- Tổng quan
- Nội dung
- VB gốc
- Tiếng Anh
- Hiệu lực
- VB liên quan
- Lược đồ
-
Nội dung hợp nhất
Tính năng này chỉ có tại LuatVietnam.vn. Nội dung hợp nhất tổng hợp lại tất cả các quy định còn hiệu lực của văn bản gốc và các văn bản sửa đổi, bổ sung, đính chính... trên một trang. Việc hợp nhất văn bản gốc và những văn bản, Thông tư, Nghị định hướng dẫn khác không làm thay đổi thứ tự điều khoản, nội dung.
Khách hàng chỉ cần xem Nội dung hợp nhất là có thể nắm bắt toàn bộ quy định hiện hành đang áp dụng, cho dù văn bản gốc đã qua nhiều lần chỉnh sửa, bổ sung.
- Tải về
Thông tư 56/2014/TT-BCT phương pháp xác định giá phát điện
| Cơ quan ban hành: | Bộ Công Thương |
Số công báo:
Số công báo là mã số ấn phẩm được đăng chính thức trên ấn phẩm thông tin của Nhà nước. Mã số này do Chính phủ thống nhất quản lý.
|
Đã biết
|
| Số hiệu: | 56/2014/TT-BCT | Ngày đăng công báo: | Đang cập nhật |
| Loại văn bản: | Thông tư | Người ký: | Cao Quốc Hưng |
|
Ngày ban hành:
Ngày ban hành là ngày, tháng, năm văn bản được thông qua hoặc ký ban hành.
|
19/12/2014 |
Ngày hết hiệu lực:
Ngày hết hiệu lực là ngày, tháng, năm văn bản chính thức không còn hiệu lực (áp dụng).
|
Đã biết
|
|
Áp dụng:
Ngày áp dụng là ngày, tháng, năm văn bản chính thức có hiệu lực (áp dụng).
|
Đã biết
|
Tình trạng hiệu lực:
Cho biết trạng thái hiệu lực của văn bản đang tra cứu: Chưa áp dụng, Còn hiệu lực, Hết hiệu lực, Hết hiệu lực 1 phần; Đã sửa đổi, Đính chính hay Không còn phù hợp,...
|
Đã biết
|
| Lĩnh vực: | Công nghiệp, Thương mại-Quảng cáo, Điện lực |
TÓM TẮT THÔNG TƯ 56/2014/TT-BCT
Ngày 19/12/2014, Bộ Công Thương ban hành Thông tư 56/2014/TT-BCT về việc quy định phương pháp xác định giá phát điện, trình tự kiểm tra hợp đồng mua bán điện.
Theo đó, Hồ sơ đề nghị đàm phán hợp đồng mua bán điện cho các nhà máy điện mới gồm: Công văn đề nghị đàm phán hợp đồng mua bán điện; Dự thảo hợp đồng mua bán điện; Quyết định đầu tư xây dựng công trình kèm theo thuyết minh và báo cáo thẩm định dự án đầu tư nhà máy của tư vấn độc lập, các tài liệu kèm theo; Quyết định phê duyệt Tổng mức đầu tư lần đầu của dự án và các nội dung chính trong thiết kế cơ sở của dự án đầu tư có liên quan...
Sau khi kết thúc đàm phán hợp đồng mua bán điện, Bên mua có trách nhiệm lập hồ sơ đề nghị kiểm tra hợp đồng mua bán điện Cục Điều tiết điện lực có trách nhiệm kiểm tra tính hợp lệ của hồ sơ trong vòng 05 ngày làm việc và có ý kiến về hợp đồng mua bán điện trong 30 ngày kể từ ngày nhận được hồ sơ. Trường hợp nhà máy điện có giá đàm phán vượt khung giá phát điện do Bộ trưởng Bộ Công Thương ban hành, hai bên có trách nhiệm giải trình cho Cục Điều tiết điện lực.
Thông tư này có hiệu lực thi hành kể từ 03/02/2015.
Xem chi tiết Thông tư 56/2014/TT-BCT có hiệu lực kể từ ngày 03/02/2015
Tải Thông tư 56/2014/TT-BCT
|
BỘ CÔNG THƯƠNG |
CỘNG HÒA XÃ HỘI CHỦ NGHĨA VIỆT NAM |
THÔNG TƯ
QUY ĐỊNH PHƯƠNG PHÁP XÁC ĐỊNH GIÁ PHÁT ĐIỆN, TRÌNH TỰ KIỂM TRA
HỢP ĐỒNG MUA BÁN ĐIỆN
Căn cứ Nghị định số 95/2012/NĐ-CP ngày 12 tháng 11 năm 2012 của Chính phủ quy định chức năng, nhiệm vụ, quyền hạn và cơ cấu tổ chức của Bộ Công Thương;
Căn cứ Luật Điện lực ngày 03 tháng 12 năm 2004 và Luật sửa đổi, bổ sung một số điều của Luật Điện lực ngày 20 tháng 11 năm 2012;
Căn cứ Nghị định số 137/2013/NĐ-CP ngày 21 tháng 10 năm 2013 của Chính phủ quy định chi tiết thi hành một số điều của Luật Điện lực và Luật sửa đổi, bổ sung một số điều của Luật Điện lực;
Theo đề nghị của Cục trưởng Cục Điều tiết điện lực,
Bộ trưởng Bộ Công Thương ban hành Thông tư quy định phương pháp xác định giá phát điện, trình tự kiểm tra hợp đồng mua bán điện.
Chương I
QUY ĐỊNH CHUNG
Điều 1. Phạm vi điều chỉnh và đối tượng áp dụng
1. Thông tư này quy định về:
a) Phương pháp xác định giá phát điện và Hợp đồng mua bán điện mẫu áp dụng cho các đối tượng quy định tại khoản 2 Điều này;
b) Trình tự kiểm tra hợp đồng mua bán điện.
2. Thông tư này áp dụng đối với các đối tượng sau đây:
a) Đơn vị phát điện sở hữu nhà máy điện đấu nối với hệ thống điện quốc gia có tổng công suất lắp đặt trên 30MW, các nhà máy điện có công suất lắp đặt từ 30MW trở xuống tự nguyện tham gia thị trường điện, trừ các nhà máy thuỷ điện chiến lược đa mục tiêu, các nhà máy điện độc lập được đầu tư theo hình thức Xây dựng - Kinh doanh - Chuyển giao (BOT) và các nhà máy điện sử dụng năng lượng mới tái tạo (gió, địa nhiệt, thuỷ triều và sinh khối);
Các nhà máy điện khác khi chưa có cơ chế riêng do Bộ Công Thương quy định thực hiện theo quy định tại Thông tư này.
b) Các tổ chức, cá nhân khác có liên quan.
Điều 2. Giải thích từ ngữ
Trong Thông tư này các thuật ngữ dưới đây được hiểu như sau:
1. Bên bán là Đơn vị phát điện được cấp giấy phép hoạt động điện lực trong lĩnh vực phát điện.
2. Bên mua là Tập đoàn Điện lực Việt Nam.
3. Chủ đầu tư là tổ chức, cá nhân trực tiếp quản lý, sử dụng vốn để thực hiện hoạt động đầu tư dự án nhà máy điện.
4. Công suất tinh là công suất lắp đặt quy đổi về vị trí đo đếm phục vụ cho việc thanh toán mua bán điện giữa Bên bán và Bên mua (kW).
5. Điện năng giao nhận là toàn bộ điện năng Bên bán giao cho Bên mua tại các vị trí đo đếm phục vụ cho việc thanh toán mua bán điện giữa Bên bán và Bên mua (kWh).
6. Đơn vị phát điện là đơn vị sở hữu một hoặc nhiều nhà máy điện.
7. Đơn vị vận hành hệ thống điện và thị trường điện quốc gia là Trung tâm Điều độ Hệ thống điện Quốc gia (A0).
8. Tổng mức đầu tư dự án được phê duyệt lần đầu là tổng mức đầu tư kèm theo thiết kế cơ sở lần đầu được cơ quan có thẩm quyền phê duyệt theo quy định tại Nghị định số 12/2009/NĐ-CP ngày 12 tháng 02 năm 2009 của Chính phủ về quản lý dự án đầu tư xây dựng công trình hoặc các văn bản thay thế.
9. Vốn đầu tư được quyết toán là toàn bộ chi phí hợp pháp đã thực hiện trong quá trình đầu tư để đưa dự án vào khai thác sử dụng, được quyết toán và kiểm toán theo đúng các quy định của Nhà nước. Chi phí hợp pháp là chi phí được thực hiện trong phạm vi thiết kế, dự toán đã phê duyệt kể cả phần điều chỉnh, bổ sung, đúng với hợp đồng đã ký kết, phù hợp với các quy định của pháp luật. Vốn đầu tư được quyết toán phải nằm trong giới hạn tổng mức đầu tư được duyệt (hoặc được điều chỉnh) theo quyết định của cấp có thẩm quyền phê duyệt.
10. Năm cơ sở là năm xác định Tổng mức đầu tư dự án được phê duyệt lần đầu hoặc Vốn đầu tư được quyết toán.
11. Nhà máy điện mới là nhà máy điện chưa ký hợp đồng mua bán điện lần đầu.
12. Các nhà máy điện khác bao gồm nhà máy điện bán phần điện năng sản xuất dư cho Tập đoàn Điện lực Việt Nam, nhà máy điện cung cấp dịch vụ phụ trợ hệ thống điện, nhà máy nhiệt điện bị giới hạn về cung cấp nhiên liệu chính ảnh hưởng lớn đến khả năng phát điện.
13. Hai bên là Bên bán và Bên mua trong hợp đồng mua bán điện.
14. Hợp đồng mua bán điện mẫu là hợp đồng mẫu áp dụng cho việc mua bán điện của từng nhà máy điện quy định tại Phụ lục 3 Thông tư này.
15. Suất tiêu hao nhiên liệu tinh là khối lượng nhiên liệu tiêu hao để sản xuất một kWh điện năng tại điểm giao nhận (kg/kWh).
16. Suất hao nhiệt tinh là lượng nhiệt tiêu hao để sản xuất một kWh điện năng tại điểm giao nhận (BTU/kWh hoặc kJ/kWh hoặc kcal/kWh).
Chương II
PHƯƠNG PHÁP XÂY DỰNG GIÁ HỢP ĐỒNG MUA BÁN ĐIỆN
Mục 1. PHƯƠNG PHÁP XÁC ĐỊNH GIÁ HỢP ĐỒNG MUA BÁN ĐIỆN CHO NHÀ MÁY ĐIỆN MỚI
Điều 3. Nguyên tắc xác định giá hợp đồng mua bán điện
1. Giá hợp đồng mua bán điện của nhà máy điện được xây dựng trên cơ sở:
a) Chủ đầu tư chi trả các khoản chi phí hợp lý toàn bộ đời sống kinh tế dự án;
b) Tỷ suất sinh lợi nội tại về tài chính (IRR) không vượt quá 12%.
2. Giá hợp đồng mua bán điện của máy nhiệt điện được tính bằng đồng/kWh, bao gồm hai thành phần sau:
a) Giá phát điện: do hai bên thoả thuận trong Năm cơ sở và không được vượt quá khung giá phát điện của máy nhiệt điện do Bộ trưởng Bộ Công Thương phê duyệt trong Năm cơ sở, giá phát điện được xây dựng theo phương pháp quy định tại Điều 4 Thông tư này;
b) Giá vận chuyển nhiên liệu chính: do hai bên thỏa thuận trong Năm cơ sở và được xác định theo phương pháp quy định tại Điều 8 Thông tư này.
3. Giá hợp đồng mua bán điện của nhà máy thuỷ điện là giá phát điện được tính bằng đồng/kWh, giá hợp đồng mua bán điện của nhà máy thủy điện do hai bên thoả thuận trong Năm cơ sở và không được vượt quá khung giá phát điện của nhà máy thuỷ điện do Bộ trưởng Bộ Công Thương phê duyệt trong Năm cơ sở. Giá hợp đồng mua bán điện của nhà máy thuỷ điện được xác định theo phương pháp quy định tại Điều 9 Thông tư này.
4. Giá hợp đồng mua bán điện chưa bao gồm thuế giá trị gia tăng, thuế tài nguyên nước, phí dịch vụ môi trường rừng, phí bảo vệ môi trường đối với chất thải rắn (áp dụng đối với nhà máy nhiệt điện), chi phí đầu tư đường dây truyền tải và các khoản thuế, phí khác theo quy định của Nhà nước (trừ các khoản thuế, phí đã được tính trong phương án giá điện).
5. Sau khi xác định được Vốn đầu tư được quyết toán, bên bán có trách nhiệm gửi cho bên mua hồ sơ liên quan đến Vốn đầu tư được quyết toán. Bên bán hoặc bên mua có quyền yêu cầu xác định lại giá hợp đồng mua bán điện theo các nguyên tắc sau:
a) Bên bán hoặc bên mua có văn bản đề nghị Cục Điều tiết điện lực có ý kiến về việc hai bên đàm phán lại giá điện và Hợp đồng mua bán điện theo Vốn đầu tư được quyết toán. Hồ sơ đề nghị gửi Cục Điều tiết điện lực thực hiện theo quy định tại Điều 22 Thông tư này;
b) Sau khi Cục Điều tiết điện lực có ý kiến, bên bán và bên mua thực hiện đàm phán lại giá hợp đồng mua bán điện theo các nguyên tắc sau:
- Phương pháp xác định giá hợp đồng mua bán điện theo quy định tại Điều 4 (đối với nhà máy nhiệt điện) và Điều 9 (đối với nhà máy thủy điện) Thông tư này;
- Các thông số tính toán giá hợp đồng mua bán điện theo quy định tại Điều 4 (đối với nhà máy nhiệt điện) và Điều 9 (đối với nhà máy thủy điện) Thông tư này và được cập nhật lại cùng thời điểm xác định Vốn đầu tư được quyết toán;
- Giá phát điện nằm trong khung giá phát điện của năm lập Vốn đầu tư được quyết toán;
- Giá phát điện áp dụng từ ngày vận hành thương mại của nhà máy, giá từng năm thực hiện theo quy định tại Điều 12 Thông tư này, không thực hiện điều chỉnh giá phát điện từng năm của các năm trước thời điểm hai bên ký kết hợp đồng sửa đổi bổ sung hợp đồng mua bán điện theo giá điện xác định trên cơ sở Vốn đầu tư được quyết toán.
Giá hợp đồng mua bán điện của nhà máy nhiệt điện Năm cơ sở
(đồng/kWh) được xác định theo công thức sau:

1. PG (đồng/kWh) là giá phát điện Năm cơ sở và được xác định theo công thức sau: PG = FC + FOMCb + VCb Trong đó: FC: Giá cố định bình quân được xác định theo quy định tại Điều 5 Thông tư này (đồng/kWh); FOMCb: Giá vận hành và bảo dưỡng cố định Năm cơ sở được hai bên thỏa thuận theo quy định tại Điều 6 Thông tư này (đồng/kWh); VCb: Giá biến đổi Năm cơ sở được xác định theo quy định tại Điều 7 Thông tư này (đồng/kWh). Giá phát điện (PG) không vượt quá khung giá phát điện do Bộ trưởng Bộ Công Thương ban hành. Trường hợp nhà máy nhiệt điện có công suất khác với công suất của Nhà máy điện chuẩn nhưng ở trong phạm vi ± 10% công suất của Nhà máy điện chuẩn, áp dụng khung giá của Nhà máy điện chuẩn gần nhất, có cùng công nghệ, có cùng số tổ máy. Đối với các nhà máy nhiệt điện có tổng công suất từ 200MW trở xuống và các nhà máy nhiệt điện có công suất khác vượt ngoài phạm vi ± 10% công suất của Nhà máy điện chuẩn, giá phát điện được xác định cho từng trường hợp cụ thể theo phương pháp quy định tại Chương này tương ứng với các thông số quy định tại Phụ lục 1 Thông tư này.
(đồng/kWh) là giá vận chuyển nhiên liệu chính Năm cơ sở được xác định theo phương pháp quy định tại Điều 8 Thông tư này.3. Chi phí chạy thử, nghiệm thu của nhà máy nhiệt điện:
a) Đối với chi phí chạy thử nghiệm thu trước giai đoạn nhà máy nhiệt điện vận hành thương mại: hai bên thỏa thuận trên cơ sở Tổng mức đầu tư dự án được phê duyệt lần đầu.
b) Đối với chi phí chạy thử nghiệm thu phát sinh sau giai đoạn nhà máy nhiệt điện vận hành thương mại: Bên mua có trách nhiệm thanh toán chi phí nhiên liệu cho Bên bán theo quy định.
Điều 5. Phương pháp xác định giá cố định bình quân của nhà máy nhiệt điện
1. Giá cố định bình quân của nhà máy nhiệt điện (FC) được xác định trên cơ sở phân tích tài chính của dự án theo các Biểu mẫu 1 và Biểu mẫu 2 quy định tại Phụ lục 2 ban hành kèm theo Thông tư này với tỷ suất sinh lợi nội tại về tài chính (IRR) không vượt quá 12%. Các thông số đầu vào để xây dựng giá cố định bình quân của nhà máy nhiệt điện (FC) được xác định theo hướng dẫn tại Khoản 2 Điều này.
2. Thông số đầu vào chính được sử dụng trong tính toán giá cố định bình quân của nhà máy nhiệt điện (FC):
a) Tổng mức đầu tư: được xác định trên cơ sở Tổng mức đầu tư lần đầu hoặc Vốn đầu tư được quyết toán (đồng); không đưa vào Tổng mức đầu tư của dự án hoặc Vốn đầu tư được quyết toán của dự án các chi phí đầu tư, nâng cấp thiết bị để duy trì vận hành nhà máy điện sau 20 năm vận hành thương mại;
b) Đời sống kinh tế: được quy định tại Phụ lục 1 Thông tư này. Trường hợp có văn bản của cơ quan nhà nước có thẩm quyền phê duyệt đời sống kinh tế của dự án khác với quy định tại Thông tư này, áp dụng theo văn bản phê duyệt của cơ quan nhà nước có thẩm quyền (năm);
c) Điện năng phát bình quân hàng năm tại đầu cực máy phát: được xác định theo công suất đầu cực máy phát tại thiết kế được duyệt và số giờ vận hành công suất cực đại bình quân nhiều năm (Tmax) của nhà máy. Trong đó số giờ vận hành công suất cực đại bình quân nhiều năm (Tmax) của nhà máy được xác định theo thiết kế được duyệt nhưng không thấp hơn số giờ vận hành công suất cực đại bình quân nhiều năm quy định tại Phụ lục 1 Thông tư này. Tỷ lệ suy giảm công suất được tính bình quân cho toàn bộ đời sống kinh tế của nhà máy điện do hai bên thỏa thuận trên cơ sở các tài liệu kỹ thuật của nhà chế tạo thiết bị. Riêng đối với nhà máy tuabin khí, điện năng phát bình quân nhiều năm tại đầu cực máy phát có tính đến khả năng cung cấp khí do cơ quan nhà nước có thẩm quyền phê duyệt (kWh);
d) Tỷ lệ điện tự dùng và tổn thất máy biến áp tăng áp của nhà máy, tổn thất đường dây truyền tải điện (nếu có): xác định theo thiết kế cơ sở được duyệt của nhà máy điện hoặc theo tài liệu kỹ thuật của nhà chế tạo thiết bị (%);
đ) Thời gian trích khấu hao từng nhóm tài sản cố định chính: được xác định trên cơ sở bình quân thời gian trích khấu hao tài sản cố định chính của từng nhóm tài sản cố định theo khung thời gian trích khấu hao tài sản cố định chính theo quy định tại Thông tư số 45/2013/TT-BTC ngày 25 tháng 4 năm 2013 của Bộ Tài chính hướng dẫn chế độ quản lý, sử dụng và trích khấu hao tài sản cố định hoặc văn bản thay thế. Trường hợp nếu có văn bản của cơ quan nhà nước có thẩm quyền cho phép thời gian trích khấu hao tài sản cố định khác với khung thời gian trích khấu hao tài sản cố định theo quy định của Bộ Tài chính, áp dụng thời gian trích khấu hao tài sản cố định tại văn bản của cơ quan nhà nước có thẩm quyền cho phép (năm);
e) Tỷ lệ vốn chủ sở hữu, vốn vay trong Tổng mức đầu tư lần đầu: tỷ lệ vốn chủ sở hữu trong khoảng từ 20% đến 30%, tỷ lệ vốn vay trong khoảng từ 70% đến 80%. Trường hợp có văn bản của cơ quan nhà nước có thẩm quyền phê duyệt khác với tỷ lệ nêu trên, áp dụng theo văn bản phê duyệt của cơ quan nhà nước có thẩm quyền (%);
g) Lãi suất vay vốn và thời gian trả nợ vay trong thời gian vận hành: căn cứ vào Hợp đồng vay vốn hoặc các văn bản, tài liệu có tính pháp lý giữa Chủ đầu tư và các tổ chức tín dụng, ngân hàng cho vay, trong đó bình quân lãi suất các nguồn vốn vay không vượt quá mức trần lãi suất được quy định dưới đây:
- Lãi suất vốn vay ngoại tệ: được xác định bằng giá trị trung bình của lãi suất hoán đổi đồng Đôla Mỹ thời hạn 10 năm trong 36 tháng liền kề thời điểm các bên đàm phán trên thị trường liên ngân hàng Luân Đôn (LIBOR swaps[1]) cộng với tỷ lệ bình quân năm cho dịch vụ phí của các ngân hàng, phí bảo lãnh, thuế liên quan là 3% hoặc do Bộ Công Thương công bố;
- Lãi suất vốn vay nội tệ: được xác định bằng trung bình của lãi suất tiền gửi bằng đồng Việt Nam kỳ hạn 12 tháng trả sau dành cho khách hàng cá nhân của 5 năm trước liền kề của năm đàm phán, xác định tại ngày 30 tháng 9 hàng năm, của bốn ngân hàng thương mại (Ngân hàng thương mại cổ phần Ngoại thương Việt Nam, Ngân hàng thương mại cổ phần Công thương Việt Nam, Ngân hàng thương mại cổ phần Đầu tư và Phát triển Việt Nam, Ngân hàng Nông nghiệp và phát triển nông thôn Việt Nam hoặc đơn vị kế thừa hợp pháp của các ngân hàng này) cộng với tỷ lệ bình quân năm biên lãi suất là 3,5% hoặc do Bộ Công Thương công bố;
Tổng vốn vay trong tính toán giá điện theo Tổng mức đầu tư lần đầu bằng tổng mức đầu tư trừ vốn chủ sở hữu. Trường hợp tổng vốn vay từ các Hợp đồng vay vốn hoặc các văn bản, tài liệu có tính pháp lý giữa Chủ đầu tư và các tổ chức tín dụng, ngân hàng cho vay thấp hơn tổng vốn vay trong phương án tính toán giá điện, phần vốn vay còn thiếu trong thời gian vận hành sẽ được tính toán như sau:
- Thời gian trả nợ vay: được xác định trên cơ sở kế hoạch trả nợ vay theo tài liệu phân tích tài chính trong thiết kế cơ sở được duyệt, trong đó thời gian trả nợ vay tối thiểu là 10 năm;
- Lãi suất vay vốn: được xác định trên cơ sở lãi suất vay theo tài liệu phân tích tài chính trong thiết kế cơ sở được duyệt, trong đó bình quân lãi suất các nguồn vốn vay không vượt quá mức trần lãi suất được quy định như trên.
h) Thuế suất thuế thu nhập doanh nghiệp, các loại thuế, phí khác: được xác định theo quy định hiện hành.

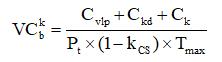
Giá vận hành và bảo dưỡng cố định theo chi phí sửa chữa lớn và các chi phí khác của Năm cơ sở, được xác định theo quy định tại Khoản 1 Điều này (đồng/kWh);
Giá vận hành và bảo dưỡng cố định theo chi phí nhân công Năm cơ sở, được xác định theo quy định tại Khoản 2 Điều này (đồng/kWh);
1. Giá vận hành và bảo dưỡng cố định theo chi phí sửa chữa lớn và các chi phí khác của Năm cơ sở
(đồng/kWh) được xác định theo công thức sau:

: Tổng chi phí sửa chữa lớn và chi phí khác của Năm cơ sở gồm chi phí sửa chữa lớn, chi phí vật liệu phụ, chi phí dịch vụ mua ngoài, chi phí bằng tiền khác (đồng). Trường hợp không xác định được tổng chi phí sửa chữa lớn và chi phí khác như trên, các bên áp dụng theo phương pháp tính toán tại Khoản 3 Điều này;
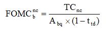
2. Giá vận hành và bảo dưỡng cố định theo chi phí nhân công Năm cơ sở
(đồng/kWh) được xác định theo công thức sau:

: Tổng chi phí nhân công Năm cơ sở gồm chi phí tiền lương, chi phí bảo hiểm xã hội, chi phí bảo hiểm y tế và kinh phí công đoàn, các loại phụ cấp kèm theo (đồng). Trường hợp không xác định được tổng chi phí nhân công như trên, các bên áp dụng theo phương pháp tính toán tại Khoản 4 Điều này;
1. Tổng chi phí sửa chữa lớn và chi phí khác TCscl (đồng) được tính toán theo công thức sau:
TCcsl =VĐTXL+TB x kF,scl
Trong đó:
VĐTXL+TB: Tổng vốn đầu tư xây lắp và thiết bị của nhà máy nhiệt điện được xác định trên cơ sở tổng mức đầu tư tính toán giá điện quy định tại khoản 2 Điều 5 Thông tư này (đồng);
kF,scl: Tỷ lệ chi phí sửa chữa lớn và chi phí khác (%) của nhà máy nhiệt điện, kF,scl quy định tại Phụ lục 1 Thông tư này.
2. Tổng chi phí nhân công TCnc (đồng) được tính toán theo công thức sau:
TCnc =VĐTXL+TB x kF,nc
Trong đó:
VĐTXL+TB: Tổng vốn đầu tư xây lắp và thiết bị của nhà máy nhiệt điện được xác định trên cơ sở tổng mức đầu tư tính toán giá điện quy định tại khoản 2 Điều 5 Thông tư này (đồng);
kF,nc: Tỷ lệ chi phí nhân công (%) của nhà máy nhiệt điện, kF,nc quy định tại Phụ lục 1 Thông tư này.

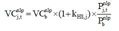
Thành phần giá biến đổi điều chỉnh theo biến động của chi phí nhiên liệu chính (than, khí) của nhà máy điện tại Năm cơ sở, được xác định theo phương pháp quy định tại Khoản 1 Điều này (đồng/kWh);
: Thành phần giá biến đổi điều chỉnh theo biến động của chi phí nhiên liệu phụ (dầu) của nhà máy điện tại Năm cơ sở, được xác định theo phương pháp quy định tại Khoản 2 Điều này (đồng/kWh);
Thành phần giá biến đổi điều chỉnh theo biến động khác của nhà máy điện tại Năm cơ sở, được xác định theo phương pháp quy định tại Khoản 3 Điều này (đồng/kWh).
1. Thành phần giá biến đổi điều chỉnh theo biến động của chi phí nhiên liệu chính của nhà máy điện tại Năm cơ sở
(đồng/kWh), được xác định theo công thức sau:

: Suất hao nhiên liệu tinh bình quân của nhiên liệu chính do hai bên thỏa thuận trên cơ sở thông số của nhà chế tạo thiết bị và được tính tương ứng với mức tải quy định tại Phụ lục 1 Thông tư này (kg/kWh hoặc BTU/kWh);
: Giá nhiên liệu chính Năm cơ sở được quy định như sau:
- Đối với nhiên liệu than nhập khẩu: Giá than là giá tại cảng xuất khẩu than (đồng/tấn);
- Đối với nhiên liệu khí: Giá khí là giá khí tại mỏ (đồng/BTU).
2. Thành phần giá biến đổi điều chỉnh theo biến động của chi phí nhiên liệu phụ của nhà máy điện Năm cơ sở
(đồng/kWh), được xác định theo công thức sau:

: Suất hao nhiên liệu tinh bình quân của nhiên liệu phụ (dầu), do hai bên thoả thuận trên cơ sở thông số của nhà chế tạo thiết bị (kg/kWh);
Giá nhiên liệu phụ (dầu) Năm cơ sở bao gồm cả cước vận chuyển và các loại phí khác theo quy định (đồng/kg).
3. Thành phần giá biến đổi điều chỉnh theo biến động khác của nhà máy điện Năm cơ sở
(đồng/kWh) được xác định theo công thức sau:

Giá vận chuyển nhiên liệu chính của nhà máy điện Năm cơ sở (
) được xác định theo công thức sau (đồng/kWh):

: Suất hao nhiên liệu bình quân của nhiên liệu chính đối với nhà máy nhiệt điện than (kg/kWh) hoặc suất hao nhiệt tinh bình quân của nhiên liệu chính đối với nhà máy tuabin khí (BTU/kWh) và được xác định theo quy định tại Khoản 1 Điều 7 Thông tư này;
: giá vận chuyển nhiên liệu chính cho phát điện Năm cơ sở, được tính bằng đồng/kg đối với nhiên liệu than hoặc tính bằng đồng/BTU đối với nhiên liệu khí.
Giá hợp đồng mua bán điện của nhà máy thủy điện
(đồng/kWh) được xác định theo công thức sau:

Điều 10. Phương pháp xác định giá cố định bình quân của nhà máy thủy điện
1. Giá cố định bình quân của nhà máy thủy điện (FC) được xác định trên cơ sở phân tích tài chính của dự án theo các Biểu mẫu 1 và Biểu mẫu 2 quy định tại Phụ lục 2 ban hành kèm theo Thông tư này với tỷ suất sinh lợi nội tại về tài chính (IRR) không vượt quá 12% và các thông số đầu vào theo hướng dẫn tại Khoản 2 Điều này.
2. Thông số đầu vào được sử dụng trong tính toán giá điện:
a) Tổng mức đầu tư, đời sống kinh tế, tỷ lệ điện tự dùng và tổn thất máy biến áp tăng áp (chưa bao gồm tổn thất đường dây truyền tải điện nếu có), tỷ lệ vốn chủ sở hữu, vốn vay, thời gian trích khấu hao, lãi suất vay vốn và thời gian trả nợ vay trong thời gian vận hành, thuế thu nhập doanh nghiệp, các loại thuế, phí khác: được xác định theo quy định tại Khoản 2 Điều 5 Thông tư này;
b) Điện năng phát bình quân nhiều năm tại đầu cực máy phát: điện năng phát trung bình nhiều năm của nhà máy thủy điện được xác định theo thiết kế cơ sở được duyệt (kW). Trường hợp có văn bản của cơ quan có thẩm quyền phê duyệt khác, áp dụng theo văn bản của cơ quan có thẩm quyền.

: Giá vận hành và bảo dưỡng cố định theo chi phí sửa chữa lớn và các chi phí khác Năm cơ sở, được xác định theo quy định tại Khoản 1 Điều này (đồng/kWh);
Giá vận hành và bảo dưỡng cố định theo chi phí nhân công Năm cơ sở, được xác định theo quy định tại Khoản 2 Điều này (đồng/kWh);
1. Giá vận hành và bảo dưỡng theo chi phí sửa chữa lớn và các chi phí khác Năm cơ sở (
) được xác định theo công thức sau:

: Tổng chi phí sửa chữa lớn và chi phí khác Năm cơ sở gồm chi phí sửa chữa lớn, chi phí vật liệu phụ, chi phí dịch vụ mua ngoài, chi phí bằng tiền khác (đồng). Trường hợp không xác định được tổng chi phí sửa chữa lớn và chi phí khác như trên, các bên áp dụng theo phương pháp tính toán tại tại Khoản 3 Điều này;
2. Giá vận hành và bảo dưỡng theo chi phí nhân công Năm cơ sở (
) được xác định theo công thức sau:

: Tổng chi phí nhân công Năm cơ sở gồm chi phí tiền lương, chi phí bảo hiểm xã hội, chi phí bảo hiểm y tế và kinh phí công đoàn, các loại phụ cấp kèm theo (đồng). Trường hợp không xác định được tổng chi phí nhân công như trên, các bên áp dụng theo phương pháp tính toán tại Khoản 4 Điều này;
3. Tổng chi phí sửa chữa lớn và chi phí khác (TCscl) được tính toán theo công thức sau:
TCcsl =VĐTXL+TB x kscl
Trong đó:
VĐTXL+TB: Tổng vốn đầu tư xây lắp và thiết bị của nhà máy thủy điện được xác định trên cơ sở tổng mức đầu tư tính toán giá điện quy định tại khoản 2 Điều 10 Thông tư này (đồng);
kscl: Tỷ lệ chi phí sửa chữa lớn và chi phí khác (%) của nhà máy thủy điện, kscl quy định tại Phụ lục 1 Thông tư này.
4. Tổng chi phí nhân công (TCnc) được tính toán theo công thức sau:
TCnc =VĐTXL+TB x knc
Trong đó:
VĐTXL+TB: Tổng vốn đầu tư xây lắp và thiết bị của nhà máy thủy điện được xác định trên cơ sở tổng mức đầu tư tính toán giá điện quy định tại khoản 2 Điều 10 Thông tư này (đồng);
knc: Tỷ lệ chi phí nhân công (%) của nhà máy thủy điện, knc quy định tại Phụ lục 1 Thông tư này.
Mục 2. PHƯƠNG PHÁP XÁC ĐỊNH GIÁ PHÁT ĐIỆN THEO TỪNG NĂM CỦA HỢP ĐỒNG MUA BÁN ĐIỆN
Điều 12. Nguyên tắc xác định giá cố định từng năm của hợp đồng mua bán điện
1. Hai bên có quyền áp dụng giá cố định bình quân đã thỏa thuận cho các năm trong thời hạn hợp đồng. Trường hợp hai bên thống nhất quy đổi giá cố định bình quân đã thỏa thuận thành giá từng năm trong thời hạn hợp đồng thì việc xác định các mức giá này phải tuân thủ các nguyên tắc quy định tại Khoản 2 Điều này.
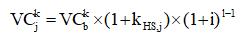
Giá cố định năm j) với điều kiện đảm bảo giá cố định bình quân không thay đổi so với mức giá đã được hai bên thỏa thuận và tuân thủ theo các nguyên tắc sau:a) Tỷ suất chiết khấu tài chính khi tính toán giá từng năm là 10%;
b) Nhà đầu tư thực hiện nghĩa vụ hoàn trả các khoản nợ vay cho đầu tư xây dựng nhà máy điện theo thời hạn hoàn trả vốn vay; tỷ lệ điều chỉnh giá cố định của năm cao nhất kể từ ngày vận hành thương mại của tổ máy đầu tiên so với giá cố định bình quân của nhà máy nhiệt điện hoặc nhà máy thuỷ điện hai bên đã thỏa thuận không vượt quá 1,2 lần.
Điều 13. Nguyên tắc điều chỉnh giá phát điện từng năm trong hợp đồng mua bán điện
1. Hàng năm, căn cứ tổng vốn vay ngoại tệ, kế hoạch trả nợ vốn vay ngoại tệ, số liệu trả nợ gốc vay thực tế, tỷ giá quy đổi đã được hai bên thỏa thuận trong phương án giá điện, tỷ giá quy đổi thực hiện năm liền kề trước, hai bên thực hiện tính toán chênh lệch tỷ giá và đề xuất phương án thanh toán gửi Cục Điều tiết điện lực kiểm tra trình Bộ Công Thương xem xét quyết định phương án thanh toán.
2. Các thành phần giá vận hành và bảo dưỡng cố định của nhà máy nhiệt điện và giá vận hành và bảo dưỡng của nhà máy thủy điện được điều chỉnh theo nguyên tắc sau:
a) Thành phần giá theo chi phí sửa chữa lớn và chi phí khác được điều chỉnh theo tỷ lệ trượt chi phí bình quân quy định tại Phụ lục 1 Thông tư này. Hai bên nghiên cứu, đề xuất cơ chế điều chỉnh thành phần giá theo chi phí sửa chữa lớn và chi phí khác đối với các hạng mục có nguồn gốc ngoại tệ;
b) Thành phần giá theo chi phí nhân công được điều chỉnh theo biến động của mức lương tối thiểu vùng tại thời điểm thanh toán.

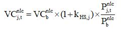
Giá cố định năm j được xác định theo Khoản 1 Điều này (đồng/kWh);
Giá vận hành và bảo dưỡng cố định tháng t, năm j được xác định theo Khoản 2 Điều này (đồng/kWh);
Giá biến đổi tháng t, năm j được xác định theo Khoản 3 Điều này (đồng/kWh);
Giá vận chuyển nhiên liệu chính tháng t, năm j được xác định theo Khoản 4 Điều này (đồng/kWh).
) được xác định theo quy định tại Điều 12 Thông tư này.
Thành phần giá vận hành và bảo dưỡng cố định theo chi phí sửa chữa lớn và chi phí khác năm j (đồng/kWh);
Thành phần giá vận hành và bảo dưỡng cố định theo chi phí nhân công tháng t, năm j (đồng/kWh).
a) Thành phần giá vận hành và bảo dưỡng cố định theo chi phí sửa chữa lớn và chi phí khác
được xác định theo công thức sau (đồng/kWh):

: Giá vận hành và bảo dưỡng cố định theo chi phí sửa chữa lớn và chi phí khác Năm cơ sở được xác định theo phương pháp quy định tại Khoản 1 Điều 6 Thông tư này (đồng/kWh);
b) Thành phần giá vận hành và bảo dưỡng cố định theo chi phí nhân công tháng t, năm j (
) được xác định theo công thức sau (đồng/kWh):

: giá vận hành và bảo dưỡng cố định theo chi phí nhân công được xác định theo phương pháp quy định tại Khoản 2 Điều 6 Thông tư này (đồng/kWh);
: Mức lương tối thiểu vùng tại thời điểm thanh toán tháng t, năm thứ j (đồng/người/tháng);
Mức lương tối thiểu vùng Năm cơ sở (đồng/người/tháng).

Thành phần giá biến đổi điều chỉnh theo biến động của chi phí nhiên liệu chính (than, khí) của nhà máy điện tháng t, năm j, được xác định theo điểm a Khoản này (đồng/kWh);
Thành phần giá biến đổi điều chỉnh theo biến động của chi phí nhiên liệu phụ (dầu) của nhà máy điện tháng t, năm j, được xác định theo điểm b Khoản này (đồng/kWh);
: Thành phần giá biến đổi điều chỉnh theo biến động khác của nhà máy điện năm j, được xác định theo điểm c Khoản này (đồng/kWh).
a) Thành phần giá biến đổi điều chỉnh theo biến động của chi phí nhiên liệu chính (than, khí) của nhà máy điện tháng t, năm j
(đồng/kWh) được xác định theo công thức sau:

: Thành phần giá biến đổi điều chỉnh theo biến động của chi phí nhiên liệu chính (than, khí) của nhà máy điện Năm cơ sở được xác định theo phương pháp quy định tại Khoản 1 Điều 7 Thông tư này (đồng/kWh);
Giá nhiên liệu chính (than, khí) cho phát điện tại thời điểm thanh toán tháng t, năm j, được tính bằng đồng/tấn đối với nhiên liệu than hoặc đồng/BTU đối với nhiên liệu khí;
: Giá nhiên liệu chính (than, khí) cho phát điện tại Năm cơ sở, được xác định theo quy định tại Khoản 1 Điều 7 Thông tư này, tính bằng đồng/tấn đối với nhiên liệu than hoặc đồng/BTU đối với nhiên liệu khí.
b) Thành phần giá biến đổi điều chỉnh theo biến động của chi phí nhiên liệu phụ (dầu) của nhà máy điện tháng t, năm j
(đồng/kWh) được xác định theo công thức sau:

: Thành phần giá biến đổi điều chỉnh theo biến động của chi phí nhiên liệu phụ (dầu) của nhà máy điện Năm cơ sở được xác định theo phương pháp quy định tại Khoản 2 Điều 7 Thông tư này (đồng/kWh);
Giá nhiên liệu phụ (dầu) cho phát điện tại thời điểm thanh toán tháng t, năm j (đồng/kg);
: Giá nhiên liệu phụ (dầu) cho phát điện tại Năm cơ sở (đồng/kg).
c) Thành phần giá biến đổi điều chỉnh theo biến động khác của nhà máy điện năm j
(đồng/kWh) được xác định theo công thức sau:

: Thành phần giá biến đổi điều chỉnh theo biến động khác của nhà máy điện Năm cơ sở được xác định theo phương pháp quy định tại Khoản 3 Điều 7 Thông tư này (đồng/kWh);
2. Giá vận chuyển nhiên liệu chính của nhà máy điện tháng t, năm j
(đồng/kWh) được xác định theo công thức sau:

: Giá vận chuyển nhiên liệu chính của nhà máy điện Năm cơ sở được xác định theo phương pháp quy định tại Điều 9 Thông tư này (đồng/kWh);
Giá vận chuyển nhiên liệu chính (than, khí) tại thời điểm thanh toán tháng t, năm j (đồng/tấn đối với nhiên liệu than hoặc đồng/BTU đối với nhiên liệu khí);
: Giá vận chuyển nhiên liệu chính (than, khí) tại Năm cơ sở, được tính bằng đồng/tấn đối với nhiên liệu than hoặc đồng/BTU đối với nhiên liệu khí.
3. Tổng chi phí khởi động trong tháng t của nhà máy điện
(đồng), được xác định theo công thức sau:

Tổng chi phí khác cho một lần khởi động, được tính bằng đồng.
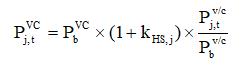
Giá Hợp đồng của Nhà máy thủy điện tại thời điểm thanh toán tiền điện tháng t, năm j
(đồng/kWh) được xác định theo công thức sau:

: Giá cố định năm j, được xác định theo Khoản 1 Điều này (đồng/kWh);
: Giá vận hành và bảo dưỡng tháng t, năm j, được xác định theo Khoản 2 Điều này (đồng/kWh);
): được xác định theo quy định tại Điều 12 Thông tư này.
: Thành phần giá vận hành và bảo dưỡng theo chi phí sửa chữa lớn và chi phí khác năm j (đồng/kWh);
: Thành phần giá vận hành và bảo dưỡng theo chi phí nhân công tháng t, năm j (đồng/kWh).
a) Thành phần giá vận hành và bảo dưỡng theo chi phí sửa chữa lớn và chi phí khác
(đồng/kWh) được xác định theo công thức sau:

: Thành phần giá vận hành và bảo dưỡng theo chi phí sửa chữa lớn và chi phí khác Năm cơ sở, được xác định theo Khoản 1 Điều 11 Thông tư này (đồng/kWh);
b) Thành phần giá vận hành và bảo dưỡng theo chi phí nhân công tháng t, năm j (
) được xác định theo công thức sau (đồng/kWh):

: Thành phần giá vận hành và bảo dưỡng theo chi phí nhân công Năm cơ sở được xác định theo Khoản 2 Điều 11 Thông tư này (đồng/kWh);
: Mức lương tối thiểu vùng tại thời điểm thanh toán tháng t, năm thứ j (đồng/người/tháng);
: Mức lương tối thiểu vùng Năm cơ sở (đồng/người/tháng).
Mục 3. PHƯƠNG PHÁP XÁC ĐỊNH GIÁ ĐIỆN CỦA NHÀ MÁY ĐIỆN ĐÃ VẬN HÀNH THƯƠNG MẠI
Điều 16. Phương pháp xác định giá điện đối với nhà máy điện mà Hợp đồng mua bán điện đã hết thời hạn, nhà máy điện chưa hết đời sống kinh tế
1. Đối với nhà máy điện đã có giá bình quân cả đời dự án: giá hợp đồng mua bán điện áp dụng tiếp cho các năm tiếp theo đến hết đời sống kinh tế.
2. Đối với nhà máy điện chưa có giá bình quân cả đời dự án: hai bên đàm phán thỏa thuận giá bình quân, giá từng năm từ năm Hợp đồng mua bán điện có hiệu lực đến hết đời sống kinh tế của Nhà máy, hợp đồng mua bán điện trên cơ sở quy định tại Thông tư này.
3. Đối với nhà máy điện cổ phần hóa thuộc Tập đoàn Điện lực Việt Nam: áp dụng quy định tại Khoản 1 hoặc Khoản 2 Điều này, năm tính toán bắt đầu từ thời điểm chuyển sang công ty cổ phần.
Điều 17. Phương pháp xác định giá điện đối với nhà máy điện đã hết đời sống kinh tế hoặc khi có dự án đầu tư nâng cấp, thay thế thiết bị sau 20 năm vận hành thương mại
1. Giá của nhà máy thủy điện và giá cố định của nhà máy nhiệt điện đã hết đời sống kinh tế được xác định theo nguyên tắc đảm bảo cho nhà máy thu hồi các chi phí phục vụ hoạt động sản xuất kinh doanh điện, thời gian tính giá theo chu kỳ sửa chữa lớn thiết bị chính; trường hợp có văn bản của cơ quan nhà nước có thẩm quyền phê duyệt thời gian tính giá, áp dụng theo văn bản phê duyệt của cơ quan nhà nước có thẩm quyền. Hai bên thỏa thuận lợi nhuận hợp lý, báo cáo Bộ Công Thương, Cục Điều tiết điện lực xem xét.
2. Giá biến đổi của nhà máy nhiệt điện đã hết đời sống kinh tế được xác định theo hướng dẫn tại Điều 7 Thông tư này.
3. Trường hợp nhà máy điện có đầu tư nâng cấp, thay thế thiết bị công trình để duy trì vận hành sau năm vận hành thứ 20, khi có đủ hồ sơ pháp lý, giá hợp đồng mua bán điện sẽ được xem xét, điều chỉnh phù hợp.
Điều 18. Phương pháp xác định giá điện đối với các nhà máy điện khác
1. Trên cơ sở hướng dẫn tại Thông tư này, Tập đoàn Điện lực Việt Nam và đơn vị phát điện, xây dựng phương pháp xác định giá hợp đồng mua bán điện, các cơ chế riêng phù hợp với thực tế của nhà máy, trình Cục Điều tiết điện lực kiểm tra, báo cáo Bộ Công Thương xem xét, chấp thuận.
2. Sau khi có văn bản hướng dẫn của Bộ Công Thương, Tập đoàn Điện lực Việt Nam và đơn vị phát điện thực hiện đàm phán, thỏa thuận thống nhất và trình Cục Điều tiết điện lực kiểm tra theo quy định tại Điều 20, Điều 21, Điều 22, Điều 24 Thông tư này.
Chương III
TRÌNH TỰ ĐÀM PHÁN VÀ KIỂM TRA HỢP ĐỒNG MUA BÁN ĐIỆN
Điều 19. Áp dụng Hợp đồng mua bán điện mẫu
1. Đối với các nhà máy điện mới, trên cơ sở Hợp đồng mua bán điện mẫu quy định tại Phụ lục 3 ban hành kèm theo Thông tư này, Tập đoàn Điện lực Việt Nam và Đơn vị phát điện đàm phán thỏa thuận, thống nhất Hợp đồng mua bán điện giữa hai bên.
2. Đối với các nhà máy điện đã có hợp đồng mua bán điện, trường hợp một trong hai bên muốn sửa đổi theo Hợp đồng mua bán điện mẫu quy định tại Phụ lục 3 ban hành kèm theo Thông tư này, hai bên đàm phán, thỏa thuận, báo cáo Cục Điều tiết điện lực xem xét, kiểm tra, có ý kiến theo quy định tại Thông tư này.
Điều 20. Trình tự đàm phán hợp đồng mua bán điện
1. Chủ đầu tư dự án nhà máy điện có trách nhiệm lập hồ sơ đề nghị đàm phán hợp đồng mua bán điện gửi Bên mua để đàm phán và thực hiện các thủ tục thẩm định, phê duyệt để ký hợp đồng mua bán điện trước khi khởi công dự án.
2. Trong thời hạn 15 ngày làm việc kể từ ngày nhận được hồ sơ đề nghị đàm phán hợp đồng mua bán điện hợp lệ của chủ đầu tư, Bên mua có trách nhiệm tổ chức đàm phán hợp đồng mua bán điện với chủ đầu tư. Kết thúc quá trình đàm phán hợp đồng mua bán điện, hai bên phải ký tắt dự thảo hợp đồng mua bán điện.
3. Trong thời hạn 05 ngày làm việc kể từ ngày dự thảo hợp đồng mua bán điện được ký tắt, Bên mua có trách nhiệm lập hồ sơ trình duyệt hợp đồng mua bán điện trình Cục Điều tiết điện lực kiểm tra.
4. Quá thời hạn 06 tháng kể từ ngày Bên mua nhận được hồ sơ hợp lệ đề nghị đàm phán hợp đồng mua bán điện mà hai bên chưa đạt được thỏa thuận cuối cùng, Bên mua có trách nhiệm lập báo cáo về các nội dung chưa thỏa thuận được trình Cục Điều tiết điện lực xem xét, có ý kiến. Đối với các vấn đề vượt thẩm quyền giải quyết, Cục Điều tiết điện lực có trách nhiệm báo cáo Bộ Công Thương xem xét, có ý kiến.
Điều 21. Hồ sơ đề nghị đàm phán hợp đồng mua bán điện
1. Hồ sơ đề nghị đàm phán hợp đồng mua bán điện cho các nhà máy điện mới gồm các tài liệu sau:
a) Công văn đề nghị đàm phán hợp đồng mua bán điện;
b) Dự thảo hợp đồng mua bán điện theo mẫu quy định tại Phụ lục 3 ban hành kèm theo Thông tư này;
c) Quyết định đầu tư xây dựng công trình kèm theo thuyết minh và báo cáo thẩm định dự án đầu tư nhà máy của tư vấn độc lập, các tài liệu kèm theo;
d) Quyết định phê duyệt Tổng mức đầu tư lần đầu của dự án và các nội dung chính trong thiết kế cơ sở của dự án đầu tư có liên quan đến việc đàm phán hợp đồng mua bán điện, báo cáo thẩm định thiết kế cơ sở; báo cáo quyết toán, báo cáo kiểm toán vốn đầu tư hoàn thành, quyết định phê duyệt kết quả quyết toán, kiểm toán vốn đầu tư hoàn thành của cơ quan có thẩm quyền (sau khi dự án hoàn thành);
đ) Thỏa thuận đấu nối nhà máy điện vào hệ thống điện quốc gia kèm theo phương án đấu nối của nhà máy điện; thỏa thuận SCADA/EMS và hệ thống thông tin điều độ; thỏa thuận hệ thống rơ le bảo vệ và tự động;
e) Hợp đồng vay vốn hoặc các văn bản, tài liệu có tính pháp lý giữa Chủ đầu tư và các các bên cho vay, kế hoạch hoặc thực tế giải ngân các nguồn vốn vay;
g) Hợp đồng cung cấp nhiên liệu cho nhà máy điện, quy định rõ giá nhiên liệu cho phát điện, cước vận chuyển nhiên liệu và các phụ phí kèm theo, điểm giao nhận nhiên liệu và thời hạn cung cấp nhiên liệu;
h) Tài liệu tính toán tổn thất công suất và điện năng của máy biến áp, đường dây truyền tải từ nhà máy điện đến điểm đấu nối với hệ thống điện quốc gia và tài liệu tính toán điện tự dùng trong nhà máy điện;
i) Tài liệu tính suất hao nhiên liệu đối với nhà máy điện than hoặc suất hao nhiệt đối với nhà máy điện khí;
k) Phương án giá bán điện được xác định theo phương pháp quy định tại Mục 1 và Mục 2 Chương II Thông tư này;
l) Các tài liệu liên quan khác.
2. Hồ sơ đề nghị đàm phán hợp đồng mua bán điện cho các nhà máy điện hiện có gồm các tài liệu sau:
a) Công văn đề nghị đàm phán hợp đồng mua bán điện;
b) Dự thảo hợp đồng mua bán điện theo mẫu quy định tại Phụ lục 3 ban hành kèm theo Thông tư này;
c) Hồ sơ hợp đồng mua bán điện hiện có;
d) Hồ sơ kỹ thuật của nhà máy, số liệu kỹ thuật hệ thống SCADA/EMS, hệ thống rơ le bảo vệ và tự động, đặc tính vận hành P-Q các tổ máy tới thời điểm hiện tại;
đ) Hợp đồng cung cấp nhiên liệu cho nhà máy điện;
e) Phương án giá bán điện của nhà máy được xác định theo quy định tại Mục 1 và Mục 2 Chương II Thông tư này;
g) Báo cáo tài chính có kiểm toán của nhà máy điện của năm gần nhất tính tới thời điểm đàm phán hợp đồng mua bán điện.
Điều 22. Hồ sơ đề nghị cho đàm phán lại giá điện và hợp đồng mua bán điện và hồ sơ trình kiểm tra hợp đồng mua bán điện
1. Hồ sơ đề nghị cho đàm phán lại giá điện và hợp đồng mua bán điện theo Vốn đầu tư quyết toán gồm:
a) Công văn đề nghị cho đàm phán lại giá điện và hợp đồng mua bán điện;
b) Quyết định phê duyệt Tổng mức đầu tư cuối cùng của dự án; báo cáo quyết toán, báo cáo kiểm toán công trình; quyết định phê duyệt kết quả quyết toán, kiểm toán vốn đầu tư hoàn thành của cơ quan có thẩm quyền.
2. Hồ sơ trình kiểm tra hợp đồng mua bán điện gồm:
a) Văn bản đề nghị kiểm tra hợp đồng mua bán điện;
b) Dự thảo hợp đồng mua bán điện đã được hai bên ký tắt;
c) Bảng tính giá hợp đồng mua bán điện được lập dưới dạng excel;
d) Các tài liệu liên quan đến tính toán giá hợp đồng mua bán điện theo quy định tại Điều 21 Thông tư này;
đ) Thuyết minh giải trình các nội dung sửa đổi, bổ sung khác với hợp đồng mua bán điện mẫu được hai bên thỏa thuận đưa vào nội dung hợp đồng.
Điều 23. Trình tự kiểm tra hợp đồng mua bán điện
1. Sau khi kết thúc đàm phán hợp đồng mua bán điện, Bên mua có trách nhiệm lập hồ sơ đề nghị kiểm tra hợp đồng mua bán điện theo quy định tại Điều 22 Thông tư này trình Cục Điều tiết điện lực kiểm tra. Bên bán và Bên mua có trách nhiệm báo cáo, giải trình các nội dung liên quan.
2. Trong thời hạn 05 ngày làm việc kể từ ngày nhận được hồ sơ đề nghị kiểm tra hợp đồng mua bán điện, Cục Điều tiết điện lực có trách nhiệm kiểm tra tính hợp lệ của hồ sơ và có văn bản yêu cầu Bên mua và Bên bán bổ sung các tài liệu còn thiếu theo quy định.
3. Trong thời hạn 30 ngày làm việc kể từ ngày nhận được hồ sơ đề nghị kiểm tra hợp đồng mua bán điện hợp lệ, Cục Điều tiết điện lực có trách nhiệm kiểm tra và có ý kiến về hợp đồng mua bán điện.
4. Trong thời hạn 30 ngày làm việc kể từ ngày có ý kiến kiểm tra hợp đồng mua bán điện, hai bên có trách nhiệm ký chính thức hợp đồng mua bán điện. Trường hợp quá thời hạn quy định tại Khoản 3 Điều này mà Cục Điều tiết điện lực chưa có ý kiến đối với hợp đồng mua bán điện, hai bên được phép ký chính thức hợp đồng mua bán điện theo các nội dung đã thỏa thuận. Bên mua có trách nhiệm gửi 01 (một) bản sao hợp đồng mua bán điện đã ký cho Cục Điều tiết điện lực để lưu và theo dõi thực hiện.
5. Hợp đồng mua bán điện được xem là đã được kiểm tra khi đáp ứng các yêu cầu sau:
a) Giá phát điện của nhà máy điện nằm trong khung giá phát điện do Bộ Công Thương ban hành;
b) Giá từng năm trong hợp đồng được xác định phù hợp với các nguyên tắc quy định tại Điều 12 Thông tư này;
c) Các nội dung của hợp đồng mua bán điện phù hợp với nội dung của hợp đồng mua bán điện mẫu do Bộ Công Thương ban hành;
d) Giải trình đầy đủ các sửa đổi hoặc bổ sung các nội dung khác với nội dung quy định tại hợp đồng mua bán điện mẫu.
6. Trường hợp nhà máy điện có giá đàm phán vượt khung giá phát điện do Bộ trưởng Bộ Công Thương ban hành, hai bên có trách nhiệm giải trình cho Cục Điều tiết điện lực chi tiết các hạng mục chi phí đã thống nhất trong quá trình đàm phán. Cục Điều tiết điện lực có trách nhiệm báo cáo Bộ trưởng Bộ Công Thương xem xét, giải quyết các vấn đề vượt thẩm quyền.
Điều 24. Sửa đổi, bổ sung hợp đồng mua bán điện
1. Trường hợp có thay đổi về pháp luật, chính sách do cơ quan nhà nước có thẩm quyền ban hành làm ảnh hưởng bất lợi đến lợi ích hợp pháp của bên bán và bên mua, căn cứ đề xuất của bên bán hoặc bên mua có văn bản đề nghị Cục Điều tiết điện lực cho phép đàm phán lại giá điện. Đối với các vấn đề vượt thẩm quyền, Cục Điều tiết điện lực có trách nhiệm báo cáo Bộ trưởng Bộ Công Thương xem xét, giải quyết.
Sau khi có văn bản đồng ý của Bộ Công Thương, Cục Điều tiết điện lực, hai bên tiến hành đàm phán, thỏa thuận, thống nhất, ký tắt hợp đồng sửa đổi bổ sung của hợp đồng mua bán điện đã ký kết trước.
2. Sau khi kết thúc đàm phán hợp đồng sửa đổi bổ sung, bên mua có trách nhiệm lập hồ sơ đề nghị Cục Điều tiết điện lực kiểm tra. Hồ sơ đề nghị kiểm tra hợp đồng sửa đổi bổ sung gồm:
a) Hợp đồng sửa đổi bổ sung hợp đồng mua bán điện đã ký tắt;
b) Giải trình các sửa đổi bổ sung của hợp đồng mua bán điện và các tài liệu chứng minh kèm theo;
c) Bảng tính giá hợp đồng mua bán điện mới được lập dưới dạng bảng excel (nếu có sửa đổi giá hợp đồng mua bán điện).
3. Thời hạn đàm phán, thời hạn kiểm tra hợp đồng sửa đổi bổ sung thực hiện theo quy định tại Điều 20 và Điều 23 Thông tư này.
Chương IV
ĐIỀU KHOẢN THI HÀNH
Điều 25. Trách nhiệm của Cục Điều tiết điện lực
1. Kiểm tra, có ý kiến về hợp đồng mua bán điện và các hiệu chỉnh bổ sung hợp đồng của các nhà máy điện.
2. Hướng dẫn và giải quyết các vướng mắc phát sinh trong quá trình đàm phán hợp đồng mua bán điện giữa các bên.
3. Hàng năm, tổng hợp ý kiến của các đơn vị về thông số đầu vào tính giá hợp đồng mua bán điện quy định tại Phụ lục 1 Thông tư này, trình Bộ trưởng Bộ Công Thương xem xét, quyết định sửa đổi, bổ sung (nếu có).
4. Giải quyết các tranh chấp phát sinh trong quá trình thực hiện hợp đồng mua bán điện trong trường hợp hai bên thỏa thuận thực hiện giải quyết tranh chấp tại Cục Điều tiết điện lực.
5. Sau khi nhận được báo cáo của Tập đoàn Điện lực Việt Nam, Cục Điều tiết điện lực tiến hành kiểm tra, tổng hợp, báo cáo Bộ Công Thương xem xét quyết định việc thanh toán chi phí chênh lệch tỷ giá các nhà máy điện.
6. Trước ngày 31 tháng 01 hàng năm, tổng hợp tình hình thực hiện hợp đồng mua bán điện năm liền kề trước đó giữa Tập đoàn Điện lực Việt Nam với các đơn vị phát điện, các vướng mắc trong quá trình triển khai thực hiện hợp đồng mua bán điện, báo cáo Bộ trưởng Bộ Công Thương xem xét quyết định các phương án giải quyết vướng mắc đối với hợp đồng mua bán điện.
Điều 26. Trách nhiệm của Tập đoàn Điện lực Việt Nam
1. Trình Cục Điều tiết điện lực kiểm tra hợp đồng mua bán điện theo quy định, chịu trách nhiệm, đảm bảo tính chính xác, hợp lý, hợp lệ của số liệu, tài liệu cung cấp.
2. Trước ngày 31 tháng 01 hàng năm, chủ trì, phối hợp với các Chủ đầu tư tính toán chênh lệch tỷ giá trong thực hiện Hợp đồng mua bán điện của năm liền kề trước đó theo quy định tại khoản 1 Điều 13 Thông tư này, báo cáo Cục Điều tiết điện lực kiểm tra.
3. Định kỳ hàng năm xem xét và đề xuất với Cục Điều tiết điện lực điều chỉnh các thông số đầu vào tính giá hợp đồng mua bán điện quy định tại Phụ lục 1 Thông tư này và các nội dung khác trong Thông tư này (nếu có).
4. Trước ngày 15 tháng 01 hàng năm, tổng hợp báo cáo Cục Điều tiết điện lực tình hình thực hiện hợp đồng mua bán điện năm liền kề trước với các đơn vị phát điện, vướng mắc trong quá trình triển khai thực hiện hợp đồng mua bán điện, đề xuất các giải pháp giải quyết (nếu có).
Điều 27. Trách nhiệm của Chủ đầu tư
1. Chủ đầu tư các nhà máy điện có trách nhiệm:
a) Đàm phán và ký kết hợp đồng mua bán điện theo quy định tại Thông tư này;
b) Cung cấp đầy đủ các thông tin, chịu trách nhiệm, đảm bảo tính chính xác, hợp lý, hợp lệ của số liệu, tài liệu cung cấp cho các đơn vị, cơ quan liên quan trong quá trình đàm phán và kiểm tra hợp đồng mua bán điện.
2. Kể từ ngày vận hành thương mại của tổ máy đầu tiên, định kỳ hàng quý, Chủ đầu tư các nhà máy điện báo cáo Cục Điều tiết điện lực tình hình thực hiện thanh toán tiền điện theo biểu mẫu quy định tại Phụ lục 4 Thông tư này.
3. Trước ngày 15 tháng 01 hàng năm, Chủ đầu tư các nhà máy điện báo cáo Cục Điều tiết điện lực tình hình thực hiện hợp đồng mua bán điện năm liền kề trước với Tập đoàn Điện lực Việt Nam, vướng mắc trong quá trình triển khai thực hiện hợp đồng mua bán điện, đề xuất các giải pháp giải quyết (nếu có).
4. Trước ngày 31 tháng 01 hàng năm, phối hợp với Tập đoàn Điện lực Việt Nam tính toán chênh lệch tỷ giá trong thực hiện Hợp đồng mua bán điện của năm liền kề trước đó theo quy định tại khoản 1 Điều 13 Thông tư này, báo cáo Cục Điều tiết điện lực kiểm tra.
Điều 28. Điều khoản thi hành
1. Thông tư này có hiệu lực thi hành kể từ ngày 03 tháng 02 năm 2015, thay thế Thông tư số 41/2010/TT-BCT ngày 14 tháng 12 năm 2010 của Bộ Công Thương quy định phương pháp xác định giá phát điện; trình tự, thủ tục xây dựng, ban hành khung giá phát điện và phê duyệt hợp đồng mua bán điện.
2. Đối với giá hợp đồng mua bán điện của các nhà máy điện đang trong quá trình đàm phán trước ngày Thông tư này có hiệu lực theo phương pháp hướng dẫn tại Thông tư số 41/2010/TT-BCT ngày 14 tháng 12 năm 2010 của Bộ Công Thương quy định phương pháp xác định giá phát điện; trình tự, thủ tục xây dựng, ban hành khung giá phát điện và phê duyệt hợp đồng mua bán điện, hai bên báo cáo Bộ Công Thương, Cục Điều tiết điện lực xem xét, hướng dẫn cụ thể.
3. Trong quá trình thực hiện, nếu phát sinh vướng mắc, tổ chức, cá nhân có trách nhiệm phản ánh về Bộ Công Thương để bổ sung, sửa đổi cho phù hợp./.
|
Nơi nhận: |
KT. BỘ TRƯỞNG |
PHỤ LỤC 1
CÁC THÔNG SỐ ĐƯỢC SỬ DỤNG TÍNH TOÁN GIÁ HỢP ĐỒNG MUA BÁN ĐIỆN
(Ban hành kèm theo Thông tư số: 56/2014/TT-BCT ngày 19 tháng 12 năm 2014 của Bộ trưởng Bộ Công Thương)
|
TT |
Hạng mục |
Thông số |
|---|---|---|
|
I |
Đời sống kinh tế |
|
|
1 |
Nhà máy nhiệt điện than |
30 năm |
|
2 |
Nhà máy tuabin khí chu trình hỗn hợp |
25 năm |
|
3 |
Nhà máy thuỷ điện |
40 năm |
|
II |
Tỷ lệ chi phí vận hành và bảo dưỡng của nhà máy nhiệt điện (%) |
|
|
1 |
Tỷ lệ chi phí sửa chữa lớn và chi phí khác (kF,scl) |
|
|
1.1 |
Nhà máy nhiệt điện than |
2,5% |
|
1.2 |
Nhà máy tua bin khí chu trình hỗn hợp |
4,37% |
|
2 |
Tỷ lệ chi phí nhân công (kF,nc) |
|
|
2.1 |
Nhà máy nhiệt điện than |
1,5% |
|
2.2 |
Nhà máy tua bin khí chu trình hỗn hợp |
1,9% |
|
III |
Tỷ lệ chi phí vận hành và bảo dưỡng của nhà máy thuỷ điện (%) |
|
|
1 |
Tỷ lệ chi phí sửa chữa lớn và chi phí khác (kscl) |
|
|
1.1 |
Quy mô công suất từ 150 MW trở xuống |
1,2% |
|
1.2 |
Quy mô công suất từ 151 MW đến 300MW |
0,9% |
|
1.3 |
Quy mô công suất từ 301 MW trở lên |
0,6% |
|
2 |
Tỷ lệ chi phí nhân công (knc) |
|
|
2.1 |
Quy mô công suất từ 150 MW trở xuống |
0,8% |
|
2.2 |
Quy mô công suất từ 151 MW đến 300MW |
0,5% |
|
3.3 |
Quy mô công suất từ 301 MW trở lên |
0,3% |
|
IV |
Số giờ vận hành công suất cực đại trong năm được tính bình quân cho cả đời dự án - Tmax(giờ) |
|
|
1 |
Nhà máy nhiệt điện than |
6.500 |
|
2 |
Nhà máy tua bin khí chu trình hỗn hợp |
6.000 |
|
V |
Tỷ lệ suy giảm hiệu suất bình quân trong đời sống kinh tế của nhà máy nhiệt điện (%) |
|
|
1 |
Nhà máy nhiệt điện than |
1,3% |
|
2 |
Nhà máy tua bin khí chu trình hỗn hợp |
3% |
|
VI |
Tỷ lệ chi phí sửa chữa bảo dưỡng thường xuyên hàng năm (%) |
|
|
1 |
Nhà máy nhiệt điện than |
0,8% |
|
2 |
Nhà máy tua bin khí chu trình hỗn hợp |
0,8% |
|
VII |
Biên lãi suất vốn vay (%/năm) |
|
|
1 |
Biên lãi suất vốn vay ngoại tệ |
3%/năm |
|
2 |
Biên lãi suất vốn vay nội tệ |
3,5%/năm |
|
VIII |
Tỷ lệ trượt chi phí bình quân (%/năm) |
|
|
1 |
Tỷ lệ trượt thành phần giá vận hành và bảo dưỡng theo chi phí sửa chữa lớn và chi phí khác |
2,5%/năm |
|
2 |
Tỷ lệ trượt thành phần giá biến đổi theo biến động khác |
2,5%/năm |
|
XI |
Mức tải bình quân của nhà máy nhiệt điện |
85% |
PHỤ LỤC 2
CÁC MẪU BIỂU PHÂN TÍCH TÀI CHÍNH CỦA DỰ ÁN
(Ban hành kèm theo Thông tư số: 56/2014/TT-BCT ngày 19 tháng 12 năm 2014 của Bộ trưởng Bộ Công Thương)
Biểu 1 - Dự toán kết quả kinh doanh
Đơn vị tính:……………
|
STT |
Nội dung |
Năm N |
Năm N+1 |
Năm N+2 |
… |
Tổng cộng |
|
I |
Tổng thu nhập |
|
|
|
|
|
|
1 |
Doanh thu từ bán điện |
|
|
|
|
|
|
2 |
Lợi ích khác thu được từ dự án (nếu có) |
|
|
|
|
|
|
3 |
Trợ giá (nếu có) |
|
|
|
|
|
|
II |
Tổng chi phí |
|
|
|
|
|
|
1 |
Chi phí khấu hao tài sản cố định |
|
|
|
|
|
|
2 |
Chi phí vận hành và bảo dưỡng |
|
|
|
|
|
|
3 |
Chi phí khác (nếu có) |
|
|
|
|
|
|
4 |
Chi phí lãi vay |
|
|
|
|
|
|
III |
Lợi nhuận trước thuế (I)-(II) |
|
|
|
|
|
|
IV |
Thuế thu nhập doanh nghiệp |
|
|
|
|
|
|
V |
Lợi nhuận sau thuế (III)-(IV) |
|
|
|
|
|
Ghi chú:
- Doanh thu từ bán điện chưa bao gồm thuế giá trị gia tăng, thuế tài nguyên nước, phí môi trường rừng và các loại thuế phí khác (nếu có).
- Biểu 01 lập từ năm bắt đầu có thu nhập.
Biểu 2-Dòng tích lũy tài chính và các chỉ tiêu tài chính
Đơn vị tính:……………
|
STT |
Nội dung |
… |
Năm N-1 |
Năm N |
Năm N+1 |
… |
Tổng cộng |
|
I |
Nguồn |
|
|
|
|
|
|
|
1 |
Doanh thu từ bán điện |
|
|
|
|
|
|
|
2 |
Lợi ích khác thu được từ dự án (nếu có) |
|
|
|
|
|
|
|
3 |
Trợ giá (nếu có) |
|
|
|
|
|
|
|
4 |
Giá trị còn lại của Tài sản cố định (tính vào năm cuối dự án) |
|
|
|
|
|
|
|
5 |
Giá trị thu hồi vốn lưu động (tính vào năm cuối dự án) |
|
|
|
|
|
|
|
II |
Sử dụng |
|
|
|
|
|
|
|
1 |
Vốn chủ sở hữu, vốn vay (phân bổ theo tiến độ dự án) |
|
|
|
|
|
|
|
2 |
Chi phí khác (nếu có) |
|
|
|
|
|
|
|
3 |
Trả gốc vay |
|
|
|
|
|
|
|
4 |
Chi phí lãi vay |
|
|
|
|
|
|
|
5 |
Thuế thu nhập doanh nghiệp |
|
|
|
|
|
|
|
III |
Tích lũy tài chính (I)-(II) |
|
|
|
|
|
|
|
IV |
Tích lũy tài chính chiết khấu |
|
|
|
|
|
|
|
V |
Tích lũy tài chính chiết khấu lũy kế |
|
|
|
|
|
|
Ghi chú:
- Doanh thu từ bán điện chưa bao gồm thành phần vận hành và bảo dưỡng, thuế giá trị gia tăng, thuế tài nguyên nước, phí môi trường rừng và các loại thuế phí khác (nếu có).
- Biểu 02 lập từ năm bắt đầu xây dựng.
PHỤ LỤC 3
HỢP ĐỒNG MUA BÁN ĐIỆN MẪU
(Ban hành kèm theo Thông tư số: 56/2014/TT-BCT ngày 19 tháng 12 năm 2014 của Bộ trưởng Bộ Công Thương)
CỘNG HÒA XÃ HỘI CHỦ NGHĨA VIỆT NAM
Độc lập - Tự do - Hạnh phúc
--------------------------
HỢP ĐỒNG MUA BÁN ĐIỆN
NHÀ MÁY ĐIỆN ……………………………………
Giữa
CÔNG TY [tên công ty]
(BÊN BÁN)
- và -
TẬP ĐOÀN ĐIỆN LỰC VIỆT NAM
(BÊN MUA)
HỢP ĐỒNG SỐ: ……./20…/HĐ-NMĐ-[tên Nhà máy điện]
Hà Nội, tháng …/20..…
MỤC LỤC
Điều 1. Định nghĩa................................................................................
Điều 2. Hiệu lực và thời hạn Hợp đồng...................................................
Điều 3. Mua bán điện năng.....................................................................
Điều 4. Cam kết thực hiện......................................................................
Điều 5. Nghĩa vụ của Bên bán trước ngày vận hành thương mại...............
Điều 6. Trách nhiệm đấu nối và hệ thống đo đếm....................................
Điều 7. Điều độ và vận hành Nhà máy điện.............................................
Điều 8. Lập hoá đơn và thanh toán.........................................................
Điều 9. Vi phạm Hợp đồng và chế tài áp dụng........................................
Điều 10. Chấm dứt và đình chỉ thực hiện Hợp đồng.................................
Điều 11. Giới hạn trách nhiệm pháp lý và bồi thường thiệt hại....................
Điều 12. Các trường hợp miễn trách nhiệm đối với hành vi vi phạm...........
Điều 13. Giải quyết tranh chấp.................................................................
Điều 14. Tái cơ cấu ngành điện và chuyển giao quyền và nghĩa vụ.............
Điều 15. Lưu giữ hồ sơ và cung cấp thông tin...........................................
Điều 16. Các chi phí khác........................................................................
Điều 17. Đại diện có thẩm quyền và trao đổi thông tin...............................
Điều 18. Bảo mật thông tin.......................................................................
Điều 19. Các thoả thuận khác...................................................................
Phụ lục I. CÁC THÔNG SỐ CHÍNH CỦA NHÀ MÁY ĐIỆN............................................
Phụ lục II. HỆ THỐNG ĐO ĐẾM VÀ THU THẬP SỐ LIỆU.............................................
Phụ lục III. THỎA THUẬN CÁC ĐẶC TÍNH VẬN HÀNH................................................
Phụ lục IV. THỎA THUẬN HỆ THỐNG SCADA/EMS, THÔNG TIN LIÊN LẠC, RƠ LE BẢO VỆ VÀ TỰ ĐỘNG
Phụ lục V. GIÁ MUA BÁN ĐIỆN, TIỀN ĐIỆN THANH TOÁN........................................
Phụ lục VI. CÁC THÔNG SỐ CHÍNH TRONG TÍNH TOÁN GIÁ ĐIỆN..........................
Phụ lục VII. CÁC MỐC TIẾN ĐỘ DỰ ÁN...........................................................................
Phụ lục VIII. QUY TRÌNH THỬ NGHIỆM CÔNG SUẤT TIN CẬY.................................
CỘNG HÒA XÃ HỘI CHỦ NGHĨA VIỆT NAM
Độc lập - Tự do - Hạnh phúc
--------------------------
HỢP ĐỒNG MUA BÁN ĐIỆN
Căn cứ Luật Điện lực ngày 03 tháng 12 năm 2004 và Luật sửa đổi, bổ sung một số điều của Luật Điện lực ngày 20 tháng 11 năm 2012;
Căn cứ Luật Thương mại ngày 14 tháng 6 năm 2005;
Căn cứ Nghị định số 137/2013/NĐ-CP ngày 21 tháng 10 năm 2013 của Chính phủ quy định chi tiết thi hành một số điều của Luật Điện lực và Luật sửa đổi, bổ sung một số điều của Luật Điện lực;
Căn cứ Thông tư số 30/2014/TT-BCT ngày 02 tháng 10 năm 2014 của Bộ trưởng Bộ Công Thương quy định vận hành thị trường phát điện cạnh tranh;
Căn cứ Thông tư số …./2014/TT-BCT ngày … tháng … năm … của Bộ trưởng Bộ Công Thương quy định phương pháp xác định giá phát điện, trình tự kiểm tra hợp đồng mua bán điện;
Căn cứ nhu cầu mua, bán điện của hai bên,
Hôm nay, ngày ……. tháng ……. năm ……. , tại ……………. .
Chúng tôi gồm:
Bên bán: _________________________________________________
Địa chỉ: __________________________________________________
Điện thoại: ____________________Fax: _______________________
Mã số thuế: _______________________________________________
Tài khoản: ___________________ Ngân hàng ___________________
________________________________________________________
Đại diện: _________________________________________________
Chức vụ: ___________________________ được sự ủy quyền của ____
________________________________________ theo văn bản ủy quyền
số _______________________, ngày _____ tháng _____ năm _______
Bên mua: Tập đoàn Điện lực Việt Nam
Địa chỉ: __________________________________________________
Điện thoại: ____________________Fax: _______________________
Mã số thuế: _______________________________________________
Tài khoản: ___________________ Ngân hàng ___________________
________________________________________________________
Đại diện: _________________________________________________
Chức vụ: ___________________________ được sự ủy quyền của ____
________________________________________ theo văn bản ủy quyền
số _______________________, ngày _____ tháng _____ năm _______
Cùng nhau thống nhất Hợp đồng mua bán điện cho Nhà máy điện theo các nội dung sau:
1. Bên bán là Công ty [….] sở hữu Nhà máy điện.
2. Bên mua là Tập đoàn Điện lực Việt Nam.
3. Chu kỳ giao dịch là chu kỳ tính toán giá điện năng trên thị trường điện, trong khoảng thời gian 01 giờ tính từ phút đầu tiên mỗi giờ.
4. Công suất khả dụng công bố là mức công suất sẵn sàng của tổ máy hoặc Nhà máy điện tại một thời điểm xác định do Bên bán công bố.
5. Điểm đấu nối là điểm nối trang thiết bị, lưới điện và Nhà máy điện của Công ty phát điện vào Hệ thống điện quốc gia.
6. Điểm giao nhận điện là điểm đo đếm để xác định sản lượng điện năng của Bên bán giao cho Bên mua.
7. Đơn vị vận hành hệ thống điện và thị trường điện quốc gia là đơn vị chỉ huy, điều khiển quá trình phát điện, truyền tải điện, phân phối điện trong hệ thống điện quốc gia, điều hành giao dịch thị trường điện.
8. Giá công suất thị trường là mức giá cho một đơn vị công suất tác dụng xác định cho mỗi chu kỳ giao dịch, áp dụng để tính toán khoản thanh toán công suất cho các đơn vị phát điện trong thị trường điện.
9. Giá điện năng thị trường là mức giá cho một đơn vị điện năng xác định cho mỗi chu kỳ giao dịch, áp dụng để tính toán khoản thanh toán điện năng cho các đơn vị phát điện trong thị trường điện.
10. Hệ thống điện quốc gia là hệ thống các trang thiết bị phát điện, lưới điện và các trang thiết bị phụ trợ được liên kết với nhau và được chỉ huy thống nhất trong phạm vi cả nước.
11. Hệ thống đo đếm chính là hệ thống bao gồm tất cả các thiết bị đo đếm (công tơ, máy biến dòng điện đo lường, máy biến điện áp đo lường) và mạch điện nhị thứ đấu nối giữa các thiết bị này, được lắp đặt tại các vị trí theo sự thỏa thuận của hai bên dùng làm căn cứ chính để xác định sản lượng điện năng giao nhận.
12. Hệ thống đo đếm dự phòng là hệ thống bao gồm tất cả các thiết bị đo đếm (công tơ, máy biến dòng điện đo lường, máy biến điện áp đo lường) và mạch điện nhị thứ đấu nối giữa các thiết bị này, được lắp đặt tại các vị trí theo sự thỏa thuận của hai bên với mục đích kiểm tra và dự phòng cho Hệ thống đo đếm chính, gồm các thiết bị độc lập với Hệ thống đo đếm chính nhưng có tính năng và tiêu chuẩn kỹ thuật tương đương với các thiết bị của Hệ thống đo đếm chính.
13. Hợp đồng là Hợp đồng mua bán điện này, bao gồm các Phụ lục và các sửa đổi, bổ sung sau này.13
14. Lệnh điều độ là lệnh chỉ huy, điều khiển chế độ vận hành hệ thống điện trong thời gian thực.
15. Ngày là ngày dương lịch.
16. Ngày vận hành thương mại của tổ máy là ngày tổ máy của Nhà máy điện sẵn sàng bán điện cho Bên mua và đáp ứng các điều kiện sau:
a) Nhà máy điện hoàn thành thử nghiệm công suất tin cậy ban đầu đối với tổ máy phát điện của nhà máy nhiệt điện hoặc thử nghiệm nghiệm thu công suất đầy tải đối với tổ máy phát điện nhà máy thuỷ điện;
b) Nhà máy điện đã được cấp giấy phép hoạt động điện lực trong lĩnh vực phát điện;
c) Hai bên chốt chỉ số công tơ để bắt đầu thanh toán theo giá toàn phần trong giai đoạn Thị trường phát điện cạnh tranh.
17. Ngày vận hành thương mại của Nhà máy điện là ngày vận hành thương mại tổ máy phát điện cuối cùng và Nhà máy điện được cấp giấy phép hoạt động điện lực trong lĩnh vực phát điện cho tất cả các tổ máy phát điện.
18. Nhà máy điện là Nhà máy điện [tên Nhà máy điện] có tổng công suất lắp đặt là […] MW, bao gồm […] tổ máy, công suất mỗi tổ máy là […] MW được xây dựng tại [địa điểm của nhà máy].
19. Quy chuẩn và tiêu chuẩn kỹ thuật ngành điện là những quy chuẩn kỹ thuật ngành điện bắt buộc thực hiện do cơ quan nhà nước có thẩm quyền của Việt Nam ban hành và các quy định, tiêu chuẩn, thông lệ được áp dụng trong ngành điện của các tổ chức quốc tế, các nước khác ban hành phù hợp với quy định pháp luật Việt Nam.
20. Thiết bị đấu nối là đường dây tải điện, hệ thống thiết bị đo đếm, điều khiển, rơ le bảo vệ, thiết bị đóng cắt, hệ thống thông tin liên lạc và công trình xây dựng đồng bộ cho việc đấu nối Nhà máy điện đến Điểm đấu nối.
21. Thị trường phát điện cạnh tranh là thị trường điện cấp độ đầu tiên quy định tại Điểm a Khoản 1 Điều 18 Luật Điện lực và hoạt động theo Quy định vận hành thị trường phát điện cạnh tranh do Bộ Công Thương ban hành.
Điều 2. Hiệu lực và thời hạn Hợp đồng
1. Hiệu lực Hợp đồng
Hợp đồng có hiệu lực từ ngày được đại diện có thẩm quyền của hai bên ký chính thức, trừ trường hợp các bên có thỏa thuận khác.
2. Thời hạn Hợp đồng
Trừ khi gia hạn hoặc chấm dứt Hợp đồng trước thời hạn, thời hạn Hợp đồng được quy định như sau:
a) Đối với Nhà máy điện mới hoặc Nhà máy điện hiện có đang còn nghĩa vụ trả các khoản nợ dài hạn cho đầu tư xây dựng Nhà máy điện: Thời hạn Hợp đồng kể từ ngày Hợp đồng có hiệu lực đến thời điểm muộn hơn của một trong hai thời điểm sau:
(i) Ngày kết thúc hoạt động của Thị trường phát điện cạnh tranh do cơ quan nhà nước có thẩm quyền quyết định;
(ii) 10 năm kể từ Ngày vận hành thương mại của Nhà máy điện và không bao gồm thời gian xảy ra sự kiện bất khả kháng trừ trường hợp được quy định tại khoản 4 Điều 12 của Hợp đồng.
b) Đối với Nhà máy điện hiện có không còn nghĩa vụ trả các khoản nợ dài hạn cho đầu tư xây dựng Nhà máy điện, thời hạn Hợp đồng kể từ ngày Hợp đồng có hiệu lực đến ngày kết thúc hoạt động của Thị trường phát điện cạnh tranh do cơ quan nhà nước có thẩm quyền quyết định.
Điều 3. Mua bán điện năng
1. Giá hợp đồng: quy định tại mục I Phụ lục V của Hợp đồng.
Hai bên thỏa thuận, thống nhất giá cố định từng năm FCj (đồng/kWh) sau khi hết thời hạn Hợp đồng đến hết đời sống kinh tế nhà máy điện quy định tại khoản 1.2 mục I Phụ lục V của Hợp đồng đối với nhà máy nhiệt điện hoặc khoản 2.2 mục I Phụ lục V của Hợp đồng đối với nhà máy thủy điện để làm căn cứ quy định giá điện của nhà máy điện cho các Hợp đồng mua bán điện tiếp theo.
2. Sản lượng hợp đồng: quy định tại mục II Phụ lục V của Hợp đồng.
3. Tiền điện thanh toán: Hàng tháng, Bên mua có nghĩa vụ thanh toán cho Bên bán các khoản tiền bao gồm:
a) Tổng số tiền thanh toán sai khác do Bên bán tính toán theo quy định tại Mục III Phụ lục V của Hợp đồng;
b) Tổng các khoản thanh toán thị trường điện theo bảng kê thanh toán tháng (bao gồm khoản thanh toán điện năng thị trường, khoản thanh toán công suất thị trường và các khoản thanh toán khác trên thị trường điện) do Đơn vị vận hành hệ thống điện và thị trường điện quốc gia cung cấp;
c) Tổng các khoản thanh toán khác phát sinh do lãi chậm trả, các khoản thanh toán hiệu chỉnh (nếu có);
d) Các khoản thuế, phí theo quy định, bao gồm cả các khoản thuế, phí liên quan phát sinh do thay đổi luật, quy định của cơ quan nhà nước có thẩm quyền (nếu có).
Hai bên thỏa thuận, thống nhất thực hiện các khoản thanh toán phát sinh do giải quyết tranh chấp theo quy định tại khoản 4 Điều 8 của Hợp đồng.
4. Trong thời gian dừng thị trường điện hoặc nhà máy không tham gia thị trường điện: Tiền điện cho phần điện năng trong thời gian dừng thị trường được xác định theo giá hợp đồng tại mục I Phụ lục V của Hợp đồng.
Điều 4. Cam kết thực hiện
Hai bên cam kết như sau:
1. Mỗi bên được thành lập hợp pháp để hoạt động theo pháp luật Việt Nam và có đủ thẩm quyền tham gia ký kết và thực hiện Hợp đồng, có đủ năng lực hoạt động kinh doanh, sở hữu tài sản và thực hiện các nghĩa vụ trong Hợp đồng.
2. Việc ký kết và thực hiện Hợp đồng của một bên không vi phạm các quy định trong điều lệ doanh nghiệp của bên đó, không vi phạm các quy định của pháp luật và quyết định, bản án của toà án mà bên đó là đối tượng áp dụng hoặc hợp đồng, thoả thuận khác mà bên đó là một bên tham gia.
3. Việc ký kết và thực hiện Hợp đồng của các bên được thực hiện đúng theo điều kiện và nội dung của Giấy phép hoạt động điện lực được cơ quan có thẩm quyền cấp và các quy định của pháp luật có liên quan.
4. Hai bên không phải là đối tượng bị kiện trong vụ kiện tại toà án hoặc trọng tài thương mại hoặc cơ quan nhà nước có thẩm quyền, mà kết quả của vụ kiện này có thể làm thay đổi đáng kể khả năng tài chính hoặc khả năng thực hiện nghĩa vụ của các bên theo Hợp đồng, hoặc có thể gây ảnh hưởng tới giá trị và hiệu lực của Hợp đồng.
5. Hai bên cam kết thực hiện đúng các nghĩa vụ và nội dung quy định tại Hợp đồng.
Điều 5. Nghĩa vụ của Bên bán trước ngày vận hành thương mại
1. Yêu cầu về các loại giấy phép và văn bản phê duyệt
a) Bên bán có nghĩa vụ thực hiện các thủ tục theo quy định để được cấp các loại giấy phép và văn bản phê duyệt cần thiết của cơ quan có thẩm quyền cho quá trình xây dựng, vận hành Nhà máy điện; cam kết tuân thủ và duy trì các điều kiện hiệu lực của các loại giấy phép đó theo quy định của pháp luật trong thời hạn Hợp đồng;
b) Trong thời hạn 30 ngày sau Ngày vận hành thương mại của tổ máy và của Nhà máy điện, Bên bán có nghĩa vụ cung cấp cho Bên mua bản sao hợp lệ các giấy phép và văn bản quy định tại mục II Phụ lục VII của Hợp đồng.
2. Báo cáo các mốc thời gian thực hiện dự án
a) Bên bán cam kết đảm bảo các mốc thời gian thực hiện dự án tại mục I Phụ lục VII của Hợp đồng;
b) Trước ngày 05 tháng đầu tiên hàng quý, Bên bán có nghĩa vụ lập và gửi cho Bên mua báo cáo tiến độ xây dựng Nhà máy điện kèm theo bản sao hợp lệ các tài liệu có liên quan để chứng minh tiến độ thực hiện của dự án, đánh giá tiến độ so với các cam kết trước đó và đề xuất giải pháp để đảm bảo các mốc thời gian thực hiện dự án.
3. Đấu nối, thử nghiệm và vận hành
Trước Ngày vận hành thương mại, Bên bán có nghĩa vụ thực hiện đấu nối, thử nghiệm, vận hành Nhà máy điện và các thiết bị đấu nối theo Quy định hệ thống điện truyền tải do Bộ Công Thương ban hành, Quy chuẩn và tiêu chuẩn kỹ thuật ngành điện và cung cấp cho Bên mua bản sao hợp lệ các kết quả thử nghiệm của Nhà máy điện.
4. Ngày vận hành thương mại
a) Bên bán có nghĩa vụ đạt được Ngày vận hành thương mại theo mốc thời gian thực hiện dự án được hai bên thỏa thuận tại Phụ lục VII của Hợp đồng hoặc các hiệu chỉnh sau đó. Chậm nhất 03 tháng trước Ngày vận hành thương mại của từng tổ máy, Bên bán có nghĩa vụ thông báo bằng văn bản chính thức cho Bên mua về khả năng đạt được ngày vận hành thương mại. Bên bán phải gửi thông báo về việc đạt được ngày vận hành thương mại cho Bên mua; Bên bán xem như chưa đạt được ngày vận hành thương mại nếu không gửi thông báo cho Bên mua về việc đạt được ngày vận hành thương mại và cung cấp các tài liệu theo quy định tại Phụ lục VII của Hợp đồng;
b) Trường hợp không đạt được Ngày vận hành thương mại cho từng tổ máy, Bên bán có quyền gửi văn bản cho Bên mua đề nghị hiệu chỉnh Ngày vận hành thương mại, trong đó phải nêu rõ lý do đề nghị hiệu chỉnh. Chậm nhất 10 ngày kể từ ngày nhận được văn bản đề nghị hiệu chỉnh Ngày vận hành thương mại của Bên bán, Bên mua phải có văn bản trả lời về việc hiệu chỉnh. Trường hợp không chấp thuận đề nghị hiệu chỉnh ngày vận hành thương mại của Bên bán, Bên mua phải nêu rõ lý do.
Điều 6. Trách nhiệm đấu nối và hệ thống đo đếm
1. Trách nhiệm đấu nối
Bên bán có trách nhiệm:
a) Thỏa thuận, đầu tư, quản lý, vận hành các trang thiết bị để đấu nối, truyền tải và giao điện cho Bên mua đến Điểm giao nhận điện theo Quy định hệ thống điện truyền tải do Bộ Công Thương ban hành, Quy chuẩn và tiêu chuẩn kỹ thuật ngành điện có liên quan;
b) Thỏa thuận, đầu tư, lắp đặt, quản lý, vận hành và bảo dưỡng thiết bị thuộc hệ thống thu thập, truyền số liệu, hệ thống rơ le bảo vệ và tự động điều khiển của Nhà máy điện để ghép nối với hệ thống SCADA/EMS giữa Nhà máy điện và Đơn vị vận hành hệ thống điện và thị trường điện quốc gia phục vụ cho vận hành Nhà máy điện trong thị trường điện.
2. Hệ thống đo đếm
a) Bên bán có trách nhiệm đầu tư, lắp đặt, quản lý, vận hành, bảo dưỡng và kiểm định định kỳ hàng năm thiết bị của Hệ thống đo đếm chính và Hệ thống đo đếm dự phòng phù hợp với Quy định đo đếm điện năng do Bộ Công Thương ban hành. Việc kiểm tra, kiểm định thiết bị đo đếm hoặc xác nhận độ chính xác của thiết bị đo đếm phải do tổ chức có thẩm quyền hoặc được uỷ quyền thực hiện. Các thiết bị đo đếm phải được niêm phong, kẹp chì sau khi kiểm định;
b) Trường hợp cần thiết, một bên có quyền yêu cầu kiểm tra bổ sung hoặc kiểm định bất thường thiết bị và hệ thống đo đếm. Bên bán có trách nhiệm tổ chức kiểm tra, kiểm định khi nhận được yêu cầu của Bên mua. Nếu sai số của thiết bị đo đếm được kiểm tra, kiểm định bất thường lớn hơn giới hạn cho phép thì Bên bán phải trả chi phí cho việc kiểm tra, kiểm định bất thường; nếu sai số của thiết bị đo đếm được kiểm tra, kiểm định bất thường trong phạm vi giới hạn cho phép thì chi phí kiểm định do bên đề nghị thanh toán;
c) Bên bán có nghĩa vụ thông báo cho Bên mua kết quả kiểm định thiết bị đo đếm. Bên bán có nghĩa vụ thông báo trước cho Bên mua về việc kiểm tra, kiểm định hệ thống đo đếm. Bên mua có trách nhiệm cử người tham gia chứng kiến quá trình kiểm tra, kiểm định, dỡ niêm phong, niêm phong và kẹp chì công tơ;
d) Trường hợp thiết bị đo đếm có sai số lớn hơn mức cho phép theo Quy định đo đếm điện năng do Bộ Công Thương ban hành, Bên bán có trách nhiệm hiệu chỉnh hoặc thay thế thiết bị đo đếm đó. Trường hợp một bên cho rằng công tơ bị hỏng hoặc không hoạt động thì bên đó phải thông báo ngay cho bên kia, Bên bán có nghĩa vụ kiểm tra và sửa chữa;
đ) Sản lượng điện mua bán giữa Bên mua và Bên bán được xác định theo phương thức giao nhận điện năng tại Phụ lục II của Hợp đồng.
Trường hợp Hệ thống đo đếm chính bị sự cố hoặc kết quả kiểm định cho thấy Hệ thống đo đếm chính có mức sai số cao hơn cấp chính xác quy định thì sản lượng điện năng mua bán giữa hai bên trong thời gian Hệ thống đo đếm chính bị sự cố hoặc có sai số vượt quá quy định được xác định bằng kết quả đo đếm của Hệ thống đo đếm dự phòng. Trường hợp Hệ thống đo đếm dự phòng cũng bị sự cố hoặc kết quả kiểm định cho thấy Hệ thống đo đếm dự phòng có sai số vượt quá mức cho phép thì lượng điện mua bán giữa hai bên được xác định như sau:
(i) Trường hợp Hệ thống đo đếm chính có hoạt động nhưng có mức sai số cao hơn cấp chính xác quy định thì sản lượng điện mua bán giữa hai bên được xác định bằng kết quả đo đếm của Hệ thống đo đếm chính được quy đổi về giá trị điện năng tương ứng với mức sai số bằng 0%. Trên cơ sở kết quả đo đếm hiệu chỉnh được hai bên thống nhất, Bên bán có nghĩa vụ tính toán xác định khoản tiền mà một bên phải trả cho bên kia trong khoảng thời gian Hệ thống đo đếm không chính xác;
(ii) Trường hợp Hệ thống đo đếm chính bị sự cố không hoạt động, hai bên căn cứ vào tình trạng sự cố và sai số thực tế của các hệ thống đo đếm trên cơ sở các biên bản của đơn vị kiểm định và số liệu được hai bên công nhận để thống nhất phương pháp tính toán và xác định sản lượng điện năng cần hiệu chỉnh trong thời gian đo đếm không chính xác. Nếu không thống nhất về phương pháp và kết quả sản lượng điện năng mua bán cần hiệu chỉnh thì hai bên có trách nhiệm thực hiện thủ tục giải quyết tranh chấp tại Điều 11 của Hợp đồng;
e) Trường hợp thiết bị đo đếm bị cháy hoặc hư hỏng, Bên bán có nghĩa vụ thay thế hoặc sửa chữa trong thời gian ngắn nhất để các thiết bị đo đếm đảm bảo yêu cầu kỹ thuật và hoạt động trở lại bình thường. Các thiết bị được sửa chữa hoặc thay thế phải được kiểm định theo quy định trước khi đưa vào sử dụng.
Điều 7. Điều độ và vận hành Nhà máy điện
1. Nghĩa vụ đăng ký phương thức huy động
Bên bán có nghĩa vụ đăng ký với Đơn vị vận hành hệ thống điện và thị trường điện quốc gia và gửi cho Bên mua bản đăng ký phương thức huy động từng tổ máy của Nhà máy điện theo Quy định về trình tự, thủ tục lập, phê duyệt kế hoạch vận hành hệ thống điện quốc gia do Cục Điều tiết điện lực ban hành, Quy định hệ thống điện truyền tải và Quy trình điều độ hệ thống điện do Bộ Công Thương ban hành, Quy trình phối hợp vận hành giữa Bên bán và Đơn vị vận hành hệ thống điện và thị trường điện.
2. Vận hành Nhà máy điện
a) Bên bán có trách nhiệm tuân thủ các quy định về điều độ và vận hành Nhà máy điện theo Quy định hệ thống điện truyền tải, Quy định vận hành thị trường phát điện cạnh tranh và Quy trình điều độ hệ thống điện do Bộ Công Thương ban hành; Quy chuẩn và tiêu chuẩn kỹ thuật ngành điện và các văn bản có liên quan khác. Bên bán có nghĩa vụ bảo dưỡng, vận hành các tổ máy của Nhà máy điện theo đặc tính kỹ thuật tại Phụ lục I và Phụ lục III của Hợp đồng;
b) Bên bán có nghĩa vụ lắp đặt, vận hành và bảo dưỡng các thiết bị để hoà đồng bộ Nhà máy điện với hệ thống điện quốc gia. Bên bán có trách nhiệm tuân thủ Quy định hệ thống điện truyền tải do Bộ Công Thương ban hành, Quy chuẩn và tiêu chuẩn kỹ thuật ngành điện và các quy định về điều độ khi hoà đồng bộ Nhà máy điện với hệ thống điện quốc gia;
c) Trường hợp phương thức vận hành hệ thống điện quốc gia đe dọa gây sự cố các thiết bị chính của Nhà máy điện, gây thương tích hoặc thiệt hại về người và thiết bị, Bên bán có quyền tách các tổ máy khỏi Hệ thống điện.
Điều 8. Lập hoá đơn và thanh toán
1. Lập hóa đơn và thanh toán tiền điện
a) Trước ngày 05 hàng tháng, Bên bán gửi thông báo thanh toán tiền điện kèm theo hồ sơ thanh toán của tháng trước liền kề cho Bên mua.
Nội dung hồ sơ thanh toán cho giai đoạn trước khi tham gia Thị trường phát điện cạnh tranh gồm: Bảng tổng hợp giá trị thanh toán theo Hợp đồng; biên bản xác nhận sản lượng điện năng theo chỉ số chốt công tơ; các văn bản liên quan khác kèm theo (nếu có).
Nội dung hồ sơ thanh toán hợp đồng khi tham gia Thị trường phát điện cạnh tranh gồm: Bảng tính toán chi tiết tổng số tiền thanh toán sai khác, tổng các khoản thanh toán khác phát sinh (nếu có) và các khoản thuế, phí theo quy định do Bên bán thực hiện theo quy định tại mục III Phụ lục V của Hợp đồng và các văn bản liên quan khác kèm theo (nếu có).
b) Trong thời hạn 03 ngày kể từ ngày nhận được hồ sơ thanh toán, Bên mua kiểm tra tính chính xác của hồ sơ thanh toán. Trường hợp phát hiện có sai sót, Bên mua thông báo bằng văn bản cho Bên bán để hoàn chỉnh hồ sơ thanh toán. Sau khi kiểm tra hồ sơ thanh toán, Bên mua gửi thông báo xác nhận hồ sơ thanh toán cho Bên bán;
c) Trước ngày 20 hàng tháng, Bên bán phát hành và gửi hoá đơn thanh toán cho Bên mua. Hóa đơn thanh toán được lập theo quy định của Bộ Tài chính;
d) Đến ngày đến hạn thanh toán do hai bên thỏa thuận, Bên mua có nghĩa vụ thanh toán toàn bộ khoản tiền ghi trong hóa đơn thanh toán tiền điện của tháng trước liền kề bằng phương thức chuyển khoản. Phí chuyển khoản do Bên mua chịu;
đ) Trường hợp tại thời điểm phát hành hóa đơn thanh toán mà không có đủ số liệu để lập hóa đơn (bao gồm cả bản kê thanh toán do Đơn vị vận hành hệ thống điện và thị trường điện quốc gia cung cấp), Bên bán có quyền tạm tính tiền điện thanh toán trên cơ sở ước tính hợp lý các số liệu còn thiếu, giá điện tạm tính bằng 80% giá điện Hợp đồng. Khoản tiền thanh toán hiệu chỉnh được bù trừ vào tiền điện thanh toán của tháng có số liệu chính thức.
2. Tranh chấp trong thanh toán
a) Trường hợp không đồng ý với một phần hoặc toàn bộ khoản tiền ghi trong hóa đơn thanh toán, Bên mua phải có thông báo bằng văn bản trước ngày đến hạn thanh toán về khoản tiền ghi trong hóa đơn và lý do không đồng ý. Bên mua có nghĩa vụ thanh toán toàn bộ khoản tiền không tranh chấp trước hoặc trong ngày đến hạn thanh toán;
b) Trong thời hạn 15 ngày kể từ ngày nhận được thông báo về khoản tiền tranh chấp, Bên bán phải gửi văn bản trả lời chính thức cho Bên mua. Trường hợp hai bên không thống nhất về khoản tiền tranh chấp, một trong hai bên có quyền thực hiện các quy định giải quyết tranh chấp tại Điều 13 của Hợp đồng.
Trường hợp tranh chấp phát sinh từ thông tin trong bản kê thanh toán của Đơn vị vận hành hệ thống điện và thị trường điện quốc gia, các bên phải áp dụng các quy định giải quyết tranh chấp trong thị trường điện quy định tại Quy định vận hành thị trường điện do Bộ Công Thương ban hành.
c) Trường hợp một bên không có văn bản thông báo tranh chấp về khoản tiền thanh toán trong thời hạn 30 ngày kể từ ngày phát hành hóa đơn thì bên đó được xem là từ bỏ quyền khiếu nại về khoản tiền phải thanh toán trong hóa đơn đã phát hành.
3. Xác định tiền lãi
Việc tính lãi được áp dụng cho:
a) Khoản tiền điện hàng tháng chậm trả khi đến hạn thanh toán quy định tại điểm d khoản 1 Điều này;
b) Khoản tiền phải trả theo quyết định giải quyết tranh chấp quy định tại Điều 13 của Hợp đồng;
c) Khoản hiệu chỉnh tiền điện phải thanh toán hàng tháng theo quy định tại điểm đ khoản 1 Điều này.
Tiền lãi được ghép lãi hàng tháng từ ngày ngay sau ngày đến hạn thanh toán đến ngày thanh toán thực tế với lãi suất được tính bằng trung bình của lãi suất tiền gửi bằng đồng Việt Nam vào ngày đến hạn thanh toán tại hóa đơn, kỳ hạn 12 tháng trả sau dành cho khách hàng cá nhân của bốn ngân hàng thương mại gồm Ngân hàng thương mại cổ phần Ngoại thương Việt Nam, Ngân hàng thương mại cổ phần Công thương Việt Nam, Ngân hàng thương mại cổ phần Đầu tư và Phát triển Việt Nam, Ngân hàng Nông nghiệp và phát triển nông thôn Việt Nam hoặc đơn vị kế thừa hợp pháp của các ngân hàng này cộng biên lãi suất 3%/năm.
4. Bù trừ
Các bên có thể bù trừ khoản nợ, các khoản tiền tranh chấp đã được giải quyết, các khoản tiền hiệu chỉnh và tiền lãi vào tiền điện thanh toán hàng tháng khi lập hóa đơn cho tháng thanh toán gần nhất.
Điều 9. Sự kiện ảnh hưởng việc thực hiện Hợp đồng và chế tài áp dụng
1. Các sự kiện ảnh hưởng việc thực hiện Hợp đồng của Bên mua
a) Các sự kiện liên quan đến giải thể, phá sản của Bên bán gồm:
(i) Bên bán bị giải thể (trừ khi việc giải thể là để sáp nhập hoặc hợp nhất);
(ii) Bên bán không có khả năng thanh toán các khoản nợ đến hạn;
(iii) Bên bán thực hiện việc chuyển nhượng hoặc sáp nhập toàn bộ công ty với bên chủ nợ hoặc sáp nhập vì lợi ích của bên chủ nợ;
(iv) Bên bán có quyết định của Tòa án về việc mở thủ tục phá sản đối với Bên bán.
b) Bên bán vi phạm nghiêm trọng các nghĩa vụ theo quy định của Hợp đồng và vi phạm này không được khắc phục trong thời hạn 90 ngày kể từ ngày có thông báo của Bên mua về hành vi vi phạm đó;
c) Bên bán bị đình chỉ hoạt động theo quyết định của cơ quan có thẩm quyền.
2. Các sự kiện ảnh hưởng việc thực hiện Hợp đồng của Bên bán
a) Các sự kiện liên quan đến giải thể, phá sản của Bên mua gồm:
(i) Bên mua bị giải thể (trừ khi việc giải thể là để sáp nhập hoặc hợp nhất);
(ii) Bên mua không có khả năng thanh toán các khoản nợ đến hạn;
(iii) Bên mua thực hiện việc chuyển nhượng hoặc sáp nhập toàn bộ công ty với bên chủ nợ hoặc sáp nhập vì lợi ích của bên chủ nợ;
(iv) Bên mua có quyết định của Tòa án về việc mở thủ tục phá sản đối với Bên mua.
b) Bên mua vi phạm nghiêm trọng các nghĩa vụ theo quy định Hợp đồng và vi phạm này không được khắc phục trong thời hạn 90 ngày kể từ ngày có thông báo của Bên bán về hành vi vi phạm đó;
c) Bên mua bị đình chỉ hoạt động theo quyết định của cơ quan có thẩm quyền.
3. Chế tài áp dụng
a) Trường hợp xảy ra sự kiện ảnh hưởng việc thực hiện Hợp đồng của một bên, bên bị ảnh hưởng có quyền áp dụng các chế tài được quy định tại Điều 10 của Hợp đồng đối với bên gây ra ảnh hưởng;
b) Chế tài áp dụng trong Hợp đồng này không loại trừ lẫn nhau và không làm ảnh hưởng tới việc thực hiện các chế tài khác.
Điều 10. Chấm dứt và đình chỉ thực hiện Hợp đồng
1. Chấm dứt Hợp đồng theo thỏa thuận
Các bên có quyền thỏa thuận bằng văn bản để chấm dứt Hợp đồng trước thời hạn.
2. Đơn phương chấm dứt Hợp đồng
a) Trường hợp xảy ra sự kiện ảnh hưởng việc thực hiện Hợp đồng theo quy định tại điểm a, điểm c khoản 1; điểm a, điểm c khoản 2 Điều 9 của Hợp đồng và sự kiện này kéo dài làm ảnh hưởng tới một bên trong Hợp đồng, bên bị ảnh hưởng có quyền đơn phương chấm dứt Hợp đồng sau 90 ngày kể từ ngày gửi thông báo cho bên kia;
b) Trường hợp xảy ra sự kiện bất khả kháng đối với một bên và sự kiện này kéo dài từ 180 ngày trở lên, bên kia có quyền đơn phương chấm dứt Hợp đồng sau 30 ngày kể từ ngày gửi thông báo;
c) Trường hợp xảy ra sự kiện ảnh hưởng việc thực hiện Hợp đồng của một bên theo quy định tại điểm b khoản 1, điểm b khoản 2 Điều 9 của Hợp đồng, bên bị ảnh hưởng có quyền đơn phương chấm dứt Hợp đồng sau 30 ngày kể từ ngày gửi thông báo.
3. Đình chỉ thực hiện Hợp đồng
Bên mua có quyền đình chỉ thực hiện Hợp đồng, sau khi thông báo cho Bên bán, trong trường hợp Bên bán bị Cục Điều tiết điện lực đình chỉ quyền tham gia Thị trường phát điện cạnh tranh hoặc bị cơ quan có thẩm quyền đình chỉ hoạt động điện lực trong lĩnh vực phát điện. Thời hạn đình chỉ thực hiện Hợp đồng không vượt quá thời hạn đình chỉ quyền tham gia Thị trường phát điện cạnh tranh hoặc thời hạn đình chỉ hoạt động điện lực.
Điều 11. Bồi thường thiệt hại
1. Bên vi phạm có trách nhiệm bồi thường thiệt hại do hành vi vi phạm gây ra cho Bên bị vi phạm về những tổn thất, thiệt hại hay các chi phí mà Bên bị vi phạm phải chịu trong quá trình thực hiện các quyền và nghĩa vụ của mình theo Hợp đồng. Cách tính toán giá trị thiệt hại thực hiện theo quy định tại Bộ luật Dân sự.
2. Trong trường hợp có yêu cầu bồi thường, Bên được bồi thường thông báo ngay bằng văn bản cho Bên bồi thường xác định tính chất của sự việc yêu cầu được bồi thường. Sự chậm trễ của Bên được bồi thường trong việc gửi thông báo sẽ không ảnh hưởng đến nghĩa vụ bồi thường của Bên bồi thường, trừ trường hợp Bên bồi thường thực sự bị thiệt hại bởi sự chậm trễ thông báo của Bên được bồi thường.
Điều 12. Các trường hợp miễn trách nhiệm đối với hành vi vi phạm
1. Bên vi phạm hợp đồng được miễn trách nhiệm trong các trường hợp sau đây:
a) Xảy ra trường hợp miễn trách nhiệm mà các bên đã thỏa thuận;
b) Hành vi vi phạm của một bên hoàn toàn do lỗi của bên kia;
c) Hành vi vi phạm của một bên do thực hiện quyết định của cơ quan quản lý nhà nước có thẩm quyền mà các bên không thể biết được vào thời điểm giao kết hợp đồng;
d) Xảy ra trường hợp bất khả kháng
Bất khả kháng là các sự kiện, các tình huống xảy ra không thể tránh được, ngoài khả năng kiểm soát của một bên làm ngăn cản hoặc gây trì hoãn việc thực hiện một phần hoặc toàn bộ nghĩa vụ theo Hợp đồng của bên đó mặc dù đã thực hiện các biện pháp hợp lý.
Các sự kiện được xem là sự kiện hoặc tình huống bất khả kháng là các sự kiện, tình huống làm cản trở hoặc gây trì hoãn việc thực hiện nghĩa vụ Hợp đồng của các bên với điều kiện các sự kiện và tình huống đó không nằm trong khả năng kiểm soát hợp lý của bên bị ảnh hưởng, không do lỗi hay sự bất cẩn của bên bị ảnh hưởng và bên bị ảnh hưởng vẫn không thể tránh được nếu áp dụng các biện pháp, thông lệ, quy trình, tiêu chuẩn hợp lý, bao gồm nhưng không giới hạn các sự kiện hoặc tình huống sau:
i) Quyết định của tòa án hoặc cơ quan có thẩm quyền ảnh hưởng bất lợi đến khả năng thực hiện nghĩa vụ theo Hợp đồng của một bên;
ii) Các sự kiện do thiên tai như cháy, nổ, hạn hán, lũ lụt, núi lửa phun trào, động đất, lở đất, triều cường, bão, lốc xoáy, bão lớn hoặc các sự kiện tương tự;
iii) Bạo động, biểu tình, nổi loạn, phiến loạn, các hoạt động của chiến tranh dù chiến tranh có được tuyên bố hay không, các hoạt động chống đối, khủng bố, phá hoại, cấm vận, phong toả, kiểm dịch hoặc các sự kiện tương tự;
iv) Nhà máy điện hoặc các tài sản của Bên bán bị quốc hữu hóa, tước quyền sở hữu hoặc tịch thu theo quyết định của cơ quan nhà nước có thẩm quyền;
v) Bên bán không được các cơ quan có thẩm quyền cấp các văn bản cho phép, các văn bản phê duyệt cần thiết mặc dù Bên bán đã tuân thủ tất cả các nghĩa vụ được quy định theo pháp luật liên quan đến việc cấp các văn bản cho phép, các văn bản phê duyệt nói trên.
2. Thông báo và và xác nhận trường hợp miễn trách nhiệm
a) Bên vi phạm hợp đồng phải thông báo ngay bằng văn bản cho bên kia về trường hợp được miễn trách nhiệm và những hậu quả có thể xảy ra;
b) Khi trường hợp miễn trách nhiệm chấm dứt, bên vi phạm hợp đồng phải thông báo ngay cho bên kia biết; nếu bên vi phạm không thông báo hoặc thông báo không kịp thời cho bên kia thì phải bồi thường thiệt hại.
c) Bên vi phạm có nghĩa vụ chứng minh với bên bị vi phạm về trường hợp miễn trách nhiệm của mình.
3. Miễn trách nhiệm do sự kiện bất khả kháng, từ chối thực hiện hợp đồng trong trường hợp bất khả kháng
a) Bên vi phạm hợp đồng do sự kiện bất khả kháng có trách nhiệm thường xuyên cung cấp các báo cáo cho bên kia về quá trình thực hiện các biện pháp khắc phục sự kiện bất khả kháng hoặc các thông tin khác theo yêu cầu hợp lý của bên kia để chứng minh việc viện dẫn sự kiện bất khả kháng; thông báo cho bên kia về thời điểm kết thúc sự kiện bất khả kháng trong thời hạn 48 giờ từ thời điểm kết thúc, trừ trường hợp mất thông tin liên lạc;
b) Bên bị ảnh hưởng bởi sự kiện bất khả kháng chỉ được miễn trách nhiệm liên quan tới việc không thực hiện hoặc chậm trễ thực hiện các nghĩa vụ theo Hợp đồng do sự kiện bất khả kháng gây ra sau khi đã có thông báo và thực hiện trách nhiệm khắc phục theo quy định tại điểm a Khoản này;
c) Trong trường hợp bất khả kháng, nếu một bên bị cản trở thực hiện nghĩa vụ theo Hợp đồng trong thời hạn 180 ngày hoặc trong thời hạn dài hơn, một trong hai bên có quyền đơn phương chấm dứt Hợp đồng theo quy định tại điểm b khoản 2 Điều 10 của Hợp đồng.
Điều 13. Giải quyết tranh chấp
1. Trường hợp xảy ra tranh chấp giữa các bên trong Hợp đồng, bên tranh chấp phải thông báo bằng văn bản cho bên kia về nội dung tranh chấp. Các bên có trách nhiệm trao đổi để giải quyết tranh chấp trong thời hạn 60 ngày kể từ ngày có thông báo của bên đưa ra tranh chấp. Đối với các tranh chấp về thanh toán các khoản chi phí, các bên có trách nhiệm trao đổi trong thời hạn 15 ngày. Các bên có quyền thỏa thuận bằng văn bản về việc kéo dài thời hạn trao đổi để giải quyết tranh chấp.
2. Trường hợp hai bên không thể giải quyết tranh chấp thông qua trao đổi trong thời hạn quy định tại khoản 1 Điều này, hai bên thống nhất chuyển vụ việc tranh chấp đến Cục Điều tiết điện lực hoặc cơ quan giải quyết tranh chấp khác do hai bên thống nhất lựa chọn để giải quyết tranh chấp theo quy định của pháp luật có liên quan.
Điều 14. Tái cơ cấu ngành điện và chuyển giao quyền và nghĩa vụ
1. Tái cơ cấu ngành điện và chuyển giao quyền và nghĩa vụ tại Bên mua
Hai bên thống nhất chấp nhận trường hợp Bên mua có thể phải tổ chức lại, tái cơ cấu hoặc giải thể hoặc bị loại bỏ dần chức năng mua điện duy nhất của để thực hiện kế hoạch chuyển đổi mô hình hoạt động của ngành điện sang thị trường điện cạnh tranh theo lộ trình đã được Thủ tướng Chính phủ phê duyệt hoặc các văn bản thay thế sau này. Khi Cơ quan nhà nước có thẩm quyền có quyết định về việc tổ chức lại, tái cơ cấu hoặc giải thể, Bên mua có quyền chuyển giao toàn bộ hay một phần các quyền và nghĩa vụ của mình theo Hợp đồng mà không cần có sự chấp thuận của Bên bán cho một hoặc nhiều đơn vị kế thừa do cơ quan nhà nước có thẩm quyền quyết định và các đơn vị này có trách nhiệm thực hiện các quyền, nghĩa vụ pháp lý của Bên mua theo quy định của pháp luật.
Bên bán phải có văn bản chấp thuận mọi sự chuyển giao hoặc ủy quyền thực hiện các quyền, nghĩa vụ theo Hợp đồng này của Bên mua.
2. Chuyển giao quyền và nghĩa vụ của Bên bán
Bên bán chỉ có quyền chuyển giao quyền và nghĩa vụ của mình theo Hợp đồng cho một hoặc nhiều đơn vị kế thừa khi có sự thỏa thuận trước bằng văn bản của Bên mua. Văn bản thỏa thuận của Bên mua không được từ chối không có lý do việc thực hiện chuyển giao hoặc ủy quyền này của Bên bán, trừ trường hợp Bên bán có thể ủy quyền hay chuyển nhượng mà không cần có thỏa thuận với Bên mua về một số hoặc tất cả các quyền và nghĩa vụ theo Hợp đồng của Bên bán liên quan đến cấp vốn hoặc các thu xếp tài chính khác cho Nhà máy điện. Hợp đồng này tiếp tục có hiệu lực để mang lại lợi ích và việc thực hiện các nghĩa vụ của các đơn vị kế thừa hoặc đơn vị được ủy thác hoặc đơn vị được chuyển giao của Bên bán.
3. Giai đoạn chuyển tiếp sang thị trường bán buôn cạnh tranh
Trong thời hạn Hợp đồng,trường hợp Thị trường phát điện cạnh tranh được thay thế bằng thị trường bán buôn cạnh tranh hoặc loại hình thị trường khác do cơ quan nhà nước có thẩm quyền quyết định, các bên có nghĩa vụ đàm phán để sửa đổi hoặc thay thế Hợp đồng này phù hợp với cấu trúc thị trường điện mới với điều kiện giá trị kinh tế của Hợp đồng đối với các bên không bị ảnh hưởng.
Điều 15. Lưu giữ hồ sơ và cung cấp thông tin
1. Lưu giữ hồ sơ
Các bên có nghĩa vụ lưu giữ các hồ sơ, dữ liệu, tài liệu hoặc các thông tin cần thiết để xác minh tính chính xác của hóa đơn, các loại giá hoặc các tính toán theo Hợp đồng hoặc để xác minh các bên đã tuân thủ các nội dung của Hợp đồng.
2. Cung cấp thông tin
Mỗi bên có trách nhiệm cung cấp số liệu, tài liệu hoặc các chứng từ cần thiết trong mức độ hợp lý cho bên kia để xác minh tính chính xác của các hóa đơn thanh toán, cách tính giá hoặc các tính toán theo Hợp đồng hoặc để xác minh các bên đã tuân thủ các nội dung của Hợp đồng.
Điều 16. Các chi phí khác
Mỗi bên có trách nhiệm nộp các khoản thuế và phí hoặc thanh toán các khoản nợ phát sinh của mình khi thực hiện Hợp đồng. Hai bên thống nhất Hợp đồng này không bao gồm chi phí truyền tải điện, chi phí phân phối điện, chi phí đấu nối hoặc các chi phí tương tự khác và mỗi bên phải có trách nhiệm thanh toán các loại chi phí đó theo quy định hiện hành.
Điều 17. Đại diện có thẩm quyền và trao đổi thông tin
1. Đại diện có thẩm quyền
Đại diện có thẩm quyền của hai bên trong Hợp đồng là:
Bên bán: Bên mua:
_________________________ __________________________
_________________________ __________________________
2. Trao đổi thông tin
a) Các thông báo, hoá đơn hoặc các trao đổi thông tin cần thiết khác trong quá trình thực hiện Hợp đồng phải được lập thành văn bản, nêu rõ ngày lập, sự liên quan đến Hợp đồng. Trường hợp gửi bằng fax thì phải gửi bản gốc đến sau bằng dịch vụ bưu điện với bưu phí đã được trả trước. Thông báo, hoá đơn hoặc các trao đổi thông tin phải được gửi theo các địa chỉ sau:
Bên bán: ________________________________
________________________________
Bên mua: ________________________________
________________________________
b) Thông báo, hoá đơn hoặc các trao đổi thông tin khác được gửi theo các hình thức quy định tại điểm a Khoản này được xem là đã được giao và nhận tại thời điểm:
(i) khi giao, trong trường hợp giao tận tay; hoặc:
(ii) khi ký nhận thư bảo đảm, trong trường hợp gửi bằng thư bảo đảm; hoặc:
(iii) tại thời điểm thực tế nhận được fax, trong trường hợp truyền bằng fax, với điều kiện là người gửi đã nhận được xác nhận việc truyền không bị lỗi; hoặc:
(iv) tại thời điểm văn thư của cơ quan xác nhận công văn đến, trong trường hợp gửi bằng thư thường.
Điều 18. Bảo mật thông tin
Mỗi bên có nghĩa vụ bảo mật thông tin, tài liệu do bên kia cung cấp theo Hợp đồng và không công bố, công khai hay sử dụng các tài liệu, thông tin đó cho các mục đích khác ngoài mục đích thực hiện nghĩa vụ của bên đó theo Hợp đồng, trừ các trường hợp:
1. Công bố hoặc sử dụng các thông tin, tài liệu theo quy định của pháp luật.
2. Các tài liệu, thông tin được yêu cầu cung cấp cho các cơ quan có thẩm quyền.
3. Các tài liệu, thông tin đó đã được công bố công khai không phải từ các bên trong Hợp đồng.
Điều 19. Các thoả thuận khác
1. Sửa đổi, bổ sung Hợp đồng
Mọi sửa đổi, bổ sung Hợp đồng phải được các bên thoả thuận bằng văn bản và được Cục Điều tiết điện lực kiểm tra, có ý kiến bằng văn bản.
2. Hợp đồng hoàn chỉnh
Hợp đồng này là thoả thuận hoàn chỉnh cuối cùng giữa các bên tham gia và thay thế các nội dung đã thảo luận, thông tin, thư tín trao đổi liên quan trước khi ký kết Hợp đồng.
3. Bên thứ ba
Hợp đồng này chỉ phục vụ cho lợi ích của hai bên và không tạo ra quyền lợi hay nghĩa vụ cho bên thứ ba.
4. Không liên doanh
Hợp đồng này không phải hợp đồng liên doanh, liên kết giữa các bên hay áp đặt nghĩa vụ hoặc trách nhiệm pháp lý mang tính chất liên doanh, liên kết lên một trong hai bên. Không bên nào có quyền tham gia ký kết hợp đồng hoặc thay mặt bên kia với vai trò là một đại lý hoặc người đại diện để thực hiện các nghĩa vụ với bên kia.
5. Từ bỏ thực hiện quyền
Việc từ bỏ thực hiện quyền theo Hợp đồng của một bên phải được lập thành văn bản và do đại diện có thẩm quyền của bên đó ký. Việc không thực hiện hay chậm trễ thực hiện quyền của bất kỳ bên nào theo Hợp đồng này sẽ không được hiểu là sự từ bỏ các quyền đó.
6. Thực hiện nghĩa vụ còn lại
Việc hủy bỏ, chấm dứt hoặc hết thời hạn Hợp đồng không làm chấm dứt thực hiện nghĩa vụ còn lại của các bên theo Hợp đồng.
7. Luật áp dụng
Việc giải thích và thực hiện Hợp đồng này được thực hiện theo quy định của pháp luật Việt Nam.
8. Tính độc lập của các nội dung Hợp đồng
Trường hợp một phần nội dung trong Hợp đồng không phù hợp với quy định của pháp luật hoặc vô hiệu theo quyết định của cơ quan nhà nước có thẩm quyền thì các nội dung khác của Hợp đồng vẫn có hiệu lực nếu phần còn lại thể hiện đầy đủ nội dung mà không liên quan tới phần bị vô hiệu.
Hợp đồng được lập thành 09 bản có giá trị như nhau, mỗi bên giữ 04 bản. Bên bán có trách nhiệm gửi một bản tới Cục Điều tiết điện lực.
|
ĐẠI DIỆN BÊN MUA (Chức danh) (Đóng dấu và chữ ký) (Họ tên đầy đủ) |
ĐẠI DIỆN BÊN BÁN (Chức danh) (Đóng dấu và chữ ký) (Họ tên đầy đủ) |
Phụ lục I
CÁC THÔNG SỐ CHÍNH CỦA NHÀ MÁY ĐIỆN
(Kèm theo Hợp đồng số …ngày … tháng … năm…)
Bao gồm các mô tả, biểu đồ và đặc điểm kỹ thuật của Nhà máy điện
1. Tuabin
a) Số lượng
b) Loại
c) Nhà sản xuất
2. Lò hơi (đối với nhà máy nhiệt điện)
a) Số lượng
b) Lưu lượng hơi
c) Áp suất hơi
d) Nhiệt độ hơi bão hoà trong bao hơi
đ) Nhiệt độ hơi quá nhiệt
e) Nhiệt độ nước cấp
g) Hiệu suất lò hơi
h) Nhiên liệu tiêu thụ
i) Nhiệt độ không khí nóng
k) Nhiệt độ khói thải
3. Máy phát điện
a) Số lượng
b) Loại
c) Công suất tổ máy (MVA)
d) Điện áp phát (kV)
đ) Cosj
e) Số vòng quay (vòng/phút)
g) Tần số
h) Nhà cung cấp
4. Máy biến áp
a) Số lượng
b) Công suất (MVA)
c) Tỷ số biến
d) Sơ đồ đấu dây
đ) Điện áp ngắn mạch Uk
e) Loại ( Mô tả đặc tính kỹ thuật MBA)
5. Hệ thống điều tốc, hệ thống kích từ
6. Thiết bị phân phối, đóng ngắt điện
a) Máy cắt .... kV
- Số lượng
- Chủng loại
b) Dao cách ly ......kV
- Số lượng
- Chủng loại
c) Máy biến dòng điện .......kV
- Số lượng
- Chủng loại
d) Máy biến điện áp .......kV
- Số lượng
- Chủng loại
đ) Chống sét van ........kV
- Số lượng
- Chủng loại
e) Tụ điện liên lạc và cuộn cản cao tần
- Số lượng
- Chủng loại
g) Hệ thống rơ-le bảo vệ và điều khiển tự động, hệ thống thiết bị phụ trợ
7. Đấu nối với lưới điện quốc gia
a) Đường dây đấu nối
b) Loại đường dây
c) Điện áp định mức (......kV)
d) Dây dẫn
đ) Dây chống sét
e) Chiều dài tuyến
* Chủ đầu tư cập nhật lại các thông số sau ngày vận hành thương mại
Phụ lục II
HỆ THỐNG ĐO ĐẾM VÀ THU THẬP SỐ LIỆU
(Kèm theo Hợp đồng số …ngày … tháng … năm…)
I. Vị trí lắp đặt và tính năng của hệ thống đo đếm
1. Vị trí lắp đặt Hệ thống đo đếm:
Hệ thống đo đếm chính và Hệ thống đo đếm dự phòng được lắp đặt tại Nhà máy điện theo thỏa thuận thiết kế kỹ thuật hệ thống đo đếm điện tại văn bản số .... của ..... (là phụ lục của Hợp đồng).
2. Tính năng của Hệ thống đo đếm phải phù hợp với quy định tại Thông tư quy định đo đếm điện năng do Bộ Công Thương ban hành.
II. Yêu cầu kỹ thuật của hệ thống đo đếm
Các yêu cầu kỹ thuật của thiết bị đo đếm, yêu cầu kỹ thuật mạch đo đếm, biện pháp niêm phong kẹp chì và yêu cầu về hệ thống thu thập và đọc số liệu công tơ phải phù hợp với quy định tại Thông tư quy định đo đếm điện năng do Bộ Công Thương ban hành
III. Vị trí đo đếm
Hai bên thống nhất sử dụng các vị trí đo đếm hiện tại của Nhà máy điện như sau:
|
Cụm tổ máy |
Hệ thống đo đếm chính |
Hệ thống đo đếm dự phòng |
|
[...] |
[...] |
[...] |
|
[...] |
[...] |
|
|
[...] |
[...] |
IV. Phương thức xác định sản lượng điện giao nhận
1. Vào ngày 01 hàng tháng, đại diện hợp pháp của hai Bên sẽ cùng thực hiện chốt chỉ số công tơ và lập biên bản xác nhận chỉ số công tơ tại thời điểm 0h00 ngày 01 và lượng điện năng giao nhận hàng tháng của tháng trước liền kề.
a) Sản lượng điện Bên bán giao cho bên mua trong tháng thanh toán được tính theo công thức:
Trong đó:
AG,i: Lượng điện năng theo chiều giao tại điểm đo đếm i của hệ thống đo đếm chính tương ứng trong tháng;
AG: Lượng điện năng Bên mua thanh toán cho Bên bán trong tháng thanh toán, (kWh).
b) Sản lượng điện Bên bán nhận từ hệ thống điện quốc gia trong tháng thanh toán được tính theo công thức:
Trong đó:
AN,i: Lượng điện năng theo chiều nhận tại điểm đo đếm i của hệ thống đo đếm chính tương ứng trong tháng;
AN: Lượng điện năng Bên bán thanh toán cho [Công ty điện lực ...] theo biểu giá bán điện cho các khách hàng công nghiệp theo quy định của cơ quan nhà nước có thẩm quyền (kWh).
Phụ lục III
THỎA THUẬN CÁC ĐẶC TÍNH VẬN HÀNH
(Kèm theo Hợp đồng số …ngày … tháng … năm…)
Hai bên thỏa thuận các đặc tính vận hành chính của NMĐ như sau:
1. Công suất phát của tổ máy
a) Công suất phát tối thiểu: ………..MW.
b) Công suất phát tối đa:………….. MW.
2. Thời gian để khởi động và hoà đồng bộ
Thời gian để khởi động tổ máy và hoà đồng bộ vào Hệ thống điện quốc gia kể từ khi ngừng máy như sau:
|
Tình trạng |
Thời gian ngừng |
Thời gian khởi động đến lúc hoà vào lưới |
|
Khởi động lạnh |
Từ … giờ trở lên |
… giờ |
|
Khởi động ấm |
Từ … đến … giờ |
… giờ |
|
Khởi động nóng |
Dưới … giờ |
… giờ |
3. Tốc độ thay đổi phụ tải
a) Tốc độ giảm tải trung bình: … MW/phút.
b) Tốc độ tăng tải: … MW/phút.
4. Công suất phản kháng, điều chỉnh điện áp và giới hạn tần số trong điều kiện vận hành bình thường
a) Nhà máy điện sẽ vận hành với hệ số công suất 0,85.
b) Điều chỉnh điện áp: Nhà máy điện vận hành đảm bảo phạm vi dao động điện áp ± 5% của điện áp định mức tại điểm đấu nối với Hệ thống điện quốc gia.
Giới hạn của tần số: Nhà máy điện vận hành trong phạm vi dải tần số từ 49,5Hz đến 50,5 Hz.
c) Khả năng điều chỉnh tần số.
Phụ lục IV
THỎA THUẬN HỆ THỐNG SCADA/EMS,
THÔNG TIN LIÊN LẠC, RƠ LE BẢO VỆ VÀ TỰ ĐỘNG
(Kèm theo Hợp đồng số …ngày … tháng … năm…)
Phụ lục V
GIÁ MUA BÁN ĐIỆN, TIỀN ĐIỆN THANH TOÁN
(Kèm theo Hợp đồng số …ngày … tháng … năm…)
I. Giá Hợp đồng mua bán điện
1. Giá Hợp đồng của nhà máy nhiệt điện
1.1. Quy định chung:
Giá Hợp đồng của Nhà máy điện tại thời điểm thanh toán tiền điện tháng t, năm j (PC,j,t) được xác định theo công thức sau:

Trong đó:
Giá cố định năm j (đồng/kWh);
Giá vận hành và bảo dưỡng cố định tháng t, năm j (đồng/kWh);
Giá biến đổi tháng t, năm j (đồng/kWh);
Giá vận chuyển nhiên liệu chính tháng t, năm j (đồng/kWh).
1.2. Giá cố định:
Giá cố định bình quân nhiều năm (chưa bao gồm thuế giá trị gia tăng) là ... (đồng/kWh);
Giá cố định từng năm FCj (đồng/kWh) từ ngày vận hành thương mại đến hết đời sống kinh tế nhà máy điện (chưa bao gồm thuế giá trị gia tăng) áp dụng theo bảng sau:
|
Năm thứ |
1 |
2 |
3 |
4 |
... |
... |
|
Giá cố định (đ/kWh) |
|
|
|
|
|
|
1.3. Giá vận hành và bảo dưỡng cố định:
Giá vận hành và bảo dưỡng cố định tháng t, năm j (chưa bao gồm thuế giá trị gia tăng, thuế tài nguyên sử dụng nước mặt, phí bảo vệ môi trường đối với chất thải rắn) được xác định theo công thức sau:

Trong đó:
: Thành phần giá vận hành và bảo dưỡng cố định theo chi phí sửa chữa lớn và chi phí khác năm j (đồng/kWh).
: Thành phần giá vận hành và bảo dưỡng cố định theo chi phí nhân công tháng t, năm j (đồng/kWh);
a) Thành phần giá vận hành và bảo dưỡng cố định theo chi phí sửa chữa lớn và chi phí khác năm j (
) được xác định theo công thức sau (đồng/kWh):

Trong đó:
Thành phần giá vận hành và bảo dưỡng cố định theo chi phí sửa chữa lớn và chi phí khác Năm cơ sở là ... (đồng/kWh);
i: Tỷ lệ trượt thành phần giá vận hành và bảo dưỡng cố định theo chi phí khác là 2,5%/năm (hoặc theo quy định tại Thông tư quy định phương pháp xác định giá phát điện, trình tự kiểm tra hợp đồng mua bán điện);
l: Số thứ tự năm thanh toán tính từ Năm cơ sở (đối với Năm cơ sở l=1).
b) Thành phần giá vận hành và bảo dưỡng cố định theo chi phí nhân công tháng t, năm j (
) được xác định theo công thức sau (đồng/kWh):

Trong đó:
: Thành phần giá vận hành và bảo dưỡng cố định theo chi phí nhân công Năm cơ sở là ... (đồng/kWh);
: Mức lương tối thiểu vùng tại thời điểm thanh toán tháng t, năm thứ j (đồng/người/tháng);
Mức lương tối thiểu vùng Năm cơ sở là ... (đồng/người/tháng).
1.4. Giá biến đổi:
Giá biến đổi tháng t, năm j
(đồng/kWh) được xác định theo công thức sau:

Trong đó:
: Thành phần giá biến đổi điều chỉnh theo biến động của chi phí nhiên liệu chính (than, khí) của nhà máy điện tháng t, năm j (đồng/kWh);
Thành phần giá biến đổi điều chỉnh theo biến động của chi phí nhiên liệu phụ (dầu) của nhà máy điện tháng t, năm j (đồng/kWh);
: Thành phần giá biến đổi điều chỉnh theo biến động khác của nhà máy điện năm j (đồng/kWh).
a) Thành phần giá biến đổi điều chỉnh theo biến động của chi phí nhiên liệu chính:
Thành phần giá biến đổi điều chỉnh theo biến động của chi phí nhiên liệu chính (than, khí) của nhà máy điện tháng t, năm j
(đồng/kWh) được xác định theo công thức sau:

Trong đó:
Thành phần giá biến đổi điều chỉnh theo biến động của chi phí nhiên liệu chính (than, khí) của nhà máy điện Năm cơ sở là … (đồng/kWh);
kHS,j : hệ số suy giảm hiệu suất năm thứ j (%);
: Giá nhiên liệu chính (than, khí) cho phát điện tại thời điểm thanh toán tháng t, năm j là … (đồng/tấn) đối với nhiên liệu than; hoặc là … (đồng/BTU) đối với nhiên liệu khí;
: Giá nhiên liệu chính (than, khí) cho phát điện tại Năm cơ sở là … (đồng/tấn) đối với nhiên liệu than; hoặc là …. (đồng/BTU) đối với nhiên liệu khí;
b) Thành phần giá biến đổi điều chỉnh theo biến động của chi phí nhiên liệu phụ:
Thành phần giá biến đổi điều chỉnh theo biến động của chi phí nhiên liệu phụ (dầu) của nhà máy điện tháng t, năm j
(đồng/kWh) được xác định theo công thức sau:

Trong đó:
Thành phần giá biến đổi điều chỉnh theo biến động của chi phí nhiên liệu phụ (dầu) của nhà máy điện Năm cơ sở là … (đồng/kWh);
Giá nhiên liệu phụ (dầu) cho phát điện tại thời điểm thanh toán tháng t, năm j là … (đồng/kg);
Giá nhiên liệu phụ (dầu) cho phát điện tại Năm cơ sở là … (đồng/kg).
c) Thành phần giá biến đổi điều chỉnh theo biến động khác:
Thành phần giá biến đổi điều chỉnh theo biến động khác của nhà máy điện năm j
(đồng/kWh) được xác định theo công thức sau:

Trong đó:
Thành phần giá biến đổi điều chỉnh theo biến động khác của nhà máy điện Năm cơ sở là … (đồng/kWh);
i: Tỷ lệ trượt thành phần giá biến đổi điều chỉnh theo biến động khác là 2,5%/năm (hoặc theo quy định tại Thông tư quy định phương pháp xác định giá phát điện, trình tự kiểm tra hợp đồng mua bán điện);
l: Số thứ tự năm thanh toán tính từ Năm cơ sở (đối với Năm cơ sở l=1).
1.4. Giá vận chuyển nhiên liệu chính:
Giá vận chuyển nhiên liệu chính của nhà máy điện tháng t, năm j
(đồng/kWh) được xác định theo công thức sau:

Trong đó:
: Giá biến đổi đặc thù của nhà máy điện Năm cơ sở là … (đồng/kWh);
Cước phí vận chuyển nhiên liệu chính (than, khí) và chi phí khác cho phát điện tại thời điểm thanh toán tháng t, năm j là … (đồng/tấn) đối với nhiên liệu than; hoặc là …. (đồng/BTU) đối với nhiên liệu khí, trên cơ sở có ý kiến của bên mua điện;
: Cước phí vận chuyển nhiên liệu chính (than, khí) và chi phí khác cho phát điện tại Năm cơ sở là … (đồng/tấn) đối với nhiên liệu than; hoặc là … (đồng/BTU) đối với nhiên liệu khí.
2. Giá Hợp đồng của nhà máy thủy điện
2.1. Quy định chung:
Giá Hợp đồng của Nhà máy điện tại thời điểm thanh toán tiền điện tháng t, năm j (PC,j,t) được xác định theo công thức sau:

Trong đó:
Giá cố định năm j (đồng/kWh);
Giá vận hành và bảo dưỡng tháng t, năm j (đồng/kWh);
2.2. Giá cố định:
Giá cố định bình quân nhiều năm (chưa bao gồm thuế giá trị gia tăng) là ... (đồng/kWh);
Giá cố định từng năm FCj (đồng/kWh) từ ngày vận hành thương mại đến hết đời sống kinh tế nhà máy điện (chưa bao gồm thuế giá trị gia tăng) áp dụng theo bảng sau:
|
Năm thứ |
1 |
2 |
3 |
4 |
... |
... |
|
Giá cố định (đ/kWh) |
|
|
|
|
|
|
2.3. Giá vận hành và bảo dưỡng:
Giá vận hành và bảo dưỡng tháng t, năm j FOMCj,t (chưa bao gồm thuế giá trị gia tăng, thuế tài nguyên nước, mức chi trả tiền dịch vụ môi trường rừng) được xác định theo công thức sau:

Trong đó:
: Thành phần giá vận hành và bảo dưỡng theo chi phí sửa chữa lớn và chi phí khác năm j (đồng/kWh).
: Thành phần giá vận hành và bảo dưỡng theo chi phí nhân công tháng t, năm j (đồng/kWh);
a) Thành phần giá vận hành và bảo dưỡng theo chi phí sửa chữa lớn và chi phí khác năm j (
) được xác định theo công thức sau (đồng/kWh):

Trong đó:
Thành phần giá vận hành và bảo dưỡng theo chi phí sửa chữa lớn và chi phí khác Năm cơ sở là ... (đồng/kWh);
i: Tỷ lệ trượt thành phần giá vận hành và bảo dưỡng theo chi phí khác là 2,5%/năm (hoặc theo quy định tại Thông tư quy định phương pháp xác định giá phát điện, trình tự kiểm tra hợp đồng mua bán điện);
l: Số thứ tự năm thanh toán tính từ Năm cơ sở (đối với Năm cơ sở l=1).
b) Thành phần giá vận hành và bảo dưỡng theo chi phí nhân công tháng t, năm j (
) được xác định theo công thức sau (đồng/kWh):

Trong đó:
: Thành phần giá vận hành và bảo dưỡng theo chi phí nhân công Năm cơ sở là ... (đồng/kWh);
: Mức lương tối thiểu vùng tại thời điểm thanh toán tháng t, năm thứ j (đồng/người/tháng);
Mức lương tối thiểu vùng Năm cơ sở là ... (đồng/người/tháng).
II. Sản lượng điện năng theo Hợp đồng
1. Sản lượng điện năng phát bình quân nhiều năm tại điểm giao nhận điện của nhà máy theo thời hạn Hợp đồng của Nhà máy điện là […] kWh.
2. Sản lượng Hợp đồng năm N được Đơn vị vận hành hệ thống điện và thị trường điện xác định trong quá trình lập kế hoạch vận hành năm tới xác định theo công thức sau:
QC = α x AGO
Trong đó:
QC: là sản lượng điện Hợp đồng năm (kWh);
AGO: là sản lượng kế hoạch năm N của Nhà máy điện (kWh);
α: là tỷ lệ sản lượng hợp đồng (%) do cơ quan nhà nước có thẩm quyền ban hành hàng năm.
3. Sản lượng kế hoạch năm của Nhà máy điện được Đơn vị vận hành hệ thống điện và thị trường điện quốc gia xác định trong quá trình lập kế hoạch vận hành năm tới theo Quy định vận hành thị trường phát điện cạnh tranh theo công thức sau:
AGO = EGO nếu a x GO ≤ EGO ≤ b x GO
AGO = a x GO nếu EGO < a x GO
AGO = b x GO nếu EGO > b x GO
Trong đó:
AGO: là sản lượng kế hoạch năm N của Nhà máy điện (kWh);
GO: là sản lượng điện năng phát bình quân nhiều năm quy định tại khoản 1 mục này. Trong năm vận hành đầu tiên, GO được tính theo từng tổ máy;
EGO: sản lượng dự kiến năm N của Nhà máy điện xác định từ kết quả tính toán mô hình mô phỏng thị trường theo phương pháp lập lịch có ràng buộc được quy đổi về vị trí đo đếm theo Quy định vận hành thị trường phát điện cạnh tranh (kWh).
a,b: hệ số hiệu chỉnh sản lượng năm; a = 0,9 và b = 1,1 hoặc do Bộ Công Thương ban hành.
4. Sản lượng hợp đồng tháng, sản lượng hợp đồng của các chu kỳ giao dịch trong tháng tới của Nhà máy điện được Đơn vị vận hành hệ thống điện và thị trường điện quốc gia xác định trong quá trình lập kế hoạch vận hành năm tới theo Quy định vận hành thị trường phát điện cạnh tranh.
III. Thanh toán tiền điện theo Hợp đồng
1. Tổng số tiền thanh toán sai khác theo Hợp đồng trong tháng t được xác định theo công thức sau:

Trong đó:
Tổng số tiền điện thanh toán sai khác theo Hợp đồng trong tháng t (đồng) chưa bao gồm thuế giá trị gia tăng;
D: Tổng số ngày trong tháng t;
d: Ngày giao dịch trong tháng t;
i: Chu kỳ giao dịch i của ngày giao dịch d;
: Giá Hợp đồng quy định tại khoản I.1.1 hoặc khoản I.2.1 Phụ lục này;
SMPd,i: Giá điện năng thị trường của Chu kỳ giao dịch i, ngày d trong tháng t (đồng/kWh) do Đơn vị vận hành hệ thống điện và thị trường điện quốc gia xác định và công bố theo quy định vận hành thị trường phát điện cạnh tranh do Bộ Công Thương ban hành;
CANd,i: Giá công suất thị trường của Chu kỳ giao dịch i, ngày d trong tháng t (đồng/kW) do Đơn vị vận hành hệ thống điện và thị trường điện quốc gia xác định và công bố theo quy định vận hành thị trường phát điện cạnh tranh do Bộ Công Thương ban hành;
Sản lượng Hợp đồng của Chu kỳ giao dịch i, ngày d trong tháng t (kWh) do Đơn vị vận hành hệ thống điện và thị trường điện quốc gia xác định theo phương pháp quy định tại quy định vận hành thị trường phát điện cạnh tranh do Bộ Công Thương ban hành.
2. Tổng số tiền điện thanh toán hàng tháng theo Hợp đồng (Rt) được xác định như sau:
Rt = (RC,t + RTT,t + Rk,t + RTh) x (1+VAT)
Trong đó:
RC,t: Tổng số tiền điện thanh toán sai khác theo Hợp đồng trong tháng t được xác định theo quy định tại khoản 1 Mục III Phụ lục này (đồng);
RTT,t: Tổng các khoản thanh toán thị trường điện theo bảng kê thanh toán (bao gồm khoản thanh toán điện năng thị trường, khoản thanh toán công suất thị trường và các khoản thanh toán khác trên thị trường điện) trong tháng t do Đơn vị vận hành hệ thống điện và thị trường điện quốc gia cung cấp, xác định theo Quy định vận hành thị trường phát điện cạnh tranh do Bộ Công Thương ban hành (đồng);
Rk,t: Tổng các khoản thanh toán khác phát sinh trong tháng t do giải quyết tranh chấp, do lãi chậm trả, các khoản thanh toán hiệu chỉnh (nếu có) (đồng);
RTh: Các khoản thuế, phí theo quy định của cơ quan Nhà nước có thẩm quyền, cụ thể:
- Đối với nhà máy thủy điện: RTh = TTĐ x AG + RPS; trong đó:
TTĐ: thuế suất thuế tài nguyên nước và mức chi trả tiền dịch vụ môi trường rừng của nhà máy thủy điện theo quy định của Nhà nước (đồng/kWh);
AG: sản lượng điện năng đo đếm tại điểm giao nhận điện theo biên bản xác nhận chỉ số công tơ trong tháng t của nhà máy thủy điện (kWh);
RPS: khoản thuế, phí liên quan phát sinh do thay đổi luật, quy định của cơ quan nhà nước có thẩm quyền (nếu có).
- Đối với nhà máy nhiệt điện: RTh là thuế tài nguyên sử dụng nước mặt và phí bảo vệ môi trường đối với chất thải rắn của nhà máy nhiệt điện, hoặc các khoản thuế, phí liên quan phát sinh do thay đổi luật, quy định của cơ quan nhà nước có thẩm quyền (nếu có); hai bên thực hiện thanh toán khoản RTh này theo số liệu thực tế phát sinh tại đơn vị theo quy định của cơ quan nhà nước có thẩm quyền (đồng);
VAT: Thuế suất thuế giá trị gia tăng được xác định theo quy định của Nhà nước (%).
3. Chênh lệch tỷ giá (FED): hàng năm, hai bên báo cáo Bộ Công Thương, Cục Điều tiết điện lực kết quả tính toán chênh lệch tỷ giá của năm liền kề trước đó, đề xuất phương án thanh toán. Chênh lệch tỷ giá (đồng) được tính toán theo công thức sau:

Trong đó:
m: số loại ngoại tệ trong phương án giá điện hai bên thống nhất (loại);
n: số lần trả gốc ngoại tệ i trong năm tính toán (lần);
Di,j: số nợ gốc ngoại tệ trả thực tế lần j của loại ngoại tệ i trong năm tính toán. Nợ gốc đã trả thực tế loại ngoại tệ i trong năm tính toán không lớn hơn nợ gốc loại ngoại tệ i tại năm tương ứng trong phương án giá điện hai bên thống nhất theo bảng sau:
|
STT |
Ngoại tệ |
Năm 1 |
Năm 2 |
Năm … |
Tổng cộng |
|
1 |
Di |
|
|
|
|
li,j: tỷ giá quy đổi lần thanh toán j của loại ngoại tệ i trong năm (.../đồng);
li,b: tỷ giá quy đổi cơ sở loại ngoại tệ i hai bên thống nhất trong phương án giá điện (.../đồng);
Phụ lục VI
CÁC THÔNG SỐ CHÍNH TRONG TÍNH TOÁN GIÁ ĐIỆN
1. Nhà máy nhiệt điện
|
STT |
Thông số chính |
Đơn vị tính |
Giá trị |
|---|---|---|---|
|
1 |
2 |
3 |
4 |
|
A |
Thông số tính toán giá cố định |
|
|
|
I |
Tổng mức đầu tư |
Triệu đồng |
|
|
|
Tổng mức đầu tư thuần |
Triệu đồng |
|
|
|
Chi phí lãi vay trong thời gian xây dựng |
Triệu đồng |
|
|
|
Tỷ giá quy đổi từng loại ngoại tệ |
|
|
|
II |
Sản lượng điện xuất tuyến |
Triệu kWh |
|
|
1 |
Công suất đầu cực máy phát |
kW |
|
|
2 |
Số giờ vận hành công suất cực đại bình quân nhiều năm |
Giờ |
|
|
3 |
Tỷ lệ suy giảm công suất bình quân trong đời sống kinh tế dự án |
% |
|
|
III |
Tỷ lệ điện tự dùng và tổn thất |
% |
|
|
1 |
Tỷ lệ điện tự dùng và tổn thất máy biến áp tăng áp của nhà máy |
% |
|
|
2 |
Tỷ lệ tổn thất đường dây truyền tải điện (nếu có) |
% |
|
|
IV |
Đời sống kinh tế của dự án |
Năm |
|
|
V |
Thời gian trích khấu hao tài sản cố định (TSCĐ) theo từng nhóm |
Năm |
|
|
1 |
Nhóm TSCĐ xây dựng |
Năm |
|
|
2 |
Nhóm TSCĐ thiết bị |
Năm |
|
|
3 |
Nhóm TSCĐ khác |
Năm |
|
|
VI |
Tỷ lệ vốn chủ sở hữu, vốn vay trong Tổng mức đầu tư |
|
|
|
1 |
Tỷ lệ vốn chủ sở hữu |
% |
|
|
2 |
Tỷ lệ vốn vay |
% |
|
|
VII |
Tỷ lệ vốn vay ngoại tệ, nội tệ trong tổng vốn vay |
|
|
|
1 |
Tỷ lệ vốn vay ngoại tệ |
% |
|
|
|
- Trong đó: tỷ giá quy đổi từng loại ngoại tệ |
|
|
|
2 |
Tỷ lệ vốn vay nội tệ |
% |
|
|
VIII |
Lãi suất vay bình quân |
|
|
|
1 |
Lãi suất vay ngoại tệ bình quân |
% |
|
|
2 |
Lãi suất vay nội tệ bình quân |
% |
|
|
IX |
Thuế, phí |
|
|
|
1 |
Thuế suất thuế thu nhập doanh nghiệp bình quân |
% |
|
|
2 |
Các khoản phí khác (nếu có) |
|
|
|
X |
Chi phí vận hành và bảo dưỡng cố định năm vận hành thương mại đầu tiên |
Triệu đồng |
|
|
1 |
Thành phần chi phí vận hành và bảo dưỡng cố định theo nhân công |
Triệu đồng |
|
|
|
Mức lương tối thiểu vùng năm cơ sở tính toán |
Đồng/người/tháng |
|
|
2 |
Thành phần chi phí vận hành và bảo dưỡng cố định theo chi phí khác |
Triệu đồng |
|
|
B |
Thông số tính toán giá biến đổi |
|
|
|
1 |
Suất hao nhiên liệu tinh bình quân đối với nhiên liệu chính (than, khí) |
kg/kWh hoặc BTU/kWh |
|
|
2 |
Suất hao nhiên liệu tinh bình quân đối với nhiên liệu phụ (dầu) |
kg/kWh |
|
|
3 |
Hệ số suy giảm công suất |
|
|
|
4 |
Giá nhiên liệu chính (không bao gồm phí vận chuyển) |
Đồng/tấn hoặc đồng/BTU |
|
|
C |
Thông số tính toán giá biến đổi đặc thù |
|
|
|
1 |
Cước phí vận chuyển nhiên liệu chính năm cơ sở |
Đồng/tấn hoặc đồng/BTU |
|
2. Nhà máy thủy điện
|
STT |
Thông số |
Đơn vị tính |
Giá trị |
|---|---|---|---|
|
1 |
2 |
3 |
4 |
|
A |
Thông số tính toán giá cố định |
|
|
|
I |
Tổng mức đầu tư |
Triệu đồng |
|
|
|
Tổng mức đầu tư thuần |
Triệu đồng |
|
|
|
Chi phí lãi vay trong thời gian xây dựng |
Triệu đồng |
|
|
|
Tỷ giá quy đổi từng loại ngoại tệ |
|
|
|
II |
Sản lượng điện năng bình quân đầu cực máy phát |
Triệu kWh |
|
|
III |
Tỷ lệ điện tự dùng và tổn thất |
% |
|
|
1 |
Tỷ lệ điện tự dùng và tổn thất máy biến áp tăng áp của nhà máy |
% |
|
|
2 |
Tỷ lệ tổn thất đường dây truyền tải điện (nếu có) |
% |
|
|
IV |
Đời sống kinh tế của dự án |
Năm |
|
|
V |
Thời gian trích khấu hao tài sản cố định theo từng nhóm |
Năm |
|
|
1 |
Nhóm TSCĐ xây dựng |
Năm |
|
|
2 |
Nhóm TSCĐ thiết bị |
Năm |
|
|
3 |
Nhóm TSCĐ khác |
Năm |
|
|
VI |
Tỷ lệ vốn chủ sở hữu, vốn vay trong Tổng mức đầu tư |
|
|
|
1 |
Tỷ lệ vốn chủ sở hữu |
% |
|
|
2 |
Tỷ lệ vốn vay |
% |
|
|
VII |
Tỷ lệ vốn vay ngoại tệ, nội tệ trong tổng vốn vay |
|
|
|
1 |
Tỷ lệ vốn vay ngoại tệ |
% |
|
|
|
- Trong đó: tỷ giá quy đổi tính toán từng loại ngoại tệ |
|
|
|
2 |
Tỷ lệ vốn vay nội tệ |
% |
|
|
VIII |
Lãi suất vay bình quân |
|
|
|
1 |
Lãi suất vay ngoại tệ |
% |
|
|
2 |
Lãi suất vay nội tệ |
% |
|
|
IX |
Thuế, phí |
|
|
|
1 |
Thuế suất thuế TNDN bình quân |
% |
|
|
2 |
Các khoản phí khác (nếu có) |
|
|
|
X |
Chi phí vận hành và bảo dưỡng năm vận hành thương mại đầu tiên |
Triệu đồng |
|
|
1 |
Thành phần chi phí vận hành và bảo dưỡng theo nhân công |
Triệu đồng |
|
|
|
Mức lương tối thiểu vùng năm cơ sở tính toán |
Đồng/người/tháng |
|
|
2 |
Thành phần chi phí vận hành và bảo dưỡng khác |
Triệu đồng |
|
Phụ lục VII
CÁC MỐC TIẾN ĐỘ DỰ ÁN
(Kèm theo Hợp đồng số …ngày … tháng … năm…)
I. Các mốc tiến độ dự án
1. Ngày khởi công chính thức xây dựng Nhà máy điện: […]
2. Ngày bắt đầu tiến hành thí nghiệm liên động: […]
3. Ngày đóng điện lần đầu: […]
4. Ngày thử nghiệm công suất tin cậy: […]
5. Ngày vận hành thương mại của tổ máy i: […]
6. Ngày vận hành thương mại Nhà máy điện: […]
II. Các tài liệu Bên bán phải cung cấp cho Bên mua
Bên bán có nghĩa vụ cung cấp cho Bên mua bản sao hợp lệ các tài liệu để công nhận Ngày vận hành thương mại như sau:
1. Giấy chứng nhận đầu tư do cơ quan nhà nước có thẩm quyền cấp.
2. Thỏa thuận đấu nối.
3. Giấy phép hoạt động điện lực trong lĩnh vực phát điện của Nhà máy điện do Cục Điều tiết điện lực cấp.
4. Hợp đồng cung cấp nhiên liệu (đối với nhà máy nhiệt điện).
5. Giấy chứng nhận thử nghiệm và kiểm tra ban đầu cho thiết bị đo đếm của cơ quan có thẩm quyền.
6. Giấy phép xả nước thải vào nguồn nước do cơ quan nhà nước có thẩm quyền cấp.
7. Giấy phép hoạt động cảng của cơ quan nhà nước có thẩm quyền (đối với nhà máy nhiệt điện than).
8. Giấy chứng nhận tuân thủ đánh giá tác động môi trường của cơ quan nhà nước có thẩm quyền.
9. Hồ sơ biên bản thí nghiệm hiệu chỉnh các thiết bị của các tổ máy và các thiết bị đấu nối Nhà máy điện vào Hệ thống điện quốc gia.
10. Quy trình phối hợp vận hành Nhà máy điện sau khi đã thoả thuận với Đơn vị vận hành hệ thống điện và thị trường điện quốc gia.
11. Quy trình điều tiết hồ chứa (đối với nhà máy thủy điện).
Phụ lục VIII
QUY TRÌNH THỬ NGHIỆM CÔNG SUẤT TIN CẬY
(Kèm theo Hợp đồng số …ngày … tháng … năm…)
PHỤ LỤC 4
MẪU BIỂU BÁO CÁO TÌNH HÌNH THANH TOÁN TIỀN ĐIỆN
Quý … năm …
(Ban hành kèm theo Thông tư số: 56/2014/TT-BCT ngày 19 tháng 12 năm 2014 của Bộ trưởng Bộ Công Thương)
|
TT |
Nội dung |
Đơn vị tính |
Tháng … |
Tháng … |
Tháng … |
|---|---|---|---|---|---|
|
A |
Tình hình thanh toán tiền điện (chưa bao gồm thuế giá trị gia tăng) |
|
|
|
|
|
1 |
Tổng tiền thanh toán theo hợp đồng |
Triệu đồng |
|
|
|
|
2 |
Tổng khoản thanh toán thị trường điện |
Triệu đồng |
|
|
|
|
3 |
Tổng khoản thanh toán khác |
Triệu đồng |
|
|
|
|
4 |
Tổng chi phí khởi động |
Triệu đồng |
|
|
|
|
5 |
Tổng các khoản thuế phí |
Triệu đồng |
|
|
|
|
|
- Thuế tài nguyên nước |
Triệu đồng |
|
|
|
|
|
- Mức chi trả tiền dịch vụ môi trường rừng |
Triệu đồng |
|
|
|
|
|
- Phí chất thải rắn |
Triệu đồng |
|
|
|
|
|
- Thuế, phí khác |
Triệu đồng |
|
|
|
|
6 |
Sản lượng hợp đồng Qc theo từng tháng |
Triệu kWh |
|
|
|
|
B |
Thông số tính toán thực tế từng tháng |
|
|
|
|
|
1 |
Giá cố định năm |
Đồng/kWh |
|
|
|
|
2 |
Giá vận hành và bảo dưỡng theo chi phí sửa chữa lớn và chi phí khác |
Đồng/kWh |
|
|
|
|
3 |
Giá vận hành và bảo dưỡng theo chi phí nhân công |
Đồng/kWh |
|
|
|
|
4 |
Giá biến đổi của nhà máy điện |
Đồng/kWh |
|
|
|
|
5 |
Giá vận chuyển theo nhiên liệu chính |
Đồng/kWh |
|
|
|
|
6 |
Giá nhiên liệu than/khí (chưa có cước vận chuyển) |
Đồng/tấn, USD/BTU |
|
|
|
|
7 |
Cước phí vận chuyển than |
Đồng/tấn, USD/BTU |
|
|
|
|
8 |
Giá nhiêu liệu dầu |
Đồng/tấn |
|
|
|
|
9 |
Lương tối thiểu vùng |
Đồng/người/tháng |
|
|
|
|
10 |
Số lần khởi động (ứng với các trạng thái khởi động) |
lần |
|
|
|
|
11 |
Tỷ giá ngoại tệ trong thanh toán nhiên liệu khí, nhiêu liệu than |
Đồng/USD |
|
|
|
|
12 |
Tỷ giá ngoại tệ thực hiện trong thanh toán các hợp đồng vay thực tế với Ngân hàng, tổ chức tín dụng (nếu có) |
Đồng/USD |
|
|
|
[1] LIBOR swaps được công bố trên trang thông tin điện tử: http://www.swap-rates.com
Bạn chưa Đăng nhập thành viên.
Đây là tiện ích dành cho tài khoản thành viên. Vui lòng Đăng nhập để xem chi tiết. Nếu chưa có tài khoản, vui lòng Đăng ký tại đây!
Bạn chưa Đăng nhập thành viên.
Đây là tiện ích dành cho tài khoản thành viên. Vui lòng Đăng nhập để xem chi tiết. Nếu chưa có tài khoản, vui lòng Đăng ký tại đây!