- Tổng quan
- Nội dung
- Tiêu chuẩn liên quan
- Lược đồ
- Tải về
Tiêu chuẩn quốc gia TCVN 14194-1:2024 Đất, đá quặng đồng - Phần 1: Xác định hàm lượng tổng sắt - Phương pháp chuẩn độ bicromat
| Số hiệu: | TCVN 14194-1:2024 | Loại văn bản: | Tiêu chuẩn Việt Nam |
| Cơ quan ban hành: | Bộ Khoa học và Công nghệ | Lĩnh vực: | Tài nguyên-Môi trường , Công nghiệp |
| Trích yếu: | Đất, đá quặng đồng - Phần 1: Xác định hàm lượng tổng sắt - Phương pháp chuẩn độ bicromat | ||
|
Ngày ban hành:
Ngày ban hành là ngày, tháng, năm văn bản được thông qua hoặc ký ban hành.
|
29/10/2024 |
Hiệu lực:
|
Đã biết
|
| Người ký: | Đang cập nhật |
Tình trạng hiệu lực:
Cho biết trạng thái hiệu lực của văn bản đang tra cứu: Chưa áp dụng, Còn hiệu lực, Hết hiệu lực, Hết hiệu lực 1 phần; Đã sửa đổi, Đính chính hay Không còn phù hợp,...
|
Đã biết
|
TÓM TẮT TIÊU CHUẨN VIỆT NAM TCVN 14194-1:2024
Nội dung tóm tắt đang được cập nhật, Quý khách vui lòng quay lại sau!
Tải tiêu chuẩn Việt Nam TCVN 14194-1:2024
TIÊU CHUẨN QUỐC GIA
TCVN 14194-1:2024
ĐẤT, ĐÁ QUẶNG ĐỒNG - PHẦN 1: XÁC ĐỊNH HÀM LƯỢNG TỔNG SẮT - PHƯƠNG PHÁP CHUẨN ĐỘ BICROMAT
Soils, rocks copper ores - Part 1: Determination of total iron content - Bicromat titrimetric method
Lời nói đầu
TCVN 14194-1:2024 do Cục Địa chất Việt Nam biên soạn, Bộ Tài nguyên và Môi trường đề nghị, Tổng Cục Tiêu chuẩn Đo lường Chất lượng thẩm định, Bộ Khoa học và Công nghệ công bố.
Bộ TCVN 14194 Đất, đá quặng đồng gồm các phần sau:
| 1 | TCVN 14194-1:2024 | Phần 1: Xác định hàm lượng tổng sắt - Phương pháp chuẩn độ bicromat |
| 2 | TCVN 14194-2:2024 | Phần 2: Xác định hàm lượng lưu huỳnh tổng số - Phương pháp khối lượng |
| 3 | TCVN 14194-3:2024 | Phần 3: Xác định hàm lượng titan - Phương pháp quang phổ hấp thụ phân tử |
| 4 | TCVN 14194-4:2024 | Phần 4: Xác định tổng hàm lượng silic dioxit - Phương pháp khối lượng |
| 5 | TCVN 14194-5:2024 | Phần 5: Xác định hàm lượng canxi và magie - Phương pháp chuẩn độ complexon |
ĐẤT, ĐÁ QUẶNG ĐỒNG - PHẦN 1: XÁC ĐỊNH HÀM LƯỢNG TỔNG SẮT - PHƯƠNG PHÁP CHUẨN ĐỘ BICROMAT
Soils, rocks copper ores - Part 1: Determination of total iron content - Bicromat titrimetric method
1 Phạm vi áp dụng
Tiêu chuẩn này quy định phương pháp chuẩn độ bicromat xác định tổng hàm lượng sắt trong mẫu đất, đá quặng đồng có hàm lượng từ 0,5 % (theo khối lượng) đến 40 % (theo khối lượng).
2 Tài liệu viện dẫn
Các tài liệu viện dẫn sau rát cần thiết cho việc áp dụng tiêu chuẩn này. Đối với các tài liệu viện dẫn ghi năm công bố thì áp dụng phiên bản được nêu. Đối với các tài liệu viện dẫn không ghì năm công bố thì áp dụng phiên bản mới nhất, bao gồm cả các sửa đổi, bổ sung (nếu có).
TCVN 4851 (ISO 3696), Nước dùng để phân tích trong phòng thí nghiệm - Yêu cầu kỹ thuật và phương pháp thử.
TCVN 7153 (ISO 1042), Dụng cụ thí nghiệm bằng thủy tinh - Bình định mức.
TCVN 9924:2013, Đất, đá quặng - Quy trình gia công mẫu sử dụng cho các phương pháp phân tích hóa học, hóa lý, rơnghen, nhiệt.
3 Nguyên tắc
Sắt trong quặng được tách khỏi các nguyên tố cản ở dạng hidroxit, sau đó được chuyển về dạng Fe(ll) nhờ thiếc (II) clorua và được xác định bằng phương pháp chuẩn độ oxi-hóa khử với chất chuẩn là kali bicromat và chỉ thị natri diphenylamin sunfonat.
4 Thuốc thử
Trong quá trình phân tích, chỉ sử dụng thuốc thử loại siêu tinh khiết phân tích và nước phù hựp với TCVN 4851 (ISO 3696).
4.1 Kali hidroxit KOH, dạng hạt và dung dịch 2 %. Cân 20 gam KOH vào bình định mức 1 lit, thêm nước đến vạch, lắc đều.
4.2 Axit clohidric HCI, d=1,19, các dung dịch (1+1) và dung dịch (1+10) (theo thể tích)
4.3 Axil sunfuric H2SO4, dung dịch 10 % có chứa SnCI2: Thêm 4 gam đến 5 gam SnCl2 vào 1 lít axit sunfuric 10 %, lắc đều.
4.4 Thiếc (II) clorua SnCI2, dung dịch 5 % pha trong HCI (1:1): Hòa tan 14,73 gam SnCI2.2H2O trong 100 ml axit HCI (d=1,19), pha loãng bằng nước đến 250 ml. Dung dịch được pha chế trong ngày để sử dụng.
4.5 Kali pemaganat KMnO4, dung dịch 1 %.
Dung dịch 1 % được pha như sau: Cân 1,000 gam kali pemanganat vào bình định mức 100 ml, thêm nước đến vạch, lắc kỹ. Để ổn định trong 72 h, lọc bỏ phần kết tủa, dựng vào lọ thủy tinh 100 ml. Bảo quản trong tủ hóa chất ở nhiệt độ 26 °C.
4.6 Thủy ngân (II) clorua HgCI2, dung dịch 5 %: Hòa tan (trong tủ hút hơi độc) 50 gam HgCI2 trong nước cất, thêm nước đến 1 lít
4.7 Hỗn hợp axit sunfuric và axit photphoric thêm 150 ml H2SO4 d=1,84 vào 700 ml nước cất, để nguội bớt, thêm tiếp 150 ml H3PO4 d=1,69, lắc đều, để nguội.
4.8 Dung dịch chuẩn Kali bicromat K2Cr2O7 0,025 N, pha từ ống chuẩn (fixanal): Hòa tan lượng K2Cr2O7 có trong ống chuẩn trong bình định mức 1 lít, thêm nước đến vạch, lắc đều. Hoặc hòa tan 4,9032 gam kali bicromat (đã kết tinh) trong bình định mức 1 lít. Thêm nước đến vạch, lắc đều. Dung dịch thu được có nồng độ 0,1 N. Pha loãng 4 lần dung dịch trên thì được dung dịch có nồng độ 0,025 N (tương đương 1,3963 mg (Fe)/ml dung dịch).
4.9 Natri diphenylamin sunfonat, dung dịch 0,5 %: Hòa tan 0,5 gam natri diphenylamin sunfonat trong 100 ml nước, thêm vài giọt axit sunfuric (1+1), lắc đều.
4.10 Rượu etylic 96°.
5 Thiết bị, dụng cụ
Trong tiêu chuẩn này sử dụng các thiết bị, dụng cụ thông thường trong phòng thử nghiệm và các thiết bị, dụng cụ sau:
5.1 Cân phân tích có độ chính xác đến 0,0001 gam.
5.2 Lò nung có điều khiển nhiệt độ đến 1000 °C
5.3 Chén niken có dung tích 30 ml ÷ 50 ml.
5.4 Cốc thủy tinh chịu nhiệt dung tích 250 ml.
5.5 Bình định mức phù hợp theo loại A của TCVN 7153 (ISO 1042) dung tích 50 ml; 100 ml; 250 ml
5.6 Bếp gia nhiệt, điều khiển được nhiệt độ đến 200 °C
5.7 Nắp kính thủy tinh có đường kính 9 cm
5.8 Tủ sấy có thể đặt nhiệt độ ở 105 °C ± 2 °C.
6 Chuẩn bị mẫu thử
Chuẩn bị và gia công mẫu thử theo TCVN 9924:2013
7 Cách tiến hành
Cân (5.1) 0,2000 gam mẫu đã được sấy khô ở 105 °C đến khối lượng không đổi, vào chén niken (5.3) có sẵn 5 gam KOH (4.1) đã làm bay hơi nước trên bếp điện (5.6). Tiến hành nung chảy ở nhiệt độ 650 °C đến 700 °C trong 15 min ÷ 20 min. Trong quá trình nung, khi đạt nhiệt độ 650 °C, dùng kẹp gắp bằng kim loại lắc nhẹ mẫu để đảm bảo mẫu được trộn đều đồng nhất và được nung chảy hoàn toàn.
Lấy chén ra khỏi lò (5.2), để nguội bớt, rửa phía ngoài chén bằng dung dịch HCI (1+10) (4.2), sau đó tráng lại bằng nước cất rồi cho vào cốc có dung tích 250 ml (5.4). Đậy cốc bằng nắp kính thủy tinh (5.7), thêm từ từ vào cốc 50 ml ÷ 60 ml nước cất nóng. Dùng đũa thủy tinh đầu bọc nhựa và bình tia nước cất nóng để cọ rửa sạch chén.
Đặt cốc có kết tủa lên bếp (5.6) đun sôi trong 5 min. Nếu dung dịch có màu xanh hoặc tím thì thêm vào đó từ 5 giọt đến 7 giọt rượu etylic (4.10). Lọc dung dịch bằng giấy lọc chảy chậm để lấy phần kết tủa. Rửa cốc và kết tủa từ 7 lần đến 10 lần bằng dung dịch KOH 2 % nóng (4.1) và sau đó 3 lần bằng nước cất nóng. Phần nước lọc bỏ đi.
Dùng bình tia chứa 25 ml dung dịch nóng H2SO4 10 % (4.3) có lẫn SnCb (4.4) hòa tan kết tủa trên giấy lọc vào binh định mức dung tích 250 ml (5.5). Sau đó rửa giấy lọc 3 lần bằng nước cất nóng. Thêm vào bình định mức 10 ml HCI (1+1) (4.2), tia nước cất tráng thành bình, đun nóng dung dịch đến khoảng 70 °C ÷ 80 °C. Thêm từng giọt KMnO4 1 % (4.5) đến khi dung dịch có màu vàng của FeCI3, thêm tiếp từ từ từng giọt dung dịch SnCb 5 % (4.4) cho đến khi dung dịch mất màu vàng của sắt, cho thêm dư 2 giọt SnCI2 (4.4) nữa. Tia nước cất tráng thành bình. Để nguội dung dịch đến nhiệt độ phòng.
Thêm nhanh 10 ml dung dịch HgCI2 5 % (4.6), lắc đều để xuất hiện kết tủa như dải lụa trắng. Để yên trong 5 min. Thêm 20 ml dung dịch hỗn hợp axit H2SO4 và axit H3PO4 (4.7), thêm 2 giọt chỉ thị natri diphelyamin suntonat 0,5 % (4.9) và chuẩn độ bằng dung dịch K2Cr2O7 0,025 N (4.8) đến khi dung dịch có màu tím, bền trong 30 sec. Ghi thể tích dung dịch K2Cr2O7 (4.8) tiêu tốn.
Chú thích: Cần tiến hành lại khi không xuất hiện kết tủa dải lụa trắng hoặc kết tủa đen.
Làm mẫu trắng thuốc thử đồng thời với mẫu phân tích.
8 Tính kết quả
8.1 Tính hàm lượng tổng sắt
Hàm lượng tổng sắt (TFe) của mẫu thử, tính theo phần trăm khối lượng được tính theo công thức sau:
![]()
Trong đó:
V: Thể tích dung dịch K2Cr2O7 tiêu tốn khi chuẩn độ mẫu phân tích, tính bằng mililit (ml);
Vo: Thể tích dung dịch K2Cr2O7 tiêu tốn khi chuẩn độ mẫu trắng, tính bằng mililit (ml);
T: Là độ chuẩn của dung dịch K2Cr2O7 theo TFe (mg/ml)
G: Lượng cân mẫu, tính bằng gam (g);
Kết quả được lấy chính xác đến 2 chữ số sau dấu phẩy.
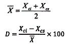
8.2 Sai lệch phép phân tích song song
Sai lệch lớn nhất giữa hai kết quả phân tích song song không vượt quá giá trị độ lệch tương đối D trong bảng 1.

Trong đó:
D là độ lệch tương đối của hai kết quả phân tích song song, (%);
Xci là kết quả phân tích mẫu cơ bản;
Xcs là kết quả phân tích mẫu song song;
là giá trị trung bình của hai kết quả phân tích song song.
Bảng 1 - Độ lệch tương đối phép phân tích song song
| Số TT | Cấp hàm lượng TFe (%) | D (%) |
| 1 | Từ 0,50 đến nhỏ hơn 1,00 | 30 |
| 2 | Từ 1,00 đến nhỏ hơn 2,00 | 25 |
| 3 | Từ 2,00 đến nhỏ hơn 5,00 | 18 |
| 4 | Từ 5,00 đến nhỏ hơn 10,00 | 9,6 |
| 5 | Từ 10,00 đến nhỏ hơn 20,00 | 4,4 |
| 6 | Từ 20,00 đến nhỏ hơn 30,00 | 3,0 |
| 7 | Từ 30,00 đến nhỏ hơn 40,00 | 2,4 |
9 Báo cáo kết quả thử nghiệm
Báo cáo kết quả thử nghiệm bao gồm các thông tin sau:
a) Viện dẫn tiêu chuẩn này;
b) Nhận dạng mẫu thử;
c) Tên và địa chỉ phòng thử nghiệm;
d) Ngày tiến hành thử nghiệm;
e) Kết quả thử nghiệm;
f) Mọi thao tác không quy định trong tiêu chuẩn này hoặc được coi là tùy chọn và các yếu tố có thể ảnh hưởng đến kết quả thử nghiệm.
PHỤ LỤC A
(Tham khảo)
Bảng kết quả mẫu lặp ở các cấp hàm lượng khác nhau
| Cấp hàm lượng (TFe) | Số hiệu mâu | Kết quả xác nhận (%) | KQ KN lần 1 (%) | KQ KN lần 2 (%) | KQ KN lần 3 (%) | SSTD (S1) | SSTD (S2) | SSTD (S3) |
| 5,0 - < 10,0% | MS 01 | 6,86 | 6,93 | 6,60 | 6,93 | 1,02 | 3,86 | 1,02 |
| MS 02 | 9,41 | 9,57 | 9,24 | 9,57 | 1,69 | 1,82 | 1,69 | |
| 10,0 - < 20,0% | MS 03 | 13,28 | 13,54 | 13.37 | 13,21 | 1,94 | 0,68 | 0,53 |
| MS 04 | 15,94 | 16,01 | 16,01 | 15,68 | 0,44 | 0,44 | 1,64 | |
| 20,0 - < 30,0% | MS 05 | 24.46 | 24,27 | 24.18 | 24,43 | 0,78 | 1,15 | 0,12 |
| MS 06 | 27.12 | 27,16 | 27.24 | 26,91 | 0,15 | 0,44 | 0,78 | |
| 30,0 - < 40,0% | MS 07 | 31.99 | 32,34 | 31,46 | 31,90 | 1,09 | 1,67 | 0,28 |
| MS 08 | 36.53 | 37,06 | 36,18 | 36,80 | 1,44 | 0,96 | 0,74 | |
| 40,0 - < 50,0% | MS 09 | 43.70 | 44,22 | 43,35 | 44,05 | 1,18 | 0,80 | 0,80 |
| MS 10 | 46,50 | 46,06 | 45,97 | 46,32 | 0,95 | 1,15 | 0,39 |
Thư mục tài liệu tham khảo
[1] QTNB - Cu: T.Fe/2018 Đất, đá quặng đồng - Xác định hàm lượng sắt tổng số bằng phương pháp chuẩn độ bicromat.
Bạn chưa Đăng nhập thành viên.
Đây là tiện ích dành cho tài khoản thành viên. Vui lòng Đăng nhập để xem chi tiết. Nếu chưa có tài khoản, vui lòng Đăng ký tại đây!