Danh mục
|
Tổng đài trực tuyến 19006192
|
|
Mục lục
  • Tổng quan
  • Nội dung
  • VB gốc
  • Tiếng Anh
  • Hiệu lực
  • VB liên quan
  • Lược đồ
  • Nội dung hợp nhất 

    Tính năng này chỉ có tại LuatVietnam.vn. Nội dung hợp nhất tổng hợp lại tất cả các quy định còn hiệu lực của văn bản gốc và các văn bản sửa đổi, bổ sung, đính chính... trên một trang. Việc hợp nhất văn bản gốc và những văn bản, Thông tư, Nghị định hướng dẫn khác không làm thay đổi thứ tự điều khoản, nội dung.

    Khách hàng chỉ cần xem Nội dung hợp nhất là có thể nắm bắt toàn bộ quy định hiện hành đang áp dụng, cho dù văn bản gốc đã qua nhiều lần chỉnh sửa, bổ sung.

    =>> Xem hướng dẫn chi tiết cách sử dụng Nội dung hợp nhất

  • Tải về
Mục lục
Lưu
Đây là tiện ích dành cho tài khoản Tiêu chuẩn hoặc Nâng cao Vui lòng Đăng nhập tài khoản để xem chi tiết.
Theo dõi VB
Đây là tiện ích dành cho tài khoản Tiêu chuẩn hoặc Nâng cao Vui lòng Đăng nhập tài khoản để xem chi tiết.
Ghi chú
Báo lỗi
In

Quyết định 1039/QĐ-UBND thủ tục hành chính của Sở Công Thương Sơn La

Cơ quan ban hành: Ủy ban nhân dân tỉnh Sơn La
Số công báo:
Số công báo là mã số ấn phẩm được đăng chính thức trên ấn phẩm thông tin của Nhà nước. Mã số này do Chính phủ thống nhất quản lý.
Đang cập nhật
Số hiệu: 1039/QĐ-UBND Ngày đăng công báo: Đang cập nhật
Loại văn bản: Quyết định Người ký: Hoàng Quốc Khánh
Ngày ban hành:
Ngày ban hành là ngày, tháng, năm văn bản được thông qua hoặc ký ban hành.
28/05/2021
Ngày hết hiệu lực:
Ngày hết hiệu lực là ngày, tháng, năm văn bản chính thức không còn hiệu lực (áp dụng).
Đang cập nhật
Áp dụng:
Ngày áp dụng là ngày, tháng, năm văn bản chính thức có hiệu lực (áp dụng).
Đã biết
Tiện ích dành cho tài khoản Tiêu chuẩn hoặc Nâng cao. Vui lòng Đăng nhập tài khoản để xem chi tiết.
Tình trạng hiệu lực:
Cho biết trạng thái hiệu lực của văn bản đang tra cứu: Chưa áp dụng, Còn hiệu lực, Hết hiệu lực, Hết hiệu lực 1 phần; Đã sửa đổi, Đính chính hay Không còn phù hợp,...
Đã biết
Tiện ích dành cho tài khoản Tiêu chuẩn hoặc Nâng cao. Vui lòng Đăng nhập tài khoản để xem chi tiết.
Lĩnh vực: Công nghiệp, Hành chính, Thương mại-Quảng cáo

TÓM TẮT QUYẾT ĐỊNH 1039/QĐ-UBND

Nội dung tóm tắt đang được cập nhật, Quý khách vui lòng quay lại sau!

Tải Quyết định 1039/QĐ-UBND

Tải văn bản tiếng Việt (.pdf) Quyết định 1039/QĐ-UBND PDF (Bản có dấu đỏ)

Đây là tiện ích dành cho tài khoản thành viên. Vui lòng Đăng nhập để xem chi tiết. Nếu chưa có tài khoản, Đăng ký tại đây!

Tải văn bản tiếng Việt (.doc) Quyết định 1039/QĐ-UBND DOC (Bản Word)

Đây là tiện ích dành cho tài khoản thành viên. Vui lòng Đăng nhập để xem chi tiết. Nếu chưa có tài khoản, Đăng ký tại đây!

Tình trạng hiệu lực: Đã biết
bgdocquyen
Hiệu lực: Đã biết
Tình trạng hiệu lực: Đã biết

ỦY BAN NHÂN DÂN
TỈNH SƠN LA
_________

Số: 1039/QĐ-UBND

CỘNG HÒA XÃ HỘI CHỦ NGHĨA VIỆT NAM
Độc lập - Tự do - Hạnh phúc
________________________

Sơn La, ngày 28 tháng 5 năm 2021

QUYẾT ĐỊNH

Về việc công bố Danh mục thủ tục hành chính thuộc phạm vi chức năng quản lý nhà nước của Sở Công Thương

_____________

CHỦ TỊCH ỦY BAN NHÂN DÂN TỈNH

Căn cứ Luật Tổ chức chính quyền địa phương năm 2015;

Căn cứ Nghị định số 63/2010/NĐ-CP ngày 08/6/2010 của Chính phủ về kiểm soát thủ tục hành chính; Nghị định số 92/2017/NĐ-CP ngày 07/8/2017 của Chính phủ sửa đổi, bổ sung một số điều của các nghị định liên quan đến kiểm soát thủ tục hành chính;

Căn cứ Thông tư số 02/2017/TT-VPCP ngày 31/10/2017 của Bộ trưởng, Chủ nhiệm Văn phòng Chính phủ hướng dẫn về nghiệp vụ kiểm soát thủ tục hành chính;

Theo đề nghị của Giám đốc Sở Công Thương tại Tờ trình số 79/TTr-SCT ngày 27 tháng 5 năm 2021.

QUYẾT ĐỊNH:

Điều 1. Công bố kèm theo Quyết định này 146 danh mục thủ tục hành chính thuộc phạm vi chức năng quản lý Nhà nước của Sở Công Thương, trong đó: 129 danh mục thủ tục hành chính thuộc thẩm quyền giải quyết cấp tỉnh; 15 danh mục thủ tục hành chính thuộc thẩm quyền giải quyết cấp huyện, thành phố; 02 danh mục thủ tục hành chính thuộc thẩm quyền giải quyết cấp xã.

(Có danh mục kèm theo).

Đang theo dõi

Điều 2. Quyết định này có hiệu lực thi hành kể từ ngày ký và thay thế Quyết định số 1000/QĐ-UBND ngày 18/5/2020 của Chủ tịch Ủy ban nhân dân tỉnh; Quyết định số 2314/QĐ-UBND ngày 22/10/2020 của Chủ tịch UBND tỉnh về việc công bố danh mục thủ tục hành chính (Lĩnh vực điện) thuộc phạm vi chức năng quản lý nhà nước của Sở Công Thương.

Đang theo dõi

Điều 3. Chánh Văn phòng Ủy ban nhân dân tỉnh; Giám đốc Sở Công Thương; Thủ trưởng các sở, ban, ngành; Chủ tịch UBND các huyện, thành phố; Chủ tịch UBND các xã, phường, thị trấn và các tổ chức, cá nhân có liên quan chịu trách nhiệm thi hành Quyết định này./.

Đang theo dõi

Nơi nhận:
- Cục KSTTHC, Văn phòng Chính phủ;
- Thường trực tỉnh ủy;
- Thường trực HĐND tỉnh;
- Chủ tịch UBND tỉnh;
- Các Phó Chủ tịch UBND tỉnh;
- Trung tâm Thông tin;
- Như Điều 3;
- Lưu: VT, KSTTHC, N(15b).

CHỦ TỊCH







Hoàng Quốc Khánh

DANH MỤC THỦ TỤC HÀNH CHÍNH

THẨM QUYỀN GIẢI QUYẾT CỦA CẤP TỈNH; CẤP HUYỆN, THÀNH PHÓ VÀ CẤP XÃ

(Ban hành kèm theo Quyết định số 1039/QĐ-UBND ngày 28 tháng 5 năm 2021 của Chủ tịch UBND tỉnh Sơn La)

______________

Đang theo dõi

A. CẤP TỈNH: 129 danh mục thủ tục hành chính (TTHC)

STT

Tên thủ tục hành chính

Thời gian giải quyết

Địa điểm thực hiện

Cách thức thực hiện

Phí, lệ phí (đồng)

Căn cứ pháp lý

Đang theo dõi

I. LĨNH VỰC ĐIỆN LỰC: 13 TTHC

Đang theo dõi

Các thủ tục hành chính có số thứ tự 01, 02, 03, 04, 05, 06, 07, 08 tại Mục I (Lĩnh vực điện lực), Phần A Quyết định số 1039/QĐ-UBND ngày 28/5/2021 của Chủ tịch UBND tỉnh Sơn La được sửa đổi, bổ sung bởi Phụ lục 1 ban hành kèm theo Quyết định số 699/QĐ-UBND ngày 22 tháng 4 năm 2022 của Chủ tịch UBND tỉnh Sơn La theo quy định tại Điều 1.

Đang theo dõi

1

Cấp Giấy phép hoạt động tư vấn chuyên ngành điện thuộc thẩm quyền của địa phương

12 ngày làm việc kể từ ngày nhận được hồ sơ hợp lệ.

Bộ phận tiếp nhận và trả kết quả của Sở Công Thương tại Trung tâm phục vụ hành chính công tỉnh

Tổ chức, cá nhân lựa chọn gửi hồ sơ, thủ tục hành chính (bao gồm cả nhận kết quả giải quyết) trong những cách thức sau:

- Trực tiếp;

- Qua dịch vụ bưu chính;

Dịch vụ công trực tuyến.

800.000 đồng/giấy phép

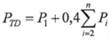
Trường hợp tổ chức, cá nhân khi nộp hồ sơ đề nghị cấp giấy phép để thực hiện từ hai lĩnh vực hoạt động điện lực trở lên, thì mức thu phí thẩm định được tính như sau:

Trong đó:

-  P1: Phí thẩm định lớn nhất của một trong các lĩnh vực hoạt động điện lực đề nghị cấp phép (được quy định tại Biểu mức thu nêu trên);

-   Pi: Phí thẩm định của các lĩnh vực hoạt động điện lực còn lại;

- 0,4: Hệ số điều chỉnh.

-  Luật Điện lực năm 2004;

-  Luật sửa đổi, bổ sung một số điều của Luật Điện lực ngày 20 tháng 11 năm 2012;

-  Nghị định số 137/2013/NĐ-CP ngày 21 tháng 10 năm 2013 của Chính phủ quy định chi tiết thi hành một số điều của Luật Điện lực và Luật sửa đổi, bổ sung một số điều của Luật Điện lực;

-  Nghị định số 08/2018/NĐ-CP ngày 15 tháng 01 năm 2018 của Chính phủ sửa đổi một số Nghị định liên quan đến điều kiện đầu tư kinh doanh thuộc phạm vi quản lý nhà nước của Bộ Công Thương;

- Nghị định số 17/2020/NĐ-CP ngày 05/02/2020 của Chính phủ sửa đổi, bổ sung một số điều của các Nghị định liên quan đến điều kiện đầu tư kinh doanh thuộc lĩnh vực quản lý nhà nước của Bộ Công Thương;

- Thông tư số 21/2020/TT-BCT ngày 09/9/2020 của Bộ Công Thương quy định về trình tự, thủ tục cấp giấy phép hoạt động điện lực;

- Thông tư số 167/2016/TT-BTC ngày 26 tháng 10 năm 2016 của Bộ Tài chính quy định mức thu, chế độ thu, nộp, quản lý và sử dụng phí thẩm định cấp giấy phép hoạt động điện lực.

2

Cấp sửa đổi, bổ sung Giấy phép hoạt động tư vấn chuyên ngành điện thuộc thẩm quyền của địa phương

07 ngày làm việc kể từ ngày nhận được hồ sơ hợp lệ.

Bộ phận tiếp nhận và trả kết quả của Sở Công Thương tại Trung tâm phục vụ hành chính công tỉnh

Tổ chức, cá nhân lựa chọn gửi hồ sơ, thủ tục hành chính (bao gồm cả nhận kết quả giải quyết) trong những cách thức sau:

- Trực tiếp;

- Qua dịch vụ bưu chính;

Dịch vụ công trực tuyến.

400.000 đồng/giấy phép

-  Luật Điện lực năm 2004;

-  Luật sửa đổi, bổ sung một số điều của Luật Điện lực ngày 20 tháng 11 năm 2012;

-  Nghị định số 137/2013/NĐ-CP ngày 21 tháng 10 năm 2013 của Chính phủ quy định chi tiết thi hành một số điều của Luật Điện lực và Luật sửa đổi, bổ sung một số điều của Luật Điện lực;

-  Nghị định số 08/2018/NĐ-CP ngày 15 tháng 01 năm 2018 của Chính phủ sửa đổi một số Nghị định liên quan đến điều kiện đầu tư kinh doanh thuộc phạm vi quản lý nhà nước của Bộ Công Thương;

- Nghị định số 17/2020/NĐ-CP ngày 05/02/2020 của Chính phủ sửa đổi, bổ sung một số điều của các Nghị định liên quan đến điều kiện đầu tư kinh doanh thuộc lĩnh vực quản lý nhà nước của Bộ Công Thương;

- Thông tư số 21/2020/TT-BCT ngày 09/9/2020 của Bộ Công Thương quy định về trình tự, thủ tục cấp giấy phép hoạt động điện lực;

- Thông tư số 167/2016/TT-BTC ngày 26 tháng 10 năm 2016 của Bộ Tài chính quy định mức thu, chế độ thu, nộp, quản lý và sử dụng phí thẩm định cấp giấy phép hoạt động điện lực.

3

Cấp Giấy phép hoạt động phát điện đối với nhà máy điện có quy mô dưới 3MW đặt tại địa phương

12 ngày làm việc tính từ ngày nhận đủ hồ sơ hợp lệ.

Bộ phận tiếp nhận và trả kết quả của Sở Công Thương tại Trung tâm phục vụ hành chính công tỉnh

Tổ chức, cá nhân lựa chọn gửi hồ sơ, thủ tục hành chính (bao gồm cả nhận kết quả giải quyết) trong những cách thức sau:

- Trực tiếp;

- Qua dịch vụ bưu chính;

Dịch vụ công trực tuyến.

2.100.000 đồng/giấy phép

Trường hợp tổ chức, cá nhân khi nộp hồ sơ đề nghị cấp giấy phép để thực hiện từ hai lĩnh vực hoạt động điện lực trở lên, thì mức thu phí thẩm định được tính như sau:

Trong đó:

- P1: Phí thẩm định lớn nhất của một trong các lĩnh vực hoạt động điện lực đề nghị cấp phép (được quy định tại Biểu mức thu nêu trên);

- Pi: Phí thẩm định của các lĩnh vực hoạt động điện lực còn lại;

- 0,4: Hệ số điều chỉnh.

-  Luật Điện lực năm 2004;

-  Luật sửa đổi, bổ sung một số điều của Luật Điện lực ngày 20 tháng 11 năm 2012;

-  Nghị định số 137/2013/NĐ-CP ngày 21 tháng 10 năm 2013 của Chính phủ quy định chi tiết thi hành một số điều của Luật Điện lực và Luật sửa đổi, bổ sung một số điều của Luật Điện lực;

-  Nghị định số 08/2018/NĐ-CP ngày 15 tháng 01 năm 2018 của Chính phủ sửa đổi một số Nghị định liên quan đến điều kiện đầu tư kinh doanh thuộc phạm vi quản lý nhà nước của Bộ Công Thương;

- Nghị định số 17/2020/NĐ-CP ngày 05/02/2020 của Chính phủ sửa đổi, bổ sung một số điều của các Nghị định liên quan đến điều kiện đầu tư kinh doanh thuộc lĩnh vực quản lý nhà nước của Bộ Công Thương;

- Thông tư số 21/2020/TT-BCT ngày 09/9/2020 của Bộ Công Thương quy định về trình tự, thủ tục cấp giấy phép hoạt động điện lực;

- Thông tư số 167/2016/TT-BTC ngày 26 tháng 10 năm 2016 của Bộ Tài chính quy định mức thu, chế độ thu, nộp, quản lý và sử dụng phí thẩm định cấp giấy phép hoạt động điện lực.

4

Cấp sửa đổi, bổ sung Giấy phép hoạt động phát điện đối với các nhà máy điện có quy mô dưới 3MW đặt tại địa phương

07 ngày làm việc tính từ ngày nhận đủ hồ sơ hợp lệ.

Bộ phận tiếp nhận và trả kết quả của Sở Công Thương tại Trung tâm phục vụ hành chính công tỉnh

Tổ chức, cá nhân lựa chọn gửi hồ sơ, thủ tục hành chính (bao gồm cả nhận kết quả giải quyết) trong những cách thức sau:

- Trực tiếp;

- Qua dịch vụ bưu chính;

Dịch vụ công trực tuyến.

1.050.000 đồng/giấy phép

-  Luật Điện lực năm 2004;

-  Luật sửa đổi, bổ sung một số điều của Luật Điện lực ngày 20 tháng 11 năm 2012;

-  Nghị định số 137/2013/NĐ-CP ngày 21 tháng 10 năm 2013 của Chính phủ quy định chi tiết thi hành một số điều của Luật Điện lực và Luật sửa đổi, bổ sung một số điều của Luật Điện lực;

-  Nghị định số 08/2018/NĐ-CP ngày 15 tháng 01 năm 2018 của Chính phủ sửa đổi một số Nghị định liên quan đến điều kiện đầu tư kinh doanh thuộc phạm vi quản lý nhà nước của Bộ Công Thương;

- Nghị định số 17/2020/NĐ-CP ngày 05/02/2020 của Chính phủ sửa đổi, bổ sung một số điều của các Nghị định liên quan đến điều kiện đầu tư kinh doanh thuộc lĩnh vực quản lý nhà nước của Bộ Công Thương;

- Thông tư số 21/2020/TT-BCT ngày 09/9/2020 của Bộ Công Thương quy định về trình tự, thủ tục cấp giấy phép hoạt động điện lực;

- Thông tư số 167/2016/TT-BTC ngày 26 tháng 10 năm 2016 của Bộ Tài chính quy định mức thu, chế độ thu, nộp, quản lý và sử dụng phí thẩm định cấp giấy phép hoạt động điện lực.

5

Cấp Giấy phép hoạt động bán lẻ điện đến cấp điện áp 0,4kV tại địa phương

12 ngày làm việc tính từ ngày nhận đủ hồ sơ hợp lệ.

Bộ phận tiếp nhận và trả kết quả của Sở Công Thương tại Trung tâm phục vụ hành chính công tỉnh

Tổ chức, cá nhân lựa chọn gửi hồ sơ, thủ tục hành chính (bao gồm cả nhận kết quả giải quyết) trong những cách thức sau:

-  Trực tiếp;

- Qua dịch vụ bưu chính.

700.000 đồng/giấy phép

Trường hợp tổ chức, cá nhân khi nộp hồ sơ đề nghị cấp giấy phép để thực hiện từ hai lĩnh vực hoạt động điện lực trở lên, thì mức thu phí thẩm định được tính như sau:

Trong đó:

- P1: Phí thẩm định lớn nhất của một trong các lĩnh vực hoạt động điện lực đề nghị cấp phép (được quy định tại Biểu mức thu nêu trên);

- Pi: Phí thẩm định của các lĩnh vực hoạt động điện lực còn lại;

- 0,4: Hệ số điều chỉnh.

-  Luật Điện lực năm 2004;

-  Luật sửa đổi, bổ sung một số điều của Luật Điện lực ngày 20 tháng 11 năm 2012;

-  Nghị định số 137/2013/NĐ-CP ngày 21 tháng 10 năm 2013 của Chính phủ quy định chi tiết thi hành một số điều của Luật Điện lực và Luật sửa đổi, bổ sung một số điều của Luật Điện lực;

-  Nghị định số 08/2018/NĐ-CP ngày 15 tháng 01 năm 2018 của Chính phủ sửa đổi một số Nghị định liên quan đến điều kiện đầu tư kinh doanh thuộc phạm vi quản lý nhà nước của Bộ Công Thương;

- Nghị định số 17/2020/NĐ-CP ngày 05/02/2020 của Chính phủ sửa đổi, bổ sung một số điều của các Nghị định liên quan đến điều kiện đầu tư kinh doanh thuộc lĩnh vực quản lý nhà nước của Bộ Công Thương;

- Thông tư số 21/2020/TT-BCT ngày 09/9/2020 của Bộ Công Thương quy định về trình tự, thủ tục cấp giấy phép hoạt động điện lực;

- Thông tư số 167/2016/TT-BTC ngày 26 tháng 10 năm 2016 của Bộ Tài chính quy định mức thu, chế độ thu, nộp, quản lý và sử dụng phí thẩm định cấp giấy phép hoạt động điện lực.

6

Cấp sửa đổi, bổ sung Giấy phép hoạt động bán lẻ điện đến cấp điện áp 0,4kV tại địa phương

07 ngày làm việc tính từ ngày nhận đủ hồ sơ hợp lệ.

Bộ phận tiếp nhận và trả kết quả của Sở Công Thương tại Trung tâm phục vụ hành chính công tỉnh

Tổ chức, cá nhân lựa chọn gửi hồ sơ, thủ tục hành chính (bao gồm cả nhận kết quả giải quyết) trong những cách thức sau:

- Trực tiếp;

- Qua dịch vụ bưu chính.

350.000 đồng/giấy phép

-  Luật Điện lực năm 2004;

-  Luật sửa đổi, bổ sung một số điều của Luật Điện lực ngày 20 tháng 11 năm 2012;

-  Nghị định số 137/2013/NĐ-CP ngày 21 tháng 10 năm 2013 của Chính phủ quy định chi tiết thi hành một số điều của Luật Điện lực và Luật sửa đổi, bổ sung một số điều của Luật Điện lực;

-  Nghị định số 08/2018/NĐ-CP ngày 15 tháng 01 năm 2018 của Chính phủ sửa đổi một số Nghị định liên quan đến điều kiện đầu tư kinh doanh thuộc phạm vi quản lý nhà nước của Bộ Công Thương;

- Nghị định số 17/2020/NĐ-CP ngày 05/02/2020 của Chính phủ sửa đổi, bổ sung một số điều của các Nghị định liên quan đến điều kiện đầu tư kinh doanh thuộc lĩnh vực quản lý nhà nước của Bộ Công Thương;

- Thông tư số 21/2020/TT-BCT ngày 09/9/2020 của Bộ Công Thương quy định về trình tự, thủ tục cấp giấy phép hoạt động điện lực;

- Thông tư số 167/2016/TT-BTC ngày 26 tháng 10 năm 2016 của Bộ Tài chính quy định mức thu, chế độ thu, nộp, quản lý và sử dụng phí thẩm định cấp giấy phép hoạt động điện lực.

7

Cấp Giấy phép hoạt động phân phối điện đến cấp điện áp 35kV tại địa phương

12 ngày làm việc tính từ ngày nhận đủ hồ sơ hợp lệ.

Bộ phận tiếp nhận và trả kết quả của Sở Công Thương tại Trung tâm phục vụ hành chính công tỉnh

Tổ chức, cá nhân lựa chọn gửi hồ sơ, thủ tục hành chính (bao gồm cả nhận kết quả giải quyết) trong những cách thức sau:

- Trực tiếp;

- Qua dịch vụ bưu chính.

800.000 đồng/giấy phép

Trường hợp tổ chức, cá nhân khi nộp hồ sơ đề nghị cấp giấy phép để thực hiện từ hai lĩnh vực hoạt động điện lực trở lên, thì mức thu phí thẩm định được tính như sau:

Trong đó:

- P1: Phí thẩm định lớn nhất của một trong các lĩnh vực hoạt động điện lực đề nghị cấp phép (được quy định tại Biểu mức thu nêu trên);

- Pi: Phí thẩm định của các lĩnh vực hoạt động điện lực còn lại;

- 0,4: Hệ số điều chỉnh.

-  Luật Điện lực năm 2004;

-  Luật sửa đổi, bổ sung một số điều của Luật Điện lực ngày 20 tháng 11 năm 2012;

-  Nghị định số 137/2013/NĐ-CP ngày 21 tháng 10 năm 2013 của Chính phủ quy định chi tiết thi hành một số điều của Luật Điện lực và Luật sửa đổi, bổ sung một số điều của Luật Điện lực;

-  Nghị định số 08/2018/NĐ-CP ngày 15 tháng 01 năm 2018 của Chính phủ sửa đổi một số Nghị định liên quan đến điều kiện đầu tư kinh doanh thuộc phạm vi quản lý nhà nước của Bộ Công Thương;

- Nghị định số 17/2020/NĐ-CP ngày 05/02/2020 của Chính phủ sửa đổi, bổ sung một số điều của các Nghị định liên quan đến điều kiện đầu tư kinh doanh thuộc lĩnh vực quản lý nhà nước của Bộ Công Thương;

- Thông tư số 21/2020/TT-BCT ngày 09/9/2020 của Bộ Công Thương quy định về trình tự, thủ tục cấp giấy phép hoạt động điện lực;

- Thông tư số 167/2016/TT-BTC ngày 26 tháng 10 năm 2016 của Bộ Tài chính quy định mức thu, chế độ thu, nộp, quản lý và sử dụng phí thẩm định cấp giấy phép hoạt động điện lực.

8

Cấp sửa đổi, bổ sung Giấy phép hoạt động phân phối điện đến cấp điện áp 35kV tại địa phương

07 ngày làm việc tính từ ngày nhận đủ hồ sơ hợp lệ.

Bộ phận tiếp nhận và trả kết quả của Sở Công Thương tại Trung tâm phục vụ hành chính công tỉnh

Tổ chức, cá nhân lựa chọn gửi hồ sơ, thủ tục hành chính (bao gồm cả nhận kết quả giải quyết) trong những cách thức sau:

-  Trực tiếp;

- Qua dịch vụ bưu chính.

 

400.000 đồng/giấy phép

-  Luật Điện lực năm 2004;

-  Luật sửa đổi, bổ sung một số điều của Luật Điện lực ngày 20 tháng 11 năm 2012;

-  Nghị định số 137/2013/NĐ-CP ngày 21 tháng 10 năm 2013 của Chính phủ quy định chi tiết thi hành một số điều của Luật Điện lực và Luật sửa đổi, bổ sung một số điều của Luật Điện lực;

-  Nghị định số 08/2018/NĐ-CP ngày 15 tháng 01 năm 2018 của Chính phủ sửa đổi một số Nghị định liên quan đến điều kiện đầu tư kinh doanh thuộc phạm vi quản lý nhà nước của Bộ Công Thương;

- Nghị định số 17/2020/NĐ-CP ngày 05/02/2020 của Chính phủ sửa đổi, bổ sung một số điều của các Nghị định liên quan đến điều kiện đầu tư kinh doanh thuộc lĩnh vực quản lý nhà nước của Bộ Công Thương;

- Thông tư số 21/2020/TT-BCT ngày 09/9/2020 của Bộ Công Thương quy định về trình tự, thủ tục cấp giấy phép hoạt động điện lực;

- Thông tư số 167/2016/TT-BTC ngày 26 tháng 10 năm 2016 của Bộ Tài chính quy định mức thu, chế độ thu, nộp, quản lý và sử dụng phí thẩm định cấp giấy phép hoạt động điện lực.

Đang theo dõi

9

Huấn luyện và cấp mới thẻ an toàn điện

08 ngày làm việc kể từ ngày nhận được hồ sơ hợp lệ

Bộ phận tiếp nhận và trả kết quả của Sở Công Thương tại Trung tâm Phục vụ hành chính công tỉnh

Tổ chức, cá nhân lựa chọn gửi hồ sơ, thủ tục hành chính (bao gồm cả nhận kết quả giải quyết) trong những cách thức sau:

-  Trực tiếp;

- Qua dịch vụ bưu chính.

 

Không

- Luật Điện lực năm 2004;

- Luật sửa đổi, bổ sung một số điều của Luật Điện lực ngày 20 tháng 11 năm 2012;

-  Nghị định số 14/2014/NĐ-CP ngày 26 tháng 02 năm 2014 của Chính phủ quy định chi tiết thi hành Luật Điện lực;

- Thông tư số 31/2014/TT-BCT ngày 02 tháng 10 năm 2014 của Bộ trưởng Bộ Công Thương quy định chi tiết một số nội dung về an toàn điện.

10

Cấp lại thẻ an toàn điện

05 ngày làm việc kể từ ngày nhận được hồ sơ hợp lệ

Bộ phận tiếp nhận và trả kết quả của Sở Công Thương tại Trung tâm Phục vụ hành chính công tỉnh

Tổ chức, cá nhân lựa chọn gửi hồ sơ, thủ tục hành chính (bao gồm cả nhận kết quả giải quyết) trong những cách thức sau:

- Trực tiếp;

- Qua dịch vụ bưu chính.

 

Không

-  Luật Điện lực năm 2004;

-  Luật sửa đổi, bổ sung một số điều của Luật Điện lực ngày 20 tháng 11 năm 2012;

-  Nghị định số 14/2014/NĐ-CP ngày 26 tháng 02 năm 2014 của Chính phủ quy định chi tiết thi hành Luật Điện lực;

-  Thông tư số 31/2014/TT-BCT ngày 02 tháng 10 năm 2014 của Bộ trưởng Bộ Công Thương quy định chi tiết một số nội dung về an toàn điện.

11

Huấn luyện và cấp sửa đổi bổ sung thẻ an toàn điện

10 ngày làm việc kể từ ngày nhận được hồ sơ hợp lệ

Bộ phận tiếp nhận và trả kết quả của Sở Công Thương tại Trung tâm Phục vụ hành chính công tỉnh

Tổ chức, cá nhân lựa chọn gửi hồ sơ, thủ tục hành chính (bao gồm cả nhận kết quả giải quyết) trong những cách thức sau:

- Trực tiếp;

- Qua dịch vụ bưu chính.

 

Không

-  Luật sửa đổi, bổ sung một số điều của Luật Điện lực ngày 20 tháng 11 năm 2012;

-  Nghị định số 14/2014/NĐ-CP ngày 26 tháng 02 năm 2014 của Chính phủ quy định chi tiết thi hành Luật Điện lực;

- Thông tư số 31/2014/TT-BCT ngày 02 tháng 10 năm 2014 của Bộ trưởng Bộ Công Thương quy định chi tiết một số nội dung về an toàn điện.

12

Cấp thẻ Kiểm tra viên điện lực cho các đối tượng thuộc thẩm quyền cấp của Sở Công Thương

03 ngày làm việc tính từ ngày nhận đủ hồ sơ hợp lệ

Bộ phận tiếp nhận và trả kết quả của Sở Công Thương tại Trung tâm Phục vụ hành chính công tỉnh

Cá nhân lựa chọn gửi hồ sơ, thủ tục hành chính (bao gồm cả nhận kết quả giải quyết) trong những cách thức sau:

-  Trực tiếp;

- Qua dịch vụ bưu chính.

Không

-  Luật Điện lực ngày 03 tháng 12 năm 2004; Luật sửa đổi bổ sung một số điều của luật điện lực ngày 20 tháng 11 năm 2012;

-  Nghị định số 137/2013/NĐ-CP ngày 21/10/2013 của Chính phủ quy định chi tiết thi hành một số điều của Luật Điện lực;

- Thông tư số 31/2018/TT-BCT ngày 05/10/2018 của Bộ trưởng Bộ Công Thương Sửa đổi, bổ sung một số điều của Thông tư số 27/2013/TT-BCT ngày 31/10/2013 của Bộ trưởng Bộ Công Thương Quy định về Kiểm tra hoạt động điện lực và sử dụng điện, giải quyết tranh chấp hợp đồng mua bán điện;

- Thông tư số 27/2013/TT-BCT ngày 31/10/2013 của Bộ Công Thương Quy định về Kiểm tra hoạt động điện lực và sử dụng điện, giải quyết tranh chấp hợp đồng mua bán điện.

13

Cấp thẻ Kiểm tra viên điện lực cho các đối tượng thuộc thẩm quyền cấp của Sở Công Thương trường hợp thẻ bị mất hoặc bị hỏng thẻ

03 ngày làm việc tính từ ngày nhận đủ hồ sơ hợp lệ

Bộ phận tiếp nhận và trả kết quả của Sở Công Thương tại Trung tâm Phục vụ hành chính công tỉnh

Cá nhân lựa chọn gửi hồ sơ, thủ tục hành chính (bao gồm cả nhận kết quả giải quyết) trong những cách thức sau:

- Trực tiếp;

- Qua dịch vụ bưu chính.

Không

-  Luật Điện lực năm 2004;

-  Luật sửa đổi bổ sung một số điều của luật điện lực ngày 20 tháng 11 năm 2012;

-   Nghị định số 137/2013/NĐ-CP ngày 21/10/2013 của Chính phủ quy định chi tiết thi hành một số điều của Luật Điện lực;

-   Thông tư số 31/2018/TT-BCT ngày 05/10/2018 của Bộ trưởng Bộ Công Thương Sửa đổi, bổ sung một số điều của Thông tư số 27/2013/TT-BCT ngày 31/10/2013 của Bộ trưởng Bộ Công Thương Quy định về Kiểm tra hoạt động điện lực và sử dụng điện, giải quyết tranh chấp hợp đồng mua bán điện;

- Thông tư số 27/2013/TT-BCT ngày 31/10/2013 của Bộ Công Thương Quy định về Kiểm tra hoạt động điện lực và sử dụng điện, giải quyết tranh chấp hợp đồng mua bán điện.

Đang theo dõi

II. LĨNH VỰC AN TOÀN ĐẬP, HỒ CHỨA THỦY ĐIỆN : 08 TTHC

Đang theo dõi

Các thủ tục hành chính có số thứ tự 01, 02, 03 tại Mục II Phần A được sửa đổi, bổ sung bởi Phụ lục ban hành kèm theo Quyết định 2292/QĐ-UBND theo quy định tại Điều 1.

Đang theo dõi

1

Cấp giấy phép cho các hoạt động trong phạm vi bảo vệ đập, hồ chứa thủy điện trên địa bàn thuộc thẩm quyền cấp phép của Ủy ban nhân dân cấp tỉnh (trừ đập, hồ chứa thủy điện quy định tại điểm a khoản 3 Điều 22 Nghị định số 114/2018/NĐ-CP)

- Đối với các hoạt động: Xây dựng công trình mới; Lập bến, bãi tập kết nguyên liệu, nhiên liệu, vật liệu, vật tư, phương tiện; Khoan, đào khảo sát địa chất; thăm dò, khai thác khoáng sản, vật liệu xây dựng, khai thác nước dưới đất; Xây dựng công trình ngầm: 23 ngày làm việc kể từ ngày nhận hồ sơ hợp lệ.

- Đối với hoạt động xả nước thải vào công trình thủy điện: 27 ngày làm việc kể từ ngày nhận hồ sơ hợp lệ.

-  Đối với hoạt động trồng cây lâu năm: 9 ngày làm việc kể từ ngày nhận hồ sơ hợp lệ.

- Đối với hoạt động: Du lịch, thể thao, nghiên cứu khoa học, kinh doanh, dịch vụ; Nuôi trồng thủy sản; Nổ mìn và các hoạt động gây nổ khác: 14 ngày làm việc kể từ ngày nhận hồ sơ hợp lệ.

- Đối với hoạt động của phương tiện thủy nội địa, phương tiện cơ giới, trừ xe mô tô, xe gắn máy, phương tiện thủy nội địa thô sơ: 06 ngày làm việc kể từ ngày nhận đủ hồ sơ hợp lệ.

Bộ phận tiếp nhận và trả kết quả của Sở Công Thương tại Trung tâm phục vụ hành chính công tỉnh

Tổ chức, cá nhân lựa chọn gửi hồ sơ, thủ tục hành chính (bao gồm cả nhận kết quả giải quyết) trong những cách thức sau:

- Trực tiếp;

- Qua dịch vụ bưu chính.

Không

-   Luật thủy lợi năm 2017;

-  Nghị định số 67/2018/NĐ-CP ngày 14 tháng 5 năm 2018 của Chính phủ quy định chi tiết một số điều của Luật Thủy lợi;

-   Nghị định số 114/2018/NĐ-CP ngày 04 tháng 9 năm 2018 của Chính phủ về quản lý an toàn đập, hồ chứa nước.

2

Cấp lại giấy phép cho các hoạt động trong phạm vi bảo vệ đập, hồ chứa thủy điện trên địa bàn thuộc thẩm quyền cấp phép của Ủy ban nhân dân cấp tỉnh (trừ đập, hồ chứa thủy điện quy định tại điểm khoản 3 Điều 22 Nghị định số 114/2018/NĐ-CP)

03 ngày làm việc kể từ ngày nhận đủ hồ sơ hợp lệ

Bộ phận tiếp nhận và trả kết quả của Sở Công Thương tại Trung tâm Phục vụ hành chính công tỉnh

Tổ chức, cá nhân lựa chọn gửi hồ sơ, thủ tục hành chính (bao gồm cả nhận kết quả giải quyết) trong những cách thức sau:

- Trực tiếp;

- Qua dịch vụ bưu chính

Không

- Luật Thủy lợi năm 2017;

-  Nghị định số 67/2018/NĐ-CP ngày 14 tháng 5 năm 2018 của Chính phủ quy định chi tiết một số điều của Luật Thủy lợi;

- Nghị định số 114/2018/NĐ-CP ngày 04 tháng 9 năm 2018 của Chính phủ về quản lý an toàn đập, hồ chứa nước.

3

Cấp gia hạn, điều chỉnh giấy phép cho các hoạt động trong phạm vi bảo vệ đập, hồ chứa thủy điện trên địa bàn thuộc thẩm quyền cấp phép của Ủy ban nhân dân cấp tỉnh (trừ đập, hồ chứa thủy điện quy định tại điểm a khoản 3 Điều 22 Nghị định số 114/2018/NĐ-CP)

- Đối với các hoạt động: Xây dựng công trình mới; Lập bến, bãi tập kết nguyên liệu, nhiên liệu, vật liệu, vật tư, phương tiện; Khoan, đào khảo sát địa chất; thăm dò, khai thác khoáng sản, vật liệu xây dựng, khai thác nước dưới đất; Xả nước thải vào công trình thủy điện, trừ xả nước thải với quy mô nhỏ và không chứa chất độc hại, chất phóng xạ; Xây dựng công trình ngầm: 14 ngày kể từ ngày làm việc kể từ ngày nhận đủ hồ sơ hợp lệ.

- Đối với các hoạt động Trồng cây lâu năm; hoạt động của phương tiện thủy nội địa, phương tiện cơ giới: 04 ngày làm việc kể từ ngày nhận đủ hồ sơ hợp lệ.

- Đối với hoạt động: Du lịch, thể thao, nghiên cứu khoa học, kinh doanh, dịch vụ; nuôi trồng thủy sản; Nổ mìn và các hoạt động gây nổ khác: 09 ngày làm việc kể từ ngày nhận đủ hồ sơ hợp lệ.

Bộ phận tiếp nhận và trả kết quả của Sở Công Thương tại Trung tâm phục vụ hành chính công tỉnh

Tổ chức, cá nhân lựa chọn gửi hồ sơ, thủ tục hành chính (bao gồm cả nhận kết quả giải quyết) trong những cách thức sau:

-  Trực tiếp;

- Qua dịch vụ bưu chính.

Không

-  Luật Thủy lợi năm 2017;

-  Nghị định số 67/2018/NĐ-CP ngày 14 tháng 5 năm 2018 của Chính phủ quy định chi tiết một số điều của Luật Thủy lợi;

-   Nghị định số 114/2018/NĐ-CP ngày 04 tháng 9 năm 2018 của Chính phủ về quản lý an toàn đập, hồ chứa nước.

Đang theo dõi

4

Thẩm định, phê duyệt quy trình vận hành hồ chứa thủy điện thuộc thẩm quyền phê duyệt của Ủy ban nhân dân cấp tỉnh

27 ngày làm việc kể từ ngày nhận đủ hồ sơ hợp lệ

Bộ phận tiếp nhận và trả kết quả của Sở Công Thương tại Trung tâm Phục vụ hành chính công tỉnh

Tổ chức, cá nhân lựa chọn gửi hồ sơ, thủ tục hành chính (bao gồm cả nhận kết quả giải quyết) trong những cách thức sau:

-  Trực tiếp;

- Qua dịch vụ bưu chính.

Không

-  Luật Thủy lợi năm 2017;

- Nghị định số 114/2018/NĐ-CP ngày 04 tháng 9 năm 2018 của Chính phủ về quản lý an toàn đập, hồ chứa nước;

- Thông tư số 09/2019/TT-BCT ngày 08/7/2019 của Bộ Công Thương quy định về quản lý an toàn đập, hồ chứa thủy điện.

5

Điều chỉnh quy trình vận hành hồ chứa thủy điện thuộc thẩm quyền phê duyệt của của Ủy ban nhân dân cấp tỉnh

27 ngày làm việc kể từ ngày nhận đủ hồ sơ hợp lệ

Bộ phận tiếp nhận và trả kết quả của Sở Công Thương tại Trung tâm Phục vụ hành chính công tỉnh

Tổ chức, cá nhân lựa chọn gửi hồ sơ, thủ tục hành chính (bao gồm cả nhận kết quả giải quyết) trong những cách thức sau:

-  Trực tiếp;

- Qua dịch vụ bưu chính.

Không

-  Luật Thủy lợi năm 2017;

-   Nghị định số 114/2018/NĐ-CP ngày 04 tháng 9 năm 2018 của Chính phủ về quản lý an toàn đập, hồ chứa nước;

-   Thông tư số 09/2019/TT-BCT ngày 08/7/2019 của Bộ Công Thương quy định về quản lý an toàn đập, hồ chứa thủy điện.

6

Thẩm định, phê duyệt phương án ứng phó thiên tai cho công trình vùng hạ du đập thủy điện thuộc thẩm quyền phê duyệt của Ủy ban nhân dân cấp tỉnh

18 ngày làm việc kể từ ngày nhận đủ hồ sơ hợp lệ

Bộ phận tiếp nhận và trả kết quả của Sở Công Thương tại Trung tâm Phục vụ hành chính công tỉnh

Tổ chức, cá nhân lựa chọn gửi hồ sơ, thủ tục hành chính (bao gồm cả nhận kết quả giải quyết) trong những cách thức sau:

-  Trực tiếp;

- Qua dịch vụ bưu chính.

Không

-  Luật Thủy lợi năm 2017;

- Nghị định số 67/2018/NĐ-CP ngày 14 tháng 5 năm 2018 của Chính phủ quy định chi tiết một số điều của Luật Thủy lợi;

-   Nghị định số 114/2018/NĐ-CP ngày 04 tháng 9 năm 2018 của Chính phủ về quản lý an toàn đập, hồ chứa nước.

-  Thông tư số 09/2019/TT-BCT ngày 08/7/2019 của Bộ Công Thương quy định về quản lý an toàn đập, hồ chứa thủy điện.

7

Thẩm định, phê duyệt phương án ứng phó với tình huống khẩn cấp hồ chứa thủy điện thuộc thẩm quyền phê duyệt của Ủy ban nhân dân cấp tỉnh

18 ngày làm việc kể từ ngày nhận đủ hồ sơ hợp lệ

Bộ phận tiếp nhận và trả kết quả của Sở Công Thương tại Trung tâm Phục vụ hành chính công tỉnh

Tổ chức, cá nhân lựa chọn gửi hồ sơ, thủ tục hành chính (bao gồm cả nhận kết quả giải quyết) trong những cách thức sau:

-  Trực tiếp;

- Qua dịch vụ bưu chính.

Không

-  Luật Thủy lợi năm 2017;

-  Nghị định số 67/2018/NĐ-CP ngày 14 tháng 5 năm 2018 của Chính phủ quy định chi tiết một số điều của Luật Thủy lợi;

-   Nghị định số 114/2018/NĐ-CP ngày 04 tháng 9 năm 2018 của Chính phủ về quản lý an toàn đập, hồ chứa nước.

-   Thông tư số 09/2019/TT-BCT ngày 08/7/2019 của Bộ Công Thương quy định về quản lý an toàn đập, hồ chứa thủy điện.

8

Phê duyệt phương án cắm mốc chỉ giới xác định phạm vi bảo vệ đập thủy điện

23 ngày làm việc kể từ ngày nhận đủ hồ sơ hợp lệ

Bộ phận tiếp nhận và trả kết quả của Sở Tài nguyên & Môi trường tại Trung tâm Phục vụ hành chính công tỉnh

Tổ chức, cá nhân lựa chọn gửi hồ sơ, thủ tục hành chính (bao gồm cả nhận kết quả giải quyết) trong những cách thức sau:

-  Trực tiếp;

- Qua dịch vụ bưu chính.

Không

Nghị định số 114/2018/NĐ-CP ngày 04 tháng 9 năm 2018 của Chính phủ về quản lý an toàn đập, hồ chứa nước.

Đang theo dõi

III. LĨNH VỰC DẦU KHÍ: 03 TTHC

1

Thẩm định, phê duyệt bổ sung, điều chỉnh quy hoạch đối với dự án đầu tư xây dựng công trình kho xăng dầu có dung tích kho từ trên 210m3 đến dưới 5.000m3

45 ngày làm việc kể từ ngày nhận đủ hồ sơ hợp lệ

Bộ phận tiếp nhận và trả kết quả của Sở Công Thương tại Trung tâm phục vụ hành chính công tỉnh

Tổ chức, cá nhân lựa chọn gửi hồ sơ, thủ tục hành chính (bao gồm cả nhận kết quả giải quyết) trong những cách thức sau:

-  Trực tiếp;

- Qua dịch vụ bưu chính.

Không

-   Nghị định số 92/2006/NĐ-CP ngày 07/9/2006 của Chính phủ về lập, phê duyệt và quản lý quy hoạch tổng thể phát triển kinh tế - xã hội;

-   Nghị định số 04/2008/NĐ-CP ngày 11/01/2008 sửa đổi, bổ sung một số điều của Nghị định số 92/2006/NĐ-CP ngày 07/9/2006 của Chính phủ về lập, phê duyệt và quản lý quy hoạch tổng thể phát triển kinh tế - xã hội;

-   Nghị định số 84/2009/NĐ-CP ngày 15/10/2009 của Chính phủ về kinh doanh xăng dầu;

- Thông tư số 39/2013/TT-BCT ngày 30 tháng 12 năm 2013 của Bộ Công Thương quy định trình tự, thủ tục bổ sung, điều chỉnh quy hoạch và quản lý đầu tư đối với dự án đầu tư xây dựng công trình kho xăng dầu, kho khí dầu mỏ hóa lỏng, kho khí thiên nhiên hóa lỏng.

2

Thẩm định, phê duyệt bổ sung, điều chỉnh quy hoạch đối với dự án đầu tư xây dựng công trình kho LPG có dung tích kho dưới 5.000m3

45 ngày làm việc kể từ ngày nhận đủ hồ sơ hợp lệ

Bộ phận tiếp nhận và trả kết quả của Sở Công Thương tại Trung tâm phục vụ hành chính công tỉnh

Tổ chức, cá nhân lựa chọn gửi hồ sơ, thủ tục hành chính (bao gồm cả nhận kết quả giải quyết) trong những cách thức sau:

-  Trực tiếp;

- Qua dịch vụ bưu chính.

Không

- Nghị định số 92/2006/NĐ-CP ngày 07/9/2006 của Chính phủ về lập, phê duyệt và quản lý quy hoạch tổng thể phát triển kinh tế - xã hội;

- Nghị định số 04/2008/NĐ-CP ngày 11/01/2008 sửa đổi, bổ sung một số điều của Nghị định số 92/2006/NĐ-CP ngày 07/9/2006 của Chính phủ về lập, phê duyệt và quản lý quy hoạch tổng thể phát triển kinh tế - xã hội;

- Nghị định số 107/NĐ-CP ngày 26/11/2009 của Chính phủ về kinh doanh khí dầu hóa lỏng;

- Thông tư số 39/2013/TT-BCT ngày 30 tháng 12 năm 2013 của Bộ Công Thương quy định trình tự, thủ tục bổ sung, điều chỉnh quy hoạch và quản lý đầu tư đối với dự án đầu tư xây dựng công trình kho xăng dầu, kho khí dầu mỏ hóa lỏng, kho khí thiên nhiên hóa lỏng.

3

Thẩm định, phê duyệt bổ sung, điều chỉnh quy hoạch đối với dự án đầu tư xây dựng công trình kho LNG có dung tích kho dưới 5.000m3

45 ngày làm việc kể từ ngày nhận đủ hồ sơ hợp lệ

Bộ phận tiếp nhận và trả kết quả của Sở Công Thương tại Trung tâm phục vụ hành chính công tỉnh

Tổ chức, cá nhân lựa chọn gửi hồ sơ, thủ tục hành chính (bao gồm cả nhận kết quả giải quyết) trong những cách thức sau:

-  Trực tiếp;

- Qua dịch vụ bưu chính.

Không

-   Nghị định số 92/2006/NĐ-CP ngày 07/9/2006 của Chính phủ về lập, phê duyệt và quản lý quy hoạch tổng thể phát triển kinh tế - xã hội;

-   Nghị định số 04/2008/NĐ-CP ngày 11/01/2008 sửa đổi, bổ sung một số điều của Nghị định số 92/2006/NĐ-CP ngày 07/9/2006 của Chính phủ về lập, phê duyệt và quản lý quy hoạch tổng thể phát triển kinh tế - xã hội;

- Nghị định số 107/NĐ-CP ngày 26/11/2009 của Chính phủ về kinh doanh khí dầu hóa lỏng;

-  Thông tư số 39/2013/TT-BCT ngày 30 tháng 12 năm 2013 của Bộ Công Thương quy định trình tự, thủ tục bổ sung, điều chỉnh quy hoạch và quản lý đầu tư đối với dự án đầu tư xây dựng công trình kho xăng dầu, kho khí dầu mỏ hóa lỏng, kho khí thiên nhiên hóa lỏng.

Đang theo dõi

IV. LĨNH VỰC NĂNG LƯỢNG: 01 TTHC

1

Điều chỉnh Quy hoạch phát triển điện lực tỉnh không theo chu kỳ (đối với điều chỉnh Hợp phần Quy hoạch chi tiết phát triển lưới điện trung và hạ áp sau các trạm 110 kV)

10 ngày làm việc kể từ ngày nhận đủ hồ sơ hợp lệ

Bộ phận tiếp nhận và trả kết quả của Sở Công Thương tại Trung tâm Phục vụ hành chính công tỉnh

Tổ chức, cá nhân lựa chọn gửi hồ sơ, thủ tục hành chính (bao gồm cả nhận kết quả giải quyết) trong những cách thức sau:

-  Trực tiếp;

- Qua dịch vụ bưu chính.

Không

-  Thông tư số 43/2013/TT-BCT của Bộ Công Thương về việc quy định nội dung, trình tự, thủ tục lập, thẩm định, phê duyệt và điều chỉnh quy hoạch phát triển điện lực;

-  Thông tư số 33/2014/TT-BCT của Bộ Công Thương về việc quy định một số nội dung về rút ngắn thời gian tiếp cận điện năng.

Đang theo dõi

V. LĨNH VỰC THƯƠNG MẠI QUỐC TẾ: 21 TTHC

1

Cấp Giấy phép thành lập Văn phòng Đại diện của Thương nhân nước ngoài tại Việt Nam

07 ngày làm việc kể từ ngày nhận đủ hồ sơ hợp lệ

Bộ phận tiếp nhận và trả kết quả của Sở Công Thương tại Trung tâm Phục vụ hành chính công tỉnh

Tổ chức, cá nhân lựa chọn gửi hồ sơ, thủ tục hành chính (bao gồm cả nhận kết quả giải quyết) trong những cách thức sau:

-  Trực tiếp;

- Qua dịch vụ bưu chính.

3.000.000

đồng/giấy phép

- Nghị định số 07/2016/NĐ-CP ngày 25/01/2016 của Chính phủ về quy định chi tiết luật thương mại về Văn phòng đại diện, chi nhánh của thương nhân nước ngoài tại Việt Nam;

- Thông tư số 11/2016/TT-BCT ngày 05 tháng 7 năm 2016 quy định biểu mẫu thực hiện Nghị định số 07/2016/NĐ-CP ngày 25 tháng 01 năm 2016 của Chính phủ quy định chi tiết Luật Thương mại về Văn phòng đại diện, Chi nhánh của thương nhân nước ngoài tại Việt Nam;

- Thông tư số 143/2016/TT-BTC ngày 26/9/2016 của Bộ Tài chính về việc Quy định chế độ thu, nộp và quản lý lệ phí cấp giấy phép thành lập Văn phòng đại diện của thương nhân nước ngoài tại Việt Nam.

2

Cấp lại Giấy phép thành lập Văn phòng Đại diện của Thương nhân nước ngoài tại Việt Nam

04 ngày làm việc kể từ ngày nhận đủ hồ sơ hợp lệ

Bộ phận tiếp nhận và trả kết quả của Sở Công Thương tại Trung tâm Phục vụ hành chính công tỉnh

Tổ chức, cá nhân lựa chọn gửi hồ sơ, thủ tục hành chính (bao gồm cả nhận kết quả giải quyết) trong những cách thức sau:

- Trực tiếp;

- Qua dịch vụ bưu chính;

- Dịch vụ công trực tuyến.

1.500.000/ giấy phép

-   Nghị định số 07/2016/NĐ-CP ngày 25/01/2016 của Chính phủ về quy định chi tiết luật thương mại về Văn phòng đại diện, chi nhánh của thương nhân nước ngoài tại Việt Nam;

-  Thông tư số 11/2016/TT-BCT ngày 05 tháng 7 năm 2016 quy định biểu mẫu thực hiện Nghị định số 07/2016/NĐ-CP ngày 25 tháng 01 năm 2016 của Chính phủ quy định chi tiết Luật Thương mại về Văn phòng đại diện, Chi nhánh của thương nhân nước ngoài tại Việt Nam;

-   Thông tư số 143/2016/TT-BTC ngày 26/9/2016 của Bộ Tài chính về việc Quy định chế độ thu, nộp và quản lý lệ phí cấp giấy phép thành lập Văn phòng đại diện của thương nhân nước ngoài tại Việt Nam.

3

Điều chỉnh Giấy phép thành lập Văn phòng Đại diện của Thương nhân nước ngoài tại Việt Nam

04 ngày làm việc kể từ ngày nhận đủ hồ sơ hợp lệ

Bộ phận tiếp nhận và trả kết quả của Sở Công Thương tại Trung tâm Phục vụ hành chính công tỉnh

Tổ chức, cá nhân lựa chọn gửi hồ sơ, thủ tục hành chính (bao gồm cả nhận kết quả giải quyết) trong những cách thức sau:

- Trực tiếp;

- Qua dịch vụ bưu chính;

- Dịch vụ công trực tuyến.

1.500.000/ giấy phép

-   Nghị định số 07/2016/NĐ-CP ngày 25/01/2016 của Chính phủ về quy định chi tiết luật thương mại về Văn phòng đại diện, chi nhánh của thương nhân nước ngoài tại Việt Nam;

-  Thông tư số 11/2016/TT-BCT ngày 05 tháng 7 năm 2016 quy định biểu mẫu thực hiện Nghị định số 07/2016/NĐ-CP ngày 25 tháng 01 năm 2016 của Chính phủ quy định chi tiết Luật Thương mại về Văn phòng đại diện, Chi nhánh của thương nhân nước ngoài tại Việt Nam;

-   Thông tư số 143/2016/TT-BTC ngày 26/9/2016 của Bộ Tài chính về việc Quy định chế độ thu, nộp và quản lý lệ phí cấp giấy phép thành lập Văn phòng đại diện của thương nhân nước ngoài tại Việt Nam.

4

Gia hạn Giấy phép thành lập Văn phòng Đại diện của Thương nhân nước ngoài tại Việt Nam

04 ngày làm việc kể từ ngày nhận đủ hồ sơ hợp lệ

Bộ phận tiếp nhận và trả kết quả của Sở Công Thương tại Trung tâm phục vụ hành chính công tỉnh

Tổ chức, cá nhân lựa chọn gửi hồ sơ, thủ tục hành chính (bao gồm cả nhận kết quả giải quyết) trong những cách thức sau:

- Trực tiếp;

- Qua dịch vụ bưu chính;

- Dịch vụ công trực tuyến.

1.500.000/giấy phép

- Nghị định số 07/2016/NĐ-CP ngày 25/01/2016 của Chính phủ về quy định chi tiết luật thương mại về Văn phòng đại diện, chi nhánh của thương nhân nước ngoài tại Việt Nam;

-   Thông tư số 11/2016/TT-BCT ngày 05/7/2016 quy định biểu mẫu thực hiện Nghị định số 07/2016/NĐ-CP ngày 25 tháng 01 năm 2016 của Chính phủ quy định chi tiết Luật Thương mại về Văn phòng đại diện, Chi nhánh của thương nhân nước ngoài tại Việt Nam;

- Thông tư số 143/2016/TT-BTC ngày 26/9/2016 của Bộ Tài chính về việc Quy định chế độ thu, nộp và quản lý lệ phí cấp giấy phép thành lập Văn phòng đại diện của thương nhân nước ngoài tại Việt Nam.

5

Chấm dứt hoạt động của Văn phòng đại diện của thương nhân nước ngoài tại Việt Nam

04 ngày làm việc kể từ ngày nhận đủ hồ sơ hợp lệ

Bộ phận tiếp nhận và trả kết quả của Sở Công Thương tại Trung tâm Phục vụ hành chính công tỉnh

Tổ chức, cá nhân lựa chọn gửi hồ sơ, thủ tục hành chính (bao gồm cả nhận kết quả giải quyết) trong những cách thức sau:

- Trực tiếp;

- Qua dịch vụ bưu chính;

- Dịch vụ công trực tuyến.

Không

Nghị định số 07/2016/NĐ-CP ngày 25/01/2016 của Chính phủ về quy định chi tiết luật thương mại về Văn phòng đại diện, chi nhánh của thương nhân nước ngoài tại Việt Nam.

6

Cấp Giấy phép kinh doanh cho tổ chức kinh tế có vốn đầu tư nước ngoài để thực hiện quyền phân phối bán lẻ hàng hóa

09 ngày làm việc kể từ ngày nhận đủ hồ sơ hợp lệ

Bộ phận tiếp nhận và trả kết quả của Sở Công Thương tại Trung tâm phục vụ hành chính công tỉnh

Tổ chức, cá nhân lựa chọn gửi hồ sơ, thủ tục hành chính (bao gồm cả nhận kết quả giải quyết) trong những cách thức sau:

- Trực tiếp;

- Qua dịch vụ bưu chính.

Không

-  Luật thương mại năm 2005;

-  Luật Quản lý ngoại thương năm 2017;

-  Luật đầu tư năm 2014;

-  Luật sửa đổi, bổ sung Điều 6 và Phụ lục 4 về Danh mục ngành, nghề đầu tư kinh doanh có điều kiện của Luật đầu tư ngày 22 tháng 11 năm 2016;

-   Nghị định số 09/2018/NĐ-CP ngày 15/01/2018 của Chính phủ quy định chi tiết Luật thương mại và Luật Quản lý ngoại thương về hoạt động mua bán hàng hóa và các hoạt động liên quan trực tiếp đến mua bán hàng hóa của nhà đầu tư nước ngoài, tổ chức kinh tế có vốn đầu tư nước ngoài tại Việt Nam.

7

Cấp Giấy phép kinh doanh cho tổ chức kinh tế có vốn đầu tư nước ngoài để thực hiện quyền nhập khẩu, quyền phân phối bán buôn các hàng hóa là dầu, mỡ bôi trơn

25 ngày làm việc kể từ ngày nhận đủ hồ sơ hợp lệ

Bộ phận tiếp nhận và trả kết quả của Sở Công Thương tại Trung tâm Phục vụ hành chính công tỉnh

Tổ chức, cá nhân lựa chọn gửi hồ sơ, thủ tục hành chính (bao gồm cả nhận kết quả giải quyết) trong những cách thức sau:

- Trực tiếp;

- Qua dịch vụ bưu chính.

Không

-  Luật thương mại năm 2005;

-  Luật Quản lý ngoại thương năm 2017;

-  Luật đầu tư năm 2014;

- Luật sửa đổi, bổ sung Điều 6 và Phụ lục 4 về Danh mục ngành, nghề đầu tư kinh doanh có điều kiện của Luật đầu tư năm 2016;

- Nghị định số 09/2018/NĐ-CP ngày 15/01/2018 của Chính phủ quy định chi tiết Luật thương mại và Luật Quản lý ngoại thương về hoạt động mua bán hàng hóa và các hoạt động liên quan trực tiếp đến mua bán hàng hóa của nhà đầu tư nước ngoài, tổ chức kinh tế có vốn đầu tư nước ngoài tại Việt Nam.

8

Cấp Giấy phép kinh doanh cho tổ chức kinh tế có vốn đầu tư nước ngoài để thực hiện quyền phân phối bán lẻ các hàng hóa là gạo; đường; vật phẩm ghi hình; sách, báo và tạp chí

25 ngày làm việc kể từ ngày nhận đủ hồ sơ hợp lệ

Bộ phận tiếp nhận và trả kết quả của Sở Công Thương tại Trung tâm phục vụ hành chính công tỉnh

Tổ chức, cá nhân lựa chọn gửi hồ sơ, thủ tục hành chính (bao gồm cả nhận kết quả giải quyết) trong những cách thức sau:

- Trực tiếp;

- Qua dịch vụ bưu chính.

Không

-  Luật thương mại năm 2005;

-  Luật Quản lý ngoại thương năm 2017;

-  Luật đầu tư năm 2014;

-  Luật sửa đổi, bổ sung Điều 6 và Phụ lục 4 về Danh mục ngành, nghề đầu tư kinh doanh có điều kiện của Luật đầu tư năm 2016;

-   Nghị định số 09/2018/NĐ-CP ngày 15/01/2018 của Chính phủ quy định chi tiết Luật thương mại và Luật Quản lý ngoại thương về hoạt động mua bán hàng hóa và các hoạt động liên quan trực tiếp đến mua bán hàng hóa của nhà đầu tư nước ngoài, tổ chức kinh tế có vốn đầu tư nước ngoài tại Việt Nam.

9

Cấp Giấy phép kinh doanh cho tổ chức kinh tế có vốn đầu tư nước ngoài để thực hiện các dịch vụ khác quy định tại khoản d, đ, e, g, h, i Điều 5 Nghị định 09/2018/NĐ-CP

25 ngày làm việc kể từ ngày nhận đủ hồ sơ hợp lệ

Bộ phận tiếp nhận và trả kết quả của Sở Công Thương tại Trung tâm Phục vụ hành chính công tỉnh

Tổ chức, cá nhân lựa chọn gửi hồ sơ, thủ tục hành chính (bao gồm cả nhận kết quả giải quyết) trong những cách thức sau:

- Trực tiếp;

- Qua dịch vụ bưu chính.

Không

-  Luật thương mại ngày 14 tháng 6 năm 2005;

-  Luật Quản lý ngoại thương năm 2017;

-  Luật đầu tư năm 2014;

-   Luật sửa đổi, bổ sung Điều 6 và Phụ lục 4 về Danh mục ngành, nghề đầu tư kinh doanh có điều kiện của Luật đầu tư năm 2016;

-   Nghị định số 09/2018/NĐ-CP ngày 15/01/2018 của Chính phủ quy định chi tiết Luật thương mại và Luật Quản lý ngoại thương về hoạt động mua bán hàng hóa và các hoạt động liên quan trực tiếp đến mua bán hàng hóa của nhà đầu tư nước ngoài, tổ chức kinh tế có vốn đầu tư nước ngoài tại Việt Nam.

10

Cấp lại Giấy phép kinh doanh cho tổ chức kinh tế có vốn đầu tư nước ngoài

04 ngày làm việc kể từ ngày nhận đủ hồ sơ hợp lệ

Bộ phận tiếp nhận và trả kết quả của Sở Công Thương tại Trung tâm Phục vụ hành chính công tỉnh

Tổ chức, cá nhân lựa chọn gửi hồ sơ, thủ tục hành chính (bao gồm cả nhận kết quả giải quyết) trong những cách thức sau:

- Trực tiếp;

- Qua dịch vụ bưu chính.

Không

-  Luật thương mại năm 2005;

-  Luật Quản lý ngoại thương năm 2017;

-  Luật đầu tư năm 2014;

- Luật sửa đổi, bổ sung Điều 6 và Phụ lục 4 về Danh mục ngành, nghề đầu tư kinh doanh có điều kiện của Luật đầu tư năm 2016;

- Nghị định số 09/2018/NĐ-CP ngày 15/01/2018 của Chính phủ quy định chi tiết Luật thương mại và Luật Quản lý ngoại thương về hoạt động mua bán hàng hóa và các hoạt động liên quan trực tiếp đến mua bán hàng hóa của nhà đầu tư nước ngoài, tổ chức kinh tế có vốn đầu tư nước ngoài tại Việt Nam.

11

Điều chỉnh Giấy phép kinh doanh cho tổ chức kinh tế có vốn đầu tư nước ngoài

25 ngày làm việc kể từ ngày nhận đủ hồ sơ hợp lệ

Bộ phận tiếp nhận và trả kết quả của Sở Công Thương tại Trung tâm Phục vụ hành chính công tỉnh

Tổ chức, cá nhân lựa chọn gửi hồ sơ, thủ tục hành chính (bao gồm cả nhận kết quả giải quyết) trong những cách thức sau:

- Trực tiếp;

- Qua dịch vụ bưu chính.

Không

-  Luật thương mại năm 2005;

-  Luật Quản lý ngoại thương năm 2017;

-  Luật đầu tư năm 2014;

-   Luật sửa đổi, bổ sung Điều 6 và Phụ lục 4 về Danh mục ngành, nghề đầu tư kinh doanh có điều kiện của Luật đầu tư năm 2016;

-   Nghị định số 09/2018/NĐ-CP ngày 15/01/2018 của Chính phủ quy định chi tiết Luật thương mại và Luật Quản lý ngoại thương về hoạt động mua bán hàng hóa và các hoạt động liên quan trực tiếp đến mua bán hàng hóa của nhà đầu tư nước ngoài, tổ chức kinh tế có vốn đầu tư nước ngoài tại Việt Nam.

12

Cấp giấy phép kinh doanh đồng thời với giấy phép lập cơ sở bán lẻ được quy định tại Điều 20 Nghị định số 09/2018/NĐ-CP

18 ngày làm việc kể từ ngày nhận đủ hồ sơ hợp lệ

Bộ phận tiếp nhận và trả kết quả của Sở Công Thương tại Trung tâm phục vụ hành chính công tỉnh

Tổ chức, cá nhân lựa chọn gửi hồ sơ, thủ tục hành chính (bao gồm cả nhận kết quả giải quyết) trong những cách thức sau:

- Trực tiếp;

- Qua dịch vụ bưu chính.

Không

-  Luật thương mại năm 2005;

-  Luật Quản lý ngoại thương năm 2017;

-  Luật đầu tư năm 2014;

-  Luật sửa đổi, bổ sung Điều 6 và Phụ lục 4 về Danh mục ngành, nghề đầu tư kinh doanh có điều kiện của Luật đầu tư năm 2016;

-   Nghị định số 09/2018/NĐ-CP ngày 15/01/2018 của Chính phủ quy định chi tiết Luật thương mại và Luật Quản lý ngoại thương về hoạt động mua bán hàng hóa và các hoạt động liên quan trực tiếp đến mua bán hàng hóa của nhà đầu tư nước ngoài, tổ chức kinh tế có vốn đầu tư nước ngoài tại Việt Nam.

13

Cấp giấy phép lập cơ sở bán lẻ thứ nhất, cơ sở bán lẻ ngoài cơ sở bán lẻ thứ nhất thuộc trường hợp không phải thực hiện thủ tục kiểm tra nhu cầu kinh tế (ENT)

18 ngày làm việc kể từ ngày nhận đủ hồ sơ hợp lệ

Bộ phận tiếp nhận và trả kết quả của Sở Công Thương tại Trung tâm phục vụ hành chính công tỉnh

Tổ chức, cá nhân lựa chọn gửi hồ sơ, thủ tục hành chính (bao gồm cả nhận kết quả giải quyết) trong những cách thức sau:

- Trực tiếp;

- Qua dịch vụ bưu chính.

Không

-  Luật thương mại năm 2005;

-  Luật Quản lý ngoại thương năm 2017;

-  Luật đầu tư năm 2014;

-   Luật sửa đổi, bổ sung Điều 6 và Phụ lục 4 về Danh mục ngành, nghề đầu tư kinh doanh có điều kiện của Luật đầu tư ngày 22 tháng 11 năm 2016;

-   Nghị định số 09/2018/NĐ-CP ngày 15/01/2018 của Chính phủ quy định chi tiết Luật thương mại và Luật Quản lý ngoại thương về hoạt động mua bán hàng hóa và các hoạt động liên quan trực tiếp đến mua bán hàng hóa của nhà đầu tư nước ngoài, tổ chức kinh tế có vốn đầu tư nước ngoài tại Việt Nam.

14

Cấp giấy phép lập cơ sở bán lẻ ngoài cơ sở bán lẻ thứ nhất thuộc trường hợp phải thực hiện thủ tục kiểm tra nhu cầu kinh tế (ENT)

49 ngày làm việc kể từ ngày nhận đủ hồ sơ hợp lệ

Bộ phận tiếp nhận và trả kết quả của Sở Công Thương tại Trung tâm phục vụ hành chính công tỉnh

Tổ chức, cá nhân lựa chọn gửi hồ sơ, thủ tục hành chính (bao gồm cả nhận kết quả giải quyết) trong những cách thức sau:

- Trực tiếp;

- Qua dịch vụ bưu chính.

Không

-  Luật thương mại năm 2005;

-  Luật Quản lý ngoại thương năm 2017;

-  Luật đầu tư năm 2014;

-  Luật sửa đổi, bổ sung Điều 6 và Phụ lục 4 về Danh mục ngành, nghề đầu tư kinh doanh có điều kiện của Luật đầu tư ngày 22 tháng 11 năm 2016;

-   Nghị định số 09/2018/NĐ-CP ngày 15/01/2018 của Chính phủ quy định chi tiết Luật thương mại và Luật Quản lý ngoại thương về hoạt động mua bán hàng hóa và các hoạt động liên quan trực tiếp đến mua bán hàng hóa của nhà đầu tư nước ngoài, tổ chức kinh tế có vốn đầu tư nước ngoài tại Việt Nam.

15

Điều chỉnh tên, mã số doanh nghiệp, địa chỉ trụ sở chính, tên, địa chỉ của cơ sở bán lẻ, loại hình của cơ sở bán lẻ, điều chỉnh giảm diện tích của cơ sở bán lẻ trên Giấy phép lập cơ sở bán lẻ

04 ngày làm việc kể từ ngày nhận đủ hồ sơ hợp lệ

Bộ phận tiếp nhận và trả kết quả của Sở Công Thương tại Trung tâm Phục vụ hành chính công tỉnh

Tổ chức, cá nhân lựa chọn gửi hồ sơ, thủ tục hành chính (bao gồm cả nhận kết quả giải quyết) trong những cách thức sau:

- Trực tiếp;

- Qua dịch vụ bưu chính.

Không

-  Luật thương mại năm 2005;

-  Luật Quản lý ngoại thương năm 2017;

- Luật đầu tư ngày 26 tháng 11 năm 2014;

- Luật sửa đổi, bổ sung Điều 6 và Phụ lục 4 về Danh mục ngành, nghề đầu tư kinh doanh có điều kiện của Luật đầu tư ngày 22 tháng 11 năm 2016;

- Nghị định số 09/2018/NĐ-CP ngày 15/01/2018 của Chính phủ quy định chi tiết Luật thương mại và Luật Quản lý ngoại thương về hoạt động mua bán hàng hóa và các hoạt động liên quan trực tiếp đến mua bán hàng hóa của nhà đầu tư nước ngoài, tổ chức kinh tế có vốn đầu tư nước ngoài tại Việt Nam.

16

Điều chỉnh tăng diện tích cơ sở bán lẻ thứ nhất trong trung tâm thương mại; tăng diện tích cơ sở bán lẻ ngoài cơ sở bán lẻ thứ nhất được lập trong trung tâm thương mại và không thuộc loại hình cửa hàng tiện lợi, siêu thị mini, đến mức dưới 500m2

04 ngày làm việc kể từ ngày nhận đủ hồ sơ hợp lệ

Bộ phận tiếp nhận và trả kết quả của Sở Công Thương tại Trung tâm Phục vụ hành chính công tỉnh

Tổ chức, cá nhân lựa chọn gửi hồ sơ, thủ tục hành chính (bao gồm cả nhận kết quả giải quyết) trong những cách thức sau:

- Trực tiếp;

- Qua dịch vụ bưu chính.

Không

-  Luật thương mại năm 2005;

-  Luật Quản lý ngoại thương năm 2017;

-  Luật đầu tư năm 2014;

-   Luật sửa đổi, bổ sung Điều 6 và Phụ lục 4 về Danh mục ngành, nghề đầu tư kinh doanh có điều kiện của Luật đầu tư ngày 22 tháng 11 năm 2016;

-   Nghị định số 09/2018/NĐ-CP ngày 15/01/2018 của Chính phủ quy định chi tiết Luật thương mại và Luật Quản lý ngoại thương về hoạt động mua bán hàng hóa và các hoạt động liên quan trực tiếp đến mua bán hàng hóa của nhà đầu tư nước ngoài, tổ chức kinh tế có vốn đầu tư nước ngoài tại Việt Nam.

17

Điều chỉnh tăng diện tích cơ sở bán lẻ thứ nhất không nằm trong trung tâm thương mại

18 ngày làm việc kể từ ngày nhận đủ hồ sơ hợp lệ

Bộ phận tiếp nhận và trả kết quả của Sở Công Thương tại Trung tâm Phục vụ hành chính công tỉnh

Tổ chức, cá nhân lựa chọn gửi hồ sơ, thủ tục hành chính (bao gồm cả nhận kết quả giải quyết) trong những cách thức sau:

- Trực tiếp;

- Qua dịch vụ bưu chính.

Không

-  Luật thương mại năm 2005;

-  Luật Quản lý ngoại thương năm 2017;

-  Luật đầu tư năm 2014;

-  Luật sửa đổi, bổ sung Điều 6 và Phụ lục 4 về Danh mục ngành, nghề đầu tư kinh doanh có điều kiện của Luật đầu tư ngày 22 tháng 11 năm 2016;

-   Nghị định số 09/2018/NĐ-CP ngày 15/01/2018 của Chính phủ quy định chi tiết Luật thương mại và Luật Quản lý ngoại thương về hoạt động mua bán hàng hóa và các hoạt động liên quan trực tiếp đến mua bán hàng hóa của nhà đầu tư nước ngoài, tổ chức kinh tế có vốn đầu tư nước ngoài tại Việt Nam.

18

Điều chỉnh tăng diện tích cơ sở bán lẻ khác và trường hợp cơ sở ngoài cơ sở bán lẻ thứ nhất thay đổi loại hình thành cửa hàng tiện lợi, siêu thị mini

49 ngày làm việc kể từ ngày nhận đủ hồ sơ hợp lệ

Bộ phận tiếp nhận và trả kết quả của Sở Công Thương tại Trung tâm phục vụ hành chính công tỉnh

Tổ chức, cá nhân lựa chọn gửi hồ sơ, thủ tục hành chính (bao gồm cả nhận kết quả giải quyết) trong những cách thức sau:

- Trực tiếp;

- Qua dịch vụ bưu chính.

Không

-  Luật thương mại năm 2005;

-  Luật Quản lý ngoại thương năm 2017;

-  Luật đầu tư năm 2014;

-   Luật sửa đổi, bổ sung Điều 6 và Phụ lục 4 về Danh mục ngành, nghề đầu tư kinh doanh có điều kiện của Luật đầu tư ngày 22 tháng 11 năm 2016;

-  Nghị định số 09/2018/NĐ-CP ngày 15/01/2018 của Chính phủ quy định chi tiết Luật thương mại và Luật Quản lý ngoại thương về hoạt động mua bán hàng hóa và các hoạt động liên quan trực tiếp đến mua bán hàng hóa của nhà đầu tư nước ngoài, tổ chức kinh tế có vốn đầu tư nước ngoài tại Việt Nam.

19

Cấp lại Giấy phép lập cơ sở bán lẻ

04 ngày làm việc kể từ ngày nhận đủ hồ sơ hợp lệ

Bộ phận tiếp nhận và trả kết quả của Sở Công Thương tại Trung tâm Phục vụ hành chính công tỉnh

Tổ chức, cá nhân lựa chọn gửi hồ sơ, thủ tục hành chính (bao gồm cả nhận kết quả giải quyết) trong những cách thức sau:

- Trực tiếp;

- Qua dịch vụ bưu chính.

Không

-  Luật thương mại năm 2005;

-  Luật Quản lý ngoại thương năm 2017;

-  Luật đầu tư năm 2014;

-  Luật sửa đổi, bổ sung Điều 6 và Phụ lục 4 về Danh mục ngành, nghề đầu tư kinh doanh có điều kiện của Luật đầu tư ngày 22 tháng 11 năm 2016;

-   Nghị định số 09/2018/NĐ-CP ngày 15/01/2018 của Chính phủ quy định chi tiết Luật thương mại và Luật Quản lý ngoại thương về hoạt động mua bán hàng hóa và các hoạt động liên quan trực tiếp đến mua bán hàng hóa của nhà đầu tư nước ngoài, tổ chức kinh tế có vốn đầu tư nước ngoài tại Việt Nam.

20

Gia hạn Giấy phép lập cơ sở bán lẻ

04 ngày làm việc kể từ ngày nhận đủ hồ sơ hợp lệ

Bộ phận tiếp nhận và trả kết quả của Sở Công Thương tại Trung tâm Phục vụ hành chính công tỉnh

Tổ chức, cá nhân lựa chọn gửi hồ sơ, thủ tục hành chính (bao gồm cả nhận kết quả giải quyết) trong những cách thức sau:

- Trực tiếp;

- Qua dịch vụ bưu chính.

Không

-  Luật thương mại năm 2005;

-  Luật Quản lý ngoại thương năm 2017;

-  Luật đầu tư năm 2014;

-  Luật sửa đổi, bổ sung Điều 6 và Phụ lục 4 về Danh mục ngành, nghề đầu tư kinh doanh có điều kiện của Luật đầu tư ngày 22 tháng 11 năm 2016;

-   Nghị định số 09/2018/NĐ-CP ngày 15/01/2018 của Chính phủ quy định chi tiết Luật thương mại và Luật Quản lý ngoại thương về hoạt động mua bán hàng hóa và các hoạt động liên quan trực tiếp đến mua bán hàng hóa của nhà đầu tư nước ngoài, tổ chức kinh tế có vốn đầu tư nước ngoài tại Việt Nam.

21

Cấp giấy phép lập cơ sở bán lẻ cho phép cơ sở bán lẻ được tiếp tục hoạt động

49 ngày làm việc kể từ ngày nhận đủ hồ sơ hợp lệ

Bộ phận tiếp nhận và trả kết quả của Sở Công Thương tại Trung tâm phục vụ hành chính công tỉnh

Tổ chức, cá nhân lựa chọn gửi hồ sơ, thủ tục hành chính (bao gồm cả nhận kết quả giải quyết) trong những cách thức sau:

- Trực tiếp;

- Qua dịch vụ bưu chính.

Không

-  Luật thương mại năm 2005;

-  Luật Quản lý ngoại thương năm 2017;

-  Luật đầu tư năm 2014;

- Luật sửa đổi, bổ sung Điều 6 và Phụ lục 4 về Danh mục ngành, nghề đầu tư kinh doanh có điều kiện của Luật đầu tư ngày 22 tháng 11 năm 2016;

- Nghị định số 09/2018/NĐ-CP ngày 15/01/2018 của Chính phủ quy định chi tiết Luật thương mại và Luật Quản lý ngoại thương về hoạt động mua bán hàng hóa và các hoạt động liên quan trực tiếp đến mua bán hàng hóa của nhà đầu tư nước ngoài, tổ chức kinh tế có vốn đầu tư nước ngoài tại Việt Nam.

VI. LĨNH VỰC HÓA CHẤT: 06 TTHC

1

cấp Giấy chứng nhận đủ điều kiện sản xuất hóa chất sản xuất, kinh doanh có điều kiện trong lĩnh vực công nghiệp

10 ngày làm việc kể từ ngày nhận đủ hồ sơ hợp lệ

Bộ phận tiếp nhận và trả kết quả của Sở Công Thương tại Trung tâm Phục vụ hành chính công tỉnh

Tổ chức, cá nhân lựa chọn gửi hồ sơ, thủ tục hành chính (bao gồm cả nhận kết quả giải quyết) trong những cách thức sau:

-  Trực tiếp;

- Qua dịch vụ bưu chính;

- Dịch vụ công trực tuyến.

1.200.000 đồng/giấy

-  Luật hóa chất năm 2007;

-   Nghị định số 113/2017/NĐ-CP ngày 09/10/2017 của Chính phủ quy định chi tiết và hướng dẫn thi hành một số điều của Luật hóa chất;

-  Nghị định số 17/2020/NĐ-CP ngày 05 tháng 02 năm 2020 sửa đổi, bổ sung một số điều của các Nghị định liên quan đến điều kiện đầu tư kinh doanh thuộc lĩnh vực quản lý nhà nước của Bộ Công Thương;

- Thông tư số 32/2017/TT-BCT ngày 28/12/2017 của Bộ Công Thương quy định cụ thể và hướng dẫn thi hành một số điều của Luật hóa chất và Nghị định số 113/2017/NĐ-CP ngày 09/10/2017 của Chính phủ quy định chi tiết và hướng dẫn thi hành một số điều của Luật hóa chất;

- Thông tư số 08/2018/TT-BTC ngày 25/01/2018 của Bộ Tài chính quy định mức thu, chế độ thu, nộp, quản lý và sử dụng phí trong hoạt động hóa chất.

2

Cấp điều chỉnh Giấy chứng nhận đủ điều kiện sản xuất hóa chất sản xuất, kinh doanh có điều kiện trong lĩnh vực công nghiệp

10 ngày làm việc kể từ ngày nhận đủ hồ sơ hợp lệ

Bộ phận tiếp nhận và trả kết quả của Sở Công Thương tại Trung tâm Phục vụ hành chính công tỉnh

Tổ chức, cá nhân lựa chọn gửi hồ sơ, thủ tục hành chính (bao gồm cả nhận kết quả giải quyết) trong những cách thức sau:

-  Trực tiếp;

- Qua dịch vụ bưu chính;

- Dịch vụ công trực tuyến.

600.000 đồng/giấy

-  Luật hóa chất năm 2007;

-    Nghị định số 113/2017/NĐ-CP ngày 09/10/2017 của Chính phủ quy định chi tiết và hướng dẫn thi hành một số điều của Luật hóa chất;

-  Nghị định số 17/2020/NĐ-CP ngày 05 tháng 02 năm 2020 sửa đổi, bổ sung một số điều của các Nghị định liên quan đến điều kiện đầu tư kinh doanh thuộc lĩnh vực quản lý nhà nước của Bộ Công Thương;

- Thông tư số 32/2017/TT-BCT ngày 28/12/2017 của Bộ Công Thương quy định cụ thể và hướng dẫn thi hành một số điều của Luật hóa chất và Nghị định số 113/2017/NĐ-CP ngày 09/10/2017 của Chính phủ quy định chi tiết và hướng dẫn thi hành một số điều của Luật hóa chất;

- Thông tư số 08/2018/TT-BTC ngày 25/01/2018 của Bộ Tài chính quy định mức thu, chế độ thu, nộp, quản lý và sử dụng phí trong hoạt động hóa chất.

3

Cấp lại Giấy chứng nhận đủ điều kiện sản xuất hóa chất sản xuất, kinh doanh có điều kiện trong lĩnh vực công nghiệp

04 ngày làm việc kể từ ngày nhận đủ hồ sơ hợp lệ

Bộ phận tiếp nhận và trả kết quả của Sở Công Thương tại Trung tâm Phục vụ hành chính công tỉnh

Tổ chức, cá nhân lựa chọn gửi hồ sơ, thủ tục hành chính (bao gồm cả nhận kết quả giải quyết) trong những cách thức sau:

-  Trực tiếp;

- Qua dịch vụ bưu chính;

- Dịch vụ công trực tuyến.

600.000 đồng/giấy

-  Luật hóa chất năm 2007;

-    Nghị định số 113/2017/NĐ-CP ngày 09/10/2017 của Chính phủ quy định chi tiết và hướng dẫn thi hành một số điều của Luật hóa chất;

-  Nghị định số 17/2020/NĐ-CP ngày 05 tháng 02 năm 2020 sửa đổi, bổ sung một số điều của các Nghị định liên quan đến điều kiện đầu tư kinh doanh thuộc lĩnh vực quản lý nhà nước của Bộ Công Thương;

- Thông tư số 32/2017/TT-BCT ngày 28/12/2017 của Bộ Công Thương quy định cụ thể và hướng dẫn thi hành một số điều của Luật hóa chất và Nghị định số 113/2017/NĐ-CP ngày 09/10/2017 của Chính phủ quy định chi tiết và hướng dẫn thi hành một số điều của Luật hóa chất;

- Thông tư số 08/2018/TT-BTC ngày 25/01/2018 của Bộ Tài chính quy định mức thu, chế độ thu, nộp, quản lý và sử dụng phí trong hoạt động hóa chất.

4

Cấp Giấy chứng nhận đủ điều kiện kinh doanh hóa chất sản xuất, kinh doanh có điều kiện trong lĩnh vực công nghiệp

10 ngày làm việc kể từ ngày nhận đủ hồ sơ hợp lệ

Bộ phận tiếp nhận và trả kết quả của Sở Công Thương tại Trung tâm phục vụ hành chính công tỉnh

Tổ chức, cá nhân lựa chọn gửi hồ sơ, thủ tục hành chính (bao gồm cả nhận kết quả giải quyết) trong những cách thức sau:

-  Trực tiếp;

- Qua dịch vụ bưu chính;

- Dịch vụ công trực tuyến.

1.200.000

đồng/giấy

-  Luật hóa chất năm 2007;

-   Nghị định số 113/2017/NĐ-CP ngày 09/10/2017 của Chính phủ quy định chi tiết và hướng dẫn thi hành một số điều của Luật hóa chất;

-  Nghị định số 17/2020/NĐ-CP ngày 05 tháng 02 năm 2020 sửa đổi, bổ sung một số điều của các Nghị định liên quan đến điều kiện đầu tư kinh doanh thuộc lĩnh vực quản lý nhà nước của Bộ Công Thương;

- Thông tư số 32/2017/TT-BCT ngày 28/12/2017 của Bộ Công Thương quy định cụ thể và hướng dẫn thi hành một số điều của Luật hóa chất và Nghị định số 113/2017/NĐ-CP ngày 09/10/2017 của Chính phủ quy định chi tiết và hướng dẫn thi hành một số điều của Luật hóa chất;

- Thông tư số 08/2018/TT-BTC ngày 25/01/2018 của Bộ Tài chính quy định mức thu, chế độ thu, nộp, quản lý và sử dụng phí trong hoạt động hóa chất.

5

Cấp điều chỉnh Giấy chứng nhận đủ điều kiện kinh doanh hóa chất sản xuất, kinh doanh có điều kiện trong lĩnh vực công nghiệp

10 ngày làm việc kể từ ngày nhận đủ hồ sơ hợp lệ

Bộ phận tiếp nhận và trả kết quả của Sở Công Thương tại Trung tâm Phục vụ hành chính công tỉnh

Tổ chức, cá nhân lựa chọn gửi hồ sơ, thủ tục hành chính (bao gồm cả nhận kết quả giải quyết) trong những cách thức sau:

-  Trực tiếp;

- Qua dịch vụ bưu chính;

- Dịch vụ công trực tuyến.

600.000 đồng/giấy

-  Luật hóa chất năm 2007;

-   Nghị định số 113/2017/NĐ-CP ngày 09/10/2017 của Chính phủ quy định chi tiết và hướng dẫn thi hành một số điều của Luật hóa chất;

-  Nghị định số 17/2020/NĐ-CP ngày 05 tháng 02 năm 2020 sửa đổi, bổ sung một số điều của các Nghị định liên quan đến điều kiện đầu tư kinh doanh thuộc lĩnh vực quản lý nhà nước của Bộ Công Thương;

-   Thông tư số 32/2017/TT-BCT ngày 28/12/2017 của Bộ Công Thương quy định cụ thể và hướng dẫn thi hành một số điều của Luật hóa chất và Nghị định số 113/2017/NĐ-CP ngày 09/10/2017 của Chính phủ quy định chi tiết và hướng dẫn thi hành một số điều của Luật hóa chất;

- Thông tư số 08/2018/TT-BTC ngày 25/01/2018 của Bộ Tài chính quy định mức thu, chế độ thu, nộp, quản lý và sử dụng phí trong hoạt động hóa chất.

6

Cấp lại Giấy chứng nhận đủ điều kiện kinh doanh hóa chất sản xuất, kinh doanh có điều kiện trong lĩnh vực công nghiệp

04 ngày làm việc kể từ ngày nhận đủ hồ sơ hợp lệ

Bộ phận tiếp nhận và trả kết quả của Sở Công Thương tại Trung tâm Phục vụ hành chính công tỉnh

Tổ chức, cá nhân lựa chọn gửi hồ sơ, thủ tục hành chính (bao gồm cả nhận kết quả giải quyết) trong những cách thức sau:

-  Trực tiếp;

- Qua dịch vụ bưu chính;

- Dịch vụ công trực tuyến.

600.000 đồng/giấy

-  Luật hóa chất năm 2007;

-   Nghị định số 113/2017/NĐ-CP ngày 09/10/2017 của Chính phủ quy định chi tiết và hướng dẫn thi hành một số điều của Luật hóa chất;

-  Nghị định số 17/2020/NĐ-CP ngày 05 tháng 02 năm 2020 sửa đổi, bổ sung một số điều của các Nghị định liên quan đến điều kiện đầu tư kinh doanh thuộc lĩnh vực quản lý nhà nước của Bộ Công Thương;

-   Thông tư số 32/2017/TT-BCT ngày 28/12/2017 của Bộ Công Thương quy định cụ thể và hướng dẫn thi hành một số điều của Luật hóa chất và Nghị định số 113/2017/NĐ-CP ngày 09/10/2017 của Chính phủ quy định chi tiết và hướng dẫn thi hành một số điều của Luật hóa chất;

- Thông tư số 08/2018/TT-BTC ngày 25/01/2018 của Bộ Tài chính quy định mức thu, chế độ thu, nộp, quản lý và sử dụng phí trong hoạt động hóa chất.

VII. LĨNH VỰC KHOA HỌC CÔNG NGHỆ: 01 TTHC

1

cấp thông báo xác nhận công bố sản phẩm hàng hóa nhóm 2 phù hợp với quy chuẩn kỹ thuật tương ứng

05 ngày làm việc kể từ ngày nhận đủ hồ sơ hợp lệ

Bộ phận tiếp nhận và trả kết quả của Sở Công Thương tại Trung tâm phục vụ hành chính công tỉnh

Tổ chức, cá nhân lựa chọn gửi hồ sơ, thủ tục hành chính (bao gồm cả nhận kết quả giải quyết) trong những cách thức sau:

- Trực tiếp;

- Qua dịch vụ bưu chính.

Không

-  Luật Tiêu chuẩn và Quy chuẩn kỹ thuật năm 2006;

-  Luật Chất lượng sản phẩm, hàng hóa năm 2007;

-   Nghị định số 127/2007/NĐ-CP ngày 01/8/2007 của Chính phủ quy định chi tiết thi hành một số điều của Luật Tiêu chuẩn và Quy chuẩn kỹ thuật;

-   Nghị định số 132/2008/NĐ-CP ngày 31/12/2008 của Chính phủ quy định chi tiết một số điều của Luật Chất lượng sản phẩm, hàng hóa;

-   Nghị định số 74/2018/NĐ-CP ngày 15/5/2018 của Chính phủ sửa đổi, bổ sung một số điều của Nghị định số 132/2008/NĐ-CP ngày 31/12/2008 của Chính phủ quy định chi tiết thi hành một số điều của Luật chất lượng sản phẩm, hàng hóa;

Nghị định số 78/2018/NĐ-CP ngày 16/5/2018 của Chính phủ sửa đổi, bổ sung một số điều của Nghị định số 127/2007/NĐ-CP ngày 01/8/2007 của Chính phủ quy định chi tiết thi hành một số điều của Luật Tiêu chuẩn và Quy chuẩn kỹ thuật;

- Thông tư số 48/2011/TT-BCT ngày 30/12/2011 của Bộ Công Thương quy định quản lý chất lượng các sản phẩm, hàng hóa nhóm 2 thuộc phạm vi quản lý của Bộ Công Thương;

-   Thông tư số 41/2015/TT-BCT ngày 24/11/2015 của Bộ Công Thương quy định Danh mục sản phẩm, hàng hóa có khả năng gây mất an toàn thuộc trách nhiệm quản lý của Bộ Công Thương;

- Thông tư số 29/2016/TT-BCT ngày 13/12/2016 của Bộ Công Thương sửa đổi, bổ sung một số điều của Thông tư số 41/2015/TT-BCT ngày 24/11/2015 của Bộ trưởng Bộ Công Thương quy định Danh mục sản phẩm, hàng hóa có khả năng gây mất an toàn thuộc trách nhiệm quản lý của Bộ Công Thương.

Đang theo dõi

VIII. LĨNH VỰC AN TOÀN THỰC PHẨM: 02 TTHC

Đang theo dõi

1

Cấp Giấy chứng nhận đủ điều kiện an toàn thực phẩm đối với cơ sở sản xuất, kinh doanh thực phẩm do Sở Công Thương thực hiện

05 ngày làm việc kể từ khi có kết quả thẩm định thực tế tại cơ sở là “Đạt”

Bộ phận tiếp nhận và trả kết quả của Sở Công Thương tại Trung tâm Phục vụ hành chính công tỉnh

Tổ chức, cá nhân lựa chọn gửi hồ sơ, thủ tục hành chính (bao gồm cả nhận kết quả giải quyết) trong những cách thức sau:

- Trực tiếp;

- Qua dịch vụ bưu chính.

-  Phí thẩm định cơ sở sản xuất thực phẩm: 2.500.000 đồng/lần/cơ sở.

-  Phí thẩm định cơ sở kinh doanh: 1.000.000 đồng/lần/cơ sở.

-  Luật an toàn thực phẩm năm 2010;

-   Nghị định số 77/2016/NĐ-CP ngày 01/7/2016 của Chính phủ sửa đổi, bổ sung một số quy định về điều kiện đầu tư kinh doanh trong lĩnh vực mua bán hàng hóa quốc tế, hóa chất; vật liệu nổ công nghiệp, phân bón, kinh doanh khí, kinh doanh thực phẩm thuộc phạm vi quản lý nhà nước của Bộ Công Thương;

-   Nghị định số 08/2018/NĐ-CP ngày 15/01/2018 của Chính phủ sửa đổi một số Nghị định liên quan đến điều kiện kinh doanh thuộc phạm vị quản lý nhà nước của Bộ Công thương;

-   Nghị định số 15/2018/NĐ-CP ngày 02/02/2018 của Chính phủ quy định chi tiết thi hành một số điều của Luật an toàn thực phẩm;

-   Nghị định số 17/2020/NĐ-CP ngày 05/02/2020 của Chính phủ sửa đổi, bổ sung một số điều của các Nghị định liên quan đến điều kiện đầu tư kinh doanh thuộc lĩnh vực quản lý nhà nước của Bộ Công Thương;

-  Thông tư số 43/2018/TT-BCT ngày 15 tháng 11 năm 2018 của Bộ Công Thương quy định về quản lý an toàn thực phẩm thuộc trách nhiệm của Bộ Công Thương.

-   Thông tư số 279/2016/TT-BTC ngày 14/11/2016 của Bộ Tài chính quy định mức thu, chế độ thu, nộp, quản lý và sử dụng phí trong công tác an toàn vệ sinh thực phẩm.

-   Thông tư số 117/2018/TT-BTC ngày 28/11/2018 của Bộ Tài chính về việc sửa đổi, bổ sung một số điều của Thông tư số 279/2016/TT-BTC ngày 14/11/2016 của Bộ Tài chính .

2

Cấp lại Giấy chứng nhận đủ điều kiện an toàn thực phẩm đối với cơ sở sản xuất, kinh doanh thực phẩm do Sở Công Thương thực hiện

- Trường hợp cơ sở thay đổi địa điểm sản xuất, kinh doanh; thay đổi, bổ sung quy trình sản xuất và khi Giấy chứng nhận hết hiệu lực: Trong vòng 05 ngày làm việc kể từ khi có kết quả thẩm định thực tế tại cơ sở là “Đạt”.

- Trường hợp cấp lại do Giấy chứng nhận bị mất hoặc bị hỏng: Trong thời hạn 03 ngày làm việc kể từ ngày nhận được Đơn đề nghị hợp lệ.

- Trường hợp cơ sở thay đổi tên cơ sở nhưng không thay đổi chủ cơ sở, địa chỉ, địa điểm và toàn bộ quy trình sản xuất, mặt hàng kinh doanh: Trong thời hạn 03 ngày làm việc kể từ ngày nhận được Đơn đề nghị hợp lệ.

-Trường hợp cơ sở thay đổi chủ cơ sở nhưng không thay đổi tên cơ sở, địa chỉ, địa điểm và toàn bộ quy trình sản xuất, mặt hàng kinh doanh: Trong thời hạn 03 ngày làm việc kể từ ngày nhận được Đơn đề nghị hợp lệ.

Bộ phận tiếp nhận và trả kết quả của Sở Công Thương tại Trung tâm Phục vụ hành chính công tỉnh

Tổ chức, cá nhân lựa chọn gửi hồ sơ, thủ tục hành chính (bao gồm cả nhận kết quả giải quyết) trong những cách thức sau:

- Trực tiếp;

- Qua dịch vụ bưu chính.

- Trường hợp cơ sở thay đổi địa điểm sản xuất, kinh doanh; thay đổi, bổ sung quy trình sản xuất và khi Giấy chứng nhận hết hiệu lực:

+ Phí thẩm định đối với cơ sở sản xuất: 2.500.000 đồng/ giấy;

+ Phí thẩm định đối với cơ sở kinh doanh 1.000.000 đồng/ giấy.

- Trường hợp cấp lại do Giấy chứng nhận bị mất hoặc bị hỏng: Không thu phí.

- Trường hợp cơ sở thay đổi tên cơ sở nhưng không thay đổi chủ cơ sở, địa chỉ, địa điểm và toàn bộ quy trình sản xuất, mặt hàng kinh doanh: Không thu phí.

- Trường hợp cơ sở thay đổi chủ cơ sở nhưng không thay đổi tên cơ sở, địa chỉ, địa điểm và toàn bộ quy trình sản xuất, mặt hàng kinh doanh: Không thu phí.

-  Luật an toàn thực phẩm năm 2010;

-   Nghị định số 77/2016/NĐ-CP ngày 01/7/2016 của Chính phủ sửa đổi, bổ sung một số quy định về điều kiện đầu tư kinh doanh trong lĩnh vực mua bán hàng hóa quốc tế, hóa chất; vật liệu nổ công nghiệp, phân bón, kinh doanh khí, kinh doanh thực phẩm thuộc phạm vi quản lý nhà nước của Bộ Công Thương;

- Nghị định số 15/2018/NĐ-CP ngày 02/02/2018 của Chính phủ quy định chi tiết thi hành một số điều của Luật an toàn thực phẩm;

- Nghị định số 17/2020/NĐ-CP ngày 05/02/2020 của Chính phủ sửa đổi, bổ sung một số điều của các Nghị định liên quan đến điều kiện đầu tư kinh doanh thuộc lĩnh vực quản lý nhà nước của Bộ Công Thương;

Thông tư số 43/2018/TT-BCT ngày 15 tháng 11 năm 2018 của Bộ Công Thương quy định về quản lý an toàn thực phẩm thuộc trách nhiệm của Bộ Công Thương.

- Thông tư số 279/2016/TT-BTC ngày 14/11/2016 của Bộ Tài chính quy định mức thu, chế độ thu, nộp, quản lý và sử dụng phí trong công tác an toàn vệ sinh thực phẩm.

- Thông tư số 117/2018/TT-BTC ngày 28/11/2018 của Bộ Tài chính về việc sửa đổi, bổ sung một số điều của Thông tư số 279/2016/TT-BTC ngày 14/11/2016 của Bộ Tài chính

Đang theo dõi

Các thủ tục hành chính lĩnh vực an toàn thực phẩm ban hành kèm theo Quyết định 1039/QĐ-UBND được thay thế bởi Danh mục thủ tục hành chính ban hành kèm theo Quyết định 2482/QĐ-UBND theo quy định tại Điều 2.

Đang theo dõi

IX. LĨNH VỰC KINH DOANH KHÍ: 24 TTHC

1

Cấp Giấy chứng nhận đủ điều kiện trạm nạp LPG vào chai

12 ngày làm việc kể từ ngày nhận đủ hồ sơ hợp lệ

Bộ phận tiếp nhận và trả kết quả của Sở Công Thương tại Trung tâm Phục vụ hành chính công tỉnh

Tổ chức, cá nhân lựa chọn gửi hồ sơ, thủ tục hành chính (bao gồm cả nhận kết quả giải quyết) trong những cách thức sau:

-  Trực tiếp;

- Qua dịch vụ bưu chính;

- Dịch vụ công trực tuyến.

-    Đối với tổ chức, doanh nghiệp:

+ Tại thành phố:

1.200.000 đồng/ giấy

+ Tại các huyện: 600.000đ/giấy

-    Đối với hộ kinh doanh cá thể:

+ Tại thành phố: 400.000 đồng/giấy

+ Tại các huyện: 200.000 đồng/ giấy

-    Nghị định số 87/2018/NĐ-CP ngày 15/6/2018 của Chính phủ về kinh doanh khí;

-     Thông tư số 168/TT-BTC ngày 26/10/2016 của Bộ Tài chính quy định mức thu, chế độ thu, nộp, quản lý và sử dụng phí thẩm định kinh doanh hàng hóa, dịch vụ hạn chế kinh doanh; hàng hóa, dịch vụ kinh doanh có điều kiện thuộc lĩnh vực thương mại và lệ phí cấp Giấy phép thành lập Sở Giao dịch hàng hóa

2

Cấp lại Giấy chứng nhận đủ điều kiện trạm nạp LPG vào chai

05 ngày làm việc kể từ ngày nhận đủ hồ sơ hợp lệ

Bộ phận tiếp nhận và trả kết quả của Sở Công Thương tại Trung tâm Phục vụ hành chính công tỉnh

Tổ chức, cá nhân lựa chọn gửi hồ sơ, thủ tục hành chính (bao gồm cả nhận kết quả giải quyết) trong những cách thức sau:

-  Trực tiếp;

- Qua dịch vụ bưu chính;

- Dịch vụ công trực tuyến.

Không

Nghị định số 87/2018/NĐ-CP ngày 15/6/2018 của Chính phủ về kinh doanh khí.

3

Cấp điều chỉnh Giấy chứng nhận đủ điều kiện trạm nạp LPG vào chai

05 ngày làm việc kể từ ngày nhận đủ hồ sơ hợp lệ

Bộ phận tiếp nhận và trả kết quả của Sở Công Thương tại Trung tâm Phục vụ hành chính công tỉnh

Tổ chức, cá nhân lựa chọn gửi hồ sơ, thủ tục hành chính (bao gồm cả nhận kết quả giải quyết) trong những cách thức sau:

-  Trực tiếp;

- Qua dịch vụ bưu chính;

- Dịch vụ công trực tuyến.

-    Đối với tổ chức, doanh nghiệp:

+ Tại thành phố:

1.200.000 đồng/ giấy

+ Tại các huyện: 600.000đ/giấy

-    Đối với hộ kinh doanh cá thể:

+ Tại thành phố: 400.000 đồng/giấy

-   Nghị định số 87/2018/NĐ-CP ngày 15/6/2018 của Chính phủ về kinh doanh khí;

-     Thông tư số 168/TT-BTC ngày 26/10/2016 của Bộ Tài chính quy định mức thu, chế độ thu, nộp, quản lý và sử dụng phí thẩm định kinh doanh hàng hóa, dịch vụ hạn chế kinh doanh; hàng hóa, dịch vụ kinh doanh có điều kiện thuộc lĩnh vực thương mại và lệ phí cấp Giấy phép thành lập Sở Giao dịch hàng hóa

 

 

 

 

 

+ Tại các huyện:

200.000 đồng/ giấy

 

4

Cấp Giấy chứng nhận đủ điều kiện trạm nạp LPG vào xe bồn

10 ngày làm việc kể từ ngày nhận đủ hồ sơ hợp lệ

Bộ phận tiếp nhận và trả kết quả của Sở Công Thương tại Trung tâm Phục vụ hành chính công tỉnh

Tổ chức, cá nhân lựa chọn gửi hồ sơ, thủ tục hành chính (bao gồm cả nhận kết quả giải quyết) trong những cách thức sau:

-  Trực tiếp;

- Qua dịch vụ bưu chính;

- Dịch vụ công trực tuyến.

-     Đối với tổ chức, doanh nghiệp:

+ Tại thành phố:

1.200.000 đồng/ giấy

+ Tại các huyện: 600.000đ/giấy

-    Đối với hộ kinh doanh cá thể:

+ Tại thành phố: 400.000 đồng/giấy

+ Tại các huyện: 200.000 đồng/ giấy

-   Nghị định số 87/2018/NĐ-CP ngày 15/6/2018 của Chính phủ về kinh doanh khí;

- Thông tư số 168/TT-BTC ngày 26/10/2016 của Bộ Tài chính quy định mức thu, chế độ thu, nộp, quản lý và sử dụng phí thẩm định kinh doanh hàng hóa, dịch vụ hạn chế kinh doanh; hàng hóa, dịch vụ kinh doanh có điều kiện thuộc lĩnh vực thương mại và lệ phí cấp Giấy phép thành lập Sở Giao dịch hàng hóa

5

Cấp lại Giấy chứng nhận đủ điều kiện trạm nạp LPG vào xe bồn

05 ngày làm việc kể từ ngày nhận đủ hồ sơ hợp lệ

Bộ phận tiếp nhận và trả kết quả của Sở Công Thương tại Trung tâm Phục vụ hành chính công tỉnh

Tổ chức, cá nhân lựa chọn gửi hồ sơ, thủ tục hành chính (bao gồm cả nhận kết quả giải quyết) trong những cách thức sau:

-  Trực tiếp;

- Qua dịch vụ bưu chính;

- Dịch vụ công trực tuyến.

Không

Nghị định số 87/2018/NĐ-CP ngày 15/6/2018 của Chính phủ về kinh doanh khí

6

Cấp điều chỉnh Giấy chứng nhận đủ điều kiện trạm nạp LPG vào xe bồn

05 ngày làm việc kể từ ngày nhận đủ hồ sơ hợp lệ

Bộ phận tiếp nhận và trả kết quả của Sở Công Thương tại Trung tâm Phục vụ hành chính công tỉnh

Tổ chức, cá nhân lựa chọn gửi hồ sơ, thủ tục hành chính (bao gồm cả nhận kết quả giải quyết) trong những cách thức sau:

-  Trực tiếp;

- Qua dịch vụ bưu chính;

- Dịch vụ công trực tuyến.

-    Đối với tổ chức, doanh nghiệp:

+ Tại thành phố:

1.200.000 đồng/ giấy

+ Tại các huyện: 600.000đ/giấy

-    Đối với hộ kinh doanh cá thể:

+ Tại thành phố: 400.000 đồng/giấy

+ Tại các huyện: 200.000 đồng/ giấy

-   Nghị định số 87/2018/NĐ-CP ngày 15/6/2018 của Chính phủ về kinh doanh khí;

-     Thông tư số 168/TT-BTC ngày 26/10/2016 của Bộ Tài chính quy định mức thu, chế độ thu, nộp, quản lý và sử dụng phí thẩm định kinh doanh hàng hóa, dịch vụ hạn chế kinh doanh; hàng hóa, dịch vụ kinh doanh có điều kiện thuộc lĩnh vực thương mại và lệ phí cấp Giấy phép thành lập Sở Giao dịch hàng hóa

7

Cấp Giấy chứng nhận đủ điều kiện trạm nạp LPG vào phương tiện vận tải

10 ngày làm việc kể từ ngày nhận đủ hồ sơ hợp lệ

Bộ phận tiếp nhận và trả kết quả của Sở Công Thương tại Trung tâm Phục vụ hành chính công tỉnh

Tổ chức, cá nhân lựa chọn gửi hồ sơ, thủ tục hành chính (bao gồm cả nhận kết quả giải quyết) trong những cách thức sau:

-  Trực tiếp;

- Qua dịch vụ bưu chính;

- Dịch vụ công trực tuyến.

-    Đối với tổ chức, doanh nghiệp:

+ Tại thành phố:

1.200.000 đồng/ giấy

+ Tại các huyện: 600.000đ/giấy

-    Đối với hộ kinh doanh cá thể:

+ Tại thành phố: 400.000 đồng/giấy

+ Tại các huyện: 200.000 đồng/ giấy

-   Nghị định số 87/2018/NĐ-CP ngày 15/6/2018 của Chính phủ về kinh doanh khí;

-     Thông tư số 168/TT-BTC ngày 26/10/2016 của Bộ Tài chính quy định mức thu, chế độ thu, nộp, quản lý và sử dụng phí thẩm định kinh doanh hàng hóa, dịch vụ hạn chế kinh doanh; hàng hóa, dịch vụ kinh doanh có điều kiện thuộc lĩnh vực thương mại và lệ phí cấp Giấy phép thành lập Sở Giao dịch hàng hóa

8

Cấp lại Giấy chứng nhận đủ điều kiện trạm nạp LPG vào phương tiện vận tải

05 ngày làm việc kể từ ngày nhận đủ hồ sơ hợp lệ

Bộ phận tiếp nhận và trả kết quả của Sở Công Thương tại Trung tâm Phục vụ hành chính công tỉnh

Tổ chức, cá nhân lựa chọn gửi hồ sơ, thủ tục hành chính (bao gồm cả nhận kết quả giải quyết) trong những cách thức sau:

-  Trực tiếp;

- Qua dịch vụ bưu chính;

- Dịch vụ công trực tuyến.

Không

Nghị định số 87/2018/NĐ-CP ngày 15/6/2018 của Chính phủ về kinh doanh khí

9

Cấp điều chỉnh Giấy chứng nhận đủ điều kiện trạm nạp LPG vào phương tiện vận tải

05 ngày làm việc kể từ ngày nhận đủ hồ sơ hợp lệ

Bộ phận tiếp nhận và trả kết quả của Sở Công Thương tại Trung tâm Phục vụ hành chính công tỉnh

Tổ chức, cá nhân lựa chọn gửi hồ sơ, thủ tục hành chính (bao gồm cả nhận kết quả giải quyết) trong những cách thức sau:

-  Trực tiếp;

- Qua dịch vụ bưu chính;

- Dịch vụ công trực tuyến.

-     Đối với tổ chức, doanh nghiệp:

+ Tại thành phố:

1.200.000 đồng/ giấy

+ Tại các huyện: 600.000đ/giấy

-    Đối với hộ kinh doanh cá thể:

+ Tại thành phố: 400.000 đồng/giấy

+ Tại các huyện: 200.000 đồng/ giấy

-   Nghị định số 87/2018/NĐ-CP ngày 15/6/2018 của Chính phủ về kinh doanh khí;

-     Thông tư số 168/TT-BTC ngày 26/10/2016 của Bộ Tài chính quy định mức thu, chế độ thu, nộp, quản lý và sử dụng phí thẩm định kinh doanh hàng hóa, dịch vụ hạn chế kinh doanh; hàng hóa, dịch vụ kinh doanh có điều kiện thuộc lĩnh vực thương mại và lệ phí cấp Giấy phép thành lập Sở Giao dịch hàng hóa

10

cấp Giấy chứng nhận đủ điều kiện trạm nạp LNG vào phương tiện vận tải

10 ngày làm việc kể từ ngày nhận đủ hồ sơ hợp lệ

Bộ phận tiếp nhận và trả kết quả của Sở Công Thương tại Trung tâm Phục vụ hành chính công tỉnh

Tổ chức, cá nhân lựa chọn gửi hồ sơ, thủ tục hành chính (bao gồm cả nhận kết quả giải quyết) trong những cách thức sau:

-  Trực tiếp;

- Qua dịch vụ bưu chính;

- Dịch vụ công trực tuyến.

- Đối với tổ chức, doanh nghiệp:

+ Tại thành phố:

1.200.000 đồng/ giấy

+ Tại các huyện: 600.000đ/giấy

-    Đối với hộ kinh doanh cá thể:

+ Tại thành phố: 400.000 đồng/giấy

+ Tại các huyện: 200.000 đồng/ giấy

-   Nghị định số 87/2018/NĐ-CP ngày 15/6/2018 của Chính phủ về kinh doanh khí;

-     Thông tư số 168/TT-BTC ngày 26/10/2016 của Bộ Tài chính quy định mức thu, chế độ thu, nộp, quản lý và sử dụng phí thẩm định kinh doanh hàng hóa, dịch vụ hạn chế kinh doanh; hàng hóa, dịch vụ kinh doanh có điều kiện thuộc lĩnh vực thương mại và lệ phí cấp Giấy phép thành lập Sở Giao dịch hàng hóa.

11

Cấp lại Giấy chứng nhận đủ điều kiện trạm nạp LNG vào phương tiện vận tải

05 ngày làm việc kể từ ngày nhận đủ hồ sơ hợp lệ

Bộ phận tiếp nhận và trả kết quả của Sở Công Thương tại Trung tâm Phục vụ hành chính công tỉnh

Tổ chức, cá nhân lựa chọn gửi hồ sơ, thủ tục hành chính (bao gồm cả nhận kết quả giải quyết) trong những cách thức sau:

-  Trực tiếp;

- Qua dịch vụ bưu chính;

- Dịch vụ công trực tuyến.

Không

Nghị định số 87/2018/NĐ-CP ngày 15/6/2018 của Chính phủ về kinh doanh khí

12

Cấp điều chỉnh Giấy chứng nhận đủ điều kiện trạm nạp LNG vào phương tiện vận tải

05 ngày làm việc kể từ ngày nhận đủ hồ sơ hợp lệ

Bộ phận tiếp nhận và trả kết quả của Sở Công Thương tại Trung tâm Phục vụ hành chính công tỉnh

Tổ chức, cá nhân lựa chọn gửi hồ sơ, thủ tục hành chính (bao gồm cả nhận kết quả giải quyết) trong những cách thức sau:

-  Trực tiếp;

- Qua dịch vụ bưu chính;

- Dịch vụ công trực tuyến.

-    Đối với tổ chức, doanh nghiệp:

+ Tại thành phố:

1.200.000 đồng/ giấy

+ Tại các huyện: 600.000đ/giấy

-    Đối với hộ kinh doanh cá thể:

+ Tại thành phố: 400.000 đồng/giấy

+ Tại các huyện: 200.000 đồng/ giấy

-   Nghị định số 87/2018/NĐ-CP ngày 15/6/2018 của Chính phủ về kinh doanh khí;

-     Thông tư số 168/TT-BTC ngày 26/10/2016 của Bộ Tài chính quy định mức thu, chế độ thu, nộp, quản lý và sử dụng phí thẩm định kinh doanh hàng hóa, dịch vụ hạn chế kinh doanh; hàng hóa, dịch vụ kinh doanh có điều kiện thuộc lĩnh vực thương mại và lệ phí cấp Giấy phép thành lập Sở Giao dịch hàng hóa

13

Cấp Giấy chứng nhận đủ điều kiện trạm nạp CNG vào phương tiện vận tải

10 ngày làm việc kể từ ngày nhận đủ hồ sơ hợp lệ

Bộ phận tiếp nhận và trả kết quả của Sở Công Thương tại Trung tâm Phục vụ hành chính công tỉnh

Tổ chức, cá nhân lựa chọn gửi hồ sơ, thủ tục hành chính (bao gồm cả nhận kết quả giải quyết) trong những cách thức sau:

-  Trực tiếp;

- Qua dịch vụ bưu chính;

- Dịch vụ công trực tuyến.

- Đối với tổ chức, doanh nghiệp:

+ Tại thành phố:

1.200.000 đồng/ giấy

+ Tại các huyện: 600.000đ/giấy

- Đối với hộ kinh doanh cá thể:

+ Tại thành phố: 400.000 đồng/giấy

+ Tại các huyện: 200.000 đồng/ giấy

- Nghị định số 87/2018/NĐ-CP ngày 15/6/2018 của Chính phủ về kinh doanh khí;

- Thông tư số 168/TT-BTC ngày 26/10/2016 của Bộ Tài chính quy định mức thu, chế độ thu, nộp, quản lý và sử dụng phí thẩm định kinh doanh hàng hóa, dịch vụ hạn chế kinh doanh; hàng hóa, dịch vụ kinh doanh có điều kiện thuộc lĩnh vực thương mại và lệ phí cấp Giấy phép thành lập Sở Giao dịch hàng hóa

14

Cấp lại Giấy chứng nhận đủ điều kiện trạm nạp CNG vào phương tiện vận tải

05 ngày làm việc kể từ ngày nhận đủ hồ sơ hợp lệ

Bộ phận tiếp nhận và trả kết quả của Sở Công Thương tại Trung tâm Phục vụ hành chính công tỉnh

Tổ chức, cá nhân lựa chọn gửi hồ sơ, thủ tục hành chính (bao gồm cả nhận kết quả giải quyết) trong những cách thức sau:

-  Trực tiếp;

- Qua dịch vụ bưu chính;

- Dịch vụ công trực tuyến.

Không

Nghị định số 87/2018/NĐ-CP ngày 15/6/2018 của Chính phủ về kinh doanh khí.

15

Cấp điều chỉnh Giấy chứng nhận đủ điều kiện trạm nạp CNG vào phương tiện vận tải

05 ngày làm việc kể từ ngày nhận đủ hồ sơ hợp lệ

Bộ phận tiếp nhận và trả kết quả của Sở Công Thương tại Trung tâm Phục vụ hành chính công tỉnh

Tổ chức, cá nhân lựa chọn gửi hồ sơ, thủ tục hành chính (bao gồm cả nhận kết quả giải quyết) trong những cách thức sau:

-  Trực tiếp;

- Qua dịch vụ bưu chính;

- Dịch vụ công trực tuyến.

- Đối với tổ chức, doanh nghiệp:

+ Tại thành phố:

1.200.000 đồng/ giấy

+ Tại các huyện: 600.000đ/giấy

- Đối với hộ kinh doanh cá thể:

+ Tại thành phố: 400.000 đồng/giấy

+ Tại các huyện: 200.000 đồng/ giấy

-   Nghị định số 87/2018/NĐ-CP ngày 15/6/2018 của Chính phủ về kinh doanh khí;

-     Thông tư số 168/TT-BTC ngày 26/10/2016 của Bộ Tài chính quy định mức thu, chế độ thu, nộp, quản lý và sử dụng phí thẩm định kinh doanh hàng hóa, dịch vụ hạn chế kinh doanh; hàng hóa, dịch vụ kinh doanh có điều kiện thuộc lĩnh vực thương mại và lệ phí cấp Giấy phép thành lập Sở Giao dịch hàng hóa

16

Cấp Giấy chứng nhận đủ điều kiện thương nhân kinh doanh mua bán LPG

10 ngày làm việc kể từ ngày nhận đủ hồ sơ hợp lệ

Bộ phận tiếp nhận và trả kết quả của Sở Công Thương tại Trung tâm Phục vụ hành chính công tỉnh

Tổ chức, cá nhân lựa chọn gửi hồ sơ, thủ tục hành chính (bao gồm cả nhận kết quả giải quyết) trong những cách thức sau:

-  Trực tiếp;

- Qua dịch vụ bưu chính;

- Dịch vụ công trực tuyến.

- Đối với tổ chức, doanh nghiệp:

+ Tại thành phố:

1.200.000 đồng/ giấy

+ Tại các huyện: 600.000đ/giấy

- Đối với hộ kinh doanh cá thể:

+ Tại thành phố: 400.000 đồng/giấy

+ Tại các huyện: 200.000 đồng/ giấy

- Nghị định số 87/2018/NĐ-CP ngày 15/6/2018 của Chính phủ về kinh doanh khí;

- Nghị định số 17/2020/NĐ-CP ngày 05/02/2020 của Chính phủ sửa đổi, bổ sung một số điều của các Nghị định liên quan đến điều kiện đầu tư kinh doanh thuộc lĩnh vực quản lý nhà nước của Bộ Công Thương;

- Thông tư 168/2016/TT-BTC ngày 26/10/2016 của Bộ Tài Chính quy định việc thu, nộp, quản lý và sử dụng phí thẩm định kinh doanh hàng hóa, dịch vụ hạn chế kinh doanh, kinh doanh có điều kiện trong lĩnh vực thương mại và lệ phí cấp Giấy phép thành lập Sở giao dịch hàng hóa.

17

Cấp điều chỉnh Giấy chứng nhận đủ điều kiện thương nhân kinh doanh mua bán

LPG

05 ngày làm việc kể từ ngày nhận đủ hồ sơ hợp lệ

Bộ phận tiếp nhận và trả kết quả của Sở Công Thương tại Trung tâm Phục vụ hành chính công tỉnh

Tổ chức, cá nhân lựa chọn gửi hồ sơ, thủ tục hành chính (bao gồm cả nhận kết quả giải quyết) trong những cách thức sau:

-  Trực tiếp;

- Qua dịch vụ bưu chính;

- Dịch vụ công trực tuyến.

- Đối với tổ chức, doanh nghiệp:

+ Tại thành phố: 1.200.000 đồng/ giấy

+ Tại các huyện: 600.000đ/giấy

- Đối với hộ kinh doanh cá thể:

+ Tại thành phố: 400.000 đồng/giấy

+ Tại các huyện: 200.000 đồng/ giấy

- Nghị định số 87/2018/NĐ-CP ngày 15/6/2018 của Chính phủ về kinh doanh khí;

- Thông tư 168/2016/TT-BTC ngày 26/10/2016 của Bộ Tài Chính quy định việc thu, nộp, quản lý và sử dụng phí thẩm định kinh doanh hàng hóa, dịch vụ hạn chế kinh doanh, kinh doanh có điều kiện trong lĩnh vực thương mại và lệ phí cấp Giấy phép thành lập Sở giao dịch hàng hóa.

18

Cấp lại Giấy chứng nhận đủ điều kiện thương nhân kinh doanh mua bán LPG

05 ngày làm việc kể từ ngày nhận đủ hồ sơ hợp lệ

Bộ phận tiếp nhận và trả kết quả của Sở Công Thương tại Trung tâm Phục vụ hành chính công tỉnh

Tổ chức, cá nhân lựa chọn gửi hồ sơ, thủ tục hành chính (bao gồm cả nhận kết quả giải quyết) trong những cách thức sau:

-  Trực tiếp;

- Qua dịch vụ bưu chính;

- Dịch vụ công trực tuyến.

Không

Nghị định số 87/2018/NĐ-CP ngày 15/6/2018 của Chính phủ về kinh doanh khí

19

Cấp Giấy chứng nhận đủ điều kiện thương nhân kinh doanh mua bán LNG

10 ngày làm việc kể từ ngày nhận đủ hồ sơ hợp lệ

Bộ phận tiếp nhận và trả kết quả của Sở Công Thương tại Trung tâm Phục vụ hành chính công tỉnh

Tổ chức, cá nhân lựa chọn gửi hồ sơ, thủ tục hành chính (bao gồm cả nhận kết quả giải quyết) trong những cách thức sau:

-  Trực tiếp;

- Qua dịch vụ bưu chính;

- Dịch vụ công trực tuyến.

- Đối với tổ chức, doanh nghiệp:

+ Tại thành phố:

1.200.000 đồng/ giấy

+ Tại các huyện: 600.000đ/giấy

- Đối với hộ kinh doanh cá thể:

+ Tại thành phố: 400.000 đồng/giấy

+ Tại các huyện: 200.000 đồng/ giấy

- Nghị định số 87/2018/NĐ-CP ngày 15/6/2018 của Chính phủ về kinh doanh khí;

- Nghị định số 17/2020/NĐ-CP ngày 05/02/2020 của Chính phủ sửa đổi, bổ sung một số điều của các Nghị định liên quan đến điều kiện đầu tư kinh doanh thuộc lĩnh vực quản lý nhà nước của Bộ Công Thương;

- Thông tư 168/2016/TT-BTC ngày 26/10/2016 của Bộ Tài Chính quy định việc thu, nộp, quản lý và sử dụng phí thẩm định kinh doanh hàng hóa, dịch vụ hạn chế kinh doanh, kinh doanh có điều kiện trong lĩnh vực thương mại và lệ phí cấp Giấy phép thành lập Sở giao dịch hàng hóa.

20

Cấp điều chỉnh Giấy chứng nhận đủ điều kiện thương nhân kinh doanh mua bán LNG

05 ngày làm việc kể từ ngày nhận đủ hồ sơ hợp lệ

Bộ phận tiếp nhận và trả kết quả của Sở Công Thương tại Trung tâm Phục vụ hành chính công tỉnh

Tổ chức, cá nhân lựa chọn gửi hồ sơ, thủ tục hành chính (bao gồm cả nhận kết quả giải quyết) trong những cách thức sau:

-  Trực tiếp;

- Qua dịch vụ bưu chính;

- Dịch vụ công trực tuyến.

- Đối với tổ chức, doanh nghiệp:

+ Tại thành phố:

1.200.000 đồng/ giấy

+ Tại các huyện: 600.000đ/giấy

-  Đối với hộ kinh doanh cá thể:

+ Tại thành phố: 400.000 đồng/giấy

+ Tại các huyện: 200.000 đồng/ giấy

- Nghị định số 87/2018/NĐ-CP ngày 15/6/2018 của Chính phủ về kinh doanh khí;

- Thông tư 168/2016/TT-BTC ngày 26/10/2016 của Bộ Tài Chính quy định việc thu, nộp, quản lý và sử dụng phí thẩm định kinh doanh hàng hóa, dịch vụ hạn chế kinh doanh, kinh doanh có điều kiện trong lĩnh vực thương mại và lệ phí cấp Giấy phép thành lập Sở giao dịch hàng hóa.

21

Cấp lại Giấy chứng nhận đủ điều kiện thương nhân kinh doanh mua bán

LNG

05 ngày làm việc kể từ ngày nhận đủ hồ sơ hợp lệ

Bộ phận tiếp nhận và trả kết quả của Sở Công Thương tại Trung tâm Phục vụ hành chính công tỉnh

Tổ chức, cá nhân lựa chọn gửi hồ sơ, thủ tục hành chính (bao gồm cả nhận kết quả giải quyết) trong những cách thức sau:

-  Trực tiếp;

- Qua dịch vụ bưu chính;

- Dịch vụ công trực tuyến.

Không

Nghị định số 87/2018/NĐ-CP ngày 15/6/2018 của Chính phủ về kinh doanh khí.

22

Cấp Giấy chứng nhận đủ điều kiện thương nhân kinh doanh mua bán

CNG

10 ngày làm việc kể từ ngày nhận đủ hồ sơ hợp lệ

Bộ phận tiếp nhận và trả kết quả của Sở Công Thương tại Trung tâm Phục vụ hành chính công tỉnh

Tổ chức, cá nhân lựa chọn gửi hồ sơ, thủ tục hành chính (bao gồm cả nhận kết quả giải quyết) trong những cách thức sau:

-  Trực tiếp;

- Qua dịch vụ bưu chính;

- Dịch vụ công trực tuyến.

-    Đối với tổ chức, doanh nghiệp:

+ Tại thành phố:

1.200.000 đồng/ giấy

+ Tại các huyện: 600.000đ/giấy

-    Đối với hộ kinh doanh cá thể:

+ Tại thành phố: 400.000 đồng/giấy

+ Tại các huyện: 200.000 đồng/ giấy

- Nghị định số 87/2018/NĐ-CP ngày 15/6/2018 của Chính phủ về kinh doanh khí;

- Nghị định số 17/2020/NĐ-CP ngày 05/02/2020 của Chính phủ sửa đổi, bổ sung một số điều của các Nghị định liên quan đến điều kiện đầu tư kinh doanh thuộc lĩnh vực quản lý nhà nước của Bộ Công Thương;

- Thông tư 168/2016/TT-BTC ngày 26/10/2016 của Bộ Tài Chính quy định việc thu, nộp, quản lý và sử dụng phí thẩm định kinh doanh hàng hóa, dịch vụ hạn chế kinh doanh, kinh doanh có điều kiện trong lĩnh vực thương mại và lệ phí cấp Giấy phép thành lập Sở giao dịch hàng hóa.

23

Cấp điều chỉnh Giấy chứng nhận đủ điều kiện thương nhân kinh doanh mua bán CNG

05 ngày làm việc kể từ ngày nhận đủ hồ sơ hợp lệ

Bộ phận tiếp nhận và trả kết quả của Sở Công Thương tại Trung tâm Phục vụ hành chính công tỉnh

Tổ chức, cá nhân lựa chọn gửi hồ sơ, thủ tục hành chính (bao gồm cả nhận kết quả giải quyết) trong những cách thức sau:

-  Trực tiếp;

- Qua dịch vụ bưu chính;

- Dịch vụ công trực tuyến.

- Đối với tổ chức, doanh nghiệp:

+ Tại thành phố: 1.200.000 đồng/ giấy

+ Tại các huyện: 600.000đ/giấy

- Đối với hộ kinh doanh cá thể:

+ Tại thành phố: 400.000 đồng/giấy

+ Tại các huyện: 200.000 đồng/ giấy

- Nghị định số 87/2018/NĐ-CP ngày 15/6/2018 của Chính phủ về kinh doanh khí;

- Thông tư 168/2016/TT-BTC ngày 26/10/2016 của Bộ Tài Chính quy định việc thu, nộp, quản lý và sử dụng phí thẩm định kinh doanh hàng hóa, dịch vụ hạn chế kinh doanh, kinh doanh có điều kiện trong lĩnh vực thương mại và lệ phí cấp Giấy phép thành lập Sở giao dịch hàng hóa.

24

Cấp lại Giấy chứng nhận đủ điều kiện thương nhân kinh doanh mua bán CNG

5 ngày làm việc kể từ ngày nhận đủ hồ sơ hợp lệ

Bộ phận tiếp nhận và trả kết quả của Sở Công Thương tại Trung tâm Phục vụ hành chính công tỉnh

Tổ chức, cá nhân lựa chọn gửi hồ sơ, thủ tục hành chính (bao gồm cả nhận kết quả giải quyết) trong những cách thức sau:

-  Trực tiếp;

- Qua dịch vụ bưu chính;

- Dịch vụ công trực tuyến.

Không

Nghị định số 87/2018/NĐ-CP ngày 15/6/2018 của Chính phủ về kinh doanh khí.

Đang theo dõi

X. LĨNH VỰC LƯU THÔNG HÀNG HÓA TRONG NƯỚC: 26 TTHC

 

 

Đang theo dõi

1

Tiếp nhận, rà soát Biểu mẫu đăng ký giá thuộc thẩm quyền giải quyết của Sở Công Thương

05 ngày làm việc kể từ ngày nhận đủ hồ sơ hợp lệ

Bộ phận tiếp nhận và trả kết quả của Sở Công Thương tại Trung tâm Phục vụ hành chính công tỉnh

Tổ chức, cá nhân lựa chọn gửi hồ sơ, thủ tục hành chính (bao gồm cả nhận kết quả giải quyết) trong những cách thức sau:

-  Trực tiếp;

- Qua dịch vụ bưu chính;

- Dịch vụ công trực tuyến.

Không

-    Nghị định 177/2013/NĐ-CP ngày 14/11/2013 của Chính phủ quy định chi tiết và hướng dẫn thi hành một số điều của Luật Giá;

-   Nghị định số 149/2016/NĐ-CP ngày 11/11/2016 của Chính phủ sửa đổi, bổ sung một số điều của - Nghị định 177/2013/NĐ-CP.

-    Thông tư 08/2017/TT-BCT ngày 26/6/2017 của Bộ Công Thương quy định về đăng ký giá, kê khai giá sữa và thực phẩm chức năng dành cho trẻ em dưới 06 tuổi.

 

2

Tiếp nhận, rà soát Biểu mẫu kê khai giá thuộc thẩm quyền giải quyết của Sở Công Thương

02 ngày làm việc kể từ ngày nhận đủ hồ sơ hợp lệ

Bộ phận tiếp nhận và trả kết quả của Sở Công Thương tại Trung tâm Phục vụ hành chính công tỉnh

Tổ chức, cá nhân lựa chọn gửi hồ sơ, thủ tục hành chính (bao gồm cả nhận kết quả giải quyết) trong những cách thức sau:

-  Trực tiếp;

- Qua dịch vụ bưu chính.

Không

-   Nghị định số 177/2013/NĐ-CP ngày 14/11/2013 của Chính phủ quy định chi tiết và hướng dẫn thi hành một số điều của Luật Giá;

-   Nghị định số 149/2016/NĐ-CP ngày 11/11/2016 của Chính phủ sửa đổi, bổ sung một số điều của - Nghị định 177/2013/NĐ-CP

-    Thông tư 08/2017/TT-BCT ngày 26/6/2017 của Bộ Công Thương quy định về đăng ký giá, kê khai giá sữa và thực phẩm chức năng dành cho trẻ em dưới 06 tuổi.

Đang theo dõi

Các thủ tục hành chính có số thứ tự 03, 04, 05, 06, 07, 08, 09, 10, 11 tại Mục X (Lĩnh vực lưu thông hàng hóa trong nước), Phần A Quyết định số 1039/QĐ-UBND ngày 28/5/2021 của Chủ tịch UBND tỉnh Sơn La được sửa đổi, bổ sung bởi Phụ lục 1 ban hành kèm theo Quyết định số 699/QĐ-UBND ngày 22/4/2022 của Chủ tịch UBND tỉnh Sơn La theo quy định tại Điều 1.

Đang theo dõi

3

Cấp Giấy xác nhận đủ điều kiện làm tổng đại lý kinh doanh xăng dầu thuộc thẩm quyền cấp của Sở Công Thương

15 ngày làm việc kể từ ngày nhận đủ hồ sơ hợp lệ

Bộ phận tiếp nhận và trả kết quả của Sở Công Thương tại Trung tâm Phục vụ hành chính công tỉnh

Tổ chức, cá nhân lựa chọn gửi hồ sơ, thủ tục hành chính (bao gồm cả nhận kết quả giải quyết) trong những cách thức sau:

-  Trực tiếp;

- Qua dịch vụ bưu chính;

- Dịch vụ công trực tuyến.

- Thành phố: 1.200.000/ giấy phép

- Các huyện: 600.000/giấy phép

-   Nghị định số 83/2014/NĐ-CP ngày 03/9/2014 của Chính phủ về kinh doanh xăng dầu;

-   Thông tư số 28/2017/TT-BCT ngày 8/12/2017 của Bộ Công Thương về việc sửa đổi, bổ sung, bãi bỏ một số Thông tư trong lĩnh vực kinh doanh xăng dầu, kinh doanh dịch vụ đánh giá sự phù hợp và xuất nhập khẩu thuộc phạm vi quản lý nhà nước của Bộ Công Thương;

- Thông tư số 38/2014/TT-BCT ngày 24/10/2014 của Bộ Công Thương về việc Quy định chi tiết một số điều của Nghị định số 83/2014/NĐ-CP ngày 03/9/2014 của Chính phủ;

- Thông tư 168/2016/TT-BTC ngày 26/10/2016 của Bộ Tài Chính quy định việc thu, nộp, quản lý và sử dụng phí thẩm định kinh doanh hàng hóa, dịch vụ hạn chế kinh doanh, kinh doanh có điều kiện trong lĩnh vực thương mại và lệ phí cấp Giấy phép thành lập Sở giao dịch hàng hóa.

4

Cấp sửa đổi, bổ sung Giấy xác nhận đủ điều kiện làm tổng đại lý kinh doanh xăng dầu thuộc thẩm quyền cấp của Sở Công Thương

15 ngày làm việc kể từ ngày nhận đủ hồ sơ hợp lệ

Bộ phận tiếp nhận và trả kết quả của Sở Công Thương tại Trung tâm Phục vụ hành chính công tỉnh

Tổ chức, cá nhân lựa chọn gửi hồ sơ, thủ tục hành chính (bao gồm cả nhận kết quả giải quyết) trong những cách thức sau:

-  Trực tiếp;

- Qua dịch vụ bưu chính;

- Dịch vụ công trực tuyến.

- Thành phố: 1.200.000/ giấy phép

- Các huyện: 600.000/giấy phép

-   Nghị định số 83/2014/NĐ-CP ngày 03/9/2014 của Chính phủ về kinh doanh xăng dầu;

-   Thông tư số 28/2017/TT-BCT ngày 8/12/2017 của Bộ Công Thương về việc sửa đổi, bổ sung, bãi bỏ một số Thông tư trong lĩnh vực kinh doanh xăng dầu, kinh doanh dịch vụ đánh giá sự phù hợp và xuất nhập khẩu thuộc phạm vi quản lý nhà nước của Bộ Công Thương;

- Thông tư số 38/2014/TT-BCT ngày 24/10/2014 của Bộ Công Thương về việc Quy định chi tiết một số điều của Nghị định số 83/2014/NĐ-CP ngày 03/9/2014 của Chính phủ;

- Thông tư 168/2016/TT-BTC ngày 26/10/2016 của Bộ Tài Chính quy định việc thu, nộp, quản lý và sử dụng phí thẩm định kinh doanh hàng hóa, dịch vụ hạn chế kinh doanh, kinh doanh có điều kiện trong lĩnh vực thương mại và lệ phí cấp Giấy phép thành lập Sở giao dịch hàng hóa.

5

Cấp lại Giấy xác nhận đủ điều kiện làm tổng đại lý kinh doanh xăng dầu thuộc thẩm quyền cấp của Sở Công Thương

15 ngày làm việc kể từ ngày nhận đủ hồ sơ hợp lệ

Bộ phận tiếp nhận và trả kết quả của Sở Công Thương tại Trung tâm Phục vụ hành chính công tỉnh

Tổ chức, cá nhân lựa chọn gửi hồ sơ, thủ tục hành chính (bao gồm cả nhận kết quả giải quyết) trong những cách thức sau:

-  Trực tiếp;

- Qua dịch vụ bưu chính;

- Dịch vụ công trực tuyến.

Không

- Nghị định số 83/2014/NĐ-CP ngày 03/9/2014 của Chính phủ về kinh doanh xăng dầu;

- Thông tư số 28/2017/TT-BCT ngày 8/12/2017 của Bộ Công Thương về việc sửa đổi, bổ sung, bãi bỏ một số Thông tư trong lĩnh vực kinh doanh xăng dầu, kinh doanh dịch vụ đánh giá sự phù hợp và xuất nhập khẩu thuộc phạm vi quản lý nhà nước của Bộ Công Thương;

- Thông tư số 38/2014/TT-BCT ngày 24/10/2014 của Bộ Công Thương về việc Quy định chi tiết một số điều của Nghị định số 83/2014/NĐ-CP ngày 03/9/2014 của Chính phủ.

6

Cấp Giấy xác nhận đủ điều kiện làm đại lý bán lẻ xăng dầu

15 ngày làm việc kể từ ngày nhận đủ hồ sơ hợp lệ

Bộ phận tiếp nhận và trả kết quả của Sở Công Thương tại Trung tâm Phục vụ hành chính công tỉnh

Tổ chức, cá nhân lựa chọn gửi hồ sơ, thủ tục hành chính (bao gồm cả nhận kết quả giải quyết) trong những cách thức sau:

-  Trực tiếp;

- Qua dịch vụ bưu chính;

- Dịch vụ công trực tuyến.

Thành phố: 1.200.000/ giấy phép

Các huyện còn lại: 600.000/ giấy phép

-   Nghị định số 83/2014/NĐ-CP ngày 03/9/2014 của Chính phủ về kinh doanh xăng dầu;

-   Thông tư số 28/2017/TT-BCT ngày 8/12/2017 của Bộ Công Thương về việc sửa đổi, bổ sung, bãi bỏ một số Thông tư trong lĩnh vực kinh doanh xăng dầu, kinh doanh dịch vụ đánh giá sự phù hợp và xuất nhập khẩu thuộc phạm vi quản lý nhà nước của Bộ Công Thương;

-   Thông tư số 38/2014/TT-BCT ngày 24/10/2014 của Bộ Công Thương về việc Quy định chi tiết một số điều của Nghị định số 83/2014/NĐ-CP ngày 03/9/2014 của Chính phủ;

-    Thông tư 168/2016/TT-BTC ngày 26/10/2016 của Bộ Tài Chính quy định việc thu, nộp, quản lý và sử dụng phí thẩm định kinh doanh hàng hóa, dịch vụ hạn chế kinh doanh, kinh doanh có điều kiện trong lĩnh vực thương mại và lệ phí cấp Giấy phép thành lập Sở giao dịch hàng hóa.

7

Cấp sửa đổi, bổ sung Giấy xác nhận đủ điều kiện làm đại lý bán lẻ xăng dầu

15 ngày làm việc kể từ ngày nhận đủ hồ sơ hợp lệ

Bộ phận tiếp nhận và trả kết quả của Sở Công Thương tại Trung tâm Phục vụ hành chính công tỉnh

Tổ chức, cá nhân lựa chọn gửi hồ sơ, thủ tục hành chính (bao gồm cả nhận kết quả giải quyết) trong những cách thức sau:

-  Trực tiếp;

- Qua dịch vụ bưu chính;

- Dịch vụ công trực tuyến.

- Thành phố:

1.200.000/ giấy phép

- Các huyện: 600.000/giấy phép

- Nghị định số 83/2014/NĐ-CP ngày 03/9/2014 của Chính phủ về kinh doanh xăng dầu;

- Thông tư số 28/2017/TT-BCT ngày 8/12/2017 của Bộ Công Thương về việc sửa đổi, bổ sung, bãi bỏ một số Thông tư trong lĩnh vực kinh doanh xăng dầu, kinh doanh dịch vụ đánh giá sự phù hợp và xuất nhập khẩu thuộc phạm vi quản lý nhà nước của Bộ Công Thương;

-   Thông tư số 38/2014/TT-BCT ngày 24/10/2014 của Bộ Công Thương về việc Quy định chi tiết một số điều của Nghị định số 83/2014/NĐ-CP 03/9/2014 của Chính phủ;

- Thông tư 168/2016/TT-BTC ngày 26/10/2016 của Bộ Tài Chính quy định việc thu, nộp, quản lý và sử dụng phí thẩm định kinh doanh hàng hóa, dịch vụ hạn chế kinh doanh, kinh doanh có điều kiện trong lĩnh vực thương mại và lệ phí cấp Giấy phép thành lập Sở giao dịch hàng hóa.

8

Cấp lại Giấy xác nhận đủ điều kiện làm đại lý bán lẻ xăng dầu

15 ngày làm việc kể từ ngày nhận đủ hồ sơ hợp lệ

Bộ phận tiếp nhận và trả kết quả của Sở Công Thương tại Trung tâm Phục vụ hành chính công tỉnh

Tổ chức, cá nhân lựa chọn gửi hồ sơ, thủ tục hành chính (bao gồm cả nhận kết quả giải quyết) trong những cách thức sau:

-  Trực tiếp;

- Qua dịch vụ bưu chính;

- Dịch vụ công trực tuyến.

Không

- Nghị định số 83/2014/NĐ-CP ngày 03/9/2014 của Chính phủ về kinh doanh xăng dầu;

- Thông tư số 28/2017/TT-BCT ngày 8/12/2017 của Bộ Công Thương về việc sửa đổi, bổ sung, bãi bỏ một số Thông tư trong lĩnh vực kinh doanh xăng dầu, kinh doanh dịch vụ đánh giá sự phù hợp và xuất nhập khẩu thuộc phạm vi quản lý nhà nước của Bộ Công Thương;

- Thông tư số 38/2014/TT-BCT ngày 24/10/2014 của Bộ Công Thương về việc Quy định chi tiết một số điều của Nghị định số 83/2014/NĐ-CP ngày 03/9/2014 của Chính phủ.

9

Cấp Giấy chứng nhận cửa hàng đủ điều kiện bán lẻ xăng dầu

14 ngày làm việc kể từ ngày nhận đủ hồ sơ hợp lệ

Bộ phận tiếp nhận và trả kết quả của Sở Công Thương tại Trung tâm Phục vụ hành chính công tỉnh

Tổ chức, cá nhân lựa chọn gửi hồ sơ, thủ tục hành chính (bao gồm cả nhận kết quả giải quyết) trong những cách thức sau:

-  Trực tiếp;

- Qua dịch vụ bưu chính;

- Dịch vụ công trực tuyến.

- Thành phố: 1.200.000/ giấy phép

- Các huyện: 600.000/giấy phép

- Nghị định số 83/2014/NĐ-CP ngày 03/9/2014 của Chính phủ về kinh doanh xăng dầu;

- Thông tư số 28/2017/TT-BCT ngày 8/12/2017 của Bộ Công Thương về việc sửa đổi, bổ sung, bãi bỏ một số Thông tư trong lĩnh vực kinh doanh xăng dầu, kinh doanh dịch vụ đánh giá sự phù hợp và xuất nhập khẩu thuộc phạm vi quản lý nhà nước của Bộ Công Thương;

- Thông tư số 38/2014/TT-BCT ngày 24/10/2014 của Bộ Công Thương về việc Quy định chi tiết một số điều của Nghị định số 83/2014/NĐ-CP ngày 03/9/2014 của Chính phủ.

- Thông tư số 168/2016/TT-BTC ngày 26/10/2016 của Bộ Tài Chính quy định việc thu, nộp, quản lý và sử dụng phí thẩm định kinh doanh hàng hóa, dịch vụ hạn chế kinh doanh, kinh doanh có điều kiện trong lĩnh vực thương mại và lệ phí cấp Giấy phép thành lập Sở giao dịch hàng hóa

10

cấp sửa đổi, bổ sung Giấy chứng nhận cửa hàng đủ điều kiện bán lẻ xăng dầu

14 ngày làm việc kể từ ngày nhận đủ hồ sơ hợp lệ

Bộ phận tiếp nhận và trả kết quả của Sở Công Thương tại Trung tâm Phục vụ hành chính công tỉnh

Tổ chức, cá nhân lựa chọn gửi hồ sơ, thủ tục hành chính (bao gồm cả nhận kết quả giải quyết) trong những cách thức sau:

-  Trực tiếp;

- Qua dịch vụ bưu chính;

- Dịch vụ công trực tuyến.

-     Thành phố: 1.200.000/ giấy phép

-     Các huyện: 600.000/giấy phép

-   Nghị định số 83/2014/NĐ-CP ngày 03/9/2014 của Chính phủ về kinh doanh xăng dầu;

-   Thông tư số 28/2017/TT-BCT ngày 8/12/2017 của Bộ Công Thương về việc sửa đổi, bổ sung, bãi bỏ một số Thông tư trong lĩnh vực kinh doanh xăng dầu, kinh doanh dịch vụ đánh giá sự phù hợp và xuất nhập khẩu thuộc phạm vi quản lý nhà nước của Bộ Công Thương;

-   Thông tư số 38/2014/TT-BCT ngày 24/10/2014 của Bộ Công Thương về việc Quy định chi tiết một số điều của Nghị định số 83/2014/NĐ-CP ngày 03/9/2014 của Chính phủ.

-   Thông tư số 168/2016/TT-BTC ngày 26/10/2016 của Bộ Tài Chính quy định việc thu, nộp, quản lý và sử dụng phí thẩm định kinh doanh hàng hóa, dịch vụ hạn chế kinh doanh, kinh doanh có điều kiện trong lĩnh vực thương mại và lệ phí cấp Giấy phép thành lập Sở giao dịch hàng hóa

11

Cấp lại Giấy chứng nhận cửa hàng đủ điều kiện bán lẻ xăng dầu

10 ngày làm việc kể từ ngày nhận đủ hồ sơ hợp lệ

Bộ phận tiếp nhận và trả kết quả của Sở Công Thương tại Trung tâm Phục vụ hành chính công tỉnh

Tổ chức, cá nhân lựa chọn gửi hồ sơ, thủ tục hành chính (bao gồm cả nhận kết quả giải quyết) trong những cách thức sau:

-  Trực tiếp;

- Qua dịch vụ bưu chính;

- Dịch vụ công trực tuyến.

Không

- Nghị định số 83/2014/NĐ-CP ngày 03/9/2014 của Chính phủ về kinh doanh xăng dầu;

- Thông tư số 28/2017/TT-BCT ngày 8/12/2017 của Bộ Công Thương về việc sửa đổi, bổ sung, bãi bỏ một số Thông tư trong lĩnh vực kinh doanh xăng dầu, kinh doanh dịch vụ đánh giá sự phù hợp và xuất nhập khẩu thuộc phạm vi quản lý nhà nước của Bộ Công Thương;

- Thông tư số 38/2014/TT-BCT ngày 24/10/2014 của Bộ Công Thương về việc Quy định chi tiết một số điều của Nghị định số 83/2014/NĐ-CP ngày 03/9/2014.

Đang theo dõi

12

Cấp Giấy phép bán buôn sản phẩm thuốc lá

10 ngày làm việc kể từ ngày nhận đủ hồ sơ hợp lệ

Bộ phận tiếp nhận và trả kết quả của Sở Công Thương tại Trung tâm Phục vụ hành chính công tỉnh

Tổ chức, cá nhân lựa chọn gửi hồ sơ, thủ tục hành chính (bao gồm cả nhận kết quả giải quyết) trong những cách thức sau:

-  Trực tiếp;

- Qua dịch vụ bưu chính;

- Dịch vụ công trực tuyến.

- Thành phố:

1.200.000/ giấy phép;

- Các huyện: 600.000/giấy phép

- Nghị định số 08/2018/ NĐ-CP ngày 15/1/2018 của Chính phủ về việc sửa đổi một số Nghị định liên quan đến điều kiện đầu tư kinh doanh thuộc phạm vi quản lý nhà nước của Bộ Công Thương;

-  Nghị định số 67/2013/NĐ-CP ngày 27 tháng 6 năm 2013 của Chính phủ quy định chi tiết một số điều và biện pháp thi hành Luật Phòng, chống tác hại của thuốc lá về kinh doanh thuốc lá

-   Nghị định số 106/2017/NĐ-CP ngày 14/9/2017 sửa đổi, bổ sung một số điều của nghị định số 67/2013/NĐ-CP ngày 27 tháng 6 năm 2013 của Chính phủ;

-   Nghị định số 17/2020/NĐ-CP ngày 05/02/2020 của Chính phủ sửa đổi, bổ sung một số điều của các Nghị định liên quan đến điều kiện đầu tư kinh doanh thuộc lĩnh vực quản lý nhà nước của Bộ Công Thương;

-   Thông tư số 57/2018/TT-BCT ngày 26/12/2018 của Bộ Công Thương Quy định chi tiết một số điều của các Nghị định liên quan tới kinh doanh thuốc lá;

- Thông tư 168/2016/TT-BTC ngày 26/10/2016 của Bộ Tài Chính quy định việc thu, nộp, quản lý và sử dụng phí thẩm định kinh doanh hàng hóa, dịch vụ hạn chế kinh doanh, kinh doanh có điều kiện trong lĩnh vực thương mại và lệ phí cấp Giấy phép thành lập Sở giao dịch hàng hóa.

13

Cấp lại Giấy phép bán buôn sản phẩm thuốc lá

05 ngày làm việc kể từ ngày nhận đủ hồ sơ hợp lệ

Bộ phận tiếp nhận và trả kết quả của Sở Công Thương tại Trung tâm Phục vụ hành chính công tỉnh

Tổ chức, cá nhân lựa chọn gửi hồ sơ, thủ tục hành chính (bao gồm cả nhận kết quả giải quyết) trong những cách thức sau:

-  Trực tiếp;

- Qua dịch vụ bưu chính;

- Dịch vụ công trực tuyến.

Không

-   Nghị định số 08/2018/ NĐ-CP ngày 15/1/2018 của Chính phủ về việc sửa đổi một số Nghị định liên quan đến điều kiện đầu tư kinh doanh thuộc phạm vi quản lý nhà nước của Bộ Công Thương;

-  Nghị định số 67/2013/NĐ-CP ngày 27 tháng 6 năm 2013 của Chính phủ quy định chi tiết một số điều và biện pháp thi hành Luật Phòng, chống tác hại của thuốc lá về kinh doanh thuốc lá;

- Nghị định số 106/2017/NĐ-CP ngày 14/9/2017 sửa đổi, bổ sung một số điều của nghị định số 67/2013/NĐ-CP ngày 27 tháng 6 năm 2013 của Chính phủ;

- Nghị định số 17/2020/NĐ-CP ngày 05/02/2020 của Chính phủ sửa đổi, bổ sung một số điều của các Nghị định liên quan đến điều kiện đầu tư kinh doanh thuộc lĩnh vực quản lý nhà nước của Bộ Công Thương;

- Thông tư số 57/2018/TT-BCT ngày 26/12/2018 của Bộ Công Thương Quy định chi tiết một số điều của các Nghị định liên quan tới kinh doanh thuốc lá;

- Thông tư số 168/2016/TT-BTC ngày 26/10/2016 của Bộ Tài Chính quy định việc thu, nộp, quản lý và sử dụng phí thẩm định kinh doanh hàng hóa, dịch vụ hạn chế kinh doanh, kinh doanh có điều kiện trong lĩnh vực thương mại và lệ phí cấp Giấy phép thành lập Sở giao dịch hàng hóa.

14

Sửa đổi, bổ sung Giấy phép bán buôn sản phẩm thuốc lá

05 ngày làm việc kể từ ngày nhận đủ hồ sơ hợp lệ

Bộ phận tiếp nhận và trả kết quả của Sở Công Thương tại Trung tâm Phục vụ hành chính công tỉnh

Tổ chức, cá nhân lựa chọn gửi hồ sơ, thủ tục hành chính (bao gồm cả nhận kết quả giải quyết) trong những cách thức sau:

-  Trực tiếp;

- Qua dịch vụ bưu chính;

- Dịch vụ công trực tuyến.

- Thành phố: 1.200.000/ giấy phép

- Các huyện: 600.000/giấy phép

-    Nghị định số 08/2018/ NĐ- CP ngày 15/1/2018 của Chính phủ về việc sửa đổi một số Nghị định liên quan đến điều kiện đầu tư kinh doanh thuộc phạm vi quản lý nhà nước của Bộ Công Thương;

-  Nghị định số 67/2013/NĐ-CP ngày 27 tháng 6 năm 2013 của Chính phủ quy định chi tiết một số điều và biện pháp thi hành Luật Phòng, chống tác hại của thuốc lá về kinh doanh thuốc lá;

-   Nghị định số 106/2017/NĐ-CP ngày 14/9/2017 sửa đổi, bổ sung một số điều của nghị định số 67/2013/NĐ-CP ngày 27 tháng 6 năm 2013 của Chính phủ;

- Nghị định số 17/2020/NĐ-CP ngày 05/02/2020 của Chính phủ sửa đổi, bổ sung một số điều của các Nghị định liên quan đến điều kiện đầu tư kinh doanh thuộc lĩnh vực quản lý nhà nước của Bộ Công Thương;

-   Thông tư số 57/2018/TT-BCT ngày 26/12/2018 của Bộ Công Thương Quy định chi tiết một số điều của các Nghị định liên quan tới kinh doanh thuốc lá;

- Thông tư 168/2016/TT-BTC ngày 26/10/2016 của Bộ Tài Chính quy định việc thu, nộp, quản lý và sử dụng phí thẩm định kinh doanh hàng hóa, dịch vụ hạn chế kinh doanh, kinh doanh có điều kiện trong lĩnh vực thương mại và lệ phí cấp Giấy phép thành lập Sở giao dịch hàng hóa.

15

Cấp Giấy phép bán buôn rượu trên địa bàn tỉnh, thành phố trực thuộc Trung ương

10 ngày làm việc kể từ ngày nhận đủ hồ sơ hợp lệ

Bộ phận tiếp nhận và trả kết quả của Sở Công Thương tại Trung tâm Phục vụ hành chính công tỉnh

Tổ chức, cá nhân lựa chọn gửi hồ sơ, thủ tục hành chính (bao gồm cả nhận kết quả giải quyết) trong những cách thức sau:

-  Trực tiếp;

- Qua dịch vụ bưu chính;

- Dịch vụ công trực tuyến.

-    Thành phố: 1.200.000/ giấy phép

-     Các huyện: 600.000/giấy phép

-   Nghị định số 105/2017/NĐ-CP ngày 14/9/2017 của Chính phủ về kinh doanh

rượu;

-           Nghị định số 17/2020/NĐ-CP, ngày 05/02/2020 của Chính phủ sửa đổi, bổ sung một số điều của các Nghị định liên quan đến điều kiện đầu tư kinh doanh thuộc lĩnh vực quản lý nhà nước của Bộ Công Thương;

- Thông tư 168/2016/TT-BTC ngày 26/10/2016 của Bộ Tài Chính quy định việc thu, nộp, quản lý và sử dụng phí thẩm định kinh doanh hàng hóa, dịch vụ hạn chế kinh doanh, kinh doanh có điều kiện trong lĩnh vực thương mại và lệ phí cấp Giấy phép thành lập Sở giao dịch hàng hóa.

16

Cấp sửa đổi, bổ sung Giấy phép bán buôn rượu trên địa bàn tỉnh thành phố trực thuộc trung ương

05 ngày làm việc kể từ ngày nhận đủ hồ sơ hợp lệ

Bộ phận tiếp nhận và trả kết quả của Sở Công Thương tại Trung tâm Phục vụ hành chính công tỉnh

Tổ chức, cá nhân lựa chọn gửi hồ sơ, thủ tục hành chính (bao gồm cả nhận kết quả giải quyết) trong những cách thức sau:

-  Trực tiếp;

- Qua dịch vụ bưu chính;

- Dịch vụ công trực tuyến.

-     Thành phố: 1.200.000/ giấy phép

-     Các huyện: 600.000/giấy phép

-   Nghị định số 105/2017/NĐ-CP ngày 14/9/2017 của Chính phủ về kinh doanh rượu;

-   Nghị định số 17/2020/NĐ-CP ngày 05/02/2020 của Chính phủ sửa đổi, bổ sung một số điều của các Nghị định liên quan đến điều kiện đầu tư kinh doanh thuộc lĩnh vực quản lý nhà nước của Bộ Công Thương;

-   Thông tư số 168/2016/TT-BTC ngày 26/10/2016 của Bộ Tài Chính quy định việc thu, nộp, quản lý và sử dụng phí thẩm định kinh doanh hàng hóa, dịch vụ hạn chế kinh doanh, kinh doanh có điều kiện trong lĩnh vực thương mại và lệ phí cấp Giấy phép thành lập Sở giao dịch hàng hóa.

17

Cấp lại Giấy phép bán buôn rượu trên địa bàn tỉnh thành phố trực thuộc trung ương

05 ngày làm việc kể từ ngày nhận đủ hồ sơ hợp lệ

Bộ phận tiếp nhận và trả kết quả của Sở Công Thương tại Trung tâm Phục vụ hành chính công tỉnh

Tổ chức, cá nhân lựa chọn gửi hồ sơ, thủ tục hành chính (bao gồm cả nhận kết quả giải quyết) trong những cách thức sau:

-  Trực tiếp;

- Qua dịch vụ bưu chính;

- Dịch vụ công trực tuyến.

Không

-   Nghị định số 105/2017/NĐ-CP ngày 14/9/2017 của Chính phủ về kinh doanh rượu;

-   Nghị định số 17/2020/NĐ-CP ngày 05/02/2020 của Chính phủ sửa đổi, bổ sung một số điều của các Nghị định liên quan đến điều kiện đầu tư kinh doanh thuộc lĩnh vực quản lý nhà nước của Bộ Công Thương.

18

Cấp Giấy phép mua bán nguyên liệu thuốc lá

07 ngày làm việc kể từ ngày nhận đủ hồ sơ hợp lệ

Bộ phận tiếp nhận và trả kết quả của Sở Công Thương tại Trung tâm Phục vụ hành chính công tỉnh

Tổ chức, cá nhân lựa chọn gửi hồ sơ, thủ tục hành chính (bao gồm cả nhận kết quả giải quyết) trong những cách thức sau:

-  Trực tiếp;

- Qua dịch vụ bưu chính;

1.100.000/ giấy phép

-   Nghị định số 67/2013/NĐ-CP ngày 27 tháng 6 năm 2013 của Chính phủ quy định chi tiết một số điều và biện pháp thi hành Luật Phòng, chống tác hại của thuốc lá về kinh doanh thuốc lá;

-           Nghị định số 106/2017/NĐ-CP ngày 14 tháng 09 năm 2017 của Chính phủ sửa đổi, bổ sung một số điều của Nghị định số 67/2013/NĐ-CP ngày 27 tháng 6 năm 2013 của Chính phủ quy định chi tiết một số điều và biện pháp thi hành Luật Phòng, chống tác hại của thuốc lá về kinh doanh thuốc lá;

-   Nghị định số 17/2020/NĐ-CP ngày 05/02/2020 của Chính phủ sửa đổi, bổ sung một số điều của các Nghị định liên quan đến điều kiện đầu tư kinh doanh thuộc lĩnh vực quản lý nhà nước của Bộ Công Thương;

-  Thông tư số 21/2013/TT-BCT ngày 25 tháng 9 năm 2013 của Bộ Công Thương quy định chi tiết một số điều của Nghị định số 67/2013/NĐ-CP ngày 27 tháng 6 năm 2013 của Chính phủ quy định chi tiết một số điều và biện pháp thi hành Luật Phòng, chống tác hại của thuốc lá về kinh doanh thuốc lá;

-   Thông tư số 299/2016/TT-BTC ngày 15/11/2016 của Bộ Tài chính quy định mức thu, chế độ thu, nộp, quản lý và sử dụng phí thẩm định điều kiện kinh doanh để cấp Giấy phép sản xuất rượu, Giấy phép sản xuất thuốc lá;

- Thông tư số 22/2018/TT-BTC ngày 22/02/2018 của Bộ Tài chính sửa đổi, bổ sung một số Điều của Thông tư số 299/2016/TT-BTC.

19

Cấp sửa đổi, bổ sung Giấy phép mua bán nguyên liệu thuốc lá

10 ngày làm việc kể từ ngày nhận đủ hồ sơ hợp lệ

Bộ phận tiếp nhận và trả kết quả của Sở Công Thương tại Trung tâm Phục vụ hành chính công tỉnh

Tổ chức, cá nhân lựa chọn gửi hồ sơ, thủ tục hành chính (bao gồm cả nhận kết quả giải quyết) trong những cách thức sau:

-  Trực tiếp;

- Qua dịch vụ bưu chính;

1.100.000/ giấy phép

-  Nghị định số 67/2013/NĐ-CP ngày 27 tháng 6 năm 2013 của Chính phủ quy định chi tiết một số điều và biện pháp thi hành Luật Phòng, chống tác hại của thuốc lá về kinh doanh thuốc lá;

-    Nghị định số 106/2017/NĐ-CP ngày 14 tháng 09 năm 2017 của Chính phủ sửa đổi, bổ sung một số điều của Nghị định số 67/2013/NĐ-CP ngày 27 tháng 6 năm 2013 của Chính phủ quy định chi tiết một số điều và biện pháp thi hành Luật Phòng, chổng tác hại của thuốc lá về kinh doanh thuốc lá;

-   Nghị định số 17/2020/NĐ-CP ngày 05/02/2020 của Chính phủ sửa đổi, bổ sung một số điều của các Nghị định liên quan đến điều kiện đầu tư kinh doanh thuộc lĩnh vực quản lý nhà nước của Bộ Công Thương;

- Thông tư số 21/2013/TT-BCT ngày 25 tháng 9 năm 2013 của Bộ Công Thương quy định chi tiết một số điều của Nghị định số 67/2013/NĐ-CP ngày 27 tháng 6 năm 2013 của Chính phủ quy định chi tiết một số điều và biện pháp thi hành Luật Phòng, chống tác hại của thuốc lá về kinh doanh thuốc lá;

-   Thông tư số 299/2016/TT-BTC ngày 15/11/2016 của Bộ Tài chính quy định mức thu, chế độ thu, nộp, quản lý và sử dụng phí thẩm định điều kiện kinh doanh để cấp Giấy phép sản xuất rượu, Giấy phép sản xuất thuốc lá;

-  Thông tư số 22/2018/TT-BTC ngày 22/02/2018 của Bộ Tài chính sửa đổi, bổ sung một số Điều của Thông tư số 299/2016/TT-BTC.

20

Cấp lại giấy phép mua bán nguyên liệu thuốc lá

10 ngày làm việc kể từ ngày nhận đủ hồ sơ hợp lệ

Bộ phận tiếp nhận và trả kết quả của Sở Công Thương tại Trung tâm Phục vụ hành chính công tỉnh

Tổ chức, cá nhân lựa chọn gửi hồ sơ, thủ tục hành chính (bao gồm cả nhận kết quả giải quyết) trong những cách thức sau:

-  Trực tiếp;

- Qua dịch vụ bưu chính;

1.100.000/ giấy phép

-  Nghị định số 67/2013/NĐ-CP ngày 27 tháng 6 năm 2013 của Chính phủ quy định chi tiết một số điều và biện pháp thi hành Luật Phòng, chống tác hại của thuốc lá về kinh doanh thuốc lá;

- Nghị định số 106/2017/NĐ-CP ngày 14 tháng 09 năm 2017 của Chính phủ sửa đổi, bổ sung một số điều của Nghị định số 67/2013/NĐ-CP ngày 27 tháng 6 năm 2013 của Chính phủ quy định chi tiết một số điều và biện pháp thi hành Luật Phòng, chống tác hại của thuốc lá về kinh doanh thuốc lá;

-   Nghị định số 17/2020/NĐ-CP ngày 05/02/2020 của Chính phủ sửa đổi, bổ sung một số điều của các Nghị định liên quan đến điều kiện đầu tư kinh doanh thuộc lĩnh vực quản lý nhà nước của Bộ Công Thương;

-  Thông tư số 21/2013/TT-BCT ngày 25 tháng 9 năm 2013 của Bộ Công Thương quy định chi tiết một số điều của Nghị định số 67/2013/NĐ-CP ngày 27 tháng 6 năm 2013 của Chính phủ quy định chi tiết một số điều và biện pháp thi hành Luật Phòng, chống tác hại của thuốc lá về kinh doanh thuốc lá.

-   Thông tư số 299/2016/TT-BTC ngày 15/11/2016 của Bộ Tài chính quy định mức thu, chế độ thu, nộp, quản lý và sử dụng phí thẩm định điều kiện kinh doanh để cấp Giấy phép sản xuất rượu, Giấy phép sản xuất thuốc lá;

- Thông tư số 22/2018/TT-BTC ngày 22/02/2018 của Bộ Tài chính sửa đổi, bổ sung một số Điều của Thông tư số 299/2016/TT-BTC

21

Cấp Giấy chứng nhận đủ điều kiện đầu tư trồng cây thuốc lá

07 ngày làm việc kể từ ngày nhận đủ hồ sơ hợp lệ

Bộ phận tiếp nhận và trả kết quả của Sở Công Thương tại Trung tâm Phục vụ hành chính công tỉnh

Tổ chức, cá nhân lựa chọn gửi hồ sơ, thủ tục hành chính (bao gồm cả nhận kết quả giải quyết) trong những cách thức sau:

-  Trực tiếp;

- Qua dịch vụ bưu chính;

- Dịch vụ công trực tuyến.

2.200.000đồng

-  Nghị định số 67/2013/NĐ-CP ngày 27 tháng 6 năm 2013 của Chính phủ quy định chi tiết một số điều và biện pháp thi hành Luật Phòng, chống tác hại của thuốc lá về kinh doanh thuốc lá;

-  Thông tư số 21/2013/TT-BCT ngày 25 tháng 9 năm 2013 của Bộ Công Thương quy định chi tiết một số điều của Nghị định số 67/2013/NĐ-CP ngày 27 tháng 6 năm 2013 của Chính phủ quy định chi tiết một số điều và biện pháp thi hành Luật Phòng, chống tác hại của thuốc lá về kinh doanh thuốc lá;

-   Nghị định số 106/2017/NĐ-CP ngày 14 tháng 09 năm 2017 của Chính phủ sửa đổi, bổ sung một số điều của Nghị định số 67/2013/NĐ-CP ngày 27 tháng 6 năm 2013 của Chính phủ quy định chi tiết một số điều và biện pháp thi hành Luật Phòng, chống tác hại của thuốc lá về kinh doanh thuốc lá;

- Nghị định số 17/2020/NĐ-CP ngày 05/02/2020 của Chính phủ sửa đổi, bổ sung một số điều của các Nghị định liên quan đến điều kiện đầu tư kinh doanh thuộc lĩnh vực quản lý nhà nước của Bộ Công Thương;

-   Thông tư số 299/2016/TT-BTC ngày 15/11/2016 của Bộ Tài chính quy định mức thu, chế độ thu, nộp, quản lý và sử dụng phí thẩm định điều kiện kinh doanh để cấp Giấy phép sản xuất rượu, Giấy phép sản xuất thuốc lá;

-   Thông tư số 22/2018/TT-BTC ngày 22/02/2018 của Bộ Tài chính sửa đổi, bổ sung một số Điều của Thông tư số 299/2016/TT-BTC;

-   Thông tư số 168/2016/TT-BTC ngày 26/10/2016 của Bộ Tài chính quy định mức thu, chế độ thu, nộp, quản lý và sử dụng phí thẩm định kinh doanh hàng hoá, dịch vụ hạn chế kinh doanh; hàng hoá, dịch vụ kinh doanh có điều kiện thuộc lĩnh vực thương mại và lệ phí cấp Giấy phép thành lập Sở Giao dịch hàng hoá.

22

Cấp lại Giấy chứng nhận đủ điều kiện đầu tư trồng cây thuốc lá

07 ngày làm việc kể từ ngày nhận đủ hồ sơ hợp lệ

Bộ phận tiếp nhận và trả kết quả của Sở Công Thương tại Trung tâm Phục vụ hành chính công tỉnh

Tổ chức, cá nhân lựa chọn gửi hồ sơ, thủ tục hành chính (bao gồm cả nhận kết quả giải quyết) trong những cách thức sau:

-  Trực tiếp;

- Qua dịch vụ bưu chính;

- Dịch vụ công trực tuyến.

2.200.000đồng

- Nghị định số 67/2013/NĐ-CP ngày 27 tháng 6 năm 2013 của Chính phủ quy định chi tiết một số điều và biện pháp thi hành Luật Phòng, chống tác hại của thuốc lá về kinh doanh thuốc lá;

-  Thông tư số 21/2013/TT-BCT ngày 25 tháng 9 năm 2013 của Bộ Công Thương quy định chi tiết một số điều của Nghị định số 67/2013/NĐ-CP ngày 27 tháng 6 năm 2013 của Chính phủ quy định chi tiết một số điều và biện pháp thi hành Luật Phòng, chống tác hại của thuốc lá về kinh doanh thuốc lá;

-   Nghị định số 106/2017/NĐ-CP ngày 14 tháng 09 năm 2017 của Chính phủ sửa đổi, bổ sung một số điều của Nghị định số 67/2013/NĐ-CP ngày 27 tháng 6 năm 2013 của Chính phủ quy định chi tiết một số điều và biện pháp thi hành Luật Phòng, chống tác hại của thuốc lá về kinh doanh thuốc lá;

- Nghị định số 17/2020/NĐ-CP ngày 05/02/2020 của Chính phủ sửa đổi, bổ sung một số điều của các Nghị định liên quan đến điều kiện đầu tư kinh doanh thuộc lĩnh vực quản lý nhà nước của Bộ Công Thương;

- Thông tư số 299/2016/TT-BTC ngày 15/11/2016 của Bộ Tài chính quy định mức thu, chế độ thu, nộp, quản lý và sử dụng phí thẩm định điều kiện kinh doanh để cấp Giấy phép sản xuất rượu, Giấy phép sản xuất thuốc lá;

- Thông tư số 22/2018/TT-BTC ngày 22/02/2018 của Bộ Tài chính sửa đổi, bổ sung một số Điều của Thông tư số 299/2016/TT-BTC;

- Thông tư số 168/2016/TT-BTC ngày 26/10/2016 của Bộ Tài chính quy định mức thu, chế độ thu, nộp, quản lý và sử dụng phí thẩm định kinh doanh hàng hoá, dịch vụ hạn chế kinh doanh; hàng hoá, dịch vụ kinh doanh có điều kiện thuộc lĩnh vực thương mại và lệ phí cấp Giấy phép thành lập Sở Giao dịch hàng hoá.

23

Cấp sửa đổi, bổ sung Giấy chứng nhận đủ điều kiện đầu tư trồng cây thuốc lá

07 ngày làm việc kể từ ngày nhận đủ hồ sơ hợp lệ

Bộ phận tiếp nhận và trả kết quả của Sở Công Thương tại Trung tâm Phục vụ hành chính công tỉnh

Tổ chức, cá nhân lựa chọn gửi hồ sơ, thủ tục hành chính (bao gồm cả nhận kết quả giải quyết) trong những cách thức sau:

-  Trực tiếp;

- Qua dịch vụ bưu chính;

- Dịch vụ công trực tuyến.

2.200.000đồng

-  Nghị định số 67/2013/NĐ-CP ngày 27 tháng 6 năm 2013 của Chính phủ quy định chi tiết một số điều và biện pháp thi hành Luật Phòng, chống tác hại của thuốc lá về kinh doanh thuốc lá;

- Thông tư số 21/2013/TT-BCT ngày 25  tháng 9 năm 2013 của Bộ Công Thương quy định chi tiết một số điều của Nghị định số 67/2013/NĐ-CP ngày 27 tháng 6 năm 2013 của Chính phủ quy định chi tiết một số điều và biện pháp thi hành Luật Phòng, chống tác hại của thuốc lá về kinh doanh thuốc lá;

-   Nghị định số 106/2017/NĐ-CP ngày 14 tháng 09 năm 2017 của Chính phủ sửa đổi, bổ sung một số điều của Nghị định số 67/2013/NĐ-CP ngày 27 tháng 6 năm 2013 của Chính phủ quy định chi tiết một số điều và biện pháp thi hành Luật Phòng, chong tác hại của thuốc lá về kinh doanh thuốc lá;

-   Nghị định số 17/2020/NĐ-CP ngày 05/02/2020 của Chính phủ sửa đổi, bổ sung một số điều của các Nghị định liên quan đến điều kiện đầu tư kinh doanh thuộc lĩnh vực quản lý nhà nước của Bộ Công Thương;

- Thông tư số 299/2016/TT-BTC ngày 15/11/2016 của Bộ Tài chính quy định mức thu, chế độ thu, nộp, quản lý và sử dụng phí thẩm định điều kiện kinh doanh để cấp Giấy phép sản xuất rượu, Giấy phép sản xuất thuốc lá;

-   Thông tư số 22/2018/TT-BTC ngày 22/02/2018 của Bộ Tài chính sửa đổi, bổ sung một số Điều của Thông tư số 299/2016/TT-BTC;

-  Thông tư số 168/2016/TT-BTC ngày 26/10/2016 của Bộ Tài chính quy định mức thu, chế độ thu, nộp, quản lý và sử dụng phí thẩm định kinh doanh hàng hoá, dịch vụ hạn chế kinh doanh; hàng hoá, dịch vụ kinh doanh có điều kiện thuộc lĩnh vực thương mại và lệ phí cấp Giấy phép thành lập Sở Giao dịch hàng hoá.

24

Cấp Giấy phép sản xuất rượu công nghiệp (quy mô dưới 3 triệu lít/năm)

15 ngày làm việc kể từ ngày nhận đủ hồ sơ hợp lệ

Bộ phận tiếp nhận và trả kết quả của Sở Công Thương tại Trung tâm Phục vụ hành chính công tỉnh

Tổ chức, cá nhân lựa chọn gửi hồ sơ, thủ tục hành chính (bao gồm cả nhận kết quả giải quyết) trong những cách thức sau:

-  Trực tiếp;

- Qua dịch vụ bưu chính;

- Dịch vụ công trực tuyến.

2.200.000/ giấy phép

-   Nghị định số 105/2017/NĐ-CP ngày 14 tháng 09 năm 2017 của Chính phủ về kinh doanh rượu;

-   Nghị định số 17/2020/NĐ-CP, ngày 05/02/2020 của Chính phủ sửa đổi, bổ sung một số điều của các Nghị định liên quan đến điều kiện đầu tư kinh doanh thuộc lĩnh vực quản lý nhà nước của Bộ Công Thương;

-   Thông tư số 299/2016/TT-BTC ngày 15/11/2016 của Bộ Tài chính quy định mức thu, chế độ thu, nộp, quản lý và sử dụng phí thẩm định điều kiện kinh doanh để cấp Giấy phép sản xuất rượu, Giấy phép sản xuất thuốc lá;

-   Thông tư số 22/2018/TT-BTC ngày 22/02/2018 của Bộ Tài chính sửa đổi, bổ sung một số Điều của Thông tư số 299/2016/TT-BTC.

25

Cấp lại Giấy phép sản xuất rượu công nghiệp (quy mô dưới 3 triệu lít/năm)

07 ngày làm việc kể từ ngày nhận đủ hồ sơ hợp lệ

Bộ phận tiếp nhận và trả kết quả của Sở Công Thương tại Trung tâm Phục vụ hành chính công tỉnh

Tổ chức, cá nhân lựa chọn gửi hồ sơ, thủ tục hành chính (bao gồm cả nhận kết quả giải quyết) trong những cách thức sau:

-  Trực tiếp;

- Qua dịch vụ bưu chính;

- Dịch vụ công trực tuyến.

2.200.000/ giấy phép

-   Nghị định số 105/2017/NĐ-CP ngày 14 tháng 9 năm 2017 của Chính phủ về kinh doanh rượu;

-   Nghị định số 17/2020/NĐ-CP ngày 05/02/2020 của Chính phủ sửa đổi, bổ sung một số điều của các Nghị định liên quan đến điều kiện đầu tư kinh doanh thuộc lĩnh vực quản lý nhà nước của Bộ Công Thương;

- Thông tư số 299/2016/TT-BTC ngày 15/11/2016 của Bộ Tài chính quy định mức thu, chế độ thu, nộp, quản lý và sử dụng phí thẩm định điều kiện kinh doanh để cấp Giấy phép sản xuất rượu, Giấy phép sản xuất thuốc lá;

- Thông tư số 22/2018/TT-BTC ngày 22/02/2018 của Bộ Tài chính sửa đổi, bổ sung một số Điều của Thông tư số 299/2016/TT-BTC.

26

Cấp sửa đổi, bổ sung Giấy phép sản xuất rượu công nghiệp (quy mô dưới 3 triệu lít/năm)

07 ngày làm việc kể từ ngày nhận đủ hồ sơ hợp lệ

Bộ phận tiếp nhận và trả kết quả của Sở Công Thương tại Trung tâm Phục vụ hành chính công tỉnh

Tổ chức, cá nhân lựa chọn gửi hồ sơ, thủ tục hành chính (bao gồm cả nhận kết quả giải quyết) trong những cách thức sau:

-  Trực tiếp;

- Qua dịch vụ bưu chính;

- Dịch vụ công trực tuyến.

2.200.000/ giấy phép

-   Nghị định số 105/2017/NĐ-CP ngày 14 tháng 9 năm 2017 của Chính phủ về kinh doanh rượu;

-   Nghị định số 17/2020/NĐ-CP ngày 05/02/2020 của Chính phủ sửa đổi, bổ sung một số điều của các Nghị định liên quan đến điều kiện đầu tư kinh doanh thuộc lĩnh vực quản lý nhà nước của Bộ Công Thương;

-   Thông tư số 299/2016/TT-BTC ngày 15/11/2016 của Bộ Tài chính quy định mức thu, chế độ thu, nộp, quản lý và sử dụng phí thẩm định điều kiện kinh doanh để cấp Giấy phép sản xuất rượu, Giấy phép sản xuất thuốc lá. Thông tư SỐ 22/2018/TT-BTC ngày 22/02/2018 của Bộ Tài chính sửa đổi, bổ sung một số Điều của Thông tư Số 299/2016/TT- BTC.

Đang theo dõi

XI. LĨNH VỰC XÚC TIẾN THƯƠNG MẠI: 06 TTHC

1

Đăng ký hoạt động khuyến mại đối với chương trình khuyến mại mang tính may rủi thực hiện trên địa bàn 01 tỉnh, thành phố trực thuộc Trung ương

05 ngày làm việc kể từ ngày nhận đủ hồ sơ hợp lệ

Bộ phận tiếp nhận và trả kết quả của Sở Công Thương tại Trung tâm Phục vụ hành chính công tỉnh

Tổ chức, cá nhân lựa chọn gửi hồ sơ, thủ tục hành chính (bao gồm cả nhận kết quả giải quyết) trong những cách thức sau:

- Trực tiếp;

- Qua dịch vụ bưu chính;

- Dịch vụ công trực tuyến.

Không

Nghị định số 81/2018/NĐ-CP ngày 22/5/2018 của Chính phủ quy định chi tiết Luật Thương mại về hoạt động xúc tiến thương mại

2

Đăng ký sửa đổi, bổ sung nội dung chương trình khuyến mại đối với chương trình khuyến mại mang tính may rủi thực hiện trên địa bàn 01 tỉnh, thành phố trực thuộc Trung ương

05 ngày làm việc kể từ ngày nhận đủ hồ sơ hợp lệ

Bộ phận tiếp nhận và trả kết quả của Sở Công Thương tại Trung tâm Phục vụ hành chính công tỉnh

Tổ chức, cá nhân lựa chọn gửi hồ sơ, thủ tục hành chính (bao gồm cả nhận kết quả giải quyết) trong những cách thức sau:

- Trực tiếp;

- Qua dịch vụ bưu chính;

- Dịch vụ công trực tuyến.

Không

Nghị định số 81/2018/NĐ-CP ngày 22/5/2018 của Chính phủ quy định chi tiết Luật Thương mại về hoạt động xúc tiến thương mại.

3

Thông báo hoạt động khuyến mại

Không

Bộ phận tiếp nhận và trả kết quả của Sở Công Thương tại Trung tâm Phục vụ hành chính công tỉnh

Tổ chức, cá nhân lựa chọn gửi hồ sơ, thủ tục hành chính (bao gồm cả nhận kết quả giải quyết) trong những cách thức sau:

- Trực tiếp;

- Qua dịch vụ bưu chính;

- Dịch vụ công trực tuyến.

Không

Nghị định số 81/2018/NĐ-CP ngày 22/5/2018 của Chính phủ quy định chi tiết Luật Thương mại về hoạt động xúc tiến thương mại

4

Thông báo sửa đổi, bổ sung nội dung Chương trình khuyến mại

Không

Bộ phận tiếp nhận và trả kết quả của Sở Công Thương tại Trung tâm Phục vụ hành chính công tỉnh

Tổ chức, cá nhân lựa chọn gửi hồ sơ, thủ tục hành chính (bao gồm cả nhận kết quả giải quyết) trong những cách thức sau:

- Trực tiếp;

- Qua dịch vụ bưu chính;

- Dịch vụ công trực tuyến.

Không

Nghị định số 81/2018/NĐ-CP ngày 22/5/2018 của Chính phủ quy định chi tiết Luật Thương mại về hoạt động xúc tiến thương mại

5

Đăng ký tổ chức hội chợ, triển lãm thương mại tại Việt Nam

05 ngày làm việc kể từ ngày nhận đủ hồ sơ hợp lệ

Bộ phận tiếp nhận và trả kết quả của Sở Công Thương tại Trung tâm Phục vụ hành chính công tỉnh

Tổ chức, cá nhân lựa chọn gửi hồ sơ, thủ tục hành chính (bao gồm cả nhận kết quả giải quyết) trong những cách thức sau:

- Trực tiếp;

- Qua dịch vụ bưu chính;

- Dịch vụ công trực tuyến.

Không

Nghị định số 81/2018/NĐ-CP ngày 22/5/2018 của Chính phủ quy định chi tiết Luật Thương mại về hoạt động xúc tiến thương mại.

6

Đăng ký sửa đổi, bổ sung nội dung tổ chức hội chợ, triển lãm thương mại tại Việt Nam

05 ngày làm việc kể từ ngày nhận đủ hồ sơ hợp lệ

Bộ phận tiếp nhận và trả kết quả của Sở Công Thương tại Trung tâm Phục vụ hành chính công tỉnh

Tổ chức, cá nhân lựa chọn gửi hồ sơ, thủ tục hành chính (bao gồm cả nhận kết quả giải quyết) trong những cách thức sau:

- Trực tiếp;

- Qua dịch vụ bưu chính;

- Dịch vụ công trực tuyến.

Không

Nghị định số 81/2018/NĐ-CP ngày 22/5/2018 của Chính phủ quy định chi tiết Luật Thương mại về hoạt động xúc tiến thương mại.

XII. LĨNH VỰC DỊCH VỤ THƯƠNG MẠI: 02 TTHC

1

Đăng ký dấu nghiệp vụ giám định thương mại

05 ngày làm việc kể từ ngày nhận đủ hồ sơ hợp lệ

Bộ phận tiếp nhận và trả kết quả của Sở Công Thương tại Trung tâm Phục vụ hành chính công tỉnh

Tổ chức, cá nhân lựa chọn gửi hồ sơ, thủ tục hành chính (bao gồm cả nhận kết quả giải quyết) trong những cách thức sau:

- Trực tiếp;

- Qua dịch vụ bưu chính;

- Dịch vụ công trực tuyến.

20.000/giấy phép

- Nghị định số 20/2006/NĐ-CP ngày 20/02/2006 của Chính phủ quy định chi tiết Luật Thương mại về kinh doanh dịch vụ giám định thương mại;

-   Nghị định số 125/2014/NĐ-CP ngày 29/12/2014 của Chính phủ sửa đổi, bổ sung quy định về dịch vụ giám định thương mại tại Nghị định số 120/2011/NĐ-CP ngày 16 12/2011;

-  Thông tư số 01/2015/TT-BCT ngày 12 tháng 01 năm 2015 của Bộ trưởng Bộ Công Thương quy định thủ tục đăng ký dấu nghiệp vụ của thương nhân kinh doanh dịch vụ giám định thương mại;

- Quyết định số 58/2006/QĐ-BTC ngày 20/10/2006 của Bộ Tài chính về quy định chế độ thu nộp quản lý và sử dụng lệ phí đăng ký dấu nghiệp vụ kinh doanh dịch vụ giám định thương mại.

2

Đăng ký thay đổi dấu nghiệp vụ giám định thương mại

05 ngày làm việc kể từ ngày nhận đủ hồ sơ hợp lệ

Bộ phận tiếp nhận và trả kết quả của Sở Công Thương tại Trung tâm Phục vụ hành chính công tỉnh

Tổ chức, cá nhân lựa chọn gửi hồ sơ, thủ tục hành chính (bao gồm cả nhận kết quả giải quyết) trong những cách thức sau:

- Trực tiếp;

- Qua dịch vụ bưu chính;

- Cổng dịch vụ công trực tuyến.

20.000/giấy phép

-   Nghị định số 20/2006/NĐ-CP ngày 20/02/2006 của Chính phủ quy định chi tiết Luật Thương mại về kinh doanh dịch vụ giám định thương mại;

-   Nghị định số 125/2014/NĐ-CP ngày 29/12/2014 của Chính phủ sửa đổi, bổ sung quy định về dịch vụ giám định thương mại tại Nghị định số 120/2011/NĐ-CP ngày 16 12/2011;

-  Thông tư số 01/2015/TT-BCT ngày 12 tháng 01 năm 2015 của Bộ trưởng Bộ Công Thương quy định thủ tục đăng ký dấu nghiệp vụ của thương nhân kinh doanh dịch vụ giám định thương mại;

-   Quyết định số 58/2006/QĐ-BTC ngày 20/10/2006 của Bộ Tài chính về quy định chế độ thu nộp quản lý và sử dụng lệ phí đăng ký dấu nghiệp vụ kinh doanh dịch vụ giám định thương mại.

XIII. LĨNH VỰC QUẢN LÝ CẠNH TRANH: 05 TTHC

1

Đăng ký hợp đồng theo mẫu và điều kiện giao dịch chung thuộc thẩm quyền của Sở Công Thương

12 ngày làm việc kể từ ngày nhận đủ hồ sơ hợp lệ

Bộ phận tiếp nhận và trả kết quả của Sở Công Thương tại Trung tâm Phục vụ hành chính công tỉnh

Tổ chức, cá nhân lựa chọn gửi hồ sơ, thủ tục hành chính (bao gồm cả nhận kết quả giải quyết) trong những cách thức sau:

- Trực tiếp;

- Qua dịch vụ bưu chính;

- Cổng dịch vụ công trực tuyến.

Không

-   Nghị định số 99/2011/NĐ-CP ngày 27/10/2011 của Chính phủ quy định chi tiết và hướng dẫn thi hành một số điều của Luật Bảo vệ quyền lợi người tiêu dùng;

-   Thông tư số 10/2013/TT-BCT ngày 30/5/2013 của Bộ trưởng Bộ Công Thương về việc ban hành mẫu đơn đăng ký hợp đồng theo mẫu/điều kiện giao dịch chung.

2

Đăng ký hoạt động bán hàng đa cấp tại địa phương

05 ngày làm việc kể từ ngày nhận đủ hồ sơ hợp lệ

Bộ phận tiếp nhận và trả kết quả của Sở Công Thương tại Trung tâm Phục vụ hành chính công tỉnh

Tổ chức, cá nhân lựa chọn gửi hồ sơ, thủ tục hành chính (bao gồm cả nhận kết quả giải quyết) trong những cách thức sau:

- Trực tiếp;

- Qua dịch vụ bưu chính;

- Cổng dịch vụ công trực tuyến.

Không

Nghị định 40/2018/NĐ-CP ngày 12/3/2018 của Chính phủ về quản lý hoạt động kinh doanh theo phương thức đa cấp

3

Đăng ký sửa đổi bổ sung nội dung hoạt động bán hàng đa cấp tại địa phương

05 ngày làm việc kể từ ngày nhận đủ hồ sơ hợp lệ

Bộ phận tiếp nhận và trả kết quả của Sở Công Thương tại Trung tâm Phục vụ hành chính công tỉnh

Tổ chức, cá nhân lựa chọn gửi hồ sơ, thủ tục hành chính (bao gồm cả nhận kết quả giải quyết) trong những cách thức sau:

- Trực tiếp;

- Qua dịch vụ bưu chính;

Không

Nghị định số 40/2018/NĐ-CP ngày 12/3/2018 của Chính, phủ về quản lý hoạt động kinh doanh theo phương thức đa cấp

4

Chấm dứt hoạt động bán hàng đa cấp tại địa phương

07 ngày làm việc kể từ ngày nhận đủ hồ sơ hợp lệ

Bộ phận tiếp nhận và trả kết quả của Sở Công Thương tại Trung tâm Phục vụ hành chính công tỉnh

Tổ chức, cá nhân lựa chọn gửi hồ sơ, thủ tục hành chính (bao gồm cả nhận kết quả giải quyết) trong những cách thức sau:

- Trực tiếp;

- Qua dịch vụ bưu chính;

Không

Nghị định số 40/2018/NĐ-CP ngày 12/3/2018 của Chính phủ về quản lý hoạt động kinh doanh theo phương thức đa cấp.

5

Thông báo tổ chức hội nghị, hội thảo, đào tạo

05 ngày làm việc kể từ ngày nhận đủ hồ sơ hợp lệ

Bộ phận tiếp nhận và trả kết quả của Sở Công Thương tại Trung tâm Phục vụ hành chính công tỉnh

Tổ chức, cá nhân lựa chọn gửi hồ sơ, thủ tục hành chính (bao gồm cả nhận kết quả giải quyết) trong những cách thức sau:

- Trực tiếp;

- Qua dịch vụ bưu chính;

Không

Nghị định số 40/2018/NĐ-CP ngày 12/3/2018 của Chính phủ về quản lý hoạt động kinh doanh theo phương thức đa cấp

XIV. LĨNH VỰC VẬT LIỆU NỔ CÔNG NGHIỆP, TIỀN CHẤT THUỐC NỔ: 07 TTHC

1

Cấp giấy phép sử dụng vật liệu nổ công nghiệp thuộc thẩm quyền giải quyết của Sở Công Thương

04 ngày làm việc kể từ ngày nhận đủ hồ sơ hợp lệ

Bộ phận tiếp nhận và trả kết quả của Sở Công Thương tại Trung tâm Phục vụ hành chính công tỉnh

Tổ chức, cá nhân lựa chọn gửi hồ sơ, thủ tục hành chính (bao gồm cả nhận kết quả giải quyết) trong những cách thức sau:

- Trực tiếp;

- Qua dịch vụ bưu chính;

- Dịch vụ công trực tuyến.

+ Phục vụ thi công, phá dỡ công trình:

4.000.000 đồng/giấy phép;

+ Phục vụ tìm kiếm, thăm dò, khai thác trên đất liền:

3.500.000 đồng/giấy phép;

+ Phục vụ nghiên cứu, kiểm định, thử nghiệm: 2.000.000 đồng/giấy phép.

-  Luật số 14/2017/QH14 năm 2017 của Quốc hội về quản lý, sử dụng vũ khí, vật liệu nổ và công cụ hỗ trợ;

-   Nghị định số 71/2018/NĐ-CP ngày 15/5/2018 của Chính phủ quy định chi tiết một số điều của Luật quản lý, sử dụng vũ khí, vật liệu nổ và công cụ hỗ trợ về vật liệu nổ công nghiệp và tiền chất thuốc nổ;

-   Thông tư số 13/2018/TT-BCT ngày 15/6/2018 của Bộ Công Thương quy định về quản lý, sử dụng vật liệu nổ công nghiệp, tiền chất thuốc nổ sử dụng để sản xuất vật liệu nổ công nghiệp;

-   Thông tư số 148/2016/TT-BTC ngày 14/10/2016 của Bộ trưởng Bộ Tài chính quy định mức thu, chế độ thu, nộp, quản lý và sử dụng phí thẩm định cấp phép sử dụng vật liệu nổ công nghiệp.

2

Cấp lại Giấy phép sử dụng vật liệu nổ công nghiệp thuộc thẩm quyền của Sở Công Thương

04 ngày làm việc kể từ ngày nhận đủ hồ sơ hợp lệ

Bộ phận tiếp nhận và trả kết quả của Sở Công Thương tại Trung tâm Phục vụ hành chính công tỉnh

Tổ chức, cá nhân lựa chọn gửi hồ sơ, thủ tục hành chính (bao gồm cả nhận kết quả giải quyết) trong những cách thức sau:

- Trực tiếp;

- Qua dịch vụ bưu chính;

- Dịch vụ công trực tuyến.

- Phục vụ thi công, phá dỡ công trình:

2.000.000 đồng/giấy phép;

-   Phục vụ tìm

kiếm, thăm dò, khai thác trên đất liền:

1.750.000 đồng /giấy phép;

Phục vụ nghiên cứu, kiểm định, thử nghiệm: 1.000.000 đồng /giấy phép;

-  Luật số 14/2017/QH14 năm 2017 của Quốc hội về quản lý, sử dụng vũ khí, vật liệu nổ và công cụ hỗ trợ;

-   Nghị định số 71/2018/NĐ-CP ngày 15/5/2018 của Chính phủ quy định chi tiết một số điều của Luật quản lý, sử dụng vũ khí, vật liệu nổ và công cụ hỗ trợ về vật liệu nổ công nghiệp và tiền chất thuốc nổ;

-   Thông tư số 13/2018/TT-BCT ngày 15/6/2018 của Bộ Công Thương quy định về quản lý, sử dụng vật liệu nổ công nghiệp, tiền chất thuốc nổ sử dụng để sản xuất vật liệu nổ công nghiệp;

-   Thông tư số 148/2016/TT-BTC ngày 14/10/2016 của Bộ trưởng Bộ Tài chính quy định mức thu, chế độ thu, nộp, quản lý và sử dụng phí thẩm định cấp phép sử dụng vật liệu nổ công nghiệp.

3

Thu hồi Giấy phép sử dụng vật liệu nổ công nghiệp thuộc thẩm quyền giải quyết của Sở Công Thương

04 ngày làm việc kể từ ngày nhận đủ hồ sơ hợp lệ

Bộ phận tiếp nhận và trả kết quả của Sở Công Thương tại Trung tâm Phục vụ hành chính công tỉnh

Tổ chức, cá nhân lựa chọn gửi hồ sơ, thủ tục hành chính (bao gồm cả nhận kết quả giải quyết) trong những cách thức sau:

- Trực tiếp;

- Qua dịch vụ bưu chính;

Không

-  Luật số 14/2017/QH14 năm 2017 của Quốc hội về quản lý, sử dụng vũ khí, vật liệu nổ và công cụ hỗ trợ;

- Nghị định số 71/2018/NĐ-CP ngày 15/5/2018 của Chính phủ quy định chi tiết một số điều của Luật quản lý, sử dụng vũ khí, vật liệu nổ và công cụ hỗ trợ về vật liệu nổ công nghiệp và tiền chất thuốc nổ;

- Thông tư số 13/2018/TT-BCT ngày 15/6/2018 của Bộ Công Thương quy định về quản lý, sử dụng vật liệu nổ công nghiệp, tiền chất thuốc nổ sử dụng để sản xuất vật liệu nổ công nghiệp.

4

Cấp Giấy chứng nhận huấn luyện kỹ thuật an toàn vật liệu nổ công nghiệp thuộc thẩm quyền giải quyết của Sở Công Thương

12 ngày làm việc kể từ ngày nhận đủ hồ sơ hợp lệ

Bộ phận tiếp nhận và trả kết quả của Sở Công Thương tại Trung tâm Phục vụ hành chính công tỉnh

Tổ chức, cá nhân lựa chọn gửi hồ sơ, thủ tục hành chính (bao gồm cả nhận kết quả giải quyết) trong những cách thức sau:

- Trực tiếp;

- Qua dịch vụ bưu chính;

Không

-  Luật số 14/2017/QH14 năm 2017 của Quốc hội về quản lý, sử dụng vũ khí, vật liệu nổ và công cụ hỗ trợ;

-   Nghị định số 71/2018/NĐ-CP ngày 15/5/2018 của Chính phủ quy định chi tiết một số điều của Luật quản lý, sử dụng vũ khí, vật liệu nổ và công cụ hỗ trợ về vật liệu nổ công nghiệp và tiền chất thuốc nổ;

-   Thông tư số 13/2018/TT-BCT ngày 15/6/2018 của Bộ Công Thương quy định về quản lý, sử dụng vật liệu nổ công nghiệp, tiền chất thuốc nổ sử dụng để sản xuất vật liệu nổ công nghiệp.

5

Cấp lại Giấy chứng nhận huấn luyện kỹ thuật an toàn vật liệu nổ công nghiệp thuộc thẩm quyền giải quyết của Sở Công Thương

03 ngày làm việc kể từ ngày nhận đủ hồ sơ hợp lệ

Bộ phận tiếp nhận và trả kết quả của Sở Công Thương tại Trung tâm Phục vụ hành chính công tỉnh

Tổ chức, cá nhân lựa chọn gửi hồ sơ, thủ tục hành chính (bao gồm cả nhận kết quả giải quyết) trong những cách thức sau:

- Trực tiếp;

- Qua dịch vụ bưu chính;

Không

- Luật số 14/2017/QH14 năm 2017 của Quốc hội về quản lý, sử dụng vũ khí, vật liệu nổ và công cụ hỗ trợ;

-   Nghị định số 71/2018/NĐ-CP ngày 15/5/2018 của Chính phủ quy định chi tiết một số điều của Luật quản lý, sử dụng vũ khí, vật liệu nổ và công cụ hỗ trợ về vật liệu nổ công nghiệp và tiền chất thuốc nổ;

- Thông tư số 13/2018/TT-BCT ngày 15/6/2018 của Bộ Công Thương quy định về quản lý, sử dụng vật liệu nổ công nghiệp, tiền chất thuốc nổ sử dụng để sản xuất vật liệu nổ công nghiệp.

6

Cấp Giấy chứng nhận huấn luyện kỹ thuật an toàn tiền chất thuốc nổ

12 ngày làm việc kể từ ngày nhận đủ hồ sơ hợp lệ

Bộ phận tiếp nhận và trả kết quả của Sở Công Thương tại Trung tâm Phục vụ hành chính công tỉnh

Tổ chức, cá nhân lựa chọn gửi hồ sơ, thủ tục hành chính (bao gồm cả nhận kết quả giải quyết) trong những cách thức sau:

- Trực tiếp;

- Qua dịch vụ bưu chính;

Không

-  Luật Quản lý, sử dụng vũ khí, vật liệu nổ và công cụ hỗ trợ năm 2017;

-  Nghị định số 71/2018/NĐ-CP ngày 15 tháng 5 năm 2018 của Chính phủ quy định chi tiết một số điều của Luật Quản lý, sử dụng vũ khí, vật liệu nổ và công cụ hỗ trợ về vật liệu nổ công nghiệp và tiền chất thuốc nổ;

-  Thông tư số 13/2018/TT-BCT ngày 15 tháng 6 năm 2018 của Bộ trưởng Bộ Công Thương quy định về Quản lý, sử dụng vật liệu nổ công nghiệp, tiền chất thuốc nổ sử dụng để sản xuất vật liệu nổ công nghiệp.

7

Cấp lại Giấy chứng nhận huấn luyện kỹ thuật an toàn tiền chất thuốc nổ

03 ngày làm việc kể từ ngày nhận đủ hồ sơ hợp lệ

Bộ phận tiếp nhận và trả kết quả của Sở Công Thương tại Trung tâm Phục vụ hành chính công tỉnh

Tổ chức, cá nhân lựa chọn gửi hồ sơ, thủ tục hành chính (bao gồm cả nhận kết quả giải quyết) trong những cách thức sau:

- Trực tiếp;

- Qua dịch vụ bưu chính;

Không

-  Luật Quản lý, sử dụng vũ khí, vật liệu nổ và công cụ hỗ trợ năm 2017;

-  Nghị định số 71/2018/NĐ-CP ngày 15 tháng 5 năm 2018 của Chính phủ quy định chi tiết một số điều của Luật Quản lý, sử dụng vũ khí, vật liệu nổ và công cụ hỗ trợ về vật liệu nổ công nghiệp và tiền chất thuốc nổ;

-  Thông tư số 13/2018/TT-BCT ngày 15 tháng 6 năm 2018 của Bộ trưởng Bộ Công Thương quy định về quản lý, sử dụng vật liệu nổ công nghiệp, tiền chất thuốc nổ sử dụng để sản xuất vật liệu nổ công nghiệp.

XV. LĨNH VỰC XUẤT NHẬP KHẨU: 01 TTHC

1

Thủ tục lựa chọn thương nhân được phép tái xuất hàng hóa tạm nhập, tái xuất có điều kiện và hàng hóa tạm nhập, tái xuất theo giấy phép qua cửa khẩu phụ, lối mở biên giới

10 ngày làm việc kể từ ngày nhận đủ hồ sơ hợp lệ

Bộ phận tiếp nhận và trả kết quả của Sở Công Thương tại Trung tâm Phục vụ hành chính công tỉnh

Tổ chức, cá nhân lựa chọn gửi hồ sơ, thủ tục hành chính (bao gồm cả nhận kết quả giải quyết) trong những cách thức sau:

- Trực tiếp;

- Qua dịch vụ bưu chính;

Không

- Nghị định số 69/2018/NĐ-CP ngày 15 tháng 5 năm 2018 của Chính phủ quy định chi tiết một số điều của Luật Quản lý ngoại thương;

- Thông tư số 12/2018/TT-BCT ngày 15 tháng 6 năm 2018 của Bộ Công thương Quy định chi tiết một số điều của Luật Quản lý ngoại thương và Nghị định số 69/2018/NĐ-CP ngày 15 tháng 5 năm 2018 của Chính phủ quy định chi tiết một số điều của Luật Quản lý ngoại thương.

XVI. LĨNH VỰC THƯƠNG MẠI BIÊN GIỚI VÀ MIỀN NÚI: 01 TTHC

1

Đăng ký thương nhân hoạt động thương mại biên giới Việt Nam - Lào

05 ngày làm việc kể từ ngày nhận đủ hồ sơ hợp lệ

Bộ phận tiếp nhận và trả kết quả của Sở Công Thương tại Trung tâm Phục vụ hành chính công tỉnh

Tổ chức, cá nhân lựa chọn gửi hồ sơ, thủ tục hành chính (bao gồm cả nhận kết quả giải quyết) trong những cách thức sau:

- Trực tiếp;

- Qua dịch vụ bưu chính;

Không

-  Nghị định số 14/2018/NĐ-CP ngày 23 tháng 01 năm 2018 của Chính phủ quy định chi tiết về hoạt động thương mại biên giới;

-   Thông tư số 56/2018/TT-BCT ngày 26 tháng 12 năm 2018 của Bộ Công Thương hướng dẫn thực hiện một số điều của Hiệp định Thương mại biên giới giữa Chính phủ nước Cộng hòa xã hội chủ nghĩa Việt Nam và Chính phủ nước Cộng hòa dân chủ nhân dân Lào.

XVII. LĨNH VỰC CÔNG NGHIỆP ĐỊA PHƯƠNG: 01 TTHC

1

Cấp Giấy chứng nhận sản phẩm công nghiệp nông thôn tiêu biểu cấp tỉnh

30 ngày làm việc kể từ ngày nhận đủ hồ sơ hợp lệ

Bộ phận tiếp nhận và trả kết quả của Sở Công Thương tại Trung tâm Phục vụ hành chính công tỉnh

Tổ chức, cá nhân lựa chọn gửi hồ sơ, thủ tục hành chính (bao gồm cả nhận kết quả giải quyết) trong những cách thức sau:

- Trực tiếp;

- Qua dịch vụ bưu chính;

Không

-  Nghị định số 45/2012/NĐ-CP ngày 21 tháng 5 năm 2012 của Chính phủ về khuyến công;

- Thông tư số 46/2012/TT-BCT ngày 28 tháng 12 năm 2012 của Bộ Công Thương quy định chi tiết một số nội dung của Nghị định số 45/2012/NĐ-CP ngày 21 tháng 5 năm 2012 của Chính phủ về khuyến công;

-  Thông tư số 26/2014/TTLT-BTC-BCT ngày 18 tháng 02 năm 2014 của Bộ Tài chính và Bộ Công Thương hướng dẫn về trình tự lập, quản lý, sử dụng kinh phí khuyến công quốc gia và kinh phí khuyến công địa phương;

-  Thông tư số 26/2014/TT-BCT ngày 28 tháng 8 năm 2014 của Bộ Công Thương quy định về bình chọn sản phẩm công nghiệp nông thôn tiêu biểu.

XVIII. LĨNH VỰC CÔNG NGHIỆP NẶNG: 01 TTHC

1

Cấp Giấy xác nhận ưu đãi dự án sản xuất sản phẩm công nghiệp hỗ trợ thuộc Danh mục sản phẩm công nghiệp hỗ trợ ưu tiên phát triển đối với các doanh nghiệp nhỏ và vừa

15 ngày làm việc kể từ ngày nhận đủ hồ sơ hợp lệ

Bộ phận tiếp nhận và trả kết quả của Sở Công Thương tại Trung tâm Phục vụ hành chính công tỉnh

Tổ chức, cá nhân lựa chọn gửi hồ sơ, thủ tục hành chính (bao gồm cả nhận kết quả giải quyết) trong những cách thức sau:

- Trực tiếp;

- Qua dịch vụ bưu chính;

Không

-   Nghị định số 111/2015/NĐ-CP ngày 03 tháng 11 năm 2015 của Chính phủ về phát triển công nghiệp hỗ trợ.

-  Thông tư số 55/2015/TT-BCT ngày 30 tháng 12 năm 2015 của Bộ trưởng Bộ Công Thương của Bộ trưởng Bộ Công Thương quy định trình tự, thủ tục xác nhận ưu đãi và hậu kiểm ưu đãi đối với các Dự án sản xuất sản phẩm công nghiệp hỗ trợ thuộc Danh mục sản phẩm công nghiệp hỗ trợ ưu tiên phát triển.

Đang theo dõi

B. CẤP HUYỆN: 15 danh mục thủ tục hành chính (TTHC)

STT

Tên thủ tục hành chính

Thời gian giải quyết

Địa điểm thực hiện

Cách thức thực hiện

Phí, lệ phí ( đồng)

Căn cứ pháp lý

I. LĨNH VỰC LƯU THÔNG HÀNG HÓA TRONG NƯỚC: 09 TTHC

1

Cấp Giấy phép bán lẻ sản phẩm thuốc lá

10 ngày làm việc kể từ ngày nhận đủ hồ sơ hợp lệ

Bộ phận tiếp nhận và trả kết quả cấp huyện, thành phố

Tổ chức, cá nhân lựa chọn gửi hồ sơ, thủ tục hành chính (bao gồm cả nhận kết quả giải quyết) trong những cách thức sau:

-  Trực tiếp;

- Qua dịch vụ bưu chính.

- Đối với tổ chức, doanh nghiệp:

+ Tại thành phố: 1.200.000 đồng/ giấy phép

+ Tại các huyện: 600.000 đồng/giấy phép

- Đối với hộ kinh doanh cá thể:

+ Tại thành phố: 400.000đồng /giấy phép

+ Tại các huyện: 200.000đồng/ giấy phép

-   Nghị định số 67/2013/NĐ-CP ngày 27 tháng 6 năm 2013 của Chính phủ quy định chi tiết một số điều và biện pháp thi hành Luật Phòng, chống tác hại của thuốc lá về kinh doanh thuốc lá;

-   Nghị định số 106/2017/NĐ-CP ngày 14/9/2017 sửa đổi, bổ sung một số điều của nghị định số 67/2013/NĐ-CP;

-   Nghị định số 17/2020/NĐ-CP ngày 05/02/2020 của Chính phủ sửa đổi, bổ sung một số điều của các Nghị định liên quan đến điều kiện đầu tư kinh doanh thuộc lĩnh vực quản lý nhà nước của Bộ Công Thương;

-  Thông tư số 21/2013/TT-BCT ngày 25 tháng 9 năm 2013 của Bộ Công thương quy định chi tiết một số điều của Nghị định 67/2013/NĐ-CP ngày 27 tháng 6 năm 2013 của Chính phủ quy định chi tiết một số điều của biện pháp thi hành Luật Phòng, chống tác hại của thuốc lá về kinh doanh thuốc lá;

-   Thông tư số 168/2016/TT-BTC ngày 26/10/2016 của Bộ Tài Chính quy định việc thu, nộp, quản lý và sử dụng phí thẩm định kinh doanh hàng hóa, dịch vụ hạn chế kinh doanh, kinh doanh có điều kiện trong lĩnh vực thương mại và lệ phí cấp Giấy phép thành lập Sở giao dịch hàng hóa.

2

Cấp lại Giấy phép bán lẻ sản phẩm thuốc lá

07 ngày làm việc kể từ ngày nhận đủ hồ sơ hợp lệ

Bộ phận tiếp nhận và trả kết quả cấp huyện, thành phố

Tổ chức, cá nhân lựa chọn gửi hồ sơ, thủ tục hành chính (bao gồm cả nhận kết quả giải quyết) trong những cách thức sau:

-  Trực tiếp;

- Qua dịch vụ bưu chính.

Không

-  Nghị định số 67/2013/NĐ-CP ngày 27 tháng 6 năm 2013 của Chính phủ quy định chi tiết một số điều và biện pháp thi hành Luật Phòng, chống tác hại của thuốc lá về kinh doanh thuốc lá;

-   Nghị định số 106/2017/NĐ-CP ngày 14/9/2017 sửa đổi, bổ sung một số điều của nghị định số 67/2013/NĐ;

- Nghị định số 17/2020/NĐ-CP ngày 05/02/2020 của Chính phủ sửa đổi, bổ sung một số điều của các Nghị định liên quan đến điều kiện đầu tư kinh doanh thuộc lĩnh vực quản lý nhà nước của Bộ Công Thương;

- Thông tư số 21/2013/TT-BCT ngày 25 tháng 9 năm 2013 của Bộ Công thương quy định chi tiết một số điều của Nghị định 67/2013/NĐ-CP ngày 27 tháng 6 năm 2013 của Chính phủ quy định chi tiết một số điều của biện pháp thi hành Luật Phòng, chống tác hại của thuốc lá về kinh doanh thuốc lá.

3

Cấp sửa đổi, bổ sung Giấy phép bán lẻ sản phẩm thuốc lá

07 ngày làm việc kể từ ngày nhận đủ hồ sơ hợp lệ

Bộ phận tiếp nhận và trả kết quả cấp huyện, thành phố

Tổ chức, cá nhân lựa chọn gửi hồ sơ, thủ tục hành chính (bao gồm cả nhận kết quả giải quyết) trong những cách thức sau:

-  Trực tiếp;

- Qua dịch vụ bưu chính.

- Đối với tổ chức, doanh nghiệp:

+ Tại thành phố: 1.200.000 đồng/ giấy phép

+ Tại các huyện: 600.000 đồng/giấy phép

- Đối với hộ kinh doanh cá thể:

+ Tại thành phố: 400.000đồng /giấy phép

+ Tại các huyện: 200.000đồng/ giấy phép

-  Nghị định số 67/2013/NĐ-CP ngày 27 tháng 6 năm 2013 của Chính phủ quy định chi tiết một số điều và biện pháp thi hành Luật Phòng, chống tác hại của thuốc lá về kinh doanh thuốc lá;

-   Nghị định số 106/2017/NĐ-CP ngày 14/9/2017 sửa đổi, bổ sung một số điều của nghị định số 67/2013/NĐ-CP ngày 27 tháng 6 năm 2013 của Chính phủ;

- Nghị định số 17/2020/NĐ-CP, ngày 05/02/2020 của Chính phủ sửa đổi, bổ sung một số điều của các Nghị định liên quan đến điều kiện đầu tư kinh doanh thuộc lĩnh vực quản lý nhà nước của Bộ Công Thương;

-  Thông tư số 21/2013/TT-BCT ngày 25 tháng 9 năm 2013 của Bộ Công thương quy định chi tiết một số điều của Nghị định 67/2013/NĐ-CP ngày 27 tháng 6 năm 2013 của Chính phủ quy định chi tiết một số điều của biện pháp thi hành Luật Phòng, chống tác hại của thuốc lá về kinh doanh thuốc lá;

-   Thông tư số 168/2016/TT-BTC ngày 26/10/2016 của Bộ Tài Chính quy định việc thu, nộp, quản lý và sử dụng phí thẩm định kinh doanh hàng hóa, dịch vụ hạn chế kinh doanh, kinh doanh có điều kiện trong lĩnh vực thương mại và lệ phí cấp Giấy phép thành lập Sở giao dịch hàng hóa.

4

Cấp giấy phép bán lẻ rượu

10 ngày làm việc kể từ ngày nhận đủ hồ sơ hợp lệ

Bộ phận tiếp nhận và trả kết quả cấp huyện, thành phố

Tổ chức, cá nhân lựa chọn gửi hồ sơ, thủ tục hành chính (bao gồm cả nhận kết quả giải quyết) trong những cách thức sau:

-  Trực tiếp;

- Qua dịch vụ bưu chính.

- Đối với tổ chức, doanh nghiệp:

+ Tại thành

phố: 1.200.000 đồng/ giấy phép

+ Tại các huyện: 600.000

đồng/giấy phép

- Đối với hộ kinh doanh cá thể:

+ Tại thành phố:

400.000 đồng /giấy phép

+ Tại các huyện:

200.000đồng/ giấy phép

-   Nghị định số 105/2017/NĐ-CP ngày 14/9/2017 của Chính phủ về kinh doanh

rượu;

- Nghị định số 17/2020/NĐ-CP ngày 05/02/2020 của Chính phủ sửa đổi, bổ sung một số điều của các Nghị định liên quan đến điều kiện đầu tư kinh doanh thuộc lĩnh vực quản lý nhà nước của Bộ Công Thương;

- Thông tư số 168/2016/TT-BTC ngày 26/10/2016 của Bộ Tài Chính quy định mức thu, chế độ thu, nộp, quản lý và sử dụng phí thẩm định kinh doanh hàng hoá, dịch vụ hạn chế kinh doanh; hàng hoá, dịch vụ kinh doanh có điều kiện thuộc lĩnh vực thương mại và lệ phí cấp giấy phép thành lập sở giao dịch hàng hoá.

5

Cấp sửa đổi, bổ sung Giấy phép bán lẻ rượu

07 ngày làm việc kể từ ngày nhận đủ hồ sơ hợp lệ

Bộ phận tiếp nhận và trả kết quả cấp huyện, thành phố

Tổ chức, cá nhân lựa chọn gửi hồ sơ, thủ tục hành chính (bao gồm cả nhận kết quả giải quyết) trong những cách thức sau:

-  Trực tiếp;

- Qua dịch vụ bưu chính.

-    Đối với tổ chức, doanh nghiệp:

+ Tại thành phố: 1.200.000 đồng/ giấy phép

+ Tại các huyện: 600.000 đồng/giấy phép

- Đối với hộ kinh doanh cá thể:

+ Tại thành phố:

400.000đồng/ giấy phép

+ Tại các huyện: 200.000đồng/ giấy phép

-   Nghị định số 105/2017/NĐ-CP ngày 14/9/2017 của Chính phủ về kinh doanh rượu;

-   Nghị định số 17/2020/NĐ-CP, ngày 05/02/2020 của Chính phủ sửa đổi, bổ sung một số điều của các Nghị định liên quan đến điều kiện đầu tư kinh doanh thuộc lĩnh vực quản lý nhà nước của Bộ Công Thương;

-   Thông tư số 168/2016/TT-BTC ngày 26/10/2016 của Bộ Tài Chính quy định mức thu, chế độ thu, nộp, quản lý và sử dụng phí thẩm định kinh doanh hàng hoá, dịch vụ hạn chế kinh doanh; hàng hoá, dịch vụ kinh doanh có điều kiện thuộc lĩnh vực thương mại và lệ phí cấp giấy phép thành lập sở giao dịch hàng hoá.

6

Cấp lại Giấy phép bán lẻ rượu

05 ngày làm việc kể từ ngày nhận đủ hồ sơ hợp lệ

Bộ phận tiếp nhận và trả kết quả cấp huyện, thành phố

Tổ chức, cá nhân lựa chọn gửi hồ sơ, thủ tục hành chính (bao gồm cả nhận kết quả giải quyết) trong những cách thức sau:

-  Trực tiếp;

- Qua dịch vụ bưu chính.

Không

-   Nghị định số 105/2017/NĐ-CP ngày 14/9/2017 của Chính phủ về kinh doanh rượu;

-   Nghị định số 17/2020/NĐ-CP ngày 05/02/2020 của Chính phủ sửa đổi, bổ sung một số điều của các Nghị định liên quan đến điều kiện đầu tư kinh doanh thuộc lĩnh vực quản lý nhà nước của Bộ Công Thương;

-   Thông tư số 60/2014/TT-BCT ngày 27 tháng 12 năm 2014 của Bộ Công Thương quy định chi tiết một số điều của Nghị định số 94/2012/NĐ-CP ngày 12 tháng 11 năm 2012 của Chính phủ về sản xuất, kinh doanh rượu.

7

Cấp Giấy phép sản xuất rượu thủ công nhằm mục đích kinh doanh

10 ngày làm việc kể từ ngày nhận đủ hồ sơ hợp lệ

Bộ phận tiếp nhận và trả kết quả cấp huyện, thành phố

Tổ chức, cá nhân lựa chọn gửi hồ sơ, thủ tục hành chính (bao gồm cả nhận kết quả giải quyết) trong những cách thức sau:

-  Trực tiếp;

- Qua dịch vụ bưu chính.

1.100.000/giấy phép

-   Nghị định số 105/2017/NĐ-CP ngày 14/9/2017 của Chính phủ về kinh doanh rượu;

-           Nghị định số 17/2020/NĐ-CP , ngày 05/02/2020 của Chính phủ sửa đổi, bổ sung một số điều của các Nghị định liên quan đến điều kiện đầu tư kinh doanh thuộc lĩnh vực quản lý nhà nước của Bộ Công Thương;

-   Thông tư số 299/2016/TT-BTC ngày 15/11/2016 của Bộ Tài chính quy định mức thu, chế độ thu, nộp, quản lý và sử dụng phí thẩm định điều kiện kinh doanh để cấp Giấy phép sản xuất rượu, Giấy phép sản xuất thuốc lá;

-   Thông tư số 22/2018/TT-BTC ngày 22/02/2018 của Bộ Tài chính sửa đổi, bổ sung một số Điều của Thông tư số 299/2016/TT-BTC.

8

Cấp sửa đổi, bổ sung Giấy phép sản xuất rượu thủ công nhằm mục đích kinh doanh

07 ngày làm việc kể từ ngày nhận đủ hồ sơ hợp lệ

Bộ phận tiếp nhận và trả kết quả cấp huyện, thành phố

Tổ chức, cá nhân lựa chọn gửi hồ sơ, thủ tục hành chính (bao gồm cả nhận kết quả giải quyết) trong những cách thức sau:

-  Trực tiếp;

- Qua dịch vụ bưu chính.

1.100.000/giấy phép

-   Nghị định số 105/2017/NĐ-CP ngày 14/9/2017 của Chính phủ về kinh doanh rượu;

-   Nghị định số 17/2020/NĐ-CP ngày 05/02/2020 của Chính phủ sửa đổi, bổ sung một số điều của các Nghị định liên quan đến điều kiện đầu tư kinh doanh thuộc lĩnh vực quản lý nhà nước của Bộ Công Thương;

-   Thông tư số 299/2016/TT-BTC ngày 15/11/2016 của Bộ Tài chính quy định mức thu, chế độ thu, nộp, quản lý và sử dụng phí thẩm định điều kiện kinh doanh để cấp Giấy phép sản xuất rượu, Giấy phép sản xuất thuốc lá. - Thông tư số 22/2018/TT-BTC ngày 22/02/2018 của Bộ Tài chính sửa đổi, bổ sung một số Điều của Thông tư số 299/2016/TT-BTC.

9

Cấp lại Giấy phép sản xuất rượu thủ công nhằm mục đích kinh doanh

07 ngày làm việc kể từ ngày nhận đủ hồ sơ hợp lệ

Bộ phận tiếp nhận và trả kết quả cấp huyện, thành phố

Tổ chức, cá nhân lựa chọn gửi hồ sơ, thủ tục hành chính (bao gồm cả nhận kết quả giải quyết) trong những cách thức sau:

-  Trực tiếp;

- Qua dịch vụ bưu chính.

1.100.000/giấy phép

-   Nghị định số 105/2017/NĐ-CP ngày 14/9/2017 của Chính phủ về kinh doanh rượu;

-   Nghị định số 17/2020/NĐ-CP ngày 05/02/2020 của Chính phủ sửa đổi, bổ sung một số điều của các Nghị định liên quan đến điều kiện đầu tư kinh doanh thuộc lĩnh vực quản lý nhà nước của Bộ Công Thương;

-   Thông tư số 299/2016/TT-BTC ngày 15/11/2016 của Bộ Tài chính quy định mức thu, chế độ thu, nộp, quản lý và sử dụng phí thẩm định điều kiện kinh doanh để cấp Giấy phép sản xuất rượu, Giấy phép sản xuất thuốc lá.

-   Thông tư số 22/2018/TT-BTC ngày 22/02/2018 của Bộ Tài chính sửa đổi, bổ sung một số Điều của Thông tư số 299/2016/TT-BTC.

II. LĨNH VỰC KINH DOANH KHÍ: 03 TTHC

1

Cấp Giấy chứng nhận đủ điều kiện cửa hàng bán lẻ LPG chai

15 ngày làm việc kể từ ngày nhận đủ hồ sơ hợp lệ

Bộ phận tiếp nhận và trả kết quả cấp huyện, thành phố

Tổ chức, cá nhân lựa chọn gửi hồ sơ, thủ tục hành chính (bao gồm cả nhận kết quả giải quyết) trong những cách thức sau:

-  Trực tiếp;

- Qua dịch vụ bưu chính.

- Đối với tổ chức, doanh nghiệp:

+ Tại thành phố: 1.200.000 đồng/ giấy phép

+ Tại các huyện: 600.000 đồng/giấy phép

- Đối với hộ Kinh doanh cá thể:

+ Tại thành phố: 400.000đồng /giấy phép

+ Tại các huyện: 200.000đồng/ giấy phép

-   Nghị định số 87/2018/NĐ-CP ngày 15/6/2018 của Chính phủ về kinh doanh khí;

-   Thông tư số 168/2016/TT-BTC, ngày 26/10/2016 của Bộ Tài Chính quy định mức thu, chế độ thu, nộp, quản lý và sử dụng phí thẩm định kinh doanh hàng hoá, dịch vụ hạn chế kinh doanh; hàng hoá, dịch vụ kinh doanh có điều kiện thuộc lĩnh vực thương mại và lệ phí cấp giấy phép thành lập sở giao dịch hàng hoá

2

Cấp điều chỉnh Giấy chứng nhận đủ điều kiện cửa hàng bán lẻ LPG chai

07 ngày làm việc kể từ ngày nhận đủ hồ sơ hợp lệ

Bộ phận tiếp nhận và trả kết quả cấp huyện, thành phố

Tổ chức, cá nhân lựa chọn gửi hồ sơ, thủ tục hành chính (bao gồm cả nhận kết quả giải quyết) trong những cách thức sau:

-  Trực tiếp;

- Qua dịch vụ bưu chính.

- Đối với tổ chức, doanh nghiệp:

+ Tại thành phố: 1.200.000 đồng/ giấy phép + Tại các huyện:

600.000 đồng/giấy phép

- Đối với hộ kinh doanh cá thể:

+ Tại thành phố: 400.000đồng

/giấy phép

+ Tại các huyện: 200.000đồng/ giấy phép

-   Nghị định số 87/2018/NĐ-CP ngày 15/6/2018 của Chính phủ về kinh doanh khí;

-  Thông tư số 168/2016/TT-BTC, ngày 26/10/2016 của Bộ Tài Chính quy định mức thu, chế độ thu, nộp, quản lý và sử dụng phí thẩm định kinh doanh hàng hoá, dịch vụ hạn chế kinh doanh; hàng hoá, dịch vụ kinh doanh có điều kiện thuộc lĩnh vực thương mại và lệ phí cấp giấy phép thành lập sở giao dịch hàng hoá

3

Cấp lại Giấy chứng nhận đủ điều kiện cửa hàng bán lẻ LPG chai

07 ngày làm việc kể từ ngày nhận đủ hồ sơ hợp lệ

Bộ phận tiếp nhận và trả kết quả cấp huyện, thành phố

Tổ chức, cá nhân lựa chọn gửi hồ sơ, thủ tục hành chính (bao gồm cả nhận kết quả giải quyết) trong những cách thức sau:

-  Trực tiếp;

- Qua dịch vụ bưu chính.

Không

Nghị định số 87/2018/NĐ-CP ngày 15/6/2018 của Chính phủ về kinh doanh khí;

III. LĨNH VỰC AN TOÀN ĐẬP, HỒ CHỨA THỦY ĐIỆN: 02 TTHC

1

Thẩm định, phê duyệt phương án ứng phó thiên tai cho công trình vùng hạ du đập thủy điện thuộc thẩm quyền phê duyệt của Ủy ban nhân dân cấp huyện

18 ngày làm việc kể từ ngày nhận đủ hồ sơ hợp lệ

Bộ phận tiếp nhận và trả kết quả cấp huyện, thành phố

Tổ chức, cá nhân lựa chọn gửi hồ sơ, thủ tục hành chính (bao gồm cả nhận kết quả giải quyết) trong những cách thức sau:

-  Trực tiếp;

- Qua dịch vụ bưu chính.

Không

-  Luật thủy lợi năm 2017;

-   Nghị định số 114/2018/NĐ-CP ngày 04 tháng 9 năm 2018 của Chính phủ về quản lý an toàn đập, hồ chứa nước.

-   Thông tư số 09/2019/TT-BCT ngày 08/7/2019 của Bộ Công Thương quy định về quản lý an toàn đập, hồ chứa thủy điện

2

Thẩm định, phê duyệt phương án ứng phó với tình huống khẩn cấp hồ chứa thủy điện thuộc thẩm quyền phê duyệt của Ủy ban nhân dân cấp huyện

18 ngày làm việc kể từ ngày nhận đủ hồ sơ hợp lệ

Bộ phận tiếp nhận và trả kết quả cấp huyện, thành phố

Tổ chức, cá nhân lựa chọn gửi hồ sơ, thủ tục hành chính (bao gồm cả nhận kết quả giải quyết) trong những cách thức sau:

-  Trực tiếp;

- Qua dịch vụ bưu chính.

Không

-  Luật thủy lợi năm 2017;

-   Nghị định số 114/2018/NĐ-CP ngày 04 tháng 9 năm 2018 của Chính phủ về quản lý an toàn đập, hồ chứa nước.

-   Thông tư số 09/2019/TT-BCT ngày 08/7/2019 của Bộ Công Thương quy định về quản lý an toàn đập, hồ chứa thủy điện.

IV. LĨNH VỰC CÔNG NGHIỆP ĐỊA PHƯƠNG: 01 TTHC

1

Cấp Giấy chứng nhận sản phẩm công nghiệp nông thôn tiêu biểu cấp huyện

28 ngày làm việc kể từ ngày nhận đủ hồ sơ hợp lệ

Bộ phận tiếp nhận và trả kết quả cấp huyện, thành phố

Tổ chức, cá nhân lựa chọn gửi hồ sơ, thủ tục hành chính (bao gồm cả nhận kết quả giải quyết) trong những cách thức sau:

-  Trực tiếp;

- Qua dịch vụ bưu chính.

Không

-  Nghị định số 45/2012/NĐ-CP ngày 21 tháng 5 năm 2012 của Chính phủ về khuyến công;

-  Thông tư số 46/2012/TT-BCT ngày 28 tháng 12 năm 2012 của Bộ Công Thương quy định chi tiết một số nội dung của Nghị định số 45/2012/NĐ-CP ngày 21 tháng 5 năm 2012 của Chính phủ về khuyến công;

-  Thông tư số 26/2014/TTLT-BTC-BCT ngày 18 tháng 02 năm 2014 của Bộ Tài chính và Bộ Công Thương hướng dẫn về trình tự lập, Quản lý, sử dụng kinh phí khuyến công quốc gia và kinh phí khuyến công địa phương;

-  Thông tư số 26/2014/TT-BCT ngày 28 tháng 8 năm 2014 của Bộ Công Thương quy định về bình chọn sản phẩm công nghiệp nông thôn tiêu biểu.

               
 

C. CẤP XÃ: 02 danh mục thủ tục hành chính (TTHC)

STT

Tên thủ tục hành chính

Thời gian giải quyết

Địa điểm thực hiện

Cách thức thực hiện

Phí, lệ phí ( đồng)

Căn cứ pháp lý

I. LĨNH VỰC AN TOÀN ĐẬP, HỒ CHỨA THỦY ĐIỆN: 02 TTHC

 

 

1

Thẩm định, phê duyệt phương án ứng phó thiên tai cho công trình vùng hạ du đập thủy điện thuộc thẩm quyền phê duyệt của Ủy ban nhân dân cấp xã

18 ngày làm việc kể từ ngày nhận đủ hồ sơ hợp lệ

Bộ phận tiếp nhận và trả kết quả cấp xã

Tổ chức, cá nhân lựa chọn gửi hồ sơ, thủ tục hành chính (bao gồm cả nhận kết quả giải quyết) trong những cách thức sau:

-  Trực tiếp;

- Qua dịch vụ bưu chính.

Không

-  Luật thủy lợi năm 2017;

- Nghị định số 114/2018/NĐ-CP ngày 04 tháng 9 năm 2018 của Chính phủ về quản lý an toàn đập, hồ chứa nước.

- Thông tư số 09/2019/TT-BCT ngày 08/7/2019 của Bộ Công Thương quy định về quản lý an toàn đập, hồ chứa thủy điện.

2

Thẩm định, phê duyệt phương án ứng phó với tình huống khẩn cấp hồ chứa thủy điện thuộc thẩm quyền phê duyệt của Ủy ban nhân dân cấp xã

18 ngày làm việc kể từ ngày nhận đủ hồ sơ hợp lệ

Bộ phận tiếp nhận và trả kết quả cấp xã

Tổ chức, cá nhân lựa chọn gửi hồ sơ, thủ tục hành chính (bao gồm cả nhận kết quả giải quyết) trong những cách thức sau:

- Trực tiếp;

- Qua dịch vụ bưu chính.

Không

-  Luật thủy lợi năm 2017;

- Nghị định số 114/2018/NĐ-CP ngày 04 tháng 9 năm 2018 của Chính phủ về quản lý an toàn đập, hồ chứa nước.

- Thông tư số 09/2019/TT-BCT ngày 08/7/2019 của Bộ Công Thương quy định về quản lý an toàn đập, hồ chứa thủy điện.

 
Đang theo dõi

Bạn chưa Đăng nhập thành viên.

Đây là tiện ích dành cho tài khoản thành viên. Vui lòng Đăng nhập để xem chi tiết. Nếu chưa có tài khoản, vui lòng Đăng ký tại đây!

Quyết định 1039/QĐ-UBND của Ủy ban nhân dân tỉnh Sơn La về việc công bố Danh mục thủ tục hành chính thuộc phạm vi chức năng quản lý Nhà nước của Sở Công Thương

Bạn chưa Đăng nhập thành viên.

Đây là tiện ích dành cho tài khoản thành viên. Vui lòng Đăng nhập để xem chi tiết. Nếu chưa có tài khoản, vui lòng Đăng ký tại đây!

* Lưu ý: Để đọc được văn bản tải trên Luatvietnam.vn, bạn cần cài phần mềm đọc file DOC, DOCX và phần mềm đọc file PDF.

Văn bản liên quan Quyết định 1039/QĐ-UBND

01

Nghị định 63/2010/NĐ-CP của Chính phủ về kiểm soát thủ tục hành chính

02

Luật Tổ chức chính quyền địa phương của Quốc hội, số 77/2015/QH13

03

Nghị định 92/2017/NĐ-CP của Chính phủ về việc sửa đổi, bổ sung một số điều của các nghị định liên quan đến kiểm soát thủ tục hành chính

04

Thông tư 02/2017/TT-VPCP của Văn phòng Chính phủ hướng dẫn về nghiệp vụ kiểm soát thủ tục hành chính

05

Quyết định 1000/QĐ-UBND của Ủy ban nhân dân tỉnh Sơn La về việc công bố Danh mục thủ tục hành chính thuộc phạm vi chức năng quản lý Nhà nước của Sở Công Thương tỉnh Sơn La

văn bản cùng lĩnh vực

image

Kế hoạch 131/KH-UBND của Ủy ban nhân dân tỉnh Hưng Yên triển khai thực hiện Chương trình hành động của Chính phủ thực hiện Kết luận 166-KL/TW ngày 10/6/2025 của Bộ Chính trị về nâng cao hiệu quả thực hiện Nghị quyết 25-NQ/TW ngày 25/7/2008 của Ban Chấp hành Trung ương Đảng khóa X về "Tăng cường sự lãnh đạo của Đảng đối với công tác thanh niên thời kỳ đẩy mạnh công nghiệp hóa, hiện đại hóa" trong tình hình mới trên địa bàn tỉnh Hưng Yên

văn bản mới nhất

image

Quyết định 3279/QĐ-UBND của Ủy ban nhân dân tỉnh Đồng Nai về việc công bố danh mục thủ tục hành chính mới ban hành trong lĩnh vực hoạt động khoa học và công nghệ; phê duyệt quy trình nội bộ, quy trình điện tử giải quyết thủ tục hành chính mới ban hành trong lĩnh vực hoạt động khoa học và công nghệ thuộc thẩm quyền giải quyết của Sở Khoa học và Công nghệ tỉnh Đồng Nai

Hành chính, Khoa học-Công nghệ

Chú thích màu chỉ dẫn
Chú thích màu chỉ dẫn:
Các nội dung của VB này được VB khác thay đổi, hướng dẫn sẽ được làm nổi bật bằng các màu sắc:
Sửa đổi, bổ sung, đính chính
Thay thế
Hướng dẫn
Bãi bỏ
Bãi bỏ cụm từ
Bình luận
Click vào nội dung được bôi màu để xem chi tiết.
×