- Tổng quan
- Nội dung
- Tiêu chuẩn liên quan
- Lược đồ
- Tải về
Tiêu chuẩn TCVN 14157:2024 Viên đá tự nhiên lát ngoài trời
| Số hiệu: | TCVN 14157:2024 | Loại văn bản: | Tiêu chuẩn Việt Nam |
| Cơ quan ban hành: | Bộ Khoa học và Công nghệ | Lĩnh vực: | Xây dựng |
| Trích yếu: | Viên đá tự nhiên lát ngoài trời | ||
|
Ngày ban hành:
Ngày ban hành là ngày, tháng, năm văn bản được thông qua hoặc ký ban hành.
|
31/12/2024 |
Hiệu lực:
|
Đã biết
|
| Người ký: | Đang cập nhật |
Tình trạng hiệu lực:
Cho biết trạng thái hiệu lực của văn bản đang tra cứu: Chưa áp dụng, Còn hiệu lực, Hết hiệu lực, Hết hiệu lực 1 phần; Đã sửa đổi, Đính chính hay Không còn phù hợp,...
|
Đã biết
|
TÓM TẮT TIÊU CHUẨN VIỆT NAM TCVN 14157:2024
Nội dung tóm tắt đang được cập nhật, Quý khách vui lòng quay lại sau!
Tải tiêu chuẩn Việt Nam TCVN 14157:2024
TIÊU CHUẨN QUỐC GIA
TCVN 14157:2024
VIÊN ĐÁ TỰ NHIÊN LÁT NGOÀI TRỜI
Setts of natural stone for external paving - Requirements and test methods
Lời nói đầu
TCVN 14157:2024 xây dựng dựa trên cơ sở tham khảo BS EN 1342:2012.
TCVN 14157:2024 do Viện Vật liệu Xây dựng biên soạn, Bộ Xây dựng đề nghị, Tổng cục Tiêu chuẩn Đo lường Chất lượng thẩm định, Bộ Khoa học và Công nghệ công bố.
VIÊN ĐÁ TỰ NHIÊN LÁT NGOÀI TRỜI
Setts of natural stone for external paving - Requirements and test methods
1. Phạm vi áp dụng
Tiêu chuẩn này quy định các yêu cầu kỹ thuật và phương pháp thử tương ứng cho các loại viên đá lát tự nhiên dùng lát ngoài trời và hoàn thiện lề đường.
Sử dụng lát ngoài trời bao gồm tất cả các mặt lát điển hình của công trình đường bộ, như khu vực cho người đi bộ, khu vực đường giao thông, các quảng trường và các khu vực tương tự sử dụng trong điều kiện ngoài trời chịu sự tác động của các yếu tố thời tiết, như thay đổi nhiệt độ, mưa, băng, gió ...
Tiêu chuẩn này cũng quy định về ghi nhãn cho sản phẩm viên đá tự nhiên.
Tiêu chuẩn này cũng đề cập các đặc tính quan trọng cho thương mại.
2. Tài liệu viện dẫn
Các tài liệu viện dẫn sau là cần thiết khi áp dụng tiêu chuẩn này. Đối với các tài liệu viện dẫn ghi năm công bố thì áp dụng bản được nêu. Đối với các tài liệu viện dẫn không ghi năm công bố thì áp dụng phiên bản mới nhất, bao gồm các bản sửa đổi, bổ sung (nếu có).
EN 1926, Natural stone test methods - Determination of uniaxial compressive strength (Đá tự nhiên phương pháp thử - Xác định cường độ nén một trục)
EN 1936, Natural stone test methods - Determination of real density and apparent density, and of total and open porosity (Đá tự nhiên phương pháp thử - Xác định khối lượng riêng và khối lượng thể tích, độ xốp hở và tổng độ xốp)
EN 12371, Natural stone test methods - Determination of frost resistance (Đá tự nhiên phương pháp thử - Xác định độ bền băng giá)
EN 12407, Natural stone test methods - Petrographic examination (Đá tự nhiên phương pháp thử - Kiểm tra thạch học)
EN 12440, Natural stone - Denomination criteria (Đá tự nhiên - Tên gọi)
EN 13373:2003, Natural stone test methods - Determination of geometric characteristics on units (Đá tự nhiên phương pháp thử - Xác định đặc tính hình học).
EN 13755, Natural stone test methods - Determination of water absorption at atmospheric pressure (Đá tự nhiên phương pháp thử - Xác định độ hút nước tại áp suất khí quyển)
EN 14157, Natural stone test methods - Determination of the abrasion resistance (Đá tự nhiên phương pháp thử - Xác định độ chịu mài mòn)
EN 14231, Natural stone test methods - Determination of the slip resistance by means of the pendulum tester (Đá tự nhiên phương pháp thử-Xác định độ chống trượt bằng cách thức của thử nghiệm con lắc)
3. Thuật ngữ và định nghĩa
Trong tiêu chuẩn này, áp dụng các thuật ngữ và định nghĩa sau:
3.1
Viên đá lát tự nhiên (viên đá) (Sett)
Viên đá tự nhiên thu được bằng cách cắt hoặc xẻ dọc làm vật liệu lát, trong đó chiều rộng làm việc không lớn hơn hai lần chiều dày, và chiều dài không lớn hơn hai lần chiều rộng.
CHÚ DẪN 1: Chiều dày làm việc tối thiểu là 40 mm.
3.2
Kích thước làm việc (work dimension)
Kích thước xác định của một viên đá để sản xuất mà kích thước thực tế phải phù hợp với dung sai cho phép được quy định.
3.3
Kích thước thực tế (actual dimension)
Kích thước đo được của một viên đá.
3.4
Chiều dài tổng (overall length)
L
Chiều dài của hình chữ nhật nhỏ nhất bao phủ viên đá.
3.5
Chiều rộng tổng (overall width)
W
Chiều rộng của hình chữ nhật nhỏ nhất bao phủ viên đá.
3.6
Chiều dày (thickness)
T
Khoảng cách giữa bề mặt trên và bề mặt dưới của viên đá.
3.7
Mặt trên (upper face)
Bề mặt nhìn thấy được của viên đá khi gắn vào vị trí sử dụng.
3.8
Mặt dưới (bed face)
Bề mặt của viên đá tiếp xúc với vật liệu đệm dưới khi lắp đặt vào vị trí sử dụng.
3.9
Mặt bên (side face)
Bề mặt của một viên đá theo phương thẳng đứng khi gắn vào vị trí sử dụng.
3.10
Hoa văn bề mặt (textured)
Viên đá với bề mặt sau khi hoàn thiện được xử lý thứ cấp bằng cách cưa hoặc đục từ bề mặt.
3.11
Hoa văn tinh (fine textured)
Bề mặt gia công có chênh lệch độ cao giữa đỉnh lồi và đáy lõm không quá 1mm (ví dụ như đánh bóng, mài hoặc xẻ bằng dao hoặc lưỡi cắt kim cương).
3.12
Hoa văn thô (coarse textured)
Bề mặt gia công có chênh lệch độ cao giữa đỉnh lồi và đáy lõm lớn hơn 1mm (ví dụ như băm, bắn hoặc gia công nhiệt).
3.13
Chẻ (hewn)
Viên đá với bề mặt hoàn thiện gồ ghề (bề mặt được chẻ, tách, bửa).
3.14
Giá trị kỳ vọng thấp hơn (lower expected value)
EL
Giá trị tương ứng với phân vị 5% của phân bố logarit chuẩn cho một mức độ tin cậy 75%.
3.15
Giá trị kỳ vọng cao hơn (higher expected value)
EH
Giá trị tương ứng với phân vị 95% của phân bố logarit chuẩn cho một mức độ tin cậy 75%.
4 Yêu cầu
4.1 Quy định chung
4.1.1 Tên gọi
Tên gọi được chỉ ra theo EN 12440 (bao gồm tên thương mại, họ thạch học, màu sắc đặc trưng và xuất xứ chính xác nhất có thể ví dụ tọa độ địa lý).
4.1.2 Sự đa dạng về tính chất cơ lý của đá tự nhiên
Nếu trong quá trình sản xuất viên bó vỉa có sử dụng các phương pháp gia công làm thay đổi tính chất cơ lý của đá (ví dụ xử lý hóa học, vá, điền đầy các lỗ rỗng, khuyết tật, vết nứt tự nhiên), thì phải công bố phương pháp đã sử dụng.
Ngoài ra, các mẫu để thử nghiệm phải là mẫu đại diện cho loại đá, loại sản phẩm và cách thức gia công.
4.2 Kích thước
4.2.1 Quy định chung
Kích thước làm việc của viên đá phải được công bố.
Kích thước giữa các mặt phải được công bố dưới dạng một kích thước danh nghĩa đơn nhất hoặc một khoảng kích thước danh nghĩa tối thiểu - tối đa, ví dụ: (100 - 200) mm.
Mỗi kích thước phải được đo theo EN 13373.
4.2.2 Dung sai
4.2.2.1 Các kích thước phẳng và chiều dày
Các kích thước phẳng và chiều dày của viên đá được đo theo 5.2 và 5.3, EN 13373: 2003, Sai lệch cho phép so với kích thước công bố phải phù hợp với dung sai quy định trong Bảng 1
Có thể công bố những sai lệch khác nhau của các kích thước phẳng và chiều dày.
Trừ khi có quy định khác, một lô hàng sẽ được dùng để lắp đặt thẳng hàng. Các kích thước phẳng và chiều dày của tất cả các viên đá trong một lô hàng, xác định theo 5.4, EN 13373: 2003, phải phù hợp với dung sai quy định trong Bảng 1.
Bảng 1: Dung sai đối với kích thước phẳng và chiều dày danh nghĩa
| Kích thước danh nghĩa |
| Loại 0 | Loại 1 | Loại 2 |
| ≤ 60 mm | Hoa văn bề mặt | Không yêu cầu | ± 7 mm | ± 5 mm |
|
| Chẻ | ± 10 mm | ± 7 mm | |
| > 60 mm ≤ 120 mm | Hoa văn bề mặt | ± 10 mm | ± 5 mm | |
|
| Chẻ | ± 15 mm | ± 10 mm | |
| > 120 mm | Hoa văn bề mặt | ± 10 mm | ± 7 mm | |
|
| Chẻ | ±15 mm | ± 12 mm |
Trong trường hợp lô hàng được thiết kế riêng để thi công theo cấu trúc hướng tâm hoặc vòm thì có thể có tỷ lệ nhất định theo thoả thuận những viên đá có kích cỡ lớn hơn, nhỏ hơn hoặc có dạng hình thang nhưng không vượt quá 10 % so với dung sai cho phép của kích thước
Khi kích thước giữa các mặt được công bố là một dải chiều dày danh nghĩa nhỏ nhất - lớn nhất, độ lệch phải năm trên các giới hạn của dải được công bố, đặc biệt khi áp dụng cho viên đá chẻ.
Trong mọi trường hợp chiều dày của viên đá phải được tuân thủ.
4.2.2.2 Mặt cắt cạnh bên
Khi đo theo 5.5, EN 13373: 2003, độ lệch của mặt cắt cạnh bên phải không vượt quá dung sai trong Bảng 2 so với độ vuông góc của mặt trên (xem Hình 1).

CHÚ DẪN
1 = mặt trên
2 = mặt bên
3 = mặt dưới
U = cắt lõm của mặt bên cạnh
O = cắt lồi của mặt bên cạnh
T = chiều dày
W = chiều rộng tổng
Hình 1 - Dung sai mặt cắt lõm và mặt cắt lồi
Bảng 2 - Dung sai mặt cắt cạnh bên
| Kích thước danh nghĩa | Loại 0 | Loại 1 | Loại 2 | ||
|
| Không yêu cầu | Tối đa một cạnh | Tổng tối đa | Tối đa một cạnh | Tổng tối đa |
| ≤ 60 mm | 10 mm | 20 mm | 5 mm | 10 mm | |
| > 60 mm ≤ 120 mm | 15 mm | 25 mm | 10 mm | 15 mm | |
| > 120 mm | 25 mm | 30 mm | 15 mm | 20 mm | |
4.2.2.3 Bề mặt chẻ và hoa văn thô không đều
Khi đo theo 5.3, EN 13373: 2003, độ lệch mặt trên và mặt cạnh chỗ lõm vào và lồi ra không được vượt quá dung sai cho trong Bảng 3.
Bảng 3 - Dung sai với bề mặt chẻ và hoa văn thô không đều
|
| Loại 0 | Loại 1 | Loại 2 |
| Chẻ | Không yêu cầu | ± 10 mm | ± 5 mm |
| Trang trí thô | ± 5 mm | ± 3 mm |
4.3 Độ bền băng giá
4.3.1 Đóng băng/tan băng trong điều kiện bình thường
Khi viên đá dự định được sử dụng trong khu vực yêu cầu bị đóng băng và tan băng, độ bền băng giá phải được xác định theo phương pháp thử trong EN 12371. Các kết quả phải trình bày và công bố là cường độ nén trung bình trước và sau 56 chu kỳ đóng băng/tan băng (phương pháp công nghệ).
Các hư hại do băng giá, mà đá tự nhiên có thể bị ảnh hưởng khi lắp đặt, tùy theo điều kiện khí hậu của nơi sử dụng, vị trí tương đối trong các công trình (để xác định mức độ bão hòa nước) và thời gian sử dụng dự kiến của công trình, số chu kỳ này phù hợp với từng dự án cụ thể và có thể định hướng lý giải các kết quả thử nghiệm. Việc lựa chọn đá phải tuân theo các vùng khí hậu và/hoặc các quy phạm xây dựng.
Đối với một số ứng dụng cụ thể, ví dụ ở các vị trí chịu nhiệt độ dưới -12°C, có thể sử dụng các quy trình thử nghiệm khác nhau, ví dụ: Đóng băng trong nước, đóng băng đến nhiệt độ thấp hơn, hoặc bao phủ mẫu bằng hạt silica đặc, hoặc số chu kỳ thử khác, ví dụ phương pháp xác định như mô tả trong EN 12371.
4.3.2 Đóng băng/tan băng khi có muối tan băng
Khi có yêu cầu, độ bền băng giá với sự ảnh hưởng của muối tan băng phải được xác định và công bố. Trong trường hợp không có phương pháp thử này, độ bền băng giá với sự ảnh hưởng của muối tan băng sẽ được xác định và công bố theo quy định quốc gia có hiệu lực tại nơi sử dụng của sản phẩm.
4.4 Cường độ phá vỡ - Cường độ nén
Cường độ nén phải được xác định theo phương pháp thử trong EN 1926 và giá trị kỳ vọng thấp hơn (EL) phải được công bố.
4.5 Độ chịu mài mòn
Độ chịu mài mòn phải được xác định theo phương pháp thử trong EN 14157 và giá trị kỳ vọng cao hơn (EH) phải được công bố.
4.6 Độ chống trơn và độ chống trượt
4.6.1 Độ chống trơn
Độ chống trơn của những viên đã phải được công bố tùy thuộc vào quy định hoặc khi có yêu cầu và khi độ nhám bề mặt đo theo 5.3, EN 13373: 2003, nhỏ hơn 1,0 mm.
Độ chống trơn được xác định và tính toán kết quả theo quy trình thử đối với cả hai điều kiện khô và ướt trong EN 14231. Thông thường, các viên đá thô và đá chẻ có độ chống trơn tốt, tuy nhiên điều này cần được kiểm chứng để xác thực.
Lưu ý rằng giá trị độ chống trơn của các viên đá khi được lát có thể khác với giá trị độ chống trơn được xác định trên từng viên đá hoặc mẫu thử nghiệm.
CHÚ THÍCH 2: Giá trị độ chống trơn không đánh bóng liên quan đến các viên đá được sản xuất và đảm bảo đủ độ chống trơn/trượt khi lắp đặt.
CHÚ THÍCH 3: Kinh nghiệm cho thấy một phép đo giá trị độ chống trơn không đánh bóng (USRV) đo được khi sử dụng phương pháp con lắc Anh đạt ở mức lớn hơn 35 trong điều kiện ẩm có thể chấp nhận sử dụng ở các bề mặt nằm ngang hoặc có độ dốc ở mức dưới 6%.
4.6.2 Độ chống trượt
Khi có yêu cầu, khả năng chống trượt phải được công bố.
Trong trường hợp không có phương pháp thử nghiệm, khả năng chống trượt có thể được xác định và công bố theo các quy định quốc gia có hiệu lực tại nơi sử dụng sản phẩm.
4.6.3 Độ bền của chống trơn hoặc chống trượt
Khi có yêu cầu, độ chống trượt phải được công bố.
4.7 Ngoại quan
4.7.1 Quy định chung
Màu sắc, vân, trang trí... của đá phải được xác định một cách trực quan, thông thường bằng một mẫu tham chiếu của cùng loại đá phù hợp để cung cấp mô tả chung về hình thức trực quan.
Mẫu tham chiếu được cung cấp bởi nhà cung cấp như 4.7.2.
4.7.2 Mẫu tham chiếu, kiểm tra trực quan và tiêu chí chấp nhận
Mẫu tham chiếu là tổ hợp một số viên đá mà đảm bảo đủ số lượng, kích cỡ để thể hiện được bề mặt khi hoàn thiện, chúng phải thể hiện đầy đủ các loại màu sắc, vân, cấu trúc vật lý và bề mặt hoàn thiện. Đặc biệt, mẫu tham chiếu phải thể hiện được các đặc tính của loại đá như lỗ, vân tinh thể, vệt vô định hình, vệt sắt.
Mẫu tham chiếu không nhất thiết phải đồng nhất với nhau và nguồn cung thực tế vì trong tự nhiên luôn có sự biến đổi. Nếu quá trình sản xuất đá sử dụng các loại vữa vá, hồ vá, chất điền đầy hay các hợp chất tương tự cho các loại lô, khuyết tật và vết nứt, thì mẫu tham chiếu cũng phải thể hiện tương đồng tác động như trên bề mặt hoàn thiện. Các đặc tính của mẫu tham chiếu được coi là đặc tính điển hình của loại đá đó, không kể các khuyết tật trừ khi chúng tập trung thành cụm và làm mất các đặc trưng của loại đá.
Các thông tin về nhà sản xuất, cung cấp đá, tên gọi của đá theo 4.1 và cách gia công xử lý theo 4.1.2 ở trên phải được chỉ ra rõ ràng trên mẫu tham chiếu.
Khi so sánh mẫu sản phẩm và mẫu tham chiếu thì cần đặt cạnh nhau quan sát ở khoảng cách 2 m trong điều kiện ánh sáng ban ngày. Ghi lại tất cả những khác biệt giữa chúng.
4.8 Độ hút nước
Khi có yêu cầu, độ hút nước được thử theo EN 13755 và phải công bố giá trị kỳ vọng cao hơn (EH).
4.9 Khối lượng thể tích và độ xốp hở
Khối lượng thể tích và độ xốp hở được thử theo EN 1936 và công bố giá trị trung bình.
4.10 Mô tả thạch học
Các mô tả thạch học phải chỉ rõ tên đá, loại đá theo EN 12407.
5 Ghi nhãn và đóng gói
Để nhận dạng thì trên bao gói sản phẩm viên đá phải có tối thiểu các thông tin sau:
a) Tên gọi của đá tự nhiên theo EN 12440 (xem 4.1.1);
b) Số lượng và kích thước viên đá.
Các thông tin nên có:
c) Khối lượng viên đá;
d) Kích thước và khối lượng đóng gói.
Những thông tin trên cần có trên nhãn dán, lô đóng gói và trên các hồ sơ đi kèm.
Các thông tin nhận biết này có thể dùng để đặt hàng cho từng loại viên đá; trong trường hợp như vậy từng loại đá được ghi nhãn rõ ràng. Các nhãn dán thường có số, mã (ví dụ: khi chỉ định hướng ưu tiên cho việc lắp đặt).
Đá phải sạch trước khi đóng gói.
Các bao gói phải vừa vặn, cứng, bền để đóng gói đá. Để ngăn ngừa sự di chuyển của đá trong khi vận chuyển và lưu kho, cần cố định từng viên đá riêng biệt.
Các bao gói phải có khối lượng và kích cỡ phù hợp để vận chuyển, ghi rõ đầu trên và đầu dưới.
Phải đảm bảo quá trình đóng gói không làm bám bẩn viên đả. Không sử dụng bao bì và băng dính gây vết bẩn trên viên đá. Bề mặt đánh bóng cần được bảo vệ bằng phoi nhựa, không sử dụng sản phẩm có thành phần chứa chất ăn da.
Phụ lục A
(Tham khảo)
Hướng dẫn lấy mẫu
A.1 Quy định chung
Phụ lục này hướng dẫn cách lấy mẫu từ mỏ đá, nhà máy và công trường thi công nếu trường hợp công trường sử dụng trực tiếp đá tự nhiên do nhà cung cấp mang đến.
Mục đích của việc lấy mẫu là đảm bảo mẫu thu được mẫu đại diện cho các tính chất trung bình của lô và sự biến đổi của chúng.
Mẫu được lấy thủ công. Cách này thì bị giới hạn khi lấy mẫu ở công trường hoặc công trình xây dựng dân dụng.
Người lấy mẫu phải được đào tạo và am hiểu tiêu chuẩn này.
Trong trường hợp có tranh chấp hoặc mẫu được thử nghiệm bởi nhiều hơn một tổ chức thì các bên liên quan phải cùng giám sát lấy mẫu và thống nhất số lượng mẫu cần lấy.
A.2 Nguyên tắc lấy mẫu
Lấy mẫu và vận chuyển mẫu chính xác, cẩn thận đảm bảo độ tin cậy của kết quả thử nghiệm, số lượng mẫu phải đủ nhiều để đại diện tốt cho sự không đồng nhất trong tự nhiên của lô.
Người lấy mẫu phải được thông tin về mục đích của việc lấy mẫu.
A.3 Mẫu đại diện
Số lượng và cỡ mẫu phụ thuộc vào phương pháp thử lựa chọn, số lượng và hình dạng được quy định trong các phương pháp thử tương ứng.
A.4 Chuẩn bị kế hoạch lấy mẫu
Cần lên kế hoạch lấy mẫu trước, cần xem xét các yếu tố sau:
- Loại đá (theo EN 12440 và EN 12670);
- Mục đích lấy mẫu, bao gồm các chỉ tiêu thử nghiệm;
- Điểm lấy mẫu;
- Định hướng lấy mẫu phù hợp với nguồn đá hoặc lớp đá;
- Kích thước tương đối của mẫu;
- Số lượng mẫu;
- Dụng cụ lấy mẫu;
- Phương pháp lấy mẫu;
- Ghi nhãn, đóng gói và vận chuyển mẫu.
A.5 Dụng cụ lấy mẫu
Dụng cụ là các máy cưa cắt, khoan sao cho phù hợp với mẫu cần lấy.
A.6 Phương pháp lẫy mẫu
A.6.1 Quy định chung
Phương pháp lấy mẫu bao gồm cả quy tắc cho người lấy mẫu tại mỏ đá, nhà máy hoặc công trình xây dựng. Nguyên tắc là đảm bảo an toàn và dễ dàng.
A.6.2 Lấy mẫu tại mỏ
A.6.2.1 Quy định chung
Mục tiêu chính của lấy mẫu tại mỏ là có thể thu được mẫu trung bình, thể hiện sự đa dạng và những khác biệt về cấu trúc và tính chất của đá, có tính đến các yếu tố kết cấu của đá, cấu trúc địa chất và điều kiện khai thác.
A.6.2.2 Lấy mẫu đá cứng
a) Xác định tính dị hướng và định hướng của mẫu
Nếu việc khảo sát mỏ trước đó đã ghi nhận kết cấu của đá và cấu trúc địa chất mà những thông tin này không nhất định thể hiện trên trên quy mô mẫu (ví dụ phân tầng, phân vỉa lớn, phân tấm, cát khai hoặc đứt gãy), thì mẫu phải được ghi nhãn theo kết quả khảo sát.
b) Lấy mẫu phân tích thạch học
Để phân tích thạch học, các mẫu thử thủ công phải được lấy từ tất cả loại và biến thể đặc trưng cho thành phần khoáng, kết cấu của đá, và cấu trúc địa chất
Có thể lấy mẫu bằng cách khoan.
Ngoài các mẫu đá chưa phong hoá, cần lấy cả mẫu thể hiện được tác động của sự phong hoá.
c) Lấy mẫu kiểm tra tính chất cơ lý
Để thử nghiệm tính chất cơ lý, sử dụng các mẫu thử là đá dạng khối hoặc dạng cục. số lượng và vị trí phụ thuộc kết quả phân tích thạch học và phương pháp thử.
Đá dạng khối phải có kích thước khoảng 0,40 m x 0,25 m x 0,25 m hoặc lớn hơn nếu đá có cấu trúc hạt thô hoặc lỗ rỗng lớn.
Các khối mẫu phải được tách ra cẩn thận. Vì vậy khuyến nghị lấy mẫu từ những tảng lớn ít chịu tác động của việc nổ mìn. Khi tách mẫu cần cẩn thận để các khối mẫu và cục mẫu không bị nứt tóc.
Mẫu còn có thể được cắt từ các khối, tấm đá. số lượng và kích cỡ phụ thuộc vào phương pháp thử.
A.6.3 Lấy mẫu từ nơi sản xuất và bán hàng.
Mẫu đại diện phải phù hợp với kích cỡ và đặc tính của loại đá về thành phần khoáng, kết cấu và cấu trúc địa chất, được lấy từ sản phẩm sau gia công (tấm đá lát đá định sẵn kích cỡ...) và xem xét đến cả mục đích sử dụng.
A.6.4 Lấy mẫu từ công trình xây dựng
Điểm lấy mẫu được lựa chọn theo nguyên tắc lấy mẫu đại diện, lưu ý những sai khác nhỏ nhất quan sát bằng mắt thường. Nếu cần cho phép lấy từng mẫu riêng lẻ có tính chất cơ lý phù hợp.
Vị trí lấy mẫu tại công trình phải nêu trong báo cáo.
A.7 Ghi nhãn, đóng gói và vận chuyển mẫu
Mẫu hoặc thùng chứa mẫu phải có nhãn ghi rõ ràng và chắc chắn, bao gồm các thông tin sau:
a) mã hiệu hoặc
b) định danh mẫu phòng thí nghiệm, nơi lấy mẫu, ngày lấy mẫu và tên gọi loại mẫu.
Các mẫu được đóng gói và vận chuyển cẩn thận để tránh các va chạm làm hư hỏng mẫu.
A.8 Báo cáo lấy mẫu
A.8.1 Người lấy mẫu phải chuẩn bị một báo cáo lấy mẫu cho từng mẫu phòng thí nghiệm hoặc từng nhóm mẫu phòng thí nghiệm khi lấy mẫu từ một nguồn. Báo cáo lấy mẫu phải nêu tên tiêu chuẩn này và bao gồm các thông tin sau:
a) Số hiệu báo cáo;
b) Ký hiệu định danh mẫu phòng thí nghiệm;
c) Ngày và nơi lấy mẫu;
d) Điểm lấy mẫu hoặc lô lấy mẫu;
f) Kế hoạch lấy mẫu theo A.4;
g) Tên người lấy mẫu.
A.8.2 Tùy vào từng trường hợp, có thể đưa thêm các thông tin liên quan khác. Bảng A.1 là ví dụ về một báo cáo lấy mẫu toàn diện:
Bảng A.1 - Ví dụ về một báo cáo lấy mẫu
| Số hiệu báo cáo: | |
| Ký hiệu định danh mẫu phòng thí nghiệm: |
|
|
| Số đóng gói: |
Miêu tả về phương pháp lấy mẫu
| Tên mỏ đá, nhà máy hoặc công trình: |
| Tên nhà sản xuất: |
| Nguồn gốc lô: |
| Mục đích sử dụng của đá: |
| Vị trí lấy mẫu: |
| Tên lô, kích cỡ lô: |
| Những thông tin khác: |
| Ngày, giờ lấy mẫu: |
| Kế hoạch lấy mẫu: |
| Phương pháp, dụng cụ lấy mẫu: |
| Mục đích lấy mẫu |
Mẫu
| Số và kích thước mẫu: |
| Thông tin khác: |
| Hình thức vận chuyển: |
| Người lấy mẫu: (ký tên) |
Thông tin hợp đồng
| Mã hợp đồng: |
| Tên và địa chỉ cơ quan yêu cầu lấy mẫu: ................................................ ............................................................................................................... |
| Tên cá nhân có mặt khi lấy mẫu: ............................................................. ............................................................................................................... |
| Chữ ký: .................................................................................................. ................................................................................................................ |
Phụ lục B
(tham khảo)
Ví dụ về tính toán giá trị kỳ vọng thấp hơn
B.1 Tổng quan
Phụ lục này hướng dẫn tính toán giá trị kỳ vọng thấp hơn (EL).
B.2 Ký hiệu và định nghĩa.
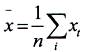
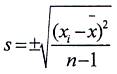
| Giá trị đo | X1, X2, ... Xi, ..., Xn |
| Số giá trị đo | n |
| Giá trị trung bình |
|
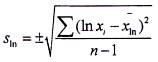
| Độ lệch chuẩn |
|
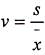
| Hệ số biến động |
|
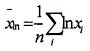
| Trung bình logarit |
|
| Độ lệch tiêu chuẩn logarit |
|
Giá trị lớn nhất Max
Giá trị nhỏ nhất Min
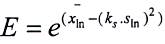
Giá trị kỳ vọng thấp hơn
ở đây ks là hệ số phân vị cho ở Bảng B.1
Hệ số phân vị ks xem bảng C.1
B.3 Tính toán giá trị kỳ vọng thấp hơn
Tính toán giá trị kỳ vọng thấp hơn (EL) bằng một phân phối thông thường logarit. Giá trị kỳ vọng thấp hơn tương ứng với 5 % điểm vi phân của phân phối thông thường logarit với hệ số tin cậy là 75%,
Bảng B.1 - hệ số phân vị phụ thuộc vào số lượng giá trị đo (n) tương ứng với 5% phân vị đối với mức tin cậy 75%.
| n | ks |
| 3 | 3,15 |
| 4 | 2,68 |
| 5 | 2,46 |
| 6 | 2,34 |
| 7 | 2,25 |
| 8 | 2,19 |
| 9 | 2,14 |
| 10 | 2,10 |
| 15 | 1,99 |
| 20 | 1,93 |
| 30 | 1,87 |
| 40 | 1,83 |
| 50 | 1,81 |
|
|
|
| ∞ | 1,64 |
| hệ số phân vị phụ thuộc số lượng giá trị đo (n) và tương ứng với phân vị 5% đối với mức tin cậy 75%. | |
Ví dụ dưới đây minh họa cho phương pháp tính:
Ví dụ 1:
tính toán giá trị trung bình, độ lệch chuẩn, giá trị lớn nhất và giá trị nhỏ nhất của 6 giá trị đo.
Bảng B.2 - Tính toán giá trị trung bình và độ lệch chuẩn
| số thứ tự phép đo | giá trị đo X |
| 1 | 2000 |
| 2 | 2150 |
| 3 | 2200 |
| 4 | 2300 |
| 5 | 2350 |
| 6 | 2400 |
|
| -------- |
| Giá trị trung bình | 2233 |
| Độ lệch chuẩn | 147 |
| Giá trị lớn nhất | 2400 |
| Giá trị nhỏ nhất | 2000 |
Ví dụ 2:
tính toán giá trị trung bình, độ lệch chuẩn, hệ số biến động và giá trị kỳ vọng thấp của 10 giá trị đo
Bảng B.3 - Tính toán giá trị kỳ vọng thấp hơn
| số thứ tự phép đo | giá trị đo X | (In X) |
| 1 | 2000 | (7,60) |
| 2 | 2150 | (7,67) |
| 3 | 2200 | (7,70) |
| 4 | 2300 | (7,74) |
| 5 | 2350 | (7,76) |
| 6 | 2400 | (7,78) |
| 7 | 2600 | (7,92) |
| 8 | 2750 | (7,97) |
| 9 | 2900 | (8,06) |
| 10 | 3150 |
|
|
| --------- | ---------- |
| Giá trị trung bình | 2480 | (7,807) |
| Độ lệch chuẩn | 363 | (0,143) |
| Hệ số biến động | 0,15 |
|
Từ Bảng B.1 có n = 10 thì ks = 2,1 và giá trị kỳ vọng thấp hơn là 1819.
Phụ lục C
(tham khảo)
Đánh giá sự phù hợp
C.1 Quy định chung
Sự phù hợp của sản phẩm (ví dụ viên đá tự nhiên) theo các yêu cầu của tiêu chuẩn này và tính năng đã công bố (ví dụ như các giá trị, các loại) đối với các đặc tính liên quan đến mục đích sử dụng của sản phẩm phải được thể hiện bằng:
a) Kiểm tra đại diện ban đầu.
b) Kiểm soát sản xuất tại nhà máy của nhà sản xuất, bao gồm đánh giá sản phẩm.
Với mục đích kiểm tra, các sản phẩm có thể được nhóm lại thành các họ sản phẩm, trong đó các kết quả cho một hoặc nhiều đặc tính từ bất kỳ sản phẩm nào trong họ được coi là đại diện cho các đặc tính giống nhau đối với tất cả các sản phẩm trong họ đó.
Một sản phẩm có thể ở nhiều hơn một họ với các đặc tính khác nhau.
C.2 Kiểm tra đại diện ban đầu (ITT) và kiểm tra đại diện (TT)
Kiểm tra đại diện ban đầu và kiểm tra đại diện, nếu có, sẽ được thực hiện cho tất cả các đặc tính trong tiêu chuẩn này mà các tính năng sản phẩm đã công bố:
- Khi một đại diện sản phẩm mới được phát triển (và trước khi đưa ra thương mại) hoặc
- Khi bắt đầu một phương pháp sản xuất mới hoặc được sửa đổi, điều này có thể ảnh hưởng đến các tính năng đã công bố.
Các tính năng được công bố nên đại diện cho sản xuất hiện tại, ví dụ: Giá trị kỳ vọng thấp hơn trong sản xuất bình thường.
Bất cứ sự thay đổi đáng kể nào xảy ra trong nguyên liệu thô hoặc quy trình sản xuất, có thể thay đổi tính năng đã công bố của sản phẩm, thì phải được coi là một sản phẩm mới và bất kỳ đặc tính nào như vậy phải được đánh giá lại cho một tính năng mới công bố.
Cần tham khảo các tiêu chuẩn phương pháp thử để cho phép lựa chọn mẫu đại diện phù hợp.
Tất cả các đặc tính cần thiết, được in trong Bảng C.1, mà nhà sản xuất công bố tính năng, là đối tượng kiểm tra đại diện ban đầu.
Ngoài ra, cận thực hiện thử nghiệm đại diện áp dụng cho tất cả các đặc tính khác trong Bảng C.1, khi nhà sản xuất yêu cầu tuân thủ, trừ khi tiêu chuẩn đưa ra các điều khoản (ví dụ như sử dụng dữ liệu đã có trước đó, phân loại mà không cần thử nghiệm thêm (CWFT) và tính năng chấp nhận theo quy ước) để công bố tính năng mà không thực hiện các thử nghiệm.
Kiểm tra đại diện ban đầu của sản phẩm, như được đưa ra trong Bảng C.1, phải được thực hiện trên:
- Lần đầu tiên áp dụng tài liệu này hoặc khi bắt đầu sản xuất với một đại diện loại đá mới;
- Khi có sự khác biệt đáng kể trong vật liệu, được xác định bằng mắt hoặc những thay đổi đáng kể trong kết quả kiểm soát sản xuất nhà máy (FPC).
Những thử nghiệm trước được thực hiện theo các quy định của tài liệu này (Ví dụ: cùng loại đá, cùng đặc tính được xác định bằng phương pháp thử, cùng một quy trình lấy mẫu và hệ thống chứng nhận sự phù hợp) có thể được tính đến cho mục đích của ITT.
Bảng C.1 - Đặc tính của viên đá lát tự nhiên dùng cho kiểm tra đại diện ban đầu và kiểm tra đại diện
| Yêu cầu Điều | Đặc tính (thuộc tính) | Phương pháp thử | Biểu thị kết quả |
| 4.4 | Cường độ phá hủy - Cường độ nén | EN 1926 | Giá trị công bố |
| 4.3.1 | Độ bền của cường độ nén chống lại sự đóng băng / tan băng - điều kiện bình thường | EN 12371 | 2 giá trị công bố |
| 4.3.2 | Độ bền của cường độ nén chống lại sự đóng băng / tan băng - muối tan băng | Xem 4.3.2 | Những giá trị công bố |
| 4.6.1 | Tính chất trơn - Chống trơn | EN 14231 | Giá trị công bố |
| 4.6.2 | Chống trượt | Xem 4.6.2 | Giá trị công bố |
| 4.6.3 | Độ bền chống trơn | Xem 4.6.3 | Giá trị công bố |
| 4.6.3 | Độ bền chống trượt | Giá trị công bố | |
| 4.2.2.1 | Dung sai - Kích thước thiết kế | EN 13373:2003, 5.2 | Bảng 1 và 2 |
| 4.2.2.1 | Dung sai - Chiều dày | EN 13373:2003, 5.2 | Bảng 3 |
| 4.2.2.2 | Dung sai - Bề mặt không đều | EN 13373:2003, 5.3 | 4.2.2.3 |
| 4.2.2.2 | Dung sai - cắt lõm | EN 13373:2003, 5.5 | Bảng 4 |
| 4.5 | Độ chịu mài mòn |
| Giá trị công bố |
| 4.8 | Độ hút nước | EN 13755 | Giá trị công bố |
| 4.9 | Mật độ biểu kiến và độ rỗng hở | EN 1936 | Giá trị công bố |
| 4.10 | Mô tả thạch học | EN 12407 | Mô tả công bố |
| 4.11 | Các chất nguy hại | Xem 4.11 | Công bố giá trị hoặc loại có liên quan |
Đánh giá sự tuân thủ nên được thực hiện cùng bằng một phương pháp (định danh hoặc công nghệ).
Các tính năng công bố có thể được hỗ trợ bởi báo cáo thử nghiệm với khối hoặc nguyên tấm thô ở điều kiện thử nghiệm đã được thực hiện theo các yêu cầu và phương pháp thử của tiêu chuẩn này.
Kết quả kiểm tra đã chọn phải được thể hiện như nêu tại Điều 4.
C.3 Kiểm soát sản xuất nhà máy
C.3.1 Một hệ thống kiểm soát sản xuất nhà máy (FPC) phải được thiết lập và lập hồ sơ. Hệ thống kiểm soát sản xuất nhà máy bao gồm các thủ tục kiểm soát nội bộ sản xuất. Các kết quả kiểm tra được thực hiện trong FPC phải chứng minh rằng các sản phẩm được đưa ra thương mại phù hợp với tài liệu này và các tính năng công bố đặc tính của sản phẩm được thiết lập theo ITT phù hợp với quy định tại Điều 4.
Trong trường hợp gia công đá tự nhiên làm thay đổi tính năng công bố, liên quan đến đá ban đầu (ví dụ như kết quả của kiểu chế biến hoặc thuộc tính vật lý thay đổi bởi cách ngâm tẩm, sử dụng miếng vá, chất độn hoặc các sản phẩm tương tự khác cho các lỗ tự nhiên, lỗi, vết nứt và tương tự), sau đó phải được xem xét trong FPC theo yêu cầu của tài liệu này.
C.3.2 Kiểm soát sản xuất của nhà máy bao gồm kiểm tra giám sát, kiểm tra định kỳ và sử dụng các kết quả kiểm soát nguyên liệu đầu vào (ví dụ: đá), thiết bị, quy trình sản xuất và sản phẩm.
Khi sử dụng các phép thử thay thế cho các phép thử tham chiếu thì mối tương quan giữa chúng phải được chỉ rõ và kiểm soát.
Tất cả các thiết bị thử nghiệm phải được hiệu chuẩn về quy trình, tần suất và tiêu chí chấp nhận được công bố.
C.3.3 Kế hoạch lấy mẫu cho thử nghiệm sản phẩm phải được xác định và kết quả phải được ghi lại để kiểm tra.
CHÚ THÍCH: Hướng dẫn lấy mẫu được nêu trong Phụ lục A.
C.3.4 Kiểm soát sản phẩm lưu kho, cùng với các quy trình xử lý các sản phẩm không phù hợp phải cụ thể.
C.3.5 Hồ sơ của nhà sản xuất phải bao gồm ít nhất các thông tin sau:
a) Nhận dạng sản phẩm thử nghiệm;
b) thông tin lấy mẫu:
1) Địa điểm và ngày lấy mẫu;
2) Nhận dạng lô sản phẩm lấy mẫu;
3) Tần suất lấy mẫu;
4) Kích thước và số lượng mẫu;
c) Phương pháp thử áp dụng;
d) Kết quả kiểm tra và giám sát;
e) Hồ sơ hiệu chuẩn của thiết bị.
5.3.6 Bất kỳ quy trình kiểm tra nào (tham khảo hoặc thay thế) được áp dụng cho FPC phải bao gồm các tiêu chí chấp nhận có liên quan. Trong trường hợp không tuân thủ, một kế hoạch cụ thể phải được xác định như là một phần của FPC. Theo quy định, kế hoạch này sẽ bao gồm việc lặp lại quy trình FPC trên một số lượng lớn mẫu hoặc sản phẩm. Trong trường hợp kết quả của các phép thử này không phù hợp với các tính năng đã công bố thì đánh giá cuối cùng về sự tuân thủ sẽ được áp dụng cùng phương pháp thử (nhận dạng hoặc công nghệ) sử dụng để xác định tính năng công bố và tham khảo ở Bảng C.2.
Bảng C.2 - Các đặc tính của viên đá lát tự nhiên cho việc kiểm soát sản xuất nhà máy
| Yêu cầu Điều khoản | Đặc tính (thuộc tính) | Xác minh quá trình sản xuất | Phương pháp thử | Tần suất thử nghiệm tối thiểu (xem 1 và 3 phía dưới) | Tiêu chí chấp nhận |
| 4.2.1 | Kích thước | Xác minh liên tục phù hợp với hệ thống kiểm soát nhà máy sản xuất của nhà sản xuất (xem 2 phía dưới) | EN 13373 | Mỗi lô | Trong phạm vi dung sai a |
| 4.2.2.1 | Dung sai - Kích thước thiết kế | EN 13373:2003, 5.2 | |||
| 4.2.2.2 | Dung sai - chiều dày | EN 13373:2003, 5.2 | |||
| 4.2.2.3 | Dung sai - Bề mặt không đều | EN 13373:2003, 5.3 | |||
|
| Dung sai - Cắt lõm | EN 13373:2003, 5.5 | |||
| 4.4 | Cường độ nén | EN 1926 | Định kỳ 2 năm một lần b | > 80% kết quả riêng biệt > giá trị công bố | |
| 4.8 | Độ hút nước | EN 13755 | |||
| 4.9 | Khối lượng thể tích và độ xốp hở | EN 1936 | Không yêu cầu | ||
| 4.3.1 | Độ bền băng giá trong điều kiện bình thường | EN 12371 | Định kỳ 10 năm một lần b | Trong phạm vi dung saia với 2 giá trị công bố | |
| 4.3.2 | Độ bền băng giá với sự có mặt của muối tan băng | Xem 4.3.2 | Trong phạm vi dung saia với giá trị công bố | ||
| 4.5 | Độ chịu mài mòn | EN 14157 | > 80% kết quả riêng biệt < giá trị công bố | ||
| 4.6.1 | Chống trơn | EN 14231 |
| ≥ giá trị công bố | |
| 4.6.2 | Chống trượt | Xem 4.6.2 | |||
| 4.6.3 | Độ bền chống trơn Độ bền chống trượt | Xem 4.6.3 |
| ||
| 4.10 | Mô tả thạch học | EN 12407 | Phù hợp với mô tả công bố | ||
| 4.11 | Chất nguy hại | Xem 4.11 | Kết quả riêng biệt phù hợp với giá trị công bố hoặc loại | ||
| 1) Tần suất thử nghiệm phải được thiết lập sao cho nó đại diện một phương thức để đảm bảo sự ổn định tính năng sản phẩm và công bố đáng tin cậy cho cả người sử dụng và nhà sản xuất. 2) Kiểm soát thử nghiệm đối với từng đặc tính này được thực hiện bằng cách sử dụng phương pháp thử nghiệm / kiểm tra gián tiếp thích hợp nhất, được quy định chi tiết trong kế hoạch kiểm soát chất lượng của nhà sản xuất đối với các thông số, được thiết lập theo ITT, Nếu có và liên quan đến việc thực hiện các đặc tính như vậy (ví dụ như nguyên liệu vào, thành phần). 3) Trong trường hợp gia công đá có thể thay đổi đặc tính của thành phẩm cuối cùng so với vật liệu ban đầu (ví dụ như kết quả của phương pháp gia công hoặc bởi việc sử dụng miếng vá, chất độn hoặc các sản phẩm tương tự khác cho các lỗ tự nhiên, lỗi, vết nứt và tương tự) thì điều này phải được xem xét khi xác định tần suất thử nghiệm. a Thường được đề cập đến trong điều khoản yêu cầu. b Những đại diện cho giới hạn trên của tần suất thử nghiệm (xem 1)). | |||||
Thư mục tài liệu tham khảo
[1] EN 12670, Natural stone - Terminology
Bạn chưa Đăng nhập thành viên.
Đây là tiện ích dành cho tài khoản thành viên. Vui lòng Đăng nhập để xem chi tiết. Nếu chưa có tài khoản, vui lòng Đăng ký tại đây!



