hợp, GIR nên trình bày các thông số đất theo định dạng được công nhận rộng rãi, chẳng hạn như độ bền cắt không thoát nước đối với đất dính và góc ma sát trong đối với đất hạt. Mô hình địa kỹ thuật nên dựa trên các thông số địa kỹ thuật đặc trưng, được lựa chọn như một ước tính thận trọng về giá trị ảnh hưởng đến sự xuất hiện của các trạng thái giới hạn đang được xem xét.
Các thông số đất sẽ được sử dụng để suy ra độ bền địa kỹ thuật cho từng trạng thái giới hạn. Người ta nhận ra rằng một số loại đất khó xác định theo cách này và một cách tiếp cận thay thế là cung cấp khả năng đặc trưng tối thiểu dựa trên kiến thức về đất và vị trí cụ thể có thể phù hợp hơn.
Độ cứng của đất sẽ được xác định vì nó có tác động cơ bản đến trạng thái của các cấu trúc động như tuabin gió và các tiêu chí tối thiểu về độ cứng ngang, độ cứng thẳng đứng và độ cứng xoay sẽ được đáp ứng như một phần của thiết kế địa kỹ thuật. Các kỹ thuật trực tiếp hoặc gián tiếp như các thử nghiệm cơ học tại chỗ, các thử nghiệm trong phòng thí nghiệm trên các mẫu đất không bị xáo trộn hoặc các phương pháp địa vật lý nên được sử dụng khi thích hợp. Ngoài ra, việc suy ra các giá trị độ cứng của đất có thể được biện minh dựa trên các thử nghiệm hạn chế hoặc các tương quan thực nghiệm nếu chúng có thể được chứng minh là không chi phối thiết kế. Môđun đất sẽ dành cho một mức tải hoặc biến dạng được xác định.
Đẩy nổi có tác động cơ bản đến trạng thái của móng tuabin gió, đặc biệt là để trọng lực. Các điều kiện nước ngầm phải được điều tra thích hợp và phải bao gồm việc giám sát liên tục để định lượng các biến đổi theo mùa khi chúng được coi là quan trọng đối với thiết kế. Ngoài ra, có thể khuyến nghị mức nước ngầm tối đa dựa trên kiến thức địa phương hoặc các nguồn tài liệu phù hợp. Cần cẩn thận để phân biệt giữa mực nước ngầm thủy tĩnh và điều kiện nước mặt hoặc nước ngầm. Rủi ro tiềm ẩn về áp suất nước phun cũng phải được xem xét và giải quyết khi có liên quan. Việc giám sát thông qua việc sử dụng ống đứng hoặc tương tự nên được xem xét trước khi xây dựng và/hoặc trong suốt thời gian thiết kế của móng khi điều kiện nước ngầm có khả năng là động lực thiết kế.
Thiết kế móng phải xem xét kỹ lưỡng đến các tác động tiềm ẩn về lực đẩy do dòng nước mặt chảy vào hố đào móng trong một tầng đất không thấm nước. Các giải pháp có thể bao gồm hệ thống thoát nước thụ động hoặc lớp đất sét thích hợp để ngăn nước tích tụ xung quanh móng. Bất kỳ yêu cầu kiểm tra hoặc bảo trì dài hạn nào cũng phải được đưa vào tài liệu dự án.
8.3.2 Những xem xét cụ thể
8.3.2.1 Quy định chung
GIR sẽ xem xét cụ thể các thông số địa kỹ thuật sau đây, tùy theo vị trí dự án và có thể yêu cầu điều tra bổ sung để cung cấp mức thông tin cần thiết cho việc giảm thiểu thích hợp như một phần của thiết kế. Đây không phải là danh sách bao gồm đầy đủ và cuộc điều tra địa kỹ thuật sẽ xem xét tất cả các rủi ro tiềm ẩn dựa trên kiến thức và kinh nghiệm tại địa phương.
8.3.2.2 Địa hình và sự thay đổi của đất
Có thể cần một hoặc nhiều điểm điều tra bổ sung để giải quyết các vấn đề như tính biến đổi của điều kiện đất hoặc độ sâu của tầng đất, thường liên quan đến các đặc điểm địa hình và có thể cần một số điểm điều tra trong phạm vi diện tích tuabin.
Rủi ro mất ổn định mái dốc sẽ được xác định nếu có sự kết hợp giữa điều kiện đất và địa hình dốc, đồng thời cung cấp các thông số phù hợp để có thể thực hiện phân tích độ ổn định.
8.3.2.3 Sự hiện diện của khoảng trống
Bất kỳ bằng chứng nào về các khoảng trống hiện diện bên dưới bề mặt đất do các quá trình tự nhiên (ví dụ như các đặc điểm Karst) hoặc hoạt động của con người (ví dụ như khai thác mỏ) đều phải được điều tra một cách thích hợp. Các phương pháp điều tra phù hợp có thể bao gồm các điểm điều tra bổ sung hoặc các phương pháp địa vật lý để xác định vị trí và đình lượng bất kỳ dị thường địa kỹ thuật nào.
8.3.2.4 Đất nhạy
Một số vùng có điều kiện đất đặc biệt đòi hỏi phải xem xét đặc biệt khi phát triển thiết kế mỏng. Đất dễ bị trương nở hoặc co ngót, đất dễ hóa lỏng hoặc dễ sụp lún hoặc đất sét nhanh là tất cả các ví dụ về đất cần được xác định nếu có và GIR sẽ đưa ra các khuyến nghị về tính phù hợp của chúng trong thiết kế móng. GIR có thể đưa ra các khuyến nghị về xử lý đất để cải thiện các đặc tính của đất nhằm đáp ứng các yêu cầu của tiêu chí tính năng của móng.
8.3.2.5 Điều kiện nước ngầm
Giá trị thiết kế của mực nước ngầm phải được xác định và nêu trong GIR, giá trị này phải được xác định bằng phép đo. Trong trường hợp không đảm bảo về mực nước ngầm dài hạn hoặc theo mùa, điều này có thể được giải quyết thông qua việc sử dụng các giả định thận trọng về đẩy nổi, thoát nước và/hoặc giám sát dài hạn.
Các giải pháp thoát nước có thể được cung cấp như một giải pháp lâu dài để giảm thiểu các tác động tiềm ẩn của lực đẩy trong suốt thời gian thiết kế của móng, nhưng phải bao gồm cả việc kiểm tra và bảo trì. Hệ thống thoát nước phải được xác định để ngăn ngừa tắc nghẽn bằng vật liệu mịn. Đường ống và cửa xả phải được xây dựng với độ dốc đủ để duy trì dòng chảy tự do.
8.3.2.6 Tác động của băng giá
Rủi ro băng giá xâm nhập vào mặt đất và sự nhô lên liên quan sẽ được giải quyết đối với các dự án nằm ở vùng khí hậu lạnh có băng giá xâm nhập đáng kể bên dưới mặt đất. Cuộc điều tra tại địa điểm có thể bao gồm thử nghiệm cụ thể để xác định khả năng chịu băng giá của đất nền nếu phù hợp. Các loại đất như vậy có thể yêu cầu mỏng phải được đặt sâu hơn độ sâu của băng giá, rằng đất dễ bị đóng băng phải được thay thế bằng vật liệu lấp không dễ bị đóng băng hoặc bao gồm vật liệu cách nhiệt được đặt trên hoặc dưới móng để ngăn chặn sự xâm nhập quá mức của băng giá. Phương pháp thi công phải ngăn chặn sự xâm nhập của băng giá vào đất hình thành dễ bị đóng băng bất cứ lúc nào.
8.3.2.7 Hoạt động động đất
Những vùng có hoạt động động đất, đất phải được phân loại theo các tiêu chuẩn động đất tại địa phương để đáp ứng các yêu cầu thiết kế, ví dụ như xác định khả năng hóa lỏng và loại đất.
Các thông số động đất phải được xác định. Điều này có thể từ bản đồ có sẵn để cho phép xác định và sử dụng các hệ số gia tốc mặt đất theo phương thẳng đứng và phương ngang cũng như phổ phản ứng giảm chấn trong mô hình tuabin để tính toán tải trọng gió và động đất kết hợp của nhà sản xuất tuabin theo TCVN 10687-1 (EC 61400-1) hoặc IEC 61400-2 bao gồm hướng dẫn bổ sung liên quan đến việc tính toán tải trọng động đất trên nền móng.
8.3.2.8 Phương pháp xây dựng
Cần giải quyết tính khả thi của các phương pháp đào, lắp đặt cọc/neo đất, xử lý đất, lưu trữ đất thải và tái sử dụng vật liệu đất và đá cũng như đưa ra các khuyến nghị phù hợp.
Đặc biệt, phải cung cấp các thông số khuyến nghị liên quan đến việc đầm chặt vật liệu đào để hỗ trợ móng hoặc lấp đất.
8.4 Giám sát, theo dõi và bảo trì công trình xây dựng
Các thông số đất và nước ngầm được áp dụng trong thiết kế sẽ được kiểm tra xác nhận trong quá trình thi công bằng các phương pháp kiểm tra và thử nghiệm phù hợp. Điều này phải bao gồm việc kiểm tra xác nhận có ghi chép về đất nền tự nhiên, có thể được bổ sung bằng cách thử nghiệm để kiểm tra xác nhận khả năng chịu lực và độ cứng. Các phương pháp phù hợp bao gồm thử nghiệm lăn thử, thử nghiệm xuyên tĩnh hoặc động, thử nghiệm tải trọng tấm hoặc các phương pháp khác cung cấp độ tin cậy trong các điều kiện được xây dựng. Trong trường hợp nền đá, chất lượng đá sẽ được kiểm tra xác nhận bằng cách xem xét bất kỳ vết nứt và mối nối nào nếu thiết kế nhạy với các thông số này. Việc kiểm tra và thử nghiệm sẽ được thực hiện bởi nhân viên có trình độ và/hoặc kinh nghiệm phù hợp, nhưng phải được xác nhận bởi một kỹ sư địa kỹ thuật.
Việc thử nghiệm và kiểm tra thích hợp các công trình đất đã thi công cũng phải được thực hiện sao cho đáp ứng được các tiêu chí đầm chặt cần thiết về khả năng chịu lực hoặc trọng lượng riêng.
Bất kỳ yêu cầu kiểm tra hoặc thử nghiệm bổ sung nào liên quan đến rủi ro được xác định trong GIR phải được xác định rõ ràng và thực hiện trong quá trình thi công móng.
8.5 Nền móng trọng lực
8.5.1 Quy định chung
Nền móng trọng lực bao gồm một bản móng nông có được độ bền địa kỹ thuật thông qua sự cân bằng và khả năng chịu lực của đất nền. Khi đất nền tự nhiên không có khả năng cung cấp các tiêu chí về sức chịu lực hoặc độ cứng cần thiết, có thể xem xét xử lý phù hợp để tăng cường các đặc tính của nó. Sức chịu tải của nền móng phải tuân theo các nguyên tắc trình bày ở Điều 6 và Điều 7.
8.5.2 Trạng thái giới hạn cực hạn (ULS)
8.5.2.1 Quy định chung
Việc kiểm tra xác nhận tính ổn định địa kỹ thuật theo ULS sẽ bao gồm:
1) cân bằng (lật đổ), và
2) sức chịu tải và trượt của đất.
Móng nền trọng lực thường không được coi là công trình địa kỹ thuật chuyên dụng và được thiết kế theo các quy định về kết cấu như trình bày trong Điều 7. Các trạng thái giới hạn kết cấu của các móng nền như vậy không được xem xét thêm trong Điều 8 này.
Nền móng trọng lực nhạy với tác động của lực đẩy do sự hiện diện của nước ngầm. Tác động tiềm tàng của lực đẩy sẽ được đưa vào bằng cách áp dụng lực đẩy nổi như một mômen lật bổ sung hoặc bằng cách áp dụng trọng lượng hiệu quả giảm của đất lấp trong quá trình tính toán mômen ổn định. Trong cả hai trường hợp, giá trị thiết kế cho tác động của lực đẩy do mực nước ngầm có thể được suy ra bằng cách áp dụng hệ số an toàn từng phần cho tải trọng đối với áp suất nước đặc trưng hoặc bằng cách áp dụng biên độ an toàn cho mực nước đặc trưng để biểu thị điều kiện đáng tin cậy bất lợi nhất có thể xảy ra trong suốt tuổi thọ thiết kế của công trình.
Hệ số an toàn từng phần tối thiểu có thể chấp nhận được trên vật liệu (độ bền) được đưa ra cho từng trạng thái giới hạn. Hệ số an toàn từng phần thích hợp sẽ được lựa chọn để áp dụng cho các thông số đất hoặc độ bền thiết kế theo tiêu chuẩn tham khảo.
8.5.2.2 Sự cân bằng
Lực ổn định phải tính đến tải trọng thẳng đứng của tuabin gió, trọng lượng nền móng và đất lấp. Hiệu ứng của lực đẩy trong trường hợp mực nước ngầm có khả năng cao có thể được xem như là một sự giảm bớt lực ổn định.
Các tác động bất lợi của lớp đất mặt ít đặc hơn và độ dốc bề mặt phải được tính toán hoặc đơn giản hóa để cung cấp kết quả bảo toàn. Mật độ lấp lại thiết kế phải đạt được bằng cách đầm chặt lại đất đào nếu sử dụng và phải quy định thử nghiệm phù hợp để kiểm tra xác nhận mật độ đã đặt. Có thể bao gồm độ bền của đất và áp lực đất thụ động xung quanh mép của đáy nếu chúng có thể được định lượng tốt bằng cách thử nghiệm các thông số đất phù hợp.
Đối với mục đích thiết kế địa kỹ thuật, móng có thể được coi như một vật thể cứng và mômen lật và mômen ổn định sẽ được tính toán và kiểm tra xung quanh mép móng.
An toàn chống lật đổ:
|
| (13) |
trong đó:
| Md, overturning | là giá trị thiết kế của mômen mất ổn định từ tải trọng gió và các tải trọng khác bao gồm tác động của tải trọng ngang và tải trọng xoắn, và bao gồm các hệ số an toàn từng phần bất lợi cho tải trọng; |
| Md, stabilizing | là giá trị thiết kế của mômen ổn định từ tải trọng trọng trường và đất đắp bao gồm hệ số an toàn từng phần có lợi về độ bền. |
Hiệu ứng của lực đẩy, nếu có thể, có thể được áp dụng dưới dạng lực nâng góp phần tạo ra mômen mất ổn định hoặc giảm mật độ hiệu dụng do tải trọng trọng trường dẫn đến giảm mômen ổn định. Trong cả hai trường hợp, hệ số an toàn từng phần thích hợp sẽ được áp dụng trực tiếp vào tải trọng hoặc vào tác động của tải trọng theo cách nhất quán.
Cân bằng tĩnh hiếm khi chi phối thiết kế địa kỹ thuật của móng trọng lực, ngoại trừ khi chịu lực trên đá. Nếu đánh giá lật đổ chứng minh rằng móng gần cân bằng (Md, stabilizing / Md, overturning < 1,1), độ nhạy của nó đối với vị trí của điểm quay của nền móng sẽ được đánh giá và có thể cần phải phân tích chi tiết bổ sung.
Giá trị tối thiểu cho γRd được đưa ra trong Phụ lục Q.
8.5.2.3 Khả năng chịu lực
Sức chịu tải của đất phải được kiểm tra đối với chế độ chịu lực và chế độ trượt.
Sức chịu tải tối đa của lớp đất bên dưới móng phải được tính toán từ dữ liệu địa kỹ thuật được trình bày trong GIR. Trường hợp móng chịu tải trực tiếp lên nền đá tươi hoặc hơi phong hóa, sức chịu tải thường không quan trọng đối với thiết kế và có thể áp dụng giá trị thận trọng hợp lý dựa trên các giá trị thu được từ tài liệu và được khuyến nghị trong GIR. Sức chịu tải được khuyến nghị phải tính đến cụ thể tác động của tải trọng lặp lại và bất kỳ sự suy giảm dự kiến nào của sức chịu tải tối đa trong suốt tuổi thọ thiết kế của móng phải được giải quyết khi có liên quan.
Khả năng chịu lực của đất chịu các chu kỳ đóng băng và tan băng sẽ được giải quyết cụ thể nếu dự kiến sự xâm nhập của băng giá sẽ đạt đến mức nền mỏng, giải thích cho độ dẫn nhiệt cao hơn của bê tông. Có thể xem xét thay thế đất dễ bị đóng băng hoặc sử dụng vật liệu cách nhiệt để giải quyết vấn đề này.
Sức chịu tải của đất hình thành không phải là nền đá phải được xác định bằng cách tham khảo các thử nghiệm đất tại chỗ hoặc trong phòng thí nghiệm cụ thể được thực hiện như một phần của quá trình điều tra địa kỹ thuật tại địa điểm. Tốt nhất là đánh giá sức chịu tải bằng cách sử dụng các đặc tính đất đặc trưng như cường độ độ bền cắt không thoát nước hoặc góc ma sát trong với việc áp dụng hệ số an toàn từng phần thích hợp cho vật liệu. Sức chịu tải được khuyến nghị phải tính đến các tác động của độ nghiêng tải, hình dạng móng, độ sâu (bao gồm tác động của mặt đất dốc) và điều kiện nước ngầm. Tác động của các biến thể trong các đặc tính đất trong vùng ảnh hưởng (vùng đứt gãy), bên dưới hoặc bên cạnh mỏng phải được xem xét trong quá trình tính toán sức chịu tải.
Nền móng của tuabin gió phải chịu tải trọng lệch tâm cao và cần phải tính đến các mặt phẳng phá hủy thay thế tiềm ẩn như phá hủy nêm ngược có thể trở nên nghiêm trọng khi độ lệch tâm trở nên đáng kể, tức là lớn hơn 0,3 lần chiều rộng của nền móng (e > 0.3B):
|
| (14) |
trong đó
| Fzd | là giá trị thiết kế có lợi của lực thẳng đứng tác động lên quá trình hình thành đất, bao gồm trọng lượng tuabin gió, móng và đất lấp bao gồm cả hệ số an toàn từng phần bất lợi cho tải trọng. |
Các dự án được thiết kế để xây dựng ở các vùng có hoạt động động đất sẽ bao gồm các kiểm tra bổ sung theo các tiêu chuẩn và quốc gia phù hợp. Các kiểm tra như vậy có thể bao gồm định nghĩa về lớp đất và tiềm năng hóa lỏng vì nó ảnh hưởng đến khả năng chịu lực.
Áp lực chịu lực thẳng đứng được tính toán phải tính đến tải trọng thẳng đứng của tuabin, trọng lượng nền móng và đất lấp, tính đến các hiệu ứng lực đẩy trong trường hợp mực nước ngầm có khả năng cao như mô tả trong 8.5.2.1. Hiệu ứng của tải trọng ngang và xoắn từ tuabin phải được đưa vào tính toán áp lực chịu lực và khả năng chịu lực. Tải trọng này phải được áp dụng trên một diện tích được tính toán bằng cách tính đến độ lệch tâm của tải trọng lật.
Hiện tượng vỡ đất phải được kiểm tra xác nhận trong trường hợp tải:
|
| (15) |
trong đó
| qEd | là áp suất đất dẻo (đồng đều) dựa trên tính toán độ lệch tâm; |
| A’ | là diện tích nền hiệu quả xung quanh đường tác động của lực tổng hợp đối với Fzd; |
| qRd | là giá trị thiết kế về sức chịu tải của đất ở trạng thái giới hạn cực hạn, bao gồm cả hệ số an toàn từng phần thích hợp cho vật liệu (độ bền tải). |
| qRd | phải kết hợp một hệ số an toàn từng phần thích hợp cho vật liệu (độ bền tải) không nhỏ hơn các giá trị được đưa ra trong Phụ lục Q. |
Phương pháp được sử dụng phải phù hợp với tiêu chuẩn tham khảo cho khu vực mà thiết kế đang được áp dụng. Phương pháp 1 sẽ được sử dụng khi hệ số an toàn từng phần được áp dụng cho các đặc tính vật liệu. Phương pháp 2 sẽ được sử dụng khi hệ số an toàn từng phần được áp dụng cho các hiệu ứng của các đặc tính vật liệu, ví dụ như cho kết quả sức chịu tải. Sự khác biệt trong các hệ số an toàn từng phần được áp dụng giải thích cho tính phi tuyến tính của các thông số vật liệu trong tính toán khả năng chịu lực, đặc biệt là đối với đất hạt.
8.5.2.4 Lực cản trượt
Phải kiểm tra khả năng trượt để đảm bảo có đủ khả năng chống lại tải trọng ngang.
Sự hiện diện của bất kỳ dải đất mỏng, yếu tiềm ẩn nào bên dưới móng sẽ được tính đến khi đánh giá khả năng trượt. Các hiệu ứng đẩy nổi sẽ được tính đến trong trường hợp mực nước ngầm có khả năng cao như mô tả trong 8.5.2.1.
Có thể đưa vào tác dụng có lợi của áp lực đất thụ động lên các mặt móng nếu chúng có thể được định lượng tốt.
Trượt sẽ được đánh giá trong trường hợp tải:
|
| (16) |
trong đó
| τEd | là giá trị thiết kế của ứng suất cắt tác dụng tại giao diện đất/kết cấu; |
| Hd | là lực nằm ngang tác dụng lên lớp đất bao gồm cả hệ số an toàn từng phần bất lợi khi chịu tải; |
| A’ | là diện tích nền hiệu quả xung quanh đường tác động của lực tổng hợp đối với Fzd; |
| τRd | là giá trị thiết kế của ứng suất trượt của đất ở trạng thái giới hạn cực hạn , bao gồm hệ số an toàn từng phần thích hợp về vật liệu và/hoặc độ bền. |
Giá trị thiết kế của ứng suất trượt của đất, τRd, phải kết hợp các hệ số an toàn từng phần thích hợp về vật liệu và/hoặc sức bền không nhỏ hơn các giá trị được đưa ra trong Phụ lục Q.
Phương pháp được sử dụng phải phù hợp với tiêu chuẩn tham khảo cho khu vực mà thiết kế được áp dụng như trình bày trong 8.5.2.3.
8.5.2.5 Độ ổn định tổng thể (độ dốc)
Nếu móng nằm gần nơi địa hình thay đổi, ví dụ như trên bờ kè, bên cạnh kết cấu được giữ lại hoặc sườn dốc, thì độ an toàn địa kỹ thuật tổng thể (độ ổn định tổng thể) sẽ được đánh giá bằng phân tích độ dốc hoặc các phân tích tương tự.
Các trạng thái giới hạn tiềm ẩn dẫn đến mất ổn định sẽ được đánh giá bằng các nguyên tắc địa kỹ thuật đã được chấp nhận. Độ bền do đất và các thành phần kết cấu liên quan cung cấp sẽ được tính toán để đảm bảo chúng vượt quá các tác động được áp dụng.
Đánh giá độ ổn định sẽ bao gồm tác động của bất kỳ thay đổi nào được dự đoán trong suốt thời gian thiết kế của nền móng mà có thể dự đoán một cách hợp lý, bao gồm bảo trì, sự phát triển của thảm thực vật, điều kiện khí hậu và sự thay đổi của nước ngầm.
Độ ổn định tổng thể sẽ được đánh giá trong trường hợp tải:
| Fd < Rd | (17) |
trong đó
| Fd | là giá trị thiết kế của hành động mất ổn định bao gồm hệ số an toàn từng phần bất lợi trên trọng tải; |
| Rd | là giá trị thiết kế của tác động ổn định bao gồm trọng lực và sức cản của đất bao gồm hệ số an toàn từng phần bất lợi trên tải. |
| Rd | phải kết hợp một hệ số an toàn từng phần thích hợp về vật liệu và/hoặc sức bền không nhỏ hơn các giá trị được đưa ra trong Phụ lục Q |
Phương pháp được sử dụng phải phù hợp với tiêu chuẩn tham khảo cho khu vực mà thiết kế được áp dụng như trình bày trong 8.5.2.3.
Vì khối đất trong một mái dốc có thể hoạt động như một lực ổn định hoặc phá vỡ ổn định, nên không cần thiết phải áp dụng hệ số an toàn từng phần cho tải trọng đối với mật độ đất hoặc tải trọng trọng lượng riêng. Các hệ số an toàn từng phần được đưa ra trong Phụ lục Q cung cấp đủ độ an toàn trong trường hợp này.
Hiệu ứng lực đẩy phải được tính đến trong trường hợp mực nước ngầm có khả năng cao như mô tả trong 8.5.2.1.
8.5.3 Trạng thái giới hạn khả năng hoạt động (SLS)
8.5.3.1 Trạng thái dài hạn
Việc kiểm tra xác nhận trạng thái địa kỹ thuật theo SLS sẽ được thực hiện để đảm bảo rằng nền móng đáp ứng các tiêu chí về khả năng hoạt động trong suốt vòng đời thiết kế của tuabin gió. Các tiêu chí về khả năng hoạt động bao gồm:
1) tuân thủ độ cứng xoay và ngang động và (nếu được quy định) tĩnh do nhà sản xuất tuabin quy định làm cơ sở cho các tính toán tải trọng,
2) kiểm soát độ nghiêng và độ lún tối đa của móng trong suốt thời gian thiết kế của móng, và
3) ngăn ngừa sự suy thoái khả năng chịu lực hoặc độ cứng của đất do tải trọng lặp đi lặp lại hoặc theo chu kỳ, ví dụ như sự tích tụ áp lực nước lỗ rỗng, hiện tượng trễ, biến dạng, hóa lỏng hoặc cơ chế suy thoái khác cuối cùng có thể dẫn đến phá hủy ULS.
8.5.3.2 Độ cứng của nền móng
Hệ thống móng phải đáp ứng các tiêu chí về độ cứng theo quy định tại Điều 5.
Độ cứng của nền móng động phải được kiểm tra xác nhận dựa trên môđun đất biến dạng nhỏ. Độ cứng của nền móng là một hàm của diện tích tiếp xúc và điều này phải được tính toán cho mức tải S3 và bất kỳ sự giảm nào từ tiếp xúc hoàn toàn phải được tính đến trong phép tính độ cứng.
Độ cứng móng tĩnh, nếu được nhà sản xuất tuabin quy định, sẽ được kiểm tra xác nhận dựa trên môđun đất cho phép giảm độ cứng cắt biến dạng nhỏ theo hàm số của biến dạng đất thực tế ở mức tải S1. Sự giảm này phụ thuộc vào đặc điểm đất và mức độ mà cường độ đất đã được huy động. Độ cứng móng sê được tính toán cho mức tải S1 bao gồm bất kỳ sự giảm nào từ diện tích tiếp xúc đầy đủ.
Hướng dẫn về việc lựa chọn môđun đất và độ cứng của nền móng thích hợp được trình bày trong Phụ lục L.
8.5.3.3 Độ nghiêng và độ lún
Độ dịch chuyển của nền móng do lún dài hạn sẽ được tính toán để định lượng độ nghiêng tối đa (độ quay do lún chênh lệch) và độ lún tuyệt đối trong suốt tuổi thọ thiết kế của nền móng.
Nền móng không được vượt quá tiêu chuẩn độ nghiêng tối đa mà tải trọng tuabin được tính toán do tháp lệch khỏi phương thẳng đứng. Độ nghiêng nền móng tối đa cho phép phải được nhà sản xuất tuabin quy định ngoài bất kỳ khoản cho phép nào về dung sai thi công. Trong trường hợp không có tiêu chuẩn cụ thể do nhà sản xuất tuabin quy định, giá trị độ quay của để tháp là 3 mm/m (0,17°) có thể được giả định do độ lún khác biệt.
Nền móng phải được giới hạn ở tiêu chuẩn lún tuyệt đối tối đa (trung bình trên toàn bộ nền móng), phù hợp với các yêu cầu về khả năng hoạt động của nó. Giới hạn lún có thể được điều chỉnh bởi giới hạn biến dạng của đất, độ dẻo của các ống dẫn điện tại nơi chúng thoát ra khỏi nền móng hoặc các tiêu chuẩn khác do nhóm thiết kế xác định. Trong trường hợp nhóm thiết kế không áp dụng các tiêu chuẩn cụ thể, có thể giả định giá trị 25 mm cho tổng độ lún cho phép.
Vệc tính toán độ nghiêng và độ lún tuyệt đối sẽ được thực hiện bằng cách sử dụng mức tải S3 và độ cứng tĩnh được áp dụng trong suốt tuổi thọ thiết kế của hệ thống.
Khi móng được đặt trên điều kiện đất không đồng nhất, phải kiểm tra khả năng lún khác biệt. Có thể giảm thiểu sự khác biệt đáng kể về loại đất hoặc đá bằng cách thay thế hoặc kết hợp lớp giảm chấn, ví dụ như lớp vật liệu lấp kết cấu được nén chặt. Điều này đặc biệt quan trọng đối với móng nằm một phần trên nền đá tươi và rủi ro của bất kỳ điểm cứng nào cũng phải được giải quyết theo cách tương tự.
8.5.3.4 Sự thoái hóa đất dưới tải trọng tuần hoàn
Độ nhạy tiềm ẩn của đất đối với tải trọng lặp lại hoặc tải trọng tuần hoàn phải được xác định trong GIR. Rủi ro suy thoái dần dần hoặc đột ngột của khả năng hoặc độ cứng của đất phải được đánh giá như một phần của thiết kế móng. Rủi ro này có thể được giải quyết bằng cách đáp ứng tiêu chí khoảng cách đất bằng không hoặc bằng các biện pháp giảm thiểu khác được nêu trong 8.5.3.5.
Tiêu chí khe hở mặt đất bằng 0 có thể được đáp ứng bằng cách cân chỉnh để để tiếp xúc hoàn toàn với đất, dưới mức tải trọng S3 với hệ số an toàn từng phần cho tải trọng là 1,0.
Các biện pháp giảm thiểu thay thế bao gồm giới hạn áp lực chịu lực ở mức giá trị chấp nhận được theo khuyến nghị trong GIR hoặc bằng cách thay thế đất nhạy.
Nếu có thể chứng minh rằng các điều kiện sau được đáp ứng thì thiết kế móng kết quả có thể chịu được khoảng cách giữa móng và lớp đất bên dưới ở mức tải trọng S3.
1) Hình dạng móng không được kiểm soát bởi các yêu cầu về độ cứng xoay hoặc, trong trường hợp được kiểm soát, môđun đất đã được xác định chính xác dựa trên phép đo môđun cắt tại chỗ, ví dụ như thí nghiệm xuyên tĩnh hoặc phép đo vận tốc sóng ngang.
2) Tính toán độ cứng của nền móng đặc biệt tính đến bất kỳ sự mất mát diện tích tiếp xúc nào.
3) Việc tuân thủ các tiêu chuẩn về độ nghiêng và độ lún của nền móng không bị ảnh hưởng bởi việc mất diện tích tiếp xúc.
4) Không có điều kiện nước ngầm cao hoặc thay đổi có khả năng dẫn đến áp suất nước lỗ rỗng cao hoặc xói mòn đất dưới móng trong quá trình tải trọng tuần hoàn kéo dài.
5) Tải trọng tuần hoàn không được dự kiến sẽ dẫn đến việc giảm đáng kể môđun đất đến mức ảnh hưởng đến hình dạng móng.
6) Đất được xác định là không dễ bị suy giảm cường độ dưới tác dụng tải trọng tuần hoàn lặp đi lặp lại các mức tải trọng được áp dụng sao cho nó chi phối hình dạng của nền móng.
8.6 Móng cọc
8.6.1 Quy định chung
Móng cọc bao gồm một đài cọc được kết nối với một hoặc nhiều thân cọc có độ bền địa kỹ thuật thông qua sự kết hợp của ma sát thân cọc, lực chịu lực đầu cọc và độ bền thụ động ngang.
Độ bền kết cấu của đài cọc và cọc phải tuân theo các nguyên tắc được trình bày trong Điều 6 và Điều 7. Nếu quy trình thiết kế yêu cầu, giao diện giữa đài cọc và cọc phải được ghi chép rõ ràng. Đặc biệt khi một thành phần thiết kế nhạy với các đặc tính của thành phần kia, ví dụ như truyền tải tải và độ cứng xoay, điều này phải được truyền đạt rõ ràng trong tài liệu thiết kế.
8.6.2 Tải trọng cọc
Đánh giá độ ổn định toàn bộ sẽ được thực hiện để xác định tải trọng cọc dọc trục đặc trưng cho các trường hợp tải cực trị được trình bày trong 5.4 dựa trên sự sắp xếp hình học. Thông thường có thể cho rằng đài cọc hoạt động như một cấu trúc cứng để tính toán tải trọng cọc. Tải trọng sẽ tính đến các tác động vĩnh viễn do trọng lượng riêng của tuabin, tháp, móng đài cọc và bất kỳ đất lấp nào, và tác động đẩy-kéo biến đổi chồng lên nhau bắt nguồn từ tải trọng gió. Thông thường không nên suy ra sức chịu tải từ áp lực chịu lực ở mặt dưới của đài cọc.
Các phân tích sẽ được thực hiện đối với các mômen tác dụng lên tất cả các trục đối xứng để đảm bảo xem xét được hướng xấu nhất.
Tải trọng cọc ngang thiết kế sẽ được tính toán bằng cách phân bổ tổng tải trọng vào các cọc, có tính đến bất kỳ tải trọng xoắn nào quanh trục thẳng đứng. Tùy thuộc vào việc cọc được thiết kế theo phương thẳng đứng hay nghiêng, tải trọng ngang không phải lúc nào cũng bằng nhau ở tất cả các cọc theo bất kỳ hướng tải trọng cụ thể nào.
Tải trọng cọc thiết kế sẽ được tính bằng cách áp dụng các hệ số an toàn từng phần thích hợp cho tải trọng như được định nghĩa trong Điều 5.
Cần phải xem xét tác động của nước ngầm, bao gồm khả năng thay đổi trên toàn bộ địa điểm và mức tối đa/tối thiểu trong suốt thời gian thiết kế của dự án.
8.6.3 Trạng thái giới hạn cực hạn
8.6.3.1 Sức chịu tải địa kỹ thuật của cọc
Sức chịu tải của cọc thẳng đứng và nằm ngang tối đa sẽ được tính bằng cách sử dụng các phương pháp tiếp cận ứng suất tổng hoặc ứng suất hiệu dụng dựa trên các phương pháp phân tích đã thiết lập có tính đến các điều kiện đất, loại cọc và phương pháp lắp đặt. Sức chịu tải của cọc sẽ được tính toán để kết hợp hệ số an toàn từng phần thích hợp về độ bền và theo yêu cầu của các tiêu chuẩn và quốc gia và theo cách phù hợp với thử nghiệm tải trọng và địa kỹ thuật được áp dụng. Có thể sử dụng thử nghiệm tải trọng tĩnh hoặc động toàn phần của cọc, trước hoặc trong quá trình thi công chính để xác nhận thiết kế cọc và cho phép giảm hệ số an toàn từng phần về độ bền nếu được phép trong các tiêu chuẩn.
Sức chịu tải của cọc trục sẽ dựa trên ma sát trục và độ chịu lực đầu cọc. Tác động của ma sát bề mặt âm sẽ được đưa vào như một tải trọng cố định bổ sung cho đất mềm có nguy cơ lún kéo dài.
Sức chịu tải ngang phải dựa trên sức chịu tải đất thụ động. Có thể bao gồm tác dụng có lợi của kết nối mômen tại giao diện của đài cọc và đầu cọc tùy thuộc vào chi tiết kết nối cấu trúc đầy đủ. Có thể xem xét sức chịu tải đất thụ động tác động lên đài cọc khi điều kiện mặt đất cho phép.
Khả năng chịu lực dọc và ngang phải tính đến phương pháp lắp cọc và ảnh hưởng của phương pháp này đến trạng thái giao diện cọc/đất.
Khả năng chịu lực dọc và ngang của cọc có thể được coi là độc lập nếu cọc đủ dài để chịu được lực dọc và lực ngang ở các phần khác nhau của cọc. Cọc ngắn hoặc cọc có ma sát thân cao gần đầu cọc có thể cần đánh giá bổ sung để giải quyết bất kỳ tác động tương tác nào.
Hiệu ứng khoảng cách giữa các cọc sẽ được đưa vào phân tích và có thể trở nên quan trọng nếu khoảng cách nhỏ hơn 5 lần đường kính cọc.
8.6.3.2 Sức chịu tải của cọc
Khả năng chịu lực kết cấu của cọc phải được xác định bởi nhà thiết kế cọc chuyên nghiệp để tính đến sự kết hợp của tải trọng nén, kéo và tải trọng ngang. Các nguyên tắc được cung cấp trong Điều 6 và Điều 7 đối với thép và bê tông cốt thép phải được áp dụng cho thiết kế kết cấu của cọc. Thiết kế kết cấu cọc phải bao gồm các trạng thái giới hạn cực hạn, khả năng hoạt động và trạng thái giới hạn mỏi.
Tác động của việc đóng cọc trong quá trình lắp đặt sẽ được đưa vào quá trình kiểm tra kết cấu sao cho ứng suất tối đa bao gồm hệ số giảm và phân tích mỏi bao gồm ứng suất lắp đặt.
Cần đặc biệt chú ý đến các chi tiết kết nối giao diện giữa cọc và đài cọc để đảm bảo truyền tải đầy đủ tải trọng theo mọi trạng thái giới hạn. Trong trường hợp cọc chịu kéo, cần cung cấp đường dẫn tải trọng thích hợp giữa mặt chịu kéo của đài cọc và kết cấu cọc.
Các mômen uốn đầu cọc sẽ được đánh giá về hỏng hóc do mỏi bằng lý thuyết đàn hồi. Các mômen uốn đầu cọc sẽ được đánh giá cho trạng thái giới hạn cực hạn trừ khi thiết kế có thể chứa các khớp dẻo ở đầu cọc và không cần phải phát triển mômen đầu cọc.
Trong trường hợp có bất kỳ bộ phận hàn nào trong thiết kế cọc (bao gồm các mối hàn cố định được sử dụng làm công cụ hỗ trợ thi công lồng cốt thép), đánh giá độ mỏi của kết cấu cọc sẽ xem xét các đặc tính SN giảm của bộ phận hàn như mô tả trong Điều 7.
8.6.4 Trạng thái giới hạn khả năng hoạt động
8.6.4.1 Quy định chung
Thiết kế phải bao gồm các xem xét cụ thể để đảm bảo rằng móng cọc đáp ứng các tiêu chí về khả năng hoạt động trong suốt vòng đời thiết kế của tuabin gió. Các tiêu chí về khả năng hoạt động bao gồm:
1) tuân thủ độ cứng xoay và ngang tĩnh và (nếu được quy định) động do nhà sản xuất tuabin quy định làm cơ sở cho tính toán tải trọng,
2) kiểm soát độ nghiêng và độ lún tối đa của móng trong suốt thời gian thiết kế của móng, và
3) ngăn ngừa sự suy thoái khả năng chịu lực hoặc độ cứng của đất do tải trọng lặp đi lặp lại hoặc theo chu kỳ, ví dụ như sự tích tụ áp lực nước lỗ rỗng, hiện tượng trễ, biến dạng, hóa lỏng hoặc cơ chế suy thoái khác.
8.6.4.2 Độ cứng của nền móng
Hệ thống móng phải đáp ứng độ cứng xoay và độ cứng ngang theo yêu cầu được xác định trong tài liệu giao diện tuabin gió theo tải trọng khả năng hoạt động.
Phân tích có thể bao gồm các lò xo tương đương được áp dụng vào mặt dưới của đài cọc tại các vị trí cọc hoặc có thể được tính toán dựa trên các giải pháp tiêu chuẩn có tính đến độ võng của cọc theo độ cứng của đất.
Độ cứng của nền móng động phải được kiểm tra xác nhận dựa trên môđun đất biến dạng nhỏ. Độ cứng của nền móng là một hàm của cọc tương đối và môđun đất ở mức tải S3. Độ cứng của đất phải tính đến các giá trị giảm tiềm ẩn nếu cọc chịu tải đảo ngược (kéo thành nén) trong phạm vi tải này.
Độ cứng của móng tĩnh, nếu được nhà sản xuất tuabin quy định, sẽ được kiểm tra xác nhận dựa trên môđun đất cho phép giảm độ cứng cắt biến dạng nhỏ theo hàm số của biến dạng đất thực tế dưới mức tải S1. Sự giảm này phụ thuộc vào đặc điểm của đất và mức độ mà cường độ đất đã được huy động.
8.6.4.3 Độ võng của cọc
Độ võng đầu cọc sẽ được tính toán để định lượng độ nghiêng tối đa (độ quay) và độ lún tuyệt đối của móng, sử dụng các tiêu chí tương tự như được trình bày trong 8.5.3.3.
Độ linh hoạt và độ võng của cọc cần thiết để huy động ma sát trục, lực chịu lực cuối và sức cản thụ động sê được tính đến trong phân tích độ võng. Các tác động tiềm tàng của nhóm cọc đối với sự phát triển sức cản khi dịch chuyển sẽ được tính đến.
8.6.4.4 Sự thoái hóa đất dưới tải trọng tuần hoàn
Rủi ro suy giảm dần dần hoặc đột ngột sức chịu tải hoặc độ cứng của cọc phải được đánh giá như một phần của thiết kế cọc.
Độ nhạy của đất đối với tải trọng lặp lại hoặc tuần hoàn sẽ được xác định và biện pháp giảm thiểu được đưa ra dựa trên các khuyến nghị của GIR. Biện pháp giảm thiểu phù hợp có thể đạt được bằng cách hạn chế ma sát trục được huy động và ứng suất chịu lực đầu cọc ở tỷ lệ thấp so với khả năng chịu tải của cọc hoặc bằng cách hạn chế hoặc loại bỏ độ căng của cọc ở mức tải S3.
8.7 Móng neo đá
8.7.1 Quy định chung
Móng neo đá bao gồm một móng được kết nối với một số neo đá căng sau. Móng này có được độ bền địa kỹ thuật thông qua việc chịu lực trên bề mặt đá.
Neo đá được ứng suất trước và duy trì trạng thái cân bằng của móng. Lực ứng suất trước từ neo đá phải được coi là lực bên ngoài. Các hệ số an toàn từng phần cho tải trọng sẽ được áp dụng cho lực ứng suất trước cùng với các tổn thất theo 8.7.6.
Độ bền kết cấu của móng và neo phải tuân theo các nguyên tắc được trình bày trong Điều 6 và Điều 7. Trách nhiệm thiết kế được chia cho các nhà thiết kế khác nhau là bình thường vì neo đá là một thành phần thiết kế chuyên biệt. Nếu thiết kế được chia theo cách này, trách nhiệm thực hiện các yêu cầu của quy tắc này phải được truyền đạt và ghi lại rõ ràng. Khi một thành phần thiết kế nhạy với các đặc tính của thành phần kia, ví dụ như truyền tải tải trọng và độ cứng xoay, điều này phải được truyền đạt rõ ràng trong tài liệu thiết kế.
8.7.2 Các loại móng neo đá
Xem xét hai loại móng neo đá.
1) Móng treo bê tông cốt thép thông thường - nắp bê tông cốt thép được neo vào nền đá. Đầu neo phải được bảo vệ bằng nắp bảo vệ nếu nó được đặt trên đỉnh móng. Kết nối giữa tháp và nắp bê tông (móng) được thiết kế theo nguyên tắc trong Điều 7 bằng cách sử dụng bulông neo thông thường hoặc vòng chèn.
2) Đế đệm đá thép - phần chuyển tiếp kết nối tháp với bê tông và đá bên dưới. Tháp được kết nối với phần chuyển tiếp bằng bulông ngắn và neo đá kết nối phần chuyển tiếp với đá.
Neo đá có thể bao gồm các cáp bện hoặc các thanh có ren được căng sau. Hệ thống căng sau cần có phê duyệt hoặc chứng nhận sản phẩm theo các tiêu chuẩn cho các hệ thống căng sau.
8.7.3 Dữ liệu địa kỹ thuật
Dữ liệu địa kỹ thuật của đá sẽ được nghiên cứu theo 8.3.
Khảo sát địa chất công trình (SI) sẽ bao gồm khoan lỗ khoan để kiểm tra xác nhận chất lượng đá và xác định vùng neo. Nên tiến hành khoan lõi tại một số địa điểm để kiểm tra xác nhận chất lượng đá và điều tra khả năng có vết nứt, vùng nứt và nước ngầm. Các lỗ khoan sẽ được khoan đến độ sâu ít nhất bằng độ dài dự kiến của neo.
Cuộc khảo sát địa chất công trình, dữ liệu kiểm tra và chất lượng đá sẽ được đánh giá và biên soạn trong GIR như mô tả trong 8.3. Báo cáo sẽ đánh giá và nêu áp suất đất tối đa cho phép ở trạng thái giới hạn cực hạn và môđun đàn hồi của đá.
Kiểm tra đá tại khu vực móng và khu vực xung quanh sẽ được tiến hành trong quá trình thi công móng khi bề mặt đá được làm sạch khỏi đất tự nhiên. Kiểm tra này sẽ xác nhận các điều kiện được báo cáo trong GIR và được sử dụng trong thiết kế trước và sau bất kỳ hoạt động nổ mìn nào và tất cả vật liệu nén được loại bỏ.
8.7.4 Bảo vệ chống ăn mòn
Các neo đá phải được thiết kế như neo đá cố định, thường chứa hệ thống bảo vệ chống ăn mòn kép. Các ví dụ về hệ thống được phép được đưa ra trong Phụ lục M. Hệ thống bảo vệ mạ kẽm không được phép.
Các biện pháp đặc biệt sẽ được áp dụng để bảo vệ các gân hoặc thanh bên dưới tấm neo (tấm chịu lực) trên đỉnh móng để ngăn nước xâm nhập và ăn mòn neo. Điều này có thể đạt được bằng cách đặt một ống thép ở dưới cùng của tấm neo cùng với các miếng đệm cao su và hợp chất chống ăn mòn. Thông thường, tấm neo phải được mạ kẽm như thể hiện trong Phụ lục M.
Nắp bảo vệ chứa hợp chất chống ăn mòn sẽ bảo vệ đầu neo trên đỉnh tấm neo. Đầu neo phải cho phép tiếp cận để kiểm tra trong suốt vòng đời thiết kế của nó.
8.7.5 Kiểm tra và bảo trì neo
Nhà thiết kế phải đảm bảo rằng lực căng của neo đá có thể được kiểm tra trong suốt thời gian thiết kế và bất kỳ tổn thất căng nào cũng có thể được hiệu chỉnh nếu cần thiết.
Nhà thiết kế phải quy định các yêu cầu kiểm tra và bảo trì hệ thống neo đá trong suốt thời gian sử dụng theo thiết kế.
8.7.6 Dung sai và tổn thất sau khi kéo căng
Dung sai thực hiện kéo căng sau sẽ được tính đến như một dung sai phần trăm và/hoặc các hệ số an toàn từng phần về tải trọng theo yêu cầu của địa phương.
Tổn thất lực căng sau phải được tính đến trong tất cả các trạng thái giới hạn để tính đến:
1) tổn thất tức thời (trượt nêm và tổn thất đàn hồi), và
2) tổn thất theo thời gian do bê tông và đá bị từ biến, bê tông co ngót và cốt neo chùng ứng suất.
Trừ khi giá trị được xác định bằng tính toán, tổn thất thông thường là 20 % do giãn nở, biến dạng và co ngót sẽ được cho là có thể xảy ra.
Giá trị thiết kế của lực căng sau được sử dụng trong các phép tính phải tính đến dung sai dương hoặc âm và sự có hoặc không có tổn thất, tùy thuộc vào việc chúng có lợi hay bất lợi cho trạng thái giới hạn đang được xem xét.
8.7.7 Trạng thái giới hạn cực hạn
8.7.7.1 Lật đổ
Việc lật đổ sẽ được đánh giá như trình bày trong 8.5.2.2, bao gồm tác động của lực giữ neo.
8.7.7.2 Phá hủy nền đất - Sức chịu tải của đá
Sức chịu tải thẳng đứng phải được kiểm tra xác nhận (xem 8.5.3.2).
|
| (18) |
trong đó
| qEd | là giá trị thiết kế của áp lực đất dẻo dưới dạng tải trọng phân bố đều; |
| qRd | là giá trị thiết kế về sức chịu tải của khối đá dưới dạng tải trọng đồng đều bao gồm tác động của các vết nứt hoặc sự gián đoạn khác và bao gồm các hệ số vật liệu và/hoặc độ bền từng phần thích hợp; |
| Fzd | là giá trị thiết kế của lực thẳng đứng; |
| A’ | là diện tích nền hiệu quả xung quanh trọng tâm cho Fzd; |
Khả năng chịu tải của đá bị ảnh hưởng bởi hình dạng tại chỗ của đá và độ lớn của Fzd
Áp suất đàn hồi đất cục bộ tối đa cũng phải được kiểm tra xác nhận.
| qEd, elastic < qRd, local | (19) |
trong đó
| qEd, elastic | là giá trị thiết kế của áp suất đàn hồi đất; |
| qRd, local | là giá trị thiết kế của sức chịu tải tối đa trên một diện tích cục bộ của đá (giá trị cường độ nén không giới hạn). |
8.7.7.3 Trượt
Không được xảy ra hiện tượng trượt giữa đá, bê tông san phẳng và móng, có tính đến tác dụng có lợi của lực căng neo đá.
8.7.8 Trạng thái giới hạn khả năng hoạt động
8.7.8.1 Độ cứng của móng
Xem 8.5.3, mặc dù trên thực tế, móng neo đá cứng hơn đáng kể so với các loại khác nhưng tiêu chí này thường không phải là yếu tố để thiết kế.
8.7.8.2 Độ nghiêng và độ lún
Độ lún thường không phải là yếu tố quyết định thiết kế trên đá rắn và không yêu cầu kiểm tra cụ thể.
8.7.8.3 Không có khe hở
Nếu mũ neo được mô hình hóa như một vật thể cứng, khoảng hở mặt đất bằng không sẽ xảy ra ở mức tải S3 bao gồm tác động của lực giữ neo. Nếu áp suất mặt đất được mô hình hóa bằng lò xo thẳng đứng để biểu diễn sự tiếp xúc với đá, thì các mục sau đây sẽ được đáp ứng:
1) áp lực tiếp xúc xung quanh toàn bộ chu vi của móng để ngăn nước xâm nhập nhằm bảo vệ chống ăn mòn;
2) áp suất tiếp xúc tại neo đá và cách mép ngoài của neo 0,1 m đảm bảo chia sẻ tải trọng giữa neo và mũ để cải thiện khả năng chống mỏi.
Việc kiểm tra này sẽ đảm bảo khả năng chống ăn mòn của neo.
Đối với móng kiểu bộ chuyển tiếp đá, phần chuyển tiếp phải tiếp xúc với bê tông trên toàn bộ khu vực dưới mức tải S1, không bị mất áp suất trên chu vi hoặc không có khe hở (giảm áp). Yêu cầu này rất quan trọng để đảm bảo độ cứng xoay của tháp và khả năng chống mỏi của neo.
8.7.9 Kiểm tra độ bền vững
Kiểm tra độ chắc chắn của móng phải được thực hiện để cho phép neo bị hỏng. Trong trường hợp tải này, ít nhất một neo đá hoặc 10 % tất cả các neo đá (tùy theo giá trị nào lớn hơn) sẽ được coi là đã mất tải trước, cấu trúc phải vẫn ổn định với các neo đá còn lại, để kiểm tra xác nhận mức tải S1.
Khi thiết kế móng phải có phương án dự phòng trong trường hợp neo bị hỏng trong quá trình thi công.
8.7.10 Thiết kế neo đá
8.7.10.1 Quy định chung
Neo đá phải được thiết kế theo tiêu chuẩn và quy tắc về xây dựng, ở mức tải trọng S1, không được phép có neo đá bị biến dạng.
Phải tiến hành thử nghiệm, giám sát và theo dõi việc lắp đặt neo đá.
Trong quá trình khoan lỗ, chất lượng đá phải được ghi vào báo cáo khoan và bất kỳ phát hiện nào làm mất hiệu lực các giả định thiết kế phải được giải quyết.
Các lỗ khoan phải được thử thủy lực bằng thử nghiệm độ sụt giảm cột nước để đảm bảo lỗ khoan "kín".
Trong quá trình ứng suất trước neo đá, cần theo dõi nền móng để kiểm tra xác nhận rằng không có hiện tượng lún.
Cáp hoặc thanh phải có chiều dài tự do phía trên từ điểm chịu ứng suất và xuống vùng liên kết. Trên chiều dài tự do, gân hoặc thanh có thể tự do căng riêng biệt với vữa và đá xung quanh. Chiều dài tự do ở đầu neo rất quan trọng để đảm bảo neo hoạt động đúng.
Chiều dài tự do của neo đá đảm bảo:
• độ bền (không có chế độ hỏng giòn (mỏng)),
• biến đổi ứng suất thấp trong trường hợp tải trọng mỏi và
• giảm thiểu tổn thất do trượt nêm.
Chiều dài neo cố định cần thiết (Lfixed), còn được gọi là độ dài liên kết (Lbond), trong đó tải trọng được truyền tới đá xung quanh, sẽ được kiểm tra xác nhận.
|
| (20) |
trong đó
| γF | là hệ số an toàn từng phần cho tải trọng; |
| Plock-off | là tải trọng khóa cho neo đá; |
| fbd | là giá trị thiết kế của cường độ liên kết giữa đá và vữa xi măng; |
| θ | là đường kính của lỗ khoan. |
| Lanchor | = Lfree + Lfixed |
Đối với đá chất lượng tốt (thông số khối lượng đá, RMR > 60), cường độ liên kết sẽ được tính theo công thức sau:
|
| (21) |
trong đó
| fcck | là cường độ nén vữa đặc trưng; |
| γM3 | = 3 |
8.7.10.2 Độ mỏi của neo đá
Đánh giá độ mỏi phải được thực hiện đối với tất cả các neo đá.
Không cần phân tích mỏi chi tiết bổ sung nếu phạm vi ứng suất cho tải mỏi cao nhất trong bó cáp ứng suất trước thấp hơn Δσd, fatigue, strands < 70 MPa trong trạng thái giới hạn mỏi. Phạm vi ứng suất có thể được đánh giá từ khoảng cách giữa móng và đá (δLift off) tại vị trí neo đá.
ɛ = độ giãn dài = δLif t off /LFree
trong đó
ɛ là độ dãn dài
Δσ = ɛ x Es
trong đó
Es là môđun e của neo đá.
Độ mỏi của thanh ren phải được kiểm tra theo yêu cầu của 6.7.4.
8.7.10.3 Sức chịu tải địa kỹ thuật của neo đá
Sức chịu tải địa kỹ thuật của neo đá phải được kiểm tra xác nhận và tác động toàn bộ của khoảng cách giữa các neo phải được đưa vào.
|
| (22) |
trong đó
| Rd | là độ bền thiết kế liên quan đến sức chịu tải địa kỹ thuật; |
| γR | = 1,35 |
| Rk | là trọng lượng của thể tích khối đá được huy động, thường là hình nón ngược có góc đáy là 60° so với phương ngang, bắt đầu từ đáy của mỏ neo đá. |
8.7.10.4 Chiều dài của neo đá
Tổng chiều dài của neo đá được chi phối bởi khả năng chịu tải địa kỹ thuật và độ dày của móng, được minh họa là H2 trong Hình 7, hoặc chiều dài neo tự do và cố định theo 8.7.10.3, được minh họa là LFREE và LFIXED trong Hình 7.

Hình 7 - Minh họa chiều dài neo đá
9 Yêu cầu về vận hành, hoạt động và bảo trì
9.1 Vận hành, bảo trì và giám sát
Các thành phần của các chương trình vận hành, bảo trì và giám sát được tổ chức, sắp xếp trên cơ sở những thông tin kỹ thuật độc quyền được quy định trong các tài liệu về máy phát điện tuabin gió, hợp đồng thương mại và các điều khoản bảo hành, tài liệu kỹ thuật, hướng dẫn của ngành và các yêu cầu riêng của chúng. Bảo trì kết cấu cần thiết cho hoạt động an toàn liên tục và/hoặc tính năng thiết kế kết cấu của nhà máy sẽ được quy định trong các bản vẽ kỹ thuật và/hoặc thông số kỹ thuật và sẽ được tích hợp trong tài liệu vận hành của tuabin gió. Bảo trì bắt buộc dự kiến như vậy là một phần của ý tưởng thiết kế bao gồm bảo trì độ căng bulông trong các kết nối mặt bích bulông thép và các kết nối lồng bulông neo. Bảo trì kết cấu khác có thể trở nên cần thiết sau khi quan sát thấy sự không lý tưởng trong các thành phần kết cấu, tức là các vết nứt bê tông kết cấu, bulông neo hoặc tháp thép bị ăn mòn quá mức và sự không lý tưởng bề mặt bê tông có thể chỉ ra các vấn đề cơ bản nghiêm trọng.
Nhìn chung, bảo trì phòng ngừa và chủ động được chấp nhận là hiệu quả hơn so với sửa chữa phản ứng tốn kém và thời gian ngừng hoạt động liên quan. Kiểm tra định kỳ là một thành phần quan trọng của chương trình bảo trì phòng ngừa. Tuy nhiên, hiệu quả của chương trình như vậy có thể được cải thiện đáng kể thông qua giám sát tình trạng của kết cấu. Mặc dù các biện pháp phòng ngừa này được khuyến khích mạnh mẽ, nhưng phạm vi và bản chất của việc áp dụng chúng vẫn được xác định bởi các điều khoản hợp đồng và lựa chọn của chủ sở hữu.
9.2 Kiểm tra kết cấu định kỳ
Thông thường, một bản liệt kê khá đầy đủ về tình trạng của các thành phần kết cấu được thực hiện như một phần của hoạt động chạy thử và đảm bảo chất lượng dự án và kiểm soát tài liệu. Mặc dù bản liệt kê này là cần thiết theo quy trình nghiệm thu công trình, nhưng các cuộc kiểm tra định kỳ được khuyến nghị như một phần của chương trình bảo trì phòng ngừa. Tối thiểu, các cuộc kiểm tra kết cấu phải bao gồm:
• nứt bê tông và khuyết tật bề mặt bê tông;
• tình trạng của các mối nối (hở/kín, vữa hoặc vữa chà ron bị nứt, v.v.);
• bất kỳ độ nghiêng tháp nào có thể phát hiện được và
• bất kỳ dấu hiệu hỏng hóc nào của tháp, nền mỏng hoặc đất xung quanh nơi lắp đặt.
9.3 Kiểm tra phần kết cấu thép đặt sẵn
Các tháp được kết nối với móng bằng (các) bộ phận thép đặt sẵn cần được giám sát định kỳ đặc biệt để kiểm tra xác nhận tình trạng mối nối giữa thép và bê tông và để tìm kiếm các dấu hiệu hỏng hóc. Mối nối phải được duy trì trong tình trạng không thấm nước và bất kỳ vết nứt nào trong bê tông xung quanh khuôn kim loại phải được bịt kín.
9.4 Bảo trì độ căng của bulông
Trong trường hợp lồng bulông neo hoặc kết nối bulông mặt bích thép, tuổi thọ chịu mỏi của các thành phần neo phụ thuộc vào các bulông vẫn chịu lực căng. Phải duy trì lực căng trước của bulông neo và phải quy định chương trình bảo dưỡng lực căng bulông trên bản vẽ kết cấu và/hoặc thông số kỹ thuật. Nếu các phần khác nhau của tháp thép hoặc bê tông được bulông lại với nhau và tính năng của tháp phụ thuộc vào lực căng của bulông, phải quy định chương trình bảo dưỡng/kiểm tra xác nhận lực căng bulông thích hợp như một phần của thiết kế tháp. Lực căng bulông phải được thực hiện bằng thiết bị hiệu chuẩn được chứng nhận. Chương trình bảo dưỡng lực căng bulông phải được điều chỉnh theo tần suất và số lượng bulông cần kiểm tra. Có thể áp dụng kết hợp các phương pháp căng, đóng chốt và các phương pháp không phá hủy khác để cung cấp biện pháp kiểm tra tất cả các bulông.
9.5 Giám sát tình trạng kết cấu
Giám sát tình trạng kết cấu cho phép theo dõi thời gian thực bất kỳ số lượng thông số nào có tương quan với tình trạng của kết cấu và/hoặc nền móng của nó. Các chỉ số này được sử dụng để phát hiện những thay đổi đối với tình trạng đó và dự đoán các trạng thái sắp xảy ra sự cố hoặc hỏng hóc. Kiến thức này cho phép người vận hành thực hiện các biện pháp phòng ngừa để giữ cho nhà máy hoạt động ở mức ứng suất thấp, do đó kéo dài tuổi thọ của các thành phần và ngăn ngừa hỏng hóc. Các cảm biến phổ biến bao gồm máy đo gia tốc, máy đo vận tốc, cảm biến lực, máy đo độ nghiêng và máy đo ứng suất. Máy đo gia tốc đặc biệt hữu ích để đo phản ứng động và phát hiện những thay đổi trong tần số tự nhiên, biểu thị những thay đổi trong kết cấu.
Phụ lục A
(tham khảo)
Danh mục các quy tắc và hướng dẫn thiết kế thích hợp để làm cơ sở tính toán
A.1 Quy định chung
Trong Phụ lục A, các quy tắc thiết kế từ nhiều nơi khác nhau đáp ứng các yêu cầu nêu trong 5.2 được liệt kê. Việc áp dụng một trong các bộ tiêu chuẩn sau đây sẽ dẫn đến một thiết kế có mức độ tin cậy đủ khi sử dụng cùng với tiêu chuẩn này.
Đây không phải là danh mục đầy đủ. Các tài liệu khác đạt được mức độ an toàn tương tự như các tiêu chuẩn này cũng được chấp nhận.
Về nguyên tắc, thiết kế kết cấu theo một loạt quy tắc thiết kế cụ thể của quốc gia/khu vực (kết hợp với tiêu chuẩn thi công liên quan) không giới hạn ở quốc gia/khu vực này, miễn là các quy tắc thiết kế được sử dụng được chấp nhận tại quốc gia/khu vực đó.
- EN 1993-1 (tất cả các phần) [1];
- Có thể sử dụng EN 1090-2 [2] làm tiêu chuẩn thi công. Trong trường hợp này, lớp thi công sẽ được lựa chọn dựa trên Phụ lục B trong EN 1090-2:2015 (EXC 3 bắt buộc đối với các kết cấu chính);
- Hướng dẫn JSCE 2010 [3];
- JASS 6 [4] có thể được sử dụng làm tiêu chuẩn thực thi;
- EN 1992-1-1 [7];
- Đối với bê tông và cốt thép chịu mỏi có thể sử dụng tiêu chuẩn MC 1990 [5] hoặc DNVGL DNVGL-ST-0126 [8];
- Tiêu chuẩn DNVGL DNVGL-ST-0126 [8];
- ACI 318-14 cho bê tông kết cấu [9],
A.2 Tài liệu tham khảo
[1] EN 1993-1 (tất cả các phần), Eurocode 3: Thiết kế kết cấu thép
[2] EN 1090-2, Thi công kết cấu thép và kết cấu nhôm - Phần 2: Yêu cầu kỹ thuật đối với kết cấu thép
[3] Hướng dẫn thiết kế kết cấu và nền móng hỗ trợ tuabin gió, Kỹ thuật kết cấu Series 20, Hiệp hội Kỹ sư xây dựng Nhật Bản, 2010
[4] Tiêu chuẩn kiến trúc Nhật Bản JASS 6 (1996) Tiêu chuẩn kết cấu thép cho xây dựng công trình
[5] CEB-FIP mô dun mã 1990: Mã thiết kế
[6] IIW: Khuyến nghị về thiết kế chịu mỏi của các mối hàn và linh kiện, Viện hàn quốc tế (IIW/IIS), Tài liệu IIW IIW-1823-07 ex XIII-2151r4-07/XV-1254r4-07, Paris 2008
[7] EN 1992-1-1, Eurocode 2: Thiết kế kết cấu bê tông - Phần 1-1: Quy định chung và quy định cho công trình
[8] Tiêu chuẩn DNVGL-ST-0126 cấu trúc hỗ trợ cho tuabin gió
[9] ACI 318 - Yêu cầu của Quy định xây dựng đối với bê tông kết cấu
Phụ lục B
(tham khảo)
Danh mục vật liệu cho kết cấu thép
B.1 Quy định chung
Danh sách các vật liệu đáp ứng các yêu cầu đối với thép kết cấu được tóm tắt trong Phụ lục B.
B.2 Kết cấu thép
Các loại thép kết cấu được liệt kê trong Bảng B.1 đáp ứng các yêu cầu nêu trong 6.3.2. Đối với bất kỳ đặc tính và hạn chế nào của vật liệu, cần kiểm tra các quy định quốc gia đã nêu.
Bảng B.1 - Tiêu chuẩn và loại thép quốc gia và khu vực
| Quốc gia/ Khu vực | Tiêu chuẩn | Kết cấu thép |
| Trung Quốc | GB/T1591 | Q345B, Q345C, Q345D, Q345E |
|
| GB/T28410 | Q345FTC, Q345FTD, Q345FTE, Q345FTF |
| Châu Âu | EN 10025-2 | S 235, S 275, S 355, S 440 |
|
| EN 10025-3 | S 275 N/NL, S 355 N/NL, S 420 N/NL, S 460 N/NL |
|
| EN 10025-4 | S 275 M/ML, S 355 IWML, S 420 IWML, S 460 IWML |
|
| EN 10025-5 | S 235 W, S 355 W |
|
| EN 10025-6 | S460 Q/QL/QL1 |
|
| EN 10210-1 | S 235 H, S 275 H, S 355 H, S 275 NH/NLH, S 355 NH/NLH, S 420 NH/NLH, S 460 NH/NLH |
|
| EN 10219-1 | S 235 H, S 275 H, S 355 H, S 275 NH/NLH, S 355 NH/NLH, S 460 NH/NLH, S 275 MH/MLH, S 355 MH/MLH, S 420 MH/MLH, S 460 MH/MLH |
| Nhật Bản | JIS G3106 | SM400A, SM400B, SM400C, SM490A, SM490B, SM490C, SM490YA, SM490YB, SM520B, SM520C, SM570 |
|
| JIS G3136 | SN400A, SN400B, SN400C, SN490B, SN490C |
| Hoa Kỳ | ASTM | A36, A242, A514, A529, A572, A573, A588, A633, A656, A709, A852, A945 |
| CHÚ THÍCH: Nhìn chung, nếu thép từ một vùng được thay thế bằng các loại thép từ các vùng khác, có thể cần thêm các yêu cầu. Các yêu cầu bổ sung này đặc biệt liên quan đến loại khử oxy, thành phần hóa học, giới hạn chảy, quá trình thường hóa và độ bền chống nứt. | ||
Phụ lục C
(tham khảo)
Bulông
C.1 Quy định chung
Như đã đề cập trong 6.3.3, vật liệu cho bulông phải tuân thủ theo ISO 898-1 hoặc tiêu chuẩn tương đương. JIS B 1186 và ASTM A490M-12 có thể được coi là tiêu chuẩn tương đương và việc so sánh các đặc tính của chúng với ISO 898-1 được thể hiện trong Bảng C.1.
Bảng C.1 –So sánh vật liệu bulông trong ISO 898-1, JIS B1186 và ASTM A490M-12
|
| ISO 898-1 | JIS B1186 | ASTM A490M-12 | ||||||
| Kích thước tối đa | M39 | M30 | M36 | ||||||
| Lớp tính chất | 8.8 | 10.9 | F8T | F10T | 10.9 | ||||
| Thành phần hóa học (%) |
|
|
|
|
| ||||
|
| C (min./max.) | 0,15/0,40a | 0,20/0,55 a | Không quy định | Không quy định | 0,28/0,50 | |||
|
| P (min./max.) | 0,025 a | 0,025 a |
|
| 0,045 | |||
| S (min./max.) | 0,025 a | 0,025 a | 0,045 | ||||||
| B (min./max.) | 0,003 | 0,003 | - | ||||||
| Tích chất cơ học |
|
|
|
|
| ||||
|
| - Độ bền kéo | 830 N/mm2 b | 1040 N/mm2 | 800 N/mm2 đến 1000 N/mm2 | 1000 N/mm2 đến 1200 N/mm2 | 1040 N/mm2 | |||
|
| - Ứng suất tại độ dãn dài không tỷ lệ 0.2% | 660 N/mm2 b | 940 N/mm2 | 640 N/mm2 | 900 N/mm2 | 940 N/m m2 | |||
| - Tỷ lệ dãn dài | 12% | 9% | 16% | 14% | 14% | ||||
| - Tỷ lệ giảm diện tích | 52% | 48% | 45% | 40% | 40% | ||||
| a Giá trị này dành cho thép cacbon có các hợp kim (ví dụ Bo hoặc Mn hoặc Cr) được tôi và ram. b Giá trị này cho d >16 mm. | |||||||||
Phốt pho và lưu huỳnh cố tác động tiêu cực đến đáp ứng giòn lạnh của bulông. Vì giới hạn của các nguyên tố này ít nghiêm ngặt hơn trong ASTM A325M và ASTM A490M-12 so với ISO 898-1, nên cần đặc biệt chú ý nếu bulông theo các tiêu chuẩn ASTM này được sử dụng trong điều kiện khí hậu lạnh.
V tiêu chuẩn JIS không nêu rõ giới hạn về thành phần hóa học nên cần đặc biệt chú ý đến bất kỳ tương tác nào giữa các tác động bên ngoài và trạng thái của bulông do thành phần hóa học của nó (ví dụ lượng phốt pho và lưu huỳnh kết hợp với khí hậu lạnh như đã đề cập ở trên).
V các tiêu chuẩn ASTM và JIS không quy định phạm vi nhiệt độ hoạt động nên cần đặc biệt chú ý nếu sử dụng bulông theo các tiêu chuẩn này trong điều kiện khí hậu lạnh.
Theo tiêu chuẩn RCSC, mạ kẽm nhúng nóng hoặc mạ kim loại không được phép sử dụng cho bulông ASTM A490M-12.
C.2 Tài liệu tham khảo
[1] JIS B 1186: Bộ bulông lục giác cường độ cao, đai ốc lục giác và vòng đệm trơn cho mối nối ma sát
[2] ASTM A490M-12: Tiêu chuẩn kỹ thuật cho bulông thép cường độ cao, Mục 10.9 và 10.9.3, cho Mối nối thép kết cấu (Hệ mét)
Phụ lục D
(tham khảo)
Giá trị Z cho thép kết cấu
D.1 Quy định chung
Giá trị Z cho thép kết cấu được xác định trong Phụ lục D.
D.2 Định nghĩa của giá trị Z theo Eurocode
Yêu cầu giá trị Z (tính chất xuyên qua độ dày) của vật liệu có thể được tính toán theo EN 1993-1-10.
Đối với mặt bích có cổ hàn theo 6.3.2, tùy thuộc vào độ dài cổ hàn, nội suy tuyến tính của giá trị Zb trong khoảng từ -25 đến +8 theo các giá trị nêu trong Bảng 3.2 của EN 1993-1-10:2005 được phép.
D.3 Tài liệu tham khảo
[1] EN 1993-1-10:2005, Eurocode 3: Thiết kế kết cấu thép - Phần 1-10: Độ bền vật liệu và đặc tính xuyên chiều dày chiều dày
Phụ lục E
(tham khảo)
Kiểm tra độ cong vênh đơn giản cho các lỗ mở trong tháp thép ống
Việc kiểm tra xác nhận đơn giản hóa dựa trên các phương pháp phân tích theo EN 1993-1-6 và Hướng dẫn JSCE2010.
Trong khu vực các lỗ mở được gia cường cạnh theo chu vi mà không có thêm các cổ giằng gia cường, xem Hình E.1 và Hình E.2, phân tích an toàn về độ võng có thể được thực hiện đơn giản hơn như đối với tường tháp không bị làm yếu nếu thay vì ứng suất võng thiết kế theo kinh tuyến theo EN 1993-1-6, ứng suất võng thiết kế theo kinh tuyến giảm theo Công thức (E.1) (đối với Eurocode) hoặc (E.2) (đối với JSCE) được sử dụng:
|
| (E.1) |
|
| (E.2) |
trong đó
| σx, R, D-ec | là ứng suất uốn thiết kế theo phương kinh tuyến theo EN 1993-1-6; |
| fc,r | là ứng suất uốn thiết kế theo phương kinh tuyến theo JSCE; |
| C1 | là hệ số giảm theo Công thức (E.2) để xem xét ảnh hưởng của việc mở. |
|
| (E.3) |
trong đó
| A1 và B1 | theo bảng E.1; |
| δ | là góc mở dọc theo chu vi. |
Các quy tắc trên có hiệu lực đối với
• các bức tường tháp với (r/t) ≤ 160,
• góc mở δ ≤ 60°, và
• kích thước mở h1/b1 ≤ 3,
trong đó góc mở và kích thước mở đề cập đến phần cắt ra của tường tháp mà không tính đến phần gia cố cạnh mở (xem Hình E.1) và cũng đối với phần gia cố cạnh mở,
• có mặt cắt ngang không đổi xung quanh toàn bộ lỗ mở hoặc được coi là có mặt cắt ngang nhỏ nhất,
• có diện tích mặt cắt ngang ít nhất bằng một phần ba diện tích lỗ mở bị mất,
• có mặt cắt ngang tại các cạnh mở được bố trí ở giữa so với mặt phẳng giữa của tường - xem Hình E.1 a) và b),
• có các phần cắt ngang đáp ứng giới hạn (c/t) giá trị cho lớp 2 theo EN1993-1-1:2005, Bảng 5.2 (c và t các quy định theo định nghĩa theo Eurocode), tương ứng WS/tS ≤ 8 theo JSCE (để định nghĩa WS và tS, xem Hình E.2).
Bảng E.1 - Hệ số cho Công thức (E.3)
|
| EN: S 235 / JIS: SM 400 | EN: S 355 / JIS: SM 490 or SM 490Y | ||
|
| A1 | B1 | A1 | B1 |
| δ = 20° | 1,00 | 0,001 9 | 0.95 | 0,002 1 |
| δ = 20° | 0,90 | 0,001 9 | 0,85 | 0,002 1 |
| δ = 20° | 0,75 | 0,002 2 | 0,70 | 0,002 4 |
| Các giá trị trung gian có thể được nội suy tuyến tính. Không được phép ngoại suy. | ||||
|
|
|
| Hình E.1 a) Nhìn từ phía trước của lỗ mở | Hình E.1 b) Mặt cắt ngang của lỗ mở |
Hình E.1 - Cạnh lỗ mở được gia cố theo chu vi

Hình E.2 - Định nghĩa của Ws và ts theo JSCE
CHÚ THÍCH: một mở rộng của phương pháp Velikov cho phân tích móp méo của tháp thép tuabin gió với tỷ lệ chiều cao/chiều rộng của lỗ mở được mô tả trong JSCE
Phụ lục F
(tham khảo)
Kiểm tra xác nhận độ mỏi
F.1 Quy định chung
Việc kiểm tra xác nhận độ bền mỏi có thể được thực hiện theo EN 1993-1-9 hoặc tài liệu IIW IIW-2259- 15 liên quan đến 6.6.
Đối với việc áp dụng EN 1993-1-9, cần xem xét những điều sau đây.
• Giá trị tham chiếu của độ bền mỏi sẽ được lấy từ phân loại chi tiết của EN 1993-1-9:2005, Bảng 8.1 đến 8.10 và EN 1993-3-2:2006, Phụ lục C tương ứng với chi tiết đã cho.
• Lưu ý đối với EN 1993-3-2:2006, 0.2(1): Không được phép tăng phân loại chi tiết chỉ bằng cách thay đổi mức chất lượng của mối hàn. Việc tăng phân loại chi tiết phải được chứng minh bằng thực nghiệm theo các quy tắc của EN 1990.
• Khái niệm ứng suất hình học (điểm nóng) theo EN 1993-1-9:2005, Phụ lục B, có thể được sử dụng thay thế cho khái niệm ứng suất danh nghĩa. Để tính đến hiệu ứng kích thước của các tấm với độ dày trên 25 mm, hệ số giảm cường độ ks = (25/t)0,2 sẽ được sử dụng.
F.2 Chi tiết cụ thể
• Lỗ trên tấm thép mạ chịu ứng suất đơn trục:
• Các lỗ trên tấm thép cán có kích thước bằng hoặc nhỏ hơn 50 mm và đường kính tấm thép (D) gấp 1,5 lần độ dày của tấm thép có thể được phân loại là phân loại chi tiết số 90. Các lỗ cần được cắt bằng máy sử dụng khí gas hoặc khoan với lớp phủ sau đó. Không được phép có vết nứt và không có khuyết tật nào có thể nhìn thấy được. Δσcó thể được tính toán trên mặt cắt ngang thực. Khoảng cách đầu hoặc cạnh phải bằng hoặc lớn hơn 1,5 lần D. Khoảng cách giữa các lỗ cần bằng hoặc lớn hơn 2,5 lần D.
Phụ lục G
(tham khảo)
Phương pháp kiểm tra xác nhận mặt bích vòng
G.1 Phương pháp phân tích độ bền cực hạn theo Petersen/Seidel
G.1.1 Cơ sở
Phương pháp tính toán đơn giản theo Petersen/Seidel có thể được sử dụng để đánh giá trạng thái giới hạn cực hạn của kết nối mặt bích bằng lý thuyết đàn hồi-dẻo. Nó bao gồm mô hình L-flange theo Petersen với sự tăng cường theo Seidel.
Trong Điều G.1, phương pháp được mô tả cho kết nối mặt bích chữ L, nhưng có thể được mở rộng tương tự cho kết nối mặt bích chữ T.
Kết nối mặt bích vòng tròn được giảm xuống thành mô hình phân đoạn chỉ với một bulông (xem Hình G.1). ứng suất kéo trong vỏ tháp cần được chuyển thành lực kéo tương đương z, tác động lên tường tháp của mô hình phân đoạn.

Hình G.1 - Đơn giản hóa mô hình hệ thống thành phân đoạn
G.1.2 Phương pháp tính toán
Đối với trạng thái giới hạn cực hạn, phải chứng minh rằng lực kéo cực hạn z trong tường tháp của mô hình phân đoạn thấp hơn độ bền kéo giới hạn cho phép Fu:
| Z ≤ Fu | (G.1) |
Độ bền kéo giới hạn cho phép Fu được tính là giá trị nhỏ nhất của các giá trị sau bốn chế độ hỏng hóc. Trong Hình G.2 và Hình G.3, các khu vực khớp dẻo tiềm ẩn trong mô hình phân đoạn và các thông số hình học được sử dụng trong các quy tắc tính toán tiếp theo được trình bày.
Đối với việc áp dụng phương pháp này, tỷ lệ của a/b (xem Hình bị giới hạn ở a/b ≤ 1,25.
- Chế độ hỏng A ("hỏng bulông")
![]()
- Chế độ hỏng B (hỏng bulông và khớp dẻo trong mặt bích hoặc vỏ tháp (Mpl,3)):

- Chế độ hỏng D (khớp dẻo trong mặt bích ở mặt phẳng tâm lỗ bulông
và trong mặt bích hoặc vỏ tháp (Mpl,3)):
![]()
- Chế độ hỏng E (khớp dẻo trong mặt bích cạnh lỗ bulông Mpl,2 và trong mặt bích hoặc vỏ tháp (Mpl,3)):
![]()

Hình G.2 - Vị trí của khớp dẻo cho các chế độ hỏng hóc khác nhau

CHÚ DẪN
D đường kính ngoài của vòng đệm, nếu "đường kính ngoài của vòng đệm" - "chiều rộng trên mặt phẳng của đai ốc" ≥ 2 · "chiều cao của vòng đệm". Nếu không, D sẽ bị giới hạn ở "Chiều rộng trên mặt phẳng của đai ốc" + 2 · tan 45° · "chiều cao của vòng đệm"
d/B đường kính lỗ khoan
S độ dày của tường
t độ dày mặt bích (không có cố hàn)
a khoảng cách giữa mép mặt bích và đường tâm của lỗ khoan
b khoảng cách giữa đường tâm của lỗ khoan và đường tâm của độ dày thành
b’E khoảng cách giữa điểm giữa chiều rộng vòng đệm và đường tâm của độ dày thành
Hình G.3 - Các tham số hình học
Sức chịu tải của bulông theo giới hạn chảy và của mặt bích và vỏ tháp đối với khớp dẻo được tính theo các công thức sau.
Lực giới hạn chảy của bulông:
![]()
Sức cản của mặt bích cho khớp dẻo ở chu vi lỗ bulông:
![]()
sử dụng c' = c - dB với c là chiều rộng của phân đoạn

Sức cản của vỏ tháp/mặt bích cho khớp dẻo ở trong/gần vỏ tháp:

với Fy,d,BI là cường độ chịu kéo thiết kế của tường tháp và fy,d,Fl là cường độ chịu kéo thiết kế của mặt bích,

trong đó
N, V là lực kháng kéo giới hạn ( = Fu);
Npl,Bl là lực pháp tuyến của đoạn tường tháp tại giới hạn chảy của vật liệu (= Fy,d,BI . s . c);
Vpl,Fl là lực cắt của đoạn thân bích tại giới hạn chảy của vật liệu
.
Việc tính toán Mpl,3 đòi hỏi một quy trình tính toán lặp lại do sự phụ thuộc lẫn nhau giữa khả năng chịu lực của các khớp dẻo tại phần mép và vỏ tháp với lực dọc và lực cắt ngang.
Do sự tương tác giữa ứng suất dọc trục gây ra bởi uốn và kéo trong vỏ tháp, cùng với sự tương tác của ứng suất do lực ngang và uốn trong phần mép, việc tính toán Mpl,3 cần một quy trình tính toán lặp lại.
CHÚ THÍCH Giải thích thêm về phương pháp này có thể có trong [2].
G.1.3 Mở rộng bởi Tobinaga và Ishihara
Nếu sử dụng bích khi tỷ lệ a/b cao hơn 1,25, vị trí của phản lực tương đương di chuyển ra ngoài từ mép trong của bích do biến dạng đàn hồi khi bulông lần đầu tiên đạt đến khả năng chịu lực cực hạn.
Điều này ngụ ý rằng cần phải kéo dài bulông thêm nữa để phát triển trạng thái giới hạn dẻo hoàn toàn, trong đó lực phản ứng tác động vào mép trong của bích và khớp dẻo trong tường tháp đã phát triển. Trừ khi sử dụng các mô hình tiên tiến hơn, có tính đến khả năng kéo dài của bulông trước khi đứt, thì có thể sử dụng phần kéo dài được mô tả trong G.1.3.
Phần này cung cấp ước tính thận trọng về khả năng chịu lực của trạng thái giới hạn, trong đó độ kéo dài cần thiết của bulông bị giới hạn.
Khi các điều kiện được xác định trong Công thức (G.16) và (G.17) được đáp ứng, chế độ hỏng B có thể sử dụng a’ (chiều dài bên trong của bích tương đương do biến dạng đàn hồi của bích) thay vì a (chiều dài bên trong của bích) bằng cách sử dụng Công thức (G.12).
Đối với chế độ lỗi B, a' thay vì a có thể được sử dụng [1] cho 1,25 < a/b ≤ 2,25:
![]()
trong đó

Công thức (G.12) chỉ áp dụng được khi đáp ứng được các điều kiện sau:
• Điều kiện 1: Tỷ lệ khung hình của mặt bích
:
![]()
• Điều kiện 2: Tỷ lệ chiều dài bên trong/bên ngoài của mặt bích a/b:
![]()
trong đó
là hệ số biến đổi của a (-);
là tỷ lệ khung hình của mặt cắt bích (-).
Hình G.4 cho thấy hệ số sửa đổi λ cho các α khác nhau.

Hình G.4 - Hệ số điều chỉnh λ cho các α khác nhau [1]
G.2 Phương pháp phân tích độ bền mỏi theo Schmidt/Neuper
G.2.1 Cơ sở
Đối với phương pháp tính toán theo Schmidt/Neuper, mối quan hệ phi tuyến tính của lực căng trong bulông, FS, dựa trên lực căng trên một đoạn của kết nối bích bulông Z được xấp xỉ bằng phương pháp tiếp cận ba tuyến tính (xem Hình G.5).

Hình G.5 - Xấp xỉ ba đoạn tuyến tính của mối quan hệ phi tuyến giữa lực bulông và lực căng của kết nối bulông
Phương pháp tính toán của Schmidt/Neuper được sử dụng để tính tải trọng bulông trong kết nối mặt bích được căng trước chịu tải trọng kéo. Phương pháp này dựa trên sự kết hợp giữa mô hình giàn và buộc đàn hồi theo Petersen và mô hình lò xo cho các bulông được căng trước.
Phương pháp tính toán chỉ có thể được áp dụng cho các kết nối mặt bích tuân thủ dung sai độ phẳng được liệt kê trong 6.7.2 và nếu độ côn tối đa (bên trong) bị giới hạn ở 2° (độ nghiêng cho phép của bề mặt vòng đệm so với trục bulông) dưới tải trọng thiết kế đầy đủ của bulông.
Trong G.2.2, phương pháp này được mô tả cho kết nối mặt bích chữ L, nhưng có thể được mở rộng tương tự cho kết nối mặt bích chữ T.
G.2.2 Công thức cho phép xấp xỉ ba tuyến tính
Ba đường thẳng biểu diễn mối quan hệ giữa lực bulông Fs và lực căng của kết nối bulông Z có thể được suy ra theo công thức sau (xem thêm Hình G.5):

Sự chuyển tiếp giữa các phần của đường cong được xác định bởi các giá trị
và
:

Hệ số tải trọng của lò xo căng p, hệ số tải trọng của lò xo nén q và tham số phụ λ* được xác định như sau:

trong đó
Cs là độ cứng lò xo của lò xo căng (biểu diễn cho các bulông);
Cd là độ cứng của lò xo nén q (biểu diễn các phần bị nén);
a, b là các tham số hình học
Độ cứng của dây căng và dây nén có thể được tính toán theo VDI 2230 [4] (hoặc tương đương).
G.3 Tài liệu tham khảo
[1] I.TOBINAGA, I., Ishihara.T., Nghiên cứu hệ số hiệu chỉnh điểm tác động cho mặt bích loại L của tháp tuabin gió, Năng lượng gió, 21(9), 801-806, 2018.
[2] SEIDEL, M.: Về việc tính toán các mối nối bulông mặt bích của các tuabin gió . Hannover. Loạt ấn phẩm của Viện Thép Xây dựng (số 20). Aachen: Shaker 2001.
[3] PETERSEN, C.: Kết cấu thép, ấn bản thứ 3 Braunschweig, Wiesbaden, Vieweg Verlag 1993.
[4] SCHMIDT, H.; NEUPER, M.: Đặc tính chịu tải tĩnh đàn hồi của khớp chữ L kéo lệch tâm bằng bulông , Verlag Ernst & Sohn, Stahlbau 66 (1997), Tập. 3, tr. 163-168.
[5] VDI 2230. VDI 2230 - Phần 1: Tính toán hệ thống mối nối bulông chịu ứng suất cao bằng một bulông hình trụ. Tháng 11 năm 2015.
Phụ lục H
(tham khảo)
Kiểm soát vết nứt - Hướng dẫn cho 7.9.3
H.1 Quy định chung
Thông tin trình bày trong Phụ lục H cung cấp hướng dẫn để kiểm soát vết nứt tuân thủ theo 7.9.3.
H.2 Kiểm soát vết nứt dựa trên Eurocode 2
Chiều rộng vết nứt phải được giới hạn theo các phương pháp nêu trong EN 1992-1-1:2004, 7.3 và phụ lục quốc gia tương ứng.
Tham khảo Bảng 7.1N trong EN 1992-1-1:2004, tải trọng của mức tải trọng S1 sẽ được áp dụng cho các tổ hợp tải trọng đặc trưng và hiếm khi xảy ra, mức tải trọng S2 cho tổ hợp tải trọng thường xuyên và mức tải trọng S3 cho tổ hợp tải trọng gần như cố định.
Tải trọng sẽ được chồng lên các tác động nhiệt độ như được định nghĩa trong 7.2.3.1.
Đối với các kết cấu bê tông ứng suất trước trong điều kiện môi trường ăn mòn, có thể nên áp dụng giới hạn chiều rộng vết nứt thấp hơn.
H.3 Kiểm soát vết nứt dựa trên tiêu chuẩn Nhật Bản
Chiều rộng vết nứt có thể được giới hạn theo các phương pháp đưa ra trong Hướng dẫn của JSCE về bê tông [1] [2] và áp dụng cho trường hợp tải S1.
Chiều rộng vết nứt của kết cấu bê tông cốt thép phải được giới hạn ở 0,005c được xác định trong Bảng H.1. Tùy thuộc vào điều kiện môi trường đối với sự ăn mòn cốt thép, sẽ lấy các số thích hợp.
CHÚ THÍCH: c là khoảng cách ngoài cùng từ thanh thép được đặt ở bên ngoài nhất (Độ che phủ danh nghĩa), c
100mm là mức tiêu chuẩn.
Tuy nhiên, giới hạn tối đa là 0,5 mm.
Đối với kết cấu bê tông ứng suất trước phải giới hạn ở mức 0,004c theo quy định tại Bảng H.1.
Tuy nhiên, giới hạn tối đa là 0,3 mm.
Giới hạn này áp dụng cho các công trình PRC (kết cấu bê tông cốt thép ứng suất trước một phần).
Cấu trúc PRC được thiết kế để cho phép nứt bằng cách sử dụng cốt thép.
Cấu trúc PC được thiết kế sao cho không cho phép nứt trong mọi trường hợp tải trọng, ứng suất bê tông ở mép ngoài cùng thấp hơn ứng suất kéo cho phép của bê tông.
Bảng H.1 - Giá trị giới hạn của chiều rộng vết nứt theo tiêu chuẩn Nhật Bản[1]
| Loại gia cường | Điều kiện môi trường cho sự ăn mòn cốt thép | ||
| Bình thường | Ăn mòn | Ăn mòn nghiêm trọng | |
| Thanh biến dạng và thanh trơn | 0,005c | 0,004c | 0,0035c |
| Thép ứng suất trước | 0,004c | Không giảm ứng suất | Không giảm ứng suất |
H.4 Kiểm soát vết nứt dựa trên ACI 318
Chiều rộng vết nứt có thể được giới hạn theo các phương pháp đưa ra trong ACI 318-14. Dựa trên ACI 318-14 để phân phối cốt thép chịu uốn trong dầm và bản một chiều, cốt thép ứng suất gần nhất với mặt chịu kéo ở tải trọng sử dụng phải được tính toán dựa trên mômen kết hợp tải trọng đặc trưng (S1).
Ứng suất từ mômen S1 được sử dụng để tính toán các yêu cầu về khoảng cách tối đa trong ACI 318-14:2014, 24.3. Kiểm soát vết nứt được cải thiện khi cốt thép được phân bổ tốt trên vùng chịu lực kéo bê tông lớn nhất. Bảng 24.3.2 của ACI 318-14:2014 cung cấp khoảng cách tối đa của cốt thép liên kết trong các bản sàn và dầm một chiều không ứng suất trước và ứng suất trước Loại C. ACI
318-14:2014, Điều R10.6.4 nêu: "Chiều rộng vết nứt trong các kết cấu rất khác nhau". Trong các mã ACI 318 trước ACI 318-99, các quy định được đưa ra để phân phối cốt thép dựa trên các phương trình kinh nghiệm sử dụng chiều rộng vết nứt tối đa được tính toán là 0,4 mm. Các quy định hiện tại về khoảng cách nhằm mục đích hạn chế các vết nứt bề mặt ở chiều rộng được chấp nhận chung trong thực tế nhưng có thể thay đổi rất nhiều trong một kết cấu nhất định. ACI 224R-01:2001, Bảng 4.1, trình bày "Hướng dẫn về chiều rộng vết nứt hợp lý của bê tông cốt thép dưới tải trọng sử dụng" trong Chương 4, có tiêu đề "Kiểm soát vết nứt ở các thành phần chịu uốn".
H.5 Tài liệu tham khảo
[1] JSCE Hướng dẫn về CÁC THÔNG SỐ KỸ THUẬT TIÊU CHUẨN CHO CÁC KẾT CẤU BÊ TÔNG, 2012 (có sẵn bằng tiếng Nhật)
[2] JSCE Hướng dẫn về bê tông số 15 TIÊU CHUẨN ĐỊNH KẾT CẤU BÊ TÔNG, 2007
[3] ACI 318-14:2014, Yêu cầu về Quy định Xây dựng đối với Bê tông Kết cấu, Viện Bê tông Hoa Kỳ, 2014
[4] ACI 318-99, Yêu cầu về Quy định Xây dựng đối với Bê tông Kết cấu, Viện Bê tông Hoa Kỳ, 1999
[5] ACI 224R-01:2001, Kiểm soát nứt trong kết cấu bê tông, Viện bê tông Hoa Kỳ, 2001
Phụ lục I
(tham khảo)
Phân tích phần tử hữu hạn cho bê tông
I.1 Quy định chung
Bê tông kết cấu là vật liệu composite phức tạp trong đó bê tông và cốt thép thể hiện các đặc tính phản ứng không đàn hồi và phụ thuộc vào thời gian. Bước đầu tiên trong quá trình tiến hành phân tích phần tử hữu hạn (FEA) là xác định rõ ràng mục tiêu (các mục tiêu) của phân tích vì điều này sẽ kiểm soát việc lựa chọn các công cụ tính toán, thông tin cần thiết để tiến hành phân tích, phương pháp mô hình hóa và cách giải thích kết quả. Phân tích FEA có thể được tiến hành vì nhiều lý do, bao gồm sự cần thiết để:
1) xem xét các đặc tính vật liệu không đàn hồi,
2) mô hình hóa hình học phức tạp,
3) xác định sức chịu tải,
4) xác định khả năng dịch chuyển và độ dẻo,
5) dự đoán độ cứng và hiệu suất dưới tải trọng dịch vụ,
6) dự đoán tính năng chịu tải trọng mỏi,
7) dự đoán hiệu suất dưới tải trọng cực hạn,
8) khảo sát độ nhạy với các giả định thiết kế,
9) dự đoán phản ứng động, và
10) đánh giá chiến lược phục hồi chức năng cũng như các lý do khác.
Độ chính xác và giá trị của phân tích FEA được kiểm soát bởi khả năng áp dụng các mô hình và giá trị tham số đã chọn, việc tiến hành phân tích độ nhạy để đánh giá các yếu tố không đảm bảo và việc giải thích kỹ lưỡng phản ứng dự đoán thông qua việc kiểm tra và đánh giá chuẩn. Ngoài độ cứng, độ bền và độ dẻo, và tùy thuộc vào mức độ tinh vi của các mô hình vật liệu và kỹ thuật phân tích, FEA có thể được sử dụng để dự đoán phản ứng biến dạng tải trọng đầy đủ của các kết cấu bao gồm chuyển vị và biến dạng trong bê tông, chiều rộng vết nứt, khoảng cách vết nứt, biến dạng và ứng suất trong cốt thép, ứng suất liên kết và các đặc điểm phản ứng khác.
I.2 Thứ tự và loại phần tử
Có một số loại phần tử có thể được sử dụng trong FEA bao gồm phần tử giàn, dầm, tấm, vỏ, phần tử đặc 2D và phần tử đặc 3D. Bốn phần tử đầu tiên trong số này giả định rằng các mặt phẳng vẫn là mặt phẳng (tức là phân phối tuyến tính của biến dạng qua độ dày của thành phần), trong khi hai phần tử sau mang tính tổng quát hơn. Có các phân khu trong các loại phần tử này có thể ảnh hưởng đáng kể đến phản ứng dự đoán, bao gồm cách ứng suất cắt được phân phối qua độ dày của mặt cắt, thứ tự và loại phần tử và số điểm tích hợp trong phần tử. Mô hình hóa cốt thép có thể được thực hiện theo một trong ba cách, cốt thép có thể được mô hình hóa như các thanh giàn được kết nối tại các nút trong mô hình; trong trường hợp này, hình học của các phần tử nên được chọn để tối đa hóa số lượng kết nối nút của thanh giàn khi thích hợp. Một cách thứ hai để mô hình hóa cốt thép là người dùng phân phối trực tiếp (làm nhòe) các hiệu ứng của cốt thép trên các kích thước của phần tử mà cốt thép đi qua. Cách thứ ba tương tự như cách thứ hai nhưng chương trình phân tích tự động nhúng hiệu ứng của cốt thép vào các phần tử mà nó đi qua; cách này có lợi là không hạn chế hình học của mô hình FEA và trong hầu hết các trường hợp sẽ tạo ra hiệu ứng phù hợp hơn đối với độ cứng của các phần tử so với việc làm nhòe cốt thép do người dùng xác định. Có thể cần sử dụng phần tử giao diện/tiếp xúc để nắm bắt sự trượt trên bề mặt hoặc cũng có thể được sử dụng để mô hình hóa sự trượt liên kết giữa cốt thép và bê tông. Hiệu ứng ứng suất trước có thể được tính đến bằng lực tác dụng tại các nút, ứng suất trước hiệu quả và/hoặc sự thay đổi nhiệt độ trong một vật liệu.
I.3 Mô hình cấu thành
Phản ứng ứng suất-biến dạng của bê tông cốt thép là rất kém đàn hồi. Phản ứng của bê tông khi nén phụ thuộc vào cường độ nén của bê tông, mức độ biến dạng ngang và tác động của sự giới hạn. Phản ứng nén này có thể dao động từ đàn hồi tuyến tính cho đến gãy giòn, đến trở nên kém đàn hồi ở mức dưới một nửa khả năng nén và thể hiện tính dẻo đáng kể dưới ứng suất cực hạn. Phản ứng của bê tông khi chịu kéo có thể được coi là tuyến tính cho đến thời điểm bê tông nứt. Sau khi nứt, vẫn còn một số lực căng được truyền đến mặt vết nứt thông qua quá trình làm mềm do kéo. Giữa các vết nứt, bê tông có thể chịu một phần lớn và thậm chí phần lớn tổng lực kéo được truyền qua một vùng. Tác động của nứt do co ngót có thể làm giảm đáng kể độ cứng của cả phản ứng nén và kéo của bê tông, trong khi hiện tượng từ biến có thể dẫn đến dịch chuyển gấp đôi so với dự kiến. Trong nhiều trường hợp, sự suy giảm liên kết giữa bê tông và cốt thép dẫn đến nứt tách có thể ảnh hưởng đáng kể đến tính năng. Trong các kết cấu gia cường nhẹ, phản ứng có thể bị chi phối bởi các vết nứt riêng lẻ mà cơ học phá hủy (bao gồm các mô hình vi mô) tiếp cận và năng lượng phá hủy có thể cần được xem xét. Nếu việc truyền ứng suất cắt qua các vết nứt là quan trọng, sẽ cần một phần tử giao diện có thể tính đến ảnh hưởng của độ cứng mở, độ nhám vết nứt và hiệu suất trượt. Có thể cần xem xét các đặc tính không đàn hồi đầy đủ của cốt thép. Trong các kết cấu không xác định, cũng có thể cần xem xét tác động của các thay đổi về nhiệt độ, độ dốc nhiệt độ và các đặc tính phụ thuộc vào thời gian.
I.4 Phương pháp giải
Có một số phương pháp giải cho FEA và điều quan trọng là phải hiểu đầy đủ về các khía cạnh khác nhau của phân tích và các tiêu chí hội tụ chi phối khả năng đạt được giải pháp đáng tin cậy. Việc thiết lập các tiêu chí hội tụ quá chặt chẽ có thể dẫn đến thời gian tiến hành phân tích quá dài, cũng như không đạt được giải pháp (tức là thiếu sự hội tụ) đối với tải trọng hoặc chuyển dịch áp đặt. Mặt khác, các tiêu chí hội tụ quá lỏng lẻo có thể dẫn đến việc đạt được các giải pháp không thực tế cũng như đường dẫn giải pháp lệch khỏi những gì có thể dự đoán chính xác hơn.
Các phương pháp FEA áp dụng các nguyên lý về cơ học, cân bằng lực, khả năng tương thích của các dịch chuyển và các định luật cấu thành (ứng suất so với biến dạng). Chúng sử dụng các phương pháp giải dựa trên ma trận. Các chương trình FEA cho bê tông kết cấu thường yêu cầu một phương pháp giải lặp được kiểm soát bởi các tiêu chí hội tụ. Các tiêu chí này và các yếu tố khác làm giảm sự thỏa mãn của cân bằng, khả năng tương thích và định luật bảo toàn năng lượng. Hầu hết các chương trình phân tích phần tử hữu hạn để mô hình hóa các kết cấu bê tông đều áp dụng một phương pháp mặc định trong đó giải pháp chỉ phụ thuộc vào trạng thái trong bước phân tích trước đó và có thể thực hiện các bước lớn trong tải trọng hoặc dịch chuyển được áp đặt trong quá trình phân tích. Điều này trái ngược với phương pháp rõ ràng đôi khi được sử dụng để mô hình hóa các kết cấu khi các hiệu ứng phụ thuộc vào thời gian là rất quan trọng và đặc biệt quan trọng đối với các kết cấu chịu tác động. Trong một phân tích rõ ràng, cần có các bước thời gian rất nhỏ.
I.5 Phương pháp tiếp cận ngầm
Phương pháp tiếp cận mặc định thường sử dụng phương pháp độ cứng trực tiếp, trái ngược với phương pháp độ linh hoạt. Phương pháp độ cứng trực tiếp phổ biến nhất sử dụng công thức dự đoán-hiệu chỉnh tiếp tuyến trong đó giải pháp được ước tính bằng cách sử dụng ma trận độ cứng tiếp tuyến. Tiếp theo, các mối quan hệ cấu thành không đàn hồi được sử dụng để tạo ra ma trận độ cứng được cập nhật (bước hiệu chỉnh). Khi hai giá trị được cập nhật được coi là đủ gần với các giá trị trong phép tính ma trận, thì giải pháp hội tụ được coi là đã đạt được. Các công thức độ cứng tiếp tuyến này khó hội tụ hơn khi có sự gián đoạn trong các đặc tính cấu thành, chẳng hạn như nứt bê tông. Những điều này thường có thể được khắc phục bằng các phương pháp độ dài cung. Một chiến lược giải pháp khác là sử dụng các phương pháp dựa trên đường cắt để xác định giá trị độ cứng của phần tử. Các phương pháp như vậy cung cấp sự hội tụ ổn định hơn ngay cả với các vật liệu kém ổn định hơn.
I.6 Các bước tiến hành phân tích phần tử hữu hạn
Việc tiến hành FEA sẽ bao gồm các bước sau đây, tùy theo trường hợp:
1) xác định rõ ràng mục tiêu phân tích;
2) lựa chọn một chương trình FEA có khả năng mô hình hóa mọi khía cạnh hiệu suất quan trọng đối với nghiên cứu;
3) xác định tất cả các biến đầu vào và các tùy chọn lựa chọn mô hình;
4) thu được các đặc tính vật liệu cụ thể và có sẵn tại chỗ bằng cách sử dụng các giá trị trung bình thay vì các giá trị đặc trưng khi thích hợp;
5) đánh giá tình trạng của các công trình hiện có nếu có liên quan;
6) tạo mô hình số sử dụng hình học xây dựng khi thích hợp; xác định các điều kiện biên bao gồm phạm vi các điều kiện hỗ trợ có thể có và bao gồm các yếu tố phi cấu trúc khi thích hợp;
7) xác định các trường hợp tải cần xem xét, bao gồm đường dẫn tải và điều kiện môi trường;
8) tiến hành phân tích đàn hồi tuyến tính với điều tra độ nhạy lưới cho tất cả các trường hợp tải có liên quan;
9) thiết kế và tiến hành phân tích tham số không đàn hồi;
10) tiến hành phân tích độ nhạy của tất cả các giả định.
Phản ứng dự đoán của một cấu trúc từ phân tích phần tử hữu hạn phụ thuộc rất nhiều vào các lựa chọn và giả định mô hình. Không hiếm khi độ bền, độ cứng và độ dẻo dự đoán khác nhau hơn một hệ số hai giữa những gì ban đầu có vẻ là các mô hình được xây dựng phù hợp. Do đó, điều cực kỳ quan trọng là người dùng phải phát triển và thử nghiệm mô hình ở mọi giai đoạn trong quá trình phát triển và đánh giá tác động của các giả định mô hình ở mọi cơ hội. Mô hình được chọn chỉ nên phức tạp khi cần thiết để đạt được mục đích của cuộc điều tra.
I.7 Kiểm tra kết quả
Điều quan trọng là phải kiểm tra kết quả phân tích phần tử hữu hạn và đánh giá độ nhạy của kết quả đối với tất cả các biến trong phân tích. Độ nhạy của kết quả đối với kích thước lưới đã chọn phải được kiểm tra bằng cách tiến hành phân tích với các lưới có kích thước khác nhau cho đến khi hai phân tích với kích thước lưới liền kề đưa ra kết quả tương tự. Mặc dù nhìn chung đúng là lưới mịn hơn cung cấp kết quả thực tế hơn cho các cấu trúc được tạo thành từ vật liệu đàn hồi tuyến tính, nhưng kích thước lưới tối thiểu là điều cần thiết để áp dụng một số mô hình vật liệu cho bê tông kết cấu. Điều quan trọng là phải đánh giá độ nhạy của kết quả đối với các giá trị mô hình và tham số để xác định định lượng độ nhạy của hiệu suất dự đoán (độ cứng, độ bền, độ dẻo) đối với các yếu tố không đảm bảo. Điều này có thể cần phải được thực hiện theo cách hoàn toàn nghiêm ngặt, chẳng hạn như bằng cách tiến hành phân tích Monte-Carlo để thiết kế hoặc đánh giá tình trạng hoàn toàn dựa trên xác suất. Thường không thể tiến hành đánh giá tham số đầy đủ do số lượng phân tích cần thiết, cần phải thực hiện một số lượng lớn các phân tích vì nguyên tắc chồng chất không áp dụng cho các cấu trúc không đàn hồi cũng như hiệu suất không tỷ lệ thuận với tải trọng hoặc chuyển vị áp đặt. Do đó, cần có sự kết hợp giữa hiểu biết sâu sắc và các thử nghiệm có thông tin để lập kế hoạch cẩn thận cho nghiên cứu độ nhạy. Kế hoạch này cũng bị ảnh hưởng bởi phương pháp thiết kế hoặc đánh giá, chẳng hạn như liệu có áp dụng phương pháp hệ số an toàn từng phần hay phương pháp kháng thuốc toàn diện hay không.
Hướng dẫn bổ sung về ứng dụng FEA cho các kết cấu bê tông có sẵn trong fib "Hướng dẫn thực hành về mô hình phần tử hữu hạn của các kết cấu bê tông cốt thép" [1]. Tổng quan về cơ học của bê tông kết cấu được trình bày trong Cơ học phi tuyến tính của bê tông cốt thép của Maekawa và cộng sự [2].
I.8 Tài liệu tham khảo
[1] fib (Liên đoàn Quốc tế về kết cấu bê tông) Nhóm công tác 4.4 Mô hình hóa và thiết kế dựa trên máy tính, "Hướng dẫn thực hành về mô hình hóa phần tử hữu hạn của các kết cấu bê tông cốt thép", Liên đoàn bê tông kết cấu quốc tế (fib), Báo cáo hiện trạng, Bản tin 45, 2008
[2] Maekawa, K., Okamura, H., và Pimanmas, A, "Cơ học phi tuyến tính của bê tông cốt thép", CRC Press, 2003
Phụ lục J
(tham khảo)
Neo tháp-móng
J.1 Quy định chung
Chức năng cơ bản của neo tháp-móng là chuyển tải trọng tháp xuống móng một cách an toàn và không gây trở ngại cho hoạt động trong suốt vòng đời thiết kế của kết cấu. Có hai giải pháp phổ biến để kết nối tháp thép với móng: khuôn kim loại đặt sẵn và lồng bulông neo.
Khuôn kim loại đặt sẵn là một đoạn tháp ngắn được đúc vào nền bê tông cốt thép và sau đó được bulông vào phần còn lại của tháp thông qua các kết nối tháp theo kiểu mặt bích thông thường.
Lồng bulông neo bao gồm các bulông lắp vào mặt bích đế tháp và được định vị trong bê tông móng bằng một vành thép tấm, các đai ốc và vòng đệm. Các bulông được thiết kế với ứng suất sau và mặt bích thường là mặt bích chữ T được hàn vào vỏ tháp. Mặt bích đế tháp nằm trên một lớp vữa được sử dụng để phân phối áp lực tiếp xúc cao xuống bê tông móng có cường độ thấp hơn. Các tấm phân phối cũng có thể được sử dụng để truyền ứng suất từ bích đáy tháp xuống lớp vữa.
Có thể có các hệ thống neo khác, nhưng hai hệ thống nêu trên là hệ thống neo tháp tuabin gió phổ biến nhất.
J.2 Neo đặt sẵn
Thiết kế neo cố định bằng kim loại đặt sẵn phải được thực hiện bằng cách sử dụng phương pháp bê tông cốt thép thông thường có tính đến độ mỏi và khả năng hoạt động. Khả năng kéo neo tổng thể phải được chứng minh là đủ. Đường dẫn tải giả định phải tính đến độ linh hoạt tương đối của các phần thép và bê tông có thể dẫn đến đường dẫn tải đàn hồi khác biệt đáng kể so với đường dẫn tải cực hạn.
Các kiểm tra xác nhận quan trọng đối với bê tông bao gồm chịu lực tại mép dưới của khuôn kim loại và lực cắt đột của bê tông bên dưới khuôn kim loại. Về độ mỏi, sự có mặt của ứng suất bê tông tuần hoàn có dấu thay đổi và không có cơ chế tải trước sẽ được nhận biết. Trong thực tế, điều này thường được giải quyết thông qua việc cung cấp đường dẫn tải kéo chỉ trong cốt thép, điều này thường dẫn đến lượng cốt thép vượt quá lượng dự kiến chỉ dựa trên ứng suất cực hạn.
Về khả năng hoạt động, thiết kế neo phải đảm bảo rằng mối nối giữa khuôn kim loại và bê tông vẫn kín và khít trong suốt thời gian sử dụng. Nước xâm nhập vào không gian xung quanh bích neo có thể dẫn đến xói mòn bê tông và nới lỏng bộ phận đặt sẵn. Cần phải cẩn thận để đảm bảo rằng tải trọng tác dụng không gây ra sự mở đáng kể của giao diện. Cần đặc biệt cẩn thận đối với quá trình cố kết bê tông xung quanh các vành đặt sẵn mà tại đó tải trọng của tháp phản ứng với các phần tháp đặt sẵn.
Ngoài những xem xét này, một đoạn tháp ngắn được sử dụng làm neo đặt sẵn phải tuân theo tất cả các yêu cầu thiết kế của đoạn tháp thép mặc dù có thể tính đến khả năng bê tông chống lại sự dịch chuyển khi chịu oằn.
J.3 Neo bulông
Neo bulông bao gồm một cụm các thành phần thường bao gồm mặt bích đế tháp, bulông neo căng sau có ống lót, vữa bên dưới mặt bích đế, bê tông bên dưới vữa chèn, vòng đệm, đai ốc và tấm vành đặt sẵn ở dưới cùng của lồng bulông.
Thiết kế và lựa chọn các thành phần khác nhau của neo bulông phải xem xét sự phụ thuộc lẫn nhau và tương tác của các thành phần này. Các kết nối bulông neo phải được thiết kế theo các tiêu chuẩn áp dụng cho kết cấu thép và bê tông với sự xem xét thích đáng về độ mỏi, ăn mòn, độ cứng và phân chia tải trọng của từng thành phần được ghép nối. Dung sai về kích thước lỗ và bulông, cũng như độ lệch tâm của chúng, phải được quy định và lực nạy phát sinh từ các khe hở và độ lệch tâm phải được xem xét trong các tính toán ứng suất.
Ngoài việc kiểm tra xác nhận các thành phần khác nhau, cụm bulông phải được neo chặt vào móng bên dưới thông qua cốt thép truyền tải tải trọng của tháp xuống móng. Tất cả các thành phần tạo nên tổ hợp lắp ráp cũng như tổ hợp neo lắp ráp vào nền móng phải được kiểm tra về ứng suất cực hạn và tuổi thọ chịu mỏi.
J.4 Vữa
Lớp vữa có tác dụng phân phối ứng suất tiếp xúc lớn dưới mép đế tháp xuống bê tông móng có cường độ tháp hơn.
Nền vữa phải được thiết kế để chịu được tải trọng tác dụng và lực siết trước bulông với sự xem xét thích đáng về độ mỏi. Vữa phải được thiết kế với sự xem xét thích đáng về giao diện bích đế và được lựa chọn với sự xem xét thích đáng về các điều kiện khí hậu phục vụ như lượng mưa và chu kỳ đóng băng/tan băng. Vữa phải được quy định cho độ bền dài hạn cũng như cường độ tối thiểu cần thiết ở các giai đoạn xây dựng khác nhau (ví dụ như lắp dựng tháp/tuabin và căng sau bulông neo).
Tốt nhất là vữa phải đạt được độ bền thiết kế đầy đủ tại thời điểm căng sau.
Vữa hiệu suất cao được sử dụng trong ngành công nghiệp gió cần được chăm sóc đặc biệt về thông số kỹ thuật và lắp đặt. Nên tuân thủ các quy trình lắp đặt của nhà sản xuất vữa và sự tham gia của nhà sản xuất vữa bất cứ khi nào có thể.
J.5 Bulông neo
Bulông neo phải được căng sau và khuyến cáo rằng lực siết trước được quy định phải đủ, sau khi tính đến các tổn thất và dung sai lắp đặt, để đảm bảo nén trong bê tông dưới tải trọng S1 theo 5.4.3.2. Các tổn thất do biến dạng, co ngót và giãn nở có thể khá đáng kể. Tải trọng trước của bulông neo rất quan trọng đối với độ bền và khả năng chống mỏi của mối nối bulông. Do đó, lực siết trước bulông phải được duy trì trong toàn bộ tuổi thọ thiết kế của kết cấu thông qua các biện pháp như triển khai chương trình giám sát và bảo trì tải trọng trước. Độ bền của vật liệu bulông cũng phải được xem xét để đưa vào thông số kỹ thuật vật liệu, đặc biệt là đối với các địa điểm có khí hậu lạnh. Để biết các yêu cầu, xem 6.3.3.
J.6 Vành đặt sẵn
Khả năng uốn và độ cứng của vòng đặt sẵn phải được kiểm tra xác nhận theo hướng xuyên tâm và chu vi với sự xem xét thích đáng đến kết cấu vòng đặt sẵn (như một dầm liên tục hoặc phân đoạn). Độ chịu lực của bê tông tiếp xúc với vòng đặt sẵn cũng phải được kiểm tra xác nhận.
J.7 Truyền tải trọng neo
Cho dù là neo chìm hay neo bulông, thì việc truyền tải trọng cắt và mômen từ tháp hoặc neo đến phần còn lại của móng phải được đảm bảo đối với tải trọng cực hạn và tải trọng mỏi. Đối với neo bulông, các vùng bê tông được giữ nén bằng bulông tải trước và các vùng không ứng suất phải được xác định và thiết kế với sự xem xét thích hợp về khả năng tương thích ứng suất. Việc áp dụng các phương pháp được phát triển cho các kết cấu bê tông cổ điển phải tính đến kích thước và hình dạng đặc trưng của móng tuabin gió.
Phụ lục K
(tham khảo)
Phần thanh chống và giằng
K.1 Quy định chung
Trong phương pháp thiết kế thanh chống và giằng, một giàn lý tưởng được thiết kế để chịu lực qua vùng gián đoạn (D) như minh họa cho thiết kế dầm sâu được thể hiện trong Hình K.1 a) và b). Một mô hình thanh chống và giằng (hoặc giàn) đơn giản được lựa chọn cho dòng lực bao gồm các thanh chống nén chạy từ điểm chịu tải đến các điểm tựa và một thanh giằng căng giữa hai điểm tựa này chịu các thành phần nằm ngang của các thanh chống nén chéo này. Sau khi tính toán các tải trọng được tính toán trong thanh chống "C" và thanh giằng "T", thiết kế bao gồm việc đảm bảo rằng khả năng chịu nén của các thanh chống (diện tích) x (giới hạn ứng suất) lớn hơn "C" và cung cấp một lượng cốt thép thích hợp để cường độ liên kết (diện tích) x (giới hạn ứng suất) của nó lớn hơn "T". Ngoài ra, khả năng chịu lực của các nút sẽ được kiểm tra.

Hình K.1 - Ví dụ về thiết kế một dầm sử dụng phương pháp thanh chống và giằng
Như minh họa trong Hình K.1 và Hình K.2 a), b) và c), trong nhiều trường hợp, hình dạng của mô hình thanh chống và thanh giằng phù hợp rất dễ xác định.

Hình K.2 - Các dạng đơn giản của mô hình thanh chống và giằng
Ngay cả đối với những vấn để thiết kế tương đối đơn giản, vẫn có thể tồn tại nhiều hình dạng mô hình thanh chống và giằng phù hợp, như được minh họa trong Hình K.2. Cơ sở của phương pháp thanh chống và giằng cho phép người thiết kế có sự tự do trong việc lựa chọn hình dạng mô hình, và miễn là lựa chọn đó hợp lý, thì cấu kiện sẽ có khả năng chịu lực cuối cùng bằng hoặc lớn hơn giá trị tính toán, vì phương pháp thanh chống và giằng là một phương pháp thiết kế theo giới hạn dưới. Hiệu quả làm việc của kết cấu trong điều kiện sử dụng và khi bị quá tải sẽ phụ thuộc một phần vào hình dạng mô hình được chọn. Do đó, những người thiết kế chưa có nhiều kinh nghiệm về lý thuyết và ứng dụng phương pháp thanh chống và giằng được khuyến nghị tham khảo các ví dụ và hướng dẫn thiết kế trong tài liệu tham khảo từ [5] đến [17].
Hình K.3 a), b) và c) trình bày các ví dụ về mô hình mang tải trọng trong dầm sâu.

Hình K.3 - Ba ví dụ về mô hình mang tải trọng trong dầm sâu
K.2 Ví dụ về móng neo đá
Một ví dụ được đưa ra cho một vấn đề thiết kế phức tạp hơn một chút trong đó cần có mô hình thanh chống và giằng 3 chiều phức tạp để hoàn thành một thiết kế phù hợp. Ví dụ này dành cho thiết kế móng neo đá cho tháp gió. Mặt bằng của móng cho tháp gió này được thể hiện trong Hình K.4 (a). Như thể hiện, 16 neo đá được sử dụng để căng sau móng này vào đá. Hình K.4 (b) cho thấy lực neo này sẽ truyền xuống đá đỡ dưới dạng thanh chống hình quạt lan truyền theo hướng xuyên tâm vào trong; quỹ đạo ứng suất nén được thể hiện bằng các đường đứt nét. Sự lan truyền của lực này sẽ tạo ra lực căng xuyên tâm tại chân móng mà phải được Tie A chịu; lực giằng được thể hiện bằng các đường nét liền. Mặc dù không được thể hiện trong hình này, lực neo này cũng sẽ lan truyền từ đỉnh móng theo hướng chu vi. Theo phương pháp mô hình hóa thanh chống và giằng, cần phải kiểm tra ứng suất trong các thanh chống bê tông (hoặc nút) nằm bên dưới các tấm neo (lực căng sau)/(diện tích tấm) nhỏ hơn giới hạn ứng suất nén của bê tông trong điều kiện chịu lực này. Không cần phải kiểm tra các điều kiện của bê tông ở chân móng vì ứng suất này sẽ nhỏ hơn ứng suất ở phía trên.
Sau đó, tháp được liên kết với bulông vào móng này thông qua một vòng "bulông neo tháp" kéo dài từ đỉnh móng đến một tấm neo đặt sẵn gần đáy móng. Vì kích thước của bê tông giữa các tấm chịu tải lớn hơn so với các tấm chịu tải, nên lực nén này sẽ lan ra giữa các tấm như cũng thể hiện trong Hình K.4 (b). Mô hình thanh chống và thanh giằng cho luồng lực được thể hiện trong Hình K.4 (b) trong đó Thanh giằng B và Thanh giằng C là cần thiết tại các điểm ngoặt (mối nối hoặc nút) của các thanh chịu nén; điểm trung tâm của các nút này được biểu thị bằng các chấm liền. Cần phải gia cường để cân bằng các lực giằng này và điều này có thể được thực hiện bằng các thanh cốt thép hướng tâm tại vị trí của các thanh giằng được thể hiện trong Hình K.4 (b). Lưu ý rằng phía bên trái và bên phải của Hình K.4 (b) cho thấy vị trí_của Thanh giằng B hơi khác một chút; đây là một đặc điểm của phương pháp thanh chống và thanh giằng mà nhà thiết kế chọn một đường dẫn tải, sau đó gia cường cho đường dẫn tải đã chọn. Một số nhà thiết kế thấy tính linh hoạt này gây bối rối, nhưng nếu đưa ra những lựa chọn hợp lý, phương pháp chống và giằng đã chứng minh rằng tính linh hoạt này có thể đạt được hiệu suất tốt.
Khi tháp chịu tải trọng ngang do tác động của gió, một lực nén đáng kể hướng xuống sê được truyền từ vòng ở một bên tháp và một lực kéo đáng kể hướng lên sẽ được truyền ở phía đối diện của tháp, như thể hiện trong Hình K.4 (c). Ở phía chịu lực căng (phía bên phải trong hình), lực này có thể vượt quá mức tải trước và tạo ra lực căng trong thanh giằng chạy từ đỉnh móng đến tấm đặt sẵn gần đáy móng như thể hiện trong hình này. Lực giằng này sẽ được cân bằng tại mối nối (hoặc nút) ở đáy thanh giằng này bởi thành phần thẳng đứng của các thanh giằng nén chéo lan ra từ đế thanh giằng theo hướng của bulông neo đá phía trên và nửa còn lại của móng. Một phần của lực nén chéo chạy về phía neo đá dự kiến sẽ chạy trực tiếp từ tấm neo tháp dưới đến tấm neo đá (thanh chống "d" chịu trực tiếp), phần còn lại sẽ được mang bởi cơ cấu kiểu giàn. Tỷ lệ cắt - nhịp - độ sâu càng cao thì phần phải chịu qua cơ cấu giàn càng lớn. Bản tin fip (1999) về thiết kế thực tế của bê tông kết cấu [10] cung cấp hướng dẫn về phần nào của tải trọng phải chịu trực tiếp, phần nào của tải trọng phải chịu gián tiếp và cách phân bổ cốt thép giằng. Thành phần nằm ngang của lực nén chéo chạy đến nút bên dưới tấm neo đá sẽ được cân bằng bởi thanh giằng ngang ở đỉnh móng được thể hiện trong Hình K.4 (c).

Hình K.4 - Mô hình thanh chống - giằng cho móng neo đá
Móng phải được thiết kế để tổng hợp các tải trọng trong Hình K.4 (b) và Hình K.4 (c), có thể được coi là một phép chồng tuyến tính đơn giản của các nhu cầu. Một thanh giằng hướng tâm hiệu quả có thể được cung cấp bằng cốt thép kéo dài từ bên dưới một neo đá về phía đối diện của nó ở phía đối diện của móng. Vì gió có thể thổi từ mọi hướng, nên cần có một thanh giằng hướng tâm bên dưới và giữa tất cả tám cặp tấm neo. Không thực tế khi cung cấp tất cả cốt thép theo cách này vì sẽ cần tám lớp liên kết khác nhau; một giải pháp thiết kế khả thi là chuyển đổi từ liên kết hướng tâm sang lưới liên kết vuông như thể hiện trong Hình K.5. Cường độ và lượng cốt thép nên được tính toán bằng cách sử dụng đoạn_thẳng đứng hình lưới như thể hiện trong Hình K.4 (c) và cốt thép lưới nên được cung cấp, với chiều dài mối nối thích hợp, sao cho thành phần lực hướng tâm của cốt thép lưới bằng hoặc lớn hơn nhu cầu đã tính toán.

Hình K.5 - Gia cường cốt thép trên cùng trong móng neo đá
Một thách thức khác đối với thiết kế thanh chống và thanh giằng này là có các tác động theo chu vi được tạo ra do mômen lật và neo. Như thể hiện trong Hình K.4 (c), khi mô men lật tạo ra lực nâng được truyền xuống điểm neo trên vòng trong, thanh chống chéo sẽ mang một phần tải trọng này đến vòng ngoài của neo đá. Một thành phần của lực nén chéo hướng lên này nằm theo hướng chu vi vì vòng ngoài có đường kính lớn hơn và vì neo không nằm trong một vòng liên tục. Điều này sẽ dẫn đến lực căng theo chu vi ở đỉnh móng bên dưới neo đá mà các thanh định hướng theo chu vi phải được đặt để chịu lực căng này, như được biểu thị bằng các vòng tròn rỗng trong Hình K.4 (c).
K.3 Tài liệu tham khảo
[1] Ủy ban CSA A23.3 (2004), "Thiết kế kết cấu bê tông cho các tòa nhà", Tiêu chuẩn A23.3-M04, Hiệp hội Tiêu chuẩn Canada, Toronto, Ontario, 2004
[2] Ủy ban ACI 318 (2011), Yêu cầu về quy định xây dựng đối với bê tông kết cấu (ACI318-11) và bình luận (ACI318R-11), Viện bê tông Hoa Kỳ, Farmington Hills, Ml, 2011
[3] fib Model Code (2012b) Bản thảo cuối cùng, Tập 2, fib Bulletin 66, Liên đoàn bê tông quốc tế, Lausanne, Switzerland, 370 p., ISBN: 978-2-88394-106-9
[4] AASHTO (2012), Thông số kỹ thuật thiết kế cầu AASHTO LRFD, Đơn vị thông thường của Hoa Kỳ, Phiên bản thứ 6, Hiệp hội các quan chức giao thông đường bộ tiểu bang Hoa Kỳ, Washington, DC, 2012
[5] Muller, P. (1978), " Tính toán dẻo của tấm và dầm bê tông cốt thép," Báo cáo số 83, Viện Phân tích Kết cấu và Xây dựng, Viện Công nghệ Liên bang Thụy Sĩ, Zürich, Thụy Sĩ, 1978
[6] Marti, P. (1985), "Các công cụ cơ bản của thiết kế dầm bê tông cốt thép", Tạp chí ACI, Biên bản báo cáo, 82(1), trang 45-56
[7] Schlaich, J., Schafer, K., và Jennewein, M., "Hướng tới thiết kế bê tông kết cấu nhất quán", Tạp chí PCI, 32(3), 1987, trang 74-150
[8] Schlaich, M., và Anagnostou, G., “Trường ứng suất cho các nút của mô hình thanh chống và giằng", Tạp chí Kỹ thuật Kết cấu, ASCE, 116(1), 1990, trang 13-23
[9] Nielsen, MP, Phân tích giới hạn và độ dẻo của bê tông, biên soạn lần 2, CRC Press LLC, Boca Raton, FL., 1999
[10] Thiết kế thực tế bê tông kết cấu, fib Bản tin tháng 9 năm 1999, 113 trang. ISBN: 978-1-874266-48-8
[11] fib, Giáo trình về Hành vi, Thiết kế và Hiệu suất, Tập 3: Độ bền - Thiết kế chống cháy - Thành phần, Thiết kế - Bảo trì, Đánh giá và Sửa chữa - Các khía cạnh thực tế, Giáo trình Bê tông kết cấu, ấn bản đầu tiên, 292 trang, 1999
[12] fib, Ví dụ thiết kế cho các khuyến nghị FIP năm 1996 Thiết kế thực tế bê tông kết cấu, fib Bản tin số 16, 2002, 198 trang, ISBN: 978-2-88394-056-7
[13] Ủy ban chung ACI/ASCE 445, "Ví dụ về thiết kế bê tông kết cấu sử dụng mô hình thanh chống và giằng", Ấn phẩm đặc biệt của Viện bê tông Hoa Kỳ, số 208, tháng 10 năm 2003
[14] Mitchell, D., Collins, MP, Bhide, SB, và Rabbat, BS, "Ví dụ thiết kế mô hình thanh giằng và giằng AASHTO LRFD", Hiệp hội xi măng Portland
[15] Martin, BT, và Sanders, DH, Kiểm tra xác nhận và triển khai mô hình Strut-and-Tie (thanh chống và giằng) trong Thông số kỹ thuật thiết kế cầu LRFD", Hiệp hội các quan chức giao thông và đường bộ tiểu bang Hoa Kỳ (AASHTO), tháng 11 năm 2007
[16] Ủy ban chung ACI/ASCE 445, "Các ví dụ khác về thiết kế bê tông kết cấu sử dụng mô hình thanh chống và giằng", Ấn phẩm đặc biệt của Viện bê tông Hoa Kỳ, số 273, tháng 9 năm 2010
[17] fib Nhóm công tác 1.1, "Ví dụ thiết kế cho mô hình thanh chống và thanh giằng", Bản tin số 61 của Liên đoàn bê tông quốc tế, 2011, 220 trang. ISBN: 978-2-88394-101-4
PHỤ LỤC L
(tham khảo)
Hướng dẫn lựa chọn môđun đất và độ cứng xoay của nền móng
L.1 Quy định chung
Thông tin trình bày trong Phụ lục L cung cấp hướng dẫn để đánh giá môđun đất và độ cứng xoay của móng phù hợp nhằm tuân thủ 8.5.2.
L.2 Mô hình đất
Nhiều mô hình đã được phát triển để liên hệ các đặc điểm ứng suất-biến dạng phi tuyến tính của đất chịu tải. Các mô hình cụ thể tại địa điểm không được kỳ vọng sẽ được phát triển theo định kỳ cho tất cả các dự án và có thể áp dụng một cách tiếp cận chung. Cần thận trọng để xác định các đặc điểm của điều kiện đất cụ thể tại địa điểm có thể làm mất hiệu lực các giả định được đưa ra trong bất kỳ mối quan hệ ứng suất-biến dạng chung nào.
Hình L.1 cung cấp một ví dụ về mô hình đất dựa trên mô hình bộ xương do Yi [1] công bố. Nhiều mô hình khác có sẵn trong tài liệu đã công bố, trong đó tính đến sự khác biệt về tính chất đất và lịch sử ứng suất như độ dẻo, tỷ lệ lỗ rỗng, tỷ lệ quá cố kết và số chu kỳ tải. Vucetic và Dobry [2] cung cấp một đánh giá hữu ích về tác động của các thông số như vậy.
Mối quan hệ ứng suất-biến dạng được trình bày bằng các tham số chuẩn hóa và ví dụ này giả định rằng sức chịu tải tối đa của đất đạt được ở mức biến dạng 1%.

Hình L.1 – Ví dụ về mối quan hệ ứng suất-biến dạng đối với đất
Ứng suất đất chịu trong điều kiện khả năng hoạt động thường là tỷ lệ tương đối thấp so với khả năng chịu tải cực hạn. Việc đặt tải và dỡ tải đất trong quá trình tải tuần hoàn lặp lại có thể được lý tưởng hóa bằng cách di chuyển dọc theo một đường gần bằng độ dốc của biểu đồ ứng suất-biến dạng ở biến dạng nhỏ. Một số hiện tượng trễ sẽ xảy ra và GIR cần giải quyết xem liệu hiện tượng này có thể có ý nghĩa đối với loại đất cụ thể đang được nghiên cứu hay không. Hình L.2 trình bày trạng thái chung của đất trải qua các chu kỳ tải và dỡ tải.

Hình L.2 – Trạng thái tải và dỡ tải của đất
Việc giảm độ dốc của biểu đồ ứng suất/biến dạng với biến dạng tăng cho thấy môđun đàn hồi và môđun cắt giảm. Việc giảm môđun cắt đất với mức biến dạng có thể được suy ra dựa trên công thức sau từ Yi [1]:

trong đó
G là môđun cắt secant tại mức biến dạng cụ thể
;
G0 là môđun cắt ở biến dạng nhỏ tại V = 0 (giá trị tiếp tuyến ban đầu);
Rf là 1 -Gf/G0 (giả sử 0,95 trong ví dụ trên) trong đó Gf là môđun cắt gần phá hủy đất;
γf nếu là biến dạng đất gần phá hủy (giả định là 0,01 trong ví dụ trên);
α là tham số hình dạng của tính phi tuyến tính (giả định là ,95 trong ví dụ trên).
Hình L.3 minh họa công thức này dưới dạng đồ họa:

Hình L.3 – Biến thiên của môđun cắt theo biến dạng đất
Các phương pháp đáng tin cậy nhất để có được môđun cắt biến dạng nhỏ tại vị trí cụ thể (G0) liên quan đến việc sử dụng các phương pháp địa vật lý để đo vận tốc sóng biến dạng qua một vùng ảnh hưởng đại diện bên dưới móng. Các phương pháp như vậy bao gồm phân tích đa kênh sóng bề mặt (MASW) hoặc các phương pháp xuyên lỗ được cung cấp thương mại ở hầu hết các khu vực. Ngoài ra, các mối tương quan đã công bố giữa các thông số đất đo được khác và vận tốc sóng biến dạng có thể được sử dụng một cách thận trọng, xem xét đến độ không đảm bảo của mối tương quan. Mối quan hệ sau cho phép suy ra môđun cắt biến dạng nhỏ
![]()
trong đó
G0 là môđun cắt biến dạng nhỏ;
là mật độ đất thu được từ các phép đo vật lý;
v là vận tốc sóng biến dạng
L.3 Độ cứng xoay động
Độ cứng xoay của nền móng động sẽ được kiểm tra xác nhận dựa trên môđun cắt biến dạng nhỏ.
Độ cứng xoay của móng là một hàm của diện tích tiếp xúc; điều này sẽ được tính toán cho mức tải S3 và bất kỳ sự giảm diện tích tiếp xúc nào giữa móng và đất sẽ được tính đến trong phép tính độ cứng.
Công thức tổng quát để tính độ cứng xoay động của móng nông tiếp xúc với đất đồng nhất bán vô hạn có dạng:

trong đó
là độ cứng xoay động của nền móng chịu tác động của mômen lật;
G0 là môđun cắt biến dạng nhỏ của đất;
R là bán kính móng hiệu dụng tiếp xúc với nền đất (được lấy bằng một nửa chiều rộng tiếp xúc theo hướng tải nếu có bất kỳ khe hở nào trong điều kiện tải này);
là hệ số Poisson của đất.
Có thể thêm các thuật ngữ bổ sung vào Công thức (L.3) để tính đến các lợi ích của việc chôn móng, giới hạn độ sâu xuống một tầng đất cứng hơn hoặc tăng độ cứng của đất trong phạm vi ảnh hưởng của độ sâu của móng.
Vì độ cứng xoay tỷ lệ với lập phương bán kính của diện tích tiếp xúc, nên nó rất nhạy với diện tích tiếp xúc. Hình L.4 cung cấp một ví dụ về hiệu ứng này đối với nền móng hình bát giác, trong đó mất tiếp xúc hoàn toàn xảy ra ở độ lệch tâm tải, e/B, xấp xỉ 0,13, trong đó e là khoảng cách theo phương ngang giữa tâm phản ứng của đất và tâm hình học của móng, và B là chiều rộng của nền móng.
Tham số vô hướng
, biểu thị tỷ lệ độ cứng xoay của nền móng được tính toán theo giá trị tiếp xúc hoàn toàn của nền móng với nền đất.

Hình L.4 – Giảm độ cứng xoay do độ lệch tâm tải
L.4 Độ cứng xoay tĩnh
Độ cứng xoay của móng tĩnh, khi được nhà sản xuất tuabin yêu cầu kiểm tra, sẽ được kiểm tra xác nhận dựa trên môđun đất cho phép giảm độ cứng cắt biến dạng nhỏ theo biến dạng đất thực tế trong trường hợp tải S1.
Việc tính toán độ cứng xoay tĩnh cho móng có thể sử dụng cùng một công thức chung như đối với điều kiện động, được điều chỉnh theo hiệu ứng biến dạng như minh họa bên dưới. Nhìn chung, móng tuabin gió phải hoạt động trong phạm vi biến dạng đất từ 0,000 1 đến 0,001 (0,01% đến 0,1%) trong quá trình vận hành bình thường và lên đến tải trọng đặc trưng.

trong đó
là độ cứng xoay tĩnh của móng chịu tác động của mômen lật;
G là môđun cắt của đất giảm từ G0 để tính đến độ biến dạng của đất khác “không”.
Khả năng mất 100 % tiếp xúc của móng với nền đất dưới trường hợp tải trọng S1 sẽ được tính đến khi xác định bán kính móng tiếp xúc hiệu quả. Có thể lấy bán kính này bằng một nửa chiều rộng tiếp xúc theo hướng tải trọng nếu có bất kỳ khe hở nào trong điều kiện tải trọng này.
Những cải tiến tương tự có thể được thực hiện để tính đến những lợi ích của việc chôn móng, giới hạn độ sâu xuống một tầng đất cứng hơn hoặc tăng độ cứng của đất trong phạm vi ảnh hưởng của độ sâu của móng.
Việc áp dụng các nguyên tắc được mô tả ở trên để kết hợp việc giảm môđun cắt đất với biến dạng và giảm chiều rộng chịu lực được minh họa trong Hình L.5 cho một nền móng điển hình. Lưu ý rằng đường cong ví dụ này dựa trên nền móng hình bát giác được xây dựng trên đất vững chắc (nhưng không cứng) và đường cong như vậy phải được tạo ra bằng cách sử dụng các đặc điểm nền móng cụ thể để đảm bảo tương thích với tất cả các giả định thiết kế liên quan đến loại đất, điều kiện tải trọng và hình dạng nền móng.
Tham số vô hướng
biểu thị tỷ lệ xoay của nền móng được tính toán độ cứng như một hàm số của giá trị tiếp xúc hoàn toàn của móng với nền đất khi biến dạng cắt của đất bằng không.

Hình L.5 - Ví dụ minh họa về việc giảm nền móng độ cứng xoay do độ lệch tâm tải tăng
L.5 Tài liệu tham khảo
[1] Yi, F. Đặc điểm chu kỳ phi tuyến tính của đất, Biên bản báo cáo của GeoFlorida 2010, Tiến bộ trong phân tích, mô hình hóa và thiết kế, tháng 2 năm 2010
[2] Vucetic, M. Và Dobry, R. Ảnh hưởng của tính dẻo của đất lên phản ứng tuần hoàn, Tạp chí Kỹ thuật Địa kỹ thuật Tập 117, Số 1 tháng 1 năm 1991
Phụ lục M
(tham khảo)
Hướng dẫn thiết kế móng neo đá
M.1 Quy định chung
Neo đá cần được thiết kế theo tiêu chuẩn tham khảo; Phụ lục M tham chiếu đến các tiêu chuẩn của Châu Âu và Bắc Mỹ. Các tiêu chuẩn tương đương thay thế cũng được chấp nhận.
Móng neo đá phải được thiết kế và xây dựng theo EN 1997-1:2004 Chương 8 [1] và EN 1537:1999 [2] hoặc [3].
M.2 Bảo vệ chống ăn mòn
M.2.1 Neo tiêu chuẩn
Neo đá phải được thiết kế như một neo cố định. Bảo vệ chống ăn mòn phải tuân thủ EN 1537:1999 [2], Chương 6.9 hoặc Bảng 3 của 6.4 của [3]. Thông thường, bảo vệ chống ăn mòn bao gồm hệ thống bảo vệ kép. Đối với các hệ thống neo đá mắc cạn được thiết kế theo tiêu chí PTI, hệ thống phải được thiết kế với bảo vệ chống ăn mòn loại I tại chỗ. Xem Hình M.1 và M.2.

Hình M.1 – Mặt cắt ngang qua đá và neo

CHÚ DẪN:
2 - đế neo
3 - ống nhựa
5 - lỗ khoan
6 - đầu neo
7 - tấm đệm
8 - móng neo
9 - nêm neo
10 - vữa
11 - mỡ
12 - chi tiết chèn
Hình M.2 - Cấu hình neo điển hình có bảo vệ chống ăn mòn
M.2.2 Bảo vệ chống ăn mòn của neo thanh
M.2.1 cũng có hiệu lực đối với neo thanh. Việc bảo vệ chống ăn mòn cho neo thanh dạng ren phải tuân theo các hướng dẫn cho bảo vệ cấp 1.
M.3 Phê duyệt sản phẩm
Hệ thống kéo sau cần có chứng nhận ETAG theo ETAG 013 từ EOTA (tổ chức phê duyệt kỹ thuật châu Âu) hoặc chứng nhận tương tự. Trong trường hợp không có chứng nhận khu vực, cần cung cấp thông tin rõ ràng về tiêu chí thử nghiệm ASTM, chứng chỉ nhà máy, độ bền vật liệu và tính đồng nhất của vật liệu cho tất cả các vật liệu neo đá.
M.4 Thiết kế neo đá
Neo đá cần được thiết kế theo EN 1537:1999 và EN 1992-1-1:2004, Chương 5.10 hoặc PTI DC35.1.14, Mục 6.0.
Lực ứng suất trước tối đa có thể được tính theo:
• EN 1992-1-1:2004, Chương 5.10.2 và 5.10.2.3;
• EN 1537:1999, Phụ lục E, Chương E.2.
Tải trọng khóa tối đa:
![]()
Và
![]()
trong đó
fpk là độ bền chịu kéo đặc trưng của thép ứng suất trước;
được định nghĩa là tải trọng được truyền đến móng bởi neo đá sau khi hoàn thành hoạt động ứng suất (sau khi khóa nêm).
Chiều dài tự do có thể được tính toán theo EN 1537:1999, Chương 9.9 và PTI DC35.1-14 và/hoặc bằng cách tính toán tổn thất ma sát và tổn thất do neo trượt khi nêm được siết chặt hoặc trượt trong thành phần lắp đặt cho neo dạng thanh đặc.
M.5 Thiết kế vữa
Vữa neo và đảm bảo chất lượng cần được thiết kế và tiến hành theo EN 1537:1999, Chương 6.7 và 8.3 hoặc PTI DC35.1-14:2014, 7.8 và Hình 7.1. Vữa cần được thử nghiệm và trộn theo các thông số kỹ thuật của Eurocode và PTI và các yêu cầu của nhà sản xuất khi thích hợp.
M.6 Thử nghiệm và thực hiện
Việc thử nghiệm, giám sát và theo dõi neo đá cần được tiến hành theo EN 1537:1999, Chương 9 hoặc PTI DC35.1-14:2014, 8.0.
Nếu thiết kế và thử nghiệm neo đá được thực hiện theo EN 1537:1999, tải trọng thử nghiệm neo (tải trọng thử nghiệm) được tính như sau:

trong đó
ứng suất thử đặc trưng 0,1% của thép ứng suất trước
Các khuyến nghị trong PTI DC35.1-14:2014, Điều 8.0, cũng có thể được sử dụng để thử tải neo đá.
Việc thực hiện có thể được thực hiện theo EN 1537:1999 [2], Chương 8 và Thỏa thuận Hội thảo CEN, CWA 14646 [4].
M.7 Thử nghiệm tính thích hợp/tính năng
Ít nhất cần tiến hành ba thử nghiệm tính thích hợp/tính năng trên các neo được chế tạo trong điều kiện giống hệt nhau.
Nên sử dụng tối thiểu năm chu kỳ tải. Độ dịch chuyển độ rão tối đa là 1 mm.
Các thử nghiệm tính năng cũng có thể được thực hiện theo PTI DC35.1-14:2014, 8.3.2.
M.8 Thử nghiệm nghiệm thu/kiểm chứng
Mỗi neo đang hoạt động không phải chịu thử nghiệm hiệu suất phải được thử nghiệm nghiệm thu /kiểm chứng theo EN 1537:1999, Chương 9.7 hoặc PTI DC35.1-14:2014, 8.3.3.
Đặt tải đến tải trọng kiểm chứng (Pp) có thể được thực hiện như chỉ ra trong PTI DC35.1-14:2014, Bảng 8.2 hoặc theo tối thiểu ba mức tăng bằng nhau. Thời gian giám sát/giữ không được ít hơn 5 min ở tải thử nghiệm và độ dịch chuyển độ rão tối đa là 0,8 mm.
M.9 Bổ sung kéo dài thử nghiệm từ biến
Có thể cần thử nghiệm từ biến đối với các vật liệu đá phân hủy hoặc đá sét có khả năng chuyển động theo thời gian. Các thử nghiệm kéo dài bổ sung phải được thực hiện theo PTI DC 35.1-14:2014, 8.3.4.
Do bản chất tải trọng động của tuabin gió, nên triển khai các biện pháp bổ sung để duy trì độ căng của neo đá trong suốt thời gian thiết kế của móng, đặc biệt là trong 3 đến 5 năm đầu tiên hoạt động. Có thể sử dụng các phép đo độ căng neo định kỳ hoặc lắp đặt các thiết bị đo độ căng cố định cho các neo được chọn để xác nhận độ căng neo thích hợp trong suốt thời gian thiết kế của tuabin gió.
M.10 Tài liệu tham khảo
[1] EN 1997-1:2004, Eurocode 7: Thiết kế địa kỹ thuật - Phần 1: Quy định chung
[2] EN 1537:1999, Thi công các công trình địa kỹ thuật đặc biệt - Neo đất
[3] Viện Dự ứng lực sau (PTI DC35.1.14), Khuyến nghị về Neo đá và Đất ứng suất trước
[4] Thỏa thuận Hội thảo CEN, CWA 14646
Phụ lục N
(tham khảo)
Tải trọng bên trong - Giải thích về tải trọng bên trong
Tải trọng do các phương pháp trong TCVN 10687-1 (IEC 61400-1) hoặc IEC 61400-2 cung cấp được gọi là tải trọng bên trong, phát sinh từ tải trọng bên ngoài và phản ứng hoặc tác động của hệ thống. Chúng là lực và mômen trong các phần đi qua kết cấu. Chúng không phải là tải trọng tác dụng lên bề mặt bên ngoài của kết cấu. Các phương pháp phân tích kết cấu có tính đến điều này.
Diễn giải này là cần thiết vì các lực và mômen bao gồm tác động của rung động hoặc chuyển động tổng quát hơn của cấu trúc do phản ứng của hệ thống truyền động, ví dụ như bước cánh hoặc bộ giảm chấn thụ động. Thật khó để diễn giải lại các tác động quán tính này thành ngoại lực.
Nhìn chung, tải trọng TCVN 10687-1 (IEC 61400-1) hoặc IEC 61400-2 sẽ không bao gồm lực căng trước của các thành phần bên trong kết cấu, điều này cần được xem xét ngoài các tải trọng bên trong này.
Điều này đặc biệt quan trọng khi sử dụng tải trọng với mô hình phần tử hữu hạn, trong đó cần đảm bảo rằng tải trọng bên trong được biểu diễn chính xác tại giao diện có liên quan nhưng không thể áp dụng trực tiếp vì giao diện không thể là cạnh tự do và phải được ràng buộc chính xác. Một phương pháp, xem Hình N.1, là áp dụng tải trọng bên trong giao diện A (ví dụ: đế tháp) tại giao diện xa B (ví dụ: giao diện phần tháp). Một điểm C trong giao diện A được kết nối với cấu trúc tại B bằng một mạng lưới các phần tử cứng. Điểm C không được gắn hoặc ràng buộc theo bất kỳ cách nào với giao diện A, ngoại trừ cấu trúc xen kẽ. Tải trọng bên trong được áp dụng cho C. Bất kỳ ứng suất nào gần B đều bị bỏ qua.

Hình N.1 - Biểu diễn tải trọng bên trong
Phụ lục O
(tham khảo)
Ước tính tải trọng động đất cho tháp và móng tuabin gió
O.1 Quy định chung
Phụ lục O mô tả phân tích tải trọng động đất cho tháp và móng tuabin gió. Các vấn đề sau đây sẽ được xem xét để phân tích tải trọng động đất cho tháp và móng tuabin gió ngoài các vấn đề được đề cập trong TCVN 10687-1:2025 (IEC 61400-1:2019), Phụ lục D:
• chuyển động mặt đất theo chiều thẳng đứng;
• tương tác phi tuyến tính giữa đất và nền móng.
Trạng thái tương tác phi tuyến tính đòi hỏi phải có mô phỏng miền thời gian. Phụ lục O mô tả chuyển động mặt đất theo phương thẳng đứng, mô hình cấu trúc được sử dụng để xem xét tương tác nền đất, sự khuếch đại đất và mô phỏng miền thời gian cho tháp và nền tuabin gió.
O.2 Chuyển động thẳng đứng của mặt đất
Đối với tính toán tải trọng động đất của nền móng tuabin gió, cần xem xét chuyển động thẳng đứng của mặt đất. Phổ phản ứng cho gia tốc thẳng đứng của mặt đất tại nền đá kỹ thuật Sav(T) được định nghĩa như sau:
![]()
trong đó
là phổ phản ứng gia tốc theo phương ngang tại nền đá kỹ thuật được định nghĩa trong TCVN 10687:2025 (IEC 61400-1:2019), Phụ lục D;
b(T) là giá trị nằm giữa 1/2 và 1
Giá trị của b(T) có thể được xác định theo yêu cầu của địa phương [2], [3], [4], [5], [6] và [7].
Khi phản ứng động đất đối với chuyển động mặt đất theo phương thẳng đứng và phương ngang được phân tích riêng biệt, phản ứng thiết kế Rtotal có thể thu được bằng cách thêm chuyển động ngang Rh và dọc Rv của mặt đất.
![]()
trong đó
có thể được sử dụng cho tháp và
= 0,4 có thể được sử dụng cho móng.
O.3 Mô hình cấu trúc
Mô hình lắc lư (Hình O.1 (a)) có thể được sử dụng để tính toán tải trọng động đất trên tháp tuabin gió và móng. Khi tương tác giữa cọc và đất cho thấy tính phi tuyến tính mạnh, nên sử dụng mô hình thể hiện trong Hình O.1 (b) và nên xem xét tải trọng động đất trên cọc do chuyển động của mặt đất.
Sự giảm chấn của cấu trúc tháp có thể dựa trên Phụ lục P. Các lò xo trong mô hình lắc lư có thể được đánh giá bằng cách sử dụng lý thuyết sóng đàn hồi. Các lò xo giữa cọc và đất trong mô hình tương tác có thể được đánh giá dựa trên hướng dẫn DNV [7].
Khi sử dụng phương pháp lắc ngang cho móng cọc, ứng suất tác dụng lên cọc phải được đánh giá bằng cách xem xét lực quán tính ở đầu cọc và sự biến dạng của lớp đất.

Hình O.1 - Mô hình cấu trúc cho phương pháp phổ phản ứng
O.4 Sự khuếch đại đất
Chuyển động của mặt đất sẽ được đánh giá bằng cách sử dụng phân tích phản ứng động đất của các lớp đất bằng cách sử dụng chuyển động của nền đá kỹ thuật làm đầu vào. Chuyển động của nền đá kỹ thuật được đưa ra theo chuỗi thời gian và có thể được tạo ra từ phổ phản ứng được đề cập trong Mục O.2 và IEC 61400-1:2019, Công thức (D.1) bằng cách giả định thông tin pha khác nhau.
Môđun đàn hồi cắt của lớp đất (G0) có thể thu được từ công thức sau:
![]()
trong đó
là trọng lượng riêng của đất;
là trọng lượng của đất;
là vận tốc sóng ngang của mỗi lớp đất và phải được đo bằng cách sử dụng thiết bị đo địa vật lý.
Nếu giá trị của
không thể thu được, nó có thể được ước tính dựa trên các yêu cầu trong tài liệu tham khảo [1], [2], [3], [4], [5] và [6].
Phân tích phản ứng động đất của các lớp đất nên được thực hiện bằng cách sử dụng phân tích phi tuyến tính giả định mô hình một chiều của các lớp đất. Nếu biến dạng nhỏ hơn một phần trăm, có thể sử dụng phân tích tuyến tính tương đương.
Nếu xét đến hiện tượng hóa lỏng của đất, nên sử dụng phương pháp phân tích ứng suất hữu hiệu hoặc phương pháp phân tích lực cắt có xét đến sự giảm độ cứng của lớp hóa lỏng.
Chuyển động thẳng đứng của đất có thể được giả định là giống hệt với chuyển động thẳng đứng của đá nền công trình hoặc được ước tính từ phân tích tuyến tính bằng cách sử dụng lý thuyết phản xạ đa chiều một chiều với giả định áp lực sóng đến thẳng.
Đối với mô hình lắc lư, chuyển động của đất ở đáy móng có thể được sử dụng làm chuyển động của mặt đất. Nếu xét đến sự hóa lỏng của đất, hai chuyển động của mặt đất khác nhau được tính toán bằng cách giả định sự hóa lỏng và không giả định sự hóa lỏng, và cả hai đều nên được sử dụng.
O.5 Mô phỏng miền thời gian
Phương pháp Newmark β (β=1/4) nên được sử dụng để mô phỏng miền thời gian. Ma trận giảm chấn có thể được tính toán dựa trên mô hình giảm chấn Rayleigh.
Khi tính phi tuyến tính hình học không được xem xét trong phân tích phản ứng, mômen bổ sung từ hiệu ứng p - Δ effect (MpDi) phải được thêm vào một cách rõ ràng theo TCVN 10687-1:2025 (IEC 61400-1:2019),
Công thức (D.13). Nếu độ lệch tâm của vỏ tuabin không được xem xét rõ ràng trong mô hình kết cấu, mômen xoắn của tháp và móng có thể được ước tính dựa trên TCVN 10687-1:2025 (IEC 61400-1:2019), Công thức (D.13).
Tải trọng động đất thiết kế phải được đánh giá theo một trong những cách sau:
• tải trọng tối đa dựa trên ít nhất ba tính chất pha khác nhau;
• giá trị phân vị 85 của tải dựa trên ít nhất sáu tính chất pha khác nhau
O.6 Tài liệu tham khảo
[1] EN 1998-1:2004, Eurocode 8, Thiết kế kết cấu chịu động đất; Phần 1: Quy tắc chung, hành động động đất và quy tắc cho tòa nhà
[2] ASCE 7-05, Tải trọng thiết kế tối thiểu cho các tòa nhà và các công trình khác, Hiệp hội kỹ sư xây dựng Hoa Kỳ, Reston, Virginia, Hoa Kỳ, 2006
[3] BSL, Luật tiêu chuẩn xây dựng của Nhật Bản, Trung tâm xây dựng của Nhật Bản, 2004
[4] AIJ, Viện Kiến trúc Nhật Bản, Bình luận về Tải trọng động đất, 2004
[5] IBC, Bộ luật xây dựng quốc tế, Hội đồng bộ luật quốc tế, Falls Church, Virginia, 2009
[6] UBC-97 Bộ luật xây dựng thống nhất, Hội nghị quốc tế các quan chức xây dựng (ICBO), 1997
[7] Det Norske Veritas: Ghi chú phân loại số 30.4, Nền tảng, 1992
Phụ lục P
(tham khảo)
Tỷ lệ giảm chấn kết cấu cho tháp tuabin gió
P.1 Quy định chung
Các giá trị khuyến nghị của tỷ lệ giảm chấn cấu trúc cho tháp của tuabin gió khác nhau đáng kể tùy thuộc vào các hướng dẫn [1], [2] và [3], Phụ lục P cung cấp hướng dẫn để ước tính tỷ lệ giảm chấn cấu trúc cho tháp thép của tuabin gió theo chu kỳ tự nhiên của nỏ.
P.2 Tỷ lệ giảm chấn cấu trúc chế độ đầu tiên
Các giá trị giảm chấn được trình bày trong Mục P.2 không bao gồm các nguồn sau:
• khí động học của cấu trúc;
• các hành động điều khiển, có thể là khí động học hoặc cơ điện;
• bộ giảm chấn cơ học;
• giảm chấn đất.
Bảng P.1 đưa ra các giá trị tối đa cho tỷ số giảm chấn chế độ đầu tiên có thể chấp nhận được mà không cần giải thích thêm.
Bảng P.1 - Hệ số giảm chấn
| Vật liệu | Tỷ lệ giảm chấn | Giảm logarit |
| Tháp ống thép | 0,002 5 | 0,015 |
| Tháp bê tông ứng suất trước | 0,006 5 | 0,04 |
Công thức (P.1) có thể được sử dụng để ước tính tỷ lệ giảm chấn cấu trúc chế độ đầu tiên
cho tháp thép của tuabin gió.
![]()
trong đó
T1 là chu kỳ tự nhiên của tháp ở chế độ đầu tiên.
Hình P.1 cho thấy các tỷ lệ giảm chấn cấu trúc chế độ đầu tiên khác nhau có trong các tài liệu [4], [5] và [6] như một hàm của tần số chế độ đầu tiên khi so sánh với Công thức (P.1).

Hình P.1 - Tỷ lệ giảm chấn chế độ đầu tiên cho tháp thép của tuabin gió
Các giá trị trong Hình P.1 là tỷ lệ giảm chấn cấu trúc trong rung động tự do thu được từ các thử nghiệm kích thích, theo hướng sao cho tác động của giảm chấn khí động học từ các cánh quạt được giảm thiều, tức là tỷ lệ giảm chấn theo hướng ngang đối với điều chỉnh giảm tải tuabin gió và điều chỉnh góc pitch của tuabin gió.
P.3 Tỷ lệ giảm chấn cấu trúc chế độ thứ hai
Giá trị sau đây có thể được sử dụng cho tỷ lệ giảm chấn cấu trúc chế độ thứ hai cho tháp thép của tuabin gió [3],
![]()
P.4 Giảm chấn chế độ cao hơn
Tỷ lệ giảm chấn cấu trúc chế độ cao hơn có thể được ước tính bằng cách sử dụng mô hình giảm chấn Rayleigh.

trong đó
C là ma trận giảm chấn;
M là ma trận khối lượng;
K là ma trận độ cứng;
là tần số góc ở chế độ thứ nhất;
là tần số góc ở chế độ thứ hai;
là hệ số giảm chấn ở chế độ thứ nhất;
là tỷ số giảm chấn ở chế độ thứ hai.
P.5 Tài liệu tham khảo
[1] Hiệp hội Năng lượng Gió Hoa Kỳ và Hiệp hội Kỹ sư Xây dựng Hoa Kỳ, Thực hành Khuyến nghị để Tuân thủ các cấu trúc Hỗ trợ Tuabin Gió Trên đất liền Lớn, thực hành tốt nhất được khuyến nghị, 2011
[2] Viện Kỹ thuật Kết cấu Đức, Hướng dẫn về tuabin gió, 2012. (Bằng tiếng Đức)
[3] Hiệp hội Kỹ sư Xây dựng Nhật Bản, Hướng dẫn Thiết kế Kết cấu và Nền móng Hỗ trợ Tuabin Gió, 2010. (Bằng tiếng Nhật)
[4] Prowell, I., Veletzos, M., Elgamal, A, Restrepo, J., Phản ứng động đất thực nghiệm và số của tuabin gió 65 kW, Tạp chí Kỹ thuật động đất, 12(8), 1172-1190, 2009
[5] [5]lshihara, T., Phuc, PV, Fujino,Y., Takahara, K., Mekaru, T., Một thử nghiệm thực địa và mô phỏng động lực học đầy đủ trên một tuabin gió điều chỉnh độ dừng, Biên bản báo cáo của APCWE VI, tr. 599-612, 2005
[6] Oh, S., Ishihara, T., Xác định thông số cấu trúc của tuabin gió cố định đáy 2,4 MW bằng thử nghiệm kích thích sử dụng bộ giảm chấn khối lượng chủ động, Năng lượng gió, 21(11), 1232-1238, 2018
Phụ lục Q
(tham khảo)
Hướng dẫn về các hệ số an toàn từng phần cho các trạng thái giới hạn địa kỹ thuật
Q.1 Quy định chung
Phụ lục Q hướng dẫn về việc sử dụng các hệ số vật liệu hoặc sức cản cục bộ thích hợp dựa trên các tiêu chuẩn tham khảo thường dùng.
Có thể sử dụng các tiêu chuẩn tham khảo thay thế để đáp ứng mức độ tin cậy tối thiểu như được trình bày trong Phụ lục Q.
Các hệ số độ bền phải được áp dụng thống nhất theo tiêu chuẩn tham khảo đã chọn. Các phương pháp và hệ số an toàn từng phần không được trộn lẫn giữa các tiêu chuẩn tham khảo.
Q.2 Trạng thái cân bằng
Trạng thái cân bằng sẽ được đánh giá theo các nguyên tắc được trình bày trong 8.5.2.2. Đối với các phương pháp dựa trên EN 1997-1-1 hoặc thông lệ của Bắc Mỹ, hệ số an toàn từng phần về sức cản sẽ được định nghĩa trong Bảng Q.1.
Bảng Q.1 - Các hệ số an toàn từng phần tối thiểu cho trạng thái cân bằng trạng thái giới hạn (thực hành của Châu Âu và Bắc Mỹ)
|
| Hệ số an toàn từng phần về sức chịu tải
|
| Vật liệu đất | 1,1 |
| Đá | 1,0 |
Đối với các phương pháp dựa trên JSCE 2010 [1], hệ số an toàn từng phần tối thiểu về sức đề kháng sẽ được định nghĩa trong Bảng Q.2. Giá trị của
Đường được sử dụng sẽ phụ thuộc vào hình dạng của nền móng như được định nghĩa trong JSCE 2010.
Bảng Q.2 - Hệ số an toàn từng phần tối thiểu cho trạng thái giới hạn cân bằng (JSCE)
| Điều kiện tải trọng | Hệ số an toàn từng phần về sức chịu tải
|
| SLS | 3,0 |
| ULS | 1,5 |
| Tải trọng động đất | 1,1 |
Q.3 Khả năng chịu lực
Sức chịu tải phải được đánh giá theo các nguyên tắc trình bày trong 8.5.2.4. Hệ số an toàn riêng phần về vật liệu và sức bền phải không nhỏ hơn các giá trị cho trong Bảng Q.3.
Phương pháp sử dụng phải phù hợp với tiêu chuẩn tham khảo của khu vực mà thiết kế được áp dụng.
Bảng Q.3 - Hệ số vật liệu và sức cản cục bộ tối thiểu đối với trạng thái giới hạn sức chịu tải, ULS
| Thông số địa kỹ thuật | Hệ số an toàn từng phần trên vật liệu – Phương pháp 1 (thực hành tại Châu Âu EN 1997) | Hệ số an toàn từng phần trên sức chống cự - Phương pháp 2a (Thực hành tại Bắc Mỹ) | Hệ số an toàn từng phần trên sức chống cự - Phương pháp 2b (thực hành tại Nhật Bản JSCE) |
| Góc ma sát trong, tan | 1,25 | 1,0 | 1,0 |
| Độ bền cắt không thoát nước, cu cho đất kết dính | 1,4 | 1,0 | 1,0 |
| Kháng tải, qRk dựa trên khả năng chịu lực tối đa | 1,0 | 2,0 | 1,5 |
Q.4 Lực cản trượt
Sức cản trượt phải được đánh giá theo các nguyên tắc trình bày trong 8.5.2.4. Hệ số an toàn từng phần về vật liệu và sức cản phải không nhỏ hơn các giá trị cho trong Bảng Q.4.
Phương pháp sử dụng phải phù hợp với tiêu chuẩn tham khảo của khu vực mà thiết kế được áp dụng.
Bảng Q.4 - Hệ số vật liệu và sức cản cục bộ tối thiểu đối với trạng thái giới hạn sức cản trượt, ULS
| Thông số địa kỹ thuật | Hệ số an toàn từng phần trên vật liệu – Phương pháp 1 (thực hành tại Châu Âu EN 1997) | Hệ số an toàn từng phần trên sức chống cự - Phương pháp 2a (Thực hành tại Bắc Mỹ) | Hệ số an toàn từng phần trên sức chống cự - Phương pháp 2b (thực hành tại Nhật Bản JSCE) |
| Góc ma sát trong, tan | 1,25 | 1,0 | 1,0 |
| Độ bền cắt không thoát nước, cu cho đất kết dính | 1,4 | 1,0 | 1,0 |
| Lực cản trượt, | 1,0 | 1,5 | 1,2 |
Q.5 Độ ổn định tổng thể
Độ ổn định tổng thể phải được đánh giá theo các nguyên tắc trình bày trong 8.5.2.5. Hệ số an toàn từng phần về vật liệu và sức bền phải không nhỏ hơn các giá trị cho trong Bảng Q.5.
Phương pháp sử dụng phải phù hợp với tiêu chuẩn tham khảo của khu vực mà thiết kế được áp dụng.
Bảng Q.5 - Hệ số vật liệu và sức cản cục bộ tối thiểu đối với trạng thái giới hạn ổn định tổng thể, ULS
| Thông số địa kỹ thuật | Hệ số an toàn từng phần trên vật liệu - Phương pháp 1 (thực hành tại Châu Âu EN 1997) | Hệ số an toàn từng phần trên sức chống cự - Phương pháp 2a (Thực hành tại Bắc Mỹ) | Hệ số an toàn từng phần trên sức chống cự - Phương pháp 2b (thực hành tại Nhật Bản JSCE) |
| Góc ma sát trong, tan | 1,25 | 1,0 | 1,0 |
| Độ bền cắt không thoát nước, cu cho đất kết dính | 1,4 | 1,0 | 1,0 |
| Độ ổn định tổng thể, Rd dựa trên khả năng chịu lực tối đa | 1,0 | 1,3 | 1,2 |
Q.6 Tài liệu tham khảo
[1] JSCE 2010. Hướng dẫn thiết kế kết cấu và nền móng hỗ trợ tuabin gió, Hiệp hội Kỹ sư Xây dựng Nhật Bản
Thư mục tài liệu tham khảo
[1] TCVN 312-1 (ISO 148-1), Vật liệu kim loại. Thử va đập kiểu con lắc Charpy. Phần 1: Phương pháp thử
[2] TCVN ISO 9001 (ISO 9001), Hệ thống quản lý chất lượng - Các yêu cầu
[3] EN 1993-1-6:2007, Eurocode 3 - Design of steel structures - Part 1-6: Strength and stability of shell structures
[4] EN 1991-1-4:2005, Eurocode 1: Actions on structures - Part 1-4: General actions - Wind actions
[5] ROTTER J.M. SCHMIDT H. Buckling of Steel Shells - European Design Recommendations, 5th Edition, Revised Second Impression, ECCS, 2013
[6] HOFBACHER AF. Recommendations for fatigue design of welded joints and components. IIW Collection, 2016
[7] ISO 19338, Performance and assessment requirements for design standards on structural concrete
[8] TCVN ISO/ IEC 17025 (ISO/ IEC 17025), Yêu cầu chung về năng lực của phòng thử nghiệm và hiệu chuẩn
[9] IIW-2259-15, Recommendations for Fatigue Design of Welded Joints and Components
1) Hệ thống TCVN đã có TCVN 6284:1997 (ISO 6934:1991) (tất cả các phần)
2) Hệ thống TCVN đã có TCVN 1651 tham khảo ISO 9635
3) Hệ thống TCVN đã có TCVN 5402:2010 (ISO 9016:2001) Thử phá hủy mối hàn trên vật liệu kim loại - Thử va đập - Vị trí mẫu thử, hướng rãnh khía và kiểm tra
4) Không có trạng thái giới hạn sử dụng nào được định nghĩa trong TCVN 10687-1 (IEC 61400-1)
5) Tải trọng kết quả cao nhất không nhất thiết bị chi phối bởi giá trị cực trị theo một hướng.
6) Quy trình 2 trong EN 1991-1-4:2005, Phụ lục E, có thể được sử dụng để ước tính biên độ của các dao động do xoáy gây ra và lực quán tính tương ứng trên một đơn vị chiều dài.
7) Ngành công nghiệp gió đã quy định các giới hạn điển hình là chuyển vị ngang 5 mm trên một mét chiều cao đối với việc lắp đặt, sản xuất và hiệu ứng nhiệt, và 3 mm/m đối với độ lún không đồng đều.
8) Trong phạm vi công nghệ tiên tiến được công nhận, ứng suất tập trung tại các lỗ hổng, đỉnh tháp hoặc các chi tiết kết cấu khác không cần phải được xem xét.
9) Để xác định các điều kiện khí hậu, tham khảo TCVN 10687-1 (IEC 61400-1).
10) Vị trí của đỉnh hàn có thể trùng với đầu của chuẩn bị hàn.
11) Hạn chế tỷ lệ đường kính trên độ dày D/t liên quan đến phương pháp theo EN 1993-1-6:2007, được nêu trong TCVN 10687-1:2025 (IEC 61400-1:2019), 7.6.2.4, có thể được bỏ qua theo tài liệu cơ sở [5].
Bạn chưa Đăng nhập thành viên.
Đây là tiện ích dành cho tài khoản thành viên. Vui lòng Đăng nhập để xem chi tiết. Nếu chưa có tài khoản, vui lòng Đăng ký tại đây!







