- Tổng quan
- Nội dung
- Tiêu chuẩn liên quan
- Lược đồ
- Tải về
Tiêu chuẩn quốc gia TCVN 4846:2024 Ngô - Xác định độ ẩm của ngô xay và ngô hạt
| Số hiệu: | TCVN 4846:2024 | Loại văn bản: | Tiêu chuẩn Việt Nam |
| Cơ quan ban hành: | Bộ Khoa học và Công nghệ | Lĩnh vực: | Thực phẩm-Dược phẩm , Nông nghiệp-Lâm nghiệp |
| Trích yếu: | ISO 6540:2021 Ngô - Xác định độ ẩm của ngô xay và ngô hạt | ||
|
Ngày ban hành:
Ngày ban hành là ngày, tháng, năm văn bản được thông qua hoặc ký ban hành.
|
31/12/2024 |
Hiệu lực:
|
Đã biết
|
| Người ký: | Đang cập nhật |
Tình trạng hiệu lực:
Cho biết trạng thái hiệu lực của văn bản đang tra cứu: Chưa áp dụng, Còn hiệu lực, Hết hiệu lực, Hết hiệu lực 1 phần; Đã sửa đổi, Đính chính hay Không còn phù hợp,...
|
Đã biết
|
TÓM TẮT TIÊU CHUẨN VIỆT NAM TCVN 4846:2024
Tiêu chuẩn quốc gia TCVN 4846:2024 ISO 6540:2021 về độ ẩm của ngô: Quy định quan trọng cho sản xuất và kiểm định
Tiêu chuẩn quốc gia TCVN 4846:2024 ISO 6540:2021 do Bộ Khoa học và Công nghệ công bố ngày 15/06/2024, có hiệu lực từ ngày 01/01/2025, thay thế TCVN 4846:1989. Tiêu chuẩn này xác định hai phương pháp chủ yếu để đo độ ẩm của ngô hạt và ngô xay. Đặc biệt, đây là tài liệu quan trọng cho các doanh nghiệp trong lĩnh vực sản xuất ngũ cốc và kiểm nghiệm chất lượng sản phẩm.
Hai phương pháp xác định độ ẩm:
- Phương pháp chuẩn: Dành cho ngô xay mảnh và nguyên hạt, yêu cầu thiết bị chuyên dụng và kỹ thuật viên có kinh nghiệm. Phương pháp này sử dụng nhiệt độ từ 130 °C đến 133 °C để sấy mẫu và cho ra kết quả chính xác, phù hợp cho kiểm định chất lượng.
- Phương pháp thông dụng: Dễ thực hiện hơn, không cần xử lý trước mẫu. Tuy nhiên, phương pháp này không phù hợp cho việc hiệu chuẩn máy đo độ ẩm do có độ lệch so với phương pháp chuẩn.
Thông tin thiết bị và quy trình: Đối với phương pháp chuẩn, yêu cầu các thiết bị như cân phân tích chính xác và tủ sấy có khả năng duy trì nhiệt độ ổn định. Đặc biệt, việc lấy mẫu phải thực hiện đúng quy tắc để đảm bảo tính chính xác và đại diện của mẫu thử.
Kết quả thử nghiệm cần được báo cáo đầy đủ bao gồm các thông tin như loại mẫu, ngày nhận mẫu, kết quả đo độ ẩm và phương pháp đã dùng. Cả hai phương pháp đều yêu cầu thực hiện hai phép xác định lặp lại để đảm bảo độ tin cậy của kết quả.
Tiêu chuẩn này không chỉ nâng cao tính chính xác trong việc xác định độ ẩm của ngô, mà còn góp phần quản lý chất lượng sản phẩm ngũ cốc trong ngành công nghiệp thực phẩm. Do đó, các cơ sở sản xuất và kiểm nghiệm ngũ cốc cần thực hiện nghiêm túc và đầy đủ các quy định trong tiêu chuẩn này để đảm bảo sản phẩm đạt chất lượng cao nhất và tuân thủ các quy định hiện hành.
Tải tiêu chuẩn Việt Nam TCVN 4846:2024
TIÊU CHUẨN QUỐC GIA
TCVN 4846:2024
ISO 6540:2021
NGÔ - XÁC ĐỊNH ĐỘ ẨM CỦA NGÔ XAY VÀ NGÔ HẠT
Maize - Determination of moisture content (on milled grains and on whole grains)
Lời nói đầu
TCVN 4846:2024 thay thế TCVN 4846:1989;
TCVN 4846:2024 hoàn toàn tương đương với ISO 6540:2021;
TCVN 4846:2024 do Ban kỹ thuật tiêu chuẩn quốc gia TCVN/TC/F1 Ngũ cốc và đậu đỗ biên soạn, Viện Tiêu chuẩn Chất lượng Việt Nam đề nghị, Ủy ban Tiêu chuẩn Đo lường Chất lượng Quốc gia thẩm định, Bộ Khoa học và Công nghệ công bố.
Lời giới thiệu
Phương pháp chuẩn cơ bản và phương pháp chuẩn liên quan đến ngũ cốc [xem TCVN 14237-1 (ISO 712-1)] chỉ áp dụng cho các loại ngũ cốc khác ngoài ngô và các sản phẩm ngũ cốc. Vì vậy, tiêu chuẩn này được xây dựng để chỉ rõ hai phương pháp cho ngô trên cơ sở các công trình nghiên cứu đã công bố năm 1979[4].
Phương pháp chuẩn cơ bản cho ngô, được gọi là “phương pháp tuyệt đối”, yêu cầu thiết bị đặc biệt và nhân viên có kinh nghiệm và chỉ có thể được áp dụng trong các phòng thử nghiệm chuyên ngành.
Do các mẫu ngô có thể có độ ẩm rất cao (đôi khi lớn hơn 40 % khối lượng), do kích cỡ và kết cấu của hạt, nên việc xác định độ ẩm trong ngô đặt ra các vấn đề liên quan đến quá trình nghiền và sấy sơ bộ.
Do đó, để không phải sấy sơ bộ và nghiền thì tiêu chuẩn này cũng mô tả phương pháp đối với ngô hạt nguyên, dễ sử dụng hơn và cho phép làm việc liên tục. Thời gian đáp ứng lâu hơn nhưng khối lượng công việc ít hơn do không cần nghiền. Tuy nhiên, phương pháp thông thường đới với ngô nguyên hạt thực tế này có độ chệch dương khoảng 0,30 % khối lượng so với phương pháp chuẩn.
NGÔ - XÁC ĐỊNH ĐỘ ẨM CỦA NGÔ XAY VÀ NGÔ HẠT
Maize - Determination of moisture content (on milled grains and on whole grains)
1 Phạm vi áp dụng
Tiêu chuẩn này quy định hai phương pháp:
- phương pháp chuẩn để xác định độ ẩm của ngô hạt và ngô xay dạng mảnh, ngô nghiền thô và bột ngô, xem Điều 4;
- phương pháp thông dụng dùng để đánh giá độ ẩm của ngô hạt, xem Điều 5.
Phương pháp thứ hai này không phù hợp để hiệu chuẩn hoặc kiểm tra máy đo độ ẩm, do có độ lệch đáng kể so với phương pháp chuẩn (xem Bảng B.3).
2 Tài liệu viện dẫn
Trong tiêu chuẩn này không có các tài liệu viện dẫn.
3 Thuật ngữ và định nghĩa
Trong tiêu chuẩn này áp dụng thuật ngữ và định nghĩa sau.
3.1
Độ ẩm của ngô (moisture content of maize)
Hao hụt khối lượng của sản phẩm trong các điều kiện quy định.
CHÚ THÍCH 1 Độ ẩm được biểu thị bằng phần trăm.
4 Phương pháp chuẩn
4.1 Nguyên tắc
Nghiền mẫu, sau khi xử lý sơ bộ, nếu được yêu cầu. Sấy phần mẫu thử ở nhiệt độ từ 130 °C đến 133 °C trong các điều kiện có thể thu được kết quả phù hợp với kết quả thu được bằng phương pháp tuyệt đối (xem Phụ lục A).
4.2 Thiết bị, dụng cụ
4.2.1 Cân phân tích, có thể cân chính xác đến ± 0,001 g và có độ chính xác hiển thị là 0,000 1 g.
4.2.2 Cân phân tích, có thể cân chính xác đến ± 0,1 g và có độ chính xác hiển thị là 0,01 g.
4.2.3 Máy nghiền, có các đặc tính sau:
a) được làm bằng vật liệu không hấp thụ ẩm;
b) dễ làm sạch và có không gian chết ít nhất có thể;
c) có thể nghiền nhanh và đồng nhất 30 g ngô hạt càng nhanh càng tốt mà không làm tăng nhiệt, tránh để tiếp xúc với không khí bên ngoài;
d) có thể điều chỉnh để thu được các mảnh có kích thước nêu trong 4.4.1.
4.2.4 Đĩa kim loại hình thuyền, không có nắp, có diện tích bề mặt đủ để xếp được một lớp ngô hạt 100 g.
4.2.5 Đĩa kim loại, có kích thước phù hợp, không bị ăn mòn trong các điều kiện thử nghiệm, hoặc nếu không đạt yêu cầu này thì dùng đĩa thủy tinh, có nắp đậy kín và có diện tích bề mặt hiệu quả để phân bố phần mẫu thử không lớn hơn 0,3 g trên centimet vuông.
4.2.6 Tủ sấy có thể duy trì nhiệt độ không đổi, được gia nhiệt bằng điện, có thể điều chỉnh nhiệt độ từ 60 °C đến 80 °C và có hệ thống thông gió thích hợp.
4.2.7 Tủ sấy có thể duy trì nhiệt độ không đổi, được gia nhiệt bằng điện, có khả năng kiểm soát nhiệt độ của không khí và của các giá đựng các phần mẫu thử trong khoảng từ 130 °C đến 133 °C xung quanh phần mẫu thử, trong điều kiện làm việc bình thường.
Tủ sấy phải có công suất nhiệt sao cho khi được điều chỉnh ban đầu ở nhiệt độ 131 °C, tủ sấy có thể đạt trở lại nhiệt độ này trong ít hơn 45 min (tốt nhất là ít hơn 30 min) sau khi cho lượng tối đa phần mẫu thử vào mà có thể sấy được đồng thời.
Xác định hiệu lực của việc thông gió bằng cách sử dụng tấm lõi lúa mì cứng, có cỡ hạt tối đa là 1 mm làm vật liệu thử. Việc thông gió cần đảm bảo sao cho sau khi đưa lượng tối đa phần mẫu thử vào tủ sấy và sấy ở nhiệt độ từ 130 °C đến 133 °C, kết quả thu được sau khi sấy các phần mẫu thử đó trong 2 h và sau đó thêm 1 h nữa, không được chênh lệch quá 0,15 g độ ẩm trên 100 g mẫu.
4.2.8 Bình hút ẩm, chứa chất hút ẩm hiệu quả.
4.3 Lấy mẫu
Việc lấy mẫu không quy định trong tiêu chuẩn này. Nên lấy mẫu theo phương pháp được nêu trong TCVN 9027 (ISO 24333).
Mẫu gửi đến phòng thử nghiệm là mẫu đại diện, đựng trong bao bì kín khí, không bị hư hỏng hoặc thay đổi trong quá trình vận chuyển hoặc bảo quản.
4.4 Chuẩn bị mẫu thử
4.4.1 Sản phẩm không cần nghiền
Các sản phẩm có cỡ hạt nhỏ hơn hoặc bằng 1,7 mm, trong đó có ít hơn 10 % khối lượng có cỡ hạt trên 1 mm và trên 50 % khối lượng có cỡ hạt nhỏ hơn 0,5 mm thì không cần nghiền trước khi xác định.
Trộn kỹ mẫu phòng thử nghiệm trước khi lấy phần mẫu thử (xem 4.5.3).
4.4.2 Sản phẩm cần phải nghiền
4.4.2.1 Yêu cầu chung
Nếu mẫu phòng thử nghiệm có kích thước khác với quy định trong 4.4.1 thì mẫu đó phải được nghiền mà không xử lý sơ bộ (4.4.2.2) hoặc có xử lý sơ bộ (4.4.2.3), tùy theo yêu cầu.
4.4.2.2 Nghiền không cần xử lý sơ bộ
Đối với các sản phẩm không có khả năng thay đổi độ ẩm trong quá trình nghiền (nói chung là các sản phẩm có độ ẩm từ 9,00 % đến 15,00 %, xem 4.8), thì nghiền luôn mà không cần xử lý sơ bộ.
Chỉnh máy nghiền (4.2.3) để thu được các hạt có kích cỡ nêu trong 4.4.1.
Sau đó, nghiền nhanh khoảng 30 g mẫu phòng thử nghiệm, trộn bằng dao trộn và tiến hành ngay theo 4.5.1.
4.4.2.3 Nghiền có xử lý sơ bộ
Các sản phẩm có khả năng thay đổi độ ẩm trong quá trình nghiền (nói chung là các sản phẩm có độ ẩm lớn hơn 15,00 % khối lượng hoặc nhỏ hơn 9,00 % khối lượng) phải được xử lý sơ bộ trước khi nghiền để đưa độ ẩm về trong khoảng từ 9,00 % khối lượng đến 15,00 %, xem 4.8.
Nếu độ ẩm lớn hơn 15,00 % khối lượng (trường hợp này thường gặp hơn) thì cân khoảng 100 g mẫu phòng thử nghiệm trong đĩa kim loại hình thuyền (4.2.4), chính xác đến 0,1 g, đặt đĩa vào tủ sấy (4.2.6) được kiểm soát ở nhiệt độ từ 60 °C đến 80 °C trong thời gian cần để đưa độ ẩm về khoảng từ 9,00 % đến 15,00 % khối lượng. Lấy đĩa ra khỏi tủ sấy và để yên trong môi trường phòng thử nghiệm trong thời gian cần thiết (ít nhất 2 h) để ổn định mẫu về nhiệt độ phòng thử nghiệm và để độ ẩm được phân bố tương đối đồng đều. Trong thời gian nghỉ này, phải đảm bảo không có vật liệu nào được thêm hoặc bớt đối với lượng chứa trong đĩa. Nếu cần, phủ một tờ giấy nhưng không đậy nắp, vì việc đậy nắp có thể hạn chế sự trao đổi ẩm giữa không khí và hạt.
Sau khi ổn định, cân mẫu chính xác đến 0,1 g, sau đó nghiền nhanh khoảng 30 g sản phẩm này. Trộn bằng dao trộn.
Nếu độ ẩm nhỏ hơn 9,00 % khối lượng, cân khoảng 100 g mẫu phòng thử nghiệm, chính xác đến 0,1 g, và để yên trong môi trường thích hợp (thường là môi trường phòng thử nghiệm) cho đến khi đạt được độ ẩm trong giới hạn nêu trên.
4.5 Cách tiến hành
4.5.1 Số lượng phép xác định
Đối với mỗi mẫu phòng thử nghiệm, tiến hành hai phép xác định lặp lại.
Tiến hành một phép xác định trên từng phần của hai phần mẫu thử đã nghiền được lấy từ mẫu phòng thử nghiệm, theo 4.5.2 đến 4.5.4. Nếu chênh lệch tuyệt đối giữa hai kết quả lớn hơn giới hạn lặp lại trong 4.7.2 thì lặp lại phép xác định cho đến khi đáp ứng các yêu cầu.
4.5.2 Phần mẫu thử
Đối với mỗi mẫu, cân bì trước hai đĩa kim loại (4.2.5), chính xác đến 0,001 g. Đối với mỗi đĩa, ghi lại khối lượng bì t.
Cân nhanh khoảng (8 ± 1) g mẫu thử (xem 4.4.1, 4.4.2.2 hoặc 4.4.2.3, nếu thích hợp) chính xác đến 0,001 g, cho vào đĩa kim loại. Ghi lại khối lượng m'0.
4.5.3 Sấy
Đặt đĩa kim loại chứa phần mẫu thử với nắp đã mở vào tủ sấy (4.2.7) được kiểm soát ở nhiệt độ từ 130 °C đến 133 °C và sấy trong 4 h ± 5 min.
Không được đặt sản phẩm ẩm vào tủ sấy chứa các phần mẫu thử ở thời điểm kết thúc quá trình sấy, cũng như không được mở cửa tủ sấy trong quá trình sấy và không đưa các mẫu thử nghiệm ướt mới vào, trước khi lấy các phần mẫu thử khô ra vì sẽ làm mẫu khô hút ẩm trở lại.
Kết thúc thời gian sấy, lấy ngay đĩa ra khỏi tủ sấy, đậy nắp và đặt vào bình hút ẩm (4.2.8). Khi tiến hành đồng thời nhiều phép thử, không được đặt các đĩa chồng lên nhau trong bình hút ẩm.
4.5.4 Cân
Khi đĩa đã nguội đến nhiệt độ phòng thử nghiệm (thường từ 30 min đến 45 min sau khi đặt đĩa vào bình hút ẩm), cân đĩa chính xác đến 0,001 g. Ghi khối lượng m'1.
4.6 Biểu thị kết quả
Độ ẩm,
, được biểu thị bằng phần trăm khối lượng, được tính theo Công thức (1) và (2):
a) Trường hợp không xử lý sơ bộ:
|
| (1) |
Trong đó:
m0 = m'0 - t là khối lượng của phần mẫu thử (xem 4.5.3), tính bằng gam (g);
m1 = m'1 - t là khối lượng của phần mẫu thử sau khi sấy (xem 4.5.4), tính bằng gam (g);
t là khối lượng bì của đĩa kim loại, tính bằng gam (g) (xem 4.5.2).
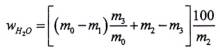
b) Trường hợp có xử lý sơ bộ:
|
| (2) |
|
|
|
Trong đó:
m0 và m1 có cùng ý nghĩa như điểm a) ở trên;
m2 là khối lượng của mẫu thử trước khi xử lý (xem 4.4.2.3), tính bằng gam (g);
m3 là khối lượng của mẫu thử sau khi xử lý (xem 4.4.2.3), tính bằng gam (g).
Kết quả là trung bình của hai giá trị thu được, với điều kiện là đáp ứng được yêu cầu về độ lặp lại (xem 4.7.2). Nếu không, lặp lại các phép xác định.
Biểu thị kết quả đến hai chữ số thập phân.
4.7 Độ chụm
4.7.1 Thử nghiệm liên phòng
Chi tiết phép thử liên phòng thử nghiệm về độ chụm của phương pháp được nêu trong Phụ lục B. Các giá trị thu được từ phép thử này có thể chỉ áp dụng cho dải hàm lượng nước từ 11,90 % đến 39,20 % và nền mẫu được nghiên cứu (ngô).
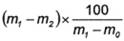
4.7.2 Độ lặp lại
Chênh lệch tuyệt đối giữa hai kết quả thử nghiệm độc lập, riêng lẻ, thu được khi sử dụng cùng một phương pháp, trên vật liệu giống hệt nhau, trong cùng một phòng thử nghiệm, do cùng một người thao tác, sử dụng cùng một thiết bị, trong một khoảng thời gian ngắn, không quá 5 % các trường hợp vượt quá giới hạn lặp lại r.
Đối với ngô có hàm lượng nước từ 11,90 % đến 39,20 %:
- r = 2,8 Sr
- r = 2,8 × 0,07 = 0,19
4.7.3 Độ tái lập
Độ tái lập là chênh lệch tuyệt đối giữa hai kết quả thử riêng rẽ, thu được khi sử dụng cùng một phương pháp, trên vật liệu thử giống hệt nhau, trong các phòng thử nghiệm khác nhau, do những người khác nhau thao tác, sử dụng các thiết bị khác nhau.
Trong thực tế, sẽ không phù hợp khi so sánh các kết quả của hai phòng thử nghiệm nếu phép thử liên quan quy định các điều kiện lặp lại.
Công cụ so sánh thích hợp là chênh lệch tới hạn nêu trong 4.7.5.
4.7.4 So sánh hai nhóm phép đo trong phòng thử nghiệm
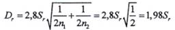
Chênh lệch tới hạn (Dr) là chênh lệch giữa hai giá trị trung bình thu được từ hai kết quả thử nghiệm trong các điều kiện lặp lại. Vì mỗi kết quả là trung bình của hai giá trị (xem 4.6) nên việc so sánh hai kết quả về hàm lượng nước phải được thực hiện bằng cách sử dụng độ chênh lệch tới hạn.
Dr giữa hai giá trị trung bình, mỗi giá trị thu được từ hai kết quả thử nghiệm trong các điều kiện lặp lại được tính theo Công thức (3):
|
| (3) |
Trong đó:
Sr là độ lệch chuẩn lặp lại;
n1 và n2 là số kết quả thử nghiệm tương ứng với mỗi giá trị trung bình.
4.7.5 So sánh hai nhóm phép đo tại hai phòng thử nghiệm
Chênh lệch tới hạn (DR) giữa hai giá trị trung bình, mỗi giá trị thu được trong hai phòng thử nghiệm khác nhau từ hai kết quả thử nghiệm trong các điều kiện lặp lại được tính theo Công thức (4):
|
| (4) |
Trong đó:
| Sr | là độ lệch chuẩn lặp lại; |
| SR | là độ lệch chuẩn tái lập; |
| n1 và n2 | là số kết quả thử nghiệm tương ứng với mỗi giá trị trung bình. |
4.7.6 Độ không đảm bảo đo
Có thể đánh giá độ không đảm bảo đo sử dụng dữ liệu thu được từ các nghiên cứu được thực hiện theo TCVN 6910-2 (ISO 5725-2). Độ lệch chuẩn tái lập thu được trong quá trình thử nghiệm liên phòng là cơ sở hợp lệ để đánh giá độ không đảm bảo đo vì theo định nghĩa, độ không đảm bảo đo đặc trưng cho sự phân tán các giá trị có thể được quy cách hợp lý cho một thông số.
4.7.7 So sánh với phương pháp tuyệt đối
So với phương pháp tuyệt đối (xem Phụ lục A), các kết quả thường có chênh lệch ít hơn 0,15 g nước trên 100 g mẫu.
4.8 Lưu ý về cách tiến hành
4.8.1 Dải độ ẩm đối với sản phẩm cần xử lý trước khi nghiền, tương ứng với môi trường phòng thử nghiệm với nhiệt độ (20 ± 2) °C và độ ẩm tương đối từ 45 % đến 75 %. Nên điều chỉnh đối với các điều kiện môi trường khác.
4.8.2 Tiến hành xử lý và nghiền lần lượt trên 100 g và 30 g, lấy 8 g phần mẫu thử làm mẫu đại diện. Lấy mẫu trực tiếp để nghiền chỉ 8 g tương ứng với lượng sản phẩm ban đầu là không đủ đại diện và sẽ dẫn đến sự phân tán quá lớn của các kết quả.
4.9 Báo cáo thử nghiệm
Báo cáo thử nghiệm phải ít nhất bao gồm các thông tin sau:
a) mọi thông tin cần thiết để nhận biết đầy đủ về mẫu (loại mẫu, nguồn gốc và ký hiệu của mẫu);
b) viện dẫn tiêu chuẩn này,
c) ngày và quy trình lấy mẫu, nếu biết;
d) ngày nhận mẫu;
e) ngày thử nghiệm;
f) kết quả thử nghiệm và đơn vị biểu thị;
g) mọi điều kiện thao tác không quy định trong tiêu chuẩn này hoặc được xem là tùy chọn, cùng với mọi tình huống bất thường có thể ảnh hưởng đến kết quả.

CHÚ THÍCH Thực hiện cân trong hộp.
Hình 1 - Sơ đồ hai quy trình khả thi đối với sản phẩm cần được nghiền
5 Phương pháp thông dụng trên ngô nguyên hạt
5.1 Nguyên tắc
Sấy ngô nguyên hạt trong 38 h ở nhiệt độ từ 130 °C đến 133 °C.
5.2 Thiết bị, dụng cụ
5.2.1 Đĩa kim loại, không bị ăn mòn trong các điều kiện thử nghiệm, có nắp đủ kín, đường kính từ 50 mm đến 60 mm và chiều cao tối thiểu là 25 mm.
5.2.2 Tủ sấy có thể duy trì nhiệt độ không đổi, được gia nhiệt bằng điện, có khả năng kiểm soát nhiệt độ của không khí và của giá đựng các phần mẫu thử trong khoảng từ 130 °C đến 133 °C xung quanh phần mẫu thử, trong điều kiện làm việc bình thường.
5.2.3 Bình hút ẩm, chứa chất hút ẩm hiệu quả.
5.2.4 Cân phân tích, có thể cân chính xác đến ± 0,001 g và có độ chính xác hiển thị là 0,000 1 g.
5.3 Lấy mẫu
Việc lấy mẫu không quy định trong tiêu chuẩn này. Nên lấy mẫu theo phương pháp được nêu trong TCVN 9027 (ISO 24333).
Mẫu gửi đến phòng thử nghiệm là mẫu đại diện, đựng trong bao bì kín khí, không bị hư hỏng hoặc thay đổi trong quá trình vận chuyển hoặc bảo quản.
5.4 Cách tiến hành
5.4.1 Phần mẫu thử
Cân đĩa kim loại (5.2.1) và nắp (m0), chính xác đến 0,001 g.
Lấy ngay từ 25 g đến 40 g ngô nguyên hạt, tùy theo đường kính của đĩa. Đậy ngay nắp đĩa và cân chính xác đến 0,001 g (m1).
5.4.2 Sấy
Đặt đĩa chứa phần mẫu thử với nắp đã mở đặt bên cạnh vào tủ sấy (5.2.2) được kiểm soát ở nhiệt độ từ 130 °C đến 133 °C và sấy trong (38 ± 2) h.
CHÚ THÍCH Thực tế nên để đĩa trong hai đêm và một ngày.
Không được đặt các sản phẩm ẩm vào tủ sấy chứa các phần mẫu thử ở thời điểm kết thúc quá trình sấy, vì sẽ làm mẫu khô hút ẩm trở lại.
Kết thúc thời gian sấy, lấy ngay đĩa ra khỏi tủ sấy, đậy nắp và đặt vào bình hút ẩm (5.2.3). Khi tiến hành đồng thời nhiều phép thử, không được đặt các đĩa chồng lên nhau trong bình hút ẩm.
Khi đĩa đã nguội đến nhiệt độ phòng thử nghiệm (thường từ 30 min đến 45 min sau khi đặt đĩa vào bình hút ẩm), cân đĩa chính xác đến 0,001 g (m2).
5.4.3 Số lượng phép xác định
Tiến hành ít nhất hai phép xác định lặp lại trên các phần mẫu thử của cùng một mẫu phòng thử nghiệm.
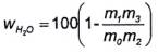
5.5 Biểu thị kết quả
5.5.1 Phương pháp và công thức tính
Độ ẩm, được biểu thị bằng phần trăm khối lượng của sản phẩm khi nhận được, được tính theo Công thức (5):
|
| (5) |
Trong đó:
m0 là khối lượng của đĩa rỗng và nắp, tính bằng gam (g);
m1 là khối lượng của đĩa, nắp và phần mẫu thử trước khi sấy; tính bằng gam (g);
m2 là khối lượng của đĩa, nắp và phần mẫu thử sau khi sấy, tính bằng gam (g).
Lấy kết quả trung bình của các giá trị thu được với điều kiện đáp ứng được yêu cầu về độ lặp lại (xem 5.5.2). Nếu không, lặp lại các phép xác định.
Biểu thị kết quả đến một chữ số thập phân.
5.5.2 Độ lặp lại
Chênh lệch tuyệt đối giữa hai kết quả thử nghiệm độc lập, riêng lẻ, thu được khi sử dụng cùng một phương pháp, trên vật liệu giống hệt nhau trong cùng một phòng thử nghiệm, do cùng một người thực hiện, sử dụng cùng một thiết bị và trong một khoảng thời gian ngắn, không quá 5 % các trường hợp vượt quá giới hạn lặp lại r.
r = 2,8Sr
r = 2,8 × (0,002 6 w + 0,026 6)
Trong đó:
Sr là độ lệch chuẩn lặp lại;
w là hàm lượng nước của mẫu, tính bằng phần trăm khối lượng.
5.5.3 Độ tái lập
Độ tái lập là chênh lệch tuyệt đối giữa hai kết quả thử nghiệm riêng rẽ, thu được khi sử dụng cùng một phương pháp, trên vật liệu thử giống hệt nhau, trong các phòng thử nghiệm khác nhau, do những người thao tác khác nhau, sử dụng các thiết bị khác nhau.
Trong thực tế, sẽ không phù hợp khi so sánh các kết quả của hai phòng thử nghiệm nếu phép thử liên quan quy định các điều kiện lặp lại.
Công cụ so sánh thích hợp là chênh lệch tới hạn như nêu trong 5.5.5.
5.5.4 So sánh hai nhóm phép đo trong một phòng thử nghiệm
Chênh lệch tới hạn (Dr) là chênh lệch giữa hai giá trị trung bình thu được từ hai kết quả thử nghiệm trong các điều kiện lặp lại. Vì mỗi kết quả là giá trị trung bình của hai giá trị (xem 5.5.1) nên việc so sánh hai kết quả hàm lượng nước phải được thực hiện bằng cách sử dụng chênh lệch tới hạn.
Dr giữa hai giá trị trung bình, mỗi giá trị thu được từ hai kết quả thử nghiệm trong các điều kiện lặp lại được tính theo Công thức (6):
|
| (6) |
Trong đó:
Sr là độ lệch chuẩn lặp lại;
n1 và n2 là số kết quả thử tương ứng với mỗi giá trị trung bình.
5.5.5 So sánh hai nhóm phép đo tại hai phòng thử nghiệm
Chênh lệch tới hạn (DR) giữa hai giá trị trung bình, mỗi giá trị thu được trong hai phòng thử nghiệm khác nhau từ hai kết quả thử nghiệm trong các điều kiện lặp lại được tính theo Công thức (7):
|
| (7) |
Trong đó:
Sr là độ lệch chuẩn lặp lại;
SR là độ lệch chuẩn tái lập;
n1 và n2 là số kết quả thử nghiệm tương ứng với mỗi giá trị trung bình.
5.5.6 Áp dụng giới hạn độ chính xác
Để tạo thuận lợi cho việc áp dụng các giới hạn lặp lại và chênh lệch tới hạn để so sánh các kết quả, biểu các giá trị khác nhau đối với một số độ ẩm được nêu trong Bảng C.1.
5.6 Nhận xét
Các kết quả so với kết quả thu được bằng phương pháp tuyệt đối (xem Phụ lục A) nhìn chung chênh lệch ít hơn 0,5 g độ ẩm trên 100 g mẫu. Độ lệch dương xấp xỉ 0,30 % khối lượng so với phương pháp chuẩn nêu trong Điều 4 được chứng minh bằng phép thử liên phòng thử nghiệm (xem Phụ lục B).
5.7 Báo cáo thử nghiệm
Báo cáo thử nghiệm phải ít nhất bao gồm các thông tin sau:
a) mọi thông tin cần thiết để nhận biết đầy đủ về mẫu (loại mẫu, nguồn gốc và ký hiệu của mẫu);
b) viện dẫn tài liệu này;
c) ngày và loại quy trình lấy mẫu (nếu biết);
d) ngày nhận mẫu;
e) ngày thử nghiệm;
f) các kết quả thử nghiệm và đơn vị biểu thị;
g) mọi điều kiện thao tác không quy định trong tiêu chuẩn này hoặc được xem là tùy chọn, cùng với mọi tình huống bất thường có thể ảnh hưởng đến kết quả.
Phụ lục A
(tham khảo)
Phương pháp tuyệt đối
A.1 Khái quát
Phụ lục này quy định phương pháp tuyệt đối để xác định độ ẩm của hạt ngô và ngô đã nghiền.
Phương pháp này nhằm mục đích làm chuẩn để kiểm tra và hoàn thiện các phương pháp thông thường để xác định độ ẩm, đặc biệt là các phương pháp được quy định trong phần một và hai. Không sử dụng để giải quyết tranh chấp thương mại.
Phương pháp tuyệt đối được quy định trong phụ lục này đảm bảo loại bỏ hoàn toàn độ ẩm khỏi sản phẩm, như đã được chứng minh bằng các thử nghiệm về khả năng hút ẩm và bổ sung độ ẩm, đồng thời tránh mọi thay đổi về thành phần hóa học, đặc biệt là quá trình oxy hóa và hao hụt các chất hữu cơ dễ bay hơi.
A.2 Nguyên tắc
Nếu cần, nghiền mẫu sau khi xử lý sơ bộ. Sấy phần mẫu thử dưới áp suất giảm, ở nhiệt độ từ 45 °C đến 50 °C, có chất hút ẩm, cho đến khi thu được khối lượng không đổi.
A.3 Thiết bị, dụng cụ
A.3.1 Cân phân tích, có thể cân chính xác đến ± 0,000 1 g và có thể hiển thị độ chính xác 0,000 01 g.
A.3.2 Thiết bị giảm áp từ 1,3 kPa đến 2,6 kPa, ví dụ như máy bơm nước.
CHÚ THÍCH 1,3 kPa đến 2,6 kPa = 13 mbar đến 26 mbar = 10 mmHg đến 20 mmHg.
A.3.3 Máy nghiền, có các đặc điểm sau:
a) làm bằng vật liệu không hút ẩm;
b) dễ làm sạch và có không gian chết ít nhất có thể;
c) có thể nghiền nhanh và đồng nhất 30 g hạt ngô mà không làm tăng nhiệt đáng kể và càng không tiếp xúc với không khí bên ngoài càng tốt;
d) có thể điều chỉnh để thu được các hạt có kích cỡ nêu trong A.5.1.1.
A.3.4 Đĩa kim loại hình thuyền, không có nắp, có diện tích bề mặt hiệu dụng có thể phân bố 100 g hạt ngô thành một lớp.
A.3.5 Đĩa kim loại, không bị ăn mòn trong các điều kiện thử nghiệm, có nắp đủ kín và có diện tích bề mặt hiệu quả cho phép phân bố phần mẫu thử không quá 0,3 g trên centimet vuông.
CHÚ THÍCH Đĩa kim loại phù hợp được đưa ra trong Hình A.1 chỉ nhằm mục đích cung cấp thông tin.
Kích thước tính bằng milimet

CHÚ DẪN
1 Đĩa
2 Nắp
CHÚ THÍCH Đĩa trên sơ đồ có đáy phẳng, bề mặt hiệu quả 16 cm2 và chiều cao bên trong là 14 mm. Có thể sử dụng với ống sấy như trong Hình A.2.
Hình A.1 - Sơ đồ đĩa và nắp kim loại thích hợp (chỉ để hướng dẫn)
Kích thước tính bằng milimet

CHÚ DẪN
1 Vòi khóa có lỗ nghiêng 2 mm;
a Độ dày thành ≈ 2 mm.
CHÚ THÍCH Ống sấy trên sơ đồ có khớp nối thủy tinh mài 40/50 (đường kính 40 mm ở đầu lớn và có chiều dài phần mài là 50 mm). Phù hợp để sử dụng với đĩa như trong Hình A.1. Khoá vòi phủ dầu ô liu có thể được thay thế bằng khớp nối thủy tinh mài.
Hình A.2 - Sơ đồ ống sấy thích hợp (chỉ để hướng dẫn)
A.3.6 Thiết bị sấy ở áp suất giảm, có dung tích sao cho có thể đặt đĩa kim loại hình thuyền (A.3.4) bên trong.
A.3.7 Cốc, làm bằng thủy tinh hoặc sứ.
A.3.8 Ống sấy, bằng thủy tinh, có hai phần, một phần được đóng kín ở một đầu để đựng đĩa (A.3.5) và phần kia dùng để chứa cốc (A.3.7), mang một ống bán mao dẫn, có van khóa, để nối với nguồn chân không (A.3.2). Hai phần được nối với nhau bằng khớp nối thủy tinh mài.
Phần mẫu thử có thể được làm nguội trong thiết bị này sau khi sấy, khi đó bình hút ẩm (A.3.11) không cần thiết cho thao tác này.
CHÚ THÍCH Ống sấy thích hợp được đưa ra trong Hình A.2 chỉ nhằm mục đích cung cấp thông tin.
A.3.9 Tủ sấy có thể duy trì nhiệt độ không đổi, được gia nhiệt bằng điện, cho phép duy trì phần ống sấy (A.3.8) chứa đĩa (A.3.5) được duy trì ở nhiệt độ từ 45 °C đến 50 °C.
A.3.10 Bộ làm khô không khí, bình rửa khí chứa axit sulfuric loại tinh khiết phân tích (ρ20 > 1,83 g/ml), được nối với ống có chứa phospho (V) oxit tinh khiết phân tích dàn đều trên bông thủy tinh.
A.3.11 Bình hút ẩm, chứa chất hút ẩm hiệu quả.
A.4 Lấy mẫu
Việc lấy mẫu không quy định trong tiêu chuẩn này. Nên lấy mẫu theo phương pháp được nêu trong TCVN 9027 (ISO 24333).
Mẫu gửi đến phòng thử nghiệm là mẫu đại diện, đựng trong bao bì kín khí, không bị hư hỏng hoặc thay đổi trong quá trình vận chuyển hoặc bảo quản.
A.5 Cách tiến hành
A.5.1 Chuẩn bị mẫu thử
A.5.1.1 Sản phẩm không cần nghiền
Các sản phẩm có cỡ hạt nhỏ hơn hoặc bằng 1,7 mm, trong đó có ít hơn 10 % khối lượng có cỡ hạt trên 1 mm và trên 50 % khối lượng có cỡ hạt nhỏ hơn 0,5 mm thì không cần nghiền trước khi xác định.
Trộn kỹ mẫu phòng thử nghiệm trước khi lấy phần mẫu thử (xem A.5.2).
A.5.1.2 Sản phẩm cần phải nghiền
A.5.1.2.1 Yêu cầu chung
Nếu mẫu phòng thử nghiệm có kích thước khác với quy định trong A.5.1.1 thì mẫu đó phải được nghiền mà không xử lý sơ bộ (A.5.1.2.2) hoặc có xử lý sơ bộ (A.5.1.2.3), tùy theo yêu cầu.
A.5.1.2.2 Nghiền không cần xử lý sơ bộ
Đối với các sản phẩm không có khả năng thay đổi độ ẩm trong quá trình nghiền (nói chung là các sản phẩm có độ ẩm từ 9,00 % đến 15,00 %, xem A.7.1) thì nghiền luôn mà không cần xử lý sơ bộ.
Chỉnh máy nghiền (A.3.3) để thu được các hạt có kích cỡ nêu trong A.5.1.2.
Sau đó, nghiền nhanh khoảng 30 g mẫu phòng thử nghiệm, trộn bằng dao trộn và tiến hành ngay theo A.5.2.
A.5.1.2.3 Nghiền có xử lý sơ bộ
Các sản phẩm có khả năng thay đổi độ ẩm trong quá trình nghiền (nói chung là các sản phẩm có độ ẩm lớn hơn 15,00 % khối lượng hoặc nhỏ hơn 9,00 % khối lượng) phải được xử lý sơ bộ trước khi nghiền để đưa độ ẩm về khoảng 9,00 % đến 15,00 % khối lượng (xem A.7.1).
Nếu độ ẩm lớn hơn 15 % khối lượng (trường hợp này thường gặp hơn) thì cân khoảng 100 g mẫu phòng thử nghiệm, đựng trong đĩa kim loại hình thuyền (A.3.4), chính xác đến 0,01 g và đặt vào thiết bị sấy (A.3.6), trong đó đã đặt các đĩa Petri có chứa một lớp phospho (V) oxit dày khoảng 1 cm. Giảm áp suất xuống giá trị khoảng 1,3 kPa đến 2,6 kPa bằng thiết bị chân không (A.3.2); việc này nên được thực hiện từ từ để tránh vật liệu bị văng ra khỏi thuyền. Đóng phần nối với thiết bị chân không (A.3.2) và để mẫu ở nhiệt độ phòng thử nghiệm trong thời gian cần thiết để đưa độ ẩm của mẫu về khoảng 9 % đến 15 % khối lượng (thường từ 2 ngày đến 4 ngày, xem A.7.2). Khôi phục áp suất khí quyển trong thiết bị sấy bằng cách làm cho không khí đi vào từ từ qua bộ làm khô (A.3.10).
Sau đó giữ mẫu đã sấy sơ bộ ít nhất 24 h trong môi trường phòng thử nghiệm (xem A.7.4).
Sau khi ổn định, cân mẫu chính xác đến 0,01 g, sau đó nghiền nhanh khoảng 30 g sản phẩm này. Trộn bằng dao trộn.
Nếu độ ẩm nhỏ hơn 9,00 % khối lượng thì đặt khoảng 100 g mẫu phòng thử nghiệm, cân chính xác đến 10 mg vào môi trường thích hợp (thường là môi trường của phòng thử nghiệm) và để cho đến khi đạt độ ẩm trong giới hạn nêu trên.
A.5.2 Phần mẫu thử
Cân nhanh khoảng 3 g mẫu thử, chính xác đến 0,000 2 g (xem A.5.1.1, A.5.1.2.2 hoặc A.5.1.2.3, nếu thích hợp) cho vào đĩa kim loại (A.3.5) đã được cân trước cùng với nắp, chính xác đến 0,000 2 g.
A.5.3 Sấy
Đặt đĩa đã mở (để nắp trong bình hút ẩm) chứa phần mẫu thử (A.5.2) vào đầu kín của ống sấy (A.3.8). Đặt gần cốc (A.3.7) chứa một lớp phospho (V) oxit dày khoảng 1 cm. Lắp hai phần của ống sấy lại với nhau và giảm áp suất trong ống đã lắp ráp đến giá trị khoảng 1,3 kPa đến 2,6 kPa bằng thiết bị chân không (A.3.2); cần tiến hành từ từ để tránh mẫu bị hút ra khỏi đĩa. Đóng phần nối với thiết bị chân không và đặt phần ống chứa phần mẫu thử vào tủ sấy (A.3.9) được kiểm soát nhiệt độ từ 45 °C đến 50 °C.
Khi phospho (V) oxit kết tụ trên bề mặt, thay mới sau khi khôi phục áp suất khí quyển bên trong ống sấy do không khí đi qua bộ làm khô (A.3.10), đi vào từ từ qua ống mao quản. Giảm áp suất trong ống sấy lại và tiếp tục sấy như trước.
Sau khoảng 100 h, lấy ống ra khỏi tủ sấy, để nguội đến nhiệt độ phòng thử nghiệm và khôi phục lại áp suất khí quyển bên trong như ở trên. Ngắt kết nối hai phần của ống, lấy nhanh đĩa ra, đậy nắp lại và cân chính xác đến 0,000 2 g.
Lặp lại các thao tác trên cho đến khi khối lượng gần như không đổi (nghĩa là cho đến khi chênh lệch giữa hai lần cân liên tiếp cách nhau 240 h nhỏ hơn 0,000 6 g).
A.5.4 Số lượng phép xác định
Tiến hành hai phép xác định lặp lại trên các phần mẫu thử được lấy từ các mẫu thử khác nhau của cùng một mẫu phòng thử nghiệm.
A.6 Biểu thị kết quả
A.6.1 Phương pháp tính và công thức
Độ ẩm
, được biểu thị bằng phần trăm khối lượng của sản phẩm khi nhận được, được tính bằng Công thức (A.1) và (A.2):
a) Không xử lý sơ bộ:
|
| (A.1) |
Trong đó:
m0 là khối lượng phần mẫu thử, tính bằng gam (g), (xem A.5.2);
m1 là khối lượng của phần mẫu thử sau khi sấy, tím bằng gam (g), (xem A.5.3).
b) Có xử lý sơ bộ:
|
| (A.2) |
|
|
|
Trong đó:
m0 là khối lượng của phần mẫu thử, tính bằng gam (g), (xem A.5.2);
m1 là khối lượng phần mẫu thử sau khi sấy, tính bằng gam (g), (xem A.5.3);
m2 là khối lượng của mẫu thử trước khi xử lý (xem A.5.1.2.3);
m3 là khối lượng của mẫu thử sau khi xử lý (xem A.5.1.2.3).
Lấy kết quả trung bình của hai giá trị thu được với điều kiện đáp ứng được yêu cầu về độ lặp lại (xem A.6.2). Nếu không, lặp lại phép xác định.
Biểu thị kết quả đến hai chữ số thập phân.
A.6.2 Độ lặp lại
Chênh lệch giữa các giá trị thu được từ hai phép xác định, tiến hành đồng thời hoặc nhanh liên tiếp bởi cùng một người phân tích, không được vượt quá 0,10 g độ trên 100 g mẫu.
CHÚ THÍCH Với một chút kinh nghiệm, có thể thu được chênh lệch nhỏ hơn 0,05 g độ ẩm trên 100 g mẫu trong cùng một phòng thử nghiệm.
A.7 Lưu ý về quy trình
A.7.1 Dải độ ẩm đối với sản phẩm cần xử lý sơ bộ trước khi nghiền, tương ứng với môi trường phòng thử nghiệm với nhiệt độ (20 ± 2) °C và độ ẩm tương đối từ 45 % đến 75 %. Nên điều chỉnh đối với các điều kiện môi trường khác.
A.7.2 Thời gian sấy sơ bộ được đưa ra chỉ nhằm mục đích hướng dẫn. Kiểm tra xem thời gian sấy sơ bộ như vậy có thể giúp quá trình xử lý sơ bộ đạt được trạng thái mong muốn với thiết bị và sản phẩm được sử dụng.
A.7.3 Việc xử lý và nghiền được thực hiện trên 100 g và 30 g đối với phần mẫu thử 3 g nhằm cung cấp mẫu đại diện. Một mẫu với lượng sản phẩm nghiền là 3 g sẽ không đủ đại diện và sẽ dẫn đến sự phân tán quá lớn của các kết quả.
A.7.4 Cần có khoảng thời gian nghỉ 24 h sau khi sấy sơ bộ để thu được sự phân bố đồng nhất về độ ẩm.
A.7.5 Màu trên bề mặt của phospho (V) oxit sẽ cho biết về việc thất thoát chất hữu cơ dạng vết dễ bay hơi khỏi phần mẫu thử. Với một số sản phẩm bị hư hỏng, nếu màu sắc trở nên rõ rệt thì nên giảm nhiệt độ gia nhiệt.
A.8 Báo cáo thử nghiệm
Báo cáo thử nghiệm phải ít nhất bao gồm các thông tin sau:
a) tất cả các thông tin cần thiết để nhận biết mẫu thử (loại mẫu, nguồn gốc và ký hiệu của mẫu);
b) viện dẫn tiêu chuẩn này;
c) ngày và loại quy trình lấy mẫu (nếu biết);
d) ngày nhận mẫu;
e) ngày thử nghiệm;
f) kết quả thử nghiệm và đơn vị biểu thị kết quả;
g) mọi điều kiện thao tác không quy định trong phương pháp hoặc được coi là tùy chọn có thể ảnh hưởng đến kết quả.
Phụ lục B
(tham khảo)
Kết quả phép thử liên phòng thử nghiệm
Một thử nghiệm liên phòng được tổ chức với sự tham gia của 15 phòng thử nghiệm theo quy trình của Điều 4 và 14 phòng thử nghiệm theo quy trình của Điều 5 đã cho kết quả thống kê [được xác định theo TCVN 6910-2 (ISO 5725-2)] được nêu trong Bảng B.1 đối với quy trình ở Điều 4 và Bảng B.2 đối với quy trình ở Điều 5.
Bảng B.1 - Kết quả thống kê của phép thử liên phòng thử nghiệm xác định hạt nghiền (quy trình của Điều 4)
| Mẫu | 1 | 2 | 3 | 4 | 5 | 6 | 7 | 8 | 9 | 10 | 11 | 12 | 13 | 14 |
| Sấy sơ bộ | Không | Không | Có | Có | Có | Có | Có | Có | Có | Có | Có | Có | Có | Có |
| Số phòng thử nghiệm được chọn | 14 | 15 | 15 | 14 | 14 | 14 | 14 | 14 | 14 | 13 | 13 | 13 | 13 | 12 |
| Trung bình (M) | 11,91 | 14,46 | 14,48 | 15,08 | 15,14 | 15,14 | 15,14 | 16,00 | 16,00 | 17,95 | 22,23 | 27,19 | 33,94 | 39,16 |
| Độ lệch chuẩn lặp lại, sr | 0,04 | 0,07 | 0,06 | 0,07 | 0,06 | 0,06 | 0,06 | 0,07 | 0,05 | 0,07 | 0,06 | 0,08 | 0,09 | 0,08 |
| Hệ số biến thiên, Cv,r, (sr/M, tính bằng %) | 0,3 | 0,5 | 0,4 | 0,5 | 0,4 | 0,4 | 0,4 | 0,4 | 0,3 | 0,4 | 0,3 | 0,3 | 0,3 | 0,2 |
| Giới hạn lặp lại, r | 0,11 | 0,21 | 0,16 | 0,21 | 0,16 | 0,17 | 0,17 | 0,19 | 0,13 | 0,19 | 0,17 | 0,22 | 0,25 | 0,23 |
| Độ lệch chuẩn tái lập, SR | 0,07 | 0,19 | 0,22 | 0,25 | 0,25 | 0,32 | 0,32 | 0,29 | 0,33 | 0,18 | 0,23 | 0,24 | 0,30 | 0,40 |
| Hệ số biến thiên, CV,R (sR/M, tính bằng %) | 0,6 | 1,3 | 1,5 | 1,7 | 1,7 | 2,1 | 2,1 | 1,8 | 2,0 | 1,0 | 1,0 | 0,9 | 0,9 | 1,0 |
| Giới hạn tái lập, R | 0,19 | 0,54 | 0,61 | 0,71 | 0,71 | 0,90 | 0,90 | 0,83 | 0,93 | 0,51 | 0,64 | 0,66 | 0,85 | 1,12 |
Độ lệch chuẩn lặp lại và độ lệch chuẩn tái lập không thay đổi (xem Hình B.1) với hàm lượng nước đo được và được coi là không đổi đối với độ ẩm từ 12,00 % đến 40,00 %.

CHÚ DẪN
X hàm lượng nước
Y độ lệch chuẩn chính xác
▲ độ lệch chuẩn lặp lại (Sr)
■ độ lệch chuẩn tái lập (Sr)
Công thức đường hồi quy đối với Sr: Y = 0,001 1X + 0,042 4
Hệ số xác định R2 đối với Sr = 0,481 7
Công thức đường hồi quy đối với SR: Y = 0,005 0 X + 0,156 4
Hệ số xác định R2 đối với SR = 0,261 9
Hình B.1 - Sự thay đổi độ lệch chuẩn chính xác theo hàm lượng nước đối với phép xác định hạt nghiền (xem Điều 4)
Bảng B.2 - Các kết quả thống kê của phép thử liên phòng thử nghiệm đối với phép xác định ngô nguyên hạt (quy trình của Điều 5)
| Mẫu | 1 | 2 | 3 | 4 | 5 | 6 | 7 | 8 | 9 | 10 | 11 | 12 | 13 | 14 |
| Số phòng thử nghiệm được lựa chọn | 14 | 14 | 14 | 14 | 14 | 14 | 14 | 14 | 14 | 13 | 14 | 14 | 14 | 14 |
| Trung bình (M) | 12,11 | 14,79 | 14,82 | 15,30 | 15,24 | 15,71 | 15,67 | 16,31 | 16,32 | 18,46 | 22,56 | 27,47 | 34,16 | 39,26 |
| Độ lệch chuẩn lặp lại, sr | 0,06 | 0,08 | 0,05 | 0,05 | 0,07 | 0,09 | 0,06 | 0,06 | 0,08 | 0,07 | 0,07 | 0,10 | 0,11 | 0,14 |
| Hệ số biến thiên, Cv,r, (sr/M, tính bằng %) | 0,5 | 0,5 | 0,3 | 0,4 | 0,5 | 0,6 | 0,4 | 0,4 | 0,5 | 0,4 | 0,3 | 0,4 | 0,3 | 0,4 |
| Giới hạn lặp lại, r | 0,18 | 0,22 | 0,15 | 0,17 | 0,20 | 0,25 | 0,16 | 0,18 | 0,23 | 0,21 | 0,19 | 0,30 | 0,31 | 0,40 |
| Độ lệch chuẩn tái lập, sR | 0,16 | 0,16 | 0,16 | 0,13 | 0,12 | 0,15 | 0,15 | 0,13 | 0,17 | 0,13 | 0,16 | 0,20 | 0,43 | 0,32 |
| Hệ số biến thiên, Cv,R (sR/M, tính bằng %) | 1,3 | 1,1 | 1,1 | 0,9 | 0,8 | 1,0 | 1,0 | 0,8 | 1,0 | 0,7 | 0,7 | 0,7 | 1,3 | 0,8 |
| Giới hạn tái lập, R | 0,44 | 0,44 | 0,44 | 0,38 | 0,34 | 0,43 | 0,44 | 0,36 | 0,48 | 0,37 | 0,44 | 0,57 | 1,22 | 0,91 |
Độ lệch chuẩn lặp lại và độ lệch chuẩn tái lập thay đổi theo hàm lượng nước đo được (xem Hình B.2) và tăng dần đối với độ ẩm trong khoảng từ 12,00 % đến 40,00 %. Bảng C.1 đưa ra ví dụ về việc áp dụng các giới hạn độ chính xác.

CHÚ DẪN
X hàm lượng nước
Y độ lệch chuẩn chính xác
▲ độ lệch chuẩn lặp lại (Sr)
■ độ lệch chuẩn tái lập (SR)
Công thức đường hồi quy đối với Sr: Y = 0,002 6X + 0,026 6
Hệ số xác định R2 đối với Sr = 0,776 5
Công thức đường hồi quy đối với SR: Y = 0,009 1X + 0,001 8
Hệ số xác định R2 đối với SR = 0,729 8
Hình B.2 - Sự thay đổi độ lệch chuẩn chính xác theo hàm lượng nước đối với phép xác định trên ngô nguyên hạt (xem Điều 5)
Phép thử liên phòng thử nghiệm tạo cơ hội để so sánh quy trình chuẩn (xem Điều 4) với phương pháp thông thường trên ngô nguyên hạt (xem Điều 5). Các kết quả so sánh được nêu trong Bảng B.3 và mối quan hệ của chúng được diễn giải trong Hình B.3.
Bảng B.3 - Phép so sánh giữa phương pháp thay thế (phân tích trên ngô nguyên hạt, xem Điều 5) và phương pháp chuẩn (phân tích trên hạt nghiền, xem Điều 4)
| Số mẫu | Hàm lượng nước trong ngô nguyên hạt (Điều 5) | Hàm lượng nước trên hạt nghiền (Điều 4) | Độ lệch |
| 1 | 12,11 | 11,91 | + 0,20 |
| 2A | 14,79 | 14,46 | + 0,33 |
| 2B | 14,82 | 14,48 | + 0,34 |
| 3A | 15,24 | 15,08 | + 0,16 |
| 3B | 15,30 | 15,14 | + 0,16 |
| 4A | 15,67 | 15,44 | + 0,23 |
| 4B | 15,71 | 15,48 | + 0,23 |
| 5A | 16,31 | 16,00 | + 0,31 |
| 5B | 16,32 | 16,00 | + 0,32 |
| 6 | 18,46 | 17,95 | + 0,51 |
| 7 | 22,56 | 22,23 | + 0,33 |
| 8 | 27,47 | 27,19 | + 0,28 |
| 9 | 34,16 | 33,94 | + 0,22 |
| 10 | 39,26 | 39,16 | + 0,10 |
|
|
| Độ lệch | + 0,27 |

CHÚ DẪN
| X | hàm lượng nước trong ngô nghiền (xem Điều 4) |
| Y | hàm lượng nước trong ngô nguyên hạt (Điều 5) |
|
| đường hồi quy của Y trong X |
|
| đường chia đôi |
Hình B.3 - Mối quan hệ giữa phương pháp thay thế (phân tích trên ngô nguyên hạt, xem Điều 5) và phương pháp chuẩn (phân tích trên hạt nghiền, xem Điều 4)
Phụ lục C
(tham khảo)
Ứng dụng dữ liệu độ chính xác đối với phương pháp trên ngô nguyên hạt
Bảng C.1 - Áp dụng dữ liệu độ chính xác đối với phương pháp trên ngô nguyên hạt
| Hàm lượng nước (%) | Giới hạn lặp lại, r | Chênh lệch tới hạn đối với so sánh nội bộ phòng thử nghiệm, Dr | Chênh lệch tới hạn đối với so sánh liên phòng thử nghiệm, DR |
| 12,00 | 0,16 | 0,11 | 0,29 |
| 13,00 | 0,17 | 0,12 | 0,31 |
| 14,00 | 0,18 | 0,12 | 0,34 |
| 15,00 | 0,18 | 0,13 | 0,36 |
| 16,00 | 0,19 | 0,14 | 0,39 |
| 17,00 | 0,20 | 0,14 | 0,42 |
| 18,00 | 0,21 | 0,15 | 0,44 |
| 19,00 | 0,21 | 0,15 | 0,47 |
| 20,00 | 0,23 | 0,16 | 0,49 |
| 21,00 | 0,23 | 0,16 | 0,52 |
| 22,00 | 0,23 | 0,17 | 0,54 |
| 23,00 | 0,24 | 0,17 | 0,57 |
| 24,00 | 0,25 | 0,18 | 0,59 |
| 25,00 | 0,26 | 0,18 | 0,62 |
| 26,00 | 0,26 | 0,19 | 0,64 |
| 27,00 | 0,27 | 0,19 | 0,67 |
| 28,00 | 0,28 | 0,20 | 0,69 |
| 29,00 | 0,29 | 0,20 | 0,72 |
| 30,00 | 0,29 | 0,21 | 0,77 |
| 32,00 | 0,31 | 0,22 | 0,79 |
| 33,00 | 0,31 | 0,22 | 0,82 |
| 34,00 | 0,32 | 0,23 | 0,84 |
| 35,00 | 0,33 | 0,23 | 0,87 |
| 36,00 | 0,34 | 0,24 | 0,89 |
| 37,00 | 0,34 | 0,24 | 0,92 |
| 38,00 | 0,35 | 0,25 | 0,94 |
| 39,00 | 0,36 | 0,25 | 0,97 |
| 40,00 | 0,37 | 0,26 | 0,99 |
Thư mục tài liệu tham khảo
[1] TCVN 14237-1 (ISO 712-1), Ngũ cốc và sản phẩm ngũ cốc - Xác định độ ẩm - Phần 1: Phương pháp chuẩn
[2] TCVN 6910-2 (ISO 5725-2), Độ chính xác (độ đúng và độ chính xác) của phương pháp đo và kết quả đo - Phần 2: Phương pháp cơ bản để xác định độ lặp lại và độ tái lập của phương pháp đo tiêu chuẩn
[3] TCVN 9027 (ISO 24333), Ngũ cốc và các sản phẩm ngũ cốc - Lấy mẫu
[4] MARTIN, MULTON. Méthodes de référence normalisées de dosage de I’eau dans le cas du maïs. Tech. Indus. Céréales. 1979, 169 pp. 9-16
Bạn chưa Đăng nhập thành viên.
Đây là tiện ích dành cho tài khoản thành viên. Vui lòng Đăng nhập để xem chi tiết. Nếu chưa có tài khoản, vui lòng Đăng ký tại đây!


