- Tổng quan
- Nội dung
- Tiêu chuẩn liên quan
- Lược đồ
- Tải về
Tiêu chuẩn Quốc gia TCVN 12818:2019 Hỗn hợp bê tông nhựa nóng - Thiết kế theo đặc tính thể tích superpave
| Số hiệu: | TCVN 12818:2019 | Loại văn bản: | Tiêu chuẩn Việt Nam |
| Cơ quan ban hành: | Bộ Khoa học và Công nghệ | Lĩnh vực: | Công nghiệp |
|
Ngày ban hành:
Ngày ban hành là ngày, tháng, năm văn bản được thông qua hoặc ký ban hành.
|
2019 |
Hiệu lực:
|
Đã biết
|
| Người ký: | Đang cập nhật |
Tình trạng hiệu lực:
Cho biết trạng thái hiệu lực của văn bản đang tra cứu: Chưa áp dụng, Còn hiệu lực, Hết hiệu lực, Hết hiệu lực 1 phần; Đã sửa đổi, Đính chính hay Không còn phù hợp,...
|
Đã biết
|
TÓM TẮT TIÊU CHUẨN VIỆT NAM TCVN 12818:2019
Nội dung tóm tắt đang được cập nhật, Quý khách vui lòng quay lại sau!
Tải tiêu chuẩn Việt Nam TCVN 12818:2019
TIÊU CHUẨN QUỐC GIA
TCVN 12818:2019
HỖN HỢP BÊ TÔNG NHỰA NÓNG - THIẾT KẾ THEO ĐẶC TÍNH THỂ TÍCH SUPERPAVE
Hot mix Asphalt - Superpave Volumetric Mix Design
MỤC LỤC
1 Phạm vi áp dụng
2 Tài liệu viện dẫn
3 Thuật ngữ, định nghĩa và từ viết tắt
4 Yêu cầu về chất lượng vật liệu chế tạo hỗn hợp bê tông nhựa
5 Yêu cầu kỹ thuật của hỗn hợp BTN nóng Superpave
6 Tóm tắt phương pháp thiết kế
7 Trình tự thiết kế hỗn hợp bê tông nhựa nóng theo đặc tính thể tích Superpave
Phụ lục A (tham khảo) Tính toán hàm lượng nhựa thử nghiệm ban đầu của từng hỗn hợp cốt liệu thử nghiệm
Phụ lục B (Quy định) Phương pháp chế bị mẫu thử hỗn hợp bê tông nhựa
Phụ lục C (tham khảo) Ví dụ tính toán thiết kế hỗn hợp BTN nóng theo đặc tính thể tích Superpave
Lời nói đầu
TCVN 12818:2019 được xây dựng trên cơ sở tham khảo AASHTO Designtion R35-15 (2015) Standard Practice for Superpave Volumetric Desigh for Asphalt Mixtures và AASHTO Designtion M323-13 (2013) Standard Specification for Superpave Volumetric Mix Design
TCVN 12818:2019 do Trường Đại học Công nghệ Giao thông vận tải biên soạn, Bộ Giao thông Vận tải đề nghị, Tổng cục Tiêu chuển Đo lường Chất lượng thẩm định, Bộ Khoa học và Công nghệ công bố.
HỖN HỢP BÊ TÔNG NHỰA NÓNG - THIẾT KẾ THEO ĐẶC TÍNH THỂ TÍCH SUPERPAVE
Hot Mix Asphalt - Superpave Volumetric Mix Design
1 Phạm vi áp dụng
1.1 Tiêu chuẩn này đưa ra các trình tự thiết kế hỗn hợp bê tông nhựa nóng theo đặc tính thể tích superpave và các yêu cầu chất lượng tối thiểu đối với chất kết dính nhựa đường, cốt liệu và hỗn hợp bê tông nhựa được thiết kế theo đặc tính thể tích superpave
1.2 Mẫu thử hỗn hợp bê tông nhựa sử dụng trong tiêu chuẩn này là mẫu thử được chế bị theo TCVN 12817:2019
1.3 Hỗn hợp bê tông nhựa nóng sử dụng trong tiêu chuẩn này là hỗn hợp sử dụng chất kết dính nhựa đường được phân cấp theo đặc tính làm việc PG và cốt liệu mới
1.4 Tiêu chuẩn này không áp dụng cho hỗn hợp bê tông nhựa tái chế và bê tông nhựa ấm.
2 Tài liệu viện dẫn
Các tài liệu viện dẫn sau đây là cần thiết cho việc áp dụng tiêu chuẩn này. Đối với các tài liệu viện dẫn ghi năm công bố thì áp dụng bản được nêu. Đối với các tài liệu viện dẫn không ghi năm công bố thì áp dụng phiên bản mới nhất, bao gồm cả các sửa đổi, bổ sung (nếu có).
TCVN 4030: 2003 Xi măng - Phương pháp xác định độ mịn.
TCVN 7501:2005 Bitum- Phương pháp xác định khối lượng riêng (phương pháp Picnometer).
TCVN 7572-1: 2006 Cốt liệu bê tông và vữa - Phương pháp thử - Phần 1. Lấy mẫu
TCVN 7572-2: 2006 Cốt liệu bê tông và vữa - Phương pháp thử - Phần 2: Xác định thành phần hạt.
TCVN 7572-4: 2006 Cốt liệu bê tông và vữa - Phương pháp xác định khối lượng riêng, khối lượng thể tích và độ hút nước.
TCVN 8860-4: 2011 Bê tông nhựa - Phương pháp thử - Phần 4: Xác định tỷ trọng rời lớn nhất, khối lượng riêng của bê tông nhựa ở trạng thái rời.
TCVN 8860-5: 2011 Bê tông nhựa - Phương pháp thử - Phần 5: Xác định tỷ trọng khối, khối lượng thể tích của bê tông nhựa đã đầm nén.
TCVN 8860-7: 2011 Bê tông nhựa-Phương pháp thử-Phần 7: Xác định độ góc cạnh của cát.
TCVN 8860-9: 2011 Bê tông nhựa-Phương pháp thử-Phần 9: Xác định độ rỗng dư.
TCVN 8860-10: 2011 Bê tông nhựa-Phương pháp thử-Phần 10: Xác định độ rỗng cốt liệu.
TCVN 8860-11: 2011 Bê tông nhựa-Phương pháp thử-Phần 11: Xác định độ rỗng lấp đầy nhựa.
TCVN 11196:2017 Bitum-Phương pháp xác định độ nhớt bằng nhớt kế Brookfield.
TCVN 11782-2017 - Bê Tông Nhựa - Chuẩn Bị Thí Nghiệm Bằng Phương Pháp Đầm Lăn Bánh Thép
TCVN 12817:2019 Bê tông nhựa - Phương pháp chế bị và xác định độ chặt của hỗn hợp bê tông nhựa bằng thiết bị đầm xoay Superpave.
AASHTO M320, Standard Specification for Performance-Graded Asphalt Binder (Tiêu chuẩn phân cấp nhựa đường theo đặc tính làm việc).
AASHTO M332, Standard Specification for Performance-Graded Asphalt Binder Using Multiple Stress Creep Recovery (MSCR) Test (Tiêu chuẩn phân cấp nhựa đường theo đặc tính làm việc sử dụng thí nghiệm từ biến hồi phục ứng suất lặp).
AASHTO T2, Standard Method of Test for Sampling of Aggregates (Phương pháp thí nghiệm tiêu chuẩn lấy mẫu cốt liệu).
AASHTO T176, Standard Method of Test for Plastic Fines in Graded Aggregates and Soils by Use of the Sand Equivalent Test (Phương pháp thí nghiệm tiêu chuẩn xác định hạt mịn dẻo trong cấp phối cốt liệu và đất bằng thí nghiệm đương lượng cát).
AASHTO T228, Standard Method of Test for Specific Gravity of Semi-Solid Asphalt Materials (Phương pháp thí nghiệm tiêu chuẩn xác định tỉ trọng của vật liệu nhựa đường bán cứng).
AASHTO T283, Resistance of Compacted Asphalt Mixture to Moisture - Induced Damage (Phương pháp thí nghiệm tiêu chuẩn xác định mức độ kháng ẩm của của hỗn hợp bê tông nhựa đầm chặt). AASHTO T320, Standard Method of Test for Determining the Permanent Shear strain and Stiffness of Asphalt Mixtures Using the Superpave Shear Tester (SST) (Phương pháp thí nghiệm tiêu chuẩn xác định biến dạng cắt vĩnh cửu và độ cứng của hỗn hợp bê tông nhựa sử dụng thiết bị cắt Superpave).
AASHTO T322, Standard Method of Test for Determining the Creep Compliance and strength of Hot Mix Asphalt (HMA) Using the Indirect Tensile Test Device (Phương pháp thí nghiệm tiêu chuẩn xác định độ từ biến và cường độ của hỗn hợp bê tông nhựa nóng sử dụng thiết bị kéo gián tiếp)
AASHTO T335, Standard Method of Test for Determining the Percentage of Fracture in Coarse Aggregate (Phương pháp thí nghiệm tiêu chuẩn xác định phần trăm mặt dập vỡ của cốt liệu thô).
ASTM D4791, Standard Test Method for Flat Particles, Elongated Particles, or Flat and Elongated Particles in Coarse Aggregate (Phương pháp thí nghiệm tiêu chuẩn xác định hạt dẹt, dài hoặc vừa dẹt vừa dài của cốt liệu thô).
3 Thuật ngữ, định nghĩa và từ viết tắt
3.1 Thuật ngữ và định nghĩa
3.1.1
Hỗn hợp bê tông nhựa nóng (Hot Mix Asphalt)
Hỗn hợp bao gồm các cốt liệu (dá dăm, cát, bột khoáng) có tỷ lệ phối trộn xác định, được sấy nóng và trộn đều với nhau, sau đó được trộn với nhựa đường theo tỷ lệ đã thiết kế. Viết tắt là hỗn hợp BTN.
3.1.2
ESALs thiết kế (design ESALs)
Tổng tải trọng trục đơn tương đương thiết kế (80kN) là tổng số lần tác dụng tích lũy dự báo của tải trọng trục 80kN trên làn thiết kế trong khoảng thời gian là 20 năm. Với mặt đường đã được thiết kế trên hoặc dưới 20 năm thì vẫn xác định ESALs thiết kế với thời gian tính toán là 20 năm khi sử dụng tiêu chuẩn này.
3.1.3
Độ rỗng dư (Air Voids)
Tổng thể tích của tất cả các bọt khí nhỏ nằm giữa các hạt cốt liệu đã được bọc nhựa trong hỗn hợp bê tông nhựa đã đầm nén. Độ rỗng dư được biểu thị bằng phần trăm của thể tích mẫu hỗn hợp bê tông nhựa đã đầm nén, ký hiệu là Va
3.1.4
Độ rỗng cốt liệu (Voids in the Mineral Aggregate)
Thể tích của khoảng trống giữa các hạt cốt liệu của hỗn hợp BTN đã đầm nén, thể tích này bao gồm độ rỗng dư và thể tích nhựa có hiệu. Độ rỗng cốt liệu được biểu thị bằng phần trăm của thể tích mẫu hỗn hợp bê tông nhựa đã đầm nén, ký hiệu là VMA
3.1.5
Độ rỗng lấp đầy nhựa (Voids Filled with Asphalt)
Thể tích của khoảng trống giữa các hạt cốt liệu (VMA) bị phần nhựa có hiệu lấp đầy. Độ rỗng lấp đầy nhựa được biểu thị bằng phần trăm của thể tích nhựa có hiệu chia cho độ rỗng cốt liệu (VMA), ký hiệu là VFA.
3.1.6
Thể tích nhựa bị hấp phụ (Absorbed Binder Volume)
Thể tích của nhựa bị hấp phụ vào trong cốt liệu (bằng sự chênh lệch của thể tích cốt liệu khi tính toán với tỷ trọng khối và tỷ trọng có hiệu), ký hiệu là Vba
3.1.7
Hàm lượng nhựa bị hấp phụ (Absorbed Asphalt Content)
Lượng nhựa bị cốt liệu hấp phụ vào trong các lỗ rỗng ở bề mặt hạt cốt liệu, được biểu thị bằng tỷ lệ phần trăm khối lượng của hỗn hợp cốt liệu; ký hiệu là Pba.
3.1.8
Hàm lượng nhựa (Binder Content)
Phần trăm khối lượng của nhựa có trong hỗn hợp bao gồm nhựa và cốt liệu, ký hiệu là Pb
3.1.9
Thể tích nhựa có hiệu (Effective Binder Volume)
Thể tích của nhựa không bị cốt liệu hấp phụ, ký hiệu Vbe
3.1.10
Hàm lượng nhựa có hiệu (Effective Asphalt Content)
Hàm lượng nhựa có hiệu của hỗn hợp BTN được tính bằng lượng nhựa có trong hỗn hợp BTN trừ đi lượng nhựa bị hấp phụ vào hạt cốt liệu, ký hiệu là Pbe. Hàm lượng nhựa có hiệu được biểu thị bằng phần trăm khối lượng của hỗn hợp BTN. Lượng nhựa có hiệu tạo nên lớp phủ bề ngoài các hạt cốt liệu và là lượng nhựa chi phối các đặc tính cơ lý của hỗn hợp BTN.
3.1.11
Tỷ trọng lớn nhất lý thuyết của hỗn hợp bê tông nhựa (Theoretical Maximum Specific Gravity of Asphalt Mixture)
Tỷ trọng của hỗn hợp BTN khi hỗn hợp đó không có độ rỗng dư (độ rỗng dư bằng 0), ký hiệu là Gmm.
3.1.12
Tỷ trọng khói của bê tông nhựa (Bulk Specific Gravity of Compacted Asphalt Mixture )
Tỷ số giữa khối lượng của BTN đã đầm nén so với khối lượng nước có cùng thể tích ở cùng nhiệt độ, ký hiệu là Gmb.
3.1.13
Khối lượng thể tích của bê tông nhựa (Unit Weight of Compated Asphalt Mixture)
Khối lượng của một đơn vị thể tích BTN đã đầm nén.
3.1.14
Tỉ số hàm lượng bụi trên hàm lượng nhựa có hiệu (P0,075/Pbe)
Tỉ lệ giữa phần trăm theo khối lượng lượng lọt qua sàng 75 μm (No.200) (P0,075) và hàm lượng nhựa có hiệu (Pbe), ký hiệu D/B (Dust - to - Binder Ratio)
3.1.15
Cỡ hạt cốt liệu lớn nhất danh định (Nominal Maximum Aggregate Size)
Cỡ sàng lớn hơn cỡ sàng đầu tiên có lượng sót lại lớn hơn 10 %.
3.1.16
Cỡ hạt cốt liệu lớn nhất (Maximum Aggregate Size)
Cỡ sàng lớn hơn cỡ sàng cốt liệu lớn nhất danh định.
CHÚ THÍCH 1 - Các định nghĩa nêu ở 3.15 và 3.16 chỉ áp dụng cho hỗn hợp được thiết kế theo phương pháp đặc tính thể tích Superpave và khác với các định nghĩa trong các AASHTO cũng như TCVN khác.
3.1.17
Cốt liệu thô (Coarse Aggregate)
Cốt liệu hầu hết có kích cỡ nằm trên sàng 4,75 mm; là sản phẩm khoáng nghiền từ đá tảng, sản phẩm thiên nhiên (cuội sỏi). Còn được gọi là đá dăm.
3.1.18
Cốt liệu mịn (Fine Aggregate)
Cốt liệu có kích cỡ lọt qua sàng 4,75 mm và hầu hết nằm trên sàng 0,075 mm; là sản phẩm khoáng thiên nhiên (cát tự nhiên) hoặc sản phẩm nghiền từ đá tảng (cát xay). Còn được gọi là cát.
3.1.19
Tỷ trọng (Specific Gravity)
Tỷ số giữa khối lượng cân trong không khí của một đơn vị thể tích vật liệu so với khối lượng nước có cùng thể tích ở cùng nhiệt độ xác định, ký hiệu G.
3.1.20
Tỷ trọng biểu kiến của cốt liệu (Apperant Specific Gravity of Aggregate)
Tỷ số giữa khối lượng cân trong không khí của một đơn vị thể tích phần cốt liệu không thấm nước (không bao gồm lỗ rỗng hở) so với khối lượng cân trong không khí của một thể tích nước cất tương đương không lẫn bọt khí ở cùng nhiệt độ xác định, ký hiệu Gsa
3.1.21
Tỷ trọng khối của cốt liệu (Bulk Specific Gravity of Aggregate)
Tỷ số giữa khối lượng cân trong không khí của một đơn vị thể tích cốt liệu so với khối lượng cân trong không khí của một thể tích nước cất tương đương không lẫn bọt khí ở cùng nhiệt độ xác định, ký hiệu Gsb.
3.1.22
Tỷ trọng có hiệu của cốt liệu (Effective Specific Gravity of Aggregate)
Tỷ số giữa khối lượng cân trong không khí của một đơn vị thể tích cốt liệu thấm nước (không bao gồm thể tích rỗng thấm nhựa đường) so với khối lượng cân trong không khí của một thể tích nước cất tương đương không lẫn bọt khí ở cùng nhiệt độ xác định, ký hiệu Gse.
3.1.23
Bột khoáng (Mineral Filler)
Sản phẩm được nghiền mịn từ đá các bô nát (đá vôi can xit, dolomit...), từ xỉ bazơ của lò luyện kim hoặc là xi măng, có ít nhất 70% lọt qua sàng 0,075 mm.
3.1.24
Sàng khống chế chính (Primary Control Sieve)
Cỡ sàng để xác định điểm giới hạn giữa hỗn hợp cấp phối mịn và thô theo từng cấp phối có cỡ hạt cốt liệu danh định lớn nhất khác nhau, ký hiệu PCS.
3.1.25
Nhựa đường PG (Performance Grade Asphalt Binder)
Thuật ngữ viết gọn để chỉ nhựa đường thông thường hoặc nhựa đường biến tính (cải tiến) bằng phụ gia hữu cơ không phải dạng hạt được phân cấp theo đặc tính làm việc quy định theo AASHTO M320 hoặc/và AASHTO M332.
3.1.26
Số vòng xoay ban đầu (The initial number of gyrations)
Nban đầu
Số vòng xoay tương đối thấp được xác định dựa vào tổng tải trọng trục đơn tương đương thiết kế (ESALs) và được sử dụng để phân tích các đặc tính đầm nén sớm của hỗn hợp Superpave trong quá trình thi công.
3.1.27
Số vòng xoay thiết kế (The design number of gyrations)
Nthiết kế
số vòng xoay được xác định dựa vào tổng tải trọng trục đơn tương đương thiết kế (ESALs) và được sử dụng trong thiết kế của hỗn hợp Superpave.
3.1.28
Số vòng xoay lớn nhất (The maximum number of gyrations)
Nlớn nhất
Số vòng xoay được xác định dựa vào tổng tải trọng trục đơn tương đương thiết kế (ESALs) và được sử dụng để đánh giá các đặc tính đầm nén của hỗn hợp Superpave sau nhiều năm khai thác.
3.2 Ký hiệu và từ viết tắt
Superpave Superior Performing Asphalt Pavement Mặt đường bê tông nhựa chất lượng cao
4 Yêu cầu về chất lượng vật liệu chế tạo hỗn hợp bê tông nhựa
4.1 Chất kết dính
4.1.1 Chất kết dính được lựa chọn trên cơ sở phù hợp với các điều kiện thời tiết và đặc tính giao thông của nơi có dự án xây dựng đường bộ hoặc theo tiêu chuẩn kỹ thuật của dự án.
4.1.1.1 Xác định giá trị trung bình và độ lệch chuẩn của nhiệt độ mặt đường trung bình của 7 ngày cao nhất hàng năm tối thiểu trong 20 năm, được đo tại chiều sâu 20 mm tính từ bề mặt đường. Tương tự, xác định giá trị trung bình và độ lệch chuẩn của nhiệt độ mặt đường thấp nhất của 1 ngày trong năm, đo tại bề mặt đường. Dữ liệu thời tiết hiện trường của một dự án bất kỳ thông thường không có sẵn, vì vậy có thể sử dụng số liệu đại diện từ nơi có trạm quan trắc thời tiết gần nhất.
4.1.1.2 Lựa chọn độ tin tin cậy thiết kế mong muốn cho dữ liệu nhiệt độ cao và thấp nêu trên. Việc lựa chọn độ tin cậy được thực hiện bởi đơn vị tư vấn thiết kế.
CHÚ THÍCH 2 - Việc lựa chọn độ tin cậy thiết kế sẽ có thể ảnh hưởng đến chi phí ban đầu của vật liệu cũng như chi phí bảo trì sau này.
4.1.1.3 Sử dụng dữ liệu về nhiệt độ mặt đường đã được xác định ở trên, tiến hành lựa chọn nhựa đường PG nhỏ nhất phù hợp với độ tin cậy thiết kế. Việc lựa chọn này được thực hiện theo chỉ dẫn của AASHTO M320 hoặc/và AASHTO M332.
4.1.2 Căn cứ tốc độ dòng xe và/hoặc ESALs thiết kế có tính đến các điều kiện giao thông đã được dự báo trước, thực hiện tăng cáp nhựa đường theo cáp nhiệt độ cao bằng chỉ số cấp tương đương quy định tại Bảng 1 .
Bảng 1 - Lựa chọn chất kết dính theo mức giao thông và tốc độ dòng xe
| ESALs thiết kếb (triệu) | Hiệu chỉnh theo cấp nhiệt độ cao của chất kết dínha | ||
| Tốc độ dòng xe | |||
| Tiêu chuẩnc | Chậmd | Đứng yêne | |
| <0,3 | --- | --- | --- |
| 0,3 tới < 3 | --- | 1 | 2 |
| 3 tới < 10 | --- | 1 | 2 |
| 10 tới < 30 | ---f | 1 | 2 |
| ≥30 | 1 | 1 | 2 |
| a Tăng cáp nhựa đường theo cấp nhiệt độ cao được thực hiện bằng chỉ số cấp tương đương (một cấp tương đương với 6°C). Sử dụng cấp nhiệt độ thấp như quy định tại Điều 4. b Mức giao thông dự báo trên làn thiết kế cho khoảng thời gian là 20 năm. Bất kể thời gian thiết kế thực tế của con đường là bao nhiêu, đều xác định ESALs thiết kế với thời gian tính toán là 20 năm. c Dòng xe tiêu chuẩn - là dòng xe có tốc độ trung bình lớn hơn 70 km/h. d Dòng xe chậm - là dòng xe có tốc độ trung bình từ 20 đến 70 km/h. e Dòng xe đứng yên - là dòng xe có tốc độ trung bình nhỏ hơn 20 km/h. f Xem xét tăng cấp nhựa đường thêm một cấp tương đương. | |||
CHÚ THÍCH 3 - Thực tế, không nên sử dụng nhựa đường PG cứng hơn nhựa PG 82-xx. Trường hợp nếu việc hiệu chỉnh cấp nhựa theo cấp nhiệt độ cao dẫn đến cấp nhựa đường cao hơn PG 82-xx thì quy định dùng cấp nhựa là PG 82-XX và tăng ELSALs thiết kế lên một cáp (ví dụ., từ cấp 10 đến < 30 triệu tăng lên cấp ≥ 30 triệu).
4.2 Cấp phối cốt liệu
4.2.1 Cỡ hạt lớn nhất danh định: Hỗn hợp BTN sử dụng cho lớp mặt trên của tầng mặt có kích cỡ hạt lớn nhất danh định từ 4,75 đến 19 mm và không lớn hơn 37,5 mm đối với hỗn hợp BTN sử dụng cho lớp dưới.
4.2.2 Các điểm khống chế của cấp phối cốt liệu bao gồm các điểm nằm trên đường thẳng đi qua các cỡ sàng tương ứng với cỡ hạt lớn nhất, cỡ hạt lớn nhất danh định, 2,36 mm và 0,075 mm. Đường cong cấp phối cốt liệu phải thỏa mãn các yêu cầu kỹ thuật quy định tại Bảng 2.
Bảng 2 - Các điểm khống chế của cấp phối cốt liệu
| Cỡ sàng, mm | Cỡ hạt lớn nhất danh định - Các điểm khống chế (% lượng lọt sàng) | |||||||||||
| 37,5 mm | 25 mm | 19 mm | 12,5 mm | 9,5 mm | 4,75 mm | |||||||
| Min | Max | Min | Max | Min | Max | Min | Max | Min | Max | Min | Max | |
| 50,0 | 100 | - | - | - | - | - | - | - | - | - | - | - |
| 37,5 | 90 | 100 | 100 | - | - | - | - | - | - | - | - | - |
| 25,0 | - | 90 | 90 | 100 | 100 | - | - | - | - | - | - | - |
| 19,0 | - | - | - | 90 | 90 | 100 | 100 | - | - | - | - | - |
| 12,5 | - | - | - | - | - | 90 | 90 | 100 | 100 | - | 100 | - |
| 9,50 | - | - | - | - | - | - | - | 90 | 90 | 100 | 95 | 100 |
| 4,75 | - | - | - | - | - | - | - | - | - | 90 | 90 | 100 |
| 2,36 | 15 | 41 | 19 | 45 | 23 | 49 | 28 | 58 | 32 | 67 | - | - |
| 1,18 | - | - | - | - | - | - | - | - | - | - | 30 | 55 |
| 0,075 | - | 6 | 1 | 7 | 2 | 8 | 2 | 10 | 2 | 10 | 6 | 13 |
4.2.3 Phân loại cấp phối cốt liệu: Cấp phối cốt liệu được coi là cấp phối thô nếu lượng lọt sàng qua sàng khống chế chính (PCS) nhỏ hơn giá trị được quy định trong Bảng 3 và xem minh họa tại Hình 1. Các cấp phối còn lại là được coi (gọi) là cấp phối mịn.
Bảng 3 - Phân loại cấp phối cốt liệu
| Sàng khống chế chính ứng với hỗn hợp cốt liệu có cỡ hạt danh định lớn nhất (% khối lượng) | |||||
| Cỡ hạt lớn nhất danh định, mm | 37,5 | 25,0 | 19,0 | 12,5 | 9,5 |
| Sàng khống chế chính, mm | 9,5 | 4,75 | 4,75 | 2,36 | 2,36 |
| Lượng lọt qua sàng khống chế chính, % khối lượng | 47 | 40 | 47 | 39 | 47 |

Hình 1- Sàng khống chế chính của cấp phối cốt liệu có cỡ sàng lớn nhất danh định 12.5 mm
4.3 Độ góc cạnh của cốt liệu thô: là tỉ lệ phần trăm số mặt vỡ của cốt liệu, được thí nghiệm theo AASHTO T335. Yêu cầu kỹ thuật độ góc cạnh của cốt liệu thô được quy định tại Bảng 4.
4.4 Độ góc cạnh của cốt liệu mịn: là độ rỗng của cấp phối cốt liệu mịn (có thành phần hạt quy định) ở trạng thái không đầm nén, được thí nghiệm theo TCVN 8860-7:2011. Yêu cầu kỹ thuật về độ góc cạnh của cốt liệu mịn được quy định tại Bảng 4.
4.5 Hệ số đương lượng cát: hàm lượng sét có trong cốt liệu mịn, được thí nghiệm theo AASHTO T176. Yêu cầu kỹ thuật về hệ số đương lượng cát của cốt liệu mịn được quy định tại Bảng 4.
4.6 Tỷ lệ dài dẹt: là tỉ lệ 5:1 giữa chiều dài (kích thước dài nhất) so với chiều dầy (kích thước nhỏ nhất) của hạt cốt liệu, được thí nghiệm theo tiêu chuẩn ASTM D4791 với quy định thêm là các hạt cốt liệu lọt qua sàng 9.5 mm và nằm trên sàng 4,75 mm cũng được xác định tỉ lệ dài dẹt theo tiêu chuẩn thí nghiệm này. Yêu cầu kỹ thuật về tỉ lệ dài dẹt của cốt liệu được quy định tại Bảng 4.
Bảng 4 - Yêu cầu kỹ thuật của cốt liệu theo Superpave
| ESALs thiết kếa (triệu) | Mặt vỡ, cốt liệu thô,c % nhỏ nhất | Độ rỗng của cốt liệu mịn ở trạng thái không đầm chặt, % nhỏ nhất | Đương lượng cát, % nhỏ nhất | Tỉ lệ dẹt dài,e % lớn nhất | ||
| Chiều sâu tính từ bề mặt đường | Chiều sâu tính từ bề mặt đường | |||||
| ≤ 100 mm | >100mm | ≤ 100 mm | >100mm | |||
| < 0.3 | 55/- | -/- | -d | - | 40 | - |
| 0.3 tới < 3 | 75/- | 50/- | 40e | 40 | 40 | 10 |
| 3 tới < 10 | 85/80b | 60/- | 45 | 40 | 45 | 10 |
| 10 tới < 30 | 95/90 | 80/75 | 45 | 40 | 45 | 10 |
| ≥ 30 | 100/100 | 100/100 | 45 | 45 | 50 | 10 |
| a Mức giao thông dự báo trên làn thiết kế cho khoảng thời gian là 20 năm. Bất kể thời gian thiết kế thực tế của con đường là bao nhiêu, đều xác định EALs thiết kế với thời gian tính toán là 20 năm. b 85/80 biểu thị 85% các hạt cốt liệu thô có một bề mặt bị vỡ và 80% có hai hay nhiều hơn bề mặt bị vỡ. c Chỉ tiêu kỹ thuật này không áp dụng cho hỗn hợp có cốt liệu danh định lớn nhất là 4,75 mm d Hỗn hợp có đường kính danh định lớn nhất của cốt liệu là 4,75 mm được thiết kế cho mức giao thông < 0.3 ESALs thì độ rỗng của cốt liệu ở trạng thái không đầm nén nhỏ nhất là 40. e Hỗn hợp có đường kính danh định lớn nhất của cốt liệu là 4,75 mm được thiết kế cho mức giao thông ≥ 0.3 ESALs thì độ rỗng của cốt liệu ở trạng thái không đầm nén nhỏ nhất là 45 | ||||||
CHÚ THÍCH 4 - Nếu lớp áo đường có ít hơn 25% chiều dày nằm trong khoảng 100 mm tính từ bề mặt đường thì để thiết kế hỗn hợp bê tông nhựa cho lớp áo đường này, coi lớp áo đường đó là nằm ở độ sâu hơn 100 mm tính từ bề mặt
5 Yêu cầu kỹ thuật của hỗn hợp BTN nóng Superpave
5.1 Hỗn hợp bê tông nhựa thiết kế, được đầm chặt theo TCVN 12817:2019, phải đáp ứng được các yêu cầu kỹ thuật về thể tích bao gồm độ chặt tương đối, VMA, VFA và tỉ lệ D/B như quy định tại Bảng 5. Số vòng xoay ban đầu, số vòng xoay thiết kế và số vòng xoay lớn nhất được quy định tại Bảng 6.
Bảng 5 - Yêu cầu kỹ thuật của hỗn hợp BTN Superpave
| ESALs thiết kế, triệu | Độ chặt tương đối yêu cầu, % của tỉ trọng lớn nhất lý thuyết Gmm | Độ rỗng cốt liệu (VMA), % nhỏ nhất | Độ rỗng lấp đầy nhựa (VFA)a, % | Tỉ lệ D/Bb | |||||||
| Cỡ hạt danh định lớn nhất, mm | |||||||||||
| Nban đầu | Nthiết kế | N lớn nhất | 37,5 | 25,0 | 19,0 | 12,5 | 9,5 | 4,75 | |||
| <0,3 | ≤91,5 | 96,0 | ≤ 98 | 11,0 | 12,0 | 13,0 | 14,0 | 15,0 | 16,0 | 70-80c,d | 0,6-1,2 |
| 0,3 tới < 3 | ≤90,5 | 96,0 | ≤ 98 | 11,0 | 12,0 | 13,0 | 14,0 | 15,0 | 16,0 | 65-78e | 0,6-1,2 |
| 3 tới < 10 | ≤ 89,0 | 96,0 | ≤ 98 | 11,0 | 12,0 | 13,0 | 14,0 | 15,0 | 16,0 | 65-75d,e,f | 0,6-1,2 |
| 10 tới < 30 | ≤ 89,0 | 96,0 | ≤ 98 | 11,0 | 12,0 | 13,0 | 14,0 | 15,0 | 16,0 | 65-75d,e,f | 0,6-1,2 |
| ≥30 | ≤ 89,0 | 96,0 | ≤ 98 | 11,0 | 12,0 | 13,0 | 14,0 | 15,0 | 16,0 | 65-75f | 0,6-1,2 |
| a Đối với hỗn hợp có cỡ hạt danh định lớn nhất là 37,5 mm, giá trị giới hạn dưới của VFA là 64% cho tất các mức giao thông ESALs thiết kế, b Đối với hỗn hợp có cỡ hạt danh định lớn nhất là 4,75 mm, tỉ lệ D/B nằm trong khoảng 1,0-1,2 ứng với mức giao thông < 3 triệu ESALs và 1,5-2,0 ứng với mức giao thông ≥ 3 triệu ESALs, c Đối với hỗn hợp có cỡ hạt danh định lớn nhất là 4,75 mm, độ chặt tương đối (% của tỉ trọng lớn nhất lý thuyết) nằm trong khoảng 94%-96,0% d Đối với mức giao thông < 0,3 triệu ESALs và hỗn hợp có cỡ hạt danh định lớn nhất là 25,0 mm, giá trị giới hạn dưới của VFA là 67%; và với hỗn hợp có cỡ hạt danh định lớn nhất là 4,75 mm, khoảng giá trị VFA là 67%-79% e Đối với mức giao thông > 0,3 triệu ESALs và hỗn hợp có cỡ hạt danh định lớn nhất là 4,75 mm, khoảng giá trị VFA là 66%-77% f Đối với mức giao thông ≥ 3 triệu ESALs và hỗn hợp có cỡ hạt danh định lớn nhất là 9,5 mm, khoảng giá trị VFA là 73%-76% | |||||||||||
CHÚ THÍCH 5 - Nếu cấp phối cốt liệu có lượng lọt sàng (%) tại sàng khống chế chính nằm dưới giá trị quy định tại bảng 3 thì tùy quyết định của đơn vị thiết kế có thể nâng tỉ lệ D/B từ 0.6 -1.2 lên 0.8 -1.6
CHÚ THÍCH 6 - Hỗn hợp bê tông nhựa có VMA vượt quá giá trị nhỏ nhất hơn 2% dễ bị chảy nhựa và hằn lún. Nếu không có kinh nghiệm xử lý các hỗn hợp có VMA cao, tốt nhất nên tránh tạo ra các hỗn hợp có VMA > 2% giá trị nhỏ nhất quy định.
5.2 Nhiệt độ trộn/đầm mẫu bê tông nhựa bằng đầm xoay là nhiệt độ tương ứng với khoảng độ nhớt động lực của nhựa đường là 0,28±0,03 Pa.s (hay độ nhớt động học là 280 ± 30 mm2/s), xác định bằng thí nghiệm quy định tại TCVN 11196:2017. Thông thường nhiệt độ trộn/đầm là nhiệt độ tương ứng với độ nhớt nằm ở điểm giữa của khoảng độ nhớt nêu trên. Nhiệt độ đầm của các mẫu nhựa biến tính có thể xem xét đến khuyến cáo của nhà sản xuất.
5.3 Để đánh giá khả năng kháng ẩm, hỗn hợp bê tông nhựa thiết kế, được đầm chặt theo TCVN 12817:2019 tới độ rỗng dư (7±0,5) % và sau đó được thí nghiệm theo AASHTO T283 phải có tỉ số cường độ kéo gián tiếp ≥ 0,8.
6 Tóm tắt phương pháp thiết kế
Thiết kế hỗn hợp bê tông nhựa nóng theo các đặc tính thể tích Superpave bao gồm 04 bước như sau:
6.1. Lựa chọn vật liệu - Lựa chọn nhựa, cốt liệu cần phải đáp ứng các yêu cầu về điều kiện môi trường và giao thông mà dự án xây dựng mặt đường quy định. Cần xác định tỉ trọng khối của tất cả các loại cốt liệu sử dụng trong hỗn hợp và tỷ trọng của nhựa.
6.2. Cấp phối cốt liệu thiết kế - Nên có ít nhất ba loại cấp phối cốt liệu thử nghiệm từ các cốt liệu được lựa chọn. Với mỗi cấp phối hỗn hợp cốt liệu thử nghiệm, lựa chọn hàm lượng nhựa thử nghiệm ban đầu và đầm chặt ít nhất hai mẫu thử theo TCVN 12817:2019. Cấp phối cốt liệu thiết kế và hàm lượng nhựa thiết kế được lựa chọn dựa trên sự phù hợp của cấp phối hỗn hợp thử nghiệm đối với các yêu cầu kỹ thuật quy định tại Bảng 5 nêu trên về các chỉ tiêu Va, VMA, VFA, Tỉ lệ D/B ở Nthiết kế, và độ chặt tương đối ở Nban đầu.
CHÚ THÍCH 7 - Nếu đơn vị thiết kế đã có kinh nghiệm trong việc thiết kế hỗn hợp bê tông nhựa nóng theo Superpave đối với loại cốt liệu nào đó thì có thể bỏ qua bước lựa chọn ba hỗn hợp cấp phối cốt liệu thử nghiệm.
6.3. Lựa chọn hàm lượng nhựa thiết kế - Các mẫu thử giống nhau được đầm theo TCVN 12817:2019 với hàm lượng nhựa thiết kế dự tính, hàm lượng nhựa thiết kế dự tính ±0,5% và + 1%. Hàm lượng nhựa thiết kế được lựa chọn dựa trên sự phù hợp với các yêu cầu quy định tại Bảng 5 nêu trên về các chỉ tiêu Va, VMA, VFA, Tỉ lệ D/B ở Nthiết kế, và độ chặt tương đối ở Nban đầu.
6.4. Đánh giá khả năng kháng ẩm - Đánh giá khả năng kháng ẩm của cấp phối cốt liệu thiết kế ở hàm lượng nhựa thiết kế cho hỗn hợp BTN được chế bị theo Phụ lục B. Mẫu chế bị được đầm theo quy định của TCVN 12817:2019 tới độ rỗng dư (7,0±0,5) %. Thí nghiệm đánh giá khả năng kháng ẩm, với các điều kiện ẩm được thực hiện theo AASHTO T283. Hỗn hợp thiết kế phải đạt tỉ số cường độ chịu kéo gián tiếp yêu cầu như quy định tại 5.3.
7 Trình tự thiết kế hỗn hợp bê tông nhựa nóng theo đặc tính thể tích Superpave
7.1 Thiết kế cấp phối thử nghiệm
7.1.1 Lựa chọn chất kết dính nhựa đường theo các quy định tại 4.1.
7.1.2 Xác định tỷ trọng của chất kết dính nhựa đường theo TCVN 7501:2005
7.1.3 Lấy mẫu cốt liệu sử dụng cho dự án theo các quy định của TCVN 7572-1: 2006
CHÚ THÍCH 8 Mỗi loại đá thường chỉ có một vài loại cỡ hạt cốt liệu. Hầu hết các dự án phải cần có từ ba đến năm loại cốt liệu khác nhau mới tạo ra được thành phần cấp phối phù hợp yêu cầu quy định tại Bảng 2.
7.1.4. Lấy mẫu để xác định thành phần hạt của cốt liệu theo các quy định của TCVN 7572-1:2006
7.1.5. Rửa và phân cấp từng mẫu cỡ hạt theo TCVN 7572-2:2006 để xác định các tính chất của cốt liệu.
7.1.6. Xác định tỷ trọng khối và tỷ trọng biểu kiến của cốt liệu thô và cốt liệu nhỏ theo TCVN 7572-4:2006, xác định tỷ trọng của bột khoáng theo TCVN 4030 :2003.
7.1.7. Phối trộn các thành phần cốt liệu được sử dụng để thiết kế hỗn theo công thức 1:
P = Aa +Bb +Cc +... (1)
Trong đó:
P là phần trăm lượng vật liệu lọt qua sàng ở một mặt sàng cụ thể của hỗn hợp cốt liệu A, B, C, v.v...
A, B, C,... là phần trăm lượng vật liệu lọt qua sàng ở một mặt sàng cụ thể của cốt liệu A, B,C, v.v... a, b, c,... là tỉ lệ phối trộn của các cốt liệu A, B, C, v.v...có trong hỗn hợp, và có tổng = 1.00.
7.1.8. Chế bị ít nhất ba cấp phối cốt liệu thử nghiệm; vẽ biểu đồ thành phần hạt của từng cấp phối cốt liệu thử nghiệm theo kích thước sàng với lũy thừa 0.45 và kiểm tra các cấp phối cốt liệu thử nghiệm này có đạt yêu cầu về thành phần hạt quy định tại Bảng 2. Việc kiểm soát thành phần hạt của cấp phối cốt liệu được thực hiện dựa trên các sàng khống chế sau: sàng cho cỡ hạt cốt liệu lớn nhất, sàng cho cỡ hạt cốt liệu lớn nhất danh định, sàng 4,75 mm hoặc 2.36 mm, và sàng 0,075 mm. Ví dụ về ba cấp phối cốt liệu thử nghiệm đạt yêu cầu được minh họa ở Hình 2.
Hỗn hợp cốt liệu có đường kính danh định lớn nhất 19,0 mm

Hình 2 - Ví dụ về 03 cấp phối hỗn hợp cốt liệu thử nghiệm
7.1.9. Lấy mẫu đại diện từ các hỗn hợp trộn thử nghiệm theo các quy định của TCVN 7572-1: 2006, TCVN 7572-2: 2006, và xác định các đặc tính của cốt liệu theo các thí nghiệm quy định ở Điều 4 của tiêu chuẩn này nhằm đảm bảo rằng cốt liệu của hỗn hợp trộn thử nghiệm đạt các yêu cầu tối thiểu quy định tại 4.2, 4.3, 4.4, 4.5 và 4.6 của tiêu chuẩn này.
CHÚ THÍCH 9 Người thiết kế có thể thực hiện thí nghiệm đánh giá chất lượng cốt liệu cho từng loại cốt liệu có kích cỡ xác định thay vì thí nghiệm với hỗn hợp cốt liệu đã được trộn thử từ các loại cốt liệu. Kết quả thí nghiệm trên từng loại cốt liệu có kích cỡ xác định có thể được sử dụng để đánh giá kết quả phối trộn hỗn hợp thử nghiệm.
7.2 Xác định hàm lượng nhựa thử nghiệm ban đầu cho từng cấp phối thử nghiệm
7.2.1 Người thiết kế có thể sử dụng kinh nghiệm hoặc sử dụng chỉ dẫn được nêu tại Phụ lục A để xác định hàm lượng thử nghiệm nhựa ban đầu cho từng cấp phối hỗn hợp cốt liệu thử nghiệm.
7.3 Đầm các mẫu được chế bị từ các cấp phối thử nghiệm
7.3.1 Chế bị tổ mẫu (CHÚ THÍCH 10) có cùng một hàm lượng nhựa thử nghiệm ban đầu cho từng cấp phối hỗn hợp cốt liệu thử nghiệm đã được lựa chọn. Từ Bảng 6, xác định số vòng đầm xoay căn cứ vào mức giao thông ESALs thiết kế.
CHÚ THÍCH 10 - Chế bị ít nhất hai mẫu, tuy nhiên có thể chế bị ba hoặc nhiều mẫu hơn nếu thấy cần thiết. Thông thường, chuẩn bị 4500 đến 4700 g cốt liệu là đủ để đầm một mẫu bê tông nhựa có chiều cao từ 110 đến 120 mm với tỷ trọng khối của hỗn hợp cốt liệu từ 2,55 đến 2,70 tương ứng.
7.3.2 Chế bị mẫu hỗn hợp bê tông nhựa theo Phụ lục B và đầm mẫu với số vòng đầm xoay Nthiết kế theo TCVN 12817:2019. Ghi lại chiều cao của mẫu với độ chính xác 0,1 mm sau mỗi vòng đầm xoay.
7.3.3 Xác định tỉ trọng khối (Gmb) của từng mẫu hỗn hợp bê tông nhựa đã đầm chặt theo TCVN 8860-5:2011
7.3.4. Xác định tỷ trọng lớn nhất lý thuyết (Gmm) theo TCVN 8860-4:2011 cho từng mẫu hỗn hợp bê tông nhựa đại diện cho từng cấp phối hỗn hợp được chế bị và đầm trong các điều kiện giống nhau.
CHÚ THÍCH 11 Tỷ trọng lớn nhất lý thuyết của từng hỗn hợp bê tông nhựa thử nghiệm là giá trị trung bình của ít nhất hai mẫu thí nghiệm.
Bảng 6 - Số vòng đầm xoay Superpave
| ESALs thiết kếa (triệu) | Số vòng đầm xoay | Áp dụng cho loại đường | ||
| Nban đầu | Nthiết kế | Nlớn nhất | ||
| <0,3 | 6 | 50 | 75 | Áp dụng cho đường có lưu lượng giao thông thấp như đường địa phương, đường nông thôn và đường phố nơi xe tải bị cấm hoặc có với lưu lượng rất thấp. Giao thông trên những đường này về bản chất được xem như là lưu thông nội bộ trong một vùng, không phải liên vùng. Đối với các đường được xây dựng với mục đích riêng biệt khác thì cũng có thể áp dụng mức này. |
| 0,3 đến < 3 | 7 | 75 | 115 | Áp dụng với đường gom hay đường ra vào thành phố. Đường phố với lượng giao thông trung bình và đường huyện cũng có thể sử dụng mức này. |
| 3 đến <30 | 8 | 100 | 160 | Áp dụng cho đường nhiều hơn hai làn xe, nhiều làn, có rải phân cách. Đường phố với lượng giao thông trung bình và cao, đường liên tỉnh, đường quốc lộ, đường cao tốc. |
| ≥30 | 9 | 125 | 205 | Áp dụng cho hệ thống đường quốc lộ, liên tỉnh. Đặc biệt, mức này cũng có thể áp dụng cho làn đường có xe tải trọng nặng, đoạn đường leo dốc và tại các trạm cân xe. |
| a ESALs thiết kế là tổng tải trọng trục đơn tương đương 80kN tác dụng tích lũy trên làn thiết kế trong khoảng thời gian 20 năm. Bất kể thời gian thiết kế thực tế của con đường là bao nhiêu, đều xác định ESALs thiết kế với thời gian tính toán là 20 năm. | ||||
CHÚ THÍCH 12 Nếu đỉnh của lớp thiết kế tính từ bề mặt đường nằm ở độ sâu ≥ 100 mm và mức giao thông dự kiến ≥ 0,3 triệu ESALs thì đơn vị thiết kế có thể giảm mức giao thông dự kiến xuống một bậc, trừ trường hợp lớp thiết kế này phải chịu tải trọng thi công đáng kể. Nếu lớp áo đường có ít hơn 25% chiều dày nằm trong khoảng 100 mm tính từ bề mặt đường thì để thiết kế hỗn hợp bê tông nhựa cho lớp áo đường này, coi lớp áo đường đó là nằm ở độ sâu dưới 100 mm tính từ bề mặt.
CHÚ THÍCH 13 Nếu tải trọng trục thiết kế dự kiến từ 3 triệu đến <10 triệu ESALs thì đơn vị thiết kế có thể lấy Nban đầu là 7, Nthiết kế là 75, và Nmax là 115.
7.4 Xác định các đặc tính thể tích của hỗn hợp thử nghiệm đã đầm chặt
7.4.1 Xác định các đặc tính thể tích cho các hỗn hợp thử nghiệm theo các quy định tại Bảng 5.
7.4.2 Tính toán Va và VMA tại Nthiết kế cho từng hỗn hợp thử nghiệm theo các Công thức (2) và Công thức (3):

Trong đó:
Gmb là tỉ trọng khối của mẫu hỗn hợp bê tông nhựa đã đầm chặt;
Gmm là tỉ trọng lớn nhất lý thuyết của hỗn hợp bê tông nhựa;
Ps là hàm lượng cốt liệu, phần trăm tổng khối lượng hỗn hợp bê tông nhựa;
Gsb là tỉ trọng khối của hỗn hợp cốt liệu
CHÚ THÍCH 14 Mặc dù hàm lượng nhựa dự kiến ban đầu được lựa chọn để thiết kế ra hỗn hợp bê tông nhựa có độ rỗng dư bằng 4,0 %. Tuy nhiên, độ rỗng dư thực tế của mẫu đã đầm chặt không phải lúc nào cũng chính xác bằng 4,0 %. Chính vì thế, cần phải thay đổi hàm lượng nhựa ban đầu để mẫu có độ rỗng dư 4,0 %, sự thay đổi hàm lượng nhựa cũng sẽ làm thay đổi VMA. Vì vậy, các tính toán dưới đây (7.4.3) nhằm xác định VMA và VFA cho từng cấp phối cốt liệu thử nghiệm có cùng độ rỗng dư thiết kế bằng 4,0 %.
7.4.3 Trình tự tính toán hiệu chỉnh các đặc tính thể tích của từng mẫu bê tông nhựa đầm chặt về độ rỗng dư 4,0 %
7.4.3.1 Xác định độ sai lệch trung bình (ΔVa) giữa độ rỗng dư tại số đầm xoay Nthiết kế với giá trị độ rỗng dư thiết kế 4,0 % cho từng hỗn hợp cốt liệu thử nghiệm theo công thức 4:
ΔVa = 4.0 - Va (4)
Trong đó:
Va là độ rỗng dư của hỗn hợp cốt liệu thử nghiệm tại số đầm xoay Nthiết kế
7.4.3.2 Dự tính sự thay đổi của hàm lượng nhựa (ΔPb) cần thiết để độ rỗng dư đạt 4,0 %, theo công thức 5:
ΔPb = - 0.4(ΔVa) (5)
7.4.3.3 Dự tính sự thay đổi của VMA (ΔVMA) theo sự thay đổi độ rỗng dư (ΔVa) được xác định ở 7.4.3.1 cho từng hỗn hợp cốt liệu thử nghiệm theo công thức 6 hoặc 7:
ΔVMA = 0.2(ΔVa) nếu Va >4.0 (6)
ΔVMA = -0.1 (ΔVa) nếu Va <4.0 (7)
CHÚ THÍCH 15 Sự thay đổi hàm lượng nhựa sẽ ảnh hưởng đến giá trị VMA do tỷ trọng khối của mẫu đầm chặt (Gmb) thay đổi.
7.4.3.4 Tính toán VMA cho từng hỗn hợp cốt liệu thử nghiệm tại số vòng đầm xoay Nthiết kế với độ rỗng dư bằng 4,0 % theo công thức 8:
VMA thiết kế - VMAthử nghiệm + ΔVMA (8)
VMAthiết kế là VMA dự tính với độ rỗng dư thiết kế 4,0 %
VMAthử nghiệm là VMA xác định với hàm lượng nhựa thử nghiệm ban đầu
7.4.3.5 Sử dụng công thức 9 với giá trị ΔVa được xác định ở 7.4.3.1 để dự tính độ chặt tương đối cho từng hỗn hợp thử nghiệm ở số vòng đầm xoay Nban đầu khi độ rỗng dư thiết kế được hiệu chỉnh về 4,0 % ở số vòng đầm xoay Nthiết kế:

Trong đó:
%Gmm ban đầu là độ chặt tương đối tại số vòng đầm xoay Nban đầu có hàm lượng nhựa thiết kế đã được hiệu chỉnh;
hd là chiều cao của mẫu sau số đầm xoay Nthiết kế, xác định từ thiết bị đầm xoay Superpave, mm;
hi là chiều cao của mẫu sau số đầm xoay Nban đầu, xác định từ thiết bị đầm xoay Superpave, mm.
7.4.3.6 Xác định tỉ trọng có hiệu của cốt liệu (Gse), hàm lượng nhựa có hiệu và tỉ số hàm lượng bụi trên hàm lượng nhựa có hiệu (P0,075/Pbe) cho từng hỗn hợp thử nghiệm theo các công thức 10, 11 và 12:

Trong đó:
là hàm lượng nhựa có hiệu dự tính
Ps là hàm lượng cốt liệu, tính theo phần trăm khối lượng của cốt liệu có trong hỗn hợp;
Gb là tỉ trọng của nhựa;
Gse là tỉ trọng có hiệu của hỗn hợp cốt liệu;
Gsb là tỉ trọng khối của hỗn hợp cốt liệu;
Pb là hàm lượng nhựa hay lượng nhựa đường có trong hỗn hợp bê tông nhựa;

Trong đó:
P0,075 là phần trăm cốt liệu lọt qua sàng 0,075 mm
7.4.3.7 So sánh các đặc tính thể tích của từng hỗn hợp cốt liệu thử nghiệm có hàm lượng nhựa thiết kế đã được hiệu chỉnh với các chỉ tiêu quy định tại Bảng 5. Cấp phối cốt liệu thử nghiệm được lựa chọn là cấp phối có các đặc tính thể tích phù hợp nhất với các chỉ tiêu này.
CHÚ THÍCH 16 Bảng 7 trình bày một ví dụ về việc lựa chọn cấp phối cốt liệu thiết kế (cấp phối cốt liệu thử nghiệm được lựa chọn) từ ba hỗn hợp cốt liệu thử nghiệm.
CHÚ THÍCH 17 Nhiều cấp phối cốt liệu thử nghiệm sẽ không đạt được chỉ tiêu VMA. Thông thường, chỉ tiêu %Gmm ban đầu sẽ đạt nếu chỉ tiêu VMA đạt 7.7 đưa ra cách thực hiệu chỉnh VMA khi chỉ tiêu này không đạt
CHÚ THÍCH 18 Nếu cấp phối cốt liệu thử nghiệm được chọn nằm ra ngoài các điểm kiểm soát, thì cần phải điều chỉnh việc sản xuất cốt liệu hoặc sử dụng thêm cốt liệu từ nguồn cung cấp khác, cốt liệu không đạt yêu cầu sẽ không tạo ra được hỗn hợp đảm bảo chất lượng, vì vậy không nên sử dụng. Có thể thay đổi một hay một vài nguồn cung vật liệu bằng nguồn cung khác để tạo ra bộ khung cốt liệu khỏe hơn. Ví dụ, đá sản xuất từ mỏ đá có thể thay thế sỏi, cuội nghiền, hay cát xay có thể thay thế cát tự nhiên.
Bảng 7 - Ví dụ về lựa chọn cấp phối cốt liệu thiết kế
| Đặc tính thể tích | Hỗn hợp thử nghiệm (cỡ hạt danh định lớn nhất 19,0 -mm) ESALs = 05 triệu với thời gian thiết kế là 20 năm | Yêu cầu kỹ thuật | ||
| 1 | 2 | 3 | ||
| Tại hàm lượng nhựa thử nghiệm ban đầu |
| |||
| Pb (thử nghiệm) | 4,4 | 4,4 | 4,4 | |
| %Gmm ban đầu (thử nghiệm) | 88,3 | 88,0 | 87,3 |
|
| %Gmm thiết kế (thử nghiệm) | 95,6 | 94,9 | 94,5 |
|
| Va tại Nthiết kế | 4,4 | 5,1 | 5,5 | 4,0 |
| VMA (thử nghiệm) | 13,0 | 13,6 | 14,1 |
|
| Hiệu chỉnh để đạt được hàm lượng nhựa thiết kế (Va = 4% ở Nthiết kế) | ||||
| ΔVa | -0,4 | -1,1 | -1,5 |
|
| ΔPb | 0,2 | 0,4 | 0,6 |
|
| ΔVMA | -0,1 | -0,2 | -0,3 |
|
| Tại hàm lượng nhựa thiết kế dự tính (Va = 4% tại Nthiết kế) | ||||
| Pb dự tính (thiết kế) | 4,6 | 4,8 | 5,0 |
|
| VMA (thiết kế) | 12,9 | 13,4 | 13,8 | ≥ 13,0 |
| % Gmm ban đầu (thiết kế) | 88,7 | 89,1 | 88,5 | ≤ 89,0 |
| 1) Năm dòng trên cùng của Bảng 7 thể hiện các đặc tính thể tích và độ chặt tương đối của mẫu được chế bị từ các cấp phối hỗn hợp cốt liệu thử nghiệm và hàm lượng nhựa thử nghiệm ban đầu. 2) Vì không có mẫu nào có giá trị độ rỗng dư bằng chính xác 4,0 % nên quy trình tính toán nêu ở 7.4.3 cần được áp dụng, cụ thể (1) dự tính hàm lượng nhựa thiết kế của mẫu có độ rỗng dư Va = 4,0 %, (2) tính toán hiệu chỉnh giá trị VMA và độ chặt tương đối ở số vòng xoay ban đầu (Nbanđầu) tại hàm lượng nhựa dự tính này. 3) Vì không có mẫu nào có giá trị độ rỗng dư bằng chính xác 4,0 % nên quy trình tính toán nêu ở 7.4.3 cần được áp dụng, cụ thể (1) dự tính hàm lượng nhựa thiết kế của mẫu có độ rỗng dư Va = 4,0 %, (2) tính toán hiệu chỉnh giá trị VMA và độ chặt tương đối ở số vòng xoay ban đầu (Nban đầu) tại hàm lượng nhựa dự tính này. 4) Phần giữa của bảng 7 thể hiện sự thay đổi hàm lượng nhựa (ΔPb) và VMA (ΔVMA) khi độ rỗng dư Va được hiệu chỉnh bằng 4,0 % của từng hỗn hợp cốt liệu thử nghiệm. 5) So sánh VMA và độ chặt tương đối của mẫu có hàm lượng nhựa thiết kế với tiêu chuẩn ở cột cuối cùng của bảng, ta thấy rằng hỗn hợp cốt liệu thử nghiệm số 1 không thỏa mãn tiêu chí về VMA (12,9 % trong khi yêu cầu ≥ 13,0%). Hỗn hợp thử nghiệm số 2 có tỉ trọng tương đối tại số đầm xoay Nban đầu vượt quá yêu cầu (89,1% trong khi yêu cầu ≤ 89,0 %). Hỗn hợp cốt liệu thử nghiệm số 3 đáp ứng được các yêu cầu về độ chặt tương đối, VMA và được lựa chọn làm cấp phối cốt liệu thiết kế. 6) Số liệu tính toán tại phần dưới của Bảng chỉ lấy một số lẻ thập phân đã làm tròn. | ||||
7.5 Lựa chọn hàm lượng nhựa thiết kế
7.5.1 Chuẩn bị hỗn hợp (xem CHÚ THÍCH 10) với cấp phối cốt liệu thiết kế (cấp phối cốt liệu thử nghiệm được lựa chọn) với bốn hàm lượng nhựa sau đây: (1) hàm lượng nhựa thiết kế dự tính, Pb (thiết kế); (2) hàm lượng nhựa nhỏ hơn Pb (thiết kế) 0,5%; (3) hàm lượng nhựa lớn hơn Pb (thiết kế) 0,5%; và (4) hàm lượng nhựa lớn hơn Pb (thiết kế) 1,0 %.
Chọn số vòng đầm xoay để đầm chặt mẫu được xác định theo quy định tại 7.3.
7.5.2 Chuẩn bị hỗn hợp theo Phụ lục B và đầm mẫu theo số vòng đầm xoay Nthiết kế theo TCVN 12817:2019. Ghi lại chiều cao của mẫu với độ chính xác 0,1 mm sau mỗi lần đầm xoay.
7.5.3. Xác định tỷ trọng khối (Gmb) của từng mẫu đã được đầm chặt theo TCVN 8860-5:2011.
7.5.4. Xác định tỷ trọng lớn nhất lý thuyết (Gmm) theo TCVN 8860-4:2011 cho từng mẫu của bốn mẫu hỗn hợp với các mẫu được chế bị và đầm chặt theo cùng một điều kiện (CHÚ THÍCH 11).
7.5.5. Xác định hàm lượng nhựa thiết kế tạo ra mẫu có độ rỗng dư (Va) 4,0 % tại số đầm xoay Nthiết kế theo các bước sau đây:
7.5.5.1. Tính toán Va, VMA và VFA tại Nthiết kế theo các Công thức (2), Công thức (3) và Công thức (13):

7.5.5.2. Tính toán tỉ số hàm lượng bụi trên hàm lượng nhựa có hiệu theo Công thức (14):

Trong đó:
Pbe là hàm lượng nhựa có hiệu
7.5.5.3. Xác định độ chặt tương đối hiệu chỉnh trung bình %Gmm ban đầu tại số vòng đầm xoay ban đầu Nban đầu cho từng hỗn hợp của bốn hỗn hợp theo Công thức (15):

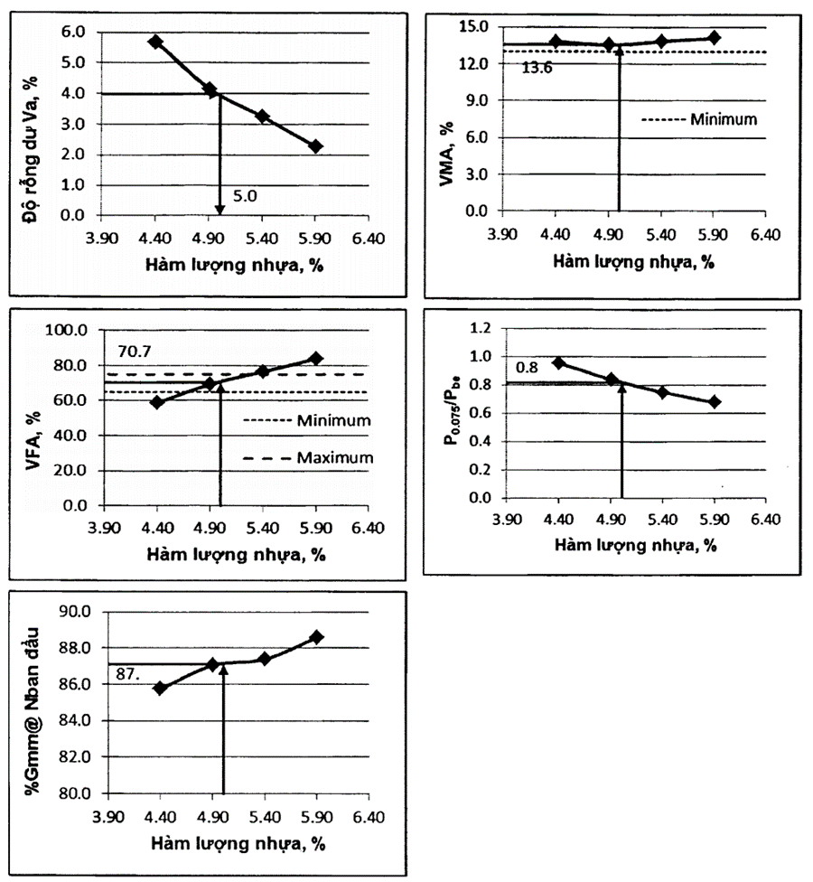
7.5.5.4. Vẽ đồ thị quan hệ giữa hàm lượng nhựa với giá trị trung bình Va, VMA, VFA, độ chặt tương đối trung bình tại Nthiết kế của các mẫu.
CHÚ THÍCH 18 - Hình 3 minh họa đồ thị mối quan hệ giữa hàm lượng nhựa với các giá trị Va, VMA, VFA, khối lượng thể tích của mẫu đầm nén tại Nthiết kế (được vẽ tự động bằng phần mềm Superpave).
7.5.5.5. Bằng phép nội suy hình học hoặc nội suy toán học (Hình 3), xác định hàm lượng nhựa với sai số 0.1% của mẫu có độ rỗng dư Va bằng 4,0 %. Giá trị đó là hàm lượng nhựa thiết kế (Pb) ở Nthiết kế.
7.5.5.6. Bằng phép nội suy (Hình 3), kiểm tra các đặc tính thể tích của mẫu có hàm lượng nhựa thiết kế có đạt các chỉ tiêu yêu cầu quy định tại Bảng 5.
7.5.6. Có thể kiểm tra độ chặt tương đối tính toán ở số vòng đầm xoay ban đầu Nbanđầu so với yêu cầu thiết kế bằng phép nội suy (nếu thấy cần thiết). Phép nội suy được thực hiện theo quy trình dưới đây:
7.5.6.1. Thiết lập đường cong độ chặt của từng hỗn hợp bằng cách vẽ đồ thị biểu thị mối quan hệ giữa độ chặt tương đối %Gmm-x tại số đầm xoay X (trục hoành thể hiện số đầm xoay lấy theo thang logarit thập phân-Hình 4).
7.5.6.2. Khảo sát đồ thị quan hệ giữa độ rỗng dư với hàm lượng nhựa. Xác định sự sai lệch độ rỗng dư giữa độ rỗng dư 4,0 % với độ rỗng dư gần nhất có hàm lượng nhựa thấp hơn. Xác định độ rỗng dư (với hàm lượng nhựa thấp hơn) tại điểm gần độ rỗng dư 4,0 % nhất, mà điểm đó không nằm trên đường cong quan hệ. Sự sai khác độ rỗng dư này chính là giá trị ΔVa.
7.5.6.3. Sử dụng công thức 15 để xác định độ chặt tương đối hiệu chỉnh trung bình (%Gmmban đầu) với Nban đầu- Kiểm tra xem %Gmmban đầu của mẫu có hàm lượng nhựa thiết kế có thỏa mãn các yêu cầu tương ứng được quy định trong Bảng 5.

| Pb (%) | Va (%) | VMA (%) | VFA (%) | Khối lượng thể tích (Độ chặt tại Nthiết kế-kg/m3) |
| 4,3 | 9,5 | 15,9 | 40,3 | 2320 |
| 4,8 | 7,0 | 14,7 | 52,4 | 2366 |
| 5,3 | 6,0 | 14,9 | 59,5 | 2372 |
| 5,8 | 3,7 | 13,9 | 73,5 | 2412 |
| 1) Trong ví dụ này, hàm lượng nhựa thiết kế tính toán là 4,8%; VMA nhỏ nhất yêu cầu của cấp phối cốt liệu thiết kế (cỡ hạt lớn nhất danh định 19,0 mm) là 13,0% và VFA yêu cầu có giá trị từ 65 % - 75%. 2) Dựa trên đồ thị quan hệ giữa độ rỗng dư (%) với hàm lượng nhựa (%), tại độ rỗng dư 4,0 %, xác định được hàm lượng nhựa thiết kế là 5,7%. 3) Dựa trên đồ thị quan hệ giữa VMA (%) với hàm lượng nhựa (%) và đồ thị quan hệ giữa VFA (%) với hàm lượng nhựa (%), tại hàm lượng nhựa 5,7%, ta thấy hỗn hợp đạt yêu cầu về VMA và VFA. | ||||
Hình 3 - Đồ thị quan hệ giữa hàm lượng nhựa tại Nthiết kế với các đặc tính thể tích của BTN
7.5.7. Chế bị mẫu (CHÚ THÍCH 9) bằng cấp phối cốt liệu thiết kế với hàm lượng nhựa thiết kế để kiểm tra xem %Gmmmax có thỏa mãn yêu cầu tương ứng được quy định trong Bảng 5
7.5.7.1. Chuẩn bị hỗn hợp theo Phụ lục B và đầm mẫu theo TCVN 12817:2019 với số đầm xoay Nmax lấy từ Bảng 6.
7.5.7.2. Xác định độ chặt tương đối trung bình (%Gmm max) tại Nmax theo công thức 16 và kiểm tra xem %Gmm max có thỏa mãn yêu cầu tương ứng được quy định trong Bảng 5.

Trong đó:
%Gmm max là độ chặt tương đối của mẫu ứng với số vòng đầm xoay Nmax tại hàm lượng nhựa thiết kế

Hình 4 - Biểu đồ quan hệ giữa % độ chặt lớn nhất lý thuyết với Số vòng đầm xoay
7.6. Đánh giá khả năng kháng ẩm
7.6.1. Chế bị 06 mẫu thí nghiệm (09 mẫu trong trường hợp có thí nghiệm đóng - tan băng) bằng cấp phối cốt liệu thiết kế với hàm lượng nhựa thiết kế. Điều kiện chế bị hỗn hợp lấy theo Phụ lục B và đầm mẫu tới độ rỗng dư 7.0 ± 0,5 % theo TCVN 12817:2019.
7.6.2. Công việc chế bị mẫu, thí nghiệm mẫu và đánh giá mẫu theo AASHTO T283. Việc thiết kế phải thỏa mãn về tỉ số cường độ chịu kéo quy định tại 5.2 của tiêu chuẩn này.
7.6.3. Nếu tỷ số cường độ chịu kéo nhỏ hơn 0.8 thì theo quy định của AASHTO M 323 có thể sử dụng phụ gia tăng dính bám để cải thiện khả năng kháng ẩm của hỗn hợp. Khi sử dụng phụ gia biến tính nhựa đường thì cần phải tiến hành thí nghiệm lại hỗn hợp để chắc chắn rằng hỗn hợp đó thỏa mãn yêu cầu về tỷ số cường độ chịu kéo nhỏ nhất là 0.8.
7.7. Hiệu chỉnh hỗn hợp để đạt các chỉ tiêu kỹ thuật yêu cầu
7.7.1. Hiệu chỉnh VMA - Có ba cách thay đổi bộ khung cốt liệu thiết kế để có được VMA theo yêu cầu:
(1) thay đổi cấp phối cốt liệu (CHÚ THÍCH 20): (2) giảm tỷ lệ cỡ hạt 0,075 mm (CHÚ THÍCH 21): hoặc (3) thay đổi cấu trúc bề mặt hoặc/và hình dạng của một hay nhiều cỡ hạt cốt liệu (CHÚ THÍCH 22).
CHÚ THÍCH 20 Thay đổi cấp phối cốt liệu có thể không phải là lựa chọn tốt nếu cấp phối cốt liệu thử nghiệm đã nằm trong giới hạn quy định.
CHÚ THÍCH 21 Giảm phần trăm cốt liệu lọt qua sàng 0,075 mm của hỗn hợp sẽ làm tăng VMA. Nếu phần trăm cốt liệu lọt qua sàng 0,075 mm đã nhỏ sẵn thì lựa chọn này sẽ không thích hợp.
CHÚ THÍCH 22 - Lựa chọn này yêu cầu cốt liệu phải được sản xuất tốt hơn hoặc phải thay đổi nguồn cung cấp cốt liệu.
7.7.2. Hiệu chỉnh VFA - Giới hạn dưới của VFA thường luôn đạt yêu cầu với mẫu có độ rỗng dư 4,0 % nếu VMA đã đạt yêu cầu. Nếu giới hạn trên của VFA bị vượt quá quy định, khi đó VMA sẽ cao hơn đáng kể so với yêu cầu tối thiểu. Nếu vậy, cần thiết phải thiết kế lại hỗn hợp để giảm VMA. Có thể xem xét sử dụng biện pháp sau khi thiết kế lại: (1) thay đổi cấp phối cho gần đường có độ chặt lớn nhất; (2) tăng lượng cốt liệu mịn lọt qua sàng 0,075 mm nếu khoáng hiệu chỉnh trong các điểm khống chế cấp phối tiêu chuẩn vẫn còn; hoặc (3) thay đổi bề mặt và hình dạng cốt liệu bằng cách sử dụng cốt liệu có đặc tính đầm chặt tốt hơn, ví dụ, sử dụng cốt liệu có ít thành phần hạt dẹt, dài.
7.7.3 Hiệu chỉnh tỷ số cường độ chịu kéo - có thể tăng tỷ số cường độ chịu kéo bằng cách: (1) thêm phụ gia tăng dính bám vào nhựa để tăng khả năng dính bám khi có nước; hoặc (2) thêm vôi thủy hóa vào hỗn hợp.
8 Báo cáo
Báo cáo phải bao gồm các thông tin sau:
a) Tên dự án,
b) lưu lượng giao thông thiết kế và số thiết kế hỗn hợp.
c) Thông tin liên quan đến cấp phối cốt liệu thiết kế bao gồm nguồn cung cấp cốt liệu, loại cốt liệu, các đặc tính chất lượng yêu cầu và thành phần cấp phối.
d) Thông tin liên quan đến nhựa được sử dụng trong thiết kế như nguồn cung cấp, cấp và các đặc tính của nhựa.
e) Thông tin liên quan đến bê tông nhựa nóng như hàm lượng nhựa trong hỗn hợp: tỷ trọng tương đối; số vòng đầm xoay ban đầu, số vòng đầm xoay thiết kế, số vòng đầm xoay lớn nhất; và các giá trị VMA, VFA, Vbe, Vba, Va , tỷ số hàm lượng bụi trên hàm lượng nhựa có hiệu.
Phụ lục A
(tham khảo)
Tính toán hàm lượng nhựa thử nghiệm ban đầu của từng hỗn hợp cốt liệu thử nghiệm
A.1 Sử dụng các giá trị tỷ trọng của các loại cốt liệu có được trong 7.1.6 và Công thức A.1 và A.2 để tính toán tỷ trọng khối và tỷ trọng biểu kiến của hỗn hợp cốt liệu cho từng hỗn hợp thử nghiệm:

Trong đó:
Gsb là tỉ trọng khối của hỗn hợp cốt liệu;
Gsa là tỉ trọng biểu kiến của hỗn hợp cốt liệu;
P1, P2, Pn là phần trăm theo khối lượng của cốt liệu 1, 2,...n; và
G1, G2, Gn là tỉ trọng khối (Công thức A.1) hay tỷ trọng biểu kiến (A.2) của cốt liệu 1, 2,...n.
A.2 Xác định tỷ trọng khối có hiệu của hỗn hợp cốt liệu cho từng hỗn hợp thử nghiệm theo công thức A.3:

Trong đó:
Gse là tỷ trọng khối có hiệu của hỗn hợp cốt liệu;
Gsb là tỷ trọng khối của hỗn hợp cốt liệu;
Gsa là tỉ trọng biểu kiến của hỗn hợp cốt liệu.
CHÚ THÍCH Người thiết kế có thể thay đổi hệ số 0.8 trong công thức A.3. Độ hút nước của cốt liệu có thể lấy giá trị gần bằng 0.6 hay 0.5.
CHÚ THÍCH Thiết kế hỗn hợp theo đặc tính thể tích Superpave bao gồm bước chế bị hỗn hợp trước khi đầm nén mẫu; việc chế bị này thông thường cho phép sự hấp phụ nhựa được diễn ra trong suốt quá trình chế bị mẫu. Vì thế, tỷ trọng có hiệu của hỗn hợp Superpave có xu hướng gần với tỷ trọng biểu kiến, nó khác với các phương pháp thiết kế khác có tỷ trọng có hiệu nằm gần giữa tỷ trọng khối và tỷ trọng biểu kiến.
A.3 Xác định thể tích nhựa bị hấp thụ vào cốt liệu, Vba, theo công thức A.4 và A.5:

Trong đó:
Ws, là khối lượng cốt liệu có trong 1 cm3 hỗn hợp bê tông nhựa, được tính toán như sau:

Và trong đó:
Ps là hàm lượng cốt liệu trong hỗn hợp, tính theo phần trăm, giả thiết bằng 0.95 (ở dạng thập phân);
Va là thể tích độ rỗng dư, giả thiết bằng 0.04cm3 trong 1 cm3 hỗn hợp;
Pb là hàm lượng nhựa, tính theo phần trăm, giả thiết bằng 0.05 (ở dạng thập phân)
Gb là tỉ trọng của nhựa.
CHÚ THÍCH Công thức trên được sử dụng để tính toán thể tích của nhựa bị hấp phụ vào cốt liệu, Vba, và hàm lượng nhựa thử nghiệm ban đầu với độ rỗng dư Va bằng 4,0 %.
A.4 Tính thể tích nhựa hữu hiệu theo công thức A.6:

Trong đó:
Vbe là thể tích nhựa có hiệu, cm3;
Sn là cỡ sàng danh định lớn nhất của cốt liệu lớn nhất trong hỗn hợp cốt liệu thử nghiệm,mm;
CHÚ THÍCH Công thức hồi quy ở trên được suy ra từ quan hệ thực nghiệm giữa: (1) VMA và Vbe khi độ rỗng dư Va = 4,0 %: Vbe = VMA - Va = VMA - 4.0; và (2) quan hệ giữa VMA với cỡ sàng danh định lớn nhất của cốt liệu theo AASHTO M323.
A.5 Tính toán hàm lượng nhựa thử nghiệm ban đầu (Pbj) của hỗn hợp thử nghiệm theo công thức A.7:

Trong đó:
Pbi là hàm lượng nhựa thử nghiệm ban đầu, tính theo phần trăm của tổng khối lượng hỗn hợp.
Phụ lục B
(Quy định)
Phương pháp chế bị mẫu thử hỗn hợp bê tông nhựa
B.1 Thiết bị thí nghiệm
- Tủ sấy cưỡng bức có khả năng duy trì nhiệt độ từ nhiệt độ phòng cho đến nhiệt độ 176 ± 3°C.
- Thiết bị gia tải có khả năng tác dụng một tải trọng tĩnh 56 kN với tốc độ gia tải là 72.00 ± 0.05 kN/min.
- Nhiệt kế có khoảng nhiệt độ đo từ 50°C đến 260°C với khoảng đọc được chính xác đến 1°C.
- Các thiết bị phụ trợ khác như khay đựng hỗn hợp bê tông nhựa rời, hỗn hợp, là kim loại để trộn, khuấy hỗn hợp và găng tay chống nóng.
B.2 Quy trình chế bị mẫu thử bê tông nhựa
B.2.1 Chế bị mẫu thử phục vụ thiết kế theo đặc tính thể tích.
Quy trình dưới đây chỉ áp dụng cho các mẫu thử hỗn hợp bê tông nhựa rời được chế bị trong phòng thí nghiệm. Đối với các mẫu thử hỗn hợp bê tông nhựa được chế bị tại trạm phục vụ cho công tác kiểm soát và nghiệm thu chất lượng (QC/QA) thì không cần thiết áp dụng quy trình này.
- Bước 1: Mẫu hỗn hợp bê tông nhựa sau khi đã được trộn đều được cho vào khay đựng mẫu và rải đều thành lớp có chiều dày từ 25 đến 50 mm.
- Bước 2: Đặt khay đựng mẫu đã có mẫu hỗn hợp bê tông nhựa rải đều như trên vào tủ sấy trong khoảng thời gian là 2 h ± 5 min ở nhiệt độ tương đương với nhiệt độ đầm hỗn hợp bê tông nhựa ± 3°C.
Lưu ý: Khoảng nhiệt độ đầm của hỗn hợp bê tông nhựa được định nghĩa là khoảng nhiệt độ mà nhựa đường chưa lão hóa có độ nhớt động lực học bằng 0,28 ± 0,03 pa-s (hay độ nhớt động học bằng 280 ± 30 mm2/s), xác định bằng thí nghiệm quy định tại TCVN 11196:2017. Thông thường nhiệt độ đầm được lấy là nhiệt độ nằm ở giữa khoảng nhiệt độ nêu trên. Đối với mẫu nhựa đường biến tính, việc xác định nhiệt độ đầm thực hiện theo khuyến cáo của nhà sản xuất.
- Bước 3: Sau 60 ± 5 min, trộn đều mẫu trong khay để mẫu bê tông nhựa được sấy đồng đều.
- Bước 4: Sau 2 h ± 5, lấy khay và mẫu ra khỏi tủ sấy để đàm hoặc làm các thí nghiệm khác.
B.2.2 Chế bị mẫu thử già hóa ngắn hạn.
Quy trình dưới đây chỉ áp dụng cho các mẫu thử hỗn hợp bê tông nhựa rời được chế bị trong phòng thí nghiệm và được lão hóa ngắn hạn để phục vụ cho việc xác định tính cơ học của mẫu thử chế bị.
- Bước 1: Mẫu hỗn hợp bê tông nhựa sau khi đã được trộn đều được cho vào khay đựng mẫu và rải đều thành lớp có chiều dày từ 25 đến 50 mm.
Bước 2: Đặt khay đựng mẫu đã có mẫu hỗn hợp bê tông nhựa rải đều như trên vào tủ sấy trong khoảng thời gian là 4 h ± 5 min ở nhiệt độ (135 ± 3)°C
- Bước 3: Cứ sau 60 ± 5 min, trộn đều mẫu trong khay để mẫu bê tông nhựa được sấy đồng đều.
- Bước 4: Sau 4 h ± 5, lấy khay và mẫu ra khỏi tủ sấy để làm các thí nghiệm khác
B.2.2 Chế bị mẫu thử già hóa dài hạn
Quy trình dưới đây áp dụng cho các mẫu thử được chế bị trong phòng thí nghiệm và sau khi bị lão hóa ngắn hạn; cho các mẫu thử tại trạm trộn hoặc các mẫu thử khoan từ mặt đường nhằm mô phỏng các hiệu ứng lão hóa dài hạn. Mẫu thử chế bị theo quy trình này được sử dụng để thí nghiệm các đặc tính cơ học
B.2.2.1 Đối với mẫu thử hỗn hợp bê tông nhựa rời được đầm bằng thiết bị đầm xoay.
Quy trình dưới đây áp dụng cho mẫu hỗn hợp hợp bê tông nhựa được chế bị trong phòng thí nghiệm theo quy trình được nêu ở B.2.1. Còn đối với mẫu vật liệu tại trạm thì không cần lão hóa ngắn hạn
- Bước 1: Đầm mẫu bê tông nhựa theo quy định của TCVN 12817:2019 tới độ chặt yêu cầu của thí nghiệm sẽ thực hiện tiếp theo sau khi đầm và không được đùn mẫu ra khỏi khuôn.
- Bước 2: Bảo dưỡng mẫu đã được đầm chặt bằng cách làm mát mẫu ở trong khuôn tới nhiệt độ 60 ± 3°C trong vòng 02h.
- Bước 3: Để đảm bảo cho 02 đầu của mẫu thử song song, tiến hành tác dụng một lực tĩnh tải bằng chính thiết bị đầm tăng dần từ 0 kN với tốc độ gia tải là 72 ± 0,05 kN/min. Thực hiện dỡ tải với tốc độ như gia tải khi các đầu của mẫu song song hoặc khi lực tác dụng đạt giá trị lớn nhất là 56 kN.
- Bước 4: Lấy mẫu ra khỏi thiết bị đầm và làm mát tới nhiệt độ phòng trong vòng 16 ± 1h. Mẫu bê tông nhựa được đùn ra khỏi khuôn đầm sau từ 2-3h được làm mát.
B.2.2.2 Đối với mẫu thử hỗn hợp bê tông nhựa rời được đầm bằng thiết bị đầm lăn
- Bước 1: Đầm mẫu bê tông nhựa theo quy định của TCVN 11782:2017.
- Bước 2: Làm mát mẫu tới nhiệt độ phòng trong vòng 16 ± 1h.
- Bước 3: Lấy mẫu bê tông nhựa dạng tấm ra khỏi khuôn đầm và tiến hành khoan, cắt mẫu bê tông nhựa theo yêu cầu từ tấm bê tông nhựa vừa đầm.
B.2.2.3 Đối với mẫu bê tông nhựa khoan cắt từ mặt đường
- Bước 1. Làm mát mẫu bê tông nhựa tới nhiệt độ phòng trong vòng (16 ± 1) h.
Bước 2: Đặt mẫu vào trong tủ sấy ở nhiệt độ (85 ± 3) °C trong vòng (120 ± 0,5) h
- Bước 3: Sau (120 ± 0,5) h, tắt tủ sấy mở cửa để cho mẫu thử được làm mát tới nhiệt độ phòng trong vòng khoảng 16 h. Hết thời hạn làm lạnh mới được phép chạm và lấy mẫu thử ra khỏi tủ sấy.
Phụ lục C
(tham khảo)
Ví dụ tính toán thiết kế hỗn hợp BTN nóng theo đặc tính thể tích Superpave
Thiết kế hỗn hợp BTN nóng theo đặc tính thể tích Superpave có các thông số thiết kế như sau:
- Loại BTN: BTNC19; cấp phối cốt liệu thô với mục đích hạn chế hiện tượng hằn lún vệt bánh xe.
- Chiều sâu từ mặt đường đến đỉnh lớp BTN thiết kế: <100 mm
- ESALs thiết kế: 18 triệu
C.1 Lựa chọn vật liệu
C.1.1 Chất kết dính nhựa đường
Chất kết dính nhựa đường là loại nhựa đường PG có các chỉ tiêu kỹ thuật trình bày ở Bảng C1: Bảng C.1 - Chỉ tiêu kỹ thuật của chất kết dính nhựa đường PG
| Loại nhựa | Kết quả thí nghiệm | ||||||
| Nhựa gốc | Nhựa sau RTFO | Nhựa sau PAV | |||||
| Nhiệt độ chớp cháy, T48, min 230°C | Độ nhớt Brookfield, T316: max 3 Pa.s, t°C = 135°C | DSR, T315, G*/sina,min 1,00kPa, @10 rad/s, 58°C | Tổn thất khối lượng, max, 1% | DSR, T315, G*/sina,min 2,2kPa, @10 rad/s, 58°C | Nhiệt độ thử nghiệm PAV, °C | DSR, T315, G*.sina,max 5000 kPa, @10 rad/s, 25°C | |
| PG 58 | 304 | 0,575 | 1,42 | 0,14 | 2,41 | 100 | 1543 |
C.1.2 Cốt liệu
Sử dụng 5 loại cốt liệu: 3 loại đá và 2 loại cát có các chỉ tiêu kỹ thuật trình bày ở các Bảng C.2,C.3,C.4:
Bảng C.2 - Tỷ trọng của cốt liệu
| Cốt liệu | Tỉ trọng | |
| khối - Gsb | biểu kiến - Gsa | |
| Đá 1 | 2,703 | 2,785 |
| Đá 2 | 2,689 | 2,776 |
| Đá 3 | 2,723 | 2,797 |
| Cát 1 | 2,694 | 2,744 |
| Cát 2 | 2,679 | 2,731 |
Bảng C.3 - Các chỉ tiêu kỹ thuật của cốt liệu thô
| Cốt liệu | Tỷ lệ dài dẹt, % | Độ góc cạnh, % | ||||
| 1 mặt dập vỡ | Hơn 2 mặt dập vỡ | |||||
| Giá trị | YCKT | Giá trị | YCKT | Giá trị | YCKT | |
| Đá 1 | 0 | ≤ 10 | 92 | ≥ 95 | 88 | ≥ 90 |
| Đá 2 | 0 | 97 | 94 | |||
| Đá 3 | 0 | 99 | 95 | |||
Bảng C.4 - Các chỉ tiêu kỹ thuật của cốt liệu mịn
| Cốt liệu | Đương lượng cát | Độ góc cạnh, % |
| |
| Giá trị | YCKT | Độ rỗng ở trạng thái rời | YCKT | |
| Cát 1 | 47 | ≥ 45 | 52 | ≥ 45 |
| Cát 2 | 70 | 40 | ||
C.2 Lựa chọn cấp phối cốt liệu thiết kế
C.2.1 Phối trộn cốt liệu và kiểm tra các đặc tính của hỗn hợp cốt liệu
C.2.1.1 Phối trộn cốt liệu
Năm loại cốt liệu được phối trộn theo các tỉ lệ như trong Bảng C.5 để tạo ra 03 hỗn hợp cốt liệu thử nghiệm HH1, HH2 và HH3. Thành phần hạt (cấp phối) của 05 loại cốt liệu và của 03 hỗn hợp được tính toán và trình bày ở Bảng C.6. Đường cấp phối của 03 hỗn hợp được trình bày tại Hình C.1.
Bảng C.5 - Tỷ lệ phối trộn cốt liệu
| Hỗn hợp cốt liệu thử nghiệm | Tỉ lệ phối trộn giữa các loại cốt liệu | ||||
| Đá 1 | Đá 2 | Đá 3 | Cát 1 | Cát 2 | |
| Hỗn hợp 1 - HH1 | 25,0% | 15,0% | 22,0% | 18,0% | 20,0% |
| Hỗn hợp 2 - HH2 | 30,0% | 25,0% | 13,0% | 17,0% | 15,0% |
| Hỗn hợp 3 - HH3 | 10,0% | 15,0% | 30,0% | 31,0% | 14,0% |
Bảng C.6 -Thành phần hạt của 05 loại cốt liệu và của 03 hỗn hợp sau khi phối trộn theo tỉ lệ
| Cỡ sàng (mm) | Lượng lọt sàng (%) | Cấp phối HH1 | Cấp phối HH2 | Cấp phối HH3 | ||||
| Đá 1 | Đá 2 | Đá 3 | Cát 1 | Cát 2 | ||||
| 25 | 100 | 100 | 100 | 100 | 100 | 100 | 100 | 100 |
| 19 | 76,1 | 100 | 100 | 100 | 100 | 94,0 | 92,8 | 97,6 |
| 12,5 | 14,3 | 87,1 | 100 | 100 | 100 | 76,6 | 71,1 | 89,5 |
| 9,5 | 3,8 | 26 | 94,9 | 100 | 99,8 | 63,7 | 51,9 | 77,7 |
| 4,75 | 2,1 | 3,1 | 4,8 | 95,5 | 89,5 | 37,1 | 31,7 | 44,3 |
| 2,36 | 1,9 | 2,6 | 3 | 63,5 | 76,7 | 28,3 | 23,9 | 31,9 |
| 1,18 | 1,9 | 2,4 | 2,8 | 38,6 | 63,5 | 21,1 | 17,6 | 22,2 |
| 0,6 | 1,8 | 2,3 | 2,6 | 21,9 | 45,6 | 14,4 | 12,0 | 14,5 |
| 0,3 | 1,8 | 2,2 | 2,5 | 11 | 23,1 | 7,9 | 6,8 | 7,9 |
| 0,15 | 1,7 | 2,1 | 2,4 | 5,7 | 8,4 | 4,0 | 3,6 | 4,1 |
| 0,075 | 1,6 | 1,9 | 2,2 | 5,7 | 4,7 | 3,1 | 2,9 | 3,5 |

Hình C.1 - Đường cấp phối của 03 hỗn hợp cốt liệu thử nghiệm
C.2.1.2 Kiểm tra các đặc tính của cấp phối hỗn hợp cốt liệu thử nghiệm
C.2.1.2.1 Kiểm tra đặc tính thành phần hạt
Cấp phối của từng hỗn hợp trong 03 hỗn hợp được so sánh với yêu cầu kỹ thuật (YCKT) tại các sàng “Điểm kiểm soát”: sàng có cỡ hạt lớn nhật, sàng có cỡ hạt danh định lớn nhất, sàng 2.36 mm và sàng 0,075 mm. Đường cấp phối của từng hỗn hợp phải đi vào trong giữa các điểm kiểm soát. Giới hạn trên và giới hạn dưới của các điểm khống chế được trình bày trong Bảng C.7.
Bảng C.7 - Yêu cầu kỹ thuật đối với cấp phối hỗn hợp cốt liệu Dmax = 19 mm
| Điểm khống chế | Cỡ sàng (mm) | Giới hạn dưới,% | Giới hạn trên, % |
| 25 | 100 |
| |
| 19 | 90 | 100 | |
| 12,5 |
| 90 | |
| 2,36 | 23 | 49 | |
| 0,075 | 2 | 8 | |
| Điểm khổng chế chính | Cỡ sàng (mm) | lượng lọ sàng,% | |
| 4,75 | 47 | ||
Căn cứ Hình C.1 và Bảng C.7, ta có nhận xét sau:
- Cả 03 cấp phối hỗn hợp cốt liệu thử nghiệm đều thỏa mãn yêu cầu kỹ thuật về thành phần hạt của Superpave.
- Cả 03 cấp phối hỗn hợp cốt liệu thử nghiệm đều là cấp phối thô do lượng lọt sàng tại “Điểm khống chế chính” - cỡ sàng 4,75 mm đều nhỏ hơn 47 %. Trong đó, cấp phối HH1 là cấp phối thô vừa (37.1%), cấp phối HH2 là cấp phối thô nhất (31.7%), cấp phối HH3 là ít thô nhất (44.3%).
C.2.1.2.1 Kiểm tra các đặc tính kỹ thuật của hỗn hợp cốt liệu thử nghiệm
Các hỗn hợp cốt liệu thử nghiệm HH1, HH2, HH3 ngoài phải đáp ứng yêu cầu kỹ thuật của thành phần hạt, cần phải đảm bảo các yêu cầu kỹ thuật khác như được trình bày tại Bảng C.8 dưới đây:
Bảng C.8 - Yêu cầu kỹ thuật của hỗn hợp cốt liệu
| Thông số thiết kế hỗn hợp cốt liệu thử nghiệm | Chỉ tiêu kỹ thuật | YCKT | HH 1 | HH 2 | HH 3 |
| Độ góc cạnh cốt liệu thô,% | 95/90 | 96/92 | 95/92 | 97/93 | |
| - ESALs: 18 triệu - Chiều sâu từ mặt đường đến đỉnh lớp BTN thiết kế: < 100 mm | Độ góc cạnh cốt liệu mịn, % | ≥ 45 | 46 | 46 | 48 |
| Hàm lượng thoi dẹt,% | ≤ 10 | 0 | 0 | 0 | |
| Hệ số đương lượng cát, ES | ≥ 45 | 59 | 58 | 54 | |
| Tỉ trọng khối của hỗn hợp cốt liệu, Gsb | n/a | 2,699 | 2,697 | 2,701 | |
| Tỉ trọng biểu kiến của hỗn hợp cốt liệu, Gsa | n/a | 2,768 | 2,769 | 2,767 |
Gsb, Gsa được tính theo công thức C.1 và C.2:

Trong đó:
P1, P2, ...Pn : Phần trăm theo khối lượng của cốt liệu 1,2,...n trong hỗn hợp cốt liệu
G1 ,G2,...Gn : Tỷ trọng khối/biểu kiến của cốt liệu 1,2,...n
C.2.2 Lựa chọn hàm lượng nhựa thử nghiệm ban đầu
Hàm lượng nhựa thử nghiệm ban đầu được tính theo công thức A.7 với trình tự tính toán được trình bày tại Phụ lục A. Bảng C.9 trình bày kết quả hàm lượng nhựa thử nghiệm ban đầu của từng hỗn hợp cốt liệu thử nghiệm: HH1, HH2 và HH3.
Bảng C.9 - Hàm lượng nhựa thử nghiệm ban đầu của từng hỗn hợp cốt liệu thử nghiệm
| Hỗn hợp cốt liệu thử nghiệm | Gse | Ws (g) | Vba (cm3/cm3hỗn hợp) | Vbe (cm3/cm3hỗn hợp) | Pbi (%) |
| HH1 | 2,754 | 2,315 | 0,0172 | 0,0895 | 4,49 |
| HH2 | 2,755 | 2,315 | 0,0180 | 0,0895 | 4,52 |
| HH3 | 2,754 | 2,315 | 0,0165 | 0,0895 | 4,46 |
C.2.3 Đầm nén mẫu bê tông nhựa bằng thiết bị đầm xoay
C.2.3.1 Sử dụng hàm lượng nhựa thử nghiệm ban đầu đã được xác định ở C.2.2 để trộn với hỗn hợp cốt liệu thử nghiệm tương ứng (Bảng C.9) tạo thành các hỗn hợp bê tông nhựa.
C.2.3.2 Chế bị mẫu bê tông nhựa: Đối với từng hỗn hợp cốt liệu thử nghiệm, chuẩn bị ít nhất 02 mẫu thí nghiệm để thực hiện đầm nén bằng thiết bị đầm xoay với khối lượng khoảng 4500 g cốt liệu cho một mẫu thí nghiệm và chuẩn bị 02 mẫu thí nghiệm để xác định tỷ trọng lớn nhất Gmm với khối lượng khoảng 2000 g cốt liệu cho một mẫu thí nghiệm.
C.2.3.3 Xác định nhiệt độ trộn và đầm nén trong phòng thí nghiệm: Khoảng nhiệt độ trộn và nhiệt độ đầm nén được xác định dựa trên biểu đồ quan hệ giữa độ nhớt của chất kết dính nhựa đường và nhiệt độ. Theo đó, cần phải thực hiện thêm thí nghiệm xác định độ nhớt Brookfield của chất kết dính nhựa đường ở 165°c. Bảng C.1 ở trên cung cấp giá trị độ nhớt Brookfield của chất kết dính nhựa đường ở 135°C. Nối 02 điểm nằm trên biểu đồ độ nhớt - nhiệt độ bằng một bằng đường thẳng. Đường thẳng này cắt qua miền nhiệt độ trộn và đầm nén của hỗn hợp bê tông nhựa (Hình C.2).
Trong ví dụ tính toán này, khoảng nhiệt độ trộn được xác định là: 165°C - 172°C và khoảng nhiệt độ đầm nén là: 151°C -157°C (Mẫu hỗn hợp bê tông nhựa được ủ ở nhiệt độ trong khoảng nhiệt độ này trong vòng 02 giờ trước khi đưa vào thiết bị đầm xoay để đầm nén).

Hình C.2 - Biểu đồ độ nhớt - nhiệt độ được sử dụng để xác định khoảng nhiệt độ trộn và đầm nén của hỗn hợp bê tông nhựa
C.2.3.4 Các hỗn hợp bê tông nhựa này được đầm nén bằng thiết bị đầm xoay với các số vòng đầm xoay được xác định từ ESALs thiết kế (Bảng C.10).
Bảng C.10 - Số vòng đầm xoay được sử dụng để đầm nén mẫu bê tông nhựa
| ESALs thiết kế | Số vòng đầm xoay | ||
| 18 triệu | Nban đầu | Nthiết kế | Nmax |
| 8 | 100 | 160 | |
C.2.3.5 Từng mẫu hỗn hợp bê tông nhựa được đầm nén tới số vòng xoay thiết kế (Nthiết kế). Trong suốt quá trình đầm nén, chiều cao của mẫu được ghi lại lại liên tục bằng phần mềm của thiết bị đầm xoay và liệt kê thành bảng (ví dụ như các Bảng C.11, C.12 và C.13 dưới đây). Sau khi quá trình đầm nén kết thúc, mẫu được đùn ra và để nguội trong không khí. Sau đó, tiến hành thí nghiệm xác định tỷ trong khối (Gmb) và tỷ trọng lớn nhất (Gmm) của hỗn hợp bê tông nhựa theo các TCVN 8860-5: 2011 và TCVN 8860-4: 2011.
C.2.3.6 Xác định được độ chặt tương đối của hỗn hợp bê tông nhựa tại Nthiết kế, ký hiệu %Gmm@ Nthiết kế theo công thức C.3:

C.2.3.7 Xác định độ chặt tương đối của hỗn hợp bê tông nhựa tại số vòng đầm xoay bất kỳ (Nx) theo công thức C.4:

Trong đó:
hd là chiều cao của mẫu bê tông nhựa tại số vòng đầm xoay thiết kế, Nthiết kế
hx là chiều cao của mẫu bê tông nhựa tại số vòng xoay x, Nx
C.2.3.8 Bằng công thức C.4 có thể xác định được độ chặt tương đối của mẫu bê tông nhựa ở số vòng đầm xoay bất kỳ. 03 độ chặt tương đối được sử dụng để so sánh và đối chiếu với yêu cầu kỹ thuật là: độ chặt tương đối ở số vòng xoay ban đầu (%Gmm@Nban đầu), độ chặt tương đối ở số vòng xoay thiết kế (%Gmm@Nthiết kế) và độ chặt tương đối ở số vòng xoay lớn nhất ((%Gmm@Nmax).
Trong ví dụ tính toán này, các dữ liệu về việc đầm nén mẫu bê tông nhựa của 03 hỗn hợp cốt liệu HH1, HH2 và HH3 bằng thiết bị đàm xoay được trình bày tại các Bảng C.11, C.12 và C.13 và Hình C.3
Bảng C.11 - Dữ liệu đầm xoay hỗn hợp bê tông nhựa của hỗn hợp cốt liệu HH1
| Số vòng đầm xoay | Mẫu 1 | Mẫu 2 | Trung bình | |||
| hx, mm | %Gmm | hx, mm | %Gmm | %Gmm | hx, mm | |
| 5 | 129 | 85,2 | 130,3 | 86,2 | 85,7 | 129,7 |
| 8 | 127 | 86,5 | 128,1 | 87,7 | 87,1 | 127,6 |
| 10 | 125,7 | 87,4 | 126,7 | 88,6 | 88,0 | 126,2 |
| 15 | 123,5 | 89,0 | 124,7 | 90,1 | 89,5 | 124,1 |
| 20 | 122,2 | 89,9 | 123,4 | 91,0 | 90,5 | 122,8 |
| 30 | 120,1 | 91,5 | 121,5 | 92,4 | 92,0 | 120,8 |
| 40 | 119 | 92,3 | 120,2 | 93,4 | 92,9 | 119,6 |
| 50 | 118 | 93,1 | 119,3 | 94,1 | 93,6 | 118,7 |
| 60 | 117,2 | 93,8 | 118,5 | 94,8 | 94,3 | 117,9 |
| 80 | 116 | 94,7 | 117,3 | 95,7 | 95,2 | 116,7 |
| 100 | 115,2 | 95,4 | 116,4 | 96,5 | 95,9 | 115,8 |
| Gmb | 2,445 |
| 2,473 |
| 2,459 |
|
| Gmm | 2,563 |
| 2,563 |
| 2,563 |
|
Bảng C.12 - Dữ liệu đầm xoay hỗn hợp bê tông nhựa của hỗn hợp cốt liệu HH2
| Số vòng đầm xoay | Mẫu 1 | Mẫu 2 | Trung bình | |||
| hx, mm | %Gmm | hx, mm | %Gmm | %Gmm | hx, mm | |
| 5 | 131,7 | 84,1 | 132,3 | 84,2 | 84,2 | 132,0 |
| 8 | 129,5 | 85,6 | 130,1 | 85,6 | 85,6 | 129,8 |
| 10 | 128 | 86,6 | 128,7 | 86,6 | 86,6 | 128,4 |
| 15 | 125,8 | 88,1 | 126,5 | 88,1 | 88,1 | 126,2 |
| 20 | 124,3 | 89,2 | 124,9 | 89,2 | 89,2 | 124,6 |
| 30 | 122,2 | 90,7 | 122,7 | 90,8 | 90,7 | 122,5 |
| 40 | 120,7 | 91,8 | 121,2 | 91,9 | 91,9 | 121,0 |
| 50 | 119,6 | 92,7 | 120,1 | 92,8 | 92,7 | 119,9 |
| 60 | 118,7 | 93,4 | 119,2 | 93,5 | 93,4 | 119,0 |
| 80 | 117,2 | 94,6 | 117,8 | 94,6 | 94,6 | 117,5 |
| 100 | 116,3 | 95,3 | 116,8 | 95,4 | 95,3 | 116,6 |
| Gmb | 2,444 |
| 2,447 |
| 2,446 |
|
| Gmm | 2,565 |
| 2,565 |
| 2,565 |
|
Bảng C.13 - Dữ liệu dầm xoay hỗn hợp bê tông nhựa của hỗn hợp cốt liệu HH3
| Số vòng đầm xoay | Mẫu 1 | Mẫu 2 | Trung bình | |||
| hx, mm | %Gmm | hx, mm | %Gmm | %Gmm | hx, mm | |
| 5 | 130,9 | 84,4 | 129,5 | 85,3 | 84,8 | 130,2 |
| 8 | 127,2 | 86,9 | 127,3 | 86,7 | 86,8 | 127,3 |
| 10 | 127,2 | 86,9 | 125,9 | 87,7 | 87,3 | 126,6 |
| 15 | 125,1 | 88,3 | 124,1 | 89,0 | 88,7 | 124,6 |
| 20 | 123,7 | 89,3 | 122,8 | 89,9 | 89,6 | 123,3 |
| 30 | 121,8 | 90,7 | 121 | 91,2 | 91,0 | 121,4 |
| 40 | 120,5 | 91,7 | 119,7 | 92,2 | 92,0 | 120,1 |
| 50 | 119,6 | 92,4 | 118,7 | 93,0 | 92,7 | 119,2 |
| 60 | 118,8 | 93,0 | 118,1 | 93,5 | 93,3 | 118,5 |
| 80 | 117,6 | 94,0 | 116,9 | 94,4 | 94,2 | 117,3 |
| 100 | 116,7 | 94,7 | 116,1 | 95,1 | 94,9 | 116,4 |
| Gmb | 2,432 |
| 2,442 |
| 2,437 |
|
| Gmm | 2,568 |
| 2,568 |
| 2,568 |
|

Hình C.3- Độ chặt tương đối %Gmm@Nx hỗn hợp bê tông nhựa của các hỗn hợp HH1, HH2 và HH3
C.2.3.9 Tính toán các đặc trưng thể tích của hỗn hợp BTN đã đầm nén của từng loại hỗn hợp cốt liệu thử nghiệm HH1, HH2 và HH3 bao gồm: độ rỗng dư Va theo công thức (2) và VMA theo công thức (3) của tiêu chuẩn này (Bảng C.14).
Bảng C.14 - Các đặc trưng thể tích của hỗn hợp BTN đã đầm đèn của từng hỗn hợp cốt liệu thử nghiệm HH1.HH2 và HH3
| Hỗn hợp cốt liệu thử nghiệm | Pbi (%) | %Gmm@Nban đầu | %Gmm@Nthiết kế | Va (%) | VMA (%) |
| HH1 | 4,49 | 87,1 | 95,9 | 4,06 | 12,98 |
| HH2 | 4,52 | 85,6 | 95,3 | 4,66 | 13,42 |
| HH3 | 4,46 | 86,8 | 94,9 | 5,10 | 13,79 |
C.2.4 Hiệu chỉnh độ rỗng dư của hỗn hợp BTN đã đầm nén của từng hỗn hợp cốt liệu thử nghiệm HH1, HH2 và HH3 về độ rỗng dự Va = 4% tại số vòng đầm xoay Nthiết kế
- Trình tự hiệu chỉnh được thực hiện theo các bước đã được nêu tại 7.4.3. Do vậy, trong ví dụ tính toán này chỉ trình bày các kết quả, cụ thể như sau:
C.2.4.1 Sự sai lệch về độ rỗng dư Va của từng hỗn hợp cốt liệu thử nghiệm HH1, HH2 và HH3 so với độ rỗng dư Va = 4%:
| Hỗn hợp cốt liệu thử nghiệm | Va (ứng với Pbi), % | ΔVa,% |
| HH1 | 4,06 | -0,06 |
| HH2 | 4,66 | -0,66 |
| HH3 | 5,10 | -1,10 |
C.2.4.2 Hàm lượng nhựa dự tính, ký hiệu Pb,est để hiệu chỉnh độ rỗng dư về 4% (Pb,est, = Pbi + ΔPb):
| Hỗn hợp cốt liệu thử nghiệm | ΔVa,% | ΔPb,% | Pbi,% | Pb,est, % |
| HH1 | -0,06 | 0,023 | 4,49 | 4,51 |
| HH2 | -0,66 | 0,264 | 4,52 | 4,79 |
| HH3 | -1,10 | 0,440 | 4,46 | 4,90 |
C.2.4.3 Sự thay đổi VMA khi có sự thay đổi về độ rỗng dư của từng hỗn hợp cốt liệu thử nghiệm HH1, HH2 và HH3:
| Hỗn hợp cốt liệu thử nghiệm | ΔVa,% | ΔVMA, % |
| HH1 | -0,06 | -0,012 |
| HH2 | -0,66 | -0,132 |
| HH3 | -1,10 | -0,220 |
C.2.4.4 VMA của từng từng hỗn hợp cốt liệu thử nghiệm HH1, HH2 và HH3 tại số vòng xoay Nthiết kế và độ rỗng dự Va = 4%:
| Hỗn hợp cốt liệu thử nghiệm | VMAthử nghiệm, % | ΔVMA, % | VMAthiết kế, % |
| HH1 | 12,98 | -0,012 | 12,97 |
| HH2 | 13,42 | -0,132 | 13,29 |
| HH3 | 13,79 | -0,220 | 13,57 |
C.2.4.5 VFA của từng hỗn hợp cốt liệu thử nghiệm HH1, HH2 và HH3 tại số vòng xoay Nthiết kế và độ rỗng dự Va = 4% (Công thức số 13 của tiêu chuẩn):
| Hỗn hợp cốt liệu thử nghiệm | VMAthiết kế, % | VFA |
| HH1 | 12,97 | 69,15 |
| HH2 | 13,29 | 69,90 |
| HH3 | 13,57 | 70,52 |
C.2.4.6 Độ chặt tương đối tại số vòng đầm xoay Nban đầu của từng hỗn hợp cốt liệu thử nghiệm HH1, HH2 và HH3 khi độ rỗng dư được hiệu chỉnh về 4% tại số vòng đầm xoay Nthiết kế:
| Hỗn hợp cốt liệu thử nghiệm | Gmb | Gmm | hd (mm) | hi (mm) | ΔVa,% | %Gmm@Nban đầu |
| HH1 | 2,459 | 2,563 | 115,8 | 127,6 | -0,06 | 87,16 |
| HH2 | 2,446 | 2,565 | 116,6 | 129,8 | -0,66 | 86,27 |
| HH3 | 2,437 | 2,568 | 116,4 | 127,3 | -1,10 | 87,91 |
C.2.4.7 Hàm lượng nhựa có hiệu dự tính Pbe,est và tỷ trọng có hiệu của cốt liệu Gse của từng hỗn hợp cốt liệu thử nghiệm HH1, HH2 và HH3 khi độ rỗng dư được hiệu chỉnh về 4% tại số vòng đầm xoay Nthiết kế:
| Hỗn hợp cốt liệu thử nghiệm | Gb | Pb; Pb,est | Gsb | Ps | Gmm | Gse | Pbe,est |
| HH1 | 1,02 | 4,51 | 2,699 | 95,5 | 2,563 | 2,760 | 3,71 |
| HH2 | 1,02 | 4,79 | 2,697 | 95,2 | 2,565 | 2,776 | 3,75 |
| HH3 | 1,02 | 4,90 | 2,701 | 95,1 | 2,568 | 2,786 | 3,80 |
C.2.4.8 Tỷ số P0,075/Pbe hay tỷ lệ D/B (Dust to Binder Ratio)
| Hỗn hợp cốt liệu thử nghiệm | P0,075 | Pbe | P0,075/Pbe |
| HH1 | 3,1 | 3,71 | 0,8 |
| HH2 | 2,9 | 3,75 | 0,8 |
| HH3 | 3,5 | 3,80 | 0,9 |
C.2.5 Lựa chọn cấp phối cốt liệu thiết kế
C.2.5.1 Tổng hợp các đặc tính thể tích và đầm nén của từng từng hỗn hợp cốt liệu thử nghiệm HH1, HH2 và HH3 khi độ rỗng dư được hiệu chỉnh về 4% tại số vòng đầm xoay Nthiết kế (Bảng C.15)
Bảng C.15 - Đặc tính thể tích và độ chặt đầm nén tương đối dự tính của các hỗn hợp cốt liệu thử nghiệm HH1, HH2 và HH3
| Hỗn hợp cốt liệu thử nghiệm | Va, % | VMA, % | VFA, % | P0,075/Pbe | %Gmm@Nban đầu |
| HH1 | 4,0 | 12,97 | 69,15 | 0,8 | 87,16 |
| HH2 | 4,0 | 13,29 | 69,90 | 0,8 | 86,27 |
| HH3 | 4,0 | 13,57 | 70,52 | 0,9 | 87,91 |
C.2.5.2 Yêu cầu kỹ thuật đối với hỗn hợp BTNC19 thiết kế theo đặc tính thể tích Superpave có ESALs bằng 18 triệu:
Bảng C.16 - Yêu cầu kỹ thuật của BTNC19 thiết kế theo đặc tính thể tích Superpave
| ESALs thiết kế, triệu | VMA, % | VFA, % | P0,075/Pbe | %Gmm@Nban đầu |
| 10 tới < 30 | ≥ 13,0 | 65-75 | 0,6-1,2 | ≤ 89,0 |
C.2.5.3 So sánh các đặc tính thể tích và độ chặt đầm nén tương đối của các hỗn hợp cốt liệu thử nghiệm HH1, HH2 và HH3 (Bảng C.15) với yêu cầu kỹ thuật của BTNC19 thiết kế theo đặc tính thể tích Superpave nhận thấy:
- Hỗn hợp cốt liệu thử nghiệm HH1 không đảm bảo yêu cầu kỹ thuật vì VMA của HH1 bằng 12.97 % nhỏ hơn giá trị nhỏ nhất là 13%.
- Lựa chọn cấp phối cốt liệu thiết kế là sự lựa chọn dựa trên sự phù hợp các đặc tính thể tích và độ chặt đàm nén so với các yêu cầu kỹ thuật của Superpave. So sánh các giá trị tại Bảng C.15 và C.16, có thể lựa chọn hỗn hợp cốt liệu thử nghiệm HH3 làm cấp phối cốt liệu thiết kế có các chỉ tiêu kỹ thuật như sau (Bảng C.17):
Bảng C.17 - Chỉ tỉêu kỹ thuật của cấp phối cốt liệu thiết kế HH3
| Cấp phối cốt liệu thiết kế | Pb, % | Va,% | VMA, % | VFA, % | P0,075/Pbe | %Gmm@Nban đầu |
| HH3 | 4,9 | 4,0 | 13,57 | 70,52 | 0,9 | 87,91 |
C.3 Lựa chọn hàm lượng nhựa thiết kế
C.3.1 Để lựa chọn được hàm lượng nhựa thiết kế, chế bị ít nhất đối với từng hàm lượng nhựa trình bày tại Bảng C.18 02 mẫu hỗn hợp bê tông nhựa để đầm bằng thiết bị đầm xoay và 02 mẫu hỗn hợp bê tông nhựa ở trạng thái rời để xác định tỷ trọng lớn nhất Gmm.
Bảng C.18 - Hàm lượng nhựa sử dụng để xác định hàm lượng nhựa thiết kế
| Pb, % | 4,90 |
| Pb +0,5, % | 5,40 |
| Pb -0,5, % | 4,40 |
| Pb +1 ,% | 5,90 |
Trong đó:
Pb = 4.9 % là hàm lượng nhựa của cấp phối cốt liệu thiết kế được lựa chọn HH3 (Bảng C.17
C.3.2 Tiến hành đầm các mẫu hỗn hợp bê tông nhựa ứng với từng hàm lượng nhựa thiết kế quy định tại Bảng C.18 bằng thiết bị đầm xoay với quy trình như đã nêu tại C.2.3 cho từng hô. Bảng C.19 đến Bảng C.22 và Hình C.4 trình bày kết quả đầm nén của mẫu hỗn hợp bê tông nhựa có cấp phối cốt liệu thiết kế HH3 ứng với hàm lượng nhựa 4,4%, 4,9%, 5,4% và 5,9 %.
Bảng C.19 - Dữ liệu đầm xoay của hỗn hợp bê tông nhựa có cấp phối cốt liệu thiết kế HH3 ứng với hàm lượng nhựa 4.4%
| Số vòng đầm xoay | Mẫu 1 | Mẫu 2 | Trung bình | |||
| hx, mm | %Gmm | hx, mm | %Gmm | %Gmm | hx, mm | |
| 5 | 131,3 | 83,9 | 131 | 84,7 | 84,3 | 131,2 |
| 8 | 129 | 85,4 | 128,8 | 86,1 | 85,7 | 128,9 |
| 10 | 127,5 | 86,4 | 127,4 | 87,1 | 86,7 | 127,5 |
| 15 | 125,4 | 87,8 | 125,5 | 88,4 | 88,1 | 125,5 |
| 20 | 124 | 88,8 | 124,2 | 89,3 | 89,1 | 124,1 |
| 30 | 122,1 | 90,2 | 122,4 | 90,6 | 90,4 | 122,3 |
| 40 | 120,9 | 91,1 | 121,1 | 91,6 | 91,3 | 121,0 |
| 50 | 119,9 | 91,8 | 120,1 | 92,4 | 92,1 | 120,0 |
| 60 | 119,1 | 92,5 | 119,4 | 92,9 | 92,7 | 119,3 |
| 80 | 117,9 | 93,4 | 118,3 | 93,8 | 93,6 | 118,1 |
| 100 | 117 | 94,1 | 117,4 | 94,5 | 94,3 | 117,2 |
| Gmb | 2,430 |
| 2,44 |
| 2,435 |
|
| Gmm | 2,582 |
| 2,582 |
| 2,582 |
|
Bảng C.20 - Dữ liệu đầm xoay của hỗn hợp bê tông nhựa có cấp phối cốt liệu thiết kế HH3 ứng với hàm lượng nhựa 4.9%
| Số vòng đầm xoay | Mẫu 1 | Mẫu 2 | Trung bình | |||
| hx, mm | %Gmm | hx, mm | %Gmm | %Gmm | hx, mm | |
| 5 | 130,4 | 85,8 | 130,8 | 85,5 | 85,6 | 130,6 |
| 8 | 128,2 | 87,3 | 128,8 | 86,8 | 87,0 | 128,5 |
| 10 | 126,8 | 88,2 | 127,4 | 87,8 | 88,0 | 127,1 |
| 15 | 124,8 | 89,6 | 125,5 | 89,1 | 89,4 | 125,2 |
| 20 | 123,5 | 90,6 | 124,1 | 90,1 | 90,3 | 123,8 |
| 30 | 121,5 | 92,1 | 122,1 | 91,6 | 91,8 | 121,8 |
| 40 | 120,3 | 93,0 | 120,8 | 92,6 | 92,8 | 120,6 |
| 50 | 119,3 | 93,8 | 119,9 | 93,3 | 93,5 | 119,6 |
| 60 | 118,5 | 94,4 | 119 | 94,0 | 94,2 | 118,8 |
| 80 | 117,2 | 95,4 | 117,9 | 94,9 | 95,2 | 117,6 |
| 100 | 116,4 | 96,1 | 117 | 95,6 | 95,8 | 116,7 |
| Gmb | 2,462 |
| 2,449 |
| 2,456 |
|
| Gmm | 2,562 |
| 2,562 |
| 2,562 |
|
Bảng C.21 - Dữ liệu đầm xoay của hỗn hợp bê tông nhựa có cấp phối cốt liệu thiết kế HH3 ứng với hàm lượng nhựa 5.4%
| Số vòng đầm xoay | Mẫu 1 | Mẫu 2 | Trung bình | |||
| hx, mm | %Gmm | hx, mm | %Gmm | %Gmm | hx, mm | |
| 5 | 132 | 86,0 | 132,6 | 85,8 | 85,9 | 132,3 |
| 8 | 129,8 | 87,5 | 130,4 | 87,3 | 87,4 | 130,1 |
| 10 | 128,3 | 88,5 | 128,9 | 88,3 | 88,4 | 128,6 |
| 15 | 126,2 | 90,0 | 126,7 | 89,8 | 89,9 | 126,5 |
| 20 | 124,8 | 91,0 | 125,2 | 90,9 | 90,9 | 125,0 |
| 30 | 122,8 | 92,5 | 123,2 | 92,4 | 92,4 | 123,0 |
| 40 | 121,4 | 93,5 | 121,7 | 93,5 | 93,5 | 121,6 |
| 50 | 120,3 | 94,4 | 120,7 | 94,3 | 94,3 | 120,5 |
| 60 | 119,5 | 95,0 | 119,9 | 94,9 | 95,0 | 119,7 |
| 80 | 118,2 | 96,1 | 118,6 | 96,0 | 96,0 | 118,4 |
| 100 | 117,3 | 96,8 | 117,7 | 96,7 | 96,8 | 117,5 |
| Gmb | 2,461 |
| 2,458 |
| 2,460 |
|
| Gmm | 2,542 |
| 2,542 |
| 2,542 |
|
Bảng C.22 - Dữ liệu đầm xoay của hỗn hợp bê tông nhựa có cấp phối cốt liệu thiết kế HH3 ứng với hàm lượng nhựa 5.9%
| Số vòng đầm xoay | Mẫu 1 | Mẫu 2 | Trung bình | |||
| hx, mm | %Gmm | hx, mm | %Gmm | %Gmm | hx, mm | |
| 5 | 130,4 | 87,4 | 131,5 | 87,1 | 87,3 | 131,0 |
| 8 | 128,6 | 88,6 | 129,4 | 88,6 | 88,6 | 129,0 |
| 10 | 127,4 | 89,5 | 128 | 89,5 | 89,5 | 127,7 |
| 15 | 125,4 | 90,9 | 126,2 | 90,8 | 90,8 | 125,8 |
| 20 | 124 | 91,9 | 124,9 | 91,8 | 91,8 | 124,5 |
| 30 | 122,4 | 93,1 | 123,1 | 93,1 | 93,1 | 122,8 |
| 40 | 120,5 | 94,6 | 121,3 | 94,5 | 94,5 | 120,9 |
| 50 | 119,4 | 95,5 | 120,2 | 95,3 | 95,4 | 119,8 |
| 60 | 118,9 | 95,9 | 119,5 | 95,9 | 95,9 | 119,2 |
| 80 | 117,6 | 96,9 | 118,2 | 97,0 | 96,9 | 117,9 |
| 100 | 116,7 | 97,7 | 117,2 | 97,8 | 97,7 | 117,0 |
| Gmb | 2,464 |
| 2,467 |
| 2,466 |
|
| Gmm | 2,523 |
| 2,523 |
| 2,523 |
|

Hình C.4- Độ chặt tương đối % Gmm@Nx hỗn hợp bê tông nhựa của cấp phối cốt liệu thiết kế HH3 ứng với các hàm lượng nhựa khác nhau
C.3.3 Tổng hợp các đặc tính thể tích và độ chặt đầm nén tương đối tại số vòng xoay ban đầu và thiết kế của hỗn hợp bê tông nhựa có cấp phối cốt liệu thiết kế HH3 ứng với các hàm lượng nhựa thiết kế khác nhau (Bảng C.23).
Bảng C.23 - Đặc tính thể tích và độ chặt đầm nén tương đối của hỗn hợp bê tông nhựa có cấp phối cốt liệu thiết kế HH3 theo các hàm lượng thiết kế khác nhau
| Cấp phối cốt liệu thiết kế | Pb,% | %Gmm@Nban đầu | %Gmm@Nthiết kế | Va, % | VMA, % | VFA, % | P0,075/Pbe |
| HH3 | 4,40 | 85,7 | 94,3 | 5,7 | 13,8 | 58,8 | 1,0 |
| 4,90 | 87,0 | 95,8 | 4,2 | 13,5 | 69,3 | 0,8 | |
| 5,40 | 87,4 | 96,8 | 3,2 | 13,8 | 76,6 | 0,7 | |
| 5,90 | 88,6 | 97,7 | 2,3 | 14,1 | 83,8 | 0,7 |
C.3.4 Căn cứ Bảng C.23, vẽ các biểu đồ quan hệ giữa các đặc tính độ chặt đầm nén tương đối và thể tích của hỗn hợp bê tông nhựa với hàm lượng nhựa (Hình C.5).
C.3.5 Từ các biểu đồ nêu trên, để độ rỗng dư Va = 4% thì hàm lượng nhựa thiết kế tại số vòng đầm xoay Nthiết kế là 5%. Sau khi xác định được hàm lượng nhựa thiết kế, dựa vào các biểu đã vẽ tra ngược lại tìm ra các đặc tính của hỗn hợp bê tông nhựa thiết kế (Bảng C.24).
Bảng C.24 - Các đặc tính thể tích và độ chặt tương đối của hỗn hợp bê tông nhựa được thiết kế
| Chỉ tiêu kỹ thuật | Kết quả | YCKT |
| Cấp phối cốt liệu thiết kế | HH3 | Đạt |
| Va,% | 4 | 4 |
| VMA, % | 13,6 | ≥ 13 |
| VFA, % | 70,7 | 65-75 |
| P0,075/Pbe | 0,8 | 0,6-1,2 |
| % Gmm@Nban đầu % | 87,1 | ≤ 89,0 |

Hình C.5 - Biểu đồ quan hệ giữa các đặc tính thể tích và độ chặt đầm nén tương đối của hỗn hợp BTN với hàm lượng nhựa.
C.3.6 Kiểm tra độ chặt tương đối tại số vòng đầm xoay lớn nhất, %Gmm@Nmax
C.3.6.1 Sau khi lựa chọn được hỗn hợp cốt liệu HH3 làm cấp phối cốt liệu thiết kế (bộ khung cốt liệu) và lựa chọn được hàm lượng nhựa thiết kế là 5% tiến hành 02 mẫu hỗn hợp bê tông nhựa để đầm bằng thiết bị đầm xoay tới số vòng đầm xoay lớn nhất Nmax = 160 và 02 mẫu hỗn hợp bê tông nhựa ở trạng thái rời để xác định tỷ trọng lớn nhất Gmm. Dữ liệu đầm nén được trình bày tại Bảng C.25 dưới đây:
Bảng C.25 - Dữ liệu đầm nén của hỗn hợp bê tông nhựa có bộ khung cốt liệu HH3 và hàm lượng nhựa thiết kế 4.9%
| Số vòng đầm xoay | Mẫu 1 | Mẫu 2 | Trung bình | |||
| hx, mm | % Gmm | hx, mm | % Gmm | hx, mm | %Gmm | |
| 5 | 130,4 | 85,8 | 130,8 | 85,7 | 85,7 | 130,6 |
| 8 | 128,2 | 87,3 | 128,8 | 87,0 | 87,1 | 128,5 |
| 10 | 126,8 | 88,2 | 127,4 | 88,0 | 88,1 | 127,1 |
| 15 | 124,8 | 89,6 | 125,5 | 89,3 | 89,5 | 125,2 |
| 20 | 123,5 | 90,6 | 124,1 | 90,3 | 90,5 | 123,8 |
| 30 | 121,5 | 92,1 | 122,1 | 91,8 | 91,9 | 121,8 |
| 40 | 120,3 | 93,0 | 120,8 | 92,8 | 92,9 | 120,6 |
| 50 | 119,3 | 93,8 | 119,9 | 93,5 | 93,6 | 119,6 |
| 60 | 118,5 | 94,4 | 119 | 94,2 | 94,3 | 118,8 |
| 80 | 117,2 | 95,4 | 117,2 | 95,7 | 95,6 | 117,2 |
| 100 | 116,4 | 96,1 | 117 | 95,8 | 96,0 | 116,7 |
| 125 | 115,6 | 96,8 | 116,2 | 96,5 | 96,6 | 115,9 |
| 150 | 115 | 97,3 | 115,5 | 97,1 | 97,2 | 115,3 |
| 160 | 114,5 | 97,7 | 115 | 97,5 | 97,6 | 114,8 |
| Gmb | 2,495 |
| 2,49 |
| 2,493 |
|
| Gmm | 2,554 |
| 2,554 |
| 2,554 |
|
C.3.6.2 Kiểm tra tại số vòng đầm xoay lớn nhất Nmax = 160 thì độ chặt tương đối %Gmm@Nmax = 97.6% nhỏ hơn yêu cầu kỹ thuật là 98%. Do vậy, hỗn hợp bê tông nhựa có các chỉ tiêu kỹ thuật trình bày tại Bảng C.24 thỏa mãn các yêu cầu kỹ thuật quy định bởi phương pháp thiết kế BTN theo các đặc tính thể tích Superpave.
C.4 Đánh giá khả năng kháng ẩm
Chế bị ít nhất 6 mẫu chia thành 02 tổ mẫu, mỗi tổ gồm 03 mẫu. Một tổ mẫu được sử dụng làm đối chứng, tổ mẫu còn lại được ngâm trong nước bão hòa chịu chu trình đóng băng và tan băng trong 24 h ở nhiệt độ 60°C.
Quy trình đúc mẫu như sau:
- Mẫu được đúc trên cơ sở cấp phối cốt liệu được lựa chọn tại hàm lượng nhựa thiết kế của các bước ở trên.
- Sau khi hỗn hợp bê tông nhựa được trộn đều sẽ được đặt vào khay và được để nguội trong không khí trong khoảng 02 ± 0.5 h. Sau đó mẫu được đặt vào tủ sấy ở nhiệt độ 60 ± 3 °C để bảo dưỡng trong vòng 16 ± 1 h.
- Sau thời gian bảo dưỡng, đặt mẫu vào tủ sấy ở nhiệt độ đầm ± 3 °C trong khoảng 2 h ± 10 min trước khi đầm. Sau đó đầm hỗn hợp bằng đầm xoay tuân thủ theo quy định của TCVN 12817:2019. Mẫu sẽ được đầm đến độ rỗng dư 7 ± 0,5 %.
Sau khi đúc và ủ mẫu, các mẫu sẽ được đem ra thực hiện thí nghiệm xác định cường độ kéo khi ép chẻ tuân thủ các quy định của AASHTO T283. Bảng C.26 dưới đây trình bày kết quả thí nghiệm để xác định khả năng kháng ẩm của hỗn hợp bê tông nhựa.
Bảng C.26 - Kết quả thí nghiệm xác định khả năng kháng ẩm của hỗn hợp cốt liệu 3 tại hàm lượng nhựa thiết kế 4,9 %.
| Mẫu | 1 | 2 | 3 | 4 | 5 | 6 | |
| Đường kính, mm | D | 150,0 | 150,0 | 150,0 | 150,0 | 150,0 | 150,0 |
| Chiều dầy, mm | t | 99,2 | 99,4 | 99,4 | 99,3 | 99,2 | 99,3 |
| Khối lượng mẫu khô, g | A | 3986,2 | 3981,3 | 3984,6 | 3990,6 | 3987,8 | 3984,4 |
| Khối lượng mẫu bão hòa khô bề mặt, g | B | 4009,4 | 4000,6 | 4008,3 | 4017,7 | 4013,9 | 4008,6 |
| Khối lượng cân trong nước, g | C | 2329,3 | 2321,2 | 2329,0 | 2336,0 | 2331,5 | 2329,0 |
| Thể tích, ml (B'-C') | E | 1680,1 | 1679,4 | 1679,3 | 1681,7 | 1682,4 | 1679,6 |
| Tỉ trọng khối (A/E) | F | 2,373 | 2,371 | 2,373 | 2,373 | 2,370 | 2,372 |
| Tỉ trọng lớn nhất | G | 2,558 | 2,558 | 2,558 | 2,558 | 2,558 | 2,558 |
| Độ rỗng dư Va, % (100(G-F)/G) | H | 7,2 | 7,3 | 7,2 | 7,2 | 7,3 | 7,3 |
| Thể tích lỗ rỗng (HE/100) | I | 121,8 | 123,0 | 121,6 | 121,7 | 123,4 | 122,0 |
| Tải trọng tác dụng, N | P |
|
|
| 20803 | 20065 | 20354 |
| Khi mẫu bão hòa |
| ||||||
| Khối lượng mẫu bão hòa khô bề mặt, g | B’ | 4060,9 | 4058,7 | 4059,1 |
|
|
|
| Khối lượng cân trong nước, g | C’ | 2369,4 | 2373,9 | 2372,8 |
|
|
|
| Thể tích, ml (B’-C’) | E’ | 1691,5 | 1684,8 | 1686,3 |
|
|
|
| Thể tích nước hấp thụ, ml (B’-A) | J' | 74,7 | 77,4 | 74,5 |
|
|
|
| Độ bão hòa, % (100J/I) | 61,3 | 62,9 | 61,3 |
|
|
| |
| Độ trương nở, % (100 (E-E’)/E) | 0,7 | 0,3 | 0,4 |
|
|
| |
| Mẫu trong điều kiện đóng băng -tan băng |
| ||||||
| Chiều dầy, mm | t" | 99,5 | 99,4 | 99,4 |
|
|
|
| Khối lượng mẫu bão hòa khô bề mặt, g | B” | 4070,8 | 4074,9 | 4074,8 |
|
|
|
| Khối lượng cân trong nước, g | C” | 2373,7 | 2380,3 | 2379,0 |
|
|
|
| Thể tích, ml (B”-C”) | E” | 1697,1 | 1694,6 | 1695,8 |
|
|
|
| Thể tích nước hấp thụ, ml (B”-A) | J” | 84,6 | 93,6 | 90,2 |
|
|
|
| Độ bão hòa, % (100J'/I) | 69,5 | 76,1 | 74,2 |
|
|
| |
| Độ trương nở, % (100 (E-E')/E) | 1,0 | 0,9 | 1,0 |
|
|
| |
| Tải trọng tác dụng, N | P" | 16720 | 16484 | 17441 |
|
|
|
| Cường độ ép chẻ khô (2000P/(tDp)) | Std |
|
|
| 889 | 858 | 870 |
| Cường độ ép chẻ ướt (2000P”/(t”Dp)) | Stm | 713 | 704 | 745 |
|
|
|
Như vậy:
- Cường độ ép chẻ khi khô trung bình (kPa) : 872
- Cường độ ép chẻ khi ướt trung bình (kPa) : 721
→ % TSR : 82.6%
Tỉ số TSR nhỏ nhất theo quy định của Superpave là 80%. Do vậy, hỗn hợp bê tông nhựa thiết kế sử dụng cấp phối cốt liệu 3 với hàm lượng nhựa thiết kế là 4.9 % thỏa mãn điều kiện về khả năng kháng ẩm.
Bạn chưa Đăng nhập thành viên.
Đây là tiện ích dành cho tài khoản thành viên. Vui lòng Đăng nhập để xem chi tiết. Nếu chưa có tài khoản, vui lòng Đăng ký tại đây!