Danh mục
|
Tổng đài trực tuyến 19006192
|
|
Mục lục
  • Tổng quan
  • Nội dung
  • VB gốc
  • Tiếng Anh
  • Hiệu lực
  • VB liên quan
  • Lược đồ
  • Nội dung hợp nhất 

    Tính năng này chỉ có tại LuatVietnam.vn. Nội dung hợp nhất tổng hợp lại tất cả các quy định còn hiệu lực của văn bản gốc và các văn bản sửa đổi, bổ sung, đính chính... trên một trang. Việc hợp nhất văn bản gốc và những văn bản, Thông tư, Nghị định hướng dẫn khác không làm thay đổi thứ tự điều khoản, nội dung.

    Khách hàng chỉ cần xem Nội dung hợp nhất là có thể nắm bắt toàn bộ quy định hiện hành đang áp dụng, cho dù văn bản gốc đã qua nhiều lần chỉnh sửa, bổ sung.

    =>> Xem hướng dẫn chi tiết cách sử dụng Nội dung hợp nhất

  • Tải về
Mục lục
Lưu
Đây là tiện ích dành cho tài khoản Tiêu chuẩn hoặc Nâng cao Vui lòng Đăng nhập tài khoản để xem chi tiết.
Theo dõi VB
Đây là tiện ích dành cho tài khoản Tiêu chuẩn hoặc Nâng cao Vui lòng Đăng nhập tài khoản để xem chi tiết.
Ghi chú
Báo lỗi
In

Thông tư 107/2020/TT-BTC hướng dẫn mua lại có kỳ hạn trái phiếu Chính phủ

Cơ quan ban hành: Bộ Tài chính
Số công báo:
Số công báo là mã số ấn phẩm được đăng chính thức trên ấn phẩm thông tin của Nhà nước. Mã số này do Chính phủ thống nhất quản lý.
Đã biết
Tiện ích dành cho tài khoản Tiêu chuẩn hoặc Nâng cao. Vui lòng Đăng nhập tài khoản để xem chi tiết.
Số hiệu: 107/2020/TT-BTC Ngày đăng công báo:
Đã biết
Tiện ích dành cho tài khoản Tiêu chuẩn hoặc Nâng cao. Vui lòng Đăng nhập tài khoản để xem chi tiết.
Loại văn bản: Thông tư Người ký: Đỗ Hoàng Anh Tuấn
Ngày ban hành:
Ngày ban hành là ngày, tháng, năm văn bản được thông qua hoặc ký ban hành.
21/12/2020
Ngày hết hiệu lực:
Ngày hết hiệu lực là ngày, tháng, năm văn bản chính thức không còn hiệu lực (áp dụng).
Đã biết
Tiện ích dành cho tài khoản Tiêu chuẩn hoặc Nâng cao. Vui lòng Đăng nhập tài khoản để xem chi tiết.
Áp dụng:
Ngày áp dụng là ngày, tháng, năm văn bản chính thức có hiệu lực (áp dụng).
Đã biết
Tiện ích dành cho tài khoản Tiêu chuẩn hoặc Nâng cao. Vui lòng Đăng nhập tài khoản để xem chi tiết.
Tình trạng hiệu lực:
Cho biết trạng thái hiệu lực của văn bản đang tra cứu: Chưa áp dụng, Còn hiệu lực, Hết hiệu lực, Hết hiệu lực 1 phần; Đã sửa đổi, Đính chính hay Không còn phù hợp,...
Đã biết
Tiện ích dành cho tài khoản Tiêu chuẩn hoặc Nâng cao. Vui lòng Đăng nhập tài khoản để xem chi tiết.
Lĩnh vực: Tài chính-Ngân hàng

TÓM TẮT THÔNG TƯ 107/2020/TT-BTC

Ngày 21/12/2020, Bộ Tài chính đã ban hành Thông tư 107/2020/TT-BTC hướng dẫn giao dịch mua lại có kỳ hạn trái phiếu Chính phủ (TPCP) từ nguồn ngân quỹ Nhà nước tạm thời nhãn rỗi của Kho bạc Nhà nước (KBNN).

Theo quy định, TPCP được KBNN chấp nhận sử dụng trong giao dịch mua lại có kỳ hạn TPCP phải đảm bảo các điều kiện: Là TPCP đang được niêm yết tại Sở Giao dịch Chứng khoán, có kỳ hạn còn lại tối đa không quá một (01) năm; Thuộc quyền sở hữu hợp pháp của bên bán và được phép chuyển nhượng; không bị ràng buộc trong các quan hệ về giao dịch đảm bảo trong thời gian mua lại có kỳ hạn, kể từ ngày thanh toán giao dịch lần 1.

Kỳ hạn mua lại TPCP của KBNN bao gồm: kỳ hạn 7 ngày, 14 ngày, 21 ngày, 1 tháng, 2 tháng và 3 tháng. KBNN sẽ căn cứ tình hình thị trường, quyết định kỳ hạn mua lại cụ thể đối với từng giao dịch, phù hợp với phương án điều hành NQNN đã được Bộ Tài chính phê duyệt hàng quý.

Hàng quý, chậm nhất sau 05 ngày làm việc kể từ ngày được Bộ Tài chính phê duyệt hạn mức sử dụng NQNN tạm thời nhàn rỗi để mua lại có kỳ hạn TPCP, KBNN thông báo tổng hạn mức giao dịch mua lại có kỳ hạn TPCP trong quý trên trang thông tin điện tử của KBNN.

Thông tư có hiệu lực thi hành kể từ ngày 01/4/2021.

Xem chi tiết Thông tư 107/2020/TT-BTC có hiệu lực kể từ ngày 01/04/2021

Tải Thông tư 107/2020/TT-BTC

Tải văn bản tiếng Việt (.pdf) Thông tư 107/2020/TT-BTC PDF (Bản có dấu đỏ)

Đây là tiện ích dành cho tài khoản thành viên. Vui lòng Đăng nhập để xem chi tiết. Nếu chưa có tài khoản, Đăng ký tại đây!

Tải văn bản tiếng Việt (.doc) Thông tư 107/2020/TT-BTC DOC (Bản Word)

Đây là tiện ích dành cho tài khoản thành viên. Vui lòng Đăng nhập để xem chi tiết. Nếu chưa có tài khoản, Đăng ký tại đây!

Tình trạng hiệu lực: Đã biết
bgdocquyen
Hiệu lực: Đã biết
Tình trạng hiệu lực: Đã biết

BỘ TÀI CHÍNH
__________

Số: 107/2020/TT-BTC

CỘNG HÒA XÃ HỘI CHỦ NGHĨA VIỆT NAM
Độc lập - Tự do - Hạnh phúc

_________________________
Hà Nội, ngày 21 tháng 12 năm 2020

THÔNG TƯ

HƯỚNG DẪN GIAO DỊCH MUA LẠI CÓ KỲ HẠN TRÁI PHIẾU CHÍNH PHỦ TỪ NGUỒN NGÂN QUỸ NHÀ NƯỚC TẠM THỜI NHÀN RỖI CỦA KHO BẠC NHÀ NƯỚC

____________________

Căn cứ Luật Ngân sách Nhà nước ngày 25 tháng 6 năm 2015;

Căn cứ Luật Chứng khoán ngày 26 tháng 11 năm 2019;

Căn cứ Nghị định số 24/2016/NĐ-CP ngày 05 tháng 4 năm 2016 của Chính phủ quy định chế độ quản lý ngân quỹ nhà nước;

Căn cứ Nghị định số 95/2018/NĐ-CP ngày 30 tháng 6 năm 2018 của Chính phủ quy định về phát hành, đăng ký, lưu ký, niêm yết và giao dịch công cụ nợ của Chính phủ trên thị trường chứng khoán;

Căn cứ Nghị định s 87/2017/NĐ-CP ngày 26 tháng 7 năm 2017 của Chính phủ quy định chức năng, nhiệm vụ, quyn hạn và cơ cấu t chức của Bộ Tài chính;

Theo đ nghị của Tng Giám đc Kho bạc Nhà nước;

Bộ trưởng Bộ Tài chính ban hành Thông tư hướng dẫn giao dịch mua lại có kỳ hạn trái phiếu Chính phủ từ nguồn ngân quỹ nhà nước tạm thời nhàn ri của Kho bạc Nhà nước.

Chương I

QUY ĐỊNH CHUNG

Đang theo dõi

Điều 1. Phạm vi điều chỉnh

Thông tư này hướng dẫn việc thực hiện giao dịch mua lại có kỳ hạn trái phiếu Chính phủ (TPCP) từ nguồn ngân quỹ nhà nước (NQNN) tạm thời nhàn rỗi bằng Việt Nam đồng (VNĐ) của Kho bạc Nhà nước (KBNN).

Đang theo dõi

Điều 2. Đối tượng áp dụng

Đang theo dõi

1. Kho bạc Nhà nước.

Đang theo dõi

2. Sở Giao dịch Chứng khoán.

Đang theo dõi

3. Tổng công ty lưu ký và bù trừ chứng khoán Việt Nam.

Đang theo dõi

4. Các ngân hàng thương mại (NHTM) đủ điều kiện giao dịch mua lại có kỳ hạn TPCP với KBNN.

Đang theo dõi

5. Các tổ chức, cá nhân có liên quan đến việc mua lại có kỳ hạn TPCP.

Đang theo dõi
Điều 3. Giải thích từ ngữ Ngoài các thuật ngữ đã được giải thích tại Thông tư số 30/2019/TT-BTC ngày 28 tháng 5 năm 2019 của Bộ Tài chính hướng dẫn đăng ký, lưu ký, niêm yết, giao dịch và thanh toán giao dịch công cụ nợ của Chính phủ, trái phiếu được Chính phủ bảo lãnh do ngân hàng chính sách phát hành và trái phiếu chính quyền địa phương (sau đây gọi là Thông tư số 30/2019/TT-BTC), trong Thông tư này, các thuật ngữ dưới đây được hiểu như sau:
Đang theo dõi

1. Giao dịch mua lại có kỳ hạn TPCP là giao dịch mua bán lại theo quy định tại điểm b khoản 1 Điều 13 Thông tư số 30/2019/TT-BTC. KBNN là bên mua trong giao dịch lần 1 và là bên bán trong giao dịch lần 2; KBNN sử dụng NQNN tạm thời nhàn rỗi để mua TPCP và nhận quyền sở hữu TPCP từ bên bán, đồng thời cam kết sẽ bán lại và chuyển quyền sở hữu khối lượng TPCP đó cho bên bán sau một thời gian xác định với một mức giá xác định.

Đang theo dõi

2. Kỳ hạn mua lại TPCP: là số ngày thực tế được tính từ ngày thanh toán giao dịch lần 1 đến ngày thanh toán giao dịch lần 2.

Đang theo dõi

3. Ngày thanh toán giao dịch lần 1 (ngày mua TPCP): là ngày TPCP được chuyển quyền sở hữu từ tài khoản lưu ký chứng khoán của NHTM sang tài khoản lưu ký chứng khoán của KBNN mở tại Tổng công ty lưu ký và bù trừ chứng khoán Việt Nam và tiền giao dịch TPCP lần 1 được KBNN chuyển vào tài khoản tiền gửi bằng VNĐ của NHTM mở tại Sở Giao dịch Ngân hàng Nhà nước Việt Nam.

Đang theo dõi

4. Ngày thanh toán giao dịch lần 2 (ngày bán lại TPCP): là ngày TPCP được chuyển quyền sở hữu từ tài khoản lưu ký chứng khoán của KBNN sang tài khoản lưu ký chứng khoán của NHTM mở tại Tổng công ty lưu ký và bù trừ chứng khoán Việt Nam và tiền giao dịch TPCP lần 2 được NHTM chuyển trả vào tài khoản tiền gửi bằng VNĐ của KBNN mở tại Sở Giao dịch Ngân hàng Nhà nước Việt Nam.

Đang theo dõi

5. Kỳ hạn còn lại của TPCP: là khoảng thời gian còn lại (theo ngày thực tế) từ ngày tổ chức mua lại có kỳ hạn TPCP (ngày T) đến ngày đáo hạn TPCP.

Đang theo dõi

6. Ngày đăng ký cuối cùng của kỳ trả lãi kế tiếp của TPCP: là ngày Tổng lưu ký và bù trừ chứng khoán Việt Nam xác định danh sách chủ sở hữu trái phiếu để thanh toán lãi, gốc TPCP.

Đang theo dõi

7. Giá gộp lãi danh nghĩa TPCP: là giá của TPCP tính vào ngày thanh toán giao dịch lần 1 và có bao gồm lãi danh nghĩa tích gộp (nếu có).

Đang theo dõi

8. Giá yết TPCP: là giá của TPCP tính vào ngày thanh toán giao dịch lần 1 và không bao gồm lãi danh nghĩa tích gộp.

Đang theo dõi

9. Giao dịch trái phiếu hưởng quyền là giao dịch có ngày thanh toán diễn ra trước hoặc trùng với ngày đăng ký cuối cùng hưởng lãi trái phiếu của kỳ trả lãi hiện tại.

Đang theo dõi

10. Giao dịch trái phiếu không hưởng quyền là giao dịch có ngày thanh toán diễn ra sau ngày đăng ký cuối cùng hưởng lãi trái phiếu của kỳ trả lãi hiện tại.

Đang theo dõi

Điều 4. Hạn mức sử dụng NQNN tạm thời nhàn rỗi để mua lại có kỳ hạn TPCP

Đang theo dõi
1. Hạn mức sử dụng NQNN tạm thời nhàn rỗi để mua lại có kỳ hạn TPCP được thực hiện theo quy định tại khoản 5 Điều 1 Thông tư số 64/2019/TT-BTC ngày 16 tháng 9 năm 2019 của Bộ Tài chính sửa đổi, bổ sung một số điều của Thông tư số 314/2016/TT-BTC ngày 28 tháng 11 năm 2016 của Bộ Tài chính hướng dẫn một số điều của Nghị định số 24/2016/NĐ-CP ngày 05 tháng 4 năm 2016 của Chính phủ quy định chế độ quản lý NQNN.
Đang theo dõi

2. Hàng quý, chậm nhất sau 05 ngày làm việc kể từ ngày được Bộ Tài chính phê duyệt hạn mức sử dụng NQNN tạm thời nhàn rỗi để mua lại có kỳ hạn TPCP, KBNN thông báo tổng hạn mức giao dịch mua lại có kỳ hạn TPCP trong quý trên trang thông tin điện tử của KBNN.

Đang theo dõi

Điều 5. Điều kiện đối với TPCP được KBNN chấp nhận trong giao dịch

TPCP được KBNN chấp nhận sử dụng trong giao dịch mua lại có kỳ hạn TPCP phải đảm bảo các điều kiện sau:

Đang theo dõi

1. Là TPCP đang được niêm yết tại Sở Giao dịch Chứng khoán, có kỳ hạn còn lại tối đa không quá một (01) năm.

Đang theo dõi

2. Thuộc quyền sở hữu hợp pháp của bên bán và được phép chuyển nhượng; không bị ràng buộc trong các quan hệ về giao dịch bảo đảm trong thời gian mua lại có kỳ hạn, kể từ ngày thanh toán giao dịch lần 1.

Đang theo dõi

Điều 6. Kỳ hạn mua lại TPCP

Đang theo dõi

1. Kỳ hạn mua lại TPCP của KBNN bao gồm: kỳ hạn 7 ngày, 14 ngày, 21 ngày, 1 tháng, 2 tháng và 3 tháng.

Đang theo dõi

2. Giao KBNN căn cứ tình hình thị trường, quyết định kỳ hạn mua lại cụ thể đối với từng giao dịch, phù hợp với phương án điều hành NQNN đã được Bộ Tài chính phê duyệt hàng quý.

Đang theo dõi

Điều 7. Hình thức giao dịch và hệ thống thực hiện giao dịch mua lại có kỳ hạn TPCP

Đang theo dõi

1. Hình thức giao dịch: KBNN thực hiện giao dịch mua lại có kỳ hạn TPCP theo hình thức thỏa thuận điện tử có tính chất lựa chọn, đảm bảo việc lựa chọn đối tác giao dịch theo nguyên tắc đấu thầu cạnh tranh lãi suất mua lại có kỳ hạn TPCP; phương thức xác định lãi suất mua lại có kỳ hạn TPCP là đa giá, phù hợp với quy định tại Điều 16, Điều 17 Thông tư số 30/2019/TT-BTC.

Đang theo dõi

2. Hệ thống thực hiện giao dịch: Giao dịch mua lại có kỳ hạn TPCP của KBNN được thực hiện trên hệ thống giao dịch công cụ nợ tại Sở Giao dịch Chứng khoán.

Đang theo dõi

Điều 8. Đối tác giao dịch mua lại có kỳ hạn TPCP và hạn mức dư nợ giao dịch cho từng đối tác

Đang theo dõi

1. KBNN lựa chọn đối tác giao dịch là các NHTM để giao dịch mua lại có kỳ hạn TPCP đáp ứng đồng thời các tiêu chí sau:

Đang theo dõi

a) Trong danh sách các NHTM được xếp hạng theo mức độ an toàn do Ngân hàng Nhà nước Việt Nam cung cấp cho Bộ Tài chính (KBNN) hàng năm theo quy định tại khoản 3 Điều 14 Nghị định số 24/2016/NĐ-CP.

Đang theo dõi

b) Đang là thành viên giao dịch trên thị trường giao dịch công cụ nợ tại Sở Giao dịch Chứng khoán.

Đang theo dõi

c) Không vi phạm nghĩa vụ thanh toán trong giao dịch mua lại có kỳ hạn TPCP với KBNN theo quy định tại khoản 2 Điều 15 Thông tư này trong vòng một (01) năm (tính theo ngày) liền kề trước tính đến ngày KBNN thực hiện giao dịch mua lại có kỳ hạn TPCP.

Đang theo dõi

2. Hạn mức dư nợ giao dịch cho từng đối tác:

Hàng quý, căn cứ hạn mức sử dụng NQNN tạm thời nhàn rỗi để giao dịch mua lại có kỳ hạn TPCP được Bộ Tài chính phê duyệt, KBNN xác định và thông báo hạn mức dư nợ giao dịch quý bằng văn bản cho từng NHTM chậm nhất sau 05 ngày làm việc kể từ ngày được Bộ Tài chính phê duyệt.

Đang theo dõi

Điều 9. Hợp đồng giao dịch

Đang theo dõi

1. Giao dịch mua lại có kỳ hạn TPCP giữa KBNN và NHTM được thực hiện theo Hợp đồng, bao gồm: hợp đồng khung và các phụ lục hợp đồng.

Đang theo dõi

2. Chậm nhất sau 03 ngày làm việc kể từ ngày nhận được danh sách các NHTM được xếp hạng theo mức độ an toàn do Ngân hàng Nhà nước Việt Nam cung cấp theo quy định tại khoản 3 Điều 14 Nghị định số 24/2016/NĐ-CP, KBNN thông báo bằng văn bản đến từng NHTM đáp ứng các tiêu chí nêu tại khoản 1 Điều 8 Thông tư này; sau đó, tổ chức ký Hợp đồng khung với các NHTM chấp thuận giao dịch với KBNN, đảm bảo hoàn thành chậm nhất sau 10 ngày làm việc, kể từ ngày KBNN gửi thông báo. Trường hợp Ngân hàng Nhà nước Việt Nam có văn bản thông báo điều chỉnh danh sách các NHTM được xếp hạng theo mức độ an toàn, thì chậm nhất sau 03 ngày làm việc kể từ ngày nhận được văn bản điều chỉnh của Ngân hàng Nhà nước Việt Nam, KBNN thông báo bằng văn bản đến từng NHTM được bổ sung hoặc bị loại khỏi danh sách. Trường hợp các NHTM được bổ sung chấp thuận giao dịch với KBNN, KBNN tổ chức ký Hợp đồng khung với các NHTM, đảm bảo hoàn thành chậm nhất sau 10 ngày làm việc kể từ ngày gửi thông báo. Hợp đồng khung được thanh lý, chấm dứt theo thỏa thuận giữa KBNN và NHTM hoặc khi NHTM đó không đáp ứng đủ tiêu chí nêu tại khoản 1 Điều 8 Thông tư này bằng hình thức ký kết biên bản thanh lý hợp đồng. Trường hợp NHTM đó vẫn còn có các phụ lục hợp đồng đang còn hiệu lực, thì KBNN chấm dứt hợp đồng khung với NHTM đó vào ngày kết thúc phụ lục hợp đồng cuối cùng đã được ký kết với KBNN.

Đang theo dõi

3. Nội dung chính của hợp đồng khung, bao gồm:

Đang theo dõi

a) Căn cứ pháp lý thực hiện hợp đồng.

Đang theo dõi

b) Ngày hợp đồng, địa điểm ký kết hợp đồng .

Đang theo dõi

c) Thông tin bên mua, thông tin bên bán, bao gồm: tên, địa chỉ, điện thoại, số tài khoản và nơi mở tài khoản (tài khoản tiền gửi và tài khoản lưu ký chứng khoán) của bên mua, bên bán.

Đang theo dõi

d) Phương thức giao dịch (không bao gồm nội dung về lãi suất mua lại có kỳ hạn, kỳ hạn mua lại TPCP, các điều kiện và điều khoản của TPCP, khối lượng TPCP giao dịch, các mức giá trị giao dịch lần 1, lần 2).

Đang theo dõi

đ) Phương thức thanh toán và chuyển giao TPCP.

Đang theo dõi

e) Quyền và nghĩa vụ của các bên.

Đang theo dõi

g) Vi phạm và xử lý vi phạm hợp đồng.

Đang theo dõi

h) Giải quyết tranh chấp.

Đang theo dõi

i) Quy định về ngày có hiệu lực của hợp đồng , thời hạn hợp đồng và chấm dứt hợp đồng; về thay đổi điều khoản, điều kiện quy định tại hợp đồng.

Đang theo dõi

k) Các nội dung liên quan khác (nếu có).

Đang theo dõi

4. Căn cứ Hợp đồng khung đã được ký kết, KBNN và NHTM ký phụ lục hợp đồng cho từng lần giao dịch. Nội dung chính của phụ lục hợp đồng, bao gồm:

Đang theo dõi

a) Các thông tin về TPCP được mua lại có kỳ hạn: mã TPCP, giá trị niêm yết, ngày phát hành, ngày đáo hạn, lãi suất danh nghĩa, phương thức thanh toán gốc lãi, kỳ hạn còn lại của TPCP, tỷ lệ phòng vệ rủi ro.

Đang theo dõi

b) Chi tiết giao dịch lần 1: Lãi suất mua lại có kỳ hạn TPCP; kỳ hạn mua lại TPCP; tiền lãi mua lại có kỳ hạn TPCP; ngày thanh toán giao dịch lần 1; giá yết, khối lượng TPCP giao dịch và giá trị giao dịch lần 1 tương ứng với từng mã TPCP.

Đang theo dõi

c) Chi tiết giao dịch lần 2: Ngày thanh toán giao dịch lần 2; khối lượng TPCP giao dịch và giá trị giao dịch lần 2 tương ứng với từng mã TPCP.

Đang theo dõi

d) Các nội dung liên quan khác (nếu có).

Đang theo dõi

5. Hợp đồng khung và phụ lục hợp đồng được lập bằng văn bản giấy, có đầy đủ dấu và chữ ký trực tiếp của người có thẩm quyền đại diện các bên thực hiện hợp đồng.

Đang theo dõi

Chương II

QUY ĐỊNH CỤ THỂ

Đang theo dõi

Điều 10. Quy trình giao dịch mua lại có kỳ hạn TPCP

Đang theo dõi

1. Từ 9h00 ngày tổ chức mua lại có kỳ hạn TPCP, KBNN gửi yêu cầu chào giá về đợt mua lại có kỳ hạn TPCP lên hệ thống giao dịch công cụ nợ của Sở Giao dịch Chứng khoán cho các NHTM đã ký hợp đồng khung. Nội dung yêu cầu chào giá bao gồm:

Đang theo dõi

a) Tổng khối lượng TPCP tính theo mệnh giá TPCP dự kiến chào mua tương ứng với từng loại kỳ hạn mua lại TPCP.

Đang theo dõi

b) Ngày tổ chức mua lại có kỳ hạn TPCP (ngày T), ngày bắt đầu giao dịch (ngày T+1).

Đang theo dõi

c) Ngày thanh toán giao dịch lần 1 (ngày T+2), ngày thanh toán giao dịch lần 2 đối với từng loại kỳ hạn mua lại TPCP.

Đang theo dõi

2.Từ 9h00 - 10h00 ngày T, các NHTM gửi lệnh chào chắc chắn theo quy chế giao dịch của Sở Giao dịch Chứng khoán, đảm bảo tổng khối lượng chào giá tại tất cả các kỳ hạn mua lại TPCP không vượt quá hạn mức dư nợ giao dịch còn lại của NHTM đó (các lệnh chào gửi sau 10h không có hiệu lực), cụ thể:

Đang theo dõi

a) Đối với mỗi loại kỳ hạn mua lại TPCP, mỗi NHTM được chào tối đa năm (05) lệnh chào đối với mỗi loại kỳ hạn mua lại TPCP, đảm bảo tổng khối lượng chào không vượt quá tổng khối lượng KBNN yêu cầu chào giá đối với loại kỳ hạn đó.

Đang theo dõi

b) Mỗi lệnh chào bao gồm lãi suất chào mua lại có ký hạn (tính đến 2 chữ số thập phân); một (01) hoặc nhiều mã TPCP được sử dụng để làm tài sản đảm bảo, khối lượng chào tính theo mệnh giá TPCP, tỷ lệ phòng vệ rủi ro, giá yết tương ứng cho từng mã TPCP và các nội dung khác liên quan. Trong đó, tỷ lệ phòng vệ rủi ro được xác định theo quy định tại khoản 1 Điều 12 Thông tư này; giá yết được xác định theo công thức quy định tại Điều 13 Thông tư này.

Đang theo dõi

c) Khối lượng chào tính theo mệnh giá TPCP của mỗi lệnh chào không thấp hơn mức tối thiểu theo thông báo của KBNN trong từng thời kỳ.

Đang theo dõi

3. Từ 10h00 - 10h15 ngày T, KBNN thực hiện mở các bản chào trên hệ thống giao dịch công cụ nợ của Sở Giao dịch Chứng khoán. Căn cứ các lệnh chào nhận được trên hệ thống giao dịch công cụ nợ của Sở Giao dịch Chứng khoán, KBNN xác định kết quả mua lại có kỳ hạn TPCP theo quy định tại Điều 11 Thông tư này.

Đang theo dõi

4. Căn cứ kết quả xác định theo khoản 3 Điều này, chậm nhất 13h30 ngày T, KBNN lựa chọn các lệnh chào trên hệ thống giao dịch công cụ nợ của Sở Giao dịch Chứng khoán để thực hiện giao dịch.

Đang theo dõi

5. Ký phụ lục hợp đồng:

Chậm nhất vào 16h30 ngày T, KBNN ký phụ lục hợp đồng với từng NHTM được lựa chọn. Trong đó, đối với mỗi NHTM được lựa chọn, mỗi phụ lục hợp đồng được ký kết tương ứng với 01 lệnh chào được lựa chọn của NHTM đó.

Sau 16h30 ngày T, KBNN dừng việc ký kết phụ lục hợp đồng với các NHTM. KBNN hủy bỏ các kết quả mua lại có kỳ hạn TPCP của các NHTM được chọn nhưng chưa hoàn thành việc ký kết phụ lục hợp đồng theo quy chế giao dịch của Sở Giao dịch Chứng khoán, đảm bảo hoàn thành chậm nhất vào 17h00 ngày T.

Đang theo dõi

6. Thanh toán giao dịch lần 1 và lần 2: Căn cứ Phụ lục hợp đồng đã ký kết, KBNN và NHTM thực hiện thanh toán giao dịch lần 1 và lần 2 (chuyển tiền và TPCP) theo quy định tại Điều 29, Điều 31Điều 32 Thông tư số 30/2019/TT-BTC.

Đang theo dõi

Điều 11. Xác định kết quả mua lại có kỳ hạn TPCP

Đang theo dõi

1. Phương pháp xác định lãi suất mua lại có kỳ hạn TPCP:

Lãi suất mua lại có kỳ hạn TPCP áp dụng cho mỗi NHTM là mức lãi suất chào của NHTM đó được xét chọn theo thứ tự từ cao xuống thấp và thỏa mãn đồng thời cả hai (02) điều kiện sau:

Đang theo dõi

a) Mức lãi suất mua lại có kỳ hạn TPCP thấp nhất không thấp hơn lãi suất tối thiểu do KBNN quy định trong từng thời kỳ.

Đang theo dõi

b) Khối lượng mua lại có kỳ hạn TPCP tính lũy kế đến mức lãi suất mua lại có kỳ hạn TPCP thấp nhất không vượt quá khối lượng KBNN thông báo.

Đang theo dõi

2. Phương pháp xác định khối lượng mua lại có kỳ hạn TPCP đối với từng NHTM:

Đang theo dõi

a) Khối lượng mua lại có kỳ hạn TPCP đối với mỗi NHTM tham gia chào tương đương với khối lượng chào của NHTM đó.

Trường hợp tại mức lãi suất mua lại có kỳ hạn TPCP được lựa chọn thấp nhất, khối lượng chào tính lũy kế đến mức lãi suất này vượt quá khối lượng KBNN thông báo với loại kỳ hạn mua lại đó, thì sau khi đã trừ đi khối lượng chào ở các mức lãi suất cao hơn, phần còn lại của khối lượng KBNN thông báo được phân bổ cho các NHTM chào tại mức lãi suất mua lại có kỳ hạn TPCP được lựa chọn thấp nhất theo tỷ lệ tương ứng với khối lượng chào và được làm tròn xuống hàng tỷ đồng. Phần dư còn lại của khối lượng KBNN thông báo sau khi làm tròn xuống đơn vị tỷ đồng được phân bổ cho NHTM đầu tiên chào tại mức lãi suất mua lại có kỳ hạn được lựa chọn thấp nhất; trường hợp phân bổ phần dư vượt quá khối lượng chào còn lại của NHTM này, thì phần vượt quá tiếp tục được phân bổ cho NHTM kế tiếp cho đến hết khối lượng KBNN thông báo.

Đang theo dõi

b) Trường hợp khối lượng chào của NHTM vượt hạn mức dư nợ giao dịch còn lại của NHTM đó, khối lượng chào được xét kết quả mua lại có kỳ hạn TPCP của NHTM là hạn mức dư nợ giao dịch còn lại, theo thứ tự ưu tiên kỳ hạn mua lại ngắn hơn, lãi suất chào cao hơn.

Đang theo dõi

c) Việc xác định cụ thể khối lượng mua lại có kỳ hạn TPCP của từng NHTM được thực hiện theo hướng dẫn tại Phụ lục Thông tư này.

Đang theo dõi

Điều 12. Giá trị giao dịch lần 1, lãi mua lại có kỳ hạn và giá trị giao dịch lần 2

Đang theo dõi

1. Giá trị giao dịch lần 1 của KBNN tương ứng với từng lệnh chào được xác định theo công thức:

V1 = ΣVi

Trong đó, Vi là giá trị giao dịch lần 1 tương ứng với từng mã TPCP của lệnh chào được lựa chọn, được tính như sau:

Đang theo dõi

a) Đối với TPCP thanh toán lãi định kỳ:

Vi = GG x (1 - H) x KL

Trong đó:

Vi: Giá trị giao dịch lần 1 tương ứng với mã TPCP i của lệnh chào được lựa chọn (làm tròn xuống đơn vị đồng).

GG: Giá gộp lãi danh nghĩa của một (01) trái phiếu của mã TPCP i, được tính theo quy định tại Điều 13 Thông tư này.

H: Tỷ lệ phòng vệ rủi ro được quy đổi sang số thập phân, được quy định là 5% tính trên giá gộp lãi danh nghĩa của TPCP.

KL: Khối lượng TPCP giao dịch tương ứng với mã TPCP i (= khối lượng mua lại có kỳ hạn của mã TPCP đó tính theo mệnh giá/ mệnh giá trái phiếu).

Đang theo dõi

b) Đối với TPCP không thanh toán lãi định kỳ:

Vi = G x (1 - H) x KL

Vi: Giá trị giao dịch lần 1 tương ứng với mã TPCP i của lệnh chào được lựa chọn (làm tròn xuống đơn vị đồng).

G: Giá yết của một (01) trái phiếu của mã TPCP i, được tính theo quy định tại Điều 13 Thông tư này.

H: Tỷ lệ phòng vệ rủi ro được quy đổi sang số thập phân, được quy định là 5% tính trên giá gộp lãi danh nghĩa của TPCP.

KL: Khối lượng TPCP giao dịch tương ứng với mã TPCP i (= khối lượng mua lại có kỳ hạn của mã TPCP đó tính theo mệnh giá/ mệnh giá trái phiếu).

Đang theo dõi
2. Lãi mua lại có kỳ hạn TPCP được xác định theo từng lệnh chào và theo công thức sau:

L = V1 x R x

T

 

Số ngày thực tế của năm

Trong đó:
Đang theo dõi

a) L: Lãi mua lại có kỳ hạn TPCP (làm tròn xuống đơn vị đồng).

Đang theo dõi

b) R: Lãi suất mua lại có kỳ hạn TPCP (%/năm) tương ứng với từng lệnh chào.

Đang theo dõi

c) T: Kỳ hạn mua lại TPCP (ngày), tính từ ngày thanh toán giao dịch lần 1 đến hết ngày liền kề trước ngày thanh toán giao dịch lần 2.

Đang theo dõi

d) Số ngày thực tế của năm: Là số ngày thực tế của năm có ngày thanh toán giao dịch lần 1.

Đang theo dõi

3. Giá trị giao dịch lần 2 của KBNN tương ứng với từng lệnh chào được xác định theo công thức sau:

V2 = V1 + L - ΣCi

Trong đó:

Đang theo dõi

a) V2: Giá trị giao dịch lần 2.

Đang theo dõi

b) Ci: Lãi danh nghĩa của mã TPCP i mà KBNN được nhận (nếu có).

Đang theo dõi

Điều 13. Giá gộp lãi danh nghĩa, lãi danh nghĩa tích gộp và giá yết TPCP

Đang theo dõi

1. Giá gộp lãi danh nghĩa:

Đang theo dõi

a) Xác định giá một (01) TPCP có lãi suất danh nghĩa cố định, thanh toán lãi định kỳ:

- Đối với TPCP được thanh toán lãi mười hai (12) tháng một lần, giá một (01) TPCP được xác định như sau:

Trong đó:

GG: Giá một (01) TPCP (được làm tròn xuống đơn vị đồng).

MG: Mệnh giá TPCP.

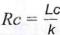
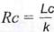
Lc: Lãi suất danh nghĩa TPCP (%/năm).

d: Số ngày thực tế giữa ngày thanh toán tiền giao dịch lần 1 và ngày thanh toán tiền lãi kế tiếp.

E: Số ngày thực tế trong kỳ trả lãi mà TPCP được mua lại có kỳ hạn.

t: Số lần thanh toán lãi của TPCP giữa ngày thanh toán tiền giao dịch lần 1 và ngày TPCP đáo hạn.

Lt: Lãi suất chiết khấu TPCP (%/năm), là lãi suất cho đến khi đáo hạn (YTM) được Sở Giao dịch Chứng khoán công bố trong ngày tổ chức mua lại có kỳ hạn TPCP đối với mã TPCP được sử dụng trong giao dịch trên trang thông tin điện tử của Sở Giao dịch Chứng khoán (phần đường cong lợi suất).

- Đối với TPCP được thanh toán lãi sáu (06) tháng một lần:

+ Trường hợp ngày mua lại có kỳ hạn TPCP trước hoặc vào ngày đăng ký cuối cùng của kỳ trả lãi kế tiếp, giá một (01) TPCP được xác định như sau:

+ Trường hợp ngày mua lại TPCP sau ngày đăng ký cuối cùng của kỳ trả lãi kế tiếp, giá một (01) TPCP được xác định như sau:

Trong đó:

GG: Giá một (01) TPCP (được làm tròn xuống đơn vị đồng).

MG: Mệnh giá TPCP.

Lc: Lãi suất danh nghĩa TPCP (%/năm).

d: Số ngày thực tế giữa ngày thanh toán tiền giao dịch lần 1 và ngày thanh toán tiền lãi kế tiếp.

E: Số ngày thực tế trong kỳ trả lãi mà TPCP được mua lại có kỳ hạn.

t: Số lần thanh toán lãi của TPCP giữa ngày thanh toán tiền giao dịch lần 1 và ngày TPCP đáo hạn.

Lt: Lãi suất chiết khấu TPCP (%/năm), là lãi suất cho đến khi đáo hạn (YTM) được Sở Giao dịch Chứng khoán công bố trong ngày tổ chức mua lại có kỳ hạn TPCP đối với mã TPCP được sử dụng trong giao dịch trên trang thông tin điện tử của Sở Giao dịch Chứng khoán (phần đường cong lợi suất).

Đang theo dõi

b) Xác định giá một (01) TPCP không thanh toán lãi định kỳ: Giá gộp lãi danh nghĩa bằng giá yết được tính theo công thức quy định tại điểm c khoản 3 Điều này.

Đang theo dõi

c) Bộ Tài chính thông báo cách xác định giá gộp lãi danh nghĩa trong trường hợp lãi suất danh nghĩa TPCP là lãi suất thả nổi khi phát sinh.

Đang theo dõi

2. Lãi danh nghĩa tích gộp:

Đang theo dõi
a) Xác định lãi danh nghĩa tích gộp trong ngày giao dịch hưởng quyền: Trong đó: Cc: Lãi danh nghĩa tích gộp trong ngày giao dịch hưởng quyền. MG: Mệnh giá TPCP.

 trong đó Lc: Lãi suất danh nghĩa trái phiếu (%/năm); k: số lần thanh toán lãi trong năm.

Dn: Số ngày từ ngày thanh toán tiền giao dịch lần 1 đến ngày trả lãi danh nghĩa tiếp theo gần nhất hoặc từ ngày thanh toán tiền giao dịch lần 1 đến ngày đáo hạn trái phiếu. E: Số ngày thực tế trong kỳ trả lãi mà TPCP được mua lại có kỳ hạn.
Đang theo dõi
b) Xác định lãi danh nghĩa tích gộp trong ngày giao dịch không hưởng quyền: Trong đó: Cx: Lãi danh nghĩa tích gộp trong ngày giao dịch không hưởng quyền. MG: Mệnh giá TPCP.

 trong đó Lc: Lãi suất danh nghĩa trái phiếu (%/năm); k: Số lần thanh toán lãi trong năm.

Dn: Số ngày từ ngày thanh toán giao dịch lần 1 đến ngày trả lãi danh nghĩa tiếp theo gần nhất hoặc từ ngày thanh toán giao dịch lần 1 đến ngày đáo hạn trái phiếu. E: Số ngày thực tế trong kỳ trả lãi mà TPCP được mua lại có kỳ hạn.
Đang theo dõi

c) Lãi danh nghĩa tích gộp trong trường hợp ngày thanh toán trùng với ngày trả lãi danh nghĩa được xác định bằng 0 (không).

Đang theo dõi

3. Giá yết TPCP:

Đang theo dõi

a) Đối với trái phiếu có phương thức thanh toán lãi vào cuối kỳ:

- Xác định giá yết trong ngày giao dịch hưởng quyền:

G = GG - Cc

Trong đó:

G: Giá yết (được làm tròn xuống đơn vị đồng).

GG: Giá gộp lãi danh nghĩa một (01) TPCP.

Cc: Lãi danh nghĩa tích gộp trong ngày giao dịch hưởng quyền.

- Xác định giá yết trong ngày giao dịch không hưởng quyền:

G = GG + Cx

Trong đó:

G: Giá yết (được làm tròn xuống đơn vị đồng).

GG: Giá gộp lãi danh nghĩa một (01) TPCP.

Cx: Lãi danh nghĩa tích gộp trong ngày giao dịch không hưởng quyền.

- Xác định giá yết trong trong trường hợp ngày thanh toán giao dịch lần 1 trùng với ngày trả lãi danh nghĩa:

G = GG

Trong đó:

G: Giá yết.

GG: Giá gộp lãi danh nghĩa một (01) TPCP.

Đang theo dõi
b) Đối với trái phiếu có phương thức thanh toán lãi đầu kỳ: - Xác định giá yết trong ngày giao dịch hưởng quyền: G = GG + Cx Trong đó: G: Giá yết (được làm tròn xuống đơn vị đồng). GG: Giá gộp lãi danh nghĩa một (01) TPCP. Cx: Lãi danh nghĩa tích gộp trong ngày giao dịch không hưởng quyền. - Xác định giá yết trong ngày giao dịch không hưởng quyền: G = GG + Cx + MG x Rc Trong đó: G: Giá yết (được làm tròn xuống đơn vị đồng). GG: Giá gộp lãi danh nghĩa một (01) TPCP. Cx: Lãi danh nghĩa tích gộp trong ngày giao dịch không hưởng quyền. MG: Mệnh giá TPCP.

trong đó Lc: Lãi suất danh nghĩa trái phiếu (%/năm); k: Số lần thanh toán lãi trong năm.

- Xác định giá yết trong trong trường hợp ngày thanh toán trùng với ngày trả lãi danh nghĩa: G = GG + MG X Rc Trong đó: G: Giá yết (được làm tròn xuống đơn vị đồng). GG: Giá gộp lãi danh nghĩa một (01) TPCP. MG: Mệnh giá TPCP.

 trong đó Lc: Lãi suất danh nghĩa trái phiếu (%/năm); k: số lần thanh toán lãi trong năm.

Đang theo dõi

c) Đối với TPCP không thanh toán lãi định kỳ:

Trong đó:

G: Giá một (01) TPCP (được làm tròn xuống đơn vị đồng).

MG: Mệnh giá TPCP .

a: Số ngày kể từ ngày thanh toán tiền giao dịch lần 1 cho đến ngày TPCP đáo hạn.

E: Số ngày trong kỳ trả lãi giả định mà TPCP được mua lại có kỳ hạn.

Lt: Lãi suất chiết khấu TPCP (%/năm), là lãi suất cho đến khi đáo hạn (YTM) được Sở Giao dịch Chứng khoán công bố trong ngày tổ chức mua lại có kỳ hạn TPCP đối với mã TPCP được sử dụng trong giao dịch trên trang thông tin điện tử của Sở Giao dịch Chứng khoán (phần đường cong lợi suất).

Đang theo dõi

Điều 14. Xử lý chậm thanh toán tiền giao dịch lần 1, lần 2

Đang theo dõi

1. Trường hợp chậm thanh toán tiền giao dịch lần 1, lần 2, thì bên chậm thanh toán phải thanh toán tiền phạt chậm thanh toán cho bên còn lại. Số tiền phạt chậm thanh oán được xác định theo quy định tại khoản 2 Điều này; bên chậm thanh toán thực hiện thanh toán trực tiếp vào tài khoản tiền gửi của bên còn lại, cùng ngày với ngày thực thanh toán giao dịch tương ứng (không tính vào giá trị thanh toán giao dịch lần 1, lần 2).

Đang theo dõi

2. Tiền phạt chậm thanh toán được tính theo công thức:

Tiền phạt chậm thanh toán = Giá trị giao dịch chậm thanh toán (đồng) x Lãi suất phạt chậm thanh toán (%/năm) x Số ngày chậm thanh toán/ 365 ngày.

Trong đó:

Đang theo dõi

a) Giá trị giao dịch chậm thanh toán được tính theo phần giá trị chậm thanh toán (bao gồm gốc và lãi).

Đang theo dõi

b) Lãi suất phạt chậm thanh toán được xác định bằng 150% mức lãi suất mua lại có kỳ hạn TPCP của phụ lục hợp đồng chậm thanh toán và không vượt quá 10%/năm.

Đang theo dõi

c) Số ngày chậm thanh toán được xác định bằng số ngày thực tế chậm thanh toán tính từ ngày thanh toán theo phụ lục hợp đồng đến hết ngày liền kề trước ngày thực thanh toán.

Đang theo dõi

Điều 15. Xử lý trường hợp NHTM không thực hiện thanh toán tiền cho KBNN

Đang theo dõi

1. Trường hợp NHTM không thực hiện thanh toán tiền cho KBNN theo cam kết, KBNN và NHTM thống nhất và ký phụ lục hợp đồng bằng văn bản để điều chỉnh thời gian thanh toán theo quy định tại khoản 1 Điều 23điểm a khoản 4 Điều 32 Thông tư số 30/2019/TT-BTC. NHTM thanh toán giá trị giao dịch lần 2 và tiền phạt chậm thanh toán theo quy định tại Điều 14 Thông tư này cho đến ngày thực thanh toán.

Đang theo dõi

2. Sau thời hạn thanh toán quy định tại khoản 1 Điều này mà NHTM vẫn không thực hiện thanh toán cho KBNN, KBNN giữ TPCP cho đến khi đáo hạn và nhận gốc, lãi TPCP để khấu trừ toàn bộ nghĩa vụ phải thanh toán (giá trị giao dịch lần 2 và tiền phạt chậm thanh toán) của NHTM; số tiền còn lại (nếu có), KBNN trả lại cho NHTM.

Bổ sung
Đang theo dõi

Điều 16. Hạch toán kế toán

Đang theo dõi

1. Các khoản sử dụng và hoàn trả NQNN để thực hiện giao dịch mua lại có kỳ hạn TPCP được hạch toán theo chế độ kế toán ngân sách nhà nước.

Đang theo dõi
2. Các khoản thu, chi từ giao dịch mua lại có kỳ hạn TPCP được hạch toán, tổng hợp vào thu, chi nghiệp vụ của KBNN theo quy định tại Thông tư số 180/2013/TT-BTC ngày 02 tháng 12 năm 2013 của Bộ Tài chính quy định thực hiện cơ chế quản lý tài chính và biên chế của KBNN.
Đang theo dõi

Điều 17. Công bố thông tin của KBNN

Chậm nhất ngày 10 hàng tháng, KBNN công bố thông tin trên trang thông tin điện tử của KBNN về kết quả mua lại có kỳ hạn TPCP trong tháng liền kề trước đó (khối lượng, lãi suất mua lại có kỳ hạn TPCP bình quân gia quyền tương ứng với từng loại kỳ hạn).

Đang theo dõi

Chương III

TỔ CHỨC THỰC HIỆN

Đang theo dõi

Điều 18. Trách nhiệm của các đơn vị có liên quan

Đang theo dõi

1. Kho bạc Nhà nước

Đang theo dõi
a) Thực hiện đầy đủ các nhiệm vụ, quyền hạn và nghĩa vụ liên quan đến giao dịch mua lại có kỳ hạn TPCP theo quy định tại Nghị định số 24/2016/NĐ-CP ngày 05 tháng 4 năm 2016 của Chính phủ quy định chế độ quản lý ngân quỹ nhà nước, Thông tư số 314/2016/TT-BTC ngày 28 tháng 11 năm 2016 của Bộ Tài chính hướng dẫn một số điều tại Nghị định số 24/2016/NĐ-CP ngày 05 tháng 4 năm 2016 của Chính phủ quy định chế độ quản lý ngân quỹ nhà nước, Thông tư số 64/2019/TT-BTC ngày 16 tháng 9 năm 2019 của Bộ Tài chính sửa đổi, bổ sung một số điều của Thông tư số 314/2016/TT-BTC ngày 28 tháng 11 năm 2016 của Bộ Tài chính hướng dẫn một số điều tại Nghị định số 24/2016/NĐ-CP ngày 05 tháng 4 năm 2016 của Chính phủ quy định chế độ quản lý ngân quỹ nhà nước, Thông tư số 30/2019/TT-BTC ngày 28 tháng 5 năm 2019 của Bộ Tài chính hướng dẫn đăng ký, lưu ký, niêm yết, giao dịch và thanh toán công cụ nợ của Chính phủ, trái phiếu được Chính phủ bảo lãnh do ngân hàng chính sách phát hành và trái phiếu chính quyền địa phương và tại Thông tư này.
Đang theo dõi

b) Phối hợp cung cấp thông tin về giao dịch mua lại có kỳ hạn TPCP (khối lượng, lãi suất, thời gian, kỳ hạn mua lại TPCP) với Ngân hàng Nhà nước Việt Nam.

Bổ sung
Đang theo dõi

2. Sở Giao dịch Chứng khoán:

Đang theo dõi

a) Tổ chức hệ thống giao dịch đảm bảo thực hiện giao dịch của KBNN theo quy định tại Điều 10Điều 13 Thông tư này;

Đang theo dõi

b) Công bố lãi suất cho đến khi đáo hạn (YTM) đối với danh mục TPCP của KBNN theo quy định tại Điều 13 Thông tư này.

Bổ sung
Bổ sung
Đang theo dõi

3. Tổng công ty lưu ký và bù trừ chứng khoán Việt Nam: Thực hiện thanh toán giao dịch mua lại có kỳ hạn TPCP của KBNN theo quy định tại Điều 29, Điều 31, Điều 32Điều 33 Thông tư số 30/2019/TT-BTC.

Đang theo dõi

Điều 19. Điều khoản thi hành

Đang theo dõi

1. Thông tư này có hiệu lực thi hành kể từ ngày 01 tháng 4 năm 2021.

Đang theo dõi
2. Thông tư này thay thế quy định mua lại có kỳ hạn TPCP quy định tại Điều 9 Thông tư số 314/2016/TT-BTC ngày 28/11/2016 của Bộ Tài chính hướng dẫn một số điều tại Nghị định số 24/2016/NĐ-CP ngày 05 tháng 4 năm 2016 của Chính phủ quy định chế độ quản lý ngân quỹ nhà nước.
Đang theo dõi

3. Trường hợp các văn bản được dẫn chiếu tại Thông tư này được sửa đổi, bổ sung hoặc thay thế, thì thực hiện theo các văn bản sửa đổi, bổ sung hoặc thay thế đó./.

Đang theo dõi

Nơi nhận:
- Ban Bí thư Trung ương Đảng;
- Thủ tướng, các Phó Thủ tướng Chính phủ;
- Văn phòng Tổng Bí thư;
- Văn phòng Chủ tịch nước;
- Văn phòng Trung ương và các Ban của Đảng;
- Văn phòng Quốc hội;
- Hội đồng dân tộc và các Ủy ban của Quốc hội;
- Văn phòng Chính phủ;
- Ban Nội chính Trung ương;
- Tòa án Nhân dân tối cao;
- Viện kiểm sát Nhân dân tối cao;
- Kiểm toán Nhà nước;
- Các Bộ, cơ quan ngang Bộ, cơ quan thuộc Chính phủ;
- Cơ quan Trung ương của các đoàn thể;
- Hội đồng Nhân dân, Ủy ban Nhân dân các tỉnh, thành phố trực thuộc Trung ương;
- Sở Tài chính, Kho bạc Nhà nước các tỉnh, thành phố trực thuộc trung ương;
- Cục Kiểm tra văn bản QPPL (Bộ Tư pháp);
- Công báo;
- Cổng thông tin điện tử Chính phủ;
- Cổng thông tin điện tử Bộ Tài chính;
- Các đơn vị thuộc, trực thuộc Bộ Tài chính;
- Lưu: VT, KBNN (255 bản).

KT. BỘ TRƯỞNG
THỨ TRƯỞNG




Đỗ Hoàng Anh Tuấn

Tải biểu mẫu

PHỤ LỤC

XÁC ĐỊNH LÃI SUẤT VÀ PHÂN BỔ KHỐI LƯỢNG
MUA LẠI CÓ KỲ HẠN TRÁI PHIẾU CHÍNH PHỦ

(Ban hành kèm theo Thông tư s 107/2020/TT-BTC ngày 21 tháng 12 năm 2020
của Bộ trưởng Bộ Tài chính)

Đang theo dõi

1. Trong trường hợp không có NHTM vượt hạn mức dư nợ

Ví dụ: Kho bạc Nhà nước thông báo mua lại có kỳ hạn 300 tỷ đồng trái phiếu Chính phủ đối với kỳ hạn mua lại là 14 ngày, lãi suất mua lại có kỳ hạn TPCP tối thiểu do KBNN xác định là 4,50%/năm, và các mức lãi suất dự thầu của các NHTM như dưới đây, thì mức lãi suất và khối lượng mua lại có kỳ hạn TPCP của từng NHTM như sau:

STT

NHTM

Lãi suất đăng ký

Khối lượng đăng ký

Khối lượng cộng dồn1

Kết quả

Khối lượng mua lại có kỳ hạn

Lãi suất mua lại có kỳ hạn

(%/năm)

(Tỷ đồng)

(Tỷ đồng)

(Tỷ đồng)

(%/năm)

1

A

5,00%

50

50

50

5,00%

2

A

4,90%

60

110

60

4,90%

3

A

4,80%

80

190

80

4,80%

4

B

4,80%

21

211

21

4,80%

5

D

4,70%

48

259

48

4,70%

6

C

4,70%

20

279

20

4,70%

7

B

4,70%

22

301

21

4,70%

8

B

4,60%

50

-

-

 

9

C

4,40%

70

-

-

 

10

C

4,20%

100

-

-

 

Tng

-

 

521

 

300

 

Đang theo dõi

- Lãi suất tối thiểu được lựa chọn bằng 4,70%/năm, là mức lãi suất chào thấp nhất được chọn theo thứ tự từ cao đến thấp của lãi suất chào, đảm bảo đồng thời hai (02) điều kiện: (i) Không thấp hơn lãi suất tối thiểu do KBNN quy định; (ii) Khối lượng TPCP mua lại có kỳ hạn tính lũy kế đến mức lãi suất này không vượt quá khối lượng KBNN thông báo.

Đang theo dõi

- Khối lượng dự thầu cạnh tranh lãi suất cộng dồn tại các mức lãi suất cao hơn 4,70%/năm (từ mức 4,80%/năm trở lên) là 211 tỷ đồng, do vậy phần dư còn lại là 89 tỷ đồng so với khối lượng KBNN thông báo được phân bổ cho các NHTM chào tại mức lãi suất 4,70%/năm (tổng khối lượng chào tại mức lãi suất này là 90 tỷ đồng) theo tỷ lệ tương ứng với khối lượng chào:

+ NHTM D được phân b 48/90 x 89 = 47,47 tỷ đồng => NHTM D được 47 tỷ đồng (do được làm tròn xuống 1 tỷ đồng).

NHTM C được phân bổ 20/90 x 89 = 19,78 tỷ đồng => NHTM C được 19 tỷ đồng.

+ NHTM B được phân bổ 22/90 x 89 = 21,76 tỷ đồng => NHTM B được 21 tỷ đồng.

- Khối lượng phân bổ cho 03 NHTM chào ở mức 4,70%/năm là 87 tỷ đồng, tổng khối lượng mua lại có kỳ hạn TPCP tính lũy kế đến mức lãi suất 4,70%/năm đã được phân bổ là 298 tỷ đồng - còn dư 2 tỷ đồng so với khối lượng KBNN thông báo.

- Giả sử thời gian chào của các NHTM theo thứ tự tăng dần như sau: D, C, B (NHTM D chào sớm nhất). Như vậy, đối với 02 tỷ đồng còn lại: NHTM D được thêm 01 tỷ đồng (= 48 tỷ đồng chào - 47 tỷ đồng đã được phân bổ) và NHTM C được thêm 01 tỷ đồng.

- Kết quả mua lại có kỳ hạn TPCP như sau:

+ NHTM A: 190 tỷ đồng (50 tỷ đồng lãi suất 5%/năm, 60 tỷ đồng lãi suất 4,9%/năm và 80 tỷ đồng lãi suất 4,8%/năm).

+ NHTM B: 42 tỷ đồng (21 tỷ đồng lãi suất 4,8%/năm, 21 tỷ đồng lãi suất 4,7%/năm).

+ NHTM C: 20 tỷ đồng (lãi suất 4,7%/năm).

+ NHTM D: 48 tỷ đồng (lãi suất 4,7%/năm).

Đang theo dõi

2. Trong trường có NHTM vượt hạn mức dư nợ:

Đang theo dõi

Giả sử NHTM A được hạn mức dư nợ giao dịch mua lại có kỳ hạn TPCP là 5.000 tỷ đồng, tổng giá trị các phụ lục hợp đồng mua lại có kỳ hạn TPCP đang có hiệu lực tại ngày tổ chức mua lại có kỳ hạn TPCP là 4.900 tỷ đồng. Như vậy, hạn mức còn lại cho NHTM A là 100 tỷ đồng.

Đang theo dõi

Giả sử các mức gọi và chào mua lại có kỳ hạn TPCP như dưới đây:

Đang theo dõi

- Đi với kỳ hạn 7 ngày (KBNN gọi 300 tỷ đồng):

STT

NHTM

Lãi suất đăng ký

Khối lượng đăng ký

Khối lượng cộng dồn2

Kết quả

Khối lượng mua lại có KH

Lãi suất mua lại có KH

(%/năm)

(Tỷ đồng)

(Tỷ đồng)

(T đồng)

(%/năm)

Đang theo dõi

1

A

4,00%

50

50

50

4,00%

2

B

3,90%

60

110

60

3,90%

3

C

3,80%

80

190

80

3,80%

4

B

3,80%

21

211

21

3,80%

5

D

3,70%

48

259

48

3,70%

6

C

3,70%

20

279

20

3,70%

Đang theo dõi

7

B

3,65%

22

301

21

3,70%

Đang theo dõi

8

B

3,60%

50

-

-

 

9

C

3,40%

70

-

-

 

Tng

 

 

421

 

300

 

Đang theo dõi

- Đối với kỳ hạn 14 ngày (KBNN gọi 300 tỷ đồng):

STT

NHTM

Lãi suất đăng ký

Khối lượng đăng ký

Khối lượng cộng dồn3

Kết quả

Khối lượng mua lại có KH

Lãi suất mua lại có KH

(%/năm)

(T đồng)

(Tỷ đồng)

(Tỷ đồng)

(%/năm)

Đang theo dõi

1

A

5,00%

30

30

30

5,00%

2

A

4,90%

60

50

20

4,90%

3

A

4,80%

80

-

-

4,80%

4

B

4,80%

21

71

21

4,80%

5

D

4,70%

48

119

48

4,70%

6

C

4,70%

20

139

20

4,70%

Đang theo dõi

7

B

4,70%

22

161

21

4,70%

Đang theo dõi

8

B

4,60%

50

211

50

4,60%

Đang theo dõi

9

C

4,40%

70

281

70 

4,40%

Đang theo dõi

Tng

 

 

401

 

281

 

Đang theo dõi

- Đối với kỳ hạn 21 ngày (KBNN gọi 300 tỷ đồng):

STT

NHTM

Lãi suất đăng ký

Khối lưng đăng ký

Khối lượng cộng dồn4

Kết quả

Khối lượng mua lại có KH

Lãi suất mua lại có KH

(%/năm)

(Tỷ đồng)

(Tỷ đồng)

(Tỷ đồng)

(%/năm)

Đang theo dõi

1

A

6,00%

50

-

-

-

2

A

5,90%

60

-

-

-

3

A

5,80%

80

-

-

-

Đang theo dõi

4

B

5,80%

50

50

50

3,80%

Đang theo dõi

5

D

5,70%

60

110

60

3,70%

6

C

5,70%

50

160

50

3,70%

7

B

5,70%

80

240

80

3,70%

Đang theo dõi

8

B

5,60%

100

340

60

5,60%

9

C

5,40%

50

-

-

 

Tổng

 

 

580

 

200

 

Đang theo dõi

Giả sử lãi suất mua lại có kỳ hạn TPCP tối thiểu do KBNN xác định đối với kỳ hạn 7 ngày là 3,50%/năm, 14 ngày là 4,50%/năm và 21 ngày là 5,00%/năm. Lãi suất và khối lượng mua lại có kỳ hạn TPCP của từng NHTM được xác định như sau:

- Việc xét các lệnh chào của NHTM A như sau: Theo thứ tự ưu tiên kỳ hạn ngắn, lệnh chào của NHTM A tại kỳ hạn 7 ngày được xét trước:

Đang theo dõi

+ Tại kỳ hạn 7 ngày: Khối lượng mua lại có kỳ hạn tại loại kỳ hạn 7 ngày của NHTM A là 50 tỷ đồng, tại mức lãi suất 4%/năm. Như vậy, hạn mức còn lại của NHTM A là 50 tỷ đồng được xét đối với các lệnh chào tại kỳ hạn 14 ngày (kỳ hạn lớn hơn liền kề).

Đang theo dõi

Tại kỳ hạn 14 ngày: Khối lượng mua lại là 30 tỷ đồng tại mức lãi suất 5%/năm và 20 tỷ đồng tại mức lãi suất 4,9%/năm và như vậy, NHTM A đã hết hạn mức còn lại. Do đó, lệnh chào tại mức lãi suất cao hơn không được xét.

Đang theo dõi

+ Tại kỳ hạn 21 ngày: Không được xét do hết hạn mức dư nợ còn lại.

- Việc xét khối lượng và lãi suất chào của NHTM B, C, D thực hiện như tại Điểm 1.

______________________________________

1 Là khối lượng cộng dồn ở các mức lãi suất có thể được lựa chọn

2 Là khối lượng cộng dồn ở các mức lãi suất có thể được lựa chọn

3 Là khối lượng cộng dồn ở các mức lãi suất có thể được lựa chọn

4 Là khối lượng cộng dồn ở các mức lãi suất có thể được lựa chọn

Đang theo dõi

Bạn chưa Đăng nhập thành viên.

Đây là tiện ích dành cho tài khoản thành viên. Vui lòng Đăng nhập để xem chi tiết. Nếu chưa có tài khoản, vui lòng Đăng ký tại đây!

Thông tư 107/2020/TT-BTC của Bộ Tài chính về việc hướng dẫn giao dịch mua lại có kỳ hạn trái phiếu Chính phủ từ nguồn ngân quỹ Nhà nước tạm thời nhàn rỗi của Kho bạc Nhà nước

Bạn chưa Đăng nhập thành viên.

Đây là tiện ích dành cho tài khoản thành viên. Vui lòng Đăng nhập để xem chi tiết. Nếu chưa có tài khoản, vui lòng Đăng ký tại đây!

* Lưu ý: Để đọc được văn bản tải trên Luatvietnam.vn, bạn cần cài phần mềm đọc file DOC, DOCX và phần mềm đọc file PDF.

Văn bản liên quan Thông tư 107/2020/TT-BTC

01

Luật Ngân sách Nhà nước của Quốc hội, số 83/2015/QH13

02

Nghị định 24/2016/NĐ-CP của Chính phủ về việc quy định chế độ quản lý ngân quỹ Nhà nước

03

Nghị định 87/2017/NĐ-CP của Chính phủ về việc quy định chức năng, nhiệm vụ, quyền hạn và cơ cấu tổ chức của Bộ Tài chính

04

Nghị định 95/2018/NĐ-CP của Chính phủ quy định về phát hành, đăng ký, lưu ký, niêm yết và giao dịch công cụ nợ của Chính phủ trên thị trường chứng khoán

05

Luật Chứng khoán của Quốc hội, số 54/2019/QH14

văn bản cùng lĩnh vực

văn bản mới nhất

Chú thích màu chỉ dẫn
Chú thích màu chỉ dẫn:
Các nội dung của VB này được VB khác thay đổi, hướng dẫn sẽ được làm nổi bật bằng các màu sắc:
Sửa đổi, bổ sung, đính chính
Thay thế
Hướng dẫn
Bãi bỏ
Bãi bỏ cụm từ
Bình luận
Click vào nội dung được bôi màu để xem chi tiết.
×