- Tổng quan
- Nội dung
- Tiêu chuẩn liên quan
- Lược đồ
- Tải về
Tiêu chuẩn quốc gia TCVN 14194-2:2024 Đất, đá quặng đồng - Phần 2: Xác định hàm lượng lưu huỳnh tổng số - Phương pháp khối lượng
| Số hiệu: | TCVN 14194-2:2024 | Loại văn bản: | Tiêu chuẩn Việt Nam |
| Cơ quan ban hành: | Bộ Khoa học và Công nghệ | Lĩnh vực: | Xây dựng , Công nghiệp |
| Trích yếu: | Đất, đá quặng đồng - Phần 2: Xác định hàm lượng lưu huỳnh tổng số - Phương pháp khối lượng | ||
|
Ngày ban hành:
Ngày ban hành là ngày, tháng, năm văn bản được thông qua hoặc ký ban hành.
|
29/10/2024 |
Hiệu lực:
|
Đã biết
|
| Người ký: | Đang cập nhật |
Tình trạng hiệu lực:
Cho biết trạng thái hiệu lực của văn bản đang tra cứu: Chưa áp dụng, Còn hiệu lực, Hết hiệu lực, Hết hiệu lực 1 phần; Đã sửa đổi, Đính chính hay Không còn phù hợp,...
|
Đã biết
|
TÓM TẮT TIÊU CHUẨN VIỆT NAM TCVN 14194-2:2024
Nội dung tóm tắt đang được cập nhật, Quý khách vui lòng quay lại sau!
Tải tiêu chuẩn Việt Nam TCVN 14194-2:2024
TIÊU CHUẨN QUỐC GIA
TCVN 14194-2:2024
ĐẤT, ĐÁ QUẶNG ĐỒNG - PHẦN 2: XÁC ĐỊNH HÀM LƯỢNG LƯU HUỲNH TỔNG SỐ - PHƯƠNG PHÁP KHỐI LƯỢNG
Soils, rocks copper ores - Part 2: Determination of total sulfur content - Gravimetric method
Lời nói đầu
TCVN 14194-2:2024 do Cục Địa chất Việt Nam biên soạn, Bộ Tài nguyên và Môi trường đề nghị, Tổng Cục Tiêu chuẩn Đo lường Chất lượng thẩm định, Bộ Khoa học và Công nghệ công bố.
Bộ TCVN 14194 Đất, đá quặng đồng gồm các phần sau:
| 1 | TCVN 14194-1:2024 | Phần 1: Xác định hàm lượng tổng sắt - Phương pháp chuẩn độ bicromat |
| 2 | TCVN 14194-2:2024 | Phần 2: Xác định hàm lượng lưu huỳnh tổng số - Phương pháp khối lượng |
| 3 | TCVN 14194-3:2024 | Phần 3: Xác định hàm lượng titan - Phương pháp quang phổ hấp thụ phân tử |
| 4 | TCVN 14194-4:2024 | Phần 4: Xác định tổng hàm lượng silic dioxit - Phương pháp khối lượng |
| 5 | TCVN 14194-5:2024 | Phần 5: Xác định hàm lượng canxi và magie - Phương pháp chuẩn độ complexon |
ĐẤT, ĐÁ QUẶNG ĐỒNG - PHẦN 2: XÁC ĐỊNH HÀM LƯỢNG LƯU HUỲNH TỔNG SỐ - PHƯƠNG PHÁP KHỐI LƯỢNG
Soils, rocks copper ores - Part 2: Determination of total sulfur content - Gravimetric method
1 Phạm vi áp dụng
Tiêu chuẩn này quy định kỹ thuật phương pháp khối lượng xác định hàm lượng lưu huỳnh tổng số trong mẫu đất, đá quặng đồng có hàm lượng từ 0,1 % (theo khối lượng) đến 30 % (theo khối lượng).
2 Tài liệu viện dẫn
Các tài liệu viện dẫn sau rất cần thiết cho việc áp dụng tiêu chuẩn này. Đối với các tài liệu viện dẫn ghi năm công bố thì áp dụng phiên bản được nêu. Đối với các tài liệu viện dẫn không ghi năm công bố thì áp dụng phiên bản mới nhất, bao gồm cả các sửa đổi, bổ sung (nếu có).
TCVN 4851 (ISO 3696), Nước dùng để phân tích trong phòng thí nghiệm - Yêu cầu kỹ thuật và phương pháp thử.
TCVN 7153 (ISO 1042), Dụng cụ thí nghiệm bằng thủy tinh - Bình định mức.
TCVN 9924:2013, Đất, đá quặng - Quy trình gia công mẫu sử dụng cho các phương pháp phân tích hóa học, hóa lý, rơnghen, nhiệt.
3 Nguyên tắc
Bằng cách nung khan mẫu với hỗn hợp natri cacbonat và kẽm oxit, lưu huỳnh các dạng được tách khỏi phần lớn các nguyên tố đi kèm và chuyển về dạng SO42- sau đó được xác định bằng phương pháp khối lượng ở dạng kết tủa bari suntat BaSO4 khó tan.
4 Thuốc thử
Trong quá trình phân tích, chỉ sử dụng thuốc thử loại siêu tinh khiết phân tích và nước phù hợp với TCVN 4851 (ISO 3696).
4.1 Hỗn hợp nung Trộn đều theo khối lượng hai phần natri cacbonat Na2CO3 khan với ba phần kẽm oxit ZnO, loại đã tinh chế, không chứa lưu huỳnh, có thể thay ZnO bằng MgO
4.2 Rượu etylic 96°;
4.3 Natri cacbonat Na2CO3, dung dịch 2 %. Hòa tan 20 gam natri cacbonat tinh thể vào cốc 1 lit, định mức đến vạch bằng nước cất, khuấy đều
4.4 Metyl dacam, dung dịch 0,1 %. Hòa tan 0,1 gam metyl da cam tinh thể trong bình 100 ml, định mức bằng nước cất đến vạch, lắc đều, bảo quản trong bình thủy tinh tối màu, có nút kín
4.5 Axit tatric C4H6O6, tinh thể;
4.6 Axit xitric C6H8O7, tinh thể;
4.7 Bari clorua BaCl2, dung dịch 10 %. Hòa tan 100 gam bari clorua BaCl2 tinh thể trong cốc 1 lit, định mức đến vạch bằng nước cất, khuấy đều. Trước khi sử dụng lọc qua giấy lọc chảy chậm đã tia rửa 2 lần bằng dung dịch HCl (1+1) để loại bỏ kết tủa (nếu có)
4.8 Bạc nitrat AgNO3, dung dịch 1 %. Hòa tan 1 gam bạc nitrat AgNO3 tinh thể trong bình 100 ml, định mức bằng nước cất đến vạch, lắc đều, bảo quản trong bình thủy tinh tối màu, có nút kín
4.9 Axit clohidric HCl, dung dịch (1+1) (theo thể tích).
5 Thiết bị, dụng cụ
Trong tiêu chuẩn này sử dụng các thiết bị, dụng cụ thông thường trong phòng thử nghiệm và các thiết bị, dụng cụ sau:
5.1 Cân phân tích có độ chính xác đến 0,0001 gam
5.2 Lò nung có điều khiển nhiệt độ đến 1000 °C.
5.3 Chén sứ dung tích 15 ml; 30 ml; 50 ml
5.4 Cốc chịu nhiệt dung tích 250 ml; 500 ml
5.5 Bình hút ẩm Φ 25 cm
5.6 Tủ sấy có thể đặt nhiệt độ ở 105 °C ± 2 °C.
6 Chuẩn bị mẫu thử
Chuẩn bị và gia công mẫu thử theo TCVN 9924:2013
7 Cách tiến hành
Cân (5.1) 0,5000 gam mẫu đã sấy ở 105 °C trong 2 h, vào chén sứ dung tích 30 ml ÷ 50 ml (5.3) đã có sẵn 3 gam ÷ 4 gam hỗn hợp nung (4.1). Dùng đũa thủy tinh trộn đều mẫu và hỗn hợp ở phần giữa chén sao cho mẫu không bị dính vào thành chén. Phủ đều một lớp mỏng hỗn hợp nung đó lên mặt chén.
Cho chén sứ (5.3) có chứa mẫu vào lò nung (5.2), tăng dần nhiệt độ đến 750 °C ÷ 800 °C, giữ ở nhiệt độ này trong khoảng 2 h. Giữa chừng cần đảo vị trí các chén trong lò.
Lấy chén sứ (5.3) có mẫu vừa nung ra khỏi lò, để nguội. Cho khối nung vào cốc chịu nhiệt dung tích 250 ml (5.4). Dùng đũa thủy tinh dầm nát khối nung. Rửa chén sứ (5.3) bằng nước cất và thêm nước cất vào cốc (5.4) đến khoảng 50 ml. Thêm vài giọt rượu etylic (4.2), đun sôi khoảng 10 min ÷ 15 min, tiếp tục thêm từ từ vài giọt rượu etylic (4.2) và đun cho đến khi hết màu xanh.
Lọc nóng qua giấy lọc chảy trung bình, hứng dung dịch vào cốc chịu nhiệt 500 ml (5.4). Rửa cốc và bã bằng dung dịch Na2CO3 2 % (4.3) cho đến sạch ion SO42- (thử bằng dung dịch BaCl2). Bã và giấy lọc chảy trung bình bỏ đi. Pha loãng nước lọc bằng nước cất đến 200 ml.
Thêm vào 1 gam axit xitric C6H8O7 (4.6) và 3 gam axit tatric (4.5) C4H6O6, 2 giọt chỉ thị metyl dacam (4.4), trung hòa bằng HCl dung dịch (1+1) (4.9) đến đổi màu chỉ thị, cho dư 2 ml HCl dung dịch (1+1) (4.9) nữa. Đun sôi dung dịch đến hết bọt khí CO2. Thêm 10 ml dung dịch BaCl2 10 % (4.7), khuấy đều. Tiếp tục đun sôi 5 min nữa. Lấy cốc khỏi bếp, để yên, lắng trong 6 h. Lọc lấy kết tủa BaSO4 bằng giấy lọc chảy chậm. Tráng cốc và rửa kết tủa bằng nước cất nóng cho đến hết ion Cl- (thử bằng dung dịch AgNO3 1 %) (4.8).
Cho kết tủa và giấy lọc vào chén sứ dung tích 15 ml (5.3) đã được nung trong 1 h ở nhiệt độ 750 °C ÷ 800 °C. Tro hóa giấy lọc và nung kết tủa từ nhiệt độ thấp lên 750 °C ÷ 800 °C. Giữ ở nhiệt độ này 1 h đến 1,5 h. Lấy chén ra khỏi lò, để nguội đến nhiệt độ phòng trong bình hút ẩm (5.5). Cân khối lượng chén và kết tủa (G1); khối lượng chén và kết tủa của mẫu trắng (G2).
Làm mẫu trắng đồng thời với mẫu phân tích
8 Tính kết quả
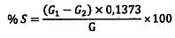
8.1 Tính hàm lượng lưu huỳnh tổng số
Hàm lượng của lưu huỳnh tổng số của mẫu thử, tính theo phần trăm khối lượng được xác định theo công thức như sau:
![]()
trong đó:
G1: Khối lượng kết tủa BaSO4 trong mẫu phân tích, tính bằng gam (g);
G2: Khối lượng tạp chất trong mẫu trắng, tính bằng gam (g);
G: Lượng cân mẫu, tính bằng gam (g);
0,1373: Hệ số chuyển từ BaSO4 sang lưu huỳnh (S) tổng số;
Kết quả được lấy chính xác đến 2 chữ số sau dấu phẩy.
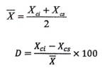
8.2 Sai lệch phép phân tích song song
Sai lệch lớn nhất giữa hai kết quả phân tích song song không vượt quá giá trị độ lệch tương đối D trong bảng 1.

trong đó:
D là độ lệch tương đối của hai kết quả phân tích song song, (%);
Xci là kết quả phân tích mẫu cơ bản;
Xcs là kết quả phân tích mẫu song song;
là giá trị trung bình của hai kết quả phân tích song song.
Bảng 1 - Độ lệch tương đối phép phân tích song song
| Số TT | Cấp hàm lượng S tổng số | D |
| (%) | (%) | |
| 1 | Từ 0,1 đến nhỏ hơn 0,2 | 39 |
| 2 | Từ 0,2 đến nhỏ hơn 0,5 | 33 |
| 3 | Từ 0,5 đến nhỏ hơn 1,0 | 28 |
| 4 | Từ 1,0 đến nhỏ hơn 2,0 | 21 |
| 5 | Từ 2,0 đến nhỏ hơn 5,0 | 15 |
| 6 | Từ 5,0 đến nhỏ hơn 10,0 | 9,1 |
| 7 | Từ 10,0 đến nhỏ hơn 20,0 | 4,2 |
| 8 | Từ 20,0 đến nhỏ hơn 30,0 | 3,3 |
9 Báo cáo kết quả thử nghiệm
Báo cáo kết quả thử nghiệm bao gồm các thông tin sau:
a) Viện dẫn tiêu chuẩn này;
b) Nhận dạng mẫu thử;
c) Tên và địa chỉ phòng thử nghiệm;
d) Ngày tiến hành thử nghiệm;
e) Kết quả thử nghiệm;
f) Mọi thao tác không quy định trong tiêu chuẩn này hoặc được coi là tùy chọn và các yếu tố có thể ảnh hưởng đến kết quả thử nghiệm.
PHỤ LỤC A
(Tham khảo)
Bảng kết quả các mẫu lặp ở các khoảng hàm lượng khác nhau
| Cấp Hàm lượng S (%) | Số hiệu mẫu cơ bản | Kết quả xác nhận (%) | KQ KN lần 1 (%) | KQ KN lần 2 (%) | KQ KN lần 3 (%) | SSTD (S1) | SSTD (S2) | SSTD (S3) |
| 0,20 - < 0,50 | MC1 | 0,46 | 0,44 | 0,47 | 0,45 | 4,44 | 2,15 | 2,20 |
| MS 01 | 0,32 | 0,31 | 0,32 | 0,30 | 3,17 | 0,00 | 6,45 | |
| 1,0 - < 2,0 | MC2 | 1,23 | 1,22 | 1,25 | 1,24 | 0,82 | 1,61 | 0,81 |
| MS 02 | 1,30 | 1,32 | 1,33 | 1,29 | 1,53 | 2,28 | 0,77 | |
| 2,0 - < 5,0 | MS 03 | 3,86 | 3,78 | 3,80 | 3,84 | 2,09 | 1,57 | 0,52 |
| MCS2 | 4,98 | 4,95 | 4,90 | 4,88 | 0,60 | 1,62 | 2,03 | |
| 5,0 - < 10,0 | MS 04 | 7,67 | 7,60 | 7,72 | 7,70 | 0,92 | 0,65 | 0,39 |
| MCS1 | 5,44 | 5,30 | 5,54 | 5,50 | 2,61 | 1,82 | 1,10 | |
| 10,0 - < 20,0 | MS 05 | 11,51 | 11,60 | 11,48 | 11,55 | 0,78 | 0,26 | 0,35 |
| MS 06 | 18,13 | 18,02 | 18,20 | 18,14 | 0,61 | 0,39 | 0,06 |
Thư mục tài liệu tham khảo
[1] QTNB - Cu: S/2018 Đất, đá quặng đồng - Xác định hàm lượng Lưu huỳnh (S) - Phương pháp khối lượng;
[2] T.C.N 06-IV/PTH 94 Quặng Đồng - Chì - Kẽm Phương pháp xác định hàm lượng lưu huỳnh.
Bạn chưa Đăng nhập thành viên.
Đây là tiện ích dành cho tài khoản thành viên. Vui lòng Đăng nhập để xem chi tiết. Nếu chưa có tài khoản, vui lòng Đăng ký tại đây!