- Tổng quan
- Nội dung
- Tiêu chuẩn liên quan
- Lược đồ
- Tải về
Tiêu chuẩn quốc gia TCVN 14194-5:2024 Đất, đá quặng đồng - Phần 5: Xác định hàm lượng canxi và magie - Phương pháp chuẩn độ complexon
| Số hiệu: | TCVN 14194-5:2024 | Loại văn bản: | Tiêu chuẩn Việt Nam |
| Cơ quan ban hành: | Bộ Khoa học và Công nghệ | Lĩnh vực: | Tài nguyên-Môi trường , Công nghiệp |
| Trích yếu: | Đất, đá quặng đồng - Phần 5: Xác định hàm lượng canxi và magie - Phương pháp chuẩn độ complexon | ||
|
Ngày ban hành:
Ngày ban hành là ngày, tháng, năm văn bản được thông qua hoặc ký ban hành.
|
29/10/2024 |
Hiệu lực:
|
Đã biết
|
| Người ký: | Đang cập nhật |
Tình trạng hiệu lực:
Cho biết trạng thái hiệu lực của văn bản đang tra cứu: Chưa áp dụng, Còn hiệu lực, Hết hiệu lực, Hết hiệu lực 1 phần; Đã sửa đổi, Đính chính hay Không còn phù hợp,...
|
Đã biết
|
TÓM TẮT TIÊU CHUẨN VIỆT NAM TCVN 14194-5:2024
TCVN 14194-5:2024: Xác định hàm lượng canxi và magie trong đất, đá quặng đồng
Tiêu chuẩn quốc gia TCVN 14194-5:2024 được ban hành nhằm quy định phương pháp chuẩn độ complexon để xác định hàm lượng canxi oxit và magie oxit trong mẫu đất, đá quặng đồng. Văn bản này được Cục Địa chất Việt Nam biên soạn và được Bộ Khoa học và Công nghệ công bố, có hiệu lực từ ngày ký văn bản.
Phạm vi áp dụng của tiêu chuẩn này diễn ra với hàm lượng canxi và magie trong mẫu từ 0,5% đến 30% theo khối lượng. TCVN 14194 cũng bao gồm các phần khác như TCVN 14194-1 đến TCVN 14194-4, tương ứng với xác định các thành phần như sắt, lưu huỳnh, titan, và silic dioxit trong mẫu đất.
Nguyên tắc của phương pháp là phân hủy mẫu thông qua nung chảy với kali hidroxit, tách silic, nhôm, sắt, titan dưới dạng kết tủa rồi xác định hàm lượng canxi và magie bằng phương pháp chuẩn độ complexon tại các pH khác nhau. Cụ thể, canxi được chuẩn độ ở pH 13 – 13,5, trong khi magie được xác định sau đó tại pH 9,6 – 10,5.
Tiêu chuẩn này còn quy định chi tiết về các thuốc thử cần thiết cho quá trình phân tích, bao gồm axit nitric, kali hidroxit, axit clohidric, và nhiều thuốc thử khác giúp đảm bảo độ chính xác của kết quả. Trong đó, dung dịch EDTA là phương pháp chuẩn để chuẩn độ canxi và magie.
Cách tiến hành bao gồm các bước như cân mẫu, nung chảy với kali hidroxit, tách các tạp chất và chuẩn độ chính xác bằng dung dịch chuẩn EDTA, được tính toán cụ thể qua các công thức đã được quy định. Một phần quan trọng khác là tính toán hàm lượng canxi oxit và magie oxit dựa trên thể tích dung dịch tiêu tốn trong quá trình chuẩn độ.
Cuối cùng, tiêu chuẩn cũng quy định về báo cáo thử nghiệm và độ lệch tương đối cho các phép phân tích song song. Độ lệch này được đưa ra để đảm bảo kết quả phân tích đạt chất lượng và đáng tin cậy, với mức độ sai lệch tối đa cho từng cấp hàm lượng canxi và magie cụ thể được nêu trong bảng tương ứng.
Đây là một tiêu chuẩn quan trọng trong ngành địa chất, góp phần vào việc xác định chính xác các thành phần hoá học trong các mẫu đất, đá quặng đồng, phục vụ cho quá trình khai thác và chế biến một cách hiệu quả.
Tải tiêu chuẩn Việt Nam TCVN 14194-5:2024
TIÊU CHUẨN QUỐC GIA
TCVN 14194-5:2024
ĐẤT, ĐÁ QUẶNG ĐỒNG - PHẦN 5: XÁC ĐỊNH HÀM LƯỢNG CANXI VÀ MAGIE - PHƯƠNG PHÁP CHUẨN ĐỘ COMPLEXON
Soils, rocks copper ores - Part 5: Determination of calcium and magiesium content - Complexon titrimetric method
Lời nói đầu
TCVN 14194-5:2024 do Cục Địa chất Việt Nam biên soạn, Bộ Tài nguyên và Môi trường đề nghị, Tổng Cục Tiêu chuẩn Đo lường Chất lượng thẩm định, Bộ Khoa học và Công nghệ công bố.
Bộ TCVN 14194 Đất, đá quặng đồng gồm các phần sau:
| 1 | TCVN 14194-1:2024 | Phần 1: Xác định hàm lượng tổng sắt - Phương pháp chuẩn độ bicromat |
| 2 | TCVN 14194-2:2024 | Phần 2: Xác định hàm lượng lưu huỳnh tổng số - Phương pháp khối lượng |
| 3 | TCVN 14194-3:2024 | Phần 3: Xác định hàm lượng titan - Phương pháp quang phổ hấp thụ nguyên tử |
| 4 | TCVN 14194-4:2024 | Phần 4: Xác định tổng hàm lượng silic dioxit - Phương pháp khối lượng |
| 5 | TCVN 14194-5:2024 | Phần 5: Xác định hàm lượng canxi và magie - Phương pháp chuẩn độ complexon |
ĐẤT, ĐÁ QUẶNG ĐỒNG - PHẦN 5: XÁC ĐỊNH HÀM LƯỢNG CANXI VÀ MAGIE - PHƯƠNG PHÁP CHUẨN ĐỘ COMPLEXON
Soils, rocks copper ores - Part 5: Determination of calcium and magiesium content - Complexon titrimetric method
1 Phạm vi áp dụng
Tiêu chuẩn này quy định phương pháp chuẩn độ complexon xác định hàm lượng canxi oxit và magie oxit trong mẫu đất, đá quặng đồng có hàm lượng từ 0,5 % (theo khối lượng) đến 30 % (theo khối lượng).
2 Tài liệu viện dẫn
Các tài liệu viện dẫn sau rất cần thiết cho việc áp dụng tiêu chuẩn này. Đối với các tài liệu viện dẫn ghi năm công bố thì áp dụng phiên bản được nêu. Đối với các tài liệu viện dẫn không ghi năm công bố thì áp dụng phiên bản mới nhất, bao gồm cả các sửa đổi, bổ sung (nếu có).
TCVN 4851 (ISO 3696), Nước dùng để phân tích trong phòng thí nghiệm - Yêu cầu kỹ thuật và phương pháp thử.
TCVN 7153 (ISO 1042), Dụng cụ thí nghiệm bằng thủy tinh - Bình định mức.
TCVN 9924:2013, Đất, đá quặng - Quy trình gia công mẫu sử dụng cho các phương pháp phân tích hóa học, hóa lý, rơnghen, nhiệt.
3 Nguyên tắc
Mẫu được phân hủy bằng cách nung chảy với kali hidroxit, tách silic, nhôm, sắt, titan...dưới dạng kết tủa hidroxit bằng urotropin rồi xác định canxi bằng phương pháp chuẩn độ complexon ở môi trường pH 13 -13,5 với chỉ thị chỉ thị fluresson, ở điểm tương đương dung dịch chuyển màu từ ánh huỳnh quang xanh sang màu hồng sáng. Hàm lượng magie được xác định bằng phương pháp chuẩn độ complexon khi chuẩn độ lượng canxi và magie ở pH 9,6 -10,5 với chỉ thị eriocrom T đen rồi trừ đi hàm lượng canxi được xác định riêng.
4 Thuốc thử
Trong quá trình phân tích, chỉ sử dụng thuốc thử loại siêu tinh khiết phân tích và nước phù hợp với TCVN 4851 (ISO 3696).
4.1 Axit nitric HNO3, d=1,40;
4.2 Kali hidroxit KOH dạng hạt, dung dịch 20 % mới pha. Hòa tan 200 gam kali hidroxit trong nước rồi pha loãng đến thể tích 1 lít
4.3 Axit clohidric HCl d=1,19, dung dịch HCl 2 % (theo thể tích); dung dịch HCl (1+1); dung dịch HCl (1+20);
4.4 Gielatin, dung dịch 1 % được pha dùng trong ngày làm việc: Ngâm 1 gam gielatin trong 100 ml nước cất nóng (60 °C ÷ 70 °C) khoảng 30 min, khuấy kỹ cho tan hết
4.5 Amoni hidroxit NH4OH 25 %, dung dịch (1+1);
4.6 Kali xianua KCN dung dịch 5 %;
4.7 Urotropin, dung dịch 15 %. Hòa tan 75 gam urotropin trong nước, pha loãng đến thể tích 500 ml; dung dịch 0,5 %. Hòa tan 2,5 gam urotropin trong nước, pha loãng đến thể tích 500 ml.
4.8 Fluorexon 1 %: Nghiền nhỏ, trộn đều 1 gam fluorexon với 100 g muối kali clorua tinh thể (4.13), bảo quản trong bình thủy tinh màu nâu nút nhám ở nơi khô mát.
4.9 Dung dịch đệm amoni (NH4OH+NH4Cl) có pH=10: Hòa tan 42 gam amoni clorua bằng nước cất nóng trong cốc thủy tinh dung tích 500 ml, lọc qua giấy lọc định tính vào bình định mức dung tích 1000 ml. Thêm 432 ml dung dịch amoni hídroxit 25 %, định mức bằng nước cất, lắc đều.
4.10 Bạc nitrat AgNO3 1 %. Hòa tan 1 gam bạc nitrat AgNO3 tinh thể trong bình 100 ml, định mức bằng nước cất đến vạch, lắc đều, bảo quản trong bình thủy tinh tối màu, có nút kín.
4.11 Chỉ thị Eriocrom T đen. Trộn 1 gam Eriocrom T đen với 100 gam kali clorua (4.13) và nghiền trong cối sứ đến cỡ hạt 0,1 mm ÷ 0,2 mm. Bảo quản chỉ thị trong lọ có nút nhám và để ở nơi khô mát.
4.12 Metyl dacam, dung dịch 0,1 %. Hòa tan 0,1 gam metyl da cam tinh thể trong bình 100 ml, định mức bằng nước cất đến vạch, lắc đều, bảo quản trong bình thủy tinh tối màu, có nút kín.
4.13 Kali clorua KCl tinh thể;
4.14 Dung dịch chuẩn EDTA 0,02 N (hoặc 0,05 N), pha từ ống chuẩn (fixanan) hoặc từ thuốc thử thương phẩm. Hòa tan 8 gam (hoặc 20 gam) EDTA trong 100 ml nước cất, pha thêm nước đến vạch 1 lít trong bình định mức.
1 ml dung dịch EDTA 0,05 N tương ứng với 0,0028 gam CaO;
1 ml dung dịch EDTA 0,05 N tương ứng với 0,0020 gam MgO;
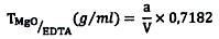
Độ chuẩn của dung dịch EDTA theo magie oxit được xác định bằng cách thiết lập độ chuẩn của dung dịch theo canxi oxit rồi nhân với hệ số chuyển đổi từ CaO sang MgO bằng 0,7182.
Độ chuẩn của dung dịch EDTA theo canxi oxit được xác định bằng canxi cacbonat hoặc mẫu tiêu chuẩn thành phần theo các cách tiến hành của tiêu chuẩn này.
Để xác định độ chuẩn của dung dịch EDTA theo canxi oxit bằng canxi cacbonat, tiến hành như sau: Cân 5,0045 gam canxi cacbonat (loại TKHH hoặc TKPT), đã được sấy khô ở 100 °C vào cốc dung tích 100 ml. Hòa tan từ từ bằng 30 ml axit clohidric (1+1) (4.3). Chuyển toàn bộ dung dịch vào bình định mức dung tích 1 lít, thêm nước cất đến vạch, lắc kỹ.
Dùng pipet lấy 25,0 ml dung dịch trên vào bình nón dung tích 250 ml. Thêm vào đó 40 ml dung dịch magie complexonat, 10 ml dung dịch đệm amoniac có pH=10 (4.9), thêm nước cất đến thể tích xấp xỉ 100 ml, thêm 0,1 gam ÷ 0,2 gam chỉ thị ericrom T đen (4.11). Chuẩn độ bằng dung dịch trilon B đến khi dung dịch trong bình nón chuyển từ màu đỏ nho sang màu xanh nước biển. Ghi thể tích dung dịch trilon B tiêu tốn. Độ chuẩn của dung dịch trilon B theo CaO được tính theo công thức sau:
![]()
Trong đó:
a: lượng CaO lấy để chuẩn độ, tính bằng gam (g);
V: thể tích dung dịch chuẩn EDTA tiêu tốn khi chuẩn độ (đã trừ mẫu trắng), tính bằng mililit (ml);
Từ đó tính được độ chuẩn của MgO:
![]()
Trong đó:
a: lượng CaO lấy để chuẩn độ, tính bằng gam (g);
V: thể tích dung dịch chuẩn EDTA tiêu tốn khi chuẩn độ (đã trừ mẫu trắng), tính bằng mililit (ml);
0,7182: là hệ số chuyển đổi từ độ chuẩn của dung dịch theo CaO sang độ chuẩn của dung dịch theo MgO.
5 Thiết bị, dụng cụ
Trong tiêu chuẩn này sử dụng các thiết bị, dụng cụ thông thường trong phòng thử nghiệm và các thiết bị, dụng cụ sau:
5.1 Cân phân tích có độ chính xác đến 0,0001 gam;
5.2 Lò nung có điều khiển nhiệt độ đến 1000 °C ± 5 °C;
5.3 Chén niken dung tích 30 ml ÷ 50 ml;
5.4 Cốc thủy tinh chịu nhiệt dung tích 250 ml;
5.5 Bình định mức dung tích 250 ml;
5.6 Pipet bầu một nấc dung tích 50 ml; 100 ml;
5.7 Nắp kính thủy tinh;
5.8 Bình nón dung tích 250 ml;
5.9 Giấy chỉ thị công gô;
5.10 Tủ sấy có thể đặt nhiệt độ ở 105 °C ± 2 °C.
6 Chuẩn bị mẫu thử
Chuẩn bị và gia công mẫu thử theo TCVN 9924:2013.
7 Cách tiến hành
7.1 Phân hủy mẫu và tách Silic
Cân (5.1) 0,5000 gam mẫu đã được sấy khô ở 105 °C đến khối lượng không đổi, cho vào chén niken (5.3) đã có sẵn 4 gam ÷ 5 gam kali hidroxit KOH (4.2) đã làm mất nước trên bếp điện hoặc trong lò nung (5.2) ở nhiệt độ 200 °C ÷ 300 °C. Tiến hành nung chảy trong lò (5.2) từ nhiệt độ thấp đến khoảng 650 °C ÷ 700 °C và giữ ở nhiệt độ này trong 10 min ÷ 15 min đến khi mẫu chảy thành một khối linh động đồng nhất. Lấy chén ra khỏi lò. Rửa thành ngoài và đáy chén bằng dung dịch axit clohidric HCl 2 % (4.3). Đặt chén vào cốc chịu nhiệt 250 ml (5.4), cẩn thận rót vào cốc 30 ml ÷ 50 ml nước nóng, đậy cốc bằng nắp kính thủy tinh (5.7). Dùng đũa thủy tinh có đầu bọc nhựa và vòi tia rửa sạch chén bằng dung dịch HCl (1+1) (4.3) sau đó bằng nước cất nóng để lấy khối chảy ra khỏi chén. Thêm vào cốc 25 ml ÷ 30 ml axit HCl (d=1,19) (4.3), khuấy đều cho tan hết kết tủa. Làm bay hơi dung dịch trên bếp cách thủy hoặc cách cát. Thỉnh thoảng dùng đũa thủy tinh khuấy đều dung dịch và làm tơi kết tủa, cô cạn dung dịch cho đến khi thu được muối ẩm. Nếu quan sát thấy mẫu còn những hạt đen do mẫu chưa tan hết thì thêm 10 ml HCl (d=1,19) (4.3) nữa và lại cô đến muối ẩm. Lặp lại thao tác trên cho đến khi mẫu tan hoàn toàn.
Thêm 10 ml HCl d=1,19 (4.3), khuấy đều, tia rửa sạch thành cốc bằng nước cất, đun nóng đến khoảng 70 °C, thêm 5 ml dung dịch gielatin 1 % (4.4), khuấy kỹ trong 3 min, lại thêm tiếp 5 ml dung dịch gielatin 1 % (4.4), tiếp tục khuấy đều trong 2 min, thêm khoảng 50 ml nước cất nóng và để yên ở nhiệt độ trên khoảng 15 min.
Lọc dung dịch qua giấy lọc băng chảy chậm (Φ 11 cm) vào bình định mức có dung tích 250 ml (5.5). Rửa kết tủa sạch bằng dung dịch HCl loãng (1+20) (4.3) cho đến khi giấy lọc hết màu vàng, sau đó rửa kết tủa bằng nước cất nóng cho đến khi hết ion Cl-, thử bằng dung dịch bạc nitrat (AgNO3) 1 % (4.10). Để nguội, định mức đến vạch, lắc đều (dung dịch I), (Vđm1)
7.2 Xác định CaO
Dùng pipet (5.6) lấy chính xác 100 ml (Vh1) dung dịch sau khi tách loại SiO2 (dung dịch I) ở trên cho vào cốc chịu nhiệt dung tích 250 ml (5.4). Thêm vài giọt axit nitric HNO3 d=1,40 (4.1). Đun sôi dung dịch trong 3 min + 5 min. Thêm 1 ÷ 2 giọt metyl da cam 0,1 % (4.12) rồi trung hòa dung dịch bằng amoni hidroxit NH4OH (1+1) (4.5) đến chuyển màu từ đỏ sang vàng, cho dư thêm vài giọt amoni hidroxit NH4OH (1+1) (4.5) nữa để dung dịch chuyển sang màu nâu và xuất hiện kết tủa vẩn đục. Hòa tan kết tủa bằng vài giọt axit clohidric HCl (1+1) (4.3). Thêm 15 ml ÷ 20 ml urotropin 15 % (4.7), đun dung dịch đến bắt đầu sôi. Để yên dung dịch trên bếp ấm 15 min ÷ 20 min cho đông tụ kết tủa.
Lọc nóng dung dịch qua giấy lọc chảy vừa vào bình định mức dung tích 250 ml (5.5). Rửa kết tủa bằng dung dịch urotropin 0,5 % (4.7). Pha thêm nước cất đến vạch, lắc đều dung dịch (dung dịch II). (Vđm2)
Lấy chính xác 50 ml (Vh2) dung dịch II vào bình nón dung tích 250 ml (5.8). Thêm từ từ, vừa thêm vừa lắc, từng lượng nhỏ đến hết 20 ml dung dịch KOH 20 % (4.2), 10 giọt dung dịch kali xianua KCN 5 % (4.6), thêm 30 mg ÷ 50 mg hỗn hợp chỉ thị fluorexon (4.8) lắc đều. Chuẩn độ canxi bằng dung dịch EDTA (4.14) đến khi dung dịch mất ánh huỳnh quang xanh chuyển sang màu hồng sáng. Ghi thể tích dung dịch chuẩn EDTA (4.14) tiêu tốn (V1).
Làm mẫu trắng đồng thời với mẫu phân tích.
7.3 Xác định tổng lượng CaO và MgO
Lấy chính xác 50 ml (Vh2) dung dịch II cho vào bình nón dung tích 250 ml (5.8). Thêm 20 ml dung dịch đệm amoni pH=10 (4.9), 10 giọt dung dịch KCN 5 % (4.6), 30 mg ÷ 50 mg chỉ thị eriocrom T đen (4.11). Chuẩn bằng dung dịch EDTA (4.14) đến chuyển màu dung dịch từ đỏ nho sang xanh lam. Ghi thể tích dung dịch EDTA (4.14) tiêu tốn (V2).
8. Tính kết quả
8.1 Tính hàm lượng canxi oxit và magie oxit
Hàm lượng Canxi oxit (CaO) của mẫu thử, tính theo phần trăm khối lượng được xác định theo công thức như sau:
![]()
TCaO: Độ chuẩn của dung dịch EDTA theo canxi oxit, tính bằng gam trên mililit (g/ml);
V1: Thể tích dung dịch chuẩn EDTA tiêu tốn cho chuẩn độ canxi (đã trừ thể tích tiêu tốn cho chuẩn độ mẫu trắng), tính bằng miiilit (ml);
Vđm1: Thể tích dung dịch mẫu sau khi loại Silic (dung dịch I), tính bằng mililit (ml);
Vh1: Thể tích dung dịch mẫu lấy ra để loại nhôm, sắt, titan, tính bằng mililit (ml);
Vđm2: Thể tích dung dịch mẫu định mức sau khi loại nhôm, sắt, titan (dung dịch II), tính bằng mililit (ml);
Vh2: Thể tích dung dịch mẫu lấy để xác định canxi, tính bằng mililit (ml);
G: Lượng cân mẫu, tính bằng gam (g).
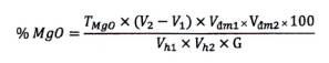
Hàm lượng magie oxit (MgO) của mẫu thử, tính theo phần trăm khối lượng được xác định theo công thức như sau:

Trong đó:
TMgO: Độ chuẩn của dung dịch EDTA theo magie oxit, tính bằng gam trên mililit (g/ml);
V2: Thể tích dung dịch EDTA tiêu tốn cho chuẩn độ tổng lượng canxi và magie (đã trừ thể tích tiêu tốn cho chuẩn độ mẫu trắng), tính bằng mililit (ml):
V1: Thể tích dung dịch chuẩn EDTA tiêu tốn cho chuẩn độ riêng canxi (đã trừ thể tích tiêu tốn cho chuẩn độ mẫu trắng), tính bằng mililit (ml):
Vđm1: Thể tích dung dịch mẫu sau khi loại Silic (dung dịch I), tính bằng mililit (ml);
Vh1: Thể tích dung dịch mẫu lấy ra để loại nhôm, sắt, titan, tính bằng mililit (ml);
Vđm2: Thể tích dung dịch mẫu định mức sau khi loại nhôm, sắt, titan (dung dịch II), tính bằng mililit (ml);
Vh2: Thể tích dung dịch mẫu lấy để xác định tổng canxi và magie, tính bằng mililit (ml);
G: Lượng cân mẫu, tính bằng gam (g).
Kết quả được lấy chính xác đến 2 chữ số sau dấu phẩy.
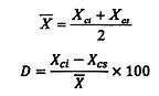
8.2 Sai lệch phép phân tích song song
Sai lệch lớn nhất giữa hai kết quả phân tích song song không vượt quá giá trị độ lệch tương đối D trong bảng 1 và bảng 2:

Trong đó:
D là độ lệch tương đối của hai kết quả phân tích song song, (%);
Xci là kết quả phân tích mẫu cơ bản;
Xcs là kết quả phân tích mẫu song song;
là giá trị trung bình của hai kết quả phân tích song song.
Bảng 1 - Độ lệch tương đối phép phân tích song song
| Số TT | Cấp hàm lượng CaO | D |
| (%) | (%) | |
| 1 | Từ 0,5 đến nhỏ hơn 1,0 | 33 |
| 2 | Từ 1,0 đến nhỏ hơn 2,0 | 25 |
| 3 | Từ 2,0 đến nhỏ hơn 5,0 | 19 |
| 4 | Từ 5,0 đến nhỏ hơn 10,0 | 14 |
| 5 | Từ 10,0 đến nhỏ hơn 20,0 | 8,9 |
| 6 | Từ 20,0 đến nhỏ hơn 30,0 | 5,8 |
Bảng 2 - Độ lệch tương đối phép phân tích song song
| Số TT | Cấp hàm lượng MgO | D |
| (%) | (%) | |
| 1 | Từ 0,5 đến nhỏ hơn 2,0 | 30 |
| 2 | Từ 2,0 đến nhỏ hơn 5,0 | 25 |
| 2 | Từ 5,0 đến nhỏ hơn 10,0 | 18 |
| 3 | Từ 10,0 đến nhỏ hơn 20,0 | 13 |
| 4 | Từ 20,0 đến nhỏ hơn 30,0 | 9,4 |
9 Báo cáo thử nghiệm
Báo cáo thử nghiệm bao gồm các thông tin sau:
a) Viện dẫn tiêu chuẩn này;
b) Nhận dạng mẫu thử;
c) Tên và địa chỉ phòng thử nghiệm;
d) Ngày tiến hành thử nghiệm;
e) Kết quả thử nghiệm;
f) Mọi thao tác không quy định trong tiêu chuẩn này hoặc được coi là tùy chọn và các yếu tố có thể ảnh hưởng đến kết quả thử nghiệm.
PHỤ LỤC A
(Tham khảo)
Các kết quả các mẫu lặp ở các cấp hàm lượng khác nhau
Bảng 1. Kết quả mẫu lặp xác định hàm lượng CaO
| Cấp Hàm lượng CaO (%) | SHM | Kết quả xác nhận (%) | KQ KN lần 1 (%) | KQ KN lần 2 (%) | KQ KN lần 3 (%) | SSTD (S1) | SSTD (S2) | SSTD (S3) |
| 0,5-<1,0 | MT1 | 0,5 | 0,45 | 0,50 | 0,45 | 10,53 | 0,00 | 10,53 |
| 1,0-<2,0 | MT 2 | 1,42 | 1,40 | 1,45 | 1,34 | 1,42 | 2,09 | 5,80 |
| MT 3 | 1,98 | 1,93 | 2,01 | 1,79 | 2,56 | 1,50 | 10,08 | |
| 2,0-<5,0 | MT 4 | 2,41 | 2,35 | 2,40 | 2,29 | 2,52 | 0,42 | 5,11 |
| MT 5 | 2,69 | 2,79 | 2,74 | 2,57 | 3,65 | 1,84 | 4,56 | |
| MC 2 | 2,74 | 2,85 | 2,79 | 2,51 | 3,94 | 1,81 | 8,76 | |
| MT 6 | 4,10 | 4,05 | 4,08 | 4,02 | 1,23 | 0,49 | 1,97 | |
| 5,0-<10,0 | MT 7 | 5,09 | 5,03 | 5,14 | 4,75 | 1,19 | 0,98 | 6,91 |
| MT 8 | 6,33 | 6,31 | 6,39 | 6,20 | 0,32 | 0,94 | 2,08 | |
| MC 1 | 9,03 | 8,94 | 9,10 | 8,71 | 1,00 | 0,77 | 3,61 |
Bảng 2. Kết quả mẫu lặp xác định hàm lượng MgO
| Cấp hàm lượng MgO (%) | SHM | Kết quả xác nhận (%) | KQ KN lần 1 (%) | KQ KN lần 2 (%) | KQ KN lần 3 (%) | SSTD (S1) | SSTD (S2) | SSTD (S3) |
| 1,0-<2,0 | MC 2 | 1,23 | 1,23 | 1,20 | 1,32 | 0,00 | 2,47 | 7,06 |
| 2,0-<5,0 | MT 1 | 3,54 | 3,53 | 3,57 | 3,47 | 0,28 | 0,84 | 2,00 |
| MT 2 | 3,54 | 3,47 | 3,65 | 3,57 | 2,00 | 3,06 | 0,84 | |
| MT 2 | 4,35 | 4,29 | 4,37 | 4,25 | 1,39 | 0,46 | 2,33 | |
| MT 4 | 4,25 | 4,21 | 4,29 | 4,35 | 0,95 | 0,94 | 2,33 | |
| MT 5 | 4,35 | 4,21 | 4,29 | 4,25 | 3,27 | 1,39 | 2,33 | |
| 5,0-<10,0 | MT 6 | 5,10 | 5,09 | 5,13 | 5,14 | 0,20 | 0,59 | 0,78 |
| MT 7 | 5,10 | 5,03 | 5,14 | 4,75 | 1,38 | 0,78 | 7,11 | |
| MT 8 | 7,48 | 7,46 | 7,56 | 7,66 | 0,27 | 1,06 | 2,38 | |
| MC1 | 7,66 | 7,72 | 7,78 | 7,56 | 0,78 | 1,55 | 1,31 |
Thư mục tài liệu tham khảo
[1] QTNB - Cu:Ca/2018 Đất, đá quặng đồng - Xác định hàm lượng Canxi (CaO) - Phương pháp chuẩn độ complexon;
[2] QTNB - Cu:Mg/2018 Đất, đá quặng đồng - Xác định hàm lượng Magie (MgO) - Phương pháp chuẩn độ complexon;
[3] TCN 01-VII PTH/94 Đất đá quặng - Phương pháp xác định hàm lượng oxit canxi
[4] TCN 01-VIII PTH/94 Đất đá quặng - Phương pháp xác định hàm lượng oxit magie
Bạn chưa Đăng nhập thành viên.
Đây là tiện ích dành cho tài khoản thành viên. Vui lòng Đăng nhập để xem chi tiết. Nếu chưa có tài khoản, vui lòng Đăng ký tại đây!