- Tổng quan
- Nội dung
- VB gốc
- Tiếng Anh
- Hiệu lực
- VB liên quan
- Lược đồ
-
Nội dung hợp nhất
Tính năng này chỉ có tại LuatVietnam.vn. Nội dung hợp nhất tổng hợp lại tất cả các quy định còn hiệu lực của văn bản gốc và các văn bản sửa đổi, bổ sung, đính chính... trên một trang. Việc hợp nhất văn bản gốc và những văn bản, Thông tư, Nghị định hướng dẫn khác không làm thay đổi thứ tự điều khoản, nội dung.
Khách hàng chỉ cần xem Nội dung hợp nhất là có thể nắm bắt toàn bộ quy định hiện hành đang áp dụng, cho dù văn bản gốc đã qua nhiều lần chỉnh sửa, bổ sung.
- Tải về
Nghị định 80/2024/NĐ-CP cơ chế mua bán điện trực tiếp giữa Đơn vị phát điện năng lượng tái tạo với Khách hàng sử dụng điện lớn
| Cơ quan ban hành: | Chính phủ |
Số công báo:
Số công báo là mã số ấn phẩm được đăng chính thức trên ấn phẩm thông tin của Nhà nước. Mã số này do Chính phủ thống nhất quản lý.
|
Đã biết
|
| Số hiệu: | 80/2024/NĐ-CP | Ngày đăng công báo: |
Đã biết
|
| Loại văn bản: | Nghị định | Người ký: | Trần Hồng Hà |
|
Ngày ban hành:
Ngày ban hành là ngày, tháng, năm văn bản được thông qua hoặc ký ban hành.
|
03/07/2024 |
Ngày hết hiệu lực:
Ngày hết hiệu lực là ngày, tháng, năm văn bản chính thức không còn hiệu lực (áp dụng).
|
Đã biết
|
|
Áp dụng:
Ngày áp dụng là ngày, tháng, năm văn bản chính thức có hiệu lực (áp dụng).
|
Đã biết
|
Tình trạng hiệu lực:
Cho biết trạng thái hiệu lực của văn bản đang tra cứu: Chưa áp dụng, Còn hiệu lực, Hết hiệu lực, Hết hiệu lực 1 phần; Đã sửa đổi, Đính chính hay Không còn phù hợp,...
|
Đã biết
|
| Lĩnh vực: | Công nghiệp, Điện lực, Doanh nghiệp, Thương mại-Quảng cáo |
TÓM TẮT NGHỊ ĐỊNH 80/2024/NĐ-CP
Ngày 03/7/2024, Chính phủ ban hành Nghị định 80/2024/NĐ-CP quy định về cơ chế mua bán điện trực tiếp giữa Đơn vị phát điện năng lượng tái tạo với Khách hàng sử dụng điện lớn.
1. Mua bán điện trực tiếp là hoạt động mua bán giao nhận điện năng được thực hiện thông qua 2 hình thức sau:
- Mua bán điện trực tiếp qua Đường dây kết nối riêng là hoạt động ký hợp đồng mua bán điện và giao nhận điện năng qua Đường dây kết nối riêng giữa Đơn vị phát điện năng lượng tái tạo và Khách hàng sử dụng điện lớn;
- Mua bán điện trực tiếp qua Lưới điện quốc gia là hoạt động mua bán điện thông qua Hợp đồng kỳ hạn giữa Đơn vị phát điện năng lượng tái tạo và Khách hàng sử dụng điện lớn (hoặc Đơn vị bán lẻ điện tại các mô hình khu, cụm được ủy quyền) và hoạt động mua bán điện thực hiện theo quy định tại Chương III Nghị định 80/2024/NĐ-CP bao gồm:
- Đơn vị phát điện năng lượng tái tạo bán toàn bộ điện năng sản xuất vào thị trường điện giao ngay của thị trường bán buôn điện cạnh tranh;
- Khách hàng sử dụng điện lớn hoặc Đơn vị bán lẻ điện tại các mô hình khu, cụm được ủy quyền ký hợp đồng mua bán điện với Tổng công ty Điện lực (hoặc đơn vị được ủy quyền/phân cấp) để mua toàn bộ điện năng đáp ứng nhu cầu;…
2. Trách nhiệm của Khách hàng sử dụng điện lớn bao gồm:
- Đầu tư hạ tầng lưới điện (áp dụng trong trường hợp Khách hàng sử dụng điện lớn có trạm điện) tuân thủ Quy chuẩn kỹ thuật quốc gia về an toàn điện; tuân thủ quy định về đảm bảo an toàn hành lang bảo vệ an toàn lưới điện cao áp;
- Có đội ngũ quản lý, vận hành lưới điện (áp dụng trong trường hợp Khách hàng sử dụng điện lớn có trạm điện) đáp ứng quy định về an toàn điện: Được đào tạo về chuyên ngành điện; được huấn luyện, sát hạch và cấp thẻ an toàn điện;…
Nghị định có hiệu lực từ ngày ký.
Xem chi tiết Nghị định 80/2024/NĐ-CP có hiệu lực kể từ ngày 03/07/2024
Tải Nghị định 80/2024/NĐ-CP
|
CHÍNH PHỦ ________ Số: 80/2024/NĐ-CP |
CỘNG HÒA XÃ HỘI CHỦ NGHĨA VIỆT NAM Hà Nội, ngày 03 tháng 7 năm 2024 |
NGHỊ ĐỊNH
Quy định về cơ chế mua bán điện trực tiếp
giữa Đơn vị phát điện năng lượng tái tạo với Khách hàng sử dụng điện lớn
_____________
Căn cứ Luật Tổ chức Chính phủ ngày 19 tháng 6 năm 2015; Luật sửa đổi, bổ sung một số điều của Luật Tổ chức Chính phủ và Luật Tổ chức chính quyền địa phương ngày 22 tháng 11 năm 2019;
Căn cứ Luật Điện lực ngày 03 tháng 12 năm 2004; Luật sửa đổi, bổ sung một số điều của Luật Điện lực ngày 20 tháng 11 năm 2012; Luật sửa đổi, bổ sung một số điều của Luật Đầu tư công, Luật Đầu tư theo phương thức đối tác công tư, Luật Đầu tư, Luật Nhà ở, Luật Đấu thầu, Luật Điện lực, Luật Doanh nghiệp, Luật Thuế tiêu thụ đặc biệt và Luật Thi hành án dân sự ngày 11 tháng 01 năm 2022;
Căn cứ Luật Giá ngày 19 tháng 6 năm 2023;
Căn cứ Luật Thuế giá trị gia tăng ngày 03 tháng 6 năm 2008; Luật sửa đổi, bổ sung một số điều của Luật Thuế giá trị gia tăng ngày 19 tháng 6 năm 2013; Luật sửa đổi, bổ sung một số điều của các luật về thuế ngày 26 tháng 11 năm 2014; Luật sửa đổi, bổ sung một số điều của Luật Thuế giá trị gia tăng, Luật Thuế tiêu thụ đặc biệt và Luật Quản lý thuế ngày 06 tháng 4 năm 2016;
Căn cứ Nghị quyết số 103/2023/QH15 ngày 09 tháng 11 năm 2023 của Quốc hội về Kế hoạch phát triển kinh tế - xã hội năm 2024;
Theo đề nghị của Bộ trưởng Bộ Công Thương;
Chính phủ ban hành Nghị định quy định về cơ chế mua bán điện trực tiếp giữa Đơn vị phát điện năng lượng tái tạo với Khách hàng sử dụng điện lớn.
Chương I
QUY ĐỊNH CHUNG
Điều 1. Phạm vi điều chỉnh
Nghị định này quy định về cơ chế mua bán điện trực tiếp giữa Đơn vị phát điện năng lượng tái tạo với Khách hàng sử dụng điện lớn qua Đường dây kết nối riêng và qua Lưới điện quốc gia.
Điều 2. Đối tượng áp dụng
1. Đối tượng mua bán điện trực tiếp qua Đường dây kết nối riêng bao gồm:
a) Đơn vị phát điện năng lượng tái tạo;
b) Khách hàng sử dụng điện lớn.
2. Đối tượng mua bán điện trực tiếp qua Lưới điện quốc gia bao gồm:
a) Đơn vị phát điện năng lượng tái tạo từ gió hoặc mặt trời với công suất từ 10 MW trở lên đấu nối vào hệ thống điện quốc gia trực tiếp tham gia thị trường bán buôn điện cạnh tranh;
b) Khách hàng sử dụng điện lớn phục vụ mục đích sản xuất mua điện từ Tổng công ty Điện lực hoặc Đơn vị bán lẻ điện không phải Tổng công ty Điện lực đấu nối cấp điện áp từ 22 kV trở lên;
c) Đơn vị bán lẻ điện tại các mô hình khu, cụm được Khách hàng sử dụng điện lớn phục vụ mục đích sản xuất ủy quyền mua điện từ Tổng công ty Điện lực, ký kết Hợp đồng kỳ hạn với Đơn vị phát điện năng lượng tái tạo (sau đây viết tắt là Đơn vị bán lẻ điện tại các mô hình khu, cụm được ủy quyền).
3. Các đối tượng khác:
a) Đơn vị vận hành hệ thống điện và thị trường điện;
b) Đơn vị truyền tải điện;
c) Tổng công ty Điện lực trực thuộc Tập đoàn Điện lực Việt Nam (sau đây viết tắt là Tổng công ty Điện lực) và các Đơn vị bán lẻ điện khác;
d) Tập đoàn Điện lực Việt Nam.
Điều 3. Giải thích từ ngữ
Trong Nghị định này các từ ngữ dưới đây được hiểu như sau:
1. Chào giá là hoạt động chào bán điện năng của Đơn vị phát điện năng lượng tái tạo cho từng tổ máy lên thị trường điện giao ngay và gửi cho Đơn vị vận hành hệ thống điện và thị trường điện theo mẫu bản chào giá theo Quy định vận hành thị trường bán buôn điện cạnh tranh do Bộ Công Thương ban hành.
2. Chu kỳ giao dịch là 30 phút, tính từ thời điểm bắt đầu của mỗi 30 phút trong ngày giao dịch.
3. Chu kỳ thanh toán là chu kỳ lập chứng từ, hóa đơn cho các khoản giao dịch trên thị trường điện trong khoảng thời gian 01 tháng, tính từ ngày 01 hằng tháng.
4. Điểm đấu nối là điểm được quy định tại Thỏa thuận đấu nối giữa Chủ đầu tư và đơn vị quản lý lưới điện phù hợp với quy hoạch được cấp có thẩm quyền phê duyệt.
5. Điện năng giao nhận là toàn bộ điện năng Bên bán giao cho Bên mua phục vụ cho việc thanh toán giữa Bên bán và Bên mua.
6. Đơn vị phát điện năng lượng tái tạo là đơn vị điện lực sở hữu nhà máy điện từ năng lượng mặt trời, gió, thủy điện nhỏ, sinh khối, địa nhiệt, sóng biển, thủy triều, hải lưu, các dạng năng lượng tái tạo khác và hệ thống điện mặt trời mái nhà được cấp giấy phép hoạt động điện lực hoặc được miễn trừ giấy phép đối với lĩnh vực phát điện theo quy định.
7. Đơn vị bán lẻ điện tại khu công nghiệp, khu kinh tế, khu chế xuất, cụm công nghiệp, khu công nghệ cao, khu công nghệ thông tin tập trung, khu nông nghiệp ứng dụng công nghệ cao và các mô hình tương tự khác do cơ quan có thẩm quyền quy định (sau đây viết tắt là Đơn vị bán lẻ điện tại các mô hình khu, cụm) là đơn vị điện lực được cấp giấy phép hoạt động điện lực đối với lĩnh vực bán lẻ điện tại khu, cụm này có sản lượng mua điện từ 200.000 kWh/tháng trở lên đấu nối cấp điện áp 22 kV trở lên.
8. Đơn vị vận hành hệ thống điện và thị trường điện là Trung tâm Điều độ Hệ thống điện Quốc gia hoặc tên gọi khác tùy thuộc theo cấp độ phát triển thị trường điện thực hiện chức năng điều độ hệ thống điện quốc gia và điều hành giao dịch thị trường điện.
9. Đường dây kết nối riêng là hệ thống đường dây, trạm biến áp và các trang thiết bị phụ trợ phục vụ truyền dẫn điện riêng do Đơn vị phát điện năng lượng tái tạo đầu tư, xây dựng và vận hành để bán trực tiếp cho Khách hàng sử dụng điện lớn trừ trường hợp các bên có thỏa thuận khác.
10. Hợp đồng kỳ hạn là một loại hợp đồng trong đó hai bên thỏa thuận, xác nhận cam kết về việc mua hoặc bán sản lượng điện năng theo một mức giá đã được xác định vào một thời điểm cụ thể trong tương lai.
11. Hợp đồng mua bán điện trên thị trường giao ngay là hợp đồng áp dụng cho việc mua bán điện của từng nhà máy điện bao gồm các nội dung chính quy định tại Phụ lục I ban hành kèm theo Nghị định này.
12. Khách hàng sử dụng điện lớn là tổ chức, cá nhân mua điện để sử dụng không bán lại cho tổ chức, cá nhân khác, theo quy định của Bộ Công Thương phù hợp với từng thời kỳ phát triển của hệ thống điện hoặc có sản lượng tại thời điểm nộp hồ sơ tham gia cơ chế mua bán điện trực tiếp như sau:
a) Đối với Khách hàng sử dụng điện lớn đang sử dụng điện: sản lượng tiêu thụ bình quân từ 200.000 kWh/tháng trở lên (tính trung bình 12 tháng gần nhất);
b) Đối với Khách hàng sử dụng điện lớn mới hoặc có thời gian sử dụng điện dưới 12 tháng: tính theo sản lượng đăng ký từ 200.000 kWh/tháng trở lên.
13. Lưới điện quốc gia là hệ thống đường dây tải điện, trạm điện và trang thiết bị phụ trợ để truyền dẫn điện trên lãnh thổ nước Cộng hòa xã hội chủ nghĩa Việt Nam trừ Đường dây kết nối riêng.
14. Năm N là năm hiện tại, được tính theo năm dương lịch.
15. Năm N-1 là năm liền kề trước năm hiện tại, được tính theo năm dương lịch.
16. Năm N-2 là năm liền trước năm N-1, được tính theo năm dương lịch.
17. Tháng M là tháng hiện tại, được tính theo tháng dương lịch.
18. Tháng M-1 là tháng liền trước tháng hiện tại, được tính theo tháng dương lịch.
19. Tháng M-2 là tháng liền trước tháng M-1, được tính theo tháng dương lịch.
20. Thị trường điện giao ngay là thị trường mua, bán điện năng trong các chu kỳ giao dịch do Đơn vị vận hành hệ thống điện và thị trường điện thực hiện theo quy định tại các cấp độ của thị trường điện lực cạnh tranh.
21. Tổng công ty Điện lực là Tổng công ty Điện lực miền Bắc, Tổng công ty Điện lực miền Nam, Tổng công ty Điện lực miền Trung, Tổng công ty Điện lực thành phố Hà Nội, Tổng công ty Điện lực Thành phố Hồ Chí Minh.
Điều 4. Các cơ chế mua bán điện trực tiếp
Mua bán điện trực tiếp là hoạt động mua bán giao nhận điện năng được thực hiện thông qua 02 hình thức như sau:
1. Mua bán điện trực tiếp qua Đường dây kết nối riêng là hoạt động ký hợp đồng mua bán điện và giao nhận điện năng qua Đường dây kết nối riêng giữa Đơn vị phát điện năng lượng tái tạo và Khách hàng sử dụng điện lớn theo quy định tại Chương II Nghị định này.
2. Mua bán điện trực tiếp qua Lưới điện quốc gia là hoạt động mua bán điện thông qua Hợp đồng kỳ hạn giữa Đơn vị phát điện năng lượng tái tạo và Khách hàng sử dụng điện lớn (hoặc Đơn vị bán lẻ điện tại các mô hình khu, cụm được ủy quyền) và hoạt động mua bán điện thực hiện theo quy định tại Chương III Nghị định này bao gồm:
a) Đơn vị phát điện năng lượng tái tạo bán toàn bộ điện năng sản xuất vào thị trường điện giao ngay của thị trường bán buôn điện cạnh tranh;
b) Khách hàng sử dụng điện lớn hoặc Đơn vị bán lẻ điện tại các mô hình khu, cụm được ủy quyền ký hợp đồng mua bán điện với Tổng công ty Điện lực (hoặc đơn vị được ủy quyền/phân cấp) để mua toàn bộ điện năng đáp ứng nhu cầu;
c) Đơn vị phát điện năng lượng tái tạo và Khách hàng sử dụng điện lớn hoặc Đơn vị bán lẻ điện tại các mô hình khu, cụm được ủy quyền mua bán điện thông qua Hợp đồng kỳ hạn.
Điều 5. Các yêu cầu chung đối với Đơn vị phát điện năng lượng tái tạo và Khách hàng sử dụng điện lớn
Đơn vị phát điện năng lượng tái tạo và Khách hàng sử dụng điện lớn phải tuân thủ quy định của pháp luật về: quy hoạch, đầu tư (thuộc trách nhiệm của Chủ đầu tư công trình nguồn điện, bao gồm sự phù hợp với quy hoạch phát triển điện lực quốc gia, quy hoạch tỉnh được cấp có thẩm quyền phê duyệt); quy định về cấp giấy phép hoạt động điện lực (thuộc trách nhiệm của Chủ đầu tư công trình nguồn điện); quy định về an toàn điện, an toàn phòng chống cháy, nổ trong xây dựng, đất đai, bảo vệ môi trường, vận hành (phát điện, truyền tải điện, phân phối điện) và an toàn trong sử dụng điện; quy định về mua bán điện và hợp đồng và các quy định pháp luật khác có liên quan.
Chương II
MUA BÁN ĐIỆN TRỰC TIẾP QUA ĐƯỜNG DÂY KẾT NỐI RIÊNG
Điều 6. Nguyên tắc mua bán điện trực tiếp qua Đường dây kết nối riêng
1. Đơn vị phát điện năng lượng tái tạo và Khách hàng sử dụng điện lớn quy định tại Điều 2 Nghị định này thực hiện mua bán điện trực tiếp thông qua Đường dây kết nối riêng theo các nguyên tắc sau đây:
a) Hợp đồng mua bán điện giữa Đơn vị phát điện năng lượng tái tạo và Khách hàng sử dụng điện lớn trong trường hợp mua bán điện trực tiếp thông qua Đường dây kết nối riêng do hai bên thỏa thuận phù hợp với quy định tại Điều 22 Luật Điện lực và các văn bản quy phạm pháp luật có liên quan, bao gồm các nội dung chính sau: Chủ thể hợp đồng; mục đích sử dụng; tiêu chuẩn và chất lượng dịch vụ; quyền và nghĩa vụ của các bên; giá điện, phương thức và thời hạn thanh toán; điều kiện chấm dứt hợp đồng; trách nhiệm do vi phạm hợp đồng; thời hạn của hợp đồng; trách nhiệm đầu tư, xây dựng, quản lý vận hành Đường dây kết nối riêng; các nội dung khác do hai bên thỏa thuận;
b) Giá bán điện do hai bên thỏa thuận trừ trường hợp quy định tại khoản 4 Điều này.
2. Đơn vị phát điện năng lượng tái tạo đàm phán, thỏa thuận và ký kết hợp đồng mua bán điện về công suất, sản lượng, giá đối với sản lượng điện dư với Tập đoàn Điện lực Việt Nam (hoặc đơn vị được ủy quyền) theo quy định.
3. Ngoài các hoạt động mua bán điện trực tiếp qua đường dây kết nối riêng quy định tại các khoản 1 và 2 Điều này, Khách hàng sử dụng điện lớn được mua bán điện với Tổng công ty Điện lực (hoặc Đơn vị bán lẻ điện không phải Tổng công ty Điện lực) theo quy định.
4. Trường hợp Đơn vị điện lực vừa thực hiện chức năng phát điện và chức năng bán lẻ điện tại các mô hình khu, cụm kết hợp mua điện từ hệ thống điện quốc gia đồng thời với các nguồn điện tại chỗ khác để bán lẻ điện cho các khách hàng sử dụng điện trong các mô hình khu, cụm, giá bán lẻ điện cho khách hàng được thực hiện theo Quy định về thực hiện giá bán điện do Bộ Công Thương ban hành.
Điều 7. Trách nhiệm của Đơn vị phát điện năng lượng tái tạo
Đơn vị phát điện năng lượng tái tạo tuân thủ quy định tại Điều 39 Luật Điện lực và các quy định sau đây:
1. Được cấp giấy phép hoạt động điện lực trong lĩnh vực phát điện, trừ trường hợp được miễn trừ giấy phép hoạt động điện lực theo quy định. Trường hợp không mua điện từ hệ thống điện quốc gia và có lưới điện để thực hiện hoạt động bán lẻ điện, đơn vị phát điện năng lượng tái tạo phải đề nghị cấp phép hoạt động bán lẻ điện đồng thời với lĩnh vực phát điện theo quy định.
2. Trong quá trình hoạt động điện lực, đơn vị phát điện năng lượng tái tạo có trách nhiệm tuân thủ Quy định hệ thống điện truyền tải và Quy định hệ thống điện phân phối do Bộ Công Thương ban hành.
3. Đơn vị phát điện năng lượng tái tạo có trách nhiệm thực hiện các quy định về an toàn trong phát điện quy định tại Điều 54 Luật Điện lực (đã được sửa đổi, bổ sung năm 2012) và các văn bản hướng dẫn. Đối với Đơn vị phát điện năng lượng tái tạo có đầu tư lưới truyền tải điện hoặc lưới phân phối điện để kết nối trực tiếp với Khách hàng có trách nhiệm thực hiện các quy định về an toàn trong truyền tải điện, phân phối điện quy định tại Điều 55 Luật Điện lực (đã được sửa đổi, bổ sung năm 2012) và các văn bản hướng dẫn.
4. Đơn vị phát điện năng lượng tái tạo có trách nhiệm tuân thủ quy định của pháp luật về đầu tư, xây dựng, an toàn điện, đất đai, phòng cháy chữa cháy, phòng chống cháy, nổ, bảo vệ môi trường và các quy định khác của pháp luật có liên quan.
Điều 8. Trách nhiệm của Khách hàng sử dụng điện lớn
Khách hàng sử dụng điện lớn tuân thủ quy định tại Điều 47 Luật Điện lực và các quy định sau đây:
1. Thực hiện các quy định về an toàn trong sử dụng điện quy định tại Điều 57 Luật Điện lực (sửa đổi, bổ sung) và các văn bản hướng dẫn có liên quan.
2. Đầu tư hạ tầng lưới điện (áp dụng trong trường hợp Khách hàng sử dụng điện lớn có trạm điện) tuân thủ Quy chuẩn kỹ thuật quốc gia về an toàn điện; tuân thủ quy định về đảm bảo an toàn hành lang bảo vệ an toàn lưới điện cao áp.
3. Có đội ngũ quản lý, vận hành lưới điện (áp dụng trong trường hợp Khách hàng sử dụng điện lớn có trạm điện) đáp ứng quy định về an toàn điện: Được đào tạo về chuyên ngành điện; được huấn luyện, sát hạch và cấp thẻ an toàn điện theo quy định.
Chương III
MUA BÁN ĐIỆN TRỰC TIẾP QUA LƯỚI ĐIỆN QUỐC GIA
Mục 1
BÁN ĐIỆN CỦA ĐƠN VỊ PHÁT ĐIỆN NĂNG LƯỢNG TÁI TẠO
QUA THỊ TRƯỜNG ĐIỆN GIAO NGAY
Điều 9. Hợp đồng mua bán điện giữa Đơn vị phát điện năng lượng tái tạo và Tập đoàn Điện lực Việt Nam
Tập đoàn Điện lực Việt Nam và Đơn vị phát điện năng lượng tái tạo có trách nhiệm thỏa thuận và ký kết hợp đồng mua bán điện trên thị trường điện giao ngay theo các nội dung chính quy định tại Phụ lục I ban hành kèm theo Nghị định này.
Điều 10. Chào giá, lập lịch huy động, tính toán thanh toán, kiểm tra đối soát bảng kê thanh toán
1. Đơn vị phát điện năng lượng tái tạo dự báo công suất của nhà máy điện trong từng chu kỳ giao dịch của ngày tới tuân thủ quy định về dự báo năng lượng tái tạo tại Quy định hệ thống điện truyền tải và Quy định hệ thống điện phân phối do Bộ Công Thương ban hành và thực hiện chào giá cho toàn bộ công suất dự báo của nhà máy điện theo Quy định vận hành thị trường bán buôn điện cạnh tranh do Bộ Công Thương ban hành.
2. Căn cứ bản chào giá ngày tới, bản chào giá chu kỳ giao dịch tới của Đơn vị phát điện năng lượng tái tạo, Đơn vị vận hành hệ thống điện và thị trường điện có trách nhiệm so sánh, đối chiếu với giá trị công suất dự báo từ các nguồn dự báo độc lập khác, lập lịch huy động các nhà máy điện theo Quy định hệ thống điện truyền tải, Quy định quy trình Điều độ hệ thống điện quốc gia, Quy định vận hành thị trường bán buôn điện cạnh tranh do Bộ Công Thương ban hành và các quy định pháp luật có liên quan khác.
3. Đơn vị vận hành hệ thống điện và thị trường điện có trách nhiệm lập bảng kê thanh toán tính toán khoản doanh thu của Đơn vị phát điện năng lượng tái tạo trên thị trường điện giao ngay trong chu kỳ giao dịch, chu kỳ thanh toán và công bố theo Quy định vận hành thị trường bán buôn điện cạnh tranh do Bộ Công Thương ban hành.
4. Đơn vị phát điện năng lượng tái tạo có trách nhiệm kiểm tra, đối soát, xác nhận bảng kê trên Trang thông tin điện tử thị trường điện theo Quy định vận hành thị trường bán buôn điện cạnh tranh do Bộ Công Thương ban hành.
Điều 11. Giá thị trường điện giao ngay
Giá thị trường điện giao ngay là giá thị trường điện toàn phần được hình thành theo từng chu kỳ giao dịch của thị trường điện giao ngay và được xác định bằng tổng của giá điện năng thị trường và giá công suất thị trường. Trong đó, giá điện năng thị trường và giá công suất thị trường được xác định theo Quy định vận hành thị trường bán buôn điện cạnh tranh do Bộ Công Thương ban hành.
Điều 12. Thanh toán của Đơn vị phát điện năng lượng tái tạo bán điện trên thị trường điện giao ngay
Khoản thanh toán của đơn vị phát điện năng lượng tái tạo bán điện trên thị trường điện giao ngay được xác định theo công thức sau:

Trong đó:
1. Rg: Tổng các khoản thanh toán điện năng thị trường trong chu kỳ thanh toán (đồng).
2. Qmq(i): Sản lượng điện năng đo đếm của Đơn vị phát điện năng lượng tái tạo trong chu kỳ giao dịch i (kWh).
3. i: Chu kỳ giao dịch thứ i trong chu kỳ thanh toán.
4. I: Tổng số chu kỳ giao dịch trong chu kỳ thanh toán.
5. FMP(i): Giá thị trường điện giao ngay trong chu kỳ giao dịch i (đồng/kWh).
Điều 13. Trình tự, thủ tục thanh toán
1. Đơn vị phát điện năng lượng tái tạo, Đơn vị vận hành hệ thống điện và thị trường điện, Tập đoàn Điện lực Việt Nam (hoặc đơn vị được ủy quyền) thực hiện các công tác lập, công bố, đối soát xác nhận bảng kê trên thị trường điện giao ngay theo Quy định vận hành thị trường bán buôn điện cạnh tranh do Bộ Công Thương ban hành.
2. Đơn vị phát điện năng lượng tái tạo, Tập đoàn Điện lực Việt Nam (hoặc đơn vị được ủy quyền) thực hiện các công tác liên quan đến thanh toán (lập hồ sơ thanh toán, hiệu chỉnh hóa đơn, thanh toán, hiệu chỉnh thanh toán và các công tác khác) theo thỏa thuận trong hợp đồng mua bán điện đã ký giữa hai bên.
Mục 2
MUA BÁN ĐIỆN VỚI TỔNG CÔNG TY ĐIỆN LỰC
Điều 14. Nguyên tắc chung
1. Khách hàng sử dụng điện lớn hoặc Đơn vị bán lẻ điện tại các mô hình khu, cụm được ủy quyền mua điện từ Tổng công ty Điện lực để đáp ứng toàn bộ nhu cầu.
2. Trường hợp sản lượng tiêu thụ điện của Khách hàng sử dụng điện lớn hoặc sản lượng mua điện của Đơn vị bán lẻ điện tại các mô hình khu, cụm được ủy quyền trong chu kỳ giao dịch thấp hơn sản lượng của Đơn vị phát điện năng lượng tái tạo trong chu kỳ giao dịch đó (quy đổi về điểm giao nhận của Khách hàng sử dụng điện lớn hoặc Đơn vị bán lẻ điện tại các mô hình khu, cụm được ủy quyền), toàn bộ sản lượng tiêu thụ điện của Khách hàng sử dụng điện lớn hoặc sản lượng mua điện của Đơn vị bán lẻ điện tại các mô hình khu, cụm được ủy quyền phải thanh toán theo các thành phần chi phí sau đây:
a) Chi phí mua điện từ Tổng công ty Điện lực theo giá thị trường điện giao ngay theo Quy định vận hành thị trường bán buôn điện cạnh tranh do Bộ Công Thương ban hành (có tính tới tổn thất điện năng trên lưới điện truyền tải và lưới điện phân phối);
b) Chi phí sử dụng dịch vụ hệ thống điện, bao gồm các dịch vụ sau: truyền tải điện, phân phối - bán lẻ điện, điều độ hệ thống điện và điều hành giao dịch thị trường điện, điều hành - quản lý ngành;
c) Chi phí thanh toán bù trừ chênh lệch theo quy định tại Phụ lục IV ban hành kèm theo Nghị định này.
3. Trường hợp sản lượng tiêu thụ điện của Khách hàng sử dụng điện lớn hoặc sản lượng mua điện của Đơn vị bán lẻ điện tại các mô hình khu, cụm được ủy quyền trong chu kỳ giao dịch cao hơn sản lượng của Đơn vị phát điện năng lượng tái tạo trong chu kỳ giao dịch đó (quy đổi về điểm giao nhận của Khách hàng sử dụng điện lớn hoặc Đơn vị bán lẻ điện tại các mô hình khu, cụm được ủy quyền), thực hiện thanh toán như sau:
a) Phần sản lượng tiêu thụ điện của Khách hàng sử dụng điện lớn hoặc sản lượng mua điện của Đơn vị bán lẻ điện tại các mô hình khu, cụm được ủy quyền tương ứng với sản lượng của Đơn vị phát điện năng lượng tái tạo được thanh toán theo quy định tại khoản 2 Điều này;
b) Phần sản lượng tiêu thụ điện của Khách hàng sử dụng điện lớn hoặc sản lượng mua điện của Đơn vị bán lẻ điện tại các mô hình khu, cụm được ủy quyền chênh lệch so với sản lượng của Đơn vị phát điện năng lượng tái tạo được thanh toán bằng giá bán lẻ điện áp dụng cho nhóm khách hàng tương ứng về đối tượng, mục đích sử dụng, cấp điện áp và thời gian sử dụng điện trong ngày theo Quy định về thực hiện giá bán điện do Bộ Công Thương ban hành.
Điều 15. Hợp đồng mua bán điện giữa Khách hàng sử dụng điện lớn hoặc Đơn vị bán lẻ điện tại các mô hình khu, cụm được ủy quyền với Tổng công ty Điện lực
Khách hàng sử dụng điện lớn hoặc Đơn vị bán lẻ điện tại các mô hình khu, cụm được ủy quyền và Tổng công ty Điện lực (hoặc đơn vị được ủy quyền, phân cấp) đàm phán, thỏa thuận và ký kết Hợp đồng mua bán điện theo các nội dung chính quy định tại Phụ lục II ban hành kèm theo Nghị định này, đảm bảo tuân thủ quy định tại Điều 22 Luật Điện lực và các quy định pháp luật liên quan khác.
Điều 16. Thanh toán giữa Khách hàng sử dụng điện lớn hoặc Đơn vị bán lẻ điện tại các mô hình khu, cụm được ủy quyền và Tổng công ty Điện lực
1. Tổng chi phí mua điện của Khách hàng sử dụng điện lớn hoặc Đơn vị bán lẻ điện tại các mô hình khu, cụm được ủy quyền từ Tổng công ty Điện lực trong mỗi kỳ thanh toán của năm N theo Hợp đồng mua bán điện ký kết giữa hai bên được xác định theo công thức sau:
CKH = CTTĐ + CBL
a) CKH: Tổng chi phí mua điện của Khách hàng sử dụng điện lớn hoặc Đơn vị bán lẻ điện tại các mô hình khu, cụm được ủy quyền từ Tống công ty Điện lực (đồng);
b) CTTĐ: Chi phí mua điện của Khách hàng sử dụng điện lớn hoặc Đơn vị bán lẻ điện tại các mô hình khu, cụm được ủy quyền từ Tổng công ty Điện lực trên thị trường điện (đồng), được xác định theo công thức sau:
CTTĐ = CĐN + CDPPA + CCL
Trong đó:
CĐN: Chi phí điện năng thanh toán theo giá thị trường điện (đồng), được xác định theo quy định tại khoản 2 Điều này;
CDPPA: Chi phí sử dụng dịch vụ hệ thống điện (đồng), được xác định theo quy định tại khoản 4 Điều này;
CCL: Chi phí thanh toán bù trừ chênh lệch, được xác định tại Phụ lục IV ban hành kèm theo Nghị định này (đồng).
c) CBL: Chi phí mua điện trong mỗi chu kỳ giao dịch theo giá bán lẻ điện quy định tại khoản 3 Điều 14 Nghị định này (đồng), cụ thể:

Trong đó:
PBL(i): Giá bán lẻ điện hiện hành trong chu kỳ giao dịch i do Bộ Công Thương ban hành (đồng/kWh);
QKH(i): Sản lượng tiêu thụ thực tế của Khách hàng sử dụng điện lớn hoặc sản lượng mua điện của Đơn vị bán lẻ điện tại các mô hình khu, cụm được ủy quyền trong chu kỳ i (kWh);
Q KHhc(i): Điện năng tiêu thụ hiệu chỉnh của Khách hàng sử dụng điện lớn hoặc sản lượng mua điện của Đơn vị bán lẻ điện tại các mô hình khu, cụm được ủy quyền trong chu kỳ giao dịch i (kWh), được xác định như sau:
Q KHhc(i) = MIN (QKH(i); Qm(i))
Trong đó Qm(i) là sản lượng thực phát của Đơn vị phát điện năng lượng tái tạo đã quy đổi theo hệ số tổn thất tại khoản 3 Điều này. Trường hợp Khách hàng sử dụng điện lớn hoặc Đơn vị bán lẻ điện tại các mô hình khu, cụm được ủy quyền có hợp đồng kỳ hạn với nhiều Đơn vị phát điện năng lượng tái tạo hoặc Đơn vị phát điện năng lượng tái tạo có hợp đồng kỳ hạn với nhiều Khách hàng sử dụng điện lớn hoặc Đơn vị bán lẻ điện tại các mô hình khu, cụm được ủy quyền, thì sản lượng thực phát của Đơn vị phát điện năng lượng tái tạo được xác định theo nguyên tắc đã thỏa thuận theo quy định tại điểm đ khoản 1 Điều 26 Nghị định này.
2. Thành phần chi phí điện năng theo giá thị trường điện trong mỗi kỳ thanh toán của năm N (Cđn) được xác định theo công thức sau:

Trong đó:
a) i: Chu kỳ giao dịch thứ i trong kỳ thanh toán (tương ứng với chu kỳ giao dịch của thị trường điện giao ngay);
b) I: Tổng số chu kỳ giao dịch của kỳ thanh toán;
c) QKHhc(i): Điện năng tiêu thụ hiệu chỉnh của Khách hàng sử dụng điện lớn hoặc sản lượng mua điện của Đơn vị bán lẻ điện tại các mô hình khu, cụm được ủy quyền trong chu kỳ giao dịch i (kWh), được xác định theo quy định tại khoản 1 Điều này;
d) CFMP(i): Giá mua điện của Tổng công ty Điện lực trên thị trường điện giao ngay trong chu kỳ giao dịch i (đồng/kWh), xác định theo Quy định vận hành thị trường bán buôn điện cạnh tranh do Bộ Công Thương ban hành;
đ) Kpp: Hệ số quy đổi theo tổn thất điện năng trên lưới điện phân phối của Tổng công ty Điện lực, xác định theo quy định tại khoản 3 Điều này.
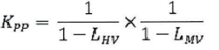
3. Phương pháp xác định hệ số quy đổi theo tổn thất điện năng trên lưới điện phân phối (Kpp) áp dụng cho Tổng công ty Điện lực trong năm N
a) Trường hợp Khách hàng sử dụng điện lớn hoặc Đơn vị bán lẻ điện tại các mô hình khu, cụm được ủy quyền mua điện ở cấp điện áp từ 22kV đến dưới 110kV, Kpp được xác định theo công thức sau:

Trong đó:
LHV (%): Tỷ lệ tổn thất điện năng trên lưới điện phân phối tại cấp điện áp từ 110kV trở lên năm N của Tổng công ty Điện lực;
LMV (%): Tỷ lệ tổn thất điện năng trên lưới điện phân phối từ 22kV đến dưới 110kV năm N của Tổng công ty Điện lực.
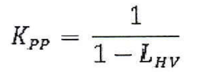
b) Trường hợp Khách hàng sử dụng điện lớn hoặc Đơn vị bán lẻ điện tại các mô hình khu, cụm được ủy quyền mua điện ở cấp điện áp từ 110kV trở lên, Kpp được xác định theo công thức sau:

Trong đó:
LHV (%): Tỷ lệ tổn thất điện năng trên lưới điện phân phối tại cấp điện áp từ 110kV trở lên năm N của Tổng công ty Điện lực.
4. Chi phí sử dụng dịch vụ hệ thống điện (CDPPA) được xác định theo công thức sau:

Trong đó:
a) i: Chu kỳ giao dịch thứ i trong chu kỳ thanh toán (tương ứng với chu kỳ giao dịch của thị trường điện giao ngay);
b) I: Tổng số chu kỳ giao dịch của chu kỳ thanh toán;
d) CDPPAđv: Chi phí sử dụng dịch vụ hệ thống điện tính cho một đơn vị điện năng của năm N (đồng/kWh), bao gồm chi phí sử dụng các dịch vụ: truyền tải điện, phân phối - bán lẻ điện, điều độ hệ thống điện, điều hành giao dịch thị trường điện lực, điều hành - quản lý ngành và được xác định bằng tổng chi phí và lợi nhuận định mức của các khâu truyền tải điện, phân phối - bán lẻ điện, điều độ hệ thống điện và điều hành giao dịch thị trường điện lực, điều hành - quản lý ngành chia cho tổng sản lượng điện thương phẩm trong nước của các Tổng công ty Điện lực với số liệu tính toán được lấy bằng các số liệu tương ứng tại phương án giá bán lẻ điện bình quân hằng năm của năm N do Tập đoàn Điện lực Việt Nam xây dựng và đã được cơ quan có thẩm quyền kiểm tra, rà soát và cho ý kiến theo quy định tại Cơ chế điều chỉnh mức giá bán lẻ điện bình quân do Thủ tướng Chính phủ ban hành.
Trường hợp chưa có phương án giá bán lẻ điện bình quân hằng năm của năm N do Tập đoàn Điện lực Việt Nam xây dựng và được cơ quan có thẩm quyền kiểm tra, rà soát và cho ý kiến theo quy định tại Cơ chế điều chỉnh mức giá bán lẻ điện bình quân do Thủ tướng Chính phủ ban hành, các số liệu sử dụng để tính CDPPAđv là các số liệu theo kết quả kiểm tra chi phí sản xuất kinh doanh điện năm N-2 với lợi nhuận định mức các khâu truyền tải điện, phân phối - bán lẻ điện, điều độ hệ thống điện và điều hành giao dịch thị trường điện lực, dịch vụ phụ trợ hệ thống điện, điều hành - quản lý ngành được xác định bằng vốn chủ sở hữu nhân với tỷ suất lợi nhuận trên vốn chủ sở hữu tại phương án giá bán lẻ điện bình quân hiện hành tại năm N-2. Khách hàng sử dụng điện lớn hoặc Đơn vị bán lẻ điện tại các mô hình khu, cụm được ủy quyền và Tổng công ty Điện lực quyết toán chi phí sử dụng dịch vụ hệ thống điện cho các kỳ thanh toán đã thực hiện từ đầu năm cho đến trước kỳ thanh toán có số liệu CDPPAđv tính toán theo phương án giá bán lẻ điện bình quân hằng năm của năm N.
5. Ngoài các chi phí mua điện liên quan đến hoạt động mua bán điện trực tiếp quy định tại Nghị định này, trường hợp giữa Khách hàng sử dụng điện lớn hoặc Đơn vị bán lẻ điện tại các mô hình khu, cụm được ủy quyền và Tổng công ty Điện lực có hoạt động mua bán điện khác, thì các bên có trách nhiệm đàm phán, thỏa thuận và thực hiện thanh toán theo quy định tại Hợp đồng và pháp luật khác có liên quan.
Mục 3
MUA BÁN ĐIỆN GIỮA KHÁCH HÀNG SỬ DỤNG ĐIỆN LỚN HOẶC
ĐƠN VỊ BÁN LẺ ĐIỆN TẠI CÁC MÔ HÌNH KHU, CỤM ĐƯỢC ỦY
QUYỀN VỚI ĐƠN VỊ PHÁT ĐIỆN NĂNG LƯỢNG TÁI TẠO
Điều 17. Hợp đồng kỳ hạn
1. Đơn vị phát điện năng lượng tái tạo và Khách hàng sử dụng điện lớn hoặc Đơn vị bán lẻ điện tại các mô hình khu, cụm được ủy quyền thực hiện đàm phán, ký kết hợp đồng kỳ hạn trên cơ sở các nội dung chính quy định tại Phụ lục III ban hành kèm theo Nghị định này.
2. Thời hạn của Hợp đồng kỳ hạn, giá hợp đồng và sản lượng điện cam kết trong hợp đồng kỳ hạn cho các chu kỳ giao dịch trong tương lai do hai bên thỏa thuận, thống nhất.
Điều 18. Thanh toán giữa Khách hàng sử dụng điện lớn hoặc Đơn vị bán lẻ điện tại các mô hình khu, cụm được ủy quyền và Đơn vị phát điện năng lượng tái tạo
1. Sản lượng hợp đồng và giá hợp đồng do hai bên thoả thuận, thống nhất cho các chu kỳ giao dịch trên thị trường điện giao ngay.
2. Giá tham chiếu được lấy bằng Giá thị trường điện giao ngay do Đơn vị vận hành hệ thống điện và thị trường điện tính toán, công bố theo Quy định vận hành thị trường bán buôn điện cạnh tranh được Bộ Công Thương ban hành.
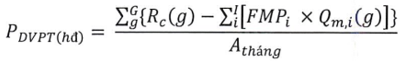
3. Khách hàng sử dụng điện lớn hoặc Đơn vị bán lẻ điện tại các mô hình khu, cụm được ủy quyền và Đơn vị phát điện năng lượng tái tạo thực hiện tính toán, thanh toán sản lượng điện hợp đồng theo Hợp đồng kỳ hạn bằng mức chênh lệch giữa giá cam kết tại hợp đồng với giá thị trường điện giao ngay (giá tham chiếu), cụ thể như sau:

Trong đó:
a) Rc: Doanh thu của Đơn vị phát điện năng lượng tái tạo theo Hợp đồng kỳ hạn trong chu kỳ thanh toán (đồng);
b) i: Chu kỳ giao dịch thứ i trong chu kỳ thanh toán;
c) I: Tổng số chu kỳ giao dịch trong chu kỳ thanh toán;
d) Pc(i): Giá cam kết tại Hợp đồng kỳ hạn (đồng/kWh);
đ) FMP(i): Giá thị trường điện giao ngay trong chu kỳ giao dịch i (đồng/kWh);
e) Qc(i): Sản lượng điện cam kết tại Hợp đồng kỳ hạn trong chu kỳ giao dịch i (kWh).
Mục 4
TRÁCH NHIỆM CỦA CÁC ĐƠN VỊ
Điều 19. Trách nhiệm của Tập đoàn Điện lực Việt Nam
1. Thỏa thuận, ký kết Hợp đồng mua bán điện với Đơn vị phát điện năng lượng tái tạo khi nhận được văn bản đề nghị bán điện và các tài liệu liên quan của Đơn vị phát điện năng lượng tái tạo.
2. Kiểm tra kết quả tính toán của Tổng công ty Điện lực về tỷ lệ tổn thất điện năng dự kiến năm N (Kpp) và công bố tỷ lệ này trước ngày 30 tháng 11 năm N-1.
3. Tính toán, báo cáo Bộ Công Thương kết quả tính toán trước khi công bố quyết định về các chi phí quy định tại Điều 16 Nghị định này, bao gồm:
a) Chi phí sử dụng dịch vụ hệ thống điện cho một đơn vị điện năng áp dụng đối với Khách hàng của các Tổng công ty Điện lực năm N theo quy định tại điểm d khoản 4 Điều 16 Nghị định này trước ngày 15 tháng 12 năm N-1.
Trường hợp chi phí sử dụng dịch vụ hệ thống điện cho một đơn vị điện năng áp dụng đối với Khách hàng của các Tổng công ty Điện lực năm N công bố trước ngày 15 tháng 12 năm N-1 được tính toán theo kết quả kiểm tra chi phí sản xuất kinh doanh điện năm N-2, trong thời hạn 07 ngày làm việc kể từ ngày phương án giá bán lẻ điện bình quân hằng năm của năm N được cơ quan có thẩm quyền kiểm tra, rà soát và cho ý kiến theo quy định tại cơ chế điều chỉnh mức giá bán lẻ điện bình quân do Thủ tướng Chính phủ ban hành, cập nhật chi phí sử dụng dịch vụ hệ thống điện cho một đơn vị điện năng của năm N theo quy định tại điểm d khoản 4 Điều 16 Nghị định này;
b) Trước ngày 30 tháng M-1, tính toán và công bố chi phí thanh toán bù trừ chênh lệch tháng M-2 (PCL).
Điều 20. Trách nhiệm của Đơn vị vận hành hệ thống điện và thị trường điện
1. Quản trị việc đăng ký tham gia cơ chế mua bán điện trực tiếp giữa Đơn vị phát điện năng lượng tái tạo và Khách hàng sử dụng điện lớn qua lưới điện quốc gia, đảm bảo tổng công suất năng lượng tái tạo không được vượt quá tổng công suất năng lượng tái tạo theo từng loại hình nguồn điện quy định tại Quy hoạch phát triển điện lực quốc gia đã được phê duyệt.
2. Thực hiện vận hành hệ thống điện và thị trường điện tuân thủ theo Quy định hệ thống điện truyền tải, Quy định quy trình Điều độ hệ thống điện quốc gia, Quy định vận hành thị trường bán buôn điện cạnh tranh do Bộ Công Thương ban hành và các quy định pháp luật có liên quan khác.
3. Hằng tháng, công bố danh sách và sản lượng điện năng tiêu thụ của các Khách hàng sử dụng điện lớn tham gia cơ chế mua bán điện trực tiếp với Đơn vị phát điện năng lượng tái tạo qua lưới điện quốc gia.
4. Hằng tháng, công bố danh sách và sản lượng điện năng phát của các Đơn vị phát điện năng lượng tái tạo tham gia cơ chế mua bán điện trực tiếp với Khách hàng sử dụng điện lớn qua lưới điện quốc gia.
5. Giám sát, phát hiện và báo cáo Bộ Công Thương các vấn đề phát sinh, các hành vi có dấu hiệu vi phạm trong quá trình thực hiện cơ chế mua bán điện trực tiếp.
Điều 21. Trách nhiệm của Đơn vị phát điện năng lượng tái tạo
1. Đầu tư xây dựng và đưa vào vận hành thương mại nhà máy điện đảm bảo đúng tiến độ cam kết trong hồ sơ đăng ký tham gia mua bán điện trực tiếp.
2. Đăng ký tham gia thị trường bán buôn điện cạnh tranh; tuân thủ Quy định về vận hành của thị trường bán buôn điện cạnh tranh do Bộ Công Thương ban hành.
3. Ký kết Hợp đồng mua bán điện trên thị trường điện với Tập đoàn Điện lực Việt Nam; đàm phán, ký kết Hợp đồng kỳ hạn với Khách hàng sử dụng điện lớn.
4. Cung cấp thông tin về tình hình thực hiện, các vấn đề phát sinh, vướng mắc trong quá trình triển khai thực hiện mua bán điện trực tiếp theo yêu cầu của cơ quan có thẩm quyền.
Điều 22. Trách nhiệm của Tổng công ty Điện lực
1. Thỏa thuận, ký kết Hợp đồng mua bán điện với Khách hàng sử dụng điện lớn tham gia mua bán điện trực tiếp trong thời hạn 07 ngày làm việc kể từ ngày nhận được đầy đủ văn bản đề nghị mua điện và các tài liệu liên quan của Khách hàng sử dụng điện lớn.
2. Đầu tư, lắp đặt hệ thống đo đếm điện năng (gồm hệ thống đo đếm chính và hệ thống đo đếm dự phòng), hệ thống thu thập dữ liệu đo đếm từ xa tại các vị trí đo đếm giao nhận điện năng với Khách hàng sử dụng điện lớn để phục vụ tính toán, thanh toán theo quy định, trừ trường hợp có thỏa thuận khác với Khách hàng sử dụng điện lớn.
3. Trước ngày 15 tháng 11 năm N-1, tính toán về tỷ lệ tổn thất điện năng dự kiến năm N (Kpp) theo quy định tại khoản 3 Điều 16 Nghị định này và trình Tập đoàn Điện lực Việt Nam kiểm tra và công bố.
4. Cung cấp thông tin về tình hình thực hiện, các vấn đề phát sinh, vướng mắc trong quá trình triển khai thực hiện theo yêu cầu của cơ quan có thẩm quyền.
Điều 23. Trách nhiệm của Đơn vị bán lẻ điện tại các mô hình khu, cụm
1. Thỏa thuận với Khách hàng sử dụng điện lớn về mức chi phí bán lẻ trong hàng rào khu công nghiệp, khu kinh tế, khu chế xuất, cụm công nghiệp, khu công nghệ cao, khu công nghệ thông tin tập trung, khu nông nghiệp ứng dụng công nghệ cao phù hợp với quy định của Bộ Công Thương trong thời hạn 30 ngày kể từ ngày nhận được văn bản đề nghị và đầy đủ hồ sơ kèm theo của Khách hàng sử dụng điện lớn.
2. Chấm dứt Hợp đồng mua bán điện đã ký với Khách hàng sử dụng điện lớn tham gia mua bán điện trực tiếp trong thời hạn 07 ngày làm việc kể từ ngày thống nhất với Khách hàng sử dụng điện lớn về chi phí bán lẻ trong hàng rào khu công nghiệp, khu kinh tế, khu chế xuất, cụm công nghiệp, khu công nghệ cao, khu công nghệ thông tin tập trung, khu nông nghiệp ứng dụng công nghệ cao trừ trường hợp quy định tại khoản 3 Điều này.
3. Trường hợp Đơn vị bán lẻ điện tại các mô hình khu, cụm được Khách hàng sử dụng điện lớn ủy quyền theo quy định tại điểm c khoản 2 Điều 2 Nghị định này có trách nhiệm:
a) Thống nhất ký hợp đồng mua bán điện với Tổng công ty Điện lực theo quy định tại khoản 1 Điều 24 Nghị định này;
b) Sửa đổi và ký kết hợp đồng mua bán điện với Khách hàng sử dụng điện lớn để đảm bảo các cam kết theo quy định tại điểm a khoản này;
c) Thống nhất chi phí bán lẻ trong hàng rào khu công nghiệp, khu kinh tế, khu chế xuất, cụm công nghiệp, khu công nghệ cao, khu công nghệ thông tin tập trung, khu nông nghiệp ứng dụng công nghệ cao (từ công tơ mua điện tổng của Đơn vị bán lẻ điện tại các mô hình khu, cụm được ủy quyền đến công tơ bán lẻ điện cho Khách hàng sử dụng điện lớn), chi phí phát sinh từ các hợp đồng kỳ hạn ký giữa Đơn vị phát điện năng lượng tái tạo với Đơn vị bán lẻ điện tại các mô hình khu, cụm được ủy quyền.
Điều 24. Trách nhiệm của Khách hàng sử dụng điện lớn
1. Trường hợp Khách hàng sử dụng điện lớn mua bán điện với Tổng công ty Điện lực:
a) Đàm phán, ký kết Hợp đồng mua bán điện với Tổng công ty Điện lực, Hợp đồng kỳ hạn với Đơn vị phát điện năng lượng tái tạo;
b) Cung cấp thông tin về nguyên tắc phân bổ sản lượng điện thực phát của các Đơn vị phát điện năng lượng tái tạo cho Khách hàng sử dụng điện lớn trong từng chu kỳ giao dịch cho Đơn vị vận hành hệ thống điện và thị trường điện và Tổng công ty Điện lực;
c) Cung cấp thông tin về tình hình thực hiện, các vấn đề phát sinh, vướng mắc trong quá trình triển khai thực hiện theo yêu cầu của cơ quan có thẩm quyền.
2. Trường hợp Khách hàng sử dụng điện lớn ủy quyền cho Đơn vị bán lẻ điện tại các mô hình khu, cụm, Khách hàng sử dụng điện lớn thực hiện đàm phán, thỏa thuận về việc:
a) Thống nhất sửa đổi và ký kết hợp đồng mua bán điện với Đơn vị bán lẻ điện tại các mô hình khu, cụm được ủy quyền để đảm bảo các cam kết theo quy định tại khoản 1 Điều này;
b) Thống nhất chi phí bán lẻ trong hàng rào khu công nghiệp, khu kinh tế, khu chế xuất, cụm công nghiệp khu công nghệ cao, khu công nghệ thông tin tập trung, khu nông nghiệp ứng dụng công nghệ cao (từ công tơ mua điện tổng của Đơn vị bán lẻ điện tại các mô hình khu, cụm được ủy quyền đến công tơ bán lẻ điện cho Khách hàng sử dụng điện lớn), chi phí phát sinh từ các hợp đồng kỳ hạn ký giữa Đơn vị phát điện năng lượng tái tạo với Đơn vị bán lẻ điện tại các mô hình khu, cụm được ủy quyền.
Chương IV
TRÌNH TỰ THỰC HIỆN VÀ CHẾ ĐỘ BÁO CÁO
Điều 25. Trình tự tham gia mua bán điện trực tiếp qua đường dây kết nối riêng
1. Đơn vị phát điện năng lượng tái tạo hoặc Chủ đầu tư dự án phát điện năng lượng tái tạo thực hiện các quy định liên quan đến quy hoạch, đầu tư, xây dựng, cấp giấy phép hoạt động điện lực đối với dự án, công trình nguồn, lưới để bán điện trực tiếp cho Khách hàng sử dụng điện lớn tuân thủ quy định tại Điều 5 Nghị định này.
2. Đơn vị phát điện năng lượng tái tạo và Khách hàng sử dụng điện lớn tự đàm phán, thỏa thuận và ký kết hợp đồng mua bán điện theo quy định tại Điều 6 Nghị định này.
3. Khách hàng sử dụng điện lớn báo cáo bằng văn bản về việc ký kết hợp đồng mua bán điện trực tiếp với Đơn vị phát điện năng lượng tái tạo (kèm theo bản sao hợp đồng mua bán điện) và gửi trực tiếp hoặc qua đường dịch vụ bưu chính tới Ủy ban nhân dân cấp tỉnh tại địa phương, đồng thời thông báo bằng văn bản (kèm theo bản sao hợp đồng mua bán điện) tới Tổng công ty Điện lực (hoạt động trên địa bàn) và Đơn vị vận hành hệ thống điện và thị trường điện.
4. Nội dung chính tại văn bản báo cáo bao gồm: Thông báo về việc ký hợp đồng mua bán điện trực tiếp giữa Khách hàng sử dụng điện lớn và Đơn vị phát điện năng lượng tái tạo; Thông tin của Khách hàng sử dụng điện lớn (địa điểm cơ sở tiêu thụ điện, mục đích sử dụng điện, hiện trạng sử dụng điện (nếu có), cơ sở hạ tầng để tham gia thị trường điện và giá điện hiện hành (nếu có)); Hiện trạng của Đơn vị phát điện năng lượng tái tạo (loại hình nhà máy điện, công suất, hiện trạng nhà máy, cơ sở hạ tầng để tham gia thị trường điện và giá điện hiện hành).
Điều 26. Trình tự tham gia mua bán điện trực tiếp qua lưới điện quốc gia
1. Khách hàng sử dụng điện lớn hoặc Đơn vị bán lẻ điện tại các mô hình khu, cụm được ủy quyền và Đơn vị phát điện năng lượng tái tạo quy định tại khoản 2 Điều 2 Nghị định này có thỏa thuận tham gia cơ chế mua bán điện trực tiếp qua lưới điện quốc gia thì Khách hàng sử dụng điện lớn hoặc Đơn vị bán lẻ điện tại các mô hình khu, cụm được ủy quyền gửi hồ sơ đăng ký tham gia cơ chế mua bán điện trực tiếp về Đơn vị vận hành hệ thống điện và thị trường điện trực tiếp hoặc qua đường dịch vụ bưu chính, bao gồm:
a) Văn bản đề nghị tham gia cơ chế mua bán điện trực tiếp;
b) Văn bản thỏa thuận nguyên tắc ký kết giữa Đơn vị phát điện năng lượng tái tạo và Khách hàng sử dụng điện lớn hoặc Đơn vị bán lẻ điện tại các mô hình khu, cụm được ủy quyền về việc mua bán điện thông qua Hợp đồng kỳ hạn theo quy định tại Điều 17 Nghị định này khi tham gia cơ chế mua bán điện trực tiếp, bao gồm các thông tin về dự kiến ký Hợp đồng kỳ hạn giữa hai bên, dự kiến chấm dứt hợp đồng mua bán điện hiện hữu của Đơn vị phát điện năng lượng tái tạo để tham gia cơ chế mua bán điện trực tiếp;
c) Báo cáo hiện trạng của Đơn vị phát điện năng lượng tái tạo (loại hình nhà máy điện, công suất, hiện trạng nhà máy, cơ sở hạ tầng để tham gia thị trường điện và giá điện hiện hành);
d) Thông tin của Khách hàng sử dụng điện lớn hoặc Đơn vị bán lẻ điện tại các mô hình khu, cụm được ủy quyền (địa điểm cơ sở tiêu thụ điện, mục đích sử dụng điện, hiện trạng sử dụng điện (nếu có), cơ sở hạ tầng để tham gia thị trường điện và giá điện hiện hành (nếu có));
đ) Văn bản thống nhất nguyên tắc phân bổ sản lượng điện thực phát của các Đơn vị phát điện năng lượng tái tạo cho Khách hàng sử dụng điện lớn hoặc Đơn vị bán lẻ điện tại các mô hình khu, cụm được ủy quyền trong từng chu kỳ giao dịch (Qm(i)).
2. Khách hàng sử dụng điện lớn trong khu công nghiệp, khu kinh tế, khu chế xuất, cụm công nghiệp, khu công nghệ cao, khu công nghệ thông tin tập trung, khu nông nghiệp ứng dụng công nghệ cao hoặc Đơn vị bán lẻ điện tại các mô hình khu, cụm được ủy quyền theo quy định tại khoản 2 Điều 2 Nghị định này bổ sung các tài liệu sau:
a) Văn bản thỏa thuận thống nhất với Tổng công ty Điện lực về trách nhiệm lắp đặt công tơ đo đếm của Khách hàng sử dụng điện lớn hoặc Đơn vị bán lẻ điện tại các mô hình khu, cụm được ủy quyền mua bán điện trực tiếp đáp ứng các điều kiện kỹ thuật theo quy định và dự kiến chi phí mua điện theo quy định tại Điều 18 Nghị định này;
b) Trường hợp chấm dứt hợp đồng với Đơn vị bán lẻ điện tại khu công nghiệp: Văn bản thỏa thuận thống nhất với Đơn vị bán lẻ điện tại khu công nghiệp về việc dự kiến chấm dứt hợp đồng mua bán điện đã ký giữa hai bên khi tham gia cơ chế mua bán điện trực tiếp và chi phí bán lẻ trong hàng rào khu công nghiệp, khu kinh tế, khu chế xuất, cụm công nghiệp, khu công nghệ cao, khu công nghệ thông tin tập trung, khu nông nghiệp ứng dụng công nghệ cao (từ công tơ mua điện tổng của Đơn vị bán lẻ điện tại các mô hình khu, cụm đến công tơ bán lẻ điện cho Khách hàng sử dụng điện lớn);
c) Trường hợp tiếp tục hợp đồng với Đơn vị bán lẻ điện tại khu công nghiệp: Văn bản ủy quyền của Khách hàng sử dụng điện lớn và Văn bản thỏa thuận về việc sửa đổi hợp đồng mua bán điện với Khách hàng sử dụng điện lớn để tham gia cơ chế mua bán điện trực tiếp.
3. Trong thời hạn 05 ngày làm việc kể từ khi nhận được hồ sơ đăng ký tham gia cơ chế mua bán điện trực tiếp theo quy định tại khoản 1 và khoản 2 Điều này, Đơn vị vận hành hệ thống điện và thị trường điện có trách nhiệm:
a) Gửi hồ sơ cho Tổng công ty Điện lực, Đơn vị bán lẻ điện tại khu công nghiệp quản lý Khách hàng sử dụng điện lớn, xác nhận hồ sơ của Khách hàng sử dụng điện lớn hoặc Đơn vị bán lẻ điện tại các mô hình khu, cụm được ủy quyền và khả năng chuyển đổi hợp đồng mua bán điện hiện có sang cơ chế mua bán điện trực tiếp;
b) Gửi hồ sơ cho Tập đoàn Điện lực Việt Nam xác nhận khả năng ký kết Hợp đồng mua bán điện trên thị trường điện giao ngay với Đơn vị phát điện năng lượng tái tạo theo quy định tại Điều 9 Nghị định này;
c) Rà soát tính đáp ứng của hồ sơ do Khách hàng sử dụng điện lớn hoặc Đơn vị bán lẻ điện tại các mô hình khu, cụm được ủy quyền gửi theo quy định tại điểm đ khoản 1 Điều này. Trường hợp sản lượng điện thực phát của các Đơn vị phát điện năng lượng tái tạo cùng có hợp đồng kỳ hạn với Khách hàng sử dụng điện lớn hoặc Đơn vị bán lẻ điện tại các mô hình khu, cụm được ủy quyền không thể xác định được, Đơn vị vận hành hệ thống điện và thị trường điện có trách nhiệm hướng dẫn Khách hàng sử dụng điện lớn hoặc Đơn vị bán lẻ điện tại các mô hình khu, cụm được ủy quyền để thực hiện thống nhất lại với các Đơn vị phát điện năng lượng tái tạo về nguyên tắc phân bổ.
4. Trong thời hạn 05 ngày làm việc kể từ thời điểm nhận được hồ sơ do Đơn vị vận hành hệ thống điện và thị trường điện gửi:
a) Tổng công ty Điện lực, Đơn vị bán lẻ điện tại các mô hình khu, cụm có văn bản xác nhận hồ sơ của Khách hàng sử dụng điện lớn hoặc Đơn vị bán lẻ điện tại các mô hình khu, cụm được ủy quyền, về việc sẵn sàng và thời điểm dự kiến chuyển đổi hợp đồng mua bán điện với Khách hàng sử dụng điện lớn hoặc Đơn vị bán lẻ điện tại các mô hình khu, cụm được ủy quyền và gửi Đơn vị vận hành hệ thống điện và thị trường điện;
b) Tập đoàn Điện lực Việt Nam có văn bản xác nhận về việc sẵn sàng và thời điểm dự kiến ký kết hợp đồng mua bán điện trên thị trường điện giao ngay với Đơn vị phát điện năng lượng tái tạo và gửi Đơn vị vận hành hệ thống điện và thị trường điện.
5. Trong thời hạn 05 ngày làm việc kể từ ngày nhận được văn bản trả lời của Tập đoàn Điện lực Việt Nam, Tổng công ty Điện lực, Đơn vị bán lẻ điện tại các mô hình khu, cụm và văn bản thống nhất lại nguyên tắc phân bổ sản lượng điện thực phát của Khách hàng sử dụng điện lớn hoặc Đơn vị bán lẻ điện tại các mô hình khu, cụm được ủy quyền theo quy định tại điểm đ khoản 1 Điều này, Đơn vị vận hành hệ thống điện và thị trường điện có văn bản trả lời Khách hàng sử dụng điện lớn hoặc Đơn vị bán lẻ điện tại các mô hình khu, cụm được ủy quyền về:
Thời điểm dự kiến ký kết hợp đồng mua bán điện giao ngay giữa Tập đoàn điện lực Việt Nam với Đơn vị phát điện năng lượng tái tạo.
Thời điểm dự kiến chuyển đổi các hợp đồng mua bán điện hiện có giữa Tổng công ty Điện lực, Đơn vị bán lẻ điện tại các mô hình khu, cụm được ủy quyền với Khách hàng sử dụng điện lớn.
Thời điểm dự kiến áp dụng cơ chế mua bán điện trực tiếp.
6. Tập đoàn Điện lực Việt Nam, Tổng công ty Điện lực, Đơn vị bán lẻ điện tại các mô hình khu, cụm, Đơn vị phát điện năng lượng tái tạo và Khách hàng sử dụng điện lớn hoặc Đơn vị bán lẻ điện tại các mô hình khu, cụm được ủy quyền chủ động đàm phán, ký kết các hợp đồng theo quy định tại Điều 9, Điều 15 và Điều 17 Nghị định này.
7. Đơn vị phát điện năng lượng tái tạo, Khách hàng sử dụng điện lớn hoặc Đơn vị bán lẻ điện tại các mô hình khu, cụm được ủy quyền và các đơn vị liên quan có trách nhiệm đầu tư, trang bị cơ sở hạ tầng đáp ứng điều kiện tham gia cơ chế mua bán điện trực tiếp và gửi văn bản cho Đơn vị vận hành hệ thống điện và thị trường điện về việc xác nhận hoàn thành các điều kiện tham gia cơ chế mua bán điện trực tiếp. Hồ sơ gửi kèm theo văn bản bao gồm: hồ sơ đăng ký tham gia thị trường điện của đơn vị phát điện, bản sao các hợp đồng theo quy định tại Điều 9, Điều 15 và Điều 17 Nghị định này.
8. Đơn vị vận hành hệ thống điện và thị trường điện kiểm tra hồ sơ theo quy định tại khoản 7 Điều này và thông báo bằng văn bản gửi Đơn vị phát điện năng lượng tái tạo theo quy định về vận hành thị trường điện do Bộ Công Thương ban hành, đồng thời thông báo bằng văn bản cho Tập đoàn Điện lực Việt Nam, Tổng công ty Điện lực, Đơn vị bán lẻ điện tại các mô hình khu, cụm và Khách hàng sử dụng điện lớn hoặc Đơn vị bán lẻ điện tại các mô hình khu, cụm được ủy quyền về thời điểm chính thức vận hành mua bán điện trực tiếp giữa Đơn vị phát điện năng lượng tái tạo và Khách hàng sử dụng điện lớn hoặc Đơn vị bán lẻ điện tại các mô hình khu, cụm được ủy quyền.
Điều 27. Tạm dừng, chấm dứt, khôi phục tham gia cơ chế mua bán điện trực tiếp
1. Tạm dừng tham gia cơ chế mua bán điện trực tiếp
a) Tạm dừng việc tham gia cơ chế mua bán điện trực tiếp đối với Khách hàng sử dụng điện lớn hoặc Đơn vị bán lẻ điện tại các mô hình khu, cụm được ủy quyền, Đơn vị phát điện năng lượng tái tạo trong các trường hợp: Dừng thị trường điện theo Quy định vận hành thị trường bán buôn điện cạnh tranh do Bộ Công Thương ban hành; Một trong các hợp đồng của cơ chế mua bán điện trực tiếp bị tạm dừng hoặc hết hiệu lực, gây ảnh hưởng đến lợi ích của các bên liên quan; Có hành vi lợi dụng cơ chế, chính sách để trục lợi; Khách hàng đã tham gia cơ chế mua bán điện trực tiếp có sản lượng tiêu thụ điện bình quân (tính trung bình 12 tháng liên tục) nhỏ hơn 200.000kWh/tháng.
b) Thanh toán trong trường hợp tạm dừng tham gia cơ chế mua bán điện trực tiếp của Khách hàng sử dụng điện lớn hoặc Đơn vị bán lẻ điện tại các mô hình khu, cụm được ủy quyền, Đơn vị phát điện năng lượng tái tạo: Khách hàng sử dụng điện lớn mua điện thanh toán theo biểu giá bán lẻ điện theo quy định do Bộ Công Thương ban hành; Đơn vị bán lẻ điện tại các mô hình khu, cụm được ủy quyền mua điện từ Tổng công ty Điện lực theo biểu giá điện hiện hành; Đơn vị phát điện năng lượng tái tạo bán điện cho Tập đoàn Điện lực Việt Nam (hoặc đơn vị được ủy quyền), đàm phán thống nhất về giá phát điện trong khung giá phát điện năng lượng tái tạo do Bộ Công Thương ban hành hoặc các cơ chế giá điện hiện hành khác.
2. Chấm dứt tham gia cơ chế mua bán điện trực tiếp
a) Các bên chấm dứt tham gia cơ chế mua bán điện trực tiếp khi có một trong các trường hợp sau: Tự nguyện chấm dứt theo yêu cầu của các bên tham gia; có hành vi lợi dụng cơ chế, chính sách để trục lợi và hậu quả gây ra không thể khắc phục;
b) Trường hợp chấm dứt tham gia cơ chế mua bán điện trực tiếp, các Đơn vị phát điện năng lượng tái tạo, Khách hàng sử dụng điện lớn, Đơn vị bán lẻ điện tại các mô hình khu, cụm được ủy quyền, Tổng công ty Điện lực có trách nhiệm đàm phán, ký kết hợp đồng mua bán điện theo quy định hiện hành.
3. Khôi phục tham gia cơ chế mua bán điện trực tiếp
a) Các bên khôi phục tham gia cơ chế khi có một trong các trường hợp sau: khi các hành vi vi phạm đã được khắc phục và được xác nhận của cơ quan có thẩm quyền; cơ quan có thẩm quyền ra quyết định việc tiếp tục vận hành thị trường điện;
b) Trường hợp khôi phục, các đơn vị có trách nhiệm tiếp tục thực hiện các thỏa thuận tại các hợp đồng mua bán điện đã ký kết.
4. Thẩm quyền trong việc tạm dừng, chấm dứt, khôi phục tham gia cơ chế mua bán điện trực tiếp
a) Bộ trưởng Bộ Công Thương quyết định tạm dừng và khôi phục việc tham gia cơ chế mua bán điện trực tiếp của Khách hàng sử dụng điện lớn hoặc Đơn vị bán lẻ điện tại các mô hình khu, cụm được ủy quyền, Đơn vị phát điện năng lượng tái tạo trên cơ sở báo cáo, kiến nghị của Tập đoàn Điện lực Việt Nam, Đơn vị vận hành hệ thống điện hoặc các cơ quan, tổ chức liên quan khác;
b) Bộ trưởng Bộ Công Thương quyết định chấm dứt tham gia cơ chế mua bán điện trực tiếp của Khách hàng sử dụng điện lớn hoặc Đơn vị bán lẻ điện tại các mô hình khu, cụm được ủy quyền, Đơn vị phát điện năng lượng tái tạo sau khi lấy ý kiến bằng văn bản của các cơ quan có liên quan (nếu có).
Điều 28. Chế độ báo cáo
1. Chế độ báo cáo của hình thức mua bán điện trực tiếp qua đường dây kết nối riêng
a) Báo cáo các thông tin liên quan khi bắt đầu thực hiện mua bán điện trực tiếp qua đường dây kết nối riêng
Tên báo cáo: Báo cáo về việc mua bán điện trực tiếp;
Nội dung báo cáo: Các thông tin về chủ thể hợp đồng (bên mua, bên bán); sản lượng điện năng thỏa thuận; giá điện; các nội dung khác;
Đối tượng báo cáo: Khách hàng sử dụng điện lớn;
Cơ quan nhận báo cáo: Bộ Công Thương, Ủy ban nhân dân tỉnh, thành phố trực thuộc trung ương (chỉ nhận báo cáo của Khách hàng sử dụng điện lớn trong địa bàn quản lý);
Phương thức gửi báo cáo: Qua dịch vụ bưu chính;
Thời hạn gửi báo cáo: Trong thời hạn 10 ngày kể từ thời điểm ký kết Hợp đồng mua bán điện trực tiếp qua đường dây kết nối riêng.
b) Báo cáo kết quả mua bán điện trực tiếp qua đường dây kết nối riêng năm N-1
Tên báo cáo: Báo cáo kết quả mua bán điện trực tiếp qua đường dây kết nối riêng của năm N-1;
Nội dung báo cáo: Các thông tin về chủ thể hợp đồng (bên mua, bên bán); sản lượng điện năng mua bán trong năm; chi phí mua điện trực tiếp các tháng và năm; các khó khăn, vướng mắc, kiến nghị;
Đối tượng báo cáo: Khách hàng sử dụng điện lớn;
Cơ quan nhận báo cáo: Bộ Công Thương, Ủy ban nhân dân tỉnh, thành phố trực thuộc trung ương;
Phương thức gửi báo cáo: Qua dịch vụ bưu chính;
Thời hạn gửi báo cáo: Trước ngày 30 tháng 01 năm N;
Tần suất gửi báo cáo: Hằng năm.
2. Chế độ báo cáo của hình thức mua bán điện trực tiếp qua lưới điện quốc gia
a) Báo cáo kết quả mua bán điện trực tiếp qua lưới điện quốc gia tháng M-1
Tên báo cáo: Báo cáo kết quả mua bán điện trực tiếp của tháng trước liền kề;
Nội dung báo cáo: Tổng số Đơn vị phát điện năng lượng tái tạo và Khách hàng sử dụng điện lớn hoặc Đơn vị bán lẻ điện tại các mô hình khu, cụm được ủy quyền tham gia cơ chế mua bán điện trực tiếp; các thông tin về chủ thể hợp đồng (bên mua, bên bán); sản lượng điện năng mua bán trong tháng; chi phí mua điện trực tiếp trong tháng; các khó khăn, vướng mắc, kiến nghị giải pháp (nếu có);
Đối tượng báo cáo: Đơn vị vận hành hệ thống điện và thị trường điện, Tổng công ty Điện lực;
Cơ quan nhận báo cáo: Bộ Công Thương, Ủy ban nhân dân tỉnh, thành phố trực thuộc trung ương (chỉ nhận báo cáo của Tổng công ty Điện lực có trong địa bàn quản lý);
Phương thức gửi báo cáo: Qua thư điện tử hoặc qua dịch vụ bưu chính;
Thời hạn gửi báo cáo: Trước ngày 20 tháng M;
Tần suất gửi báo cáo: Hằng tháng.
b) Báo cáo về tình hình triển khai, kết quả thực hiện cơ chế mua bán điện trực tiếp qua lưới điện quốc gia trên phạm vi toàn quốc của quý trước liền kề
Tên báo cáo: Báo cáo về tình hình triển khai, kết quả thực hiện cơ chế mua bán điện trực tiếp qua lưới điện quốc gia trên phạm vi toàn quốc của quý trước liền kề;
Nội dung báo cáo: Tổng số Đơn vị phát điện và Khách hàng sử dụng điện lớn hoặc Đơn vị bán lẻ điện tại các mô hình khu, cụm được ủy quyền tham gia cơ chế mua bán điện trực tiếp; các thông tin về chủ thể hợp đồng (bên mua, bên bán); sản lượng điện năng mua bán trong quý; chi phí mua điện trực tiếp trong quý; các khó khăn, vướng mắc, kiến nghị giải pháp (nếu có);
Đối tượng báo cáo: Tập đoàn Điện lực Việt Nam;
Cơ quan nhận báo cáo: Bộ Công Thương;
Phương thức gửi báo cáo: Qua thư điện tử hoặc qua dịch vụ bưu chính;
Thời hạn gửi báo cáo: Trước ngày 30 tháng đầu tiên của quý;
Tần suất gửi báo cáo: Hằng quý.
c) Báo cáo kết quả thực hiện mua bán điện trực tiếp qua lưới điện quốc gia của năm N-1
Tên báo cáo: Báo cáo về kết quả thực hiện cơ chế mua bán điện trực tiếp qua lưới điện quốc gia trên phạm vi toàn quốc của năm N-1;
Nội dung báo cáo: Tổng số Đơn vị phát điện và Khách hàng sử dụng điện lớn hoặc Đơn vị bán lẻ điện tại các mô hình khu, cụm được ủy quyền tham gia cơ chế mua bán điện trực tiếp; các thông tin về Đơn vị phát điện năng lượng tái tạo, Khách hàng sử dụng điện lớn; sản lượng điện năng mua bán trong năm; chi phí mua điện trực tiếp trong năm; các khó khăn, vướng mắc, kiến nghị giải pháp (nếu có);
Đối tượng báo cáo: Tập đoàn Điện lực Việt Nam; Đơn vị vận hành hệ thống điện và thị trường điện, Tổng công ty Điện lực;
Cơ quan nhận báo cáo: Bộ Công Thương, Ủy ban nhân dân tỉnh, thành phố trực thuộc trung ương (chỉ nhận báo cáo của Tổng công ty Điện lực trong địa bàn quản lý);
Phương thức gửi báo cáo: Qua thư điện tử hoặc qua dịch vụ bưu chính;
Thời hạn gửi báo cáo: Trước ngày 30 tháng 01 năm N;
Tần suất gửi báo cáo: Hằng năm.
Chương V
ĐIỀU KHOẢN THI HÀNH
Điều 29. Trách nhiệm thi hành
1. Bộ Công Thương:
a) Chịu trách nhiệm trước Chính phủ thực hiện thống nhất quản lý nhà nước về các nội dung quy định tại Nghị định này đảm bảo an ninh năng lượng điện quốc gia, an toàn hệ thống điện theo quy hoạch điện được phê duyệt; trên cơ sở khả năng đáp ứng về kỹ thuật, công nghệ, khả năng đáp ứng của hệ thống lưới truyền tải điện, căn cứ nhu cầu phát triển các loại hình nguồn điện tham gia mua bán điện trực tiếp, kịp thời báo cáo Thủ tướng Chính phủ xem xét, quyết định việc điều chỉnh quy hoạch điện theo quy định của pháp luật quy hoạch;
b) Chủ trì, phối hợp với các bộ chỉ đạo các cơ quan, đơn vị liên quan triển khai thực hiện cơ chế mua bán điện trực tiếp; hướng dẫn, theo dõi và giải quyết các vấn đề phát sinh trong quá trình triển khai thực hiện cơ chế mua bán điện trực tiếp theo thẩm quyền;
c) Có ý kiến về báo cáo và kết quả tính toán chi phí sử dụng dịch vụ hệ thống điện cho một đơn vị điện năng áp dụng đối với khách hàng của các Tổng công ty Điện lực năm N do Tập đoàn Điện lực Việt Nam báo cáo theo quy định tại khoản 4 Điều 16 Nghị định này;
d) Kiểm tra, giám sát và giải quyết khiếu nại, xử lý vi phạm trong quá trình triển khai thực hiện cơ chế mua bán điện trực tiếp;
đ) Chủ trì, phối hợp với các bộ tham mưu cho Thủ tướng Chính phủ về biện pháp chấm dứt tham gia cơ chế mua bán điện trực tiếp của Khách hàng sử dụng điện lớn và Đơn vị phát điện năng lượng tái tạo.
2. Ủy ban nhân dân tỉnh, thành phố trực thuộc trung ương:
a) Chịu trách nhiệm quản lý nhà nước về các nội dung quy định tại Nghị định này trong phạm vi quản lý của địa phương;
b) Chỉ đạo cơ quan chuyên môn về điện lực thực hiện kiểm tra giám sát về thực hiện hợp đồng mua bán điện theo các quy định tại Nghị định này và các quy định pháp luật có liên quan;
c) Kiểm tra, giám sát và giải quyết khiếu nại, xử lý vi phạm trong quá trình triển khai thực hiện cơ chế mua bán điện trực tiếp theo phạm vi khu vực quản lý.
3. Tập đoàn Điện lực Việt Nam
a) Tổ chức và chỉ đạo các đơn vị trực thuộc thực hiện mua bán điện trực tiếp;
b) Hướng dẫn, chỉ đạo các Tổng công ty Điện lực dự thảo nội dung của Hợp đồng mua bán điện giữa Tổng công ty Điện lực và Khách hàng theo quy định tại Điều 15 Nghị định này;
c) Hướng dẫn các Tổng công ty Điện lực về quy trình kinh doanh, quản lý, tính toán thanh toán, thỏa thuận, ký kết với Khách hàng, thời hạn phát hành hóa đơn, thời hạn thanh toán, các hồ sơ thanh toán và mẫu hóa đơn áp dụng cho nhóm khách hàng tham gia mua bán điện trực tiếp;
d) Hướng dẫn các Tổng công ty Điện lực về việc thanh toán các thành phần của chi phí dịch vụ mua bán điện trực tiếp (chi phí truyền tải điện, chi phí phân phối - bán lẻ điện, chi phí điều độ hệ thống điện và điều hành giao dịch thị trường điện, chi phí dịch vụ phụ trợ hệ thống điện, chi phí chênh lệch thanh toán) cho các đơn vị cung cấp dịch vụ liên quan;
đ) Hướng dẫn các Tổng công ty Điện lực về tính toán tỷ lệ tổn thất điện năng trên lưới điện phân phối theo từng cấp điện áp quy định tại khoản 3 Điều 16 Nghị định này;
e) Đánh giá tình hình triển khai cơ chế mua bán điện trực tiếp và thực hiện chế độ báo cáo theo quy định tại Điều 28 Nghị định này.
4. Đơn vị vận hành hệ thống điện và thị trường điện có trách nhiệm hướng dẫn các đơn vị tham gia cơ chế mua bán điện trực tiếp qua lưới điện quốc gia theo quy định tại Điều 20 Nghị định này.
Điều 30. Hiệu lực thi hành
1. Nghị định này có hiệu lực thi hành kể từ ngày ký ban hành.
2. Trong quá trình thực hiện, nếu các văn bản quy phạm pháp luật được dẫn chiếu để áp dụng tại Nghị định này được sửa đổi, bổ sung, thay thế bằng văn bản quy phạm pháp luật mới thì áp dụng theo các văn bản mới đó.
3. Trong quá trình triển khai thực hiện, nếu có khó khăn, vướng mắc đề nghị các cơ quan, đơn vị phản ánh về Bộ Công Thương để nghiên cứu, tham mưu đề xuất Chính phủ sửa đổi, bổ sung cho phù hợp.
Phụ lục I
CÁC NỘI DUNG CHÍNH CỦA HỢP ĐỒNG MUA BÁN
ĐIỆN TRÊN THỊ TRƯỜNG GIAO NGAY
(Kèm theo Nghị định số 80/2024/NĐ-CP
ngày 03 tháng 7 năm 2024 của Chính phủ)
__________________
Phụ lục này quy định các nội dung chính tại Hợp đồng mua bán điện trên thị trường giao ngay được ký kết giữa Đơn vị phát điện năng lượng tái tạo và Tập đoàn Điện lực Việt Nam. Trong đó, các nội dung về hoạt động mua bán điện, chào giá, lập lịch huy động, tính toán thanh toán kiểm tra đối soát bảng kê thanh toán trên thị trường điện giao ngay thực hiện theo quy định tại Điều 9, 10, 11, 12 và 13 Nghị định này.
Các bên có quyền đàm phán, thống nhất các điều khoản sau phù hợp với pháp luật Việt Nam:
CĂN CỨ:
- Bộ luật Dân sự số 91/2015/QH13 ngày 24/11/2015 của Quốc hội nước Cộng hoà xã hội chủ nghĩa Việt Nam và các văn bản hướng dẫn thi hành;
- Luật Thương mại số 36/2005/QH11 ngày 14/6/2005 của Quốc hội nước Cộng hoà xã hội chủ nghĩa Việt Nam và các văn bản hướng dẫn thi hành;
- Luật Điện lực ngày 03 tháng 12 năm 2004; Luật sửa đổi, bổ sung một số điều của Luật Điện lực ngày 20 tháng 11 năm 2012; Luật sửa đổi, bổ sung một số điều của Luật Đầu tư công, Luật Đầu tư theo phương thức đối tác công tư, Luật Đầu tư, Luật Nhà ở, Luật Đấu thầu, Luật Điện lực, Luật Doanh nghiệp, Luật Thuế tiêu thụ đặc biệt và Luật Thi hành án dân sự ngày 11 tháng 01 năm 2022 và các văn bản hướng dẫn thi hành;
- Nghị định số 80/2024/NĐ-CP ngày 03 tháng 7 năm 2024 của Chính phủ quy định về cơ chế mua bán điện trực tiếp giữa Đơn vị phát điện năng lượng tái tạo và Khách hàng sử dụng điện lớn;
- Thông tư số 45/2018/TT-BCT ngày 15 tháng 11 năm 2018 của Bộ trưởng Bộ Công Thương quy định vận hành thị trường bán buôn điện cạnh tranh và sửa đổi, bổ sung một số điều của Thông tư số 56/2014/BCT ngày 19 tháng 12 năm 2014 của Bộ Công Thương quy định phương pháp xác định giá phát điện, trình tự kiểm tra hợp đồng mua bán điện; Thông tư số 24/2019/TT-BCT ngày 14 tháng 11 năm 2019 của Bộ trưởng Bộ Công Thương sửa đổi, bổ sung một số điều của Thông tư số 45/2018/TT-BCT ngày 15 tháng 11 năm 2018 của Bộ trưởng Bộ Công Thương quy định vận hành thị trường bán buôn điện cạnh tranh và sửa đổi, bổ sung một số điều của Thông tư số 56/2014/BCT ngày 19 tháng 12 năm 2014 của Bộ Công Thương quy định phương pháp xác định giá phát điện, trình tự kiểm tra hợp đồng mua bán điện;
- Nhu cầu mua, bán điện của hai bên.
Hôm nay, ngày ............... tháng ............. năm 202.., tại ....
Chúng tôi gồm:
Bên bán điện: (tên Đơn vị phát điện năng lượng tái tạo)
Địa chỉ: ................................................................................................................
Điện thoại: ..................... Fax: ……………………………………………………….
Mã số thuế: ..........................................................................................................
Tài khoản: ................................................. Ngân hàng .........................................
Đại diện: ...............................................................................................................
Chức vụ: ...............................................................................................................
(Theo văn bản ủy quyền số ........... ngày ............. tháng ........ năm .......... của ...)
Bên mua điện: Tập đoàn Điện lực Việt Nam
Địa chỉ: ................................................................................................................
Điện thoại: ........................................... Fax: ……………………………………….
Mã số thuế: ..........................................................................................................
Tài khoản: ................................................. Ngân hàng .........................................
Đại diện: ...............................................................................................................
Chức vụ: ...............................................................................................................
(Theo văn bản ủy quyền số ........... ngày ............. tháng ........ năm .......... của...)
Cùng nhau thỏa thuận ký Hợp đồng mua bán điện để mua, bán điện trên thị trường điện giao ngay được sản xuất từ (tên Đơn vị phát điện năng lượng tái tạo), do Bên bản điện đầu tư, xây dựng và vận hành tại (...) với những điều khoản và điều kiện dưới đây:
Điều 1. Định nghĩa
Trong Hợp đồng này, các tù ngữ dưới đây được hiểu như sau:
1. Bên bán điện: (tên Đơn vị phát điện năng lượng tái tạo).
2. Bên mua điện: Tập đoàn Điện lực Việt Nam.
3. Bên hoặc các bên: là Bên bán điện, Bên mua điện hoặc cả hai bên hoặc đơn vị tiếp nhận các quyền và nghĩa vụ của một bên hoặc các bên trong Hợp đồng này.
4. Điểm đấu nối: là vị trí mà đường dây của Bên bán điện đấu nối vào hệ thống điện của Bên mua điện được thỏa thuận tại Phụ lục I.1 của Hợp đồng.
5. Điểm giao nhận điện: được xác định trùng với Điểm đấu nối.
6. Đơn vị vận hành hệ thống điện và thị trường điện: là Trung tâm Điều độ Hệ thống điện Quốc gia hoặc tên gọi khác tùy thuộc theo cấp độ phát triển thị trường điện thực hiện chức năng điều độ hệ thống điện quốc gia và điều hành giao dịch thị trường điện.
7. Giá công suất thị trường: là mức giá tính toán cho mỗi chu kỳ giao dịch và áp dụng để tính toán khoản thanh toán công suất cho các đơn vị phát điện trong thị trường điện hoặc theo quy định tại các văn bản quy phạm pháp luật về vận hành Thị trường bán buôn điện cạnh tranh do Bộ Công Thương ban hành.
8. Giá điện năng thị trường: là mức giá cho một đơn vị điện năng xác định cho mỗi chu kỳ giao dịch, áp dụng để tính toán khoản thanh toán điện năng trong thị trường điện theo quy định tại các văn bản quy phạm pháp luật về vận hành Thị trường bán buôn điện cạnh tranh do Bộ Công Thương ban hành.
9. Hệ thống đo đếm: là hệ thống bao gồm các thiết bị đo đếm (công tơ, máy biến dòng điện đo lường, máy biến điện áp đo lường), các thiết bị phụ trợ và mạch điện nhị thứ liên kết các thiết bị này thành hệ thống đo đếm xác định điện năng qua Vị trí đo đếm.
10. Hệ thống đo đếm chính: là Hệ thống đo đếm được lắp đặt tại vị trí đo đếm theo quy định tại Phụ lục I.2 của Hợp đồng dùng làm căn cứ chính để tính toán sản lượng điện giao nhận tại Điểm giao nhận điện nhằm mục đích lập hóa đơn thanh toán.
11. Hệ thống đo đếm dự phòng: là Hệ thống đo đếm được lắp đặt tại vị trí đo đếm theo quy định tại Phụ lục I.2 của Hợp đồng với mục đích kiểm tra khẳng định sự tin cậy số liệu đo đếm và dự phòng trong trường hợp Hệ thống đo đếm chính bị sự cố hoặc sai số.
12. Hợp đồng là Hợp đồng mua bán điện này, bao gồm các Phụ lục và các sửa đổi, bổ sung được đại diện có thẩm quyền của các Bên ký kết sau này.
13. Năm hợp đồng là năm được tính theo năm dương lịch 12 (mười hai) tháng tính từ ngày đầu tiên của tháng 01 (một) và kết thúc vào ngày cuối cùng của tháng 12 (mười hai) năm đó, trừ trường hợp đối với năm hợp đồng đầu tiên được tính bắt đầu từ ngày vận hành thương mại và kết thúc vào ngày cuối cùng của tháng 12 (mười hai) của năm đó. Năm hợp đồng cuối cùng được tính bắt đầu từ ngày đầu tiên của tháng 01 (một) và kết thúc vào ngày cuối cùng của thời hạn Hợp đồng.
14. Ngày làm việc: là các ngày theo dương lịch, trừ ngày thứ Bảy, Chủ nhật, ngày nghỉ lễ theo quy định của pháp luật.
15. Ngày vận hành thương mại: là ngày một phần hoặc toàn bộ nhà máy điện mặt trời nối lưới sẵn sàng bán điện cho Bên mua điện và thỏa mãn các điều kiện về (...) theo quy định.
16. Nhà máy điện: là (...).
17. Quy định về vận hành hệ thống điện quốc gia: là các văn bản quy phạm pháp luật, Quy trình quy định tiêu chuẩn vận hành hệ thống điện, điều kiện và thủ tục đấu nối vào lưới điện, điều độ vận hành hệ thống điện, đo đếm điện năng trong hệ thống điện.
18. Tiêu chuẩn, quy chuẩn kỹ thuật ngành điện: là (...).
19. Trường hợp khẩn cấp là tình huống có thể gây gián đoạn dịch vụ cung cấp điện cho Khách hàng sử dụng điện lớn của Bên mua điện, bao gồm các trường hợp có thể gây ra hỏng hóc lớn trong hệ thống điện quốc gia, có thể đe dọa đến tính mạng, tài sản hoặc làm ảnh hưởng đến khả năng kỹ thuật của nhà máy điện.
Điều 2. Hiệu lực và thời hạn Hợp đồng
1. Hiệu lực Hợp đồng
Hợp đồng có hiệu lực kể từ ngày đại diện có thẩm quyền của các Bên ký chính thức, trừ trường hợp các bên có thỏa thuận khác.
2. Thời hạn Hợp đồng
Trừ trường hợp gia hạn hoặc chấm dứt trước Thời hạn Hợp đồng theo các điều khoản của Hợp đồng, Thời hạn Hợp đồng này được tính từ ngày Hợp đồng có hiệu lực đến hết (...) năm kể từ Ngày vận hành thương mại. Sau khi chấm dứt Hợp đồng, các nội dung của Hợp đồng này tiếp tục có hiệu lực trong (...) để các bên thực hiện việc lập hóa đơn lần cuối, điều chỉnh hóa đơn, thanh toán, các quyền và nghĩa vụ trong hợp đồng này.
Các bên có thể gia hạn Thời hạn Hợp đồng hoặc ký hợp đồng mới theo quy định của pháp luật tại thời điểm sau khi Hợp đồng hết hiệu lực.
Điều 3. Mua bán điện năng
1. Sản lượng điện năng; theo sản lượng điện năng đo đếm.
2. Giá mua bán điện được áp dụng theo quy định tại Điều 11 Nghị định này, cụ thể như sau: Theo giá thị trường điện giao ngay do Đơn vị vận hành hệ thống điện và thị trường điện công bố theo Quy định vận hành thị trường bán buôn điện cạnh tranh đo Bộ Công Thương ban hành.
3. Hàng tháng, Bên mua điện có nghĩa vụ thanh toán cho Bên bán điện các khoản tiền bao gồm:
- Tổng các khoản thanh toán thị trường điện theo bảng kê thanh toán tháng (bao gồm khoản thanh toán điện năng thị trường, khoản thanh toán công suất thị trường) do Đơn vị vận hành hệ thống điện và thị trường điện tính toán, công bố;
- Tổng các khoản thanh toán khác phát sinh do lãi chậm trả, các khoản thanh toán hiệu chỉnh (nếu có);
- Các khoản thuế, phí, các khoản tiền phải nộp trong tháng theo quy định pháp luật có liên quan được Bên bán và Bên mua thống nhất;
- Các Bên thỏa thuận, thống nhất thực hiện các khoản thanh toán phát sinh do giải quyết tranh chấp theo quy định tại khoản 3 Điều này.
4. Phương pháp xác định tiền điện thanh toán được thực hiện theo quy định tại Điều 6 của Hợp đồng.
Điều 4. Trách nhiệm đấu nối và hệ thống đo đếm
1. Trách nhiệm đấu nối
Bên bán có trách nhiệm:
a) Thỏa thuận, đầu tư, quản lý, vận hành các trang thiết bị để đấu nối, truyền tải và giao điện cho Bên mua đến Điểm giao nhận điện theo Quy định hệ thống điện truyền tải và Quy định hệ thống điện phân phối do Bộ Công Thương ban hành, Quy chuẩn và tiêu chuẩn kỹ thuật ngành điện có liên quan theo Phụ lục I.1 của Hợp đồng này;
b) Thỏa thuận, đầu tư, lắp đặt, quản lý, vận hành và bảo dưỡng thiết bị thuộc hệ thống thu thập, truyền số liệu, hệ thống rơ le bảo vệ và tự động điều khiển của Nhà máy điện đe ghép nối với hệ thống SCADA/EMS giữa Nhà máy điện và Đơn vị vận hành hệ thống điện và thị trường điện phục vụ cho vận hành Nhà máy điện trong thị trường điện theo Phụ lục I.4 của Hợp đồng này.
2. Hệ thống đo đếm
a) Bên bán có trách nhiệm đầu tư, lắp đặt, nghiệm thu, quản lý, vận hành, bảo dưỡng và kiểm định ban đầu, kiểm định định kỳ hàng năm đối với các thiết bị của Hệ thống đo đếm thuộc sở hữu của mình phù hợp với Quy định đo đếm điện năng trong hệ thống điện do Bộ Công Thương ban hành. Hệ thống đo đếm phải đảm bảo tính pháp lý theo Quy định đo lường của Nhà nước;
b) Trường hợp cần thiết, một bên có quyền yêu cầu kiểm tra bổ sung hoặc kiểm định bất thường thiết bị và hệ thống đo đếm. Trừ trường hợp có thỏa thuận khác bằng văn bản, kế hoạch và thời gian thực hiện theo Quy định đo đếm điện năng trong hệ thống điện do Bộ Công Thương ban hành. Mỗi bên có trách nhiệm tổ chức kiểm tra, kiểm định thiết bị đo đếm thuộc sở hữu của mình khi nhận được yêu cầu của bên còn lại. Nếu sai số của thiết bị đo đếm được kiểm tra, kiểm định bất thường lớn hơn giới hạn cho phép thì tài sản thuộc bên nào thì bên đó phải trả chi phí cho việc kiểm tra, kiểm định bất thường; nếu sai số của thiết bị đo đếm được kiểm tra, kiểm định bất thường trong phạm vi giới hạn cho phép thì chi phí kiểm định do bên đề nghị thanh toán;
c) Mỗi bên có nghĩa vụ thông báo trước cho bên còn lại về việc kiểm tra, kiểm định hệ thống đo đếm và cung cấp kết quả kiểm định/kiểm tra thiết bị đo đếm. Mỗi bên có trách nhiệm cử người tham gia chứng kiến quá trình kiểm tra, kiểm định, dỡ niêm phong, niêm phong và kẹp chì công tơ;
d) Trường hợp thiết bị đo đếm có sai số ngoài phạm vi giới hạn cho phép theo Quy định đo đếm điện năng và Quy trình kiểm định thiết bị đo của Nhà nước, mỗi bên có trách nhiệm hiệu chỉnh hoặc thay thế thiết bị đo đếm thuộc sở hữu của mình. Trường hợp một bên cho rằng thiết bị đo đếm bị hỏng hoặc không hoạt động thì bên đó phải thông báo ngay cho bên kia, mỗi bên có nghĩa vụ kiểm tra, sửa chữa và thay thế thiết bị đo đếm thuộc sở hữu của mình. Việc kiểm tra, sửa chữa, thay thế phải dược thực hiện trong thời gian ngắn nhất;
đ) Sản lượng điện mua bán giữa Bên mua và Bên bán được xác định theo phương thức giao nhận điện năng và Hệ thống đo đếm chính tại Phụ lục I.2 của Hợp đồng.
Trường hợp Hệ thống đo đếm chính bị sự cố hoặc kết quả kiểm định cho thay Hệ thống đo đếm chính có mức sai số cao hơn cấp chính xác quy định (sai số dương) thì sản lượng điện năng mua bán giữa hai Bên trong thời gian Hệ thống đo đếm chính bị sự cố hoặc có sai số vượt quá quy định được tính toán/ hiệu chỉnh trên cơ sở kết quả đo đếm của Hệ thống đo đếm dự phòng đạt cấp chính xác cho phép làm căn cứ xác định sản lượng điện năng phục vụ thanh quyết toán với quy tắc quy đổi sai số của thiết bị dự phòng về cùng sai số cho phép quy định của thiết bị đo đếm chính thông qua phương pháp quy đổi sai số thiết bị hoặc sai số hệ thống. Trường hợp Hệ thống đo đếm dự phòng cũng bị sự cố hoặc kết quả kiểm định cho thấy Hệ thống đo đếm dự phòng có sai số vượt quá mức cho phép thì lượng điện mua bán giữa hai Bên được xác định như sau:
(i) Trường hợp Hệ thống đo đếm chính có hoạt động nhưng có mức sai số cao hơn cấp chính xác quy định (sai số dương) thì sản lượng điện mua bán giữa Bên bán và Bên mua được xác định bằng kết quả đo đếm của Hệ thống đo đếm chính được quy đổi về giá trị điện năng tương ứng với mức sai số bằng 0% trên cơ sở sai số lớn nhất của thiết bị đo đếm không đạt cấp chính xác do đơn vị thí nghiệm cung cấp cùng biên bản thống nhất hoặc theo thỏa thuận của các bên liên quan;
(ii) Trường hợp Hệ thống đo đếm chính bị sự cố không hoạt động, Bên bán và Bên mua căn cứ vào tình trạng sự cố và sai số thực tế của các hệ thống đo đếm trên cơ sở các biên bản của đơn vị kiểm định và số liệu được Bên bán và Bên mua công nhận để thống nhất phương pháp tính toán và xác định sản lượng điện năng cần hiệu chỉnh trong thời gian đo đếm không chính xác. Nếu không thống nhất về phương pháp và kết quả sản lượng điện năng mua bán cần hiệu chỉnh thì Bên bán và Bên mua có trách nhiệm thực hiện thủ tục giải quyết tranh chấp theo quy định của pháp luật;
(iii) Thời gian tính toán điện năng truy thu/thoái hoàn được tính từ thời điểm phát hiện sai số vượt cấp chính xác đến thời điểm thay thế thiết bị đo đếm. Nếu không xác định được thời điểm nêu trên, thời gian tính toán điện năng truy thu/thoái hoàn được tính từ 03 tháng giao nhận liền trước và tháng kiểm định đến thời điểm thay thế thiết bị đo đếm.
e) Trường hợp thiết bị đo đếm bị cháy hoặc hư hỏng, Bên bán có nghĩa vụ thay thế hoặc sửa chữa trong thời gian ngắn nhất để các thiết bị đo đếm đảm bảo yêu cầu kỹ thuật và hoạt động trở lại bình thường. Các thiết bị được sửa chữa hoặc thay thế phải được kiểm định theo quy định trước khi sử dụng.
Điều 5. Điều độ và vận hành Nhà máy điện
1. Bên bán có trách nhiệm tuân thủ các quy định về điều độ và vận hành Nhà máy điện trong hệ thống điện quốc gia theo Quy định hệ thống điện truyền tải, Quy định hệ thống điện phân phối, Quy định vận hành thị trường bán buôn điện cạnh tranh và Quy trình điều độ hệ thống điện quốc gia do Bộ Công Thương ban hành; Quy chuẩn và tiêu chuẩn kỹ thuật ngành điện và các văn bản có liên quan khác. Bên bán có nghĩa vụ bảo dưỡng, vận hành Nhà máy điện theo đặc tính kỹ thuật tại Phụ lục I.1, Phụ lục I.3 và Phụ lục I.4 của Hợp đồng.
2. Bên bán có nghĩa vụ lắp đặt, vận hành và bảo dưỡng các thiết bị để hoà đồng bộ Nhà máy điện với hệ thống điện quốc gia. Bên bán có trách nhiệm tuân thủ Quy định hệ thống điện truyền tải và Quy định hệ thống điện phân phối do Bộ Công Thương ban hành, Quy chuẩn kỹ thuật ngành điện và các quy định về điều độ khi hoà đồng bộ Nhà máy điện với hệ thống điện quốc gia.
3. Trường hợp phương thức vận hành hệ thống điện quốc gia đe dọa gây sự cố các thiết bị chính của Nhà máy điện, gây thương tích hoặc thiệt hại về người và thiết bị, Bên bán có quyền tách các tổ máy khỏi Hệ thống điện quốc gia.
Điều 6. Lập hoá đơn, thanh toán và xử lý tranh chấp trong thanh toán
1. Lập hóa đơn
Hóa đơn thanh toán được lập theo quy định pháp luật về hóa đơn.
2. Thanh toán tiền điện
a) Thanh toán của Đơn vị phát điện năng lượng tái tạo bán điện trên thị trường giao ngay được thực hiện theo quy định tại Điều 12 Nghị định này và các khoản thanh toán khác theo thỏa thuận hợp đồng mua bán điện giữa hai bên.
Khoản thanh toán của đơn vị phát điện năng lượng tái tạo bán điện trên thị trường điện giao ngay được xác định theo công thức sau:

Trong đó:
Rg: Tổng các khoản thanh toán điện năng thị trường trong chu kỳ thanh toán (đồng).
Qmq(i): Sản lượng điện năng đo đếm của Đơn vị phát điện năng lượng tái tạo trong chu kỳ giao dịch i (kWh).
i: Chu kỳ giao dịch thứ i trong chu kỳ thanh toán.
I: Tổng số chữ ký giao dịch trong chu kỳ thanh toán.
FMP(i): Giá thị trường điện giao ngay trong chu kỳ giao dịch i (đồng/kWh).
b) Trường hợp tạm dừng tham gia cơ chế mua bán điện trực tiếp, Đơn vị phát điện năng lượng tái tạo đàm phán, thỏa thuận giả hợp đồng với Tập đoàn Điện lực Việt Nam.
3. Tranh chấp trong thanh toán
a) Trường hợp không đồng ý với một phần hoặc toàn bộ khoản tiền ghi trong hóa đơn thanh toán, Bên mua phải có thông báo bằng văn bản trước ngày đến hạn thanh toán về khoản tiền ghi trong hóa đơn và lý do không đồng ý. Bên mua có nghĩa vụ thanh toán toàn bộ khoản tiền không tranh chấp trước hoặc trong ngày đến hạn thanh toán;
b) Trong thời hạn (...) ngày tính từ ngày nhận được thông báo về khoản tiền tranh chấp, Bên bán phải gửi văn bản trả lời chính thức cho Bên mua. Trường hợp hai Bên không thống nhất về khoản tiền tranh chấp, một trong hai Bên có quyền thực hiện các quy định giải quyết tranh chấp tại của Hợp đồng.
Trường hợp tranh chấp phát sinh từ thông tin trong bản kê thanh toán của Đơn vị vận hành hệ thống điện và thị trường điện, các Bên phải áp dụng các quy định giải quyết tranh chấp trong thị trường điện quy định tại Quy định vận hành thị trường bán buôn điện cạnh tranh do Bộ Công Thương ban hành.
c) Trường hợp một bên không có văn bản thông báo tranh chấp về khoản tiền thanh toán trong thời hạn (...) ngày tính từ ngày phát hành hóa đơn thì bên đó được xem là từ bỏ quyền khiếu nại về khoản tiền phải thanh toán trong hóa đơn đã phát hành.
Điều 7. Vi phạm hợp đồng, bồi thường thiệt hại và chấm dứt thực hiện hợp đồng
1. Hành vi vi phạm hợp đồng của Bên bán điện
a) Bên bán điện không thực hiện hoặc không tuân thủ các nội dung của Hợp đồng trong thời gian (...) ngày kể từ khi có thông báo bằng văn bản của Bên mua điện.
Trường hợp Bên bán điện đã cố gắng khắc phục hành vi vi phạm trong thời hạn (...) trên nhưng việc khắc phục không thể hoàn thành trong thời hạn đó thì Bên bán điện được kéo dài thời hạn khắc phục tới tối đa là (...) kể từ ngày có thông báo bằng văn bản về hành vi vi phạm của Bên bán điện, trừ trường hợp được cơ quan có thẩm quyền cho phép giãn tiến độ đầu tư theo quy định hiện hành. Bên bán điện phải tiếp tục hoàn thành khắc phục vi phạm trong thời gian ngắn nhất;
b) Bên bán điện phủ nhận hiệu lực của một phần hoặc toàn bộ Hợp đồng.
2. Hành vi vi phạm hợp đồng của Bên mua điện
a) Bên mua điện không thực hiện hoặc không tuân thủ các nội dung của Hợp đồng trong thời hạn (...) ngày kể từ khi có thông báo bằng văn bản của Bên bán điện.
Trường hợp Bên mua điện đã cố gắng khắc phục hợp lý hành vi vi phạm trong thời hạn (...) ngày nhưng việc khắc phục không thể hoàn thành trong thời hạn đó thì Bên mua điện được phép kéo dài thời hạn khắc phục tối đa là (...) kể từ ngày có thông báo bằng văn bản về hành vi vi phạm của Bên mua điện. Bên mua điện phải tiếp tục hoàn thành khắc phục vi phạm trong thời gian ngắn nhất;
b) Bên mua điện không thanh toán khoản tiền thanh toán không tranh chấp theo Hợp đồng khi đến hạn và việc không thanh toán này tiếp tục kéo dài hơn (...) ngày mà không có lý do chính đáng;
c) Bên mua điện phủ nhận hiệu lực của một phần hoặc toàn bộ Hợp đồng.
3. Sự kiện ảnh hưởng việc thực hiện Hợp đồng
a) Các sự kiện ảnh hưởng việc thực hiện Hợp đồng của Bên mua:
(i) Bên bán bị giải thể (trừ khi việc giải thể là để sáp nhập hoặc hợp nhất);
(ii) Bên bán không có khả năng thanh toán các khoản nợ đến hạn;
(iii) Bên bán thực hiện việc chuyển nhượng hoặc sáp nhập toàn bộ công ty với bên chủ nợ hoặc sáp nhập vì lợi ích của bên chủ nợ;
(iv) Bên bán có quyết định của tòa án về việc mở thủ tục phá sản đối với Bên bán;
(v) Bên bán vi phạm nghiêm trọng các nghĩa vụ theo quy định của Hợp đồng và vi phạm này không được khắc phục trong thời hạn 90 ngày tính từ ngày có thông báo của Bên mua về hành vi vi phạm đó;
(vi) Bên bán bị đình chỉ hoạt động theo quyết định của cơ quan có thẩm quyền;
(vii) Bên bán bị tạm dừng tham gia cơ chế mua bán điện trực tiếp theo quyết định của cơ quan có thẩm quyền.
b) Các sự kiện ảnh hưởng việc thực hiện Hợp đồng của Bên bán:
(i) Bên mua bị giải thể (trừ khi việc giải thể là để sáp nhập hoặc hợp nhất);
(ii) Bên mua không có khả năng thanh toán các khoản nợ đến hạn;
(iii) Bên mua thực hiện việc chuyển nhượng hoặc sáp nhập toàn bộ công ty với bên chủ nợ hoặc sáp nhập vì lợi ích của bên chủ nợ;
(iv) Bên mua có quyết định của tòa án về việc mở thủ tục phá sản đối với Bên mua;
(v) Bên mua vi phạm nghiêm trọng các nghĩa vụ theo quy định Hợp đồng và vi phạm này không được khắc phục trong thời hạn 90 ngày tính từ ngày có thông báo của Bên bán về hành vi vi phạm đó;
(vi) Bên mua bị đình chỉ hoạt động theo quyết định của cơ quan có thẩm quyền.
4. Quy trình khắc phục và giải quyết vi phạm hợp đồng
Trường hợp có sự kiện vi phạm hợp đồng, bên bị vi phạm phải gửi thông báo bằng văn bản cho bên vi phạm. Bên vi phạm phải hợp tác để giải quyết sự kiện vi phạm hợp đồng.
5. Bồi thường thiệt hại
a) Bên vi phạm có trách nhiệm bồi thường thiệt hại do hành vi vi phạm gây ra cho Bên bị vi phạm về những tổn thất, thiệt hại hay các chi phí mà Bên bị vi phạm phải chịu trong quá trình thực hiện các quyền và nghĩa vụ của mình theo Hợp đồng. Cách tính toán giá trị thiệt hại thực hiện theo quy định tại Bộ luật Dân sự;
b) Trong trường hợp có yêu cầu bồi thường, bên được bồi thường thông bảo ngay bằng văn bản cho bên bồi thường xác định tính chất của sự việc yêu cầu được bồi thường. Sự chậm trễ của bên được bồi thường trong việc gửi thông báo không ảnh hưởng đến nghĩa vụ bồi thường của bên bồi thường, trừ trường hợp bên bồi thường thực sự bị thiệt hại vì sự chậm trễ thông báo của bên được bồi thường.
6. Chấm dứt thực hiện hợp đồng
a) Chấm dứt Hợp đồng theo thỏa thuận
Các bên có quyền thỏa thuận bằng văn bản để chấm dứt Hợp đồng trước thời hạn. Đối với nhà máy điện tham gia thị trường điện cạnh tranh, phù hợp với thiết kế thị trường điện, các bên có quyền thỏa thuận để chấm dứt hợp đồng trước thời hạn theo văn bản của cơ quan nhà nước để ký hợp đồng mua bán điện theo quy định mới.
b) Đơn phương chấm dứt Hợp đồng
- Trường hợp xảy ra sự kiện ảnh hưởng việc thực hiện Hợp đồng theo quy định tại điểm (i) a, (ii) a, (iii) a, (iv) a, (v) a và điểm (vii) a khoản 3; điểm (i) b, (ii) b, (iii) b, (iv) b và điểm (vi) b khoản 3 Điều này và sự kiện này kéo dài làm ảnh hưởng tới một bên trong Hợp đồng, bên bị ảnh hưởng có quyền đơn phương chấm dứt Hợp đồng sau 90 ngày tính từ ngày gửi thông báo cho bên kia;
- Trường hợp xảy ra sự kiện bất khả kháng đối với một bên và sự kiện này kéo dài từ 180 ngày trở lên, bên kia có quyền đơn phương chấm dứt Hợp đồng sau 30 ngày tính từ ngày gửi thông báo;
- Trường hợp xảy ra sự kiện ảnh hưởng việc thực hiện Hợp đồng của một bên theo quy định tại điểm (vi) a và điểm (v) b khoản 3 Điều này, bên bị ảnh hưởng có quyền đơn phương chẩm dứt Hợp đồng sau 30 ngày tính từ ngày gửi thông báo.
Điều 8. Bảo mật thông tin
Các bên có nghĩa vụ bảo mật thông tin, tài liệu do bên mua điện (hoặc bên bán điện) cung cấp kèm theo Hợp đồng và không công bố, công khai hay sử dụng tài liệu, thông tin đó cho các mục đích khác ngoài mục đích thực hiện nghĩa vụ của bên đó theo Hợp đồng, trừ các trường hợp (...).
Điều 9. Các thỏa thuận khác
1. Sửa đổi, bổ sung Hợp đồng: Mọi sửa đổi, bổ sung Hợp đồng phải được các Bên thỏa thuận, thống nhất bằng văn bản.
2. Hợp đồng hoàn chỉnh: Hợp đồng này là thỏa thuận hoàn chỉnh cuối cùng giữa các Bên tham gia và thay thế các nội dung đã thảo luận, thông tin, thư tín trao đổi liên quan trước khi ký kết Hợp đồng.
3. Bên thứ ba : Hợp đồng này chỉ phục vụ cho lợi ích của hai Bên và không tạo ra quyền lợi hay nghĩa vụ cho bên thứ ba.
4. Không liên doanh: Hợp đồng này không phải hợp đồng liên doanh, liên kết giữa các Bên hay áp đặt nghĩa vụ hoặc trách nhiệm pháp lý mang tính chất liên doanh, liên kết lên một trong hai Bên. Không bên nào có quyền tham gia ký kết hợp đồng hoặc thay mặt bên kia với vai trò là một đại lý hoặc người đại diện để thực hiện các nghĩa vụ với bên kia.
5. Từ bỏ thực hiện quyền: Việc từ bỏ thực hiện quyền theo Hợp đồng của một bên phải được lập thành văn bản và do đại diện có thẩm quyền của bên đó ký. Việc không thực hiện hay chậm thực hiện quyền của một bên theo Hợp đồng này sẽ không được hiểu là sự từ bỏ các quyền đó.
6. Thực hiện nghĩa vụ còn lại: Việc hủy bỏ, chấm dứt hoặc hết thời hạn Hợp đồng không làm chấm dứt thực hiện nghĩa vụ còn lại của các Bên theo Hợp đồng.
7. Luật áp dụng: Việc giải thích và thực hiện Hợp đồng này được thực hiện theo quy định của pháp luật Việt Nam.
8. Tính độc lập của các nội dung Hợp đồng: Trường hợp một phần nội dung trong Hợp đồng không phù hợp với quy định của pháp luật hoặc vô hiệu theo quyết định của cơ quan nhà nước có thẩm quyền thì các nội dung khác của Hợp đồng vẫn có hiệu lực nếu phần còn lại thể hiện đầy đủ nội dung mà không liên quan tới phần bị vô hiệu.
9. Chứng chỉ năng lượng tái tạo (REC), Tín chỉ các-bon thuộc về Đơn vị phát điện năng lượng tái tạo.
Hợp đồng được lập thành (...) bản có giá trị như nhau, mỗi Bên giữ (...) bản. Bên mua có trách nhiệm gửi một (01) bản tới Cục Điều tiết điện lực.
|
ĐẠI DIỆN BÊN BÁN ĐIỆN |
ĐẠI DIỆN BÊN MUA ĐIỆN |
Phụ lục I.1
CÁC THÔNG SỐ CHÍNH CỦA NHÀ MÁY ĐIỆN
(Kèm theo Hợp đồng số ... ngày ... tháng ... năm...)
Bao gồm các mô tả, biểu đồ và đặc điểm kỹ thuật chung, vận hành công nghệ của Nhà máy điện.
(Ghi chú: Trường hợp thông số kỹ thuật trên lập trên cơ sở bản thiết kế kỹ thuật sơ bộ, thông số chính của Nhà máy điện sẽ được chuẩn xác lại sau khi ký Hợp đồng mua sắm vật tư, thiết bị (chính) của Nhà máy điện).
Phụ lục I.2
HỆ THỐNG ĐO ĐẾM VÀ THU THẬP SỐ LIỆU
(Kèm theo Hợp đồng số ...ngày ... tháng ... năm...)
1. Vị trí lắp đặt và tính năng của hệ thống đo đếm: (...)
2. Yêu cầu kỹ thuật của hệ thống đo đếm: (...).
3. Vị trí đo đếm:
Các Bên thống nhất sử dụng các vị trí đo đếm hiện tại của Nhà máy điện như sau:
Vị trí đo đếm chính: (...),
Vị trí đo đếm dự phòng 1: (...).
Vị trí đo đếm dự phòng 2: (...),
Vị trí đo đếm phục vụ vận hành và đối soát số liệu thị trường điện: (...).
4. Phương thức xác định sản lượng điện năng giao nhận
1. Sản lượng điện năng giao nhận
a) Sản lượng điện năng Bên bán trong tháng thanh toán được tính theo công thức:
AG =
Ag: Lượng điện năng Bên mua thanh toán cho Bên bán trong tháng thanh toán, (kWh).
b) Sản lượng điện Bên bán nhận từ hệ thống điện quốc gia trong tháng thanh toán được tính theo công thức:
AN =
Trong đó:
An: Lượng điện năng nhận từ lưới của các điểm đo trong tháng (kWh).
2. Trong giai đoạn thị trường điện cạnh tranh, phương thức giao nhận điện năng hàng tháng phải phù hợp với quy định đo đếm điện năng trong thị trường bán buôn điện cạnh tranh do Bộ Công Thương ban hành.
Phụ lục I.3
THỎA THUẬN CÁC ĐẶC TÍNH VẬN HÀNH
(Kèm theo Hợp đồng số ...ngày ... tháng ... năm...)
Các bên đàm phán, thống nhất các đặc tính vận hành của Nhà máy điện và các quy định có liên quan.
Phụ lục I.4
THỎA THUẬN HỆ THỐNG SCADA/EMS,
THÔNG TIN LIÊN LẠC, RƠ LE BẢO VỆ VÀ TỰ ĐỘNG
(Kèm theo Hợp đồng số ... ngày ... tháng ... năm...)
Các Bên đàm phán, thống nhất các thỏa thuận và các văn bản bổ sung thay thế hợp lệ về (1) Đấu nối, (2) Kết nối với hệ thống SCADA, (3) Hệ thống bảo vệ.
Phụ lục I.5
GIÁ MUA BÁN ĐIỆN, TIỀN ĐIỆN THANH TOÁN
(Kèm theo Hợp đồng số ...ngày ... tháng ... năm...)
Giá mua bán điện theo Hợp đồng mua bán điện trên thị trường giao ngay được xác định theo Quy định vận hành thị trường bán buôn điện cạnh tranh do Bộ Công Thương ban hành.
Phụ lục II
CÁC NỘI DUNG CỦA HỢP ĐỒNG MUA BÁN ĐIỆN
GIỮA KHÁCH HÀNG SỬ DỤNG ĐIỆN LỚN (HOẶC ĐƠN VỊ BÁN LẺ
ĐIỆN TẠI CÁC MÔ HÌNH KHU, CỤM ĐƯỢC ỦY QUYỀN)
VÀ TỔNG CÔNG TY ĐIỆN LỰC
(Kèm theo Nghị định số 80/2024/NĐ-CP
ngày 03 tháng 7 năm 2024 của Chính phủ)
__________________
Phụ lục này quy định các nội dung chính tại Hợp đồng mua bán điện được ký kết giữa Khách hàng sử dụng điện lớn (hoặc Đơn vị bán lẻ điện tại các mô hình khu, cụm được ủy quyền) và Tổng công ty Điện lực. Trong đó, các nội dung về hoạt động mua bán điện, tính toán thanh toán thực hiện theo quy định tại Điều 14, Điều 15 và Điều 16 Nghị định này.
Các bên có quyền đàm phán, thống nhất các điều khoản sau phù hợp với pháp luật Việt Nam:

CĂN CỨ:
- Bộ luật Dân sự số 91/2015/QH13 ngày 24/11/2015 của Quốc hội nước Cộng hoà xã hội chủ nghĩa Việt Nam và các văn bản hướng dẫn thi hành;
- Luật Thương mại số 36/2005/QH11 ngày 14/6/2005 của Quốc hội nước Cộng hoà xã hội chủ nghĩa Việt Nam và các văn bản hướng dẫn thi hành;
- Luật Điện lực ngày 03 tháng 12 năm 2004; Luật sửa đổi, bổ sung một số điều của Luật Điện lực ngày 20 tháng 11 năm 2012; Luật sửa đổi, bổ sung một số điều của Luật Đầu tư công, Luật Đầu tư theo phương thức đối tác công tư, Luật Đầu tư, Luật Nhà ở, Luật Đấu thầu, Luật Điện lực, Luật Doanh nghiệp, Luật Thuế tiêu thụ đặc biệt và Luật Thi hành án dân sự ngày 11 tháng 01 năm 2022 và các văn bản hướng dẫn thi hành;
- Nghị định số 80/2024/NĐ-CP ngày 03 tháng 7 năm 2024 của Chính phủ quy định về cơ chế mua bán điện trực tiếp giữa Đơn vị phát điện năng lượng tái tạo và Khách hàng sử dụng điện lớn;
- Thông tư số 45/2018/TT-BCT ngày 15 tháng 11 năm 2018 của Bộ trưởng Bộ Công Thương quy định vận hành thị trường bán buôn điện cạnh tranh và sửa đổi, bổ sung một số điều của Thông tư số 56/2014/BCT ngày 19 tháng 12 năm 2014 của Bộ Công Thương quy định phương pháp xác định giá phát điện, trình tự kiểm tra hợp đồng mua bán điện; Thông tư số 24/2019/TT-BCT ngày 14 tháng 11 năm 2019 của Bộ trưởng Bộ Công Thương sửa đổi, bổ sung một số điều của Thông tư số 45/2018/TT-BCT ngày 15 tháng 11 năm 2018 của Bộ trưởng Bộ Công Thương quy định vận hành thị trường bán buôn điện cạnh tranh và sửa đổi, bổ sung một số điều của Thông tư số 56/2014/BCT ngày 19 tháng 12 năm 2014 của Bộ Công Thương quy định phương pháp xác định giá phát điện, trình tự kiểm tra hợp đồng mua bán điện;
- Nhu cầu mua, bán điện của hai bên.
Hôm nay, ngày .............. tháng ............ năm 202.., tại ....
Chúng tôi gồm:
A. Bên bán điện: (Tên Tổng công ty Điện lực).
Mã số thuế: .........................................................................................................
Địa chỉ trụ sở chính: ............................................................................................
Tài khoản ngân hàng số: .......................... tại ngân hàng: ………………………………..
Email: ..................................................................................................................
Điện thoại CSKH: .................................................................................................
Đại diện là ông (bà): ............................................................................................
Chức vụ: ..............................................................................................................
(Theo văn bản ủy quyền số ............ ngày ....... tháng ....... năm ......... của ........)
Dưới đây gọi tắt là “Bên A”
Và
B. Bên mua điện: (...).
Mã số thuế: .........................................................................................................
Đăng ký kinh doanh/doanh nghiệp: ....................................................................
Địa chỉ trụ sở chính/thường trú: .........................................................................
Tài khoản ngân hàng số: .......................... tại ngân hàng: ………………………………..
Email: ............................................... Điện thoại: …………………………………………….
Đại diện là ông (bà): ............................................................................................
Chức vụ: ..............................................................................................................
Số chứng thực cá nhân (CMND/CCCD/HC): .................... Ngày cấp: ………………..
Nơi cấp: ..............................................................................................................
(Theo văn bản ủy quyền số ............ ngày ....... tháng ....... năm ......... của ........)
Dưới đây gọi tắt là “Bên B”
Bên A và Bên B sau đây được gọi riêng là “Bên” và gọi chung là “Các Bên”
Các Bên nhất trí ký kết Hợp đồng với những điều khoản và điều kiện như sau:
Điều 1. Định nghĩa
Trong phạm vi Hợp đồng này (trừ khi được các Bên thống nhất mô tả hoặc quy định khác đi), các thuật ngữ dưới đây được hiểu như sau:
1.1 Biên bản treo, tháo các thiết bị đo đếm điện là Biên bản theo mẫu do Bên A quy định, có nội dung ghi nhận các thông tin về kết quả treo, tháo thiết bị đo đếm điện, thông số kỹ thuật của thiết bị đo đếm điện và chỉ số công tơ vào thời điểm treo, tháo thiết bị đo đếm điện.
1.2 Biện pháp bảo đảm là biện pháp bảo đảm thực hiện Hợp đồng nêu tại Điều 3 Hợp đồng này (trường hợp các bên thống nhất thỏa thuận có nội dung này tại Hợp đồng).
1.3 Cơ quan nhà nước là các cơ quan, chính quyền các cấp của Việt Nam hay người có thẩm quyền của các cơ quan đó, có quyền, trách nhiệm cấp các văn bản hành chính liên quan đến Hợp đồng hoặc yêu cầu các Bên cung cấp, thực hiện các nghĩa vụ theo quy định của pháp luật.
1.4 Công tơ là công tơ đo đếm, là thiết bị đo đếm điện năng thực hiện tích phân công suất theo thời gian, lưu và hiển thị giá trị điện năng đo đếm được.
1.5 Địa điểm sử dụng điện là địa điểm được Bên B đăng ký với Bên A để Bên A cấp điện và Bên B sử dụng điện theo quy định của Hợp đồng.
1.6 Giá trị tài sản bảo đảm là giá trị của tài sản bảo đảm được các Bên ghi nhận tại Điều 3 Hợp đồng này (trường hợp các bên thống nhất thỏa thuận có nội dung này tại Hợp đồng).
1.7 Hợp đồng là Hợp đồng mua bán điện ngoài mục đích sinh hoạt này được ký kết giữa các Bên ngày (...) tháng (...) năm (...) và các bản phụ lục sửa đổi, bổ sung theo từng thời điểm.
1.8 Lãi suất chậm trả là mức lãi suất cho vay cao nhất của ngân hàng mà Bên A có tài khoản ghi trong Hợp đồng tại thời điểm phát sinh nghĩa vụ thanh toán, được Bên A thông báo cho Bên B khi phát sinh việc áp dụng lãi suất chậm trả theo quy định của Hợp đồng.
1.9 Nghĩa vụ thanh toán là một phần hoặc toàn bộ nghĩa vụ của Bên B đối với việc thanh toán khoản tiền phát sinh từ Hợp đồng cho Bên A, không chỉ bao gồm tiền điện, tiền mua công suất phản kháng, tiền lãi chậm trả, tiền bồi thường thiệt hại, tiền phạt vi phạm, chi phí tạm ngừng, ngừng, cấp điện trở lại, bổ sung khoản khấu trừ vào tài sản bảo đảm theo đúng quy định tại Hợp đồng.
1.10 Pháp luật là toàn bộ các quy định pháp luật hiện hành của Việt Nam có liên quan đến hoặc điều chỉnh mối quan hệ giữa Bên A và Bên B theo Hợp đồng, bao gồm những quy định được sửa đổi, bổ sung tại từng thời điểm.
1.11 Quy trình chấm dứt hợp đồng là quy trình được áp dụng để xử lý việc chấm dứt Hợp đồng, được quy định tại Điều 17 Hợp đồng này.
1.12 Thiết bị đo đếm điện là thiết bị đo công suất, điện năng, dòng điện, điện áp, tần số, hệ số công suất, bao gồm các loại công tơ, các loại đồng hồ đo điện và các thiết bị, phụ kiện kèm theo.
1.13 Thời hạn là thời hạn của Hợp đồng được xác định theo Điều 3 Hợp đồng này.
1.14 Vi phạm nghĩa vụ thanh toán là hành vi của Bên B không thực hiện đầy đủ và/hoặc không thực hiện đúng nghĩa vụ thanh toán theo quy định tại Hợp đồng.
Điều 2. Mua bán điện năng
2.1. Địa điểm sử dụng điện:
|
Số TT |
Mã điểm đo |
Địa chỉ |
|
1. |
………………………….. |
………………………………………………………….. |
|
2. |
………………………….. |
…………………………………………………………… |
2.2. Mục đích sử dụng điện:
|
Điểm đo |
Mục đích sử dụng điện |
|
001 |
………………………………………………………….. |
|
002 |
………………………………………………………….. |
2.3. Cấp điện áp: (...) kV
|
Điểm đo |
Điện áp |
|
001 |
……………………………………………… |
|
002 |
……………………………………………… |
2.4. Công suất, điện năng sử dụng:
|
Điểm đo |
Công suất cực đại (Pmax kW) |
Công suất trung bình (Ptb kW) |
Công suất nhỏ nhất (Pmin kW) |
Điện năng sử dụng trung bình kWh/tháng |
Mua công suất phản kháng (CSPK) |
|
|
Có |
Không |
|||||
|
001 |
|
|
|
|
|
|
|
002 |
|
|
|
|
|
|
2.5. Điểm đấu nối cấp điện:
|
Điểm đo |
Điểm đấu nối cấp điện |
|
001 |
Thuộc lộ ……… |
|
002 |
Thuộc lộ ........... |
2.6. Đo đếm điện năng: a) Số điểm đo: (...).
|
Điểm đo |
Vị trí điểm đo |
Thiết bị đo đếm |
Loại/Tỷ số |
Cấp CX |
Sở hữu |
Trách nhiệm quản lý |
|
1 |
|
Công tơ |
|
|
|
Các bên có trách nhiệm bảo vệ và quản lý các thiết bị của hệ thống đo đếm, một trong hai Bên phát hiện các thiết bị của hệ thống đo đếm mất hoặc bị hỏng phải thông báo kịp thời cho Bên kia biết để cùng giải quyết |
|
TI/CT |
|
|
|
|||
|
TU/VT |
|
|
|
|||
|
.... |
.... |
.... |
.... |
.... |
.... |
.... |
Biên bản treo, tháo, kiểm định các thiết bị đo đếm điện kèm theo Hợp đồng,
b) Vị trí xác định chất lượng điện: (...).
2.7. Ghi chỉ số công tơ:
a) Số kỳ (...) kỳ/tháng Ngày ghi chỉ số: (...).
b) Hình thức ghi chỉ số công tơ : thu thập dữ liệu từ xa.
2.8. Ranh giới sở hữu tài sản:
|
Điểm đo |
Ranh giới sở hữu tài sản |
|
001 |
|
|
002 |
|
2.9. Ranh giới quản lý vận hành: Bên A và Bên B tự chịu trách nhiệm quản lý vận hành an toàn phần công trình điện thuộc sở hữu tải sản của mình.Trường hợp có thỏa thuận khác về quản lý vận hành công trình điện, hai bên sẽ ký kết hợp đồng riêng.
Điều 3. Thỏa thuận cụ thể
3.1. Bảo đảm thực hiện Hợp đồng (Có/Không);
a) Giá trị: (...) đồng;
b) Hình thức (Bảo lãnh ngân hàng/Đặt cọc bằng tiền):
c) Thời hạn Bên B gửi cho Bên A tài liệu xác nhận/chứng minh hoàn tất việc xác lập biện pháp bảo đảm: trong vòng (...) ngày kể từ ngày Hợp đồng được các Bên ký kết (sau đây được gọi là ngày xác nhận bảo đảm).
Những tài liệu được Bên B cung cấp có giá trị xác nhận/chứng minh đã hoàn tất việc xác lập biện pháp bảo đảm (bao gồm nhưng không giới hạn Giấy bảo lãnh/chứng thư bảo lãnh của ngân hàng có nội dung bảo lãnh thực hiện Hợp đồng vô điều kiện và không hủy ngang) và những tài liệu khác liên quan đến việc bảo đảm thực hiện Hợp đồng sẽ được đính kèm Hợp đồng này.
3.2. Thi hành và hình thức thông báo:
a) Các Bên thống nhất tại Hợp đồng này rằng, (Công ty Điện lực/Điện lực...) là đơn vị trực thuộc Bên A, được thành lập và hoạt động hợp pháp theo quy định của pháp luật, với các thông tin cụ thể nêu tại Điều 3.3.b sẽ đại diện cho Bên A chịu trách nhiệm triển khai, quản lý và thực hiện Hợp đồng. Theo đó, chứng từ thanh toán đối với mọi khoản thanh toán theo quy định tại Hợp đồng sẽ được (Công ty Điện lực/Điện lực...) phát hành cho Bên B và Bên B thực hiện việc thanh toán cho (Công ty Điện lực/Điện lực...);
b) Địa chỉ nhận thông báo:
(i) Bên A: Gửi cho Chủ thể đại diện cho Bên A quản lý, thực hiện Hợp đồng với các thông tin dưới đây:
CÔNG TY ĐIỆN LỰC/ĐIỆN LỰC: (...).
MST: (...).
Tài khoản ngân hàng số: [•] tại ngân hàng: (...).
Địa chỉ: (...).
Email: (...). Điện thoại/SMS: (...). Ứng dụng nhắn tin: (...).
Ứng dụng CSKH: (...).
Website: (...).
(ii) Bên B: Địa chỉ: (...).
- Thanh toán:
Email: (...). Điện thoại/SMS: (...). Ứng dụng nhắn tin: (...).
- Tạm ngừng, ngừng, giảm cung cấp điện:
Email: (...). Điện thoại/SMS: (...). Ứng dụng nhắn tin: (...).
- Thông báo, trao đổi thông tin trong quá trình thực hiện Hợp đồng:
Email: (...). Điện thoại/SMS: (...). ứng dụng nhắn tin: (...).
c) Hình thức thông báo: các thông báo sẽ được gửi bằng một trong các hình thức: thư điện tử (email), điện thoại, tin nhắn (SMS), ứng dụng nhắn tin, ứng dụng chăm sóc khách hàng (CSKH), thông qua website theo các địa chỉ nhận thông báo tại Điều 3.2.b và các phương tiện thông tin đại chúng khác.
3.3. Hiệu lực và thời hạn Hợp đồng:
a) Hợp đồng có hiệu lực từ ngày: (...);
b) Hợp đồng có Thời hạn: (...) kể từ ngày (...) đến ngày (...).
3.4. Các thỏa thuận cụ thể khác: (...).
Điều 4. Tiêu chuẩn và chất lượng dịch vụ
Các Bên thống nhất rằng hoạt động mua bán điện năng theo Hợp đồng này phải bảo đảm tuân thủ các yêu cầu về chất lượng điện năng, chất lượng dịch vụ Khách hàng sử dụng điện lớn theo quy định của pháp luật.
Điều 5. Mua công suất phản kháng
5.1 Các Bên thống nhất áp dụng quy định của pháp luật để xác định lựa chọn việc mua công suất phản kháng tại Điều 2.4.c của Hợp đồng.
5.2 Trong trường hợp các Bên lựa chọn có mua công suất phản kháng tại Điều 2.4.c, Bên B phải thanh toán cho Bên A tiền mua công suất phản kháng và việc thực hiện hoạt động mua công suất phản kháng được áp dụng theo quy định của pháp luật. Bên B thanh toán tiền mua công suất phản kháng cùng kỳ thanh toán tiền điện theo quy định của Hợp đồng. Thông báo của Bên A về giá trị khoản tiền mua công suất phản kháng và hoá đơn mua công suất phản kháng cho Bên B sẽ được gửi cùng với thông báo thanh toán lần đầu theo quy định tại Điều 3.2.
5.3 Căn cứ quy định của pháp luật và Hợp đồng, các Bên có thể thỏa thuận về việc (i) dừng mua công suất phản kháng và/hoặc (ii) điều chỉnh việc mua công suất phản kháng khi có thay đổi. Bên A thông báo cho Bên B việc chấp thuận các nội dung thỏa thuận và phương án xử lý trên cơ sở thông báo của Bên B. Thông báo được lưu, đính kèm và trở thành Phụ lục của Hợp đồng để làm căn cứ thực hiện.
Điều 6. Đo đếm điện năng
6.1 Hoạt động đo đếm điện năng được các Bên thống nhất thực hiện theo quy định của pháp luật. Điện năng sử dụng được xác định thông qua chỉ số công tơ và hệ số nhân của thiết bị đo đếm điện. Hệ số nhân của thiết bị đo đếm điện được thống nhất và ghi nhận tại Biên bản treo, tháo thiết bị đo đếm điện.
6.2 Khi treo, tháo thiết bị đo đếm điện, các Bên có trách nhiệm ghi nhận đầy đủ kết quả và các thông tin cần thiết vào Biên bản treo, tháo thiết bị đo đếm điện. Biên bản treo, tháo các thiết bị đo đếm điện phải có chữ ký của đại diện các Bên khi hoàn thành công tác treo tháo. Biên bản treo, tháo các thiết bị đo đếm điện được đính kèm Hợp đồng này. Các Bên có trách nhiệm bảo vệ thiết bị đo đếm điện trong phạm vi quản lý của mình. Trường hợp phát hiện thiết bị đo đếm điện bị mất hoặc hư hỏng, các Bên lập biên bản để xác định nguyên nhân và trách nhiệm của các Bên có liên quan trong việc sửa chữa, thay thế hoặc bồi thường.
6.3 Bên B không được tự ý tháo gỡ, di chuyển công tơ. Bên B phải được sự đồng ý của Bên A khi có nhu cầu di chuyển công tơ sang vị trí khác và phải chịu mọi chi phí phát sinh trong quá trình di chuyển.
6.4 Khi thay đổi thiết bị đo đếm điện, các Bên có trách nhiệm cùng ký biên bản xác nhận thông số kỹ thuật của thiết bị đo đếm điện và chỉ số công tơ.
Điều 7. Ghi chỉ số công tơ
Căn cứ theo quy định của pháp luật, các Bên thống nhất ghi nhận ngày ghi, số kỳ ghi và hình thức ghi chỉ số công tơ tại Điều 2.7 của Hợp đồng. Trường hợp ngày, số kỳ ghi chỉ số công tơ và hình thức ghi chỉ số công tơ thay đổi so với quy định tại Điều 2.7 Hợp đồng, Bên A có trách nhiệm thông báo cho Bên B trước (...) ngày kể từ ngày có sự thay đổi theo hình thức thông báo được quy định tại Điều 3.2. Thông báo được lưu, đính kèm và trở thành Phụ lục của Hợp đồng để làm căn cứ thực hiện.
Điều 8. Bảo đảm thực hiện Hợp đồng
8.1 Phạm vi bảo đảm; (...).
8.2 Biện pháp bảo đảm: (...).
8.3 Hình thức và hiệu lực bảo đảm: (...).
8.4 Quyền và nghĩa vụ trong việc bảo đảm: (...).
(Áp dụng trong trường hợp hai bên có thỏa thuận, thống nhất về bảo đảm hợp đồng theo quy định hiện hành)
Điều 9. Tính toán thanh toán:
Tính toán thanh toán tiền điện được thực hiện theo quy định tại Điều 16 Nghị định này, cụ thể như sau:
9.1 Trường hợp sản lượng tiêu thụ điện của Khách hàng sử dụng điện lớn trong chu kỳ giao dịch thấp hơn sản lượng của Đơn vị phát điện năng lượng tái tạo trong chu kỳ giao dịch đó (quy đổi về điểm giao nhận của Khách hàng sử dụng điện lớn sử dụng điện lớn), Khách hàng sử dụng điện lớn sử dụng điện lớn thanh toán tiền điện hằng tháng cho Tổng công ty Điện lực theo công thức sau:
9.1.1 Tổng tiền điện của Khách hàng sử dụng điện lớn sử dụng điện lớn hằng tháng thanh toán cho Tổng công ty Điện lực được xác định theo công thức sau:
Ckh = Cttđ + Cbl
Trong đó:
a) Ckh: Tổng chi phí mua điện của Khách hàng sử dụng điện lớn sử dụng điện lớn từ Tổng công ty Điện lực (đồng);
b) Cttđ: Chi phí mua điện của Khách hàng sử dụng điện lớn sử dụng điện lớn từ Tổng công ty Điện lực trên thị trường điện (đồng), được xác định như sau:
Cttđ = Cđn + Cdppa + Ccl
Trong đó:
- CĐN: Chi phí điện năng thanh toán theo giá thị trường điện (đồng), được xác định theo quy định tại khoản 2 Điều này;
- Cdppa: Chi phí sử dụng dịch vụ hệ thống điện (đồng), được xác định theo quy định tại khoản 3 Điều này;
- CCL: Chi phí thanh toán bù trừ chênh lệch, được xác định theo quy định tại khoản 4 Điều này (đồng).
c) Cbl,: Chi phí mua điện trong mỗi chu kỳ giao dịch theo giá bán lẻ điện (đồng), được xác định như sau:

Trong đó:
- Pbl(i): Giá bán lẻ điện hiện hành trong chu kỳ giao dịch i do Bộ Công Thương ban hành (đồng/kWh);
- Qkh(i): Sản lượng tiêu thụ thực tế của Khách hàng sử dụng điện lớn trong chu kỳ 1 (kWh);
- QKHhcf(i): Điện năng tiêu thụ hiệu chỉnh của Khách hàng sử dụng điện lớn chu kỳ giao dịch i (kWh), được xác định như sau:
QKHhc(i) = MIN (QKH(i); Qm(i))
Trong đó:
+ Qm(i) là sản lượng thực phát của Đơn vị phát điện năng lượng tái tạo đã quy đổi theo hệ sổ tổn thất. Trường hợp Khách hàng sử dụng điện lớn có hợp đồng kỳ hạn với nhiều Đơn vị phát điện năng lượng tái tạo hoặc Đơn vị phát điện năng lượng tái tạo có hợp đồng kỳ hạn với nhiều Khách hàng sử dụng điện lớn, thì sản lượng thực phát của Đơn vị phát điện được xác định theo nguyên tắc đã thỏa thuận tại điểm đ khoản 1 Điều 21 Nghị định này.
9.1.2 Thành phần chi phí điện năng theo giá thị trường điện trong mỗi kỳ thanh toán của năm N (Cđn) được xác định theo công thức sau:

Trong đó:
a) i: Chu kỳ giao dịch thứ i trong kỳ thanh toán (tương ứng với chu kỳ giao dịch của thị trường điện giao ngay);
b) I : Tổng số chu kỳ giao dịch của kỳ thanh toán tháng M;
c) QKHhc(i): Điện năng tiêu thụ hiệu chỉnh của Khách hàng sử dụng điện lớn chu kỳ giao dịch i (kWh), được xác định theo quy định tại khoản 1 Điều này;
d) CFMP(i): Giá mua điện của Tổng công ty Điện lực trên thị trường điện giao ngay trong chu kỳ giao dịch i (đồng/kWh), xác định theo Quy định vận hành thị trường bán buôn điện cạnh tranh do Bộ Công Thương ban hành;
đ) KPP : Hệ số quy đổi theo tổn thất điện năng trên lưới điện phân phối tại cấp điện áp của Khách hàng sử dụng điện lớn dự kiến năm N.
9.1.3 Chi phí sử dụng dịch vụ hệ thống điện (Cdppa) được xác định theo công thức sau:

Trong đó;
a) i : Chu kỳ giao dịch thứ i trong chu kỳ thanh toán (tương ứng với chu kỳ giao dịch của thị trường điện giao ngay);
b) I : Tổng số chu kỳ giao dịch của chu kỳ thanh toán;
c) QKHhc(i) : Điện năng tiêu thụ hiệu chỉnh của Khách hàng sử dụng điện lớn chu kỳ giao dịch i (kWh);
d) Cdppađv: Chi phí sử dụng dịch vụ hệ thống điện tính cho một đơn vị điện năng của năm N (đồng/kWh).
9.1.4 Chi phí thanh toán bù trừ chênh lệch tháng M (đồng) được xác định như sau:

Trong đó:
- Ccl: Chi phí thanh toán bù trừ chênh lệch tháng M (đồng);
- Pcl: Chi phí thanh toán bù trừ chênh lệch tháng M tính cho các Khách hàng sử dụng điện lớn trên một đơn vị điện năng (đồng/kWh).
9.2 Trường hợp sản lượng tiêu thụ điện của Khách hàng sử dụng điện lớn trong chu kỳ giao dịch cao hơn sản lượng của Đơn vị phát điện trong chu kỳ giao dịch đó (quy đổi về điểm giao nhận của Khách hàng sử dụng điện lớn), thực hiện thanh toán như sau:
9.2.1 Phần sản lượng tiêu thụ điện của Khách hàng sử dụng điện lớn tương ứng với sản lượng của Đơn vị phát điện được thanh toán theo quy định tại mục 9.1 Điều này.
9.2.2 Phần sản lượng tiêu thụ điện của Khách hàng sử dụng điện lớn chênh lệch so với sản lượng của Đơn vị phát điện được thanh toán bằng giá bán lẻ điện áp dụng cho nhóm Khách hàng sử dụng điện lớn tương ứng về đối tượng, mục đích sử dụng, cấp điện áp và thời gian sử dụng điện trong ngày theo Quy định về thực hiện giá bán điện do Bộ Công Thương ban hành.
Điều 10. Thanh toán
10.1 Hóa đơn thanh toán tiền điện, tiền mua công suất phản kháng được lập theo chu kỳ ghi chỉ số công tơ quy định tại Điều 2.7 của Hợp đồng. Bên A thông báo cho Bên B về việc thanh toán tiền điện tương ứng với số lần ghi chỉ số công tơ theo hình thức thông báo quy định tại khoản 10.2 Điều này.
10.2 Thanh toán:
a) Quy định này áp dụng đối với mọi khoản thanh toán phát sinh từ Hợp đồng.
b) Thời hạn thanh toán: (...) ngày kể từ ngày Bên A thông báo thanh toán lần đầu theo hình thức được quy định tại Điều 3 Hợp đồng này.
c) Phương thức thanh toán (Trích nợ tự động/Thanh toán điện tử/Chuyển khoản/Qua điểm thu/Khác): (...).
10.3 Việc thực hiện nghĩa vụ thanh toán bằng đồng Việt Nam.
10.4 Hình thức thanh toán, thời hạn thanh toán được các Bên thỏa thuận và ghi tại Điều 3.2 của Hợp đồng.
10.5 Bên B có trách nhiệm thanh toán đầy đủ số tiền điện, tiền mua công suất phản kháng ghi trong hóa đơn được Bên A phát hành trong thời hạn ghi nhận tại Điều 3.2. Trường hợp Bên B có vi phạm nghĩa vụ thanh toán tại Điều 10.4 này thì:
a) Trường hợp Bên B thực hiện việc bảo đảm thực hiện Hợp đồng:
(i) Bên A thông báo thanh toán lần hai cho Bên B theo hình thức quy định tại Hợp đồng về việc vi phạm nghĩa vụ thanh toán khi phát sinh vi phạm và thực hiện theo quy định tại Điều 8.7 của Hợp đồng.
(ii) Nếu khoản khấu trừ đủ để hoàn tất nghĩa vụ thanh toán, trong thời hạn 15 (mười lăm) ngày kể từ thời điểm Bên A gửi thông báo thanh toán lần đầu cho Bên B, Bên B có trách nhiệm:
- Thanh toán khoản tiền phạt vi phạm theo Điều 16;
- Bổ sung đầy đủ khoản khấu trừ vào tài sản bảo đảm.
(iii) Nếu khoản khấu trừ không đủ để hoàn tất nghĩa vụ thanh toán, trong thời hạn 15 (mười lăm) ngày kể từ ngày Bên A gửi thông báo thanh toán lần đầu cho Bên B, Bên B có trách nhiệm:
- Thanh toán khoản tiền phạt vi phạm theo Điều 16;
- Bổ sung đầy đủ khoản khấu trừ vào tài sản bảo đảm;
- Thanh toán cho Bên A khoản tiền chênh lệch giữa giá trị nghĩa vụ thanh toán bị vi phạm và khoản khấu trừ (sau đây được gọi là khoản còn thiếu) và tiền lãi chậm trả đối với khoản còn thiếu;
Khoản tiền lãi chậm trả theo Điều này được tính bằng khoản còn thiếu nhân với lãi suất chậm trả và nhân với so ngày chậm trả. Số ngày chậm trả được tính từ ngày đầu tiên kết thúc thời hạn thanh toán tại Điều 3.2.b đến ngày Bên B thanh toán đủ hoặc ngày Bên A ngừng cấp điện cho Bên B theo quy định tại Điều 10.4.C và 11.1.a.
(iv) Tới ngày thứ 14 (mười bốn) trong thời hạn quy định tại Điều 10.4.a.(ii) và Điều 10.4.a.(iii), nếu Bên B vẫn chưa hoàn tất nghĩa vụ thanh toán theo Điều này, Bên A sẽ gửi thông báo ngừng cấp điện cho Bên B.
(v) Nội dung thông báo ngừng cấp điện phải ghi nhận rõ:
- Kết thúc thời hạn tại Điều 10.4.a.(ii), Điều 10.4.a.(iii) mà Bên B không hoàn tất nghĩa vụ thanh toán, Bên A sẽ ngừng ngay việc cấp điện theo Hợp đồng;
- Thời điểm ngừng cấp điện. Thời điểm ngừng cấp điện phải là thời điểm thỏa mãn: (i) thời hạn tại Điều 10.4.a.(ii), Điều 10.4.a.(iii) đã kết thúc và (ii) sau 24 (hai mươi bốn) giờ kể từ thời điểm có thông báo ngừng cấp điện.
b) Trường hợp không thực hiện việc bảo đảm thực hiện Hợp đồng:
(i) Bên A thông báo thanh toán lần hai cho Bên B theo hình thức quy định tại Hợp đồng về việc vi phạm nghĩa vụ thanh toán ngay khi phát sinh vi phạm nghĩa vụ thanh toán. Bên B thực hiện đầy đủ nghĩa vụ thanh toán trong thời hạn 15 (mười lăm) ngày kể từ thời điểm Bên A gửi thông báo thanh toán lần đầu cho Bên B, bao gồm cả các khoản sau:
- Khoản tiền phạt vi phạm theo Điều 16;
- Khoản tiền lãi chậm trả đối với giá trị nghĩa vụ thanh toán bị vi phạm;
Khoản tiền lãi chậm trả theo Điều này được tính bằng giá trị nghĩa vụ thanh toán bị vi phạm nhân với lãi suất chậm trả và nhân với số ngày chậm trả. Số ngày chậm trả được tính từ ngày đầu tiên kết thúc thời hạn thanh toán tại Điều 3.2.b đến ngày Bên B thanh toán đủ hoặc ngày Bên A ngừng cấp điện cho Bên B theo quy định tại Điều 10.4.C. và Điều 11.1.a.
(ii) Tới ngày thứ 14 (mười bốn) trong thời hạn nêu tại Điều 10.4.b.(i), nếu Bên B vẫn chưa hoàn tất nghĩa vụ thanh toán, Bên A thông báo về việc ngừng cấp điện cho Bên B. Nội dung thông báo ngừng cấp điện thực hiện tương tự theo quy định tại Điều 10.4.a.(v).
c) Bên A có quyền ngừng ngay việc cấp điện theo nội dung thông báo ngừng cấp điện gửi cho Bên B. Bên A không chịu trách nhiệm về bất cứ thiệt hại nào của Bên B và các bên liên quan do việc ngừng cấp điện gây ra.
Việc cấp điện trở lại chỉ được tiến hành sau khi Bên B đã hoàn tất nghĩa vụ thanh toán theo Điều này.
10.6 Trừ trường hợp các Bên có thỏa thuận về việc thanh toán trước tiền điện, trong trường hợp Bên B thanh toán tiền điện thừa cho Bên A, Bên B có thể yêu cầu Bên A hoàn trả hoặc chuyển tiền điện thừa cho các kỳ thanh toán kế tiếp.
Điều 11. Tạm ngừng, ngừng, giảm cung cấp điện
11.1 Các Bên thống nhất rằng Bên A có quyền tạm ngừng, ngừng, giảm cung cấp điện cho Bên B khi có phát sinh các sự kiện dưới đây:
a) Theo quy định tại Điều 10.4 và các quy định khác của Hợp đồng;
b) Theo quy định của pháp luật.
11.2 Khi các sự kiện theo Điều 11.1 phát sinh trên thực tế, các khoản chi phí để thực hiện việc tạm ngừng, ngừng, giảm cung cấp điện và chi phí cấp điện trở lại được xác định theo quy định của pháp luật hoặc theo thỏa thuận giữa các Bên.
Điều 12. Cam đoan và bảo đảm của các Bên
12.1 Có đủ năng lực và chức năng theo quy định của pháp luật để ký kết và thực hiện Hợp đồng.
12.2 Việc thỏa thuận và ký kết Hợp đồng diễn ra trên tinh thần thiện chí, trung thực, tự nguyện và không bị cưỡng ép, đe dọa bởi bất cứ chủ thế nào.
12.3 Các thông tin được các Bên cung cấp phục vụ cho việc ký kết Hợp đồng và được ghi nhận tại Hợp đồng này là hoàn toàn đầy đủ, chính xác, đúng sự thật.
12.4 Các Bên đã đọc, đã hiểu các quy định của Hợp đồng và các quy định của pháp luật có liên quan. Các Bên xác nhận Hợp đồng có hiệu lực ràng buộc và khả năng thi hành đối với các Bên...
Điều 13. Quyền, nghĩa vụ của Bên A
13.1 Quyền của Bên A:
a) Yêu cầu Bên B thực hiện nghĩa vụ thanh toán đầy đủ và đúng hạn;
b) Được vào khu vực quản lý của Bên B để thao tác, bảo dưỡng, sửa chữa và thay thế mới trang thiết bị điện của Bên A; kiểm tra, ghi chỉ số công tơ và liên hệ với Bên B theo quy định của pháp luật;
c) Được tạm ngừng, ngừng, giảm mức cung cấp điện theo quy định tại Điều 11 của Hợp đồng;
d) Được Bên B cung cấp đầy đủ các thông tin, tài liệu cần thiết liên quan và phục vụ cho việc thực hiện Hợp đồng;
đ) Được thường xuyên kiểm tra việc thực hiện Hợp đồng;
e) Được quyền đơn phương chấm dứt Hợp đồng theo quy định tại Điều 17;
g) Các quyền khác theo quy định của Hợp đồng này và pháp luật;
h) Tiến hành xử lý sự cố để khôi phục cấp điện sau 02 (hai) giờ kể từ khi phát hiện hoặc nhận được thông báo của Bên B về sự cố lưới điện Bên A quản lý; trường hợp không thực hiện được việc xử lý sự cố trong thời hạn nêu trên thì phải thông báo cho Bên B nguyên nhân và dự kiến thời gian cấp điện trở lại;
i) Cấp điện trở lại sau khi Bên B đã hoàn thành nghĩa vụ thanh toán theo quy định tại Điều 10;
k) Giải tỏa bảo lãnh, hoàn trả lại tiền, tài sản bảo đảm mà Bên B thực hiện biện pháp bảo đảm (nếu có) cho Bên B khi kết thúc thời hạn bảo đảm hoặc sau khi kết thúc thời hạn mà Bên B đã hoàn tất toàn bộ nghĩa vụ theo Hợp đồng;
l) Kiểm tra chất lượng dịch vụ điện; tính chính xác của thiết bị đo đếm điện theo quy định của pháp luật;
m) Giải quyết nhanh chóng, kịp thời các khiếu nại của Bên B liên quan đến việc cung cấp và sử dụng dịch vụ điện theo quy định tại Hợp đồng;
n) Kiểm tra lại tiền điện theo yêu cầu của Bên B tại Điều 14.1.e;
o) Bảo mật thông tin, tài liệu có được trong quá trình ký kết, thực hiện Hợp đồng;
p) Các nghĩa vụ khác theo quy định của Hợp đồng này và pháp luật.
13.2 Nghĩa vụ của Bên A:
a) Cung cấp điện an toàn, ổn định cho bên B;
b) Kịp thời khôi phục việc cấp điện sau khi mất điện;
c) Các nghĩa vụ khác theo quy định của Hợp đồng này và pháp luật liên quan.
Điều 14. Quyền, nghĩa vụ của bên B
14.1 Quyền của Bên B:
a) Yêu cầu người của Bên A khi thực hiện quyền theo quy định tại Điều 13.1.b. phải xuất trình thẻ Kiểm tra viên điện lực hoặc thẻ cán bộ nhân viên hoặc văn bản, tài liệu khác theo quy định của pháp luật;
b) Yêu cầu Bên A kịp thời khôi phục việc cấp điện sau khi mất điện;
c) Yêu cầu Bên A cấp điện trở lại sau khi đã hoàn thành nghĩa vụ thanh toán;
d) Yêu cầu Bên A giải tỏa bảo lãnh, hoàn trả lại tiền, tài sản bảo đảm mà Bên B thực hiện biện pháp bảo đảm (nếu có) khi kết thúc thời hạn bảo đảm hoặc sau khi kết thúc thời hạn mà Bên B đã hoàn tất toàn bộ nghĩa vụ theo Hợp đồng;
đ) Yêu cầu Bên A kiểm tra chất lượng dịch vụ điện; tính chính xác của thiết bị đo đếm điện, số tiền điện phải thanh toán theo quy định của pháp luật;
e) Các quyền khác theo quy định của Hợp đồng này và pháp luật.
14.2 Nghĩa vụ của Bên B:
a) Sử dụng điện năng đúng mục đích và định mức đã thỏa thuận tại Hợp đồng;
b) Thực hiện đầy đủ nghĩa vụ thanh toán theo quy định của Hợp đồng;
c) Giảm mức tiêu thụ điện hoặc cắt điện kịp thời khi nhận được thông báo của Bên A trong các trường hợp Bên A ngừng, giảm cung cấp điện theo quy định tại Điều 11 của Hợp đồng;
d) Thông báo cho Bên A chậm nhất trong thời hạn 05 (năm) ngày trước thời điểm tạm ngừng sử dụng điện năng khi có nhu cầu tạm ngừng sử dụng điện;
đ) Thông báo ngay lập tức cho Bên A (i) về việc Bên B không còn quyền sở hữu và/hoặc sử dụng hợp pháp địa điểm sử dụng điện; (ii) khi có các khiếu nại, tranh chấp liên quan đến quyền sở hữu và/hoặc sử dụng hợp pháp địa điểm sử dụng điện; và (iii) khi Bên B bị thu hồi giấy phép, chấm dứt hoạt động, ra quyết định giải thể, chuyển nhượng dự án/tài sản có liên quan đến địa điểm sử dụng điện hoặc tuyên bố phá sản;
e) Thông báo kịp thời cho Bên A khi phát hiện những hiện tượng bất thường có thể gây mất điện, mất an toàn cho người và tài sản;
g) Tạo điều kiện để Bên A kiểm tra việc thực hiện Hợp đồng, ghi chỉ số công tơ và thực hiện các quyền, nghĩa vụ khác theo Hợp đồng;
h) Bảo đảm các trang thiết bị sử dụng điện đáp ứng các tiêu chuẩn kỹ thuật và yêu cầu về an toàn điện; thực hiện chế độ sử dụng điện theo yêu cầu của đơn vị điều độ hệ thống điện quốc gia theo quy định của pháp luật;
i) Không được chuyển giao quyền, nghĩa vụ theo quy định tại Hợp đồng cho bất kỳ chủ thể nào khác nếu không thông báo và được Bên A chấp thuận;
k) Bảo mật thông tin, tài liệu có được trong quá trình ký kết, thực hiện Hợp đồng;
l) Các nghĩa vụ khác theo quy định của Hợp đồng và pháp luật.
Điều 15. Vi phạm Hợp đồng
15.1 Các hành vi vi phạm của Bên A bao gồm:
a) Trì hoãn việc cấp điện theo Hợp đồng, trừ trường hợp nguyên nhân của việc trì hoãn là do lỗi của Bên B;
b) Không bảo đảm tiêu chuẩn chất lượng dịch vụ theo Điều 4 của Hợp đồng;
c) Ghi sai chỉ số công tơ; tính sai tiền điện trong hóa đơn;
d) Trì hoàn hoặc không bồi thường cho Bên B theo Điều 16;
đ) Các hành vi khác vi phạm các quy định của Hợp đồng và pháp luật ảnh hưởng đến việc thực hiện Hợp đồng.
15.2 Các hành vi vi phạm của Bên B bao gồm:
a) Trì hoãn việc thực hiện Hợp đồng đã ký;
b) Sử dụng điện sai mục đích ghi tại Điều 2.2 Hợp đồng;
c) Sử dụng quá công suất đã đăng ký vào giờ cao điểm;
d) Không thanh lý Hợp đồng khi không sử dụng điện năng;
đ) Vi phạm nghĩa vụ thanh toán;
e) Trì hoãn hoặc không bồi thường thiệt hại cho Bên A theo Điều 16;
g) Tự ý cung cấp điện cho cá nhân hoặc tổ chức khác sử dụng điện;
h) Không còn quyền sở hữu và/hoặc sử dụng hợp pháp đối với địa điểm sử dụng điện;
i) Không sử dụng điện 06 (sáu) tháng liên tục mà không thông báo trước cho Bên A;
k) Các hành vi khác vi phạm các quy định tại Hợp đồng và pháp luật ảnh hưởng đến việc thực hiện Hợp đồng.
15.3 Nếu một Bên vi phạm các nghĩa vụ, các cam kết, bảo đảm của mình tại Hợp đồng này thì phải chấm dứt mọi hành vi vi phạm và khắc phục hậu quả của hành vi vi phạm trong thời hạn hợp lý theo thông báo của Bên bị vi phạm.
Điều 16. Phạt vi phạm và bồi thường thiệt hại
16.1 Các Bên chịu trách nhiệm bồi thường thiệt hại và phạt vi phạm khi có những hành vi vi phạm Hợp đồng. Việc xử lý trách nhiệm bồi thường thiệt hại và phạt vi phạm được áp dụng theo Điều này, Hợp đồng và quy định của pháp luật.
16.2 Khi có bất cứ hành vi vi phạm nghĩa vụ nào, Bên vi phạm sẽ phải chịu phạt vi phạm Hợp đồng đối với hành vi vi phạm đó. Giá trị phần nghĩa vụ của Hợp đồng bị vi phạm được xác định theo quy định của pháp luật.
16.3 Trong quá trình thực hiện Hợp đồng, nếu có bất cứ hành vi vi phạm Hợp đồng của một Bên gây thiệt hại cho Bên còn lại, thì Bên vi phạm có trách nhiệm bồi thường toàn bộ thiệt hại cho Bên bị vi phạm. Giá trị bồi thường thiệt hại được xác định theo quy định của pháp luật.
16.4 Chậm thực hiện nghĩa vụ phạt vi phạm và bồi thường thiệt hại:
a) Đối với khoản tiền phạt vi phạm do Bên B vi phạm Hợp đồng:
(i) Đối với khoản tiền phạt vi phạm phát sinh theo Điều 10.4: Nếu Bên B không hoàn tất việc thanh toán toàn bộ khoản tiền phạt vi phạm trong thời hạn được nêu tại Điều 10.4.a.(ii), Điều 10.4.a.(iii) hoặc thời hạn nêu tại Điều 10.4.b.(i), Bên B sẽ phải chịu lãi suất chậm trả đối với khoản tiền phạt vi phạm này cho tới khi hoàn tất nghĩa vụ thanh toán.
(ii) Đối với các khoản tiền phạt vi phạm khác phát sinh từ việc Bên B vi phạm Hợp đồng: Bên B phải thanh toán khoản tiền phạt vi phạm trong thời hạn 15 (mười lăm) ngày kể từ ngày có thông báo của Bên A về nghĩa vụ phạt vi phạm của Bên B. Quá thời hạn này mà Bên B không hoàn tất việc thanh toán toàn bộ khoản tiền phạt vi phạm, Bên B sẽ phải chịu lãi suất chậm trả đối với khoản tiền phạt vi phạm này cho tới khi hoàn tất nghĩa vụ thanh toán.
b) Đối với khoản tiền bồi thường thiệt hại do Bên B vi phạm Hợp đồng:
Bên B có nghĩa vụ thanh toán cho Bên A khoản bồi thường thiệt hại phát sinh trong thời hạn 15 (mười lăm) ngày kể từ ngày Bên A thông báo cho Bên B về nghĩa vụ bồi thường thiệt hại. Trường hợp Bên B chậm thanh toán khoản tiền bồi thường thiệt hại, Bên vi phạm sẽ phải chịu lãi suất chậm trả trên khoản tiền bồi thường thiệt hại cho tới khi hoàn tất nghĩa vụ thanh toán.
c) Đối với khoản tiền bồi thường thiệt hại và khoản tiền phạt vi phạm do Bên A vi phạm Hợp đồng:
(i) Trường hợp phát sinh nghĩa vụ bồi thường thiệt hại và phạt vi phạm của Bên A đối với Bên B, Bên A có trách nhiệm thanh toán đầy đủ khoản tiền bồi thường và tiền phạt mà hai Bên đã thống nhất trong thời hạn 15 (mười lăm) ngày, kể từ ngày nhận được thông báo chính thức của Bên B. Quá thời hạn trên mà Bên A chưa thanh toán đủ thì Bên B có quyền chậm thanh toán tiền điện với giá trị không quá khoản tiền Bên A chậm thanh toán cho đến khi Bên A thanh toán và Bên B không phải chịu bất cứ trách nhiệm nào do chậm thanh toán tiền điện trong phạm vi Điều này;
(ii) Nếu Bên A đã thanh toán cho Bên B đủ khoản tiền bồi thường thiệt hại, khoản tiền phạt vi phạm trong thời hạn nêu tại Điều 16.4.c.(i), Bên B phải thực hiện nghĩa vụ thanh toán bình thường theo Hợp đồng.
Điều 17. Chấm dứt Hợp đồng
17.1 Hợp Đồng sẽ chấm dứt theo một trong các căn cứ dưới đây:
a) Kết thúc thời hạn mà các Bên không thỏa thuận gia hạn Hợp đồng hoặc Bên B không có phản hồi theo Điều 19.4;
b) Các Bên thỏa thuận về việc chấm dứt Hợp đồng trước thời hạn;
c) Bên B có quyền đơn phương chấm dứt Hợp đồng trước thời hạn khi Bên A có hành vi vi phạm Hợp đồng mà không khắc phục theo Điều 15.3. Trong trường hợp này, Bên B có nghĩa vụ thông báo trước cho Bên A về việc đề nghị chấm dứt Hợp đồng ít nhất 15 (mười lăm) ngày trước khi thực hiện quy trình chấm dứt Hợp đồng;
d) Bên A có quyền đơn phương chấm dứt Hợp đồng trước thời hạn trong các trường hợp dưới đây:
(i) Bên B có hành vi vi phạm Hợp đồng mà không khắc phục theo Điều 15.3;
(ii) Bên B là tổ chức, hộ kinh doanh bị chấm dứt hoạt động, bị thu hồi giấy phép hoạt động, bị giải thể, chuyển nhượng tài sản/dự án có liên quan đến địa điểm sử dụng điện, mất khả năng thanh toán, bị phá sản hoặc bị truy cứu trách nhiệm hình sự theo quy định của pháp luật; là cá nhân mất tích, chết không có người thay thế hợp pháp. Bên A có quyền thực hiện quy trình chấm dứt Hợp đồng ngay lập tức khi phát sinh các sự kiện theo quy định này.
17.2 Quy trình chấm dứt Hợp đồng:
a) Ngay sau khi phát sinh các trường hợp hoặc kết thúc thời hạn 15 (mười lăm) ngày kể từ ngày có thông báo về việc đề nghị chấm dứt Hợp đồng của một Bên theo quy định tại Điều 17.1, Bên A tiến hành:
(i) Gửi thông báo ngay cho Bên B về thời điểm ngừng cấp điện, phục vụ việc chấm dứt Hợp đồng;
(ii) Ngừng cấp điện tại thời điểm đã thông báo trước đó;
(iii) Xác định chỉ số công tơ, sản lượng điện đã giao nhận, lập và phát hành hoá đơn. Việc xác định được thực hiện tại địa điểm sử dụng điện tính đến thời điểm ngừng cấp điện theo thông báo, không phụ thuộc vào việc điện năng được Bên B hay bất kỳ một bên nào khác sử dụng, số tiền điện phải thanh toán được xác định theo Điều này do Bên B gánh chịu;
(iv) Các Bên tiến hành hoàn tất toàn bộ nghĩa vụ thanh toán phát sinh theo Hợp đồng tính đến thời điểm ngừng cấp điện;
(v) Xử lý tài sản bảo đảm: Các Bên tổng kết về giá trị tài sản bảo đảm còn lại tính đến thời điểm chấm dứt Hợp đồng và xác định ngày chấm dứt thời hạn bảo đảm, ngày giải tỏa bảo lãnh, hoàn trả tiền, tài sản bảo đảm cho Bên B. Ngày giải tỏa bảo lãnh, hoàn trả tiền, tài sản bảo đảm cho Bên B có thể là ngày sau khi kết thúc thời hạn bảo đảm hoặc sau khi kết thúc thời hạn mà Bên B đã hoàn tất toàn bộ nghĩa vụ theo Hợp đồng.
b) Sau khi Các Bên hoàn tất các nghĩa vụ theo Hợp đồng:
(i) Trường hợp chấm dứt theo Điều 17.1.a, các Bên thống nhất Hợp đồng sẽ tự động chấm dứt và không phải ký Biên bản chấm dứt Hợp đồng;
(ii) Các trường hợp còn lại, Bên A gửi Bên B dự thảo Biên bản chấm dứt Hợp đồng. Bên B xác nhận đồng ý bằng cách ký vào Biên bản chấm dứt Hợp đồng. Trong thời hạn 05 (năm) ngày kể từ ngày Bên B nhận được Biên bản chấm dứt Hợp đồng nhưng không ký Biên bản chấm dứt Hợp đồng và không có văn bản gửi cho Bên A nêu rõ lí do, Bên A có quyền hiểu là Bên B đã đồng ý chấm dứt Hợp đồng. Hợp đồng chấm dứt theo nội dung Biên bản chấm dứt Hợp đồng;
c) Đối với các trường hợp do lỗi của Bên B hoặc các trường hợp khác mà các Bên không thể tiến hành quy trình chấm dứt Hợp đồng theo Điều 17.2 này, việc chấm dứt Hợp đồng được thực hiện theo quyết định của cơ quan nhà nước thông qua quá trình giải quyết tranh chấp hoặc quy trình theo quy định của pháp luật.
Điều 18. Giải quyết tranh chấp
Trường hợp phát sinh tranh chấp, các Bên sẽ cùng nhau tiến hành thương lượng để tìm ra giải pháp giải quyết tranh chấp tối ưu. Trong thời hạn 90 (chín mươi) ngày kể từ ngày phát sinh tranh chấp mà các Bên không đạt được thỏa thuận, một trong các Bên có quyền đưa vụ việc ra giải quyết tại Tòa án nhân dân có thẩm quyền.
Điều 19. Hiệu lực và thời hạn của Hợp đồng
19.1 Hiệu lực của Hợp đồng
a) Hiệu lực của Hợp đồng do các Bên thỏa thuận. Trong trường hợp các Bên thỏa thuận lựa chọn việc áp dụng bảo đảm thực hiện Hợp đồng tại Điều 3.1, ngày có hiệu lực của Hợp đồng được xác định là (i) ngày xác nhận bảo đảm theo Điều 3.1.c hoặc (ii) ngày nghiệm thu đóng điện, phụ thuộc vào thời điểm nào xảy ra sớm hơn;
b) Căn cứ theo Điều 19.1.a, các Bên thỏa thuận và thống nhất ghi nhận ngày có hiệu lực của Hợp đồng tại Điều 3.3.a.
19.2 Thời hạn của Hợp đồng:
a) Thời hạn của Hợp đồng do các Bên thỏa thuận nhưng không vượt quá thời hạn mà Bên B có quyền sở hữu và/hoặc sử dụng hợp pháp địa điểm sử dụng điện. Việc xác định quyền sở hữu và sử dụng hợp pháp của Bên B đối với địa điểm sử dụng điện căn cứ vào các tài liệu được Bên B cung cấp hoặc theo yêu cầu của Bên A. Các tài liệu này sẽ được đính kèm Hợp đồng;
b) Căn cứ theo Điều 19.2.a, các Bên thỏa thuận và thống nhất ghi nhận thời hạn của Hợp đồng tại Điều 3.4.b.
19.3 Thời hạn có thể được điều chỉnh hoặc gia hạn theo thỏa thuận giữa các Bên và phải được quy định thành phụ lục đính kèm Hợp đồng.
19.4 Bên A thông báo trước cho Bên B về việc hết thời hạn ít nhất 30 (ba mươi) ngày trước ngày Hợp đồng này hết hiệu lực để các Bên tiến hành việc thỏa thuận gia hạn, ký lại Hợp đồng mới hoặc chấm dứt Hợp đồng. Bên B phản hồi lại về việc gia hạn, ký lại Hợp đồng mới hoặc chấm dứt Hợp đồng trong thời hạn (...) ngày kể từ ngày nhận được thông báo của Bên A. Bên A thực hiện ngay việc ngừng bán điện kể từ ngày hết thời hạn nếu không nhận được phản hồi từ Bên B.
19.5 Đối với trường hợp tại Điều 19.4, các Bên thống nhất về việc gia hạn Hợp đồng:
a) Các Bên hoàn thành việc ký phụ lục gia hạn Hợp đồng hoặc ký mới hợp đồng mua bán điện trước ngày Hợp đồng này hết hiệu lực;
b) Đối với trường hợp có áp dụng biện pháp bảo đảm, các Bên có nghĩa vụ hoàn tất việc gia hạn đối với thời hạn bảo đảm của biện pháp bảo đảm hoặc hoàn tất việc áp dụng biện pháp bảo đảm mới, bảo đảm phù hợp với hiệu lực của Hợp đồng và thời hạn gia hạn hoặc phù hợp với hiệu lực và thời hạn của hợp đồng mua bán điện mới theo quy định của Hợp đồng. Trong trường hợp này, các Bên căn cứ thời hạn gia hạn, thời hạn của hợp đồng mua bán điện mới, sản lượng điện xác định theo quy định tại Điều 8.3 đối với từng trường hợp để xác định giá trị tài sản bảo đảm thực hiện Hợp đồng cho thời hạn gia hạn hoặc giá trị tài sản bảo đảm thực hiện hợp đồng mua bán điện mới.
Điều 20. Các thỏa thuận khác
20.1 Thông báo và liên lạc
a) Một thông báo được đưa ra theo Hợp Đồng này phải bằng văn bản và gửi cho người nhận là cá nhân, tổ chức có liên quan đến địa chỉ được quy định tại Điều 3.2.b (hoặc địa chỉ hoặc người nhận khác theo thông báo của mỗi Bên cho Bên còn lại trong từng trường hợp) bằng các hình thức tại Điều 3.2.c;
b) Căn cứ theo quy định này, các Bên thỏa thuận và ghi nhận các nội dung quy định về hình thức thông báo và địa chỉ gửi thông báo tại Điều 3.2.
20.2 Mọi sửa đổi, bổ sung Hợp đồng được thực hiện bằng việc ký kết phụ lục sửa đổi, bổ sung hoặc theo thông báo của Bên A.
20.3 Việc giải thích và thực hiện Hợp Đồng này được điều chỉnh bởi pháp luật. Trong trường hợp có sự mâu thuẫn giữa nội dung của Hợp đồng và quy định của pháp luật, các Bên thống nhất áp dụng quy định pháp luật để điều chỉnh vấn đề đó.
20.4 Trường hợp bất kỳ quy định nào trong Hợp đồng bị vô hiệu hoặc không thể thi hành, thì quy định đó sẽ không có hiệu lực và không làm ảnh hưởng đến hiệu lực của các quy định còn lại trong Hợp đồng. Khi đó, Hợp đồng này sẽ được hiểu và giải thích theo các quy định còn lại của Hợp đồng. Các Bên sẽ cùng nhau, trên tinh thần hợp tác, thiện chí, nỗ lực để thay thế quy định vô hiệu hoặc không thể thi hành đó bằng một quy định khác có hiệu lực và có thể thi hành, với nội dung phù hợp nhất với quy định bị thay thế.
20.5 Việc thỏa thuận và ký kết Hợp đồng diễn ra trên tinh thần thiện chí, trung thực. Hợp đồng là kết quả của việc đàm phán giữa các Bên và sẽ không bị suy đoán rằng một điều khoản không rõ nghĩa nào cần phải được giải thích theo hướng có lợi hoặc bất lợi cho bất kỳ Bên nào.
20.6 Hợp đồng được lập bằng tiếng Việt. Trong quá trình thực hiện Hợp đồng mà Bên B có nhu cầu dịch Hợp đồng sang ngôn ngữ khác ngoài tiếng Việt, nếu có sự không thống nhất giữa nội dung bản dịch và bản gốc tiếng Việt thì nội dung của bản gốc tiếng Việt được ưu tiên áp dụng.
|
ĐẠI DIỆN BÊN A |
ĐẠI DIỆN BÊN B
|
Phụ lục III
CÁC NỘI DUNG CHÍNH CỦA HỢP ĐỒNG KỲ HẠN
(Kèm theo Nghị định số 80/2024/NĐ-CP
ngày 03 tháng 7 năm 2024 của Chính phủ)
___________________
Hợp đồng kỳ hạn được ký kết Đơn vị phát điện năng lượng tái tạo và Khách hàng sử dụng điện lớn (hoặc Đơn vị bán lẻ điện tại các mô hình khu, cụm được ủy quyền). Các nội dung về thời hạn của Hợp đồng, giá hợp đồng, sản lượng điện cam kết, tính toán thanh toán theo quy định tại Điều 17 hoặc Điều 18 Nghị định này.
Các bên có quyền đàm phán, thống nhất các điều khoản sau phù hợp với pháp luật Việt Nam.
CĂN CỨ:
- Bộ luật Dân sự số 91/2015/QH13 ngày 24/11/2015 của Quốc hội nước Cộng hoà xã hội chủ nghĩa Việt Nam và các văn bản hướng dẫn thi hành;
- Luật Thương mại số 36/2005/QH11 ngày 14/6/2005 của Quốc hội nước Cộng hoà xã hội chủ nghĩa Việt Nam và các văn bản hướng dẫn thi hành;
- Luật Điện lực ngày 03 tháng 12 năm 2004; Luật sửa đổi, bổ sung một số điều của Luật Điện lực ngày 20 tháng 11 năm 2012; Luật sửa đổi, bổ sung một số điều của Luật Đầu tư công, Luật Đầu tư theo phương thức đối tác công tư, Luật Đầu tư, Luật Nhà ở, Luật Đấu thầu, Luật Điện lực, Luật Doanh nghiệp, Luật Thuế tiêu thụ đặc biệt và Luật Thi hành án dân sự ngày 11 tháng 01 năm 2022 và các văn bản hướng dẫn thi hành;
- Nghị định số 80/2024/NĐ-CP ngày 03 tháng 7 năm 2024 của Chính phủ quy định về cơ chế mua bán điện trực tiếp giữa Đơn vị phát điện năng lượng tái tạo và Khách hàng sử dụng điện lớn;
- Thông tư số 45/2018/TT-BCT ngày 15 tháng 11 năm 2018 của Bộ trưởng Bộ Công Thương quy định vận hành thị trường bán buôn điện cạnh tranh và sửa đổi, bổ sung một số điều của Thông tư số 56/2014/BCT ngày 19 tháng 12 năm 2014 của Bộ Công Thương quy định phương pháp xác định giá phát điện, trình tự kiểm tra hợp đồng mua bán điện; Thông tư số 24/2019/TT-BCT ngày 14 tháng 11 năm 2019 của Bộ trưởng Bộ Công Thương sửa đổi, bổ sung một số điều của Thông tư số 45/2018/TT-BCT ngày 15 tháng 11 năm 2018 của Bộ trưởng Bộ Công Thương quy định vận hành thị trường bán buôn điện cạnh tranh và sửa đổi, bổ sung một số điều của Thông tư số 56/2014/BCT ngày 19 tháng 12 năm 2014 của Bộ Công Thương quy định phương pháp xác định giá phát điện, trình tự kiểm tra hợp đồng mua bán điện;
- Nhu cầu mua, bán điện của hai bên.
Hôm nay, ngày … tháng … năm 202.., tại ....
Chúng tôi gồm:
Bên bán điện: (tên Đơn vị phát điện năng lượng tái tạo)
Địa chỉ: ………………………………………………………………….
Điện thoại: ………………………….Fax: ………………………….
Mã số thuế: ………………………….………………………….
Tài khoản: ………………………….Ngân hàng………………………….
Đại diện: ………………………….………………………….
Chức vụ: ………………………….………………………….
(Theo văn bản ủy quyền số … ngày … tháng … năm … của……)
Bên mua điện: (Tên Khách hàng sử dụng điện lớn)
Địa chỉ: ………………………….………………………….
Điện thoại: ………………………….Fax: ………………………….
Mã số thuế: ………………………….………………………….
Tài khoản: ………………………….Ngân hàng………………………….
Đại diện: ………………………….………………………….
Chức vụ: ………………………….………………………….
(Theo văn bản ủy quyền số …. ngày … tháng … năm … của ….)
Cùng nhau thỏa thuận ký Hợp đồng kỳ hạn với những điều khoản và điều kiện dưới đây:
Điều 1. Định nghĩa
Trong Hợp đồng này, các từ ngữ dưới đây được hiểu như sau:
1. Bên bán điện: (tên Đơn vị phát điện năng lượng tái tạo), đủ điều kiện tham gia cơ chế mua bán điện trực tiếp theo quy định.
2. Bên mua điện: (Tên Khách hàng sử dụng điện lớn), đủ điều kiện tham gia cơ chế mua bán điện trực tiếp theo quy định.
3. Bên hoặc các bên: là Bên bán điện, Bên mua điện hoặc cả hai bên hoặc đơn vị tiếp nhận các quyền và nghĩa vụ của một bên hoặc các bên trong Hợp đồng này.
4. Ngày vận hành thương mại: là ngày một phần hoặc toàn bộ nhà máy điện mặt trời nối lưới sẵn sàng bán điện cho Bên mua điện và thỏa mãn các điều kiện về …. theo quy định.
5. Nhà máy điện: là (...).
6. Hợp đồng là Hợp đồng mua bán điện này, bao gồm các Phụ lục và các sửa đổi, bổ sung được đại diện có thẩm quyền của các Bên ký kết sau này.
7. Giá thị trường điện giao ngay: là giá thị trường điện toàn phần được hình thành theo từng chu kỳ giao dịch của thị trường điện giao ngay và được xác định bằng tổng của giá điện năng thị trường và giá công suất thị trường. Trong đó, giá điện năng thị trường và giá công suất thị trường được xác định theo Quy định vận hành thị trường bán buôn điện cạnh tranh do Bộ Công Thương ban hành.
8. Năm hợp đồng là năm được tính theo năm dương lịch 12 (mười hai) tháng tính từ ngày đầu tiên của tháng 01 (một) và kết thúc vào ngày cuối cùng của tháng 12 (mười hai) năm đó, trừ trường hợp đối với năm hợp đồng đầu tiên được tính bắt đầu từ ngày vận hành thương mại và kết thúc vào ngày cuối cùng của tháng 12 (mười hai) của năm đó. Năm hợp đồng cuối cùng được tính bắt đầu từ ngày đầu tiên của tháng 01 (một) và kết thúc vào ngày cuối cùng của thời hạn Hợp đồng.
9. Quy định về vận hành hệ thống điện quốc gia: là các văn bản quy phạm pháp luật, Quy trình quy định tiêu chuẩn vận hành hệ thống điện, điều kiện và thủ tục đấu nối vào lưới điện, điều độ vận hành hệ thống điện, đo đếm điện năng trong hệ thống điện.
10. Tiêu chuẩn, quy chuẩn kỹ thuật ngành điện: là (...).
11. Trường hợp khẩn cấp là tình huống có thể gây gián đoạn dịch vụ cung cấp điện cho Khách hàng sử dụng điện lớn của Bên mua điện, bao gồm các trường hợp có thể gây ra hỏng hóc lớn trong hệ thống điện quốc gia, có thể đe dọa đến tính mạng, tài sản hoặc làm ảnh hưởng đến khả năng kỹ thuật của nhà máy điện.
Điều 2. Hiệu lực và thời hạn Hợp đồng
1. Hiệu lực Hợp đồng
Hợp đồng có hiệu lực kể từ ngày đại diện có thẩm quyền của các Bên ký chính thức, trừ trường hợp các bên có thoả thuận khác.
2. Thời hạn hợp đồng
Trừ trường hợp gia hạn hoặc chấm dứt trước Thời hạn Hợp đồng theo các điều khoản của Hợp đồng, Thời hạn Hợp đồng này được tính từ ngày Hợp đồng có hiệu lực đến hết (...) năm kể từ Ngày vận hành thương mại. Sau khi chấm dứt Hợp đồng, các nội dung của Hợp đồng này tiếp tục có hiệu lực trong (...) để các bên thực hiện việc lập hóa đơn lần cuối, điều chỉnh hóa đơn, thanh toán, các quyền và nghĩa vụ trong hợp đồng này.
Các bên có thể gia hạn Thời hạn Hợp đồng hoặc ký hợp đồng mới theo quy định của pháp luật tại thời điểm sau khi Hợp đồng hết hiệu lực.
Điều 3. Sản lượng, giá, phương thức thanh toán
1. Giá thị trường điện giao ngay FMP(i) là mức giá tính cho 01 kWh điện năng được giao dịch trên thị trường điện giao ngay trong chu kỳ giao dịch i, do Đơn vị vận hành hệ thống điện và thị trường điện tính toán và công bố theo Quy định vận hành thị trường bán buôn điện cạnh tranh do Bộ Công Thương ban hành;
2. Giá hợp đồng (đồng/kWh) là mức giá cố định cho 01 kWh điện năng do Đơn vị phát điện năng lượng tái tạo và Khách hàng sử dụng điện lớn thỏa thuận, thống nhất trong Hợp đồng kỳ hạn áp dụng cho mức sản lượng điện cam kết giữa các bên;
Khách hàng sử dụng điện lớn cam kết thanh toán cho Đơn vị phát điện năng lượng tái tạo với Sản lượng điện Hợp đồng theo mức giá sau: (...).
[Hai bên tự thỏa thuận thống nhất giá hợp đồng áp dụng cho chu kỳ giao dịch i, ngày D, tháng T năm N trong tương lai].
3. Sản lượng điện Hợp đồng
[Hai bên tự thỏa thuận thống nhất sản lượng điện Hợp đồng cho chu kỳ giao dịch i, ngày D, tháng T năm N trong tương lai].
Trường hợp một nhóm Khách hàng sử dụng điện lớn mua điện từ các nhà máy điện năng lượng tái tạo, các bên tự thống nhất việc phân bổ tổng sản lượng điện phát từ các nhà máy điện cho Khách hàng sử dụng điện lớn trong từng chu kỳ giao dịch và chịu trách nhiệm về việc sử dụng số liệu phân bổ này trong quá trình xác định sản lượng điện phục vụ thanh toán với đơn vị phát điện năng lượng tái tạo và với Tổng công ty Điện lực.
4. Công thức tính toán khoản thanh toán:
Khách hàng sử dụng điện lớn và Đơn vị phát điện năng lượng tái tạo thực hiện tính toán, thanh toán sản lượng điện hợp đồng theo Hợp đồng kỳ hạn bằng mức chênh lệch giữa giá cam kết tại hợp đồng với giá thị trường điện giao ngay (giá tham chiếu), cụ thể như sau:

Rc: Doanh thu của Đơn vị phát điện năng lượng tái tạo theo Hợp đồng kỳ hạn trong chu kỳ thanh toán (đồng);
i: Chu kỳ giao dịch thứ i trong chu kỳ thanh toán;
I: Tổng số chu kỳ giao dịch trong chu kỳ thanh toán;
Pc(i): Giá cam kết tại Hợp đồng kỳ hạn (đồng/kWh);
FMP(i): Giá thị trường điện giao ngay trong chu kỳ giao dịch i (đồng/kwh);
Qc(i): Sản lượng điện cam kết tại Hợp đồng kỳ hạn trong chu kỳ giao dịch i (kWh).
5. Hóa đơn thanh toán: (...).
Điều 4. Xử lý tranh chấp
Điều 5. Vi phạm hợp đồng, bồi thường thiệt hại và chấm dứt thực hiện Hợp đồng
Điều 6. Bảo mật thông tin
Điều 7. Các thỏa thuận khác
1. Sửa đổi, bổ sung Hợp đồng: Mọi sửa đổi, bổ sung Hợp đồng phải được các Bên thoả thuận, thống nhất bằng văn bản.
2. Hợp đồng hoàn chỉnh: Hợp đồng này là thoả thuận hoàn chỉnh cuối cùng giữa các Bên tham gia và thay thế các nội dung đã thảo luận, thông tin, thư tín trao đổi liên quan trước khi ký kết Hợp đồng.
3. Bên thứ ba: Hợp đồng này chỉ phục vụ cho lợi ích của hai Bên và không tạo ra quyền lợi hay nghĩa vụ cho bên thứ ba.
4. Không liên doanh: Hợp đồng này không phải hợp đồng liên doanh, liên kết giữa các Bên hay áp đặt nghĩa vụ hoặc trách nhiệm pháp lý mang tính chất liên doanh, liên kết lên một trong hai Bên. Không bên nào có quyền tham gia ký kết hợp đồng hoặc thay mặt bên kia với vai trò là một đại lý hoặc người đại diện để thực hiện các nghĩa vụ với bên kia.
5. Từ bỏ thực hiện quyền: Việc từ bỏ thực hiện quyền theo Hợp đồng của một bên phải được lập thành văn bản và do đại diện có thẩm quyền của bên đó ký. Việc không thực hiện hay chậm thực hiện quyền của một bên theo Hợp đồng này sẽ không được hiếu là sự từ bỏ các quyền đó.
6. Thực hiện nghĩa vụ còn lại: Việc hủy bỏ, chấm dứt hoặc hết thời hạn Hợp đồng không làm chấm dứt thực hiện nghĩa vụ còn lại của các Bên theo Hợp đồng.
7. Luật áp dụng: Việc giải thích và thực hiện Hợp đồng này được thực hiện theo quy định của pháp luật Việt Nam.
8. Tính độc lập của các nội dung Hợp đồng: Trường hợp một phần nội dung trong Hợp đồng không phù hợp với quy định của pháp luật hoặc vô hiệu theo quyết định của cơ quan nhà nước có thẩm quyền thì các nội dung khác của Hợp đồng vẫn có hiệu lực nếu phần còn lại thế hiện đầy đủ nội dung mà không liên quan tới phần bị vô hiệu.
9. Chứng chỉ năng lượng tái tạo (REC), tín chỉ các-bon sẽ chuyển từ Đơn vị phát điện năng lượng tái tạo cho Khách hàng sử dụng điện lớn.
Hợp đồng được lập thành (...) bản có giá trị như nhau, mỗi Bên giữ (...) bản. Bên mua có trách nhiệm gửi một (01) bản tới Cục Điều tiết điện lực.
|
ĐẠI DIỆN BÊN A |
ĐẠI DIỆN BÊN B
|
Phụ lục IV
CHI PHÍ THANH TOÁN BÙ TRỪ CHÊNH LỆCH THÁNG M
(Kèm theo Nghị định số 80/2024/NĐ-CP
ngày 03 tháng 7 năm 2024 của Chính phủ)
______________________
Phụ lục này hướng dẫn việc tính toán Chi phí thanh toán bù trừ chênh lệch tháng M (đồng) quy định tại điểm b khoản 1 Điều 16 Nghị định này, cụ thể như sau:
1. Chi phí thanh toán bù trừ chênh lệch tháng M (đồng) được xác định như sau:

Trong đó:
CCL: Chi phí thanh toán bù trừ chênh lệch tháng M (đồng);
i: Chu kỳ giao dịch thứ i trong chu kỳ thanh toán;
I: Tổng số chu kỳ giao dịch trong chu kỳ thanh toán;
QKHhc(i): Điện năng tiêu thụ hiệu chỉnh của Khách hàng sử dụng điện lớn hoặc sản lượng mua điện của Đơn vị bán lẻ điện tại các mô hình khu, cụm được ủy quyền trong chu kỳ giao dịch i (kWh);
PCL: Chi phí thanh toán bù trừ chênh lệch tháng M tính cho các Khách hàng sử dụng điện lớn hoặc Đơn vị bán lẻ điện tại các mô hình khu, cụm được ủy quyền trên một đơn vị điện năng (đồng/kWh).
2. Chi phí thanh toán bù trừ chênh lệch tháng M (PCL) tính cho các Khách hàng sử dụng điện lớn hoặc Đơn vị bán lẻ điện tại các mô hình khu, cụm được ủy quyền trên một đơn vị điện năng được tính toán trên số liệu thực tế tháng M-2 áp dụng cho tháng M theo công thức sau:
PCL = PCLTTBOT + PCLTTGT + PCLTTSMHP + PDVPT + PCLTTK
Trong đó:
a) PCLTTBOT: Là chênh lệch thanh toán thành phần BOT liên quan đến các nhà máy điện BOT tháng M-2 (đ/kWh), được xác định như sau:

Trong đó:
Tổng chi phí EVN đã thanh toán cho các nhà máy điện BOT trong tháng M-2 theo các PPA được Chính phủ bảo lãnh (đồng);
Rttđj: Được tính bằng sản lượng của tất cả các nhà máy điện BOT nhân với giá thị trường điện toàn phần trong chu kỳ giao dịch j cho tất cả các nhà máy điện BOT tháng M-2 (đồng);
j: Chu kỳ giao dịch thứ j của tháng M-2;
k: Tổng số chu kỳ giao dịch trong tháng M-2;
Atháng: Tổng sản lượng điện thương phẩm toàn hệ thống trong tháng M-2 (kWh).
b) PCLTTGT: Là chênh lệch thanh toán thành phần đến các nhà máy điện gián tiếp tham gia thị trường điện bao gồm các nhà máy điện năng lượng tái tạo (NLTT), nhà máy điện bán điện dư và nhập khẩu điện (đ/kWh), được xác định như sau:

Trong đó:
Tổng chi phí đã thanh toán cho các nhà máy điện gián tiếp tham gia thị trường điện, gồm NLTT, nhập khẩu điện, bán điện dư trong tháng (đồng) tháng M-2 theo các PPA có thời hạn có giá điện được Chính phủ, Bộ Công Thương quy định và giám sát (đồng);
Rttđj: Được tính bằng sản lượng của tất cả các nhà máy điện gián tiếp tham gia thị trường điện nhân với giá thị trường điện toàn phần trong chu kỳ giao dịch j cho của tất cả các nhà máy điện gián tiếp tham gia thị trường điện nêu trên trong tháng M-2 (đồng);
c) PCLTTSMHP: Là chênh lệch thanh toán thành phần liên quan đến các nhà máy thủy điện chiến lược đa mục tiêu (SMHP) trong tháng (đ/kWh), được xác định như sau:

Trong đó:
: Chi phí sản xuất điện dự kiến tháng M-2 của SMHP được tính trên cơ sở phương án giá bán lẻ điện năm N được báo cáo Bộ Công Thương hàng năm (đồng);
Rttđj: Được tính bằng sản lượng của tất cả các SMHP nhân với giá thị trường điện toàn phần trong chu kỳ giao dịch j cho tất cả các SMHP tháng M-2 (đồng);
d) PDVPT: Là chi phí dịch vụ phụ trợ hệ thống điện tính cho một đơn vị điện năng (đồng/kWh) được xác định từ chi phí dịch vụ dự phòng điều chỉnh tần số hệ thống điện được mua trên thị trường điện giao ngay, chi phí dịch vụ khởi động nhanh, dự phòng vận hành phải phát để đảm bảo an ninh hệ thống điện, điều chỉnh điện áp và khởi động đen được mua thông qua các hợp đồng cung cấp dịch vụ phụ trợ của tháng M-2, áp dụng cho Khách hàng sử dụng điện lớn mua điện trong tháng M, được xác định như sau:
PDVPT = KPP X [PDVPT(đt) + PDVPT(hđ)]
Trong đó:
- KPP: là hệ số quy đổi theo tổn thất điện năng trên lưới điện phân phối, xác định theo quy định tại khoản 3 Điều 16 Nghị định này;
- PDVPT(đt) là chi phí dịch vụ dự phòng điều chỉnh tần số tính trên đơn vị điện năng (đồng/kWh) được tính toán theo công thức sau:

Trong đó:
Atháng: tổng sản lượng điện thương phẩm toàn hệ thống trong tháng M-2 (kWh);
Rg(j): là khoản thanh toán cho dịch vụ điều chỉnh tần số trong từng chu kỳ giao dịch i tháng M-2 của đơn vị phát điện được xác định và công bố theo quy định vận hành thị trường bán buôn điện cạnh tranh (đồng);
I: là tổng số chu kỳ giao dịch trong tháng M-2 của đơn vị phát điện cung cấp dịch vụ dự phòng điều chỉnh tần số;
i: là chu kỳ giao dịch có cung cấp dịch vụ dự phòng điều chỉnh tần số;
g: là đơn vị phát điện cung cấp dịch vụ dự phòng điều chỉnh tần số;
G: là tổng số đơn vị phát điện cung cấp dịch vụ dự phòng điều chỉnh tần số trong tháng M-2.
- PDVPT(hđ): là chi phí dịch vụ khởi động nhanh, dự phòng vận hành phải phát để đảm bảo an ninh hệ thống điện, điều chỉnh điện áp và khởi động đen được mua qua hợp đồng cung cấp dịch vụ phụ trợ tính trên đơn vị điện năng được tính toán theo quy định tại điểm c khoản này (đồng/kWh).

Trong đó:
g: là đơn vị phát điện ký hợp đồng cung cấp dịch vụ phụ trợ trong hệ thống điện;
G: là tổng số đơn vị phát điện ký hợp đồng cung cấp dịch vụ phụ trợ trong hệ thống điện;
i: là chu kỳ giao dịch của đơn vị phát điện g cung cấp dịch vụ phụ trợ hệ thống điện;
I: là tổng số chu kỳ giao dịch của đơn vị phát điện g cung cấp dịch vụ phụ trợ hệ thống điện trong tháng M-2;
Atháng: tổng sản lượng điện thương phẩm toàn hệ thống trong tháng M-2 (kWh);
Rc(g): là khoản doanh thu theo hợp đồng cung cấp dịch vụ phụ trợ hệ thống điện đã ký của đơn vị phát điện g trong tháng M-2, được tính toán theo quy định trong hợp đồng dịch vụ phụ trợ đã ký kết và do Tập đoàn Điện lực Việt Nam (thông qua Công ty mua bán điện) cung cấp cho Đơn vị vận hành hệ thống điện và thị trường điện để tính toán (đồng);
Qm,i(g): là sản lượng đo đếm của đơn vị phát điện g cung cấp dịch vụ phụ trợ trong chu kỳ giao dịch i tháng M-2 (kWh);
FMPi: là giá thị trường điện toàn phần áp dụng cho Đơn vị phát điện trong chu kỳ giao dịch i, được xác định theo quy định tại Thông tư quy định vận hành thị trường bán buôn điện cạnh tranh (đồng/kwh).
đ) PCLTTK: Là chênh lệch thanh toán khác trên một đơn vị điện năng (đ/kWh) do các khoản chi phí được phép tính nhưng chưa tính vào giá điện, bao gồm cả chênh lệch tỷ giá đánh giá lại chưa được phân bổ, được tính toán phân bổ vào giá bán lẻ điện hiện hành. Trường hợp có thực hiện điều chỉnh giá bán điện năm N theo quy định về cơ chế điều chỉnh mức giá bán lẻ điện bình quân do Thủ tướng Chính phủ ban hành, chênh lệch thanh toán này được cập nhật theo các số liệu tương ứng tại phương án giá bán điện điều chỉnh năm N, áp dụng từ thời điểm giá bán điện năm N được điều chỉnh.

Trong đó:
CCLTTK: Chi phí chênh lệch thanh toán khác (đồng).
Phụ lục V
MẪU BÁO CÁO
(Kèm theo Nghị định số 80/2024/NĐ-CP
ngày 03 tháng 7 năm 2024 của Chính phủ)
___________________
Các mẫu hướng dẫn thực hiện báo cáo quy định tại Điều 28 Nghị định này, bao gồm:
Mẫu số 01: Báo cáo về các thông tin liên quan khi bắt đầu thực hiện mua bán điện trực tiếp qua đường dây kết nối riêng.
Mẫu số 02: Báo cáo về kết quả mua bán điện trực tiếp qua đường dây kết nối riêng năm N-1.
Mẫu số 03: Báo cáo về kết quả mua bán điện trực tiếp qua lưới điện quốc gia tháng M-1.
Mẫu số 04: Báo cáo về tình hình triển khai, kết quả thực hiện cơ chế mua bán điện trực tiếp qua lưới điện quốc gia trên phạm vi toàn quốc của quý trước liền kề.
Mẫu số 05: Báo cáo về kết quả thực hiện cơ chế mua bán điện trực tiếp qua lưới điện quốc gia trên phạm vi toàn quốc của năm N-1.
Mẫu số 01
|
CƠ QUAN CẤP TRÊN TRỰC TIẾP (nếu có) (TÊN KHÁCH HÀNG SỬ DỤNG ĐIỆN ____________ Số: …/….. |
CỘNG HÒA XÃ HỘI CHỦ NGHĨA VIỆT NAM …, ngày … tháng … năm … |
BÁO CÁO1
Về các thông tin liên quan khi bắt đầu thực hiện mua bán điện trực tiếp
qua đường dây kết nối riêng
_______________
|
Kính gửi: |
|
|
|
- Bộ Công Thương; - Ủy ban nhân dân tỉnh, thành phố trực thuộc trung ương (nơi có Khách hàng sử dụng điện lớn). |
Các nội dung báo cáo:
1. Các thông tin về hợp đồng mua bán điện trực tiếp (bên mua, bên bán).
2. Sản lượng điện năng thỏa thuận.
3. Giá điện.
4. Các thông tin liên quan khác.
5.
|
Nơi nhận: - Như trên; - ….. |
LÃNH ĐẠO ĐƠN VỊ (Ký tên, đóng dấu) |
__________________
1 Thời hạn gửi báo cáo: Trong thời hạn 10 ngày kể từ thời điểm ký kết Hợp đồng mua bán điện trực tiếp qua đường dây kết nối riêng.
Mẫu số 02
|
CƠ QUAN CẤP TRÊN TRỰC TIẾP (nếu có) (TÊN KHÁCH HÀNG SỬ DỤNG ĐIỆN ____________ Số: …/….. |
CỘNG HÒA XÃ HỘI CHỦ NGHĨA VIỆT NAM …, ngày … tháng … năm … |
BÁO CÁO1
Về kết quả mua bán điện trực tiếp qua đường dây
kết nối riêng của năm N-12
_______________
|
Kính gửi: |
|
|
|
- Bộ Công Thương; - Ủy ban nhân dân tỉnh, thành phố trực thuộc trung ương (nơi có Khách hàng). |
Các nội dung báo cáo:
1. Các thông tin về hợp đồng mua bán điện trực tiếp (bên mua, bên bán).
2. Sản lượng điện năng mua bán trong năm.
3. Chi phí mua điện trong năm.
4. Các khó khăn, vướng mắc.
5. Đề xuất giải pháp, kiến nghị (nếu có).
|
Nơi nhận: - Như trên; - ….. |
LÃNH ĐẠO ĐƠN VỊ (Ký tên, đóng dấu) |
__________________
1 Thời hạn gửi báo cáo: Trước ngày 30 tháng 01 năm N.
2 Năm N-1 là năm liền kề trước năm hiện tại (năm N), được tính theo năm dương lịch.
Mẫu số 03
|
CƠ QUAN CẤP TRÊN TRỰC TIẾP (nếu có) (TÊN ĐƠN VỊ BÁO CÁO) ____________ Số: …/….. |
CỘNG HÒA XÃ HỘI CHỦ NGHĨA VIỆT NAM …, ngày … tháng … năm … |
BÁO CÁO1
Về kết quả mua bán điện trực tiếp qua lưới điện quốc gia của tháng M-12
_______________
Kính gửi: Cơ quan nhận báo cáo.
A. Các nội dung báo cáo của Đơn vị vận hành hệ thống điện và thị trường điện gửi Bộ Công Thương:
1. Tổng số Đơn vị phát điện năng lượng tái tạo và Khách hàng sử dụng điện lớn (hoặc Đơn vị bán lẻ điện tại các mô hình khu, cụm được ủy quyền) tham gia cơ chế mua bán điện trực tiếp.
2. Sản lượng, doanh thu của Đơn vị phát điện năng lượng tái tạo trên thị trường điện.
3. Các khó khăn, vướng mắc.
4. Đề xuất giải pháp, kiến nghị (nếu có).
B. Các nội dung báo cáo của Tổng công ty Điện lực gửi Bộ Công Thương, Ủy ban nhân dân tỉnh, thành phố trực thuộc trung ương (nơi có Tổng công ty Điện lực):
1. Sản lượng điện năng, chi phí mua điện của Khách hàng sử dụng điện lớn (hoặc Đơn vị bán lẻ điện tại các mô hình khu, cụm được ủy quyền) theo thị trường điện và theo biểu giá bán lẻ điện.
2. Các khó khăn, vướng mắc.
3. Đề xuất giải pháp, kiến nghị (nếu có).
|
Nơi nhận: - Như trên; - ….. |
LÃNH ĐẠO ĐƠN VỊ (Ký tên, đóng dấu) |
__________________
1 Thời hạn gửi báo cáo: Trước ngày 20 tháng M.
2 Tháng M-1 là tháng liền kề trước tháng hiện tại (tháng M), được tính theo năm dương lịch.
Mẫu số 04
|
CƠ QUAN CẤP TRÊN TRỰC TIẾP (nếu có) (TÊN ĐƠN VỊ BÁO CÁO) ____________ Số: …/….. |
CỘNG HÒA XÃ HỘI CHỦ NGHĨA VIỆT NAM …, ngày … tháng … năm … |
BÁO CÁO1
Về kết quả mua bán điện trực tiếp qua lưới điện quốc gia
của quý trước liền kề
________________
Kính gửi: Bộ Công Thương.
1. Tổng số Đơn vị phát điện năng lượng tái tạo và Khách hàng sử dụng điện lớn (hoặc Đơn vị bán lẻ điện tại các mô hình khu, cụm được ủy quyền) tham gia cơ chế mua bán điện trực tiếp.
2. Các thông tin về hợp đồng mua bán điện trực tiếp (bên mua, bên bán)
3. Sản lượng điện năng mua bán trong quý
4. Sản lượng, doanh thu của các Đơn vị phát điện năng lượng tái tạo trên thị trường điện.
5. Sản lượng điện năng, chi phí mua điện của các Khách hàng sử dụng điện lớn (hoặc Đơn vị bán lẻ điện tại các mô hình khu, cụm được ủy quyền) theo thị trường điện và theo biểu giá bán lẻ điện.
6. Các khó khăn, vướng mắc.
7. Đề xuất giải pháp, kiến nghị (nếu có).
|
Nơi nhận: - Như trên; - ….. |
LÃNH ĐẠO ĐƠN VỊ (Ký tên, đóng dấu) |
_______________________
1 Thời hạn gửi báo cáo: Trước ngày 30 của tháng đầu tiên của quý.
Mẫu số 05
|
CƠ QUAN CẤP TRÊN TRỰC TIẾP (nếu có) (TÊN ĐƠN VỊ BÁO CÁO) ____________ Số: …/….. |
CỘNG HÒA XÃ HỘI CHỦ NGHĨA VIỆT NAM …, ngày … tháng … năm … |
BÁO CÁO1
Kết quả mua bán điện trực tiếp qua lưới điện quốc gia của năm N-12
_______________
Kính gửi: Cơ quan nhận báo cáo.
A. Các nội dung báo cáo của Đơn vị vận hành hệ thống điện và thị trường điện gửi Bộ Công Thương:
1. Tổng số Đơn vị phát điện năng lượng tái tạo và Khách hàng sử dụng điện lớn (hoặc Đơn vị bán lẻ điện tại các mô hình khu, cụm được ủy quyền) tham gia cơ chế mua bán điện trực tiếp.
2. Sản lượng, doanh thu của Đơn vị phát điện năng lượng tái tạo trên thị trường điện.
3. Các khó khăn, vướng mắc.
4. Đề xuất giải pháp, kiến nghị (nếu có).
B. Các nội dung báo cáo của Tổng công ty Điện lực gửi Bộ Công Thương, Ủy ban nhân dân tỉnh, thành phố trực thuộc trung ương (nơi có Tổng công ty Điện lực):
1. Thông tin về Khách hàng sử dụng điện lớn tham gia cơ chế mua bán điện trực tiếp.
2. Sản lượng điện năng, chi phí mua điện của Khách hàng sử dụng điện lớn (hoặc Đơn vị bán lẻ điện tại các mô hình khu, cụm được ủy quyền) theo thị trường điện và theo biểu giá bán lẻ điện.
3. Các khó khăn, vướng mắc.
4. Đề xuất giải pháp, kiến nghị (nếu có).
C. Các nội dung báo cáo của Tập đoàn Điện lực Việt Nam gửi Bộ Công Thương:
1. Tổng số Đơn vị phát điện năng lượng tái tạo và Khách hàng sử dụng điện lớn (hoặc Đơn vị bán lẻ điện tại các mô hình khu, cụm được ủy quyền) tham gia cơ chế mua bán điện trực tiếp.
2. Sản lượng, doanh thu của các Đơn vị phát điện năng lượng tái tạo trên thị trường điện.
3. Sản lượng điện năng, chi phí mua điện của các Khách hàng sử dụng điện lớn (hoặc Đơn vị bán lẻ điện tại các mô hình khu, cụm được ủy quyền) theo thị trường điện và theo biểu giá bán lẻ điện.
4. Các khó khăn, vướng mắc.
5. Đề xuất giải pháp, kiến nghị (nếu có).
|
Nơi nhận: - Như trên; - ….. |
LÃNH ĐẠO ĐƠN VỊ (Ký tên, đóng dấu) |
_______________________
1 Thời hạn gửi báo cáo: Trước ngày 30 tháng 01 năm N.
2 Năm N-1 là năm liền kề trước năm hiện tại (năm N), được tính theo năm dương lịch.
Bạn chưa Đăng nhập thành viên.
Đây là tiện ích dành cho tài khoản thành viên. Vui lòng Đăng nhập để xem chi tiết. Nếu chưa có tài khoản, vui lòng Đăng ký tại đây!
Bạn chưa Đăng nhập thành viên.
Đây là tiện ích dành cho tài khoản thành viên. Vui lòng Đăng nhập để xem chi tiết. Nếu chưa có tài khoản, vui lòng Đăng ký tại đây!