- Tổng quan
- Nội dung
- VB gốc
- Tiếng Anh
- Hiệu lực
- VB liên quan
- Lược đồ
-
Nội dung hợp nhất
Tính năng này chỉ có tại LuatVietnam.vn. Nội dung hợp nhất tổng hợp lại tất cả các quy định còn hiệu lực của văn bản gốc và các văn bản sửa đổi, bổ sung, đính chính... trên một trang. Việc hợp nhất văn bản gốc và những văn bản, Thông tư, Nghị định hướng dẫn khác không làm thay đổi thứ tự điều khoản, nội dung.
Khách hàng chỉ cần xem Nội dung hợp nhất là có thể nắm bắt toàn bộ quy định hiện hành đang áp dụng, cho dù văn bản gốc đã qua nhiều lần chỉnh sửa, bổ sung.
- Tải về
Thông tư 24/2019/TT-BCT sửa đổi Thông tư 45/2018/TT-BCT thị trường bán buôn điện cạnh tranh
| Cơ quan ban hành: | Bộ Công Thương |
Số công báo:
Số công báo là mã số ấn phẩm được đăng chính thức trên ấn phẩm thông tin của Nhà nước. Mã số này do Chính phủ thống nhất quản lý.
|
Đã biết
|
| Số hiệu: | 24/2019/TT-BCT | Ngày đăng công báo: |
Đã biết
|
| Loại văn bản: | Thông tư | Người ký: | Trần Tuấn Anh |
|
Ngày ban hành:
Ngày ban hành là ngày, tháng, năm văn bản được thông qua hoặc ký ban hành.
|
14/11/2019 |
Ngày hết hiệu lực:
Ngày hết hiệu lực là ngày, tháng, năm văn bản chính thức không còn hiệu lực (áp dụng).
|
Đã biết
|
|
Áp dụng:
Ngày áp dụng là ngày, tháng, năm văn bản chính thức có hiệu lực (áp dụng).
|
Đã biết
|
Tình trạng hiệu lực:
Cho biết trạng thái hiệu lực của văn bản đang tra cứu: Chưa áp dụng, Còn hiệu lực, Hết hiệu lực, Hết hiệu lực 1 phần; Đã sửa đổi, Đính chính hay Không còn phù hợp,...
|
Đã biết
|
| Lĩnh vực: | Công nghiệp, Thương mại-Quảng cáo, Điện lực |
TÓM TẮT THÔNG TƯ 24/2019/TT-BCT
Ngày 14/11/2019, Bộ Công Thương ban hành Thông tư 24/2019/TT-BCT về việc sửa đổi, bổ sung một số điều của Thông tư 45/2018/TT-BCT ngày 15/11/2018 của Bộ trưởng Bộ Công Thương quy định vận hành thị trường bán buôn điện cạnh tranh và sửa đổi, bổ sung một số điều của Thông tư 56/2014/TT-BCT ngày 19/12/2014 của Bộ trưởng Bộ Công Thương quy định phương pháp xác định giá phát điện, trình tự kiểm tra hợp đồng mua bán điện.
Theo đó, bổ sung quy định chung về việc xác định sản lượng hợp đồng, cụ thể: Tỷ lệ sản lượng điện năng thanh toán do Đơn vị phát điện và Đơn vị mua điện nhưng phải bảo đảm tỷ lệ sản lượng điện năng thanh toán theo giá hợp đồng tối đa là 100% và tối thiểu là 60%.
Trong trường hợp nhà máy điện có rảng buộc về bao tiêu nhiên liệu và được phép chuyển ngang các quy định này sang hợp đồng mua bán điện thì Đơn vị phát điện và Đơn vị mua điện thỏa thuận về sản lượng hợp đồng năm. Tuy nhiên phải bảo đảm sản lượng này không thấp hơn sản lượng năm tương ứng với lượng bao tiêu điện năm của nhà máy điện.
Thông tư có hiệu lực từ ngày 01/01/2020.
Xem chi tiết Thông tư 24/2019/TT-BCT có hiệu lực kể từ ngày 01/01/2020
Tải Thông tư 24/2019/TT-BCT
|
BỘ CÔNG THƯƠNG |
CỘNG HOÀ XÃ HỘI CHỦ NGHĨA VIỆT NAM |
THÔNG TƯ
Sửa đổi, bổ sung một số điều của Thông tư số 45/2018/TT-BCT ngày 15
tháng 11 năm 2018 của Bộ trưởng Bộ Công Thương quy định vận hành
thị trường bán buôn điện cạnh tranh và sửa đổi, bổ sung một số điều của
Thông tư số 56/2014/TT-BCT ngày 19 tháng 12 năm 2014 của Bộ trưởng
Bộ Công Thương quy định phương pháp xác định giá phát điện, trình tự
kiểm tra hợp đồng mua bán điện
-------------------
Căn cứ Luật Điện lực ngày 03 tháng 12 năm 2004 và Luật sửa đổi, bổ sung một số điều của Luật Điện lực ngày 20 tháng 11 năm 2012;
Căn cứ Nghị định số 98/2017/NĐ-CP ngày 18 tháng 8 năm 2017 của Chính phủ quy định chức năng, nhiệm vụ, quyền hạn và cơ cấu tổ chức của Bộ Công Thương;
Căn cứ Nghị định số 137/2013/NĐ-CP ngày 21 tháng 10 năm 2013 của Chính phủ quy định chi tiết thi hành một số điều của Luật Điện lực và Luật sửa đổi, bổ sung một số điều của Luật Điện lực;
Theo đề nghị của Cục trưởng Cục Điều tiết điện lực,
Bộ trưởng Bộ Công Thương ban hành Thông tư sửa đổi, bổ sung một số điều của Thông tư số 45/2018/TT-BCT ngày 15 tháng 11 năm 2018 của Bộ trưởng Bộ Công Thương quy định vận hành thị trường bán buôn điện cạnh tranh và sửa đổi, bổ sung một số điều của Thông tư số 56/2014/TT-BCT ngày 19 tháng 12 năm 2014 của Bộ trưởng Bộ Công Thương quy định phương pháp xác định giá phát điện, trình tự kiểm tra hợp đồng mua bán điện.
Điều 1. Sửa đổi, bổ sung một số điều của Thông tư số 45/2018/TT-BCT ngày 15 tháng 11 năm 2018 của Bộ trưởng Bộ Công Thương quy định vận hành Thị trường bán buôn điện cạnh tranh và sửa đổi, bổ sung một số điều của Thông tư số 56/2014/TT-BCT ngày 19 tháng 12 năm 2014 của Bộ trưởng Bộ Công Thương quy định phương pháp xác định giá phát điện, trình tự kiểm tra hợp đồng mua bán điện như sau:
1. Sửa đổi Khoản 13 Điều 3 như sau:
“13. Dịch vụ phụ trợ là các dịch vụ điều khiển tần số thứ cấp, khởi động nhanh, dự phòng vận hành phải phát để đảm bảo an ninh hệ thống điện, điều chỉnh điện áp và khởi động đen.”.
2. Sửa đổi Khoản 14 Điều 3 như sau:
“14. Dịch vụ dự phòng điều chỉnh tần số là dịch vụ phụ trợ phục vụ công tác điều khiển tần số thứ cấp theo Quy định hệ thống điện truyền tải do Bộ Công Thương ban hành.”.
3. Sửa đổi Điều 7 như sau:
“Điều 7. Đăng ký tham gia thị trường điện
1. Đối với Đơn vị phát điện
a) Đơn vị phát điện tham gia thị trường điện khi đáp ứng đủ các yêu cầu sau:
- Giấy phép hoạt động điện lực trong lĩnh vực phát điện còn hiệu lực;
- Hoàn thành nghiệm thu đưa vào vận hành các hệ thống theo quy định tại Khoản 5 Điều 4 Thông tư này;
- Hoàn thành ký kết hợp đồng mua bán điện và văn bản công nhận ngày vận hành thương mại của nhà máy điện;
- Thỏa thuận thống nhất về đơn vị đại diện chào giá cho nhóm nhà máy thủy điện bậc thang (trong trường hợp Đơn vị phát điện là đại diện cho nhóm nhà máy thủy điện bậc thang).
b) Trước 07 ngày làm việc kể từ ngày chậm nhất phải tham gia thị trường điện theo quy định tại Điều 6 Thông tư này, Đơn vị phát điện có trách nhiệm gửi 01 bộ hồ sơ đăng ký tham gia thị trường điện cho từng nhà máy điện về Đơn vị vận hành hệ thống điện và thị trường điện qua trang thông tin điện tử thị trường điện. Đơn vị vận hành hệ thống điện và thị trường điện có trách nhiệm hướng dẫn các đơn vị về thành phần hồ sơ đăng ký tham gia thị trường điện của Đơn vị phát điện.
2. Đối với Đơn vị mua buôn điện
a) Đơn vị mua buôn điện tham gia thị trường điện khi đáp ứng các yêu cầu sau:
- Giấy phép hoạt động điện lực còn hiệu lực;
- Đáp ứng các quy định về đo đếm điện năng tại các điểm đo đếm ranh giới giao nhận của đơn vị theo quy định;
- Hoàn thành nghiệm thu đưa vào vận hành hệ thống thu thập số liệu đo đếm từ xa tại các vị trí đo đếm ranh giới trong phạm vi quản lý của đơn vị, hệ thống mạng kết nối thông tin nội bộ thị trường điện và chữ ký số.
b) Trước 07 ngày làm việc kể từ ngày chậm nhất phải tham gia thị trường điện theo quy định tại Điểm b Khoản 2 Điều 6 Thông tư này, Đơn vị mua buôn điện có trách nhiệm gửi 01 bộ hồ sơ đăng ký tham gia thị trường điện về Đơn vị vận hành hệ thống điện và thị trường điện qua trang thông tin điện tử thị trường điện. Đơn vị vận hành hệ thống điện và thị trường điện có trách nhiệm hướng dẫn các đơn vị về thành phần hồ sơ đăng ký tham gia thị trường điện của Đơn vị mua buôn điện.”.
4. Sửa đổi Điều 16 như sau:
“Điều 16. Xác định sản lượng hợp đồng
1. Quy định chung
a) Đơn vị phát điện và Đơn vị mua điện có trách nhiệm thỏa thuận, thống nhất và quy định trong hợp đồng mua bán điện về tỷ lệ sản lượng điện năng thanh toán theo giá hợp đồng trong khung quy định tại Điểm b Khoản này hoặc sản lượng hợp đồng năm (hoặc từng năm trong chu kỳ nhiều năm);
Căn cứ sản lượng hợp đồng năm đã thống nhất trong hợp đồng mua bán điện, Đơn vị phát điện và Đơn vị mua điện tính toán và thống nhất về việc phân bổ sản lượng hợp đồng vào từng tháng trong năm. Trường hợp các bên không thống nhất về sản lượng hợp đồng tháng, Đơn vị vận hành hệ thống điện và thị trường điện thực hiện tính toán sản lượng hợp đồng tháng theo quy định tại Thông tư này.
b) Tỷ lệ sản lượng điện năng thanh toán theo giá hợp đồng không cao hơn 100% và không thấp hơn 60%;
c) Đối với nhà máy điện có ràng buộc về bao tiêu nhiên liệu và có văn bản của cơ quan quản lý nhà nước có thẩm quyền cho phép chuyển ngang các quy định bao tiêu nhiên liệu của nhà máy điện trong hợp đồng cung cấp nhiên liệu sang hợp đồng mua bán điện: Đơn vị phát điện và Đơn vị mua điện có trách nhiệm thỏa thuận, thống nhất về sản lượng hợp đồng năm, trong đó sản lượng hợp đồng năm không thấp hơn sản lượng điện năng tương ứng với lượng bao tiêu nhiên liệu năm của nhà máy điện và có xét đến khả dụng của nhà máy điện trong năm.
2. Đối với nhà máy điện đã ký hợp đồng với Tập đoàn Điện lực Việt Nam:
a) Sản lượng hợp đồng năm:
- Trường hợp Đơn vị phát điện và Tập đoàn Điện lực Việt Nam thống nhất về tỷ lệ điện năng thanh toán theo giá hợp đồng cho năm N+1 (chưa thống nhất về sản lượng hợp đồng năm và sản lượng hợp đồng từng tháng trong năm N+1) theo Điểm a Khoản 1 Điều này: Trước ngày 15 tháng 11 năm N, các đơn vị cung cấp số liệu này cho Đơn vị vận hành hệ thống điện và thị trường điện để thực hiện tính toán sản lượng hợp đồng năm N+1 theo quy định tại Khoản 1 Điều 27 Thông tư này;
- Trường hợp Đơn vị phát điện và Tập đoàn Điện lực Việt Nam thống nhất về sản lượng hợp đồng năm N+1 (chưa thống nhất về sản lượng hợp đồng từng tháng trong năm N+1) theo Điểm a Khoản 1 Điều này: Trước ngày 15 tháng 11 năm N, các đơn vị cung cấp số liệu này cho Đơn vị vận hành hệ thống điện và thị trường điện để thực hiện tính toán sản lượng hợp đồng từng tháng trong năm N+1 theo quy định tại Khoản 2 Điều 27 Thông tư này;
- Trường hợp Đơn vị phát điện và Tập đoàn Điện lực Việt Nam không thống nhất về tỷ lệ điện năng thanh toán theo giá hợp đồng năm N+1 và sản lượng hợp đồng năm N+1 để cung cấp cho Đơn vị vận hành hệ thống điện và thị trường điện trước ngày 15 tháng 11 năm N: Thực hiện theo quy định tại Khoản 5 Điều này.
b) Sản lượng hợp đồng tháng:
- Trường hợp Đơn vị phát điện và Tập đoàn Điện lực Việt Nam thống nhất về sản lượng hợp đồng từng tháng trong năm theo Điểm a Khoản 1 Điều này: Trước ngày 15 tháng 11 năm N, các đơn vị cung cấp số liệu sản lượng hợp đồng từng tháng trong năm N+1 cho Đơn vị vận hành hệ thống điện và thị trường điện để phân bổ sản lượng hợp đồng vào từng chu kỳ giao dịch theo quy định tại Điều 38 Thông tư này. Trong năm N+1, trường hợp Đơn vị phát điện và Tập đoàn Điện lực Việt Nam có thỏa thuận, thống nhất về điều chỉnh sản lượng hợp đồng tháng M, các đơn vị có trách nhiệm cung cấp sản lượng hợp đồng điều chỉnh này cho Đơn vị vận hành hệ thống điện và thị trường điện trước ngày 20 tháng M-1;
- Trường hợp Đơn vị phát điện và Tập đoàn Điện lực Việt Nam không thống nhất về sản lượng hợp đồng từng tháng trong năm: Căn cứ sản lượng hợp đồng năm quy định tại Điểm a Khoản này, Đơn vị vận hành hệ thống điện và thị trường điện tính toán sản lượng hợp đồng tháng theo quy định tại Khoản 2 Điều 27 Thông tư này để Đơn vị phát điện và Tập đoàn Điện lực Việt Nam thực hiện.
c) Sản lượng hợp đồng từng chu kỳ giao dịch: Đơn vị vận hành hệ thống điện và thị trường điện thực hiện tính toán sản lượng hợp đồng từng chu kỳ giao dịch căn cứ theo sản lượng hợp đồng tháng quy định tại Điểm b Khoản này và theo nguyên tắc quy định tại Điều 38 Thông tư này.
3. Đối với nhà máy điện đã ký hợp đồng với Tập đoàn Điện lực Việt Nam, được phân bổ cho Đơn vị mua buôn điện và nhà máy điện đã ký hợp đồng với đơn vị mua buôn điện:
a) Sản lượng hợp đồng năm và tháng của nhà máy điện tuân thủ quy định tại Khoản 1 Điều này và tính toán theo các nguyên tắc quy định tại Khoản 2 Điều này;
b) Trường hợp Đơn vị phát điện và Đơn vị mua điện không thống nhất về tỷ lệ điện năng thanh toán theo giá hợp đồng và sản lượng hợp đồng năm của nhà máy điện: Thực hiện theo quy định tại Khoản 5 Điều này;
c) Sản lượng hợp đồng từng chu kỳ giao dịch của nhà máy điện được Đơn vị vận hành hệ thống điện và thị trường điện xác định trong lập kế hoạch vận hành tháng tới căn cứ trên việc phân bổ sản lượng hợp đồng tháng vào các chu kỳ giao dịch trong tháng thực hiện theo quy định tại Điều 40 Thông tư này;
4. Đối với nhà máy điện mới (vận hành thương mại sau thời điểm Thông tư này có hiệu lực):
a) Trước ngày vận hành thương mại dự kiến của nhà máy điện 90 ngày, Đơn vị phát điện và Đơn vị mua điện có trách nhiệm thoả thuận, thống nhất trong hợp đồng mua bán điện về tỷ lệ sản lượng điện năng thanh toán theo giá hợp đồng hoặc sản lượng hợp đồng nám theo quy định tại Điểm a Khoản 1 Điều này;
b) Sản lượng hợp đồng tháng:
- Trường hợp Đơn vị phát điện và Đơn vị mua điện thỏa thuận, thống nhất trong hợp đồng mua bán điện về sản lượng hợp đồng từng tháng trong năm: Trước ngày 20 tháng M, các đơn vị cung cấp số liệu sản lượng hợp đồng tháng M+1 cho Đơn vị vận hành hệ thống điện và thị trường điện để phân bổ sản lượng hợp đồng vào từng chu kỳ giao dịch trong tháng M+1;
- Trường hợp Đơn vị phát điện và Đơn vị mua điện không thống nhất về sản lượng hợp đồng từng tháng trong năm: Căn cứ sản lượng hợp đồng năm quy định tại Điểm a Khoản này, Đơn vị vận hành hệ thống điện và thị trường điện tính toán sản lượng hợp đồng tháng theo quy định tại Khoản 2 Điều 27 Thông tư này.
c) Sản lượng hợp đồng từng chu kỳ giao dịch: Trừ trường hợp có thỏa thuận khác trong hợp đồng mua bán điện, sản lượng hợp đồng từng chu kỳ giao dịch của nhà máy điện được Đơn vị vận hành hệ thống điện và thị trường điện xác định trong lập kế hoạch vận hành tháng tới căn cứ trên việc phân bổ sản lượng hợp đồng tháng vào các chu kỳ giao dịch trong tháng theo quy định tại Điều 38 và Điều 40 Thòng tư này.
5. Đối với nhà máy điện đã ký hợp đồng nhưng không thống nhất được tỷ lệ sản lượng điện năng thanh toán theo giá hợp đồng hoặc sản lượng hợp đồng năm N+1 với Tập đoàn Điện lực Việt Nam hoặc Đơn vị mua buôn điện theo quy định tại Khoản 1 Điều này để cung cấp cho Đơn vị vận hành hệ thống điện và thị trường điện trước ngày 15 tháng 11 năm N:
a) Đơn vị phát điện, Đơn vị mua điện có trách nhiệm báo cáo Cục Điều tiết điện lực và cung cấp cho Đơn vị vận hành hệ thống điện và thị trường điện trước ngày 20 tháng 11 hàng năm về các nội dung sau:
- Các vấn đề mà hai đơn vị chưa thống nhất, lập luận của đơn vị về các vấn đề chưa thống nhất;
- Tổng hợp sản lượng điện thực phát, sản lượng điện hợp đồng trong 05 năm gần nhất;
- Các bất thường dự kiến trong năm kế tiếp;
- Đề xuất của đơn vị về tỷ lệ sản lượng thanh toán theo giá hợp đồng và sản lượng hợp đồng.
b) Căn cứ báo cáo của Đơn vị phát điện và Đơn vị mua điện, Đơn vị vận hành hệ thống điện và thị trường điện có trách nhiệm đề xuất các phương án tỷ lệ sản lượng thanh toán theo giá hợp đồng trong năm tới theo quy định tại Điểm b Khoản 1 Điều này và báo cáo Cục Điều tiết điện lực;
c) Cục Điều tiết điện lực chủ trì, tổ chức làm việc với Đơn vị phát điện và Đơn vị mua điện để các đơn vị thương lượng và thỏa thuận về tỷ lệ sản lượng điện năng thanh toán theo giá hợp đồng hoặc sản lượng hợp đồng năm theo quy định tại Khoản 1 Điều này;
d) Trường hợp các bên vẫn không thống nhất tỷ lệ sản lượng điện năng thanh toán theo giá hợp đồng hoặc sản lượng hợp đồng năm: Trước ngày 10 tháng 12 năm N, căn cứ kết quả tính toán của Đơn vị vận hành hệ thống điện và thị trường điện tại Điểm b Khoản này, Cục Điều tiết điện lực công bố tỷ lệ sản lượng thanh toán theo giá hợp đồng năm N+1 để các bên thực hiện trong giai đoạn chưa thống nhất trong hợp đồng mua bán điện:
- Tỷ lệ sản lượng thanh toán theo giá hợp đồng do Cục Điều tiết điện lực công bố trong khung quy định tại Điểm b Khoản 1 Điều này;
- Căn cứ tỷ lệ sản lượng thanh toán theo giá hợp đồng do Cục Điều tiết điện lực công bố, Đơn vị vận hành hệ thống điện và thị trường điện có trách nhiệm tính toán sản lượng hợp đồng năm và tháng theo quy định tại Điều 27 Thông tư này và thông báo cho Đơn vị phát điện và Đơn vị mua điện để thực hiện theo các quy định vận hành thị trường điện tại Thông tư này;
đ) Trong giai đoạn áp dụng tỷ lệ sản lượng thanh toán theo giá hợp đồng theo công bố của Cục Điều tiết điện lực, Đơn vị phát điện và Đơn vị mua điện tiếp tục thỏa thuận về sản lượng hợp đồng các tháng còn lại trong năm. Trường hợp Đơn vị phát điện và Đơn vị mua điện đạt được thỏa thuận về sản lượng hợp đồng các tháng còn lại trong năm và cung cấp cho Đơn vị vận hành hệ thống điện và thị trường điện: Các đơn vị báo cáo Cục Điều tiết điện lực về sản lượng hợp đồng đã thống nhất và thời gian thực hiện;
e) Trước ngày 15 tháng 6 của năm vận hành, Cục Điều tiết điện lực chủ trì, tổ chức làm việc với Đơn vị phát điện và Đơn vị mua điện chưa đạt được thỏa thuận về sản lượng hợp đồng để các bên làm rõ các phương án của mỗi bên, thương lượng và thoả thuận thống nhất về sản lượng hợp đồng các tháng còn lại trong năm. Trường hợp Đơn vị phát điện và Đơn vị mua điện tiếp tục không thống nhất:
- Tiểp tục áp dụng tỷ lệ sản lượng thanh toán theo giá hợp đồng tạm thời do Cục Điều tiết điện lực công bố tại Điểm d Khoản này đến khi hai bên thoả thuận được hoặc đến hết năm vận hành tuỳ theo điều kiện nào đến trước;
- Tiếp tục thỏa thuận về tỷ lệ sản lượng thanh toán theo giá hợp đồng và sản lượng hợp đồng. Trường hợp hai bên đạt được thỏa thuận thống nhất, các đơn vị thông báo cho Đơn vị vận hành hệ thống điện và thị trường điện theo thời gian biểu của vận hành kế hoạch vận hành thị trường điện tháng và báo cáo Cục Điều tiết điện lực.''.
6. Điều chỉnh sản lượng hợp đồng:
a) Điều chỉnh sản lượng hợp đồng tháng:
- Trường hợp Đơn vị phát điện và Đơn vị mua điện thống nhất trong hợp đồng mua bán điện về sản lượng hợp đồng tháng, hoặc các nội dung về điều chỉnh sản lượng hợp đồng tháng (các trường hợp điều chỉnh, nguyên tắc điều chỉnh) trước tháng vận hành: Việc điều chỉnh sản lượng hợp đồng tháng được thực hiện theo quy định tại hợp đồng mua bán điện, không thuộc phạm vi áp dụng của Thông tư này. Các đơn vị có trách nhiệm thông báo cho Đơn vị vận hành hệ thống điện và thị trường điện về các nội dung đã thống nhất để phục vụ công tác vận hành thị trường điện;
- Trường hợp sản lượng hợp đồng tháng do Đơn vị vận hành hệ thống điện và thị trường điện tính toán theo quy định tại Khoản 2 Điều 27 Thông tư này và không có thỏa thuận khác trong hợp đồng mua bán điện về điều chỉnh sản lượng hợp đồng tháng: Việc điều chỉnh sản lượng hợp đồng được thực hiện theo các nguyên tắc quy định tại Điều 37 Thông tư này.
b) Điều chỉnh sản lượng hợp đồng chu kỳ giao dịch:
- Trường hợp Đơn vị phát điện và Đơn vị mua điện thống nhất trong hợp đồng mua bán điện về sản lượng hợp đồng từng chu kỳ giao dịch hoặc các nội dung về điều chỉnh sản lượng hợp đồng chu kỳ giao dịch (các trường hợp điều chỉnh, nguyên tắc điều chỉnh): Việc điều chỉnh sản lượng hợp đồng chu kỳ giao dịch được thực hiện theo quy định tại hợp đồng mua bán điện. Các đơn vị có trách nhiệm thông báo cho Đơn vị vận hành hệ thống điện và thị trường điện về các nội dung đã thống nhất để phục vụ công tác vận hành thị trường điện;
- Trường hợp sản lượng hợp đồng từng chu kỳ giao dịch do Đơn vị vận hành hệ thống điện và thị trường điện tính toán theo quy định tại Điều 38 và Điều 40 Thông tư này và không có thỏa thuận khác trong hợp đồng mua bán điện về điều chỉnh sản lượng hợp đồng chu kỳ giao dịch: Việc điều chỉnh sản lượng hợp đồng chu kỳ giao dịch được thực hiện theo các nguyên tắc quy định tại Điều 39 Thông tư này.
5. Sửa đổi Khoản 1 Điều 20 như sau:
“1. Các loại hình dịch vụ phụ trợ cho vận hành hệ thống điện trong thị trường điện bao gồm:
a) Điều khiển tần số thứ cấp;
b) Khởi động nhanh;
c) Điều chỉnh điện áp;
d) Khởi động đen;
đ) Dự phòng vận hành phải phát để đảm bảo an ninh hệ thống điện.”.
6. Sửa đổi Khoản 2 Điều 23 như sau:
“2. Giá trần thị trường điện cho năm N không cao hơn 115% giá trần bản chào cao nhất trong các tổ máy nhiệt điện trực tiếp chào giá trên thị trường điện.”.
7. Sửa đổi Khoản 1 Điều 27 như sau:
“1. Xác định sản lượng hợp đồng năm
Tổng sản lượng hợp đồng năm của nhà máy điện được xác định theo các bước sau:
a) Lập kế hoạch vận hành hệ thống điện năm tới theo phương pháp lập lịch có ràng buộc. Thông số đầu vào sử dụng trong lập kế hoạch vận hành hệ thống điện năm tới là giá biến đổi của các nhà máy nhiệt điện, các đặc tính thuỷ văn và thông số kỹ thuật của nhà máy điện;
b) Tính toán tổng sản lượng kế hoạch năm của nhà máy điện theo công thức sau:
|
AGO = EGO |
nếu |
a x GO ≤ EGO ≤ b x GO |
|
AGO = a x GO |
nếu |
EGO < a x GO |
|
AGO = b x GO |
nếu |
EGO > b x GO |
Trong đó:
AGO: Tổng sản lượng kế hoạch năm N của nhà máy điện (kWh);
EGO: Sản lượng dự kiến năm N của nhà máy điện xác định từ kế hoạch vận hành hệ thống điện năm tới được quy đổi về vị trí đo đếm (kWh);
GO: Sản lượng điện năng phát bình quân nhiều năm của nhà máy điện được quy định trong hợp đồng mua bán điện (kWh);
a, b: Hệ số hiệu chỉnh sản lượng năm do Bộ Công Thương công bố, trừ trường hợp Đơn vị phát điện và Đơn vị mua điện có thỏa thuận khác và thống nhất trong hợp đồng mua bán điện.
c) Tính toán tổng sản lượng hợp đồng năm của nhà máy điện theo công thức sau:
Qc = α x AGO
Trong đó:
Qc: Tổng sản lượng hợp đồng năm N (kWh);
AGO: Sản lượng kế hoạch năm N của nhà máy điện (kWh);
α: Tỷ lệ sản lượng thanh toán theo giá hợp đồng áp dụng cho năm N (%).”.
8. Sửa đổi Điểm b Khoản 2 Điều 29 như sau:
“b) Xác nhận bằng văn bản điện tử hoặc bằng văn bản giấy (trong trường hợp hệ thống sử dụng văn bản điện tử bị sự cố) về sản lượng hợp đồng năm, tháng của nhà máy điện giữa Đơn vị phát điện và Tập đoàn Điện lực Việt Nam.”.
9. Sửa đổi Điểm b Khoản 3 Điều 29 như sau:
“b) Đơn vị phát điện và Đơn vị mua buôn điện xác nhận bằng văn bản điện tử hoặc bằng văn bản giấy (trong trường hợp hệ thống sử dụng văn bản điện tử bị sự cố) về tổng sản lượng hợp đồng năm, tháng của nhà máy điện.”.
10. Sửa đổi Điều 36 như sau:
“Điều 36. Tính toán sản lượng hợp đồng tháng cho nhà máy điện mới tham gia thị trường điện giữa năm vận hành
Trừ trường hợp sản lượng hợp đồng được các bên thỏa thuận và thống nhất mua bán điện, sản lượng hợp đồng của nhà máy điện mới tham gia thị trường điện giữa năm vận hành được xác định theo các bước sau:
1. Trước ngày 20 tháng M, Đơn vị phát điện có kế hoạch đưa nhà máy điện vào vận hành thương mại trong tháng M+1 có trách nhiệm cung cấp các thông tin về kinh tế và kỹ thuật của nhà máy điện cho Đơn vị vận hành hệ thống điện và thị trường điện để tính toán kế hoạch vận hành tháng tới và các tháng tiếp theo trong năm N.
2. Đơn vị vận hành hệ thống điện và thị trường điện có trách nhiệm tính toán sản lượng hợp đồng tháng cho nhà máy điện (tính từ tháng nhà máy điện tham gia thị trường điện đến hết năm N) trong kế hoạch vận hành thị trường điện tháng tới.
3. Sản lượng hợp đồng tháng của nhà máy điện này được xác định theo công thức sau:

Trong đó:
: Sản lượng hợp đồng tháng của nhà máy điện (kWh);
: Sản lượng kế hoạch theo phương thức vận hành hệ thống điện cập nhật tháng tới và các tháng còn lại năm N của nhà máy điện và được quy đổi về điểm giao nhận (kWh);
α: Tỷ lệ sản lượng điện năng thanh toán theo giá hợp đồng áp dụng cho năm N (%).”.
11. Sửa đổi Khoản 3 Điều 37 như sau:
“3. Điều chỉnh sản lượng hợp đồng tháng của nhà máy thủy điện có hồ điều tiết trên 01 tuần:
a) Sản lượng hợp đồng tháng của nhà máy thủy điện có hồ điều tiết trên 01 tuần được điều chỉnh trong trường hợp có sự có sự khác biệt giữa các số liệu sau:
- Lưu lượng nước về bình quân trong quá khứ và lưu lượng nước về dự báo được sử dụng trong công tác lập kế hoạch vận hành năm tới;
- Sản lượng thực phát của nhà máy điện quy đổi về điểm giao nhận và sản lượng sản lượng hợp đồng;
- Dung tích hữu ích đầu kỳ dự kiến của tháng M+1 và dung tích hữu ích hồ đầu tháng tính toán trong kế hoạch năm;
- Sản lượng hợp đồng tháng M+1 và sản lượng dự kiến huy động quy đổi tại điểm giao nhận trong kế hoạch vận hành tháng M+1 đã được phê duyệt;
- Mực nước dự kiến đầu tháng M+1 và mực nước tối thiểu được quy định tại Quy trình vận hành hồ chứa do cơ quan có thẩm quyền ban hành.
b) Chỉ điều chỉnh tăng sản lượng hợp đồng của nhà máy thủy điện có hồ điều tiết trên 01 tuần trong trường hợp tổng sản lượng hợp đồng tháng của các nhà máy điện tham gia thị trường điện theo kế hoạch vận hành năm thấp hơn 95% tổng sản lượng dự kiến phát (quy đổi về điểm giao nhận) của các nhà máy điện theo kế hoạch vận hành tháng;
c) Các điều kiện cụ thể để xem xét điều chỉnh sản lượng hợp đồng và nguyên tắc điều chỉnh được thực hiện theo quy định tại Quy trình tính toán thanh toán trong thị trường điện do Cục Điều tiết điện lực ban hành.”.
12. Sửa đổi Khoản 5 Điều 37 như sau:
“5. Trường hợp sản lượng khả dụng tháng M+1 được duyệt của nhà máy điện không đảm bảo sản lượng hợp đồng tháng thì sản lượng hợp đồng tháng được điều chỉnh bằng sản lượng khả dụng tháng đó. Đơn vị phát điện có trách nhiệm cung cấp cho Đơn vị vận hành hệ thống điện và thị trường điện thông tin về kế hoạch cung cấp nhiên liệu (có xác nhận của đơn vị cung cấp nhiên liệu) cho nhà máy nhiệt điện trong tháng tới trước ngày 20 tháng M để làm cơ sở tính toán lập kế hoạch vận hành tháng tới và xem xét điều chỉnh sản lượng hợp đồng trong trường hợp này (nếu cần thiết).”.
13. Bổ sung Điểm d Khoản 1 Điều 39 như sau:
“d) Trường hợp nhà máy nhiệt điện than xảy ra tình trạng thiểu nhiên liệu dẫn đển sản lượng điện năng tương ứng với mức công suất công bố trong bản chào ngày tới của nhà máy điện thấp hơn sản lượng hợp đồng của nhà máy.”.
14. Sửa đổi Khoản 4 Điều 39 như sau:
“4. Trường hợp quy định tại Điểm c và Điểm d Khoản 1 Điều này, thực hiện điều chỉnh sản lượng hợp đồng của nhà máy tuabin khí và nhà máy nhiệt điện than trong các chu kỳ giao dịch bằng sản lượng thực tế tại điểm giao nhận của nhà máy điện.”.
15. Sửa đổi Khoản 1 Điều 42 như sau:
“1. Đơn vị vận hành hệ thống điện và thị trường điện có trách nhiệm tính toán và công bố sản lượng hợp đồng tuần và phân bổ sản lượng hợp đồng tuần cho từng chu kỳ giao dịch trong tuần của nhà máy thuỷ điện có hồ chứa điều tiết từ 02 ngày đến 01 tuần theo nguyên tắc sau:
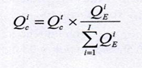
a) Trước 15h00 thứ Tư hàng tuần, Đơn vị vận hành hệ thống điện và thị trường điện có trách nhiệm tính toán sản lượng hợp đồng tuần của các nhà máy thủy điện có hồ chứa điều tiết từ 02 ngày đến 01 tuần theo công thức sau:

Trong đó:
: Sản lượng hợp đồng tuần tới (kWh);
EGOT : Sản lượng dự kiến tuần tới của nhà máy điện theo kế hoạch vận hành hệ thống điện và thị trường điện tuần tới (kWh);
α: Tỷ lệ sản lượng thanh toán theo giá hợp đồng (%) của nhà máy do Đơn vị phát điện và Đơn vị mua điện thỏa thuận, thống nhất trong hợp đồng mua bán điện quy định tại Điểm b Khoản 1 Điều 16 Thông tư này. Trường hợp Đơn vị phát điện và Đơn vị mua điện không thỏa thuận, thống nhất được, tỷ lệ sản lượng thanh toán theo giá hợp đồng được xác định theo quy định tại Khoản 5 Điều 16 Thông tư này.
b) Trước 15h00 thứ Tư hàng tuần, Đơn vị vận hành hệ thống điện và thị trường điện có trách nhiệm phân bổ sản lượng hợp đồng tuần của các nhà máy thủy điện có hồ chứa điều tiết từ 02 ngày đến 01 tuần theo công thức sau:

Trong đó:
i; Chu kỳ giao dịch thứ i trong tuần;
I. Tổng số chu kỳ giao dịch trong tuần;
Sản lượng hợp đồng của nhà máy điện trong chu kỳ giao dịch i (kWh);
: Sản lượng dự kiến phát của nhà máy điện trong chu kỳ giao dịch i theo kế hoạch vận hành hệ thống điện và thị trường điện tuần tới (kWh);
: Sản lượng hợp đồng tuần của nhà máy điện được xác định tại Điểm a Khoản này (kWh).
c) Trường hợp sản lượng hợp đồng của các nhà máy thủy điện nhỏ hơn công suất phát ổn định thấp nhất thì có thể điều chỉnh bằng 0 MW hoặc bằng công suất phát ổn định thấp nhất;
d) Trong giai đoạn chống lũ, tưới tiêu, trường hợp sản lượng hợp đồng của nhà máy thủy điện trong chu kỳ giao dịch thử i thấp hơn công suất phát để đảm bảo yêu cầu xả nước tối thiểu thì sản lượng hợp đồng của nhà máy điện trong các chu kỳ này được điều chỉnh tương ứng để nhà máy thủy điện đảm bảo thực hiện đầy đủ yêu cầu về chống lũ, tưới tiêu;
đ) Tổng sản lượng chênh lệch do việc điều chỉnh theo quy định tại Điểm c Khoản này được phân bổ theo tỷ lệ phụ tải trên nguyên tắc đảm bảo sản lượng hợp đồng tuần là không đổi.”.
16. Sửa đổi Điều 43 như sau:
“Điều 43. Giá trần bản chào của nhà máy thủy điện
1. Trừ trường hợp quy định tại Khoản 3 Điều này, giá trần bản chào của nhà máy thủy điện có hồ chứa điều tiết trên 01 tuần được xác định căn cứ theo giá trị nước tuần tới của nhà máy đó được công bố theo quy định tại Điều 41 Thông tư này, cụ thể như sau:
a) Giá trần bản chào bằng giá trị lớn nhất của:
- 120% giá trị nước của nhà máy thủy điện;
- Giá trung bình của các giá trần bản chào của các tổ máy nhiệt điện tham gia thị trường điện trong kế hoạch vận hành tháng.
b) Hàng tháng, Đơn vị vận hành hệ thống điện và thị trường điện có trách nhiệm công bố giá trung bình của các giá trần bản chào của các tổ máy nhiệt điện tháng tới cho các nhà máy thuỷ điện cùng thời gian biểu công bố giá trần bản chào của tổ máy nhiệt điện trong tháng tới.
2. Trừ trường hợp quy định tại Khoản 3 Điều này, giá trần bản chào của nhà máy thủy điện có hồ chứa điều tiết từ 02 ngày đến 01 tuần được xác định bằng giá trị lớn nhất của:
- 120% giá trị nước cao nhất của các nhà máy thuỷ điện tham gia thị trường;
- Giá trung bình của các giá trần bản chào của các tổ máy nhiệt điện tham gia thị trường điện trong kế hoạch vận hành tháng.
3. Giá trần bản chào của nhà máy thủy điện trong trường hợp đặc biệt
a) Giá trần bản chào của nhà máy thủy điện trong các trường hợp quy định tại Điểm b và Điểm c Khoản này được xác định theo công thức sau;
Ptr = 1,2 x max (Pgtn ; PDOmax)
Trong đó:
Ptr: Giá trần bản chào của nhà máy thủy điện áp dụng trong các trường hợp đặc biệt (đ/kWh);
Pgtn: Giá trị nước của nhà máy thủy điện (đ/kWh);
PDOmax: Chi phí biến đổi của tổ máy nhiệt điện chạy dầu DO đắt nhất trong hệ thống điện (đ/kWh).
b) Trường hợp hồ chứa của nhà máy thuỷ điện vi phạm mức nước giới hạn tuần đầu tiên: Giá trần bản chào của nhả máy thủy điện này áp dụng cho tuần kế tiếp được xác định theo quy định tại Điểm a Khoản này. Khi đã đảm bảo không vi phạm mức nước giới hạn tuần, nhà máy tiếp tục áp dụng giá trần bản chào theo quy định tại Khoản 1 hoặc Khoản 2 Điều này từ thứ Ba tuần kế tiếp. Hàng tháng, Đơn vị vận hành hệ thống điện và thị trường điện có trách nhiệm công bố chi phí biến đổi của tổ máy nhiệt điện dầu DO đắt nhất trong hệ thống điện;
c) Trường hợp nhà máy thuỷ điện đặt tại miền có dự phòng điện năng thấp hơn 5% được công bố theo quy định tại Quy trình thực hiện đánh giá an ninh hệ thống điện trung hạn và ngắn hạn do Cục Điều tiết điện lực ban hành hướng dẫn thực hiện Quy định hệ thống điện truyền tải do Bộ Công Thương ban hành: Giá trần bản chào của nhà máy thủy điện trong miền này của tuần đánh giá được xác định theo quy định tại Điểm a Khoản này. Khi dự phòng điện năng của miền bằng hoặc cao hơn 5%, nhà máy điện trong miền này tiếp tục áp dụng giá trần bản chào theo quy định tại Khoản 1 và Khoản 2 Điều này.
4. Hàng tuần, Đơn vị vận hành hệ thống điện và thị trường điện có trách nhiệm:
a) Tính toán giá trần bản chào các tổ máy thủy điện của nhà máy thuỷ điện tham gia thị trường điện theo quy định tại Khoản 1, Khoản 2 và Khoàn 3 Điều này;
b) Công bổ kết quả tính toán giá trần bản chào của từng tổ máy thủy điện của nhà máy thuỷ điện tham gia thị trường điện áp dụng cho tuần tới và các thông số đầu vào phục vụ tính toán bao gồm: Giá trị nước, chi phí biến đổi của tổ máy nhiệt điện dầu DO đắt nhất trong hệ thống điện, giá trung bình của các giá trần bản chảo của các tổ máy nhiệt điện tham gia thị trường điện trong kế hoạch vận hành tháng.
5. Nhà máy thủy điện tham gia thị trường điện có trách nhiệm:
a) Chào giá tuân thủ các quy định về giá trần bản chào và giá sàn bản chào;
b) Đáp ứng các yêu cầu về ràng buộc nhu cầu sử dụng nước phía hạ du và các ràng buộc về thủy văn khác.”.
17. Sửa đổi Điểm d Khoản 1 Điều 46 như sau:
“d) Có các thông tin về thông số kỹ thuật của tổ máy, bao gồm:
- Công suất công bố của tổ máy cho ngày D;
- Công suất phát ổn định thấp nhất của tổ máy;
- Tốc độ tăng và giảm công suất tối đa của tổ máy;
- Ràng buộc kỹ thuật khi vận hành đồng thời các tổ máy;
- Tình trạng nhiên liệu của nhà máy nhiệt điện.”.
18. Sửa đổi Điểm g Khoản 1 Điều 46 như sau:
“g) Nhà máy thủy điện có thể chào các dải công suất đầu tiên trong từng chu kỳ giao dịch bằng 0 MW. Đối với nhà máy thủy điện có khả năng điều tiết trên 02 ngày thì dải công suất chào cuối cùng phải bằng công suất công bố, trường hợp mực nước của hồ chứa thủy điện đã xuống mực nước chết nhà máy được phép điều chỉnh công suất công bố bằng 0 MW;”.
19. Sửa đổi Điểm b Khoản 2 Điều 46 như sau:
“b) Bản chào của nhà máy thủy điện có 02 tuần liên tiếp vi phạm mức nước giới hạn:
- Phần sản lượng tương ứng với yêu cầu về lưu lượng cấp nước hạ du theo yêu cầu của cơ quan có thẩm quyền được chào bằng giá sàn;
- Phần sản lượng còn lại được chào bằng mức giá trần bản chào áp dụng cho nhà máy thủy điện vi phạm mức nước giới hạn 02 tuần liên tiếp được quy định tại Điểm a Khoản 3 Điều 43 Thông tư này.”.
20. Sửa đổi Điểm c Khoản 1 Điều 47 như sau:
“c) Tổ máy phát điện bị sự cố gây ngừng máy hoặc giảm công suất khả dụng hoặc sửa chữa tổ máy ngoài kế hoạch đã được Đơn vị vận hành hệ thống điện và thị trường điện phê duyệt theo Quy định hệ thống điện truyền tải do Bộ Công Thương ban hành: Đơn vị chào giá được sửa đổi giảm công suất công bố và nộp lại bản chào giá cho tổ máy này;”.
21. Sửa đổi Khoản 1 Điều 54 như sau:
“1. Công suất huy động dự kiến, bao gồm cả công suất huy động cho dịch vụ dự phòng điều chỉnh tần số của các tổ máy trong từng chu kỳ giao dịch của ngày tới. Giá biên từng miền trong từng chu kỳ giao dịch ngày tới.”.
22. Sửa đổi Điều 59 như sau:
“Điều 59. Điều chỉnh sản lượng công bố của các nhà máy điện
Trước khi lập lịch huy động chu kỳ giao dịch tới, Đơn vị vận hành hệ thống điện và thị trường điện được phép điều chỉnh sản lượng của nhà máy thủy điện chiến lược đa mục tiêu và các nhà máy điện tự điều khiển phát công suất tác dụng theo quy định tại Quy trình điều độ hệ thống điện quốc gia do Bộ Công Thương ban hành cho chu kỳ giao dịch tới đã được công bố theo quy định tại Khoản 1 Điều 54 Thông tư này.
1. Sản lượng của nhà máy thủy điện chiến lược đa mục tiêu cho chu kỳ giao dịch tới được điều chỉnh trong các trường hợp sau:
a) Có biến động bất thường về thuỷ văn;
b) Có cảnh báo thiếu công suất theo lịch huy động ngày tới;
c) Có văn bản của cơ quan quản lý nhà nước có thẩm quyền về điều tiết hồ chứa của nhà máy thủy điện chiến lược đa mục tiêu phục vụ mục đích chống lũ, tưới tiêu.
2. Phạm vi điều chỉnh sản lượng công bố của nhà máy thủy điện chiến lược đa mục tiêu trong các trường hợp quy định tại Điểm a và Điểm b Khoản 1 Điều này là ±5% tổng công suất đặt của các nhà máy thuỷ điện chiến lược đa mục tiêu trong hệ thống điện không bao gồm phần công suất dành cho dịch vụ dự phòng điều chỉnh tần số.
3. Đối với các nhà máy điện tự điều khiển phát công suất tác dụng theo quy định tại Quy trình điều độ hệ thống điện quốc gia do Bộ Công Thương ban hành: Sản lượng công bố được điều chỉnh phù hợp với điều kiện vận hành thực tế của nhà máy điện và hệ thống điện.”.
23. Sửa đổi Điểm a Khoản 2 Điều 60 như sau:
“a) Đơn vị vận hành hệ thống điện và thị trường điện lập lịch huy động các tổ máy theo thứ tự sau:
- Theo bản chào giá lập lịch;
- Các nhà máy thủy điện chiến lược đa mục tiêu theo công suất điều chỉnh;
- Các tổ máy cung cấp dịch vụ dự phòng khởi động nhanh theo lịch huy động ngày tới;
- Các tổ máy cung cấp dịch vụ vận hành phải phát để đảm bảo an ninh hệ thống điện;
- Giảm công suất dịch vụ dự phòng điều chỉnh tần số xuống mức thấp nhất cho phép.”.
24. Sửa đổi Khoản 3 Điều 60 như sau:
“3. Lập lịch huy động chu kỳ giao dịch tới trong trường hợp thừa công suất
Đơn vị vận hành hệ thống điện và thị trường điện có trách nhiệm điều chỉnh lịch huy động chu kỳ giao dịch tới thông qua các biện pháp theo thứ tự sau:
a) Dừng các tổ máy tự nguyện ngừng phát điện;
b) Giảm tối thiểu công suất phát của tổ máy cung cấp dịch vụ dự phòng điều chỉnh tần số;
c) Giảm dần công suất phát của các tổ máy theo thứ tự huy động tại danh sách tổ máy đã được lập theo quy định tại Điều 53 Thông tư này;
d) Dừng các tổ máy khởi động chậm theo thứ tự huy động tại danh sách tổ máy đã được lập theo quy định tại Điều 53 Thông tư này.”.
25. Sửa đổi Khoản 2 Điều 63 như sau:
“2. Trong trường hợp hồ chứa của nhà máy điện có 02 tuần liên tiếp vi phạm mức nước giới hạn tuần thì bắt đầu từ 00h00 thứ Ba tuần tiếp theo, Đơn vị vận hành hệ thống điện và thị trường điện lập lịch huy động nhà máy điện này căn cứ theo bản chào mặc định quy định tại Điểm b Khoản 2 Điều 46 Thông tư này để đưa mực nước của hồ chứa về mức nước giới hạn tuần.”.
26. Sửa đổi Khoản 2 Điều 64 như sau:
“2. Trong trường hợp can thiệp thị trường điện, Đơn vị vận hành hệ thống điện và thị trường điện có trách nhiệm huy động các tổ máy để đảm bảo các mục tiêu theo thứ tự ưu tiên sau:
a) Đảm bảo cân bằng được công suất phát và phụ tải;
b) Đáp ứng được yêu cầu về dịch vụ dự phòng điều chỉnh tần số;
c) Đáp ứng được yêu cầu về chất lượng điện áp.”
27. Sửa đổi Điểm c Khoản 2 Điều 74 như sau;
“c) Trước 12h00 ngày D+4, Đơn vị truyền tải điện, Đơn vị phát điện và Đơn vị mua điện thực hiện kiểm tra, đối chiếu số liệu đo đếm, phát hiện các phát sinh, sự kiện dẫn đến chênh lệch sản lượng gửi Đơn vị vận hành hệ thống điện và thị trường điện ý kiến phản hồi xác nhận về đối soát số liệu đo đếm. Sau thời điểm này, Đơn vị vận hành hệ thống điện và thị trường điện không tiếp nhận phản hồi về phát sinh liên quan đến số liệu đo đếm của ngày D. Trường hợp không có phản hồi từ các đơn vị trên trang thông tin điện tử thị trường điện trước 12h00 ngày D+4 thì được coi là các đơn vị đã xác nhận đồng ý và Đơn vị vận hành hệ thống điện và thị trường điện không có trách nhiệm xử lý những ý kiến phản hồi phát sinh;”.
28. Sửa đổi Khoản 2 Điều 92 như sau:
“2. Khoản chi phí mua điện trên thị trường điện giao ngay của Đơn vị mua buôn điện 1 trong chu kỳ thanh toán cho nhà máy điện g có hợp đồng mua bán điện với Đơn vị mua buôn điện được xác định theo công thức sau:

Trong đó:
i: Chu kỳ giao dịch thứ i trong chu kỳ thanh toán;
I: Tổng số chu kỳ giao dịch trong chu kỳ thanh toán;
g: Nhà máy điện có hợp đồng mua bán điện với Đơn vị mua buôn điện;
TCm2(l,g,M): Khoản chi phí mua điện trên thị trường điện giao ngay của Đơn vị mua buôn điện 1 trong chu kỳ thanh toán M từ các nhà máy điện g có hợp đồng mua bán điện với Đơn vị mua buôn điện (đồng);
Cm2 (l,g,i): Tổng khoản chi phí mua điện theo giá thị trường điện giao ngay của đơn vị mua buôn điện 1 trong chu kỳ giao dịch i từ nhà máy điện g có hợp đồng mua bán điện với Đơn vị mua buôn điện (đồng);
UpliftM(g): Thành phần hiệu chỉnh giá thị trường điện giao ngay áp dụng cho Đơn vị mua buôn điện của nhà máy điện g trong chu kỳ thanh toán M do Đơn vị vận hành hệ thong điện và thị trường điện tính toán trên cơ sở các số liệu do Đơn vị phát điện cung cấp sau tháng vận hành theo công thức:

Trong đó:
g: Nhà máy điện có hợp đồng mua bán điện với đơn vị mua buôn điện;
i: Chu kỳ giao dịch thứ i trong chu kỳ thanh toán M;
I: Tổng số chu kỳ giao dịch của chu kỳ thanh toán M;
L: Tổng số Đơn vị mua buôn điện;
Rg (M): Tổng các khoản thanh toán điện năng thị trường trong chu kỳ thanh toán M của nhà máy điện g theo bảng kê thanh toán thị trường điện tháng do Đơn vị vận hành hệ thống điện và thị trường điện phát hành được xác định theo quy định tại Điều 88 Thông tư này (đồng);
Rgcam=n (M): Tổng doanh thu theo giá công suất trong chu kỳ thanh toán M của nhà máy điện g theo bảng kê thanh toán thị trường điện tháng do Đơn vị vận hành hệ thống điện và thị trường điện phát hành được xác định theo quy định tại Điều 89 Thông tư này (đồng);
Cm2(l,g,i): Khoản chi phí mua điện theo giá thị trường điện giao ngay của Đơn vị mua buôn điện 1 trong chu kỳ giao dịch i từ nhà máy điện g được xác định tại Điểm b Khoản 3 Điều 91 Thông tư này (đồng);
Qm2 (l,g,i): Sản lượng điện năng mua theo giá thị trường của Đơn vị mua buôn điện 1 trong chu kỳ giao dịch i từ nhà máy điện g được xác định theo quy định tại Điểm c Khoản 2 Điều 91 Thông tư này (kWh).”.
29. Sửa đổi Khoản 1 Điều 96 như sau:
“1. Các khoản thanh toán theo thị trường điện: Thực hiện theo các quy định tại Khoản 2 và Khoản 6 Điều 88 và Điều 89 Thông tư này.”.
30. Sửa đổi Khoản 2 Điều 97 như sau:
“2. Tổ máy nhiệt điện bị buộc phải ngừng theo quy định tại Điểm d Khoản 3 Điều 60 Thông tư này hoặc phải ngừng một lò hơi để giảm công suất theo quy định tại Điểm b Khoản 3 Điều 60 Thông tư này được thanh toán chi phí khởi động theo thỏa thuận tại hợp đồng mua bán điện giữa Tập đoàn Điện lực Việt Nam và Đơn vị phát điện. Đơn vị vận hành hệ thống điện và thị trường điện có trách nhiệm xác nhận sự kiện này đối với tổ máy do Đơn vị phát điện công bố để Đơn vị mua điện làm căn cứ thanh toán chi phí khởi động.”.
31. Sửa đổi Khoản 7 Điều 97 như sau:
“7. Trường hợp tổ máy thủy điện phải phát công suất lớn hơn công suất công bổ trong bản chào giá lập lịch huy động chu kỳ giao dịch tới theo yêu cầu của Đơn vị vận hành hệ thống điện và thị trường điện vì lý do an ninh hệ thống, toàn bộ sản lượng phát của nhà máy lên lưới trong khoảng thời gian này được thanh toán theo quy định tại hợp đồng mua bán điện với Tập đoàn Điện lực Việt Nam.”.
32. Bổ sung Khoản 9 Điều 97 như sau:
“9. Trường hợp nhà máy tuabin khí vận hành chu trình đơn hoặc thiếu nhiên liệu chính phải sử dụng một phần hoặc toàn bộ nhiên liệu phụ theo lệnh của Đơn vị vận hành hệ thống điện và thị trường điện để đảm bảo an ninh hệ thống điện: Thực hiện thanh toán theo hợp đồng cung cấp dịch vụ phụ trợ.”.
33. Sửa đổi Điểm b Khoản 1 Điều 98 như sau:
“b) Tổ máy nhiệt điện bị buộc phải ngừng phát điện theo quy định tại Điểm đ Khoản 3 Điều 60 Thông tư này hoặc phải ngừng một lò hơi để giảm công suất theo quy định tại Điểm b Khoản 3 Điều 60 Thông tư này được thanh toán chi phí khởi động theo thỏa thuận tại hợp đồng mua bán điện giữa Đơn vị mua buôn điện và đơn vị phát điện. Đơn vị vận hành hệ thống điện và thị trường điện có trách nhiệm xác nhận sự kiện này đổi với tổ máy do Đơn vị phát điện công bố để Đơn vị mua điện làm căn cứ thanh toán chi phí khởi động;”.
34. Sửa đổi Khoản 3 Điều 109 như sau:
“3. Khoản thanh toán theo giá bán buôn điện của Tập đoàn Điện lực Việt Nam cho Đơn vị mua buôn điện đối với phần sản lượng giao nhận đầu nguồn còn lại sau khi đã trừ phần sản lượng thanh toán theo quy định tại Điều 91, Điểm c Điểm d Khoản 1 Điều 98, Điều 99 và Điều 100 Thông tư này.”.
35. Sửa đổi Điều 124 như sau:
“Điều 124. Chế độ báo cáo vận hành thị trường điện
1. Chế độ báo cáo vận hành thị trường điện hàng tháng của Đơn vị vận hành hệ thống điện và thị trường điện
a) Tên báo cáo: Báo cáo vận hành thị trường điện tháng M;
b) Nội dung báo cáo: Theo quy định tại Phụ lục 6 Thông tư này;
c) Đối tượng báo cáo: Đơn vị vận hành hệ thống điện và thị trường điện;
d) Cơ quan nhận báo cáo: Cục Điều tiết điện lực;
đ) Phương thức gửi báo cáo: Gửi qua hệ thống thư điện tử;
e) Thời hạn gửi báo cáo: Trước ngày 20 tháng M+1 gửi báo cáo về vận hành thị trường điện tháng M;
g) Tần suất gửi báo cáo: Hàng tháng.
2. Chế độ báo cáo vận hành thị trường điện năm của Đơn vị vận hành hệ thống điện và thị trường điện
a) Tên báo cáo: Báo cáo vận hành thị trường điện năm N;
b) Nội dung báo cáo: Theo quy định tại Phụ lục 6 Thông tư này;
c) Đối tượng báo cáo: Đơn vị vận hành hệ thống điện và thị trường điện;
g) Cơ quan nhận báo cáo: Cục Điều tiết điện lực;
đ) Phương thức gửi báo cáo: Báo cáo được gửi đến cơ quan nhận báo cáo bằng một trong các phương thức sau:
- Gửi qua hệ thống thư điện tử;
- Gửi qua dịch vụ bưu chính.
e) Thời hạn gửi báo cáo: Trước ngày 01 tháng 3 năm N+1 gửi báo cáo về vận hành thị trường điện năm N.
g) Tần suất gửi báo cáo: Hàng năm.
2. Chế độ báo cáo vận hành thị trường điện năm của Đơn vị phát điện trực tiếp giao dịch
a) Tên báo cáo: Báo cáo vận hành thị trường điện năm N;
b) Nội dung báo cáo: Theo quy định tại Phụ lục 6 Thông tư này;
c) Đối tượng báo cáo: Các đơn vị phát điện trực tiếp giao dịch;
d) Cơ quan nhận báo cáo: Cục Điều tiết điện lực;
đ) Phương thức gửi bảo cáo: Báo cáo được gửi đến cơ quan nhận báo cáo bằng một trong các phương thức sau:
- Gửi qua hệ thống thư điện tử;
- Gửi qua dịch vụ bưu chính.
e) Thời hạn gửi báo cáo: Trước ngày 01 tháng 3 năm N+1 gửi báo cáo về vận hành thị trường điện năm N;
g) Tần suất gửi báo cáo: Hàng năm.
3. Chế độ báo cáo vận hành thị trường điện năm của Đơn vị mua điện
a) Tên báo cáo: Báo cáo vận hành thị trường điện năm N;
b) Nội dung báo cáo: Theo quy định tại Phụ lục 6 Thông tư này;
c) Đối tượng báo cáo: Các đơn vị mua điện tham gia thị trường bán buôn điện cạnh tranh;
d) Cơ quan nhận báo cáo: Cục Điều tiết điện lực;
đ) Phương thức gửi báo cáo: Báo cáo được gửi đến cơ quan nhận báo cáo bằng một trong các phương thức sau:
- Gửi qua hệ thống thư điện tử;
- Gửi qua dịch vụ bưu chính.
e) Thời hạn gửi báo cáo: Trước ngày 01 tháng 3 năm N+1 gửi báo cáo về vận hành thị trường điện năm N;
g) Tần suất gửi báo cáo: Hàng năm.
4. Báo cáo đột xuất
a) Báo cáo đột xuất khi phát sinh can thiệp thị trường điện
- Tên báo cáo: Báo cáo về tình hình can thiệp thị trường điện.
- Nội dung báo cáo phát sinh can thiệp thị trường điện: Báo cáo chi tiết về sự kiện can thiệp thị trường điện (thời gian, nguyên nhân phát sinh, các biện pháp can thiệp, đánh giá ảnh hưởng...);
- Đối tượng báo cáo: Đơn vị vận hành hệ thống điện và thị trường điện;
- Cơ quan nhận báo cáo: Cục Điều tiết điện lực;
- Phương thức gửi báo cáo: Gửi qua hệ thống thư điện tử;
- Thời hạn gửi báo cáo: 24 giờ kể từ thời điểm can thiệp thị trường điện.
b) Đơn vị vận hành hệ thống điện và thị trường điện, Đơn vị phát điện và Đơn vị mua điện có trách nhiệm báo cáo đột xuất về vận hành thị trường điện theo yêu cầu của Cục Điều tiết điện lực.”.
36. Bổ sung Phụ lục 6 ban hành kèm theo Thông tư này.
Điều 2. Hiệu lực thi hành
1. Thông tư này có hiệu lực thi hành từ ngày 01 tháng 01 năm 2020.
2. Trong quá trình thực hiện, nếu phát sinh vướng mắc, các đơn vị có liên quan phản ánh về Cục Điều tiết điện lực để xem xét, giải quyết theo thẩm quyền hoặc báo cáo về Bộ Công Thương để giải quyết./.
|
Nơi nhận: - Văn phòng Quốc hội; - Văn phòng Chủ tịch nước; - Văn phòng Chính phủ; - Văn phòng Tổng bí thư; - Văn phòng TƯ và các Ban của Đảng; - Thủ tướng Chính phủ, các Phó Thủ tướng; - Các Bộ, Cơ quan ngang Bộ, Cơ quan thuộc Chính phủ; - Viện Kiểm sát Nhân dân Tối cao; - Toà án Nhân dân Tối cao; - Kiểm toán Nhà nước; - Bộ trưởng, các Thứ trưởng; - Cục Kiểm tra văn bản QPPL (Bộ Tư pháp); - Công báo; - Website: Chính phủ, Bộ Công Thương; - Tập đoàn Điện lực Việt Nam; - Tập đoàn Dầu khí Việt Nam; - Tập đoàn Công nghiệp Than - Khoáng sản Việt Nam; - Các Tổng Công ty phát điện; - Các Tổng Công ty điện lực; - Công ty mua bán điện; - Trung tâm Điều độ Hệ thống điện quốc gia ; - Lưu: VT, PC, ĐTĐL. |
BỘ TRƯỞNG
Trần Tuấn Anh |
Phụ lục 6
MẪU BÁO CÁO CÔNG TÁC VẬN HÀNH THỊ TRƯỜNG ĐIỆN
(Ban hành kèm theo Thông tư số 24/2019/TT-BCT ngày 14 tháng 11 năm 2019
của Bộ trưởng Bộ Công Thương sửa đổi, bổ sung một số điều của Thông tư số
45/2018/TT-BCT ngày 15 tháng 11 năm 2018 của Bộ trưởng Bộ Công Thương
quy định vận hành thị trường bán buôn điện cạnh tranh và sửa đổi, bổ sung một
số điều của Thông tư số 56/2014/TT-BCT ngày 19 tháng 12 năm 2014 của
Bộ trưởng Bộ Công Thương quy định phương pháp xác định giá phát điện, trình
tự kiểm tra hợp đồng mua bán điện)
|
STT |
TÊN MẪU BÁO CÁO |
|
Mẫu 01 |
Báo cáo vận hành thị trường điện tháng của Đơn vị vận hành hệ thống điện và thị trường điện |
|
Mẫu 02 |
Báo cáo vận hành thị trường điện năm của Đơn vị vận hành hệ thống điện và thị trường điện |
|
Mẫu 03 |
Báo cáo vận hành thị trường điện năm của Đơn vị phát điện trực tiếp giao dịch |
|
Mẫu 04 |
Báo cáo vận hành thị trường điện năm của Đơn vị mua điện |
Mẫu 01
|
CƠ QUAN CẤP TRÊN TRỰC TIẾP (nếu có) (TÊN ĐƠN VỊ BÁO CÁO) ------------- Số:…./….. |
CỘNG HOÀ XÃ HỘI CHỦ NGHĨA VIỆT NAM Độc lập - Tự do - Hạnh phúc -------------- .... ngày ... tháng ...năm...
|
BÁO CÁO
Về việc vận hành thị trường điện tháng ....
Kính gửi: Cục Điều tiết điện lực
Các nội dung báo cáo:
1. Cơ cấu các nhà máy điện tham gia thị trường điện.
2. Công tác lập kế hoạch thị trường điện, lập lịch huy động các nhà máy điện, điều độ thời gian thực.
3. Giá thị trường điện (khâu phát điện, khâu mua điện).
4. Công tác tính toán thanh toán và xác nhận các bảng kê thanh toán thị trường điện.
5. Doanh thu trên thị trường điện các nhà máy điện và chi phí mua điện của các đơn vị mua buôn điện.
6. Tình hình thu thập số liệu đo đếm, vận hành các hệ thống công nghệ thông tin phục vụ thị trường điện và hệ thống điện và công tác công bố thông tin thị trường điện khâu phát điện và khâu mua điện.
7. Các vướng mắc và kiến nghị của đơn vị.
|
Nơi nhận: - Như trên; - ........; |
LÃNH ĐẠO ĐƠN VỊ (Ký tên, đóng dấu)
|
Mẫu 02
|
CƠ QUAN CẤP TRÊN TRỰC TIẾP (nếu có) (TÊN ĐƠN VỊ BÁO CÁO) ------------- Số:…./…. |
CỘNG HOÀ XÃ HỘI CHỦ NGHĨA VIỆT NAM Độc lập - Tự do - Hạnh phúc -------------- .... ngày ... tháng ...năm...
|
BÁO CÁO
Về việc vận hành thị trường điện năm ....
Kính gửi: Cục Điều tiết điện lực
Các nội dung báo cáo:
1. Cơ cấu các nhà máy điện tham gia thị trường điện.
2. Công tác lập kế hoạch thị trường điện, lập lịch huy động các nhà máy điện, điều độ thời gian thực.
3. Giá thị trường điện (khâu phát điện, khâu mua điện).
4. Công tác tính toán thanh toán và xác nhận các bảng kê thanh toán thị trường điện.
5. Doanh thu trên thị trường điện các nhà máy điện và chi phí mua điện của các đơn vị mua buôn điện.
6. Tình hình thu thập số liệu đo đếm, vận hành các hệ thống công nghệ thông tin phục vụ thị trường điện và hệ thống điện và công tác công bố thông tin thị trường điện khâu phát điện và khâu mua điện.
7. Các vướng mắc và kiến nghị của đơn vị.
|
Nơi nhận: - Như trên; - ........; |
LÃNH ĐẠO ĐƠN VỊ (Ký tên, đóng dấu)
|
Mẫu 03
|
CƠ QUAN CẤP TRÊN TRỰC TIẾP (nếu có) (TÊN ĐƠN VỊ BÁO CÁO) ------------- Số:…./…. |
CỘNG HOÀ XÃ HỘI CHỦ NGHĨA VIỆT NAM Độc lập - Tự do - Hạnh phúc -------------- .... ngày ... tháng ...năm...
|
BÁO CÁO
Về việc vận hành thị trường điện năm….
Kính gửi: Cục Điều tiết điện lực
Các nội dung báo cáo:
1. Đánh giá về việc thực hiện các quy định thị trường điện.
2. Kết quả về sản lượng và doanh thu của đơn vị.
3. Các vướng mắc và kiến nghị của đơn vị.
|
Nơi nhận: - Như trên; - ........; |
LÃNH ĐẠO ĐƠN VỊ (Ký tên, đóng dấu)
|
Mẫu 04
|
CƠ QUAN CẤP TRÊN TRỰC TIẾP (nếu có) (TÊN ĐƠN VỊ BÁO CÁO) ------------- Số:…./…. |
CỘNG HOÀ XÃ HỘI CHỦ NGHĨA VIỆT NAM Độc lập - Tự do - Hạnh phúc -------------- .... ngày ... tháng ...năm...
|
BÁO CÁO
Về việc vận hành thị trường điện năm ....
Kính gửi: Cục Điều tiết điện lực
Các nội dung báo cáo:
1. Đánh giá về việc thực hiện các quy định thị trường điện.
2. Công tác cung cấp và xác nhận các số liệu đo đếm.
3. Công tác dự báo phụ tải.
4. Công tác các bảng kê thanh toán thị trường điện.
5. Kết quả chi phí mua điện trong thị trường bán buôn điện cạnh tranh.
6. Các vướng mắc và kiến nghị của đơn vị.
|
Nơi nhận: - Như trên; - ........; |
LÃNH ĐẠO ĐƠN VỊ (Ký tên, đóng dấu)
|
Bạn chưa Đăng nhập thành viên.
Đây là tiện ích dành cho tài khoản thành viên. Vui lòng Đăng nhập để xem chi tiết. Nếu chưa có tài khoản, vui lòng Đăng ký tại đây!
Bạn chưa Đăng nhập thành viên.
Đây là tiện ích dành cho tài khoản thành viên. Vui lòng Đăng nhập để xem chi tiết. Nếu chưa có tài khoản, vui lòng Đăng ký tại đây!