- Tổng quan
- Nội dung
- Tiêu chuẩn liên quan
- Lược đồ
- Tải về
Tiêu chuẩn TCVN 14194-4:2024 Đất, đá quặng đồng - Phần 4: Xác định tổng hàm lượng silic dioxit
| Số hiệu: | TCVN 14194-4:2024 | Loại văn bản: | Tiêu chuẩn Việt Nam |
| Cơ quan ban hành: | Bộ Khoa học và Công nghệ | Lĩnh vực: | Xây dựng , Công nghiệp |
| Trích yếu: | Đất, đá quặng đồng - Phần 4: Xác định tổng hàm lượng silic dioxit - Phương pháp khối lượng | ||
|
Ngày ban hành:
Ngày ban hành là ngày, tháng, năm văn bản được thông qua hoặc ký ban hành.
|
29/10/2024 |
Hiệu lực:
|
Đã biết
|
| Người ký: | Đang cập nhật |
Tình trạng hiệu lực:
Cho biết trạng thái hiệu lực của văn bản đang tra cứu: Chưa áp dụng, Còn hiệu lực, Hết hiệu lực, Hết hiệu lực 1 phần; Đã sửa đổi, Đính chính hay Không còn phù hợp,...
|
Đã biết
|
TÓM TẮT TIÊU CHUẨN VIỆT NAM TCVN 14194-4:2024
Tiêu chuẩn quốc gia TCVN 14194-4:2024: Hướng dẫn xác định hàm lượng silic dioxit trong quặng đồng
Tiêu chuẩn quốc gia TCVN 14194-4:2024 hướng dẫn phương pháp xác định tổng hàm lượng silic dioxit trong đất, đá quặng đồng. Tiêu chuẩn này được Cục Địa chất Việt Nam biên soạn và có hiệu lực thi hành từ ngày công bố.
Mục tiêu của tiêu chuẩn là hướng dẫn cách đo hàm lượng silic dioxit có chứa trong mẫu đất đá quặng đồng, với phạm vi xác định từ 0,2% đến 40%. Phương pháp xác định sử dụng quy trình khối lượng với các bước phân tích cụ thể để đạt được kết quả chính xác.
Trong quá trình phân tích, các thiết bị như cân phân tích, lò nung và các dụng cụ thủy tinh chuyên dụng sẽ được áp dụng. Ngoài ra, tiêu chuẩn cũng yêu cầu sử dụng thuốc thử loại siêu tinh khiết để đảm bảo độ chính xác của kết quả.
Cách tiến hành bao gồm việc chuẩn bị mẫu, phân hủy và tách silic, sau đó nghiệm thu kết quả để xác định hàm lượng silic dioxit. Kết quả được tính toán dựa trên khối lượng kết tủa thu được sau khi xử lý mẫu với các loại axit.
Ngoài ra, tiêu chuẩn cũng quy định về các thông tin cần ghi trong báo cáo thử nghiệm, bao gồm nhận dạng mẫu thử, kết quả thử nghiệm, và mọi thao tác ngoại lệ không quy định trong tiêu chuẩn.
Tiêu chuẩn TCVN 14194-4:2024 có sự liên hệ với các phần khác trong bộ tiêu chuẩn TCVN 14194 về đất, đá quặng đồng, cho phép thu thập và phân tích thông tin về các thành phần hóa học trong quặng đồng một cách đồng bộ và có hệ thống.
Tiêu chuẩn này sẽ là công cụ hữu ích không chỉ cho các cơ sở nghiên cứu mà còn cho các doanh nghiệp hoạt động trong lĩnh vực khai thác và chế biến quặng đồng, nhằm quản lý chất lượng sản phẩm đầu ra trong ngành công nghiệp khai thác.
TCVN 14194-4:2024 được công bố ngày 01/03/2024 và không có sự thay thế bởi một văn bản nào trước đó.
Bằng cách tuân thủ các quy định trong tiêu chuẩn này, các cơ sở có thể đảm bảo rằng họ sẽ xác định chính xác hàm lượng silic dioxit trong mẫu quặng đồng, từ đó giúp tối ưu hóa quy trình sản xuất và đáp ứng yêu cầu về chất lượng sản phẩm.
Tải tiêu chuẩn Việt Nam TCVN 14194-4:2024
TIÊU CHUẨN QUỐC GIA
TCVN 14194-4:2024
ĐẤT, ĐÁ QUẶNG ĐỒNG - PHẦN 4: XÁC ĐỊNH TỔNG HÀM LƯỢNG SILIC DIOXIT - PHƯƠNG PHÁP KHỐI LƯỢNG
Soils, rocks copper ores - Part 4: Determination ofsilic dioxit content - Gravimetric method
Lời nói đầu
TCVN 14194-4:2024 do Cục Địa chất Việt Nam biên soạn, Bộ Tài nguyên và Môi trường đề nghị, Tổng Cục Tiêu chuẩn Đo lường Chất lượng thẩm định, Bộ Khoa học và Công nghệ công bố.
Bộ TCVN 14194 Đất, đá quặng đồng gồm các phần sau:
| 1 | TCVN 14194-1:2024 | Phần 1: Xác định hàm lượng tổng sắt - Phương pháp chuẩn độ bicromat |
| 2 | TCVN 14194-2:2024 | Phần 2: Xác định hàm lượng lưu huỳnh tổng số - Phương pháp khối lượng |
| 3 | TCVN 14194-3:2024 | Phần 3: Xác định hàm lượng titan - Phương pháp quang phổ hấp thụ phân tử |
| 4 | TCVN 14194-4:2024 | Phần 4: Xác định tổng hàm lượng silic dioxit. Phương pháp khối lượng |
| 5 | TCVN 14194-5:2024 | Phần 5: Xác định hàm lượng canxi và magie - Phương pháp chuẩn độ complexon |
ĐẤT, ĐÁ QUẶNG ĐỒNG - PHẦN 4: XÁC ĐỊNH TỔNG HÀM LƯỢNG SILIC DIOXIT - PHƯƠNG PHÁP KHỐI LƯỢNG
Soils, rocks copper ores - Part 4: Determination of silic dioxit content - Gravimetric method
1 Phạm vi áp dụng
Tiêu chuẩn này quy định phương pháp khối lượng xác định tổng hàm lượng silic dioxit trong mẫu đất, đá quặng đồng có hàm lượng từ 0,2 % (theo khối lượng) đến 40 % (theo khối lượng).
2 Tài liệu viện dẫn
Các tài liệu viện dẫn sau rất cần thiết cho việc áp dụng tiêu chuẩn này. Đối với các tài liệu viện dẫn ghi năm công bố thì áp dụng phiên bản được nêu. Đối với các tài liệu viện dẫn không ghi năm công bố thì áp dụng phiên bản mới nhất, bao gồm cả các sửa đổi, bổ sung (nếu có).
TCVN 4851 (ISO 3696), Nước dùng để phân tích trong phòng thí nghiệm - Yêu cầu kỹ thuật và phương pháp thử.
TCVN 7153 (ISO 1042), Dụng cụ thí nghiệm bằng thủy tinh - Bình định mức.
TCVN 9924:2013, Đất, đá quặng - Quy trình gia công mẫu sử dụng cho các phương pháp phân tích hóa học, hóa lý, rơnghen, nhiệt.
3 Nguyên tắc
Phương pháp dựa trên việc tách axit silixic trong môi trường axit clohidric có mặt gielatin làm chất đông tụ keo. Tủa axit silixic được nung ở nhiệt độ 950 °C đến 1000 °C đến khối lượng không đổi và sau đó được xử lý bằng axit sunfuric H2SO4 và axit flohidric HF
4 Thuốc thử
Trong quá trình phân tích, chỉ sử dụng thuốc thử loại siêu tinh khiết phân tích và nước phù hợp với TCVN 4851 (ISO 3696).
4.1 Kali hidroxit KOH, dạng hạt
4.2 Axit clohidric HCl d=1,19; dung dịch 2 %; dung dịch (1 + 1) và dung dịch (1+20) (theo thể tích)
4.3 Gielatin dung dịch 1 % được pha dùng trong ngày làm việc: Ngâm 1 gam gielatin trong 100 ml nước cất nóng (60 °C ÷ 70 °C) khoảng 30 min, khuấy kỹ cho tan hết.
4.4 Axitsunfuric H2SO4 d=1,84; dung dịch (1 + 1).
4.5 Axit flohidric HF 40 %.
4.6 Bạc nitrat AgNO3, dung dịch 1 %. Hòa tan 1 gam bạc nitrat AgNO3 tinh thể trong bình 100 ml, định mức bằng nước cất đến vạch, lắc đều, bảo quản trong bình thủy tinh tối màu, có nút kín.
5 Thiết bị, dụng cụ
Trong tiêu chuẩn này sử dụng các thiết bị, dụng cụ thông thường trong phòng thử nghiệm và các thiết bị, dụng cụ sau:
5.1 Cân phân tích có độ chính xác đến 0,0001 gam
5.2 Lò nung có điều khiển nhiệt độ đến 1000 °C
5.3 Chén niken dung tích 30 ml + 50 ml
5.4 Cốc thủy tinh chịu nhiệt dung tích 250 ml
5.5 Bình hút ẩm Φ 25 cm
5.6 Bình định mức dung tích 250 ml
5.7 Chén bạch kim dung tích 30 ml
5.8 Nắp kính thủy tinh, đường kính 9 cm
5.9 Bếp điện
5.10 Tủ sấy có thể đặt nhiệt độ ở 105 °C ± 2 °C.
6 Chuẩn bị mẫu thử
Chuẩn bị và gia công mẫu thử theo TCVN 9924:2013.
7 Cách tiến hành
7.1 Phân hủy mẫu và tách Silic
Cân (5.1) 0,5000 gam mẫu đã được sấy khô ở 105 °C trong 2 h vào chén niken (5.3) đã có sẵn 4 gam đến 5 gam kali hidroxit KOH (4.1) đã làm mất nước trên bếp điện hoặc trong lò nung ở nhiệt độ khoảng 200 °C ÷ 300 °C (5.2). Tiến hành nung chảy trong lò (5.2) từ nhiệt độ thấp lên đến khoảng 650 °C ÷ 700 °C và giữ ở nhiệt độ này trong 10 min ÷ 15 min đến khi mẫu chảy thành một khối linh động đồng nhất.
Lấy chén ra khỏi lò. Rửa thành ngoài và đáy chén bằng dung dịch axit clohidric HCl 2 % (4.2). Đặt chén vào cốc chịu nhiệt 250 ml (5.6), cẩn thận rót vào cốc 30 ml ÷ 50 ml nước nóng, đậy cốc bằng nắp kính thủy tinh (5.8). Dùng đũa thủy tinh có đầu bọc nhựa và vòi tia rửa sạch chén bằng dung dịch HCl (1+1) (4.2) sau đó bằng nước cất nóng để lấy khối chảy ra khỏi chén. Hòa tan khối chảy bằng 25 ml ÷ 30 ml axit clohidric HCl d=1,19 (4.2), khuấy đều cho tan hết kết tủa.
7.2 Tách axit silicic và xác định silic dioxit
Thêm vào cốc 25 ml ÷ 30 ml axit HCl (d=1,19) (4.2), khuấy đều cho tan hết kết tủa. Làm bay hơi dung dịch trên bếp cách thủy hoặc cách cát. Thỉnh thoảng dùng đũa thủy tinh khuấy đều dung dịch và làm tơi kết tủa, cô cạn dung dịch cho đến khi thu được muối ẩm. Quan sát thấy mẫu còn những hạt đen do mẫu chưa tan hết thì thêm 10 ml dung dịch HCl (d=1,19) (4.2) nữa và lại cô đến muối ẩm. Lặp lại thao tác trên cho đến khi mẫu tan hoàn toàn.
Thêm 10 ml dung dịch HCl d=1,19 (4.2), khuấy đều, tia rửa sạch thành cốc bằng nước cất, đun nóng đến khoảng 70 °C, thêm 5 ml dung dịch gielatin 1 % (4.3), khuấy kỹ trong 3 min, thêm tiếp 5 ml dung dịch gielatin 1 % (4.3), tiếp tục khuấy đều trong 2 min, thêm khoảng 50 ml nước cất nóng và để yên ở nhiệt độ trên khoảng 15 min
Lọc dung dịch qua giấy lọc chảy chậm (Φ 11 cm) vào bình định mức có dung tích 250 ml (5.6). Rửa kết tủa sạch bằng dung dịch HCl loãng (1+20) (4.2) cho đến khi giấy lọc hết màu vàng, sau đó rửa kết tủa bằng nước cất nóng cho đến khi hết ion Cl-, thử bằng dung dịch bạc nitrat (AgNO3) 1 % (4.6). Để kết tủa ráo nước. Phần dung dịch được giữ lại để tiếp tục xác định các chỉ tiêu khác (nếu cần).
Chuyển kết tủa vào chén bạch kim (5.7) đã được nung ở 950 °C trong 1 h. Tro hoá giấy lọc và nung kết tủa ở nhiệt độ tăng dần đến 950 °C và giữ ở nhiệt độ này trong khoảng từ 1,5 h ÷ 2 h. Lấy chén ra, làm nguội trong bình hút ẩm (5.6), cân khối lượng chén và kết tủa, được khối lượng (m1).
Thêm vào chén kết tủa vài giọt H2SO4 (1+1) (4.4), 10 ml HF 40 % (4.5). Đặt chén đun trên bếp điện (5.9) mạnh đến khi thoát hết khí anhidrit sunturơ, khi đó trong chén thu được cặn khô. Tiến hành nung chén và cặn khô ở nhiệt độ 950 °C đến 1000 °C trong 30 min ÷ 40 min. Lấy chén ra, làm nguội trong bình hút ẩm (5.5), cân khối lượng chén và cặn được khối lượng (m2).
Hiệu khối lượng trước và sau khi xử lý bốc HF là lượng silic dioxit.
Làm mẫu trắng thuốc thử đồng thời với mẫu phân tích, khối lượng mẫu trắng thuốc thử cân được m0
8 Tính kết quả
8.1 Tính hàm lượng silic dioxit (SiO2)
Hàm lượng của silic dioxit (SiO2) của mẫu thử, tính theo phần trăm khối lượng được xác định theo công thức như sau:
![]()
trong đó:
m1: khối lượng silic dioxit và tạp chất trước khi xử lý bằng H2SO4+ HF, tính bằng gam (g);
m2: khối lượng tạp chất còn lại sau khi xử lý bằng H2SO4+HF, tính bằng gam (g);
m0: khối lượng tạp chất trong mẫu không quặng sau khi xử lý bằng H2SO4+HF, tính bằng gam (g);
m: khối lượng mẫu lấy để phân tích, tính bằng gam (g);
Kết quả được lấy chính xác đến 2 chữ số sau dấu phẩy.
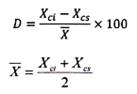
8.2 Sai lệch phép phân tích song song
Sai lệch lớn nhất giữa hai kết quả phép phân tích song song không vượt quá giá trị độ lệch tương đối D trong bảng 1:

Trong đó:
D là độ lệch tương đối của hai kết quả phân tích song song, (%);
Xci là kết quả phân tích mẫu cơ bản;
Xcs là kết quả phân tích mẫu song song;
là giá trị trung bình hai kết quả phân tích song song.
Bảng 1 - Độ lệch tương đối phép phân tích song song
| Số TT | Cấp hàm lượng SiO2 (%) | D (%) |
| 1 | Từ 0,5 đến nhỏ hơn 2,0 | 33 |
| 2 | Từ 1,0 đến nhỏ hơn 2,0 | 26 |
| 3 | Từ 2,0 đến nhỏ hơn 5,0 | 19 |
| 4 | Từ 5,0 đến nhỏ hơn 10,0 | 14 |
| 5 | Từ 10,0 đến nhỏ hơn 20,0 | 8,9 |
| 6 | Từ 20,0 đến nhỏ hơn 30,0 | 5,3 |
| 7 | Từ 30,0 đến nhỏ hơn 40,0 | 3,6 |
9 Báo cáo thử nghiệm
Báo cáo thử nghiệm bao gồm các thông tin sau:
a) Viện dẫn tiêu chuẩn này;
b) Nhận dạng mẫu thử;
c) Tên và địa chỉ phòng thử nghiệm;
d) Ngày tiến hành thử nghiệm;
e) Kết quả thử nghiệm;
f) Mọi thao tác không quy định trong tiêu chuẩn này hoặc được coi là tùy chọn và các yếu tố có thể ảnh hưởng đến kết quả thử nghiệm.
PHỤ LỤC A
(Tham khảo)
Bảng kết quả các mẫu lặp ở các khoảng hàm lượng khác nhau
| Cấp Hàm lượng (%) | Số hiệu mẫu | Kết quả xác nhận (%) | Kết quả KN lần 1 (%) | Kết quả KN lần 2 (%) | Kết quả KN lần 3 (%) | Sai số tương đối (S1) | Sai số tương đối (S2) | Sai số tương đối (S3) |
| 1,00÷<2,00 | MS 01 | 1,94 | 1,80 | 1,92 | 1,86 | 7,49 | 1,04 | 4,21 |
| 2,00÷<5,00 | MS 02 | 2,58 | 2,64 | 2,50 | 2,80 | 2,30 | 3,15 | 8,18 |
| MS 03 | 2,64 | 2,74 | 2,56 | 2,88 | 3,72 | 3,08 | 8,70 | |
| 5,0÷<10,0 | ASCRM-005 | 5,80 | 6,00 | 6,10 | 5,90 | 3,05 | 5,04 | 1,71 |
| MS 04 | 8,40 | 8,22 | 8,50 | 8,76 | 2,17 | 1,18 | 4,20 | |
| 10,0-<20,0 | MS 05 | 12,20 | 12,02 | 12,36 | 11,72 | 1,49 | 1,30 | 4,01 |
| MS 06 | 17,86 | 18,16 | 18,28 | 17,50 | 1,67 | 2,32 | 2,04 | |
| 20,0-<30,0 | MS 07 | 25,66 | 25,26 | 25,96 | 26,06 | 1,57 | 1,16 | 1,55 |
| MS 08 | 27,66 | 28,02 | 27,40 | 27,32 | 1,29 | 0,94 | 1,24 | |
| 30,0-<40,0 | MS 09 | 35,56 | 34,16 | 35,02 | 34,80 | 4,02 | 1,53 | 2,16 |
| MS 10 | 39,26 | 39,00 | 38,80 | 39,50 | 0,66 | 1,18 | 0.61 |
Thư mục tài liệu tham khảo
[1] QTNB - Cu:Si/2018 Đất đá quặng đồng - Xác định hàm lượng Silic (SiO2) - Phương pháp khối lượng
[2] QT SA.01 -HH/05 Đất đá quặng - Xác định hàm lượng oxit silic bằng phương pháp khối lượng
Bạn chưa Đăng nhập thành viên.
Đây là tiện ích dành cho tài khoản thành viên. Vui lòng Đăng nhập để xem chi tiết. Nếu chưa có tài khoản, vui lòng Đăng ký tại đây!