- Tổng quan
- Nội dung
- Tiêu chuẩn liên quan
- Lược đồ
- Tải về
Tiêu chuẩn quốc gia TCVN 10687-1:2025 IEC 61400-1:2019 Hệ thống phát điện gió - Phần 1: Yêu cầu thiết kế
| Số hiệu: | TCVN 10687-1:2025 | Loại văn bản: | Tiêu chuẩn Việt Nam |
| Cơ quan ban hành: | Bộ Khoa học và Công nghệ | Lĩnh vực: | Công nghiệp , Điện lực |
| Trích yếu: | IEC 61400-1:2019 Hệ thống phát điện gió - Phần 1: Yêu cầu thiết kế | ||
|
Ngày ban hành:
Ngày ban hành là ngày, tháng, năm văn bản được thông qua hoặc ký ban hành.
|
01/10/2025 |
Hiệu lực:
|
Đã biết
|
| Người ký: | Đang cập nhật |
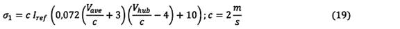
Tình trạng hiệu lực:
Cho biết trạng thái hiệu lực của văn bản đang tra cứu: Chưa áp dụng, Còn hiệu lực, Hết hiệu lực, Hết hiệu lực 1 phần; Đã sửa đổi, Đính chính hay Không còn phù hợp,...
|
Đã biết
|
TÓM TẮT TIÊU CHUẨN VIỆT NAM TCVN 10687-1:2025
Tiêu chuẩn quốc gia TCVN 10687-1:2025 - Yêu cầu thiết kế hệ thống phát điện gió
Tiêu chuẩn quốc gia TCVN 10687-1:2025 (IEC 61400-1:2019) được Bộ Khoa học và Công nghệ ban hành ngày 15/12/2025, có hiệu lực từ 01/01/2025, thay thế TCVN 10687-1:2015. Tiêu chuẩn này quy định các yêu cầu thiết kế quan trọng nhằm đảm bảo tính toàn vẹn kết cấu của tuabin gió, từ đó tạo điều kiện cho hoạt động an toàn và hiệu quả của hệ thống phát điện gió.
Tiêu chuẩn áp dụng cho tất cả các hệ thống phát điện gió, từ các tuabin cỡ nhỏ đến cỡ lớn, bao gồm cả các yêu cầu về thiết kế hệ thống điều khiển, chức năng bảo vệ, và hệ thống điện bên trong. Các yếu tố chính được quy định bao gồm:
- Quy định chung: Nêu rõ các yêu cầu thiết kế cơ bản để bảo vệ tuabin gió khỏi những hư hại do các yếu tố bên ngoài và nội tại trong suốt vòng đời hoạt động.
- Cấp an toàn: Đánh giá và xác định mức độ an toàn của thiết kế dựa trên nhiều yếu tố, bao gồm tác động của tốc độ gió và các tình huống thiết kế khác nhau.
- Đảm bảo chất lượng: Cung cấp tiêu chí kiểm tra và xác nhận chất lượng sản phẩm trong quá trình thiết kế và lắp đặt.
Tiêu chuẩn cũng đề cập đến ảnh hưởng của điều kiện môi trường và cách thức phân cấp tuabin gió theo các điều kiện gió và môi trường khác nhau để đảm bảo rằng thiết kế có thể chịu được những ảnh hưởng này. Đây là điểm quan trọng cho những đơn vị sản xuất và lắp đặt tuabin gió, đặc biệt là trong bối cảnh khí hậu và địa lý đa dạng của Việt Nam.
Khía cạnh thiết kế kết cấu cũng được nhấn mạnh, với các yêu cầu về tải trọng, phương pháp tính toán và phân tích trạng thái giới hạn cực hạn. Điều này đảm bảo rằng các tuabin gió có thể hoạt động an toàn và hiệu quả, ngay cả trong điều kiện thời tiết khắc nghiệt.
Ngoài ra, tiêu chuẩn có quy định cụ thể về hệ thống điều khiển, rất quan trọng cho việc đảm bảo hoạt động đúng đắn của tuabin. Các chức năng đầy đủ của hệ thống điều khiển được định nghĩa để chắc chắn rằng chức năng tự động và bảo vệ luôn diễn ra trong các điều kiện hoạt động không thuận lợi.
Cuối cùng, tiêu chuẩn này cũng đề cập đến quá trình lắp đặt, vận hành thử và bảo trì thiết bị, nhằm đảm bảo mọi khía cạnh đến từ lắp đặt đến vận hành sử dụng đều tuân thủ đúng quy trình và yêu cầu kỹ thuật.
TCVN 10687-1:2025 là văn bản quan trọng nền tảng cho sự phát triển của ngành công nghiệp năng lượng gió tại Việt Nam, phù hợp với xu thế phát triển năng lượng sạch và bền vững trong bối cảnh toàn cầu hóa hiện nay.
Tải tiêu chuẩn Việt Nam TCVN 10687-1:2025
TIÊU CHUẨN QUỐC GIA
TCVN 10687-1:2025
IEC 61400-1:2019
HỆ THỐNG PHÁT ĐIỆN GIÓ – PHẦN 1: YÊU CẦU THIẾT KẾ
Wind energy generation systems – Part 1: Design requirements
Mục lục
Lời nói đầu
1 Phạm vi áp dụng
2 Tài liệu viện dẫn
3 Thuật ngữ, định nghĩa, chữ viết tắt và ký hiệu
4 Các ký hiệu và thuật ngữ viết tắt
4.1 Ký hiệu và đơn vị
4.2 Chữ viết tắt
5 Các yếu tố chính
5.1 Quy định chung
5.2 Phương pháp thiết kế
5.3 Cấp an toàn
5.4 Đảm bảo chất lượng
5.5 Ghi nhãn tuabin gió
6 Điều kiện bên ngoài
6.1 Quy định chung
6.2 Phân cấp tuabin gió
6.3 Điều kiện gió
6.4 Các điều kiện môi trường khác
6.5 Các điều kiện lưới điện
7 Thiết kế kết cấu
7.1 Quy định chung
7.2 Phương pháp thiết kế
7.3 Tải
7.4 Các tình huống thiết kế và trường hợp tải trọng
7.5 Tính toán tải
7.6 Phân tích trạng thái giới hạn cực hạn
8 Hệ thống điều khiển
8.1 Quy định chung
8.2 Chức năng điều khiển
8.3 Chức năng bảo vệ
8.4 Phân tích lỗi hệ thống điều khiển
8.5 Vận hành bằng tay
8.6 Chức năng nút dừng khẩn cấp
8.7 Khởi động lại thủ công, tự động và từ xa
8.8 Hệ thống phanh
9 Hệ thống cơ khí
9.1 Quy định chung
9.2 Các lỗi lắp ráp
9.3 Hệ thống thủy lực hoặc khí nén
9.4 Hộp số chính
9.5 Hệ thống xoay tuabin
9.6 Hệ thống nghiêng cánh tuabin
9.7 Phanh cơ khí thực hiện chức năng bảo vệ
9.8 Ổ lăn
10 Hệ thống điện
10.1 Quy định chung
10.2 Yêu cầu chung đối với hệ thống điện
10.3 Điều kiện môi trường bên trong
10.4 Thiết bị bảo vệ
10.5 Ngắt kết nối từ nguồn cung cấp
10.6 Hệ thống nối đất
10.7 Bảo vệ chống sét
10.8 Cáp điện
10.9 Tự kích hoạt
10.10 Bảo vệ chống xung sét điện từ
10.11 Chất lượng điện năng
10.12 Tương thích điện từ
10.13 Hệ thống và thiết bị biến đổi điện tử công suất
10.14 Vòng xoắn/vòng chống nhỏ giọt
10.15 Vòng trượt
10.16 Truyền tải điện theo phương thẳng đứng và các thành phần
10.17 Bộ truyền động động cơ và bộ biến đổi
10.18 Máy điện
10.19 Máy biến áp điện lực
10.20 Thiết bị đóng cắt và điều khiển điện áp thấp
10.21 Thiết bị đóng cắt điện áp cao
10.22 Hub
11 Đánh giá tuabin gió đối với các điều kiện cụ thể của địa điểm
11.1 Quy định chung
11.2 Đánh giá độ phức tạp địa hình của địa điểm và ảnh hưởng của nó đến nhiễu động.
11.3 Điều kiện gió cần thiết để đánh giá
11.4 Đánh giá hiệu ứng wake tư các tuabin lân cận
11.5 Đánh giá các điều kiện môi trường khác
11.6 Đánh giá điều kiện động đất
11.7 Đánh giá điều kiện lưới điện
11.8 Đánh giá các điều kiện đất
11.9 Đánh giá toàn vẹn kết cấu bằng cách tham chiếu đến dữ liệu gió
11.10 Đánh giá tính toàn vẹn kết cấu bằng cách tính toán tải trọng với tham chiếu đến các điều kiện tại vị trí cụ thể
12 Lắp ráp, lắp đặt và lắp dựng
12.1 Quy định chung
12.2 Lập kế hoạch
12.3 Điều kiện lắp đặt
12.4 Tiếp cận vị trí
12.5 Điều kiện môi trường
12.6 Tài liệu
12.7 Tiếp nhận, tháo dỡ và lưu trữ
12.8 Hệ thống móng/neo
12.9 Lắp ráp tuabin gió
12.10 Lắp dựng tuabin gió
12.11 Cơ cấu bắt chặt và cơ cấu liên kết
12.12 Cần cẩu, cần trục và thiết bị nâng hạ
13 Vận hành thử, vận hành và bảo trì
13.1 Quy định chung
13.2 Yêu cầu thiết kế để vận hành, kiểm tra và bảo trì an toàn
13.3 Hướng dẫn liên quan đến vận hành thử
13.4 Sổ tay hướng dẫn cho người vận hành
13.5 Sổ tay bảo trì
14 Khí hậu lạnh
14.1 Quy định chung
14.2 Khí hậu nhiệt độ thấp và đóng băng
14.3 Điều kiện bên ngoài đối với khí hậu lạnh
14.4 Thiết kế kết cấu
14.5 Các tình huống thiết kế và các trường hợp tải
14.6 Hệ thống điều khiển
14.7 Hệ thống cơ khí
14.8 Hệ thống điện
Phụ lục A (quy định), Thông số thiết kế cho các điều kiện bên ngoài
Phụ lục B (tham khảo), Các trường hợp tải thiết kế đối với thiết kế tuabin gió đặc biệt cấp S hoặc đánh giá tính phù hợp của vị trí
Phụ lục C (tham khảo), Mô hình nhiễu động
Phụ lục D (tham khảo), Đánh giá tải trọng động đất
Phụ lục E (tham khảo), Wake và nhiễu động trong trang trại gió
Phụ lục F (tham khảo), Dự đoán phân bố gió cho các địa điểm tuabin gió bằng phương pháp đo - tương quan - dự đoán (MCP)
Phụ lục G (tham khảo), Ngoại suy thống kê của tải trọng để phân tích độ bền cực hạn
Phụ lục H (tham khảo), Phân tích mỏi sử dụng quy tắc Miner có ngoại suy tải
Phụ lục I (tham khảo), Tải trọng đồng thời
Phụ lục J (tham khảo), Dự đoán tốc độ gió cực trị của các cơn bão nhiệt đới dùng phương pháp mô phỏng Monte Carlo
Phụ lục K (tham khảo), Hiệu chuẩn các hệ số an toàn vật liệu kết cấu và thiết kế kết cấu được hỗ trợ bởi thử nghiệm
Phụ lục L (tham khảo), Khí hậu lạnh: Đánh giá và ảnh hưởng của khí hậu đóng băng
Phụ lục M (tham khảo), Tuabin gió cỡ vừa
Thư mục tài liệu tham khảo
Lời nói đầu
TCVN 10687-1:2025 (IEC 61400-1:2019) thay thế TCVN 10687-1:2015 (IEC 61400-1:2014);
TCVN 10687-1:2025 hoàn toàn tương đương với IEC 61400-1:2019;
TCVN 10687-1:2025 do Ban kỹ thuật tiêu chuẩn quốc gia TCVN/TC/E13 Năng lượng tái tạo biên soạn, Viện Tiêu chuẩn Chất lượng Việt Nam đề nghị, Ủy ban Tiêu chuẩn Đo lường Chất lượng Quốc gia thẩm định, Bộ Khoa học và Công nghệ công bố.
Bộ TCVN 10687 (IEC 61400), Hệ thống phát điện gió gồm các phần sau:
- TCVN 10687-1:2025 (IEC 61400-1:2019), Phần 1: Yêu cầu thiết kế
- TCVN 10687-3-1:2025 (IEC 61400-3-1:2019), Phần 3-1: Yêu cầu thiết kế đối với tuabin gió cố định ngoài khơi
- TCVN 10687-3-2:2025 (IEC 61400-3-2:2025), Phần 3-2: Yêu cầu thiết kế đối với tuabin gió nổi ngoài khơi
- TCVN 10687-4:2025 (IEC 61400-4:2025), Phần 4: Yêu cầu thiết kế hộp số tuabin gió
- TCVN 10687-5:2025 (IEC 61400-5:2020), Phần 5: Cánh tuabin gió
- TCVN 10687-6:2025 (IEC 61400-6:2020), Phần 6: Yêu cầu thiết kế tháp và móng
- TCVN 10687-11:2025 (IEC 61400-11:2012+AMD1:2018), Phần 11: Kỹ thuật đo tiếng ồn âm thanh
- TCVN 10687-12:2025 (IEC 61400-12:2022), Phần 12: Đo đặc tính công suất của tuabin gió phát điện - Tổng quan
- TCVN 10687-12-1:2023 (IEC 61400-12-1:2022), Phần 12-1: Đo hiệu suất năng lượng của tuabin gió phát điện
- TCVN 10687-12-2:2023 (IEC 61400-12-2:2022), Phần 12-2: Hiệu suất năng lượng của tuabin gió phát điện dựa trên phép đo gió trên vỏ tuabin
- TCVN 10687-12-3:2025 (IEC 61400-12-3:2022), Phần 12-3: Đặc tính công suất - Hiệu chuẩn theo vị trí dựa trên phép đo
- TCVN 10687-12-4:2023 (IEC TR 61400-12-4:2020), Phần 12-4: Hiệu chuẩn vị trí bằng số đối với thử nghiệm hiệu suất năng lượng của tuabin gió
- TCVN 10687-12-5:2025 (IEC 61400-12-5:2022), Phần 12-5: Đặc tính công suất - Đánh giá chướng ngại vật và địa hình
- TCVN 10687-12-6:2025 (IEC 61400-12-6:2022), Phần 12-6: Hàm truyền vỏ tuabin dựa trên phép đo của tuabin gió phát điện
- TCVN 10687-13:2025 (IEC 61400-13:2015+AMD1:2021), Phần 13: Đo tải trọng cơ học
- TCVN 10687-14:2025 (IEC/TS 61400-14:2005), Phần 14: Công bố mức công suất âm thanh biểu kiến và giá trị tính âm sắc
- TCVN 10687-21:2018 (IEC 61400-21:2008), Phần 21: Đo và đánh giá đặc tính chất lượng điện năng của tuabin gió nối lưới
- TCVN 10687-22:2018, Phần 22: Hướng dẫn thử nghiệm và chứng nhận sự phù hợp
- TCVN 10687-23:2025 (IEC 61400-23:2014), Phần 23: Thử nghiệm kết cấu đầy đủ của cánh rôto
- TCVN 10687-24:2025 (IEC 61400-24:2019+AMD1:2024), Phần 24: Bảo vệ chống sét
- TCVN 10687-25-1:2025 (IEC 61400-25-1:2017), Phần 25-1: Truyền thông để giám sát và điều khiển các nhà máy điện gió - Mô tả tổng thể các nguyên lý và mô hình
- TCVN 10687-25-2:2025 (IEC 61400-25-2:2015), Phần 25-2: Truyền thông để giám sát và điều khiển nhà máy điện gió - Mô hình thông tin
- TCVN 10687-25-3:2025 (IEC 61400-25-3:2015), Phần 25-3: Truyền thông để giám sát và điều khiển nhà máy điện gió - Mô hình trao đổi thông tin
- TCVN 10687-25-4:2025 (IEC 61400-25-4:2016), Phần 25-4: Truyền thông để giám sát và điều khiển nhà máy điện gió - Ánh xạ đến hồ sơ truyền thông
- TCVN 10687-25-5:2025 (IEC 61400-25-5:2017), Phần 25-5: Truyền thông để giám sát và điều khiển nhà máy điện gió - Thử nghiệm sự phù hợp
- TCVN 10687-25-6:2025 (IEC 61400-25-6:2016), Phần 25-6: Truyền thông để giám sát và điều khiển nhà máy điện gió - Các lớp nút logic và các lớp dữ liệu để giám sát tình trạng
- TCVN 10687-25-71:2025 (IEC/TS 61400-25-71:2019), Phần 25-71: Truyền thông để giám sát và điều khiển nhà máy điện gió - Ngôn ngữ mô tả cấu hình
- TCVN 10687-26-1:2025 (IEC 61400-26-1:2019), Phần 26-1: Tính khả dụng của hệ thống phát điện gió
- TCVN 10687-27-1:2025 (IEC 61400-27-1:2020), Phần 27-1: Mô hình mô phỏng điện - Mô hình chung
- TCVN 10687-27-2:2025 (IEC 61400-27-2:2020), Phần 27-2: Mô hình mô phỏng điện - Xác nhận mô hình
- TCVN 10687-50:2025 (IEC 61400-50:2022), Phần 50: Đo gió - Tổng quan
- TCVN 10687-50-1:2025 (IEC 61400-50-1:2022), Phần 50-1: Đo gió - Ứng dụng các thiết bị đo lắp trên cột khí tượng, vỏ tuabin và mũ hub
- TCVN 10687-50-2:2025 (IEC 61400-50-2:2022), Phần 50-2: Đo gió - Ứng dụng công nghệ cảm biến từ xa lắp trên mặt đất
- TCVN 10687-50-3:2025 (IEC 61400-50-3:2022), Phần 50-3: Sử dụng lidar lắp trên vỏ tuabin để đo gió
HỆ THỐNG PHÁT ĐIỆN GIÓ - PHẦN 1: YÊU CẦU THIẾT KẾ
Wind energy generation systems - Part 1: Design requirements
1 Phạm vi áp dụng
Tiêu chuẩn này quy định các yêu cầu thiết kế thiết yếu để đảm bảo tính toàn vẹn kết cấu của tuabin gió. Mục đích để cung cấp cấp bảo vệ thích hợp chống lại các hư hại từ tất cả các mối nguy hiểm trong suốt tuổi thọ dự kiến.
Tiêu chuẩn này liên quan đến tất cả các hệ thống con như chức năng điều khiển và chức năng bảo vệ của tuabin gió, hệ thống điện bên trong, hệ thống cơ khí và kết cấu đỡ.
Tiêu chuẩn này áp dụng cho mọi kích thước của tuabin gió. Đối với các tuabin gió cỡ nhỏ, có thể áp dụng IEC 61400-2. TCVN 10687-3-1 (IEC 61400-3-1) đưa ra các yêu cầu bổ sung cho việc lắp đặt tuabin gió ngoài khơi.
Tiêu chuẩn này được sử dụng cùng với các tiêu chuẩn được đề cập trong Điều 2.
2 Tài liệu viện dẫn
Các tài liệu viện dẫn sau đây rất cần thiết cho việc áp dụng tiêu chuẩn này. Đối với các tài liệu viện dẫn ghi năm công bố thì áp dụng phiên bản được nêu. Đối với các tài liệu viện dẫn không ghi năm công bố thì áp dụng phiên bản mới nhất, bao gồm cả các sửa đổi, bổ sung (nếu có).
TCVN 4173 (ISO 281), Ổ lăn - Tải trọng động và tuổi thọ danh định
TCVN 4255 (IEC 60529), Cấp bảo vệ bằng vỏ ngoài (mã IP)
TCVN 6719 (ISO 13850), An toàn máy- Dừng khẩn cấp - Nguyên tắc thiết kế
TCVN 7995 (IEC 60038), Điện áp tiêu chuẩn
TCVN 8029:2009 (ISO 76:2006), Ổ lăn - Tải trọng tĩnh danh định
TCVN 9888-3 (IEC 62305-3), Bảo vệ chống sét. Phần 3: Thiệt hại vật chất đến kết cấu và nguy hiểm tính mạng
TCVN 9888-4 (IEC 62305-4), Bảo vệ chống sét - Phần 4: Hệ thống điện và điện tử bên trong các kết cấu
TCVN 10687-4 (IEC 61400-4), Hệ thống phát điện gió - Phần 4: Yêu cầu thiết kế đối với hộp số tuabin gió
TCVN 10687-24 (IEC 61400-24), Hệ thống phát điện gió - Phần 24: Bảo vệ chống sét
TCVN 10884-1 (IEC 60664-1), Phối hợp cách điện dùng cho thiết bị trong hệ thống điện hạ áp - Phần 1: Nguyên tắc, yêu cầu và thử nghiệm
TCVN 10884-3 (IEC 60664-3), Phối hợp cách điện dùng cho thiết bị trong hệ thống điện hạ áp. Phần 3: Sử dụng lớp phủ, vỏ bọc hoặc khuôn đúc để bảo vệ chống nhiễm bẩn
TCVN 12669-1 (IEC 60204-1), An toàn máy - Thiết bị điện của máy - Phần 1: Yêu cầu chung
TCVN 12669-11 (IEC 60204-11), An toàn máy - Thiết bị điện của máy - Phần 11: Yêu cầu đối với thiết bị điện dùng cho điện áp trên 100 V xoay chiều hoặc 1500 V một chiều và không quá 36 kV
IEC 60034[1] (tất cả các phần), Rotating electrical machines (máy điện quay)
IEC 60071-1, Insulation co-ordination - Part 1: Definitions, principles and rules (Phối hợp cách điện - Phần 1: Định nghĩa, nguyên lý và quy tắc)
IEC 60071-2, Insulation co-ordination - Part 2: Application guidelines (Phối hợp cách điện - Phần 2: Hướng dẫn áp dụng)
IEC 60076[2] (tất cả các phần), Power transformers (Máy biến áp điện lực)
IEC 60721[3] (tất cả các phần), Classification of environmental conditions (Phân loại điều kiện môi trường)
IEC 61000-6-2, Electromagnetic compatibility (EMC) - Part 6-2: Generic standards - Immunity for industrial environments (Tương thích điện từ (EMC) - Phần 6-2: Tiêu chuẩn chung - Miễn nhiễm đối với môi trường công nghiệp)
IEC 61400-3[4], Wind turbines - Part 3: Design requirements for offshore wind turbines (Tuabin gió - Phần 3: Yêu cầu thiết kế đối với tuabin gió ngoài khơi)
IEC 61439 (tất cả các phần)[5], Low-voltage switchgear and controlgear assemblies (Tủ điện đóng cắt và điều khiển hạ áp)
IEC 61800-4, Adjustable speed electrical power drive systems - Part 4: General requirements - Rating specifications for AC power drive systems above 1 000 V AC and not exceeding 35 kV (Hệ thống truyền động điện tốc độ thay đổi - Phần 4: Yêu cầu chung - Quy định kỹ thuật đặc trưng cho hệ thống truyền động xoay chiều từ 1 000 V AC đến 35 kV)
IEC 61800-5-1, Adjustable speed electrical power drive systems - Part 5-1: Safety requirements - Electrical, thermal and energy (Hệ thống truyền động điện tốc độ thay đổi - Phần 5-1: Yêu cầu an toàn - Điện, nhiệt và năng lượng)
IEC 62271 (tất cả các phần)[6], High-voltage switchgear and controlgear (Tủ điện đóng cắt và điều khiển cao áp)
IEC 62477-1:2012, Safety requirements for power electronic converter systems and equipment - Part 1: General (Yêu cầu an toàn cho hệ thống và thiết bị biến đổi điện tử công suất - Phần 1: Yêu cầu chung)
ISO 2394:1998, General principles on reliability for structures (Nguyên lý chung về độ tin cậy đối với kết cấu)
ISO 2533:1975, Standard Atmosphere (Khí quyển tiêu chuẩn)
ISO 4354, Wind actions on structures (Tác động của gió lên kết cấu)
ISO 6336-2, Calculation of load capacity of spur and helical gears - Part 2: Calculation of surface durability (pitting) (Tính toán khả năng tải của các bánh răng trụ tròn và bánh răng xoắn ốc - Phần 2: Tính toán độ bền bề mặt (rỗ mòn))
ISO 6336-3:2006, Calculation of load capacity of spur and helical gears - Part 3: Calculation of tooth bending strength (Tính toán khả năng tải của các bánh răng trụ tròn và bánh răng xoắn ốc - Phần 3: Tính toán cường độ chịu uốn răng)
ISO 12494:2001, Atmospheric icing on structures (Đóng băng khí quyển trên kết cấu)
ISO/TS 16281, Rolling bearings - Methods for calculating the modified reference rating life for universally loaded bearings (Ổ lăn - Phương pháp tính toán tuổi thọ tham chiếu sửa đổi cho ổ trục chịu tải đa hướng)
3 Thuật ngữ, định nghĩa, chữ viết tắt và ký hiệu
Tiêu chuẩn này áp dụng các thuật ngữ và định nghĩa dưới đây.
3.1
Trung bình hàng năm (annual average)
Giá trị trung bình của tập hợp các dữ liệu đo được có quy mô và thời gian đủ để ước lượng giá trị kỳ vọng của một đại lượng.
Chú thích 1: Khoảng thời gian trung bình nên là một số nguyên của năm (ví dụ: 10) để lấy trung bình của các đại lượng thay đổi ví dụ như thay đổi theo mùa.
3.2
Tốc độ gió trung bình hàng năm (annual average wind speed)
Vave
Tốc độ gió được lấy trung bình theo định nghĩa trung bình hàng năm.
3.3
Chu kỳ tự động đóng lại (auto-reclosing cycle)
Sự kiện diễn ra trong một khoảng thời gian, biến đổi từ xấp xỉ 0,01 s đến vài giây, trong thời gian đó bộ ngắt mạch mở ra sau sự cố lưới sẽ tự động đóng lại và đường dây được nối lại vào lưới.
3.4
Chặn (blocking)
<tuabin gió> Sử dụng chốt cơ khí hoặc cơ cấu khác (không phải cơ cấu phanh cơ khí thông thường) mà không thể bị nhả ra một cách không chủ ý để ngăn không cho chuyển động, ví dụ của trục rôto hoặc cơ cấu xoay tuabin.
3.5
Phanh (brake)
<tuabin gió> Thiết bị có thể làm giảm tốc độ rôto hoặc làm dừng quay.
Chú thích 1: Phanh có thể vận hành theo các nguyên lý khí động học, cơ hoặc điện.
3.6
Giá trị đặc trưng (characteristic value)
Giá trị có xác suất quy định đối với việc không đạt được (tức là xác suất vượt quá sẽ nhỏ hơn hoặc bằng một giá trị quy định).
3.7
Địa hình phức tạp (complex terrain)
Địa hình xung quanh đặc trưng bởi những thay đổi đáng kể về địa thế và các chướng ngại địa hình có thể gây ra sai lệch luồng gió.
3.8
Chức năng điều khiển (control functions)
<tuabin gió> Các chức năng của hệ thống điều khiển và bảo vệ dựa trên thông tin về tình trạng của tuabin gió và/hoặc môi trường, để điều chỉnh tuabin duy trì trong giới hạn vận hành.
3.9
Hệ thống điều khiển (control system)
<tuabin gió> Hệ thống thực hiện các chức năng điều khiển tuabin, bao gồm cảm biến, các phần tử logic, cơ cấu chấp hành, mạng lưới truyền thông và nguồn điện.
Chú thích 1: Mục đích của hệ thống điều khiển là kiểm soát vận hành của tuabin bằng các phương tiện chủ động và bị động và giữ các thông số vận hành trong giới hạn đã giả định trong thiết kế kết cấu. Hệ thống điều khiển có thể bao gồm các vòng điều khiển cho vận hành bình thường cũng như các cơ chế báo động và ngắt máy để đảm bảo rằng các giới hạn không bị vượt quá.
3.10
Tốc độ gió đóng mạch (cut-in wind speed)
Vin
Tốc độ gió trung bình 10 min thấp nhất ở độ cao hub mà tại đó tuabin gió bắt đầu phát điện trong trường hợp gió ổn định không có nhiễu động.
3.11
Tốc độ gió ngắt mạch (cut-out wind speed)
Vout
Tốc độ gió trung bình 10 min cao nhất ở độ cao hub mà tại đó tuabin gió được thiết kế để dừng phát điện trong trường hợp gió ổn định không có nhiễu động.
3.12
Giới hạn thiết kế (design limits)
Các giá trị tối đa hoặc tối thiểu được sử dụng trong thiết kế.
3.13
Lỗi không ảnh hưởng (dormant failure)
Lỗi của một thành phần hoặc hệ thống mà không bị phát hiện trong quá trình vận hành bình thường.
3.14
Xuôi gió (downwind)
Hướng của vectơ gió chính.
3.15
Lưới điện (electrical power network)
Hệ thống lắp đặt, trạm điện, các đường dây hoặc cáp riêng để truyền tải và phân bố điện.
Chú thích 1: Ranh giới các phần khác nhau của lưới điện được xác định bởi các tiêu chí phù hợp, ví dụ như địa lý, quyền sở hữu, điện áp, v.v...
3.16
Dừng khẩn cấp (emergency stop)
<tuabin gió> Việc dừng nhanh tuabin gió được kích hoạt do tác động thủ công.
3.17
Điều kiện môi trường (environmental conditions)
Đặc trưng của môi trường (gió, độ cao, nhiệt độ, độ ẩm, v.v...) có thể ảnh hưởng đến vận hành của tuabin gió.
3.18
Điều kiện bên ngoài (external conditions)
<tuabin gió> Các yếu tố ảnh hưởng đến vận hành của tuabin gió, gồm các điều kiện môi trường (nhiệt độ, tuyết, băng, v.v...) và các điều kiện của lưới điện.
3.19
Tốc độ gió cực trị (extreme wind speed)
Giá trị tốc độ gió cao nhất, lấy trung bình trong thời gian t, tính bằng giây, có xác suất vượt quá hàng năm là 1/N ("chu kỳ lặp lại: N năm).
Chú thích 1: Trong tiêu chuẩn này, chu kỳ lặp lại được sử dụng là N = 50 năm và N = 1 năm, và các khoảng thời gian trung bình là t = 3 s và t = 10 min. Trong ngôn ngữ phổ thông, thường sử dụng thuật ngữ ít chính xác hơn là tốc độ gió chịu được. Tuy nhiên, trong tiêu chuẩn này, tuabin được thiết kế bằng cách sử dụng tốc độ gió cực trị đối với các trường hợp tải thiết kế.
3.20
An toàn khi hỏng (fail-safe)
Thuộc tính thiết kế của một bộ phận sao cho việc hỏng hóc không gây ra các sự cố nghiêm trọng.
3.21
Gió giật (gust)
Sự thay đổi tốc độ gió nhất thời.
Chú thích 1: Gió giật có thể được đặc trưng bởi thời gian tăng, độ lớn và khoảng thời gian tồn tại.
3.22
Tuabin gió trục ngang (horizontal axis wind turbine)
Tuabin gió có trục rôto về cơ bản là nằm ngang.
3.23
Hub (hub)
<tuabin gió> Bộ phận để gắn các cánh hoặc cụm cánh vào trục rôto.
3.24
Độ cao hub (hub height)
Zhub
<tuabin gió> Độ cao của tâm diện tích quét (3.57) của rôto tuabin gió so với bề mặt địa hình.
3.25
Không tải (idling)
<tuabin gió> Tình trạng của tuabin gió quay chậm và không phát điện.
3.26
Vùng quán tính (inertial sub-range)
Khoảng tần số của phổ nhiễu động, ở đó sau khi đạt được đẳng hướng, các xoáy sẽ tan rã liên tục với năng lượng tiêu tán không đáng kể.
Chú thích 1: Tại tốc độ gió điển hình 10 m/s, vùng quán tính nằm trong khoảng từ 0,2 Hz đến 1 kHz
3.27
Trạng thái giới hạn (limit State)
Trạng thái của kết cấu và các tải trọng tác động lên nó, mà nếu vượt quá đó, kết cấu không còn đáp ứng được yêu cầu thiết kế.
Chú thích 1: Mục đích của các tính toán thiết kế (tức là yêu cầu thiết kế đối với trạng thái giới hạn) là nhằm giữ xác suất của trạng thái giới hạn đạt được thấp hơn giá trị nhất định được quy định cho loại kết cấu đang xét (xem ISO 2394).
3.28
Tốc độ gió trung bình (mean wind speed)
Trung bình theo thống kê của giá trị tức thời của tốc độ gió được lấy trung bình trong khoảng thời gian cho trước có thể thay đổi từ vài giây đến nhiều năm.
3.29
Tuabin gió cỡ vừa (medium wind turbine)
Tuabin gió có diện tích quét của rôto hoặc, trong trường hợp tuabin có ống dẫn hoặc vỏ bọc, vùng đầu vào và đầu ra của ống dẫn hoặc vỏ bọc lớn hơn 200 m2 và nhỏ hơn hoặc bằng 1 000 m2.
3.30
Vỏ tuabin (nacelle)
Vỏ chứa hệ thống truyền động và các phần tử khác trên đỉnh cột tháp tuabin gió trục ngang.
3.31
Điểm nối lưới (network connection point)
<tuabin gió> Các đầu nối cáp của một tuabin gió riêng lẻ hoặc điểm kết nối đến thanh cái của hệ thống thu gom điện tại chỗ của một trạm điện gió.
3.32
Mất điện lưới (network loss)
Việc mất điện lưới trong khoảng thời gian vượt quá khả năng duy trì vận hành được quy định trong hệ thống điều khiển tuabin.
3.33
Dừng bình thường (normal shutdown)
<tuabin gió> Việc dừng trong đó tất cả các giai đoạn đều nằm trong tầm kiểm soát của hệ thống điều khiển.
3.34
Giới hạn vận hành (operating limits)
Tập hợp các điều kiện được nhà thiết kế tuabin gió xác định, chi phối việc kích hoạt các chức năng điều khiển của tuabin.
3.35
Tuabin gió dừng (parked wind turbine)
Tuabin gió đang ở trạng thái đứng yên hoặc trạng thái không tải, tùy thuộc vào thiết kế của tuabin gió.
3.36
Mức tính năng (performance level)
PL
Mức rời rạc được sử dụng để xác định khả năng của các bộ phận của hệ thống điều khiển liên quan đến an toàn để thực hiện một chức năng an toàn trong những điều kiện dự đoán được.
3.37
Hệ thống thu gom điện (power collection system)
<tuabin gió> Hệ thống điện thu thập công suất từ một hoặc nhiều tuabin gió.
Chú thích 1: Hệ thống này bao gồm tất cả các thiết bị điện được nối giữa các đầu nối tuabin gió và các điểm nối lưới.
3.38
Công suất ra (power output)
Công suất được phân phối bằng một thiết bị theo một dạng cụ thể và cho mục đích cụ thể.
Chú thích 1: Đối với một tuabin gió, công suất ra là công suất điện mà nó phân phối.
3.39
Chức năng bảo vệ lớp chính (primary layer protection function)
Chức năng bảo vệ (3.40) trong một hệ thống bảo vệ có hai hoặc nhiều lớp độc lập, có thể được triển khai như một phần của hệ thống điều khiển tuabin gió và tách biệt với chức năng bảo vệ lớp phụ (3.52) có mục đích tương tự.
3.40
Chức năng bảo vệ (protection functions)
<tuabin gió> Các chức năng của hệ thống điều khiển đảm bảo rằng tuabin gió vẫn trong các giới hạn thiết kế.
3.41
Công suất danh định (rated power)
Giá trị công suất được ấn định, thường bởi nhà sản xuất, cho một điều kiện hoạt động cụ thể của một thành phần, thiết bị hoặc máy móc.
Chú thích 1: Đối với một tuabin gió, đó là công suất điện liên tục tối đa mà một tuabin gió được thiết kế để đạt được dưới các điều kiện vận hành và môi trường bình thường.
Chú thích 2: Công suất danh định còn được gọi là công suất định mức.
3.42
Tốc độ gió danh định (rated wind speed)
Vr
Tốc độ gió tối thiểu tại độ cao hub mà công suất danh định của tuabin gió đạt được trong trường hợp gió ổn định không có nhiễu động.
3.43
Phân bố Rayleigh (Rayleigh distribution)
PR
Hàm phân bố xác suất.
Chú thích 1: xem 3.68
3.44
Tốc độ gió tham chiếu (reference wind speed)
Vref
Thông số cơ bản cho tốc độ gió được sử dụng để xác định các cấp tuabin gió.
Chú thích 1: Các thông số khí hậu liên quan đến thiết kế khác được lấy từ tốc độ gió tham chiếu và các thông số cơ bản của loại tuabin gió khác (xem Điều 6).
Chú thích 2: Một tuabin được thiết kế cho một loại tuabin gió với tốc độ gió tham chiếu Vref được thiết kế để chịu được các điều kiện khí hậu mà tốc độ gió trung bình 10 min cực trị với chu kỳ lặp lại 50 năm tại độ cao hub tuabin thấp hơn hoặc bằng Vref.
3.45
Hệ số an toàn từng phần của độ bền (resistance partial safety factor)
YM
Hệ số tính đến độ lệch/độ không đảm bảo có thể xảy ra về các tham số độ bền của vật liệu và mô hình độ bền, bao gồm cả sự thiên lệch trong mô hình độ bền.
3.46
Vận tốc gió lấy mẫu luân phiên (rotationally sampled wind velocity)
Vận tốc gió trải qua tại một điểm cố định của rôto tuabin gió đang quay.
Chú thích 1: Phổ nhiễu động của vận tốc gió được lấy mẫu khi quay có sự khác biệt rõ rệt so với phổ nhiễu động bình thường. Khi quay, cánh quạt cắt qua dòng gió thay đổi theo không gian. Do đó, phổ nhiễu động kết quả sẽ chứa một lượng lớn biến động tại tần số quay và các bội số của nó.
3.47
Tốc độ rôto (rotor speed)
<tuabin gió> Tốc độ quay của rôto tuabin gió quanh trục của nó.
3.48
Chiều dài gồ ghề (roughness length)
z0
Chiều cao ngoại suy tại đó tốc độ gió trung bình trở thành bằng không nếu giả định rằng biên dạng gió theo phương thẳng đứng có sự biến đổi theo hàm logarit với chiều cao.
3.49
Tuổi thọ an toàn (safe-life)
Thuộc tính thiết kế cho một hệ thống quan trọng, mà rất khó sửa chữa hoặc có thể gây thiệt hại nghiêm trọng đến tính mạng và tài sản.
Chú thích 1: Các hệ thống như vậy được thiết kế để hoạt động trong toàn bộ thời gian sử dụng của hệ thống mà không cần sửa chữa hoặc kiểm tra.
3.50
Mức độ tích hợp an toàn (safety integrity level)
SIL
Mức độ rời rạc (một trong bốn mức độ có thể có), tương ứng với một dải giá trị tích hợp an toàn cho các chức năng điều khiển, trong đó mức độ 4 và 1 thuộc các mức độ cao nhất và thấp nhất, tương ứng.
Chú thích 1: Các chỉ tiêu lỗi mục tiêu cho bốn mức độ tích hợp an toàn được định nghĩa trong Bảng 2 và 3 của IEC 61508-1:2010. Những mức độ này có thể được sử dụng để xác định yêu cầu về tích hợp an toàn của các chức năng an toàn được phân bổ cho các hệ thống. SIL không phải là thuộc tính của một hệ thống, phân hệ, yếu tố hoặc thành phần. Như được định nghĩa trong IEC 61508-1, cụm từ "hệ thống liên quan đến an toàn SIL n" (trong đó n là 1, 2, 3 hoặc 4) có nghĩa là hệ thống có khả năng hỗ trợ các chức năng an toàn với mức độ tích hợp an toàn lên đến n.
3.51
Bảo trì định kỳ (scheduled maintenance)
Bảo trì phòng ngừa được thực hiện theo lịch trình đã được thiết lập.
3.52
Chức năng bảo vệ lớp phụ (secondary layer protection function)
Chức năng bảo vệ chuyên biệt hoạt động bằng cách sử dụng một lớp giám sát và logic tách biệt với chức năng bảo vệ lớp chính (3.39) có mục đích tương tự.
3.53
Dữ liệu tại hiện trường (site data)
Dữ liệu về môi trường, địa chấn, đất và lưới điện cho vị trí của tuabin gió.
Chú thích 1: Dữ liệu gió phải là số liệu thống kê của các mẫu 10 min trừ khi có yêu cầu khác.
3.54
Đứng yên (standstill)
Trạng thái đứng yên của một tuabin gió.
3.55
Kết cấu đỡ (support structure)
<tuabin gió> Phần của tuabin gió bao gồm tháp và móng.
3.56
Tốc độ gió chịu được (survival wind speed)
Tốc độ gió tối đa mà một công trình được thiết kế để chịu đựng.
Chú thích 1: Đây là cách diễn đạt phổ biến không được sử dụng trong tiêu chuẩn này. Thay vào đó, các điều kiện thiết kế đề cập đến tốc độ gió cực trị (3.19)
3.57
Diện tích quét (swept area)
Diện tích chiếu vuông góc với hướng gió mà một rôto sẽ mô tả trong suốt một vòng quay hoàn chỉnh.
3.58
Cường độ nhiễu động (turbulence intensity)
/
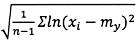
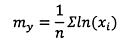
Tỷ lệ của độ lệch chuẩn tốc độ gió So với tốc độ gió trung bình, được xác định từ cùng một tập hợp các mẫu dữ liệu đo tốc độ gió, và được lấy trong một khoảng thời gian cụ thể.
3.59
Tham số tỷ lệ nhiễu động (turbulence scale parameter)
Ʌ1
Chiều dài sóng tại đó mật độ phổ công suất dọc không phân chiều bằng 0,05.
Chú thích 1: Chiều dài sóng được định nghĩa là Ʌ1=Vhub/f0. trong đó f0S1(f0)/ s12 =0,05.
3.60
Độ lệch chuẩn nhiễu động (turbulence standard deviation)
Độ lệch chuẩn của thành phần dọc theo của tốc độ gió rối tại độ cao hub.
3.61
Trạng thái giới hạn cực hạn (ultimate limit state)
Các trạng thái giới hạn thường tương ứng với khả năng chịu tải tối đa.
3.62
Bảo trì đột xuất (unscheduled maintenance)
Bảo trì được thực hiện, không theo lịch trình đã thiết lập, mà sau khi nhận được chỉ dẫn về trạng thái của một hạng mục.
3.63
Ngược gió (upwind)
Theo hướng ngược lại với vectơ gió chính.
3.64
Tuabin gió trục đứng (vertical axis wind turbine)
Tuabin gió có trục rôto theo phương thẳng đứng.
3.65
Phân bố Weibull (Weibull distribution)
Hàm phân bố xác suất.
Chú thích 1: xem 3.68.
3.66
Trạm điện gió (wind power station)
Trang trại gió (wind farm)
Một nhóm hoặc nhiều nhóm tuabin gió.
3.67
Biên dạng gió (wind profile)
Định luật trượt gió (wind shear law)
Biểu thức toán học xác định sự thay đổi tốc độ gió giả định theo độ cao trên mặt đất.
Chú thích 1: Các biên dạng phổ biến được sử dụng là biên dạng định luật logarit (Công thức (1)) hoặc biên dạng hàm số mũ (Công thức (2)).


Trong đó
V(z) là tốc độ gió tại độ cao z;
z là độ cao;
zr là độ cao tham chiếu trên mặt đất được sử dụng để điều chỉnh biên dạng;
z0 là chiều dài gồ ghề;
α là hệ số trượt gió (hoặc số mũ)
3.68
Phân bố tốc độ gió (wind speed distribution)
Hàm phân bố xác suất, được sử dụng để mô tả sự phân bố của các tốc độ gió qua một khoảng thời gian dài.
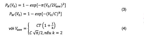
Chú thích 1: Các hàm phân bố thường được sử dụng là hàm Rayleigh, PR(V0), và hàm Weibull, PW(V0).

Trong đó
P(V0) là hàm xác suất tích lũy, tức là xác suất V < V0;
V0 là tốc độ gió (giới hạn);
Vave là giá trị trung bình của V;
C là tham số tỷ lệ của hàm Weibull;
k là tham số hình dạng của hàm Weibull;
Г là hàm gamma
Cả hai tham số c và k đều có thể được đánh giá từ dữ liệu thực tế. Hàm Rayleigh giống hệt với hàm Weibull nếu chọn k = 2 và C và Vave thỏa mãn điều kiện đã nêu trong Công thức (4) cho k = 2.
Các hàm phân bố thể hiện xác suất tích lũy rằng tốc độ gió thấp hơn V0. Do đó, (P(V1 - P(V2)) nếu được đánh giá giữa các giới hạn V1 và V2 đã quy định, sẽ chỉ ra tỷ lệ thời gian mà tốc độ gió nằm trong các giới hạn này. Việc lấy đạo hàm của các hàm phân bố sẽ cho ra các hàm mật độ xác suất tương ứng.
3.69
Trượt gió (wind shear)
Sự biến đổi của tốc độ gió qua một mặt phẳng vuông góc với hướng gió.
3.70
Tốc độ gió (wind speed)
V
Tốc độ chuyển động của một lượng không khí nhỏ xung quanh một điểm xác định trong không gian.
Chú thích 1: Đây cũng là cường độ của vận tốc gió cục bộ (vectơ) (xem 3.73).
3.71
Hệ thống máy phát tuabin gió (wind turbine generator system)
<tuabin gió> Hệ thống chuyển đổi động năng của gió thành điện năng.
3.72
Vị trí tuabin gió (wind turbine site)
Vị trí của một tuabin gió đơn lẻ, có thể là riêng lẻ hoặc trong một trang trại gió.
3.73
Vận tốc gió (wind velocity)
Vectơ chỉ hướng chuyển động của một lượng không khí nhỏ xung quanh điểm xem xét, với cường độ của vectơ bằng tốc độ chuyển động của 'gói' không khí này (tức là tốc độ gió cục bộ).
Chú thích 1: Vectơ tại bất kỳ điểm nào do đó là đạo hàm theo thời gian của vectơ vị trí của 'gói' không khí di chuyển qua điểm đó
3.74
Hệ thống điện tuabin gió (wind turbine electrical system)
Thiết bị điện bên trong tuabin gió, bao gồm cả các đầu nối của tuabin gió, bao gồm cả thiết bị để tiếp đất, nối tiếp và truyền thông.
Chú thích 1: Các dây dẫn cục bộ của tuabin gió, được thiết kế để cung cấp mạng lưới tiếp đất đặc biệt cho tuabin gió, cũng được bao gồm
3.75
Đầu nối của tuabin gió (wind turbine terminals)
Điểm hoặc các điểm được nhà cung cấp tuabin gió xác định, tại đó tuabin gió có thể được kết nối với hệ thống thu gom điện năng.
Chú thích 1: Điều này bao gồm kết nối cho mục đích truyền năng lượng và truyền thông.
3.76
Xoay tuabin (yawing)
Sự quay của trục rôto quanh một trục thẳng đứng.
Chú thích 1: Chỉ dành cho tuabin gió trục ngang.
3.77
Độ lệch hướng xoay (yaw misalignment)
Độ lệch ngang của trục rôto tuabin gió So với hướng gió.
4 Ký hiệu và chữ viết tắt
4.1 Ký hiệu và đơn vị
| C | tham số tỷ lệ của hàm phân bố Weibull | [m/s] |
| CCT | tham số hiệu chỉnh kết cấu theo nhiễu động |
|
| CT | hệ số áp lực hướng trục | [-] |
| Coh | hàm liên kết | [-] |
| D | đường kính rôto | [m] |
| DTV,i | độ lệch chuẩn của biến đổi địa hình ∆z trong khu vực 30° thứ i | [m] |
| DTV,360 | độ lệch chuẩn của biến đổi địa hình ∆z của khu vực vòng tròn 360° | [m] |
| f | tần số | [s-1] |
| fd | giá trị sức bền vật liệu thiết kế | [-] |
| fk | giá trị sức bền vật liệu đặc trưng | [-] |
| Fd | giá trị tải trọng thiết kế | [-] |
| Fk | giá trị tải trọng đặc trưng | [-] |
| Iref | giá trị cường độ nhiễu động mong muốn tại độ cao hub ở tốc độ gió trung bình lấy trong 10 min là 15 m/s | [-] |
| Ieff | cường độ nhiễu động hiệu dụng | [-] |
| k | tham số hình dạng của hàm phân bổ Weibull | [-] |
| k1 | hệ số điều chỉnh thực nghiệm cho TSI360, k1= 5/3 | [-] |
| k2 | hệ số điều chỉnh thực nghiệm cho TVI360, k2 = 3 | [-] |
| K | hàm Bessel sửa đổi | [-] |
| L | tham số tỷ lệ tích phân nhiễu động đẳng hướng | [m] |
| Le | tham số tỷ lệ liên kết | [m] |
| Lk | tham số tỷ lệ tích phân thành phần vận tốc | [m] |
| m | bậc đường cong Wöhler | H |
| ni | số chu kỳ mỏi tính được trong bin tải trọng thứ i | [-] |
| N(.) | số chu kỳ hỏng là hàm của ứng suất (hoặc sức căng) được chỉ thị theo đối số (tức là đường cong S-N đặc trưng) | [-] |
| N | tần suất xuất hiện của tình huống cực trị | [năm] |
| P | xác suất chịu được | [N/m2] |
| P(V0) | phân bố xác suất, tức là xác suất V < vo | [-] |
| PRV0 | phân bố xác suất Rayleigh, tức là xác suất để có V<Vo | [-] |
| PS | xác suất tồn tại | [-] |
| Pw(V0) | phân bổ xác suất Weibull | [-] |
| r | độ lớn hình chiếu vectơ riêng biệt | [m] |
| R | bán kính của đoạn cung tròn | [m] |
| R0 | hằng số khí | [J/(kg·K)] |
| S | hàm tải trọng | [-] |
| Si | mức ứng suất (hoặc sức căng) liên quan đến số lượng chu kỳ đếm được trong bin thứ i | [-] |
| S1(f) | hàm mật độ phổ năng lượng cho thành phần vận tốc gió theo phương thẳng đứng | [m2/s] |
| SF,min | giá trị tối thiểu của hệ số an toàn cho sự gãy bánh răng | [-] |
| SH,min | giá trị tối thiểu của hệ số an toàn cho sự mài mòn | [-] |
| Sk(f) | phổ thành phần vận tốc một phía cho thành phần vận tốc gió k: |
|
| k=1 | thành phần dọc |
|
| k=2 | thành phần ngang |
|
| k=3 | thành phần thẳng đứng | [m2/s] |
| T | thời gian gió giật đặc trưng | [S] |
| t | thời gian | [S] |
| V | tốc độ gió | [m/s] |
| V(z) | tốc độ gió tại độ cao z | [m/s] |
| Vave | tốc độ gió trung bình hàng năm tại độ cao hub | [m/s] |
| Vcg | biên độ gió giật kết hợp cực trị trên toàn bộ diện tích quét của rôto | [m/s] |
| VeN | tốc độ gió cực trị dự kiến (lấy trung bình trong 3 s), có tần suất xuất hiện là N năm trong 1 năm và 50 năm tương ứng | [m/s] |
| Vgust | biên độ gió giật lớn nhất có chu kỳ lặp lại dự kiến là 50 năm | [m/s] |
| Vhub | tốc độ gió tại độ cao hub | [m/s] |
| Vin | tốc độ gió đóng mạch | [m/s] |
| V0 | tốc độ gió giới hạn trong mô hình phân bố tốc độ gió | [m/s] |
| V50 | tốc độ gió cực trị (trung bình trong 10 min) với khoảng chu kỳ lặp lại 50 năm | [m/s] |
| V100 | tốc độ gió cực trị (trung bình trong 10 min) với khoảng chu kỳ lặp lại 100 năm | [m/s] |
| Vout | Tốc độ gió ngắt mạch | [m/s] |
| Vr | Tốc độ gió danh định | [m/s] |
| Vref | Tốc độ gió tham chiếu | [m/s] |
| Vref,T | Tốc độ gió tham chiếu cho điều kiện nhiệt đới | [m/s] |
| V(y,z,t) | Thành phần vận tốc gió theo phương ngang để mô tả trượt gió tạm thời | [m/s] |
| V(z,t) | Thành phần vận tốc gió theo phương ngang để mô tả biến động tạm thời cho điều kiện gió cực trị và trượt gió | [m/s]
|
| z,y,z | Hệ tọa độ dùng để mô tả trường gió; theo gió (dọc), ngang gió (lateral) và chiều cao tương ứng | [m] |
| NNT | Hệ số tuổi thọ cho ứng suất tiếp xúc trong điều kiện thử nghiệm tham chiếu | [-] |
| Zhub | Độ cao hub của tuabin gió | [m] |
| Zr | Chiều cao tham chiếu trên mặt đất | [m] |
| Z0 | Chiều dài gồ ghề cho biên dạng gió logarit [m] | [m] |
| α | Hệ số quy luật trượt gió | [-] |
| b | Tham số cho mô hình thay đổi hướng cực trị | [-] |
| δ | Hệ số biến thiên | [-] |
| Γ | Hàm gamma | [-] |
| yf | Hệ số an toàn từng phần cho tải trọng | [-] |
| yM | Hệ số an toàn từng phần cho độ bền | [-] |
| yN | Hệ số an toàn từng phần cho hệ quả của lỗi | [-] |
| θ(t) | Thay đổi hướng gió tạm thời | [độ] |
| θcg | góc lệch tối đa so với hướng tốc độ gió trung bình dưới điều kiện gió giật | [độ] |
| θeN | thay đổi hướng cực trị với chu kỳ lặp lại N năm | [độ] |
| θi | Độ dốc của mặt phẳng phù hợp cho góc 30° thứ i | [độ] |
| θ360 | Độ dốc của mặt phẳng 360° phù hợp | [độ] |
| θ1 year,n | Nhiệt độ môi trường tối thiểu dự kiến trong trung bình hàng giờ | [K] |
| θmin,ope | Nhiệt độ môi trường tối thiểu cho phép để vận hành tuabin gió | [K] |
| Ʌ1 | Tham số tỷ lệ nhiễu động được định nghĩa là bước sóng mà tại đó mật độ phổ công suất theo phương thẳng đứng không phân đoanh, f S1(f)/s12, bằng 0,05 | [m] |
| p | Khối lượng riêng của không khí | [kg/m3] |
|
| Độ lệch chuẩn của tốc độ gió ước lượng | [m/s] |
|
| Độ lệch chuẩn môi trường đại diện | [m/s] |
|
| Độ lệch chuẩn tốc độ gió ước lượng hiệu quả | [m/s] |
|
| Độ lệch chuẩn tốc độ gió trong wake[7] | [m/s] |
|
| Độ lệch chuẩn tốc độ gió tối đa trong trung tâm wake | [m/s] |
|
| Độ lệch chuẩn của độ lệch chuẩn tốc độ gió ước lượng | [m/s] |
|
| Độ lệch chuẩn nhiễu động môi trường cực trị | [m/s] |
| s1 | Độ lệch chuẩn vận tốc gió theo phương ngang ở độ cao hub | [m/s] |
| s2 | Độ lệch chuẩn vận tốc gió theo phương ngang ở độ cao hub | [m/s] |
| s3 | Độ lệch chuẩn vận tốc gió theo phương lên ở độ cao hub | [m/s] |
| Փ | Hàm xác suất chuẩn hóa | [-] |
| E[] | Giá trị kỳ vọng của tham số trong dấu ngoặc | [-] |
| Var[] | Phương sai của tham số trong dấu ngoặc | [-] |
4.2 Chữ viết tắt
| A | abnormal (for partial safety factors) | Bất thường (đối với hệ số an toàn từng phần) |
| AC | alternating current | Dòng điện xoay chiều |
| DC | direct current | Dòng điện một chiều |
| CC | cold climate | Khí hậu lạnh |
| COV | coefficient of variation | Hệ số biến thiên |
| DLC | design load case | Trường hợp tải trọng thiết kế |
| DWM | dynamic wake meandering | Mô hình động học wake |
| ECD | extreme coherent gust with direction change | Gió giật đồng nhất cực trị có thay đổi hướng |
| EDC | extreme wind direction change | Thay đổi hướng gió cực trị |
| EOG | extreme operating gust | Giỏ giật vận hành cực trị |
| ETM | extreme turbulence model | Mô hình nhiễu động cực trị |
| EWM | extreme wind speed model | Mô hình tốc độ gió cực trị |
| EWS | extreme wind shear | Trượt gió cực trị |
| F | fatigue | Độ mỏi |
| FMEA | failure mode and effect analysis | Phân tích chế độ lỗi và hiệu ứng |
| HV | high voltage | Điện áp cao |
| IAC | internal arc classification | Phân loại hồ quang bên trong |
| IC | icing climate | Khí hậu băng |
| LTC | low temperature climate | Khí hậu nhiệt độ thấp |
| LVRT | low voltage ride through | Chức năng duy trì vận hành ở chế độ điện áp thấp |
| N | normal and extreme (for partial safety factors) | Bình thường và cực trị (đối với hệ số an toàn từng phần) |
| NWP | normal wind profile model | Mô hình biên dạng gió bình thường |
| NTM | normal turbulence model | Mô hình nhiễu động bình thường |
| S | special IEC wind turbine class | Cấp tuabin gió IEC đặc biệt |
| T | transport and erection (for partial safety factors) | Vận chuyển và lắp đặt (đối với hệ số an toàn từng phần) |
| TSI | terrain slope index | Chỉ số độ dốc địa hình |
| TVI | terrain variation index | Chỉ số biến động địa hình |
| u | ultimate | Cực hạn |
| ULS | ultimate limit state | Trạng thái giới hạn cực hạn |
5 Các yếu tố chính
5.1 Quy định chung
Các yêu cầu công nghệ và kỹ thuật để đảm bảo an toàn cho các hệ thống kết cấu, cơ khí, điện và điều khiển của tuabin gió được trình bày trong các điều sau đây. Các yêu cầu này áp dụng cho thiết kế, sản xuất, lắp đặt, và hướng dẫn vận hành và bảo trì tuabin gió, cũng như quy trình quản lý chất lượng kèm theo. Ngoài ra, các quy trình an toàn được thiết lập trong các hoạt động khác nhau được sử dụng trong việc lắp đặt, vận hành và bảo trì tuabin gió cũng được xem xét.
5.2 Phương pháp thiết kế
Tiêu chuẩn này yêu cầu sử dụng mô hình động lực học kết cấu để dự đoán tải trọng thiết kế. Mô hình này phải được sử dụng để xác định các tải trọng trong phạm vi các tốc độ gió, sử dụng các điều kiện nhiễu động và các điều kiện gió khác được xác định trong Điều 6 và các tình huống thiết kế được xác định trong Điều 7. Tất cả các tổ hợp liên quan của các điều kiện bên ngoài và tình huống thiết kế phải được phân tích. Một bộ tối thiểu của các tổ hợp như vậy đã được xác định là các trường hợp tải trọng trong tiêu chuẩn này.
Dữ liệu từ các thử nghiệm quy mô toàn bộ của tuabin gió phải được sử dụng để tăng cường sự tin tưởng vào các giá trị thiết kế dự đoán và để kiểm tra xác nhận các mô hình động học kết cấu và các tình huống thiết kế như được quy định trong 7.2.
Việc kiểm tra xác nhận sự đủ của thiết kế phải được thực hiện bằng tính toán và/hoặc thử nghiệm. Nếu kết quả thử nghiệm được sử dụng trong việc kiểm tra xác nhận này, các điều kiện bên ngoài trong quá trình thử nghiệm phải phản ánh các giá trị đặc trưng và các tình huống thiết kế được xác định trong tiêu chuẩn này. Việc lựa chọn các điều kiện thử nghiệm, bao gồm cả tải trọng thử nghiệm, phải xem xét các hệ số an toàn liên quan.
5.3 Cấp an toàn
Một tuabin gió phải được thiết kế theo một trong hai cấp an toàn sau đây:
• Cấp an toàn bình thường áp dụng khi sự cố gây ra nguy cơ thương tích cá nhân hoặc hệ quả xã hội hoặc kinh tế khác;
• Cấp an toàn đặc biệt áp dụng khi các yêu cầu an toàn được xác định bởi các quy định hiện hành và/hoặc các yêu cầu an toàn được thỏa thuận giữa nhà sản xuất và khách hàng.
Các hệ số an toàn từng phần cho tuabin gió cấp an toàn bình thường được quy định trong 7.6.
Các hệ số an toàn từng phần cho tuabin gió cấp an toàn đặc biệt phải được thỏa thuận giữa nhà sản , xuất và khách hàng. Một tuabin gió được thiết kế theo cấp an toàn đặc biệt được phân loại là tuabin gió loại S, như được xác định trong 6.2.
5.4 Đảm bảo chất lượng
Đảm bảo chất lượng phải là một phần không thể thiếu của việc thiết kế, mua sắm, sản xuất, lắp đặt, vận hành và bảo trì các tuabin gió và tất cả các thành phần của chúng.
Nên đảm bảo rằng hệ thống chất lượng tuân thủ các yêu cầu của TCVN ISO 9001.
5.5 Ghi nhãn tuabin gió
Các thông tin tối thiểu dưới đây phải được thể hiện một cách bền và rõ ràng trên tấm nhãn của tuabin gió:
• nhà chế tạo và quốc gia chế tạo tuabin gió;
• model và số seri;
• năm sản xuất;
• công suất danh định;
• tốc độ gió tham chiếu, Vref;
• dải tốc độ gió làm việc tại độ cao hub, Vin - Vout;
• dải nhiệt độ môi trường làm việc;
• cấp tuabin gió (xem Bảng 1);
• điện áp danh định ở các đầu nối tuabin gió;
• tần số tại các đầu nối tuabin gió hoặc dải tần số trong trường hợp biến động danh nghĩa lớn hơn 2 %.
6 Điều kiện bên ngoài
6.1 Quy định chung
Các điều kiện bên ngoài được mô tả trong Điều 6 cần được xem xét trong quá trình thiết kế tuabin gió.
Tuabin gió chịu tác động từ các điều kiện môi trường và điện, có thể ảnh hưởng đến tải trọng, độ bền và vận hành của chúng. Để đảm bảo mức độ an toàn và độ tin cậy phù hợp, các tham số về môi trường, điện, và đất cần được tính đến trong thiết kế và phải được nêu rõ ràng trong tài liệu thiết kế.
Các điều kiện môi trường được chia nhỏ thành điều kiện gió và các điều kiện môi trường khác. Các điều kiện điện liên quan đến điều kiện lưới điện. Các đặc tính của đất liên quan đến thiết kế móng của tuabin gió.
Các điều kiện bên ngoài được chia thành các loại bình thường và loại cực trị. Các điều kiện bên ngoài bình thường nói chung liên quan đến các điều kiện tải trọng thường xuyên của kết cấu, trong khi các điều kiện cực trị bên ngoài thể hiện các điều kiện thiết kế bên ngoài hiếm gặp. Các trường hợp tải trọng thiết kế phải bao gồm các tổ hợp tổ hợp có khả năng gây nguy hiểm giữa các điều kiện bên ngoài này với chế độ vận hành của tuabin gió và các tình huống thiết kế khác.
Điều kiện gió là điều kiện bên ngoài chính ảnh hưởng đến tính toàn vẹn kết cấu. Các điều kiện môi trường khác cũng ảnh hưởng đến các tính năng thiết kế như chức năng của hệ thống điều khiển, độ bền, và ăn mòn.
Các điều kiện bình thường và cực trị cần được xem xét trong thiết kế theo các cấp tuabin gió được quy định trong các điều từ 6.2 đến 6.4.
6.2 Phân cấp tuabin gió
Các điều kiện bên ngoài cần được xem xét cho thiết kế phụ thuộc vào vị trí dự kiến hoặc loại vị trí lắp đặt tuabin gió. Các cấp tuabin gió được xác định theo tốc độ gió, bao gồm cấp tuabin gió I, II và III, và các tham số nhiễu động, bao gồm các loại nhiễu động A+, A, B và C. Ý định của các cấp này là để bao phủ hầu hết các ứng dụng. Các giá trị tốc độ gió và tham số nhiễu động được đưa ra nhằm đại diện cho nhiều địa điểm khác nhau và không đưa ra một sự đại diện chính xác cho bất kỳ địa điểm cụ thể nào, xem 11.3. Việc phân cấp tuabin gió cung cấp một phạm vi độ bền rõ ràng được định nghĩa theo tốc độ gió và các tham số nhiễu động. Để cho phép sử dụng các cấp tuabin gió cho các khu vực có thể trải qua gió cực trị rất cao trong một khí hậu gió ôn hòa, một cấp tốc độ gió tham chiếu T được bao gồm. Các điều kiện như vậy có thể có ở các khu vực chịu ảnh hưởng của bão nhiệt đới. Tốc độ gió tham chiếu này có thể được sử dụng với tốc độ gió trung bình trong cấp I đến III và các loại nhiễu động từ A+ đến C[8].
Bảng 1 - Quy định các tham số cơ bản, xác định các cấp tuabin gió
| Cấp tuabin gió | 1 | II | III | S | |
| Vave | (m/s) | 10 | 5,5 | 7,5 | Các giá trị được quy định trong thiết kế |
| Vref | (m/s) | 50 | 42,5 | 47,5 | |
| Nhiệt đới (m/s) Vref,T | 57 | 57 | 57 | ||
| A+ | Iref (-) | 0,18 | |||
| A | Iref (—) | 0,16 | |||
| B | Iref (—) | 0,14 | |||
| C | Iref (—) | 0,12 | |||
| Các giá trị tham số áp dụng tại độ cao hub, trong đó: Vave là tốc độ gió trung bình hàng năm; Vref là tốc độ gió tham chiếu trung bình trong 10 min; Vref,T là tốc độ gió tham chiếu trung bình trong 10 min, áp dụng cho các khu vực chịu ảnh hưởng của bão nhiệt đới; A+ cấp có đặc tính nhiễu động rất cao; A cấp có đặc tính nhiễu động cao; B cấp có đặc tính nhiễu động trung bình; C cấp có đặc tính nhiễu động thấp; và Iref là giá trị tham chiếu của cường độ nhiễu động (xem 6.3.2.3). | |||||
Cấp T giả định tất cả các tham số của mô hình gió là giống nhau và cho phép kết hợp Vref,T với tất cả các loại nhiễu động. Tuy nhiên, nó không bao phủ toàn bộ các khu vực dễ bị ảnh hưởng bởi bão nhiệt đới. Việc đánh giá vị trí dựa trên Điều 11 là cần thiết, ít nhất là để đánh giá rằng V50 thấp hơn Vref của cấp T (Vref,T).
Một cấp tuabin gió tùy chọn, cấp CC, có thể được sử dụng cho các khu vực có khí hậu lạnh, được xác định trong Điều 14. cấp tuabin gió tùy chọn này quy định các yêu cầu và tham số bổ sung so với các yêu cầu trong Điều 6.
Một cấp tuabin gió khác, cấp S, được định nghĩa để sử dụng khi cần các điều kiện gió đặc biệt hoặc các điều kiện bên ngoài khác, hoặc một cấp an toàn đặc biệt (xem 5.3), theo yêu cầu của nhà thiết kế và/hoặc khách hàng. Các giá trị thiết kế cho cấp tuabin gió S sẽ do nhà thiết kế lựa chọn và quy định trong tài liệu thiết kế. Đối với các thiết kế đặc biệt như vậy, các giá trị được chọn cho các điều kiện thiết kế phải phản ánh một môi trường ít nhất là khắc nghiệt như môi trường dự kiến sử dụng cho tuabin gió.
Các tuabin gió được thiết kế cho các điều kiện cụ thể hoặc rất khắc nghiệt có thể yêu cầu thiết kế cấp tuabin gió S.
Ngoài các tham số cơ bản được hiển thị trong Bảng 1, một số tham số quan trọng khác cần thiết để hoàn toàn xác định các điều kiện bên ngoài sẽ được sử dụng trong thiết kế tuabin gió. Trong trường hợp các cấp tuabin gió từ IA+ đến IIIC, sau này gọi là các cấp tuabin gió tiêu chuẩn, các giá trị của các tham số bổ sung này được quy định trong 6.3, 6.4 và 6.5.
Thời gian thiết kế cho các cấp tuabin gió từ I đến III phải ít nhất là 20 năm.
Đối với cấp tuabin gió S, nhà sản xuất phải mô tả các mô hình được sử dụng và các giá trị của các thông số thiết kế trong tài liệu thiết kế. Khi các mô hình trong Điều 6 được áp dụng, việc nêu giá trị của các tham số là đủ. Tài liệu thiết kế của cấp tuabin gió S phải chứa các thông tin được liệt kê trong Phụ lục A. Hướng dẫn về các trường hợp tải trọng thiết kế cho cấp tuabin gió S được cung cấp trong Phụ lục B.
Các chữ viết tắt được thêm vào trong dấu ngoặc đơn trong tiêu đề các điều từ 6.3.2.2 đến 6.3.3.7 được sử dụng để mô tả các điều kiện gió cho các trường hợp tải trọng thiết kế được xác định trong 7.4.
6.3 Điều kiện gió
6.3.1 Quy định chung
Một tuabin gió phải được thiết kế để chịu đựng an toàn các điều kiện gió được xác định bởi cấp tuabin gió đã chọn.
Các giá trị thiết kế của các điều kiện gió phải được ghi rõ trong tài liệu thiết kế.
Chế độ gió cho các cân nhắc về tải trọng và an toàn được chia thành các điều kiện gió bình thường, những điều kiện sẽ thường xuyên xảy ra trong quá trình vận hành bình thường của tuabin gió, và các điều kiện gió cực trị được định nghĩa là có chu kỳ lặp lại 1 năm hoặc 50 năm.
Các điều kiện gió bao gồm một luồng gió trung bình không đổi, trong nhiều trường hợp, kết hợp với một biên dạng gió giật xác định thay đổi hoặc với nhiễu động. Trong tất cả các trường hợp, cần xem xét ảnh hưởng của độ nghiêng của luồng gió trung bình so với mặt phẳng nằm ngang là 8°. Góc nghiêng của luồng gió này được giả định là không đổi theo độ cao.
Thuật ngữ "nhiễu động" biểu thị sự biến đổi ngẫu nhiên trong vận tốc gió từ các giá trị trung bình trong 10 min.
Mô hình nhiễu động, khi được sử dụng, phải bao gồm các tác động của tốc độ gió thay đổi, độ trượt và hướng, và cho phép lấy mẫu xoay qua các độ trượt thay đổi. Ba thành phần vectơ của vận tốc gió xoáy được định nghĩa như sau:
• hướng theo chiều dọc - dọc theo hướng của vận tốc gió trung bình,
• hướng theo chiều ngang - nằm ngang và vuông góc với hướng dọc, và
• hướng lên - vuông góc với cả hai hướng dọc và ngang, tức là nghiêng so với phương thẳng đứng bởi góc nghiêng trung bình của luồng gió.
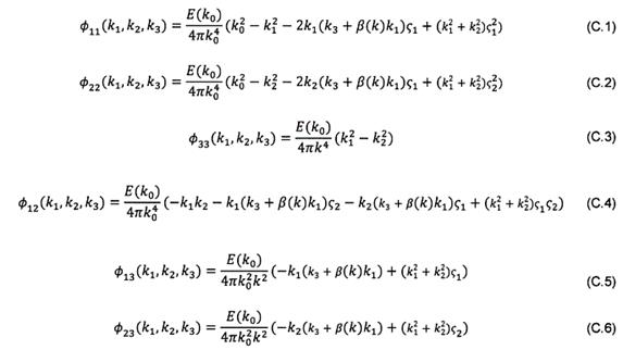
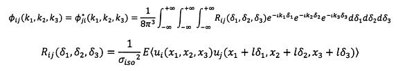
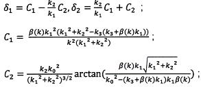
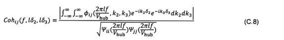
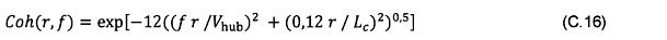
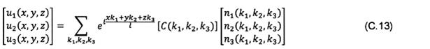
Đối với các cấp tuabin gió tiêu chuẩn, trường vận tốc gió ngẫu nhiên cho các mô hình nhiễu động phải thỏa mãn mô hình Kaimal cùng với mô hình tương quan được mô tả trong Phụ lục C. Mô hình này đáp ứng các yêu cầu sau.
a) Độ lệch chuẩn của nhiễu động, s1, với các giá trị được cung cấp trong các điều dưới đây, phải được giả định là không thay đổi theo độ cao. Các thành phần vuông góc với hướng gió trung bình phải có các độ lệch chuẩn tối thiểu sau [9]:
- Thành phần hướng theo chiều ngang: s2 ≥ 0,7 s1;
- Thành phần hướng lên: s3 ≥ 0,5s1;
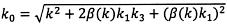
b) Tham số tỷ lệ nhiễu động dọc theo hướng gió, Ʌ1, tại độ cao hub z phải được cho bởi:

Mật độ phổ công suất của ba thành phần trực giao, S1(f), S2(f), và S3(f) phải gần như tiệm cận tới các dạng sau đây khi tần số trong phạm vi quán tính tăng lên:

c) phải sử dụng một mô hình liên kết được công nhận, được định nghĩa là độ lớn của phổ liên kết chia cho phổ tự động đối với các thành phần vận tốc theo chiều dọc tại các điểm không gian riêng biệt trong mặt phẳng vuông góc với hướng theo chiều dọc
Như một sự thay thế, mô hình Mann tương ứng có thể được áp dụng như được mô tả trong Phụ lục C. Các mô hình nhiễu động khác cũng có thể được áp dụng; tuy nhiên, đối với các cấp tuabin gió tiêu chuẩn (I đến III), mô hình nhiễu động phải đáp ứng các yêu cầu từ a) đến c) và cũng phải dẫn đến tải mỏi cao hơn hoặc bằng tải mỏi được tạo ra bằng cách sử dụng các mô hình trong Phụ lục C. Đối với Cấp S, một mô hình nhiễu động đã được xác minh có thể được áp dụng.
6.3.2 Điều kiện gió bình thường
6.3.2.1 Phân bố tốc độ gió
Phân bố tốc độ gió là quan trọng cho thiết kế tuabin gió vì nó xác định tần suất xuất hiện của các điều kiện tải trọng riêng lẻ cho các tình huống thiết kế bình thường. Giá trị trung bình của tốc độ gió trong một khoảng thời gian trung bình 10 min sẽ được giả định tuân theo phân bố Rayleigh ở độ cao hub được cho bởi:
![]()
trong các cấp tuabin gió tiêu chuẩn, Vave phải được chọn từ Bảng 1.
6.3.2.2 Mô hình biên dạng gió bình thường (NWP)
Biên dạng gió, Vz, biểu thị tốc độ gió trung bình theo chiều cao, z, so với mặt đất. Trong trường hợp của các cấp tuabin gió tiêu chuẩn, biên dạng tốc độ gió bình thường sẽ được cho bởi định luật lũy thừa:
![]()
α là số mũ luật lũy thừa, được giả định là 0,2.
Biên dạng gió giả định được sử dụng để xác định độ trượt gió dọc theo diện tích quét của rôto.
6.3.2.3 Mô hình nhiễu động bình thường (NTM)
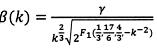
Đối với mô hình nhiễu động bình thường, giá trị đại diện của độ lệch chuẩn nhiễu động, s1, được cho bởi phân vị 90 % cho tốc độ gió ở độ cao hub đã cho. Giá trị này cho các cấp tuabin gió tiêu chuẩn được cho bởi
![]()
Các giá trị cho độ lệch chuẩn của nhiễu động s1 và cường độ nhiễu động s1/Vhub được cho trên Hình 1.

Hình 1a - Độ lệch chuẩn nhiễu động

Hình 1b - Cường độ nhiễu động
Hình 1 - Độ lệch chuẩn nhiễu động và cường độ nhiễu động cho mô hình nhiễu động bình thường (NTM)
Các giá trị của Iref được đưa ra trong Bảng 1.
Thay vì Công thức (10), một phần bố Weibull được giả định cho s1 với các tham số tỷ lệ và hình dạng của Weibull:
![]()
trong đó:

6.3.3 Điều kiện gió cực trị
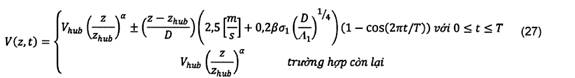
6.3.3.1 Quy định chung
Các điều kiện gió cực trị bao gồm các sự kiện trượt gió, cũng như tốc độ gió cực trị do bão và sự thay đổi nhanh chóng về tốc độ và hướng gió.
6.3.3.2 Mô hình tốc độ gió cực trị (EWM)
Mô hình EWM có thể là mô hình gió ổn định hoặc gió nhiễu động. Các mô hình gió phải dựa trên tốc độ gió tham chiếu, Vref, và một độ lệch chuẩn nhiễu động cố định, s1. Nếu loại tuabin gió được thiết kế cho tốc độ gió tham chiếu cấp T, Vref phải được thay thế bằng V(ref,T) trong mô hình tốc độ gió cực trị trong khi giữ các tham số khác không thay đổi.
Đối với mô hình gió cực trị ổn định, tốc độ gió cực trị, Ve50, với chu kỳ lặp lại 50 năm, và tốc độ gió cực trị, Fei, với chu kỳ lặp lại 1 năm, phải được tính toán theo hàm của chiều cao, z, bằng các công thức sau:
![]()
và
Trong mô hình gió cực trị ổn định, cần tính đến các sai lệch ngắn hạn so với hướng gió trung bình bằng cách giả định sự lệch hướng không đổi trong khoảng ±15°.
Đối với mô hình tốc độ gió cực trị nhiễu động, tốc độ gió trung bình 10 min theo hàm của chiều cao z với chu kỳ lặp lại 50 năm và 1 năm, tương ứng, phải được đưa ra bằng các công thức:
Độ lệch chuẩn nhiễu động theo chiều dài của tốc độ gió[10] là
![]()
6.3.3.3 Gió giật vận hành cực trị (EOG)
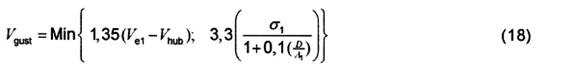
Độ lớn của gió giật ở độ cao hub Vgust [11] được đưa ra cho các cấp tuabin gió tiêu chuẩn theo mối quan hệ sau:

trong đó
s1 được cho trong Công thức (10);
Ʌ1 là tham số tỷ lệ nhiễu động, theo Công thức (5);
D là đường kính rôto.
Tốc độ gió được xác định theo Công thức (19):

trong đó
V(z) được cho trong Công thức (9)
T = 10,5 s.
Ví dụ về gió giật vận hành cực trị (Vhub = 25 m/s, cấp IA, D= 42 m) được cho trên Hình 2.

Hình 2 - Ví dụ về gió giật vận hành cực trị
6.3.3.4 Mô hình nhiễu động cực trị (ETM)
Mô hình nhiễu động cực trị sử dụng mô hình biên dạng gió bình thường trong 6.3.2.2 và độ lệch chuẩn của thành phần gió dọc theo phương được cho bởi:
![]()
6.3.3.5 Thay đổi hướng gió cực trị (EDC)
Độ lớn thay đổi hướng gió cực trị, θe, được tính bằng công thức sau:

trong đó
s1 được cho bởi Công thức (10) cho mô hình nhiễu động bình thường (NTM);
θe bị giới hạn trong khoảng ±180°;
Ʌ1 là tham số tỷ lệ nhiễu động, theo Công thức (5);
D là đường kính rôto.
Sự thay đổi hướng gió quá độ cực trị, θ(t), được cho bởi:

trong đó, T = 6 s là thời gian của đổi hướng gió cực trị. Dấu phải được lựa chọn để có tải quá độ trường hợp xấu nhất. Khi kết thúc đổi hướng quá độ, hướng được giả định là giữ không đổi. Tốc độ gió tuân theo mô hình biên dạng gió bình thường trong 6.3.2.2.
Ví dụ, độ lớn của sự thay đổi hướng gió cực trị với loại nhiễu động A, D = 42 m, zhub = 30 m được thể hiện trên Hình 3 cho các giá trị khác nhau của Vhub. Trạng thái quá độ tương ứng cho Vhub= 25 m/s được thể hiện trên Hình 4.

6.3.3.6 Gió giật kết hợp cực trị có thay đổi hướng (ECD)
Gió giật kết hợp cực trị có sự thay đổi hướng có biên độ là
![]()
Tốc độ gió được xác định bằng

Trong đó T = 10 s là thời gian tăng và tốc độ gió V(z) được cho bởi mô hình biên dạng gió bình thường trong 6.3.2.2. Sự gia tăng tốc độ gió trong gió giật kết hợp cực trị được minh họa trên Hình 5 với Vhub = 25 m/s.

Hình 5 - Ví dụ về biên độ gió giật kết hợp cực trị cho ECD
Sự gia tăng tốc độ gió được giả định xảy ra đồng thời với sự thay đổi hướng θ từ 0° lên và bao gồm θcg trong đó độ lớn θcg được xác định bởi:

Sự thay đổi hướng đồng thời sau đó được cho bởi

Trong đó T = 10 s là thời gian tăng.
Độ lớn của sự thay đổi hướng, θcg, và sự thay đổi hướng θ(t) được trình bày trên Hình 6 và Hình 7, lần lượt là hàm của Vhub và hàm của thời gian đối với Vhub = 25 m/s

6.3.3.7 Sự trượt gió cực trị (EWS)
Sự trượt gió cực trị được tính đến bằng cách sử dụng các công thức quá độ tốc độ gió sau đây.
Trượt gió theo chiều thẳng đứng trạng thái quá độ (dương và âm):

Trượt gió theo chiều ngang trạng thái quá độ:

trong đó đối với cả trượt gió thẳng và ngang:
α = 0,2; b = 6,4; T = 12 s;
s1 được đưa ra bởi Công thức (10) cho mô hình trượt gió bình thường (NTM);
Ʌ1 là tham số tỷ lệ nhiễu động, theo Công thức (5);
D là đường kính rôto.
Dấu của quá độ trượt gió ngang được chọn sao cho tình trạng tải trọng tạm thời xấu nhất xảy ra. Hai trạng thái quá độ trượt gió cực trị không được áp dụng đồng thời.
Ví dụ, sự trượt gió thẳng đứng cực trị (nhiễu động cấp A, zhub = 30 m, Vhub = 25 m/s, D = 42 m) được minh họa trên Hình 8, cho thấy các biểu đồ gió trước khi sự kiện cực trị xảy ra (t = 0 s) và tại độ trượt gió cực đại (t = 6 s). Hình 9 biểu diễn các tốc độ gió ở điểm cao nhất và điểm thấp nhất của rôto, để minh họa cho thời điểm phát triển trượt gió (các giả định giống như trên Hình 8).

6.4 Các điều kiện môi trường khác
6.4.1 Quy định chung
Các điều kiện môi trường (khí hậu) khác ngoài gió có thể ảnh hưởng đến tính toàn vẹn và an toàn của các tuabin gió, thông qua các tác động nhiệt, quang hóa học, ăn mòn, cơ học, điện hay các tác động vật lý khác.
Ngoài ra, sự kết hợp của các điều kiện khí hậu có thể làm tăng cường tác động của chúng.
Các điều kiện môi trường khác sau đây, ít nhất, cần được xem xét và các tác động kết quả phải được nêu rõ trong tài liệu thiết kế:
• nhiệt độ;
• độ ẩm;
• khối lượng riêng của không khí;
• bức xạ mặt trời;
• mưa, mưa đá, tuyết và băng;
• các hoạt chất hóa học;
• các hoạt chất cơ học;
• độ mặn;
• sét;
• địa chấn.
Môi trường ngoài khơi cần được xem xét thêm, theo IEC 61400-3.
Cấp khí hậu lạnh tùy chọn được xác định trong Điều 14.
Các điều kiện khí hậu được xem xét phải được định nghĩa dưới dạng các giá trị đại diện hoặc giới hạn của các điều kiện biến động. Xác suất xảy ra đồng thời của các điều kiện khí hậu phải được xem xét khi chọn các giá trị thiết kế.
Sự biến động của các điều kiện khí hậu trong giới hạn bình thường tương ứng với chu kỳ lặp lại 1 năm không được làm ảnh hưởng đến vận hành bình thường của tuabin gió.
Trừ khi có sự tương quan, các điều kiện môi trường cực trị khác theo 6.4.3 được kết hợp với các điều kiện gió bình thường theo 6.3.2. Một mô tả tổng quát về cách kết hợp các tình huống thiết kế với các điều kiện bên ngoài được trình bày trong 7.4.
6.4.2 Các điều kiện môi trường bình thường khác
Các giá trị điều kiện môi trường khác bình thường cần được xem xét bao gồm:
• dải nhiệt độ môi trường từ -10 °C đến +40 °C;
• độ ẩm tương đối lên đến 95 %;
• thành phần khí quyển tương đương với khí quyển không ô nhiễm trong đất liền (xem TCVN 7921-2-1 (IEC 60721-2-1));
• cường độ bức xạ mặt trời 1 000 w/m2;
• khối lượng riêng của không khí 1,225 kg/m3.
Khi các điều kiện bên ngoài bổ sung được nhà thiết kế quy định, các tham số và giá trị của chúng phải được nêu rõ trong tài liệu thiết kế và phải phù hợp với các yêu cầu của TCVN 7921-2-1 (IEC 60721-2-1).
6.4.3 Các điều kiện môi trường cực trị khác
6.4.3.1 Quy định chung
Các điều kiện môi trường cực trị cần được xem xét cho thiết kế tuabin gió bao gồm nhiệt độ, sét, băng và động đất (xem 11.6 để đánh giá các điều kiện động đất).
6.4.3.2 Nhiệt độ
Dải nhiệt độ cực trị cho các cấp tuabin gió tiêu chuẩn phải ít nhất là từ -20 °C đến +50 °C.
6.4.3.3 Sét
Các quy định về bảo vệ chống sét yêu cầu trong 10.7 có thể được coi là đầy đủ cho thiết kế tuabin gió thuộc các cấp tiêu chuẩn.
6.4.3.4 Băng
Không có yêu cầu tối thiểu về băng cho các cấp tuabin gió tiêu chuẩn. Đối với khí hậu lạnh, các yêu cầu về băng được nêu trong Điều 14 và Phụ lục L.
6.4.3.5 Động đất
Không có yêu cầu tối thiểu về động đất cho các cấp tuabin gió tiêu chuẩn. Để xem xét các điều kiện và tác động của động đất, xem 11.6 và Phụ lục D.
6.5 Các điều kiện lưới điện
Các điều kiện bình thường tại các đầu nối của tuabin gió cần được xem xét như sau:
Các điều kiện lưới điện bình thường áp dụng khi các tham số sau nằm trong các dải đã nêu dưới đây.
• Điện áp - giá trị danh nghĩa (theo TCVN 7995 (IEC 60038)) ± 10 %.
• Tần số - giá trị danh nghĩa ± 2 %.
• Mất cân bằng điện áp - tỷ lệ thành phần điện áp thứ tự nghịch không vượt quá 2 %.
• Chu kỳ tự động đóng lại - thời gian chu kỳ tự động đóng lại từ 0,1 s đến 5 s cho lần đóng lại đầu tiên và từ 10 s đến 90 s cho lần đóng lại thứ hai cần được xem xét.
Mất điện - các sự cố mất điện lưới được giả định xảy ra 20 lần mỗi năm. Sự cố mất điện đến 6 h[12] được coi là điều kiện bình thường. Sự cố mất điện lên đến 1 tuần được coi là điều kiện cực trị.
7 Thiết kế kết cấu
7.1 Quy định chung
Tính toàn vẹn của các thành phần chịu tải trọng của kết cấu tuabin gió cần được kiểm tra xác nhận và mức độ an toàn chấp nhận được phải được đảm bảo. Độ bền cuối cùng và độ bền mỏi của các thành phần kết cấu phải được kiểm tra xác nhận bằng tính toán, thử nghiệm hoặc cả hai để chứng minh tính toàn vẹn kết cấu của tuabin gió với mức độ an toàn phù hợp.
Phân tích kết cấu phải dựa trên ISO 2394.
Các tính toán phải được thực hiện bằng các phương pháp phù hợp. Các mô tả về các phương pháp tính toán phải được cung cấp trong tài liệu thiết kế. Các mô tả phải bao gồm bằng chứng về tính hợp lệ của các phương pháp tính toán hoặc tham khảo các nghiên cứu kiểm tra xác nhận phù hợp. Mức tải trọng trong bất kỳ thử nghiệm nào để kiểm tra xác nhận độ bền phải tương ứng với các hệ số an toàn phù hợp với các tải trọng đặc trưng theo 7.6.
Các cộng hưởng của tháp, rôto và hệ truyền động phải được xác định trong dải tần số lên đến và bao gồm 2 lần tần số kích thích của việc đi qua cánh. Các cộng hưởng có thể xảy ra phải được điều tra ở mức độ biến động 30 % của biến động thiết kế loại NTM C cho DLC 1.2, xem 7.4.2. Nếu phát hiện tải trọng cộng hưởng cao ở mức biến động thấp, các biện pháp phải được thực hiện để tránh các cộng hưởng hoặc chúng phải được đưa vào các tải trọng thiết kế.
7.2 Phương pháp thiết kế
Cần kiểm tra xác nhận rằng các trạng thái giới hạn không bị vượt quá cho thiết kế tuabin gió. Thử nghiệm mô hình và thử nghiệm nguyên mẫu cũng có thể được sử dụng thay cho tính toán để kiểm tra xác nhận thiết kế kết cấu, như được quy định trong ISO 2394.
Các tính toán thiết kế phải dựa trên các phương pháp đã được kiểm tra xác nhận và các tiêu chuẩn công nhận. Phương pháp thiết kế giả định rằng mô hình mô phỏng khí động học được sử dụng cho các tính toán thiết kế cụ thể sau đó được kiểm tra xác nhận bằng các phép đo. Các phép đo như vậy phải được thực hiện trên một tuabin gió có sự tương đồng động học và kết cấu với, nhưng có thể khác chi tiết (ví dụ như thiết kế tháp thay thế) với tuabin được thiết kế.
Các yêu cầu về đo tải trọng có thể có trong IEC 61400-13.
7.3 Tải trọng
7.3.1 Quy định chung
Các tải trọng được mô tả trong các điều từ 7.3.2 đến 7.3.5 phải được xem xét cho các tính toán thiết kế.
7.3.2 Tải trọng trọng lực và quán tính
Tải trọng trọng lực và quán tính là các tải trọng tĩnh và động xuất phát từ trọng lực, rung, quay và hoạt động địa chấn.
Các dung sai cho phép về độ thẳng đứng của tháp cần được nêu rõ trong tài liệu thiết kế và bao gồm cả các tác động ngắn hạn và dài hạn do lún đất vĩnh viễn. Tác động của độ thẳng đứng của tháp đối với tải trọng trọng lực phải được xem xét riêng biệt trong phân tích kết cấu của tháp và móng.
7.3.3 Tải trọng khí động học
Tải trọng khí động học là các tải trọng tĩnh và động gây ra bởi dòng không khí và sự tương tác của nó với các bộ phận đứng yên và chuyển động của tuabin gió.
Dòng không khí phụ thuộc vào tốc độ gió trung bình và độ biến động trên mặt phẳng rôto, tốc độ quay của rôto, khối lượng riêng của không khí, và hình dạng khí động học của các thành phần tuabin gió cùng các tác động tương tác của chúng, bao gồm cả các hiệu ứng khí động học.
Không cần thiết trong các tính toán tải trọng khí động học phải xem xét các dung sai hình học về độ thẳng đứng của tháp nhỏ hơn hoặc bằng 3°.
7.3.4 Tải trọng điều khiển
Tải trọng điều khiển phát sinh từ việc vận hành và điều khiển tuabin gió. Chúng bao gồm nhiều loại khác nhau, bao gồm điều khiển mô-men từ máy phát hoặc biến tần hoặc cả hai, tải trọng của bộ điều chỉnh chuyển động nghiêng và quay, và tải trọng phanh cơ khí. Trong mỗi trường hợp, việc tính toán đáp ứng và tải trọng cần xem xét phạm vi lực điều khiển có sẵn, bao gồm cả ma sát. Đặc biệt, đối với phanh cơ khí, phạm vi ma sát, lực lò xo hoặc áp suất ảnh hưởng bởi nhiệt độ và sự lão hóa cần được tính đến khi kiểm tra đáp ứng và tải trọng trong bất kỳ sự kiện phanh nào.
7.3.5 Các tải trọng khác
Các tải trọng khác như tải trọng wake, tải trọng va đập, tải trọng từ băng, tải trọng tháp do ví dụ từ rung gây ra bởi xoáy có thể xảy ra và cần được xem xét nếu phù hợp. Đối với các tải trọng khác liên quan đến khí hậu lạnh, xem Điều 14 và Phụ lục L.
7.4 Các tình huống thiết kế và trường hợp tải trọng
7.4.1 Quy định chung
Điều 7.4 mô tả các trường hợp tải trọng thiết kế cho một tuabin gió và quy định số lượng tối thiểu cần xem xét.
Đối với mục đích thiết kế, tuổi thọ của một tuabin gió có thể được đại diện bởi một tập hợp các tình huống thiết kế bao phủ các điều kiện quan trọng nhất mà tuabin gió có thể trải qua.
Các trường hợp tải trọng cần được xác định từ sự kết hợp của các chế độ vận hành hoặc các tình huống thiết kế khác, ví dụ như điều kiện lắp ráp, xây dựng hoặc bảo trì cụ thể, với các điều kiện bên ngoài. Tất cả các trường hợp tải trọng liên quan với xác suất xảy ra hợp lý cần được xem xét, cùng với đáp ứng của hệ thống điều khiển. Các trường hợp tải trọng thiết kế được sử dụng để kiểm tra xác nhận tính toàn vẹn kết cấu của một tuabin gió cần được tính toán bằng cách kết hợp các yếu tố sau:
• các tình huống thiết kế bình thường và các điều kiện bên ngoài bình thường hoặc cực trị phù hợp;
• các tình huống thiết kế sự cố và các điều kiện bên ngoài phù hợp;
• các tình huống thiết kế vận chuyển, lắp đặt và bảo trì và các điều kiện bên ngoài phù hợp.
Nếu có mối tương quan giữa điều kiện bên ngoài cực trị và tình huống sự cố, một sự kết hợp thực tế của hai yếu tố này cần được xem xét như một trường hợp tải trọng thiết kế.
Trong mỗi tình huống thiết kế, nhiều trường hợp tải trọng thiết kế cần được xem xét. Ít nhất, các trường hợp tải trọng thiết kế trong Bảng 2 cần được xem xét. Trong bảng đó, các trường hợp tải trọng thiết kế được quy định cho mỗi tình huống thiết kế bằng cách mô tả các điều kiện gió, điện và các điều kiện bên ngoài khác.
Nếu bộ điều khiển tuabin gió có thể, trong các trường hợp tải trọng thiết kế với mô hình gió định lượng, khiến tuabin gió dừng vận hành trước khi đạt đến góc quay tối đa và/hoặc tốc độ gió tối đa, thì phải chứng minh rằng tuabin có thể dừng vận hành một cách đáng tin cậy dưới các điều kiện giỏ bất ổn với sự thay đổi điều kiện gió định lượng tương tự.
Các trường hợp tải trọng thiết kế khác được xem xét nếu liên quan đến tính toàn vẹn kết cấu của thiết kế tuabin gió cụ thể.
Đối với mỗi trường hợp tải trọng thiết kế, loại phân tích phù hợp được chỉ ra bởi "F" và "U" trong Bảng 2. "F" đề cập đến phân tích tải trọng mỏi, để được sử dụng trong việc đánh giá độ bền mỏi. "U" đề cập đến phân tích tải trọng cực đại, với tham chiếu đến độ bền vật liệu, độ võng đầu cánh và ổn định kết cấu.
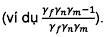
Các trường hợp tải trọng thiết kế được chỉ ra bằng "U" được phân loại là bình thường (N) hoặc bất thường (A). Các trường hợp tải trọng thiết kế bình thường dự kiến xảy ra thường xuyên. Tuabin ở trạng thái bình thường hoặc bị sự cố hoặc bất thường nhỏ. Các tình huống thiết kế bất thường ít có khả năng xảy ra hơn. Chúng thường tương ứng với các tình huống thiết kế có sự cố nghiêm trọng dẫn đến kích hoạt các chức năng bảo vệ hệ thống. Loại tình huống thiết kế, N hoặc A, xác định hệ số an toàn từng phần γf cần áp dụng cho tải trọng cực đại. Các hệ số này được đưa ra trong Bảng 3.
Bảng 2 — Trường hợp tải trọng thiết kế (DLC)
| Tình huống thiết kế | DLC | Điều kiện gió | Điều kiện khác | Loại phân tích | Hệ số an toàn từng phần |
| 1) Sản xuất điện | 1.1 | NTMs Vin < Vhub < Vout | Đối với các sự kiện cực trị | u | N |
| 1.2 | NTM Vin < Vhub < Vout |
| F | * | |
| 1.3 | ETM Vin < Vhub < Vout |
| U | N | |
| 1.4 | ECDsVhub = Vr-2m/s,Vr, vr + 2m/s |
| U | N | |
| 1.5 | EWS Vin < Vhub < Vout |
| U | N | |
| 2) Sản xuất điện cộng với sự cố | 2.1 | NTM Vin < Vhub < Vout | Sự cố hệ thống điều khiển bình thường hoặc mất điện lưới hoặc sự cố chức năng điều khiển lớp chính (xem 7.4.3) | U | N |
| 2.2 | NTM Vin < Vhub < Vout | Sự cố hệ thống điều khiển bất thường hoặc sự có liên quan đến chức năng bảo vệ lớp phụ (xem 7.4.3) | U | A | |
| 2.3 | EOG Vhub = Vr ± 2m/s và Vout | Sự cố điện bên ngoài hoặc bên trong, bao gồm mất điện lưới | U | A | |
| 2.4 | NTM Vin < Vhub < Vout | Sự cố hệ thống điều khiển, sự cố điện hoặc mất điện lưới | F | * | |
|
| 2.5 | NWP Vin < Vhub < Vout | Duy trì vận hành khi ở chế độ điện áp thấp | U | N |
| 3) Khởi động | 3.1 | NWP Vin < Vhub < Vout |
| F | * |
| 3.2 | EOG Vhub = Vin ,Vr ± 2m/s và Vout |
| U | N | |
| 3.3 | EDC Vhub = Vin,Vr ± 2m/s và Vout |
| U | N | |
| 4) Dừng bình thường | 4.1 | NWP Vin < Vhub < Vout |
| F |
|
| 4.2 | EOG Vhub =Vr ± 2m/s và Vout |
| U | N | |
| 5) Dừng khẩn cấp | 5.1 | NTM Vhub =Vr ± 2m/s và Vout |
| U | N |
| 6) Dừng (đứng yên hoặc không tải) | 6.1 | EWM chu kỳ lặp lại 50 năm |
| U | N |
| 6.2 | EWM chu kỳ lặp lại 50 năm | Mất kết nối lưới điện | U | A | |
| 6.3 | EWM chu kỳ lặp lại 1 năm | Độ lệch hướng xoay tuabin cực trị | U | N | |
| 6.4 | NTM Vhub < 0,7 Vref |
| F | * | |
| 7) Điều kiện dừng vì sự cố | 7.1 | EWM chu kỳ lặp lại 1 năm |
| U | A |
| 8) Vận chuyển, lắp ráp, bảo trì và sửa chữa | 8.1 | NTM Vmaint được nêu rõ bởi nhà sản xuất |
| U | N |
| 8.2 | EWM chu kỳ lặp lại 1 năm |
| U | A | |
| CHÚ DẪN: | |||||
| DLC | Trường hợp tải trọng thiết kế | ||||
| ECD | Gió giật kết hợp cực trị với thay đổi hướng (xem 6.3.3.6) | ||||
| EDC | Thay đổi hướng cực trị (xem 6.3.3.5) | ||||
| EOG | Gió giật vận hành cực trị (xem 6.3.3.3) | ||||
| EWM | Mô hình tốc độ gió cực trị (xem 6.3.3.2) | ||||
| EWS | Trượt gió cực trị (xem 6.3.3.7) | ||||
| NTM | Mô hình nhiễu động thông thường (xem 6.3.2.3) | ||||
| ETM | Mô hình nhiễu động cực trị (xem 6.3.3.4) | ||||
| NWP | Mô hình biên dạng gió thông thường (xem 6.3.2.2) | ||||
| Vr ± 2 m/s | Phải phân tích độ nhạy với tất cả các tốc độ gió trong phạm vi này. | ||||
| F | Mỏi (xem 7.6.3) | ||||
| U | Độ bền cực hạn (xem 7.6.2) | ||||
| N | Thông thường | ||||
| A | Bất thường | ||||
| * | An toàn từng phần cho mỏi (xem 7.6.3) | ||||
Khi một dải gió được chỉ ra trong Bảng 2, các tốc độ gió dẫn đến điều kiện bất lợi nhất cho thiết kế tuabin gió cần được xem xét. Dải tốc độ gió có thể được đại diện bởi một tập hợp các giá trị rời rạc, trong trường hợp này, độ phân giải phải đủ để đảm bảo độ chính xác của việc tính toán[13]. Trong việc xác định các trường hợp tải trọng thiết kế, tham khảo được thực hiện đối với các điều kiện gió được mô tả trong Điều 6.
Trong các quy định kỹ thuật tiếp theo của các trường hợp tải trọng thiết kế (DLCs) từ 7.4.2 đến 7.4.9, một số DLC cho phép các công thức thay thế. Khi có các lựa chọn thay thế, bên thiết kế theo tiêu chuẩn này quyết định lựa chọn nào được sử dụng xuyên suốt quá trình phân tích DLC.
7.4.2 Sản xuất điện (DLC 1.1 đến 1.5)
Trong tình huống thiết kế này, một tuabin gió đang vận hành và kết nối với tải điện, cấu hình tuabin gió giả định phải tính đến sự mất cân bằng rôto. Khối lượng và sự mất cân bằng khí động học tối đa (ví dụ: độ lệch góc nghiêng cánh và độ lệch xoắn) được quy định cho sản xuất rôto phải được sử dụng trong các phép tính thiết kế.
Ngoài ra, các sai lệch từ các tình huống vận hành lý thuyết tối ưu như độ lệch hướng xoay và sai số theo dõi hệ thống điều khiển cần được tính đến trong các phân tích tải trọng vận hành.
Các trường hợp tải trọng thiết kế (DLCs) 1.1 và 1.2 thể hiện các yêu cầu đối với tải trọng phát sinh từ sự nhiễu động khí quyển xảy ra trong quá trình vận hành bình thường của một tuabin gió trong suốt tuổi thọ của nó (NTM). DLC 1.3 thể hiện các yêu cầu đối với tải trọng cực đại phát sinh từ các điều kiện nhiễu động cực trị. DLC 1.4 và 1.5 quy định các trường hợp quá độ đã được chọn là các sự kiện có khả năng quan trọng trong suốt tuổi thọ của một tuabin gió.
Phân tích thống kê dữ liệu mô phỏng DLC 1.1, xem 7.6.2.2 và Phụ lục G, phải bao gồm ít nhất phép tính các giá trị cực trị của mômen gốc cánh và mômen lệch khỏi mặt phẳng và độ võng đầu cánh. Nếu các giá trị thiết kế cực trị của mômen gốc cánh được suy ra từ DLC 1.1 bị vượt quá bởi các giá trị thiết kế cực trị được suy ra từ DLC 1.3, phân tích thêm DLC 1.1 có thể bị bỏ qua.
Nếu các giá trị thiết kế cực trị của mômen gốc cánh được suy ra từ DLC 1.1 không bị vượt quá bởi các giá trị thiết kế cực trị được suy ra từ DLC 1.3, hệ số c trong Công thức (20) cho mô hình nhiễu động cực trị sử dụng trong DLC 1.3 có thể được tăng lên cho đến khi các giá trị thiết kế cực trị của mômen gốc cánh được tính toán trong DLC 1.3 bằng hoặc vượt quá các giá trị cực trị liên quan. Các giá trị đặc trưng của các tải trọng liên quan đến các thành phần khác của tuabin có thể được xác định từ phân tích này dựa trên DLC 1.3 với giá trị c tăng lên. Là một phương án thay thế cho phân tích này, các giá trị đặc trưng thích hợp của tất cả các thành phần tải trọng liên quan đến từng thành phần cụ thể của tuabin có thể được xác định trực tiếp hoặc ngoại suy từ mô phỏng.
7.4.3 Sản xuất điện cộng với sự cố hoặc mất kết nối lưới điện (DLC 2.1 đến 2.5)
7.4.3.1 Quy định chung
Tình huống thiết kế này liên quan đến sự kiện tạm thời do sự cố hoặc mất kết nối lưới điện trong khi tuabin đang sản xuất điện. Bất kỳ sự cố nào trong hệ thống điều khiển, hoặc sự cố bên trong hệ thống điện, có ảnh hưởng đáng kể đến tải trọng của tuabin gió (như ngắn mạch máy phát) đều phải được xem xét. Tình huống thiết kế này cũng được coi là liên quan đến phân tích mỏi, xem DLC 2.4.
Một phần tích chế độ lỗi và tác động (FMEA) hoặc phân tích sự cố tương đương phải được thực hiện để xác định các sự kiện sự cố có liên quan đến tải trọng của tuabin gió.
Vị trí góc phương vị của rôto tại thời điểm xảy ra sự cố có thể có ảnh hưởng đáng kể đến mức tải trọng. Vị trí góc phương vị vào thời điểm xảy ra sự cố nên được coi là ngẫu nhiên.
Các sự cố trong hệ thống điều khiển phải được xem xét trong DLC 2.1 và DLC 2.2 như đã mô tả trong 7.4.3.2. Đối với các kiến trúc mà sự an toàn của tuabin được đảm bảo bởi hai tập hợp chức năng độc lập (thông qua các chức năng điều khiển lớp chính và các chức năng bảo vệ lớp phụ), phương pháp được mô tả trong 7.4.3.3 có thể được sử dụng. Xem Điều 8 để hướng dẫn về việc xác định các chế độ lỗi, đánh giá chu kỳ lặp lại của chế độ lỗi, loại trừ sự cố và các biện pháp tránh lỗi do nguyên nhân chung.
7.4.3.2 Sự cố hệ thống điều khiển (DLC 2.1 và DLC 2.2) - Phương pháp định lượng
Đối với DLC 2.1, các sự kiện sau đây phải được xem xét là sự kiện bình thường:
a) Các sự có liên quan đến hệ thống điều khiển có chu kỳ lặp lại chế độ lỗi dự kiến là 50 năm hoặc ngắn hơn;
b) Các sự có liên quan đến hệ thống điều khiển mà chu kỳ lặp lại chế độ lỗi dự kiến không thể xác định được;
c) Mất kết nối lưới điện.
Đối với các sự kiện có chu kỳ lặp lại chế độ lỗi dự kiến từ 10 đến 50 năm, hệ số tải trọng từng phần được áp dụng được xác định dựa trên chu kỳ lặp lại chế độ lỗi như được nêu trong Bảng 3.
Đối với DLC 2.2, các sự cố hệ thống điều khiển hoặc sự cố hệ thống điện và cơ khí bên trong có chu kỳ lặp lại chế độ lỗi dự kiến lớn hơn 50 năm phải được xem xét là bất thường.
Các sự kiện sự cố có chu kỳ lặp lại vượt quá 2 000 năm và các sự kiện sự cố không liên quan đến tải trọng của tuabin gió có thể bị bỏ qua. Chu kỳ lặp lại sự kiện sự cố dựa trên phép tính thống kê xác suất xảy ra một sự kiện mà phần điều khiển hoặc hệ thống điện bên trong ở hoặc vào trạng thái bị lỗi dẫn đến nguy cơ xảy ra hư hỏng kết cấu.
7.4.3.3 Sự cố hệ thống điều khiển (DLC 2.1 và DLC 2.2) - Phương pháp hai lớp
Phương pháp này có thể được sử dụng cho các kiến trúc hệ thống điều khiển bao gồm hai hoặc nhiều lớp độc lập. Trong phương pháp này:
a) Các chức năng điều khiển và bảo vệ lớp chính nhằm giữ cho các tham số vận hành của tuabin trong giới hạn vận hành bình thường và giới hạn thiết kế tương ứng, và
b) Các chức năng bảo vệ lớp phụ nhằm giữ cho các tham số vận hành của tuabin trong giới hạn thiết kế. Những chức năng này được kích hoạt do lỗi của các chức năng điều khiển lớp chính hoặc do tác động của một sự cố bên trong hoặc bên ngoài hoặc sự kiện nguy hiểm.
Đối với DLC 2.1, các sự cố chức năng điều khiển lớp chính, kích hoạt các chức năng bảo vệ lớp chính hoặc mất kết nối lưới điện phải được xem xét là các sự kiện bình thường.
Các sự cố chức năng điều khiển dẫn đến việc vượt quá các giới hạn và kích hoạt các chức năng bảo vệ lớp phụ phải được bao gồm trong DLC 2.2.
Các sự cố chức năng điều khiển lớp chính được xem xét trong DLC 2.1 thường bao gồm các sự có liên quan đến tốc độ rôto, góc xoay, và góc nghiêng của cánh.
Đối với DLC 2.2, các sự kiện hiếm liên quan đến tải trọng của tuabin gió, bao gồm các sự có liên quan đến kích hoạt các chức năng bảo vệ lớp phụ, phải được xem xét là bất thường. Các sự cố này có thể bao gồm kích hoạt sai các bộ truyền động, không kích hoạt hệ thống phanh, và việc chặn hệ thống điều chỉnh góc nghiêng cánh quạt. Trường hợp tải trọng này phải ít nhất đề cập đến các vấn đề sau: bảo vệ quá tốc độ độc lập, bảo vệ quá tải/ sự cố máy phát, bảo vệ cánh không kiểm soát (cánh quay tự do), bảo vệ quay không kiểm soát và bảo vệ rung hoặc sốc quá mức.
7.4.3.4 Các trường hợp sản xuất điện khác cộng với sự cố hoặc mất kết nối lưới điện (DLC 2.3 đến 2.5)
Đối với DLC 2.3, sự kiện gió có thể quan trọng, gió giật vận hành cực trị (EOG), kết hợp với mất một hoặc nhiều pha trong kết nối lưới điện nhiều pha và được coi là sự kiện bất thường. Trong trường hợp này, thời điểm của hai sự kiện này phải được chọn để đạt được tải trọng xấu nhất.
Như một lựa chọn thay thế cho quy định kỹ thuật ở DLC 2.3 như đã nêu ở trên và trong Bảng 2, DLC 2.3 có thể được coi là một sự kiện bình thường (tức là hệ số an toàn từng phần tải trọng là 1,35) để phân tích bằng mô phỏng gió ngẫu nhiên (NTM -Vin < Vhub< Vout) kết hợp với sự cố hệ thống điện bên trong hoặc bên ngoài (bao gồm mất kết nối lưới điện). Trong trường hợp này, 12 mô phỏng đáp ứng phải được thực hiện cho mỗi tốc độ gió trung bình được xem xét. Đối với mỗi mô phỏng đáp ứng, đáp ứng cực trị sau khi sự cố điện đã xảy ra được lấy mẫu. Sự cố phải được đưa vào sau khi ảnh hưởng của điều kiện ban đầu đã trở nên không đáng kể. Đối với mỗi tốc độ gió trung bình, đáp ứng cực trị danh nghĩa được đánh giá là trung bình của 12 đáp ứng cực trị lấy mẫu cộng với ba lần độ lệch chuẩn của 12 mẫu. Giá trị đáp ứng đặc trưng cho DLC 2.3 được xác định là giá trị cực trị trong số các đáp ứng cực trị danh nghĩa.
Nếu sự cố hoặc mất kết nối lưới điện không gây ra tắt máy ngay lập tức và tải trọng tiếp theo có thể dẫn đến hỏng do mỏi đáng kể, thời gian có thể xảy ra tình huống này cùng với hỏng do mỏi gây ra trong điều kiện nhiễu động bình thường (NTM) phải được đánh giá trong DLC 2.4. Nhà sản xuất phải ước tính tần suất/thời gian dự kiến cho các sự kiện[14].
Đối với DLC 2.5, chức năng duy trì vận hành ở chế độ điện áp thấp (LRVT) [15] được cho là bình thường. Chức năng duy trì vận hành ở chế độ điện áp thấp của thiết kế được cụ thể bằng việc giảm áp và thời gian.
7.4.4 Khởi động (DLC 3.1 đến 3.3)
Tình huống thiết kế này bao gồm tất cả các sự kiện gây tải trọng cho tuabin gió trong quá trình chuyển tiếp từ bất kỳ tình trạng đứng yên hoặc dự phòng đến sản xuất điện, số lần xảy ra phải được ước tính dựa trên đáp ứng của hệ thống điều khiển[16].
Đối với DLC 3.2, ít nhất bốn thời điểm khác nhau giữa EOG và sự kiện khởi động phải được xem xét cho mỗi tốc độ gió. Thời điểm đầu tiên phải được chọn sao cho sự bắt đầu của EOG xảy ra khi sản xuất điện đạt 50 % công suất tối đa. Thời điểm cuối cùng phải được chọn sao cho sự bắt đầu của EOG xảy ra khi sản xuất điện đạt 95 % công suất tối đa. ít nhất hai thời điểm bổ sung khác cũng phải được chọn, phân bố đồng đều trong khoảng từ 50 % đến 95 % công suất tối đa.
Đối với mỗi tốc độ gió, giá trị đặc trưng của tải trọng có thể được tính toán là giá trị trung bình của các giá trị cực trị tính toán được trong bốn thời điểm khác biệt được xác định.
Như một lựa chọn thay thế cho gió giật EOG, DLC 3.2 có thể được phân tích bằng cách sử dụng ít nhất 12 mô phỏng gió ngẫu nhiên cho mỗi tốc độ gió trung bình với ETM. Đối với mỗi tốc độ gió trung bình, đáp ứng cực trị danh nghĩa được đánh giá là trung bình của các cực trị được mô phỏng.
7.4.5 Dừng bình thường (DLC 4.1 đến 4.2)
Tình huống thiết kế này bao gồm tất cả các sự kiện gây tải trọng cho tuabin gió trong các tình huống chuyển tiếp bình thường từ trạng thái sản xuất điện đến tình trạng đứng yên hoặc không tải. Số lần xảy ra phải được ước tính dựa trên đáp ứng của hệ thống điều khiển[17].
Đối với DLC 4.2, thời điểm của gió giật và sự kiện dừng phải được chọn sao cho gió giật EOG bắt đầu vào các thời điểm khác nhau so với dừng, với ít nhất sáu sự kiện phân bố đều từ 10 s trước khi bắt đầu dừng, đến khi công suất đạt 50 % mức sản xuất điện ban đầu.
Ít nhất bốn vị trí góc phương vị rôto phân bố đều phải được áp dụng cho mỗi thời điểm cụ thể. Đối với mỗi tốc độ gió, giá trị đặc trưng của tải trọng có thể được tính toán là giá trị trung bình của các tải trọng cực trị được tính toán trong tất cả các thời điểm và vị trí góc phương vị được xem xét.
Nếu, do hệ thống an toàn và điều khiển, một sự kiện dừng được kích hoạt tự động trong quá trình gió giật EOG, sự kiện đó cũng phải được xem xét trong phân tích.
DLC 4.2 có thể được phân tích bằng cách sử dụng ít nhất 12 mô phỏng gió ngẫu nhiên cho mỗi tốc độ gió trung bình với ETM. Đối với mỗi tốc độ gió trung bình, đáp ứng cực trị danh nghĩa được đánh giá là trung bình của các đáp ứng cực trị mô phỏng.
7.4.6 Dừng khẩn cấp (DLC 5.1)
Tải trọng phát sinh từ việc kích hoạt nút dừng khẩn cấp phải được xem xét.
Vị trí góc phương vị của rôto tại thời điểm xảy ra sự cố có thể ảnh hưởng đáng kể đến mức tải trọng. Vị trí góc phương vị tại thời điểm xảy ra sự cố nên được chọn ngẫu nhiên.
7.4.7 Dừng (đứng yên hoặc không tải) (DLC 6.1 tới 6.4)
Trong tình huống thiết kế này, rôto của tuabin gió dừng đang ở trạng thái đứng yên hoặc không tải. Trong DLC 6.1, 6.2 và 6.3, tình huống này phải được xem xét với mô hình gió cực trị (EWM). Đối với DLC 6.4, mô hình nhiễu động bình thường (NTM) phải được xem xét.
Đối với các trường hợp tải trọng thiết kế, nơi điều kiện giỏ được xác định bằng EWM, có thể sử dụng mô hình gió cực trị không thay đổi hoặc mô hình gió cực trị nhiễu động. Nếu mô hình gió cực trị nhiễu động được sử dụng, đáp ứng phải được ước lượng bằng cách sử dụng mô phỏng động lực đầy đủ hoặc phân tích tĩnh với các sửa đổi thích hợp cho gió giật và đáp ứng động bằng cách sử dụng công thức trong ISO 4354. Nếu mô hình gió cực trị không thay đổi được sử dụng, các hiệu ứng của đáp ứng cộng hưởng phải được ước lượng từ phân tích tĩnh trên. Nếu tỷ lệ đáp ứng cộng hưởng trên đáp ứng nền (R/B) nhỏ hơn 5 %, phân tích tĩnh sử dụng mô hình gió cực trị không thay đổi có thể được sử dụng. Nếu sự trượt trong hệ thống quay của tuabin gió có thể xảy ra tại tải trọng đặc trưng, thì sự trượt bất lợi lớn nhất có thể xảy ra phải được cộng thêm vào độ lệch góc xoay trung bình. Nếu tuabin gió có hệ thống quay mà sự di chuyển quay được mong đợi trong các tình huống gió cực trị (ví dụ: quay tự do, quay thụ động hoặc quay bán tự do), mô hình gió nhiễu động phải được sử dụng và độ lệch góc xoay được điều chỉnh bởi các thay đổi hướng gió nhiễu động và đáp ứng động quay của tuabin. Ngoài ra, nếu tuabin gió chịu sự di chuyển quay lớn hoặc thay đổi cân bằng trong quá trình tăng tốc độ gió từ vận hành bình thường đến tình huống cực trị, đáp ứng này phải được đưa vào phân tích.
Trong DLC 6.1, đối với tuabin gió với hệ thống quay chủ động, độ lệch góc xoay lên đến ±15° bằng cách sử dụng mô hình gió cực trị không thay đổi hoặc độ lệch góc xoay trung bình ±8° bằng cách sử dụng mô hình gió cực trị nhiễu động phải được áp dụng, với điều kiện đảm bảo chống trượt trong hệ thống quay.
Trong DLC 6.2, mất kết nối lưới điện ở giai đoạn sớm trong cơn bão chứa tình huống gió cực trị phải được giả định. Nếu không có nguồn dự phòng cho hệ thống điều khiển và quay với khả năng căn chỉnh quay trong ít nhất 6 h, tác động của việc thay đổi hướng gió lên đến ±180° phải được phân tích.
Các hệ số an toàn từng phần cho tải trọng của DLC 6.1 và DLC 6.2 trong Bảng 3 được suy ra bằng cách giả định rằng hệ số biến thiên của tốc độ gió cực trị hàng năm nhỏ hơn 15 %; đối với COV khác, xem chú thích cuối trang số 38 trong 11.3.2.
Trong DLC 6.3, gió cực trị với chu kỳ lặp lại 1 năm phải được kết hợp với độ lệch góc xoay cực trị. Một độ lệch góc xoay cực trị lên đến ±30° bằng cách sử dụng mô hình gió cực trị không thay đổi hoặc độ lệch góc xoay trung bình ±20° bằng cách sử dụng mô hình gió nhiễu động phải được giả định.
Nếu đối với các trường hợp DLC 6.1 với mô hình gió cực trị không thay đổi, DLC 6.2 và DLC 6.3, độ lệch góc xoay được đánh giá bằng cách sử dụng các giá trị rời rạc, sự gia tăng độ lệch góc xoay không được vượt quá 10° trong khu vực lực nâng tối đa trên các cánh.
Trong DLC 6.4, số giờ dự kiến của thời gian không sản xuất điện với tải trọng dao động phù hợp cho mỗi tốc độ gió, nơi có thể xảy ra hư hại mỏi đáng kể đối với bất kỳ thành phần nào (ví dụ: từ trọng lượng của các cánh tải) phải được xem xét.
7.4.8 Dừng cộng với các điều kiện sự cố (DLC 7.1)
Các độ lệch so với hoạt động bình thường của tuabin gió đang dừng do các sự cố trên lưới điện hoặc trong tuabin gió phải được phân tích. Tối thiểu, các lỗi trong các hệ thống sau phải được đánh giá: hệ thống phanh, hệ thống nghiêng và hệ thống quay. Tình trạng sự cố phải được kết hợp với EWM cho một chu kỳ lặp lại là một năm. Các điều kiện này có thể là nhiễu động hoặc gần như ổn định với điều chỉnh cho gió giật và đáp ứng động.
Trong trường hợp sự cố trong hệ thống xoay tuabin, độ lệch hướng xoay tuabin ±180° được xem xét. Nếu đối với các trường hợp DLC 7.1 với sự cố trong hệ thống xoay tuabin, độ lệch hướng xoay tuabin được đánh giá bằng các giá trị rời rạc, mức tăng trong độ xoay tuabin không được lớn hơn 10° trong khu vực của lực nâng tối đa trên các cánh quạt. Đối với bất kỳ sự cố nào khác, độ lệch hướng xoay tuabin phải nhất quán với DLC 6.1.
Nếu hiện tượng trượt trong hệ thống xoay tuabin có thể xảy ra ở tải trọng đặc trưng được tìm thấy trong DLC 7.1, thì trượt bất lợi lớn nhất có thể xảy ra cần được xem xét.
7.4.9 Vận chuyển, lắp ráp, bảo trì và sửa chữa (DLC 8.1 và 8.2)
Đối với DLC 8.1, nhà sản xuất phải nêu rõ tất cả các điều kiện gió và tình huống thiết kế được giả định cho vận chuyển, lắp ráp tại hiện trường, bảo trì và sửa chữa của một tuabin gió. Các điều kiện gió tối đã được nêu rõ phải được xem xét trong thiết kế nếu chúng có thể tạo ra tải trọng đáng kể lên tuabin. Nhà sản xuất phải cho phép một khoảng cách an toàn đủ giữa các điều kiện được nêu và các điều kiện gió được xem xét trong thiết kế để đạt được mức độ an toàn chấp nhận được. Khoảng cách an toàn có thể được có được bằng cách thêm 5 m/s vào điều kiện gió được nêu.
Ngoài ra, DLC 8.2 phải bao gồm tất cả các trạng thái tuabin trong vận chuyển, lắp ráp, bảo trì và sửa chữa có thể kéo dài hơn một tuần. Điều này, khi cần thiết, phải bao gồm tháp chưa hoàn chỉnh, tháp đứng mà không có vỏ tuabin và tuabin không có một hoặc nhiều cánh quạt. Trong trường hợp tháp đứng mà không có vỏ tuabin, cần phải thực hiện các biện pháp thích hợp để tránh tốc độ gió cực hạn cho các dao động ngang do xoáy, hoặc thêm trường hợp tải thiết kế mỏi thích hợp[18], cần giả định rằng lưới điện không được kết nối trong bất kỳ trạng thái nào trong số này. Các biện pháp có thể được thực hiện để giảm tải trong bất kỳ trạng thái nào trong số này miễn là các biện pháp này không yêu cầu kết nối lưới điện.
Các thiết bị khóa phải có khả năng chịu được các tải trọng phát sinh từ các tình huống liên quan trong DLC 8.1. Các thiết bị khóa không dự phòng phải được thiết kế theo thành phần loại 3. Cần đặc biệt xem xét việc áp dụng lực tối đa của cơ cấu tác động. Được khuyến nghị là các tiêu chuẩn cho các thiết bị nâng, bao gồm các hệ số an toàn/hệ số ảnh hưởng, cũng nên được áp dụng khi cần thiết. Trừ khi được lắp đặt vĩnh viễn, thiết bị nâng không được ban phủ bởi tiêu chuẩn này và nên được thiết kế và thử nghiệm theo các tiêu chuẩn liên quan cho thiết bị nâng.
7.5 Tính toán tải
Các tải như được mô tả trong 7.3.2 đến 7.3.5 phải được tính đến cho mỗi trường hợp tải thiết kế. Khi cần thiết, cũng phải tính đến:
- nhiễu loạn trường gió do chính các tuabin gió gây ra (vận tốc do wake gây ra, độ che của cột tháp, v.v...);
- ảnh hưởng của luồng gió ba chiều lên các đặc tính khí động của cánh (ví dụ giảm lực nâng ba chiều và tổn thất khí động học đầu cánh);
- hiệu ứng khí động học không ổn định;
- động lực học kết cấu và ghép phối các chế độ rung;
- hiệu ứng khí đàn hồi;
- đáp ứng của hệ thống bảo vệ và điều khiển tuabin gió.
Các mô phỏng động lực học sử dụng mô hình động lực học kết cấu thường được dùng để tính toán tải trọng của tuabin gió. Một số trường hợp tải có đầu vào gió nhiễu động. Thời gian tổng cộng của dữ liệu tải cho những trường hợp này phải đủ dài để đảm bảo độ tin cậy thống kê của ước lượng tải trọng đặc trưng. Ít nhất sáu lần thực hiện ngẫu nhiên 10 min (hoặc một khoảng thời gian liên tục 60 min) được yêu cầu cho mỗi tốc độ gió trung bình ở độ cao hub được sử dụng trong các mô phỏng. Tuy nhiên, đối với DLC 2.1, 2.2 và 5.1, ít nhất 12 mô phỏng được thực hiện cho mỗi sự kiện tại tốc độ gió cụ thể. Vì các điều kiện ban đầu được sử dụng cho các mô phỏng động lực học thường có ảnh hưởng đến thống kê tải trọng trong thời gian đầu của khoảng thời gian mô phỏng, 5 s dữ liệu đầu tiên (hoặc lâu hơn nếu cần) phải được loại trừ khỏi xem xét trong bất kỳ khoảng thời gian phân tích nào liên quan đến đầu vào luồng gió nhiễu động.
Cần đảm bảo rằng trong quá trình áp dụng số lượng chu kỳ trên chuỗi thời gian tải, các dư thừa còn lại từ mỗi chuỗi thời gian được xem xét theo nửa chu kỳ cho việc đánh giá chế độ lỗi do mỏi. Hơn nữa, sự phân chia của phạm vi tải cần đảm bảo độ phân giải đủ.
Khi gió nhiễu động được sử dụng cho các mô phỏng động lực học, cần chú ý đến độ phân giải lưới liên quan đến độ phân giải không gian[19] và thời gian.
Trong nhiều trường hợp, các biến dạng hoặc ứng suất cục bộ ở các vị trí quan trọng trong một thành phần tuabin gió cụ thể được điều khiển bởi tải trọng đa trục đồng thời. Trong trường hợp này, các chuỗi thời gian của tải trọng vuông góc được xuất ra từ các mô phỏng đôi khi được sử dụng để xác định tải trọng thiết kế. Khi các chuỗi thời gian thành phần vuông góc như vậy được sử dụng để tính toán tải trọng mỏi và tải trọng cực trị, chúng phải được kết hợp để bảo tồn cả pha và biên độ. Do đó, phương pháp trực tiếp dựa trên việc dẫn xuất ứng suất đáng kể dưới dạng lịch sử thời gian. Các phương pháp dự đoán cực trị và mỏi có thể được áp dụng cho tín hiệu đơn này, tránh các vấn để kết hợp tải trọng.
Các thành phần tải trọng cực hạn cũng có thể được kết hợp theo cách thận trọng, giả định rằng các giá trị thành phần cực trị xảy ra đồng thời. Trong trường hợp tùy chọn này được thực hiện, cả giá trị cực đại và cực tiểu của các thành phần cực trị được áp dụng trong tất cả các kết hợp có thể để tránh việc đưa vào các giá trị thiếu thận trọng.
Hướng dẫn về việc suy ra các tải trọng thiết kế cực trị từ các tải trọng đồng thời được lấy từ nhiều lần thực hiện có thể có trong Phụ lục I.
7.6 Phân tích trạng thái giới hạn cực hạn
7.6.1 Phương pháp
7.6.1.1 Quy định chung
Các hệ số an toàn từng phần phản ánh độ không đảm bảo và tính biến đổi trong tải trọng và khả năng chịu tải, độ không đảm bảo trong các phương pháp phân tích và tầm quan trọng của các thành phần kết cấu liên quan đến hệ quả của lỗi.
Đối với phân tích trạng thái giới hạn cực hạn của tuabin gió, các loại phân tích sau đây được thực hiện khi cần thiết:
• phân tích độ bền cực hạn (xem 7.6.2);
• phân tích hỏng do mỏi (xem 7.6.3);
• phân tích độ ổn định (ví dụ, độ xoắn) (xem 7.6.4);
• phân tích độ võng cực hạn (tác động cơ học giữa cánh quạt và tháp) (xem 7.6.5).
Mỗi loại phân tích yêu cầu một cách diễn giải khác nhau về hàm trạng thái giới hạn và xử lý các nguồn không đảm bảo khác nhau thông qua việc sử dụng các hệ số an toàn.
7.6.1.2 Hệ số an toàn từng phần đối với tải và độ bền
Độ không đảm bảo và sự biến đổi tải trọng và độ bền (bao gồm cả biến đổi trong vật liệu) được tính đến thông qua các hệ số an toàn từng phần như được xác định trong các Công thức (29) và (30) nhằm đảm bảo các giá trị thiết kế an toàn.
![]()
Trong đó
Fd là giá trị thiết kế cho tải trọng bên trong tổng hợp hoặc đáp ứng tải trọng từ nhiều thành phần tải trọng đồng thời từ các nguồn khác nhau cho trường hợp tải thiết kế cụ thể;
yf là hệ số an toàn từng phần cho tải trọng;
Fk là giá trị đặc trưng cho tải trọng.
![]()
Trong đó
Rd là các giá trị thiết kế cho độ bền, xem Phụ lục K;
γM là các hệ số an toàn từng phần [20] tính đến độ không đảm bảo trong các tham số vật liệu và mô hình độ bền, xem Phụ lục K;
Rk là các giá trị đặc trưng của độ bền bao gồm các hiệu ứng thời gian tải, hiệu ứng tỷ lệ, v.v., được tính đến bằng một hệ số chuyển đổi, xem Phụ lục K.
Các hệ số an toàn từng phần cho tải trọng được sử dụng trong tiêu chuẩn này xem xét:
a) độ lệch/độ không đảm bảo bất lợi nhất có thể có của tải trọng so với giá trị đặc trưng;
b) độ không đảm bảo trong mô hình mang tải trọng.
Các hệ số an toàn từng phần cho độ bền γM được sử dụng trong tiêu chuẩn này, như trong ISO 2394, xem xét:
• độ lệch/độ không đảm bảo bất lợi nhất có thể có của tải trọng so với giá trị đặc trưng;
• khả năng đánh giá không chính xác độ bền của các phần hoặc khả năng chịu tải của các bộ phận kết cấu;
• độ không đảm bảo trong các tham số hình học;
• độ không đảm bảo trong mối quan hệ giữa các thuộc tính vật liệu trong kết cấu và những thuộc tính đo được từ các mẫu kiểm soát; và
• độ không đảm bảo trong các hệ số chuyển đổi.
Các độ không đảm bảo khác nhau này đôi khi được xem xét bằng cách sử dụng các hệ số an toàn từng phần riêng rẽ; nhưng trong tiêu chuẩn này cũng như hầu hết các tài liệu khác, các hệ số liên quan đến tải trọng được kết hợp thành một hệ số γf, và các hệ số liên quan đến vật liệu và độ bền được kết hợp thành một hệ số γM. Các giá trị của yf và γM được cung cấp trong các điều từ 7.6.2 đến 7.6.5. Tuy nhiên, các giá trị này có thể được thay thế nếu có thể chứng minh rằng các giả định dẫn đến những giá trị này là thận trọng, trong trường hợp đó, một việc hiệu chỉnh các hệ số an toàn từng phần cho tải trọng và độ bền có thể được thực hiện để đáp ứng mức độ an toàn mong muốn trong tiêu chuẩn này[21].
7.6.1.3 Hệ số an toàn từng phần cho hệ quả của lỗi và các phân loại thành phần
Hệ số hệ quả của lỗi, γn được đưa ra để phân biệt giữa:
a) thành phần loại 1: sử dụng cho các thành phần kết cấu "an toàn khi hỏng" mà sự cố không dẫn đến sự hỏng hóc của phần lớn tuabin gió, ví dụ như các ổ trục có thể thay thế và có hệ thống giám sát;
b) thành phần loại 2: sử dụng cho các thành phần kết cấu "tuổi thọ an toàn" mà sự cố có thể dẫn đến sự hỏng hóc của phần lớn tuabin gió;
c) thành phần loại 3: sử dụng cho các thành phần cơ khí "tuổi thọ an toàn" liên kết các cơ cấu điều khiển và phanh với các thành phần kết cấu chính nhằm thực hiện các chức năng bảo vệ tuabin gió không có dự phòng, về các thiết bị khóa, xem 7.4.9.
Các hệ số an toàn từng phần cho hệ quả của lỗi:
• thành phần loại 1: γn= 0.9;
• thành phần loại 2: γn = 1,0;
• thành phần loại 3: γn= 1,2.
Hệ số hệ quả của lỗi phải được đưa vào tải trọng thử nghiệm khi thực hiện các thử nghiệm như, ví dụ, thử nghiệm cánh quạt quy mô đầy đủ.
Các giá trị khác của γn áp dụng cho phân tích độ lệch cực hạn, xem 7.6.5.
7.6.1.4 Ứng dụng các code (quy định) vật liệu được thừa nhận
Khi xác định tính toàn vẹn kết cấu của các phần tử của tuabin gió, có thể sử dụng các code thiết kế quốc gia hoặc quốc tế cho vật liệu liên quan, cần đặc biệt lưu ý khi các hệ số an toàn từng phần từ các code thiết kế quốc gia hoặc quốc tế được sử dụng cùng với các hệ số an toàn từng phần từ tiêu chuẩn này. Cần đảm bảo rằng mức độ an toàn cuối cùng không thấp hơn mức độ an toàn mong muốn trong tiêu chuẩn này.
Các code khác nhau phân chia các hệ số an toàn từng phần cho độ bền, γm, thành nhiều hệ số vật liệu khác nhau, xem xét các loại độ không đảm bảo riêng biệt, ví dụ như sự biến đổi vốn có của độ bền vật liệu, phạm vi kiểm soát sản xuất hoặc phương pháp sản xuất. Nếu code đưa ra các hệ số an toàn từng phần hoặc sử dụng các hệ số giảm giá trị đặc trưng để xem xét các độ không đảm bảo khác, các hệ số này cũng cần được xem xét.
Các code riêng biệt có thể chọn phân chia các hệ số an toàn từng phần cho tải trọng và phần vật liệu của việc kiểm tra xác nhận thiết kế theo các cách khác nhau. Sự phân chia các hệ số được dự kiến ở đây là theo định nghĩa trong ISO 2394. Nếu sự phân chia các hệ số trong code lựa chọn khác với ISO 2394, các điều chỉnh cần thiết trong code lựa chọn phải được xem xét trong các kiểm tra xác nhận theo tiêu chuẩn này.
7.6.2 Phân tích độ bền cực hạn
7.6.2.1 Quy định chung
Hàm trạng thái giới hạn có thể được tách thành các hàm tải trọng và độ bền, S và R, sao cho điều kiện trở thành
![]()
Hàm S cho phân tích độ bền cực hạn thường được định nghĩa là giá trị cao nhất của đáp ứng kết cấu, do đó S(Fd) = Fd. Công thức trở thành
![]()
Lưu ý rằng γn là hệ số hệ quả của lỗi và không nên được coi là hệ số an toàn đối với vật liệu.
Đối với từng thành phần của tuabin gió được đánh giá và cho từng trường hợp tải trong Bảng 2 mà phân tích độ bền cực hạn là phù hợp, điều kiện trạng thái giới hạn trong Công thức (32) phải được kiểm tra xác nhận cho trạng thái giới hạn nghiêm trọng nhất, được xác định dựa trên việc có biên độ nhỏ nhất.
7.6.2.2 Các hệ số an toàn từng phần cho tải
Đối với DLC 1.1, giá trị đặc trưng của tải phải được xác định bằng phân tích thống kê của tải cực trị xảy ra trong các tình huống thiết kế bình thường và phải tương ứng với một trong các phương án sau:
a) Giá trị đặc trưng được xác định là giá trị lớn nhất (hoặc nhỏ nhất) trong số các giá trị trung bình của các cực trị 10 min được xác định cho từng tốc độ gió trong phạm vi đã cho, nhân với 1,35. Phương pháp này chỉ có thể áp dụng cho việc tính toán mô-men ở gốc cánh và mô-men ra khỏi mặt phẳng cũng như độ lệch đầu cánh.
b) Giá trị đặc trưng được xác định là giá trị lớn nhất (hoặc nhỏ nhất) trong số các giá trị phân vị 99 (hoặc phân vị 1 trong trường hợp giá trị cực tiểu) của các cực trị 10 min được xác định cho từng tốc độ gió trong phạm vi đã cho, nhân với 1,2.
c) Giá trị đặc trưng được xác định là giá trị tương ứng với chu kỳ lặp lại 50 năm, dựa trên các phương pháp ngoại suy tải, xem xét phân bố tốc độ gió được nêu trong 6.3.2.1 và mô hình nhiễu động bình thường trong 6.3.2.3. Hướng dẫn về ngoại suy tải có trong Phụ lục G.
Tải thiết kế được xác định bằng cách nhân các tải đặc trưng theo bất kỳ phương án nào trong số các phương án trên với hệ số an toàn từng phần cho DLC 1.1 được định nghĩa trong Bảng 3.
Đối với cả ba phương án trên, dữ liệu được sử dụng trong phân tích thống kê phải được lấy từ các chuỗi thời gian của các mô phỏng tuabin có độ dài ít nhất 10 min trong phạm vi vận hành của tuabin cho DLC 1.1. Yêu cầu tối thiểu là 15 mô phỏng cho từng tốc độ gió từ (Vr - 2 m/s) đến tốc độ gió ngắt mạch, và sáu mô phỏng cho từng tốc độ gió dưới (Vr - 2 m/s). Khi lấy dữ liệu, nhà thiết kế phải xem xét ảnh hưởng của sự độc lập giữa các đỉnh trong phân tích thống kê và giảm thiểu sự phụ thuộc khi có thể. Để hướng dẫn về việc kiểm tra sự phụ thuộc, xem Phụ lục G.
Đối với các trường hợp tải có các sự kiện trường gió xác định, giá trị đặc trưng của tải phải là giá trị tạm thời bất lợi nhất được tính toán. Nếu nhiều mô phỏng được thực hiện ở một tốc độ gió nhất định, đại diện cho góc phương vị của rôto, giá trị đặc trưng cho trường hợp tải được lấy là giá trị trung bình của các giá trị tạm thời bất lợi nhất ở mỗi góc góc phương vị.
Hướng dẫn về việc xác định tải đồng thời có thể có trong Phụ lục I. Khi sử dụng cường độ nhiễu động, giá trị trung bình giữa các tải bất lợi nhất được tính toán cho các mô phỏng ngẫu nhiên 10 min phải được thực hiện, ngoại trừ DLC 2.1, 2.2 và 5.1, trong đó giá trị đặc trưng của tải phải là giá trị trung bình của nửa số tải tối đa lớn nhất.
Các hệ số an toàn từng phần cho tải phải ít nhất bằng các giá trị được quy định trong Bảng 3.
Phương pháp trong 7.6.1.2, trong đó hệ số an toàn từng phần cho tải được áp dụng cho đáp ứng tải, giả định rằng việc biểu diễn chính xác đáp ứng động là ưu tiên hàng đầu. Khi việc biểu diễn chính xác đáp ứng vật liệu phi tuyến hoặc phi tuyến hình học (ví dụ như đối với nền móng) hoặc cả hai là mối quan tâm chính, đáp ứng tải thiết kế Sd được xác định từ phân tích kết cấu cho sự kết hợp của các tải thiết kế Fd, trong đó tải thiết kế được tính bằng cách nhân các tải đặc trưng Fk với hệ số tải từng phần yf được quy định cho tải có lợi và không có lợi:
![]()
Các đáp ứng tải ở tháp tại giao diện (lực trượt gió và mômen uốn) được nhân với yf từ Bảng 3 phải được áp dụng làm điều kiện biên.
Bảng 3 - Các hệ số an toàn từng phần cho tải trọng yf
| Tải trọng bất lợi | Tải trọng có lợi[22] | |
| Loại tình huống thiết kế (xem Bảng 2) | Tất cả các tình huống thiết kế | |
| Bình thường (N) | Bất thường (A) | |
| 1,35a | 1,1 | 0,9 |
| a Đối với trường hợp tải thiết kế DLC 1.1, hệ số tải trọng từng phần là yf = 1,25. Nếu trong các tình huống thiết kế bình thường, giá trị đặc trưng của đáp ứng tải trọng Fgravity do trọng lực có thể được tính toán cho tình huống thiết kế đang xét, và trọng lực là một tải trọng bất lợi, thì hệ số tải trọng từng phần cho tải trọng kết hợp từ trọng lực và các nguồn khác có thể có giá trị.
Đối với trường hợp tải thiết kế DLC 2.1, hệ số tải trọng từng phần có thể được tính từ biểu thức sau nếu thời gian trung bình giữa các lần hỏng hóc (MTBF), tính bằng năm, cho chế độ lỗi được xét đã được đánh giá (xem 7.4.3.2)
Đối với trường hợp tải thiết kế DLC 2.5, hệ số tải trọng từng phần là 1,2. | ||
Việc sử dụng các hệ số an toàn từng phần cho tải cho các tình huống thiết kế bình thường và bất thường được quy định trong Bảng 3 yêu cầu rằng mô hình tính toán tải phải được xác nhận bằng cách đo tải thực tế. Phép đo này phải được thực hiện trên một tuabin gió tương tự với thiết kế tuabin gió đang xem xét về mặt khí động học, điều khiển và đáp ứng động.
7.6.2.3 Các hệ số an toàn từng phần cho nền móng trọng lực
Đối với nền móng trọng lực, các trạng thái giới hạn liên quan đến độ ổn định tổng thể (chuyển động của vật rắn tuyệt đối không có sự hỏng hóc trong đất) và khả năng chịu tải của đất và nền móng cần được xem xét và tính toán theo một tiêu chuẩn được thừa nhận. Nhìn chung, hệ số an toàn từng phần yf = 1,1 cho các tải trọng trọng lực không thuận lợi và yf = 0.9 cho các tải trọng trọng lực thuận lợi được áp dụng cho tải trọng nền móng, lớp lấp và lực nổi. Nếu có thể chứng minh bằng cách quản lý chất lượng và giám sát thích hợp rằng các khối lượng riêng vật liệu nền móng được quy định trong tài liệu thiết kế đã được đáp ứng tại hiện trường, hệ số an toàn từng phần cho tải trọng nền móng trọng lực yf = 1,0 có thể được sử dụng cho các trạng thái giới hạn liên quan đến khả năng chịu tải của đất và nền mỏng. Nếu lực nổi được tính bằng mức nước địa hình, hệ số an toàn từng phần cho lực nổi yf = 1,0 có thể được áp dụng.
Hoặc, việc kiểm tra khả năng chịu tải của đất và nền móng có thể dựa trên hệ số an toàn từng phần yf = 1,0 cho cả tải trọng trọng lực thuận lợi và không thuận lợi, và kiểm tra độ ổn định tổng thể có thể dựa trên hệ số an toàn từng phần yf = 1,1 cho các tải trọng trọng lực không thuận lợi và yf = 0,9 cho các tải trọng trọng lực thuận lợi, sử dụng trong tất cả các trường hợp ước lượng thận trọng về trọng lượng hoặc khối lượng riêng được xác định là 5 %/95 %. Phân vị thấp hơn được sử dụng khi tải trọng là thuận lợi. Ngược lại, phân vị cao hơn được sử dụng.
7.6.2.4 Các hệ số an toàn từng phần cho khả năng chịu tải khi không có code thiết kế được thừa nhận
Các hệ số an toàn từng phần cho khả năng chịu tải cần được chọn liên quan đến độ đầy đủ của dữ liệu thử nghiệm tính chất vật liệu có sẵn. Mức độ an toàn trong tiêu chuẩn này tương ứng với hệ số an toàn từng phần cho khả năng chịu tải, gM = 1,2 khi áp dụng cho các tính chất vật liệu đặc trưng với xác suất tồn tại 95 %[23]. Giá trị này giả định không có thiên lệch (thường là sự thận trọng hệ thống trong mô hình khả năng chịu tải) và độ không đảm bảo nhỏ liên quan đến mô hình khả năng chịu tải (hệ số biến thiên nhỏ hơn 5 %), xem Phụ lục K; và áp dụng cho các thành phần có đặc tính dẻo, sự hỏng hóc của chúng có thể dẫn đến sự hỏng hóc của một phần lớn của tuabin gió.
Để xác định các giá trị thiết kế cho khả năng chịu tải, cần phải tính đến các hiệu ứng quy mô, dung sai và suy giảm do các tác động bên ngoài, ví dụ, bức xạ cực tím hoặc độ ẩm. Những hiệu ứng này có thể được tính đến thông qua các hệ số bổ sung trên hệ số an toàn từng phần cho khả năng chịu tải hoặc thông qua một hệ số chuyển đổi được sử dụng để có được giá trị đặc trưng của khả năng chịu tải, xem Phụ lục K.
Trong các trường hợp sau với các chế độ phá hủy dẻo, hệ số an toàn từng phần cho khả năng chịu tải, gM, không được nhỏ hơn:
- 1,1 đối với các vật liệu có giới hạn đàn hồi rõ ràng (cường độ chảy nhỏ hơn hoặc bằng 90 % của cường độ cực hạn), và
- 1,1 đối với sự đứt gãy của bu lông trong một kết nối với số lượng bu lông đủ để đảm bảo một chế độ phá hủy dẻo.
Đối với các thành phần cơ/ kết cấu "tuổi thọ an toàn" với đáp ứng không dẻo mà sự hỏng hóc của chúng dẫn đến nhanh chóng sự hỏng hóc của một phần lớn của tuabin gió, hệ số an toàn từng phần cho khả năng chịu tải, gM, không được nhỏ hơn:
- 1,3 khi sử dụng vật liệu không có giới hạn đàn hồi rõ ràng (cường độ chảy lớn hơn 90 % của cường độ kéo hoặc nén), và
1,2 để vềnh toàn bộ của vỏ cong như tháp hình ống và cánh[24].
7.6.2.5 Hệ số an toàn từng phần cho vật liệu khi có các tiêu chuẩn thiết kế được thừa nhận
Các hệ số an toàn từng phần kết hợp cho tải trọng, độ bền và hệ quả của lỗi, yf, γM> và γn, không được nhỏ hơn những giá trị đã quy định trong 7.6.1.3, 7.6.2.2 và 7.6.2.4.
7.6.3 Hỏng do mỏi
7.6.3.1 Quy định chung
Hỏng do mỏi phải được ước tính bằng cách sử dụng phương pháp tính toán hỏng do mỏi phù hợp. Ví dụ, trong trường hợp sử dụng quy tắc Miner, trạng thái giới hạn đạt được khi hỏng hóc tích lũy vượt quá 1. Do đó, trong trường hợp này, hỏng hóc tích lũy trong suốt thời gian thiết kế của một tuabin phải nhỏ hơn hoặc bằng 1. Các tính toán hỏng do mỏi phải xem xét công thức, bao gồm cả các tác động của phạm vi chu kỳ và mức độ biến dạng (hoặc ứng suất) trung bình. Tất cả các hệ số an toàn từng phần (tải trọng, vật liệu và hệ quả của lỗi) phải được áp dụng cho phạm vi biến dạng (hoặc ứng suất) chu kỳ để đánh giá sự gia tăng hỏng hóc liên quan đến mỗi chu kỳ mỏi. Ví dụ về công thức cho quy tắc Miner được trình bày trong Phụ lục H.
7.6.3.2 Hệ số an toàn từng phần cho tải trọng
Hệ số an toàn từng phần cho tải trọng yf phải là 1,0.
7.6.3.3 Hệ số an toàn từng phần cho độ bền khi không có tiêu chuẩn được thừa nhận
Hệ số an toàn từng phần cho độ bền gM phải ít nhất là 1,7 nếu đường cong SN dựa trên xác suất tồn tại 50 % và hệ số biến thiên < 15 %. Đối với các thành phần có hệ số biến thiên lớn đối với độ bền mỏi[25], tức là từ 15 % đến 20 % (như đối với nhiều thành phần được làm từ vật liệu composite, ví dụ như bê tông cốt thép hoặc sợi composite), γM cần được tăng lên tương ứng và ít nhất là lên 2,0.
Độ bền mỏi phải được xác định từ một số lượng thử nghiệm thống kê có ý nghĩa và việc xác định giá trị đặc trưng phải tính đến hiệu ứng tỷ lệ, sai số, sự suy giảm do các tác động bên ngoài, ví dụ như bức xạ tia cực tím, và các khuyết tật không thể phát hiện được theo cách thông thường.
Đối với thép hàn và thép kết cấu, thường sử dụng xác suất tồn tại 97,7 % làm cơ sở cho các đường cong SN. Trong trường hợp này, γM có thể được lấy là 1,25, tương ứng với phương pháp đánh giá "tuổi thọ an toàn", xem Phụ lục K. Trong trường hợp có thể phát hiện sự phát triển của vết nứt qua việc triển khai chương trình kiểm tra định kỳ, một giá trị gM thấp hơn có thể được sử dụng, tương ứng với phương pháp đánh giá chịu đựng hỏng, xem Phụ lục K. Trong mọi trường hợp, γM phải lớn hơn 1,0.
Đối với vật liệu composite, phân bố cường độ phải được thiết lập từ dữ liệu thử nghiệm cho vật liệu thực tế. Xác suất tồn tại 95% phải được sử dụng làm cơ sở cho đường cong SN. Trong trường hợp đỏ, gM có thể được lấy là 1,35. Phương pháp tương tự có thể được sử dụng cho các vật liệu khác.
7.6.3.4 Các hệ số an toàn vật liệu từng phần trong trường hợp có sẵn các code thiết kế được thừa nhận
Các hệ số an toàn từng phần kết hợp cho tải, vật liệu và hệ quả của lỗi không được nhỏ hơn các giá trị được quy định trong 7.6.3.2 và 7.6.3.3, với sự cân nhắc phù hợp đối với các phân vị được quy định trong code.
7.6.4 Sự ổn định
Các bộ phận chịu tải của các thành phần "không an toàn khi hỏng" không được bị cong khi chịu tải trọng thiết kế. Đối với tất cả các thành phần khác, hiện tượng cong đàn hồi khi chịu tải thiết kế là chấp nhận được. Hiện tượng cong không được xảy ra trong bất kỳ thành phần nào khi chịu tải đặc trưng. Giá trị tối thiểu cho hệ số an toàn từng phần cho tải, yf, phải được chọn theo 7.6.2.2 để thu được giá trị thiết kế. Hệ số an toàn từng phần của vật liệu không được nhỏ hơn các giá trị được cho trong 7.6.2.4.
7.6.5 Phân tích độ võng cực hạn
7.6.5.1 Quy định chung
Phải kiểm tra xác nhận rằng không có sự võng ảnh hưởng đến tính toàn vẹn kết cấu xảy ra trong các điều kiện thiết kế được nêu trong Bảng 2. Độ võng đàn hồi tối đa theo hướng bất lợi được xác định cho các trường hợp tải được nêu trong Bảng 2. Một giá trị đặc trưng cho các độ võng kết quả được xác định một cách nhất quán với các thành phần tải khác. Độ võng đặc trưng kết quả sau đó được nhân với hệ số an toàn từng phần kết hợp cho tải, vật liệu và hệ quả của lỗi.
7.6.5.2 Hệ số an toàn từng phần cho tải
Giá trị của yf được chọn từ Bảng 3.
7.6.5.3 Hệ số an toàn từng phần cho các tính chất đàn hồi của vật liệu
Giá trị của γM là 1,1 trừ khi các tính chất đàn hồi của thành phần liên quan đã được xác định thông qua kiểm tra và giám sát, trong trường hợp đó có thể giảm giá trị này. Đặc biệt chú ý đến các hệ số không đảm bảo về hình học và độ chính xác của phương pháp tính toán độ võng.
7.6.5.4 Hệ số an toàn từng phần cho hệ quả của lỗi
Hệ số an toàn từng phần cho hệ quả của lỗi, γn, là 1,0. Độ võng đàn hồi sau đó được thêm vào vị trí không bị võng theo hướng bất lợi nhất và vị trí kết quả được so sánh với yêu cầu không tác động.
7.6.5.5 Độ võng của cánh (đầu cánh)
Một trong những cân nhắc quan trọng nhất là kiểm tra xác nhận rằng không có sự tác động cơ học nào giữa cánh và tháp xảy ra. Hệ số an toàn kết hợp γfγnγm cho khoảng cách giữa cánh và tháp phải ít nhất là 1,15. Nói chung, độ võng của cánh phải được tính toán cho các trường hợp tải tối đa. Độ võng do các trường hợp tải tối đa gây ra có thể được tính toán dựa trên các mô hình dầm, mô hình phần tử hữu hạn hoặc tương tự. Tất cả các trường hợp tải liên quan từ Bảng 2 phải được tính đến với các hệ số an toàn tải từng phần tương ứng. Hơn nữa, đối với DLC 1.1, việc phân tích thống kê về độ võng đầu cánh tối đa hoặc khoảng cách tối thiểu đến tháp là bắt buộc theo 7.4.2. ở đây, có thể sử dụng phân tích độ võng động trực tiếp hoặc phân tích khoảng cách đến tháp. Xác suất theo hướng bất lợi nhất phải giống với giá trị đặc trưng cho tải trọng cánh đặc trưng. Đối với một phần tích độ võng, độ võng đặc trưng sau đó phải được nhân với các hệ số an toàn từng phần kết hợp cho tải, vật liệu và hệ quả của lỗi, và được cộng vào vị trí không bị võng theo hướng bất lợi nhất, rồi vị trí kết quả được so sánh với yêu cầu không tác động. Trong trường hợp phân tích khoảng cách động trực tiếp đến tháp, khoảng cách cho phép tối thiểu được xác định bằng cách nhân khoảng cách danh nghĩa không bị võng của tháp với tỷ lệ của các hệ số an toàn từng phần kết hợp cho tải, vật liệu và hệ quả của lỗi trừ đi một, rồi chia cho hệ số an toàn từng phần kết hợp ![]()
7.6.6 Hệ số an toàn từng phần đặc biệt
Có thể sử dụng các hệ số an toàn từng phần thấp hơn cho tải trọng nếu các độ lớn của tải trọng đã được xác định bằng cách đo hoặc bằng phân tích được xác nhận qua phép đo với mức độ tin cậy cao hơn mức thông thường. Các giá trị của tất cả các hệ số an toàn từng phần được sử dụng phải được ghi rõ trong tài liệu thiết kế.
8 Hệ thống điều khiển
8.1 Quy định chung
Việc vận hành tuabin gió phải tuân theo hệ thống điều khiển đáp ứng các yêu cầu của Điều 8.
Phạm vi của Điều 8 chỉ giới hạn trong việc đảm bảo rằng hệ thống điều khiển cung cấp mức độ bảo vệ phù hợp chống lại sự cố kết cấu của các thành phần chính của tuabin[26].
Đối với các yêu cầu đặc biệt về khí hậu lạnh, xem 14.6.
8.2 Chức năng điều khiển
Các chức năng điều khiển của một tuabin gió phải điều khiển việc vận hành bằng các phương tiện chủ động hoặc thụ động và giữ cho các thông số vận hành nằm trong phạm vi giả định trong thiết kế kết cấu.
Các chức năng điều khiển có thể điều khiển hoặc giới hạn các chức năng hoặc thông số như:
• công suất,
• tốc độ rôto,
• đấu nối tải điện,
• quy trình khởi động và dừng máy,
• xoắn cáp,
• rung quá mức,
• căn chỉnh theo hướng gió, và
• góc nghiêng cánh.
Khả năng của các chức năng điều khiển trong việc kiểm soát tuabin trong điều kiện vận hành không bị lỗi của các chức năng điều khiển phải được chứng minh trong các trường hợp tải thiết kế (nhưng loại trừ các trường hợp tải DLC 2.1 và 2.2).
Khi xảy ra lỗi chức năng điều khiển, tuabin gió phải duy trì chế độ vận hành an toàn, điều này có thể bao gồm việc tiếp tục vận hành hoặc đưa tuabin gió vào trạng thái dừng.
Đáp ứng của tuabin sau khi có sự cố các chức năng điều khiển phải được xác định rõ ràng, bao gồm cả các quy trình khởi động lại tự động hoặc thủ công, xem 8.7.
8.3 Chức năng bảo vệ
Hệ thống điều khiển phải sử dụng các chức năng bảo vệ để ngăn ngừa tình trạng quá tải kết cấu tuabin do các chế độ lỗi gây ra. Các chức năng bảo vệ này có thể được triển khai như các chức năng điều khiển áp dụng các biện pháp thiết kế an toàn tự nhiên[27], hoặc như các chức năng bảo vệ lớp phụ tách biệt.
Khi một chức năng bảo vệ lớp phụ được sử dụng để đưa tuabin vào chế độ vận hành an toàn, nó phải có quyền ưu tiên hơn chức năng điều khiển lớp chính.
Các chức năng bảo vệ chống lại tình trạng quá tải kết cấu phải được triển khai thông qua các kiến trúc đa kênh[28] với khả năng chẩn đoán đủ cao để đạt được thời gian trung bình giữa các lần hỏng hóc (MTBF) đủ cao.
Khả năng bảo vệ của các chức năng bảo vệ chống lại tình trạng quá tải kết cấu phải được chứng minh trong các trường hợp tải thiết kế DLC 2.1 và 2.2, xem 7.4.3.
8.4 Phân tích lỗi hệ thống điều khiển
8.4.1 Quy định chung
Các sự cố hoặc sai số trong các hệ thống thực hiện chức năng điều khiển và bảo vệ có thể dẫn đến một số chế độ lỗi, trong đó chế độ lỗi được định nghĩa là đáp ứng của hệ thống điều khiển trong trường hợp có sự cố hoặc sai số. Những chế độ lỗi này có thể dẫn đến các sự kiện ảnh hưởng đến kết cấu của tuabin.
VÍ DỤ: Sự cố cảm biến có thể dẫn đến hành động điều chỉnh góc nghiêng cánh không chính xác (chế độ lỗi), điều này có thể dẫn đến tốc độ rôto vượt quá mức cho phép (sự kiện).
Các chế độ lỗi của hệ thống điều khiển phải được xác định theo các yêu cầu trong điều này và được đánh giá theo các yêu cầu được nêu trong 7.4.3.
Phân tích FMEA hoặc phân tích sự cố tương đương phải được thực hiện để xác định các sự kiện lỗi liên quan đến tải trọng tuabin gió. Điều này có thể bao gồm phân tích cây sự cố hoặc các phương pháp tương tự để xác định bất kỳ lỗi do nguyên nhân chung nào.
Tập hợp các sự kiện được giải quyết trong phân tích sự cố phải bao gồm ít nhất các yếu tố sau:
a) tốc độ rôto vượt quá mức cho phép;
b) rung quá mức;
c) sản xuất điện quá mức;
d) các sự cố cơ cấu chấp hành, ví dụ như sự cố trong thao tác nghiêng và xoay.
8.4.2 Lỗi độc lập và do nguyên nhân chung
Có thể giả định rằng các sự cố độc lập không xảy ra đồng thời. Nếu giả định các sự cố là độc lập, các biện pháp chống lại các lỗi do nguyên nhân chung phải được thực hiện và cần có độ bao phủ chẩn đoán đủ để bảo vệ khỏi các lỗi tiềm ẩn.[29]
8.4.3 Loại trừ sự cố
Các lỗi hệ thống điều khiển cần phải loại trừ[30] sự cố như được mô tả trong các tiêu chuẩn được thừa nhận có thể được loại bỏ.
Tất cả các thành phần cơ khí của hệ thống điều khiển, trong đó phải áp dụng loại trừ sự cố, phải được xem xét trong thành phần loại 3 với một hệ số an toàn thích hợp về hệ quả của lỗi (như định nghĩa trong 7.6). Tất cả các thành phần quan trọng như vậy phải được phân tích về độ bền cực hạn, mỏi, cong vênh và độ võng cực hạn.
8.4.4 Chu kỳ lặp lại chế độ lỗi
Nếu chu kỳ lặp lại chế độ lỗi được tính đến trong tính toán tải trọng (xem 7.4.3.2), thì thời gian này phải được chứng minh bằng các phương pháp được thừa nhận.
Đối với các thành phần cơ khí, chu kỳ lặp lại chế độ lỗi chỉ cần được thiết lập nếu các loại trừ sự cố không áp dụng.[31]
8.4.5 Lỗi hệ thống
Đối với các chức năng bảo vệ và các chức năng điều khiển, trong đó yêu cầu chu kỳ lặp lại chế độ lỗi lớn hơn 10 năm, các biện pháp để tránh lỗi hệ thống[32] (bao gồm các lỗi phần mềm) theo các tiêu chuẩn được thừa nhận phải được áp dụng.
8.5 Vận hành bằng tay
Tác động bằng tay hoặc tự động không được làm suy giảm khả năng của hệ thống điều khiển để giữ cho tuabin trong giới hạn. Bất kỳ thiết bị nào cho phép tác động bằng tay phải được hiển thị rõ ràng và có thể nhận diện, với ghi nhãn thích hợp nếu cần.
Khi có thể lựa chọn chế độ điều khiển, ví dụ như trong bảo trì, việc chọn chế độ phải được thực hiện bằng một bộ chọn, có thể khóa ở mỗi vị trí tương ứng với một chế độ duy nhất.
Chế độ đặt của hệ thống điều khiển phải được bảo vệ chống sự can thiệp chưa được cấp quyền.
8.6 Chức năng nút dừng khẩn cấp
Chức năng nút dừng khẩn cấp phải được thực hiện bằng các phương pháp và nguyên tắc thiết kế thừa nhận, ví dụ như được nêu trong ISO 13850, cung cấp hướng dẫn về sẵn có, vị trí, lựa chọn chức năng dừng và đáp ứng đặt lại của nút dừng khẩn cấp.
Phải quy định loại chức năng dừng nào được chọn. Ngoài ra, bất kỳ chức năng nào được yêu cầu từ hệ thống điều khiển khi nút dừng khẩn cấp được kích hoạt cũng phải được nêu rõ[33].
Đáp ứng của tất cả các hệ thống ảnh hưởng đến tải trọng kết cấu khi kích hoạt nút dừng khẩn cấp phải được quy định rõ ràng.
VÍ DỤ 1: Ngắt kết nối các hệ thống điện có thể ảnh hưởng đến tải trọng của hệ truyền động.
Khi đáp ứng của chức năng dừng khẩn cấp phụ thuộc vào các điều kiện vận hành, các phụ thuộc này phải được xác định rõ ràng.
VÍ DỤ 2: Việc áp dụng phanh đĩa cơ học trong trường hợp kích hoạt nút khẩn cấp có thể phụ thuộc vào tốc độ quay và/hoặc tốc độ gió, v.v.
Ảnh hưởng của việc kích hoạt nút dừng khẩn cấp phải được đánh giá theo DLC 5.1 cho tất cả các kịch bản vận hành có liên quan (xem 7.4).
8.7 Khởi động lại thủ công, tự động và từ xa
Các cơ chế để khởi động lại tuabin sau khi dừng phải được xác định rõ ràng và đáp ứng các yêu cầu dưới đây.
Đáp ứng khởi động lại tuabin và quy trình khởi động lại[34] sau khi xảy ra sự cố trong chức năng điều khiển phải được xác định dựa trên phân tích chế độ lỗi (ví dụ như thông qua phân tích cây sự cố).
Nếu các lỗi trong các chức năng xác định liệu việc khởi động lại có thể xảy ra hay không có thể ảnh hưởng đến tải trọng của tuabin, thì các sự cố này nên được coi là các sự kiện sự cố của hệ thống điều khiển như được xác định trong 8.4.1.
Đáp ứng sau khi xảy ra lỗi trong chức năng điều khiển có thể được xác định bằng các quy trình tự động hoặc thủ công, thực hiện tại chỗ hoặc từ xa. Trong trường hợp khởi động lại từ xa, điều này phải bao gồm bất kỳ cuộc kiểm tra từ xa nào cần thiết (ví dụ, thông qua việc sử dụng camera từ xa và/hoặc dữ liệu SCADA) và các tiêu chí thích hợp cần phải được đáp ứng trước khi cho phép khởi động lại từ xa một cách an toàn.
Khởi động lại tự động không được phép trừ khi các tiêu chuẩn tự động chẩn đoán và các tiêu chí cần thiết để đảm bảo rằng tuabin vẫn an toàn (tức là trong giới hạn rủi ro chấp nhận được của hỏng hóc tuabin) sau khi khởi động lại đã được xác định.
VÍ DỤ: Các chẩn đoán như vậy có thể bao gồm việc kiểm tra xác nhận tự động rằng các giới hạn thiết kế kết cấu đối với tốc độ rôto và gia tốc đỉnh tháp không bị vượt quá.
Các rủi ro và hệ quả của việc khởi động lại từ xa không mong muốn (ví dụ, do lỗi hệ thống liên lạc) phải được xem xét.
Một tuabin có khả năng khởi động lại tự động hoặc từ xa phải được trang bị phương tiện để vô hiệu hóa tại chỗ và khóa chức năng khởi động lại tự động và chức năng khởi động lại từ xa.
Tuabin không được khởi động lại một cách không chính xác do các yếu tố bên ngoài như mất (và khôi phục) điện lưới hoặc tải bên ngoài hoặc do các hành động bảo trì.
Số lượng và tần suất của các lần khởi động lại từ xa hoặc tự động được phép phải được xác định rõ ràng dựa trên các giả định dừng trong đánh giá tải trọng thiết kế. Chức năng khởi động lại phải đảm bảo rằng các giới hạn này không bị vượt quá.
Việc đánh giá tải trọng thiết kế phải xem xét hệ quả của việc khởi động lại lặp đi lặp lại đến các giới hạn đã được xác định ở trên.
Chức năng kiểm soát số lượng và tần suất khởi động lại từ xa hoặc tự động được cho phép không được bị ảnh hưởng sai lệch bởi các yếu tố bên ngoài như mất (và khôi phục) nguồn điện lưới hoặc tải trọng bên ngoài hay do các hành động bảo trì.
8.8 Hệ thống phanh
Cần phải có khả năng đưa rôto vào chế độ không tải hoặc dừng hoàn toàn từ bất kỳ điều kiện vận hành nào, kể cả khi mất điện.
Cần cung cấp các phương tiện để đưa rôto vào trạng thái dừng hoàn toàn trong bất kỳ tốc độ gió nào thấp hơn giới hạn tốc độ gió được xác định cho bảo trì và sửa chữa, xem 7.4.9, trừ khi điều này được loại trừ rõ ràng dựa trên kết quả của đánh giá rủi ro.
Khuyến nghị ít nhất một hệ thống phanh hoạt động dựa trên nguyên lý khí động học, hoạt động trực tiếp lên rôto. Nếu khuyến nghị này không được đáp ứng, ít nhất một hệ thống phanh phải tác động trực tiếp lên trục được nối với rôto hoặc lên chính rôto của tuabin gió.
Nếu một hệ thống phanh được thiết kế để đưa rôto vào trạng thái dừng khi kích hoạt dừng khẩn cấp, nó phải có khả năng giữ rôto ở trạng thái dừng trong các điều kiện gió đã xác định ít nhất một giờ sau khi nó được áp dụng.
9 Hệ thống cơ khí
9.1 Quy định chung
Hệ thống cơ khí, theo định nghĩa của tiêu chuẩn này, là bất kỳ hệ thống nào không chỉ bao gồm các thành phần kết cấu tĩnh hoặc các thành phần điện, mà còn sử dụng hoặc truyền động tương đối thông qua sự kết hợp của các trục, liên kết, ổ trục, thanh trượt, bánh răng và các thiết bị khác. Trong một tuabin gió, các hệ thống này có thể bao gồm các phần của hệ thống truyền động như hộp số, trục và khớp nối, và các thiết bị phụ trợ như phanh, điều khiển góc cánh quạt, cơ cấu điều khiển góc xoay. Các thiết bị phụ trợ có thể được điều khiển bằng điện, thủy lực hoặc khí nén.
Tất cả các hệ thống cơ khí trong hệ thống truyền động và trong hệ thống điều khiển phải được thiết kế theo các tiêu chuẩn IEC hoặc ISO nếu có sẵn. Nếu không, các tiêu chuẩn được được thừa nhận được sử dụng. Các hệ số an toàn từng phần phải phù hợp với thành phần loại 2 trong 7.6.1.3, trừ khi hệ thống thuộc thành phần loại 3.
Cần đặc biệt chú ý để đảm bảo rằng các hệ thống làm mát và lọc có thể duy trì các điều kiện vận hành liên quan trong suốt phạm vi nhiệt độ vận hành khi các quy trình bảo trì đã được quy định được tuân theo.
Tuổi thọ còn lại của bất kỳ thành phần nào bị mòn trong hệ thống phanh phải được giám sát tự động và được kiểm tra định kỳ. Tuabin phải được dừng khi không còn đủ vật liệu để thực hiện các lần dừng khẩn cấp tiếp theo. Tất cả các thiết bị phanh phải được thiết kế và bảo trì để giữ thời gian phản hồi trong giới hạn chấp nhận được.
Tính toán tải trọng phải dựa trên các mô phỏng bao gồm cả mức phanh trung bình và mức phanh tối thiểu cho phép ma sát và áp suất ứng dụng tối thiểu được dự đoán cho thiết kế. Nếu phanh có thể trượt ở mức phanh tối thiểu khi phanh được áp dụng, nó phải được thiết kế để tránh quá nhiệt và suy giảm hiệu suất phanh cũng như tránh nguy cơ cháy nổ.
Đối với các yêu cầu về khí hậu lạnh, xem 14.7.
9.2 Các lỗi lắp ráp
Lỗi có nhiều khả năng phạm phải khi lắp ráp hoặc ráp lại các bộ phận nhất định mà những lỗi này có thể là nguồn gây rủi ro thì phải không thể để xảy ra bằng cách thiết kế các bộ phận này hoặc nếu không, bằng thông tin cung cấp trên bản thân các bộ phận này và/hoặc vỏ bọc của chủng. Thông tin tương tự phải được đưa ra trên các bộ phận chuyển động và/hoặc vỏ bọc của chúng trong trường hợp hướng dịch chuyển phải được biết trước để tránh rủi ro. Bất kỳ thông tin nào khác có thể cần thiết phải được đưa ra trong hướng dẫn vận hành và hướng dẫn bảo trì.
Trong trường hợp một lỗi kết nối có thể là nguồn gây rủi ro, các kết nối không chính xác được thực hiện không thể theo thiết kế hoặc phần này bị sự cố, biện pháp phòng ngừa phải được thực hiện để tránh lỗi kết nối theo thông tin được cung cấp trên các đường ống, ống mềm và/hoặc các khối kết nối.
9.3 Hệ thống thủy lực hoặc khí nén
Khi các bộ phận phụ trợ được chạy bằng năng lượng thủy lực hoặc khí nén, các hệ thống phải được thiết kế, cấu tạo và trang bị sao cho tránh được tất cả các nguy hiểm tiềm ẩn liên quan đến các loại năng lượng này. Các phương tiện cách ly hoặc phóng năng lượng tích lũy phải được đưa vào các hệ thống này. Tất cả các đường ống và/hoặc ống mềm mang dầu thủy lực hoặc khí nén và các phụ kiện kèm theo phải được thiết kế để chịu được hoặc được bảo vệ tránh các ứng suất dự kiến bên trong và bên ngoài. Phải thực hiện các biện pháp phòng ngừa để giảm thiểu rủi ro thương tích do nứt vỡ.
9.4 Hộp số chính
Hộp số chính phải được thiết kế theo TCVN 10687-4 (IEC 61400-4).
9.5 Hệ thống xoay
Hệ thống xoay có thể bao gồm các phương tiện để duy trì một hướng xoay cố định (ví dụ: phanh thủy lực), các phương tiện để thay đổi hướng đó (ví dụ: động cơ điện, hộp số và bánh răng) và các phương tiện để dẫn hướng xoay (ví dụ: ỗ trục).
Bất kỳ động cơ nào cũng phải tuân thủ các phần liên quan của Điều 10.
Các bộ phận dự phòng của hệ thống bánh răng như bánh răng cuối của chuyển động xoay được xem như thành phần loại 2. Khi nhiều bánh răng xoay tuabin đảm bảo dự phòng đủ trong hệ thống dẫn động xoay tuabin, và có thể thay thế dễ dàng, hộp số giảm tốc và bánh răng cuối dẫn động có thể được xem như thành phần loại 1.
Sự an toàn chống lại hiện tượng rỗ bề mặt (pitting) phải được xác định theo ISO 6336-2. Cho phép áp dụng đường giới hạn trên (1) cho hệ số tuổi thọ ZNT, cho phép rỗ bề mặt có giới hạn. Độ bền uốn của răng bánh răng phải được chứng minh theo ISO 6336-3. Các tải ngược lên răng bánh răng phải được xem xét theo ISO 6336-3:2006, Phụ lục B. Các giá trị tối thiểu cho SF và SH được quy định trong Bảng 4. Các giá trị này phải được đạt được bằng cách sử dụng các tải trọng đặc trưng Fk. Do đó, SF và SH bao gồm hệ số an toàn từng phần cho hệ quả, γn, vật liệu, γM và tải trọng, γf.
Bảng 4 - Hệ số an toàn tối thiểu SH,min và SF,min cho hệ thống bánh răng xoay tuabin
|
| Thành phần loại 1 | Thành phần loại 2 |
| Độ bền bề mặt (rỗ bề mặt) | SH,min= T0 | SH,min= 1.1 |
| Độ bền mỏi uốn của bánh răng | SF,min ≥ 1,1 | SF,min = 1.25 |
| Độ bền uốn tĩnh | SF,min ≥ 1,0 | SF,min= 1,2 |
Tuy nhiên, các hệ số an toàn thấp hơn, SF và SH, có thể được áp dụng trong các trường hợp có hệ thống giám sát hiệu quả. Nếu các hệ số an toàn dưới 1,0 được áp dụng, thì sổ tay bảo trì phải phản ánh các khoảng thời gian thay thế dự kiến.
9.6 Hệ thống nghiêng
Hệ thống nghiêng có thể bao gồm các phương tiện để điều chỉnh góc nghiêng cánh (ví dụ: bộ truyền động thủy lực, động cơ điện, hộp số, phanh và bánh răng) và các phương tiện để dẫn hướng quay (ví dụ: ổ trục).
Các động cơ phải tuân thủ các phần liên quan trong Điều 10. Đối với các hệ thống nghiêng cánh với các bộ truyền động riêng rẽ đảm bảo độ dự phòng đủ, những hệ thống này có thể được xem xét thuộc thành phần loại 2.
Đối với thành phần loại 2, hộp số và bánh răng phải tuân thủ các phần liên quan trong 9.5.
9.7 Phanh cơ khí thực hiện chức năng bảo vệ
Khi phanh cơ khí được sử dụng cho chức năng bảo vệ (xem 7.4.3.3), chúng thường là các thiết bị ma sát tác dụng bằng áp lực thủy lực hoặc lò xo cơ khí. Tuổi thọ còn lại của các thành phần chịu mài mòn bất kỳ, như các má ma sát, phải được giám sát bằng hệ thống bảo vệ và điều khiển, để giữ tuabin ở chế độ không làm việc khi chưa có đủ điều kiện cho lần dừng khẩn cấp tiếp theo..
Việc tính toán tải trọng phải dựa trên các mô phỏng bao gồm một phạm vi phù hợp của mức phanh. Nếu phanh có thể trượt ở trạng thái dừng ở mức phanh tối thiểu, bất cứ khi nào phanh phải giữ cho tuabin gió ở trạng thái đứng yên, thời gian trượt trong gió xoáy phải đủ ngắn để tránh quá nhiệt, suy giảm hiệu suất phanh và tránh rủi ro cháy.
9.8 Ổ lăn
9.8.1 Quy định chung
Cơ sở của phân tích thông số đặc trưng của ổ lăn phải tuân theo TCVN 8029 (ISO 76), TCVN 4173 (ISO 281).và ISO/TS 16281. Việc tính toán phải xem xét các điều kiện hoạt động thực tế và điều kiện bôi trơn cũng như môi trường ổ lăn. Bất kỳ hệ số điều chỉnh tuổi thọ nào theo TCVN 4173 (ISO 281) và ISO/TS 16281 đều phải được áp dụng một cách thận trọng.
Các tải trọng thiết kế phải phản ánh các tải trọng được xác định trong các trường hợp tải trọng khác nhau trong 7.4 và các hệ số an toàn thích hợp trong 7.6. Thiết kế ổ lăn phải xem xét số lượng quay dự kiến trong suốt vòng đời của nó và liệu các vòng quay đó có liên tục hay gián đoạn.
9.8.2 Ổ trục chính
Tuổi thọ danh định tham chiếu sửa đổi L10mr (xác suất tồn tại 90 %) của các ổ trục chính phải đạt hoặc vượt quá tuổi thọ thiết kế quy định của tuabin gió.
9.8.3 Ổ trục máy phát điện
Tuổi thọ danh định tham chiếu sửa đổi L10mr (xác suất tồn tại 90%) của các ổ trục máy phát điện phải đạt hoặc vượt quá tuổi thọ thiết kế quy định của tuabin gió.
Các ổ trục máy phát điện có thể thay thế trong tuabin gió mà không cần công cụ đặc biệt có thể được quy định cho tuổi thọ thiết kế ngắn hơn.
9.8.4 Ổ trục nghiêng và xoay hướng
Đối với các ổ trục nghiêng và xoay hướng, tỷ lệ giữa định mức tĩnh và tải thiết kế phải ít nhất là 1,0 theo TCVN 8029 (ISO 76). Phân bố tải do sự linh hoạt của các phần liên kết phải được xem xét cẩn thận.
Các ổ trục được sử dụng trong hệ thống chuyển động nghiêng và xoay, tiếp xúc với chuyển động gián đoạn, dao động. Do đó, cần xem xét tác động tiềm ẩn của việc bôi trơn không đầy đủ do chuyển động nhỏ.
10 Hệ thống điện
10.1 Quy định chung
Hệ thống điện của một tuabin gió bao gồm tất cả các thiết bị điện được lắp đặt trong mỗi tuabin gió, bao gồm cả các đầu nối tuabin gió; dưới đây được gọi là "hệ thống điện tuabin gió".
Điều 10 bao gồm các thành phần điện cụ thể cho các thiết kế tuabin gió có các đặc tính và chức năng không thường được đề cập trong các tiêu chuẩn hệ thống hoặc thành phần khác. Điều 10 cũng đề cập đến các thành phần chung của tuabin gió nhưng không bao gồm tất cả. Các thành phần cụ thể được xác định bởi thiết kế tuabin và các thành phần và cụm này phải được đánh giá theo các điều kiện điện cơ học và môi trường lắp đặt như được định nghĩa trong 10.2.
Hệ thống thu gom điện không được bao gồm trong tiêu chuẩn này.
10.2 Yêu cầu chung đối với hệ thống điện
Thiết kế hệ thống điện phải đảm bảo giảm thiểu các nguy hiểm cho con người và vật nuôi cũng như giảm thiểu các hỏng hóc tiềm ẩn cho tuabin gió và hệ thống điện bên ngoài khi vận hành và bảo trì trong các điều kiện bên ngoài bình thường và cực trị (như được định nghĩa trong 6.4.2 và 6.4.3) cho khu vực cụ thể nơi thiết bị vận hành, bao gồm các tác động bổ sung liên quan đến tua bin tổng thể và các đánh giá môi trường của nó. Các thành phần và cụm lắp ráp về điện phải được xếp hạng theo các điều kiện điện và môi trường vận hành của chúng.
Thiết bị điện cần được thiết kế để bảo vệ khỏi các hiện tượng phóng điện hồ quang tiềm ẩn bằng cách sử dụng các tiêu chuẩn quốc gia hoặc quốc tế được được thừa nhận và các phương pháp đánh giá rủi ro.
Đối với các yêu cầu khí hậu lạnh, xem 14.8.
Trừ khi được quy định khác trong tiêu chuẩn này, thiết kế của hệ thống điện tua bin gió phải tuân thủ các yêu cầu của TCVN 12669-1 (IEC 60204-1). Đối với thiết bị có các mạch đầu vào và đầu ra ở điện áp danh nghĩa lớn hơn 1 000 V AC hoặc 1 500 V DC, các yêu cầu áp dụng của TCVN 12669-11 (IEC 60204-11) phải được áp dụng. Nhà sản xuất phải nêu rõ các tiêu chuẩn thiết kế được sử dụng. Thiết kế của hệ thống điện phải tính đến bản chất biến động của quá trình phát điện từ tuabin gió.
10.3 Điều kiện môi trường bên trong
Các điều kiện môi trường bên trong tua bin có thể khác với điều kiện môi trường bên ngoài.
Điều kiện môi trường phải được xác định cho các vị trí mà tất cả các thành phần chính và cụm lắp ráp con trong tuabin gió được đặt và phải được thực hiện theo IEC 60721 (tất cả các phần). Các vị trí cần xem xét thường bao gồm, nhưng không giới hạn ở, hub, các phần tháp, vỏ tuabin, chân tháp, và tầng hầm tháp.
Điều kiện môi trường bên trong phụ thuộc vào các hệ thống kiểm soát môi trường cụ thể và ô nhiễm môi trường dự kiến được bao gồm trong thiết kế tuabin cụ thể. Cần xem xét hệ thống sưởi, làm mát và thông gió chủ động.
Nhà sản xuất phải xác định các điều kiện dịch vụ sau đây cho vận hành, lưu trữ và vận chuyển của từng phần phụ và thành phần chính của tuabin. Nếu áp dụng, các phân loại từ IEC 60721 (tất cả các phần) phải được sử dụng:
• nhiệt độ chất làm mát (tối thiểu/tối đa);
• nhiệt độ môi trường (tối thiểu/tối đa);
• độ ẩm (tối thiểu/tối đa);
• độ nhiễm bẩn;
• rung;
• OVC (phân cấp quá điện áp);
• độ cao tính toán nhiệt, nếu được đánh giá cho vận hành trên 1 000 m;
• độ cao cho các xem xét phối hợp cách điện, nếu được đánh giá cho vận hành trên 2 000 m.
Việc xác định các điều kiện môi trường này là cơ sở cho phối hợp cách điện được xác định trong 10.3. TCVN 10884-1 (IEC 60664-1) và TCVN 10884-3 (IEC 60664-3) đối với thiết bị có điện áp danh định lên đến 1 000 V AC và IEC 60071-1 và IEC 60071-2 đối với thiết bị có điện áp danh định trên 1 000 V AC phải được sử dụng để đánh giá yêu cầu phối hợp cách điện cho thiết bị tuabin gió cụ thể trừ khi được quy định khác bởi các yêu cầu thành phần cụ thể trong tiêu chuẩn này. Đánh giá phối hợp cách điện này phải xem xét việc phân cấp quá điện áp, độ nhiễm bẩn và điều kiện môi trường cho thiết bị điện trong tuabin.
Các điều kiện môi trường tối thiểu trong tuabin phải được xem xét với độ nhiễm bẩn mức độ 3. Các khu vực cụ thể nơi có ô nhiễm dẫn điện như bụi chổi trượt và bụi phanh phải được xem xét với độ nhiễm bẩn mức độ 4.
Độ nhiễm bẩn có thể được giảm bớt trong một số khu vực của thiết bị bằng cách sử dụng lớp bọc, lớp phủ phù hợp, v.v. Việc giảm độ nhiễm bẩn trong toàn bộ thiết bị cũng có thể đạt được bằng cách sử dụng các hộp bảo vệ theo TCVN 4255 (IEC 60529). có thể thực hiện các biện pháp để kiểm soát và
giảm độ nhiễm bẩn tại các vị trí cách điện bằng các tính năng thiết kế hoặc cân nhắc các đặc điểm vận hành của thành phần hoặc thiết bị.
Độ nhiễm bẩn 2 có thể đạt được bằng cách giảm khả năng tích tụ mảnh vụn (thông gió lọc) và ngưng tụ hoặc độ ẩm cao tại các vị trí cách điện. Việc áp dụng nhiệt liên tục, thông qua việc sử dụng các bộ sưởi hoặc cấp nguồn liên tục cho thiết bị khi nó đang vận hành, có thể được sử dụng để kiểm soát sự ngưng tụ. cấp nguồn liên tục được coi là tồn tại khi thiết bị vận hành không bị gián đoạn mỗi ngày và 24 h mỗi ngày hoặc khi thiết bị vận hành với các khoảng thời gian ngắt không cho phép làm mát đến mức xảy ra sự ngưng tụ.
Độ nhiễm bẩn 1 có thể đạt được bằng cách đổ đầy, đúc thiết bị hoặc mạch hoặc bằng cách bao bọc nó trong một vỏ bọc IP 67.
Quá điện áp cấp IV phải được áp dụng để xác định khoảng cách cách điện trong các khu vực chung bên trong tuabin gió. Các thiết bị bảo vệ quá điện áp, nếu được sử dụng, phải bao gồm các mạch giám sát hoặc các phương tiện tự động khác để chỉ ra rằng thiết bị bảo vệ quá điện áp đã bị lỗi. Việc sử dụng bảo vệ quá điện áp có thể được sử dụng để giảm cục bộ hạng mục quá điện áp xuống dưới IV cho thiết bị hoặc mạch cụ thể.
Sét đánh trực tiếp hoặc gần đó có thể gây ra điều kiện quá điện áp cao trong các hệ thống điện bên ngoài và hệ thống điện tuabin gió, bao gồm các mạch thiết bị trên toàn bộ hub, vỏ tuabin và tháp. Các thiết bị bảo vệ quá điện áp, nếu được sử dụng, phải được lắp đặt gần thiết bị được bảo vệ.
10.4 Thiết bị bảo vệ
Hệ thống điện của tuabin gió phải, ngoài các yêu cầu của bộ IEC 60364, bao gồm các thiết bị phù hợp để đảm bảo bảo vệ chống lại sự cố chức năng, dù là bên trong tuabin gió, thiết bị, các phần phụ và thành phần, hoặc do sự cố của hệ thống điện bên ngoài có thể dẫn đến tình trạng hoặc điều kiện không an toàn. Các chức năng bảo vệ bao gồm: ngắn mạch, quá dòng, sự cố chạm đất, quá nhiệt và sự cố hồ quang.
10.5 Ngắt kết nối từ nguồn cung cấp
Thiết bị ngắt kết nối có thể khóa được phải được cung cấp để ngắt kết nối thiết bị khỏi từng nguồn cung cấp điện có điện áp nguy hiểm hoặc vượt quá các giá trị về năng lượng nguy hiểm hoặc từ đó điện áp hoặc năng lượng nguy hiểm được tạo ra. Các mức điện áp và năng lượng nguy hiểm được định nghĩa trong TCVN 12669-1 (IEC 60204-1) và TCVN 12669-11 (IEC 60204-11).
Dừng khẩn cấp không được thiết kế để cung cấp chức năng ngắt kết nối hàng ngày cho mục đích này.
Các thiết bị đóng cắt bán dẫn không có các tiếp điểm ngắt bổ sung bằng khoảng hở không khí không phù hợp để đáp ứng các yêu cầu của 10.4.
Khi hệ thống chiếu sáng hoặc các hệ thống điện khác là cần thiết cho sự an toàn trong quá trình bảo trì, các mạch phụ trợ phải được trang bị các thiết bị ngắt kết nối riêng, để các mạch này có thể vẫn được cấp nguồn trong khi tất cả các mạch khác được ngắt nguồn.
Các mạch và thiết bị có điện áp danh định trên 1 000 V AC hoặc 1 500 V DC phải tuân thủ Điều 5 của IEC 60204-11:2000.
10.6 Hệ thống nối đất
Tuabin gió phải được trang bị hệ thống điện cực nối đất cục bộ để đáp ứng các yêu cầu của IEC 60364 (tất cả các phần) (cho hoạt động chính xác của lắp đặt điện) và TCVN 9888-3 (IEC 62305-3) (cho bảo vệ chống sét).[35]
Phạm vi các đặc điểm của đất mà hệ thống điện cực nối đất là đủ phải được nêu trong tài liệu thiết kế, cùng với các khuyến nghị nếu gặp các đặc điểm của đất khác.
Lựa chọn và lắp đặt thiết bị của hệ thống nối đất (điện cực nối đất, dây nối đất, đầu nối chính và thanh nối đất) phải được thực hiện theo IEC 60364-5-54.
Các điều phải được thực hiện trong bất kỳ hệ thống điện nào hoạt động trên 1 000 V AC hoặc 1 500 V DC để nối đất trong quá trình bảo trì theo TCVN 12669-11 (IEC 60204-11).
10.7 Bảo vệ chống sét
Hệ thống bảo vệ sét của tuabin gió phải được thiết kế theo TCVN 10687-24 (IEC 61400-24). Phương pháp dựa trên rủi ro phải được áp dụng trong thiết kế hệ thống bảo vệ sét với sự chú ý đến rủi ro hỏng hóc và an toàn của nhân viên.
Thiết kế phải xem xét việc bảo vệ các khu vực sau:
• cánh rôto;
• hub/mũ hub;
• vỏ tuabin;
• tháp.
Các thành phần hệ thống bổ sung như máy biến áp bên ngoài và thiết bị chuyển mạch ngoài phạm vi của tiêu chuẩn này cũng có thể cần được kết nối và/hoặc đưa vào hệ thống bảo vệ sét.
Việc bảo vệ các hệ thống điện trong tuabin phải tuân theo phương pháp bảo vệ sét như được quy định trong TCVN 9888-4 (IEC 62305-4), với thiết kế kết hợp các thiết bị liên kết, che chắn và chống sét lan truyền.
Các yêu cầu thiết kế của hệ thống bảo vệ sét được cung cấp trong TCVN 10687-24 (IEC 61400-24).
10.8 Cáp điện
Cáp điện phải được phân loại theo các ứng dụng về điện, khả năng cháy, cơ học và môi trường mà chúng được sử dụng và phải được lắp đặt theo cách mà chúng được phân loại.
Nếu có khả năng xảy ra sự hư hại do động vật gặm nhấm hoặc động vật khác, cáp bọc thép hoặc ống dẫn cần được sử dụng.
• Cáp phải được bảo vệ hoặc phân loại để giảm thiểu nguy cơ cháy trong trường hợp xảy ra sự cố.
• Cáp điều khiển phải được phân tách và/hoặc bảo vệ khỏi cáp nguồn trừ khi các hỏng cách điện được xem xét cụ thể trong phân tích sự cố.
• Kẹp cáp, giá đỡ và bộ giảm căng phải phù hợp với loại cáp để ngăn ngừa hư hại cho lớp cách điện của cáp.
• Cáp phải được bảo vệ hoặc đặt ở vị trí thích hợp để ngăn ngừa hư hại do ma sát và mài mòn.
10.9 Tự kích hoạt
Bất kỳ hệ thống điện nào có khả năng tự kích hoạt tuabin gió phải được ngắt kết nối và duy trì ở trạng thái ngắt kết nối an toàn trong trường hợp mất nguồn lưới.
Nếu một dãy tụ được nối song song với máy phát điện cảm ứng (tức là để bù hệ số công suất), một chuyển mạch phù hợp được yêu cầu để ngắt dãy tụ bất cứ lúc nào khi mất điện lưới, để tránh tự kích thích máy phát. Một cách khác, nếu trang bị các tụ điện, phải thích hợp để cho thấy rằng các tụ điện không thể là nguyên nhân gây tự kích hoạt.
10.10 Bảo vệ chống xung sét điện từ
Bảo vệ quá điện áp phải được thiết kế theo yêu cầu của TCVN 9888-4 (IEC 62305-4).
Giới hạn của bảo vệ phải được thiết kế sao cho bất kỳ xung sét điện từ nào truyền đến thiết bị điện không vượt quá các giới hạn do mức cách điện của thiết bị quy định.
10.11 Chất lượng điện năng
Các quy trình trong IEC 61400-21 có thể được sử dụng để chứng minh việc tuân thủ các yêu cầu của nhà vận hành mạng phân phối công cộng hoặc truyền dẫn công cộng.
10.12 Tương thích điện từ
Miễn nhiễm đối với các nhiễu bức xạ và nhiễu dẫn, tất cả các thành phần điện được lắp đặt trong tuabin gió phải đáp ứng các yêu cầu của các tiêu chuẩn sản phẩm liên quan và không được thấp hơn yêu cầu lớn hơn của IEC 61000-6-2 hoặc các yêu cầu được xác định trong đánh giá an toàn chức năng của hệ thống điều khiển theo Điều 8.
10.13 Hệ thống và thiết bị biến đổi điện tử công suất
Bộ biến đổi phải được đánh giá cho môi trường lắp đặt của nó như được xác định ở Bảng 18 của IEC 62477-1:2012. Phần bên trong của tuabin không được coi là không gian được ổn định. Nếu bộ biến đổi được lắp đặt trong không gian được ổn định thì phải được đánh giá cho môi trường đó. Độ nhiễm bẩn phải được chọn dựa trên độ xâm nhập của hơi ẩm từ độ ẩm và ngưng tụ do thời gian dài không có điện. Các điều kiện dịch vụ môi trường được định nghĩa trong IEC 62477-1 có thể được sửa đổi để phù hợp với ứng dụng cụ thể trong tuabin.
IEC 61800-4 phải được áp dụng cho các bộ biến đổi hoạt động ở điện áp lớn hơn 1 000 V AC hoặc 1 500 V DC.
Các điều khiển và bảo vệ bộ biến đổi cũng phải tuân thủ các yêu cầu áp dụng trong Điều 8.
10.14 Vòng xoắn/vòng chống nhỏ giọt
Dây dẫn phải chịu sự di chuyển, uốn hoặc xoắn trong quá trình vận hành của tuabin gió phải được kiểm tra để đảm bảo tính phù hợp trong điều kiện ứng dụng và tuổi thọ danh định.
Nếu vận hành của tuabin gió có thể dẫn đến việc xoắn các cáp mềm, ví dụ như các cáp kết nối giữa các phần quay (vỏ tuabin) và các phần của kết cấu cố định (tháp hoặc nền móng), điều kiện vận hành không được gây hư hại cho các dây dẫn hoặc cách điện của chúng. Việc đánh giá phải xem xét tuổi thọ dịch vụ, điều kiện vận hành điện và môi trường của bộ phận.
Bộ điều khiển ngăn ngừa hư hại cho các dây dẫn hoặc cách điện của chúng bao gồm các giới hạn xoay cũng phải được coi là một phần của hệ thống điều khiển.
Khi nhiều cáp được nhóm lại hoặc buộc cùng nhau, tải trọng lắp ráp phải được phân bố sao cho các cáp riêng rẽ không chịu tải vượt quá thông số đặc trưng của chúng.
Các cụm hỗ trợ cấp phải được thiết kế cho tải trọng cơ học và lực xoắn trong quá trình vận hành.
Kích cỡ cáp và thông số nhiệt độ phải được đánh giá dựa trên nhiệt độ vận hành của cụm lắp ráp kể cả kích cỡ đại diện và số lượng cáp được xoắn toàn bộ, mang dòng điện bình thường tối đa và bao gồm các đầu nối điện tương tự về khoảng cách trong ứng dụng cuối cùng.
10.15 Vòng trượt
Vòng trượt phải tuân thủ 10.2 và các phần áp dụng của TCVN 12669-1 (IEC 60204-1) và phải được phân loại cho các điều kiện điện và môi trường mà chúng phải chịu trong tuabin. Các vòng trượt phải được phân loại cho các điều kiện vận hành bình thường và bất thường (quá tải) mà chúng có thể phải chịu. Đánh giá bình thường của một vòng trượt dựa trên tải điện của mạch. Đánh giá quá tải phải dựa trên khả năng chịu dòng điện sự cố của mạch nguồn và có thể tính đến bảo vệ quá dòng nếu có.
Các vòng trượt được sử dụng trong các mạch điện và điều khiển quan trọng về mặt an toàn phải được trang bị các phương tiện để xử lý lỗi và hao mòn.
10.16 Truyền tải điện theo phương thẳng đứng và các thành phần
Các hệ thống truyền tải điện theo phương thẳng đứng chạy lên tháp, ví dụ như hệ thống dựa trên thanh cái và hệ thống dựa trên cáp, phải tuân thủ các tiêu chuẩn thành phần tương ứng. Các tiêu chuẩn này là IEC 61439-1 và IEC 61439-6 cho hệ thống dựa trên thanh cái và IEC 60364-5-52 cho hệ thống dựa trên cáp.
Các dây dẫn và thành phần phải tuân thủ tiêu chuẩn áp dụng của chúng liên quan đến: phạm vi nhiệt độ vận hành, điều kiện môi trường, cách điện, khả năng chống xung điện và khả năng chịu ngắn mạch cần thiết cho điều kiện điện và môi trường trong tuabin.
Thiết bị truyền tải điện theo phương thẳng đứng phải được chế tạo với độ bền cơ học đủ để chịu đựng các lực cơ học có thể xảy ra (uốn cong, di chuyển và tải trọng) cho việc sử dụng của nó được xác định từ kết quả của các trường hợp tải thiết kế cho thành phần cụ thể trong tuabin cụ thể. Các phần của dây dẫn và thành phần truyền tải điện theo phương thẳng đứng phải được gắn chặt vào tháp hoặc các thành phần của tháp dự định hỗ trợ lắp ráp.
Việc đánh giá các hệ thống truyền tải điện theo phương thẳng đứng phải tính đến các điều kiện sau:
a) tải trọng tĩnh trên các thành phần hệ thống;
b) độ võng và các lực dự kiến trên các cụm lắp ráp truyền tải và kết cấu hỗ trợ do tháp bị uốn trong các điều kiện cực trị dự kiến;
c) hướng lực và độ lớn dự kiến của sự dịch chuyển của cụm lắp ráp;
d) độ mỏi của thành phần, sự lỏng lẻo của các cơ cấu bắt chặt;
e) sự suy giảm, hao mòn, biến dạng và sự chảy dẻo của vật liệu cách điện polyme;
f) mất khả năng dẫn điện hoặc cách điện;
g) vận hành trong suốt thời gian dự kiến của tuabin hoặc thời gian bảo trì đã quy định cho cụm lắp ráp.
Cụm lắp ráp có thể được đánh giá bằng cách thử nghiệm, phân tích hoặc kết hợp cả hai.
Thử nghiệm theo tỷ lệ có thể được sử dụng để đại diện cho hệ thống hoàn chỉnh.
Sự thích hợp về cơ học và kết cấu của cụm lắp ráp truyền tải điện và các thành phần hỗ trợ có thể được giải quyết thông qua phân tích theo đánh giá trường hợp tải thiết kế. Các trường hợp tải thiết kế phải bao gồm và giải quyết cụ thể các lực tác động lên cụm lắp ráp, các bộ phận và thành phần bao gồm các vật liệu cách điện và dẫn điện.
Cân nhắc điều kiện ngắn mạch cho các hệ thống truyền tải điện theo phương thẳng đứng nên bao gồm các tác động điện, nhiệt và cơ học lên các thành phần cũng như các hệ thống đã lắp đặt.
Nếu phương pháp phân tích không bao gồm các tác động của sự mài mòn/hao mòn và vật liệu bị biến dạng trên lớp cách điện polyme, có thể cần phải thử nghiệm.
10.17 Bộ truyền động động cơ và bộ biến đổi
Bộ truyền động động cơ và bộ biến đổi phải tuân thủ các phần áp dụng của IEC 61800-5-1.
Bộ điều khiển truyền động động cơ và bộ biến đổi cho chuyển động nghiêng cánh và xoay cánh tuabin còn phải tuân theo các yêu cầu có thể áp dụng ở Điều 8.
10.18 Máy điện
Các máy điện phải tuân thủ các phần liên quan của IEC 60034 và phải có thông số làm việc đặc trưng thích hợp với ứng dụng dự kiến[36].
Máy phát của tuabin phải được xác định thông số đặc trưng để vận hành liên tục (chế độ S1 theo IEC 60034-1).
Sự kết hợp của một máy điện được cấp nguồn bởi bộ truyền động biến tần phải có thông số đặc trưng về điện và cách điện phối hợp.
10.19 Máy biến áp điện lực
Các máy biến áp điện lực được bao gồm hoặc là một phần của hệ thống tuabin phải phù hợp với IEC 60076 (tất cả các phần).
Máy biến áp điện áp thấp trong tuabin gió phải được bao bọc hoàn toàn, kể cả tất cả các đầu nối, hoặc chủng phải được đặt ở các khu vực riêng biệt sau các rào chắn hoặc tấm chắn theo yêu cầu của các tiêu chuẩn quốc gia hoặc quốc tế được thừa nhận hoặc các quy định. Máy biến áp điện áp cao (HV) trong tuabin gió phải tuân thủ các yêu cầu về khả năng tiếp cận hạn chế và khóa an toàn như được xác định trong 10.21.
10.20 Thiết bị đóng cắt và điều khiển điện áp thấp
Thiết bị đóng cắt và điều khiển điện áp thấp làm việc ở điện áp đến 1 000 V AC hoặc 1 500 V DC phải tuân thủ IEC 61439-1 và các phần khác của bộ IEC 61439 và phải được xác định thông số đặc trưng cho các điều kiện điện và môi trường mà nó phải chịu trong tuabin.
Tất cả các vỏ ngoài cho thiết bị đóng cắt và điều khiển phải được cung cấp với các ký hiệu cảnh báo theo yêu cầu của IEC 61439-1 và các phần áp dụng khác của bộ IEC 61439.
10.21 Thiết bị đóng cắt điện áp cao
Thiết bị đóng cắt điện áp cao (HV) hoạt động trên 1 000 V AC hoặc 1 500 V DC phải tuân thủ IEC 62271 (tất cả các phần) và phải được xác định thông số đặc trưng cho các điều kiện điện và môi trường mà nó phải chịu trong tuabin.
Thiết bị đóng cắt HV phải được đặt ở các khu vực của tuabin chỉ có thể tiếp cận bởi nhân viên được ủy quyền. Các ký hiệu cảnh báo phải được đăng trên lối vào, nắp hoặc cửa của tuabin để yêu cầu đội ngũ nhân viên bảo vệ phù hợp với các nguy cơ bên trong khu vực vượt qua lối vào, nắp hoặc cửa.
Thiết bị đóng cắt HV được lắp đặt ở các khu vực có thể tiếp cận cho nhân viên bảo trì thông thường được bao bọc bằng kim loại và được quy định theo phân loại khả năng chịu hồ quang bên trong (IAC).
Phân loại IAC phải là phân loại A như được xác định trong IEC 62271-200 cho tất cả các mặt thiết bị mà nhân viên có thể có quyền tiếp cận hợp lý.
Thiết bị đóng cắt HV phải được thử nghiệm, xác định thông số đặc trưng và ghi nhãn dòng điện sự cố IAC với thời gian không dưới 1 s.
Thiết bị đóng cắt HV phải được lắp đặt theo các thông số đặc trưng và hướng dẫn của nhà sản xuất. Các lỗ giảm áp suất phải thoát khí không bị cản trở và không gây nguy hiểm cho nhân viên hoặc thiết bị.
Thiết bị đóng cắt được cấu hình cho hoạt động tự động phải có khả năng chuyển đổi để khóa và vô hiệu hóa hoạt động tự động.
Theo yêu cầu của 10.4, thiết bị đóng cắt HV và các điều khiển liên quan phải có phương tiện để khóa trong trạng thái an toàn.
Thiết bị đóng cắt SF6 phải được lắp đặt ở các khu vực có thông gió đủ để tránh nguy cơ cho nhân viên trong trường hợp có rò rỉ.
10.22 Hub
Thiết bị bên trong hub phải được bảo vệ bằng các vỏ bọc có cấp bảo vệ phù hợp với ứng dụng điện và môi trường theo TCVN 4255 (IEC 60529) để bảo vệ các thành phần điện khỏi hư hại. Các tủ điện và vỏ bọc phải được trang bị cửa hoặc nắp được gắn chắc chắn.
Dây cáp liên quan đến hệ thống điều khiển phải được bảo vệ cơ học khỏi hư hại do quay của hub, tương tác của nhân viên bảo trì và các va chạm không mong muốn trong hub.
11 Đánh giá tuabin gió đối với các điều kiện cụ thể của địa điểm
11.1 Quy định chung
Các tuabin gió phải chịu ảnh hưởng của các điều kiện môi trường và điện, bao gồm tác động của các tuabin gần đó, có thể ảnh hưởng đến tải trọng, độ bền và vận hành của chúng. Ngoài những điều kiện này, cần tính đến điều kiện địa chấn, địa hình và đất tại địa điểm tuabin gió. Phải chứng minh rằng các điều kiện cụ thể của địa điểm không làm ảnh hưởng đến tính toàn vẹn kết cấu. Việc chứng minh này yêu cầu đánh giá độ phức tạp của địa điểm, xem 11.2, và đánh giá các điều kiện gió tại địa điểm, xem 11.3. Để đánh giá tính toàn vẹn kết cấu, có thể sử dụng hai cách tiếp cận:
a) chứng minh rằng tất cả các điều kiện này không nghiêm trọng hơn những điều đã giả định trong thiết kế của tuabin gió, xem 11.9;
b) chứng minh tính toàn vẹn kết cấu cho các điều kiện, mỗi điều kiện bằng hoặc nghiêm trọng hơn những điều tại địa điểm, xem 11.10.
Nếu có bất kỳ điều kiện nào nghiêm trọng hơn những điều đã giả định trong thiết kế, sự tương thích kết cấu và điện phải được chứng minh bằng cách tiếp cận thứ hai.
Các hệ số an toàn từng phần cho tải trọng trong 7.6.2.2 giả định rằng việc đánh giá địa điểm về các điều kiện gió bình thường và cực trị đã được thực hiện theo các yêu cầu tối thiểu trong Điều 11.
11.2 Đánh giá độ phức tạp địa hình của địa điểm và ảnh hưởng của nó đến nhiễu động
11.2.1 Đánh giá độ phức tạp địa hình
Một địa điểm phải được đánh giá về độ phức tạp địa hình của địa hình, vì nó có thể gây ra sự biến dạng, và do đó sai lệch, của kết cấu nhiễu động so với các điều kiện thiết kế.
Độ phức tạp của địa điểm được đặc trưng bởi độ dốc của địa hình và sự thay đổi của địa hình so với mặt phẳng, và có thể được đánh giá theo quy trình sau.
Để xác định độ dốc của địa hình, các mặt phẳng được xác định vừa với địa hình trong các khoảng cách và góc khu vực cụ thể cho tất cả các hướng gió xung quanh tuabin gió, xem Hình 10 và Hình 11. Các mặt phẳng được phù hợp không cần phải đi qua cơ sở của tháp. Độ dốc biểu thị góc giữa một đường ngang và các đường trung bình khác nhau của các khu vực được chiếu theo phương thẳng đứng trên các mặt phẳng được phù hợp. Theo đó, sự thay đổi địa hình so với mặt phẳng được phù hợp biểu thị khoảng cách, dọc theo một đường thẳng đứng, giữa mặt phẳng được phù hợp và địa hình tại các điểm trên bề mặt.
Độ phân giải của lưới bề mặt và bản đồ nguồn gốc gốc được sử dụng để đánh giá độ phức tạp địa hình không nên vượt quá 50 m.
Các khu vực của hình tròn nên có góc 30°. Đối với các khu vực hình tròn có bán kính 5 zhub, khu vực được sử dụng để phù hợp với mặt phẳng có thể được mở rộng 2 zhub xuôi gió từ vị trí của tuabin gió, xem Hình 10.

Hình 10 - Các ví dụ về khu vực góc 30° vừa với dữ liệu địa hình

Hình 11 – Thay đổi định hình(∆z) và dốc địa hình (θ)
Sử dụng độ dốc và sự thay đổi địa hình được xác định như vậy, các chỉ số độ dốc địa hình (TSI) và các chỉ số thay đổi địa hình (TVI) cho mỗi khu vực hình tròn được cho bởi các công thức sau:

trong đó:
| TSI30, TSI360 | là các chỉ số độ dốc địa hình được tính toán từ các khu vực 30° và diện tích vòng tròn 360°, tương ứng; |
| TVI30, TVI360 | là các chỉ số thay đổi địa hình được tính toán từ các khu vực 30° và diện tích vòng tròn 360°, tương ứng; |
| i | là chỉ số khu vực gió (1, 2, ............ , 12); |
| fEnergy (i) | là tỷ lệ phần trăm năng lượng gió đến từ khu vực 30° thứ i, |
| Θ(i) | là độ dốc của mặt phẳng phù hợp cho khu vực 30° thứ i; |
| Θ360 | là độ dốc của mặt phẳng vòng tròn 360° phù hợp; |
| DTV (i) | là độ lệch chuẩn của sự thay đổi địa hình trong khu vực 30° thứ i; |
| DTV360 | là độ lệch chuẩn của sự thay đổi địa hình trong khu vực vòng tròn 360°; |
| R | là bán kính của khu vực hình tròn; |
| k1 | là hệ số điều chỉnh thực nghiệm cho TSI360, k1 = 5/3; |
| k2 | là hệ số điều chỉnh thực nghiệm cho TVI360, k2 = 3. |
| TSI30 là giá trị trung bình tuyệt đối của các độ dốc của mười hai mặt phẳng phù hợp theo từng khu vực, được trọng số bởi năng lượng đầu vào. Tương tự, TVI30 là giá trị trung bình của các độ lệch chuẩn của sự thay đổi địa hình theo từng khu vực, được chuẩn hóa theo bán kính vòng tròn và trọng số bởi năng lượng đầu vào. | |
| TSI360 | là độ dốc của mặt phẳng vòng tròn 360° được điều chỉnh bởi hệ số thực nghiệm k1. |
| TVI360 là độ lệch chuẩn của sự thay đổi địa hình trong khu vực vòng tròn 360°, được chuẩn hóa theo bán kính vòng tròn và điều chỉnh bởi hệ số thực nghiệm k2. | |
Địa hình được đánh giá về độ phức tạp của địa hình bằng hai chỉ số TSI và TVI cho mỗi ba khu vực hình tròn (5 zhub, 10 zhub, and 20 zhub). Đối với cả hai chỉ số, ba loại độ phức tạp được định nghĩa là thấp (L), trung bình (M), và cao (H), xem Bảng 5. Nếu các giá trị TSI30 và TVI30 cũng như các giá trị TSI360 và TVI30 cho tất cả ba khu vực hình tròn đều dưới ngưỡng của loại L, thì địa điểm được đánh giá là không phức tạp. Nếu không, địa điểm được đánh giá là phức tạp và được phân loại thành một trong ba loại độ phức tạp: L, M hoặc H, tùy thuộc vào loại cao nhất của TSI hoặc TVI cho bất kỳ khu vực hình tròn nào.
Bảng 5 - Các giá trị ngưỡng của các cấp độ phức tạp địa hình L, M và H
| Bán kính của khu vực hình tròn | Biên độ góc của mặt phẳng điều chỉnh | Giá trị ngưỡng (giới hạn dưới) | |||||
| Chỉ số độ dốc địa hình (TSI) | Chỉ số biến động địa hình (TVI) | ||||||
| L | M | H | L | M | H | ||
| 5 Vhub | 360° | 10° | 15° | 20° | 2 % | 4 % | 6 % |
| 5 Vhub | 30° | ||||||
| 10 Vhub | |||||||
| 20 Vhub | |||||||
11.2.2 Đánh giá kết cấu nhiễu động tại hiện trường
Kết cấu nhiễu động, tức là tỷ lệ của ba thành phần của nhiễu động, của một địa điểm được xác định chủ yếu từ các phép đo tại địa điểm đó. Khi không có dữ liệu tại hiện trường, nó có thể được ước tính bằng một mô hình dòng chảy phù hợp.
Ngoài ra, nó có thể được ước tính từ độ phức tạp của hiện trường. Các giá trị được hiển thị trong Bảng 6 có thể được phân bổ tùy thuộc vào loại độ phức tạp được định nghĩa theo quy trình mô tả trong 11.2.1.
Bảng 6 - Các giá trị của độ lệch chuẩn nhiễu động ngang và dọc so với thành phần dọc tùy thuộc vào loại độ phức tạp địa hình L, M và H
|
| Loại | ||
| L | M | H | |
| s2/s1 | 0,85 | 0,93 | 1,00 |
| s3/s1 | 0,60 | 0,65 | 0,70 |
Tham số điều chỉnh kết cấu nhiễu động CCT, có thể được sử dụng trong việc đánh giá độ bền kết cấu bằng cách tham chiếu dữ liệu gió trong 11.9, có thể được xác định bằng công thức sau[37]:
![]()
Trong đó s1, s2 và s3 là giá trị của ba thành phần của nhiễu động, tại độ cao hub và tại vị trí của tuabin gió, được trung bình qua một khoảng tốc độ gió từ 0,6 Vr đến 1,6 Vr. Các giá trị thiết kế cho các mô hình Kaimal và Mann có thể được lấy từ Phụ lục C.
Khi không có dữ liệu đo tại hiện trường, các giá trị trong Bảng 7 có thể được sử dụng cho CCT tùy thuộc vào loại độ phức tạp của khu vực.
Bảng 7 - Giá trị của tham số điều chỉnh kết cấu nhiễu động tùy thuộc vào loại độ phức tạp của địa hình L, M và H
|
| Loại | ||
|
| L | M | H |
| CCT | 1,05 | 1,10 | 1,15 |
Việc nội suy giữa các giá trị trong Bảng 6 và Bảng 7 là được phép.
11.3 Điều kiện gió cần thiết để đánh giá
11.3.1 Quy định chung
Các tham số gió tại vị trí của tuabin gió cần phải được đo và ngoại suy, hoặc tính toán bằng các phương pháp thích hợp (ví dụ: các số liệu đo đạc tại hiện trường, biên dạng dài hạn từ các trạm khí tượng cục bộ, mô hình mô phỏng hoặc các tiêu chuẩn hoặc quy định hiện hành). Các mô hình mô phỏng cần phải được xác thực dựa trên dữ liệu đại diện.
11.3.2 Các tham số điều kiện gió
Các tham số sau đây phải được xác định cho vị trí của tuabin gió tại độ cao hub:
• tốc độ gió trung bình cực trị trong 10 min[38], V50, tại độ cao hub với chu kỳ lặp lại 50 năm;
• hàm mật độ xác suất tốc độ gió, p(Vhub);
• độ lệch chuẩn tốc độ gió
từ độ xoáy môi trường (ước lượng là giá trị trung bình của độ lệch chuẩn của thành phần dọc) và độ lệch chuẩn
của
ở tất cả các tốc độ gió cần thiết trong 11.9 hoặc 11.10;
• độ lệch chuẩn tốc độ gió ở môi trường cực trị[39] , ^s1,ETM, với chu kỳ lặp lại 50 năm;
• độ nghiêng của luồng gió;
• trượt gió[40];
• khối lượng riêng của không khí.
Khi không có dữ liệu tại chỗ về khối lượng riêng của không khí, nên giả định rằng khối lượng riêng của không khí tuân theo ISO 2533, được điều chỉnh phù hợp với nhiệt độ trung bình hàng năm.
Độ rộng bin của bất kỳ tốc độ gió nào được sử dụng ở trên phải là 2 m/s hoặc nhỏ hơn, và các góc hướng gió phải là 30° hoặc nhỏ hơn. Tất cả các phép đo, ngoại trừ khối lượng riêng của không khí, phải có sẵn theo hướng gió, được tính trung bình trong 10 min.
Cần chú ý đến wake từ các kết cấu quan trọng và các vật cản địa hình trong khoảng cách từ tuabin gió bằng 20 lần chiều dài đặc trưng của kết cấu hoặc vật cản địa hình. Ảnh hưởng có thể được bỏ qua nếu cạnh dưới của cánh quạt ít nhất cao gấp bốn lần chiều cao của kết cấu hoặc vật cản địa hình.
Tại các khu vực có khả năng xảy ra bão, lốc xoáy và bão nhiệt đới, tốc độ gió cực trị phải được đánh giá bằng các phương pháp phù hợp, ví dụ như được nêu trong Phụ lục J.
Đối với khí hậu lạnh, các tham số bổ sung nên được xác định cho vị trí của tuabin gió. Điều kiện đóng băng có thể được đánh giá theo Phụ lục L.
11.3.3 Bố trí phép đo
Yêu cầu về và cách sử dụng các phép đo cho việc đánh giá sự phù hợp của vị trí tuabin gió và đánh giá tài nguyên gió khác nhau ở nhiều điểm, do đó cần cân bằng giữa số lượng và chất lượng của các phép đo[41]. Ngoài ra, với mục đích của đợt đo sự phù hợp của địa điểm tuabin gió, các tiêu chí bổ sung nên được xem xét.
• Hệ thống đo nên được lắp đặt tại các vị trí đại diện cho phần lớn các khu vực của địa điểm (ví dụ: rừng, đỉnh núi, đồng bằng, thung lũng, sườn núi và các chướng ngại vật).
• Số lượng và vị trí chính xác của các hệ thống đo được khuyến nghị rất đặc thù cho từng địa điểm và phụ thuộc vào địa hình, diện tích và lớp phủ mặt đất của trang trại gió đề xuất cũng như độ phức tạp dự kiến của chế độ dòng chảy và sự xác thực tại chỗ của mô hình dòng chảy được sử dụng trong phân tích.
• Chiều cao đo gió và số lượng cảm biến nên được chọn để đại diện. Các phép đo nên được thực hiện ở nhiều độ cao trong diện tích quét của cánh quạt tuabin đề xuất, cần xem xét địa hình xung quanh và thực vật.
• Khoảng cách phân tách dọc giữa các cảm biến nên cho phép phân tích chắc chắn về sự trượt gió dọc, ví dụ, khoảng cách ít nhất bằng một phần ba đường kính rôto.
• Cần lắp đặt cảm biến nhiệt độ cũng như cảm biến áp suất.
• Thời gian trung bình 10 min, dựa trên ít nhất 1 Hz (trung bình, độ lệch chuẩn và tốc độ gió cực đại, trung bình hướng gió và nhiệt độ trung bình) nên được sử dụng.
• Nếu các phép đo được thực hiện ở vùng khí hậu lạnh, thì cần sử dụng thêm cảm biến được sưởi ấm và xem xét hiệu suất của chúng so với cảm biến không được sưởi ấm.
•Trong địa hình phức tạp, tất cả các thành phần gió nên được đo, ví dụ như bằng một thiết bị đo gió Siêu âm 3D.
11.3.4 Đánh giá dữ liệu
Các khuyến nghị liên quan đến phạm vi và khoảng thời gian dữ liệu như dưới đây.
• Thời gian đo có thể thay đổi tùy thuộc vào chất lượng dữ liệu và độ tin cậy của sự tương quan với nguồn dữ liệu dài hạn tham chiếu. Khi sự biến đổi theo mùa có ảnh hưởng đáng kể đến điều kiện gió, thời gian giám sát nên đủ dài để bao gồm những ảnh hưởng này (thời gian tối thiểu để ghi nhận các hiệu ứng theo mùa là 12 tháng).
• Phạm vi dữ liệu trong mỗi tháng nên đủ cao để đại diện cho sự biến đổi hàng tháng của điều kiện gió.
Trong quá trình đánh giá dữ liệu, cần thực hiện và tài liệu hóa việc kiểm tra chất lượng và lọc dữ liệu. có thể thực hiện quy trình đo-tương quan-dự đoán (MCP) để mở rộng dữ liệu.
Giá trị trung bình của độ lệch chuẩn gió
tức là độ lệch chuẩn của thành phần nhiễu động theo chiều dọc và độ lệch chuẩn Ơơ của nó được xác định bằng các kỹ thuật thống kê phù hợp áp dụng cho dữ liệu đo được và, nếu có thể, là dữ liệu đã được loại bỏ xu hướng tuyến tính.
Một đánh giá dài hạn thường là cần thiết để ước tính tốc độ gió cực trị, tốc độ gió trung bình dài hạn cũng như khối lượng riêng của không khí, nhưng chỉ nếu nguồn dữ liệu dài hạn có sẵn là phù hợp và đủ tin cậy.
Các phương pháp thay thế có thể được sử dụng. Các phương pháp này nên nhằm cải thiện tính đại diện của các phép đo đối với vị trí.
Các phương pháp và quy trình đã đề cập trên đây phải được tài liệu hóa.
11.4 Đánh giá hiệu ứng wake tư các tuabin lân cận
Các hiệu ứng wake tư các tuabin gió lân cận trong quá trình sản xuất điện cần được xem xét. Việc đánh giá sự phù hợp của tuabin gió tại một địa điểm trong trang trại gió phải xem xét các đặc tính luồng gió nhiễu động xác định liên quan đến một hoặc nhiều wake tư các tuabin ngược gió, bao gồm cả các ảnh hưởng của khoảng cách giữa các tuabin, đối với tất cả các tốc độ gió và hướng gió môi trường liên quan đến việc sản xuất điện.
Sự gia tăng tải trọng thường được giả định là kết quả từ các hiệu ứng wake có thể được tính toán bằng cách sử dụng phương pháp cộng thêm nhiễu động, hoặc bằng cách sử dụng các mô hình wake chi tiết hơn. Trong bất kỳ trường hợp nào, mô hình wake phải bao gồm đại diện đầy đủ của ảnh hưởng lên tải trọng của nhiễu động môi trường và các hiệu ứng wake phân tán và nhiễu động.
Đối với các phép tính mỏi, cường độ nhiễu động hiệu dụng Ieff có thể được xác định theo Phụ lục E. Nhiễu động thêm cho mỏi và tải trọng cực trị có thể được giả định là giống nhau.
Mô hình DWM được mô tả trong Phụ lục E thường áp dụng cho cả trường hợp mỏi và tải trọng cực trị.
11.5 Đánh giá các điều kiện môi trường khác
Các điều kiện môi trường sau đây cần được đánh giá để so sánh với các giả định được đưa ra trong thiết kế của một tuabin gió:
• dải nhiệt độ bình thường và cực trị;
• băng, mưa đá và tuyết;
• độ ẩm;
• sét;
• bức xạ mặt trời;
• hoạt chất hóa học;
• độ mặn.
11.6 Đánh giá điều kiện động đất
Không bắt buộc tuabin gió tiêu chuẩn phải có khả năng chống động đất, vì động đất chỉ được xem là yếu tố thiết kế ở một số khu vực nhất định trên thế giới. Tại những địa điểm mà quy định hiện hành đã loại trừ rủi ro địa chấn do tác động quá nhỏ, không cần thực hiện phân tích đánh giá động đất. Tuy nhiên, đối với các địa điểm mà tải trọng do động đất có thể ảnh hưởng đáng kể (như mô tả bên dưới), cần chứng minh tuabin gió vẫn đảm bảo an toàn và ổn định kỹ thuật trong điều kiện cụ thể tại đó. Đánh giá có thể dựa trên Phụ lục D. Việc đánh giá tải trọng phải xem xét sự kết hợp của tải trọng động đất với các tải trọng vận hành quan trọng khác xảy ra thường xuyên.
Tải trọng động đất phải dựa trên gia tốc mặt đất và yêu cầu phổ phản hồi như được định nghĩa trong các quy định hiện hành. Nếu không có quy định hoặc quy định không cung cấp gia tốc mặt đất và phổ phản hồi, một đánh giá phù hợp của các tham số này phải được thực hiện.
Gia tốc mặt đất phải được đánh giá cho chu kỳ lặp lại 475 năm.
Tải trọng động đất phải được cộng với tải trọng vận hành, mà phải là lớn nhất trong:
a) tải trọng trung bình trong quá trình sản xuất điện bình thường xác định ở Vr,
b) tải trọng trong quá trình dừng khẩn cấp ở Vr, và
c) tải trọng trong điều kiện không tải hoặc dừng ở không gió và Vout.
Hệ số an toàn từng phần cho tải trọng đối với tất cả các thành phần tải trọng phải là 1,0. Hệ số an toàn vật liệu cho thép có thể được đặt là 1,0.
Đánh giá tải trọng động đất có thể được thực hiện thông qua các phương pháp phổ phản hồi, trong trường hợp này, tải trọng vận hành được thêm vào bằng cách sử dụng SRSS (căn bậc hai của tổng bình phương) hoặc tổ hợp tải trọng tương đương phát sinh từ tải trọng động đất.
Đánh giá tải trọng động đất có thể được thực hiện thông qua các phương pháp miền thời gian, trong trường hợp này, phải thực hiện đủ các mô phỏng để đảm bảo rằng tải trọng vận hành đại diện cho các giá trị trung bình theo thời gian được đề cập ở trên.
Số lượng các chế độ rung tự nhiên của tháp được sử dụng trong bất kỳ đánh giá nào ở trên phải được chọn theo một code địa chấn được được thừa nhận. Trong trường hợp không có code như vậy, các chế độ liên tiếp với tổng khối lượng chế độ bằng 85 % khối lượng tổng cộng phải được sử dụng.
Việc đánh giá khả năng chịu lực của kết cấu có thể giả định phản ứng đàn hồi hoàn toàn, hoặc có thể tính đến sự tiêu tán năng lượng qua biến dạng dẻo. Tuy nhiên, nếu áp dụng cách thứ hai, cần đánh giá đúng theo đặc điểm của loại kết cấu cụ thể đang sử dụng, đặc biệt là đối với các kết cấu dạng lưới và các mối nối bu lông.
Phổ phản hồi gia tốc tại nền đá kỹ thuật và phương pháp đánh giá phản ứng địa chấn được mô tả trong Phụ lục D. Phương pháp sử dụng phổ phản hồi không được áp dụng nếu có khả năng tác động địa chấn sẽ gây ra tải trọng đáng kể lên các kết cấu khác ngoài tháp tuabin.
11.7 Đánh giá điều kiện lưới điện
Các điều kiện điện bên ngoài tại các đầu nối của tuabin gió tại một địa điểm dự kiến cần được đánh giá để đảm bảo tính tương thích với các điều kiện thiết kế điện. Các điều kiện điện bên ngoài phải bao gồm các yếu tố sau[42]:
• điện áp bình thường và phạm vi bao gồm các yêu cầu về việc duy trì đấu nối hoặc ngắt đấu nối qua dải điện áp và khoảng thời gian được quy định;
• tần số bình thường, dải và tốc độ thay đổi, bao gồm các yêu cầu về việc duy trì đấu nối hoặc ngắt đấu nối qua dải tần số và khoảng thời gian được quy định;
• mất cân bằng điện áp được quy định là phần trăm điện áp pha thứ tự nghịch đối với các sự cố đối xứng và bất đối xứng;
• phương pháp nối đất trung tính;
• phương pháp phát hiện/bảo vệ khi có sự cố nối đất;
• số lần mất điện lưới hàng năm;
• chu kỳ đóng lại tự động;
• lịch trình bù công suất phản kháng yêu cầu;
• dòng điện và khoảng thời gian sự cố;
• trở kháng ngắn mạch pha-pha và pha-đất tại các đầu nối tuabin gió;
• biến dạng sóng hài điện áp nền của điện lưới;
• có đường điện mang tín hiệu, nếu có, và cùng tần số;
• hồ sơ biên dạng sự cố đối với yêu cầu duy trì chế độ vận hành khi có sự cố;
• yêu cầu kiểm soát hệ số công suất;
• yêu cầu tốc độ biến đổi; và
• các yêu cầu tương thích với lưới điện khác.
11.8 Đánh giá các điều kiện đất
Các thuộc tính của đất tại một địa điểm dự kiến cần được đánh giá bởi một kỹ sư địa kỹ thuật chuyên nghiệp, tham khảo các quy định về xây dựng hiện hành.
11.9 Đánh giá toàn vẹn kết cấu bằng cách tham chiếu đến dữ liệu gió
11.9.1 Quy định chung
có thể hoàn thành đánh giá toàn vẹn kết cấu bằng cách so sánh các giá trị tham số gió tại địa điểm với những giá trị được sử dụng trong thiết kế. Đánh giá có thể được thực hiện riêng biệt cho khả năng chịu tải mỏi và khả năng chịu tải cực đại.
11.9.2 Đánh giá khả năng chịu tải mỏi bằng cách tham chiếu đến dữ liệu gió
Một tuabin gió phù hợp với một địa điểm về mặt tải trọng mỏi khi tất cả các điều kiện sau đều được đáp ứng:
a) Giá trị của hàm mật độ xác suất tốc độ gió tại độ cao của hub p(Vhub) tại địa điểm phải nhỏ hơn hoặc bằng hàm mật độ xác suất thiết kế ở tất cả các giá trị của Vhub giữa tốc độ gió Vave và 2Vave. Nếu tuabin đã được thiết kế với phân bố tốc độ gió trong 6.3.2.1 và tham số hình dạng k của phân bố tốc độ gió Weibull đặc thù tại địa điểm lớn hơn hoặc bằng 1,4, thì k phải thỏa mãn công thức sau, phụ thuộc vào tốc độ gió trung bình tại địa điểm tại độ cao hub được chuẩn hóa theo tốc độ gió trung bình thiết kế, xem Hình 12:
![]()

Tốc độ gió trung bình quy định tại vị trí ở độ cao hub được chuẩn hóa bằng tốc độ gió trung bình thiết kế
Hình 12 – Các kết hợp có thể giữa tốc độ gió trung bình được chuẩn hóa và tham số hình dạng Weibull k (vùng được đánh bóng)
b) Đánh giá đầy đủ về cường độ nhiễu động môi trường và hiệu ứng wake có thể được thực hiện bằng cách kiểm tra xác nhận rằng độ lệch chuẩn tốc độ gió s1 từ mô hình nhiễu động bình thường (NTM) được sử dụng trong thiết kế lớn hơn hoặc bằng độ lệch chuẩn tốc độ gió hiệu dụng ^seff (xem Phụ lục E) giữa các tốc độ gió Vave và 2Vave, tức là
Hướng dẫn tính toán Ieff có thể có trong Phụ lục E. Trong trường hợp địa hình phức tạp, phân vị 90% ước lượng của độ lệch chuẩn tốc độ gió, tức là ^sc, phải được tăng lên để tính đến sự biến dạng của nhiễu động. Điều này có thể được thực hiện bằng cách nhân thêm với một tham số điều chỉnh kết cấu nhiễu động CCT như được định nghĩa trong 11.2.
c) Độ nghiêng của luồng gió tại địa điểm, được lấy làm trung bình trọng số của năng lượng gió từ tất cả các hướng, phải nằm trong khoảng từ -8° đến +8°. Nếu không có dữ liệu hoặc tính toán tại địa điểm cho độ nghiêng của luồng gió, phải giả định rằng độ nghiêng của luồng gió bằng với độ dốc, 6, cho khu vực 30° trong khoảng cách 5 lần chiều cao hub (5 zhub) hoặc khu vực 5 zhub mở rộng thêm 2 zhub xuôi gió từ vị trí của tuabin gió, xem 11.2.
d) Trung bình trọng số theo năng lượng trên tất cả các hướng gió và tốc độ gió trong suốt quá trình sản xuất điện của chỉ số trượt gió theo phương thẳng đứng của địa điểm, a, phải nằm trong khoảng từ 0,05 đến 0,25. Nếu không có dữ liệu tại địa điểm cho trượt gió, nó phải được tính toán dựa trên địa hình và độ thô của khu vực xung quanh.
e) Khối lượng riêng của không khí trung bình của địa điểm phải nhỏ hơn mức độ được quy định trong 6.4.2 cho các tốc độ gió lớn hơn hoặc bằng Vr. Như một lựa chọn thay thế, đối với độ khối lượng riêng của không khí lớn hơn mức quy định trong 6.4, phải chứng minh rằng điều kiện sau đây áp dụng:
![]()
11.9.3 Đánh giá sự phù hợp của tải trọng tối đa dựa trên dữ liệu gió
Một tuabin gió phù hợp với một địa điểm về mặt tải trọng tối đa khi tất cả các điều kiện sau đều được thỏa mãn:
a) Giá trị thiết kế của độ lệch chuẩn tốc độ gió, s1, (xem Công thức (10)) phải lớn hơn hoặc bằng giá trị tại địa điểm của phân vị 90 % ước lượng[43] của độ lệch chuẩn tốc độ gió ở tất cả các giá trị của Vhub trong khoảng tốc độ gió từ 0,6 Vr đến 1,6 Vr, tức là:
Trong trường hợp địa hình phức tạp, phân vị 90 % ước lượng của độ lệch chuẩn tốc độ gió phải được tăng lên để bù đắp cho sự biến dạng của luồng gió nhiễu động. Điều này có thể được thực hiện bằng cách nhân thêm với tham số hiệu chỉnh kết cấu nhiễu động CCT như được xác định ở 11.2.
b) Ước lượng tại địa điểm của tốc độ gió trung bình cực trị trong 10 min V50 tại độ cao hub với chu kỳ lặp lại 50 năm phải nhỏ hơn hoặc bằng Vref. Ngoài ra, ước lượng trung tâm tại địa điểm của tốc độ gió trung bình cực trị trong 3 s tại chiều cao hub với chu kỳ lặp lại 50 năm phải nhỏ hơn Ve50. Đối với các tuabin cấp S, cả tốc độ gió trung bình cực trị trong 3 s và tốc độ gió trung bình cực trị trong 10 min đều phải được đánh giá. 1/50 được điều chỉnh theo Chú thích cuối trang số 31 khi hệ số biến thiên của tốc độ gió cực trị hàng năm lớn hơn 15 %. Nếu khối lượng riêng của không khí trung bình tại địa điểm khác với khối lượng riêng được quy định trong 6.4.2, phải chứng minh rằng điều kiện sau đây được áp dụng:
c) Phải chứng minh rằng độ lệch chuẩn tốc độ gió cực trị tại địa điểm không vượt quá mô hình ETM trong 6.3.3.4.
d) Trong trường hợp có tình huống wake, phải chứng minh rằng độ lệch chuẩn tốc độ gió tối đa ở trung tâm wake theo hướng nghiêm trọng nhất không vượt quá mô hình ETM trong 6.3.3.4. Ngoài ra, có thể chứng minh rằng nhiễu động cực trị tại địa điểm không vượt quá mô hình ETM được sử dụng cho DLC 1.6 trong Phụ lục B và khoảng cách tối thiểu giữa các tuabin tại địa điểm không nhỏ hơn smin từ DLC 1.6. Để xác định nhiễu động tại địa điểm, cần tính đến các điều kiện tại địa điểm, tần suất các tình huống wake và bố trí của trang trại gió.
11.10 Đánh giá tính toàn vẹn kết cấu bằng cách tính toán tải trọng với tham chiếu đến các điều kiện tại vị trí cụ thể
Việc chứng minh phải bao gồm việc so sánh các tải trọng và độ lệch tính toán cho các điều kiện tại vị trí cụ thể với các tải trọng tính toán trong thiết kế, tính đến các dự trữ và ảnh hưởng của môi trường đối với độ bền của kết cấu. Các tính toán phải xem xét các biến động của điều kiện gió với hướng và tốc độ gió trung bình cũng như các hiệu ứng gió bị cản, trượt gió dọc, góc dòng gió trung bình, v.v.
Đối với tải trọng mỏi, một sự so sánh các mômen tương đương với tổn hại và tải trọng tương đương với tổn hại của phân bố thời gian tải trọng của mômen tác động là đủ để xác nhận các thành phần. Đối với tải trọng cực hạn, không yêu cầu so sánh các tải trọng đồng thời.
Kết cấu nhiễu động phải dựa trên các giá trị tại vị trí cụ thể. Trong trường hợp không có dữ liệu tại vị trí cho các thành phần của nhiễu động và địa hình là phức tạp, có thể sử dụng các giá trị tỷ lệ của các thành phần được phân bổ cho từng loại độ phức tạp trong 11.2. Một phương án thay thế là có thể tăng cường độ nhiễu động theo chiều dọc bằng hệ số CCT.
Trong trường hợp hiệu ứng wake cần phải kiểm tra xác nhận rằng tính toàn vẹn kết cấu không bị ảnh hưởng. Việc này có thể được thực hiện bằng cách sử dụng mô hình wake, ví dụ như mô tả trong Phụ lục E, với mô hình nhiễu động được điều chỉnh theo các tham số tại vị trí cụ thể.
Vì đối với tính toán tải mỏi, Ieff như được xác định trong Phụ lục E phụ thuộc vào chỉ số Wöhler m của vật liệu của thành phần được xem xét, các tải trọng trên các thành phần kết cấu với các thuộc tính vật liệu khác phải được tính toán lại hoặc đánh giá với giá trị m phù hợp.
Tính toán tải mỏi phải được thực hiện nếu một trong các tiêu chí trong 11.9.2 không đạt yêu cầu.
Các phân tích trạng thái giới hạn cực hạn phải được thực hiện nếu một trong các tiêu chí trong 11.9.3 không đạt yêu cầu. Ít nhất, các trường hợp tải thiết kế tối đa sau đây phải được đánh giá: DLC 1.1, DLC 1.3, DLC 6.1 và DLC 6.2. Nếu các trường hợp tải thiết kế cho các lớp tiêu chuẩn là phù hợp, không cần thực hiện thêm các đánh giá khác.
Phụ lục B cung cấp các định nghĩa về các trường hợp tải tối đa và mỏi được đề cập cho các điều kiện cụ thể của địa điểm. Nếu có liên quan, các trường hợp tải khác trong các tình huống thiết kế 1), 6) và 7) trong Bảng B.1 cũng nên được xem xét. Các tình huống thiết kế 2), 3), 4), 5) và 8) trong Bảng B.1 chỉ cần được xem xét khi đáp ứng của hệ thống điều khiển và các quy trình vận chuyển, lắp đặt, bảo trì và sửa chữa phụ thuộc vào địa điểm.
12 Lắp ráp, lắp đặt và lắp dựng
12.1 Quy định chung
Nhà sản xuất tuabin gió phải cung cấp một hướng dẫn lắp đặt mô tả rõ ràng các yêu cầu lắp đặt cho kết cấu và thiết bị tuabin gió. Việc lắp đặt tuabin gió phải được thực hiện bởi nhân viên đã được đào tạo hoặc chỉ dẫn trong các hoạt động này.
Khu vực của cơ sở tuabin gió phải được chuẩn bị, duy trì, vận hành và quản lý sao cho công việc có thể được thực hiện một cách an toàn và hiệu quả. Điều này nên bao gồm các quy trình để ngăn chặn việc tiếp cận trái phép nếu cần thiết. Người điều hành nên xác định và loại bỏ các mối nguy hiểm hiện có và tiềm ẩn.
Danh sách các hoạt động dự kiến nên được chuẩn bị, và các nhật ký công việc hoàn thành và kết quả của công việc đó nên được lưu giữ.
Khi thích hợp, nhân viên lắp đặt nên sử dụng các thiết bị bảo vệ mắt, chân, tai và đầu đã được phê duyệt. Tất cả nhân viên leo tháp hoặc làm việc trên mặt đất hoặc mặt nước nên được đào tạo trong công việc như vậy và phải sử dụng các dây đai an toàn, thiết bị leo thang an toàn hoặc các thiết bị an toàn khác đã được phê duyệt. Khi thích hợp, thiết bị hỗ trợ nổi nên được sử dụng.
Tất cả thiết bị phải được giữ trong tình trạng tốt và phù hợp với nhiệm vụ mà nó được dự định. Các cần cẩu, tời và thiết bị nâng, bao gồm tất cả các dây cáp, móc và các thiết bị khác, phải đủ an toàn để nâng.
Cần đặc biệt chú ý đến việc lắp đặt tuabin gió trong các điều kiện bất thường, ví dụ như mưa đá, sét, gió mạnh, động đất, băng tuyết.
Trong trường hợp tháp đứng mà không có vỏ tuabin, các biện pháp thích hợp phải được thực hiện để tránh các tốc độ gió nguy hiểm gây ra dao động ngang do xoáy, trừ khi trường hợp tải thiết kế mỏi thích hợp đã được phân tích, hoặc các tải trọng phát sinh phải được đưa vào phân tích mỏi. Các tốc độ gió nguy hiểm và các biện pháp phòng ngừa phải được đưa vào hướng dẫn lắp đặt.
12.2 Lập kế hoạch
Việc lắp ráp, lắp dựng và lắp đặt tuabin gió và các thiết bị liên quan phải được lập kế hoạch sao cho công việc được thực hiện một cách an toàn và tuân thủ các quy định địa phương và quốc gia. Ngoài các quy trình đảm bảo chất lượng, kế hoạch phải bao gồm, khi cần thiết, các yếu tố sau:
• quy tắc thực hiện công việc đào một cách an toàn;
• bản vẽ chi tiết và thông số kỹ thuật của công việc và kế hoạch kiểm tra;
• quy tắc xử lý các vật liệu đã chôn sẵn, như móng, bu lông, neo và thép gia cường;
• quy tắc về thành phần bê tông, vận chuyển, lấy mẫu, đổ, hoàn thiện và đặt ống dẫn;
• quy tắc an toàn nổ;
• quy trình lắp đặt các tháp và neo khác.
12.3 Điều kiện lắp đặt
Trong quá trình lắp đặt tuabin gió, vị trí phải được duy trì trong trạng thái không gây ra rủi ro mất an toàn.
12.4 Tiếp cận vị trí
Tiếp cận vị trí phải an toàn và phải tính đến các yếu tố sau:
• các hàng rào và các tuyến đường đi lại;
• giao thông;
• mặt đường;
• chiều rộng đường bộ;
• khoảng cách an toàn;
• khả năng chịu tải trọng;
• chuyển động của thiết bị tại vị trí.
12.5 Điều kiện môi trường
Khi lắp đặt, phải tuân thủ các giới hạn môi trường do nhà sản xuất quy định, cần xem xét các hạng mục:
• tốc độ gió;
• tuyết và băng;
• nhiệt độ môi trường;
• cát bay;
• sét;
• tầm nhìn;
• mưa.
12.6 Tài liệu
Nhà sản xuất tuabin gió phải cung cấp bản vẽ, thông số kỹ thuật và hướng dẫn về quy trình lắp ráp, lắp đặt và lắp dựng tuabin gió. Nhà sản xuất phải cung cấp chi tiết về tất cả các tải trọng, trọng lượng, điểm nâng và công cụ đặc biệt cũng như các quy trình cần thiết cho việc xử lý và lắp đặt tuabin gió.
12.7 Tiếp nhận, tháo dỡ và lưu giữ
Tháo dỡ và vận chuyển thiết bị máy phát điện tuabin gió trong khi lắp đặt phải được thực hiện với thiết bị đã được xác nhận là phù hợp với nhiệm vụ và tuân thủ thông lệ đề xuất của nhà sản xuất.
Các tuabin gió thường được bố trí trên địa hình đồi núi. Do đó, thiết bị nặng phải được đặt xuống theo cách để không thể trượt. Một khu vực bằng phẳng có kích thước phù hợp được ưu tiên cho tất cả các thao tác tháo dỡ và lắp ráp. Khi không có một khu vực như vậy, tất cả các thiết bị nặng phải được chặn chắc chắn ở một vị trí ổn định.
Khi có rủi ro bị dịch chuyển do gió với rủi ro gây hỏng, các cánh, vỏ tuabin, các bộ phận khí động học khác và bộ phận dễ bị lật phải được giữ chắc chắn bằng dây thừng và các chốt, hoặc các cọc neo vào đất.
12.8 Hệ thống móng/neo
Khi được nhà sản xuất quy định để đảm bảo lắp đặt hoặc lắp ráp an toàn, phải sử dụng các dụng cụ đặc biệt, đồ gá lắp, các cơ cấu cố định và các dụng cụ khác..
12.9 Lắp ráp tuabin gió
Tuabin gió phải được lắp ráp theo hướng dẫn của nhà sản xuất. Phải tiến hành kiểm tra để xác nhận việc bôi trơn và điều chỉnh trước khi sử dụng tất cả các thành phần.
12.10 Lắp dựng tuabin gió
Tuabin gió phải được lắp dựng bởi nhân viên đã được đào tạo và hướng dẫn về các phương pháp lắp dựng an toàn và đúng cách.
Không có bộ phận nào của hệ thống điện của tuabin gió được cấp điện trong quá trình dựng trừ khi cần thiết cho quy trình dựng. Trong trường hợp này, việc cấp điện cho thiết bị như vậy phải được thực hiện theo quy trình mà nhà cung cấp tuabin gió cung cấp.
Tất cả các phần mà chuyển động (quay hoặc dịch chuyển) có thể gây ra nguy hiểm tiềm ẩn phải được giữ cố định khỏi chuyển động không mong muốn trong suốt quá trình dựng.
12.11 Cơ cấu bắt chặt và cơ cấu liên kết
Các cơ cấu bắt chặt có ren và các cơ cấu liên kết khác phải được lắp đặt theo mômen xoắn và/hoặc các chỉ dẫn khác do nhà chế tạo tuabin gió khuyến cáo. Các cơ cấu bắt chặt được xác định là quan trọng phải được kiểm tra và các quy trình để xác nhận mômen xoắn lắp đặt và các yêu cầu khác phải được thu nhận và sử dụng.
Cần đặc biệt kiểm tra để xác nhận các điều sau:
• lắp ráp và kết nối đúng cách của các dây chằng, cáp, tăng đơ, cột lắp đặt và các thiết bị và dụng cụ khác;
• gắn kết đúng cách các thiết bị nâng cần thiết để lắp dựng an toàn.
12.12 Cần cẩu, cần trục và thiết bị nâng hạ
Cần cẩu, cần trục và thiết bị nâng hạ, bao gồm tất cả các cáp nâng tải, các móc và dụng cụ khác yêu cầu để lắp dựng an toàn, phải đầy đủ để nâng an toàn và định vị cuối cùng các tải. Hướng dẫn và tài liệu của nhà chế tạo liên quan đến lắp dựng và tháo dỡ phải cung cấp thông tin về các tải dự kiến và các điểm nâng an toàn cho các thành phần và/hoặc các bộ phận. Tất cả các thiết bị cẩu, dây treo và móc phải được thử nghiệm và chứng nhận an toàn cho tải.
13 Vận hành thử, vận hành và bảo trì
13.1 Quy định chung
Các quy trình vận hành thử, vận hành, kiểm tra, và bảo trì phải được quy định trong tài liệu hướng dẫn của tuabin gió có xem xét thích hợp về an toàn của nhân viên.
Thiết kế phải bao gồm các điều kiện để đảm bảo an toàn khi tiếp cận để kiểm tra và bảo trì tất cả các thành phần.
Các yêu cầu trong Điều 10 cũng áp dụng cho thiết bị đo điện được lắp đặt tạm thời trong tuabin gió để thực hiện các phép đo.
Khi cần thiết, nhân viên vận hành và bảo trì phải sử dụng bảo vệ mắt, chân, tai và đầu được phê duyệt. Tất cả nhân viên leo tháp hoặc làm việc trên mặt đất hoặc trên mặt nước phải được đào tạo về công việc này và phải sử dụng dây an toàn, các thiết bị hỗ trợ leo an toàn hoặc các thiết bị an toàn khác được phê duyệt. Khi cần thiết, phải sử dụng thiết bị trợ nổi xung quanh khu vực có nước.
13.2 Yêu cầu thiết kế để vận hành, kiểm tra và bảo trì an toàn
Việc vận hành bình thường của tuabin gió bởi nhân viên vận hành phải có thể thực hiện ở mức mặt đất. Phải có một công tắc ghi thẻ, điều khiển thủ công tại chỗ để ghi đè hệ thống điều khiển tự động/điều khiển từ xa.
Các sự kiện bên ngoài khi phát hiện như là sự cố nhưng không quan trọng đối với an toàn trong tương lai của tuabin gió, như mất và phục hồi phụ tải điện, có thể cho phép tự động quay về hoạt động bình thường sau khi kết thúc chu trình dừng.
Tấm bảo vệ được thiết kế để bảo vệ nhân viên chống tiếp xúc ngẫu nhiên với các thành phần dịch chuyển phải được cố định, trừ khi thấy trước tiếp cận thường xuyên, thì khi đó các tấm bảo vệ này có thể dịch chuyển.
Các tấm bảo vệ phải:
a) có kết cấu chắc chắn,
b) không dễ đi vòng qua, và
c) nếu có thể, cho phép thực hiện công việc bảo trì cần thiết mà không cần tháo rời chúng.
Các quy định phải được thực hiện khi thiết kế để sử dụng thiết bị chẩn đoán tìm sự cố.
Để đảm bảo an toàn cho nhân viên kiểm tra và bảo trì, thiết kế phải bao gồm:
• các tuyến tiếp cận và vị trí làm việc an toàn cho việc kiểm tra và bảo trì định kỳ,
• đầy đủ phương tiện để bảo vệ nhân viên tránh tiếp xúc ngẫu nhiên với các thành phần quay hoặc bộ phận chuyển động;
• dự phòng cho các dây cáp bảo hiểm kẹp chặt và các đai lưng an toàn hoặc các thiết bị bảo vệ khác đã được phê duyệt khi leo hoặc làm việc trên cao so với mặt đất;
• các quy định để khống chế vòng quay của rôto và cơ chế xoay tuabin hoặc chuyển động cơ học khác như xoay cánh, trong khi làm việc theo các điều kiện gió và các tình huống thiết kế được quy định tại DLC 8.1, cũng như quy định để giải trừ khống chế an toàn;
• các tín hiệu cảnh báo cho các dây dẫn đang mang điện;
• các thiết bị thích hợp để phóng điện tích lũy;
• bảo vệ phòng cháy thích hợp cho nhân viên
• một đường thoát dự phòng khỏi vỏ tuabin.
Các quy trình bảo trì phải yêu cầu các biện pháp an toàn cho nhân viên khi vào bất kỳ không gian làm việc kín nào, ví dụ như bên trong hub hoặc cánh quạt, đảm bảo rằng bất kỳ tình huống nguy hiểm nào được biết bởi nhân viên dự phỏng để ngay lập tức thực hiện các quy trình cứu hộ nếu cần thiết.
13.3 Hướng dẫn liên quan đến vận hành thử
13.3.1 Quy định chung
Nhà sản xuất phải cung cấp hướng dẫn để vận hành thử.
13.3.2 Cấp điện
Hướng dẫn của nhà sản xuất phải có quy trình bắt đầu cấp điện hệ thống điện tuabin gió.
13.3.3 Thử nghiệm vận hành thử
Hướng dẫn của nhà sản xuất phải có các quy trình thử nghiệm tuabin gió sau khi lắp đặt, để xác nhận vận hành thích hợp, an toàn và đúng chức năng cho tất cả các thiết bị, cơ cấu điều khiển và các thiết bị. Thử nghiệm này phải bao gồm nhưng không giới hạn:
• khởi động an toàn,
• dừng an toàn,
• dừng khẩn cấp an toàn,
• dừng an toàn do quá tốc độ hoặc mô phỏng đại diện cho tình huống đó, và
• thử nghiệm các chức năng bảo vệ, xem Điều 8.
13.3.4 Hồ sơ
Hướng dẫn của nhà sản xuất phải bao gồm yêu cầu lập hồ sơ đầy đủ mô tả các thử nghiệm, vận hành thử, các tham số điều khiển và kết quả.
13.3.5 Hoạt động sau vận hành thử
Khi hoàn tất lắp đặt, và hoạt động kéo theo đối với giai đoạn chạy thử do nhà chế tạo khuyến cáo, phải hoàn thành các hoạt động cụ thể mà nhà chế tạo có thể yêu cầu.
Các hoạt động này có thể bao gồm, nhưng không giới hạn, đặt tải trước cho các chốt, thay chất lỏng bôi trơn, kiểm tra các thành phần khác để cài đặt và vận hành thích hợp và điều chỉnh các tham số điều khiển phù hợp.
Vị trí tuabin gió phải được cải tạo để loại bỏ các nguy hiểm và tránh ăn mòn.
13.4 Sổ tay hướng dẫn cho người vận hành
13.4.1 Quy định chung
Sổ tay hướng dẫn vận hành phải được nhà chế tạo tuabin gió cung cấp và được bổ sung thông tin về các điều kiện đặc biệt tại địa phương ở thời điểm vận hành thử khi thích hợp. Sổ tay phải bao gồm, nhưng không giới hạn:
• yêu cầu bất kỳ cho việc vận hành phải được thực hiện bởi nhân viên đã được đào tạo hoặc hướng dẫn thích hợp trong hoạt động này;
• giới hạn vận hành an toàn và mô tả hệ thống;
• quy trình mở và dừng máy;
• danh sách hành động báo động;
• kế hoạch về quy trình khẩn cấp;
• yêu cầu đã quy định mà
- khi cần thiết, sử dụng các thiết bị bảo vệ mắt, chân, thính giác và đầu,
- khi cần thiết, tất cả các nhân viên leo cột tháp, hoặc làm việc trên mặt đất hoặc mặt nước, phải được đào tạo về công việc này và phải sử dụng đai an toàn, phương tiện hỗ trợ leo an toàn hoặc các thiết bị an toàn khác,
- khi cần thiết, phương tiện hỗ trợ nổi trên mặt nước nên được sử dụng, và
- sổ tay phải có sẵn cho người vận hành và bảo trì bằng ngôn ngữ mà người vận hành có thể đọc và hiểu.
13.4.2 Hướng dẫn về hồ sơ vận hành và bảo trì
Sổ tay phải nêu rõ rằng hồ sơ vận hành và bảo trì phải được lưu giữ và nên bao gồm các nội dung sau:
• Nhận dạng tuabin gió;
• Năng lượng sản xuất;
• Giờ vận hành;
• Giờ ngừng máy;
• Ngày và giờ báo cáo lỗi;
• Ngày và giờ thực hiện dịch vụ hoặc sửa chữa;
• Tính chất của lỗi hoặc dịch vụ;
• Hành động đã thực hiện;
• Các bộ phận đã thay thế.
13.4.3 Hướng dẫn tự động dừng đột xuất
Hướng dẫn sẽ yêu cầu rằng tự động dừng đột xuất bất kỳ do sự cố hoặc trục trặc kéo theo, trừ khi có quy định khác trong hướng dẫn hoặc chỉ dẫn vận hành, người vận hành phải điều tra nguyên nhân trước khi khởi động lại tuabin gió. Tất cả quá trình tự động dừng đột xuất phải được ghi lại.
13.4.4 Hướng dẫn đối với độ tin cậy bị giảm
Hướng dẫn đòi hỏi phải thực hiện loại bỏ các nguyên nhân gốc rễ của bất kỳ dấu hiệu hoặc cảnh báo bất thường hoặc độ tin cậy giảm đi.
13.4.5 Kế hoạch quy trình làm việc
Hướng dẫn yêu cầu tuabin gió phải được vận hành theo các quy trình làm việc an toàn, có tính đến những điều sau đây:
• vận hành hệ thống điện;
• phối hợp vận hành và bảo trì;
• quy trình xác nhận khoảng cách an toàn với hệ thống hạ tầng;
• quy trình leo tháp;
• quy trình xử lý thiết bị;
• vận hành trong điều kiện thời tiết xấu;
• quy trình liên lạc và kế hoạch khẩn cấp.
13.4.6 Kế hoạch quy trình khẩn cấp
Các tình huống khẩn cấp có khả năng xảy ra phải được xác định trong sổ tay vận hành và các hành động cần thiết của nhân viên vận hành phải được quy định.
Hướng dẫn phải yêu cầu khi có hỏa hoạn hoặc biểu hiện rủi ro hỏng hóc kết cấu cho tuabin gió hoặc các thành phần của nó, không ai có thể tiếp cận tuabin gió trừ khi rủi ro đã được đánh giá cụ thể.
Khi chuẩn bị kế hoạch quy trình khẩn cấp, phải tính đến rủi ro hỏng hóc kết cấu có thể tăng lên trong các tình huống sau:
• quá tốc độ;
• điều kiện đóng băng;
• sấm sét;
• động đất;
• đứt hoặc lỏng dây căng;
• hỏng phanh;
• mất cân bằng rôto;
• chốt lỏng;
• lỗi bôi trơn;
• bão cát;
• hỏa hoạn, lũ lụt;
• các lỗi khác của thành phần.
13.5 Sổ tay bảo trì
Mỗi mẫu tuabin gió phải có sổ tay bảo trì, tối thiểu bao gồm các yêu cầu bảo trì và quy trình khẩn cấp được nhà sản xuất tuabin gió quy định, sổ tay cũng phải bao gồm các quy trình bảo trì không theo lịch trình.
Sổ tay bảo trì phải xác định các bộ phận có thể bị mài mòn và chỉ ra tiêu chí thay thế.
Các nội dung khác cũng nên được đề cập trong sổ tay bao gồm:
• bất kỳ yêu cầu nào rằng việc kiểm tra và bảo trì phải được thực hiện bởi nhân viên được đào tạo hoặc hướng dẫn phù hợp trong vận hành này, tại các khoảng thời gian quy định và tuân thủ các hướng dẫn trong sổ tay bảo trì tuabin gió;
• mô tả các hệ thống con của tuabin gió và cách thức vận hành của chúng;
• lịch trình bôi trơn quy định tần suất bôi trơn và các loại chất bôi trơn hoặc bất kỳ loại chất lỏng đặc biệt nào khác;
• quy trình vận hành lại;
• chu kỳ kiểm tra bảo trì và quy trình;
• quy trình kiểm tra chức năng của các hệ thống bảo vệ;
• sơ đồ dây điện và kết nối hoàn chỉnh;
• lịch trình kiểm tra và căng lại dây cáp và lịch trình kiểm tra và điều chỉnh lực căng của chốt, bao gồm tải trọng căng và mômen xoắn;
• quy trình chẩn đoán và hướng dẫn xử lý sự cố.
• danh sách bộ phận dự phòng khuyến nghị;
• bộ bản vẽ lắp ráp và lắp đặt tại hiện trường;
• danh sách công cụ.
14 Khí hậu lạnh
14.1 Quy định chung
Điều kiện thời tiết khí hậu lạnh (CC) được định nghĩa là khí hậu đóng băng (IC) và/hoặc khí hậu nhiệt độ thấp (LTC). LTC là khi nhiệt độ thấp hơn các điều kiện môi trường bình thường (6.4.2). IC được định nghĩa là hiện tượng đóng băng do thời tiết dẫn đến việc tích tụ băng tuyết và/hoặc băng tráng men trên tuabin gió. Để định nghĩa các loại băng, xem ISO 12494. Để đơn giản, điều kiện khí hậu lạnh được xem xét ở đây là các điều kiện IC và LTC trừ khi có quy định khác.
Tác động của khí hậu lạnh lên tính toàn vẹn kết cấu hoặc hệ thống an toàn của tuabin gió phải được đánh giá.
14.2 Khí hậu nhiệt độ thấp và đóng băng
Tối thiểu, các ảnh hưởng sau từ một LTC lên tuabin gió phải được xem xét:
a) vật liệu thành phần;
b) khối lượng riêng của không khí;
c) quy trình khởi động;
d) độ nhớt của dầu và chất bôi trơn.
Tối thiểu, các ảnh hưởng sau từ một IC phải được xem xét:
• giảm hiệu suất tuabin do cánh quạt bị đóng băng;
• phân bố băng không đồng đều trên các cánh tuabin;
• việc rơi băng từ cánh quạt;
• tác động của băng lên việc đo gió;
• tăng mức độ tiếng ồn;
• kéo dài thời gian ngừng vận hành.
14.3 Điều kiện bên ngoài đối với khí hậu lạnh
14.3.1 Quy định chung
Các điều kiện bên ngoài đối với khí hậu lạnh khác biệt so với các điều kiện bên ngoài của khí hậu bình thường (6.4.2) về nhiệt độ môi trường, khối lượng riêng của không khí và hiện tượng đóng băng.
14.3.2 Phân loại tuabin gió cho khí hậu lạnh
Các điều kiện bên ngoài cần được xem xét cho thiết kế phụ thuộc vào vị trí dự định hoặc loại địa điểm lắp đặt tuabin gió. Do tác động của LTC trong điều kiện khí hậu lạnh, các điều kiện nhiệt độ môi trường tối thiểu phải được giả định để đại diện cho nhiều địa điểm khác nhau và không đại diện chính xác cho bất kỳ địa điểm cụ thể nào. Phân loại tuabin gió cho khí hậu lạnh được định nghĩa theo nhiệt độ môi trường như sau:
- Nhiệt độ môi trường tối thiểu cho phép để tuabin gió vận hành (giá trị tức thời)
θmin,operation = -30°C
- Nhiệt độ môi trường tối thiểu dự kiến trung bình theo giờ (chu kỳ lặp lại 1 năm) = nhiệt độ thiết kế tối thiểu
θmin,operation = -30°C
- Nhiệt độ môi trường trung bình hàng năm:
θmean = -5°C
Các điều kiện môi trường khác theo các điều kiện môi trường bình thường (6.4.2).
14.4 Thiết kế kết cấu
Đối với điều kiện khí hậu nhiệt độ thấp (LTC), khối lượng riêng của không khí là 1,225 kg/m3 phải được sử dụng cho thiết kế kết cấu để cho phép sử dụng các tuabin gió được thiết kế theo các cấp tuabin gió tiêu chuẩn.
Ảnh hưởng của khối lượng riêng của không khí thực tế tại địa điểm[44], do nhiệt độ và độ cao tác động, phải được xem xét trong quá trình phân tích sự phù hợp của địa điểm.
14.5 Các tình huống thiết kế và các trường hợp tải
14.5.1 Quy định chung
Điều kiện khí hậu lạnh dẫn đến các tình huống thiết kế cụ thể cho tuabin gió. Trong điều kiện băng đóng (IC), cần xem xét ảnh hưởng của sự bám băng lên các hệ số khí động học của cánh và phân bố khối lượng của cánh. Trong điều kiện LTC, nhiệt độ môi trường thấp (14.3.2) dẫn đến khối lượng riêng của không khí cao hơn so với các điều kiện khí hậu bình thường (6.4.2), lựa chọn các vật liệu phù hợp (14.5.3) và các hệ quả từ đó cần được tính đến trong thiết kế tuabin.
Băng đóng trên cánh rôto thường xảy ra ở nhiệt độ cao hơn nhiệt độ môi trường tối thiểu (14.3.2).
Trong điều kiện khí hậu lạnh, hiệu suất tuabin thay đổi dẫn đến sự dịch chuyển trong điểm vận hành của tuabin cần được đánh giá. Tối thiểu, cần xem xét các yếu tố sau:
• hành vi không mong muốn của bộ điều khiển tuabin, ví dụ như do mômen xoắn máy phát và các giá trị đặt góc nghiêng cánh không chính xác, gây ra bởi sự khác biệt về hiệu suất khí động học của các cánh;
• tăng số chu kỳ khởi động - dừng;
• thay đổi trong hiện tượng giảm lực nâng của các cánh tua-bin;
• thay đổi tần số riêng do khối lượng băng bổ sung trên cánh.
Tải cao hơn có thể là hệ quả của các tác động đã đề cập ở trên. Tải cao hơn trong quá trình băng đóng cũng có thể là hệ quả của sự mất cân bằng do khí động học của rôto thay đổi và khối lượng băng bổ sung. Thông tin chi tiết hơn có thể có trong Phụ lục L.
14.5.2 Tính toán tải
Đối với điều kiện khí hậu lạnh, đáp ứng của bộ điều khiển tuabin và tải trọng chủ yếu bị ảnh hưởng bởi các hiệu ứng IC do sự bám băng trên cánh rôto và các hiệu ứng LTC do khối lượng riêng của không khí tăng lên. Thông tin chi tiết hơn có thể có trong Phụ lục L.
14.5.3 Lựa chọn vật liệu phù hợp
Đối với các hiệu ứng LTC trong khí hậu lạnh, tất cả các tính toán tải phải được điều chỉnh theo phạm vi nhiệt độ đã thay đổi để xem xét các tính chất vật liệu. Một khối lượng riêng của không khí theo 14.4 có thể được sử dụng cho tất cả các phạm vi nhiệt độ khí hậu lạnh.
Các kiểm tra xác nhận độ bền cực hạn cho các thành phần[45] tiếp xúc với nhiệt độ môi trường phải được xem xét cho θmin,operation ngoại trừ các tải trọng từ DLC 7.1, 8.1 và 8.2 được xem xét với θ1year,min. Thay vào đó, nhiệt độ tối thiểu cho DLC 8.1 cũng có thể được xác định bởi nhà sản xuất. Các kiểm tra xác nhận sức bền mỏi cũng phải được xem xét cho θmean.
14.6 Hệ thống điều khiển
Ngoài các yêu cầu khí hậu bình thường đối với hệ thống điều khiển được nêu trong Điều 8, các thành phần của hệ thống điều khiển phải được thiết kế với sự xem xét về sự thay đổi điểm vận hành của tuabin do hiện tượng đóng băng của tuabin, các nhiệt độ môi trường đã định trong suốt quá trình vận hành và dừng như được xác định trong 14.3.2. Các điều kiện khí hậu lạnh cần đặc biệt được xem xét trong các tình huống sau:
• Khi đảm bảo an toàn cho đáp ứng của bộ điều khiển tuabin trong điều kiện khí hậu lạnh;
• Khi cần thực hiện một quy trình khởi động để đưa tuabin gió trở lại vận hành an toàn sau một sự kiện dẫn đến việc tuabin bị làm lạnh xuống nhiệt độ vận hành môi trường tối thiểu θmin,operation hoặc thấp hơn (do sự cố lưới điện, bảo trì, hoặc nguyên nhân khác);
• Khi hiệu ứng của các giá trị khối lượng riêng của không khí khác nhau cần được xem xét đối với động lực học của tuabin gió;
• Trong trường hợp lưu trữ năng lượng quan trọng đối với an toàn, ví dụ như trong hub;
• Trong trường hợp ảnh hưởng của băng/hiệu ứng nhiệt độ thấp đối với cảm biến và xử lý dữ liệu.
Nếu việc vận hành tuabin bị đóng băng không được xem xét trong các giả định tải, các biện pháp phải được thực hiện để ngăn chặn việc vận hành của tuabin bị đóng băng. Các biện pháp này cần phải có độ dự phòng; một lỗi đơn lẻ không được dẫn đến việc vận hành không mong muốn của tuabin bị đóng băng.
14.7 Hệ thống cơ khí
Ngoài các yêu cầu khí hậu bình thường đối với hệ thống cơ khí được nêu trong Điều 9, các hệ thống cơ khí của tuabin gió phải được thiết kế với sự xem xét về nhiệt độ môi trường trong suốt quá trình vận hành và dừng như được xác định trong 14.3.2.
Cần đảm bảo rằng nhiệt độ dầu trong hộp số đã đạt được mức nhiệt độ cần thiết để tránh hư hỏng trước khi công suất có thể được truyền tải. Đối với quy trình khởi động lạnh, xem 14.6.
14.8 Hệ thống điện
Ngoài các yêu cầu khí hậu bình thường đối với hệ thống điện được nêu trong Điều 10, lắp đặt điện của tuabin gió phải được thiết kế với sự xem xét về nhiệt độ môi trường trong suốt quá trình vận hành và dừng như được xác định trong 14.3.2.
Các điều kiện khí hậu lạnh cần đặc biệt được xem xét trong các lĩnh vực sau:
• vật liệu trong các thành phần điện;
• khôi phục lưới điện tại nhiệt độ môi trường tĩnh tối thiểu θ1year,min, như được xác định trong 14.3.2;
• quy trình khởi động như được xác định ở 14.6.
Phụ lục A
(quy định)
Thông số thiết kế cho các điều kiện bên ngoài
A.1 Thông số thiết kế để mô tả loại tuabin gió cấp S
A.1.1 Quy định chung
Đối với các tuabin gió được thiết kế cho các điều kiện cụ thể tại chỗ hoặc điều kiện đặc biệt, tức là các tuabin cấp S, thông tin sau đây phải được cung cấp trong tài liệu thiết kế cho tất cả các điều kiện khác với các điều kiện của các loại tuabin gió như được xác định trong 6.2. Các điều kiện còn lại có thể được nêu bằng cách tham chiếu đến cấp tuabin gió phù hợp.
A.1.2 Thông số máy
| Công suất danh định | [kW] |
| Dải tốc độ gió vận hành của hub Vin - Vout | [m/s] |
| Thời gian thiết kế | [năm] |
A.1.3 Điều kiện gió
| Khối lượng riêng của không khí | [kg/m3] |
| Tốc độ gió cực trị tại chiều cao hub Ve1 và Ve50 | [m/s] |
| Mô hình và tham số nhiễu động | |
| Cường độ nhiễu động trung bình và độ lệch chuẩn theo hàm của tốc độ gió trung bình | |
| Mô hình gió giật cực trị và tham số cho chu kỳ lặp lại 1 năm và 50 năm | |
| Mô hình đổi hướng gió cực trị và tham số cho chu kỳ lặp lại 1 năm và 50 năm | |
| Mô hình gió giật đồng nhất cực trị và tham số | |
| Mô hình gió giật kết hợp cực trị với đổi hướng và tham số | |
| Mô hình trượt gió cực trị và tham số | |
| Gió tổng hợp hoặc theo từng khu vực (30° hoặc ít hơn): | |
| Tốc độ gió trung bình hàng năm | [m/s] |
| Góc nghiêng của luồng gió | [°] |
Phân bố tốc độ gió (Weibull, Rayleigh, đo, khác)
Mô hình và tham số biên dạng gió
Cường độ nhiễu động theo khu vực trung bình và độ lệch chuẩn theo chức năng của tốc độ gió trung bình
Mô hình và tham số hiệu ứng wake (cường độ nhiễu động hiệu dụng hoặc sự dao động động học của wake)
A.1.4 Điều kiện lưới điện
| Điện áp và dải điện áp cung cấp bình thường | [V] |
| Tần số và dải tần số cung cấp bình thường | [Hz] |
| Mất cân bằng điện áp | [V] |
Phương pháp nối đất trung tính
Phương pháp phát hiện/bảo vệ khi có sự cố chạm đất
Số lượng và thời gian tối đa của các sự cố mất điện hàng năm
Chu kỳ tự động đóng lại
Lịch trình bù công suất phản kháng yêu cầu
Đồng điện và khoảng thời gian sự cố
Trở kháng ngắn mạch pha-pha và pha-đất tại các đầu nối tuabin gió
Biến dạng điện áp hài nền của lưới điện
Có đường điện mang tín hiệu, nếu có, và cùng tần số
Các hồ sơ biên dạng sự cố đối với yêu cầu duy trì chế độ vận hành khi có sự cố
Yêu cầu kiểm soát hệ số công suất
Yêu cầu về tốc độ tăng/giảm công suất
Các yêu cầu tương thích với lưới điện khác.
A.1.5 Các điều kiện môi trường khác (trong trường hợp có tính đến)
| Dải nhiệt độ bình thường và cực trị | [°C] |
| Độ ẩm tương đối của không khí | [%] |
| Bức xạ mặt trời | [W/m2] |
Mưa, đá và tuyết
Mô hình và tham số đóng băng
Chất hoạt tính hóa học
Hạt hoạt tính cơ học
Sét, bao gồm mô tả hệ thống bảo vệ chống sét
| Độ mặn | [g/m3] |
Nền móng:
Độ cứng và độ giảm chấn của nền móng
Mô hình và tham số động đất:
A.2 Các tham số thiết kế bổ sung cho mô tả tuabin gió cấp S ở khí hậu lạnh (CC-S)
Xem Bảng A.1.
Bảng A.1 - Các tham số thiết kế mô tả tuabin gió cấp S ở khí hậu lạnh (CC-S)
| Điều kiện bên ngoài | ||
| Ký hiệu | Đơn vị | Mô tả |
| θmin,operation | [K] | Nhiệt độ môi trường tối thiểu cho phép vận hành tuabin gió |
| θ1year,min | [K] | Nhiệt độ môi trường tối thiểu dự kiến trung bình theo giờ |
| p(θmin,operation) | [kg/m3] | Khối lượng riêng của không khí cho các trường hợp tải thiết kế khí hậu lạnh liên quan đến nhiệt độ môi trường tối thiểu cho phép vận hành tuabin gió θmin,operation |
| p(θ1year,min) | [kg/m3] | Khối lượng riêng của không khí cho các trường hợp tải thiết kế khí hậu lạnh liên quan đến nhiệt độ môi trường tối thiểu dự kiến trung bình theo giờ θ1year,min |
Khối lượng riêng của không khí được sử dụng cho tính toán tải và xác định đường cong công suất nên được tính bằng cách áp dụng định luật khí lý tưởng[46].
Công thức sau đây áp dụng:
![]()
Với
P = 101 325 N/m (ở mực nước biển)
R0 = 287 J/(kg-K)
θ = θ1year,min + 35K đểtính p(θ1year,min)
θ = θmin,operation + 25 K để tính p(θmin,operation)
Các hệ số hiệu chỉnh cho các độ cao khác nhau có thể được áp dụng.
Khối lượng riêng của không khí là 1,225 kg/m3 có thể được sử dụng cho thiết kế kết cấu để cho phép sử dụng các tuabin gió được thiết kế theo các cấp tuabin gió tiêu chuẩn.
Ảnh hưởng của khối lượng riêng của không khí thực tế tại hiện trường, bị ảnh hưởng bởi nhiệt độ và độ cao, được xem xét trong quá trình phân tích sự phù hợp của địa điểm.
Phụ lục B
(tham khảo)
Các trường hợp tải thiết kế đối với thiết kế tuabin gió đặc biệt cấp S hoặc đánh giá tính phù hợp của vị trí
B.1 Quy định chung
Các trường hợp tải thiết kế cho thiết kế tuabin gió cấp S đặc biệt hoặc đánh giá tính phù hợp của vị trí được xác định từ sự kết hợp của các chế độ vận hành hoặc tình huống thiết kế với các điều kiện bên ngoài cấp S áp dụng cùng với các tham số thiết kế như quy định trong Phụ lục A.
Trong tình huống thiết kế sản xuất điện, phân tích cho NTMs và ETMs có thể được thực hiện cho từng khu vực với điều kiện gió xác định cho từng khu vực hoặc cho tất cả các khu vực sử dụng điều kiện gió tổng hợp. Đối với các tình huống thiết kế khác, phân tích được thực hiện cho tất cả các khu vực sử dụng điều kiện gió tổng hợp. Việc tổng hợp các điều kiện gió phải được thực hiện sao cho đảm bảo tải trọng mỏi và tải trọng cực trị hợp lý, hoặc các tham số thiết kế phải được chọn một cách thận trọng. Cần xem xét sự biến đổi tiềm tàng trong trượt gió, khối lượng riêng và các tham số khác có thể ảnh hưởng đến tải trọng mỏi của tuabin gió.
Các hiệu ứng wake, tải trọng động đất và đóng băng phải được xem xét trong các trường hợp tải như quy định cho các điều kiện khác, nếu phù hợp.
Khi một phạm vi tốc độ gió được quy định trong Bảng B.1, các tốc độ gió dẫn đến điều kiện bất lợi nhất cho thiết kế tuabin gió phải được xem xét. Phạm vi tốc độ gió có thể được biểu diễn bằng một tập hợp các giá trị rời rạc, trong trường hợp đó, độ phân giải phải đủ để đảm bảo độ chính xác của phép tính[47]. Trong định nghĩa các trường hợp tải thiết kế, tham chiếu được thực hiện đến các điều kiện gió được mô tả trong Điều 6.
Như đã nêu trong 11.10, đối với đánh giá tính phù hợp của vị trí, các trường hợp tải thiết kế tối đa sau đây phải được đánh giá như là tối thiểu: DLC 1.1, DLC 1.3, DLC 6.1, và DLC 6.2. Nếu các trường hợp tải thiết kế cho các lớp tiêu chuẩn là phù hợp, không cần thực hiện thêm các đánh giá khác. Nếu có liên quan, các trường hợp tải khác trong các tình huống thiết kế 1), 6), và 7) trong Bảng B.1 nên được xem xét. Các tình huống thiết kế 2), 3), 4), 5), và 8) trong Bảng B.1 chỉ cần được xem xét khi đáp ứng của hệ thống điều khiển và các quy trình vận chuyển, lắp đặt, bảo trì và sửa chữa phụ thuộc vào vị trí.
B.2 Sản xuất điện (DLC 1.1 đến 1.9)
Trong tình huống thiết kế này, một tuabin gió đang vận hành và kết nối với tải điện, cấu hình tuabin gió giả định phải tính đến sự mất cân bằng của rôto. Khối lượng tối đa và các sự mất cân bằng khí động học (ví dụ: nghiêng cánh và độ lệch xoắn) được quy định cho việc chế tạo rôto phải được sử dụng trong các phép tính thiết kế.
Ngoài ra, các sự sai lệch so với tình huống vận hành lý thuyết tối ưu, ví dụ như độ lệch xoay và lỗi dõi theo hệ thống điều khiển, phải được xem xét trong phân tích tải vận hành.
Các trường hợp tải thiết kế (DLC) 1.1 và 1.2 thể hiện các yêu cầu về tải trọng do nhiễu động khí quyển tại vị trí cụ thể xảy ra trong quá trình vận hành bình thường của tuabin gió trong suốt thời gian sử dụng của nó (NTM). Đối với DLC 1.2, các hiệu ứng wake cũng được xem xét - xem Phụ lục E để biết hướng dẫn. DLC 1.3 thể hiện các yêu cầu về tải trọng tối đa do điều kiện nhiễu động tại vị trí cụ thể cực trị. DLC 1.4 và 1.5 quy định các trường hợp tạm thời đã được chọn là các sự kiện có thể quan trọng trong vòng đời của tuabin gió.
Phân tích thống kê dữ liệu mô phỏng DLC 1.1 phải bao gồm ít nhất việc tính toán các giá trị cực trị của mômen trong mặt phẳng và ngoài mặt phẳng tại gốc cánh và độ võng đầu cánh. Nếu các giá trị thiết kế cực trị của mômen gốc cánh từ DLC 1.1 bị vượt quá bởi các giá trị thiết kế cực trị từ DLC 1.3, việc phân tích thêm DLC 1.1 có thể bị bỏ qua.
Nếu các giá trị thiết kế cực trị của mô-men gốc cánh từ DLC 1.1 không bị vượt quá bởi các giá trị thiết kế cực trị từ DLC 1.3, hệ số c trong Công thức (20) cho mô hình nhiễu động cực trị được sử dụng trong DLC 1.3 có thể được tăng lên cho đến khi các giá trị thiết kế cực trị của mômen gốc cánh tính được trong DLC 1.3 bằng hoặc vượt quá các giá trị cực trị liên quan. Các giá trị đặc trưng của tải trọng liên quan đến các thành phần tuabin khác có thể được xác định từ phân tích này dựa trên DLC 1.3 với nhiễu động cực trị đã được tăng cường. Như một phương án thay thế cho phân tích này, các giá trị đặc trưng thích hợp của tất cả các thành phần tải trọng liên quan đến từng thành phần tuabin cụ thể có thể được suy diễn trực tiếp từ mô phỏng.
Bảng B.1 - Trường hợp tải thiết kế
| Tình huống thiết kế | DLC | Điều kiện gió [48][49] | Điều kiện khác | Loại phân tích | Hệ số an toàn từng phần |
| 1) Sản xuất điện | 1.1 | NTMs Vin < Vhub < Vout | Đối với ngoại suy các sự kiện cực trị | U | N |
|
| 1.2 | NTMs Vin < Vhub < Vout | Các hiệu ứng wake | F | * |
|
| 1.3 | ETMs Vin < Vhub < Vout |
| U | N |
|
| 1.4 | ECDS Vhub = Vr - 2m/s Vr’ Vr + 2m/s |
| U | N |
|
| 1.5 | EWSS Vin < Vhub < Vout |
| U | N |
|
| 1.6 | ETMS Vhub = Vr ± 2m/s và Vout | Các hiệu ứng wake | U | N |
|
| 1.7 | NTMs Vin < Vhub < Vout | Hình thành băng Các hiệu ứng wake | U | N |
|
| 1.8 | NTMs Vhub = Vr | Động đất cộng với mất lưới điện | U | N |
| 2) Sản xuất điện cộng với sự cố | 2.1 | NTMs Vin < Vhub < Vout | Sự cố hệ thống điều khiển bình thường hoặc mất điện lưới hoặc sự cố chức năng điều khiển lớp chính (xem 7.4.3) | U | N |
|
| 2.2 | NTMS 71n < vhub < yout | Sự cố hệ thống điều khiển bất thường hoặc sự có liên quan đến chức năng bảo vệ lớp phụ (xem 7.4.3) | U | A |
|
| 2.3 | EOGS Vhub = Vr ± 2m/s và Vout | Sự cố điện bên ngoài hoặc bên trong, bao gồm mất điện lưới | U | A |
|
| 2.4 | NTMS Fin < Fhub < 70Ut | Sự cố hệ thống điều khiển, sự cố điện hoặc mất điện lưới | F | * |
|
| 2.5 | NWP Vin < Vhub < Vout | Duy trì vận hành ở chế độ điện áp thấp | U | N |
| 3) Khởi động | 3.1 | NWPS Vin < Vhub < Vout |
| F | * |
|
| 3.2 | EOGs Vhub = Vr ± 2m/s và Vout |
| U | N |
|
| 3.3 | EDCS Vhub = Vr ± 2m/s và Vout |
| U | N |
|
| 4.1 | NWPS Vin < Vhub < Vout |
| F | * |
|
| 4.2 | EOGS Vhub = Vr ± 2m/s và Vout |
| U | N |
|
| 5.1 | NTMS Vhub = Vr + 2m/s và Vout |
| U | N |
|
| 6.1 | EWMS chu kỳ lặp lại 50 năm |
| U | N |
|
| 6.2 | EWMS chu kỳ lặp lại 50 năm | Mất kết nối lưới điện | U | A |
|
| 6.3 | EWMS chu kỳ lặp lại 1 năm | Độ lệch hướng xoay cực trị | U | N |
|
| 6.4 | NTMs Vhub < 0,7 Vref |
| F | * |
|
| 6.4 | NTMs Vhub < 0,7 Vref | Hình thành băng | U | N |
|
| 6.6 | NTMs Vhub < 0,7 Vref | Dải nhiệt độ cực trị | U | N |
|
| 6.7 | NTMs Vhub < 0,7 Vref | Động đất cộng với mất lưới điện | U | N |
|
| 7.1 | EWMS chu kỳ lặp lại 1 năm |
| U | A |
|
| 8.1 | NTMs Vmaint được tuyên bố bởi nhà sản xuất |
| U | N |
|
| 8.2 | EWMS chu kỳ lặp lại 1 năm |
| U | A |
| Các chữ viết tắt dưới đây được sử dụng DLC - Trường hợp tải thiết kế ECDS - Gió giật kết hợp cực trị có hướng thay đổi (tại vị trí cụ thể). Nếu không có giá trị tại vị trí cụ thể, có thể giả định giống như ECD như được xác định trong 6.3.3.6. EDCS - Đổi hướng gió cực trị (tại vị trí cụ thể). Nếu không có giá trị tại vị trí cụ thể, có thể sử dụng các công thức (21) và (22) trong 6.3.3.5, thay thế độ lệch chuẩn môi trường EOGS - Gió giật vận hành cực trị (tại vị trí cụ thể). Nếu không có giá trị tại vị trí cụ thể, có thể sử dụng các công thức (18) và (19) trong 6.3.3.3, thay thế độ lệch chuẩn môi trường EWMS - Mô hình tốc độ gió cực trị (tại vị trí cụ thể). Nếu không có giá trị tại vị trí cụ thể, có thể sử dụng các công thức (13) đến (17) trong 6.3.3.2, thay thế tốc độ gió cực trị tại vị trí cụ thể với chu kỳ 50 năm cho Vref. EWSS - Trượt gió cực trị (tại vị trí cụ thể). Nếu không có giá trị tại vị trí cụ thể, có thể sử dụng các công thức (27) và (28) trong 6.3.3.7, thay thế độ lệch chuẩn môi trường NTMs - Cường độ nhiễu động đại diện tại vị trí cụ thể, theo tốc độ gió tại độ cao hub, ETMS - Cường độ nhiễu động môi trường cực trị tại vị trí cụ thể theo tốc độ gió tại chiều cao hub, NWPS - Mô hình biên dạng gió tại vị trí cụ thể. Nếu không có biên dạng tốc độ gió tại vị trí cụ thể, có thể sử dụng công thức (9) trong 6.3.2.2 với hệ số trượt gió tại vị trí cụ thể thay cho α = 0,2. Vr ± 2 m/s - Độ nhạy đối với tất cả các tốc độ gió trong dải này cần được phân tích. F - Độ mỏi (xem 7.6.3) U - Cường độ cực trị (xem 7.6.2) N - Bình thường A - Bất thường * - Hệ số an toàn từng phần đối với độ mỏi (xem 7.6.3) | |||||
Trong DLC 1.6, việc đánh giá tải trọng do mô hình ETMS môi trường tại vị trí cụ thể kết hợp với tình trạng wake giữa các tuabin phải được thực hiện. Khoảng cách giữa các tuabin cấp S phải bao phủ các điều kiện tải trọng xấu nhất trong khoảng cách tối thiểu Smin (do nhà sản xuất xác định) và S = 20D, Trong đó D là đường kính rôto của tuabin.
Phụ lục E cung cấp hướng dẫn về việc sử dụng các mô hình wake phù hợp cho DLC 1.6. Nếu mô hình cộng thêm nhiễu động wake được sử dụng, cường độ nhiễu động wake tối đa trên đường trung tâm phải được áp dụng. Việc sử dụng mô hình wake có biến động (ví dụ: DWM) phải xem xét ít nhất năm góc bù wake trung bình:

Số lượng sự kiện quá độ cho DLC 2.4, DLC 3.1 và DLC 4.2 có thể phụ thuộc vào vị trí và điều này cần được xem xét trong phân tích tải trọng cụ thể cho từng vị trí. Nếu không có thông tin, số lượng sự kiện được đề xuất trong các chú thích 7.4.3, 7.4.4 và 7.4.5 (chú thích cuối trang số 16, 18 và 19) có thể được sử dụng.
Phụ lục C
(tham khảo)
Mô hình nhiễu động
C.1 Quy định chung
Có hai mô hình nhiễu động được đưa ra cho tính toán tải trọng thiết kế. Các dao động vận tốc nhiễu động được giả định là một trường vectơ ngẫu nhiên dừng, trong đó các thành phần có phân bố Gauss trung bình bằng không. Mô hình đầu tiên được khuyến nghị sử dụng.
1) Mô hình nhiễu động Mann trượt gió đều.
2) Mô hình phổ Kaimal và tương quan hàm mũ.
Các tham số cho các mô hình đã được chọn để đáp ứng các yêu cầu nhiễu động chung được nêu trong 6.3.
C.2 Mô hình nhiễu động Mann [3] trượt gió đều
Mô tả của mô hình này có phần khác so với các mô hình trước ở chỗ nó xác định một tensor phổ vận tốc ba chiều. Mô hình giả định rằng phổ năng lượng đẳng hướng von Karman [2] bị biến dạng nhanh chóng bởi độ trượt gió vận tốc trung bình đều. Các thành phần của tensor phổ thu được được cho bởi:

trong đó

= tensor tương quan không thứ nguyên;
u1, u2, u3= các thành phần vận tốc dọc, ngang và hướng lên, tương ứng
δ1, δ2, δ3 = các thành phần vectơ phân cách không gian không thứ nguyên;
k1, k2, k3 = các số sóng không gian không thứ nguyên cho ba chiều thành phần
= độ lớn của vectơ số sóng không thứ nguyên;
= độ lớn trước khi bị biến dạng trượt gió;

= phổ năng lượng đẳng hướng von Karman không thứ nguyên;
= thời gian biến dạng không thứ nguyên, tỷ lệ nghịch với ![]()
= Hàm siêu hình học;
= phương sai và các tham số tỷ lệ đẳng hướng, không có trượt gió, tương ứng;
γ = tham số biến dạng trượt gió không thứ nguyên.
Mặc dù mô hình này phức tạp hơn mô hình đẳng hướng von Karman, nó chỉ chứa một tham số bổ sung, đó là tham số biến dạng trượt gió, γ. Khi tham số này bằng không, mô hình đẳng hướng được phục hồi. Khi tham số này tăng lên, các phương sai của thành phần vận tốc dọc và ngang tăng lên trong khi phương sai của thành phần vận tốc hướng lên giảm. Kết cấu xoáy nhiễu động thu được bị kéo dài theo hướng dọc và nghiêng so với mặt phẳng 1-2.
Giả sử rằng trường vận tốc ngẫu nhiên do mô hình tạo ra được truyền qua tuabin với tốc độ gió tại độ cao hub, các phổ thành phần vận tốc quan sát tại một điểm có thể được tính bằng cách tích phân các thành phần của tensor phổ. Cụ thể, các phổ một chiều không thứ nguyên được cho bởi:
trong đó
= phổ tự tương quan một chiều theo với i = j, hoặc phổ tương quan chéo với i ≠ j.
= phương sai thành phần.
Tương tự, đối với các khoảng cách không gian vuông góc với hướng dọc, độ tương quan được cho bởi:

Tuy nhiên, các tích phân thu được không có dạng giải tích đã biết và cần được thực hiện số học với giá trị cụ thể của tham số γ. Mann [4] đã thực hiện các phép tích phân này và so sánh kết quả với mô hình phổ Kaimal. Việc khớp theo phương pháp bình phương tối thiểu với mô hình Kaimal đã cho ra giá trị của tham số độ trượt gió:
![]()
với các mối quan hệ phương sai thu được:

Lưu ý rằng phương sai ngang thu được thấp hơn so với giá trị cho trong Bảng C.1. Tham số tỷ lệ có thể được tìm bằng cách so sánh các phổ dọc trong phạm vi quán tính. Do đó,

Tóm lại, ba tham số cần thiết trong mô hình Mann được đưa ra dưới đây:

trong đó s1 và Ʌ1 được quy định trong 6.3.
Đối với mô phỏng vận tốc nhiễu động ba chiều, các thành phần vận tốc được xác định từ việc phân tách tensor phổ và một phép xấp xỉ bằng biến đổi Fourier rời rạc. Do đó, miền không gian ba chiều được chia thành các điểm rời rạc cách đều và vectơ vận tốc tại mỗi điểm được cho bởi:
Trong đó

u1, u2, u3 = các thành phần vectơ phức có các phần thực và phần ảo độc lập của trường vận tốc nhiễu động;
n1, n2, n3 = các giá trị ngẫu nhiên Gauss phức độc lập cho từng số sóng khác nhau và có các phần thực và phần ảo có phương sai bằng 1;
x, y, z = các tọa độ của các điểm lưới trong không gian;
N1, N2, N3 = số lượng các điểm lưới trong không gian ba chiều;
∆ = độ phân giải của lưới không gian.
Trong biểu thức này, ký hiệu
có nghĩa là tổng của tất cả các số sóng không có kích thước trong lưới và có thể được thực hiện bằng các kỹ thuật FFT. Trong các trường hợp khi miền không gian nhỏ hơn 8 l ở bất kỳ chiều nào, việc điều chỉnh cho phân tách tensor phổ [C (k1, k2, k3)] được khuyến nghị. Quy trình này được chi tiết trong Mann [4],
Các tham số mô hình Mann được suy ra ở đây để đại diện cho mô hình nhiễu động bị biến dạng Mann dựa trên việc tuân thủ các điều kiện bên ngoài được xác định trong Điều 6 và theo đó các phổ gió kết quả tương đương với các phổ Kaimal.
Đối với phân tích theo vị trí cụ thể, tham số biến dạng trượt gió (dị hướng) γ, hệ số phân tán αϵ2/3, và thang độ dài l, có thể được xác định dựa trên các phép đo phổ gió Fu(kl), Fv(kl), Fw(kl) và Fuw(kl) tại một điểm cố định. Sau đó, trường gió nhiễu động theo mô hình Mann cần được tạo ra dựa trên ba tham số mô hình được suy ra từ các phổ đo được.
C.3 Mô hình phổ Kaimal [1][50] và tương quan hàm mũ
Các mật độ phổ công suất thành phần được cho dưới dạng không thứ nguyên bằng Công thức (C.14):

trong đó
f là tần số, tính bằng hertz;
k là chỉ số liên quan đến hướng thành phần vận tốc (tức là 1 = dọc, 2 = bên, và 3 = lên);
Sk là phổ thành phần vận tốc một phía;
sk là độ lệch chuẩn của thành phần vận tốc;
Lk là tham số quy mô tích phân của thành phần vận tốc.
và với

Các tham số phổ nhiễu động được cho trong Bảng C.1.
Bảng C.1 - Các tham số phổ nhiễu động dùng cho mô hình Kaimal
|
| Chỉ số thành phần vận tốc, k | ||
| 1 | 2 | 3 | |
| Độ lệch chuẩn, sk | s1 | 0,8 s1 | 0,5 s1 |
| Tỷ lệ tích phân, Lk | 8,1 Ʌ1 | 2,7 Ʌ1 | 0,66 Ʌ1 |
| s1 và Ʌ1 lần lượt là độ lệch chuẩn và tham số tỷ lệ của nhiễu động như được quy định ở 6.3. | |||
Mô hình tương quan hàm mũ dưới đây có thể được sử dụng cùng với phổ tự động Kaimal để tính đến kết cấu tương quan không gian của thành phần vận tốc dọc:
![]()
trong đó
Coh(r,f) là hàm tương quan được xác định bởi độ lớn phức của mật độ phổ tương quan chéo của các thành phần vận tốc gió dọc tại hai điểm cách nhau không gian chia cho hàm phổ tự tương quan;
r là độ lớn của vectơ khoảng cách giữa hai điểm trên mặt phẳng vuông góc với hướng gió trung bình;
f là tần số, tính bằng hertz;
Lc = 8,1Ʌ1 là tham số tỷ lệ tương quan.
C.4 Tài liệu tham khảo
[1] J.C. Kaimal, J.C. Wyngaard, Y. Izumi, and O.R. Cote, Spectral characteristics of surface-layer turbulence, Q.J.R. Meteorol. Soc., v. 98, 1972, p. 563-598
[2] T. von Karman, Progress in the statistical theory of turbulence, Proc. Nat. Acad. Sci., v. 34, 1948, p. 530-539
[3] J. Mann, The spatial structure of neutral atmospheric surface-layer turbulence, J. Fluid Meeh., v. 273, 1994, p. 141-168
[4] J. Mann, Wind field simulation, Prob. Engng. Meeh., v. 13, no. 4, 1998, p. 269-282
Phụ lục D
(tham khảo)
Đánh giá tải trọng động đất
D.1 Quy định chung
Có hai phương pháp để đánh giá tải trọng động đất trên tuabin gió. Một phương pháp là mô phỏng động lực học trong miền thời gian và phương pháp còn lại là phương pháp phổ đáp ứng (RSM). Trong phương pháp miền thời gian, gia tốc nền tại bề mặt được ước tính từ phổ đáp ứng tại nền đá kỹ thuật hoặc từ lịch sử thời gian của chuyển động nền được quy định trong các quy định xây dựng hiện hành. Các tham số cụ thể tại hiện trường của phổ đáp ứng có thể dựa trên các quy định xây dựng hiện hành [1-7], Cần chú ý đặc biệt khi sử dụng phương pháp phổ đáp ứng cho các kết cấu hỗ trợ tuabin gió do tỷ lệ giảm chấn thấp [8]. Trong Phụ lục D, phổ đáp ứng thiết kế được trình bày trước trong Điều D.2, tiếp theo là mô tả mô hình kết cấu trong Điều D.3, các phương pháp đánh giá tải trọng động đất trong Điều D.4 và tải trọng bổ sung trong Điều D.5. Một ví dụ về mô phỏng miền thời gian được mô tả trong [9-10],
D.2 Phổ đáp ứng thiết kế
Phổ đáp ứng gia tốc phải được chọn tại nền đá kỹ thuật cho chu kỳ lặp lại 475 năm. Nói chung, phổ đáp ứng được cung cấp bởi các quy định xây dựng hiện hành.
Phổ đáp ứng gia tốc có thể được định nghĩa theo Công thức (D.1):

Trong đó α0 là gia tốc nền tối đa tại nền đá kỹ thuật cho chu kỳ lặp lại 475 năm. b0 là tỷ số khuếch đại đáp ứng gia tốc cho vùng mà đáp ứng gia tốc trở nên không đổi và có thể được lấy từ 2 đến 3. T là chu kỳ dao động riêng cơ bản của kết cấu. TB, Tc, K1 và K2 phụ thuộc vào điều kiện kiến tạo, địa chất và đất đai. TB có thể được lấy từ 1/5 đến 1/2 của Tc. Tc có thể được lấy từ 0,3 s đến 0,5 s cho các đặc điểm của đất cứng và chắc, từ 0,5 s đến 0,8 s cho các đặc điểm của đất trung gian và từ 0,8 s đến 1,2 s cho các đặc điểm của đất mềm và lỏng. K1 và K2 là các số mũ có thể thay đổi từ 1/3 đến 2. Những tham số này có thể được xác định bởi các quy định về thiết kế hiện hành như được chỉ ra trong các tài liệu tham khảo [2], [3], [4],
Phổ đáp ứng thiết kế có thể được tính theo Công thức (D.2) [2],

Trong đó Gs là hệ số khuếch đại đất và Fζ là hệ số điều chỉnh giảm chấn của kết cấu. Các tham số này được mô tả trong Điều D.2.
Hệ số khuếch đại đất Gs giải thích sự khác biệt trong khuếch đại sóng động đất trong quá trình lan truyền qua đất nơi kết cấu được xây dựng. Các quy định về thiết kế hiện hành thường xác định các loại đất điển hình và hệ số khuếch đại của chúng. Các giá trị đó trong quy định về thiết kế hiện hành có thể được sử dụng để đánh giá tải trọng động đất của tuabin gió.
Hệ số hiệu chỉnh giảm chấn sau đây có thể được sử dụng cho phân tích đáp ứng động đất của tuabin gió [8]:

Trong đó, γ là giá trị để xem xét sự không đảm bảo trong tải trọng động đất, và một giá trị giữa 0,5 và 0,85 có thể được sử dụng tùy theo yêu cầu địa phương.
D.3 Mô hình kết cấu
Để ước tính tải trọng động đất trên tuabin gió, có thể sử dụng mô hình đơn giản với N bậc tự do (Hình D.1), trong đó khối lượng và mômen quán tính của rôto, hộp số và máy phát được tập trung ở đầu trên của tháp (nút N), và khối lượng của tháp được phân bố dọc theo tháp. Đáy của tháp có thể được cố định vào mặt đất để ước tính tải trọng của tháp. Mô hình phức tạp hơn có thể cần thiết để ước tính tải trọng của nền móng, điều này nằm ngoài phạm vi của Phụ lục D.
Hình D.1 – Mô hình kết cấu cho phương pháp phổ đáp ứng
D.4 Đánh giá tải trọng động đất
Sử dụng phổ đáp ứng, gia tốc cực đại (Aij lực (Fij) và dịch chuyển (Dij) tương ứng với dao động thứ j tại nút thứ i có thể được tính như sau.
Trong đó Xịj\à hình dạng dao động thứ j thu được từ phân tích giá trị riêng, Sa(Tj,^j} là biên độ của phổ đáp ứng cho chu kỳ riêng Tj và tỷ số giảm chấn <ý của dao động thứ j và Yj là hệ số tham gia dao động của dao động thứ j.
Trong đó N là số lượng nút trong mô hình.
Gia tốc tổng ( Aitotal ), dịch chuyển tổng ( Ditotal ), lực cắt tổng (Qitotal ) và mômen uốn tổng ( Mitotal ) với tất cả các dao động liên quan tại nút thứ i có thể được tính bằng phương pháp tổ hợp bình phương hoàn chỉnh (CQC) [Công thức từ (D.8) đến (D.11)].

trong đó

Trong đó, ζj và ζi là tỷ số giảm chấn đối với dao động thứ j và thứ l, tương ứng, và X là tỷ số giữa tần số riêng của dao động thứ j và tần số riêng của dao động thứ l.
D.5 Tải bổ sung
Mômen xoắn của tháp (Mt) có thể được tính bằng cách sử dụng Công thức (D.13) [8].
Mômen uốn bổ sung do phi tuyến hình học, ví dụ như hiệu ứng p - ∆, có thể được tính bằng cách sử dụng dịch chuyển cực đại, xem [8],
![]()
Trong đó Mn là khối lượng của vỏ tuabin và rôto, An là gia tốc cực đại tại vỏ tuabin, Le là khoảng cách giữa tâm rôto và tâm của vỏ tuabin và rôto.
D.6 Tài liệu tham khảo
[1] ISO 3010, Basis for design of structures - Seismic actions on structures
[2] Eurocode 8, Design of Structure for Earthquake Resistance; Part 1: General Rules, Seismic Actions and Rules for Buildings, EN-1998-1:2004
[3] ASCE 7-05, Minimum Design Loads for Buildings and other Structures, American Society of Civil Engineers, Reston, Virginia, USA, 2006
[4] BSL, The Building Standard Law of Japan, The building centre of Japan, 2004
[5] AIJ, Architectural Institute of Japan, Seismic Loads Commentary, 2004
[6] IBC, International Building Code, International Code Council, Falls Church, Virginia, 2009
[7] UBC-97 Uniform Building Code, International Conference of Building Officials (ICBO), 1997
[8] Y. Takei and T. Ishihara, Seismic Load Evaluation of Wind Turbine Support Structures Considering High Structural Damping and Additional Mode, Proc. Of Grand Renewable Energy Conference, 2014
[9] D. Witcher, Seismic analysis of wind turbines in the time domain, Wind Energy, No. 8, p. 81-91, 2005
[10] I. Prowell, A. Elgamal, C.-M. Uang, J. E. Luco, H. Romanowitz, and E. Duggan, Shake table testing and numerical simulation of a utility-scale wind turbine including operational effects, Wind Energy, DOI: 10.1002/we.1615
Phụ lục E
(tham khảo)
Wake và nhiễu động trong trang trại gió
E.1 Phương pháp tính thêm nhiễu động trong wake
Hiệu ứng wake tư các tuabin gió lân cận có thể được tính đến trong quá trình vận hành bình thường để tính toán độ mỏi bằng cách sử dụng cường độ nhiễu động hiệu dụng Ieff [1]. Cường độ nhiễu động hiệu dụng - dựa trên tốc độ gió trung bình ở chiều cao hub Vhub - có thể được xác định như sau:

trong đó
P là hàm mật độ xác suất của hướng gió;
I là cường độ nhiễu động của luồng gió kết hợp từ môi trường xung quanh và wake từ hướng gió θ;
M là số mũ của đường cong Wöhler tương ứng với vật liệu của thành phần kết cấu được xem xét
Phương pháp này áp dụng cho cả bố trí trang trại gió đều và không đều.
Tiếp theo, một phần bố đồng đều p(θ\Vhub) và một bố trí trang trại gió hình chữ nhật đều được giả định. Có thể điều chỉnh các công thức cho các bố trí khác và phân bố không đồng đều[51]. Không được giả định giảm tốc độ gió trung bình bên trong trang trại gió.
Nếu min{d1} ≥ 10D
![]()
Nếu min{d1} < 10D

trong đó
D là đường kính rôto;
=
+ 1,28
là độ lệch chuẩn của nhiễu động môi trường đại diện;
là độ lệch chuẩn của nhiễu động môi trường ước lượng;
là độ lệch chuẩn ước lượng của độ biến động môi trường;
là giá trị đại diện của độ lệch chuẩn nhiễu động ở độ cao hub, trung tâm wake tối đa (
không tính đến nhiễu động môi trường sinh ra từ trang trại gió).
CT là giá trị đặc trưng của hệ số cản gió của tuabin gió cho vận tốc gió ở độ cao hub tương ứng. Nếu hệ số cản gió của các tuabin gió lân cận không biết, có thể sử dụng giá trị chung CT = 7 c /Vhub;
di là khoảng cách, chuẩn hóa theo đường kính rôto, đến tuabin gió lân cận số i;
c là một hằng số bằng 1 m/s;
Ieff là cường độ nhiễu động hiệu dụng;
N là số lượng tuabin gió lân cận, xem Bảng E.1.
Các hiệu ứng nhiễu động luồng gió vùng phía sau rôto từ các tuabin gió “bị ẩn” sau các máy khác không cần được xem xét, ví dụ như trong một hàng, chỉ các nhiễu động luồng gió vùng phía sau rôto từ hai đơn vị gần nhất với máy đang xét mới được tính đến. Tùy thuộc vào cấu hình trang trại gió, số lượng tuabin gió gần nhất cần được đưa vào tính toán Ieff được cho trong Bảng E.1.
Bảng E.1 - số lượng (N) các tuabin gió lân cận
| Cấu hình trang trại gió | N |
| 2 tuabin gió | 1 |
| 1 hàng | 2 |
| 2 hàng | 5 |
| Trong một trang trại gió với hơn 2 hàng | 8 |
Cấu hình trang trại gió được minh họa trên Hình E.1 đối với trường hợp “bên trong một trang trại gió có nhiều hơn 2 hàng” và một bố trí đều.
Bên trong các trang trại gió lớn, các tuabin gió có xu hướng tạo ra nhiễu động “môi trường trang trại gió”. Do đó, khi:
a) số lượng tuabin gió từ đơn vị được xem xét đến 'biên' của trang trại gió lớn hơn 5, hoặc
b) khoảng cách trong các hàng vuông góc với hướng gió chính là nhỏ hơn 3D, thì nhiễu động môi trường trang trại gió đại diện sau đây phải được giả định thay vì
, ngoại trừ trong biểu thức cho
.
![]()
Trong đó

trong đó dr là khoảng cách theo đường kính rôto trong các hàng và df là khoảng cách giữa các hàng.

Hình E.1 – Cấu hình – Bên trong một trang trại gió có nhiều hơn 2 hàng
E.1 Mô hình dao động wake
E.2.1 Quy định chung
Hiệu ứng wake tư các tuabin gió lân cận có thể được xem xét cho các tính toán mỏi và ULS bằng cách áp dụng mô hình dao động wake (DWM) [2], [3] và [4]. Mô hình này mô tả các thay đổi trong trường gió trung bình trên trang trại gió cũng như các thay đổi trong cường độ và kết cấu nhiễu động so với các điều kiện môi trường.
Mô hình DWM bao gồm ba phần, xem Hình E.2:
1) mô hình suy giảm gió trong wake, được xây dựng trong hệ quy chiếu dao động;
2) mô hình ngẫu nhiên mô phỏng quá trình dao động wake theo hướng gió;
3) mô hình nhiễu động do wake tạo ra, cũng được mô tả trong hệ quy chiếu dao động.
Mô tả tóm tắt các mô hình con được khuyến nghị, sự tổng hợp của chúng và sự mở rộng của chúng cho trường hợp nhiều wake được cho dưới đây.

Hình E.2 – Ba phần cơ bản của mô hình DWM
E.2.2 Suy giảm vận tốc gió do wake
Sự suy giảm trung bình của tốc độ gió do wake mở rộng và suy yếu dần theo khoảng cách về phía xuôi gió từ rôto tạo wake. Mô hình được khuyến nghị để mô tả sự suy giảm này dựa trên công thức xấp xỉ lớp trượt gió mỏng của phương trình Navier-Stokes dưới dạng đối xứng trục quay, bỏ qua thành phần áp suất. Áp dụng phương pháp độ nhớt xoáy để mô hình hóa ứng suất Reynolds, thu được hệ phương trình cần giải là:

Trong đó U và V biểu thị vận tốc gió trung bình trong các hướng trục và hướng bán kính, tương ứng. Độ nhớt xoáy, VT, bao gồm các đóng góp từ cả độ xoáy môi trường và độ xoáy tự sinh ra ở wake:

Trong đó, các biến không gian chuẩn hóa được đưa vào là:
![]()
và F1 Và F2 là các hàm lọc phụ thuộc vào tọa độ trục, Rw là bán kính của wake, và Umin là vận tốc gió tối thiểu trong wake. Các hàm lọc thực nghiệm, tính đến ảnh hưởng của áp suất gần (tức là f2) và sự thiếu cân bằng giữa trường luồng gió trung bình và trường nhiễu động trong chế độ wake gần và trung gian (tức là f1, được cho bởi:

Ảnh hưởng của áp suất được tính ngầm định bằng cách giới thiệu F2 và thêm vào đó là phần mở rộng của wake được quy định bởi sự hồi phục áp suất trong các điều kiện biên liên quan đến hệ công thức vi phân (E.6) và (E.7). Do đó, bán kính wake ban đầu được xấp xỉ bởi:

Trong đó am biểu thị hệ số cảm ứng trung bình trên rôto, và
![]()
với CT là hệ số cản gió của rôto. Sự suy giảm ban đầu của wake được phát triển ở phía xuôi gió sử dụng các Công thức (E.6) và (E.7) do đó được lấy từ một dự đoán cảm ứng xa của phần tử cánh kết hợp với sự mở rộng theo phương xích đạo được đưa ra bởi Công thức (E.12).
E.2.3 Dao động
Phần dao động weak dựa trên giả định cơ bản rằng việc vận chuyển wake trong lớp ranh giới khí quyển có thể được mô hình hóa bằng cách coi wake hoạt động như các dấu vết thụ động được truyền động bởi các kết cấu nhiễu động quy mô lớn. Mô hình hóa quá trình dao động do đó bao gồm việc cân nhắc mô tả phù hợp của môi trường vận chuyển “chất mang” (tức là trường nhiễu động quy mô lớn) cũng như xác định tần số cắt phù hợp để định nghĩa các kết cấu nhiễu động quy mô lớn trong bối cảnh này.
Mô hình hóa ngẫu nhiên dao động wake được thiết lập bằng cách cân nhắc một chuỗi các sự suy giảm vận tốc gió do wake được “phát ra” tại các thời điểm liên tiếp theo tương tự như dấu vết thụ động. Sự phát tán của từng sự suy giảm vận tốc gió do wake “phát ra” sau đó được mô hình hóa, và mô tả tập hợp của những yếu tố này tạo thành mô hình dao động wake theo không gian và thời gian.
Khi áp dụng giả thuyết của Taylor, sự chuyển động xuôi dòng của từng đợt suy giảm vận tốc gió do wake được điều khiển bởi một vận tốc đối lưu thích hợp, thường được giả định là vận tốc gió trung bình của môi trường xung quanh. Đối với động lực học theo phương ngang và phương thẳng đứng, mỗi phần tử trong chuỗi wake được dịch chuyển liên tiếp theo các vận tốc nhiễu động quy mô lớn theo phương ngang và phương thẳng đứng, tại vị trí tức thời của vùng wake đang xét. về mặt toán học, động học của vùng wake theo phương ngang (y) và phương thẳng đứng (z) được mô tả bằng hệ phương trình vi phân sau:

Trong đó vc và wc là các vận tốc nhiễu động quy mô lớn phụ thuộc vào không gian tại thời điểm t.
Trung bình không gian được khuyến nghị, định nghĩa phần nhiễu động quy mô lớn, có thể được biểu thị bằng tần số cắt sử dụng giả thuyết của Taylor:
![]()
Lưu ý rằng với cách diễn đạt này, phần nhiễu động quy mô lớn được giả định không bị ảnh hưởng bởi sự có mặt của trang trại gió.
E.2.4 Nhiễu động gây ra bởi wake
Nhiễu động do wake gây ra bao gồm các thành phần từ nhiễu động cơ học thông thường, phát sinh do trượt gió trong vùng wake, cũng như từ các xoáy được sinh ra bởi cánh quạt và các xoáy vết — chủ yếu là xoáy đầu cánh và xoáy gốc cánh, dần dần phân rã ở khu vực hạ lưu của rôto tạo wake. Do đó, thành phần nhiễu động này được xem là độc lập với nhiễu động của môi trường xung quanh.
Với kích cỡ đặc trưng tương đương với quy mô của vùng suy giảm tốc độ trong wake, việc phân tách quy mô trong mô hình DWM cho thấy rằng nhiễu động do wake gây ra sẽ chuyển động theo sự dao động của vùng suy giảm tốc độ. Vì vậy, nhiễu động quy mô nhỏ được mô hình hóa trong hệ quy chiếu dao động cùng wake. Mặc dù cách tiếp cận này vi phạm các thống kê bậc hai (tức là tương quan chéo), sự không đồng nhất của trường nhiễu động được xấp xỉ bằng cách đơn giản hóa từ một trường nhiễu động đẳng hướng và đồng nhất, với chiều dài đặc trưng bằng đường kính rôto và độ lệch chuẩn của vận tốc nhiễu động là 1 m/s. Đối xứng quay của cường độ nhiễu động wake được giả định, dẫn đến một hệ số tỷ lệ mà tại một vị trí xuôi đồng nhất định chỉ phụ thuộc vào tọa độ xuyên tâm. Hệ số tỷ lệ thực nghiệm này, kwt, phụ thuộc vào độ sâu của sự suy giảm (Vhub - Umin), tại khoảng cách xuôi dỏng được xem xét, cũng như vào gradient hướng tâm của sự suy giảm vận tốc gió do wake
.

E.2.5 Xếp chồng wake
Việc xếp chồng wake đóng vai trò quan trọng khi mô hình hóa trường luồng gió trong các trang trại điện gió. Đây là một quá trình phức tạp và cần được đơn giản hóa để dễ dàng áp dụng. Các wake (bao gồm cả nhiễu động quy mô nhỏ do wake gây ra) từ từng tuabin được xử lý riêng biệt, sau đó quá trình dao động tương quan của chúng được mô hình hóa. Dựa trên điều kiện tốc độ gió môi trường, hai phương pháp khác nhau được áp dụng tương ứng với hai chế độ gió: dưới công suất danh định và trên công suất danh định.
• Dưới tốc độ gió danh định: Đối với một tuabin có tâm rôto nằm ở vị trí không gian x, trong trang trại gió, trường luồng gió biến thiên theo thời gian tại tọa độ cực của rôto (r, θ) được xác định bởi wake chiếm ưu thế từ tất cả các tuabin phía ngược dòng vào bất kỳ thời điểm nào:
![]()
Trong đó (r,θ,t|x) là tọa độ tạm thời kết hợp với tọa độ không gian trong hệ tọa độ cực có tâm tại vị trí không gian x, và mỗi trường luồng gió của từng wake riêng biệt được cho bởi Ut,i = (Ui + U)e1 + vie2+ wie3, with ej,j = 1,2,3 là các vectơ đơn vị theo hướng luồng gió dọc, ngang và thẳng đứng. Tham số i bao gồm tất cả các tuabin ở thượng nguồn liên quan đến vị trí không gian x cho một hướng gió trung bình nhất định. Lưu ý rằng với công thức được quy định trong công thức (E.18), sự nhiễu động quy mô nhỏ, liên quan đến các wake góp phần vào Ut, được tổng hợp theo cách không nhất quán. Tuy nhiên, vì các đóng góp nhiễu động được sinh ra là nhỏ, điều này không làm ảnh hưởng đến ứng dụng hiện tại.
• Trên tốc độ gió danh định: Sử dụng ký hiệu đã được giới thiệu, công thức (E.18) được thay thế bằng tổng của các đóng góp sự suy giảm của tất cả các tuabin ở phía ngược đồng.
![]()
E.2.6 Tổng hợp mô hình
Đối với mỗi rôto trong một trang trại gió, trường gió vào được cấu thành từ trường gió không bị ảnh hưởng, không bị làm xáo trộn với sự suy giảm vận tốc gió do wake liên quan (xem Công thức (E.18)) và wake do nhiễu động quy mô nhỏ gây ra được chồng lên theo cách tuyến tính. Trường gió không bị ảnh hưởng là tốc độ gió trung bình theo đặc điểm của khu vực, bao gồm phần xác định (tức là độ trượt gió trung bình) và phần nhiễu động thông thường với các đặc điểm nhiễu động môi trường. Các hiệu ứng gió vào do nhiễu động gây ra cần được chồng lên bao gồm các sự suy giảm vận tốc gió do wake di chuyển ngẫu nhiên, (Vhub - U), và các đóng góp từ nhiễu động do wake gây ra, và được cộng thêm theo công thức quy định trong Công thức (E.18). Lưu ý rằng dao động của sự suy giảm vận tốc gió do wake là hiệu ứng wake chiếm ưu thế.
E.3 Tài liệu tham khảo
[1] S. Frandsen (2007) Turbulence and turbulence generated structural loading in wind turbine clusters, RisØ report R-1188
[2] Larsen, G.C., Madsen, H.Aa., Thomsen, K., and Larsen, T.J. Wake meandering - a pragmatic approach. Wind Energy, 11,2008, p. 377-395
[3] Madsen, H.Aa., Larsen, G.C., Larsen, T.J., and Troldborg, N. Calibration and Validation of the Dynamic Wake Meandering Model for Implementation in an
Aeroelastic Code. J. Sol. Energy Eng., 132(4), 2010
[4] Larsen, T.J., Madsen, H. A., Larsen, G.C. and Hansen, K.S. Validation of the Dynamic Wake Meander Model for Loads and Power Production in the Egmond aan Zee Wind Farm. Wind Energy. 16, 2013, p. 605-624
Phụ lục F
(tham khFo)
Dự đoán phân bố gió cho các vị trí tuabin gió bằng phương pháp đo-tương quan-dự đoán (MCP)
F.1 Quy định chung
Việc đánh giá mức độ phù hợp của một tuabin gió cho một vị trí cụ thể đòi hỏi phải đánh giá các tham số tốc độ gió quan trọng đối với thiết kế tại vị trí đó. Thường thì không đủ dữ liệu ngay cả tại một điểm duy nhất trong trang trại gió để thực hiện đánh giá này. Tuy nhiên, dữ liệu mở rộng có thể được tổng hợp bằng cách ngoại suy dựa trên bản ghi dài hạn từ một vị trí khác. Các phương pháp MCP là một phương tiện để tạo ra dữ liệu mở rộng đó. Giải thích sau đây được lấy từ [2], Thông tin thêm có thể có trong [3], [4] và [5],
F.2 Phương pháp đo-tương quan-dự đoán (MCP)
Phương pháp MCP có nhiều dạng khác nhau trong đó khoảng thời gian trung bình và tính chất hướng của dữ liệu khác nhau. Một phiên bản được mô tả ở đây, dựa trên dữ liệu hàng giờ đồng thời từ địa điểm tuabin gió và một trạm khí tượng tham chiếu gần đó (trạm Met.). Các dữ liệu này được vẽ chéo và được sử dụng để tạo ra các công thức hồi quy tuyến tính theo từng hướng; các hướng phù hợp với những hướng được sử dụng bởi trạm Met., thường là các hướng 30°. Các tập dữ liệu được sử dụng để tạo ra các công thức hồi quy nên càng dài càng tốt, ít nhất là bao phủ phần thận trọng của bất kỳ biến đổi mùa nào.
F.3 Ứng dụng đối với tốc độ gió trung bình hàng năm và phân bổ
Các công thức hồi quy trên được áp dụng cho bản ghi dài hạn của trạm Met. theo từng hướng, trong một khoảng thời gian đủ dài để loại bỏ các biến động ngắn hạn, có thể ít nhất là bảy năm. Kết quả là một bản ghi trung bình hàng giờ cho địa điểm, có thể được xử lý thành một phân bố xác suất để đánh giá địa điểm.
F.4 Ứng dụng đối với tốc độ gió cực trị
Phương pháp cổ điển để dự đoán tốc độ gió cực trị là phân tích Gumbel được sửa đổi để cải thiện độ chính xác (ví dụ như phương pháp Best Leiblein Unbiased Estimators (BLUE) được mô tả trong tài liệu [1]). Độ dài tập dữ liệu tối thiểu được khuyến nghị là mười năm.
Cũng có thể áp dụng phương pháp bão độc lập (MIS), một biến thể của phương pháp Gumbel, sử dụng hơn một điểm dữ liệu mỗi năm từ một tập dữ liệu, cũng được mô tả bởi Cook [1]. Phương pháp này có thể được sử dụng cho các tập dữ liệu có độ dài ngắn nhất là bốn năm. MIS chọn tốc độ gió đỉnh của các cơn bão riêng lẻ bằng cách áp dụng ngưỡng và bộ lọc thời gian để đảm bảo rằng tất cả các giá trị đều từ các sự kiện độc lập.
Các hệ số hồi quy đặc thù theo hướng được áp dụng cho một bảng tốc độ gió tối đa hàng giờ tại cột đo khí tượng, theo năm cho Gumbel cơ bản và theo sự kiện bão cho MIS, và theo hướng. Do đó, một bảng tương tự được xây dựng cho địa điểm tuabin gió. Giá trị tối đa trong mỗi năm tại địa điểm ứng cử viên được trích xuất để sử dụng trong phân tích Gumbel.
Việc sử dụng các hệ số này là phù hợp ở đây vì chúng đã được hình thành từ dữ liệu trung bình hàng giờ và đang được áp dụng cho dữ liệu trung bình hàng giờ. Trong phương pháp này, không có giả định rằng giá trị tối đa tại địa điểm ứng cử viên xảy ra ở cùng một hướng với giá trị tối đa tại địa điểm tham chiếu. Bằng cách sử dụng các hệ số hồi quy đặc thù theo hướng, giá trị tối đa tại địa điểm ứng cử viên có thể được xác định chính xác hơn, có tính đến mối quan hệ giữa các địa điểm.
Việc lựa chọn chu kỳ lặp lại phù hợp trong phân tích giá trị cực trị cần xem xét đến số lượng sự kiện xảy ra hàng năm.
Các hệ số gió giật nên được ước tính từ dữ liệu đo tại hiện trường hoặc bằng các phương pháp lý thuyết.
Người sử dụng các phương pháp này để ước tính tốc độ gió cực trị cần lưu ý rằng độ chính xác kết quả phụ thuộc đáng kể vào chất lượng dữ liệu và điều kiện thực tế tại địa phương so với trạm tham chiếu. Do đó, sự tương quan từ phân tích hồi quy có thể không tốt. Trong những trường hợp mà các quy định địa phương hiện hành được cơ quan có thẩm quyền công nhận là có thể áp dụng, các giá trị cực trị thu được bằng cách sử dụng các quy định đó nên được coi là giá trị tối thiểu cho thiết kế thay vì MCP.
F.5 Tài liệu tham khảo
[1] N.J. Cook, The designers guide to wind loading of building structures, Butterworths, 1995
[2] National Wind Power and Climatic Research Unit of the University of East Anglia, Prediction of extreme wind speed at wind energy sites, a set of guidelines prepared under ETSU contract W/11/00427/00
[3] R.I. Harris, Gumbel re-visited - a new look at extreme value statistics applied to wind speeds, Journal of Wind Engineering and Industrial Aerodynamics, 59 (1996) p. 1-22
[4] D.C. Quarton, Wind Farms in Hostile Terrain, Final Report, A report prepared under ETSU contract W/43/00501/00/00, July 1999
[5] R.l. Harris, The accuracy of design values predicted from extreme value analysis, Journal of Wind Engineering and Industrial Aerodynamics, 89 (2001) p. 153-164
Phụ lục G
(tham khảo)
Ngoại suy thống kê của tải trọng để phân tích độ bền cực hạn
G.1 Quy định chung
Lỗi của một kết cấu xảy ra khi ứng suất tại một vị trí quan trọng vượt quá độ bền của vật liệu thành phần. Giả sử rằng ứng suất cục bộ liên quan đến tải trọng sao cho ứng suất tăng dần khi tải trọng tăng, sức bền của một thành phần kết cấu có thể được định nghĩa dưới dạng tải trọng cực hạn gây ra lỗi. Với tải trọng vận hành, độ bền của kết cấu có thể được đánh giá bằng cách so sánh các giá trị cực trị của tải trọng với độ bền tối đa, áp dụng các hệ số an toàn phù hợp.
Đối với tuabin gió, tải trọng phụ thuộc vào luồng gió nhiễu động cho nhiều điều kiện gió khác nhau. Do đó, cần thiết phải phân tích các giá trị cực trị của tải trọng trên cơ sở thống kê để xác định một tải trọng đặc trưng phù hợp.
Trong một điều kiện gió nhất định, có thể mô hình hóa đáp ứng tải trọng ngắn hạn như một quá trình ngẫu nhiên dừng. Vì các tải trọng có thể được biểu diễn như các quá trình như vậy, các phương pháp được mô tả dưới đây để trích xuất dữ liệu cho việc ngoại suy và ngoại suy tải trọng. Các tiêu chí hội tụ cũng được đề xuất và một phương pháp thay thế để ước tính tải trọng dài hạn bằng cách sử dụng phương pháp độ tin cậy bậc nhất ngược (IFORM) được đưa ra.
Các phương pháp này đã được kiểm tra cho tuabin trục ngang 3 cánh gió quay ngược chiều gió. cần chú ý đặc biệt đối với các thiết kế tuabin gió khác và/hoặc các hệ thống điều khiển bao gồm phản hồi tải trọng. Thông tin chi tiết và hướng dẫn có thể tìm thấy trong tài liệu [1].
G.2 Trích xuất dữ liệu cho ngoại suy
Dữ liệu được sử dụng trong các phương pháp ngoại suy được trích xuất từ các chuỗi thời gian mô phỏng tuabin trong phạm vi vận hành của tuabin trong các điều kiện gió cụ thể. Dữ liệu có thể được trích xuất bằng cách chọn các giá trị cực đại cá nhân từ mỗi lần mô phỏng hoặc từ một tập hợp con được tạo ra bằng cách chia mô phỏng thành các khối thời gian bằng nhau hoặc đảm bảo thời gian tối thiểu giữa các cực đại.
Việc thiết lập sự độc lập giữa các giá trị cực đại đáp ứng tải trọng cá nhân là quan trọng đối với một số phương pháp ngoại suy. Khi trích xuất, nhà thiết kế nên xem xét tác động của sự độc lập giữa các đỉnh trên ngoại suy và giảm thiểu sự phụ thuộc khi có thể. Nếu phương pháp chọn cho việc ngoại suy nhạy cảm với giả định độc lập (ví dụ: phương pháp liên quan đến việc chuyển đổi các hàm xác suất giữa các cơ sở thời gian), nhà thiết kế nên cố gắng kiểm tra thống kê tính độc lập.
Một phương pháp đơn giản để đảm bảo tính độc lập là giả định rằng cực đại toàn cục trong mỗi mô phỏng mười phút hoặc các cực đại cục bộ từ các khoảng thời gian không ngắn hơn ba chu kỳ đáp ứng là độc lập và do đó yêu cầu khoảng cách thời gian tối thiểu giữa các cực đại đáp ứng cá nhân là ba chu kỳ đáp ứng (được xác định bởi ba lần vượt trung bình trên kích thước khối). Nếu muốn có một phương pháp thống kê có hệ thống, nhà thiết kế có thể kiểm tra tính độc lập bằng cách sử dụng các kỹ thuật ước lượng tiêu chuẩn (ví dụ: [5], [6]) và sau đó giảm thiểu sự phụ thuộc một cách có kiểm soát.
Các phương pháp đỉnh vượt ngưỡng cũng có thể được áp dụng, nhưng nhà thiết kế nên cẩn thận để đảm bảo rằng các lỗi cắt bỏ và sự tương quan do ngưỡng không ảnh hưởng đáng kể đến hình dạng của phân bố thực nghiệm.
G.3 Các phương pháp ngoại suy tải trọng
G.3.1 Quy định chung
Tải trọng trong chu kỳ lặp lại 50 năm của tuabin gió có thể được định nghĩa là tải trọng cực đại có xác suất vượt quá hàng năm là
= 0,02 mỗi năm.
Các phương pháp ngoại suy sự kiện cực trị được đề xuất để xác định tải trọng 50 năm có thể được chia thành các quy trình sau:
1) Điều chỉnh tham số và tổng hợp sau đó:
• Chia phạm vi vận hành của tuabin thành các tốc độ gió rời rạc và thực hiện mô phỏng theo miền thời gian ở mức nhiễu động bình thường (NTM).
• Ước tính một phần bố giá trị cực trị (tham số) [2] cho từng biến thể tốc độ gió.
• Tổng hợp tất cả các phân bố theo hàm phân bố dài hạn của tốc độ gió trung bình.
• Dự đoán giá trị 50 năm của hàm phân bố tổng hợp. Đối với cực trị toàn cục từ các mô phỏng mười phút, xác suất tải trọng 50 năm là khoảng 3,8 × 10-7.
2) Tổng hợp dữ liệu trước và điều chỉnh sau đó:
• Chia phạm vi vận hành của tuabin thành các tốc độ gió rời rạc và thực hiện mô phỏng theo miền thời gian ở mức nhiễu động bình thường (NTM).
• Tổng hợp tất cả các cực trị liên quan từ tất cả các chuỗi thời gian theo hàm phân bố dài hạn của tốc độ gió trung bình trong phạm vi vận hành của tuabin.
• Ước tính một hàm phân bố (tổng hợp) cho tất cả các cực trị.
• Dự đoán giá trị 50 năm từ hàm phân bố kết quả.
Hai trường hợp khác nhau được xem xét đối với việc tổng hợp các phân bố ngắn hạn mô phỏng của các cực trị trong một khoảng thời gian quan sát cụ thể T thành một phần bố thực nghiệm của các cực trị dài hạn trong cùng khoảng thời gian: ngoại suy từ các cực trị toàn cục và từ các cực trị cục bộ.
G.3.2 Giá trị cực trị toàn bộ
Phân bố ngắn hạn của các giá trị cực trị toàn bộ trong khoảng thời gian quan sát, T, được ký hiệu là
![]()
trong đó s đại diện cho đáp ứng tải trọng và V là tốc độ gió trung bình trong khoảng thời gian quan sát. Sử dụng phân bố dài hạn của tốc độ gió trung bình, phân bố dài hạn của các giá trị cực trị được thu được:
![]()
Công thức này được suy ra với giả định rằng các giá trị vượt quá của s tạo thành một quá trình điểm Poisson tổng hợp với các mức tăng độc lập. Đáp ứng tải trọng cực trị, sr, của chu kỳ lặp lại mong muốn, Tr, được tính từ Công thức (G.3):
![]()
với các giá trị
đủ nhỏ.
Việc triển khai thực tế các công thức này thường sử dụng các giá trị tốc độ gió rời rạc. Từ đó có được

Đối với các xác suất vượt ngưỡng ngắn hạn nhỏ, điều này có thể được ước tính thận trọng là

Sự tương đương sau này xảy ra vì xác suất vượt ngưỡng ngoài phạm vi vận hành được giả định là bằng không.
Phân bố Fshort-term có thể thu được bằng cách khớp với phân bố thực nghiệm
![]()
trong đó ski đại diện cho mẫu giá trị cực trị thứ i từ tốc độ gió k và ri là hạng của ski trong số các giá trị cực trị nk phát sinh từ tốc độ gió k. Đối với các phát triển sau, đáng chú ý rằng một biểu thức tương đương cho phân bố thực nghiệm bằng cách sử dụng phép tổng là

trong đó hàm chỉ thị I(x) có dạng:
![]()
Nhiệm vụ của hàm chỉ thị là chọn ra tất cả các giá trị nhỏ hơn hoặc bằng ski để chúng có thể đóng góp vào xác suất thực nghiệm của việc có các giá trị nhỏ hơn hoặc bằng ski. Lưu ý rằng định nghĩa cụ thể của hàm chỉ thị đảm bảo rằng sự kiện các giá trị cực trị giống hệt nhau được xem xét.
G.3.3 Các giá trị cực trị cục bộ
Phân bố ngắn hạn của các giá trị cực trị toàn bộ trong khoảng thời gian quan sát, T, được thu thập từ n(V) giá trị cực trị cục bộ độc lập trong khoảng thời gian đó (giả sử các giá trị cực trị là dương, nếu không thì có thể thay đổi dấu):
![]()
Phân bố dài hạn, được xác định trong Công thức (G.9), và đáp ứng tải trọng cực trị, sr, của khoảng chu kỳ lặp lại mong muốn, Tr, được xác lập như đã mô tả trong G.3.2. Một cách nghiêm ngặt, n nên là một số ngẫu nhiên mà phân bố (phụ thuộc vào V) cần được giả định. Tuy nhiên, n có sự biến đổi hạn chế trong các ứng dụng tuabin gió so với giá trị trung bình của nó. Do đó, việc thay thế n bằng giá trị trung bình của nó (điều kiện trên V), như đã ngầm định trên, là đủ chính xác. Sự xấp xỉ này có thể được chấp nhận nếu, khi áp dụng các công thức đề xuất trong phần sau, người ta sử dụng giá trị s đại diện cho các tốc độ gió mà góp phần nhiều nhất vào đáp ứng tải trọng cụ thể đang xem xét. Dựa trên sự xấp xỉ này, ta có biểu thức sau:
![]()
G.3.4 Phân bố thực nghiệm dài hạn
Có những lợi ích trong việc tổng hợp dữ liệu từ tất cả các tốc độ gió và sau đó phù hợp một phần bố cho dữ liệu kết hợp. Một phương pháp để thực hiện điều này là tính toán một số mô phỏng, trong đó số lượng mô phỏng mỗi phân khúc được xác định bởi phân bố Weibull (hoặc phân bố thích hợp) của tốc độ gió.
![]()
Sau khi các mô phỏng hoàn tất và các giá trị cực trị được trích xuất, tất cả các giá trị cực trị từ tất cả các tốc độ gió được kết hợp thành một phần bố duy nhất và xếp hạng sao cho:
![]()
si đại diện cho mẫu giá trị cực trị thứ i trên tất cả các tốc độ gió và ri là thứ hạng của si trong số các giá trị cực trị tổng hợp ntotal
Một nhược điểm tiềm ẩn của phương pháp này là các tải trọng bị chi phối bởi tốc độ gió cao có thể có rất ít mô phỏng để trích xuất các giá trị cực trị lớn trong đuôi của phân bố thực nghiệm. Để giải quyết vấn đề này, các phân bố dài hạn bổ sung có thể được tính toán bằng cách thực hiện thêm mô phỏng cho các phân khúc tốc độ gió có xác suất thấp. Thời gian mô phỏng tổng cộng mỗi phân khúc nên theo phân bố tốc độ gió ban đầu. Tuy nhiên, một số phân bố thực nghiệm dài hạn mới có thể được hình thành bằng cách sử dụng dữ liệu khởi tạo ban đầu ngẫu nhiên từ tất cả các phân khúc, trong đó có sẵn một số lượng lớn mô phỏng. Khi một số phân bố dài hạn được hình thành, chúng có thể được trung bình để tạo thành một phần bố dài hạn tổng hợp duy nhất có thể được sử dụng để ngoại suy đến các mức xác suất thấp hơn.
G.4 Tiêu chí hội tụ
G.4.1 Quy định chung
Trong bối cảnh tải trọng cực trị của tuabin, tầm quan trọng của các tốc độ gió khác nhau thay đổi tùy thuộc vào tải trọng đang được ngoại suy. Một số tải trọng bị chi phối bởi các tốc độ gió gần công suất danh định, trong khi các tải trọng khác bị chi phối bởi các tốc độ gió gần tốc độ ngắt mạch hoặc các tốc độ gió khác. Điều quan trọng là nhà thiết kế phải xem xét kỹ lưỡng các tốc độ gió chính để đảm bảo rằng đủ số lượng mô phỏng được thực hiện để đảm bảo sự ổn định của phương pháp, cần ít nhất 15 mô phỏng cho mỗi tốc độ gió từ (Vr — 2 m/s) đến tốc độ ngắt mạch và sáu mô phỏng cho mỗi tốc độ gió với V dưới (Vr - 2 m/s).
Ngoài số lượng mô phỏng tối thiểu cho các tốc độ gió từ (Vr - 2 m/s) đến tốc độ ngắt mạch, một tiêu chí hội tụ bổ sung cũng phải được áp dụng theo điều 7.6.2. Số lượng mô phỏng được khuyến nghị được xác định bằng cách tính toán khoảng tin cậy cho phân bố thực nghiệm kết quả. Số lượng mô phỏng được coi là đủ là số lượng mà chiều rộng của khoảng tin cậy 90 % trên phân vị 84 % của phân bố tải trọng thực nghiệm của các giá trị cực trị toàn bộ nhỏ hơn 15 % của ước lượng phân vị 84 %. Khoảng tin cậy này có thể được ước lượng bằng các phương pháp khởi tạo ban đầu [3], phương pháp ước lượng nhị thức [4], hoặc có thể được ước lượng nội tại như một phần của phương pháp ngoại suy được sử dụng.
Nếu các giá trị cực trị được thu thập bằng bất kỳ phương pháp nào khác (ví dụ: giá trị cực trị khối) dẫn đến m giá trị cực trị mỗi mô phỏng 10 min, trung bình, thì phân vị 84 % cần được thay thế bằng p* khi
![]()
Tiêu chí hội tụ [52] nên được áp dụng riêng lẻ cho mỗi phân bố tải trọng ngắn hạn, bất kể phân bố dài hạn được thiết lập bằng cách tổng hợp dữ liệu tốc độ gió trước khi phù hợp hay việc phù hợp phân bố tham số với dữ liệu từ mỗi tốc độ gió được thực hiện trước khi tổng hợp.
Trong quy trình liên quan đến tổng hợp trước khi phù hợp, các phân bố dài hạn thực nghiệm cho các tải trọng sau khi tổng hợp tất cả các bin tốc độ gió có thể được thiết lập bằng cách sử dụng các tiêu chí hội tụ tương tự như đã đề xuất ở trên cho các phân bố ngắn hạn. Phân vị phù hợp để áp dụng tiêu chí hội tụ nên cao hơn phân vị tương ứng với bất kỳ "gối" rõ ràng nào (thường quan sát thấy) trong phân bố dài hạn thực nghiệm để đảm bảo rằng sự hội tụ được kiểm tra gần hơn với đuôi của phân bố thực nghiệm này.
G.4.2 Ước lượng phân vị tải trọng
Phân vị tải trọng mong muốn,
, tương ứng với xác suất không vượt quá PPP, được ước lượng như sau.
Sắp xếp tất cả các dữ liệu tải trọng theo thứ tự xếp hạng sao cho S1 ≤ S2 ≤ ... ≤ Sm nếu chúng ta có m giá trị như vậy từ các mô phỏng. Lưu ý rằng m bằng số lượng mô phỏng nếu các cực đại toàn bộ được sử dụng.
Đối với bất kỳ p đã quy định nào, đảm bảo rằng có thể tìm được một số nguyên i (với 2 ≤ i < m), sao cho
![]()
Một số lượng cực đại đủ, m, cần phải có sẵn (vì vậy phải thực hiện một số lượng mô phỏng đủ) để đảm bảo rằng bất đẳng thức trên được thỏa mãn và một giá trị i được tìm thấy.
Sau đó, ước lượng phân vị tải trọng được tính toán bằng phương pháp nội suy (tuyến tính) như sau:
![]()
G.4.3 Giới hạn độ tin cậy
Các giới hạn độ tin cậy được ước lượng sao cho khoảng tin cậy 90% trên phân vị 84%,
. là như sau:

Khoảng,
, đại diện cho khoảng tin cậy 90 % mong muốn.
G.4.4 Khoảng tin cậy dựa trên phương pháp khởi tạo ban đầu
Sử dụng phương pháp khởi tạo ban đầu để hình thành khoảng tin cậy [3, 7] bắt đầu bằng việc lấy tập dữ liệu ban đầu về p cực đại toàn bộ (m1,m2,m3,m4,m5 ...mp) và chọn mẫu ngẫu nhiên với thay thế để tạo ra một tập dữ liệu mới (m1 *,m2 *,m3 *,m4 *,m5 * ...mp *) hoặc một mẫu khởi tạo ban đầu có kích thước giống như mẫu gốc. Lưu ý rằng các mẫu khởi tạo ban đầu phải bao gồm các giá trị lặp lại từ mẫu gốc, vì trong mỗi lần chọn mẫu, dữ liệu được chọn ngẫu nhiên với thay thế. Quy trình này được lặp lại để hình thành một số lượng lớn, Nb, các mẫu khởi tạo ban đầu. Từ mỗi tập hợp p dữ liệu này, có thể thu được các ước lượng cá nhân của phân vị 84 %. Từ các ước lượng này (l1, l2, l3, l4, l5 ....lNb), các khoảng tin cậy có thể được xác định theo cách thông thường bằng cách sắp xếp dữ liệu. Những khoảng tin cậy này sau đó có thể được sử dụng cho tử số của công thức (G.16). Ước lượng của phân vị 84 % thu được từ dữ liệu gốc đại diện cho mẫu số của công thức (G.16).
Một số lượng tối thiểu 25 mẫu khởi tạo ban đầu có thể đủ để xác định một ước lượng hợp lý về khoảng tin cậy. Tuy nhiên, số lượng lớn hơn gần 5 000 sẽ dẫn đến các ước lượng đáng tin cậy hơn.
G.4.5 Khoảng tin cậy dựa trên phân bố nhị thức
Khoảng tin cậy dựa trên phân bố nhị thức [7] ít tốn kém tính toán hơn so với những khoảng tin cậy tính toán bằng phương pháp khởi tạo ban đầu. Sự tiết kiệm này được đơn giản hóa bằng cách lập bảng các tham số để tính toán khoảng tin cậy nhị thức có kết quả cho các tình huống phổ biến nhất. Đối với phân vị tải trọng bằng 0,84 và khoảng tin cậy 90 %, Bảng G.1 cung cấp các giá trị của k* và l* cùng với hai giá trị khác, A và B, cần thiết để nội suy các khoảng tin cậy ước lượng trong công thức (G.17) dưới đây. Số lượng mô phỏng là khoảng 15 đến 35 cho mỗi nhóm tốc độ gió.
Bảng G.1 - Các tham số cần thiết để xác lập khoảng tin cậy dựa trên phân bố nhị thức
| Đối với khoảng tin cậy 90% trên phân vị 84 của tải trọng | Số lượng mô phỏng | k* | l* | A | B |
| 15 | 9 | 14 | 0,50 | 0,32 | |
| 16 | 10 | 15 | 0,27 | 0,19 | |
| 17 | 11 | 16 | 0,10 | 0,03 | |
| 18 | 11 | 16 | 0,87 | 0,96 | |
| 19 | 12 | 17 | 0,58 | 0,90 | |
| 20 | 13 | 18 | 0,35 | 0,83 | |
| 21 | 14 | 19 | 0,16 | 0,76 | |
| 22 | 14 | 20 | 1,00 | 0,69 | |
| 23 | 15 | 21 | 0,69 | 0,60 | |
| 24 | 16 | 22 | 0,45 | 0,50 | |
| 25 | 17 | 23 | 0,25 | 0,39 | |
| 26 | 18 | 24 | 0,08 | 0,26 | |
| 27 | 18 | 25 | 0,85 | 0,12 | |
| 28 | 19 | 25 | 0,58 | 0,98 | |
| 29 | 20 | 26 | 0,36 | 0,91 | |
| 30 | 21 | 27 | 0,18 | 0,83 | |
| 31 | 22 | 28 | 0,02 | 0,75 | |
| 32 | 22 | 29 | 0,75 | 0,66 | |
| 33 | 23 | 30 | 0,51 | 0,56 | |
| 34 | 24 | 31 | 0,31 | 0,44 | |
| 35 | 25 | 32 | 0,13 | 0,32 |
Các tham số trong Bảng G.1 được sử dụng với một công thức thiết kế được điều chỉnh để cung cấp khoảng tin cậy 90 % cho phân vị 84 của tải trọng tối đa trong 10 min. Công thức thiết kế có thể được viết như sau:
![]()
Trong đó l*, k*, A, và B được cho trong Bảng G.1 dựa trên số lượng mô phỏng đã thực hiện và xl*, x(l +1)*, xk*, và x(k+1)* được lấy từ các cực trị mô phỏng đã được xếp hạng. Ước lượng này có thể được đưa vào Công thức (G.16) để xác định xem các tiêu chí hội tụ có được đáp ứng hay không, trong đó
![]()
G.5 Phương pháp độ tin cậy bậc một ngược (IFORM)
Một phương pháp thay thế cho các phương pháp ngoại suy tải trọng thông thường là sử dụng IFORM để ước lượng tải trọng dài hạn. Trong phương pháp này, các mô phỏng về độ xoáy và đáp ứng của tuabin gió được thực hiện trong điều kiện NTM. cần thực hiện ít nhất 15 mô phỏng cho các tốc độ gió từ (Vr - 2 m/s) đến tốc độ gió ngắt mạch. Tốc độ gió cho tải trọng cao nhất được xác định.
Việc ngoại suy các phân bố tải trọng ngắn hạn đến mức xác suất phù hợp với định nghĩa của chu kỳ lặp lại 50 năm cung cấp tải trọng 50 năm để sử dụng với DLC 1.1.
Tiêu chí hội tụ cho IFORM nên giống như các phương pháp ngoại suy khác, ngoại trừ việc người thiết kế chỉ cần ước lượng khoảng tin cậy cho các phân bố tải trọng từ các tốc độ gió quan trọng đã xác định (thường chỉ một).
Lý thuyết sử dụng kỹ thuật FORM ngược (IFORM) (dựa trên việc biến đổi các biến ngẫu nhiên vật lý thành các biến ngẫu nhiên chuẩn bình thường [8]) được tài liệu hóa tốt, ví dụ xem [9], và có thể áp dụng để ước lượng tải trọng tuabin gió dài hạn dưới điều kiện NTM.
Để thực hiện IFORM cho tải trọng cực trị của tuabin gió, sử dụng các bước sau:
a) Thực hiện 15 mô phỏng cho các bin tốc độ gió từ (Vr - 2 m/s) đến tốc độ gió ngắt mạch.
b) Xác định các bin nào mang lại các giá trị tải trọng cực đại lớn nhất.
c) Tinh chỉnh tìm kiếm bằng cách thực hiện thêm 15 mô phỏng cho các bin đã xác định ở bước b) Một lần nữa, xác định tốc độ gió thiết kế thống trị, v*, tạo ra tải trọng lớn nhất. Đảm bảo rằng số lượng mô phỏng ở các tốc độ gió quan trọng là đủ để đảm bảo rằng độ rộng của khoảng tin cậy 90% cho phân bố tải trọng cực đại toàn bộ nhỏ hơn 15% so với ước lượng của phân vị 84% của phân bố tải trọng.
d) Thực hiện phân tích ngắn hạn chỉ cho các bin đã xác định ở bước c). Phân vị tải trọng mong muốn cho bin này được suy ra và phụ thuộc vào mức xác suất mục tiêu.
• Sử dụng CDF Rayleigh, tính U1 = Ø-1[PR(v *)]
• Đối với xác suất vượt ngưỡng trong 10 min một lần trong 50 năm, PT= 3,8 × 10-7. Điều này tương ứng với b = 4,95.
• Giải U2 = [b2 – U12]1/2.
• Suy ra phân vị tải trọng PS = Ø(U2), xem Bảng G.2.
• Tải trọng dài hạn là phân vị PS của phân bố ngắn hạn cho bin tốc độ gió, v*. Để đạt được phân vị phù hợp, có thể cần thực hiện ngoại suy.
Bảng G.2 - Xác suất vượt ngưỡng tải trọng ngắn hạn theo tốc độ gió tại chiều cao hub cho các loại tuabin gió khác nhau
| v * [m/s] | 1 - Ps, cấp I | 1 - Ps , cấp II | 1 - Ps, cấp III |
| 5 | 5,91 E-07 | 4,95E-07 | 4,42E-07 |
| 6 | 4.86E-07 | 4,24E-07 | 3,94E-07 |
| 7 | 4,26 E-07 | 3,90E-07 | 3,80E-07 |
| 8 | 3,94E-07 | 3,80E-07 | 3,91 E-07 |
| 9 | 3,81 E-07 | 3,90E-07 | 4,24E-07 |
| 10 | 3,83E-07 | 4,17E-07 | 4,84E-07 |
| 11 | 3,97E-07 | 4,64E-07 | 5,78E-07 |
| 12 | 4,24E-07 | 5,35E-07 | 7,20E-07 |
| 13 | 4,66E-07 | 6,38E-07 | 9,33E-07 |
| 14 | 5,26 E-07 | 7,85E-07 | 1,26E-06 |
| 15 | 6,08E-07 | 9,97E-07 | 1,75E-06 |
| 16 | 7,20E-07 | 1,30E-06 | 2,54E-06 |
| 17 | 8,71 E-07 | 1,75E-06 | 3,82E-Ũ6 |
| 18 | 1,08E-06 | 2,43E-06 | 5,93E-06 |
| 19 | 1,36E-06 | 3,46E-06 | 9,54E-06 |
| 20 | 1,75E-06 | 5,06E-06 | 1,59E-06 |
| 21 | 2,31 E-06 | 7,60E-06 | 2,74E-05 |
| 22 | 3,10E-06 | 1,17E-05 | 4,89E-05 |
| 23 | 4,25E-06 | 1,86E-05 | 9,02E-05 |
| 24 | 5,93E-06 | 3,03E-05 | 1,73E-04 |
| 25 | 8,45E-06 | 5,06E-05 | 3,42 E-04 |
G.6 Tài liệu tham khảo
[1] Wind Energy, Vol. 11, Number 6, November-December 2008, Special Issue on Design Load Definition
[2] Moriarty, P.J., Holley, W.E., Butterfield, S.P. (2004) "Extrapolation of Extreme andFatigue Loads Using Probabilistic Methods", NREL-NWTC, Golden, CO.
[3] Efron, B. and Tibshirani, R.J., (1993) "An Introduction to the Bootstrap", Chapman and Hall, New York
[4] Hogg, R.V. and Craig, A.T., (1995) "Introduction to Mathematical Statistics", 5th Ed., Prentice Hall, Englewood Cliffs, New Jersey
[5] Hoeffding, W., (1948) "A Non-Parametric Test of Independence," The Annals of Mathematical Statistics, Vol. 19, No. 4, p. 546-557
[6] Blum, J.R., Kiefer, J. and Rosenblatt, M., (1961) "Distribution Free Tests of Independence based on the Sample Distribution Function," The Annals of
Mathematical Statistics, Vol. 32, No. 2, p. 485-498
[7] Fogle, J., Agarwal, P. and Manuel, L. (2008) "Towards an Improved Understanding of Statistical Extrapolation for Wind Turbine Extreme Loads," Wind Energy, Vol. 11, No. 6, November/December 2008, pp. 613-635
[8] Rosenblatt, M. (1952). "Remarks on a Multivariate Transformation", Ann. Math, stat., Vol. 23, p. 470-472
[9] Saranyasoontorn, K. and Manuel, L., "Design Loads for Wind Turbines using the Environmental Contour Method," Journal of Solar Energy Engineering including Wind Energy and Building Energy Conservation, Transactions of the ASME, Vol. 128, No. 4, p. 554-561, November 2006
Phụ lục H
(tham khảo)
Phân tích mỏi sử dụng quy tắc Miner có ngoại suy tải
H.1 Phân tích mỏi
Lỗi mỏi do một quá trình tích lũy hỏng hóc do biến động các tải. Đối với kiểu quan sát độ mỏi bằng mắt thường này, có sự chấp thuận chung về một gia số hỏng hóc do mỗi chu kỳ trễ được hiển thị trong biểu đồ ứng suất biến dạng cục bộ. Do đó, mỗi giá trị cực đại của biểu đồ gia tốc tải cục bộ được liên kết với giá trị tối thiểu cục bộ để hoàn thành một chu kỳ đầy đủ (đếm chu kỳ theo dòng mưa, xem [1] hoặc [2]). Mỗi chu kỳ này được đặc trưng bởi các giá trị cực trị kết hợp (hoặc tương đương theo phạm vi và các giá trị điểm giữa, nghĩa là sự khác biệt giữa và trung bình của hai cực trị chu kỳ được kết hợp). Nếu hỏng hóc tích tụ tuyến tính và độc lập cho mỗi chu kỳ [5, 3] thì tổng hỏng hóc D, được đưa ra theo[53]:
![]()
Trong đó: Si là phạm vi tải cho chu kỳ thứ i và N (.) là số chu kỳ có sự cố đối với một tải độ lớn không đổi có phạm vi nhất định theo đối số (tức là đường cong S-N). Trong biểu thức này, giả định thêm rằng ứng suất cục bộ ở vị trí sự cố là tuyến tính liên quan đến tải. Thông thường, để phân tích độ mỏi, đường cong SN được chọn để thiết kế kết hợp với một xác suất tồn tại nhất định (thường là 95 %) và độ tin cậy (thường là 95 %) khi xác định đường cong từ số liệu vật liệu. Như vậy, mức mong muốn tối thiểu của độ tin cậy có thể được kỳ vọng khi hỏng hóc tổng cộng theo một đơn vị.
Đối với tuổi thọ của một tuabin gió, có nhiều chu kỳ với kích thước khác nhau xuất phát từ một phạm vi rộng các điều kiện gió. Do đó, cho mục đích thiết kế, một phổ tải trọng nên được ước lượng. Các chu kỳ lớn nhất cho phổ này được ước lượng từ một khớp mượt với dữ liệu thu được từ các mô phỏng hoặc thử nghiệm có thời gian ngắn hơn nhiều so với tuổi thọ của tuabin. Đối với mỗi điều kiện gió, có thể giả định rằng tải trọng được mô hình hóa bằng một quá trình ngẫu nhiên tĩnh. Do đó, tổn hại kỳ vọng cho một tốc độ gió nhất định, V, và một khoảng thời gian cụ thể, T, được cho bởi
trong đó nST (S|V,T) là phổ tải trọng ngắn hạn được định nghĩa như một hàm mật độ cho số chu kỳ. Trong trường hợp này, số chu kỳ kỳ vọng trong bất kỳ khoảng phạm vi tải trọng nào
(SA,SB) trong khoảng thời gian T được cho bởi
. Tổn hại kỳ vọng từ tải trọng hoạt động bình thường trong toàn bộ tuổi thọ của tuabin được tính bằng cách mở rộng khoảng thời gian đến toàn bộ tuổi thọ và tích phân qua phạm vi tốc độ gió hoạt động, sao cho
![]()
p(V) là hàm mật độ xác suất cho tốc độ gió tại chiều cao hub được quy định cho các cấp tuabin gió tiêu chuẩn trong 6.3.2.1.
Xác định phổ tải trọng dài hạn

Trong nhiều trường hợp, để thuận tiện trong thực tế, các phạm vi giá trị tải trọng và tốc độ gió có thể được chia thành các bin rời rạc. Trong trường hợp này, hỏng hóc dự kiến có thể được xấp xỉ bằng

Trong đó, njk là số chu kỳ tải trọng dự kiến trong vòng đời ở bin tốc độ gió thứ j và bin tải trọng thứ k, và Sk là giá trị trung tâm của bin tải trọng thứ k. Do đó, từ định nghĩa trên

Trong đó, ∆Vj là chiều rộng của bin tốc độ gió thứ j và ∆Sk là chiều rộng của bin tải trọng thứ k.
Sử dụng các kết quả này và xem xét yêu cầu từ 7.6.3 rằng các hệ số an toàn phải được áp dụng cho tải trọng, quan hệ trạng thái giới hạn cho phân tích mỏi trở thành

trong đó γ = γfγmγn là tích của ba hệ số an toàn chung cho tải trọng, vật liệu và hệ quả của lỗi, tương ứng. Trong các thuật ngữ rời rạc, công thức này dẫn đến

Trong những trường hợp mà tổn hại đáng kể xảy ra trong hơn một trường hợp tải trọng từ Bảng 2, các phân số tổn hại cho tất cả các trường hợp tải trọng, được tính toán bằng cách sử dụng mặt trái của Công thức (H.9), phải tổng hợp lại để nhỏ hơn hoặc bằng một.
Phương pháp tính toán cho đến thời điểm này đã bỏ qua ảnh hưởng của sự biến động trong các mức trung bình của mỗi chu kỳ tải trọng. Một cách đơn giản để xử lý sự biến động này là xác định các chu kỷ tải trọng tương đương với một giá trị trung bình cố định. Trong trường hợp này, tổn hại do các chu kỳ tương đương gây ra hoàn toàn giống với tổn hại do các chu kỳ có mức trung bình thay đổi. Do đó, sự cố xảy ra (trung bình) cho cùng số lượng chu kỳ với biên độ không đổi cho phạm vi chu kỳ tương đương, Seq, như đối với các chu kỳ tại bất kỳ biên độ chu kỳ và giá trị trung bình nào Do đó, việc xác định một tập hợp các đường cong S-N cho các mức trung bình khác nhau, N(S,M), công thức tổn hại tương đương
![]()
được giải cho Seq với các giá trị đã cho của S, M và mức trung bình không đổi được chọn M0. Về mặt toán học, điều này có thể được phát biểu như sau
![]()
trong đó, hàm ngược đề cập đến việc giải cho đối số đầu tiên trong hàm, N, dựa trên đối số thứ hai. Thông thường, M0 được chọn để cung cấp các giá trị R (tỷ lệ giữa tải trọng cực đại và tải trọng cực tiểu) cho các chu kỳ tải tương đương nằm ở giữa phạm vi giá trị được quan sát trực tiếp trong dữ liệu tải. Thường thì, giá trị chấp nhận được là tải trọng trung bình khi xem xét tất cả các tốc độ gió hoạt động. May mắn thay, trong hầu hết các trường hợp khi các đường cong S-N được định nghĩa phân tích (ví dụ: dạng lũy thừa hoặc dạng hàm số mũ), phạm vi tải chu kỳ tương đương dễ dàng được tính toán. Tuy nhiên, cần lưu ý khi phạm vi trở nên lớn. Tùy thuộc vào giá trị điểm giữa, giá trị tải trọng cực đại hoặc cực tiểu cho chu kỳ đã cho có thể gần với độ bền tĩnh, trong trường hợp đó, đường cong S-N chu kỳ cao đơn giản có thể không áp dụng được. Ngoài ra, đối với các giá trị phạm vi lớn hơn, ứng suất hoặc biến dạng cục bộ có thể chuyền từ trường hợp nén-nén hoặc kéo-kéo sang trường hợp kéo-nén, điều này có thể có sự biểu diễn đường cong S-N phân tích khác. Quan trọng là sử dụng quan hệ S-N phù hợp để xác định phạm vi chu kỳ tương đương. Đối với một lịch sử tải trọng thời gian đã cho, các chu kỳ theo phương pháp dòng mưa được xác định trước. Sau đó, một tập hợp các chu kỳ với điểm giữa cố định tương đương được tính toán dựa trên quan hệ S-N phù hợp cho từng chu kỳ. Phân bố của các chu kỳ tương đương này sau đó được ước lượng, tạo ra một phổ tải ngắn hạn tương đương mới. Phổ mới này sau đỏ được sử dụng để xác định số chu kỳ được sử dụng cho phân số tổn hại cho mỗi bin tải trọng và tốc độ gió. Ưu điểm chính của việc sử dụng phương pháp này là ước lượng phổ tương đương có độ tin cậy thống kê cao hơn so với việc theo dõi các mức điểm giữa như một biến độc lập. Lợi thế này là do nhiều chu kỳ tải hơn được đếm từ dữ liệu tải chuỗi thời gian điển hình cho mỗi bin tải trọng và tốc độ gió so với khi các bin điểm giữa cũng được theo dõi riêng biệt.
Một vấn đề thực tiễn bổ sung phát sinh khi xác định phổ tải ngắn hạn là số lượng lớn các chu kỳ nhỏ được xác định bằng phương pháp dòng mưa. Những chu kỳ nhỏ này có thể thường xảy ra tại các điểm gần nhau về thời gian và do đó có thể có sự tương quan. Các chu kỳ nhỏ cũng có thể làm biến dạng hình dạng của các xấp xỉ phân tích cho đuôi của phân bố. Do đó, khuyến nghị chỉ xem xét các chu kỳ trên ngưỡng khi xấp xỉ đuôi phân bố ngắn hạn. Giá trị ngưỡng ít nhất là phần trăm 95 thường hoạt động tốt trong thực tế. Các giá trị ngưỡng thấp hơn có thể phù hợp nếu các chu kỳ nhỏ đã được loại bỏ hoặc nếu số lượng điểm dữ liệu tăng lên được sử dụng cho quá trình phù hợp dự kiến mang lại độ tin cậy thống kê bổ sung đáng kể.
Đối với các ứng dụng thiết kế tuabin gió thực tiễn, cần phải ước lượng phổ tải ngắn hạn tương đương từ dữ liệu mô phỏng động và sau đó tính toán tổn hại trong suốt thời gian. Một phương pháp thực hiện nhiệm vụ này được đưa ra theo quy trình sau.
a) Chọn mức điểm giữa tham chiếu là mức tải trọng trung bình khi xem xét tất cả các tốc độ gió.
Từ dữ liệu mô phỏng cho một tốc độ gió nhất định, trích xuất chuỗi các cực đại và cực tiểu cục bộ. Các chuỗi cực đại và cực tiểu cục bộ từ nhiều chuỗi thời gian cho cùng một điều kiện gió có thể được nối thành một chuỗi duy nhất.
b) Sử dụng phương pháp dòng mưa để xác định mức điểm giữa và phạm vi cho mỗi chu kỳ tải trọng mô phỏng.
c) Xác định phạm vi tương đương cho mỗi chu kỳ tải trọng liên quan đến mức điểm giữa tham chiếu đã chọn.
d) Xác định một phương pháp phân tích phù hợp cho phân bố xác suất ngắn hạn của các chu kỳ tải trọng tương đương, FST(S\V,T), cho dữ liệu trên ngưỡng đã chọn. Hướng dẫn cho một phương pháp phù hợp phân bố có thể có trong [4], Loại phân bố được chọn nên được kiểm tra để xem liệu nó có phù hợp với dữ liệu và có đủ dữ liệu cho ước lượng đáng tin cậy của đáp ứng của đuôi phân bố so với dữ liệu.
e) Xác định số chu kỳ suốt đời mong đợi trong mỗi bin sử dụng dữ liệu khi bin tải trọng ở dưới ngưỡng và phân bố tải trọng được phù hợp khi bin tải trọng ở trên ngưỡng.

Trong đó, mjk là số chu kỳ mỏi được đếm trong dữ liệu cho bin tốc độ gió thứ j và bin tải trọng thứ k dưới ngưỡng, mj là số chu kỳ mỏi được đếm trong mô phỏng trên ngưỡng, và
![]()
là tỷ lệ thời gian mà tốc độ gió nằm trong bin j cho phân bố tốc độ gió Rayleigh giả định.
1) Tính tổng hỏng hóc bằng cách sử dụng bên trái của công thức (G.9).
2) Tính tổng hỏng hóc suốt vòng đời từ tất cả các trường hợp tải mỏi.
Khi sử dụng quy trình này, cần chú ý rằng:
• Độ phân giải của các bin tốc độ gió và bin tải trọng phải đủ để đạt được độ chính xác số học mong muốn, và
• Các giá trị tải trọng lớn phải đủ lớn để đại diện đầy đủ cho đuôi của phân bố tải trọng dài hạn.
Vấn đề đầu tiên có thể được giải quyết bằng cách xấp xỉ sai số là nửa sự khác biệt giữa các kết quả được tính toán bằng hai độ phân giải bin khác nhau, bỏ qua dữ liệu từ mỗi tốc độ gió hoặc phạm vi tải trọng thứ hai. Một phương án thay thế là tính tổng hỏng hóc bằng cách sử dụng các điểm cuối của giá trị bin thay vì các giá trị trung tâm để ràng buộc kết quả. Vấn đề thứ hai có thể được giải quyết bằng cách tăng dần giá trị bin tải trọng lớn nhất cho đến khi một sự gia tăng không đáng kể trong hỏng hóc suốt đời được quan sát thấy. Lưu ý rằng vì tỷ lệ
là một số lớn, bin tải trọng yêu cầu lớn nhất có thể lớn hơn nhiều so với chu kỳ lớn nhất được quan sát trong dữ liệu mô phỏng. Điều này là do lịch sử tải trọng mô phỏng tổng thể nhỏ hơn nhiều so với vòng đời của tuabin, và việc suy diễn thống kê là cần thiết để ước tính chính xác hỏng hóc từ đuôi của phân bố tải trọng dài hạn.
H.2 Tài liệu tham khảo
[1] Dowling, N.E., Fatigue Failure Predictions for Complicated Stress-strain Histories, J. of Materials, v.7, n.1, Mar., 1972, p. 71-87
[2] Matsuishi, M. and Endo, T., Fatigue of Metals Subjected to Varying Stress, Proc. Japan Soc. of Meeh. Engrs., no. 68-2, 1968, p. 37-40
[3] Miner, M.A. Cumulative Damage in Fatigue, J. of Applied Meeh., v.12, 1945, p. A159-A164
[4] Moriarty, P.J. and Holley, W.E., Using Probabilistic Models in Wind Turbine Design, Proc. ICASP9, San Francisco, CA, July 6-9, 2003
[5] Palmgren, A., Die Lebensdauer von Kugellagern, Zeitschrift der Vereines Deutscher Ingenieure, v. 68, no. 14, 1924, p. 339-341
Phụ lục I
(tham khảo)
Tải trọng đồng thời
1.1 Quy định chung
Phân tích kết cấu chi tiết của các thành phần tuabin gió thường sử dụng mô hình phần tử hữu hạn hoặc mô hình phù hợp khác để xác định ứng suất hoặc biến dạng cục bộ do tải trọng tác dụng lên thành phần. Những phân tích này thường định nghĩa một mặt phẳng giao diện phù hợp nơi các tải trọng được tác dụng (ví dụ, giao diện ổ lăn xoay tuabin, xác định tải trọng trên đỉnh tháp). Trong trường hợp này, có sáu thành phần tải trọng xác định các điều kiện biên cho tải trọng, ba lực là Fx, Fy và Fζ, và ba mô-men là Mx My và Mz. Để tiện lợi, các trục x, y được đặt trong mặt phẳng tải trọng và trục z vuông góc với mặt phẳng. Để mô tả các tình huống tải trọng cực trị, thường định nghĩa một ma trận tải trọng như được trình bày trong Bảng 1.1, ma trận tải cực trị
Các phân tích kết cấu chi tiết của các thành phần tuabin gió thường sử dụng phần tử hữu hạn hoặc mô hình thích hợp khác để xác định ứng suất hoặc sức căng cục bộ do tải đặt lên các thành phần đó. Các phân tích này thường xác định mặt phẳng giao diện thích hợp trong đó các tải đặt vào đang hoạt động (ví dụ như giao diện ổ bi xoay tuabin, xác định tải trọng đỉnh cột tháp). Trong trường hợp này, có sáu thành phần tải xác định các điều kiện biên cho việc mang tải, ba lực Fx, Fy và Fz, và ba mômen Mx, My, và Mz. Để thuận tiện, các trục x, y ở đây được lấy trên mặt phẳng tải và trục z vuông góc với mặt phẳng. Để mô tả các tình huống tài cực trị, một ma trận tải thường được định nghĩa như thể hiện trong Bảng I.1.
Bảng I.1 - Ma trận tải cực trị
|
| Fx | Fy | Fz | Mx | My | Mz | FR | θF | MR | θM |
| Lớn nhất |
|
|
|
|
|
|
|
|
|
|
| Nhỏ nhất |
|
|
|
|
|
|
|
|
|
|
| Lớn nhất |
|
|
|
|
|
|
|
|
|
|
| Nhỏ nhất |
|
|
|
|
|
|
|
|
|
|
| Lớn nhất |
|
|
|
|
|
|
|
|
|
|
| Nhỏ nhất |
|
|
|
|
|
|
|
|
|
|
| Lớn nhất |
|
|
|
|
|
|
|
|
|
|
| Nhỏ nhất |
|
|
|
|
|
|
|
|
|
|
| Lớn nhất |
|
|
|
|
|
|
|
|
|
|
| Nhỏ nhất |
|
|
|
|
|
|
|
|
|
|
| Lớn nhất |
|
|
|
|
|
|
|
|
|
|
| Nhỏ nhất |
|
|
|
|
|
|
|
|
|
|
| Lớn nhất |
|
|
|
|
|
|
|
|
|
|
| Lớn nhất |
|
|
|
|
|
|
|
|
|
|
Trong bảng này, mỗi cột đại diện cho giá trị thành phần tải trọng được phân định bởi tiêu đề ở phía trên. Mỗi hàng đại diện cho các giá trị đồng thời (tức là tất cả các giá trị xảy ra cùng một lúc) và ô được tô màu cho thấy thành phần cụ thể có giá trị cực đại hoặc cực tiểu như được quy định ở bên trái. Các giá trị cực đại và cực tiểu này nhằm bao phù toàn bộ phạm vi giá trị của thành phần tải trọng đó. Mô hình kết cấu chi tiết sau đó được sử dụng với từng hàng để xác định các giá trị ứng suất hoặc biến dạng cục bộ, và so sánh với tiêu chí bị lỗi phù hợp. Khi độ cứng và độ bền kết cấu đáp ứng với tải trọng trong mặt phẳng tương tự cho các hướng tải trọng khác nhau, tải trọng cực trị nhất có thể xảy ra khi cả hai thành phần x và y đều γ lớn về độ lớn nhưng không phải ở mức giá trị lớn nhất của chúng. Do đó, các giá trị vectơ kết quả trong mặt phẳng cũng được hiển thị trong các cột bổ sung ở phía bên phải và các hàng ở phía dưới. Các kết quả trong mặt phẳng này được định nghĩa là
![]()
Các hướng góc của các kết quả trong mặt phẳng cũng được định nghĩa như sau
![]()
Các giá trị trong bảng được xác định thông qua phân tích hậu xử lý của chuỗi thời gian cho sáu thành phần tải được xác định là kết quả từ mã mô phỏng động lực học toàn diện của tua-bin gió. Trong phân tích này, chuỗi thời gian được tìm kiếm để xác định giá trị cực đại và cực tiểu cho mỗi thành phần cũng như các giá trị cực đại cho các kết quả. Các giá trị đồng thời liên quan đến mỗi điểm thời gian tương ứng sau đó được chèn vào các hàng của bảng. Mỗi trường hợp tải được định nghĩa trong Điều 7 được phân tích theo cách này và tải cực đại nhất trong mỗi hàng từ các trường hợp tài khác nhau sau đó được sử dụng để định nghĩa một tổng thể tải tổng quát cho phần đó của tua-bin gió.
Trong các Điều 1.2 và 1.3, có hai phương pháp được đưa ra. Lưu ý rằng cần thận trọng để có được các tải đồng thời thận trọng.
I.2 Chia tỷ lệ
• Đối với mỗi mặt cắt ngang và thành phần tải, một bin trong trường hợp tải được xem xét cung cấp giá trị lớn nhất trong số các tải đặc trưng ứng viên.
• Một chuỗi thời gian từ bin này gần với giá trị cực đại của nỏ trong khoảng ±5% so với tải đặc trưng này được chọn.
• Giá trị cực đại của chuỗi thời gian này được điều chỉnh theo tải đặc trưng. Hệ số điều chỉnh thu được sau đó cũng được áp dụng cho tất cả các thành phần tải đồng thời của giá trị cực đại được chọn trong chuỗi thời gian này.
• Đối với mỗi thành phần tải, một chuỗi trường hợp tải được thu được để sử dụng trong phân tích tải thiết kế cực trị.
• Đối với các giá trị cực tiểu, quy trình tương ứng được áp dụng với việc điều chỉnh mức độ thích hợp.
I.3 Lấy trung bình
• Đối với một trường hợp tải bao gồm nhiều thực hiện, tải đặc trưng cực đại ứng viên được tính toán là trung bình của các giá trị cực đại của tất cả các thực hiện.
• Các tải đồng thời được tính toán là trung bình của các giá trị đồng thời tuyệt đối của mỗi thực hiện. Các dấu hiệu trên các tải đồng thời được áp dụng theo các dấu hiệu của các tải đồng thời của thực hiện có tải cao nhất.
• Tải đặc trưng cực tiểu ứng viên được tính toán là trung bình của các giá trị cực tiểu của mỗi thực hiện. Các tải đồng thời được tính toán theo cách tương tự như trong trường hợp tích cực.
• Tải đặc trưng cực đại và cực tiểu cuối cùng được xác định là cực đại và cực tiểu, tương ứng, của các tải đặc trưng ứng viên đã được mô tả trên với các giá trị đồng thời tương ứng.
Phụ lục J
(tham khảo)
Dự đoán tốc độ gió cực trị của các cơn bão nhiệt đới dùng phương pháp mô phỏng Monte Carlo
J.1 Quy định chung
Ở những khu vực mà gió mạnh chủ yếu do các cơn bão ngoại nhiệt đới chi phối, tốc độ gió cực trị có thể được ước lượng bằng cách sử dụng phương pháp Gumbel cho dữ liệu mở rộng thu được từ một trạm khí tượng tham chiếu gần đó với phương pháp đo-tương quan-dự đoán (MCP) như mô tả trong Phụ lục F. Ngược lại, các vùng nhiệt đới và cận nhiệt đới, nơi cả các cơn bão nhiệt đới và ngoại nhiệt đới đều chiếm ưu thế, được biết đến là khí hậu hỗn hợp và cần xem xét từng hiện tượng khí tượng gây gió quan trọng như đã đề cập bởi [2]. Đã nhận thấy rằng phương pháp MCP mà không xem xét các loại bão khác nhau thường đánh giá thấp tốc độ gió cực trị trong các vùng khí hậu hỗn hợp.
Phụ lục J mô tả phương pháp mô phỏng Monte Carlo (MCS) để dự đoán tốc độ gió cực trị do bão nhiệt đới gây ra. Xem [1] để biết chi tiết về phương pháp MCS.
J.2 Dự đoán tốc độ gió cực trị do bão nhiệt đới gây ra
J.2.1 Quy định chung
Mô phỏng Monte Carlo của các cơn bão nhiệt đới đã được đề xuất (ví dụ [3]) để có được tốc độ gió thống kê đáng tin cậy do các cơn bão nhiệt đới gây ra. Dự đoán gió mạnh do các cơn bão nhiệt đới gây ra nên được thực hiện như sau.
J.2.2 Đánh giá các tham số của bão nhiệt đới
Số lượng bão nhiệt đới mỗi năm tại một địa điểm cụ thể λ có thể được định nghĩa là số lượng bão nhiệt đới có đường đi nằm trong vòng tròn mô phỏng (thường có bán kính 500 km) mỗi năm và được thu thập từ biên dạng đường đi của các cơn bão nhiệt đới trong quá khứ. Đối với mỗi cơn bão nhiệt đới, bốn tham số của cơn bão nhiệt đới, cụ thể là áp suất trung tâm pc, tốc độ di chuyển C, góc di chuyển q đo theo chiều ngược kim đồng hồ từ hướng đông và khoảng cách tối thiểu dmin khi cơn bão tiếp cận gần nhất với địa điểm quan tâm, được lấy từ biên dạng đường đi lịch sử của các cơn bão nhiệt đới. Tham số bão nhiệt đới khác là bán kính gió mạnh nhất Rm, có thể được xác định bằng mô hình trường áp suất được đề xuất bởi [4],
Trong đó p(r) là áp suất mặt biển ở khoảng cách r từ tâm của cơn bão nhiệt đới. Rm có thể được xác định bằng phương pháp bình phương tối thiểu sử dụng áp suất mặt biển đo được tại các trạm khí tượng, và áp suất ngoại vi p∞ có thể được giả định là 1013 hPa hoặc xác định đồng thời. Sự chênh lệch áp suất trung tâm được định nghĩa là A hoặc i∞ - pc. Trong trường hợp B=1,0, mối quan hệ này trở thành công thức được đề xuất bởi [5],
Các tham số này được xấp xỉ bằng các hàm phân tích: ∆Һ, Rm và CCC có thể được xấp xỉ bằng các hàm mật độ xác suất hỗn hợp dựa trên phân bố logarit chuẩn và Weibull (e.g. [6]), q theo phân bố chuẩn hoặc phân bố chuẩn kép (e.g. [7]), dmin bằng hàm đa thức và λ theo phân bố Poisson. Các mối tương quan giữa các tham số này, ngoại trừ λ, cũng nên được tính toán.
J.2.3 Tạo ra các cơn bão nhiệt đới giả lập
Các cơn bão nhiệt đới giả lập được tạo ra trong một khoảng thời gian dài để đáp ứng các hàm phân bố xác suất mô hình và các mối tương quan. Thay đổi trong trường áp suất của các cơn bão nhiệt đới có thể bị bỏ qua vì tốc độ gió và hướng chỉ được ước lượng khi cơn bão nhiệt đới nằm trong vòng tròn mô phỏng với bán kính 500 km.
Phương pháp phân tích chính tắc (MOD) đã được điều chỉnh nên được sử dụng để đáp ứng các hàm phân bố xác suất của các tham số cơn bão nhiệt đới và các mối tương quan giữa chúng cùng một lúc, như đề xuất bởi [6], Quy trình chi tiết của phương pháp MOD được mô tả dưới đây.
Năm tham số mô tả một cơn bão nhiệt đới được chuẩn hóa và viết dưới dạng vectơ như sau:
![]()
Ma trận hiệp phương sai của x được định nghĩa là S. Các giá trị riêng λ(k) và các vectơ riêng Ø(k) được tính bằng cách giải công thức sau
![]()
Các tham số độc lập xi với năm thành phần được sinh ra theo các phân bố xấp xỉ để đạt được các phân bố mong muốn cho số năm và số lượng vectơ được sinh ra theo tỷ lệ xảy ra hàng năm ước lượng. Các tham số tương quan xi có thể được tính bằng công thức sau.
![]()
Những vectơ xi nên được coi là tập hợp các tham số cho các cơn bão nhiệt đới. Lưu ý rằng mặc dù các mối tương quan giữa mỗi thành phần của xi thỏa mãn các mối tương quan mong muốn, phân bố xác suất của chúng không theo các phân bố mong muốn.
Cuối cùng, xi nên được sắp xếp theo thứ tự tăng dần và điều chỉnh sao cho phân bố xác suất của nó theo các phân bố xác suất mong muốn. Hoạt động này hầu như không ảnh hưởng đến các mối tương quan vì nó không thay đổi tập hợp các tham số.
J.2.4 Dự đoán tốc độ gió trong ranh giới của cơn bão nhiệt đới
Gió do bão nhiệt đới gây ra tại địa điểm
bị ảnh hưởng bởi địa hình cục bộ. Tốc độ gió
và hướng gió
tại chiều cao hub có thể được viết là

trong đó ug
và θg
là tốc độ gió gradient và hướng gió (theo chiều kim đồng hồ tính từ hướng nam). Ep và γp là hệ số gió và góc tiếp cận đo theo chiều ngược kim đồng hồ từ vectơ tốc độ gió gradient. St và Dt là tỷ lệ tăng tốc độ gió và sự khác biệt trong hướng gió do địa hình cục bộ, phụ thuộc vào hướng gió (θg
- γp) ở địa hình phẳng.
Tốc độ gió gradient và hướng gió tại vị trí
có thể được tính từ trường áp suất của cơn bão nhiệt đới với giả định cân bằng giữa lực gradient áp suất, lực ly tâm và lực Coriolis.

trong đó, r là khoảng cách từ tâm của cơn bão nhiệt đới, φ là góc đo ngược chiều kim đồng hồ tính từ hướng đông, f là tham số Coriolis, ug và θg là các hàm của thời gian do chuyển động của các cơn bão nhiệt đới.
Hệ số biên dạng gió Ep và góc vào γp được sử dụng để tính toán tốc độ gió tại chiều cao hub (tuabin gió) trên mặt đất, có thể được ước lượng bằng các công thức bán lý thuyết (ví dụ [6]) hoặc động lực học chất lỏng tính toán (CFD). Tỷ lệ tăng tốc St và sự khác biệt về hướng gió Dt cho thấy tác động của địa hình cục bộ lên tốc độ và hướng gió. Những yếu tố này được định nghĩa là các hàm của hướng gió trên địa hình bằng phẳng và có thể được tính toán bằng CFD (ví dụ [8]).
Tốc độ gió trung bình 10 min có thể được dự đoán bằng cách thêm các giá trị ngẫu nhiên vào tốc độ gió ước lượng bởi các mô hình trường gió. Những giá trị ngẫu nhiên này được giả định theo phân bố phân bố logarit chuẩn với giá trị trung bình bằng không và độ lệch chuẩn σa, có thể được mô hình hóa thành
![]()
Ở đây, 0,1 được sử dụng cho y như đã đề xuất bởi [9].
J.3 Dự đoán tốc độ gió cực trị trong các vùng khí hậu hỗn hợp
J.3.1 Quy định chung
Mối quan hệ giữa chu kỳ lặp lại R và phân bố xác suất của tốc độ gió cực đại hàng năm F(u) có thể được viết như sau:
![]()
Trong các vùng khí hậu hỗn hợp, các phân bố xác suất nên được đánh giá riêng cho các cơn bão ngoài nhiệt đới và cơn bão nhiệt đới, sau đó phân bố xác suất kết hợp cần được dự đoán.
J.3.2 Phân bổ tốc độ gió cực trị của các cơn bão ngoài nhiệt đới bằng phương pháp MCP
Phân bố gió cực trị (tức là phân bố xác suất của tốc độ gió cực đại hàng năm) của các cơn bão ngoài nhiệt đới có thể được ước lượng bằng phương pháp MCP từ dữ liệu đo có độ dài giới hạn trong N năm tại trạm khí tượng tham chiếu gần đó như sau.
a) Trước tiên, chuỗi thời gian của tốc độ gió tại địa điểm trong N năm có thể được lấy từ các bản ghi gió tại trạm tham chiếu gần đó bằng cách sử dụng phương pháp MCP hoặc phương pháp CFD.
b) Tiếp theo, tốc độ gió cực đại uE,i do các cơn bão ngoài nhiệt đới gây ra trong mỗi năm dương lịch tại địa điểm được trích xuất và xếp hạng theo thứ tự tăng dần từ uE,1 đến uE,N, và một phần bố xác suất của tốc độ gió cực đại hàng năm do các cơn bão ngoài nhiệt đới gây ra, được định nghĩa theo Công thức (J. 11), được gán.
![]()
c) Sau đó, uE,i được vẽ trên đồ thị so với biến giảm yE,i được biểu diễn như sau:
![]()
Một hàm phù hợp nhất có thể được thu được bằng phương pháp bình phương nhỏ nhất, và tốc độ gió cực trị với chu kỳ lặp lại xác định có thể được dự đoán từ hàm này.
J.3.3 Phân bố tốc độ gió cực trị của các cơn bão nhiệt đới bằng phương pháp MCS
Phân bố gió cực trị của các cơn bão nhiệt đới có thể được ước lượng từ M năm mô phỏng Monte Carlo được mô tả trong Điều J.2. Quy trình như sau:
a) Từ M năm mô phỏng Monte Carlo của các cơn bão nhiệt đới, tốc độ gió cực đại hàng năm có thể được trích xuất và xếp hạng theo thứ tự tăng dần từ uT,1 đến uT,M. Một phần bố xác suất FT(uT) được gán, và biến giảm yT,i được tính toán tương tự.
b) Sau đó, uT,i được vẽ trên đồ thị so với biến giảm yT,i. Trong trường hợp của phương pháp MCS, việc ngoại suy FT(uT) bằng cách phù hợp nhất là không cần thiết vì dữ liệu đủ được thu thập.
J.3.4 Xác định tốc độ gió cực trị trong vùng khí hậu hỗn hợp
Phân bố xác suất kết hợp của tốc độ gió cực đại hàng năm có thể được xác định bằng cách xem xét cả các cơn bão ngoài nhiệt đới và cơn bão nhiệt đới. Giả sử rằng tốc độ gió do các cơn bão ngoài nhiệt đới và cơn bão nhiệt đới gây ra là các sự kiện độc lập, phân bổ xác suất kết hợp có thể được ước lượng bằng cách
![]()
Trong đó, Fc(ucr) biểu thị phân bố xác suất kết hợp. cần đảm bảo rằng các tốc độ gió cực trị dự đoán có giá trị tương đương với các giá trị đo được.
J.4 Tài liệu tham khảo
[1] Ishihara, T. and Yamaguchi, A. (2015), Prediction of the extreme wind speed in mixed climate region by using Monte Carlo simulation and Measure-Correlate-Predict method, Wind Energy, Vol. 18, p. 171- 186
[2] Gomes, L. and Vickery, B.J. (1978), Extreme wind speeds in mixed climates, J. Wind Eng. Indust. Aerodyn., Vol. 2, p. 331-334
[3] Georgiou, P.N., Davenport, A.G. and Vickery, B.J. (1983), Design wind speeds in regions dominated by tropical cyclones, J. Wind Eng. Indust. Aerodyn., Vol. 13, p. 139-152
[4] Holland, G.J. (1980), An analytic model of the wind and pressure profiles in hurricanes. Monthly Weather Review, Vol. 108, p. 1212-1218
[5] Schloemer, R.W. (1954), Analysis and synthesis of hurricane wind patterns over Lake Okeechobee, Florida. Hydrometeorogical Report, No. 31
[6] Ishihara, T., Siang, K.K., Leong, C.C. and Fujino, Y. (2005), Wind field model and mixed probability distribution function for typhoon simulation, Proc. Sixth Asia-Pacific Conference on Wind Engineering, p. 412-426
[7] Vickery, P.J. and Twisdale, L.A. (1995), Prediction of hurricane wind speeds in the United States, Journal of structural Engineering, ASCE, 121(11), p. 1691-1699
[8] Ishihara, T. and Hibi, K. (2002), Numerical study of turbulent wake flow behind a three-dimensional steep hill, Wind and Structures, Vol. 5, No. 2-4, p. 317-328
[9] Yasui, H., Ohkuma, T., Marukawa, H. and Katagiri, J. (2002), study on evaluation time in typhoon simulation based on Monte Carlo method, J. Wind Eng. Indust. Aerodyn., Vol. 90, p. 1529-1540
Phụ lục K
(tham khảo)
Hiệu chuẩn các hệ số an toàn vật liệu kết cấu và thiết kế kết cấu được hỗ trợ bởi thử nghiệm
K.1 Quy định chung và lĩnh vực ứng dụng
Phụ lục K cung cấp hướng dẫn về việc chọn các hệ số an toàn từng phần cho vật liệu trong các điều từ K.2 đến K.6 và về phân tích thống kê các thử nghiệm cho các tham số và điện trở của vật liệu trong các điều từ K.7 đến K.12.
K.2 Mức độ tin cậy mục tiêu
Để hiệu chuẩn các hệ số an toàn từng phần, chỉ số độ tin cậy cần được xác định với xác suất tồn tại Ps = (1 – PF), trong đó PF là xác suất lỗi[54] cho chế độ lỗi được xem xét trong một khoảng thời gian tham chiếu phù hợp. Nếu xác suất lỗi tính toán lớn hơn giá trị mục tiêu đã đặt trước P0, kết cấu được coi là không an toàn.
Chỉ số độ tin cậy thay thế thường được xác định bằng chỉ số tin cậy b, có liên quan đến PF,bằng:
trong đó Փ() là hàm phân bố tích lũy của phân bố chuẩn tiêu chuẩn.
Giá trị mục tiêu cho xác suất lỗi danh nghĩa đối với thiết kế kết cấu cho các chế độ lỗi cực trị và mỏi trong khoảng thời gian tham chiếu một năm là
![]()
Giá trị mục tiêu tương ứng cho chỉ số độ tin cậy là bt = 3,3. Việc áp dụng giá trị mục tiêu này giả định rằng rủi ro đối với mạng sống của con người là không đáng kể trong trường hợp lỗi của một phần tử kết cấu, xem [5]. Mức độ tin cậy mục tiêu được giả định tương ứng với thành phần cấp 2.
K.3 Các định dạng an toàn
Mô hình điện trở được giả định là được thu được bằng mô hình tổng quát sau:
Trong đó:
R(X, a) là mô hình độ bền như được định nghĩa trong tiêu chuẩn kết cấu và vật liệu liên quan;
X là tham số vật liệu về độ bền (và độ cứng). Mỗi tham số độ bền được mô hình hóa như một biến ngẫu nhiên phân bố logarit chuẩn với hệ số biến động Vx;
a là tham số hình học;
δ là sự không đảm bảo của mô hình liên quan đến mô hình độ bền (có thể xác định bằng phương pháp trong Điều K.12). δ được mô hình hóa như một biến ngẫu nhiên phân bố logarit chuẩn với giá trị trung bình là 1 và hệ số biến động Vδ;
b là độ thiên lệch trong mô hình độ bền. b có thể được xác định bằng phương pháp trong Điều K.12.
Giá trị thiết kế của độ bền, Rd, có thể được xác định bằng các mô hình khác nhau[55].
a) Mô hình 1, trong đó các giá trị thiết kế được xác định cho các tham số độ bền vật liệu:
![]()
trong đó
ad là giá trị thiết kế cho dữ liệu hình học;
Xd là các giá trị thiết kế cho các tham số độ bền;
γ△ là hệ số an toàn từng phần liên quan đến sự không đảm bảo của mô hình đối với mô hình độ bền, bao gồm độ thiên lệch trong mô hình độ bền.
Nếu nhiều hơn một tham số độ bền được sử dụng trong mô hình độ bền, thì các giá trị thiết kế được áp dụng cho từng tham số độ bền trong Công thức (K.4).
Giá trị thiết kế của một hoặc nhiều tham số độ bền Xd được xác định bằng cách

trong đó
ƞ là hệ số chuyển đổi có tính đến ảnh hưởng của thời gian tác dụng tải trọng, độ ẩm, nhiệt độ và tỷ lệ;
Xk là giá trị đặc trưng của tham số độ bền, thường được xác định bởi phân vị 5 %;
γm là hệ số an toàn từng phần cho tham số độ bền, phụ thuộc vào hệ số biến động Vx.
Nếu mô hình độ bền là tuyến tính theo các tham số độ bền, thì Rd = R(Xd,ad) và Xd cho từng tham số độ bền được xác định bằng cách sử dụng hệ số an toàn từng phần γM = γMγ∆
Hệ số an toàn từng phần γ∆ phụ thuộc vào độ không đảm bảo của mô hình độ bền, bao gồm cả độ thiên lệch:
![]()
trong đó
γδ là hệ số an toàn từng phần phụ thuộc vào độ không đảm bảo của mô hình với hệ số biến động γδ mà không tính đến độ thiên lệch trong mô hình độ bền.
b) Mô hình 2, trong đó độ bền đặc trưng được thu được bằng cách sử dụng các giá trị đặc trưng của các tham số độ bền vật liệu, và giá trị thiết kế của độ bền được xác định từ:

trong đó:
γM là hệ số an toàn từng phần cho độ bền liên quan đến độ không đảm bảo của độ bền, bao gồm độ không đảm bảo trong các tham số vật liệu, độ không đảm bảo trong mô hình độ bền và độ thiên lệch.
Độ không đảm bảo tổng thể của độ bền phụ thuộc vào độ không đảm bảo của mô hình δ, độ thiên lệch của mô hình độ bền và sự không đảm bảo liên quan đến các tham số độ bền X thông qua hàm độ bền R(X,a). Các hệ số an toàn từng phần của vật liệu được thu được tương ứng từ:
![]()
trong đó
γRM là hệ số an toàn từng phần phụ thuộc vào độ không đảm bảo của độ bền với hệ số biến động VRM từ các tham số độ bền thông qua hàm độ bền R(X,a);
γδ là hệ số an toàn từng phần phụ thuộc vào sự không đảm bảo của mô hình với hệ số biến động γδ.
c) Mô hình 3, trong đó độ bền đặc trưng được ước tính dựa trên các thử nghiệm:
trong đó
Rk là độ bền đặc trưng ước tính dựa trên các thử nghiệm, xem Điều K.12. Rk thường được xác định bởi phân vị 5 %;
γM là hệ số an toàn từng phần cho độ bền liên quan đến độ không đảm bảo của độ bền thu được dựa trên các thử nghiệm, Vr.
Các hệ số an toàn từng phần của vật liệu nên được hiệu chuẩn sao cho xác suất lỗi cho các chế độ lỗi liên quan gần với mức độ tin cậy mục tiêu trong Công thức (K.2) - xem Điều K.4 - trong đó độ không đảm bảo thống kê liên quan và độ không đảm bảo liên quan đến chuyển đổi từ phòng thí nghiệm đến kết cấu thực tế cần được đưa vào.
K.4 Hiệu chuẩn dựa trên độ tin cậy
Các hệ số an toàn từng phần cho tải trọng và độ bền được xác định sao cho xác suất lỗi thu được bằng cách sử dụng hàm trạng thái giới hạn
nhỏ hơn xác suất lỗi mục tiêu
. Trong Công thức (K.10), độ bền được mô hình hóa bằng Công thức (K.3) và S là hiệu ứng tải trọng. Công thức thiết kế tương ứng là
trong đó
Rd là giá trị thiết kế của độ bền và Sk là giá trị đặc trưng của hiệu ứng tải trọng, thường được xác định bởi phân vị 98 % trong hàm phân bố cho hiệu ứng tải trọng cực đại hàng năm tương ứng với chu kỳ lặp lại 50 năm. Các chu kỳ tham chiếu khác cũng có thể được sử dụng trong một số trường hợp. γf là hệ số an toàn từng phần cho tải trọng.
Bảng K.1 - Hệ số an toàn từng phần cho độ không đảm bảo của mô hình[56]
| Hệ số biến thiên cho độ không đảm bảo của mô hình đối với mô hình độ bền trong mô hình 1, vs | ≤5% | 10% | 15% | 20% |
| γδ |
|
|
|
|
Nếu các hệ số an toàn từng phần cho tải trọng trong ULS ở 7.6 được sử dụng, thì các hệ số an toàn từng phần được hiệu chuẩn cho một chế độ lỗi sao cho mức độ tin cậy trở nên bằng với mức độ tin cậy mục tiêu
được quy định bởi Công thức (K.2), xem [5], Các hệ số an toàn từng phần được khuyến nghị cho Mô hình 1 và 2 là γM = 1,0, γRM = 1,0 và γδ được thể hiện trong Bảng K.1[57][58]. Đối với
Mô hình 3, hệ số an toàn từng phần được khuyến nghị là γM = 1,2, tương ứng với giá trị của γδ cho γδ ≤ 5% trong Bảng K.1.
K.5 Hiệu chuẩn bằng cách sử dụng định dạng giá trị thiết kế
Thay vào phương pháp dựa trên độ tin cậy trong Điều K.4 để hiệu chuẩn các hệ số an toàn từng phần, có thể áp dụng định dạng giá trị thiết kế, xem ISO 2394.
K.6 Các hệ số an toàn từng phần cho sự mỏi cho các chi tiết hàn trong kết cấu thép
Phương pháp SN được giả định sử dụng cùng với quy tắc của Miner cho sự tích lũy mỏi tuyến tính [59]. Đối với các đường cong SN tuyến tính, số chu kỳ, N, đến khi lỗi với khoảng cách ứng suất không đổi, ∆σ, như sau:

Trong đó
∆σc là độ bền mỏi đặc trưng được xác định là phân vị 5%;
m là độ dốc của đường cong SN (hệ số Wöhler);
K là tham số của đường cong SN.
Đối với tải trọng mỏi với biên độ thay đổi, giá trị thiết kế của tổng Miner cần đáp ứng:

trong đó
γn là hệ số hệ quả của lỗi, xem 7.6.1.3;
γFf là hệ số an toàn từng phần cho tải trọng mỏi phụ thuộc vào sự không đảm bảo liên quan đến ứng suất mỏi;
γMf là hệ số an toàn từng phần cho độ bền mỏi phụ thuộc vào sự không đảm bảo liên quan đến đường cong SN và quy tắc Miner;
ni là Số chu kỳ với dải ứng suất mỏi ∆σi
Đối với các đường cong SN phi tuyến, giá trị thiết kế của tổng số Miner cần đáp ứng:

Các hệ số an toàn từng phần γMf và yFf trong Bảng K.2 và K.3 được hiệu chỉnh sao cho xác suất lỗi đối với các chế độ lỗi liên quan gần với mức độ tin cậy mục tiêu trong Điều K.2 cho một chi tiết kết cấu hàn thuộc thành phần loại 2. Hệ số an toàn từng phần yFf phụ thuộc vào hệ số biến thiên, VFf, đối với ứng suất mỏi.
Tham số độ bền mỏi, log K, có thể được giả định phân bố bình thường với hệ số phụ thuộc vào đường cong SN thực tế, nhưng thường là 0,2 cho các chi tiết hàn. Tổng số Miner có thể được giả định phân bổ logarit chuẩn với hệ số biến thiên bằng 0,3. Sự không đảm bảo cho các dải ứng suất mỏi có thể được giả định phân bố logarit chuẩn với hệ số biến thiên đại diện cho sự không đảm bảo trong việc đánh giá tải trọng mỏi và sự không đảm bảo trong tính toán dải ứng suất cho tải trọng mỏi, xem [5], Thông thường, hệ số biến thiên VFf có thể lấy là từ 0,15 đến 0,20, xem [5],
Mức độ tin cậy yêu cầu có thể đạt được như sau:
a) Phương pháp chịu đựng hỏng:
• chọn chi tiết, vật liệu và mức độ ứng suất sao trong trường hợp có vết nứt, tỷ lệ lan rộng của vết nứt là thấp và chiều dài vết nứt cực hạn là dài;
• dự phòng có tuyến nhiều tải trọng;
• dự phòng của các chi tiết ngăn chặn vết nứt;
• dự phòng của các chi tiết dễ kiểm tra trong các lần kiểm tra định kỳ.
b) Phương pháp tuổi thọ an toàn:
• chọn chi tiết và mức độ ứng suất dẫn đến tuổi thọ mỏi đủ để đạt được giá trị mục tiêu bf vào cuối tuổi thọ thiết kế. Không yêu cầu kiểm tra.
Bảng K.2 - Giá trị khuyến nghị cho hệ số an toàn từng phần đối với độ bền mỏi, γMf
| Phương pháp đánh giá | γMf |
| Chịu được hỏng | 1,10 |
| Tuổi thọ an toàn | 1,25 |
Bảng K.3 - Hệ số an toàn từng phần khuyến nghị đối với ứng suất mỏi, yFf
| Hệ số biến thiên, yFf, của dài ứng suất mỏi | 15% tới 20% | 20% tới 25% | 25% tới 30% |
| yFf |
|
|
|
K.7 Các loại thử nghiệm cho vật liệu [60]
Cần phân biệt các loại thử nghiệm sau đây:
a) Thử nghiệm để thiết lập trực tiếp độ bền cực hạn hoặc các đặc tính vận hành của kết cấu hoặc các phần tử kết cấu cho các điều kiện tải cụ thể;
b) Thử nghiệm để thu được các thuộc tính vật liệu cụ thể bằng cách sử dụng các quy trình thử nghiệm được quy định; ví dụ, thử nghiệm mẫu cho các thuộc tính vật liệu của cánh quạt;
c) Thử nghiệm để giảm thiểu độ không đảm bảo trong các tham số được sử dụng trong các mô hình độ bền; ví dụ, thử nghiệm thành phần con và thử nghiệm quy mô đầy đủ.
K.8 Kế hoạch thử nghiệm
K.8.1 Quy định chung
Trước khi thực hiện các thử nghiệm, một kế hoạch thử nghiệm nên được thỏa thuận với tổ chức thử nghiệm. Kế hoạch này nên bao gồm các mục tiêu của thử nghiệm và tất cả các thông số kỹ thuật cần thiết cho việc lựa chọn hoặc sản xuất các mẫu thử, thực hiện các thử nghiệm và đánh giá thử nghiệm. Kế hoạch thử nghiệm nên bao gồm các điểm sau:
• mục tiêu và phạm vi;
• dự đoán kết quả thử nghiệm;
• quy định kỹ thuật của mẫu thử và lấy mẫu;
• quy định kỹ thuật về tải trọng;
• bố trí thử nghiệm;
• các phép đo;
• đánh giá và báo cáo các thử nghiệm.
K.8.2 Mục tiêu và phạm vi
Mục tiêu của các thử nghiệm nên được nêu rõ, ví dụ như các thuộc tính yêu cầu, ảnh hưởng của các tham số thiết kế cụ thể thay đổi trong quá trình thử nghiệm và phạm vi tính hợp lệ. Các hạn chế của thử nghiệm và các chuyển đổi cần thiết (ví dụ: ảnh hưởng của tỷ lệ) nên được chỉ rõ.
K.8.3 Dự đoán kết quả thử nghiệm
Tất cả các thuộc tính và điều kiện có thể ảnh hưởng đến việc dự đoán kết quả thử nghiệm nên được xem xét, bao gồm:
• các tham số hình học và tính biến động của chúng,
• các khuyết tật hình học,
• các thuộc tính vật liệu,
• các tham số bị ảnh hưởng bởi quy trình chế tạo và thực hiện, và
• hiệu ứng tỷ lệ của các điều kiện môi trường, có tính đến nếu có liên quan, bất kỳ thứ tự nào.
Các chế độ lỗi và/hoặc mô hình tính toán dự kiến, cùng với các biến tương ứng, nên được mô tả. Nếu có nghi ngờ đáng kể về các chế độ lỗi có thể là quan trọng, thì kế hoạch thử nghiệm nên được phát triển dựa trên các thử nghiệm thí điểm đi kèm[61].
K.8.4 Quy định về mẫu thử nghiệm và lấy mẫu
Mẫu thử nghiệm nên được quy định hoặc lấy mẫu sao cho đại diện cho các điều kiện của kết cấu thực tế.
Các yếu tố cần xem xét bao gồm:
• kích thước và dung sai,
• vật liệu và chế tạo của các mẫu thử nghiệm,
• số lượng mẫu thử nghiệm,
• quy trình lấy mẫu, và
• các hạn chế.
Mục tiêu của quy trình lấy mẫu là để thu được một mẫu đại diện thống kê. Cần lưu ý bất kỳ sự khác biệt nào giữa các mẫu thử nghiệm và quần thể sản phẩm có thể ảnh hưởng đến kết quả thử nghiệm.
K.8.5 Quy định về tải trọng
Tải trọng và điều kiện môi trường cần được quy định cho thử nghiệm bao gồm:
• các điểm tải trọng,
• lịch sử tải trọng,
• các hạn chế,
• nhiệt độ,
• độ ẩm tương đối,
• tải trọng theo điều khiển biến dạng hoặc lực, v.v.
Trình tự tải trọng nên được chọn để đại diện cho việc sử dụng dự kiến của phần kết cấu, trong cả hai điều kiện sử dụng bình thường và nghiêm ngặt, cần xem xét sự tương tác giữa đáp ứng kết cấu và thiết bị dùng để áp dụng tải trọng khi có liên quan.
Khi đáp ứng kết cấu phụ thuộc vào các tác động của một hoặc nhiều hành động mà không thay đổi hệ thống, thì các tác động đó nên được quy định bằng các giá trị đại diện của chúng.
K.8.6 Kết cấu thử nghiệm
Thiết bị thử nghiệm nên phù hợp với loại thử nghiệm và phạm vi đo dự kiến, cần chú ý đặc biệt đến các biện pháp để đảm bảo độ bền và độ cứng của các thiết bị tải trọng và hỗ trợ, và khoảng trống cho các biến dạng, v.v...
K.8.7 Phép đo
Trước khi thực hiện thử nghiệm, tất cả các thuộc tính liên quan cần được đo cho từng mẫu thử cần được liệt kê. Ngoài ra, cần lập danh sách:
a) các vị trí đo, và
b) các quy trình ghi kết quả, bao gồm nếu cần thiết,
1) lịch sử di chuyển theo thời gian,
2) tốc độ,
3) gia tốc,
4) độ biến dạng,
5) lực và áp suất,
6) tần số yêu cầu,
7) độ chính xác của các phép đo, và
8) các thiết bị đo phù hợp.
K.8.8 Đánh giá và báo cáo thử nghiệm
Đối với hướng dẫn cụ thể, xem Điều K.9. Các tiêu chuẩn mà các thử nghiệm dựa trên cần được báo cáo.
K.9 Nguyên tắc chung cho các đánh giá thống kê
Khi đánh giá kết quả thử nghiệm, đáp ứng của các mẫu thử và các chế độ hư hỏng nên được so sánh với các dự đoán lý thuyết. Khi xảy ra sự sai lệch đáng kể so với dự đoán, cần tìm ra được lời giải thích: điều này có thể bao gồm thử nghiệm bổ sung, có thể trong các điều kiện khác nhau, hoặc sửa đổi mô hình lý thuyết.
Việc đánh giá kết quả thử nghiệm nên dựa trên các phương pháp thống kê, với việc sử dụng thông tin (thống kê) có sẵn về loại phân bố được sử dụng và các tham số liên quan của nó. Các phương pháp được đưa ra trong Phụ lục K có thể được sử dụng chỉ khi các điều kiện sau đây được thỏa mãn:
a) dữ liệu thống kê (bao gồm thông tin trước đó) được lấy từ các quần thể đã được xác định và đủ đồng nhất; và
b) có đủ số lượng quan sát
Ở cấp độ diễn giải kết quả thử nghiệm, có thể phân biệt ba loại chính.
• Khi chỉ thực hiện một (hoặc rất ít) thử nghiệm, không thể thực hiện diễn giải thống kê cổ điển. Chỉ việc sử dụng thông tin trước đó rộng rãi, kết hợp với các già thuyết về mức độ quan trọng tương đối của thông tin này và kết quả thử nghiệm, mới có thể trình bày một diễn giải là thống kê (các quy trình Bayesian, xem ISO 12491 [4]).
• Nếu thực hiện một loạt các thử nghiệm lớn hơn để đánh giá một tham số, một diễn giải thống kê cổ điển có thể có thể. Diễn giải này vẫn cần sử dụng một số thông tin trước đó về tham số; tuy nhiên, điều này thường ít hơn so với trên.
• Khi một loạt các thử nghiệm được thực hiện để hiệu chỉnh một mô hình (như một hàm) và một hoặc nhiều tham số liên quan, một diễn giải thống kê cổ điển là khả thi.
• Kết quả của việc đánh giá thử nghiệm nên được coi là hợp lệ chỉ cho các thông số và đặc tính tải đã được xem xét trong các thử nghiệm. Nếu kết quả cần được suy rộng để bao phủ các tham số thiết kế và tải khác, thông tin bổ sung từ các thử nghiệm trước đó hoặc từ cơ sở lý thuyết nên được sử dụng.
K.10 Xác định giá trị đặc trưng
Việc xác định giá trị đặc trưng từ các thử nghiệm nên xem xét:
a) sự phân tán của dữ liệu thử nghiệm,
b) độ không đảm bảo thống kê liên quan đến số lượng thử nghiệm, và
c) kiến thức thống kê trước đó.
Nếu đáp ứng của kết cấu hoặc thành phần kết cấu hoặc độ bền của vật liệu phụ thuộc vào các yếu tố không được bao phủ đầy đủ bởi các thử nghiệm như:
• tác động theo thời gian và độ dài,
• tác động tỷ lệ và kích thước,
• điều kiện môi trường, tải trọng và biên giới khác nhau, và
• các yếu tố ảnh hưởng đến độ bền,
thì mô hình tính toán nên xem xét các ảnh hưởng này một cách thích hợp.
K.11 Xác định giá trị đặc trưng thống kê cho một thuộc tính đơn
Điều K.11 cung cấp các biểu thức để xác định giá trị đặc trưng từ (a) các loại thử nghiệm và (b) một thuộc tính đơn (ví dụ, độ bền)[62].
CHÚ THÍCH: Các biểu thức được trình bày ờ đây, sử dụng các quy trình Bayesian với phân bố "mơ hồ", dẫn đến kết quả gần như giống như thống kê cổ điển với các mức độ tin cậy bằng 75%.
Bảng và biểu thức dưới đây dựa trên các giả định sau:
a) tất cả các biến đều theo phân bố bình thường hoặc phân bố logarit chuẩn;
b) không biết trước về giá trị của trung bình;
c) đối với trường hợp "Vx chưa biết", không biết trước về hệ số biến thiên;
d) đối với trường hợp" Vx đã biết", có biết trước về hệ số biến thiên.
Trong thực tế, thường thì việc sử dụng trường hợp "Vx đã biết" cùng với ước lượng thận trọng về Vx là lựa chọn tốt hơn, thay vì áp dụng các quy tắc cho trường hợp ”Vx chưa biết". Hơn nữa, Vx, khi không biết, nên được giả định không nhỏ hơn 0,10.
Giá trị đặc trưng của một thuộc tính X cần được tìm bằng cách sử dụng công thức:
![]()
trong đó mx là giá trị trung bình mẫu và giá trị của kn có thể được tìm từ Bảng K.4.
Khi sử dụng Bảng K.4, cần xem xét một trong hai trường hợp như sau:
Dòng "Vx đã biết" nên được sử dụng nếu hệ số biến thiên Vx, hoặc một giới hạn trên thực tế của nó, được biết trước[63].
• Dòng "Vx chưa biết" nên được sử dụng nếu hệ số biến thiên Vx không được biết trước và do đó cần được ước lượng từ mẫu như sau:

Bảng K.4 - Giá trị của kn với giá trị đặc trưng 5 %
| N | 1 | 2 | 3 | 4 | 5 | 6 | 8 | 10 | 20 | 30 | ∞ |
| Vx đã biết | 2,31 | 2,01 | 1,89 | 1,83 | 1,80 | 1,77 | 1,74 | 1,72 | 1,68 | 1,67 | 1,64 |
| Vx chưa biết | - | - | 3,37 | 2,63 | 2,33 | 2,18 | 2,00 | 1,92 | 1,76 | 1.73 | 1,64 |
Bảng K.4 dựa trên phân bố chuẩn. Với phân bố logarit chuẩn, công thức (K.15) trở thành:
![]()
trong đó
![]()
Nếu Vx được biết trước thì Sy = ![]()
Nếu Vx chưa được biết trước thì Sy = ![]()
K.12 Xác định thống kế của giá trị đặc trưng cho các mô hình độ bền
K.12.1 Quy định chung
Điều K.12 chủ yếu nhằm xác định các quy trình (phương pháp) để hiệu chỉnh các mô hình độ bền và để suy ra các giá trị thiết kế từ các loại thử nghiệm c), xem Điều K.7. Phải sử dụng thông tin sẵn có (đã biết hoặc giả định).
Dựa trên quan sát đáp ứng thực tế trong các thử nghiệm và các cân nhắc lý thuyết, một "mô hình thiết kế" nên được phát triển, dẫn đến việc xác định một hàm độ bền. Tính hợp lệ của mô hình này sau đó nên được kiểm tra bằng cách diễn giải thống kê tất cả dữ liệu thử nghiệm có sẵn. Nếu cần thiết, mô hình thiết kế được điều chỉnh cho đến khi đạt được sự tương quan đủ giữa các giá trị lý thuyết và dữ liệu thử nghiệm.
Sự sai lệch trong các dự đoán thu được bằng cách sử dụng mô hình thiết kế cũng nên được xác định từ các thử nghiệm. Sự sai lệch này cần được kết hợp với các sai lệch của các biến khác trong hàm độ bền để có được một chỉ báo tổng thể về sự sai lệch. Các biến khác này bao gồm:
• sự sai lệch trong độ bền và độ cứng của vật liệu;
• sự sai lệch trong các thuộc tính hình học.
Độ bền đặc trưng nên được xác định bằng cách tính đến các sự sai lệch của tất cả các biến.
Phương pháp này được trình bày dưới dạng một số bước riêng biệt, và một số giả định liên quan đến tập hợp thử nghiệm được đưa ra và giải thích; những giả định này được coi là không quá nhiều hơn các khuyến nghị bao phủ một số trường hợp phổ biến nhất.
Đối với quy trình đánh giá tiêu chuẩn, các giả định sau được đưa ra:
a) hàm độ bền là một hàm của một số biến độc lập X;
b) có sẵn một số lượng kết quả thử nghiệm đủ;
c) tất cả các thuộc tính hình học và vật liệu liên quan đều được đo;
d) không có sự tương quan (phụ thuộc thống kê) giữa các biến trong hàm độ bền;
e) tất cả các biến theo phân bố chuẩn hoặc logarit chuẩn [64].
Quy trình tiêu chuẩn bao gồm bảy bước, xem K.12.2 đến K.12.8.
K.12.2 Bước 1: Phát triển mô hình thiết kế
Phát triển một mô hình thiết kế cho độ bền lý thuyết rt của phần tử hoặc chi tiết kết cấu đang xem xét, được biểu diễn bởi hàm độ bền:
![]()
Hàm độ bền phải bao gồm tất cả các biến cơ bản liên quan X ảnh hưởng đến độ bền tại trạng thái giới hạn liên quan.
Tất cả các thông số cơ bản phải được đo cho từng mẫu thử và phải có sẵn để sử dụng trong quá trình đánh giá.
K.12.3 Bước 2: So sánh giá trị thực nghiệm và lý thuyết
Thay thế các thuộc tính đo được thực tế vào hàm độ bền để có được các giá trị lý thuyết rti làm cơ sở để so sánh với các giá trị thực nghiệm rei từ các thử nghiệm.
Các điểm đại diện cho các cặp giá trị tương ứng (rti, rei) nên được vẽ trên một biểu đồ, như được chỉ ra trên Hình K.1.

Hình K.1 - Biểu đồ re - rt
Nếu hàm độ bền là chính xác và đầy đủ, thì tất cả các điểm sẽ nằm trên đường thẳng với b=1. Trong thực tế, các điểm sẽ có một số phân tán, nhưng nguyên nhân của bất kỳ sự lệch hệ thống nào khỏi đường thẳng đó cần được xem xét để kiểm tra xem điều này có chỉ ra lỗi trong quy trình thử nghiệm hoặc trong hàm độ bền hay không.
K.12.4 Bước 3: Ước lượng hệ số hiệu chỉnh giá trị trung bình (độ thiên lệch) b
Biểu diễn mô hình xác suất của độ bền r dưới dạng:
![]()
b là hệ số góc của đường hồi quy tối ưu nhất theo phương pháp bình phương tối thiểu, được tính bởi:
![]()
Giá trị trung bình của hàm kháng lý thuyết, được tính bằng cách sử dụng các giá trị trung bình của các biến cơ bản Xm có thể được tính từ
![]()
K.12.5 Bước 4: Ước lượng hệ số biến thiên của các sai số
Sai số δi cho mỗi giá trị thực nghiệm rei cần được xác định từ công thức
![]()
Từ các giá trị δi, một giá trị ước lượng cho Vδ cần được xác định bằng cách xác định:
![]()
Giá trị ước lượng
cho E(∆) cần được xác định từ:
![]()
Giá trị ước lượng
cho
cần được xác định từ:
![]()
Công thức

có thể sử dụng giá trị ước lượng làm hệ số biến thiên Vδ của các sai số δi.
K.12.6 Bước 5: Phân tích sự tương thích
Phân tích sự tương thích của tập hợp thử nghiệm với các giả định được thực hiện trong hàm độ bền.
Nếu sự phân tán của các giá trị (rti, rei) quá cao để cung cấp các hàm độ bền thiết kế kinh tế, sự phân tán này có thể được giảm bằng một trong những cách sau:
a) Bằng cách điều chỉnh mô hình thiết kế để xem xét các tham số mà trước đó đã bị bỏ qua;
b) Bằng cách sửa đổi b và Vδ bằng cách chia tập hợp thử nghiệm tổng thể thành các tập hợp con phù hợp, để ảnh hưởng của các tham số bổ sung như vậy có thể được coi là không thay đổi.
Để xác định các tham số có ảnh hưởng lớn nhất đến sự phân tán, kết quả thử nghiệm có thể được chia thành các tập hợp con theo các tham số này [65].
Khi xác định các hệ số phân tích kn (xem bước 7), giá trị kn cho các tập hợp con có thể được xác định dựa trên tổng số thử nghiệm trong chuỗi gốc.
K.12.7 Bước 6: Xác định các hệ số biến thiên VXi của các biến cơ bản
Nếu có thể chứng minh rằng tập hợp thử nghiệm hoàn toàn đại diện cho sự biến đổi trong thực tế, thì các hệ số biến thiên VXi của các biến cơ bản trong hàm độ bền có thể được xác định từ dữ liệu thử nghiệm. Tuy nhiên, vì điều này không phải lúc nào cũng đúng, các hệ số biến thiên VXi thường cần phải được xác định dựa trên một số kiến thức trước đó.
K.12.8 Bước 7: Xác định giá trị đặc trưng rk của độ bền
Nếu hàm độ bền có dạng:
![]()
giá trị trung bình có thể được xác định từ
![]()
và hệ số biến thiên Vr có thể được xấp xỉ bằng
![]()
trong đó Vδ được lấy từ Công thức (K.30)[66] và hệ số biến thiên Vrt có thể được xác định từ

trong đó
si là độ lệch chuẩn của Xi.
Nếu số lượng thử nghiệm bị hạn chế (ví dụ, n <100), cần phải tính đến sự không đảm bảo thống kê trong phân bố của ∆. Phân bố nên được coi là phân bố t trung tâm với các tham số
và n.
Độ bền đặc trưng (phân vị 5 %) rk cần được xác định từ:
![]()
với

trong đó:
kn là hệ số phân vị đặc trưng từ Bảng 5 với Vx chưa biết;
k∞ là giá trị của kn với n → ∞ [k∞ = 1,64];
là hệ số trọng số cho
;
là hệ số trọng số cho
.
K.13 Tài liệu tham khảo
[1] JCSS:2002, Joint Committee on structural Safety (JCSS). Probabilistic Model Code. http://www.jcss.ethz.ch/
[2] EN 1990:2002, Eurocode - Basis of structural design
[3] ISO 2394:2015, General principles on reliability for structures
[4] ISO 12491:1997, Statistical methods for quality control of building materials and components
[5] Safety Factors - IEC 61400-1 ed. 4 - background document DTU Wind Energy-E- Report-0066(EN) (ISBN: 978-87-93278-08-0) November 2014 John Dalsgaard Sorensen, Henrik Stensgaard Toft
[6] EN 1993-1-6:2007, Eurocode 3 - Design of steel structures - Part 1-6: strength and stability of Shell Structures
Phụ lục L
(tham khảo)
Khí hậu lạnh: Đánh giá và ảnh hưởng của khí hậu đóng băng
L.1 Đánh giá điều kiện khí hậu đóng băng
L.1.1 Quy định chung
Trong điều kiện khí hậu đóng băng, hiện tượng đóng băng khí tượng được định nghĩa là sự kết tụ của băng hoặc tuyết trên các kết cấu tiếp xúc với khí quyển. Nói chung, có thể phân biệt hai loại đóng băng khí quyển khác nhau ảnh hưởng đến tuabin gió: đóng băng trong mây (băng rime hoặc băng kính) và đóng băng do mưa (mưa đá hoặc mưa phùn, tuyết ướt, xem [1]). Thông thường, đóng băng trong mây xảy ra phổ biến hơn và trong nhiều trường hợp, tần suất đóng băng trong mây tăng theo độ cao. Điều này là do xác suất cao hơn của kết cấu nằm trong các đám mây và do nhiệt độ thấp hơn.
Điều kiện khí hậu đóng băng có thể được đánh giá bằng các phương pháp và cảm biến đo khác nhau. Để đánh giá ảnh hưởng của đóng băng đối với tuabin gió, cần đánh giá mức độ nghiêm trọng và thời gian của hiện tượng đóng băng trên rôto dài hạn. Điều L.1 mô tả một số phương pháp có thể được sử dụng đề đánh giá ảnh hưởng của đóng băng trên rôto.
Khuyến nghị nên đánh giá hiện tượng đóng băng gần đầu cánh hoặc ở độ cao hub (nếu cần, ngoại suy hiện tượng đóng băng đã đánh giá đến chiều cao đóng băng trên rôto đại diện như được trình bày trong Công thức (L.1)), sử dụng nhiều phương pháp phát hiện băng đồng thời để tăng tính khả dụng và độ tin cậy, và sử dụng dữ liệu địa điểm dài hạn (tốt nhất là 10 năm hoặc hơn) để đánh giá hiện tượng đóng băng khi có thể vì tần suất đóng băng quan sát được có thể thay đổi giữa các năm.
Thông tin bổ sung có thể có trong [3], [4], [5] và [6].
L.1.2 Khí hậu đóng băng
Nói chung, một sự kiện đóng băng có thể được mô tả bằng các diễn đạt sau áp dụng cho các tuabin gió phải chịu hiện tượng đóng băng khí tượng (xem Hình L.1).
• Đóng băng khí tượng: Khoảng thời gian trong đó các điều kiện khí tượng cho sự kết tụ băng là thuận lợi (đang hình thành băng).
• Đóng băng rôto [67]: Khoảng thời gian trong đó rôto của tuabin gió bị ảnh hưởng bởi băng.
• Thời gian ủ băng: Độ trễ giữa sự bắt đầu của hiện tượng đóng băng khí tượng và sự bắt đầu của đóng băng rôto (phụ thuộc vào bề mặt, nhiệt độ của kết cấu và điểm vận hành của tuabin gió).
• Thời gian phục hồi: Độ trễ giữa sự kết thúc của hiện tượng đóng băng khí tượng và sự kết thúc của đóng băng cánh quạt (khoảng thời gian trong đó băng vẫn tồn tại nhưng không tiếp tục được hình thành).

Hình L.1 - Xác định nghĩa đóng băng khí tượng và đóng băng rôto
L.1.3 Đóng băng rôto
Đóng băng rôto được định nghĩa là khoảng thời gian mà rôto của tuabin gió bị ảnh hưởng bởi băng. Băng sẽ liên tục bám vào rôto của tuabin gió cho đến khi các điều kiện khí tượng cho việc hình thành băng không còn nữa (kết thúc hiện tượng đóng băng khí tượng). Băng sẽ ở lại trên tuabin gió trong một khoảng thời gian nhất định - thời gian phục hồi - cho đến khi băng bị xói mòn, thăng hoa, tan chảy hoặc rơi khỏi rôto (kết thúc hiện tượng đóng băng rôto).
Nói chung, tần suất của các điều kiện đóng băng trong mây khí tượng tăng lên đáng kể theo độ cao, do đó cần một độ cao đại diện so với mặt đất cho rôto của tuabin gió để tính đến những ảnh hưởng này. Độ cao đại diện này, độ cao đóng băng rôto (hri), được xác định như sau:
![]()
trong đó
zhub là độ cao hub của tuabin gió [m];
D là đường kính rôto [m].
Hình L.2 minh họa cách xác định độ cao đóng băng rôto. Đối với các độ cao mây thấp hơn độ cao đóng băng rôto, có thể giả định rằng toàn bộ rôto phía trên đều ở trong mây.

Hình L.2 - Diện tích rôto bị ảnh hưởng bởi băng được xác định bởi độ cao đóng băng của rôto
L.1.4 Phương pháp đo
Điều kiện khí hậu đóng băng có thể được đánh giá bằng các phương pháp sau:
• sử dụng các thiết bị phát hiện đóng băng chuyên dụng đo mức độ nghiêm trọng và/hoặc thời gian của điều kiện đóng băng khí tượng và/hoặc công cụ;
• sử dụng cặp thiết bị đo gió dạng cốc có gia nhiệt/không gia nhiệt, có thể được dùng để ước lượng thời gian đóng băng dụng cụ;
• hệ thống đồng bộ hoặc camera trên trạm cố định, vị dụ như cột khí tượng, hoặc trên các thành phần quay như cánh quạt;
• đo hoặc quan sát thông qua chiều cao cơ sở của đám mây và/hoặc tầm nhìn và nhiệt độ;
• phương pháp đã được xác nhận khác để đánh giá đóng băng khí tượng.
Thiết bị đo và/hoặc tuabin gió cũng có thể bị ảnh hưởng bởi hiện tượng được gọi là đóng băng thứ cấp. Đóng băng thứ cấp hình thành thông qua quá trình tích tụ đá, tan chảy và đóng băng lại. Đóng băng thứ cấp có thể ảnh hưởng đến sự sẵn sàng và độ tin cậy của các thiết bị đo, ví dụ như cảm biến.
Cuối cùng, cần đánh giá các tác động của khí hậu đóng băng (IC) đối với tuabin gió liên quan đến đóng băng rôto dài hạn. Mức độ nghiêm trọng và thời gian điển hình của các tác động IC lên cánh quạt rôto được trình bày trong các Điều L.2 và L.3 có thể được sử dụng nếu không có thêm dữ liệu.
L.1.5 Sửa đổi hệ số biên dạng đối với băng
Sự tích tụ đá trên các cánh quạt rôto làm giảm đặc tính công suất khí động học của cánh so với đặc tính của cánh sạch. Để tính đến những thay đổi trong đặc tính của cánh, có thể sử dụng quy trình sau để sửa đổi các đặc tính của cánh tĩnh, cần lưu ý rằng phạm vi được đề cập dưới đây là tùy ý và nên được chọn và đánh giá theo đường cong khí động học (polar) cụ thể. Đặc biệt, việc hợp nhất vào polar nền cần được xử lý cẩn thận.
Việc băng bám trên các cánh rôto làm suy giảm đặc tính khí động học của cánh khí động so với trạng thái bề mặt sạch (không có băng). Để phản ánh những thay đổi trong đặc tính của cánh khí động, có thể áp dụng quy trình dưới đây nhằm hiệu chỉnh các đặc tính khí động học tĩnh của cánh, cần lưu ý rằng phạm vi được nêu dưới đây chỉ mang tính tương đối và cần được lựa chọn, đánh giá phù hợp với từng đường cong cực khí động (polar) cụ thể. Đặc biệt, quá trình hợp nhất với polar gốc cần được xử lý cẩn thận.
Hệ số hiệu chỉnh (penalty factors) của cánh khí động được nhân với hệ số lực nâng (CL) và lực cản (CD) của cánh sạch trong dải góc tấn (angle of attack) từ -2° đến góc α = αclmax. Ngoài phạm vi này, các hệ số có thể được ngoại suy, ví dụ bằng phương pháp Viterna [2] hoặc các phương pháp tương đương.

trong đó:
CL,pen là hệ số lực nâng của cánh sạch [-];
CD,pen là hệ số lực cản của cánh sạch [-];
α là góc tấn [°],
Không có sự điều chỉnh nào áp dụng cho hệ số mômen (Cm). cần lưu ý rằng phạm vi góc tấn từ -2° là tùy ý và nên được điều chỉnh theo định nghĩa góc tấn. Giá trị này có thể được điều chỉnh để khoảng giữa αclmax và αclmin.
Hình L.3 minh họa các hệ số hiệu chỉnh của cánh khí động bị đóng băng. Trong các công thức của hình, x đề cập đến góc tấn, α, và y là hệ số hiệu chỉnh.

Hình L.3 - Các hệ số hiệu chỉnh lực nâng và lực cản của cánh khí động bị đóng băng
L.2 Ảnh hưởng của khối lượng băng trên các cánh quạt gió
Thời gian băng đóng trên rôto thay đổi đáng kể về mặt địa lý và qua các năm. Được khuyến nghị là nên đánh giá tác động của khí hậu băng giá cho một tuabin gió bằng cách đo tại chỗ; xem thêm hướng dẫn trong L.1. Nếu không có thông tin nào khác, có thể giả định rằng có 750 h băng đóng dài hạn hàng năm trên rôto.
Sự phân bố khối lượng băng (khối lượng/đơn vị chiều dài) cho cánh tuabin gió nên được giả định tại mép trước. Sự phân bố này tăng tuyến tính từ không tại trục rôto đến giá trị tối đa tại đầu rôto. Phân bố tải trọng băng được tính như sau:
trong đó
M là phân bố khối lượng tại mép trước của cánh [kg/m];
A là 0,125 [kg/m3];
C85% là chiều dài dây cung tại 85 % bán kính rôto [m];
r là vị trí bán kính từ trục rôto [m].
L.3 Các tình huống thiết kế và trường hợp tải trọng trong khí hậu lạnh
L.3.1 Quy định chung
Các trường hợp tải trọng bổ sung theo điều kiện khí hậu lạnh được liệt kê trong Bảng L.1.
Bảng L.1 - Các trường hợp tải thiết kế trong khí hậu lạnh
| Tình huống thiết kế | DLC | Điều kiện gió | Điều kiện khác | Loại phân tích | Hệ số an toàn từng phần |
| 1. Sản xuất điện | 1.6 | NTM Vin < Vhub < Vout | Hình thành băng | F/U | N |
| 6. Dừng (đứng yên hoặc không tải) | 6.5 | NTM Vhub < 0,7 Vref | Hình thành băng | F/U | N |
| 7. Dừng và các điều kiện sự cố | 7.1 | EWM Chu kỳ lặp lại 1 năm | Hình thành băng | U | A |
Thời gian băng bám trên rôto có thể thay đổi đáng kể tùy theo địa lý và từng năm khác nhau. Nên đánh giá các tác động của khí hậu băng đối với tuabin gió bằng các phép đo tại chỗ, tham khảo thêm hướng dẫn trong L.1. Nếu không có thông tin khác, có thể giả định thời gian băng tuyết bám trên rôto dài hạn hàng năm là 750 h.
L3.2 Sản xuất điện (DLC 1.1 đến 1.6)
Nếu có khả năng xảy ra hiện tượng băng bám trên cánh quạt và không có biện pháp ngăn chặn chủ động, cần đánh giá sự an toàn của đáp ứng bộ điều khiển tuabin và tính năng của tuabin (L.2) do băng bám trên cánh quạt.
L.3.3 Dừng (đứng yên hoặc không tải) (DLC 6.1 đến 6.5)
Đối với DLC 6.5 tuabin dừng khi bị đóng băng, cần đánh giá sự an toàn của đáp ứng bộ điều khiển tuabin.
L.3.4 Dừng và các điều kiện sự cố (DLC 7.1)
Nếu không có nguồn cung cấp năng lượng tự động cho tuabin gió, phải giả định rằng tua bin gió bị làm lạnh đến nhiệt độ thấp nhất trong một năm, θ1year,min trong trường hợp mất lưới điện, cần lưu ý rằng nhiệt độ dầu trong bể chứa thấp dẫn đến tổn thất năng lượng trong hệ thống truyền động và độ giảm chấn tăng lên đáng kể, điều này làm cản trở tuabin quay tự do. Cần đánh giá sự an toàn của tuabin gió khi bị băng tuyết trong điều kiện dừng không tải liên quan đến đáp ứng của bộ điều khiển tuabin.
L.4 Tính toán tải trọng trong điều kiện khí hậu lạnh
Tất cả các tính toán tải trọng chủ yếu phục vụ cho việc đánh giá đáp ứng và sự an toàn của bộ điều khiển tuabin. Trong trường hợp không có dữ liệu cụ thể, có thể sử dụng các hệ số hiệu chỉnh khí động học được nêu ở L.2 và khối lượng băng bám trên rôto theo L.3. Đối với phân tích tải trọng cực hạn, cần xem xét hiện tượng băng hình thành trên tất cả các cánh rôto ngoại trừ một cánh và các hệ số hiệu chỉnh khí động học trên tất cả các cánh rôto. Đối với phân tích mỏi, cần kiểm tra trường hợp tất cả các cánh rôto có khối lượng băng đầy đủ, trừ một cánh chỉ xem xét 50 % khối lượng băng. Đồng thời, áp dụng các hệ số hiệu chỉnh khí động học cho tất cả các cánh rôto.
Khối lượng riêng của không khí tăng lên theo 14.4 phải được sử dụng [68]. Phương pháp tiếp cận được tóm tắt trong Bảng L.2.
Đối với phân tích tải trọng mỏi, có thể sử dụng phân bố khối lượng băng theo Công thức (L.4). Đối với phân tích tải trọng cực hạn, Công thức (L.4) cần được tăng theo hệ số bằng 2.
Bảng L.2 - Khối lượng băng trên cánh và hệ số hiệu chỉnh khí động học của cánh được sử dụng trong các loại phân tích khác nhau
| Loại phân tích | Cánh 1 | Cánh 2 | Cánh N | Hệ số hiệu chỉnh khí động học cánh, áp dụng cho tất cả các cánh |
| Cực hạn | Công thức (L.4) | Công thức (L.4) | - | Công thức (L.2) và (L.3) |
| Mỏi | Công thức (L.4) | Công thức (L.4) | Công thức (L.4) - 50 % | Công thức (L.2) và (L.3) |
L.5 Tài liệu tham khảo
[1] IEA Task 19, "IEA Wind Recommended Practice 13: Wind energy projects in cold climate," 2011 Edition
[2] D.J. Larry Viterna, "Theoretical and Experimental Power From Large Horizontal Axis Wind Turbines," NASA, 1982
[3] Lehtomäki, V. et al., Fatigue loads of iced turbines: Two case studies. Elsevier Wind Engineering & Industrial Aerodynamics, 2016, vol. 158, p. 37-50
[4] Rissanen, S. et al., Modelling load and vibrations due to iced turbine operation. Wind Engineering, 2016, vol. 40, no.3, p. 293-303
[5] Homola, M. et al. The relationship between chord length and rime icing on wind turbines. 2009, Wiley Wind Energy, DOI: 10.1002/we.383
[6] Homola, M. Atmospheric icing on wind turbines. PhD thesis 2011, Narvik University
Phụ lục M
(tham khảo)
Tuabin gió cỡ vừa
M.1 Tổng quan
Có một thị trường đáng kể cho việc triển khai các tuabin có kích thước nhỏ hơn so với kích thước tiện ích điển hình nhưng lớn hơn so với tuabin trong IEC 61400-2. Loại này được gọi là "tuabin gió cỡ vừa". Tùy thuộc vào ứng dụng, có thể cần sử dụng các yêu cầu thiết kế khác với những yêu cầu trong phần nội dung của tiêu chuẩn này.
Phụ lục M cung cấp thông tin về các yêu cầu thiết kế có thể phù hợp với tuabin gió cỡ vừa như được định nghĩa trong 3.29. Tất cả các yêu cầu mô tả trong tiêu chuẩn này phải được đáp ứng với các bổ sung và làm rõ tùy chọn cho hệ thống tuabin gió cỡ vừa.
M.2 Điều kiện bên ngoài
M.2.1 Quy định chung
Các điều kiện bên ngoài như được xác định trong Điều 6 áp dụng cho các hệ thống tuabin gió cỡ vừa với các bổ sung sau.
Các tuabin gió cỡ vừa có thể được lắp đặt ở địa hình phức tạp hơn và/hoặc gần các khu vực công nghiệp. Do đó, có thể thích hợp hơn khi sử dụng cường độ nhiễu động cấp A+ hoặc A cho các tuabin gió trong các môi trường này.
M.2.2 Độ trượt gió
Tại một số vị trí tuabin gió cỡ vừa, các hệ số trượt gió cao hơn có thể xuất hiện kết hợp với cường độ nhiễu động cao tại các vị trí này. Do đó, đối với một tuabin gió cỡ vừa, có thể thích hợp khi sử dụng hệ số trượt gió, α, lớn hơn 0,2. Hệ số trượt gió α = 0,3 đưa ra giá trị thận trọng hơn của biên dạng gió cho các vị trí như vậy.
Một cấp tuabin gió nói chung cũng có thể được ký hiệu là cấp con “M”. Nếu cần giá trị α > 0,2, giá trị này phải được nêu rõ trong tài liệu thiết kế và phân tích tải phải được thực hiện với giá trị này.
M.3 Lắp ráp, lặp đặt và lắp dựng
Việc lắp ráp, lắp đặt và lắp dựng các hệ thống tuabin gió cỡ vừa phải đáp ứng các yêu cầu mô tả trong Điều 12 với các đoạn bổ sung tùy chọn sau.
12.6 Tài liệu
Bổ sung các đoạn sau:
Thông tin về cách lắp đặt, lắp ráp và lắp dựng tuabin phải được nêu rõ trong tài liệu cung cấp cho người lắp đặt. Điều này có thể bao gồm, nhưng không giới hạn ở:
• chi tiết về quy trình chính xác và lắp ráp của hệ thống lắp đặt tuabin;
• bất kỳ tiêu chuẩn đào tạo hoặc năng lực chung hoặc cụ thể nào được khuyến nghị hoặc yêu cầu để các nhà thầu thực hiện lắp đặt an toàn và theo các quy định hiện hành;
• thông tin kỹ thuật và an toàn sức khỏe liên quan đến việc lắp đặt nền móng, trong trường hợp nhà sản xuất tuabin chịu trách nhiệm cho nền móng - nếu không, các tải trọng tuabin và chi tiết giao diện tuabin-nền móng, cũng như bất kỳ yêu cầu nào khác của tuabin cần được xem xét để thiết kế và xây dựng nền móng chính xác;
• thông tin kỹ thuật và an toàn sức khỏe liên quan đến việc lắp đặt tháp, cánh và vỏ tuabin;
• thông tin kỹ thuật và an toàn sức khỏe liên quan đến bất kỳ kết cấu hoặc hệ thống nào khác đang được lắp đặt (ví dụ: hộp số);
• thông tin kỹ thuật và an toàn sức khỏe liên quan đến việc lắp đặt các giá đỡ hoặc hệ thống tương đương;
• khuyến nghị về quản lý địa điểm, tiếp cận địa điểm và việc nhận, xử lý và lưu trữ tuabin và thiết bị liên quan để bảo vệ công nhân và người khác bao gồm tuabin và các thành phần của tuabin trong quá trình lắp đặt tuabin;
• bất kỳ tải trọng hoặc điều kiện môi trường nào đã được xác định (ví dụ: tốc độ gió), bao gồm các giới hạn cụ thể cần được tuân thủ hoặc không vượt quá với sự tham chiếu cụ thể đến việc lắp đặt tháp và cánh;
• thông tin kỹ thuật và an toàn sức khỏe cần thiết để đảm bảo việc sử dụng an toàn bất kỳ thiết bị nào được quy định (ví dụ: cần cẩu và thiết bị nâng) như một phần của việc lắp đặt tuabin;
• bất kỳ yêu cầu bổ sung hoặc thay thế nào để tạm dừng vận hành của tuabin một cách an toàn; và
• tất cả thông tin cần thiết để ghi lại và truyền đạt thông tin cuối cùng sau khi lắp đặt cho khách hàng hoặc người sử dụng cuối.
Trừ khi nhà sản xuất cung cấp thiết bị lắp đặt cụ thể, trách nhiệm lựa chọn cuối cùng đối với bất kỳ thiết bị được sử dụng hoặc hệ thống làm việc áp dụng sẽ thuộc về đơn vị lắp đặt.
Mọi yêu cầu pháp lý hoặc nghĩa vụ cụ thể liên quan đến tuabin, cũng như các nhiệm vụ cần thiết để tuân thủ quy định quốc gia tại khu vực cung cấp, có thể được quy định trong tài liệu cung cấp.
Mọi tiêu chuẩn hoặc quy chuẩn kỹ thuật áp dụng cho tuabin, cùng với các nhiệm vụ liên quan để đáp ứng các yêu cầu quốc gia tại khu vực cung cấp, có thể được quy định trong tài liệu cung cấp.
M.4 Vận hành thử, vận hành và bảo trì
Vận hành thử, vận hành và bảo trì các hệ thống tuabin gió trung bình phải đáp ứng các yêu cầu được mô tả trong Điều 13 với các đoạn tùy chọn sau.
13.1 Quy định chung
Các đoạn bổ sung:
Thông tin và hướng dẫn về cách vận hành và bảo trì tuabin gió phải được nêu rõ trong tài liệu cung cấp cho người vận hành. Điều này bao gồm, nhưng không giới hạn ở:
• Các bản vẽ, sơ đồ, mô tả và giải thích cần thiết cho việc vận hành, bảo trì, sửa chữa và kiểm tra tuabin gió;
• Hướng dẫn đào tạo cho các nhà điều hành và nhân viên bảo trì, bao gồm các khía cạnh quan trọng cần được đề cập - ít nhất là, mô tả về việc ra vào tuabin gió, hướng dẫn leo lên, sử dụng thang máy, hướng dẫn về việc tiếp cận an toàn các cơ sở điện và quy trình thoát hiểm khẩn cấp, tốc độ gió tối đa cho phép khi bảo trì và số người tối đã được phép trong vỏ tuabin hoặc làm việc trên đó;
• Thông tin về số người tối đã được phép có mặt đồng thời ở các phần khác nhau của tuabin gió;
• Thông tin về các biện pháp bảo vệ cần được người vận hành thực hiện, bao gồm, khi thích hợp, thiết bị bảo hộ cá nhân (PPE) cần cung cấp;
• Yêu cầu bảo trì, kiểm tra và thử nghiệm các thành phần và hệ thống quan trọng về an toàn;
• Chi tiết về các chế độ điều khiển và hoạt động của hệ thống điều khiển tuabin;
• Thông số kỹ thuật của thiết bị cứu hộ;
• Danh sách các vùng có nguy hiểm tiềm ẩn và quy định kỹ thuật của các nguy cơ trong từng vùng có nguy hiểm tiềm ẩn;
• Thông số kỹ thuật của thiết bị chữa cháy và vị trí của chúng;
• Mô tả các công cụ đặc biệt cần thiết trong quá trình bảo trì và sửa chữa; và
• Khoảng thời gian bảo trì khuyến nghị cho tuabin và các thành phần, hệ thống chính;
• Giới hạn ổn định trong quá trình vận hành, bảo trì, sửa chữa và hỏng. Điều này bao gồm mô tả các giới hạn môi trường khi vào tuabin để thực hiện công việc bảo trì.
13.2 Yêu cầu thiết kế cho vận hành, kiểm tra và bảo trì an toàn
Các đoạn bổ sung:
Các biện pháp bảo vệ đã được tích hợp vào tuabin phải được tài liệu hóa. Điều này có thể bao gồm, nhưng không giới hạn ở:
- bản mô tả các nguy cơ quan trọng có thể tồn tại;
- thông số kỹ thuật của tuabin gió, bao gồm:
• mục đích sử dụng của tuabin gió, bao gồm các chế độ vận hành khác nhau và quy trình tác động cho các nhà vận hành,
• các giới hạn về không gian xác định các khu vực làm việc và quyền tiếp cận vào khu vực này, giao diện người vận hành-máy và giao diện cung cấp nguồn-máy,
• bất kỳ giới hạn về thời gian nào xác định tuổi thọ thiết kế của các thành phần quan trọng về an toàn;
- mô tả chi tiết về các yêu cầu an toàn và biện pháp bảo vệ, bao gồm các hệ thống điều khiển mà thiết kế tuabin đã tính đến; và
- mô tả chi tiết về bất kỳ rủi ro còn lại nào cần được thông báo cho người mua hoặc người vận hành tuabin.
M.5 Tài liệu
Tất cả các hướng dẫn, sơ đồ, thông số kỹ thuật, chỉ dẫn, bản vẽ hoặc hướng dẫn an toàn cần thiết để đảm bảo việc cung cấp, lắp ráp, lắp đặt, vận hành và bảo trì an toàn và chính xác kết cấu và thiết bị của tuabin gió phải được cung cấp khi cần thiết. Phạm vi và nội dung cuối cùng của tất cả thông tin cung cấp phải xem xét:
a) các đánh giá rủi ro được thực hiện bởi nhà sản xuất;
b) kích thước và cấu hình của tuabin;
c) cấp ứng dụng và đặc điểm tải trọng của tuabin khi được cung cấp; và
d) các điều kiện vị trí và môi trường mà tuabin phù hợp.
Tài liệu cung cấp cho người mua phải được viết bằng tiếng Việt và tiếng Anh. Tài liệu phải bao gồm:
• Tên của nhà sản xuất và đại diện của họ, nếu là tổ chức riêng biệt;
• Ký hiệu của tuabin gió, bao gồm tên, model và cấp;
• Bất kỳ tuyên bố sự phù hợp nào được quy định; và
• Một tuyên bố rõ ràng về các hạn chế liên quan đến các hoạt động mà người mua/người sử dụng có thể thực hiện và những hoạt động nên được giao cho các công ty/kỹ thuật viên chuyên môn/có thẩm quyền và bằng chứng mà các công ty/kỹ thuật viên này cần cung cấp để được phép thực hiện những hoạt động này.
Tất cả tài liệu phải được sắp xếp theo một trật tự logic và phải được cập nhật khi có thông tin mới. Nội dung của tài liệu cũng phải bao gồm các cách sử dụng hợp lý có thể xảy ra.
Thư mục tài liệu tham khảo
[1] IEC 60146 (all parts), Semiconductor converters
[2] IEC 60173:1964, Colours of the cores of flexible cables and cords
[3]IEC 60227 (all parts), Polyvinyl chloride insulated cables of rated voltages up to and including 450/750 V
[4] I EC 60245 (all parts), Rubber insulated cables - Rated voltages up to and including 450/750 V
[5] IEC 60269 (all parts), Low-voltage fuses
[6] IEC 60287 (all parts), Electric cables - Calculation of the current rating
[7] I EC 60439 (all parts), Low-voltage switchgear and controlgear assemblies
[8] IEC 60446:2007, Basic and safety principles for man-machine interface, marking and identification - Identification of conductors by colours or alphanumerics
[9] IEC 60617, Graphical symbols for diagrams (available at http://std.iec.ch/iec60617)
[10] IEC 60755, General requirements for residual current-operated protective devices
[11] IEC 60898 (all parts), Electrical accessories - Circuit-breakers for overcurrent protection forhousehold and similar installations
[12] IEC 61000-6-1, Electromagnetic compatibility (EMC) - Part 6-1: Generic standards - Immunity standard for residential, commercial and light-industrial environments
[13] IEC 61000-6-4, Electromagnetic compatibility (EMC) - Part 6-4: Generic standards - Emission standard for industrial environments
[14] IEC 61310-1:2007, Safety of machinery - Indication, marking and actuation - Part 1:
Requirements for visual, acoustic and tactile signals
[15] IEC 61310-2:2007, Safety of machinery - Indication, marking and actuation - Part 2:
Requirements for marking
[16] IEC 61400-2, Wind turbines - Part 2: Small wind turbines
[17] IEC 61400-3-1, Wind turbines - Part 3-1: Design requirements for fixed offshore wind turbines
[18] IEC 61400-6, Wind turbines - Part 6: Tower and foundation design requirements
[19] IEC 61400-12-1, Wind turbines - Part 12-1: Power performance measurements of electricity producing wind turbines
[20] IEC 61400-13, Wind turbines - Part 13: Measurement of mechanical loads
[21] IEC 61400-21, Wind turbines - Part 21: Measurement and assessment of power quality characteristics of grid connected wind turbines
[22] IEC 61508 (all parts), Functional safety of electrical/electronic/programmable electronic safety- related systems
[23] IEC 61508-1:2010, Functional safety of electrical/electronic/programmable electronic safety- related systems - Part 1: General requirements
[24] IEC 61508-6, Functional safety of electrical/electronic/programmable electronic safety-related systems - Part 6: Guidelines on the application of IEC 61508-2 and IEC 61508-3
[25] IEC 62061:2005, IEC 62061/AMD1:2012, IEC 62061/AMD2:2015, Safety of machinery - Functional safety of safety-related electrical, electronic and programmable electronic control systems
[26] IEC 62305-1, Protection against lightning - Part 1: General principles
[27] ISO 12100:2010, Safety of machinery - General principles for design - Risk assessment and risk reduction
[28] ISO 3010, Basis for design of structures - Seismic actions on structures
[29] ISO 8930:1987, General principles on reliability for structures - List of equivalent terms
[30] ISO 9001, Quality management systems - Requirements
[31] ISO 13849-1:2015, Safety of machinery - Safety-related parts of control systems - Part 1: General principles for design
[32] ISO 13849-2, Safety of machinery - Safety-related parts of control systems - Part 2: Validation
[33] EN 1993-1-6:2007, Design of steel structure - Part 1-6: strength and stability of shell structure
[34] IEA Recommendation 11, Wind speed measurement and use of cup anemometry, 1st Ed. 1999
[1] Hệ thống tiêu chuẩn quốc gia đã có một số phần của bộ TCVN 6627 (IEC 60034)
[2] Hệ thống tiêu chuẩn quốc gia đã có một số phần của bộ TCVN 6306 (IEC 60076)
[3] Hệ thống tiêu chuẩn quốc gia đã có một số phần của bộ TCVN 7921 (IEC 60721).
[4] Hệ thống tiêu chuẩn quốc gia đã có TCVN 10687-3-1 (IEC 61400-3-1) và TCVN 10687-3-2 (IEC 61400-3-2).
[5] Hệ thống tiêu chuẩn quốc gia đã có một số phần của bộ TCVN 13724 (IEC 61439).
[6] Hệ thống tiêu chuẩn quốc gia đã có một số phần của bộ TCVN 8096 (IEC 62271).
[7] Wake: vùng không gian phía sau rotor, nơi luồng gió đã bị giảm vận tốc và gia tăng nhiễu loạn.
[8] Một cấp tuabin sử dụng ví dụ tốc độ gió trung bình hàng năm của cấp II và loại nhiễu động B cùng với tốc độ gió tham chiếu của cấp T được gọi là cấp IIB,T.
[9] Các giá trị thực tế có thể phụ thuộc vào sự lựa chọn của mô hình nhiễu động và các yêu cầu trong b).
[10] Độ lệch chuẩn nhiễu động cho mô hình gió cực trị nhiễu động không liên quan đến mô hình nhiễu động bình thường (NTM) hoặc mô hình nhiễu động cực trị (ETM). Mô hình gió cực trị tĩnh có liên quan đến mô hình gió cực trị nhiễu động qua một hệ số đỉnh khoảng 3,5.
[11] Độ lớn của gió giật được hiệu chỉnh, cùng với xác suất của một sự kiện vận hành như khởi động và dừng lại, để có chu kỳ lặp lại là 50 năm.
[12] Sáu giờ hoạt động được cho là tương ứng với thời gian của phần nghiêm trọng nhất của cơn bão.
[13] Nói chung, độ phân giải 2 m/s được coi là đủ. Tuy nhiên, trong khoảng tốc độ gió mà đường cong công suất tăng nhanh, bước 2 m/s có thể quá lớn để đảm bảo độ chính xác.
[14] Nếu không có dữ liệu/thông tin liên quan, có thể áp dụng các tần suất/thời gian dưới đây cho các sự kiện được liệt kê dưới đây:
• 10 lần dừng máy mỗi năm cho sự kiện quá tốc độ,
• 24 h vận hành mỗi năm cho các sự kiện có sai số góc xoay,
• 24 h vận hành mỗi năm cho các sự kiện có sai số góc nghiêng,
• 20 lần mỗi năm với mất kết nối lưới điện.
[15] Các tình huống duy trì vận hành ở chế độ điện áp thấp thường được các công ty điện lực xác định là các tình huống nhiễu lưới điện hoặc lỗi lưới điện mà tuabin gió có thể xử lý mà không cần dừng. Nguyên nhân dẫn đến nhu cầu vượt qua điện áp thấp là do nếu các tuabin gió (đặc biệt là ở các trang trại gió) dừng hoạt động thì có thể dẫn đến sập lưới điện.
[16] Nếu không có dữ liệu lịch sử về quá trình khởi động các tuabin gió tương tự thì có thể giả định tần suất hàng năm đối với DLC 3.1 như sau:
• 1 000 lần khởi động ở tốc độ gió Vin,
• 50 lần khởi động tại Vr và
• 50 lần khởi động ở tốc độ gió khởi động tối đa.
[17] Nếu không có dữ liệu lịch sử về quá trình khởi động các tuabin gió tương tự thì có thể giả định tần suất hàng năm đối với DLC 4.1 như sau:
• 1 000 lần dừng tại Vin,
• 50 lần dừng tại Vr và
• 50 lần dừng tại Vout.
[18] Hướng dẫn về tải trọng của tháp từ dao động do xoáy gây ra có thể có trong TCVN 10687-6 (IEC 61400-6).
[19] Về độ phân giải không gian, khoảng cách tối đa giữa các điểm liền kề nên nhỏ hơn 25 % của Ʌ1, (Công thức (5)) và không lớn hơn 15 % của đường kính rôto. Khoảng cách này được tính là khoảng cách chéo giữa các điểm trong mỗi ô lưới được xác định bởi bốn điểm. Trong trường hợp lưới không đồng đều, giá trị trung bình trên bề mặt rôto của khoảng cách giữa các điểm lưới có thể được xem như là độ phân giải không gian đại diện, nhưng khoảng cách này thường giảm dần về phía đầu cánh.
[20] Hệ số an toàn từng phần cho độ bền γM có thể được bao gồm như một hệ số an toàn từng phần liên quan đến độ không đảm bảo trong các tham số vật liệu và một hệ số an toàn từng phần liên quan đến độ không đảm bảo trong mô hình độ bền, xem Phụ lục K
[21] Phụ lục K cung cấp hướng dẫn về việc hiệu chỉnh các hệ số an toàn từng phần cho vật liệu.
[22] Tải trọng căng trước và tải trọng trọng lực mà giảm đáng kể đáp ứng tải tổng cộng được coi là tải trọng thuận lợi. Trong trường hợp cả tải trọng thuận lợi và bất lợi, Công thức (32) trở thành:
[23] Các tham số độ bền đặc trưng có thể được chọn là phân vị 95 % sử dụng phương pháp Bayesian, xem Phụ lục K và ISO 2394. Các tham số độ bền đặc trưng nên được chọn là phân vị 95 % (được xác định với độ tin cậy 75 %) hoặc giá trị chứng nhận cho các vật liệu có quy trình kiểm tra mẫu đại diện đã được thiết lập.
[24] Các công thức tham số dựa trên lý thuyết màng trong Eurocode 3 Phần 6 (EN 1993-1-6:2007) dành cho hiện tượng vỏ bị cong áp dụng cho các tháp thép dạng ống có tỷ lệ D/t < 300 bao gồm một độ lệch có thể được xử lý bằng cách giảm γM cho hiện tượng cong xuống còn 1,1.
[25] Độ bền mỏi được định nghĩa ở đây là các phạm vi ứng suất liên quan đến số chu kỳ nhất định
[26] Đánh giá rủi ro có thể dẫn đến các yêu cầu về chức năng bổ sung của hệ thống điều khiển cần thiết để đảm bảo an toàn cho nhân sự. Các chức năng này nên được thiết kế và đánh giá theo các phương pháp và nguyên tắc thiết kế được công nhận, ví dụ như các tiêu chuẩn được quy định trong ISO 13849 hoặc IEC 62061.
[27] ISO 12100:2010, mục 6.2.11 và 6.2.12 cung cấp hướng dẫn về việc áp dụng các biện pháp thiết kế an toàn tự nhiên cho các hệ thống điều khiển.
[28] Các kiến trúc đa kênh bao gồm nhưng không giới hạn ở việc sử dụng độ dư thừa. Một kênh chức năng đơn lẻ với độ bao phủ chẩn đoán cao được cung cấp bởi một kênh kiểm tra riêng biệt có thể đủ nếu thời gian trung bình đến lỗi nguy hiểm là đủ cao. Kiến trúc được chỉ định cho các hệ thống loại 2 theo tiêu chuẩn ISO 13849-1 tạo thành kiến trúc như vậy.
[29] ISO 13849-1 có thể được sử dụng để đánh giá liệu các biện pháp chống lại các lỗi do nguyên nhân chung có đủ hay không.
[30] Các loại trừ lỗi được mô tả trong các tiêu chuẩn như ISO 13849-2. Đối với các thành phần cơ khí, các loại trừ lỗi liên quan đến các thành phần “tuổi thọ an toàn.”
[31] Xem IEC 61508-6 hoặc IEC 62061 để biết các phương pháp thích hợp để chứng minh tỷ lệ lỗi, ví dụ như cây lỗi, mô hình Markov, v.v. Ngoài ra, ISO 13849-1 cung cấp các phương pháp đơn giản hóa để đánh giá tỷ lệ lỗi, bao gồm các giá trị chung cho các thành phần.
[32] Các biện pháp để tránh hỏng hóc hệ thống và hỏng hóc phần mềm được đề cập trong 6.4, 6.10 và 6.11 của IEC 62061:2005, IEC 62061:2005/AMD1:2012 và IEC 62061:2005/AMD2:2015, hoặc 4.6, Phụ lục G và Phụ lục J của ISO 13849-1:2015.
[33] Yêu cầu này đặc biệt quan trọng khi chọn loại dừng 1 (dừng có kiểm soát).
[34] Quy trình khởi động lại cần xem xét lý do tại sao tuabin dừng hoạt động để đảm bảo rằng việc khởi động lại tuabin là an toàn. Ví dụ, việc khởi động lại có thể không được coi là an toàn nếu không thực hiện kiểm tra nếu tuabin đã bị dừng do sốc cơ học quá mức.
[35] Các cân nhắc bổ sung được nêu trong IEC 61400-24:2010, Điều 9.
[36] Cần xem xét độ dài của cáp nối liên kết, dạng sóng điện áp truyền động, việc sử dụng ổ trục cách điện và cách bố trí nối đất trục.
[37] Nếu CCT nhỏ hơn 1, thì CCT = 1,0 phải được sử dụng.
[38] Các hệ số an toàn từng phần tải cho DLC 6.1 và DLC 6.2 được suy ra bằng cách giả định rằng hệ số biến thiên của tốc độ gió cực đại hàng năm (COV) nhỏ hơn 15 %. Nếu COV lớn hơn 15%, chúng có thể được tăng theo tuyến tính bởi một hệ số ƞ từ 1,0 khi COV = 15 % đến 1,15 khi COV = 30 %. Nếu ƞ > 1,0, một giá trị điều chỉnh của tốc độ gió trung bình cực trị trong 10 phút V50 = có thể được sử dụng trong việc đánh giá tính toàn vẹn kết cấu, xem 11.9 và 11.10. COV của tốc độ gió cực đại hàng năm có thể được ước lượng gần đúng bằng cách giả định phân phối Gumbel và giả định rằng ví dụ như các giá trị gió với chu kỳ lặp lại 50 năm và 100 năm, V50 và V100, có sẵn. Các tham số a và b được xác định từ:
COV được xác định từ
[39] Độ lệch chuẩn của gió môi trường cực trị ^s1,ETM có thể được xác định bằng phương pháp ngoại suy phù hợp, ví dụ như phương pháp IFORM, hoặc ước lượng bằng cách:
[40] Các giá trị trượt gió có biến động cao đã được báo cáo ở một số khu vực liên quan đến luồng gió phân lớp mạnh, địa hình phức tạp hoặc sự thay đổi độ gồ ghề nghiêm trọng. Trong trường hợp này, việc sử dụng trượt gió trung bình có thể không đủ.
[41] IEC 61400-12-1 và Khuyến nghị 11 của IEA minh họa các hướng dẫn thực hành tốt nhất cho việc lắp đặt và thiết lập thiết bị đo.
[42] Nhà thiết kế tuabin có thể cần xem xét các điều kiện tương thích với lưới điện. Danh sách này đại diện cho một tập hợp các yêu cầu tối thiểu. Các yêu cầu tương thích với lưới điện địa phương và quốc gia cần được dự đoán ở giai đoạn thiết kế.
[43] Vế phải của Công thức (38) đại diện cho một ước lượng của phân vị 90 %.
[44] Khối lượng riêng của không khí 1,3 kg/m3 có thể phù hợp hơn đối với các địa điểm ở mực nước biển
• Đáp ứng không thuận lợi của bộ điều khiển tuabin, ví dụ, do mô-men xoắn của máy phát và các thiết lập góc cánh không chính xác gây ra bởi hiệu suất khí động học khác nhau của cánh;
• Tăng số chu kỳ khởi động và dừng;
• Thay đổi trong đáp ứng thất tốc của cánh tuabin;
• Thay đổi tần số riêng do khối lượng băng bổ sung trên cánh.
[45] Nhiệt độ tối thiểu và các trường hợp tải tương ứng cho các thành phần không tiếp xúc với điều kiện môi trường phải được nhà sản xuất xác định.
[46] Giá trị nhiệt độ θ1year,min có thể được đạt thành θ1year,min + 35 K và θmin,operation có thể được đạt thành θmin,operation + 25 K để xác định khối lượng riêng của không khí tương ứng. Sự gia tăng này là +35 K và +25 K, tương ứng, tương đương với các định nghĩa về điều kiện khí hậu bình thường trong 6.4.2 và 6.4.3.2. Khối lượng riêng của không khí tiêu chuẩn cho điều kiện khí hậu bình thường là 1,225 kg/m3 tham chiếu ở +15 °C. Phạm vi nhiệt độ môi trường cho khí hậu bình thường là -10 °C đến +40 °C, tương ứng với +15 °C ± 25 K. Phạm vi nhiệt độ cực trị cho khí hậu bình thường là -20 °C đến +50 °C, tương ứng với +15 °C ± 35 K
[47] Nhìn chung, độ phân giải 2 m/s được coi là đủ.
[48] Đối với thiết kế cấp S, các điều kiện gió (biên độ gió giật, cường độ nhiễu động, v.v.) được xác định bởi nhà thiết kế, như đã nêu trong Phụ lục A.
[49] Đối với thiết kế cấp S, các điều kiện gió (biên độ gió giật, cường độ xoáy, v.v.) được xác định bởi nhà thiết kế, như đã nêu trong Phụ lục A.
[50] Các tỷ lệ phương sai thành phần nhiễu động trong Bảng C.1 và dạng công thức cho thành phần vận tốc lên trên có sự khác biệt so với mô hình phổ Kaimal gốc. Quy mô dọc đã được chọn đề xấp xỉ phổ Kaimal gốc và, đối với các quy mô bên và lên, để đáp ứng các yêu cầu phổ trong 6.3 cho phạm vi quán tính và các tỷ lệ phương sai được đưa ra trong bảng C.1.
[51] Trong trường hợp phân phối không đồng đều hoặc bố trí trang trại gió không theo lưới, công thức nên được điều chỉnh tương ứng, giữ nguyên khái niệm như trong Công thức (E.1) tổng quát hơn. cần xem xét từng tuabin lân cận ảnh hưởng đến gió, khu vực bị ảnh hưởng và xác suất xảy ra liên quan đến tốc độ gió trung bình ở chiều cao hub
[52] Tiêu chí này chỉ nên được đánh giá khi phân vị 84% lớn hơn nhiều so với 0. Ví dụ, mômen lật cánh xa khỏi tháp cho các phần ngoài cùng có thể gây vấn đề ở một số tốc độ gió nhất định; tức là tiêu chí nên được xử lý với một số phán đoán kỹ thuật nhất định.
[53] Để đơn giản hóa việc trình bày, ảnh hưởng của sự biến động trong mức tải trọng trung bình cho mỗi chu kỳ được bỏ qua. Hạn chế này sẽ được loại bỏ sau đó khi vấn đề về các mức trung bình thay đổi được giải quyết thông qua việc sử dụng một phạm vi chu kỳ tương đương.
[54] Xác suất lỗi và chỉ số độ tin cậy tương ứng là các giá trị ước lượng không nhất thiết đại diện cho tỷ lệ lỗi thực tế nhưng được sử dụng như các giá trị hoạt động cho mục đích hiệu chuẩn mã và so sánh mức độ tin cậy của các kết cấu.
[55] Ba mô hình sau đây tương ứng với các mô hình độ bền cơ bản trong các Eurocodes [2]
[56] Các hệ số an toàn từng phần trong bảng K.1 được hiệu chuẩn mà không tính đến độ thiên lệch b và với giá trị đặc trưng cho độ không đảm bảo của mô hình bằng 1.
[57] Lý do mà γM = 1,0 và γRM = 1,0 là vì hệ số an toàn từng phần cho độ bền trở nên độc lập với độ không đảm bảo của các tham số độ bền vi phân vị 5 % được sử dụng để xác định các giá trị đặc trưng bao phủ ảnh hưởng của độ không đảm bảo này. Giá trị đặc trưng của sự không chắc chắn của mô hình được định nghĩa là giá trị trung bình và do đó γδ phụ thuộc vào Vδ; Vδ nên được xác định từ các thử nghiệm, xem Điều K.12 (thiết kế hỗ trợ bởi thử nghiệm) hoặc từ tài liệu.
[58] Hệ số an toàn từng phần cho một thành phần thép với tiêu chí phá hủy do chảy trở thành γM = 1,1 sử dụng hệ số biến thiên cho độ bên kéo bằng 5 % và cho mô hình độ bền bằng 5 %, và độ thiên lệch bằng 1,1 (giới hạn chảy nhỏ hơn 90 % so với độ bền kéo hoặc nén).
Các công thức tham số dựa trên lý thuyết màng trong [6] cho sự biến dạng của vỏ áp dụng cho các tháp thép ống với D/t < 300 bao gồm một độ thiên lệch (đường cong biến dạng thiết kế là 85 % giá trị trung bình của các giá trị thực nghiệm) và độ không đảm bảo của mô hình với hệ số biến thiên bằng 13 % cho thấy rằng γM cho sự biến dạng trở thành 1,1.
[59] Hỏng do mỏi mỏi của các chi tiết hàn được xem xét trong Điều K.6. Các nguyên tắc tương tự có thể được áp dụng cho sự hỏng do mỏi của các chi tiết mỏi quan trọng khác được làm bằng các vật liệu khác như vật liệu composite và thép đúc, nơi giá trị trung bình của tải trọng mỏi có thể quan trọng.
[60] Các điều K.8 đến K.11 dựa trên ISO 2394:2015 [3] và EN 1990:2002 [2].
[61] Cần chú ý rằng một phần kết cấu có thể có nhiều chế độ hỏng cơ bản khác nhau.
[62] Việc áp dụng phân bố logarit chuẩn cho một số biến có lợi thế là không có giá trị âm, ví dụ như đối với các biến hình học và độ bền.
[63] Việc biết trước có thể đến từ việc đánh giá các thử nghiệm trước đó trong các tình huống tương tự. Tình huống "tương tự" cần được xác định bằng phán đoán kỹ thuật.
[64] Việc áp dụng phân bố logarit chuẩn cho một biến có lợi thế là không có giá trị âm.
[65] Mục đích là cải thiện hàm độ bền cho từng tập hợp con bằng cách phân tích từng tập hợp con sử dụng quy trình tiêu chuẩn. Nhược điểm của việc chia nhỏ kết quả thử nghiệm thành các tập hợp con là số lượng kết quả thử nghiệm trong mỗi tập hợp con có thể trở nên rất nhỏ.
[66] Giá trị của Vδ được ước lượng từ mẫu thử nghiệm đang xem xét.
[67] Thuật ngữ "đóng băng cánh quạt" được sử dụng trong tài liệu này thay vì thuật ngữ "đóng băng dụng cụ" thông thường vi "đóng băng cánh quạt" mô tà hiện tượng một cách chính xác hơn trong trường hợp băng ảnh hưởng đến cánh quạt của tuabin quay. Đối với cánh quạt của tuabin quay, tốc độ dòng chảy cao và độ rung của cánh quạt thường dẫn đến thời gian ủ và phục hồi ngắn hơn so với các dụng cụ đứng yên.
[68] Cần đặc biệt chú ý khảo sát độ cứng ngang (vuông góc với hướng gió chính) khác nhau và hệ số giảm chấn đặc biệt đối với nền móng. Những thay đổi trong các tính chất này có thể ảnh hưởng đáng kể đến ảnh hưởng của sự mất cân bằng khối lượng rôto.
Bạn chưa Đăng nhập thành viên.
Đây là tiện ích dành cho tài khoản thành viên. Vui lòng Đăng nhập để xem chi tiết. Nếu chưa có tài khoản, vui lòng Đăng ký tại đây!

