- Tổng quan
- Nội dung
- Tiêu chuẩn liên quan
- Lược đồ
- Tải về
Tiêu chuẩn quốc gia TCVN 14194-3:2024 Đất, đá quặng đồng - Phần 3: Xác định hàm lượng titan - Phương pháp quang phổ hấp thụ phân tử
| Số hiệu: | TCVN 14194-3:2024 | Loại văn bản: | Tiêu chuẩn Việt Nam |
| Cơ quan ban hành: | Bộ Khoa học và Công nghệ | Lĩnh vực: | Xây dựng , Công nghiệp |
| Trích yếu: | Đất, đá quặng đồng - Phần 3: Xác định hàm lượng titan - Phương pháp quang phổ hấp thụ phân tử | ||
|
Ngày ban hành:
Ngày ban hành là ngày, tháng, năm văn bản được thông qua hoặc ký ban hành.
|
29/10/2024 |
Hiệu lực:
|
Đã biết
|
| Người ký: | Đang cập nhật |
Tình trạng hiệu lực:
Cho biết trạng thái hiệu lực của văn bản đang tra cứu: Chưa áp dụng, Còn hiệu lực, Hết hiệu lực, Hết hiệu lực 1 phần; Đã sửa đổi, Đính chính hay Không còn phù hợp,...
|
Đã biết
|
TÓM TẮT TIÊU CHUẨN VIỆT NAM TCVN 14194-3:2024
Tiêu chuẩn quốc gia TCVN 14194-3:2024: Quy định về xác định hàm lượng titan trong đất, đá quặng đồng
Tiêu chuẩn quốc gia TCVN 14194-3:2024 được ban hành nhằm xác định hàm lượng titan trong mẫu đất, đá quặng đồng bằng phương pháp quang phổ hấp thụ phân tử. Tiêu chuẩn này do Cục Địa chất Việt Nam biên soạn và được công bố chính thức bởi Bộ Khoa học và Công nghệ. TCVN 14194-3:2024 có hiệu lực ngay từ ngày ban hành, và là một phần trong bộ tiêu chuẩn TCVN 14194 gồm 5 phần.
Phạm vi áp dụng: Tiêu chuẩn này áp dụng cho việc xác định tổng hàm lượng titan trong mẫu có chứa titan từ 0,01% đến 5% theo khối lượng.
Nguyên tắc thực hiện: Quy trình đo cường độ màu sắc của phức chất titan với thuốc thử hidro peoxit trong môi trường axit sunfuric, tại bước sóng 410 nm, nhằm xác định hàm lượng titan trong các mẫu xét nghiệm.
Thuốc thử và thiết bị: Tiêu chuẩn quy định các thuốc thử phải đạt loại siêu tinh khiết và cần sử dụng thiết bị quang phổ UV-VIS, cùng các dụng cụ thông thường trong phòng thí nghiệm như cân phân tích và lò nung với độ chính xác cao.
Cách tiến hành: Mẫu thử phải được chuẩn bị theo quy định hiện hành, sau đó nung chảy với kali hidroxit và xử lý hóa học bằng axit clohidric để tách titan ra. Quá trình này bao gồm các bước pha chế dung dịch, làm bay hơi, rửa mẫu và cuối cùng đánh giá độ hấp thụ quang tại bước sóng quy định.
Tính toán kết quả: Hàm lượng titan được tính toán dựa vào cường độ đo được và thể tích mẫu, với kết quả được ghi nhận chính xác đến hai chữ số thập phân. Tiêu chuẩn cũng quy định sai lệch cho phép giữa các phép phân tích song song, bảo đảm tính chính xác và tin cậy trong kết quả thử nghiệm.
Báo cáo kết quả: Mọi kết quả thử nghiệm phải được lập báo cáo chi tiết, bao gồm thông tin của mẫu, kết quả thử nghiệm và các yếu tố có thể ảnh hưởng đến kết quả.
Tiêu chuẩn TCVN 14194-3:2024 có vai trò quan trọng trong kiểm soát chất lượng và điều kiện sản xuất của các doanh nghiệp khai thác và chế biến quặng đồng, đảm bảo rằng việc xác định hàm lượng titan được tiến hành theo quy định thống nhất và chính xác.
Tải tiêu chuẩn Việt Nam TCVN 14194-3:2024
TIÊU CHUẨN QUỐC GIA
TCVN 14194-3:2024
ĐẤT, ĐÁ QUẶNG ĐỒNG - PHẦN 3: XÁC ĐỊNH HÀM LƯỢNG TITAN - PHƯƠNG PHÁP QUANG PHỔ HẤP THỤ PHÂN TỬ
Soils, rocks copper ores - Part 3: Determination of titanium content - Photometric method
Lời nói đầu
TCVN 14194-3:2024 do Cục Địa chất Việt Nam biên soạn, Bộ Tài nguyên và Môi trường đề nghị, Tổng Cục Tiêu chuẩn Đo lường Chất lượng thẩm định, Bộ Khoa học và Công nghệ công bố.
Bộ TCVN 14194 Đất, đá quặng đồng gồm các phần sau:
| 1 | TCVN 14194-1:2024 | Phần 1: Xác định hàm lượng tổng sắt - Phương pháp chuẩn độ bicromat |
| 2 | TCVN 14194-2:2024 | Phần 2: Xác định hàm lượng lưu huỳnh tổng số- Phương pháp khối lượng |
| 3 | TCVN 14194-3:2024 | Phần 3: Xác định hàm lượng titan - Phương pháp quang phổ hấp thụ phân tử |
| 4 | TCVN 14194-4:2024 | Phần 4: Xác định tổng hàm lượng silic dioxit - Phương pháp khối lượng |
| 5 | TCVN 14194-5:2024 | Phần 5: Xác định hàm lượng canxi và magie - Phương pháp chuẩn độ complexon |
ĐẤT, ĐÁ QUẶNG ĐỒNG - PHẦN 3: XÁC ĐỊNH HÀM LƯỢNG TITAN - PHƯƠNG PHÁP QUANG PHỔ HẤP THỤ PHÂN TỬ
Soils, rocks copper ores - Part 3: Determination of titanium content - Photometric method
1 Phạm vi áp dụng
Tiêu chuẩn này quy định phương pháp quang phổ hấp thụ phân tử xác định tổng hàm lượng titan trong mẫu đất, đá quặng đồng có hàm lượng titan từ 0,01 % (theo khối lượng) đến 5 % (theo khối lượng).
2 Tài liệu viện dẫn
Các tài liệu viện dẫn sau rất cần thiết cho việc áp dụng tiêu chuẩn này. Đối với các tài liệu viện dẫn ghi năm công bố thì áp dụng phiên bản được nêu. Đối với các tài liệu viện dẫn không ghi năm công bố thì áp dụng phiên bản mới nhất, bao gồm cả các sửa đổi, bổ sung (nếu có).
TCVN 4851 (ISO 3696), Nước dùng để phân tích trong phòng thí nghiệm - Yêu cầu kỹ thuật và phương pháp thử.
TCVN 7153 (ISO 1042), Dụng cụ thí nghiệm bằng thủy tinh - Bình định mức.
TCVN 9924:2013, Đất, đá quặng - Quy trình gia công mẫu sử dụng cho các phương pháp phân tích hóa học, hóa lý, rơnghen, nhiệt.
3 Nguyên tắc
Phương pháp dựa trên việc đo cường độ màu của phức màu vàng của titan (IV) với thuốc thử hidro peoxit trong môi trường axit sunfuric H2SO4 5 % ÷ 10 % tại bước sóng 410 nm. Phản ứng tạo phức tốt ở nhiệt độ 20 °C ÷ 25 °C, màu vàng của phức phát triển hoàn toàn sau 15 min và bền trong 4 h.
4 Thuốc thử
Trong quá trình phân tích, chỉ sử dụng thuốc thử loại siêu tinh khiết phân tích và nước phù hợp với TCVN 4851 (ISO 3696).
4.1 Kali hidroxit KOH, dạng hạt
4.2 Axit clohidric HCl, d=1,19; dung dịch 2 %; dung dịch (1+1) và dung dịch (1+20) (theo thể tích)
4.3 Gielatin dung dịch 1 % được pha dùng trong ngày làm việc: Ngâm 1 gam gielatin trong 100 ml nước cất nóng (60 °C ÷ 70 °C) khoảng 30 min, khuấy kỹ cho tan hết.
4.4 Axit sunfuric H2SO4, d=1,84; dung dịch (1+1)
4.5 Axit photphoric H3PO4, d=1,72
4.6 Hidro peoxit H2O2, dung dịch 30 %
4.7 Bạc nitrat AgNO3, dung dịch 1 %. Hòa tan 1 gam bạc nitrat AgNO3 tinh thể trong bình 100 ml, định mức bằng nước cất đến vạch, lắc đều, bảo quản trong bình thủy tinh tối màu, có nút kín.
4.8 Amoni Hydroxit NH4OH dung dịch 1 %; dung dịch (1+1)
4.9 Dung dịch chuẩn gốc Ti có nồng độ 1000 mg/lit
4.10 Dung dịch chuẩn Ti làm việc trong ngày có nồng độ 100 mg/lit. Dùng pipet lấy 10 ml dung dịch chuẩn gốc Ti 1000 mg/lit (4.9) vào bình định mức 100 ml, thêm nước đến vạch lắc đều.
5 Thiết bị, dụng cụ
Trong tiêu chuẩn này sử dụng các thiết bị, dụng cụ thông thường trong phòng thử nghiệm và các thiết bị, dụng cụ sau:
5.1 Thiết bị quang phổ UV-VIS: có khả năng đo độ hấp thụ của dung dịch tại các bước sóng với các cuvet đo phù hợp hoặc máy có đặc tính kỹ thuật tương đương
5.2 Cân phân tích có độ chính xác đến 0,0001 gam
5.3 Lò nung có điều khiển nhiệt độ đến 1000 °C.
5.4 Chén niken dung tích 30 ml ÷ 50 ml
5.5 Cốc thủy tinh chịu nhiệt dung tích 250 ml
5.6 Bình định mức dung tích 50 ml; 250 ml
5.7 Pipet chia vạch 1,0 ml, 2,0 ml, 5,0 ml; pipet bầu 10 ml; 25 ml
5.8 Nắp kính thủy tinh, đường kính 9 cm
5.9 Tủ sấy có thể đặt nhiệt độ ở 105 °C ± 2 °C.
6 Chuẩn bị mẫu thử
Chuẩn bị và gia công mẫu thử theo TCVN 9924:2013.
7 Cách tiến hành
Cân (5.2) 0,5000 gam mẫu đã sấy khô ở 105 °C trong 2 h cho vào chén niken (5.4) đã có sẵn 4 gam ÷ 5 gam kali hidroxit KOH (4.1) đã làm mất nước trên bếp điện hoặc trong lò nung ở nhiệt độ 200 °C ÷ 300 °C (5.3). Tiến hành nung chảy trong lò (5.3) từ nhiệt độ thấp đến khoảng 650 °C ÷ 700 °C và giữ ở nhiệt độ này trong 15 min đến khi mẫu chảy thành một khối linh động đồng nhất.
Lấy chén ra khỏi lò. Rửa thành ngoài và đáy chén bằng dung dịch axit clohidric HCl 2 % (4.2). Đặt chén vào cốc chịu nhiệt 250 ml (5.5), cẩn thận rót vào cốc khoảng từ 30 ml đến 50 ml nước nóng, đậy cốc bằng nắp kính thủy tinh (5.8). Dùng đũa thủy tinh có đầu bọc nhựa và vòi tia rửa sạch chén bằng dung dịch HCl (1+1) (4.2) sau đó bằng nước cất nóng để lấy khối chảy tách ra khỏi chén. Hòa tan khối chảy bằng 25 ml ÷ 30 ml axit clohidric HCl d=1,19 (4.2) khuấy đều cho tan hết kết tủa.
Làm bay hơi dung dịch trên bếp cách thủy hoặc cách cát. Thỉnh thoảng dùng đũa thủy tinh khuấy đều dung dịch và làm tơi kết tủa, cô cạn dung dịch cho đến khi thu được muối ẩm. Nếu quan sát thấy mẫu còn những hạt đen do mẫu chưa tan hết thì thêm 10 ml HCl (d=1,19) (4.2) nữa và lại cô đến muối ẩm. Lặp lại thao tác trên cho đến khi mẫu tan hoàn toàn.
Thêm 10 ml HCl d=1,19 (4.2), khuấy đều, tia rửa sạch thành cốc bằng nước cất, đun nóng đến khoảng 70 °C, thêm 5 ml dung dịch gielatin 1 % (4.3), khuấy kỹ trong 3 min, lại thêm tiếp 5 ml dung dịch gielatin 1 % (4.3), tiếp tục khuấy đều trong 2 min, thêm khoảng 50 ml nước cất nóng và để yên cho lắng kết tủa khoảng 15 min.
Lọc dung dịch qua giấy lọc chảy chậm (Φ 11 cm) vào bình định mức có dung tích 250 ml (5.6). Rửa kết tủa sạch bằng dung dịch HCl loãng (1+20) (4.2) cho đến khi giấy lọc hết màu vàng, sau đó rửa kết tủa bằng nước cất nóng cho đến khi hết ion Cl-, thử bằng dung dịch bạc nitrat (AgNO3) 1 % (4.7). Để nguội, định mức đến vạch, lắc đều.
Dùng pipet (5.7) lấy 25 ml dung dịch trên cho vào bình định mức dung tích 50 ml (5.6), thêm 5 ml H2SO4 (1+1) (4.4), 2 ml H3PO4 (d=1,72) (4.5), 0,5 ml H2O2 30 % (4.6). Lắc đều sau mỗi lần thêm thuốc thử. Thêm nước cất đến vạch, lắc đều. Sau 15 min, đo độ hấp thụ quang của dung dịch ở bước sóng 410 nm.
Làm mẫu trắng thuốc thử đồng thời với mẫu phân tích.
Xây dựng đồ thị chuẩn
Dùng pipet (5.7) hoặc micro pipet lần lượt lấy dung dịch chuẩn Titan có nồng độ 100 mg/lit (5.10) với thể tích 0 ml; 0,2 ml; 0,4 ml; 0,6 ml; 0,8 ml; 1,0 ml (hàm lượng tương ứng với 0 mg; 0,020 mg; 0,040 mg; 0,060 mg; 0,080 mg; 0,100 mg Ti vào dãy bình định mức dung tích 50 ml (5.6). Lần lượt thêm các thuốc thử và tiến hành qua tất cả các giai đoạn như phân tích mẫu: 5 ml H2SO4 (1+1) (4.4), 2 ml H3PO4 (d=1,72) (4.5), 0,5 ml H2O2 30 % (4.6). Lắc đều sau mỗi lần thêm thuốc thử. Thêm nước cất đến vạch, lắc đều.
Đo độ hấp thụ quang của các dung dịch đường chuẩn, dung dịch so sánh là mẫu trắng đường chuẩn. Vẽ đồ thị sự phụ thuộc giữa độ hấp thụ quang và số mg Ti.
Đo mẫu
Lần lượt đo các dung dịch mẫu trắng thuốc thử (không quặng), dung dịch mẫu chuẩn, dung dịch mẫu phân tích.
Mẫu chuẩn để làm mẫu đối chứng, kiểm tra độ thu hồi trong giới hạn kiểm soát. Mẫu trắng thuốc thử để kiểm tra nền mẫu trong quá trình phân hủy. Trong quá trình đo, đo lặp lại mẫu chuẩn để kiểm tra độ chệch và độ tuyến tính của dung dịch đường chuẩn.
Từ đường chuẩn khi đo mẫu sẽ xác định được nồng độ chất cần phân tích.
8 Tính kết quả
8.1 Tính hàm lượng titan
Hàm lượng titan của mẫu thử, tính theo phần trăm khối lượng được xác định theo công thức như sau:
![]()
trong đó:
a: Lượng Ti của mẫu tương ứng với độ hấp thụ quang đo được theo đồ thị, tính bằng miligam (mg);
Vdm: Thể tích định mức dung dịch mẫu, tính bằng mililit (ml);
Vh: Thể tích dung dịch mẫu lấy để xác định, tính bằng mililit (ml);
m: Khối lượng mẫu lấy để phân tích, tính bằng gam (g).
Kết quả được lấy chính xác đến 2 chữ số sau dấu phẩy.
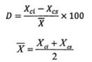
8.2 Sai lệch phép phân tích song song
Sai lệch lớn nhất giữa hai kết quả phép phân tích song song không vượt quá giá trị độ lệch tương đối D trong bảng 1:

trong đó:
D là độ lệch tương đối của hai kết quả phân tích song song, (%);
Xci là kết quả phân tích mẫu cơ bản;
Xcs là kết quả phân tích mẫu song song;
là giá trị trung bình của hai kết quả phân tích song song.
Bảng 1 - Độ lệch tương đối phép phân tích song song
| Số TT | Cấp hàm lượng Ti (%) | D (%) |
| 1 | Từ 0,01 đến nhỏ hơn 0,05 | 58 |
| 2 | Từ 0,05 đến nhỏ hơn 0,1 | 50 |
| 3 | Từ 0,1 đến nhỏ hơn 0,2 | 39 |
| 4 | Từ 0,2 đến nhỏ hơn 0,5 | 30 |
| 5 | Từ 0,5 đến nhỏ hơn 1,0 | 25 |
| 6 | Từ 1,0 đến nhỏ hơn 2,0 | 19 |
| 7 | Từ 2,0 đến nhỏ hơn 5,0 | 15 |
9 Báo cáo thử nghiệm
Báo cáo thử nghiệm bao gồm các thông tin sau:
a) Viện dẫn tiêu chuẩn này;
b) Nhận dạng mẫu thử;
c) Tên và địa chỉ phòng thử nghiệm;
d) Ngày tiến hành thử nghiệm;
e) Kết quả thử nghiệm;
f) Mọi thao tác không quy định trong tiêu chuẩn này hoặc được coi là tùy chọn và các yếu tố có thể ảnh hưởng đến kết quả thử nghiệm.
PHỤ LỤC A
(Tham khảo)
Bảng kết quả các mẫu lặp ở các khoảng hàm lượng khác nhau
| Cấp Hàm lượng (Ti) | Số hiệu mẫu | Kết quả xác nhận (%) | KQ KN lần 1 (%) | KQ KN lần 2 (%) | KQ KN lần 3 (%) | SSTD (S1) | SSTD (S2) | SSTD (S3) |
| 0,20 - < 0,5% | MS 01 | 0,212 | 0,218 | 0,221 | 0,208 | 2,79 | 4,16 | 1,90 |
| MS 02 | 0,235 | 0,250 | 0,220 | 0,230 | 6,19 | 6,59 | 2,15 | |
| MS 03 | 0,475 | 0,482 | 0,465 | 0,460 | 1,46 | 2,13 | 3,21 | |
| 0,50 - < 1,0% | MS 04 | 0,597 | 0,602 | 0,580 | 0,590 | 0,83 | 2,89 | 1,18 |
| 1,0 - < 2,0% | MS 05 | 1,45 | 1,48 | 1,40 | 1,42 | 2,05 | 3,51 | 2,09 |
| MS 06 | 1,55 | 1,60 | 1,50 | 1,45 | 3,17 | 3,28 | 6,67 | |
| 2,0 - < 5,0% | MS 07 | 2,05 | 2,12 | 2,01 | 1,95 | 3,36 | 1,97 | 5,00 |
| MS 08 | 2,60 | 2,70 | 2,52 | 2,45 | 3,77 | 3,13 | 5,94 | |
| MS 09 | 3,30 | 3,34 | 3,22 | 3,16 | 1,20 | 2,45 | 4,33 | |
| MS 10 | 3,64 | 3,80 | 3,60 | 3,50 | 4,30 | 1,10 | 3,92 | |
| Mẫu chuẩn cs | MC | 2,64 | 2,72 | 2,69 | 2,59 | 2,99 | 1,88 | 1,91 |
Thư mục tài liệu tham khảo
[1] QTNB - Cu: Ti/2018 Đất, đá quặng đồng - Xác định hàm lượng Titan (TiO2) - Phương pháp đo quang
Bạn chưa Đăng nhập thành viên.
Đây là tiện ích dành cho tài khoản thành viên. Vui lòng Đăng nhập để xem chi tiết. Nếu chưa có tài khoản, vui lòng Đăng ký tại đây!