- Tổng quan
- Nội dung
- Tiêu chuẩn liên quan
- Lược đồ
- Tải về
Tiêu chuẩn TCVN 14133:2024 Kính xây dựng - Gương từ kính nổi tráng bạc sử dụng bên trong công trình
| Số hiệu: | TCVN 14133:2024 | Loại văn bản: | Tiêu chuẩn Việt Nam |
| Cơ quan ban hành: | Bộ Khoa học và Công nghệ | Lĩnh vực: | Xây dựng |
| Trích yếu: | Kính xây dựng - Gương từ kính nổi tráng bạc sử dụng bên trong công trình | ||
|
Ngày ban hành:
Ngày ban hành là ngày, tháng, năm văn bản được thông qua hoặc ký ban hành.
|
31/12/2024 |
Hiệu lực:
|
Đã biết
|
| Người ký: | Đang cập nhật |
Tình trạng hiệu lực:
Cho biết trạng thái hiệu lực của văn bản đang tra cứu: Chưa áp dụng, Còn hiệu lực, Hết hiệu lực, Hết hiệu lực 1 phần; Đã sửa đổi, Đính chính hay Không còn phù hợp,...
|
Đã biết
|
TÓM TẮT TIÊU CHUẨN VIỆT NAM TCVN 14133:2024
Nội dung tóm tắt đang được cập nhật, Quý khách vui lòng quay lại sau!
Tải tiêu chuẩn Việt Nam TCVN 14133:2024
TIÊU CHUẨN QUỐC GIA
TCVN 14133:2024
KÍNH XÂY DỰNG - GƯƠNG TỪ KÍNH NỔI TRÁNG BẠC SỬ DỤNG BÊN TRONG CÔNG TRÌNH
Glass in building - Mirrors from silver-coated float glass for internal use
Lời nói đầu
TCVN 14133:2024 thay thế TCVN 7624:2007 và TCVN 7625:2007.
TCVN 14133:2024 xây dựng dựa trên cơ sở tham khảo BS EN 1036-1:2007.
TCVN 14133:2024 do Viện Vật liệu Xây dựng biên soạn, Bộ Xây dựng đề nghị, Tổng cục Tiêu chuẩn Đo lường Chất lượng thẩm định, Bộ Khoa học và Công nghệ công bố.
KÍNH XÂY DỰNG - GƯƠNG TỪ KÍNH NỔI TRÁNG BẠC SỬ DỤNG BÊN TRONG CÔNG TRÌNH
Glass in building - Mirrors from silver-coated float glass for internal use
1 Phạm vi áp dụng
Tiêu chuẩn này quy định yêu cầu chất lượng (liên quan tới tính chất quang học, ngoại quan, hoàn thiện cạnh) và các phép thử độ bền gương làm từ kính nổi tráng bạc sử dụng bên trong công trình.
Tiêu chuẩn này chỉ áp dụng cho sản phẩm gương được sản xuất từ tấm kính nổi không màu hoặc có màu, chiều dày từ 2 mm đến 10 mm, được cung cấp theo các kích thước nguyên khổ và kích thước thành phẩm.
Tiêu chuẩn này không áp dụng cho gương tráng bạc được sản xuất từ các loại kính nền khác kính nổi, các loại kính đã qua xử lý ví dụ: kính tôi nhiệt an toàn, kính bán tôi nhiệt, kính tôi hóa, kính dán và kính cong.
Tiêu chuẩn này không áp dụng cho gương tráng bạc sử dụng trong môi trường có độ ẩm cao và/hoặc liên tục, ví dụ: bể bơi, phòng tắm thuốc, phòng xông hơi... Tiêu chuẩn này không áp dụng cho kính phản quang sử dụng bên ngoài.
Tiêu chuẩn này không áp dụng đối với khung, phần cố định hoặc các hệ thống phụ trợ khác.
CHÚ THÍCH: Hướng dẫn về các hạng mục này tham khảo trong phụ lục B
2 Tài liệu viện dẫn
Các tài liệu viện dẫn sau là cần thiết khi áp dụng tiêu chuẩn này. Đối với các tài liệu viện dẫn ghi năm công bố thì áp dụng bản được nêu. Đối với các tài liệu viện dẫn không ghi năm công bố thì áp dụng phiên bản mới nhất, bao gồm các bản sửa đổi, bổ sung (nếu có).
TCVN 2097 (ISO 2409) Sơn và vecni - Phép thử cắt ô
TCVN 12640 (ISO 9227) Thử nghiệm ăn mòn trong môi trường nhân tạo - Phương pháp thử phun mù muối
TCVN 7737 (ISO 9050:2003) Kính xây dựng - Xác định hệ số truyền sáng, hệ số truyền năng lượng mặt trời trực tiếp, hệ số truyền năng lượng mặt trời tổng cộng, hệ số truyền tia cực tím và các yếu tố liên quan đến kết cấu kính
TCVN 7218 Kính tấm xây dựng - Kính nổi - Yêu cầu kỹ thuật
TCVN 4851 (ISO 3696:1987) Nước dùng để phân tích trong phòng thí nghiệm - Yêu cầu kỹ thuật và Phương pháp thử
3 Thuật ngữ và định nghĩa
Trong tiêu chuẩn này sử dụng các thuật ngữ và định nghĩa sau:
3.1
Kính nổi (float glass)
Kính tấm được sản xuất theo công nghệ kéo theo phương nằm ngang, nổi trên bề mặt kim loại (thiếc) nóng chảy.
3.2
Gương từ kính nổi tráng bạc (mirror from silver - coated float glass)
Kính nổi được phủ một lớp phản xạ bằng bạc ở một mặt và có một hoặc nhiều lớp bảo vệ cho lớp phản xạ này.
3.3
Gương từ kính nổi tráng bạc không có đồng (copper-free mirror from silver-coated float glass)
Kính nổi phẳng có màu hoặc không màu, bề mặt phía sau được phủ một lớp bạc bảo vệ có khả năng phản xạ mà không cần sử dụng đồng.
3.4
Kích thước nguyên khổ (Stock/standard sizes)
Tấm gương từ kính nỗi tráng bạc được cung cấp với các cạnh cắt nhằm mục đích gia công tiếp.
CHÚ THÍCH: Kích thước xem TCVN 7218
3.5
Kích thước cắt hoàn thiện (As-cut finished sizes)
Tấm gương hoàn thiện từ kính nổi tráng bạc được cắt từ các kích thước nguyên khổ.
CHÚ THÍCH: Kích thước cắt hoàn thiện có thể được gia công tiếp, vi dụ: mài cạnh, khoan, trang trí mặt...
3.6
Khuyết tật quang học (Optical faults)
Các khuyết tật liên quan trực tiếp đến biến dạng hình ảnh phản xạ.
3.7
Khuyết tật ngoại quan (Glass appearance faults)
Các khuyết tật làm thay đổi chất lượng hình ảnh của gương từ kính nổi tráng bạc. Các khuyết tật này có thể là khuyết tật điểm, đường hoặc vùng.
3.8
Khuyết tật đốm (Spot faults)
Nhân (bóng khí, hạt rắn), cặn lắng, vết.... Trong một số trường hợp, khuyết tật đốm đi kèm với một vùng biến dạng được gọi là “quầng”. Các nhân của khuyết tật đốm có thể đo được.
3.9
Khuyết tật đường (linear defects)
Các vết trầy xước, khuyết tật điểm kéo dài...
3.10
Vết bàn chải (brush marks)
Các vết xước hình tròn rất nhỏ khó có thể nhìn thấy và liên quan đến kỹ thuật làm sạch bề mặt kính.
3.11
Vết trầy xước (Scratches)
Bất kỳ loại vết trầy xước nào không phải là vết bàn chải.
3.12
Khuyết tật lớp tráng bạc phản xạ (Reflective silver coating faults)
Các khuyết tật xuất hiện trong lớp bạc phản xạ làm thay đổi hình ảnh ngoại quan của kính tráng bạc. Các khuyết tật này bao gồm các vết trầy xước, vệt màu, điểm màu, và khuyết tật cạnh.
3.13
Vệt màu (Stain)
Sự thay đổi nhiều hơn hoặc ít hơn màu hơi nâu, hơi vàng hoặc hơi xám, đôi khi có thể bao phủ toàn bộ bề mặt của lớp phủ phản xạ.
3.14
Đốm màu (Colour spots)
Sự thay đổi của lớp phủ phản xạ dưới dạng các đốm nhỏ, thường có màu.
3.15
Hư hỏng cạnh (Edge deterioration)
Biến màu của lớp bạc phản xạ ở cạnh gương tráng bạc.
3.16
Khuyết tật lớp phủ bảo vệ (Protective coating(s) faults)
Các khuyết tật mà tại đó lớp phủ kim loại không được che phủ, chúng có thể là các vết trầy xước hoặc mất độ bám dính của lớp phủ phản xạ.
3.17
Khuyết tật cạnh (Edge faults)
Các khuyết tật ảnh hưởng tới việc hoàn thiện cạnh gương tráng bạc. Chúng bao gồm các khuyết tật lồi/lõm, bong tróc, góc thừa/thiếu và lỗ rỗng.
3.18
Diện tích đóng gói (Pack area)
Tổng diện tích bề mặt của một gói.
3.19
Cụm (Cluster)
Nhóm không ít hơn 3 đốm khuyết tật, cách nhau không quá 50 mm.
3.20
Quầng (Halo)
Vùng biến dạng xung quanh một đốm khuyết tật.
4 Vật liệu
4.1 Sản phẩm kính
Gương từ kính nổi tráng bạc tuân theo tiêu chuẩn này, phải được sản xuất từ kính nổi nguyên khổ phù hợp theo TCVN 7218.
4.2 Lớp phủ phản xạ
Để cung cấp gương tráng bạc chất lượng, gương phải được sản xuất với hàm lượng bạc tối thiểu là 0,7g/m2.
4.3 Lớp phủ bảo vệ
Lớp phủ phản xạ được mô tả trong 4.2 phải được bảo vệ bởi một lớp kim loại đồng hoặc vật liệu khác và có thể là một hoặc nhiều lớp phủ bảo vệ, ví dụ: sơn, sơn phủ.
5 Yêu cầu kích thước
5.1 Chiều dày
Chiều dày thực tế là giá trị trung bình của bốn lần đo, lấy chính xác đến 0,01 mm, vị trí đo là điểm giữa của mỗi cạnh. Phép đo được thực hiện bằng thước cặp panme.
Chiều dày thực tế được làm tròn đến 0,1 mm, sai lệch chiều dày thực tế không được vượt quá sai lệch chiều dày danh nghĩa trong Bảng 1.
Bảng 1 - Chiều dày và sai lệch chiều dày
| Chiều dày danh nghĩa | Sai lệch chiều dày |
| (mm) | (mm) |
| 2 | ±0,2 |
| 3 | ±0,2 |
| 4 | ±0,2 |
| 5 | ±0,2 |
| 6 | ±0,2 |
| 8 | ±0,3 |
| 10 | ±0,3 |
5.2 Chiều dài, chiều rộng và độ vuông góc
5.2.1 Kích thước nguyên khổ
Chiều dài H và chiều rộng B, được xác định dựa trên tham khảo hướng vẽ của dải băng kính nổi như trong Hình 1.
Các kích thước danh nghĩa cho chiều dài H và chiều rộng B cho trước, không được lớn hơn một hình chữ nhật quy định do kích thước danh nghĩa tăng lên bởi sai lệch, cũng không được nhỏ hơn một hình chữ nhật quy định do kích thước danh nghĩa giảm bởi sai lệch. Các cạnh của các hình chữ nhật quy định phải song song với nhau và các hình chữ nhật này phải có tâm chung. Đối với kích thước nguyên khổ, sai lệch danh nghĩa chiều dài H và chiều rộng B là ± 5 mm.
Các giới hạn của độ vuông góc phải được mô tả bằng hình chữ nhật (xem Hình 2).
5.2.2 Kích thước cắt hoàn thiện
Đối với kích thước nhỏ hơn hoặc bằng 2000 mm, khoảng sai lệch tiêu chuẩn là 2 mm, được quy định là ±1 mm của kích thước danh nghĩa.
Đối với kích thước lớn hơn 2000 mm, khoảng sai lệch tiêu chuẩn là 3 mm, được quy định là ± 1,5 mm của kích thước danh nghĩa.
Khoảng sai lệch tiêu chuẩn áp dụng được xác định bằng kích thước lớn nhất của tấm sản phẩm.
Sai lệch độ vuông góc được biểu thị bằng chênh lệch chiều dài giữa các kích thước đường chéo của tấm.
Đối với các tấm có cả hai kích thước nhỏ hơn hoặc bằng 2000 mm, khoảng sai lệch cho phép không lớn hơn 3 mm.
Đối với các tấm có một (hoặc cả hai) kích thước lớn hơn 2000 mm, khoảng sai lệch cho phép không lớn hơn 4 mm.
CHÚ THÍCH: Phương pháp xác định sai lệch độ vuông góc khác với phương pháp áp dụng cho các kích thước nguyên khổ hoặc trong các tiêu chuẩn của sản phẩm thủy tinh khác.
6 Đặc tính phản xạ của gương tráng bạc
6.1 Phương pháp đo
Phương pháp đo độ phản xạ phải thực hiện theo nguyên tắc của TCVN 7737, nhưng với góc tới của ánh sáng trong khoảng 8°, nguồn sáng D65 và số người quan sát là 2 người.
6.2 Gương tráng bạc làm từ kính nổi không màu
Hệ số phản xạ thông thường của gương tráng bạc làm từ kính nổi không màu nhỏ nhất phải là:
- 86% đối với kính nổi có chiều dày trong khoảng 2 mm và 6 mm.
- 83% đối với kính nổi có chiều dày trong khoảng 8 mm và 10 mm.
6.3 Gương tráng bạc làm từ kính nổi có màu
Gương tráng bạc làm từ kính nổi có màu, có hệ số phản xạ thấp hơn so với làm từ kính nổi không có màu.
7 Yêu cầu chất lượng
7.1 Qui định chung
Chất lượng của gương tráng bạc có thể bị ảnh hưởng bởi các khuyết tật làm thay đổi hình ảnh của các vật thể phản xạ qua gương.
Sự thay đổi của hình ảnh như vậy có thể xảy ra do biến dạng quang học, khuyết tật trong kính và khuyết tật trong lớp phủ phản xạ.
7.2 Phương pháp kiểm tra và đánh giá chất lượng gương tráng bạc
7.2.1 Kính, lớp phủ phản xạ, cạnh và chất lượng lớp phủ bảo vệ
7.2.1.1 Phương pháp kiểm tra
Gương tráng bạc phải được quan sát bằng mắt thường ở vị trí thẳng đứng trong điều kiện ánh sáng khuếch tán bình thường (ánh sáng tự nhiên ban ngày hoặc ánh sáng mô phỏng ban ngày, từ 300lx đến 600lx tại vị trí gương tráng bạc), từ khoảng cách 1m. Hướng quan sát là bình thường, tức là ở góc vuông, đối với gương tráng bạc. Không được phép sử dụng nguồn chiếu sáng bổ sung ví dụ: ánh đèn.
7.2.1.2 Khuyết tật kính
Khuyết tật kính được đánh giá bằng phương pháp trong 7.2.1.1. Ghi lại kích thước và số lượng vết bàn chải, vết trầy xước và đốm khuyết tật gây ảnh hưởng đến tầm nhìn.
7.2.1.3 Khuyết tật lớp tráng bạc phản xạ
Các khuyết tật lớp phủ phản xạ được đánh giá bằng phương pháp trong 7.2.1.1. Lưu ý sự hiện diện của các vết xước, vết bàn chải, vết bẩn, đốm màu và hư hỏng cạnh.
7.2.1.4 Khuyết tật cạnh
Chất lượng cạnh của sản phẩm gương tráng bạc nguyên khổ hoặc cắt hoàn thiện cạnh có thể bị ảnh hưởng bởi sự hiện diện của các khuyết tật lồi/lõm và bong tróc. Các cạnh của tấm kính tráng bạc phải được kiểm tra đối với sự hiện diện của bong tróc, góc thừa/thiếu và rỗng cạnh theo phương pháp trong 7.2.1.1.
7.2.1.5 Khuyết tật các lớp phủ bảo vệ
Sử dụng phương pháp trong 7.2.1.1, phải ghi lại sự hiện diện của các lỗ châm kim, vết bọt khí, vết bong tróc của lớp phủ bảo vệ dọc theo các cạnh hoặc các khuyết tật khác trong các lớp phủ bảo vệ.
7.2.2 Chất lượng quang học
7.2.2.1 Phương pháp kiểm tra định tính bằng trực quan
Mẫu thử của gương tráng bạc là một tấm có kích thước 500 mm x 500 mm. Người quan sát đứng cách 2 m ở vị trí phía trước của mẫu kiểm tra. Phía sau người quan sát phải là một nền không đều. Hình ảnh phản xạ phải đảm bảo không bị nhiễu quang học khi quan sát, ví dụ: bởi một bề mặt phản xạ khác, cửa sổ. Các biến dạng quan sát được có thể định lượng bằng phương pháp trong 7.2.2.2.
7.2.2.2 Phương pháp kiểm tra định lượng tùy chọn
Thiết bị chiếu có tiêu cự từ 80 mm đến 100 mm và khẩu độ 8 mm phải được đặt ở khoảng cách 5m so với vị trí kiểm tra, chếch một góc 45° so với mẫu, mẫu được đặt thẳng đứng. Một màn chắn được đặt cách mẫu thử 5 000 mm vuông góc với chùm tia phản xạ (xem Hình 3).
Một hệ thống lưới trượt khi chiếu lên màn chắn sẽ cho các. sọc trắng và đen rộng 55 mm. Hiệu chỉnh chiều rộng của sọc được thực hiện bằng cách sử dụng một gương có bề mặt phía trước không bị méo thay cho mẫu thử.
Phải đo sự khác biệt về chiều rộng của mỗi sọc được chiếu hoặc của 3 sọc lân cận (xem Hình 4).
7.3 Mức chấp nhận
7.3.1 Khuyết tật kính
Mức độ chấp nhận cho các khuyết tật kính được đưa ra trong:
- Bảng 2 đối với kích thước nguyên khổ;
- Bảng 3 đối với kích thước cắt hoàn thiện.
7.3.2 Khuyết tật lớp tráng bạc phản xạ
Khi thực hiện theo phương pháp mô tả trong 7.2.1.1, các khuyết tật lớp tráng bạc phản xạ không được phép nhìn thấy.
7.3.3 Khuyết tật cạnh
7.3.3.1 Sứt hoặc bong tróc
Đối với các kích thước nguyên khổ, vết lồi hoặc các vết sứt hoặc bong tróc tách ra có thể nhìn thấy được dưới các điều kiện trong 7.2.1.1, phải được chấp nhận với điều kiện chiều dài và chiều sâu tối đa không vượt quá 10 mm và một nửa chiều dày danh nghĩa của kính (xem Hình 6).
Đối với các kích thước cắt hoàn thiện, vết lồi hoặc các vết sứt hoặc bong tróc tách ra có thể nhìn thấy được dưới các điều kiện trong 7.2.1.1, phải được chấp nhận với điều kiện chúng không sâu hơn 1,5 mm (xem Hình 7).
7.3.3.2 Góc thừa/thiếu
Đối với các kích thước nguyên khổ đôi khi có góc thừa/thiếu (xem Hình 8), có thể nhìn thấy được dưới các điều kiện trong 7.2.1.1, được phép khi có không quá 5 % số tấm bị ảnh hưởng trong một lần giao hàng.
Đối với các kích thước cắt hoàn thiện góc thừa/thiếu không được phép.
7.3.3.3 Cạnh hở, nứt
Các cạnh có lỗ rỗng hở (nứt), có thể nhìn thấy dưới các điều kiện trong 7.2.1.1, không được phép với kích thước nguyên khổ hoặc kích thước cắt hoàn thiện.
7.3.4 Khuyết tật lớp phủ bảo vệ
Các khuyết tật lớp phủ bảo vệ sẽ không được cho phép nếu nhìn thấy khi kiểm tra bằng phương pháp trong 7.2.1.1
Bảng 2 - Mức khuyết tật chấp nhận của kính đối với kích thước nguyên khổ
| Khuyết tật đường (mm) | Gương với kính nền là kính có màu hoặc không màu | |||
| Kích thước lớn (khuyết tật/ tấm 19,3 m2) | Các kích thước khác (khuyết tật/m2) | |||
| Lớn nhất/tấm | Trung bình/tấm | Lớn nhất/ tấm | Trung bình/tấma | |
| vết bàn chải (≤ 50) |
| 8 |
| 0,375 |
| vết trầy xước (≤ 50) |
| 3 |
| 0,139 |
|
| ||||
| Khuyết tật điểmb (mm) | Gương với kính nền không màu | |||
| Kích thước lớn (khuyết tật/ tấm 19,3 m2) | Các kích thước khác (khuyết tật/m2) | |||
| Lớn nhất/ tấm | Trung bình/tấm | Lớn nhất/ tấm | Trung bình/tấma | |
| ≤ 0,2 | Chấp nhậnc | Chấp nhậnc | Chấp nhậnc | Chấp nhậnc |
| > 0,2 và < 0,5 | 26 | 18 | 1,35 | 0,93 |
| > 0,5 | 3 | 2 | 0,16 | 0,11 |
|
| ||||
| Khuyết tật điểmb (mm) | Gương với kính nền có màu | |||
| Kích thước lớn (khuyết tật/ tấm 19,3 m2) | Các kích thước khác (khuyết tật/m2) | |||
| Lớn nhất/ tấm | Trung bình/tấm | Lớn nhất/tấm | Trung bình/tấma | |
| ≤ 0,2 | Chấp nhậnc | Chấp nhậnc | Chắp nhậnc | Chấp nhận\c |
| >0,2 và 5 0,5 | 30 | 29 | 1,55 | 1,50 |
| > 0,5 | 4 | 3 | 0,21 | 0,16 |
| Tất cả các tính toán được giả định làm tròn a Giá trị trung bình được tính bao gồm cả tổng diện tích các vùng riêng biệt (m2) b Kích thước công bố không bị ảnh hưởng bởi quầng và liên quan tới kích thước khuyết tật lớn nhất. c Được chấp nhận, miễn là chúng không tạo thành một cụm. | ||||
Bảng 3: Mức khuyết tật chấp nhận của kính đối với kích thước cắt hoàn thiện
| Vùng diện tích kích thước hoàn thiện với canh cắt hoặc canh cắt và bo | Khuyết tật điểm | Khuyết tật bề mặt | ||||
| Vùng trung tâm | Vùng biênab | Vết bàn chải | Vết trầy xước | |||
| ≥ 0,2 mmc ≤ 0,3 mm | > 0,3 mm ≤ 0,5 mm | ≥ 0,2 mm ≤ 0,5 mm | > 0,5 mm ≤ 1,0 mm | < 50 mm |
| |
| ≤ 0,3 m2 | 2 | 1 | 2 | 0 | 2 | 0 |
| 0,31 tới 1,0 m2 | 2 | 1 | 2 | 0 | 2 | 0 |
| 1,01 tới 1,5 m2 | 3 | 2 | 3 | 1 | 3 | 0 |
| > 1,51 m2 | 4 | 2 | 4 | 2 | 4 | 0 |
| a Kích thước vùng biên được xác định bằng 15% chiều dài và chiều rộng của cạnh (xem hình 5) b Các khuyết tật lớn hơn 0,5 mm (ờ vùng trung tâm) và 1,0 mm (ở vùng biên giới) không được chấp nhận. c Các khuyết tật nhỏ hơn 0,2 mm được chấp nhận, miễn là chúng không tạo thành cụm. | ||||||
7.3.5 Khuyết tật quang học
Gương đáp ứng được yêu cầu nếu không xuất hiện bất kỳ biến dạng hình ảnh nào khi quan sát như trong 7.2.1.1.
Trong trường hợp nghi ngờ, có thể sử dụng phương pháp như trong 7.2.2.2. Các sai lệch đo được phải duy trì trong giới hạn sau (xem Hình 4):
A = 55 mm - a
B = 55 mm + a
C = 165 mm - b
D = 165 mm + b
Trong đó: a = 10 mm
b = 15 mm
Nếu tấm bao gồm một cạnh chưa gia công của sản phẩm kính nền chiều rộng B, các giá trị sau cho a và b áp dụng trong dải viền rộng 165 mm tương ứng:
Chiều dày danh nghĩa của kính < 4 mm
a = 30 mm
b = 40 mm
Chiều dày danh nghĩa của kính ≥ 4 mm
a = 20 mm
b = 30 mm
8 Thử nghiệm gương tráng bạc
8.1 Độ bền
8.1.1 Yêu cầu chung
Độ bền của gương tráng bạc phải được xác định bởi một số phép thử, theo các yêu cầu kỹ thuật sau:
- NSS: Thử nghiệm phun muối trung tính theo TCVN 12640 (EN ISO 9227), không áp dụng cho gương không có đồng.
- CASS: Thử nghiệm phun muối axit axetic tăng tốc bằng đồng theo TCVN 12640 (EN ISO 9227);
- Thử nghiệm nước ngưng tụ ở môi trường không đổi (xem Phụ lục A).
8.1.2 Mẫu thử
Gương tráng bạc để thử nghiệm, phải được bảo quản trong điều kiện thử nghiệm trước khi thử nghiệm. Gương tráng bạc phải cắt thành các mẫu có kích thước 100 mm x 100 mm và được bảo quản trong điều kiện thử nghiệm không ít hơn 24 h trước khi thử nghiệm. Không được sử dụng dầu cắt để cắt mẫu.
8.1.3 Vị trí đặt mẫu
Các mẫu thử được đặt trong buồng thử nghiệm với lớp phủ bảo vệ (lớp sơn) hướng lên một góc theo tiêu chuẩn quy định.
Mẫu thử phải chịu áp lực trong một diện tích vuông thay vì vị trí mép của mẫu.
8.1.4 Đánh giá
Các mẫu thử được kiểm tra trong điều kiện ánh sáng thường (từ 300 Ix tới 600 Ix tại vị trí gương) trên nền đen. Sử dụng kính lúp để xác định mức độ ăn mòn cạnh lớn nhất và đường kính đốm khuyết tật ngoại trừ các góc cực hạn.
Mẫu có thể được rửa sạch nhẹ nhàng với nước cất hoặc nước khử khoáng trước khi kiểm tra.
Việc xác định ăn mòn cạnh được thực hiện trên hai cạnh dọc cho tất cả các thử nghiệm.
CHÚ THÍCH: Có thể sử dụng đèn chiếu để xác định các đốm khuyết tật nhỏ.
8.1.5 Tiêu chí chấp nhận
Gương tráng bạc khi được thử theo 8.1.1 đến 8.1.4 phải phù hợp các điều kiện sau:
- Lớp phủ bảo vệ bị biến màu được chấp nhận.
- Các khu vực có màu hoặc khuếch tán không được phép có trong lớp phản xạ.
- Không được phép có bọt trên bề mặt lớp phủ bảo vệ.
Các tiêu chí chấp nhận cho ăn mòn cạnh và đốm khuyết tật trong lớp phủ phản xạ được nêu trong Bảng 4.
Bảng 4 - Mức chấp nhận đối với ăn mòn cạnh và đốm khuyết tật trong lớp phủ phản xạ sau thử nghiệm độ bền
| Loại thử nghiệm | Tiêu chí chấp nhận | |
| Thử nghiệm phun muối trung tính theo TCVN 12640 (ISO 9227) | Sau 480 h | |
|
| Ăn mòn cạnh | ≤ 1,0 mm |
|
| Số đốm | 2 đốm, 0,2 mm < Đường kính ≤ 3 mm |
|
|
| Chấp nhận đốm có đường kính ≤ 0,2 mm |
| Thử nghiệm phun muối axit axetic tăng tốc bằng đồng theo TCVN 12640 (ISO 9227) | Sau 120h | |
|
| Ăn mòn cạnh | ≤ 1,5 mm |
|
| Số đốm | 2 đốm, 0,2 mm < Đường kính ≤ 3 mm |
|
|
| Chấp nhận đốm có đường kính ≤ 0,2 mm |
| Thử nghiệm nước ngưng tụ | Sau 480 h | |
|
| Ăn mòn cạnh | ≤ 0,2 mm |
|
| Số đốm | 1 đốm, đường kính ≤ 0,3 mm |
8.2 Độ bám dính của các lớp phủ bảo vệ
Độ bám dính của (các) lớp phủ bảo vệ, không bao gồm lớp kim loại, phải được đánh giá bằng Thử nghiệm cắt ô' nêu trong TCVN 2097 (ISO 2409). Thử nghiệm được thực hiện bằng tay, sử dụng dao cắt 6 lưỡi với khoảng cách cắt 1 mm.
Các kết quả phải phù hợp với số phân loại (2) sử dụng chổi quét hoặc số phân loại (3) sử dụng băng dính theo TCVN 2097 (ISO 2409).

CHÚ DẪN
1 Hướng vạch dao
Hình 1 - Mối liên hệ giữa chiều dài chiều rộng và hướng vạch dao

CHÚ DẪN
1 hướng vẽ
Hình 2 - Xác định chiều dài, chiều rộng, độ vuông góc cho các kích thước nguyên khổ

CHÚ DẪN
1 Máy chiều
2 Mẫu thử
3 Màn hình
4 Hình ảnh màn hình
Hình 3 - Phương pháp kiểm tra định lượng tùy chọn cho chất lượng quang học


CHÚ DẪN
1 Sọc đen
Hình 4 - Đánh giá chất lượng quang học

CHÚ DẪN
L Chiều dài
W Chiều rộng
Hình 5 - Khu vực biên
Kích thước tính bằng milimét

CHÚ DẪN
1 Một nửa độ dày kính danh nghĩa
Hình 6 - Kích thước bong tróc cạnh cho kích thước nguyên khổ
Kích thước tính bằng milimét

Hình 7- Kích thước bong tróc cạnh cho kích thước cắt hoàn thiện
Kích thước tính bằng milimét

Hình 8 - Kích thước góc thừa/thiếu
9 Bao gói, ghi nhãn, bảo quản và vận chuyển
9.1 Bao gói
Gương được bao gỏi trong các kiện chuyên dùng theo loại và kích thước, có đệm lót mềm giảm chấn và chất hút ẩm để đảm bảo không ảnh hưởng đến chất lượng sản phẩm.
9.2 Ghi nhãn
Trên mỗi kiện gương phải có nhãn ghi các nội dung sau:
- Tên, tên viết tắt hoặc nhãn hiệu của cơ sở sản xuất;
- Ký hiệu quy ước;
- Số lượng tấm gương hoặc số mét vuông trong một kiện hoặc trên một đơn vị bao gói;
- Ký hiệu cảnh báo sản phẩm dễ vỡ; Ngày, tháng, năm sản xuất.
9.3 Lưu kho, bảo quản
Gương phải được bảo quản ở nơi khô ráo. Các kiện sản phẩm được xếp ngay ngắn theo loại trên giá đỡ và nghiêng một góc 10° - 15° theo chiều thẳng đứng.
9.4 Vận chuyển
Các kiện gương được vận chuyển bằng mọi phương tiện có gông chèn chặt, đảm bảo an toàn trong suốt quá trình vận chuyển.
Phụ lục A
(Quy định)
Thử nghiệm nước ngưng tụ ở môi trường không đổi
A.1 Quy định chung
Phương pháp thử này mô tả các điều kiện chung cần phải tuân theo khi đưa mẫu vào môi trường không đổi nước ngưng tụ, để đảm bảo rằng các kết quả thử nghiệm được thực hiện trong các phòng thử nghiệm khác nhau là có thể tái lập được.
Các thử nghiệm được thiết kế để xác định sự thay đổi của mẫu thử trong điều kiện môi trường ẩm ướt và xác định các khuyết tật của lớp bảo vệ mẫu thử chống lại ăn mòn. Tuy nhiên, sự thay đổi của mẫu trong môi trường thử nghiệm này không cho phép đưa ra bất kỳ khẳng định trực tiếp nào về tuổi thọ sử dụng của các bộ phận được thử nghiệm trong điều kiện sử dụng thực tế.
Hình dạng và chuẩn bị các mẫu thử, thời gian thử nghiệm, đánh giá thử nghiệm và đánh giá kết quả thử nghiệm không phải là một phần đối tượng của phương pháp thử nghiệm này.
A.2 Điều kiện thử nghiệm
Môi trường thử nghiệm nước ngưng tụ thúc đẩy sự ngưng tụ của độ ẩm môi trường trên bề mặt của mẫu thử, nhiệt độ của chúng thấp hơn nhiệt độ của không khí bão hòa trong buồng thử nghiệm, do bức xạ lên thành buồng hoặc do làm lạnh mẫu.
Nhiệt độ môi trường không đổi trong buồng thử nghiệm suốt quá trình ngưng tụ của môi trường thử nghiệm nước ngưng tụ trong tiêu chuẩn này phải là (40 ± 3) °C.
Lượng nước ngưng tụ hình thành trên bề mặt của mẫu thử cũng có thể ảnh hưởng quan trọng đến sự hình thành nước ngưng tụ; lượng này sẽ bị ảnh hưởng bởi nhiệt độ môi trường xung quanh trong phòng thử nghiệm hoặc do làm mát mẫu.
Nước ngưng, nhỏ giọt ra khỏi mẫu thử, bao gồm nước ngưng tụ và trong một số trường hợp bao gồm cả thành phần rắn và lỏng của mẫu thử hòa tan trong nước ngưng tụ hoặc trộn lẫn trong đó.
Kết quả thử nghiệm chỉ có thể tái lặp trong điều kiện môi trường thử nghiệm giống nhau và quy trình thử nghiệm giống nhau.
A.3 Thiết bị thử nghiệm khí hậu
A.3.1 Buồng khí hậu
Một buồng khí hậu kín đảm bảo môi trường nóng và ẩm. Vật liệu sử dụng làm thành bên trong của buồng thử nghiệm là loại vật liệu chống mài mòn và không gây ảnh hưởng tới mẫu thử. buồng khí hậu sử dụng cho quá trình kiểm tra được trang bị một máng sàn, có tác dụng như một chỗ chứa lượng nước quy định trong A.4.1. Các điều kiện của buồng thử nghiệm phải đạt được bằng cách đun nóng nước trong máng sàn.
CHÚ THÍCH: Thời gian tăng nhiệt phụ thuộc vào môi trường tự nhiên vả số lượng của mẫu thử và cả tỷ lệ giữa bề mặt nước của máng sàn với bề mặt tường của buồng thử nghiệm và nhiệt độ nước.
Nhiệt độ nước không được vượt quá 60 °C.
Kích thước của buồng khí hậu và cách bố trí thiết bị đo và điều khiển nhiệt độ của nó có thể được thay đổi, miễn là tuân thủ các điều kiện thử nghiệm phù hợp với A.2 và A.4.3 và nhiệt độ của môi trường thử nghiệm trong không gian thử nghiệm được đo lường.
Ví dụ về thiết bị thử nghiệm nước ngưng tụ được minh họa trong Hình A.1.
A.3.2 Lắp đặt buồng khí hậu
Buồng khí hậu phải được lắp đặt trong phòng có môi trường xung quanh không chứa bất kỳ thành phần ăn mòn nào.
CHÚ THÍCH: Nhiệt độ môi trường giảm sẽ làm tăng lượng nước ngưng tụ.
A.3.3 Thiết bị điều tiết mẫu thử (bộ giữ mẫu)
Thiết bị để chứa các mẫu thử phải được làm bằng vật liệu chống ăn mòn và không được thúc đẩy sự ăn mòn của các mẫu thử. Thiết bị phải cho phép sắp xếp mẫu phù hợp với các yêu cầu của A.4.3.
A.4 Phương pháp thử
A.4.1 Điền đầy máng sàn
Máng sàn phải được đổ đầy nước tinh khiết (nước cất hoặc nước khử ion).
CHÚ THÍCH: Nước có thể được thay hàng tháng.
A.4.2 Mẫu thử
Chỉ những mẫu thử không có khả năng ảnh hưởng lẫn nhau mới được thử nghiệm cùng một lần.
A.4.3 Sắp xếp mẫu thử
Các mẫu thử phải được sắp xếp trong buồng thử nghiệm sao cho không tiếp xúc với nhau và có thể tỏa nhiệt đầy đủ.
Khoảng cách tối thiểu sau đây phải được tuân thủ:
- Khoảng cách từ các tường không nhỏ hơn 100 mm;
- Khoảng cách mép đáy của các mẫu thử với mặt nước không nhỏ hơn 200 mm;
- Khoảng cách giữa các mẫu liền kề không nhỏ hơn 20 mm.
Góc nghiêng phải trong khoảng từ 65° đến 70°.
Phải thực hiện các bước để đảm bảo rằng không được phép nhỏ giọt nước ngưng tụ lên mẫu thử từ thành buồng thử nghiệm hoặc từ các mẫu thử khác được bố trí trên cao, khi mẫu đã được định vị.
A.4.4 Trình tự thử nghiệm
A.4.4.1 Khởi động
Sau khi các mẫu thử đã được định vị và sau khi đã đóng cửa buồng khí hậu, hệ thống đun nóng cho nước máng sàn hoặc thiết bị thử nghiệm khí hậu phải được bật và buồng thử nghiệm phải được làm nóng môi trường thử đến nhiệt độ (40 ± 3) °C. Nhiệt độ này phải đạt được trong vòng 1,5 h. Nước ngưng tụ sẽ được hình thành trên các mẫu thử.
A.4.4.2 Môi trường không đổi nước ngưng tụ
Nhiệt độ quy định trong A.2, và do đó quá trình ngưng tụ, phải được duy trì trong buồng thử nghiệm suốt toàn bộ thời gian quy định của thử nghiệm.
A.4.5 Kết thúc thử nghiệm
Thử nghiệm phải chấm dứt sau 480 h.
A.4.6 Gián đoạn
Cho phép có những khoảng thời gian gián đoạn ngắn (thường ít hơn 5 min) của thử nghiệm, chẳng hạn như để đưa vào hoặc thay thế các mẫu khác trong thời gian ngắn. Các thời gian gián đoạn dài hơn phải được ghi lại chính xác trong báo cáo thử nghiệm.
A.4.7 Quy trình làm sạch
Tất cả các mẫu thử phải được làm sạch bằng nước khử khoáng và bằng khăn giấy mềm. Việc làm khô cũng phải được thực hiện bằng khăn giấy mềm. Nếu cần, quy trình này có thể được lặp lại.
A.5 Báo cáo thử nghiệm
Các thông tin sau phải được cung cấp trong báo cáo thử nghiệm trích dẫn tiêu chuẩn này làm tài liệu tham khảo:
a) mô tả chính xác về các mẫu thử, bao gồm cả xử lý trước nếu có;
b) thời gian thử nghiệm;
c) lý do và khoảng thời gian có thể xảy ra gián đoạn thử nghiệm (ví dụ mất điện);
d) các quan sát được thực hiện trên các mẫu thử sau khi thử theo Điều 8.

CHÚ DẪN:
1 thiết bị đo nhiệt độ
2 van giảm áp
3 máng sàn chứa nước
Hình A.1 - Ví dụ về thiết bị thử nghiệm khí hậu nước ngưng tụ với vách kính
Phụ lục B
(tham khảo)
Lắp đặt và làm sạch gương
B.1 Quy định chung
Loại gương và việc lắp đặt/làm sạch phải phù hợp với môi trường, cần xem xét và công nhận đối với:
- Độ bền của lớp phủ và
- Hình ảnh không bị biến dạng.
Đối với tất cả các hệ thống lắp đặt, đặc biệt là trên trần nhà, cần tuân thủ các quy định về an toàn và sửa chữa thích hợp của tòa nhà.
B.2 Các yếu tố ảnh hưởng độ bền
Lớp bạc phản xạ và (các) lớp phủ bảo vệ của gương dễ bị hư hỏng/ăn mòn - điều này phần lớn phụ thuộc vào môi trường sử dụng gương. Các khuyến nghị sau đây cần luôn được xem xét:
- Giữa gương và tường hoặc bất kỳ bề mặt lắp đặt nào khác phải được phép lưu thông không khí. cần có khe hở ít nhất là 5 mm đối với gương cao dưới 1 m hoặc khe hở từ 5 mm đến 10 mm đối với gương cao hơn 1 m để đảm bảo thông giỏ tốt;
- Khi có nhiều hơn một gương được cố định vào cùng một bề mặt, cần đảm bảo rằng có một khoảng cách giữa tất cả các cạnh xiên. Như một hướng dẫn lắp đặt, một mảnh có khoảng cách 1 mm phù hợp hợp có thể được chèn vào trong quá trình cố định;
- Vật liệu gắn kết sử dụng không được có tính chất xâm thực;
- Khi gương được lắp đặt vào vị trí, các cạnh có thể bị ăn mòn bởi hơi nước ngưng tụ, sữa tắm, hóa chất tẩy rửa, v.v. có thể vẫn còn ở vị trí lắp đặt. Để tránh điều này, gương nên được gắn trên các khối nhỏ phù hợp trong vị trí lắp đặt;
- Bề mặt và phần thân của vật liệu nền mà gương được cố định phải sạch, khô, không có độ ẩm, axit, kiềm và bất kỳ vật liệu xâm thực nào khác và khi được yêu cầu phải thích hợp để sử dụng chất kết dính/băng keo;
- Các bề mặt tiếp xúc với keo/băng keo cần được chuẩn bị đầy đủ;
- Phải luôn tuân thủ nghiêm ngặt các hướng dẫn của nhà sản xuất chắt kết dính/băng keo;
- Tất cả các chất kết dính/băng keo được sử dụng phải tương thích với lớp phủ gương. Bằng cách sử dụng các chất kết dính/băng keo được khuyến nghị cho mục đích sử dụng thích hợp, sẽ giảm thiểu thiệt hại cho lớp phủ gương;
- Tất cả chất làm sạch gương phải tương thích với các lớp gương và lớp phủ bảo vệ của nó;
- Tất cả các chất kết dính / băng keo, băng keo hai mặt, v.v. được sử dụng để cố định phải được dán theo chiều dọc;
- Việc lựa chọn và sử dụng chất kết dính / băng keo, cùng với việc lựa chọn chất nền và chuẩn bị để cố định gương, hoàn toàn tùy theo quyết định và rủi ro của người sửa;
- Việc lựa chọn bộ vệ sinh gương hoàn toàn tùy theo quyết định và rủi ro của người sửa;
- Nếu hiệu ứng của gương được tăng cường nhờ sự chiếu sáng (ví dụ như ánh đèn), thì nên tránh làm gương bị nóng lên quá mức để tránh làm hỏng gương hoặc làm vỡ kính;
- Khi sử dụng gương trong bể bơi, phòng tắm y tế, phòng xông hơi khô và các phòng liền kề với chủng và bất kỳ phòng nào khác có độ ẩm cao liên tục, không thể đảm bảo độ bền của lớp phủ, ngoại trừ gương được bảo hành dành riêng cho các ứng dụng đó.
B.3 Các yếu tố ảnh hưởng đến biến dạng hình ảnh
Để đảm bảo hình ảnh phản chiếu không bị biến dạng, gương phải được cố định phẳng, không bị tác động và phù hợp các nguyên tắc sau:
- Gương phải được lắp đặt sao cho khối lượng không tác động lên các cạnh để tránh uốn cong và dẫn đến biến dạng;
- Khi dán gương vào vật liệu nền, cần đảm bảo độ phẳng để tránh bị biến dạng;
- Khi cố định gương bằng băng keo, cần chú ý ép chặt không gây biến dạng. Nếu có thể, vật liệu đế đỡ phải được dính chặt vào gương (không phải quay ngược lại) và sau đó gương lắp ráp được cố định bằng cơ học;
- Khi đặt một số gương cạnh nhau để tạo ra một bức tường gương, các đứt gãy quang học trong ảnh tại các mối nối có thể cải thiện bằng cách điều chỉnh sai lệch của hệ thống cố định;
- Gương cần được cố định chắc chắn nhưng không bị tác động để tránh bị méo và có nguy cơ bị vỡ. Tường không bằng phẳng nên được san phẳng bằng cách sử dụng miếng đệm mềm phù hợp.
Phụ lục C
(Tham khảo)
Xác định độ dày lớp bạc
C.1 Nguyên tắc
Xác định độ dày lớp bạc theo phương pháp gián tiếp, bằng cách hòa tan mẫu trong axit rồi xác định hàm lượng bạc bằng phương pháp kết tủa.
C.2 Hóa chất
Sử dụng hóa chất cấp tinh khiết phân tích sau:
- nước cất, theo TCVN 4851 (ISO 3696:1987) hoặc nước có độ tinh khiết tương đương:
- axit clohydric (HCl), nồng độ 1 M;
- axit sunfuric (H2SO4), đậm đặc;
- axit nitơric (HNO3), đậm đặc;
C.3 Cách tiến hành
C.3.1 Chuẩn bị dung dịch mẫu
Chuẩn bị mẫu gương với diện tích tráng bạc khoảng 0,12 m2.
Nung mẫu ở nhiệt độ 400°C trong 1 giờ để loại bỏ lớp sơn bảo vệ.
Đo và tính chính xác diện tích bề mặt được tráng bạc, sau đó hòa tan lớp màng bạc bằng hỗn hợp axit sunfuric (H2SO4) đậm đặc và axit nitơric (HNO3) đậm đặc theo tỷ lệ 1:1, cuối cùng pha loãng dung dịch đến 100 ml.
C.3.2 Xác định lượng bạc: thêm dần axit clohydric (HCl) 1 M vào dung dịch mẫu và lắc đều cho đến khi không xuất hiện thêm kết tủa trắng. Sau đó tách, rửa kết tủa, sẩy khô ở 110°C cho đến khối lượng không đổi.
C.4 Tính kết quả
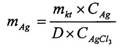
Hàm lượng bạc (mAg), tính bằng g/m2, theo công thức:
![]()
trong đó:
| mkt | khối lượng kết tủa AgCl3 sau khi sấy khô ở 110°C, tính bằng gam (g); |
| CAg | khối lượng phân tử của bạc, tính bằng gam (g); |
| CAgCl3 | khối lượng phân tử của bạc clorua, tính bằng gam (g); |
| D | diện tích bề mặt tráng bạc của mẫu, tính bằng mét vuông (m2). |
Tài liệu tham khảo
[1] EN 572-1 Glass in building - Basic soda lime silicate glass products - Part 1: Definitions and general physical and mechanical properties
[2] EN 572-8 Glass in building - Basic soda lime silicate glass products - Part 8: Supplied and final cut sizes
[3] BS EN 410:2011 Glass in building - Determination of luminous and solar characteristics of glazing
[4] EN 572-2 Glass in building - Basic soda lime silicate glass products - Part 2: Float glass
Bạn chưa Đăng nhập thành viên.
Đây là tiện ích dành cho tài khoản thành viên. Vui lòng Đăng nhập để xem chi tiết. Nếu chưa có tài khoản, vui lòng Đăng ký tại đây!