- Tổng quan
- Nội dung
- VB gốc
- Tiếng Anh
- Hiệu lực
- VB liên quan
- Lược đồ
-
Nội dung hợp nhất
Tính năng này chỉ có tại LuatVietnam.vn. Nội dung hợp nhất tổng hợp lại tất cả các quy định còn hiệu lực của văn bản gốc và các văn bản sửa đổi, bổ sung, đính chính... trên một trang. Việc hợp nhất văn bản gốc và những văn bản, Thông tư, Nghị định hướng dẫn khác không làm thay đổi thứ tự điều khoản, nội dung.
Khách hàng chỉ cần xem Nội dung hợp nhất là có thể nắm bắt toàn bộ quy định hiện hành đang áp dụng, cho dù văn bản gốc đã qua nhiều lần chỉnh sửa, bổ sung.
- Tải về
Thông tư 44/2010/TT-BYT về Quy chuẩn kỹ thuật quốc gia về phụ gia thực phẩm
| Cơ quan ban hành: | Bộ Y tế |
Số công báo:
Số công báo là mã số ấn phẩm được đăng chính thức trên ấn phẩm thông tin của Nhà nước. Mã số này do Chính phủ thống nhất quản lý.
|
Đã biết
|
| Số hiệu: | 44/2010/TT-BYT | Ngày đăng công báo: | Đang cập nhật |
| Loại văn bản: | Thông tư | Người ký: | Trịnh Quân Huấn |
|
Ngày ban hành:
Ngày ban hành là ngày, tháng, năm văn bản được thông qua hoặc ký ban hành.
|
22/12/2010 |
Ngày hết hiệu lực:
Ngày hết hiệu lực là ngày, tháng, năm văn bản chính thức không còn hiệu lực (áp dụng).
|
Đang cập nhật |
|
Áp dụng:
Ngày áp dụng là ngày, tháng, năm văn bản chính thức có hiệu lực (áp dụng).
|
Đã biết
|
Tình trạng hiệu lực:
Cho biết trạng thái hiệu lực của văn bản đang tra cứu: Chưa áp dụng, Còn hiệu lực, Hết hiệu lực, Hết hiệu lực 1 phần; Đã sửa đổi, Đính chính hay Không còn phù hợp,...
|
Đã biết
|
| Lĩnh vực: | Y tế-Sức khỏe |
TÓM TẮT THÔNG TƯ 44/2010/TT-BYT
Ban hành 06 Quy chuẩn kỹ thuật quốc gia về phụ gia thực phẩm
Ngày 22/12/2010, Bộ Y tế ban hành Thông tư 44/2010/TT-BYT quy định quy chuẩn kỹ thuật quốc gia về phụ gia thực phẩm.
Ban hành kèm theo Thông tư là 6 Quy chuẩn kỹ thuật quốc gia về phụ gia thực phẩm, bao gồm:
- QCVN 4-12:2010/BYT - Quy chuẩn kỹ thuật quốc gia về phụ gia thực phẩm - Chất bảo quản;
- QCVN 4-13:2010/BYT - Quy chuẩn kỹ thuật quốc gia về phụ gia thực phẩm - Chất ổn định;
- QCVN 4-14:2010/BYT - Quy chuẩn kỹ thuật quốc gia về phụ gia thực phẩm - Chất tạo phức kim loại;
- QCVN 4-15:2010/BYT - Quy chuẩn kỹ thuật quốc gia về phụ gia thực phẩm - Chất xử lý bột;
- QCVN 4-16:2010/BYT - Quy chuẩn kỹ thuật quốc gia về phụ gia thực phẩm - Chất chất độn;
- QCVN 4-17:2010/BYT - Quy chuẩn kỹ thuật quốc gia về phụ gia thực phẩm - Chất khí đẩy.
Theo đó, đối tượng áp dụng của các Quy chuẩn này là: Tổ chức, cá nhân nhập khẩu, xuất khẩu, sản xuất, buôn bán và sử dụng các chất bảo quản làm phụ gia thực phẩm (sau đây gọi tắt là tổ chức, cá nhân); Cơ quan quản lý nhà nước có liên quan.
Tổ chức, cá nhân nhập khẩu, xuất khẩu, sản xuất, buôn bán và sử dụng các chất bảo quản làm phụ gia thực phẩm phải công bố hợp quy theo Quy định về chứng nhận hợp chuẩn, chứng nhận hợp quy và công bố hợp chuẩn, công bố hợp quy ban hành kèm theo Quyết định số 24/2007/QĐ-BKHCN ngày 28 tháng 9 năm 2007 của Bộ trưởng Bộ Khoa học và Công nghệ và các quy định của pháp luật.
Thông tư có hiệu lực từ ngày 01/07/2011.
Xem chi tiết Thông tư 44/2010/TT-BYT có hiệu lực kể từ ngày 01/07/2011
Tải Thông tư 44/2010/TT-BYT
BỘ Y TẾ ------------ Số: 44/2010/TT-BYT
|
CỘNG HOÀ XÃ HỘI CHỦ NGHĨA VIỆT NAM Độc lập - Tự do - Hạnh phúc ------------------------ Hà Nội, ngày 22 tháng 12 năm 2010 |
THÔNG TƯ
BAN HÀNH CÁC QUY CHUẨN KỸ THUẬT QUỐC GIA VỀ PHỤ GIA THỰC PHẨM
----------------------------
BỘ TRƯỞNG BỘ Y TẾ
Căn cứ Luật Tiêu chuẩn và Quy chuẩn kỹ thuật ngày 29 tháng 6 năm 2006 và Nghị định số 127/2007/NĐ-CP ngày 01 tháng 8 năm 2007 của Chính phủ quy định chi tiết thi hành một số điều của Luật Tiêu chuẩn và Quy chuẩn kỹ thuật;
Căn cứ Pháp lệnh Vệ sinh an toàn thực phẩm ngày 07 tháng 8 năm 2003 và Nghị định số 163/2004/NĐ-CP ngày 07 tháng 9 năm 2004 của Chính phủ quy định chi tiết thi hành một số điều của Pháp lệnh Vệ sinh an toàn thực phẩm;
Căn cứ Nghị định số 188/2007/NĐ-CP ngày 27 tháng 12 năm 2007 của Chính phủ quy định chức năng, nhiệm vụ, quyền hạn và cơ cấu tổ chức của Bộ Y tế;
Theo đề nghị của Cục trưởng Cục An toàn vệ sinh thực phẩm, Vụ trưởng Vụ Khoa học và Đào tạo, Vụ trưởng Vụ Pháp chế,
QUY ĐỊNH:
Điều 1. Ban hành kèm theo Thông tư này các Quy chuẩn kỹ thuật quốc gia về phụ gia thực phẩm, bao gồm
1. QCVN 4-12:2010/BYT - Quy chuẩn kỹ thuật quốc gia về phụ gia thực phẩm - Chất bảo quản;
2. QCVN 4-13:2010/BYT - Quy chuẩn kỹ thuật quốc gia về phụ gia thực phẩm - Chất ổn định;
3. QCVN 4-14:2010/BYT - Quy chuẩn kỹ thuật quốc gia về phụ gia thực phẩm - Chất tạo phức kim loại;
4. QCVN 4-15:2010/BYT - Quy chuẩn kỹ thuật quốc gia về phụ gia thực phẩm - Chất xử lý bột;
5. QCVN 4-16:2010/BYT - Quy chuẩn kỹ thuật quốc gia về phụ gia thực phẩm - Chất chất độn;
6. QCVN 4-17:2010/BYT - Quy chuẩn kỹ thuật quốc gia về phụ gia thực phẩm - Chất khí đẩy.
Điều 2. Thông tư này có hiệu lực từ ngày 01 tháng 7 năm 2011.
Điều 3. Cục trưởng Cục An toàn vệ sinh thực phẩm, Thủ trưởng các đơn vị thuộc Bộ Y tế, các đơn vị trực thuộc Bộ Y tế; Giám đốc Sở Y tế các tỉnh, thành phố trực thuộc trung ương và các tổ chức, cá nhân có liên quan chịu trách nhiệm thi hành Thông tư này. /.
|
Nơi nhận: - VPCP (Văn xã, Công báo, Cổng TTĐT Chính phủ); - Các Bộ, cơ quan ngang Bộ, cơ quan thuộc CP; - Bộ Tư pháp (Cục Kiểm tra VBQPPL); - Bộ trưởng Nguyễn Quốc Triệu (để báo cáo); - UBND các tỉnh, thành phố trực thuộc TW; - Viện Kiểm sát nhân dân tối cao; - Toà án nhân dân tối cao; - Sở Y tế các tỉnh, thành phố trực thuộc TW; - Chi cục ATTP các tỉnh, thành phố trực thuộc TW; - TTYTDP các tỉnh, thành phố trực thuộc TW; - Các cơ quan KTNN về thực phẩm nhập khẩu; - Tổng Cục Tiêu chuẩn - Đo lường - Chất lượng (để đăng bạ); - Website Bộ Y tế; - Lưu: VT, K2ĐT, PC, ATTP. |
KT. BỘ TRƯỞNG THỨ TRƯỞNG (Đã ký)
Trịnh Quân Huấn |
CỘNG HOÀ XÃ HỘI CHỦ NGHĨA VIỆT NAM
QUY CHUẨN KỸ THUẬT QUỐC GIA
VỀ PHỤ GIA THỰC PHẨM - CHẤT BẢO QUẢN
National technical regulation on Food Additive - Preservative
HÀ NỘI - 2010
Lời nói đầu
QCVN 4- :2010/BYT do Ban soạn thảo quy chuẩn kỹ thuật quốc gia về Phụ gia thực phẩm và chất hỗ trợ chế biến biên soạn, Cục An toàn vệ sinh thực phẩm trình duyệt và được ban hành theo Thông tư số …./2010/TT-BYT ngày …. tháng …. năm 2010 của Bộ trưởng Bộ Y tế.
QUY CHUẨN KỸ THUẬT QUỐC GIA
VỀ PHỤ GIA THỰC PHẨM - CHẤT BẢO QUẢN
National technical regulation on Food Additive – Preservative
I. QUY ĐỊNH CHUNG
1. Phạm vi điều chỉnh
Quy chuẩn kỹ thuật quốc gia (sau đây gọi tắt là Quy chuẩn) này quy định các yêu cầu kỹ thuật và quản lý về chất lượng, vệ sinh an toàn đối với các chất bảo quản được sử dụng với mục đích làm phụ gia thực phẩm.
2. Đối tượng áp dụng
Quy chuẩn này áp dụng đối với:
2.1. Tổ chức, cá nhân nhập khẩu, xuất khẩu, sản xuất, buôn bán và sử dụng các chất bảo quản làm phụ gia thực phẩm (sau đây gọi tắt là tổ chức, cá nhân).
2.2. Cơ quan quản lý nhà nước có liên quan.
3. Giải thích từ ngữ và chữ viết tắt:
3.1. Chất bảo quản: là phụ gia thực phẩm được sử dụng với mục đích kéo dài thời hạn sử dụng của sản phẩm bằng cách ngăn chặn sự hư hỏng do ô nhiễm vi sinh vật.
3.2. JECFA monograph 1 - Vol. 4 (JECFA monographs 1 - Combined compendium of food addiditive specifications; Joint FAO/WHO expert committee on food additives; Volume 4 - Analytical methods, test procedures and laboratory solutions used by and referenced in the food additive specifications; FAO, 2006): Các yêu cầu kỹ thuật đối với phụ gia thực phẩm, Tập 4 Các phương pháp phân tích, quy trình thử nghiệm, dung dịch thử nghiệm được sử dụng (hoặc tham chiếu) trong yêu cầu kỹ thuật đối với phụ gia thực phẩm; JECFA biên soạn; FAO ban hành năm 2006.
3.3. Mã số C.A.S (Chemical Abstracts Service): Mã số đăng ký hóa chất của Hiệp hội Hóa chất Hoa Kỳ.
3.4. TS (test solution): Dung dịch thuốc thử.
3.5. ADI (Acceptable daily intake): Lượng ăn vào hàng ngày chấp nhận được.
3.6. INS (International numbering system): Hệ thống mã số quốc tế về phụ gia thực phẩm.
II. YÊU CẦU KỸ THUẬT, PHƯƠNG PHÁP THỬ VÀ LẤY MẪU
1. Yêu cầu kỹ thuật và phương pháp thử đối với các chất bảo quản được quy định tại các phụ lục ban hành kèm theo Quy chuẩn này như sau:
|
1.1. |
Phụ lục 1: |
Yêu cầu kỹ thuật và phương pháp thử đối với acid sorbic |
|
1.2. |
Phụ lục 2: |
Yêu cầu kỹ thuật và phương pháp thử đối với kali sorbat |
|
1.3. |
Phụ lục 3: |
Yêu cầu kỹ thuật và phương pháp thử đối với calci sorbat |
|
1.4. |
Phụ lục 4: |
Yêu cầu kỹ thuật và phương pháp thử đối với acid benzoic |
|
1.5. |
Phụ lục 5: |
Yêu cầu kỹ thuật và phương pháp thử đối với natri benzoat |
|
1.6. |
Phụ lục 6: |
Yêu cầu kỹ thuật và phương pháp thử đối với kali benzoat |
|
1.7. |
Phụ lục 7: |
Yêu cầu kỹ thuật và phương pháp thử đối với calci benzoat |
|
1.8. |
Phụ lục 8: |
Yêu cầu kỹ thuật và phương pháp thử đối với ethyl p-hydroxybenzoat |
|
1.9 |
Phụ lục 9 : |
Yêu cầu kỹ thuật và phương pháp thử đối với methyl p-hydroxybenzoat |
|
1.10 |
Phụ lục 10 : |
Yêu cầu kỹ thuật và phương pháp thử đối với lưu huỳnh dioxyd |
|
1.11 |
Phụ lục 11 : |
Yêu cầu kỹ thuật và phương pháp thử đối với natri sulfit |
|
1.12 |
Phụ lục 12 : |
Yêu cầu kỹ thuật và phương pháp thử đối với natri hydrogen sulfit |
|
1.13 |
Phụ lục 13 : |
Yêu cầu kỹ thuật và phương pháp thử đối với natri metabisulfit |
|
1.14 |
Phụ lục 14: |
Yêu cầu kỹ thuật và phương pháp thử đối với kali metabisulfit |
|
1.15 |
Phụ lục 15: |
Yêu cầu kỹ thuật và phương pháp thử đối với kali sulfit |
|
1.16 |
Phụ lục 16: |
Yêu cầu kỹ thuật và phương pháp thử đối với nisin |
|
1.17 |
Phụ lục 17: |
Yêu cầu kỹ thuật và phương pháp thử đối với hexamethylen tetramin |
|
1.18 |
Phụ lục 18: |
Yêu cầu kỹ thuật và phương pháp thử đối với dimethyl dicarbonat |
|
1.19 |
Phụ lục 19: |
Yêu cầu kỹ thuật và phương pháp thử đối với acid propionic |
|
1.20 |
Phụ lục 20: |
Yêu cầu kỹ thuật và phương pháp thử đối với natri propionat |
|
1.21 |
Phụ lục 21: |
Yêu cầu kỹ thuật và phương pháp thử đối với natri thiosulfat |
2. Yêu cầu kỹ thuật và phương pháp thử đối với natri nitrat và kali nitrat sử dụng làm chất bảo quản được quy định tại QCVN 4-5 :2010/BYT ban hành theo Thông tư số 22/TT-BYT ngày 22/5/2010 của Bộ trưởng Bộ Y tế.
3. Các yêu cầu kỹ thuật quy định trong Quy chuẩn này được thử theo JECFA monograph 1 - Vol. 4, ngoại trừ một số phép thử riêng được mô tả trong các phụ lục. Các phương pháp thử được hướng dẫn trong Quy chuẩn này không bắt buộc phải áp dụng, có thể sử dụng các phương pháp thử khác tương đương.
4. Lấy mẫu theo hướng dẫn tại Thông tư 16/2009/TT-BKHCN ngày 02 tháng 6 năm 2009 của Bộ Khoa học và Công nghệ về hướng dẫn kiểm tra nhà nước về chất lượng hàng hóa lưu thông trên thị trường và các quy định khác của pháp luật có liên quan.
III. YÊU CẦU QUẢN LÝ
1. Công bố hợp quy
1.1. Các chất bảo quản phải được công bố phù hợp với các quy định tại Quy chuẩn này.
1.2. Phương thức, trình tự, thủ tục công bố hợp quy được thực hiện theo Quy định về chứng nhận hợp chuẩn, chứng nhận hợp quy và công bố hợp chuẩn, công bố hợp quy ban hành kèm theo Quyết định số 24/2007/QĐ-BKHCN ngày 28 tháng 9 năm 2007 của Bộ trưởng Bộ Khoa học và Công nghệ và các quy định của pháp luật.
2. Kiểm tra đối với chất bảo quản
Việc kiểm tra chất lượng, vệ sinh an toàn đối với các chất bảo quản phải thực hiện theo các quy định của pháp luật.
IV. TRÁCH NHIỆM CỦA TỔ CHỨC, CÁ NHÂN
1. Tổ chức, cá nhân phải công bố hợp quy phù hợp với các quy định kỹ thuật tại Quy chuẩn này, đăng ký bản công bố hợp quy tại Cục An toàn vệ sinh thực phẩm và bảo đảm chất lượng, vệ sinh an toàn theo đúng nội dung đã công bố.
2. Tổ chức, cá nhân chỉ được nhập khẩu, xuất khẩu, sản xuất, buôn bán và sử dụng các chất bảo quản sau khi hoàn tất đăng ký bản công bố hợp quy và bảo đảm chất lượng, vệ sinh an toàn, ghi nhãn phù hợp với các quy định của pháp luật.
V. TỔ CHỨC THỰC HIỆN
1. Giao Cục An toàn vệ sinh thực phẩm chủ trì, phối hợp với các cơ quan chức năng có liên quan hướng dẫn triển khai và tổ chức việc thực hiện Quy chuẩn này.
2. Căn cứ vào yêu cầu quản lý, Cục An toàn vệ sinh thực phẩm có trách nhiệm kiến nghị Bộ Y tế sửa đổi, bổ sung Quy chuẩn này.
3. Trường hợp hướng dẫn của quốc tế về phương pháp thử và các quy định của pháp luật viện dẫn trong Quy chuẩn này được sửa đổi, bổ sung hoặc thay thế thì áp dụng theo văn bản mới.
|
Phụ lục 1 YÊU CẦU KỸ THUẬT VÀ PHƯƠNG PHÁP THỬ ĐỐI VỚI ACID SORBIC |
|
|
|
1. Tên khác, chỉ số |
Sorbic acid INS 200 ADI = 0 – 25 mg/kg thể trọng |
|
|
2. Định nghĩa |
|
|
|
Tên hóa học |
Acid sorbic; acid 2,4-hexadienoic; acid 2-propenylacrylic |
|
|
Mã số C.A.S. |
110-44-1 |
|
|
Công thức hóa học |
C6H8O2 |
|
|
Công thức cấu tạo |
|
|
|
Khối lượng phân tử |
112,12 |
|
|
3. Cảm quan |
Dạng tinh thể hình kim không màu hoặc bột trơn chảy màu trắng, có mùi nhẹ đặc trưng. |
|
|
4. Chức năng |
Chất bảo quản chống vi sinh vật, chất chống nấm |
|
|
5. Yêu cầu kỹ thuật |
||
|
5.1. Định tính |
|
|
|
Độ tan |
Tan trong ethanol, ít tan trong nước. |
|
|
Khoảng nhiệt độ nóng chảy |
132-135oC (Máy đo điểm chảy cần được gia nhiệt đến 125o trước khi cho mẫu vào đo). |
|
|
Quang phổ |
Cực đại hấp thụ của dung dịch 1/400.000 trong isopropanol là 254±2 nm. |
|
|
Liên kết đôi |
Phải có phản ứng đặc trưng cho liên kết đôi. |
|
|
5.2. Độ tinh khiết |
|
|
|
Hàm lượng nước |
Không được quá 0,5%. |
|
|
Tro sunfat |
Không được quá 0,2%. |
|
|
Các Aldehyd |
Không được quá 0,1% (tính theo formaldehyd). |
|
|
Chì |
Không được quá 2,0 mg/kg. |
|
|
5.3. Hàm lượng C6H8O2 |
Không được thấp hơn 99% tính theo chế phẩm khan. |
|
|
6. Phương pháp thử |
||
|
6.1. Định tính |
|
|
|
Liên kết đôi |
Lắc khoảng 0,02 g mẫu thử với 1ml dung dịch brom (TS) . Dung dịch brom sẽ mất màu. |
|
|
6.2. Độ tinh khiết |
|
|
|
Hàm lượng nước |
- Phương pháp Karl Fischer. - Thử theo JECFA monograph 1 - Vol.4. |
|
|
Tro sunfat |
- Sử dụng 2 g mẫu thử. - Thử theo phương pháp I, JECFA monograph 1 - Vol.4. |
|
|
Các Aldehyd |
Thêm 0,5 ml dung dịch thuốc thử Schiff (TS) vào 1 ml dung dịch bão hòa mẫu thử trong nước rồi để yên 10-15 phút. So sánh màu của ống thử với màu tạo thành từ 1 ml dung dịch formaldehyd (chứa 2 µg) với cùng lượng thuốc thử Schiff và cùng điều kiện như mẫu thử. Màu của dung dịch thử không được đậm hơn màu của dung dịch đối chứng. |
|
|
Chì |
- Thử theo JECFA monograph 1 - Vol.4. - Xác định bằng kỹ thuật quang phổ hấp thụ nguyên tử thích hợp cho hàm lượng quy định. Lựa chọn cỡ mẫu thử và phương pháp chuẩn bị mẫu dựa trên nguyên tắc của phương pháp mô tả trong JECFA monograph 1 - Vol.4 phần các phương pháp phân tích công cụ. |
|
|
6.3. Định lượng |
|
|
|
|
Cân 0,25 g (chính xác đến mg) mẫu thử, hoà tan trong 50 ml methanol khan đã được trung hoà bằng dung dịch natri hydroxyd 0,1 N. Thêm vài giọt dung dịch phenolphthalein (TS), chuẩn độ tiếp bằng dung dịch natri hydroxyd 0,1 N cho đến khi xuất hiện màu hồng bền trong vòng 30 giây. Mỗi ml dung dịch natri hydroxyd 0,1 N tương đương với 11,21 mg C6H8O2. |
|
|
Phụ lục 2 YÊU CẦU KỸ THUẬT VÀ PHƯƠNG PHÁP THỬ ĐỐI VỚI KALI SORBAT |
|
|
|
1. Tên khác, chỉ số |
Potassium sorbate INS 202 ADI = 0 – 25 mg/kg thể trọng |
|
|
2. Định nghĩa |
|
|
|
Tên hóa học |
Kali sorbat; Muối kali của acid trans, trans-2,4-hexadienoic |
|
|
Mã số C.A.S. |
24634-16-5 |
|
|
Công thức hóa học |
C6H7KO2 |
|
|
Công thức cấu tạo |
|
|
|
Khối lượng phân tử |
150,22 |
|
|
3. Cảm quan |
Dạng tinh thể, bột tinh thể hoặc hạt nhỏ có màu trắng hoặc trắng hơi vàng. |
|
|
4. Chức năng |
Chất bảo quản |
|
|
5. Yêu cầu kỹ thuật |
||
|
5.1. Định tính |
|
|
|
Độ tan |
Tan tốt trong nước, tan trong ethanol. |
|
|
Kali |
Phải có phản ứng đặc trưng của kali. |
|
|
Khoảng nhiệt độ nóng chảy của acid sorbic lấy ra từ mẫu thử |
132-135oC.
|
|
|
Liên kết không no |
Phải có phản ứng đặc trưng của liên kết không no |
|
|
5.2. Độ tinh khiết |
|
|
|
Giảm khối lượng khi sấy khô |
Không được quá 1,0 %. |
|
|
Tính acid hoặc tính kiềm |
Không được quá 1,0 % (tính theo acid sorbic hoặc kali carbonat). |
|
|
Các Aldehyd |
Không được quá 0,1% (tính theo formaldehyd). |
|
|
Chì |
Không được quá 2,0 mg/kg. |
|
|
5.3. Hàm lượng C6H7KO2 |
Không được thấp hơn 98,0% và không được quá 102,0% tính theo chế phẩm khô. |
|
|
6. Phương pháp thử |
||
|
6.1. Định tính |
|
|
|
Kali |
Thử theo JECFA monograph 1 - Vol. 4. |
|
|
Khoảng nhiệt độ nóng chảy của acid sorbic lấy ra từ mẫu thử |
Acid hóa dung dịch mẫu thử bằng dung dịch acid hydrocloric loãng (TS). Lọc và thu phần acid sorbic kết tủa tạo thành trên giấy lọc, rửa tủa bằng nước cho đến khi không còn clorid và làm khô trên acid sulfuric trong chân không. |
|
|
Thử liên kết không no |
Thêm vài giọt dung dịch thuốc thử brom (TS) vào 2 ml dung dịch mẫu thử nồng độ 1/10. Nước brom sẽ mất màu. |
|
|
6.2. Độ tinh khiết |
|
|
|
Giảm khối lượng khi sấy khô |
Thử theo JECFA monograph 1 - Vol. 4. (sấy ở 105oC trong 3 giờ). |
|
|
Tính acid hoặc tính kiềm |
Hoà tan 1,1 g mẫu thử trong 20 ml nước và thêm 3 giọt dung dịch phenolphthalein (TS). Nếu dung dịch thử không màu, chuẩn độ bằng dung dịch natri hydroxyd 0,1 N đến khi xuất hiện màu hồng bền trong 15 giây. Thể tích dung dịch natri hydroxyd 0,1 N sử dụng không được quá 1,1 ml. Nếu dung dịch mẫu thử có màu hồng, chuẩn độ bằng dung dịch acid hydrochloric 0,1 N đến khi mất màu. Thể tích dung dịch acid hydrochloric 0,1 N sử dụng không quá 0,8 ml. |
|
|
Các Aldehyd |
Pha dung dịch mẫu thử 0,3 %, chỉnh pH đến 4 bằng HCl 1 N và lọc. Lấy 5 ml dịch lọc, thêm 2,5 ml thuốc thử Schiff (TS) và để yên 10-15 phút. So sánh màu của dịch thử với màu thu được khi lấy 5 ml dung dịch chứng có chứa 15 µg formaldehyd thay cho mẫu thử. Màu của dịch thử không được đậm hơn màu của dung dịch chứng. |
|
|
Chì |
- Thử theo JECFA monograph 1 - Vol.4. - Xác định bằng kỹ thuật quang phổ hấp thụ nguyên tử thích hợp cho hàm lượng quy định. Lựa chọn cỡ mẫu thử và phương pháp chuẩn bị mẫu dựa trên nguyên tắc của phương pháp mô tả trong JECFA monograph 1 - Vol.4 phần các phương pháp phân tích công cụ. |
|
|
6.3. Định lượng |
|
|
|
|
Cân 0,25 g mẫu thử (chính xác đến 0,1 mg), đã được sấy ở 105oC trong 3 giờ. Hoà tan vào hỗn hợp gồm 36 ml acid acetic băng và 4 ml anhydrid acetic trong bình dung tích 250 ml có nút thủy tinh, làm ấm dung dịch để tan hoàn toàn. Làm nguội đến nhiệt độ phòng, thêm 2 giọt chỉ thị là dung dịch tím tinh thể (TS) và chuẩn độ bằng dung dịch acid percloric 0,1 N trong acid acetic băng, đến khi dung dịch có màu lục lam bền ít nhất 30 giây. Tiến hành làm mẫu trắng song song và hiệu chỉnh kết quả chuẩn độ nếu cần. Mỗi ml dung dịch acid percloric 0,1 N trong acid acetic băng tương đương với 15,02 mg C6H7KO2. |
|
|
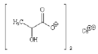
Phụ lục 3 YÊU CẦU KỸ THUẬT VÀ PHƯƠNG PHÁP THỬ ĐỐI VỚI CALCI SORBAT |
|
|
|
1. Tên khác, chỉ số |
Calcium sorbate INS 203 ADI = 0 - 25 mg/kg thể trọng |
|
|
2. Định nghĩa |
|
|
|
Tên hóa học |
Calci sorbat ; Muối calci của acid trans, trans-2,4-hexadienoic |
|
|
Mã số C.A.S. |
7492-55-9 |
|
|
Công thức hóa học |
C12H14CaO4 |
|
|
Công thức cấu tạo |
|
|
|
Khối lượng phân tử |
262,32 |
|
|
3. Cảm quan |
Bột tinh thể trắng, mịn, không thay đổi màu khi đun nóng tại 105oC trong 90 phút. |
|
|
4. Chức năng |
Chất bảo quản |
|
|
5. Yêu cầu kỹ thuật |
||
|
5.1. Định tính |
|
|
|
Độ tan |
Tan trong nước, thực tế không tan trong ethanol |
|
|
Calci |
Phải có phản ứng đặc trưng của calci. |
|
|
Khoảng nhiệt độ nóng chảy của acid sorbic lấy ra từ mẫu thử |
132-135oC. |
|
|
Liên kết không no |
Phải có phản ứng đặc trưng của liên kết không no. |
|
|
5.2. Độ tinh khiết |
|
|
|
Giảm khối lượng khi sấy khô |
Không được quá 3,0 %. |
|
|
Florid |
Không được quá 10,0 mg/kg. |
|
|
Aldehyd |
Không được quá 0,1% (tính theo formaldehyd). |
|
|
Chì |
Không được quá 2,0 mg/kg. |
|
|
5.3. Hàm lượng C12H14CaO4 |
Không được thấp hơn 98,0% và không được quá 102,0% tính theo chế phẩm khô. |
|
|
6. Phương pháp thử |
||
|
6.1. Định tính |
|
|
|
Calci |
Thử theo JECFA monograph 1 - Vol. 4. |
|
|
Khoảng nhiệt độ nóng chảy của acid sorbic lấy ra từ mẫu thử |
Acid hóa dung dịch mẫu thử bằng dung dịch acid hydrocloric loãng (TS). Lọc và thu phần acid sorbic kết tủa tạo thành trên giấy lọc, rửa tủa với nước tinh khiết đến khi không còn clorid và làm khô trên acid sulfuric trong chân không. |
|
|
Liên kết không no |
Thêm vài giọt dung dịch thuốc thử brom (TS) và 2 ml dung dịch mẫu thử nồng độ 1/10. Dung dịch brom sẽ mất màu. |
|
|
6.2. Độ tinh khiết |
|
|
|
Giảm khối lượng khi sấy khô |
Thử theo JECFA monograph 1 - Vol. 4 (trong chân không, trên acid sulfuric trong 4 giờ). |
|
|
Florid |
Thử theo phương pháp I hoặc III, JECFA monograph 1 - Vol. 4 (cân 5 g mẫu thử, chính xác đến mg). |
|
|
Aldehyd |
Pha dung dịch mẫu thử 0,3 %, chỉnh pH đến 4 bằng HCl 1 N và lọc. Lấy 5 ml dịch lọc, thêm 2,5 ml thuốc thử Schiff (TS) và để yên 10-15 phút. So màu của mẫu thử với màu thu được với 5 ml dung dịch chứng có chứa 15 µg formaldehyd thay cho mẫu thử. Màu của dung dịch thử không được đậm hơn màu của dung dịch chứng. |
|
|
Chì |
- Thử theo JECFA monograph 1 - Vol.4. - Xác định bằng kỹ thuật quang phổ hấp thụ nguyên tử thích hợp cho hàm lượng quy định. Lựa chọn cỡ mẫu thử và phương pháp chuẩn bị mẫu dựa trên nguyên tắc của phương pháp mô tả trong JECFA monograph 1 - Vol.4 phần các phương pháp phân tích công cụ. |
|
|
6.3. Định lượng |
|
|
|
|
Cân 0,25 g mẫu thử đã được làm khô, chính xác đến mg. Hoà tan vào 35 ml acid acetic băng và 4 ml anhydrid acetic trong bình 250 ml có nút thủy tinh, làm ấm dung dịch. Để nguội đến nhiệt độ phòng, thêm 2 giọt chỉ thị tím tinh thể (TS) và chuẩn độ bằng dung dịch acid percloric 0,1 N trong acid acetic băng, khi đến điểm kết thúc dung dịch có màu lục lam bền ít nhất 30 giây. Tiến hành làm mẫu trắng và hiệu chỉnh kết quả chuẩn độ nếu cần. Mỗi ml dung dịch acid percloric 0,1 N trong acid acetic băng tương đương với 13,12 mg C12H14CaO4 |
|
|
Phụ lục 4 YÊU CẦU KỸ THUẬT VÀ PHƯƠNG PHÁP THỬ ĐỐI VỚI ACID BENZOIC |
|
|
|
1. Tên khác, chỉ số |
Benzoic acid INS 210 ADI = 0 – 5 mg/kg thể trọng |
|
|
2. Định nghĩa |
|
|
|
Tên hóa học |
Acid benzoic, acid benzencarboxylic, acid phenylcarboxylic |
|
|
Mã số C.A.S. |
65-85-10 |
|
|
Công thức hóa học |
C7H6O2 |
|
|
Công thức cấu tạo |
|
|
|
Khối lượng phân tử |
122,12 |
|
|
3. Cảm quan |
Tinh thể rắn màu trắng, thường có dạng vảy hoặc hình kim, có mùi đặc trưng rất nhẹ. |
|
|
4. Chức năng |
Chất bảo quản chống vi sinh vật |
|
|
5. Yêu cầu kỹ thuật |
||
|
5.1. Định tính |
|
|
|
Độ tan |
Ít tan trong nước, dễ tan trong ethanol |
|
|
Khoảng nóng chảy |
121oC -123oC |
|
|
Benzoat |
Phải có phản ứng đặc trưng của benzoat. |
|
|
pH |
Khoảng 4,0 (dung dịch trong nước) |
|
|
5.2. Độ tinh khiết |
|
|
|
Giảm khối lượng khi làm khô |
Không được quá 0,5%. |
|
|
Thử thăng hoa |
Đạt yêu cầu (mô tả trong phần Phương pháp thử). |
|
|
Tro sunfat |
Không vượt quá 0,05% |
|
|
Chì |
Không được quá 2,0 mg/kg. |
|
|
Các chất dễ bị than hóa |
Đạt yêu cầu (mô tả trong phần Phương pháp thử). |
|
|
Các hợp chất clor hữu cơ |
Không được quá 0,07% (tính theo Cl2). |
|
|
Các chất dễ bị oxy hóa |
Đạt yêu cầu (mô tả trong phần Phương pháp thử). |
|
|
5.3. Hàm lượng C7H6O2 |
Không được thấp hơn 99,5% tính theo chế phẩm khô. |
|
|
6. Phương pháp thử |
||
|
6.1. Định tính |
|
|
|
Benzoat |
- Thử theo JECFA monograph 1 - Vol. 4. - Sử dụng 0,1 g mẫu với 0,1 g calci carbonat và 5ml nước |
|
|
6.2. Độ tinh khiết |
|
|
|
Giảm khối lượng khi làm khô |
- Thử theo JECFA monograph 1 - Vol. 4. - Làm khô trên acid sulfuric, trong 3 giờ. |
|
|
Thử thăng hoa |
Cho một lượng nhỏ mẫu thử vào trong một ống nghiệm khô. Bọc ống nghiệm bằng một giấy lọc ẩm cách 4 cm tính từ đáy ống. Đốt nóng ống nghiệm trên ngọn lửa. Acid benzoic thăng hoa và các tinh thể hình thành bám trên thành ống nghiệm có nhiệt độ thấp hơn và không còn cặn ở đáy ống nghiệm. |
|
|
Chì |
- Thử theo JECFA monograph 1 - Vol. 4. - Xác định bằng kỹ thuật quang phổ hấp thụ nguyên tử thích hợp cho hàm lượng qui định. Lựa chọn cỡ mẫu thử và phương pháp chuẩn bị mẫu dựa trên nguyên tắc của phương pháp mô tả trong JECFA monograph 1 - Vol. 4 phần các phương pháp phân tích công cụ. |
|
|
Các chất dễ bị than hóa |
- Thử theo JECFA monograph 1 - Vol. 4. - Cân 0,5g (chính xác đến mg) mẫu thử, hòa tan trong 5 ml acid sulfuric (TS). Màu tạo thành trong dung dịch không được đậm hơn màu hồng nhạt của “dung dịch đối chứng Q” |
|
|
Các chất clor hữu cơ |
Thử với 0,25 g mẫu thử được hòa tan trong 10 ml dung dịch natri hydroxyd 0,1N, sử dụng 0,5 ml dung dịch acid hydrocloric 0,01N làm đối chứng |
|
|
Các chất dễ bị oxy hóa |
Thêm 1,5 ml acid sulfuric vào 100 ml nước cất, đun sôi hỗn hợp, nhỏ từng giọt dung dịch kali permanganat 0,1N đến khi dung dịch có màu hồng bền trong 30 giây. Cân 1 g mẫu, chính xác đến mg, cho vào dung dịch đã chuẩn bị, còn nóng, và chuẩn độ bằng dung dịch kali permanganat 0,1 N tới khi dung dịch có màu hồng bền trong 15 giây. Thể tích dung dịch kali permanganat sử dụng để chuẩn độ không được quá 0,5 ml. |
|
|
6.3. Định lượng |
|
|
|
|
Cân 2,5 g (chính xác đến mg) mẫu thử đã được sấy khô. Hoà tan trong 15 ml ethanol ấm, trước đó đã được trung hoà và với chỉ thị là dung dịch đỏ phenol (TS). Thêm 20 ml nước cất và chuẩn độ bằng dung dịch natri hydroxyd 0,5 N với chỉ thị là phenolphthalein (TS). Mỗi ml dung dịch natri hydroxyd 0,5 N tương đương với 61,06 mg C7H6O2. |
|
|
Phụ lục 5 YÊU CẦU KỸ THUẬT VÀ PHƯƠNG PHÁP THỬ ĐỐI VỚI NATRI BENZOAT |
|
|
|
1. Tên khác, chỉ số |
Sodium benzoate; INS 211 ADI = 0 - 5 mg/kg thể trọng |
|
|
2. Định nghĩa |
|
|
|
Tên hóa học |
Muối natri của acid benzencarboxylic, muối natri của acid phenylcarboxylic |
|
|
Mã số C.A.S. |
532-32-1 |
|
|
Công thức hóa học |
C7H5NaO2 |
|
|
Công thức cấu tạo |
|
|
|
Khối lượng phân tử |
144,11 |
|
|
3. Cảm quan |
Bột tinh thể, dạng mảnh hay hạt, màu trắng, hầu như không mùi |
|
|
4. Chức năng |
Chất bảo quản chống vi sinh vật |
|
|
5. Yêu cầu kỹ thuật |
||
|
5.1. Định tính |
|
|
|
Độ tan |
Dễ tan trong nước, ít tan trong ethanol. |
|
|
Natri |
Phải có phản ứng đặc trưng của natri. |
|
|
Benzoat |
Phải có phản ứng đặc trưng của benzoat. |
|
|
5.2. Độ tinh khiết |
|
|
|
Giảm khối lượng khi sấy khô |
Không được quá 1,5%. |
|
|
Tính acid hoặc tính kiềm |
Đạt yêu cầu (mô tả trong phần Phương pháp thử). |
|
|
Các chất dễ bị than hóa |
Đạt yêu cầu (mô tả trong phần Phương pháp thử). |
|
|
Các hợp chất clor hữu cơ |
Không được quá 0,07% (tính theo Cl2). |
|
|
Các chất dễ bị oxy hóa |
Đạt yêu cầu (mô tả trong phần Phương pháp thử). |
|
|
Chì |
Không được quá 2,0 mg/kg. |
|
|
5.3. Hàm lượng C7H5NaO2 |
Không được thấp hơn 99,0% tính theo chế phẩm khan. |
|
|
6. Phương pháp thử |
||
|
6.1. Định tính |
|
|
|
Natri |
- Thử theo JECFA monograph 1 - Vol. 4. |
|
|
Benzoat |
- Thử theo JECFA monograph 1 - Vol. 4. - Sử dụng dung dịch mẫu thử 10%) |
|
|
6.2. Độ tinh khiết |
|
|
|
Giảm khối lượng khi sấy khô |
- Thử theo JECFA monograph 1 - Vol. 4. - Sấy tại 105oC trong 4 giờ. |
|
|
Tính acid hoặc tính kiềm |
Cân 2 g mẫu thử, chính xác đến mg, hòa tan trong 20 ml nước mới đun sôi để nguội. Trung hòa dung dịch này bằng dung dịch natri hydroxyd 0,1N hoặc acid hydrocloric 0,1 N với chỉ thị là dung dịch phenolphtalein (TS). Thể tích dung dịch natri hydroxyd 0,1 N hoặc acid hydrocloric 0,1 N sử dụng không được quá 0,5 ml. |
|
|
Các chất dễ bị than hóa |
Cân 0,5 g mẫu thử, chính xác đến mg, hòa tan trong 5 ml acid sulfuric (TS). Màu tạo thành trong dung dịch không được đậm hơn màu hồng nhạt của “dung dịch đối chứng Q” (Thử theo hướng dẫn trong JECFA monograph 1 - Vol. 4). |
|
|
Các chất clor hữu cơ |
- Thử theo JECFA monograph 1 - Vol. 4. - Thử với 0,25 g mẫu thử, sử dụng 0,5 ml dung dịch acid hydrocloric 0,01 N làm đối chứng |
|
|
Các chất dễ bị oxy hóa |
Thêm 1,5 ml acid sulfuric vào 100 ml nước cất, đun sôi hỗn hợp, nhỏ vào từng giọt dung dịch kali permanganat 0,1 N đến khi dung dịch có màu hồng bền trong 30 giây. Cân 1g mẫu, chính xác đến mg, hòa vào dung dịch đã chuẩn bị, còn nóng, và chuẩn độ bằng dung dịch kali permanganat 0,1 N tới khi dung dịch có màu hồng bền trong 15 giây. Thể tích dung dịch kali permanganat 0,1 N sử dụng để chuẩn độ không được quá 0,5 ml. |
|
|
Chì |
- Thử theo JECFA monograph 1 - Vol. 4. - Xác định bằng kỹ thuật quang phổ hấp thụ nguyên tử thích hợp cho hàm lượng qui định. Lựa chọn cỡ mẫu thử và phương pháp chuẩn bị mẫu dựa trên nguyên tắc của phương pháp mô tả trong JECFA monograph 1 - Vol. 4 phần các phương pháp phân tích công cụ. |
|
|
6.3. Định lượng |
|
|
|
|
Cân 3 g mẫu thử đã được sấy tại 105oC trong 4 giờ, chính xác đến mg, cho vào bình nón 250 ml. Thêm 50 ml nước cất, hòa tan. Trung hòa dung dịch bằng dung dịch acid hydrocloric 0,1 N với chỉ thị là dung dịch phenolphtalein (TS) nếu cần. Thêm 50 ml ether và vài giọt dung dịch xanh bromophenol (TS), chuẩn độ bằng dung dịch acid hydrocloric 0,5 N, lắc bình đều khi chuẩn độ, đến khi chỉ thị bắt đầu đổi màu. Chuyển phần nước phía dưới sang bình khác. Rửa lớp ether còn lại với 10 ml nước cất, gộp phần nước rửa vào vào phần nước đã tách ra và thêm 20 ml ether vào nước rửa. Chuẩn độ tiếp bằng dung dịch acid hydrocloric 0,5 N, lắc đều. Mỗi ml dung dịch acid hydrocloric 0,5 N tương đương với 72,05 mg C7H5NaO2. |
|
|
Phụ lục 6 YÊU CẦU KỸ THUẬT VÀ PHƯƠNG PHÁP THỬ ĐỐI VỚI KALI BENZOAT |
|
|
|
1. Tên khác, chỉ số |
Potasium benzoate; INS 212 ADI=0 - 5 mg/kg thể trọng |
|
|
2. Định nghĩa |
|
|
|
Tên hóa học |
muối kali của acid benzencarboxylic, muối kali của acid phenylcarboxylic |
|
|
Mã số C.A.S. |
582-25-2 (dạng khan) |
|
|
Công thức hóa học |
C7H5KO2.3H2O |
|
|
Công thức cấu tạo |
|
|
|
Khối lượng phân tử |
160,22 (dạng khan C7H5KO2) 214,27 (dạng trihydrat C7H5KO2.3H2O) |
|
|
3. Cảm quan |
Bột tinh thể màu trắng |
|
|
4. Chức năng |
Chất bảo quản chống vi sinh vật |
|
|
5. Yêu cầu kỹ thuật |
||
|
5.1. Định tính |
|
|
|
Độ tan |
Dễ tan trong nước, tan trong ethanol. |
|
|
Kali |
Phải có phản ứng đặc trưng của kali. |
|
|
Benzoat |
Phải có phản ứng đặc trưng của benzoat. |
|
|
5.2. Độ tinh khiết |
|
|
|
Giảm khối lượng khi sấy khô |
Không được quá 26,5%. |
|
|
Tính acid hoặc tính kiềm |
Đạt yêu cầu (mô tả trong phần Phương pháp thử). |
|
|
Các chất dễ bị than hóa |
Đạt yêu cầu (mô tả trong phần Phương pháp thử). |
|
|
Các hợp chất clor hữu cơ |
Không được quá 0,07% (tính theo Cl2). |
|
|
Các chất dễ bị oxy hóa |
Đạt yêu cầu (mô tả trong phần Phương pháp thử). |
|
|
Chì |
Không được quá 2,0 mg/kg. |
|
|
5.3. Hàm lượng C7H5KO2 |
Không được thấp hơn 99,0% tính theo chế phẩm khan. |
|
|
6. Phương pháp thử |
||
|
6.1. Định tính |
|
|
|
Kali |
- Thử theo JECFA monograph 1 - Vol. 4. - Sử dụng dung dịch mẫu thử 10%. |
|
|
Benzoat |
- Thử theo JECFA monograph 1 - Vol. 4. - Sử dụng dung dịch mẫu thử 10%. |
|
|
6.2. Độ tinh khiết |
|
|
|
Giảm khối lượng khi sấy khô |
- Thử theo JECFA monograph 1 - Vol. 4. - Sấy tại 105oC trong 4 giờ. |
|
|
Tính acid hoặc tính kiềm |
Cân 2 g mẫu thử, chính xác đến mg, hòa tan trong 20 ml nước mới đun sôi để nguội. Trung hòa dung dịch này bằng dung dịch natri hydroxyd 0,1 N hoặc acid hydrocloric 0,1 N với chỉ thị là dung dịch phenolphtalein (TS). Thể tích dung dịch natri hydroxyd 0,1 N hoặc acid hydrocloric 0,1 sử dụng không được quá 0,5 ml. |
|
|
Các chất dễ bị than hóa |
- Thử theo JECFA monograph 1 - Vol. 4. - Cân 0,5 g mẫu thử, chính xác đến mg, hòa tan trong 5 ml acid sulfuric (TS). Màu tạo thành trong dung dịch không được đậm hơn màu hồng nhạt của “dung dịch đối chứng Q”. |
|
|
Các chất clor hữu cơ |
- Thử theo JECFA monograph 1 - Vol. 4. - Thử với 0,25 g mẫu thử, sử dụng 0,5 ml dung dịch acid hydrocloric 0,01 N làm đối chứng |
|
|
Các chất dễ bị oxy hóa |
Thêm 1,5 ml acid sulfuric vào 100 ml nước cất, đun sôi hỗn hợp, nhỏ vào từng giọt dung dịch kali permanganat 0,1 N đến khi dung dịch có màu hồng bền trong 30 giây. Cân 1g mẫu, chính xác đến mg, hòa tan vào dung dịch đã chuẩn bị, còn nóng, và chuẩn độ bằng dung dịch kali permanganat 0,1 N tới khi dung dịch có màu hồng bền trong 15 giây. Thể tích dung dịch kali permanganat 0,1 N sử dụng để chuẩn độ không được quá 0,5 ml. |
|
|
Chì |
- Thử theo JECFA monograph 1 - Vol. 4. - Xác định bằng kỹ thuật quang phổ hấp thụ nguyên tử thích hợp cho hàm lượng qui định. Lựa chọn cỡ mẫu thử và phương pháp chuẩn bị mẫu dựa trên nguyên tắc của phương pháp mô tả trong JECFA monograph 1 - Vol. 4 phần các phương pháp phân tích công cụ. |
|
|
6.3. Định lượng |
|
|
|
|
Cân 2,5-3 g mẫu thử (chính xác đến 0,1 mg) đã được sấy tại 105oC trong 4 giờ, cho vào bình nón 250 ml. Thêm 50 ml nước cất, hòa tan. Trung hòa dung dịch bằng dung dịch acid hydrocloric 0,1 N với chỉ thị là dung dịch phenolphtalein (TS) nếu cần. Thêm 50 ml ether và vài giọt dung dịch xanh bromophenol (TS), chuẩn độ bằng dung dịch acid hydrocloric 0,5 N, lắc bình đều khi chuẩn độ, đến khi chỉ thị bắt đầu đổi màu. Chuyển phần nước phía dưới sang bình khác. Rửa lớp ether còn lại với 10 ml nước cất, gộp phần nước rửa vào vào phần nước đã tách ra và thêm 20 ml ether vào nước rửa. Chuẩn độ tiếp bằng dung dịch acid hydrocloric 0,5 N, lắc đều. Mỗi ml dung dịch acid hydrocloric 0,5 N tương đương với 80,11 mg C7H5KO2. |
|
|
Phụ lục 7 YÊU CẦU KỸ THUẬT VÀ PHƯƠNG PHÁP THỬ ĐỐI VỚI CALCI BENZOAT |
|
|
|
1. Tên khác, chỉ số |
Monocalcium benzoate; INS 213 ADI = 0 - 5 mg/kg thể trọng |
|
|
2. Định nghĩa |
|
|
|
Tên hóa học |
Calci benzoat |
|
|
Mã số C.A.S. |
2090-05-3 |
|
|
Công thức hóa học |
Dạng khan C14H10CaO4 Dạng monohydrat C14H10CaO4.H2O Dạng trihydrat C14H10CaO4.3H2O |
|
|
Công thức cấu tạo |
Dạng khan
|
|
|
Khối lượng phân tử |
Dạng khan 282,31 Dạng monohydrat 300,32 Dạng trihydrat 336,36 |
|
|
3. Cảm quan |
Tinh thể trắng hoặc không màu, bột trắng. |
|
|
4. Chức năng |
Chất bảo quản chống vi sinh vật |
|
|
5. Yêu cầu kỹ thuật |
||
|
5.1. Định tính |
|
|
|
Độ tan |
Ít tan trong nước |
|
|
Calci |
Phải có phản ứng đặc trưng của calci. |
|
|
Benzoat |
Phải có phản ứng đặc trưng của benzoat. |
|
|
5.2. Độ tinh khiết |
|
|
|
Giảm khối lượng khi sấy khô |
Không được quá 17,5%. |
|
|
Các chất không tan trong nước |
Không được quá 0,3%. |
|
|
Tính acid hoặc tính kiềm |
Đạt yêu cầu (mô tả trong phần Phương pháp thử). |
|
|
Florid |
Không được quá 10,0 mg/kg. |
|
|
Chì |
Không được quá 2,0 mg/kg. |
|
|
Các chất clor hữu cơ |
Không được quá 0,07% (tính theo Cl2). |
|
|
Các chất dễ bị oxy hóa |
Đạt yêu cầu (mô tả trong phần Phương pháp thử). |
|
|
5.3. Hàm lượng C14H10CaO4 |
Không được thấp hơn 99,0 % tính theo chế phẩm khan. |
|
|
6. Phương pháp thử |
||
|
6.1 Định tính |
|
|
|
Calci |
Thử theo JECFA monograph 1 - Vol. 4. |
|
|
Benzoat |
Thử theo JECFA monograph 1 - Vol. 4. |
|
|
6.2. Độ tinh khiết |
|
|
|
Giảm khối lượng khi sấy khô |
- Thử theo JECFA monograph 1 - Vol. 4. - Sấy tại 105oC trong 4 giờ. |
|
|
Các chất không tan trong nước |
Cân 10 g (chính xác đến mg) mẫu thử, hòa tan trong 100 ml nước nóng. Lọc qua một phễu lọc Gooch đã cân bì (chính xác đến 0,2 mg). Rửa cặn bằng nước nóng. Sấy khô phễu lọc và cặn tại 105oC trong 2 giờ. Để nguội, cân và tính hàm lượng %. |
|
|
Tính acid hoặc tính kiềm |
Cân 2 g mẫu thử, chính xác đến mg, hòa tan trong 20 ml nước mới đun sôi để nguội. Trung hòa dung dịch này bằng dung dịch natri hydroxyd 0,1 N hoặc acid hydrocloric 0,1 N với chỉ thị là dung dịch phenolphtalein (TS). Thể tích dung dịch natri hydroxyd 0,1 N hoặc acid hydrocloric 0,1 N sử dụng không được quá 0,5 ml. |
|
|
Florid |
- Thử theo JECFA monograph 1 - Vol. 4, phương pháp I hoặc III. - Cân 5 g (chính xác đến mg) mẫu thử. |
|
|
Chì |
- Thử theo JECFA monograph 1 - Vol. 4. - Xác định bằng kỹ thuật quang phổ hấp thụ nguyên tử thích hợp cho hàm lượng qui định. Lựa chọn cỡ mẫu thử và phương pháp chuẩn bị mẫu dựa trên nguyên tắc của phương pháp mô tả trong JECFA monograph 1 - Vol. 4 phần các phương pháp phân tích công cụ. |
|
|
Các chất clor hữu cơ |
Thử với 0,25 g mẫu thử, sử dụng 0,5 ml dung dịch acid hydrocloric 0,01 N làm đối chứng |
|
|
Các chất dễ bị oxy hóa |
Thêm 1,5 ml acid sulfuric vào 100 ml nước cất, đun sôi hỗn hợp, nhỏ từng giọt dung dịch kali permanganat 0,1 N đến khi dung dịch có màu hồng bền trong 15 giây. Cân 1 g mẫu, chính xác đến mg, hòa tan vào dung dịch đã chuẩn bị, còn nóng, và chuẩn độ bằng dung dịch kali permanganat 0,1 N tới khi dung dịch có màu hồng bền trong 15 giây. Thể tích dung dịch kali permanganat sử dụng để chuẩn độ không được quá 0,5 ml. |
|
|
6.3. Định lượng |
|
|
|
|
Cân 0,6 g mẫu thử đã được sấy khô, chính xác đến 0,1 mg. Hòa tan trong 20 ml nước và 2 ml dung dịch acid hydrocloric loãng (TS). Pha loãng bằng nước vừa đủ để thu được 100 ml. Khuấy bằng máy khuấy từ, dùng buret 50 ml thêm khoảng 30 ml dung dịch dinatri ethylendiamintetraacetat 0,05 M, sau đó thêm 15 ml dung dịch natri hydroxyd (TS), 40 mg hỗn hợp chỉ thị murexid (có thể thay bằng 0,25 g chỉ thị xanh da trời hydroxynaphtol, trong trường hợp này không thêm dung dịch xanh lục naphtol (TS)) và 3 ml dung dịch xanh lục naphtol (TS), tiến hành chuẩn độ dung dịch đến màu xanh da trời đậm. Mỗi ml dung dịch dinatri ethylendiamintetraacetat 0,05 M tương đương với 14,116 mg C14H10CaO4. |
|
|
Phụ lục 8 YÊU CẦU KỸ THUẬT VÀ PHƯƠNG PHÁP THỬ ĐỐI VỚI ETHYL p-HYDROBENZOAT |
|
|
|
1. Tên khác, chỉ số |
Ethyl p-oxybenzoat; Ethylparaben INS 214 ADI= 0 – 10 mg/kg thể trọng |
|
|
2. Định nghĩa |
|
|
|
Tên hóa học |
Ethyl p-hydroxybenzoat, ethyl ester của acid p-hydroxybenzoic |
|
|
Mã số C.A.S. |
120-47-8 |
|
|
Công thức hóa học |
C9H10O3 |
|
|
Công thức cấu tạo |
|
|
|
Khối lượng phân tử |
166,18 |
|
|
3. Cảm quan |
Bột tinh thể màu trắng hoặc tinh thể nhỏ không màu, hầu như không mùi. |
|
|
4. Chức năng |
Chất bảo quản |
|
|
5. Yêu cầu kỹ thuật |
||
|
5.1. Định tính |
|
|
|
Độ tan |
Dễ tan trong ethanol, ether và propylen glycol |
|
|
Khoảng nhiệt độ nóng chảy |
115oC -118oC. |
|
|
p-Hydroxybenzoat |
Khoảng nóng chảy của acid p-hydroxybenzoic được điều chế từ mẫu thử là 212-217o.
|
|
|
5.2. Độ tinh khiết |
|
|
|
Giảm khối lượng khi sấy khô |
Không được quá 0,5 %. |
|
|
Tro sunfat |
Không được quá 0,05 %. |
|
|
Tính acid |
Đạt yêu cầu (mô tả trong phần Phương pháp thử). |
|
|
Acid p-hydroxybenzoic và acid salicylic |
Đạt yêu cầu (mô tả trong phần Phương pháp thử). |
|
|
Chì |
Không được quá 2,0 mg/kg. |
|
|
5.3. Hàm lượng C9H10O3 |
Không được thấp hơn 99,0 % tính theo chế phẩm khan. |
|
|
6. Phương pháp thử |
||
|
6.1. Định tính |
|
|
|
p-Hydroxybenzoat |
Cân chính xác 0,5 g mẫu thử. Thêm 10 ml dung dịch natri hydroxyd (TS) vào mẫu. Đun sôi mẫu thử trong khoảng 30 phút và cô dung dịch cạn bớt đến còn khoảng 5 ml. Để nguội, acid hoá bằng dung dịch acid sulfuric loãng (TS), lọc qua giấy lọc, thu lấy kết tủa trên giấy lọc và rửa kỹ kết tủa bằng nước cất. Làm khô giấy lọc trong bình hút ẩm trên acid sulfuric đặc. Đo khoảng nóng chảy của acid p-hydroxybenzoic thu được. |
|
|
6.2. Độ tinh khiết |
|
|
|
Giảm khối lượng khi sấy khô |
- Thử theo JECFA monograph 1 - Vol. 4. - Không được quá 0,5% (sấy tại 80oC trong 2 giờ). |
|
|
Tro sunfat |
- Thử theo JECFA monograph 1 - Vol. 4, phương pháp I. - Mẫu thử : 2 g. |
|
|
Tính acid |
Cân 750 mg mẫu thử, thêm 15 ml nước, đun nóng ở 80o trong 1 phút, để nguội, lọc dung dịch. Dịch lọc phải có tính acid hoặc trung tính đối với chỉ thị là quỳ tím. Thêm 0,2 ml dung dịch NaOH 0,1 N và 2 giọt dung dịch đỏ methyl (TS) vào 10 ml dịch lọc. Dung dịch phải có màu vàng không có ánh hồng. |
|
|
Acid p-hydroxybenzoic và acid salicylic |
Cân chính xác 0,5 g mẫu thử, hoà tan trong 30 ml ether. Thêm 20 ml dung dịch natri hydrogen carbonat 1%, lắc kỹ, tách lấy lớp nước. Rửa lớp nước bằng 20 ml ether (rửa 2 lần). Thêm tiếp 5 ml acid sulfuric loãng và 30 ml ether, lắc lần nữa. Tách lấy lớp ether, thêm 10 ml nước, lắc kỹ. Lọc lớp ether. Tráng bình hứng và giấy lọc bằng một lượng nhỏ ether rồi gộp với dịch lọc cho cô quay loại bỏ dung môi. Làm khô cặn thu được trên acid sulfuric đến khối lượng không đổi. Khối lượng cặn không được vượt quá 5 mg. Hoà tan cặn trong 25 ml nước, đun nóng ở 70o, lọc và thêm vài giọt dung dịch sắt (III) clorid (TS), Dung dịch này không được xuất hiện màu tím đến tím đỏ. |
|
|
Chì |
- Thử theo JECFA monograph 1 - Vol. 4. - Xác định bằng kỹ thuật quang phổ hấp thụ nguyên tử thích hợp cho hàm lượng qui định. Lựa chọn cỡ mẫu thử và phương pháp chuẩn bị mẫu dựa trên nguyên tắc của phương pháp mô tả trong JECFA monograph 1 - Vol. 4 phần các phương pháp phân tích công cụ. |
|
|
6.3. Định lượng |
|
|
|
|
Cân 2 g mẫu thử đã được sấy khô, chính xác đến mg, cho vào bình thủy tinh. Thêm 40 ml dung dịch NaOH 1 N và tráng rửa thành bình bằng nước. Đậy bình bằng mặt kính đồng hồ, đun sôi nhẹ trong 1h rồi để nguội. Thêm 5 giọt dung dịch xanh bromothymol (TS) và chuẩn độ lượng NaOH dư bằng acid sulfuric 1 N, so sánh màu của dung dịch với màu của dung dịch đệm (pH 6,5) có chứa lượng chỉ thị tương đương. Tiến hành một mẫu trắng với các thuốc thử, hiệu chuẩn kết quả nếu cần thiết. Mỗi ml dung dịch natri hydroxyd 1 N tương đương với 166,18 mg C9H10O3. |
|
|
Phụ lục 9 YÊU CẦU KỸ THUẬT VÀ PHƯƠNG PHÁP THỬ ĐỐI VỚI METHYL p-HYDROXYBENZOAT |
|
|
|
1. Tên khác, chỉ số |
Methyl p-oxybenzoat; Methylparaben INS 218 ADI = 0 - 10mg/kg thể trọng |
|
|
2. Định nghĩa |
|
|
|
Tên hóa học |
Methyl p-hydroxybenzoat, methyl ester của acid p-hydroxybenzoic |
|
|
Mã số C.A.S. |
99-76-3 |
|
|
Công thức hóa học |
C8H8O3 |
|
|
Công thức cấu tạo |
|
|
|
Khối lượng phân tử |
152,15 |
|
|
3. Cảm quan |
Bột tinh thể màu trắng hoặc tinh thể nhỏ không màu, hầu như không mùi. |
|
|
4. Chức năng |
Chất bảo quản |
|
|
5. Yêu cầu kỹ thuật |
||
|
5.1. Định tính |
|
|
|
Độ tan |
Ít tan trong nước, dễ tan trong ethanol và propylen glycol, tan được trong ether. |
|
|
Khoảng nhiệt độ nóng chảy |
125oC -128oC. |
|
|
p-Hydroxybenzoat |
Điểm chảy của acid p-hydroxybenzoic được chuyển hoá từ mẫu thử là 212-217o. |
|
|
5.2. Độ tinh khiết |
|
|
|
Giảm khối lượng khi làm khô |
Không được quá 0,5%. |
|
|
Tro sunfat |
Không được quá 0,05%. |
|
|
Tính acid |
Đạt yêu cầu (mô tả trong phần Phương pháp thử). |
|
|
Acid p-hydroxybenzoic và acid salicylic |
Đạt yêu cầu (mô tả trong phần Phương pháp thử). |
|
|
Chì |
Không được quá 2,0 mg/kg. |
|
|
5.3. Hàm lượng C8H8O3 |
Không được thấp hơn 99,0 % tính theo chế phẩm khan. |
|
|
6. Phương pháp thử |
||
|
6.1. Định tính |
|
|
|
p-Hydroxybenzoat |
Cân 0,5 g mẫu thử. Thêm 10 ml natri hydroxyd (TS) vào mẫu. Đun sôi mẫu thử trong khoảng 30 phút, cô dung dịch cạn bớt đến khi còn khoảng 5 ml. Để nguội, acid hoá bằng acid sulfuric loãng (TS), lọc qua giấy lọc, thu lấy kết tủa trên giấy lọc và rửa kỹ kết tủa bằng nước cất. Làm khô giấy lọc trong bình hút ẩm với acid sulfuric đặc. Đo điểm nóng chảy của acid p-hydroxybenzoic thu được. |
|
|
6.2. Độ tinh khiết |
|
|
|
Giảm khối lượng khi làm khô |
- Thử theo JECFA monograph 1 - Vol. 4. - Trên silicagel trong 5 giờ. |
|
|
Tro sunfat |
Thử theo JECFA monograph 1 - Vol. 4, phương pháp I (mẫu thử : 2 g). |
|
|
Tính acid |
Cân 750 mg mẫu thử, thêm 15 ml nước, đun nóng ở 80o trong 1 phút. Để nguội, lọc dung dịch. Dịch lọc phải có tính acid hoá hoặc trung tính với giấy quỳ. Thêm 0,2 ml dung dịch NaOH 0,1 N và 2 giọt đỏ methyl (TS) vào 10 ml dịch lọc. Dung dịch này phải có màu vàng, không có ánh hồng. |
|
|
Acid p-hydroxybenzoic và acid salicylic |
Cân chính xác 0,5 g mẫu thử, hoà tan trong 30 ml ether. Thêm 20 ml dung dịch natri hydrogen carbonat 1%, lắc kỹ, tách lấy lớp nước. Rửa lớp nước bằng 20 ml ether (rửa 2 lần). Thêm tiếp 5ml acid sulfuric loãng và 30 ml ether, lắc lần nữa. Tách lấy lớp ether, thêm 10 ml nước, lắc kỹ. Lọc lớp ether. Tráng bình hứng và giấy lọc bằng một lượng nhỏ ether rồi gộp với dịch lọc để cất quay loại bỏ dung môi. Làm khô cặn thu được trên acid sulfuric đến khối lượng không đổi. Khối lượng cặn không được vượt quá 5 mg. Hoà tan cặn trong 25 ml nước, đun nóng ở 70o, lọc và thêm vài giọt dung dịch sắt (III) clorid (TS), Dung dịch này không được xuất hiện màu tím đến tím đỏ. |
|
|
Chì |
- Thử theo JECFA monograph 1 - Vol. 4. - Xác định bằng kỹ thuật quang phổ hấp thụ nguyên tử thích hợp cho hàm lượng qui định. Lựa chọn cỡ mẫu thử và phương pháp chuẩn bị mẫu dựa trên nguyên tắc của phương pháp mô tả trong JECFA monograph 1 - Vol. 4 phần các phương pháp phân tích công cụ. |
|
|
6.3. Định lượng |
|
|
|
|
Cân 2 g mẫu thử đã được sấy khô, chính xác đến mg, cho vào bình nón 250 ml. Thêm 40 ml dung dịch NaOH 1 N và rửa thành bình bằng nước. Đậy bình bằng mặt kính đồng hồ. Đun sôi nhẹ trong 1 giờ rồi để nguội. Thêm 5 giọt xanh bromothymol (TS) và chuẩn độ lượng NaOH dư bằng acid sulfuric 1 N, so sánh màu của dung dịch với màu của dung dịch đệm (pH 6,5) có chứa lượng chỉ thị tương đương. Thực hiện một mẫu trắng với các thuốc thử, hiệu chỉnh kết quả nếu cần. Mỗi ml dung dịch natri hydroxyd 1N tương đương với 152,2 mg C8H8O3. |
|
|
Phụ lục 10 YÊU CẦU KỸ THUẬT VÀ PHƯƠNG PHÁP THỬ ĐỐI VỚI LƯU HUỲNH DIOXYD |
|
|
|
1. Tên khác, chỉ số |
INS 220 ADI = 0 - 0,7 mg/kg thể trọng |
|
|
2. Định nghĩa |
|
|
|
Mã số C.A.S. |
7446-09-5 |
|
|
Công thức cấu tạo |
SO2 |
|
|
Khối lượng phân tử |
64,07 |
|
|
3. Cảm quan |
Là chất khí, không màu, không cháy, mùi hăng mạnh, gây khó thở.Tỷ trọng hơi gấp 2,26 lần so với không khí tại áp suất khí quyển ở 0oC. Trọng lượng riêng của chất lỏng khỏang 1,436 ở 0o/4oC. Ở 20oC độ tan là 10 g SO2/100 g dung dịch. Chế phẩm thương mại thường được cung cấp dưới dạng khí nén, trong bình khí nén tồn tại ở cả 2 pha lỏng và khí. Chú ý: Khí SO2 gây kích ứng mắt, họng và đường hô hấp trên. Lưu huỳnh dioxyd lỏng có thể gây bỏng da do tác dụng gây đông đặc các dịch trong mô. Các cảnh báo an toàn trong tài liệu kỹ thuật của nhà sản xuất, nhà cung cấp khí SO2 hóa lỏng hoặc các tổ chức của các nhà sản xuất, phân phối khí SO2 hóa lỏng cần được tuân thủ trước khi thao tác với khí SO2. |
|
|
4. Chức năng |
Chất bảo quản, chất chống ngả màu nâu, chất chống oxy hóa. |
|
|
5. Yêu cầu kỹ thuật |
||
|
5.1. Định tính |
|
|
|
Độ tan |
Tan trong nước (36/1, tt/tt) và ethanol (114/1, tt/tt) (thử theo hướng dẫn tại JECFA monograph 1 - Vol. 4). |
|
|
Các hợp chất sulfurơ |
Phải có phản ứng đặc trưng với hợp chất sulfurơ. |
|
|
Hoạt tính oxy hóa |
Phải có phản ứng hoạt tính oxy hóa đặc trưng. |
|
|
5.2. Độ tinh khiết |
|
|
|
Nước |
Không được quá 0,05%. |
|
|
Cặn không bay hơi |
Không được quá 0,05%. |
|
|
Selen |
Không được quá 20,0 mg/kg. |
|
|
Chì |
Không được quá 5,0 mg/kg. |
|
|
5.3. Hàm lượng SO2 |
Không được thấp hơn 99,9% SO2 tính theo khối lượng. |
|
|
6. Phương pháp thử |
||
|
6.1. Định tính |
|
|
|
Các hợp chất sulfurơ |
Mẫu thử sẽ làm đen giấy tẩm ướt bằng dung dịch thủy ngân (I) nitrat (TS). |
|
|
Hoạt tính oxy hóa |
Cho miếng giấy lọc đã tẩm kali iodat và dung dịch hồ tinh bột (TS) vào luồng mẫu khí. Màu xanh lơ sẽ xuất hiện trên giấy, màu sẽ nhạt dần nếu vẫn để miếng giấy lọc trong mẫu khí. |
|
|
6.2. Độ tinh khiết |
|
|
|
Nước |
- Thử theo JECFA monograph 1 - Vol. 4. - Chuyển khoảng 50 ml lưu huỳnh dioxyd lỏng vào bình chuẩn độ Karl-Fischer, xác định khối lượng mẫu đã lấy, xác định hàm lượng nước bằng phương pháp Karl-Fischer. |
|
|
Cặn không bay hơi |
Lấy khoảng 200 ml lưu huỳnh dioxyd (288 g) vào bình nón 250 ml. Xác định khối lượng mẫu đã lấy bằng cách xác định sự thay đổi khối lượng của bom khí. Cho bay hơi đến khô trên bể cách thủy và đuổi hết khí SO2 bằng cách sục không khí khô, lau khô thành bình, để nguội trong bình hút ẩm và cân. |
|
|
Selen |
- Thử theo JECFA monograph 1 - Vol. 4, phương pháp II (lượng dịch thử : 2,0 ml) - Hướng dẫn lấy mẫu và chuẩn bị mẫu mô tả trong phần Phương pháp thử. |
|
|
Chì |
- Thử theo JECFA monograph 1 - Vol. 4. - Xác định bằng kỹ thuật quang phổ hấp thụ nguyên tử thích hợp cho hàm lượng qui định. Lựa chọn cỡ mẫu thử và phương pháp chuẩn bị mẫu dựa trên nguyên tắc của phương pháp mô tả trong JECFA monograph 1 - Vol. 4 phần các phương pháp phân tích công cụ. |
|
|
6.3. Lấy mẫu |
Mẫu lưu huỳnh dioxyd có thể lấy một cách an toàn từ bồn chứa hay ống dẫn thông qua một van có vòi 1 cm. Mẫu được chứa vào bom khí chế tạo từ thép không rỉ 316 chịu dược áp suất 7MPa (1000 psig) 2 đầu gắn với van kim cũng bằng thép không rỉ 316. Trước khi lấy mẫu bom chứa mẫu được thổi không khí khô qua để đuổi hết khí SO2 (có thể còn dư từ mẫu trước đó). Nối bom chứa mẫu với bồn chứa hay ống dẫn bằng một nối cứng. Đầu còn lại của bom chứa mẫu nối với một ống mềm nhúng ngập trong dung dịch xút loãng hoặc nước. Khí trong bom sẽ được xả vào dung dịch xút loãng hoặc nước khi mở van khí gắn với ống nối cứng và sau đó từ từ mở van nối với ống mềm. Khi khí ra hết khỏi bom và lưu huỳnh dioxyd lỏng bắt đầu vào dung dịch xút loãng hoặc nước, thì khóa van nối với ống mềm, sau đó từ từ khóa van nối với ống nối cứng và tách bom mẫu ra khỏi ống nối với bồn chứa hay ống dẫn. Sau đó xả khoảng 15% lượng lưu huỳnh dioxyd lỏng trong bom ra dung dịch xút loãng hoặc nước, đậy kín nắp đầu bom và chuyển bom đến phòng thí nghiệm để phân tích. Cảnh báo: Không bao giờ để bom mẫu chứa chất lỏng có thể tích vượt quá 85% tổng dung tích của bom. Dung dịch thử để xác định chì và selen: Lấy 100 ml lưu huỳnh dioxyd (144 g) vào bình nón 125 ml. Xác định khối lượng mẫu đã lấy bằng cách xác định khối lượng mất đi của bom mẫu. Cho bay hơi đến khô trên bể cách thủy. Thêm vào bình nón khô 3 ml acid nitric và 10 ml nước cất, đun nhẹ trên bếp trong 15 phút. Chuyển toàn bộ dịch trong bình nón vào bình định mức 100 ml, định mức đến vạch bằng nước cất, lắc đều. Lấy 10,0 ml sang một bình định mức 100ml thứ hai, định mức đến vạch bằng nước cất, lắc đều. Chú ý: Các phép thử có sử dụng dung dịch này sẽ chính xác nếu lượng mẫu lấy đúng 144 g, nếu không đúng thì khi tính toán phải sử dụng khối lượng mẫu thực tế đã lấy. |
|
|
6.4. Định lượng |
|
|
|
|
Lấy 100% trừ đi hàm lượng (%) của cặn không bay hơi và nước nêu trên, thu được hàm lượng % của lưu huỳnh dioxyd. |
|
|
Phụ lục 11 YÊU CẦU KỸ THUẬT VÀ PHƯƠNG PHÁP THỬ ĐỐI VỚI NATRI SULFIT |
|
|
|
1. Tên khác, chỉ số |
Disodium sulfite; INS 221 ADI=0 - 0,7 mg/kg thể trọng tính theo SO2 |
|
|
2. Định nghĩa |
|
|
|
Tên hóa học |
Natri sulfit |
|
|
Mã số C.A.S. |
7757-83-7 |
|
|
Công thức hóa học |
Na2SO3 |
|
|
Khối lượng phân tử |
126,04 |
|
|
3. Cảm quan |
Bột trắng có mùi lưu huỳnh dioxyd nhẹ. |
|
|
4. Chức năng |
Chất tẩy trắng, chất chống oxy hóa, chất bảo quản |
|
|
5. Yêu cầu kỹ thuật |
||
|
5.1. Định tính |
|
|
|
Độ tan |
Dễ tan trong nước, khó tan trong ethanol. |
|
|
Natri |
Phải có phản ứng đặc trưng của natri. |
|
|
Sulfit |
Phải có phản ứng đặc trưng của sulfit. |
|
|
5.2. Độ tinh khiết |
|
|
|
pH |
Dung dịch 1/10 phải có pH trong khoảng 8,5-10,0. |
|
|
Thiosulfat |
Không được quá 0,1%. |
|
|
Sắt |
Không được quá 10,0 mg/kg. |
|
|
Chì |
Không được quá 2,0 mg/kg. |
|
|
Selen |
Không được quá 5 mg/kg. |
|
|
5.3. Hàm lượng Na2SO3 |
Không được thấp hơn 95,0% |
|
|
6. Phương pháp thử |
||
|
6.1. Định tính |
|
|
|
Natri |
- Thử theo JECFA monograph 1 - Vol. 4. |
|
|
Sulfit |
- Thử theo JECFA monograph 1 - Vol. 4. |
|
|
6.2. Độ tinh khiết |
|
|
|
Thiosulfat |
Khi acid hóa dung dịch mẫu thử 10% bằng acid sulfuric hoặc acid hydrocloric, dung dịch phải trong. |
|
|
Sắt |
- Thử theo JECFA monograph 1 - Vol. 4. - Sử dụng 0,5 ml dung dịch chuẩn (5 mg Fe) làm đối chứng. |
|
|
Chì |
- Thử theo JECFA monograph 1 - Vol. 4. - Xác định bằng kỹ thuật quang phổ hấp thụ nguyên tử thích hợp cho hàm lượng qui định. Lựa chọn cỡ mẫu thử và phương pháp chuẩn bị mẫu dựa trên nguyên tắc của phương pháp mô tả trong JECFA monograph 1 - Vol. 4 phần các phương pháp phân tích công cụ. |
|
|
Selen |
Thuốc thử: Acid hydrocloric, hydrazin sulfat, dung dịch chuẩn selen (100 mg Se/ml) Tiến hành: Cân 2,0 ± 0,1 g mẫu thử, cho vào cốc có mỏ 50 ml. Thêm 10 ml nước cất, 5 ml acid hydrocloric và đun sôi để đuổi hết SO2. Cân 1,0 ± 0,1 g mẫu thử, cho vào một cốc có mỏ thứ 2, thêm 0,05 ml dung dịch selen chuẩn và tiến hành như trên. Thêm vào mỗi cốc 2 g hydrazin sulfat và đun nhẹ để hòa tan. Để yên trong 5 phút. Pha loãng dung dịch trong các cốc tới 50 ml trong các ống so màu Nessler, so sánh màu của 2 ống. Màu hồng của ống thử phải nhạt hơn màu của ống chứng (có thêm chuẩn). |
|
|
6.3. Định lượng |
|
|
|
|
Cân 250 mg mẫu thử, cho vào bình có nút thủy tinh và thêm 50 ml dung dịch iod 0,1 N, đậy nút. Để yên trong 5 phút, thêm 1 ml acid hydrocloric, chuẩn độ iod dư bằng dung dịch natri thiosulfat 0,1 N với chỉ thị là dung dịch hồ tinh bột (TS). Mỗi ml dung dịch iod 0,1 N tương đương với 6,302 mg Na2SO3. |
|
|
Phụ lục 12 YÊU CẦU KỸ THUẬT VÀ PHƯƠNG PHÁP THỬ ĐỐI VỚI NATRI HYDROSULFIT |
|
|
|
1. Tên khác, chỉ số |
Sodium hydrogen sulfite; INS 222 ADI =0 - 0,7 mg/kg thể trọng tính theo SO2 |
|
|
2. Định nghĩa |
|
|
|
Tên hóa học |
Natri hydrosulfit, natri bisulfit |
|
|
Mã số C.A.S. |
7631-90-5 |
|
|
Công thức hóa học |
NaHSO3 |
|
|
Khối lượng phân tử |
104,06 |
|
|
3. Cảm quan |
Bột, hạt hoặc tinh thể trắng có mùi đặc trưng của lưu huỳnh dioxyd. |
|
|
4. Chức năng |
Chất tẩy trắng, chất chống oxy hóa, chất bảo quản |
|
|
5. Yêu cầu kỹ thuật |
||
|
5.1. Định tính |
|
|
|
Độ tan |
Dễ tan trong nước, khó tan trong ethanol. |
|
|
Natri |
Phải có phản ứng đặc trưng của natri. |
|
|
Sulfit |
Phải có phản ứng đặc trưng của sulfit. |
|
|
5.2. Độ tinh khiết |
|
|
|
Tạp chất không tan trong nước |
Đạt yêu cầu (mô tả trong phần Phương pháp thử). |
|
|
pH |
Dung dịch 1/10 phải có pH trong khoảng 2,5-4,5. |
|
|
Sắt |
Không được quá 10,0 mg/kg. |
|
|
Chì |
Không được quá 2,0 mg/kg. |
|
|
Selen |
Không được quá 5mg/kg. |
|
|
5.3. Hàm lượng SO2 |
Không được thấp hơn 58,5% và không được quá 67,4% tính theo SO2 |
|
|
6. Phương pháp thử |
||
|
6.1. Định tính |
|
|
|
Natri |
Thử theo JECFA monograph 1 - Vol. 4. |
|
|
Sulfit |
Thử theo JECFA monograph 1 - Vol. 4. |
|
|
6.2. Độ tinh khiết |
|
|
|
Tạp chất không tan trong nước |
Hoà tan 20 g mẫu thử trong 200 ml nước cất, dung dịch phải trong, chỉ được phép có rất ít cặn lơ lửng. |
|
|
Sắt |
- Thử theo JECFA monograph 1 - Vol. 4. - Sử dụng 0,5 ml dung dịch chuẩn (5mg Fe) làm đối chứng. |
|
|
Chì |
- Thử theo JECFA monograph 1 - Vol. 4. - Xác định bằng kỹ thuật quang phổ hấp thụ nguyên tử thích hợp cho hàm lượng qui định. Lựa chọn cỡ mẫu thử và phương pháp chuẩn bị mẫu dựa trên nguyên tắc của phương pháp mô tả trong JECFA monograph 1 - Vol. 4 phần các phương pháp phân tích công cụ. |
|
|
Selen |
Thuốc thử: Acid hydrocloric, hydrazin sulfat, dung dịch chuẩn selen (100 mg Se/ml) Tiến hành: Cân 2,0 ± 0,1 g mẫu thử, cho vào cốc có mỏ 50 ml. Thêm 10 ml nước cất, 5 ml acid hydrocloric và đun sôi để đuổi hết SO2. Cân 1,0 ± 0,1 g mẫu thử, cho vào một cốc có mỏ khác, thêm 0,05 ml dung dịch selen chuẩn và tiến hành như trên. Thêm vào mỗi cốc 2 g hydrazin sulfat và đun nhẹ để hòa tan. Để yên trong 5 phút. Pha loãng dung dịch trong các cốc thành 50 ml trong các ống so màu Nessler, so sánh màu của 2 ống. Màu hồng của ống thử phải nhạt hơn màu của ống chứng (có thêm chuẩn). |
|
|
6.3. Định lượng |
|
|
|
|
Cân 0,2 g mẫu thử, chính xác đến mg, cho vào bình có nút thủy tinh và thêm 50 ml dung dịch iod 0,1 N, đậy nút. Để yên trong 5 phút, thêm 1ml acid hydrocloric, chuẩn độ iod dư bằng dung dịch natri thiosulfat 0,1 N với chỉ thị là dung dịch hồ tinh bột (TS). Mỗi ml dung dịch iod 0,1 N tương đương với 3,203 mg SO2. |
|
|
Phụ lục 13 YÊU CẦU KỸ THUẬT VÀ PHƯƠNG PHÁP THỬ ĐỐI VỚI NATRI META BISULFIT |
|
|
|
1. Tên khác, chỉ số |
Sodium metabisulfite; INS 223 ADI = 0 - 0,7mg/kg thể trọng tính theo SO2 |
|
|
2. Định nghĩa |
|
|
|
Tên hóa học |
Natri disulfit, dinatri pentaoxodisulfat, dinatri pyrosulfit |
|
|
Mã số C.A.S. |
7681-57-4 |
|
|
Công thức hóa học |
Na2S2O5 |
|
|
Khối lượng phân tử |
190,11 |
|
|
3. Cảm quan |
Bột tinh thể hoặc tinh thể trắng có mùi đặc trưng của lưu huỳnh dioxyd. |
|
|
4. Chức năng |
Chất tẩy trắng, chất chống oxy hóa, chất xử lý bột, chất bảo quản |
|
|
5. Yêu cầu kỹ thuật |
||
|
5.1. Định tính |
|
|
|
Độ tan |
Dễ tan trong nước, khó tan trong ethanol. |
|
|
Natri |
Phải có phản ứng đặc trưng của natri. |
|
|
Sulfit |
Phải có phản ứng đặc trưng của sulfit. |
|
|
5.2. Độ tinh khiết |
|
|
|
Tạp chất không tan trong nước |
Đạt yêu cầu (mô tả trong phần Phương pháp thử). |
|
|
pH |
Dung dịch 1/10 phải có pH trong khoảng 4,0-4,5. |
|
|
Thiosulfat |
Không được quá 0,1%. |
|
|
Sắt |
Không được quá 10,0 mg/kg. |
|
|
Chì |
Không được quá 2,0 mg/kg. |
|
|
Selen |
Không được quá 5,0 mg/kg. |
|
|
5.3. Hàm lượng Na2S2O5 |
Không được thấp hơn 90,0% |
|
|
6. Phương pháp thử |
||
|
6.1. Định tính |
|
|
|
Natri |
- Thử theo JECFA monograph 1 - Vol. 4. |
|
|
Sulfit |
- Thử theo JECFA monograph 1 - Vol. 4. |
|
|
6.2. Độ tinh khiết |
|
|
|
Tạp chất không tan trong nước |
Hoà tan 20g mẫu thử trong 200 ml nước cất, dung dịch phải trong, chỉ được phép có rất ít cặn lơ lửng. |
|
|
Thiosulfat |
Dung dịch mẫu thử 10% sau khi acid hóa bằng acid sulfuric hoặc acid hydrocloric phải trong |
|
|
Sắt |
- Thử theo JECFA monograph 1 - Vol. 4. - Sử dụng 0,5 ml dung dịch chuẩn (5mg Fe) làm đối chứng. |
|
|
Chì |
- Thử theo JECFA monograph 1 - Vol. 4. - Xác định bằng kỹ thuật quang phổ hấp thụ nguyên tử thích hợp cho hàm lượng qui định. Lựa chọn cỡ mẫu thử và phương pháp chuẩn bị mẫu dựa trên nguyên tắc của phương pháp mô tả trong JECFA monograph 1 - Vol. 4 phần các phương pháp phân tích công cụ. |
|
|
Selen |
Thuốc thử: Acid hydrocloric, hydrazin sulfat, dung dịch chuẩn selen (100 mg Se/ml) Tiến hành: Cân 2,0 ± 0,1 g mẫu thử, cho vào cốc có mỏ 50 ml. Thêm 10ml nước cất, 5 ml acid hydrocloric và đun sôi để đuổi hết SO2. Cân 1,0 ± 0,1 g mẫu thử, cho vào một cốc có mỏ khác, thêm 0,05 ml dung dịch selen chuẩn và tiến hành như trên. Thêm vào mỗi cốc 2 g hydrazin sulfat và đun nhẹ để hòa tan. Để yên trong 5 phút. Pha loãng dung dịch trong các cốc thành 50 ml trong các ống so màu Nessler, so sánh màu của 2 ống. Màu hồng của ống thử phải nhạt hơn màu của ống chứng (có thêm chuẩn). |
|
|
6.3. Định lượng |
|
|
|
|
Cân 0,2 g mẫu thử, chính xác đến mg, cho vào bình có nút thủy tinh và thêm 50 ml dung dịch iod 0,1 N, đậy nút. Để yên trong 5 phút, thêm 1 ml acid hydrocloric, chuẩn độ iod dư bằng dung dịch natri thiosulfat 0,1 N với chỉ thị là dung dịch hồ tinh bột (TS). Mỗi ml dung dịch iod 0,1 N tương đương với 4,753 mg Na2S2O5. |
|
|
Phụ lục 14 YÊU CẦU KỸ THUẬT VÀ PHƯƠNG PHÁP THỬ ĐỐI VỚI KALI META BISULFIT |
|
|
|
1. Tên khác, chỉ số |
Potassium metabisulfite; INS 224 ADI=0 - 0,7 mg/kg thể trọng tính theo SO2 |
|
|
2. Định nghĩa |
|
|
|
Tên hóa học |
Kali disulfit, kali pentaoxodisulfat, kali pyrosulfit |
|
|
Mã số C.A.S. |
16731-55-8 |
|
|
Công thức hóa học |
K2S2O5 |
|
|
Khối lượng phân tử |
222,33 |
|
|
3. Cảm quan |
Hạt, bột tinh thể hoặc tinh thể không màu, trơn chảy, thường có mùi đặc trưng của lưu huỳnh dioxyd. |
|
|
4. Chức năng |
Chất tẩy trắng, chất chống oxy hóa, chất bảo quản |
|
|
5. Yêu cầu kỹ thuật |
||
|
5.1. Định tính |
|
|
|
Độ tan |
Tan trong nước, không tan trong ethanol. |
|
|
Kali |
Phải có phản ứng đặc trưng của kali. |
|
|
Sulfit |
Phải có phản ứng đặc trưng của sulfit. |
|
|
5.2. Độ tinh khiết |
|
|
|
Tạp chất không tan trong nước |
Đạt yêu cầu (mô tả trong phần Phương pháp thử). |
|
|
Thiosulfat |
Không được quá 0,1%. |
|
|
Sắt |
Không được quá 10,0 mg/kg. |
|
|
Chì |
Không được quá 2,0 mg/kg. |
|
|
Selen |
Không được quá 5,0 mg/kg. |
|
|
5.3. Hàm lượng K2S2O5 |
Không được thấp hơn 90,0% |
|
|
6. Phương pháp thử |
||
|
6.1. Định tính |
|
|
|
Kali |
Phải có phản ứng đặc trưng của kali. |
|
|
Sulfit |
Phải có phản ứng đặc trưng của sulfit. |
|
|
6.2. Độ tinh khiết |
|
|
|
Tạp chất không tan trong nước |
Hoà tan 20 g mẫu thử trong 200 ml nước cất, dung dịch phải trong, chỉ được phép có rất ít cặn lơ lửng. |
|
|
Thiosulfat |
Dung dịch mẫu thử 10% không được thay đổi độ trong sau khi acid hóa bằng acid sulfuric hoặc acid hydrocloric. |
|
|
Sắt |
- Thử theo JECFA monograph 1 - Vol. 4. - Sử dụng 0,5 ml dung dịch chuẩn (5 mg Fe) làm đối chứng. |
|
|
Chì |
- Thử theo JECFA monograph 1 - Vol. 4. - Xác định bằng kỹ thuật quang phổ hấp thụ nguyên tử thích hợp cho hàm lượng qui định. Lựa chọn cỡ mẫu thử và phương pháp chuẩn bị mẫu dựa trên nguyên tắc của phương pháp mô tả trong JECFA monograph 1 - Vol. 4 phần các phương pháp phân tích công cụ. |
|
|
Selen |
Thuốc thử: Acid hydrocloric, hydrazin sulfat, dung dịch chuẩn selen (100 mg Se/ml) Tiến hành: Cân 2,0 ± 0,1 g mẫu thử, cho vào cốc có mỏ 50 ml. Thêm 10 ml nước cất, 5 ml acid hydrocloric và đun sôi để đuổi hết SO2. Cân 1,0 ± 0,1 g mẫu thử, cho vào một cốc có mỏ khác, thêm 0,05 ml dung dịch selen chuẩn và tiến hành như trên. Thêm vào mỗi cốc 2 g hydrazin sulfat và đun nhẹ để hòa tan. Để yên trong 5 phút. Pha loãng dung dịch trong các cốc thành 50 ml trong các ống so màu Nessler, so sánh màu của 2 ống. Màu hồng của ống thử phải nhạt hơn màu của ống chứng (có thêm chuẩn). |
|
|
6.3. Định lượng |
|
|
|
|
Cân 250 mg mẫu thử cho vào bình có nút thủy tinh và thêm 50 ml dung dịch iod 0,1 N, đậy nút. Để yên trong 5 phút, thêm 1 ml dung dịch acid hydrocloric loãng (TS), chuẩn độ iod dư bằng dung dịch natri thiosulfat 0,1 N với chỉ thị là dung dịch hồ tinh bột (TS). Mỗi ml dung dịch iod 0,1 N tương đương với 5,558 mg K2S2O5. |
|
|
Phụ lục 15 YÊU CẦU KỸ THUẬT VÀ PHƯƠNG PHÁP THỬ ĐỐI VỚI KALI SULFIT |
|
|
|
1. Tên khác, chỉ số |
Potassium sulfite; INS 225 ADI=0 - 0,7 mg/kg thể trọng tính theo SO2 |
|
|
2. Định nghĩa |
|
|
|
Tên hóa học |
Kali sulfit |
|
|
Mã số C.A.S. |
10117-38-1 |
|
|
Công thức hóa học |
K2SO3 |
|
|
Khối lượng phân tử |
158,25 |
|
|
3. Cảm quan |
Bột hoặc hạt màu trắng, không mùi. |
|
|
4. Chức năng |
Chất tẩy trắng, chất chống oxy hóa, chất bảo quản |
|
|
5. Yêu cầu kỹ thuật |
||
|
5.1. Định tính |
|
|
|
Độ tan |
Dễ tan trong nước, ít tan trong ethanol |
|
|
Kali |
Phải có phản ứng đặc trưng của kali. |
|
|
Sulfit |
Phải có phản ứng đặc trưng của sulfit. |
|
|
5.2. Độ tinh khiết |
|
|
|
Tính kiềm |
Từ 0,25 đến 0,45% tính theo K2CO3. |
|
|
Sắt |
Không được quá 10,0 mg/kg. |
|
|
Chì |
Không được quá 2,0 mg/kg. |
|
|
Selen |
Không được quá 5,0 mg/kg. |
|
|
5.3. Hàm lượng K2SO3 |
Không được thấp hơn 90,0% |
|
|
6. Phương pháp thử |
||
|
6.1. Định tính |
|
|
|
Kali |
Thử theo JECFA monograph 1 - Vol. 4. |
|
|
Sulfit |
Thử theo JECFA monograph 1 - Vol. 4. |
|
|
6.2. Độ tinh khiết |
|
|
|
Tính kiềm |
Hoà tan 1 g mẫu thử trong 20 ml nước cất, thêm 25 ml dung dịch hydrogen peroxyd 3% đã được trung hoà sử dụng chỉ thị là dung dịch đỏ methyl (TS). Trộn kỹ, để nguội về nhiệt độ phòng và chuẩn độ bằng acid hydrocloric 0,02 N. Tiến hành mẫu trắng sử dụng 25 ml dung dịch hydrogen peroxyd đã được trung hoà. Mỗi ml acid hydrocloric tương đương với 1,38 mg K2CO3 |
|
|
Sắt |
- Thử theo JECFA monograph 1 - Vol. 4. - Sử dụng 0,5 ml dung dịch chuẩn (5 mg Fe) làm đối chứng. |
|
|
Chì |
- Thử theo JECFA monograph 1 - Vol. 4. - Xác định bằng kỹ thuật quang phổ hấp thụ nguyên tử thích hợp cho hàm lượng qui định. Lựa chọn cỡ mẫu thử và phương pháp chuẩn bị mẫu dựa trên nguyên tắc của phương pháp mô tả trong JECFA monograph 1 - Vol. 4 phần các phương pháp phân tích công cụ. |
|
|
Selen |
Thuốc thử: Acid hydrocloric, hydrazin sulfat, dung dịch chuẩn selen (100 mg Se/ml) Tiến hành: Cân 2,0 ± 0,1 g mẫu thử, cho vào cốc có mỏ 50 ml. Thêm 10 ml nước cất, 5 ml acid hydrocloric và đun sôi để đuổi hết SO2. Cân 1,0 ± 0,1 g mẫu thử, cho vào một cốc có mỏ khác, thêm 0,05 ml dung dịch selen chuẩn và tiến hành như trên. Thêm vào mỗi cốc 2 g hydrazin sulfat và đun nhẹ để hòa tan. Để yên trong 5 phút. Pha loãng dung dịch trong các cốc thành 50 ml trong các ống so màu Nessler, so sánh màu của 2 ống. Màu hồng của ống thử phải nhạt hơn màu của ống chứng (có thêm chuẩn). |
|
|
6.3. Định lượng |
|
|
|
|
Cân khoảng 0,75 g mẫu thử, chính xác đến mg, hoà tan trong hỗn hợp gồm 100 ml dung dịch iod 0,1 N và 5 ml dung dịch acid hydrocloric loãng (TS). Chuẩn độ iod dư bằng dung dịch natri thiosulfat 0,1 N với chỉ thị là dung dịch hồ tinh bột (TS). Mỗi ml dung dịch iod 0,1 N tương đương với 7,912 mg K2SO3. |
|
|
|
Phụ lục 16 YÊU CẦU KỸ THUẬT VÀ PHƯƠNG PHÁP THỬ ĐỐI VỚI NISIN |
|
||||
|
1. Tên khác, chỉ số |
INS 234 |
|
||||
|
2. Định nghĩa |
Nisin là hỗn hợp của các polypeptid gần nhau có tính kháng khuẩn được sản sinh bởi chủng vi khuẩn Lactococcus lactis subsp.lactis, theo một vài công nghệ khác nhau. Nisin bao gồm nisin và muối NaCl với hoạt độ không ít hơn 900 đơn vị/mg. Chế phẩm Nisin ổn định ở nhiệt độ môi trường xung quanh và khi đun nóng trong môi trường acid (ổn định tối ưu ở pH = 3). |
|
||||
|
Mã số C.A.S. |
1414-45-5 |
|
||||
|
Công thức hóa học |
C143H230N42O37S7 |
|
||||
|
Công thức cấu tạo |
|
|
||||
|
|
Abu : acid alpha-aminobutyric, Dha : dehydroalanin, Dhb : dehydrobutyrin |
|
||||
|
Khối lượng phân tử |
Khoảng 3.354 |
|
||||
|
3. Cảm quan |
Bột mịn, màu trắng đến màu nâu sáng |
|
||||
|
4. Chức năng |
Chất bảo quản chống vi sinh vật |
|
||||
|
5. Yêu cầu kỹ thuật |
|
|||||
|
5.1. Định tính |
|
|
||||
|
Độ tan |
Tan trong nước và không tan trong các dung môi không phân cực |
|
||||
|
Phân biệt với các chất kháng khuẩn khác |
Phải có phản ứng đặc trưng khác biệt với các chất kháng khuẩn khác |
|
||||
|
5.2. Độ tinh khiết |
|
|
||||
|
Giảm khối lượng khi sấy khô |
Không được quá 3,0% (sấy ở 1050C trong 2 giờ). |
|
||||
|
Chì |
Không được quá 1,0 mg/kg. |
|
||||
|
Chỉ tiêu vi sinh |
Salmonella : Không được có trong 25 g mẫu Coliforms tổng số: Không được quá 30/g Escherichia coli: Không được có trong 25 g mẫu |
|
||||
|
5.3. Hàm lượng |
Không được nhỏ hơn 900 IU nisin/mg và không được nhỏ hơn 50% muối NaCl |
|
||||
|
6. Phương pháp thử |
|
|||||
|
6.1. Định tính |
|
|
||||
|
Phân biệt với các chất kháng khuẩn khác
|
- Độ bền vững trong môi trường acid: Cho 100 mg mẫu vào trong dung dịch HCl 0,02N được mô tả trong phần “Dung dịch chuẩn” của phần Định lượng. Đun sôi dung dịch này trong thời gian 5 phút. Sử dụng phương pháp định lượng dưới đây để xác định hoạt độ nisin. Xử lý nhiệt không làm giảm hoạt độ nisin. Nồng độ nisin tính toán trong mẫu đã đun sôi là 100% ± 5% giá trị định lượng. Điều chỉnh pH của dung dịch nisin tới giá trị pH = 11 bằng cách thêm dung dịch NaOH 5N. Gia nhiệt dung dịch ở 650C trong 30 phút, sau đó làm nguội. Điều chỉnh đến pH = 2 bằng cách nhỏ vào từng giọt dung dịch HCl. Xác định lại nồng độ nisin sử dụng phương pháp định lượng được miêu tả dưới đây. Hoạt tính kháng khuẩn của nisin mất hoàn toàn thấy rõ sau quá trình xử lý này. - Khả năng tồn tại của vi khuẩn Lactococcus lactis trong môi trường có nồng độ nisin cao: Chuẩn bị nhân giống Lactococcus lactis (ATCC 11454, NCIMB 8596) trong sữa đã tách chất béo tiệt trùng (chất béo sữa < 1%) và ủ ấm trong 18 giờ, nhiệt độ 300C. Chuẩn bị một hoặc nhiều bình tam giác chứa 100 ml sữa quì, tiệt trùng ở nhiệt độ 1210C trong 15 phút. Cho 0,1 g mẫu vào sữa quì đã được tiệt trùng và để ở nhiệt độ phòng trong 2 giờ. Thêm vào 0,1 ml môi trường L.lactis và ủ ở 300C trong 24 giờ. Vi khuẩn L.lactis sẽ phát triển trong dịch mẫu có nồng độ khoảng 1.000 IU/ml; tuy nhiên, vi khuẩn L.lactis sẽ không phát triển ở các nồng độ tương tự của các chất kháng khuẩn khác. Phép thử này không phân biệt được nisin và subtilin. |
|
||||
|
6.2 Độ tinh khiết |
|
|
||||
|
Chì |
- Thử theo JECFA monograph 1 - Vol. 4. - Xác định bằng kỹ thuật quang phổ hấp thụ nguyên tử thích hợp cho hàm lượng qui định. Lựa chọn cỡ mẫu thử và phương pháp chuẩn bị mẫu dựa trên nguyên tắc của phương pháp mô tả trong JECFA monograph 1 - Vol. 4 phần các phương pháp phân tích công cụ. |
|
||||
|
6.2. Định lượng |
|
|
||||
|
Nisin (theo phương pháp của Friedman và Epstein, J.Gen. Microbiol.5: 830, 1951) |
Chuẩn bị vi khuẩn thử: Chuyển Lactococcus lactis sbsp .cremoris (ATCC 14365, NCDO 495) được nuôi cấy hàng ngày trong sữa đã tách chất béo tiệt trùng vào bình McCartney có chứa sữa quì bằng que cấy và ủ ở nhiệt độ 300C. Chuẩn bị sữa đã chứa vi khuẩn cho phép thử bằng cách cấy 2% dịch nuôi vi khuẩn 24h vào lượng tỷ lệ phù hợp sữa đã tách béo tiệt trùng, đặt vào bể điều nhiệt ở 300C trong 90 phút. Sau đó mang dùng ngay. |
|
||||
|
|
|
|||||
|
|
Dung dịch chuẩn gốc: Hoà tan một lượng nisin chuẩn được cân chính xác trong dung dịch acid HCl 0,02N để tạo dung dịch 5.000 đơn vị/ml. Ngay trước khi dùng, pha loãng dung dịch này bằng acid HCl 0,02 N tạo dung dịch 50 đơn vị/ml (Lưu ý: Chế phẩm nisin của hãng Sigma, St Louis, USA hoặc Fluka gồm có 2,5% nisin, hoạt độ tối thiểu 106 IU/g, có thể sử dụng làm dung dịch chuẩn gốc tương tự, là chế phẩm có tên Nisaplin của hãng Daniscom, Copenhagen, Đan Mạch). Dung dịch mẫu: Cân một lượng mẫu đủ để đảm bảo rằng các ống tương ứng Dung dịch resazurin: Phải chuẩn bị dung dịch resazurin 0,0125% trong nước ngay trước khi dùng Cách tiến hành: Dùng pipet hút các thể tích (0,60; 0,55; 050; 0,45; 0,41; 0,38; 0,34; 0,31; 0,28; 0,26 ml) của dung dịch mẫu 50 đơn vị/ml và dung dịch chuẩn cho vào các hàng 10 ống thử vi sinh đã được làm khô, kích thước ống 6 x 5/8 inch. Bổ sung 4,6 ml sữa đã chứa vi khuẩn vào từng ống bằng thiết bị pipet tự động. Cho thêm sữa đã chứa vi khuẩn vào từng hàng ống có cùng nồng độ không đáng kể trừ hàng có 10 ống. Đặt các ống vào bể điều nhiệt ở nhiệt độ 300C trong 15 phút, sau đó làm nguội trong bể nước đá, cùng lúc đó thêm vào 1 ml dung dịch resazurin cho mỗi ống. Việc thêm vào đó được thực hiện bởi thiết bị pipet tự động. Lắc đều các ống. Tiếp đó ủ ở nhiệt độ 300C, thời gian 3 – 5 phút trong bể điều nhiệt . Kiểm tra các ống bằng ánh sáng huỳnh quang trong buồng tối. Ống mẫu có nồng độ cao nhất phân biệt rõ trước tiên thông qua màu sắc (chẳng hạn như chuyển từ màu xanh sang màu hoa cà) được so sánh với các ống trong dòng chuẩn để tìm ra được sự đồng màu nhất. Tìm sự phù hợp ở hai nồng độ thấp hơn kế tiếp của mẫu và chuẩn. Nội suy sự phù hợp ở các bước pha loãng một nửa. Khi các ống chuẩn đã biết hàm lượng nisin thì sẽ tính được nồng độ nisin trong dung dịch mẫu. Có được 3 nồng độ của dung dịch và trung bình của chúng. Tính hoạt độ của chế phẩm theo đơn vị IU/g. |
|
||||
|
|
|
|||||
|
|
|
|||||
|
|
|
|||||
|
|
|
|||||
|
|
|
|||||
|
|
|
|||||
|
|
|
|||||
|
|
|
|||||
|
NaCl |
Cân chính xác 100 mg mẫu cho vào một bát sứ. Thêm 100 ml nước, 2 ml dung dịch dextrin 2% và 1 ml dung dịch diclorofluorescein 0,1%. Trộn đều và chuẩn độ bằng dung dịch AgNO3 0,1N cho đến khi AgCl kết vón lại và hỗn hợp có màu hồng nhạt. NaCl (% theo trọng lượng) được tính theo công thức sau: |
|
||||
|
|
|
|
||||
|
|
Trong đó: V: Thể tích dung dịch AgNO3 dùng để chuẩn độ (ml) N: Nồng độ đương lượng của dung dịch AgNO3 58,5 : Khối lượng phân tử của NaCl W: Khối lượng mẫu (mg) |
|
||||
|
Phụ lục 17 YÊU CẦU KỸ THUẬT VÀ PHƯƠNG PHÁP THỬ ĐỐI VỚI HEXAMETHYLEN TETRAMIN |
|
|
|
1. Tên khác, chỉ số |
Hexamethylenetertramine; Hexamine; Methenamine INS 239 ADI = 0 - 0,15 mg/kg thể trọng. |
|
|
2. Định nghĩa |
|
|
|
Tên hóa học |
1,3,5,7-tetraazatricylo[3.3.1.13,7]-decan; hexamethylen- tetramin |
|
|
Mã số C.A.S. |
100-97-0 |
|
|
Công thức hóa học |
C6H12N4 |
|
|
Công thức cấu tạo |
|
|
|
Khối lượng phân tử |
140,19 |
|
|
3. Cảm quan |
Tinh thể không màu, bóng sáng, gần như không mùi hoặc bột tinh thể màu trắng. |
|
|
4. Chức năng |
Chất bảo quản chống vi sinh vật. |
|
|
5. Yêu cầu kỹ thuật |
||
|
5.1. Định tính |
|
|
|
Độ tan |
Dễ tan trong nước, tan được trong ethanol. |
|
|
Formaldehyd |
Phải có phản ứng đặc trưng của formaldehyd. |
|
|
Amoni |
Phải có phản ứng đặc trưng của amoni. |
|
|
5.2. Độ tinh khiết |
|
|
|
Giảm khối lượng khi làm khô |
Không được quá 2,0%. |
|
|
Tro sulfat |
Không được quá 0,05%. |
|
|
Các muối amoni |
Đạt yêu cầu (mô tả trong phần Phương pháp thử). |
|
|
Chì |
Không được quá 2,0 mg/kg. |
|
|
5.3. Hàm lượng C6H12N4 |
Không thấp hơn 99,0% tính theo chế phẩm đã sấy khô. |
|
|
6. Phương pháp thử |
||
|
6.1. Định tính |
|
|
|
Formaldehyd |
Đun nóng dung dịch mẫu thử 1/10 với dung dịch acid hydrocloric loãng (TS). Formaldehyd được giải phóng, nhận biết qua mùi của nó và tính chất làm đen giấy tẩm dung dịch bạc amoni nitrat (TS). |
|
|
Amoni |
Thử theo JECFA monograph 1 - Vol. 4. |
|
|
6.2. Độ tinh khiết |
|
|
|
Giảm khối lượng khi làm khô |
Thử theo JECFA monograph 1 - Vol. 4 (làm khô trên P2O5 trong 4 giờ). |
|
|
Tro sulfat |
Thử theo JECFA monograph 1 - Vol. 4, phương pháp I (cân 2 g mẫu). |
|
|
Các muối amoni |
Thêm 1 ml thuốc thử Nessler (TS) vào 10 ml dung dịch mẫu thử 5%. Màu của dung dịch không được thẫm hơn màu của hỗn hợp 1 ml thuốc thử Nessler (TS) trong 10 ml nước. |
|
|
Chì |
- Thử theo JECFA monograph 1 - Vol. 4. - Xác định bằng kỹ thuật quang phổ hấp thụ nguyên tử thích hợp cho hàm lượng qui định. Lựa chọn cỡ mẫu thử và phương pháp chuẩn bị mẫu dựa trên nguyên tắc của phương pháp mô tả trong JECFA monograph 1 - Vol. 4 phần các phương pháp phân tích công cụ. |
|
|
6.3. Định lượng |
|
|
|
|
Cân 1 g (chính xác đến 0,1 mg) mẫu thử đã được làm khô trước trong 4 giờ trên P2O5. Cho vào cốc và thêm 40,0 ml acid sulfuric 1 N. Đun nhẹ và thêm nước từ từ (nếu cần) đến khi không thấy còn mùi formaldehyd. Làm mát, thêm 20 ml nước, dung dịch đỏ methyl (TS) và chuẩn độ acid dư bằng natri hydroxyd 1 N. Mỗi ml acid sulfuric 1 N tương đương với 35,05 mg C6H12N4. |
|
|
Phụ lục 18 YÊU CẦU KỸ THUẬT VÀ PHƯƠNG PHÁP THỬ ĐỐI VỚI DIMETHYL DICARBONAT |
|
|
|
1. Tên khác, chỉ số |
Dimethyl dicarbonate; DMDC, dimethyl pyrocarbonat INS 242 |
|
|
2. Định nghĩa |
|
|
|
Tên hóa học |
Dimethyl dicarbonat |
|
|
Mã số C.A.S. |
004-525-33-1 |
|
|
Công thức hóa học |
C4H6O5 |
|
|
Công thức cấu tạo |
|
|
|
Khối lượng phân tử |
139,09 |
|
|
3. Cảm quan |
Dạng lỏng không màu. Chú ý: có tính ăn mòn với mắt và da, gây độc qua đường hô hấp và tiêu hóa. Phải bảo quản trong bao bì kín để tránh ẩm. |
|
|
4. Chức năng |
Chất bảo quản |
|
|
5. Yêu cầu kỹ thuật |
||
|
5.1. Định tính |
|
|
|
Độ tan |
Tan trong nước kèm theo phân hủy, có thể hòa lẫn với toluen. |
|
|
Hấp thụ hồng ngoại |
Phổ hồng ngoại của mẫu phải tương ứng với phổ chuẩn ở phần phụ lục. |
|
|
5.2. Độ tinh khiết |
|
|
|
Dimethyl carbonat |
Không được quá 0,2%. |
|
|
Chì |
Không được quá 2,0 mg/kg. |
|
|
5.3. Hàm lượng C4H6O5 |
Không được thấp hơn 99,8% |
|
|
6. Phương pháp thử |
||
|
6.1. Độ tinh khiết |
|
|
|
Dimethyl carbonat |
Thiết bị: Máy sắc ký khí với detector ion hóa ngọn lửa (FID), cột sắc ký mao quản, bộ phận inlet cho kỹ thuật "on column" (VD Carlo Erba Fraktovap 4160, hoặc Hewlett-Packard 5880 hoặc 5792 hoặc các thiết bị khác tương đương). - Cột mao quản: 50 m SE 30-D (đường kính trong 0,3 mm). - Máy ghi (đo) thế, 1mV - Microsyring với kim tiêm thạch anh, dung tích 0,01ml, phù hợp Điều kiện hoạt động của thiết bị Nhiệt độ: - Buồng bơm mẫu: nhiệt độ phòng ~25oC. - Deterctor: 200oC. - Cột: Nhiệt độ ban đầu 30oC; giữ nhiệt độ trong 5 phút, sau đó tăng nhiệt độ lên 120oC với tốc độ 40oC/phút, giữ tại 120oC trong 5 phút. Khí mang: - Áp suất van sơ cấp: 3,0 bar (heli) - Tốc độ dòng qua cột: 11 ml/phút - Tốc độ dòng khí make up: 28ml/phút - Tốc độ khí hydro: 35 ml/phút - Tốc độ không khí nén: 300 ml/phút Tốc độ máy ghi: 1 cm/phút Thuốc thử: Methylisobutylketon, tinh khiết sắc ký. Tiến hành: Cân khoảng 10 g mẫu, chính xác đến mg (lượng cân chính xác là w1 mg), cho vào 1 lọ đựng mẫu. Thêm 1 lượng (W2 mg) dimethyl-isobutyl keton tương đương với hàm lượng ước đoán của dimethyl carbonat. Đậy kín lọ, lắc kỹ và bơm vào máy sắc ký 0,002 ml. Thời gian lưu thu được như sau: dimethyl carbonat: ~ 2 phút methyl-isobutyl keton: ~4,5 phút dimethyl-isobutyl keton: ~8 phút. Sắc ký đồ mẫu ở phần 7.2 Xác định diện tích pic, tính hàm lượng (%) dimethyl carbonat theo công thức:
trong đó: F1: Diện tích pic dimethyl carbonat F2: Diện tích pic chuẩn K: Hệ số hiệu chỉnh cho dimethyl carbonat Chú ý: 1. Dimethyl dicarbonat nhạy với độ ẩm và nhiệt. 2. Nếu pic sắc ký bị chẻ đôi trong những điều kiện sắc ký nào đó, diện tích pic được xác định bằng tổng diện tích của 2 pic. 3. Hệ số hiệu chỉnh đối với dimethyl carbonat được xác định khi đo dung dịch Dimethyl dicarbonat không chứa dimethyl carbonat. 4. Mẫu đã trộn chuẩn cần phân tích ngay. 5. Syring Hamilton với đầu kim bằng kim loại có thể gây ra sự phân hủy một phần Dimethyl dicarbonat. |
|
|
Chì |
- Thử theo JECFA monograph 1 - Vol. 4. - Xác định bằng kỹ thuật quang phổ hấp thụ nguyên tử thích hợp cho hàm lượng qui định. Lựa chọn cỡ mẫu thử và phương pháp chuẩn bị mẫu dựa trên nguyên tắc của phương pháp mô tả trong JECFA monograph 1 - Vol. 4 phần các phương pháp phân tích công cụ. |
|
|
6.2. Định lượng |
Lấy khoảng 70 ml aceton tinh khiết vào cốc thủy tinh dung tích 150 ml. Dùng syring lấy khoảng 1,0-1,3 g mẫu, mẫu cần cân chính xác đến 0,1 mg, cho vào cốc thủy tinh. Dùng pipet lấy chính xác 20 ml dung dịch dibutyl amin (thêm clorobenzen vào 120 g dibutyl amin đến đủ 1 l), cho vào cốc thủy tinh, khuấy đều. Chuẩn độ với acid hydrocloric 1 N, xác định điểm tương đương bằng đo thế. Tiến hành đồng thời một mẫu trắng. Tính hàm lượng dimethyl dicarbonat theo công thức sau:
trong đó: V1: Lượng acid hydrocloric chuẩn độ mẫu thử (ml) V2: Lượng acid hydrocloric chuẩn độ mẫu trắng (ml) t: Nồng độ dung dịch acid hydrocloric W: khối lượng mẫu (g) |
|
|
7. Phổ và sắc ký đồ đối chiếu |
||
|
7.1. Phổ hồng ngoại chuẩn |
|
|
|
7.2. Sắc ký đồ |
|
|
|
Phụ lục 19 YÊU CẦU KỸ THUẬT VÀ PHƯƠNG PHÁP THỬ ĐỐI VỚI ACID PROPIONIC |
|
|
|
1. Tên khác, chỉ số |
Propionic acid; acid propanoic; ethylformic acid; methylacetic acid INS 280 ADI “không giới hạn” |
|
|
2. Định nghĩa |
|
|
|
Tên hóa học |
Acid propionic |
|
|
Mã số C.A.S. |
79-09-4 |
|
|
Công thức phân tử |
C3H6O2 |
|
|
Công thức cấu tạo |
|
|
|
Khối lượng phân tử |
74,08 |
|
|
3. Cảm quan |
Dung dịch sánh, có mùi hăng nhẹ |
|
|
4. Chức năng |
Chất bảo quản, chống nấm, chống đặc quánh, hương liệu |
|
|
5. Yêu cầu kỹ thuật |
||
|
5.1. Định tính |
|
|
|
Độ tan |
Có thể trộn lẫn với nước và ethanol. |
|
|
Khối lượng riêng |
d2020 = 0,993 – 0,997. |
|
|
5.2. Độ tinh khiết |
|
|
|
Khoảng chưng cất |
138,5 - 142,5o. |
|
|
Cặn không bay hơi |
Không được quá 0,01% (khi sấy ở 1400C đến khối lượng không đổi) |
|
|
Acid formic |
Không được quá 0,1 %. |
|
|
Các aldehyd |
Không được quá 0,2 % (tính theo propionaldehyd) |
|
|
Chì |
Không được quá 2,0 mg/kg. |
|
|
5.3. Hàm lượng C3H6O2 |
Không thấp hơn 99,5% tính theo chế phẩm đã làm khô. |
|
|
6. Phương pháp thử |
||
|
6.1. Độ tinh khiết |
|
|
|
Acid formic |
Hòa tan 15 g natri hydroxyd trong 50 ml nước, làm nguội và thêm 6 ml nước brom, khuấy để hòa tan hoàn toàn, pha loãng bằng nước đến đủ 2000 ml. Lấy 25 ml dung dịch này vào một bình nón 250 ml nút mài có chứa 100 ml nước, thêm 10 ml dung dịch natri acetat 1/5 và 10,0 ml mẫu thử. Để yên 15 phút, thêm 5 ml dung dịch kali iodid 1/4 và 10 ml acid hydrocloric. Chuẩn độ bằng dung dịch natri thiosulfat 0,1 N đến khi dung dịch mất màu nâu. Tiến hành làm mẫu trắng song song. Sự chênh lệch giữa thể tích dung dịch natri thiosulfat 0,1 N chuẩn độ mẫu thử so với mẫu trắng không được quá 4,4 ml. |
|
|
Các aldehyd |
Chuyển 10,0 ml mẫu thử vào bình nón 250 ml nút mài đã chứa sẵn 50 ml nước và 10,0 ml dung dịch natri bisulfit 1/8. Đậy nút và lắc đều, để yên hỗn hợp trong 30 phút. Tiến hành làm mẫu trắng song song. Sau đó chuẩn độ mẫu trắng với dung dịch iod 0,1 N đến khi màu dung dịch bắt đầu có màu nâu và và tiếp tục chuẩn độ bình thử đến khi có màu tương đương với màu của bình trắng. Sự chênh lệch giữa thể tích dung dịch iod 0,1 N chuẩn độ mẫu thử so với mẫu trắng không được quá 7,0 ml. |
|
|
Chì |
- Thử theo JECFA monograph 1 - Vol. 4. - Xác định bằng kỹ thuật quang phổ hấp thụ nguyên tử thích hợp cho hàm lượng qui định. Lựa chọn cỡ mẫu thử và phương pháp chuẩn bị mẫu dựa trên nguyên tắc của phương pháp mô tả trong JECFA monograph 1 - Vol. 4 phần các phương pháp phân tích công cụ. |
|
|
6.2. Định lượng |
|
|
|
|
Cân khoảng 3 g (chính xác đến 0,1 mg) mẫu thử, hòa tan trong 50 ml nước trong bình 250 ml, thêm dung dịch phenolphtalein (TS) và chuẩn độ với dung dịch natri hydroxyd 1 N đến khi dung dịch bắt đầu có màu hồng nhạt bền trong 30 giây. Mỗi ml dung dịch natri hydroxyd 1 N tương đương với 74,08 mg C3H6O2. |
|
|
Phụ lục 20 YÊU CẦU KỸ THUẬT VÀ PHƯƠNG PHÁP THỬ ĐỐI VỚI NATRI PROPIONAT |
|
|
|
1. Tên khác, chỉ số |
Sodium propionate; Sodium propanoate; INS 281 ADI “không giới hạn” |
|
|
2. Định nghĩa |
|
|
|
Tên hóa học |
Natri propionat |
|
|
Mã số C.A.S. |
137-40-6 |
|
|
Công thức phân tử |
C3H5NaO2 |
|
|
Công thức cấu tạo |
|
|
|
Khối lượng phân tử |
96,06 |
|
|
3. Cảm quan |
Tinh thể trắng hoặc không màu, dễ hút ẩm, có mùi đặc trưng rất nhẹ. |
|
|
4. Chức năng |
Chất bảo quản, chống nấm, chống đặc quánh. |
|
|
5. Yêu cầu kỹ thuật |
||
|
5.1. Định tính |
|
|
|
Độ tan |
Dễ tan trong nước, tan được trong ethanol. |
|
|
Natri |
Phải có phản ứng đặc trưng của natri. |
|
|
Propionat |
Phải có phản ứng đặc trưng của propionat. |
|
|
Muối kiềm của acid hữu cơ |
Phải có phản ứng đặc trưng của muối kiềm của acid hữu cơ. |
|
|
5.2. Độ tinh khiết |
|
|
|
Giảm khối lượng khi làm khô |
Không được quá 4,0 %. |
|
|
pH |
Dung dịch mẫu thử 1/10 có pH trong khoảng 7,5 - 10,5. |
|
|
Chất không tan trong nước |
Không được quá 0,1 %. |
|
|
Sắt |
Không được quá 50,0 mg/kg. |
|
|
Chì |
Không được quá 5,0 mg/kg. |
|
|
5.3. Hàm lượng C3H6NaO2 |
Không thấp hơn 99,0% tính theo chế phẩm đã làm khô. |
|
|
6. Phương pháp thử |
||
|
6.1. Định tính |
|
|
|
Natri |
Thử theo JECFA monograph 1 - Vol. 4. |
|
|
Propionat |
Làm nóng mẫu bằng acid sulfuric ; acid propionic thoát ra có thể nhận biết bởi mùi đặc trưng. |
|
|
Muối kiềm của acid hữu cơ |
Nung mẫu thử ở nhiệt độ tương đối thấp. Cặn còn lại có tính kiềm và sủi bọt với acid. |
|
|
6.2. Độ tinh khiết |
|
|
|
Giảm khối lượng khi làm khô |
Thử theo JECFA monograph 1 - Vol. 4 (sấy tại 105o trong 2 giờ). |
|
|
Chất không tan trong nước |
Cân 5 g (chính xác đến mg) mẫu thử, cho vào cốc 100 ml và thêm 50 ml nước. Khuấy đến khi mẫu thử tan hoàn toàn. Lọc qua chén lọc Gooch đã cân bì (cân chính xác đến ±0,2 mg). Rửa cốc bằng 20 ml nước. Sấy khô chén lọc chứa phần không tan trong tủ sấy tại 60o đến khối lượng không đổi. để nguôi trong bình hút ẩm, cân và tính hàm lượng %. |
|
|
Sắt |
- Thử theo JECFA monograph 1 - Vol. 4. - Cân 0,5 g mẫu. Sử dụng 2,5 ml dung dịch sắt chuẩn (25 mg Fe) làm mẫu chứng. |
|
|
Chì |
- Thử theo JECFA monograph 1 - Vol. 4. - Xác định bằng kỹ thuật quang phổ hấp thụ nguyên tử thích hợp cho hàm lượng qui định. Lựa chọn cỡ mẫu thử và phương pháp chuẩn bị mẫu dựa trên nguyên tắc của phương pháp mô tả trong JECFA monograph 1 - Vol. 4 phần các phương pháp phân tích công cụ. |
|
|
6.3. Định lượng |
|
|
|
|
Cân khoảng 3 g (chính xác đến mg) mẫu thử đã được sấy khô tại 105o trong 1 giờ, thêm 200 ml dung dịch acid phosphoric 50%. Đun sôi trong 2 giờ, thu lấy dịch cất. Trong suốt quá trình cất, duy trì thể tích dịch trong bình cất khoảng 200 ml bằng cách bổ sung thêm nước qua một phễu nhỏ giọt. Chuẩn độ dịch cất với dung dịch natri hydroxyd 1 N, sử dụng chỉ thị là dung dịch phenolphtalein đến khi dung dịch bắt đầu có màu hồng nhạt bền trong 30 giây. Mỗi ml dung dịch natri hydroxyd 1 N tương đương với 96,06 mg C3H6NaO2. |
|
|
Phụ lục 21 YÊU CẦU KỸ THUẬT VÀ PHƯƠNG PHÁP THỬ ĐỐI VỚI NATRI THIOSULFAT |
|
|
|
1. Tên khác, chỉ số |
Sodium hyposulfite; INS 539 ADI = 0 - 0,7 mg/kg thể trọng |
|
|
2. Định nghĩa |
|
|
|
Tên hóa học |
Natri thiosulfat |
|
|
Mã số C.A.S. |
7772-98-7 |
|
|
Công thức hóa học |
Na2S2O3.5H2O |
|
|
Khối lượng phân tử |
248,17 |
|
|
3. Cảm quan |
Tinh thể không màu, hoặc bột tinh thể thô, chảy rữa trong không khí ẩm và lên hoa tại nhiệt độ > 33o trong không khí khô. |
|
|
4. Chức năng |
Chất bảo quản, chống biến màu, chất chống oxy hóa, chất tạo phức kim loại. |
|
|
5. Yêu cầu kỹ thuật |
||
|
5.1. Định tính |
|
|
|
Độ tan |
Rất dễ tan trong nước, không tan trong ethanol |
|
|
Hoạt tính khử |
Phải có phản ứng khử đặc trưng. |
|
|
Natri |
Phải có phản ứng đặc trưng của natri. |
|
|
Thiosulfat |
Phải có phản ứng đặc trưng của thiosulfat. |
|
|
5.2. Độ tinh khiết |
|
|
|
Giảm khối lượng khi làm khô |
32 - 37% (sấy tại 40-45o dưới chân không trong 16 giờ). |
|
|
Sắt |
Không được quá 10,0 mg/kg. |
|
|
Selen |
Không được quá 5,0 mg/kg. |
|
|
Chì |
Không được quá 2,0 mg/kg. |
|
|
5.3. Hàm lượng Na2S2O3 |
Không thấp hơn 99,0% tính theo chế phẩm đã làm khô. |
|
|
6. Phương pháp thử |
||
|
6.1. Định tính |
|
|
|
Hoạt tính khử |
Thêm vào ung dịch mẫu thử 1/10 và giọt dung dịch iod (TS). Màu của dung dịch iod sẽ mất. |
|
|
Natri |
Thử theo JECFA monograph 1 - Vol. 4. |
|
|
Thiosulfat |
Thử theo JECFA monograph 1 - Vol. 4. |
|
|
6.2. Độ tinh khiết |
|
|
|
Sắt |
- Thử theo JECFA monograph 1 - Vol. 4. - Sử dụng 0,5 ml dung dịch chuẩn sắt (5mg sắt) làm mẫu chứng. |
|
|
Selen |
Thuốc thử Acid hydrocloric, hydrazin sulfat, dung dịch chuẩn selen (100mg Se/ml). Tiến hành thử Cân 2 g ± 0,1 g mẫu thử, cho và cốc 50 ml. Cân 1 g ± 0,1 g mẫu thử, cho và một cốc thứ hai, thêm 0,05 ml dung dịch chuẩn selen Thêm và cả hai cốc: 10 ml nước, 5 ml acid hydrocloric và đun sôi để loại bỏ hết SO2; Sau đó thêm 2 g hydrazin sulfat và làm ấm dung dung dịch (trong cả 2 cốc) để hòa tan hoàn toàn. Pha loãng 2 dung dịch bằng nước đến đủ 50 ml và cho vào 2 ống Nessler, so màu hai dung dịch. Màu hồng của dung dịch mẫu nhạt hơn màu của dung dịch mẫu thêm chuẩn. |
|
|
Chì |
- Thử theo JECFA monograph 1 - Vol. 4. - Xác định bằng kỹ thuật quang phổ hấp thụ nguyên tử thích hợp cho hàm lượng qui định. Lựa chọn cỡ mẫu thử và phương pháp chuẩn bị mẫu dựa trên nguyên tắc của phương pháp mô tả trong JECFA monograph 1 - Vol. 4 phần các phương pháp phân tích công cụ. |
|
|
6.3. Định lượng |
|
|
|
|
Cân khoảng khoảng 0,5 g (chính xác đến mg) mẫu thử. Hòa tan trong 30 ml nước. Chuẩn độ với dung dịch iod 0,1 N, dùng chỉ thị là dung dịch hồ tình bột (TS). Tiến hành làm mẫu trắng song song. Mỗi ml dung dịch iod 0,1 N tương đương với 15,81 mg Na2S2O3. |
|

CỘNG HOÀ XÃ HỘI CHỦ NGHĨA VIỆT NAM
QUY CHUẨN KỸ THUẬT QUỐC GIA
VỀ PHỤ GIA THỰC PHẨM - CHẤT ỔN ĐỊNH
National technical regulation on Food Additive - Stabilizer
HÀ NỘI - 2010
Lời nói đầu
QCVN 4- :2010/BYT do Ban soạn thảo quy chuẩn kỹ thuật quốc gia về Phụ gia thực phẩm và chất hỗ trợ chế biến biên soạn, Cục An toàn vệ sinh thực phẩm trình duyệt và được ban hành theo Thông tư số …./2010/TT-BYT ngày …. tháng …. năm 2010 của Bộ trưởng Bộ Y tế.
QUY CHUẨN KỸ THUẬT QUỐC GIA
VỀ PHỤ GIA THỰC PHẨM - CHẤT ỔN ĐỊNH
National technical regulation on Food Additive – Stabilizer
I. QUY ĐỊNH CHUNG
1. Phạm vi điều chỉnh
Quy chuẩn kỹ thuật quốc gia (sau đây gọi tắt là Quy chuẩn) này quy định các yêu cầu kỹ thuật và quản lý về chất lượng, vệ sinh an toàn đối với các chất ổn định được sử dụng với mục đích làm phụ gia thực phẩm.
2. Đối tượng áp dụng
Quy chuẩn này áp dụng đối với:
2.1. Tổ chức, cá nhân nhập khẩu, xuất khẩu, sản xuất, buôn bán và sử dụng các chất ổn định làm phụ gia thực phẩm (sau đây gọi tắt là tổ chức, cá nhân).
2.2. Cơ quan quản lý nhà nước có liên quan.
3. Giải thích từ ngữ và chữ viết tắt:
3.1. Chất ổn định: là phụ gia thực phẩm được sử dụng với mục đích duy trì sự phân tán của hai hay nhiều thành phần nhằm tạo nên sự đồng nhất cho sản phẩm
3.2. JECFA monograph 1 - Vol. 4 (JECFA monographs 1 - Combined compendium of food addiditive specifications; Joint FAO/WHO expert committee on food additives; Volume 4 - Analytical methods, test procedures and laboratory solutions used by and referenced in the food additive specifications; FAO, 2006): Các yêu cầu kỹ thuật đối với phụ gia thực phẩm, Tập 4 Các phương pháp phân tích, quy trình thử nghiệm, dung dịch thử nghiệm được sử dụng (hoặc tham chiếu) trong yêu cầu kỹ thuật đối với phụ gia thực phẩm; JECFA biên soạn; FAO ban hành năm 2006.
3.3. Mã số C.A.S (Chemical Abstracts Service): Mã số đăng ký hóa chất của Hiệp hội Hóa chất Hoa Kỳ.
3.4. TS (test solution): Dung dịch thuốc thử.
3.5. ADI (Acceptable daily intake): Lượng ăn vào hàng ngày chấp nhận được.
3.6 MTDI (Maximum tolerable daily intake): Lượng ăn vào hàng ngày tối đa chịu đựng được.
3.7. INS (International numbering system): Hệ thống mã số quốc tế về phụ gia thực phẩm.
II. YÊU CẦU KỸ THUẬT, PHƯƠNG PHÁP THỬ VÀ LẤY MẪU
1. Yêu cầu kỹ thuật và phương pháp thử đối với các chất ổn định được quy định tại các phụ lục ban hành kèm theo Quy chuẩn này như sau:
|
1.1. |
Phụ lục 1: |
Yêu cầu kỹ thuật và phương pháp thử đối với Polyvinylpyrolidon |
|
1.2. |
Phụ lục 2: |
Yêu cầu kỹ thuật và phương pháp thử đối với calci lactat |
|
1.3. |
Phụ lục 3: |
Yêu cầu kỹ thuật và phương pháp thử đối với kali dihydrocitrat |
|
1.4. |
Phụ lục 4: |
Yêu cầu kỹ thuật và phương pháp thử đối với dinatri orthophosphat |
|
1.5. |
Phụ lục 5: |
Yêu cầu kỹ thuật và phương pháp thử đối với dikali orthophosphat |
|
1.6. |
Phụ lục 6: |
Yêu cầu kỹ thuật và phương pháp thử đối với tricalci orthophosphat |
|
1.7. |
Phụ lục 7: |
Yêu cầu kỹ thuật và phương pháp thử đối với amoni polyphosphat |
|
1.8. |
Phụ lục 8: |
Yêu cầu kỹ thuật và phương pháp thử đối với natri hydrogcarbonat |
|
1.9 |
Phụ lục 9 : |
Yêu cầu kỹ thuật và phương pháp thử đối với kali carbonat |
|
1.10 |
Phụ lục 10 : |
Yêu cầu kỹ thuật và phương pháp thử đối với amoni hydrocarbonat |
|
1.11 |
Phụ lục 11 : |
Yêu cầu kỹ thuật và phương pháp thử đối với kali clorid |
|
1.12 |
Phụ lục 12 : |
Yêu cầu kỹ thuật và phương pháp thử đối với monokali orthophosphat |
2. Yêu cầu kỹ thuật và phương pháp thử đối với calci carbonat sử dụng làm chất ổn định được quy định tại QCVN 3-4 :2010/BYT ban hành kèm theo Thông tư số 17/TT-BYT ngày 20/5/2010 của Bộ trưởng Bộ Y tế.
3. Các yêu cầu kỹ thuật quy định trong Quy chuẩn này được thử theo JECFA monograph 1 - Vol. 4, ngoại trừ một số phép thử riêng được mô tả trong các phụ lục. Các phương pháp thử được hướng dẫn trong Quy chuẩn này không bắt buộc phải áp dụng, có thể sử dụng các phương pháp thử khác tương đương.
4. Lấy mẫu theo hướng dẫn tại Thông tư 16/2009/TT-BKHCN ngày 02 tháng 6 năm 2009 của Bộ Khoa học và Công nghệ về hướng dẫn kiểm tra nhà nước về chất lượng hàng hóa lưu thông trên thị trường và các quy định khác của pháp luật có liên quan.
III. YÊU CẦU QUẢN LÝ
1. Công bố hợp quy
1.1. Các chất ổn định phải được công bố phù hợp với các quy định tại Quy chuẩn này.
1.2. Phương thức, trình tự, thủ tục công bố hợp quy được thực hiện theo Quy định về chứng nhận hợp chuẩn, chứng nhận hợp quy và công bố hợp chuẩn, công bố hợp quy ban hành kèm theo Quyết định số 24/2007/QĐ-BKHCN ngày 28 tháng 9 năm 2007 của Bộ trưởng Bộ Khoa học và Công nghệ và các quy định của pháp luật.
2. Kiểm tra đối với chất ổn định
Việc kiểm tra chất lượng, vệ sinh an toàn đối với các chất ổn định phải thực hiện theo các quy định của pháp luật.
IV. TRÁCH NHIỆM CỦA TỔ CHỨC, CÁ NHÂN
1. Tổ chức, cá nhân phải công bố hợp quy phù hợp với các quy định kỹ thuật tại Quy chuẩn này, đăng ký bản công bố hợp quy tại Cục An toàn vệ sinh thực phẩm và bảo đảm chất lượng, vệ sinh an toàn theo đúng nội dung đã công bố.
2. Tổ chức, cá nhân chỉ được nhập khẩu, xuất khẩu, sản xuất, buôn bán và sử dụng các chất ổn định sau khi hoàn tất đăng ký bản công bố hợp quy và bảo đảm chất lượng, vệ sinh an toàn, ghi nhãn phù hợp với các quy định của pháp luật.
V. TỔ CHỨC THỰC HIỆN
1. Giao Cục An toàn vệ sinh thực phẩm chủ trì, phối hợp với các cơ quan chức năng có liên quan hướng dẫn triển khai và tổ chức việc thực hiện Quy chuẩn này.
2. Căn cứ vào yêu cầu quản lý, Cục An toàn vệ sinh thực phẩm có trách nhiệm kiến nghị Bộ Y tế sửa đổi, bổ sung Quy chuẩn này.
3. Trường hợp hướng dẫn của quốc tế về phương pháp thử và các quy định của pháp luật viện dẫn trong Quy chuẩn này được sửa đổi, bổ sung hoặc thay thế thì áp dụng theo văn bản mới.
|
Phụ lục 1 YÊU CẦU KỸ THUẬT VÀ PHƯƠNG PHÁP THỬ ĐỐI VỚI POLYVINYLPYROLIDON |
|
|
|
1. Tên khác, chỉ số |
Povidone, PVP, Polyvinylpyrrolidone INS 1201 ADI = 0-50 mg/kg |
|
|
2. Định nghĩa |
|
|
|
Tên hóa học |
Polyvinylpyrolidon, poly-[1-(2-oxo-1-pyrolidinyl)- ethylen] |
|
|
Mã số C.A.S. |
9003-39-8 |
|
|
Công thức phân tử |
(C6H9NO)n |
|
|
Công thức cấu tạo |
|
|
|
Khối lượng phân tử |
Chế phẩm có dải khối lượng phân tử thấp: khoảng 40000. Chế phẩm có dải khối lượng phân tử cao: khoảng 360000. |
|
|
3. Cảm quan |
Bột trắng tới nâu nhạt, chế phẩm thương mại gồm 2 dạng khối lượng phân tử, giá trị khối lượng phân tử chung là trung bình cộng gia trị khối lượng phân tử của 2 dạng. |
|
|
4. Chức năng |
Tác nhân làm trong, chất ổn định, chất làm dày, tá dược viên nén, tác nhân phân tán. |
|
|
5. Yêu cầu kỹ thuật |
|
|
|
5.1. Định tính |
|
|
|
Độ tan |
Tan trong nước, ethanol và cloroform; không tan trong ether |
|
|
pH |
3,0 – 7,0 (dung dịch 5%) |
|
|
Tạo kết tủa |
Phải có phản ứng tạo kết tủa đặc trưng. |
|
|
5.2. Độ tinh khiết |
|
|
|
Nước |
Không được quá 5%. |
|
|
Độ nhớt tương đối
|
Từ 1,188 tới 1,325 đối với chế phẩm có khối lượng phân tử thấp, và từ 3,225 tới 5,662 đối với chế phẩm có khối lượng phân tử cao (mô tả trong phần Phương pháp thử). |
|
|
Tro toàn phần |
Không được quá 0,02%. |
|
|
Aldehyd |
Không được quá 0,2% (tính theo acetaldehyd) |
|
|
Hàm lượng monomer |
Không được quá 1,0% (tính theo vinylpyrolidon) (mô tả trong phần Phương pháp thử). |
|
|
Hydrazin
|
Không được quá 1,0 mg/kg (mô tả trong phần Phương pháp thử). |
|
|
Chì |
Không được quá 2,0 mg/kg. |
|
|
5.3. Hàm lượng Nitrogen |
Không được nhỏ hơn 12,2% và không quá 13,0% Nitrogen (N) tính theo chế phẩm khan. |
|
|
6. Phương pháp thử |
|
|
|
6.1 Định tính |
|
|
|
Tạo kết tủa |
Thêm 5 acid hydrocloric loãng (TT), 5 ml nước và 2 ml dung dịch kali dicromat 1/10 vào 5 ml dung dịch chế phẩm thử 1/50. Xuất hiện tủa vàng. Thêm 5 ml dung dịch chế phẩm thử 1/50 vào 75 mg cobalt nitrat và 0,3 g amoni thiocyanat đã hòa tan trong 2 ml nước, lắc đều và acid hóa bằng acid hydrocloric loãng (TT). Xuất hiện tủa màu xanh nhạt. Thêm 1 acid hydrocloric 25% (TT), 5 ml bari clorid 5% và 1 ml dung dịch acid phosphomolybdotungstic 5% vào 5 ml dung dịch chế phẩm thử 1/50. Khối tủa trắng lớn tạo thành, tủa này dần dần chuyển sang màu xanh khi để dưới ánh sáng ban ngày (Chú ý: sự xuất hiện màu xanh dưới ánh sáng ban ngày dùng để phân biệt polyvinylpyrolidon với polyethylen oxyd, chất này cho tủa tương tự với thuốc thử trên nhưng vẫn giữ nguyên màu trắng dưới ánh sáng ban ngày). |
|
|
6.2. Độ tinh khiết |
|
|
|
Nước |
- Thử theo hướng dẫn tại JECFA monograph 1 - Vol.4. - Phương pháp Karl Fischer. |
|
|
Độ nhớt tương đối
|
Cho một lượng cân chính xác mẫu thử, tương ứng với 1 g polyvinylpyrolidon khan, vào một bình nón 250 ml, và tính lượng nước thêm vào để thu được dung dịch 1%. Để hỗn hợp ở nhiệt độ phòng, thỉnh thoảng lắc, tới khi tan hoàn toàn, sau đó để yên trong 1 giờ nữa. Lọc qua phễu lọc xốp khô có lỗ lọc thô, sau đó cho 10 ml dịch lọc vào nhớt kế Cannon-Fenske, hoặc loại tương đương, và đặt nhớt kế vào trong nồi cách thủy duy trì nhiệt độ ở 25±0,05oC. Sau khi để dung dịch mẫu thử và pipet trong nồi cách thủy để làm ấm trong 10 phút, lấy dung dịch bằng cách hút lên rất nhẹ qua ống mao quản tới khi tạo thành mặt khum của chất lỏng từ 3 tới 4 mm trên vạch. Giảm từ từ chân không, và khi mặt khum của chất lỏng đạt tới vạch mức trên, bắt đầu tính thời gian chảy qua mao quản. Ghi chính xác thời gian khi mặt khum của chất lỏng đạt đến vạch mức dưới, và tính thời gian chảy chính xác tới 0,1 giây. Lặp lại phép thử này ít nhất 3 lần. Giá trị thu được phải không lệch quá 0,3 giây; nếu không, xác định lại với 10 ml dung dịch mẫu thử khác sau khi rửa ống đo độ nhớt bằng dung dịch rửa acid sulfuric-dicromat. Tính thời gian chảy trung bình của dung dịch mẫu thử, và sau đó, đo thời gian chảy trung bình theo cách tương tự của 10 ml nước lọc trên cùng ống đo độ nhớt. Tính độ nhớt tương đối bằng cách chia thời gian chảy trung bình của dung dịch mẫu thử cho thời gian chảy trung bình của nước. |
|
|
Tro toàn phần |
- Cân 10 g mẫu thử. - Thử theo hướng dẫn tại JECFA monograph 1 - Vol.4 |
|
|
Aldehyd
|
Cho khoảng 10 g mẫu thử, cân chính xác và hòa tan trong 300 ml nước, vào bình đáy tròn 1000 ml có chứa 80 ml acid sulfuric 25%, đun hồi lưu trong khoảng 45 phút dưới một ống sinh hàn làm lạnh bằng nước, và sau đó cất khoảng 100 ml vào bình hứng có 20 ml hydroxylamin hydroclorid 1 N trước đó đã được điều chỉnh tới pH 3,1. Chuẩn độ hỗn hợp trong bình chứa bằng natri hydroxyd 0,1 N tới pH 3,1, dùng máy đo pH. Tiến hành làm một mẫu trắng và hiệu chỉnh nếu cần. 1 ml natri hydroxyd 0,1 N tương đương với 4,405 mg C2H4O. |
|
|
Hàm lượng monomer
|
Hòa tan khoảng 4 g mẫu thử, cân chính xác, vào 30 ml nước trong bình đáy tròn 125 ml, thêm 0,5 g natri acetat, trộn đều và bắt đầu chuẩn độ bằng iod 0,1 N. Khi màu của iod không còn nhạt đi nữa, thêm 3,0 ml dung dịch chuẩn độ, để yên dung dịch trong khoảng 5 tới 10 phút. Thêm hồ tinh bột (TT), và chuẩn độ iod dư bằng natri thiosulfat 0,1 N. Song song tiến hành làm một mẫu trắng, sử dụng cùng thể tích iod 0,1 N, lấy chính xác, như mẫu thử. 1 ml iod 0,1 N tương ứng với 5,56 mg vinylpyrolidon. |
|
|
Hydrazin
|
Cho 2,5 g chế phẩm thử vào một ống ly tâm 50 ml, thêm 25 ml dung dịch salicylaldehyd 1/20 trong methanol, lắc xoáy, và đun nóng trong cách thủy ở 60oC trong 15 phút. Để nguội, thêm 2,0 ml toluen, đậy nắp ống ly tâm, lắc mạnh trong 2 phút, và ly tâm. Trên bản mỏng sắc ký thích hợp, được phủ lớp hỗn hợp silica gel dimethylsilan hóa dày 0,25 mm, chấm 10 µL lớp toluen trong phía trên trong ống ly tâm và 10 µL dung dịch chuẩn salicylaldazin trong toluen chứa 9,38 µg/ml. Để vết chấm khô, và khai triển trong hệ dung môi methanol và nước (2:1) tới khi tuyến dung môi đi được ba phần tư chiều dài của bản mỏng. Lấy bản mỏng ra khỏi bình triển khai, đánh dấu tuyến dung môi, và để cho dung môi bay hơi. Phát hiện vết trên bản mỏng dưới ánh sáng tử ngoại tại bước sóng 365 nm: vết salicylaldazin phát quang có giá trị Rf khoảng 0,3, và huỳnh quang của bất kỳ vết salicylaldazin của mẫu thử không được đậm hơn vết thu được của dung dịch chuẩn salicylaldazin (hydrazin 1 ppm). Dung dịch chuẩn Salicylaldazin: Hòa tan 300 mg hydrazin sulfat trong 5 ml dung dịch salicylaldehyd 20% (tt/tt) trong alcol isopropyl mới pha, lắc đều, và để yên tới khi xuất hiện tủa màu vàng. Chiết hỗn hợp hai lần, mỗi lần với 15 ml methylen clorid. Gộp dịch chiết methylen clorid, và làm khô trên natri sulfat khan. Gạn dung dịch methylen clorid, và cô tới khô. Kết tinh lại cắn salicylaldazin từ hỗn hợp toluen và methanol ấm (60:40) bằng cách làm lạnh; lọc và làm khô tinh thể trong chân không. Tinh thể có khoảng chảy từ 213oC tới 214oC. |
|
|
Chì |
- Thử theo JECFA monograph 1 - Vol.4. - Xác định bằng kỹ thuật quang phổ hấp thụ nguyên tử thích hợp cho hàm lượng quy định. Lựa chọn cỡ mẫu thử và phương pháp chuẩn bị mẫu dựa trên nguyên tắc của phương pháp mô tả tại JECFA monograph 1 - Vol.4 phần các phương pháp phân tích công cụ. |
|
|
6.3. Định lượng |
Tiến hành theo chỉ dẫn trong phần Xác định Nitrogen ở Vol.4, sử dụng khoảng 1 g chế phẩm thử, cân chính xác. |
|
|
Phụ lục 2 YÊU CẦU KỸ THUẬT VÀ PHƯƠNG PHÁP THỬ ĐỐI VỚI CALCI LACTAT |
|
|
|
1. Tên khác, chỉ số |
INS 327 ADI “không giới hạn” |
|
|
2. Định nghĩa |
|
|
|
Tên hóa học |
Calci dilactat, calci dilactat dihydrat, muối calci của acid 2-hydroxypropanoic |
|
|
Mã số C.A.S. |
814-80-2 |
|
|
Công thức phân tử |
C6H10CaO6.xH2O (x = 0 - 5) |
|
|
Công thức cấu tạo |
|
|
|
Khối lượng phân tử |
218,22 (dạng khan) |
|
|
3. Cảm quan |
Bột tinh thể hoặc hạt nhỏ màu trắng đến kem, hầu như không mùi. Dạng pentahydrat đôi khi có thể lên hoa. |
|
|
4. Chức năng |
Chất ổn định, đệm, thức ăn cho men |
|
|
5. Yêu cầu kỹ thuật |
||
|
5.1. Định tính |
|
|
|
Độ tan |
Tan trong nước, không tan trong ethanol. |
|
|
Lactat |
Phải có phản ứng đặc trưng của lactat. |
|
|
Calci |
Phải có phản ứng đặc trưng của calci. |
|
|
5.2. Độ tinh khiết |
|
|
|
Giảm khối lượng khi làm khô |
Không được quá 30%
|
|
|
pH |
Trong khoảng từ 6,0 - 8,0 (Dung dịch mẫu thử 1/20). |
|
|
Độ acid |
Đạt yêu cầu (mô tả trong phần Phương pháp thử). |
|
|
Muối magnesi và các muối kiềm |
Không được quá 1 %
|
|
|
Florid |
Không được quá 30 mg/kg |
|
|
Chì |
Không được quá 2 mg/kg |
|
|
5.3. Hàm lượng C6H10CaO6 |
Không thấp hơn 98,0% tính theo chất khô. |
|
|
6. Phương pháp thử |
||
|
6.1 Định tính |
|
|
|
Lactat |
Thử theo JECFA monograph 1 - Vol.4. |
|
|
Calci |
Thử theo JECFA monograph 1 - Vol.4. |
|
|
6.2 Độ tinh khiết |
|
|
|
Giảm khối lượng khi làm khô |
- Thử theo JECFA monograph 1 - Vol.4. - Sấy tại 120o trong 4 giờ. |
|
|
Độ acid |
Hòa tan 1 g mẫu thử trong 20 ml nước, thêm 3 giọt dung dịch phenolphtalein (TS) và chuẩn độ với dung dịch natri hydroxyd 0,1 N. Thể tích dung dịch natri hydroxyd 0,1 N sử dụng không được quá 0,5 ml. |
|
|
Muối magnesi và các muối kiềm |
Cân 1 g mẫu thử, hòa tan trong 40 ml nước, thêm 0,5 g amoni clorid và thêm khoảng 20 ml dung dịch amoni oxalat (TS). Đun trong bể cách thủy trong 1 giờ, làm mát, thêm nước đến đủ 100 ml và lọc. Lấy 50 ml dịch lọc, thêm 0,5 ml acid sulfuric và cho bay hơi hỗn hợp đến cạn. Nung cặn tới khối lượng không đổi. Để nguội, cân và tính hàm lượng %. Khối lượng cặn không được quá 5 mg. |
|
|
Florid |
- Thử theo JECFA monograph 1 - Vol.4. |
|
|
Chì |
- Thử theo JECFA monograph 1 - Vol.4. - Xác định bằng kỹ thuật quang phổ hấp thụ nguyên tử thích hợp cho hàm lượng quy định. Lựa chọn cỡ mẫu thử và phương pháp chuẩn bị mẫu dựa trên nguyên tắc của phương pháp mô tả tại JECFA monograph 1 - Vol.4 phần các phương pháp phân tích công cụ. |
|
|
6.3. Định lượng |
Cân 350 mg (chính xác đến mg) mẫu thử đã được làm khô trước. Hòa tan trong 150 ml nước có chứa 2 ml dung dịch acid hydrocloric loãng (TS). Khuấy đều (tốt nhất khuấy bằng máy khuấy từ), trong khi khuấy dùng buret thêm khoảng 30 ml dung dịch dinatri ethylendiamintetraacetat 0,05 M. Sau đó thêm 15 ml natri hydroxyd (TS) và 300 mg hỗn hợp chỉ thị xanh da trời hydroxy-naphtol, tiếp tục chuẩn độ đến điểm kết thúc, dung dịch có màu xanh da trời. Mỗi ml dung dịch dinatri ethylendiamintetraacetat 0,05 M tương đương với 10,91 mg C6H10CaO6. |
|
|
Phụ lục 3 YÊU CẦU KỸ THUẬT VÀ PHƯƠNG PHÁP THỬ ĐỐI VỚI KALI DIHYDROCITRAT |
|
|
|
1. Tên khác, chỉ số |
Monopotasium citrate; Potasium citrate monobasic INS 332i ADI không giới hạn |
|
|
2. Định nghĩa |
|
|
|
Tên hóa học |
Kali dihydrogen citrat; Muối monokali của acid 2-hydroxy-1,2,3-propantricarboxylic |
|
|
Mã số C.A.S. |
866-83-1 |
|
|
Công thức phân tử |
C6H7KO7 |
|
|
Công thức cấu tạo |
|
|
|
Khối lượng phân tử |
230,21 |
|
|
3. Cảm quan |
Tinh thể trong hoặc bột tinh thể trắng, không mùi. |
|
|
4. Chức năng |
Chất ổn định, đệm, chất tạo phức kim loại, thức ăn cho nấm men. |
|
|
5. Yêu cầu kỹ thuật |
||
|
5.1. Định tính |
|
|
|
Độ tan |
Dễ tan trong nước, rất ít tan trong ethanol. |
|
|
pH |
Dung dịch mẫu thử 1/10 có pH trong khoảng 3,5 - 3,9. |
|
|
Citrat |
Phải có phản ứng đặc trưng của citrat. |
|
|
Kali |
Phải có phản ứng đặc trưng của kali. |
|
|
5.2. Độ tinh khiết |
|
|
|
Giảm khối lượng khi làm khô |
Không được quá 0,5% (sấy tại 105o trong 4 giờ). |
|
|
Oxalat |
Không được quá 0,04%. |
|
|
Chì |
Không được quá 2,0 mg/kg. |
|
|
5.3. Hàm lượng C6H7NaO7 |
Không thấp hơn 99,0% và không được quá 101,0% tính theo chế phẩm khan. |
|
|
6. Phương pháp thử |
||
|
6.1. Định tính |
|
|
|
Citrat |
Thử theo JECFA monograph 1 - Vol.4. |
|
|
Kali |
Thử theo JECFA monograph 1 - Vol.4. |
|
|
6.2 Độ tinh khiết |
|
|
|
Chì |
- Thử theo JECFA monograph 1 - Vol.4. - Xác định bằng kỹ thuật quang phổ hấp thụ nguyên tử thích hợp cho hàm lượng quy định. Lựa chọn cỡ mẫu thử và phương pháp chuẩn bị mẫu dựa trên nguyên tắc của phương pháp mô tả tại JECFA monograph 1 - Vol.4 phần các phương pháp phân tích công cụ. |
|
|
6.3. Định lượng |
Cân khoảng 180 mg (chính xác đến mg) mẫu thử đã sấy khô, hòa tan trong 25 ml nước và chuẩn độ với dung dịch natri hydroxyd 0,1 N, xác định điểm kết thúc chuẩn độ bằng đo thế . Mỗi ml dung dịch natri hydroxyd 0,1 N tương đương với 11,511 mg C6H7NaO7. |
|
|
Phụ lục 4 YÊU CẦU KỸ THUẬT VÀ PHƯƠNG PHÁP THỬ ĐỐI VỚI DINATRI HYDROGEN PHOSPHAT |
di |
|
|
1. Tên khác, chỉ số |
Disodium hydrogen phosphate; Disodium phosphate; Dibasic sodium phosphate; Disodium acid phosphate; secondary sodium phosphate; Dinatri orthophosphat INS 339ii MTDI=70mg/kg thể trọng tính theo Phospho từ các nguồn thực phẩm |
|
|
2. Định nghĩa |
|
|
|
Tên hóa học |
Dinatri hydrogen phosphat; Dinatri hydrogen orthophosphat; Dinatri hydrogen monophosphat; |
|
|
Mã số C.A.S. |
7558-79-4 |
|
|
Công thức hóa học |
Dạng khan: Na2HPO4 Dạng hydrat: Na2HPO4.xH2O |
|
|
Khối lượng phân tử |
141,98 (dạng khan) |
|
|
3. Cảm quan |
Dạng khan: Bột trắng, không mùi, háo nước. Dạng dihydrat: Tinh thể trắng, không mùi. Dạng heptahydrat: Tinh thể trắng, không mùi có thể lên hoa hoặc dạng bột hạt nhỏ. Dạng dodecahydrat: Tinh thể hoặc bột màu trắng, không mùi, có thể lên hoa. |
|
|
4. Chức năng |
Chất ổn định, chất nhũ hóa, đệm, chất tạo kết cấu |
|
|
5. Yêu cầu kỹ thuật |
||
|
5.1. Định tính |
|
|
|
Độ tan |
Dễ tan trong nước, không tan trong ethanol. |
|
|
pH |
9,0-9,6 (dung dịch 1/100). |
|
|
Natri |
Phải có phản ứng đặc trưng của natri. |
|
|
Phosphat |
Phải có phản ứng đặc trưng của phosphat. |
|
|
Orthophosphat |
Phải có phản ứng đặc trưng của orthophosphat. |
|
|
5.2. Độ tinh khiết |
|
|
|
Giảm khối lượng khi sấy khô |
Dạng khan: Không được quá 5,0% (40oC trong 3 giờ, sau đó 105oC trong 5 giờ) Dạng dihydrat: Không được quá 22,0% (40oC trong 3 giờ, sau đó 105oC trong 5 giờ) Dạng heptahydrat: Không được quá 50,0% (40oC trong 3 giờ, sau đó 105oC trong 5 giờ) Dạng dodecahydrat: Không được quá 61,0% (40oC trong 3 giờ, sau đó 105oC trong 5 giờ) |
|
|
Các chất không tan trong nước |
Không được quá 0,2%. |
|
|
Florid |
Không được quá 50,0 mg/kg. |
|
|
Arsen |
Không được quá 3,0 mg/kg. |
|
|
Chì |
Không được quá 4,0 mg/kg. |
|
|
5.3. Hàm lượng Na2HPO4 |
Không được thấp hơn 98,0% sau khi sấy khô. |
|
|
6. Phương pháp thử |
||
|
6.1. Định tính |
|
|
|
Natri |
Thử theo JECFA monograph 1 - Vol.4 |
|
|
Phosphat |
Thử theo JECFA monograph 1 - Vol.4 |
|
|
Orthophosphat |
Hòa tan 0,1g mẫu trong 10ml nước cất. Acid hóa nhẹ dung dịch bằng acid acetic loãng (TS), thêm 1ml dung dịch bạc nitrat (TS). Trong dung dịch phải xuất hiện kết tủa màu vàng |
|
|
6.2. Độ tinh khiết |
|
|
|
Florid |
Thử theo JECFA monograph 1 - Vol.4 - phương pháp I hoặc III. |
|
|
Arsen |
Thử theo JECFA monograph 1 - Vol.4 - phương pháp II. |
|
|
Chì |
- Thử theo JECFA monograph 1 - Vol.4. - Xác định bằng kỹ thuật quang phổ hấp thụ nguyên tử thích hợp cho hàm lượng quy định. Lựa chọn cỡ mẫu thử và phương pháp chuẩn bị mẫu dựa trên nguyên tắc của phương pháp mô tả tại JECFA monograph 1 - Vol.4 phần các phương pháp phân tích công cụ. |
|
|
6.3. Định lượng |
Cân khoảng 6,5g mẫu thử, chính xác đến mg, mẫu thử đã được làm khô trước, cho vào cốc 250ml. Thêm 50ml dung dịch acid hydrocloric 1N và 50ml nước cất, khuấy đều đến khi mẫu tan hết. Cho điện cực của pH kế thích hợp vào dung dịch và chuẩn độ lượng acid dư bằng dung dịch natri hydroxyd 1N đến điểm uốn tại khoảng pH = 4, ghi lại thể tích đọc trên buret, tính toán thể tích (A) acid hydrocloric 1N mẫu thử đã tiêu thụ. Tiếp tục chuẩn độ đến điểm uốn tại khoảng pH=8,8; ghi lại thể tích trên buret và tính thể tích dung dịch (B) natri hydroxyd 1N đã tiêu tốn để chuẩn độ giữa 2 điểm uốn (pH=4 đến pH=8,8). Nếu (A) bằng hoặc nhỏ hơn (B), mỗi ml HCl 1N trong thể tích (A) tương đương với 142,0mg Na2HPO4. Nếu (A) lớn hơn (B), mỗi ml natri hydroxyd 1N trong hiệu thể tích 2(B)-(A) tương đương với 142,0mg Na2HPO4. |
|
|
Phụ lục 5 YÊU CẦU KỸ THUẬT VÀ PHƯƠNG PHÁP THỬ ĐỐI VỚI DIKALI HYDROGEN PHOSPHAT |
|
|
|
1. Tên khác, chỉ số |
Dipotassium hydrogen phosphate; Dibasic potassium phosphate; Dipotassium monophosphate; Dipotassium phosphate; Dipotassium acid phosphate; Secondary potassium phosphate INS 340ii MTDI = 70 mg/kg thể trọng tính theo Phospho từ các nguồn thực phẩm |
|
|
2. Định nghĩa |
|
|
|
Tên hóa học |
Dikali hydrogen phosphat; Dikali hydrogen orthophosphat; Dikali hydrogen monophosphat |
|
|
Mã số C.A.S. |
7758-11-4 |
|
|
Công thức hóa học |
K2HPO4 |
|
|
Khối lượng phân tử |
174,18 |
|
|
3. Mô tả |
Dạng bột hạt, tinh thể hoặc khối không màu hoặc có màu trắng; dạng tan chảy |
|
|
4. Chức năng |
Chất ổn định, chất đệm, chất tạo phức kim loại, thực phẩm cho nấm men |
|
|
5. Yêu cầu kỹ thuật |
||
|
5.1. Định tính |
|
|
|
Độ tan |
Dễ tan trong nước, không tan trong ethanol. |
|
|
pH |
8,7-9,3 (dung dịch 1/100). |
|
|
Kali |
Phải có phản ứng đặc trưng của kali. |
|
|
Phosphat |
Phải có phản ứng đặc trưng của phosphat. |
|
|
Orthophosphat |
Phải có phản ứng đặc trưng của orthophosphat. |
|
|
5.2. Độ tinh khiết |
|
|
|
Giảm khối lượng khi sấy khô |
Không được quá 5% (105oC trong 4 giờ). |
|
|
Các chất không tan trong nước |
Không được quá 0,2%. |
|
|
Fluorid |
Không được quá 10,0 mg/kg. |
|
|
Arsen |
Không được quá 3,0 mg/kg |
|
|
Chì |
Không được quá 4,0 mg/kg. |
|
|
5.3. Hàm lượng K2HPO4 |
Không được thấp hơn 98,0% sau khi sấy khô |
|
|
6. Phương pháp thử |
||
|
6.1. Định tính |
|
|
|
Kali |
Thử theo JECFA monograph 1 - Vol.4 |
|
|
Phosphat |
Thử theo JECFA monograph 1 - Vol.4 |
|
|
Orthophosphat |
Hòa tan 0,1 g mẫu thử trong 10 ml nước cất, acid hóa nhẹ dung dịch bằng acid acetic loãng (TS) và thêm 1 ml bạc nitrat (TS). Trong dung dịch phải xuất hiện kết tủa màu vàng |
|
|
6.2. Độ tinh khiết |
|
|
|
Fluorid |
Cân 5 g mẫu thử cho vào một bình cầu cất 250 ml, thêm 25 ml nước, 50 ml acid percloric, 5 giọt dung dịch bạc nitrat (1 trong 2) và vài viên bi thủy tinh. Nối bình cầu với 1 ống sinh hàn có gắn nhiệt kế và một ống mao quản sục khí, đầu nhiệt kế và ống mao quản phải ngập trong dung dịch chứa trong bình. Gắn một phễu nhỏ giọt chứa nước hoặc bộ sinh hơi nước vào ống mao quản. Đặt bình trên đế amiăng có lỗ sao cho 1/3 đáy bình tiếp xúc với ngọn lửa. Tiến hành cất đến khi nhiệt độ trong bình đạt 1350C. Thêm nước từ phễu vào bình hoặc cho hơi nước qua bình để duy trì nhiệt độ trong bình luôn đạt 1350C -1400C. Tiếp tục cất đến khi thu được 225-240 ml dịch cất sau đó pha loãng dịch cất thu được với nước đến đủ 250 ml, lắc đều. Lấy 50 ml dung dịch này cho vào một ống Nessler 100 ml. Trong một ống Nessler tương tự khác lấy 50 ml nước làm mẫu chứng. Thêm vào mỗi ống 0,1 ml dung dịch natri alizarinsulfonat (1 trong 1000) đã lọc và 1 ml dung dịch hydroxylamin (1 trong 4000) mới pha, lắc đều. Thêm từng giọt dung dịch natri hydroxyd 0,05 N vào ống chứa dịch cất, vừa thêm vừa khuấy, đến khi màu ống chứa dịch cất giống với màu ống chứng, là màu hồng nhạt. Sau đó thêm vào mỗi ống chính xác 1 ml dung dịch acid hydrocloric 0,1 N và lắc đều. Sử dụng buret chia vạch 0,05 ml thêm từ từ vừa đủ dung dịch thori nitrat (1 trong 4000) vào ống chứa dịch cất để sau khi lắc đều màu của dung dịch chuyển về màu hồng nhạt. Ghi thể tích dung dịch thori nitrat (1 trong 4000) đã sử dụng, thêm chính xác cùng lượng dung dịch thori nitrat (1 trong 4000) như vậy vào ống chứng, lắc đều. Dùng buret thêm dung dịch natri fluorid (TS) (10 µg F / ml) vào ống chứng để cho màu hai ống giống nhau sau khi pha loãng về cùng thể tích. Lắc đều, để yên cho bọt khí thoát hết trước khi so màu. Kiểm tra điểm tương đương bằng cách thêm 1-2 giọt dung dịch natri fluorid (TS) vào ống chứng. Sự thay đổi màu rõ rệt sẽ xảy ra. Ghi lại thể tích dung dịch natri fluorid (TS) đã sử dụng. Thể tích dung dịch natri flourid dùng cho ống chứng phải không quá 1 ml. |
|
|
Arsen |
Thử theo JECFA monograph 1 - Vol.4- phương pháp II. |
|
|
Chì |
- Thử theo JECFA monograph 1 - Vol.4. - Xác định bằng kỹ thuật quang phổ hấp thụ nguyên tử thích hợp cho hàm lượng quy định. Lựa chọn cỡ mẫu thử và phương pháp chuẩn bị mẫu dựa trên nguyên tắc của phương pháp mô tả tại JECFA monograph 1 - Vol.4 phần các phương pháp phân tích công cụ. |
|
|
6.3. Định lượng |
|
|
|
|
Cân khoảng 6,5 g (chính xác đến mg ) mẫu thử, đã được làm khô trước, cho vào cốc 250 ml. Thêm 50 ml dung dịch acid hydrocloric 1 N và 50 ml nước cất, khuấy đều đến khi mẫu tan hết. Cho điện cực của pH kế thích hợp vào dung dịch và chuẩn độ lượng acid dư bằng dung dịch natri hydroxyd 1 N đến điểm uốn tại pH~4, ghi lại thể tích đọc trên buret, tính thể tích (A) acid hydrocloric 1 N mẫu thử đã sử dụng. Tiếp tục chuẩn độ bằng dung dịch natri hydroxyd 1 N đến điểm uốn tại pH~8,8; ghi lại thể tích trên buret và tính thể tích dung dịch (B) natri hydroxyd 1N đã sử dụng để chuẩn độ giữa 2 điểm uốn (pH~4 đến pH~8,8). Nếu (A)£(B), mỗi ml acid hydrocloric 1 N trong thể tích (A) tương đương với 174,2 mg K2HPO4. Nếu (A)>(B), mỗi ml natri hydroxyd 1 N trong hiệu thể tích 2(B)-(A) tương đương với 174,2 mg K2HPO4. |
|
|
Phụ lục 6 YÊU CẦU KỸ THUẬT VÀ PHƯƠNG PHÁP THỬ ĐỐI VỚI TRICALCI ORTHOPHOSPHAT |
|
|
|
1. Tên khác, chỉ số |
Calcium phosphate, tribasic; Calcium phosphate kết tủa; INS 341iii MTDI = 70 mg/kg thể trọng tính theo phospho từ các nguồn thực phẩm |
|
|
2. Định nghĩa |
Bao gồm hỗn hợp với các tỷ lệ khác nhau của các muối calci phosphat, thành phần gần đúng là 10CaO.3P2O5.H2O. Chế phẩm thương mại còn được phân loại theo chỉ số chuẩn độ. |
|
|
3. Cảm quan |
Dạng bột màu trắng, không mùi, bền trong không khí. |
|
|
4. Chức năng |
Chất ổn định, chất chống đông vón, đệm. |
|
|
5. Yêu cầu kỹ thuật |
||
|
5.1. Định tính |
|
|
|
Độ tan |
Khó tan trong nước, không tan trong ethanol, tan trong acid hydrocloric loãng và acid nitric loãng. |
|
|
Calci |
Phải có phản ứng đặc trưng của calci. |
|
|
Phosphat |
Phải có phản ứng đặc trưng của phosphat. |
|
|
5.2. Độ tinh khiết |
|
|
|
Giảm khối lượng khi nung |
Không được quá 10% sau khi nung đến khối lượng không đổi tại 825 oC. |
|
|
Fluorid |
Không được quá 50 mg/kg. |
|
|
Chì |
Không được quá 4 mg/kg. |
|
|
5.3. Hàm lượng Ca3(PO4)2 |
Không được thấp hơn tương đương 90% Ca3(PO4)2 tính theo chế phẩm sau khi nung. |
|
|
6. Phương pháp thử |
||
|
6.1. Định tính |
|
|
|
Calci |
Hòa tan khoảng 100 mg mẫu thử bằng cách đun nóng với 5 ml dung dịch acid hydrocloric loãng (TS) và 5 ml nước. Thêm nhỏ giọt dung dịch amoniac (TS) vào hỗn hợp, vừa thêm vừa lắc đều, sau đó thêm 5 ml dung dịch amoni oxalat (TS). Trong dung dịch xuất hiện kết tủa trắng. |
|
|
Phosphat |
Hòa tan mẫu thử trong acid nitric dư, đun nóng hỗn hợp, thêm dung dịch amoni molybdat (TS). Trong dung dịch xuất hiện kết tủa màu vàng. |
|
|
6.2 Độ tinh khiết |
|
|
|
Fluorid |
Thử theo JECFA monograph 1 - Vol.4 - Phương pháp I hoặc III |
|
|
Chì |
- Thử theo JECFA monograph 1 - Vol.4 - Xác định bằng kỹ thuật quang phổ hấp thụ nguyên tử thích hợp cho hàm lượng quy định. Lựa chọn cỡ mẫu thử và phương pháp chuẩn bị mẫu dựa trên nguyên tắc của phương pháp mô tả trong JECFA monograph 1 - Vol.4 phần các phương pháp phân tích công cụ. |
|
|
6.3. Định lượng |
|
|
|
|
Cân 200 mg (chính xác đến 0,1 mg) mẫu thử, hoà tan trong hỗn hợp gồm 10ml dung dịch acid nitric loãng (TS) và 25 ml nước. Lọc nếu cần, rửa kết tủa, thêm dung dịch amoniac (TS) vào dịch lọc vừa đủ để tạo kết tủa nhẹ. Sau đó hòa tan kết tủa bằng cách thêm 1 ml dung dịch acid nitric loãng (TS). Chỉnh nhiệt độ về 50o, thêm 75 ml dung dịch amoni molybdat (TS). Giữ nhiệt độ tại 50o trong 30 phút, thỉnh thoảng khuấy. Gạn rửa tủa 1 hoặc hai lần, mỗi lần với 30 đến 40 ml nước. Chuyển tủa sang một phễu lọc và rửa tủa bằng dung dịch kali nitrat (1/100) đến khi dịch rửa không còn acid khi thử bằng giấy quỳ. Chuyển tủa, giấy lọc vào một bình kết tủa, thêm 40 ml natri hydroxyd 1N, lắc đều đến khi kết tủa tan hòan toàn, thêm 3 giọt dung dịch phenolphtalein (TS), sau đó chuẩn độ kiềm dư bằng acid sulfuric 1N. Mỗi ml dung dịch natri hydroxyd 1N tương đương với 6,743 mg Ca3(PO4)2. |
|
|
Phụ lục 7 YÊU CẦU KỸ THUẬT VÀ PHƯƠNG PHÁP THỬ ĐỐI VỚI AMONI POLYPHOSPHAT |
|
|
|
1. Tên khác, chỉ số |
INS 452v MTDI = 70 mg/kg thể trọng, tính theo phospho từ các nguồn thực phẩm |
|
|
2. Định nghĩa |
|
|
|
Tên hóa học |
Amoni polyphosphat |
|
|
Mã số C.A.S. |
6833-79-9 |
|
|
Công thức hoá học
|
Hỗn hợp dị thể các muối amoni của acid polyphosphoric được trùng ngưng mạch thẳng có công thức chung: Hn+2PnO3n+1 |
|
|
3. Cảm quan |
Dạng dung dịch lỏng |
|
|
4. Chức năng |
Chất ổn định, tạo phức kim loại, chất nhũ hoá |
|
|
5. Yêu cầu kỹ thuật |
||
|
5.1. Định tính |
|
|
|
Độ tan |
Tan hoàn toàn trong nước |
|
|
pH |
4,0 – 9,0 (dung dịch 1%) |
|
|
Amoni |
Phải có phản ứng đặc trưng của amoni. |
|
|
Phosphat |
Phải có phản ứng đặc trưng của phosphat. |
|
|
5.2. Độ tinh khiết |
|
|
|
Phosphat mạch vòng |
Không vượt quá 8,0% tính theo P2O5 |
|
|
Fluorid |
Không vượt quá 10,0 mg/kg |
|
|
Arsen |
Không vượt quá 3,0 mg/kg |
|
|
Chì |
Không vượt quá 4,0 mg/kg. |
|
|
5.3. Hàm lượng |
Không được thấp hơn 55,0% và không được quá 75,0% tính theo P2O5 trên chế phẩm khan |
|
|
6. Phương pháp thử |
|
|
|
6.1 Định tính |
|
|
|
Amoni |
Thử theo JECFA monograph 1 - Vol.4 |
|
|
Phosphat |
- Trộn đều 0,5 g mẫu với 10 ml acid HNO3 và 50 ml nước, đun sôi trong 30 phút và để nguội. - Thử theo JECFA monograph 1 - Vol.4 |
|
|
6.2 Độ tinh khiết |
|
|
|
Phosphat mạch vòng |
Thử theo JECFA monograph 1 - Vol.4 |
|
|
Fluorid |
Thử theo JECFA monograph 1 - Vol.4 |
|
|
Arsen |
Thử theo JECFA monograph 1 - Vol.4 |
|
|
Chì |
- Thử theo JECFA monograph 1 - Vol.4 - Xác định bằng kỹ thuật quang phổ hấp thụ nguyên tử thích hợp cho hàm lượng quy định. Lựa chọn cỡ mẫu thử và phương pháp chuẩn bị mẫu dựa trên nguyên tắc của phương pháp mô tả trong JECFA monograph 1 - Vol.4 phần các phương pháp phân tích công cụ. |
|
|
6.3 Định lượng |
|
|
|
|
Tiến hành như chỉ dẫn « Xác định photphat tính theo P2O5 », Phương pháp I, Vol. 4. |
|
|
Phụ lục 8 YÊU CẦU KỸ THUẬT VÀ PHƯƠNG PHÁP THỬ ĐỐI VỚI NATRI HYDROCARBONAT |
|
|
|
1. Tên khác, chỉ số |
Sodium hydrogen carbonate; bột nở; sođa bicarbonat; natri bicarbonat INS 500(ii) ADI không giới hạn |
|
|
2. Định nghĩa |
|
|
|
Tên hóa học |
Natri hydrogen carbonat, natri acid carbonat |
|
|
Mã số C.A.S. |
144-55-8 |
|
|
Công thức hóa học |
NaHCO3 |
|
|
Khối lượng phân tử |
84,01 |
|
|
3. Cảm quan |
Khối tinh thể hoặc bột tinh thể trắng hoặc không màu |
|
|
4. Chức năng |
Chất ổn định, chất kiềm hóa, bột nổi, đệm, chất tạo xốp |
|
|
5. Yêu cầu kỹ thuật |
||
|
5.1. Định tính |
|
|
|
Độ tan |
Tan trong nước, không tan trong ethanol. |
|
|
pH |
8,0 - 8,6 (dung dịch mẫu thử 1/100 trong nước lạnh, không lắc) |
|
|
Natri |
Phải có phản ứng đặc trưng của natri. |
|
|
Carbonat |
Phải có phản ứng đặc trưng của carbonat. |
|
|
5.2. Độ tinh khiết |
|
|
|
Giảm khối lượng khi làm khô |
Không được quá 0,25% (Trên silicagel, trong 4 giờ). |
|
|
Các chất không tan trong nước |
Đạt yêu cầu (mô tả trong phần Phương pháp thử).
|
|
|
Muối amoni |
Đạt yêu cầu (mô tả trong phần Phương pháp thử). |
|
|
Chì |
Không được quá 2,0 mg/kg. |
|
|
5.3. Hàm lượng NaHCO3 |
Không được thấp hơn 99,0% tính theo chế phẩm khan |
|
|
6. Phương pháp thử |
||
|
6.1. Định tính |
|
|
|
Natri |
Thử theo JECFA monograph 1 - Vol.4. |
|
|
Carbonat |
Thử theo JECFA monograph 1 - Vol.4. |
|
|
6.2. Độ tinh khiết |
|
|
|
Các chất không tan trong nước |
1 g mẫu thử hoà tan hoàn toàn trong 20 ml nước phải thu được dung dịch trong. |
|
|
Muối amoni |
Đốt nóng 1 g mẫu thử trong một ống nghiệm. Không được có mùi ammoniac. |
|
|
Chì |
- Thử theo JECFA monograph 1 - Vol.4. - Xác định bằng kỹ thuật quang phổ hấp thụ nguyên tử thích hợp với hàm lượng qui định. Lựa chọn cỡ mẫu thử và phương pháp chuẩn bị mẫu dựa trên nguyên tắc của phương pháp mô tả tại JECFA monograph 1 - Vol.4 phần các phương pháp phân tích công cụ). |
|
|
6.3. Định lượng |
|
|
|
|
Cân 3 g (chính xác đến mg) mẫu thử đã sấy khô, hòa tan trong nước, thêm chỉ thị là dung dịch da cam methyl (TS) và chuẩn độ bằng acid sunfuric 1 N. Mỗi ml acid sulfuric 1 N tương đương với 84,01 mg NaHCO3. |
|
|
Phụ lục 9 YÊU CẦU KỸ THUẬT VÀ PHƯƠNG PHÁP THỬ ĐỐI VỚI KALI CARBONAT |
|
|
|
1. Tên khác, chỉ số |
INS 501(i) ADI “không giới hạn” |
|
|
2. Định nghĩa |
|
|
|
Tên hóa học |
Kali carbonat, muối kali của acid carbonic |
|
|
Mã số C.A.S. |
584-08-7 |
|
|
Công thức hóa học |
Dạng khan: K2CO3 Dạng hydrat hóa: K2CO3.1½H2O |
|
|
Khối lượng phân tử |
138,21 (dạng khan) |
|
|
3. Cảm quan |
Bột dễ hút ẩm, màu trắng, không mùi. Dạng hydrat hóa thường gặp là tinh thể hoặc hạt nhỏ trắng, trong. |
|
|
4. Chức năng |
Chất ổn định, chất kiềm hóa |
|
|
5. Yêu cầu kỹ thuật |
||
|
5.1. Định tính |
|
|
|
Độ tan |
Rất dễ tan trong nước, không tan trong ethanol. |
|
|
Kali |
Phải có phản ứng đặc trưng của kali. |
|
|
Carbonat |
Phải có phản ứng đặc trưng của carbonat. |
|
|
5.2. Độ tinh khiết |
|
|
|
Giảm khối lượng khi sấy khô |
Dạng khan: Không được quá 5% (sấy ở 180o trong 4 giờ) Dạng hydrat hóa : trong khoảng 10-18% (sấy ở 180o trong 4 giờ) |
|
|
Chì |
Không được quá 2,0 mg/kg. |
|
|
5.3. Hàm lượng K2CO3 |
Không được thấp hơn 99,0% tính theo chất khô |
|
|
6. Phương pháp thử |
||
|
6.1. Định tính |
|
|
|
Kali |
Thử theo JECFA monograph 1 - Vol.4. |
|
|
Carbonat |
Thử theo JECFA monograph 1 - Vol.4. |
|
|
6.2. Độ tinh khiết |
|
|
|
Chì |
- Thử theo JECFA monograph 1 - Vol.4. - Xác định bằng kỹ thuật quang phổ hấp thụ nguyên tử thích hợp với hàm lượng qui định. Lựa chọn cỡ mẫu thử và phương pháp chuẩn bị mẫu dựa trên nguyên tắc của phương pháp mô tả tại JECFA monograph 1 - Vol.4 phần các phương pháp phân tích công cụ. |
|
|
6.3. Định lượng |
|
|
|
|
Cân 1 g (chính xác đến mg) mẫu thử đã sấy khô, hòa tan cẩn thận trong 50 ml acid sulfuric 1 N, thêm chỉ thị là dung dịch da cam methyl (TS) và chuẩn độ acid dư bằng dung dịch natri hydroxyd 1N. Mỗi ml dung dịch acid sulfuric 1 N tương đương với 69,11 mg K2CO3. |
|
|
Phụ lục 10 YÊU CẦU KỸ THUẬT VÀ PHƯƠNG PHÁP THỬ ĐỐI VỚI AMONI HYDROCARBONAT |
|
|
|
1. Tên khác, chỉ số |
Amonium hydrogen carbonate; amoni bicarbonat INS 503(ii) ADI không giới hạn |
|
|
2. Định nghĩa |
|
|
|
Tên hóa học |
Amoni hydrogcarbonat |
|
|
Mã số C.A.S. |
1066-33-7 |
|
|
Công thức hóa học |
CH5NO3 |
|
|
Công thức cấu tạo |
NH4HCO3 |
|
|
Khối lượng phân tử |
79,06 |
|
|
3. Cảm quan |
Tinh thể trắng hoặc bột tinh thể có mùi ammoniac nhẹ. |
|
|
4. Chức năng |
Chất ổn định, bột nổi. |
|
|
5. Yêu cầu kỹ thuật |
||
|
5.1. Định tính |
|
|
|
Độ tan |
Dễ tan trong nước, không tan trong ehtanol |
|
|
pH |
Khoảng 8,0 (dung dịch 1/20). |
|
|
Carbonat |
Phải có phản ứng đặc trưng của carbonat. |
|
|
Amoni |
Phải có phản ứng đặc trưng của amoni. |
|
|
Nhiệt |
Khi bị đốt nóng, mẫu thử hóa hơi mà không bị than hóa, hơi có tính kiềm khi thử bằng giấy quỳ ẩm. |
|
|
5.2. Độ tinh khiết |
|
|
|
Cặn không bay hơi |
Không được quá 500,0 mg/kg (Sử dụng 4 g mẫu thử trong 10 ml nước) |
|
|
Clorid |
Không được quá 30,0 mg/kg (mô tả trong phần Phương pháp thử). |
|
|
Sulfat |
Không được quá 70,0 mg/kg (mô tả trong phần Phương pháp thử). |
|
|
Chì |
Không được quá 2,0 mg/kg (mô tả trong phần Phương pháp thử).
|
|
|
5.3. Hàm lượng NH4CO3 |
Không được thấp hơn 99,0% |
|
|
6. Phương pháp thử |
||
|
6.1. Định tính |
|
|
|
Carbonat |
Thử theo JECFA monograph 1 - Vol.4. |
|
|
Amoni |
Thử theo JECFA monograph 1 - Vol.4. |
|
|
6.2. Độ tinh khiết |
|
|
|
Clorid |
- Thử theo JECFA monograph 1 - Vol.4. - Hoà tan 500 mg mẫu thử trong 10ml nước nóng, thêm khoảng 5mg natri carbonat, làm khô trên bể cách thuỷ. Thử cặn thu được như hướng dẫn trong chuyên luận thử giới hạn clorid. Độ đục của dung dịch thu được không vượt quá độ đục của dung dịch tiến hành như trên đối với mẫu chứng có chứa 15 μg ion clorid (Cl- ). |
|
|
Sulfat |
Hoà tan 4g mẫu thử trong 40ml nước. Thêm 10mg natri carbonat và 1ml hydrogen peroxyd 30% và làm khô trên bể cách thuỷ. Xử lý cặn thu được theo hướng dẫn trong chuyên luận thử giới hạn sulfat. Độ đục của dung dịch thu được không quá độ đục của dung dịch tiến hành như trên đối với mẫu chứng có chứa 280 μg ion sulfat (SO42-). |
|
|
Chì |
- Thử theo JECFA monograph 1 - Vol.4. - Xác định bằng kỹ thuật quang phổ hấp thụ nguyên tử thích hợp với hàm lượng qui định. Lựa chọn cỡ mẫu thử và phương pháp chuẩn bị mẫu dựa trên nguyên tắc của phương pháp mô tả tại JECFA monograph 1 - Vol.4 phần các phương pháp phân tích công cụ). |
|
|
6.3. Định lượng |
|
|
|
|
Lấy 10ml nước vào một cốc cân. Tiến hành xác định bì (cốc và nước). Thêm vào cốc 2g mẫu thử (cân chính xác đến mg). Chuyển toàn bộ hỗn hợp trong cốc vào một bình nón 250ml. Thêm từ từ, vừa thêm vừa lắc 50ml acid sulfuric 1N. Sau khi dung dịch đã phản ứng xong, tráng rửa thành bình, thêm chỉ thị là dung dịch da cam methyl (TS) và chuẩn độ acid dư bằng dung dịch natri hydroxyd 1N. Mỗi ml acid sulfuric 1N tương đương với 79,06 mg NH4HCO3. |
|
|
Phụ lục 11 YÊU CẦU KỸ THUẬT VÀ PHƯƠNG PHÁP THỬ ĐỐI VỚI KALI CLORID |
|
|
|
1. Tên khác, chỉ số |
Sylvite; Sylvine INS 508 ADI “không giới hạn” |
|
|
2. Định nghĩa |
|
|
|
Tên hóa học |
Kali clorid |
|
|
Mã số C.A.S. |
7447-40-7 |
|
|
Công thức hóa học |
KCl |
|
|
Khối lượng phân tử |
74,56 |
|
|
3. Cảm quan |
Tinh thể không màu hình khối lập phương, lăng trụ hoặc thon dài; hoặc dạng bột, hạt nhỏ màu trắng; không mùi. |
|
|
4. Chức năng |
Chất ổn định, gia vị, chất tạo gel, thức ăn cho nấm men. |
|
|
5. Yêu cầu kỹ thuật |
||
|
5.1. Định tính |
|
|
|
Độ tan |
Dễ tan trong nước, không tan trong ethanol. |
|
|
Clorid |
Phải có phản ứng đặc trưng của clorid. |
|
|
Kali |
Phải có phản ứng đặc trưng của kali. |
|
|
5.2. Độ tinh khiết |
|
|
|
Giảm khối lượng khi làm khô |
Không được quá 1,0 % (105oC trong 2 giờ). |
|
|
Độ acid hoặc độ kiềm |
Đạt yêu cầu (mô tả trong phần Phương pháp thử). |
|
|
Iodid hoặc bromid |
Đạt yêu cầu (mô tả trong phần Phương pháp thử). |
|
|
Natri |
Âm tính (mô tả trong phần Phương pháp thử). |
|
|
Chì |
Không được quá 2,0 mg/kg. |
|
|
5.3. Hàm lượng KCl |
Không thấp hơn 99,0% tính theo chế phẩm đã làm khô. |
|
|
6. Phương pháp thử |
||
|
6.1. Định tính |
|
|
|
Clorid |
Thử theo JECFA monograph 1 - Vol.4. |
|
|
Kali |
Thử theo JECFA monograph 1 - Vol.4. |
|
|
6.2. Độ tinh khiết |
|
|
|
Độ acid hoặc độ kiềm |
Cân 5 g mẫu thử, hòa tan trong 50 ml nước mới đun sôi, để nguội, thêm 3 giọt dung dịch phenolphtalein (TS). Dung dịch không được có màu hồng. Sau đó thêm 0,3 ml dung dịch natri hydroxyd 0,02 N, dung dịch chuyển thành màu hồng. |
|
|
Iodid hoặc bromid |
Cân 2 g mẫu thử, hòa tan trong 6 ml nước, thêm 1 ml cloroform, sau đó thêm nhỏ giọt 5 ml hỗn hợp gồm dung dịch clor (TS) và nước (1:1 – tt/tt), vừa thêm vừa lắc đều. Lớp cloroform không được có màu tím (không bền) hoặc màu cam (bền). |
|
|
Natri |
Thử theo JECFA monograph 1 - Vol.4. |
|
|
Chì |
- Thử theo JECFA monograph 1 - Vol.4. - Xác định bằng kỹ thuật quang phổ hấp thụ nguyên tử thích hợp cho hàm lượng quy định. Lựa chọn cỡ mẫu thử và phương pháp chuẩn bị mẫu dựa trên nguyên tắc của phương pháp mô tả tại JECFA monograph 1 - Vol.4 phần các phương pháp phân tích công cụ. |
|
|
6.3. Định lượng |
|
|
|
|
Cân khoảng 250 mg (chính xác đến mg) mẫu thử đã làm khô hòa tan trong 50 ml nước trong một bình thủy tinh nút mài. Thêm 50 ml dung dịch bạc nitrat 0,1 N, 3 ml acid nitric và 5 ml nitrobenzen, vừa thêm vừa lắc mạnh, thêm 2 ml sắt (III) amoni sulfat (TS). Chuẩn độ lượng bạc nitrat dư với dung dịch amoni thiocyanat 0,1 N. Mỗi ml dung dịch bạc nitrat 0,1 N tương đương với 7,456 mg KCl. |
|
|
Phụ lục 12 YÊU CẦU KỸ THUẬT VÀ PHƯƠNG PHÁP THỬ ĐỐI VỚI KALI DIHYDROGEN PHOSPHAT |
|
|
|
1. Tên khác, chỉ số |
Potassium dihydrogen phosphate; Monobasic potassium phosphate; Monopotassium monophosphate; Potassium acid phosphate; Potassium biphosphate INS 340i MTDI=70mg/kg thể trọng tính theo Phospho từ các nguồn thực phẩm |
|
|
2. Định nghĩa |
|
|
|
Tên hóa học |
Kali dihydrogen phosphat; Monokali dihydrogen orthophosphat; Monokali dihydrogen monophosphat |
|
|
Mã số C.A.S. |
7778-77-0 |
|
|
Công thức hóa học |
KH2PO4 |
|
|
Khối lượng phân tử |
136,09 |
|
|
3. Cảm quan |
Dạng tinh thể không màu, không mùi, dạng hạt trắng hoặc dạng bột tinh thể |
|
|
4. Chức năng |
Chất ổn định, đệm, tác nhân trung hòa, chất tạo phức kim loại, thức ăn cho nấm men |
|
|
5. Yêu cầu kỹ thuật |
||
|
5.1. Định tính |
|
|
|
Độ tan |
Dễ tan trong nước, không tan trong ethanol. |
|
|
pH |
4,2 - 4,7 (dung dịch 1/100). |
|
|
Kali |
Phải có phản ứng đặc trưng của kali. |
|
|
Phosphat |
Phải có phản ứng đặc trưng của phosphat. |
|
|
Orthophosphat |
Phải có phản ứng đặc trưng của orthophosphat. |
|
|
5.2. Độ tinh khiết |
|
|
|
Giảm khối lượng khi sấy khô |
Không được quá 2,0% (105oC trong 4 giờ). |
|
|
Các chất không tan trong nước |
Không được quá 0,2%. |
|
|
Florid |
Không được quá 10,0 mg/kg. |
|
|
Arsen |
Không được quá 3,0 mg/kg. |
|
|
Chì |
Không được quá 4,0 mg/kg. |
|
|
5.3. Hàm lượng KH2PO4 |
Không được thấp hơn 98,0% sau khi sấy khô. |
|
|
6. Phương pháp thử |
||
|
6.1. Định tính |
|
|
|
Kali |
Thử theo JECFA monograph 1 - Vol.4. |
|
|
Phosphat |
Thử theo JECFA monograph 1 - Vol.4. |
|
|
Orthophosphat |
Thêm dung dịch bạc nitrat (TS) vào 5ml dung dịch mẫu thử (dung dịch 1/100). Trong dung dịch phải xuất hiện kết tủa màu vàng. |
|
|
6.2 Độ tinh khiết |
|
|
|
Fluorid |
Cân 5 g mẫu thử cho vào một bình cầu cất 250 ml, thêm 25 ml nước, 50 ml acid percloric, 5 giọt dung dịch bạc nitrat (1 trong 2) và vài viên bi thủy tinh. Nối bình cầu với 1 sinh hàn có gắn nhiệt kế và một ống mao quản sục khí, đầu nhiệt kế và ống mao quản phải ngập trong dung dịch chứa trong bình. Gắn một phễu nhỏ giọt chứa nước hoặc bộ sinh hơi nước vào ống mao quản. Đặt bình trên đế amiăng có lỗ sao cho 1/3 đáy bình tiếp xúc với ngọn lửa. Tiến hành cất đến khi nhiệt độ trong bình đạt 135o. Thêm nước từ phễu vào bình hoặc cho hơi nước qua bình để duy trì nhiệt độ trong bình luôn đạt 135o-140o. Tiếp tục cất đến khi thu được 225-240 ml dịch cất sau đó pha loãng dịch cất thu được với nước đến đủ 250 ml, lắc đều. Lấy 50 ml dung dịch này cho vào một ống Nessler 100 ml. Trong một ống Nessler tương tự khác lấy 50 ml nước làm mẫu chứng. Thêm vào mỗi ống 0,1 ml dung dịch natri alizarinsulfonat (1 trong 1000) đã lọc và 1 ml dung dịch hydroxylamin (1 trong 4000) mới pha, lắc đều. Thêm từng giọt dung dịch natri hydroxyd 0,05 N vào ống chứa dịch cất, vừa thêm vừa khuấy, đến khi màu ống chứa dịch cất giống với màu ống chứng là màu hồng nhạt. Sau đó thêm vào mỗi ống chính xác 1 ml dung dịch acid hydrocloric 0,1 N và lắc đều. Sử dụng buret chia vạch 0,05 ml thêm từ từ vừa đủ dung dịch thori nitrat (1 trong 4000) vào ống chứa dịch cất để sau khi lắc đều màu của dung dịch chuyển về màu hồng nhạt. Ghi thể tích dung dịch thori nitrat (1 trong 4000) đã sử dụng, thêm chính xác cùng lượng dung dịch thori nitrat (1 trong 4000) như vậy vào ống chứng, lắc đều. Dùng buret thêm dung dịch natri fluorid (TS) (10 mg F / ml) vào ống chứng để cho màu hai ống giống nhau sau khi pha loãng về cùng thể tích. Lắc đều, để yên cho bọt khí thoát hết trước khi so màu. Kiểm tra điểm tương đương bằng cách thêm 1-2 giọt dung dịch natri fluorid (TS) vào ống chứng. Sự thay đổi màu rõ rệt sẽ xảy ra. Ghi lại thể tích dung dịch natri fluorid (TS) đã sử dụng. Thể tích dung dịch natri florid (TS) sử dụng cho ống chứng không được quá 1 ml. |
|
|
Arsen |
Thử theo JECFA monograph 1 - Vol.4 - phương pháp II. |
|
|
Chì |
- Thử theo JECFA monograph 1 - Vol.4 - Xác định bằng kỹ thuật quang phổ hấp thụ nguyên tử thích hợp cho hàm lượng quy định. Lựa chọn cỡ mẫu thử và phương pháp chuẩn bị mẫu dựa trên nguyên tắc của phương pháp mô tả trong JECFA monograph 1 - Vol.4 phần các phương pháp phân tích công cụ. |
|
|
6.3. Định lượng |
|
|
|
|
Cân khoảng 5,0 g (chính xác đến mg) mẫu thử đã được làm khô trước, cho vào cốc 250 ml. Thêm 100 ml nước cất và 5 ml dung dịch acid hydrocloric 1 N, khuấy đều đến khi mẫu tan hết. Cho điện cực của pH kế thích hợp vào dung dịch và chuẩn độ từ từ (khuấy đều liên tục) lượng acid dư bằng dung dịch natri hydroxyd 1 N, đến điểm uốn tại pH~4. Ghi lại thể tích đọc trên buret, tính thể tích (A) acid hydrocloric 1 N đã sử dụng (nếu cần). Tiếp tục chuẩn độ bằng dung dịch natri hydroxyd 1 N đến điểm uốn tại pH~8,8; ghi lại thể tích trên buret và tính thể tích dung dịch (B) natri hydroxyd 1N đã tiêu tốn để chuẩn độ giữa 2 điểm uốn (pH~4 đến pH~8,8). Mỗi ml natri hydroxyd 1 N của hiệu thể tích (B)-(A) tương đương với 136,1 mg KH2PO4. |
|

CỘNG HOÀ XÃ HỘI CHỦ NGHĨA VIỆT NAM
QUY CHUẨN KỸ THUẬT QUỐC GIA
VỀ PHỤ GIA THỰC PHẨM - CHẤT KHÍ ĐẨY
National technical regulation on Food Additive – Propellant
HÀ NỘI - 2010
Lời nói đầu
QCVN 4- :2010/BYT do Ban soạn thảo quy chuẩn kỹ thuật quốc gia về Phụ gia thực phẩm và chất hỗ trợ chế biến biên soạn, Cục An toàn vệ sinh thực phẩm trình duyệt và được ban hành theo Thông tư số …./2010/TT-BYT ngày …. tháng …. năm 2010 của Bộ trưởng Bộ Y tế.
QUY CHUẨN KỸ THUẬT QUỐC GIA
VỀ PHỤ GIA THỰC PHẨM - CHẤT KHÍ ĐẨY
National technical regulation on Food Additive – Propellant
I. QUY ĐỊNH CHUNG
1. Phạm vi điều chỉnh
Quy chuẩn kỹ thuật quốc gia (sau đây gọi tắt là Quy chuẩn) này quy định các yêu cầu kỹ thuật và quản lý về chất lượng, vệ sinh an toàn đối với các chất khí đẩy được sử dụng với mục đích làm phụ gia thực phẩm.
2. Đối tượng áp dụng
Quy chuẩn này áp dụng đối với:
2.1. Tổ chức, cá nhân nhập khẩu, xuất khẩu, sản xuất, buôn bán và sử dụng các chất khí đẩy làm phụ gia thực phẩm (sau đây gọi tắt là tổ chức, cá nhân).
2.2. Cơ quan quản lý nhà nước có liên quan.
3. Giải thích từ ngữ và chữ viết tắt:
3.1. Chất khí đẩy: là phụ gia thực phẩm dạng khí được cho vào thực phẩm.
3.2. JECFA monograph 1 - Vol. 4 (JECFA monographs 1 - Combined compendium of food additive specifications; Joint FAO/WHO expert committee on food additives; Volume 4 - Analytical methods, test procedures and laboratory solutions used by and referenced in the food additive specifications; FAO, 2006): Các yêu cầu kỹ thuật đối với phụ gia thực phẩm, Tập 4 Các phương pháp phân tích, quy trình thử nghiệm, dung dịch thử nghiệm được sử dụng (hoặc tham chiếu) trong yêu cầu kỹ thuật đối với phụ gia thực phẩm; JECFA biên soạn; FAO ban hành năm 2006.
3.3. Mã số C.A.S (Chemical Abstracts Service): Mã số đăng ký hóa chất của Hiệp hội Hóa chất Hoa Kỳ.
3.4. TS (test solution): Dung dịch thuốc thử.
3.5. ADI (Acceptable daily intake): Lượng ăn vào hàng ngày chấp nhận được.
3.6. INS (International numbering system): Hệ thống mã số quốc tế về phụ gia thực phẩm.
II. YÊU CẦU KỸ THUẬT, PHƯƠNG PHÁP THỬ VÀ LẤY MẪU
1. Yêu cầu kỹ thuật và phương pháp thử đối với các chất khí đẩy được quy định tại các phụ lục ban hành kèm theo Quy chuẩn này như sau:
|
1.1. |
Phụ lục 1: |
Yêu cầu kỹ thuật và phương pháp thử đối với khí nitrogen |
|
1.2. |
Phụ lục 2: |
Yêu cầu kỹ thuật và phương pháp thử đối với khí nitrogen oxyd |
2. Các yêu cầu kỹ thuật quy định trong Quy chuẩn này được thử theo JECFA monograph 1 - Vol. 4, ngoại trừ một số phép thử riêng được mô tả trong các phụ lục. Các phương pháp thử được hướng dẫn trong Quy chuẩn này không bắt buộc phải áp dụng, có thể sử dụng các phương pháp thử khác tương đương.
3. Lấy mẫu theo hướng dẫn tại Thông tư 16/2009/TT-BKHCN ngày 02 tháng 6 năm 2009 của Bộ Khoa học và Công nghệ về hướng dẫn kiểm tra nhà nước về chất lượng hàng hóa lưu thông trên thị trường và các quy định khác của pháp luật có liên quan.
III. YÊU CẦU QUẢN LÝ
1. Công bố hợp quy
1.1. Các chất khí đẩy phải được công bố phù hợp với các quy định tại Quy chuẩn này.
1.2. Phương thức, trình tự, thủ tục công bố hợp quy được thực hiện theo Quy định về chứng nhận hợp chuẩn, chứng nhận hợp quy và công bố hợp chuẩn, công bố hợp quy ban hành kèm theo Quyết định số 24/2007/QĐ-BKHCN ngày 28 tháng 9 năm 2007 của Bộ trưởng Bộ Khoa học và Công nghệ và các quy định của pháp luật.
2. Kiểm tra đối với chất khí đẩy
Việc kiểm tra chất lượng, vệ sinh an toàn đối với các chất khí đẩy phải thực hiện theo các quy định của pháp luật.
IV. TRÁCH NHIỆM CỦA TỔ CHỨC, CÁ NHÂN
1. Tổ chức, cá nhân phải công bố hợp quy phù hợp với các quy định kỹ thuật tại Quy chuẩn này, đăng ký bản công bố hợp quy tại Cục An toàn vệ sinh thực phẩm và bảo đảm chất lượng, vệ sinh an toàn theo đúng nội dung đã công bố.
2. Tổ chức, cá nhân chỉ được nhập khẩu, xuất khẩu, sản xuất, buôn bán và sử dụng các chất khí đẩy sau khi hoàn tất đăng ký bản công bố hợp quy và bảo đảm chất lượng, vệ sinh an toàn, ghi nhãn phù hợp với các quy định của pháp luật.
V. TỔ CHỨC THỰC HIỆN
1. Giao Cục An toàn vệ sinh thực phẩm chủ trì, phối hợp với các cơ quan chức năng có liên quan hướng dẫn triển khai và tổ chức việc thực hiện Quy chuẩn này.
2. Căn cứ vào yêu cầu quản lý, Cục An toàn vệ sinh thực phẩm có trách nhiệm kiến nghị Bộ Y tế sửa đổi, bổ sung Quy chuẩn này.
3. Trường hợp hướng dẫn của quốc tế về phương pháp thử và các quy định của pháp luật viện dẫn trong Quy chuẩn này được sửa đổi, bổ sung hoặc thay thế thì áp dụng theo văn bản mới.
|
Phụ lục 1 YÊU CẦU KỸ THUẬT VÀ PHƯƠNG PHÁP THỬ ĐỐI VỚI KHÍ NITROGEN |
|
|
|
1. Tên khác, chỉ số |
Nitrogen INS 941 ADI không giới hạn |
|
|
2. Định nghĩa |
Chuyên luận này định nghĩa Nitrogen với hàm lượng oxygen tối đa là 1%, chỉ phù hợp với một số đối tượng thực phẩm. Một số đối tượng thực phẩm khác yêu cầu độ tinh khiết cao hơn (tương ứng với hàm lượng oxygen thấp hơn). |
|
|
Tên hóa học |
Nitrogen |
|
|
Mã số C.A.S. |
7727-37-9 |
|
|
Công thức hóa học |
N2 |
|
|
Khối lượng phân tử |
28,0 |
|
|
3. Cảm quan |
Khí hoặc dạng lỏng không màu, không mùi. |
|
|
4. Chức năng |
Tác nhân làm lạnh, chất khí đẩy, khí dùng trong bao gói |
|
|
5. Yêu cầu kỹ thuật |
||
|
5.1. Định tính |
|
|
|
Thử ngọn lửa |
Ngọn lửa bị tắt trong môi trường tạo ra bởi mẫu thử. |
|
|
5.2. Độ tinh khiết |
|
|
|
Oxygen |
Theo hãng sản xuất công bố, nhưng không được quá 1% (tt/tt) (mô tả trong phần Phương pháp thử). |
|
|
Carbon monoxyd |
Không được qúa 10 µl/l (mô tả trong phần Phương pháp thử). |
|
|
5.3. Hàm lượng |
Không thấp hơn 99,0 % tt/tt. |
|
|
6. Phương pháp thử |
||
|
6.1.Độ tinh khiết |
|
|
|
Oxygen |
Sử dụng thiết bị phân tích oxygen với detector có khoảng làm việc từ 0 - 100 µl/l, gắn với một pin điện hóa. Mẫu khí thử được dẫn qua detector điện hóa chứa dung dịch lỏng, thường là dung dịch kali hydroxyd. Oxygen trong mẫu khí thử sẽ tạo nên sự thay đổi tín hiệu điện. Sự thay đổi này được ghi lại ở đầu ra của pin điện hóa và tỷ lệ với hàm lượng oxygen. Hiệu chuẩn lại thiết bị phân tích theo hướng dẫn của hãng sản xuất. Sử dụng bộ điều áp phù hợp và các ống kim loại không rò khí (airtight) để dẫn khí chạy qua thiết bị phân tích. Vận hành với tốc độ dòng khí đã cho đến khi đạt được tín hiệu ổn định. |
|
|
Carbon monoxyd |
Cho khoảng 1050±50 ml mẫu khí thử chạy qua ống detector đo carbon monoxyd với tốc độ khí được chỉ định cho ống detector. Hàm lượng tương ứng với sự thay đổi tín hiệu thu được không được phép quá 10 µl/l. |
|
|
6.2. Định lượng |
|
|
|
|
Xác định bằng sắc kí khí với các điều kiện đo như sau: Cột tách: vật liệu: thép không rỉ chiều dài : 2m đường kính trong: 2 mm chất nhồi cột: rây phân tử phù hợp, có khả năng hấp thụ các phân tử có đường kính đến 0,5 nm. Khí mang: - Khí: heli (không thấp hơn 99.995 % (v/v) He) - Tốc độ dòng khí: 40 ml/min Detector: Detector dẫn nhiệt Injector: injector vòng Nhiệt độ cột: 50°C Nhiệt độ detector: 130°C Khí đối chiếu (a): không khí Khí đối chiếu (b): Nitrogen (không thấp hơn 99.999 % (tt/tt) của N2, thấp hơn 1 ppm CO, thấp hơn 5 ppm O2) Tiến hành: Bơm khí đối chiếu (a). Điều chỉnh thể tích bơm và điều kiện đo sao cho chiều cao của peak nitrogen trên sắc đồ chiếm ít nhất là 35 % toàn thang ghi. Phép thử sẽ không chính xác nếu sắc đồ không tách được rõ rệt nitrogen và oxygen. Bơm mẫu thử và khí đối chiếu (b). Peak chính trong sắc đồ thu được của mẫu thử phải có diện tích bằng ít nhất là 99,0% diện tích của peak chính thu được trong sắc đồ của khí đối chiếu (b). |
|
|
Phụ lục 2 YÊU CẦU KỸ THUẬT VÀ PHƯƠNG PHÁP THỬ ĐỐI VỚI KHÍ NITROGEN OXYD |
|
|
|
1. Tên khác, chỉ số |
Nitrogen oxyde, dinitrogen monoxyde, INS 942 ADI không giới hạn |
|
|
2. Định nghĩa |
|
|
|
Tên hóa học |
Dinitrogen monoxyd |
|
|
Mã số C.A.S. |
10024-97-2 |
|
|
Công thức hóa học |
N2O |
|
|
Khối lượng phân tử |
44,01 |
|
|
3. Mô tả |
Khí không màu, không mùi. |
|
|
4. Chức năng |
Chất khí đẩy, chất chống oxi hóa, khí dùng trong bao gói, chất tạo bọt |
|
|
5. Yêu cầu kỹ thuật |
||
|
5.1. Định tính |
|
|
|
Độ tan |
1 thể tích mẫu thử hòa tan trong 1,5 thể tích nước (ở 20oC, 760 mm Hg) |
|
|
Thử ngọn lửa |
Gỗ vụn, nung nóng khi tiếp xúc với nitrogen oxyd sẽ cháy bùng thành ngọn lửa (phân biệt với nitrogen). |
|
|
Thử Pyrogallol |
Đạt yêu cầu (phân biệt với oxygen). |
|
|
5.2. Độ tinh khiết |
|
|
|
Carbon monoxyd |
Không được qúa 10 µl/l. |
|
|
Nitric oxyd và nitrogen dioxyd |
Không được qúa 5 µl/l. |
|
|
Các Halogen và hydrogen sulfid |
Không được qúa 5 µl/l. |
|
|
Arsin and phosphin |
Đạt yêu cầu. |
|
|
5.3. Hàm lượng |
Không thấp hơn 97,0 % (tt/tt). |
|
|
6. Phương pháp thử |
||
|
6.1. Định tính |
|
|
|
Thử Pyrogallol |
Lấy khoảng 100 ml khí thử vào ống dung tích 100 ml, đầu ống được gắn khóa vòi. Mở khóa vòi, nhanh chóng thêm vào đó dung dịch 500mg pyrogallol / 2ml nước mới pha và dung dịch 12 g kali hydroxyd/ 8 ml nước mới pha. Lập tức đóng khóa vòi lại, lắc đều. Khí thử không bị hấp thụ và dung dịch không chuyển thành màu nâu. |
|
|
6.2. Độ tinh khiết |
Chú ý: Với các phép thử sau đây, phải giữ bình khí thử tại nhiệt độ phòng ít nhất là 6 giờ trước khi tiến hành phép thử. Trong tất cả các phép thử, bình khí thử phải được giữ thẳng đứng, khi chuyển khí, van khí ra phải hướng lên trên. Nếu không có chỉ dẫn nào khác thì dẫn khí với tốc độ không đổi là 4 L/giờ và tiến hành phép thử hoặc tính toán kết quả tham chiếu với khí ở 20°C và 760 mm Hg. |
|
|
Carbon monoxyd |
Nguyên tắc: Tiến hành phép thử với phần mẫu thử đầu tiên lấy ra từ bình khí. Lấy 5 L nitrogen oxyd để thử và 5,0 L không khí không chứa carbon monoxyd để làm mẫu chứng. Chênh lệch thể tích dung dịch natri thiosulfat 0,002 N dùng để chuẩn độ trong 2 thử nghiệm không được quá 0,5 ml. Thiết bị: Thiết bị bao gồm các phần được nối thành chuỗi như sau: - Ống hình chữ U có chứa silicagel khan nhồi trong crom trioxyd. - Bình rửa khí (loại dreschel) chứa 100 dung dịch kali hydroxyd 40% kl/tt. - Ống hình chữ U đựng các viên kali hydroxyd. - Ống hình chữ U đựng phosphor pentoxyd phân tán trong đá bọt dạng viên nung chảy. - Ống đựng anhydrid iodic (I2O5) đã kết tinh lại, dạng viên, đã được sấy khô ở 200°C và giữ ở nhiệt độ 120°C. Anhydrid iodic khan được nhồi trong ống đặt trong các cột chiều dài lớp anhydrid iodic là 1cm, các lớp anhydrid iodic cách nhau bởi phần bông thủy tinh dày 1 cm sao cho tổng chiều dài hiệu dụng là 5 cm. - Bình có chứa 2 ml dung dịch kali iodid (TS) và 3 giọt dung dịch hồ tinh bột (TS) Tiến hành Sục 5,0 L không khí không chứa carbon dioxyd qua thiết bị. Nếu cần, làm mất màu xanh của dung dịch iod bằng cách thêm vào đó một lượng tối thiểu dung dịch natri thiosulfat 0,002 N mới pha. Tiếp tục sục khí qua thiết bị cho đến khi thể tích dung dịch natri thiosulfat 0,002 N cần dùng không lớn hơn 0,045 ml, sau khi đã sục 5 L không khí không chứa carbon dioxyd. Dẫn khí chạy từ bình khí qua thiết bị đo, với thể tích và tốc độ dòng khí như đã mô tả trong chuyên luận. Chuyển toàn bộ lượng vết iod tạo thành vào bình phản ứng bằng cách cho 1 L không khí không chứa carbon monoxyd chạy qua thiết bị. Chuẩn độ lượng iod được giải phóng bằng dung dịch natri thiosulfat 0,002 N. Tiến hành làm mẫu trắng song song, với khí không có carbon monoxyd. Hiệu thể tích natri thiosulfat 0,002 N cần dùng giữa 2 lần chuẩn độ không được lớn hơn giới hạn đã cho trong các chuyên luận. |
|
|
Nitric oxyd và nitrogen dioxyd |
Nguyên tắc: Tiến hành phép thử sau khi 5 L mẫu thử dùng trong phép thử carbon monoxyd đã được rút ra khỏi bình khí. Dẫn khí chạy qua dung dịch chứa kali permanganat 2,5 % (kl/tt) và acid sulfuric 1,2 % (kl/tt) và chạy vào ống lấy mẫu chân không có dung tích 1 L với tốc độ khí là 15,0 L/giờ. Dẫn khí cho đến khi áp suất trong ống đạt được 50 mm dưới áp suất khí quyển, đo theo áp kế thuỷ ngân. Tính thể tích khí ở 20°C và 760 mm Hg. Dung dịch acid sulfanilic/naphthylendiamin (TS): - Dung dịch I: Hòa tan 2 g acid sulfanilic (TS) vào hỗn hợp 10 ml acid acetic băng và 180 ml nước. - Dung dịch II: Hòa tan 0,2 g naphthylendiamin dihydroclorid vào 10 ml dung dịch acid acetic băng 50% (tt/tt) đun nóng nhẹ và pha loãng thành 200 ml bằng nước. Trộn 9 thể tích dung dịch I với 1 thể tích dung dịch II Tiến hành Cho 20,0 ml dung dịch acid sulfanilic /naphthylendiamin (TS) vào ống lấy mẫu bằng cách nhúng đáy ống vào đĩa chứa hỗn hợp và cẩn thận mở vòi khóa. Lắc ống, sau đó để yên trong 10 phút (thỉnh thoảng lắc một lần). Chuẩn bị dung dịch đối chứng bằng cách thêm 0,25 ml dung dịch natri nitrit 0.00308% (kl/tt) vào 20,0 ml dung dịch acid sulfanilic /naphthylendiamin (TS). Đo độ hấp thụ quang của lớp dung dịch thu được dày 1 cm tại bước sóng 550 nm và hiệu chỉnh kết quả theo 1,0 L khí tại 20°C và 760 mmHg. Độ hấp thụ quang đo được ở thử nghiệm của 1,0 L mẫu thử không được vượt quá giá trị tương ứng của dung dịch đối chứng. |
|
|
Các halogen và hydrogen sulfid |
Chú ý: Trong thử nghiệm sau, phải dẫn khí vào một bình thủy tinh kín, đáy phẳng. Ống này được nối với (a) một ống dẫn có đường kính trong 1 mm; cách đáy bình 2 mm và (b) ống dẫn khí ra. Ống dẫn khí được nhúng ngập trong thuốc thử ở độ sâu từ 12 đến 14 cm. Cho 10,0 L mẫu khí thử chạy qua 49 ml nước có chứa 1 ml dung dịch bạc nitrat (TS). Dung dịch không bị sẫm màu. Sau 5 phút, nếu như dung dịch bị đục, có màu trắng sữa, độ đục của dung dịch không được phép đậm hơn độ đục của của hỗn hợp gồm 1 ml dung dịch bạc nitrat (TS), 20 ml dung dịch clorid chuẩn (5 mg Cl/1L) và 0,15 ml acid nitric loãng (TS), được pha loãng bằng nước thành 50 ml và để yên trong 5 phút. |
|
|
Arsin và phosphin
|
Dung dịch DDC bạc/Quinolin (TS): hòa tan 50 mg bột mịn bạc nitrat vào 100 ml quinolin và thêm vào đó 0,2 g bạc diethyldithiocarbamat. Sử dụng thuốc thử ngay sau khi pha. Tiến hành: dẫn 10,0 L khí thử, tốc độ 1,0 L/phút chạy qua một ống thủy tinh nhồi bông tẩm dung dịch chì acetat (TS) có đầu sục khí hình vòm bằng thủy tinh xốp, độ xốp 100, vào một ống có đường kính trong khoảng 2,5 cm, có chứa 5 ml dung dịch DDC bạc/Quinolin (TS). Đầu sục khí gần như tiếp xúc với đáy của ống. Mầu của dung dịch DDC bạc/Quinolin (TS) không được thay đổi. |
|
|
6.3. Định lượng |
Dùng buret khí (xem hình vẽ) có dung tích 100 ml. Phần trên của buret có vòi 2 chiều gắn với 2 ống mao quản, một ống mao quản (ống A) được dùng để đưa khí vào thiết bị, ống mao quản kia (ống B) được nối với sinh hàn (C) và áp kế (M). Phần duới của buret có vòi 1 chiều nối với bình thủy ngân bằng một ống cao su. Phần trên của buret khí được chia độ từ 0 đến 5 ml, theo thang 10 vạch/1 ml; và phần dưới được chia độ từ 99,5 đến 100,5 ml, theo thang 10 vạch/1 ml. Ống mao quản (B) được nối với một ống nối mao quản thẳng đứng tạo thành khớp nối 4 chiều, phần dưới ống nối của khớp nối được nối với một ống ngưng sinh hàn (C) có dung tích 60 ml. Ống bên phải của khớp nối được nối với một áp kế thủy ngân (M). Vòi (D) của ống nối trên mở thông với không khí bên ngoài.
Đóng 3 vòi khí lại và nhúng ống sinh hàn vào nitrogen lỏng đến ngang phần trên của ống sinh hàn. Bằng cách điều chỉnh vòi 2 chiều và bình thủy ngân động, tạo môi trường bán chân không trong hệ thiết bị với áp suất tùy ý từ Po 50 đến 60 mm Hg (đo chính xác). Áp suất này phải được giữ không đổi trong 10 phút để hiển thị rằng thiết bị kín khí. Mở vòi 2 chiều vào ống (A) và lấp đầy buret và ống (A) bằng thủy ngân. Đóng vòi 2 chiều. Nối ống cao su vào van thoát khí của bình đựng nitrogen oxyd và cho dòng nitrogen oxyd chạy qua ống cao su trong 1 phút. Trong khi cho khí chạy qua, nối ống cao su với ống (A) và ngay lập tức mở vòi 2 chiều vào ống (A). Cho 100 ml nitrogen oxyd chạy vào buret bằng cách hạ thấp bình thủy ngân. Đóng vòi 2 chiều lại. Nâng bình thủy ngân cao trên ống (A) và hạ thấp mức nitrogen lỏng xuống ngang mức giữa ống sinh hàn. Cẩn thận mở vòi buret nỗi thông với sinh hàn hồi lưu và cho thủy ngân dâng vào buret đến ngang vòi. Đóng vòi lại. Nâng mức nitrogen lỏng lên sao cho ngập toàn bộ sinh hàn. Đọc số chỉ áp suất và đợi đến khi áp suất ổn định trong vòng 2 phút. Đặt bình thủy ngân vào vị trí đáy, mở vòi buret nối thông với sinh hàn hồi lưu. Dịch chuyển bình thủy ngân sao cho số chỉ trên áp kế bằng với áp suất ban đầu Po. Đóng vòi buret lại và bằng cách dịch chuyển bình thủy ngân tạo áp suất khí trong buret bằng với áp suất khí quyển. Thể tích khí trong buret (ml) biểu thị thể tích khí không ngưng tụ trong 100 ml khí nitrogen oxyd. Thể tích khí không ngưng tụ không được quá 3 ml. Cứ sau mỗi loạt 10 thử nghiệm lại cho không khí vào buret bằng cách mở vòi (D), tháo hết nitrogen lỏng ra khỏi sinh hàn và để sinh hàn ấm đến nhiệt độ phòng.
|
|

CỘNG HOÀ XÃ HỘI CHỦ NGHĨA VIỆT NAM
QUY CHUẨN KỸ THUẬT QUỐC GIA
VỀ PHỤ GIA THỰC PHẨM - CHẤT ĐỘN
National technical regulation on Food Additive – Bulking agent
HÀ NỘI - 2010
Lời nói đầu
QCVN 4- :2010/BYT do Ban soạn thảo quy chuẩn kỹ thuật quốc gia về Phụ gia thực phẩm và chất hỗ trợ chế biến biên soạn, Cục An toàn vệ sinh thực phẩm trình duyệt và được ban hành theo Thông tư số …./2010/TT-BYT ngày …. tháng …. năm 2010 của Bộ trưởng Bộ Y tế.
QUY CHUẨN KỸ THUẬT QUỐC GIA
VỀ PHỤ GIA THỰC PHẨM - CHẤT ĐỘN
National technical regulation on Food Additive – Bulking agent
I. QUY ĐỊNH CHUNG
1. Phạm vi điều chỉnh
Quy chuẩn kỹ thuật quốc gia (sau đây gọi tắt là Quy chuẩn) này quy định các yêu cầu kỹ thuật và quản lý về chất lượng, vệ sinh an toàn đối với các chất độn được sử dụng với mục đích làm phụ gia thực phẩm.
2. Đối tượng áp dụng
Quy chuẩn này áp dụng đối với:
2.1. Tổ chức, cá nhân nhập khẩu, xuất khẩu, sản xuất, buôn bán và sử dụng các chất độn làm phụ gia thực phẩm (sau đây gọi tắt là tổ chức, cá nhân).
2.2. Cơ quan quản lý nhà nước có liên quan.
3. Giải thích từ ngữ và chữ viết tắt:
3.1. Chất độn: là phụ gia thực phẩm được bổ sung vào thành phần chính của thực phẩm với giá trị năng lượng không đáng kể.
3.2. JECFA monograph 1 - Vol. 4 (JECFA monographs 1 - Combined compendium of food additive specifications; Joint FAO/WHO expert committee on food additives; Volume 4 - Analytical methods, test procedures and laboratory solutions used by and referenced in the food additive specifications; FAO, 2006): Các yêu cầu kỹ thuật đối với phụ gia thực phẩm, Tập 4 Các phương pháp phân tích, quy trình thử nghiệm, dung dịch thử nghiệm được sử dụng (hoặc tham chiếu) trong yêu cầu kỹ thuật đối với phụ gia thực phẩm; JECFA biên soạn; FAO ban hành năm 2006.
3.3. Mã số C.A.S (Chemical Abstracts Service): Mã số đăng ký hóa chất của Hiệp hội Hóa chất Hoa Kỳ.
3.4. TS (test solution): Dung dịch thuốc thử.
3.5. ADI (Acceptable daily intake): Lượng ăn vào hàng ngày chấp nhận được.
3.6. INS (International numbering system): Hệ thống mã số quốc tế về phụ gia thực phẩm.
II. YÊU CẦU KỸ THUẬT, PHƯƠNG PHÁP THỬ VÀ LẤY MẪU
1. Yêu cầu kỹ thuật và phương pháp thử đối với các chất độn được quy định tại các phụ lục ban hành kèm theo Quy chuẩn này như sau:
|
1.1. |
Phụ lục 1: |
Yêu cầu kỹ thuật và phương pháp thử đối với celulose vi tinh thể |
|
1.2. |
Phụ lục 2: |
Yêu cầu kỹ thuật và phương pháp thử đối với sáp carnauba |
|
1.3. |
Phụ lục 3: |
Yêu cầu kỹ thuật và phương pháp thử đối với natri alginat |
2. Các yêu cầu kỹ thuật quy định trong Quy chuẩn này được thử theo JECFA monograph 1 - Vol. 4, ngoại trừ một số phép thử riêng được mô tả trong các phụ lục. Các phương pháp thử được hướng dẫn trong Quy chuẩn này không bắt buộc phải áp dụng, có thể sử dụng các phương pháp thử khác tương đương.
3. Lấy mẫu theo hướng dẫn tại Thông tư 16/2009/TT-BKHCN ngày 02 tháng 6 năm 2009 của Bộ Khoa học và Công nghệ về hướng dẫn kiểm tra nhà nước về chất lượng hàng hóa lưu thông trên thị trường và các quy định khác của pháp luật có liên quan.
III. YÊU CẦU QUẢN LÝ
1. Công bố hợp quy
1.1. Các chất độn phải được công bố phù hợp với các quy định tại Quy chuẩn này.
1.2. Phương thức, trình tự, thủ tục công bố hợp quy được thực hiện theo Quy định về chứng nhận hợp chuẩn, chứng nhận hợp quy và công bố hợp chuẩn, công bố hợp quy ban hành kèm theo Quyết định số 24/2007/QĐ-BKHCN ngày 28 tháng 9 năm 2007 của Bộ trưởng Bộ Khoa học và Công nghệ và các quy định của pháp luật.
2. Kiểm tra đối với chất độn
Việc kiểm tra chất lượng, vệ sinh an toàn đối với các chất độn phải thực hiện theo các quy định của pháp luật.
IV. TRÁCH NHIỆM CỦA TỔ CHỨC, CÁ NHÂN
1. Tổ chức, cá nhân phải công bố hợp quy phù hợp với các quy định kỹ thuật tại Quy chuẩn này, đăng ký bản công bố hợp quy tại Cục An toàn vệ sinh thực phẩm và bảo đảm chất lượng, vệ sinh an toàn theo đúng nội dung đã công bố.
2. Tổ chức, cá nhân chỉ được nhập khẩu, xuất khẩu, sản xuất, buôn bán và sử dụng các chất độn sau khi hoàn tất đăng ký bản công bố hợp quy và bảo đảm chất lượng, vệ sinh an toàn, ghi nhãn phù hợp với các quy định của pháp luật.
V. TỔ CHỨC THỰC HIỆN
1. Giao Cục An toàn vệ sinh thực phẩm chủ trì, phối hợp với các cơ quan chức năng có liên quan hướng dẫn triển khai và tổ chức việc thực hiện Quy chuẩn này.
2. Căn cứ vào yêu cầu quản lý, Cục An toàn vệ sinh thực phẩm có trách nhiệm kiến nghị Bộ Y tế sửa đổi, bổ sung Quy chuẩn này.
3. Trường hợp hướng dẫn của quốc tế về phương pháp thử và các quy định của pháp luật viện dẫn trong Quy chuẩn này được sửa đổi, bổ sung hoặc thay thế thì áp dụng theo văn bản mới.
|
Phụ lục 1 YÊU CẦU KỸ THUẬT VÀ PHƯƠNG PHÁP THỬ ĐỐI VỚI CELULOSE VI TINH THỂ |
|
|
|
1. Tên khác, chỉ số |
Mycrocrystalline cellulose; Cellulose gel; INS 460 ADI không giới hạn. |
|
|
2. Định nghĩa |
Celulose tinh khiết, được cắt mạch một phần bằng cách xử lý alpha-celulose, thu được như một khối bột nhão từ các nguyên liệu thực vật dạng sợi xử lý với các acid vô cơ. Độ polyme hóa thường nhỏ hơn 400. Không quá 10% tiểu phân có đường kính nhỏ hơn 5 mm. |
|
|
Tên hóa học |
Celulose |
|
|
Mã số C.A.S. |
9004-34-6 |
|
|
Công thức hóa học |
(C6H10O5)n
|
|
|
3. Cảm quan |
Bột tinh thể trơn chảy, mịn, màu trắng hoặc gần như trắng, không mùi. |
|
|
4. Chức năng |
Chất độn, chất nhũ hóa, chất ổn định, chất chống đông vón, tác nhân phân tán. |
|
|
5. Yêu cầu kỹ thuật |
||
|
5.1. Định tính |
|
|
|
Độ tan |
Không tan trong nước, ethanol, ether và các acid vô cơ loãng. Ít tan trong dung dịch natri hydroxyd. |
|
|
Hấp thụ hồng ngoại |
Phổ hấp thụ hồng ngoại của mẫu thử phân tán trong kali bromid phải tương ứng với phổ hồng ngoại dưới đây. |
|
|
Tạo huyền phù |
Phải có phản ứng tạo huyền phù đặc trưng |
|
|
5.2. Độ tinh khiết |
|
|
|
Giảm khối lượng khi làm khô |
Không được quá 7,0 %. (sấy tại 105°C, trong 3 giờ). |
|
|
pH |
5,0 - 7,5 |
|
|
Các chất tan trong nước |
Không được quá 0,24 %. |
|
|
Tro sulfat |
Không được quá 0,05 %. |
|
|
Tinh bột |
Không phát hiện. |
|
|
Chì |
Không được quá 2,0 mg/kg. |
|
|
5.3. Hàm lượng |
Không thấp hơn 97% carbohydrat, tính theo celulose trên chế phẩm khô. |
|
|
6. Phương pháp thử |
||
|
6.1. Định tính |
|
|
|
Tạo huyền phù |
Trộn 30 g mẫu thử với 270 ml nước trong máy trộn tốc độ cao (18.000 vòng/phút) trong 5 phút. Chuyển 100 ml hỗn hợp vào ống đong chia độ dung tích 100 ml, để yên trong 3 giờ. Thu được một huyền phù trắng, đục, không có bọt, huyền phù này sau đó phân lớp . |
|
|
6.2. Độ tinh khiết |
|
|
|
pH |
Lắc 5 g mẫu thử với 40 ml nước trong 20 phút và đem ly tâm. Xác định pH của phần dung dịch phía trên. |
|
|
Các chất tan trong nước |
Lắc 5 g mẫu thử với khoảng 80 ml nước trong 10 phút, lọc qua giấy lọc Whatman No.42 hoặc giấy lọc tương đuơng, thu dịch lọc vào bình đã cân bì, rửa phần còn lại trên giấy lọc bằng 20 ml nước và đun cách thủy đến khô. Sấy khô ở nhiệt độ 105°C trong 1 giờ, làm nguội, cân và tính % khối lượng. |
|
|
Tro sulfat
|
Thử theo JECFA monograph 1 - Vol.4 - Phương pháp 1, (cân 10 g mẫu). |
|
|
Tinh bột |
Thêm vài giọt dung dịch iod (TS) vào 20 ml huyền phù thu được từ phép thử định tính tinh bột, trộn đều. Không được phép xuất hiện màu tím xanh hoặc màu xanh. |
|
|
Chì |
- Thử theo JECFA monograph 1 - Vol.4. - Xác định bằng kỹ thuật quang phổ hấp thụ nguyên tử thích hợp cho hàm lượng quy định. Lựa chọn cỡ mẫu thử và phương pháp chuẩn bị mẫu dựa trên nguyên tắc của phương pháp mô tả trong JECFA monograph 1 - Vol.4 phần các phương pháp phân tích công cụ. |
|
|
6.3. Định lượng |
|
|
|
|
Cân khoảng 125 mg (chính xác đến mg) mẫu thử, chuyển vào bình nón 300 ml bằng khoảng 25 ml nước. Thêm 50,0 ml kali dicromat 0,5 N vào và trộn đều. Cẩn thận thêm 100 ml acid sulfuric và đun đến sôi. Lấy dung dịch ra, để ở nhiệt độ phòng trong 15 phút và làm mát bằng cách ngâm trong bể điều nhiệt. Chuyển dung dịch thu được vào bình định mức 250 ml. Rửa bình nón bằng nước cất, gộp dịch rửa vào bình định mức và pha loãng gần tới vạch bằng nước. Đợi nhiệt độ của bình định mức đạt tới nhiệt độ phòng (25°C), sau đó định mức tới vạch bằng nước và lắc đều. Chuẩn độ 50 ml dung dịch thu được với dung dịch sắt (II) amoni sulfat 0,1N, sử dụng 2 đến 3 giọt dung dịch ortho-phenanthrolin (TS) làm chỉ thị và ghi lại thể tích đã sử dụng (S) ml. Tiến làm mẫu trắng song song và ghi lại thể tích dung dịch sắt (II) amoni sulfat tiêu tốn (B) ml. Tính phần trăm celulose trong mẫu thử theo công thức sau:
trong đó: W là khối lượng mẫu thử, mg, đã được hiệu chỉnh khối lượng sau khi làm khô. |
|
|
Phổ hồng ngoại |
Celulose vi tinh thể
|
|
|
Phụ lục 2 YÊU CẦU KỸ THUẬT VÀ PHƯƠNG PHÁP THỬ ĐỐI VỚI SÁP CARNAUBA |
|
|
|
1. Tên khác, chỉ số |
INS 903 ADI = 0-7 mg/kg |
|
|
2. Định nghĩa |
Sáp tinh luyện thu được từ lá của cây cọ nhiệt đới Brazil Copernicia cerifera (Arruda) Mart. [syn. C. purnifera (Muell.)]; là hỗn hợp của một số hợp chất hoias học, chủ yếu là các ester, ví dụ như: - Các ester mạch thẳng (Ester giữa các acid mạch thẳng có mạch carbon chẵn từ C24 đến C28 và các rượu mạch thẳng có mạch carbon chẵn từ C30 đến C34). - Các ester alpha-hydroxy (Ester giữa các hydroxyl acid mạch thẳng có mạch carbon chẵn từ C22 đến C28, các acid mạch thẳng có mạch carbon chẵn từ C24 đến C28, và các rượu đơn chức mạch thẳng có mạch carbon chẵn từ C24 đến C34 và rượu diol mạch thẳng có mạch carbon chẵn từ C24 đến C34 ). - Các Diester cinnamic aliphatic (Ester giữa acid p-methoxy cinnamic và các rượu diol mạch thẳng có mạch carbon chẵn từ C24 đến C34 ). Ngoài ra chế phẩm cũng chứa các acid tự do (các acid mạch thẳng có mạch carbon chẵn từ C22 đến C28), các rượu tự do (các rượu mạch thẳng có mạch carbon chẵn từ C30 đến C34), các hydrocarbon (mạch thẳng có mạch carbon lẻ từ C27 đến C31) và nhựa. |
|
|
Mã số C.A.S. |
8015-86-9 |
|
|
3. Cảm quan |
Dạng rắn, cứng, ròn màu vàng nhạt đến nâu sáng, có vết nứt trong. |
|
|
4. Chức năng |
Chất làm bóng, chất độn, chất điều chỉnh độ acid, chất mang. |
|
|
5. Yêu cầu kỹ thuật |
||
|
5.1. Định tính |
|
|
|
Độ tan |
Không tan trong nước, ít tan trong ethanol sôi và tan trong ether. |
|
|
Khoảng nóng chảy |
80oC - 86oC |
|
|
5.2. Độ tinh khiết |
|
|
|
Chỉ số acid |
Từ 2 đến 7. |
|
|
Chỉ số xà phòng hóa |
Từ 78 đến 95. |
|
|
Chỉ số ester |
Từ 71 đến 93. Chỉ số ester thu được khi lấy giá trị chỉ số xà phòng hóa trừ đi giá trị chỉ số acid. |
|
|
Tro sulfat |
Không được quá 0,25 % (kl/kl). |
|
|
Các chất không xà phòng hóa |
Từ 50% đến 55%. |
|
|
Chì |
Không được quá 2,0 mg/kg. |
|
|
6. Phương pháp thử |
||
|
6.1. Độ tinh khiết |
|
|
|
Tro sulfat |
Cân 2 g mẫu thử vào một chén sứ hoặc đĩa platin đã xác định trọng lượng bì, đun trên lửa đến khi hơi bay ra không còn mùi hăng. Nung theo hướng dẫn tại huyên luận xác định tro sulfat, phương pháp I - JECFA monograph 1 - Vol.4). |
|
|
Các chất không xà phòng hóa |
Cân 5 g mẫu thử, chính xác đến mg, cho vào bình dung tích 250 ml thêm vào cốc dung dịch gồm 2g kali hydroxyd trong 40 ml ethanol, đun hồi lưu (sôi nhẹ) trong khoảng 1 giờ hoặc đến khi quá trình xà phòng hóa xảy ra hoàn toàn. Sau khi kết thúc đun hồi lưu, chuyển hỗn hợp trong bình và một phễu chiết có nút thủy tinh dài khoảng 30 cm, đường kinh 3,5 cm và có chia vạch thể tích (ở 40,80 và 130 ml). Tráng bình cất bằng cồn, gộp dịch tráng vào phễu chiết, sao cho đủ 40 ml; tiếp tục tráng bình bằng nước cất nóng, nước cất lạnh, gộp dịch tráng vào phễu chiết sao cho đạt khoảng 80 ml; cuối cùng tráng bình cất bằng vài ml ether dầu hỏa, gộp dịch tráng vào phễu chiết, làm mát phễu chiết và dịch trong phễu về nhiệt độ phòng, thêm 50 ml ether dầu hỏa. Đậy nút phễu chiết và lắc đều trong ít nhất 1 phút, để tách lớp hỗn hợp đến khi hỗn hợp trong phễu chiết tách thành 2 lớp, trong. Gạn lấy lớp ether phía trên vào phễu chiết 500 ml (chú ý không để lẫn lớp dịch phía dưới). Lặp lại 6 lần quá trình chiết như trên với lớp dịch nước, mỗi lần với 50 ml ether dầu hỏa, gộp các dịch chiết ether dầu hỏa vào phễu chiết 500 ml. Rửa dịch chiết ether dầu hỏa trong phễu chiết 500 ml nhiều lần, mỗi lần với 25 ml ethanol 10%, lắc đều, rửa cho đến khi dịch rửa cồn trung tính với phenolphtalein, loại bỏ dịch rửa cồn. Cho dịch ether dầu hỏa đã rửa vào cốc đã xác định trọng lượng bì, rửa phễu chiết bằng 10 ml ether, gộp dịch rửa này vào cốc đựng dịch ether dầu hỏa. Cho bay hơi hỗn hợp trong cốc đến khô trên hơi nước của bể cách thủy. Sấy khô cặn đến khối lượng không đổi tại 75oC đến 80oC trong chân không không quá 200 mmHg hoặc tại 100oC trong 30 phút. Để nguội trong trong bình hút ẩm, cân khối lượng cặn còn lại (các chất không xà phòng hóa). Hòa tan cặn trong 50 ml ethanol trung tính ấm và chuẩn độ với natri hydroxyd 0,02N, sử dụng chỉ thị là phenolphtalein. Mỗi ml natri hydroxyd 0,02N tương đương với 5,659 mg acid béo, tính theo acid oleic. Hiệu chỉnh kết quả: Lấy khối lượng cặn thu được trừ đi khối lượng acid béo thu được khối lượng chính xác các chất không xà phòng hóa trong mẫu thử. |
|
|
Chì |
- Thử theo JECFA monograph 1 - Vol.4. - Xác định bằng kỹ thuật quang phổ hấp thụ nguyên tử thích hợp cho hàm lượng quy định. Lựa chọn cỡ mẫu thử và phương pháp chuẩn bị mẫu dựa trên nguyên tắc của phương pháp mô tả trong JECFA monograph 1 - Vol.4 phần các phương pháp phân tích công cụ. |
|
|
Phụ lục 3 YÊU CẦU KỸ THUẬT VÀ PHƯƠNG PHÁP THỬ ĐỐI VỚI NATRI ALGINAT |
|
|
||
|
1. Tên khác, chỉ số |
INS 401 ADI không giới hạn |
|
||
|
2. Định nghĩa |
Muối natri của acid alginic |
|
||
|
Mã số C.A.S. |
9005-38-3 |
|
||
|
Công thức hóa học |
(C6H7NaO6)n |
|
||
|
Công thức cấu tạo |
Công thức cấu tạo do Phillips, Wedlock and Williams công bố trong Gums and Stabilizers for the Food Industry 5 (1990), nhà xuất bản Oxford University Press.
Số lượng và trình tự của các phần mannuronat và gluconat có thể thay đổi trong alginat tự nhiên. Công thức trên chưa thể hiện sự kết hợp với nước. |
|
||
|
Khối lượng phân tử |
Đơn vị cấu trúc : 198,11 (lý thuyết); 222 (trung bình trên thực tế). Đại phân tử: 10000-600000 (trung bình thông thường) |
|
||
|
3. Cảm quan |
Dạng hạt, bột hoặc sợi mảnh màu trắng đến vàng nâu. |
|
||
|
4. Chức năng |
Chất độn, chất ổn định, chất làm dày, chất tạo gel, chất nhũ hóa |
|
||
|
5. Yêu cầu kỹ thuật |
|
|||
|
5.1. Định tính |
|
|
||
|
Độ tan |
Tan chậm trong nước, tạo ra dung dịch nhớt. Không tan trong ethanol và ether. |
|
||
|
Tạo kết tủa với calci clorid |
Phải có phản ứng kết tủa đặc trưng với calci clorid.
|
|
||
|
Tạo kết tủa với amoni sulfat |
Phải có phản ứng kết tủa đặc trưng với amoni sulfat.
|
|
||
|
Alginat |
Phải có phản ứng đặc trưng của alginat. |
|
||
|
Natri |
Phải có phản ứng đặc trưng của natri. |
|
||
|
5.2. Độ tinh khiết |
|
|
||
|
Giảm khối lượng khi sấy khô |
Không được quá 15% (Sấy tại 105oC trong 4 giờ). |
|
||
|
Chất không tan trong nước |
Không được quá 2% tính theo chế phẩm khô. |
|
||
|
Arsen |
Không được quá 3,0 mg/kg. |
|
||
|
Chì |
Không được quá 5,0 mg/kg.
|
|
||
|
5.3. Yêu cầu về vi sinh vật |
|
|||
|
Tổng số vi sinh vật hiếu khí |
Không được quá 5000 khuẩn lạc/g. |
|
||
|
Tổng số bào tử nấm men-mốc |
Không được quá 500 khuẩn lạc/g
|
|
||
|
Coliforms |
Âm tính |
|
||
|
Salmonella |
Âm tính |
|
||
|
5.3. Hàm lượng (C6H7NaO6)n |
Chế phẩm khan chứa không thấp hơn 18,0% và không được quá 21,0% CO2 tương đương với không thấp hơn 90,8% và không được quá 106,0% natri alginat (C6H7NaO6)n. |
|
||
|
6. Phương pháp thử |
|
|||
|
6.1. Định tính |
|
|
||
|
Tạo kết tủa với calci clorid |
Thêm dung dịch calci clorid 2,5% vào dịch thử là dung dịch mẫu thử 0,5% trong dung dịch natri hydroxyd (TS), với thể tích bằng 1/5 thể tích dịch thử. Xuất hiện tủa khối lớn dạng keo. Phép thử này phân biệt calci alginat với gôm arabic, natri carboxymethyl celulose, carragenan, gelatin, gôm ghatti, gôm karaya, gôm carob bean, methyl celulose, gôm tragacanth. |
|
||
|
Tạo kết tủa với amoni sulfat |
Thêm dung dịch amoni sulfat bão hòa vào dịch thử là dung dịch mẫu thử 0,5% trong dung dịch natri hydroxyd (TS), với thể tích bằng 1/2 thể tích dịch thử. Không được xuất hiện tủa. Phép thử này phân biệt calci alginat với thạch, natri carboxymethyl celulose, carragenan, pectin de-este hóa, gelatin, gôm carob bean, methyl celulose và tinh bột. |
|
||
|
Alginat |
Thử theo JECFA monograph 1 - Vol.4. |
|
||
|
Natri |
Thử theo JECFA monograph 1 - Vol.4. |
|
||
|
6.2. Độ tinh khiết |
|
|
||
|
Chất không tan trong nước |
Cân 2 g (chính xác đến 0,1 mg) mẫu, hòa vào 800 ml nước trong bình 2000 ml. Trung hòa tới pH 7 bằng dung dịch natri hydroxyd (TS) và thêm dư 3 ml. Thêm 40 ml dung dịch hydro peroxyd 30% (kl/kl), đậy bình và đun trong khoảng 1 giờ, khuấy thường xuyên. Lọc nóng qua một chén lọc Gooch có màng lọc bằng xơ thủy tinh đã cân bì (2,4 cm, No 934 AH, Reeve Angel & Co, Clifton, N.Y., USA ho ặc tương đương). Nếu quá trình lọc bị chậm do dung dịch mẫu có độ nhớt cao, đun sôi đến khi độ nhớt giảm đến mức có thể lọc được. Rửa kỹ chén lọc bằng nước nóng, sấy chén lọc và phần chất không tan tại 105o trong 1 giờ, để nguội và cân. Tính hàm lượng % của phần chất không tan đã sấy khô. |
|
||
|
Arsen |
Thử theo JECFA monograph 1 - Vol.4. phương pháp II. |
|
||
|
Chì |
- Thử theo JECFA monograph 1 - Vol.4. - Xác định bằng kỹ thuật quang phổ hấp thụ nguyên tử thích hợp cho hàm lượng quy định. Lựa chọn cỡ mẫu thử và phương pháp chuẩn bị mẫu dựa trên nguyên tắc của phương pháp mô tả trong JECFA monograph 1 - Vol.4 phần các phương pháp phân tích công cụ. |
|
||
|
6.3. Các yêu cầu về VSV |
|
|
||
|
Tổng số vi sinh vật hiếu khí |
Ban đầu chuẩn bị đậm độ pha loãng gốc 10-1 bằng cách thêm 50g mẫu vào 450ml dung dịch pha loãng đệm phosphat Butterfield và đồng nhất mẫu bằng máy trộn tốc độ cao. |
|
||
|
6.2. Định lượng |
|
|
||
|
|
Tiến hành theo hướng dẫn trong chuyên luận Xác định carbon dioxyd bằng phương pháp decarboxyl hóa tại JECFA monograph 1 - Vol.4. Mỗi ml natri hydroxyd 0,25 N sử dụng tương đương với 5,5 mg carbon dioxyd hoặc 27,75 mg natri alginat (tương đương khối lượng 222). |
|
||

CỘNG HOÀ XÃ HỘI CHỦ NGHĨA VIỆT NAM
QUY CHUẨN KỸ THUẬT QUỐC GIA
VỀ PHỤ GIA THỰC PHẨM - CHẤT XỬ LÝ BỘT
National technical regulation on Food Additive – Flour treatment agent
HÀ NỘI - 2010
Lời nói đầu
QCVN 4- :2010/BYT do Ban soạn thảo quy chuẩn kỹ thuật quốc gia về Phụ gia thực phẩm và chất hỗ trợ chế biến biên soạn, Cục An toàn vệ sinh thực phẩm trình duyệt và được ban hành theo Thông tư số …./2010/TT-BYT ngày …. tháng …. năm 2010 của Bộ trưởng Bộ Y tế.
QUY CHUẨN KỸ THUẬT QUỐC GIA
VỀ PHỤ GIA THỰC PHẨM - CHẤT XỬ LÝ BỘT
National technical regulation on Food Additive – Flour treatment agent
I. QUY ĐỊNH CHUNG
1. Phạm vi điều chỉnh
Quy chuẩn kỹ thuật quốc gia (sau đây gọi tắt là Quy chuẩn) này quy định các yêu cầu kỹ thuật và quản lý về chất lượng, vệ sinh an toàn đối với các chất xử lý bột được sử dụng với mục đích làm phụ gia thực phẩm.
2. Đối tượng áp dụng
Quy chuẩn này áp dụng đối với:
2.1. Tổ chức, cá nhân nhập khẩu, xuất khẩu, sản xuất, buôn bán và sử dụng các chất xử lý bột làm phụ gia thực phẩm (sau đây gọi tắt là tổ chức, cá nhân).
2.2. Cơ quan quản lý nhà nước có liên quan.
3. Giải thích từ ngữ và chữ viết tắt:
3.1. Chất xử lý bột: là phụ gia thực phẩm được bổ sung vào bột nhằm cải thiện chất lượng nướng hoặc màu cho thực phẩm.
3.2. JECFA monograph 1 - Vol. 4 (JECFA monographs 1 - Combined compendium of food addiditive specifications; Joint FAO/WHO expert committee on food additives; Volume 4 - Analytical methods, test procedures and laboratory solutions used by and referenced in the food additive specifications; FAO, 2006): Các yêu cầu kỹ thuật đối với phụ gia thực phẩm, Tập 4 Các phương pháp phân tích, quy trình thử nghiệm, dung dịch thử nghiệm được sử dụng (hoặc tham chiếu) trong yêu cầu kỹ thuật đối với phụ gia thực phẩm; JECFA biên soạn; FAO ban hành năm 2006.
3.3. Mã số C.A.S (Chemical Abstracts Service): Mã số đăng ký hóa chất của Hiệp hội Hóa chất Hoa Kỳ.
3.4. TS (test solution): Dung dịch thuốc thử.
3.5. ADI (Acceptable daily intake): Lượng ăn vào hàng ngày chấp nhận được.
3.6. INS (International numbering system): Hệ thống mã số quốc tế về phụ gia thực phẩm.
II. YÊU CẦU KỸ THUẬT, PHƯƠNG PHÁP THỬ VÀ LẤY MẪU
1. Yêu cầu kỹ thuật và phương pháp thử đối với azodicarbonamid sử dụng làm chất xử lý bột được quy định tại phụ lục ban hành kèm theo Quy chuẩn này.
2. Các yêu cầu kỹ thuật quy định trong Quy chuẩn này được thử theo JECFA monograph 1 - Vol. 4, ngoại trừ một số phép thử riêng được mô tả trong phụ lục. Các phương pháp thử được hướng dẫn trong Quy chuẩn này không bắt buộc phải áp dụng, có thể sử dụng các phương pháp thử khác tương đương.
3. Lấy mẫu theo hướng dẫn tại Thông tư 16/2009/TT-BKHCN ngày 02 tháng 6 năm 2009 của Bộ Khoa học và Công nghệ về hướng dẫn kiểm tra nhà nước về chất lượng hàng hóa lưu thông trên thị trường và các quy định khác của pháp luật có liên quan.
III. YÊU CẦU QUẢN LÝ
1. Công bố hợp quy
1.1. Các chất xử lý bột phải được công bố phù hợp với các quy định tại Quy chuẩn này.
1.2. Phương thức, trình tự, thủ tục công bố hợp quy được thực hiện theo Quy định về chứng nhận hợp chuẩn, chứng nhận hợp quy và công bố hợp chuẩn, công bố hợp quy ban hành kèm theo Quyết định số 24/2007/QĐ-BKHCN ngày 28 tháng 9 năm 2007 của Bộ trưởng Bộ Khoa học và Công nghệ và các quy định của pháp luật.
2. Kiểm tra đối với chất xử lý bột
Việc kiểm tra chất lượng, vệ sinh an toàn đối với các chất xử lý bột phải thực hiện theo các quy định của pháp luật.
IV. TRÁCH NHIỆM CỦA TỔ CHỨC, CÁ NHÂN
1. Tổ chức, cá nhân phải công bố hợp quy phù hợp với các quy định kỹ thuật tại Quy chuẩn này, đăng ký bản công bố hợp quy tại Cục An toàn vệ sinh thực phẩm và bảo đảm chất lượng, vệ sinh an toàn theo đúng nội dung đã công bố.
2. Tổ chức, cá nhân chỉ được nhập khẩu, xuất khẩu, sản xuất, buôn bán và sử dụng các chất xử lý bột sau khi hoàn tất đăng ký bản công bố hợp quy và bảo đảm chất lượng, vệ sinh an toàn, ghi nhãn phù hợp với các quy định của pháp luật.
V. TỔ CHỨC THỰC HIỆN
1. Giao Cục An toàn vệ sinh thực phẩm chủ trì, phối hợp với các cơ quan chức năng có liên quan hướng dẫn triển khai và tổ chức việc thực hiện Quy chuẩn này.
2. Căn cứ vào yêu cầu quản lý, Cục An toàn vệ sinh thực phẩm có trách nhiệm kiến nghị Bộ Y tế sửa đổi, bổ sung Quy chuẩn này.
3. Trường hợp hướng dẫn của quốc tế về phương pháp thử và các quy định của pháp luật viện dẫn trong Quy chuẩn này được sửa đổi, bổ sung hoặc thay thế thì áp dụng theo văn bản mới.
|
Phụ lục YÊU CẦU KỸ THUẬT VÀ PHƯƠNG PHÁP THỬ ĐỐI VỚI AZODICARBONAMID |
|
|
|
1. Tên khác, chỉ số |
Azobisformamide; INS 927a |
|
|
2. Định nghĩa |
|
|
|
Tên hóa học |
Azodicarbonamid, diamid của acid azodicarboxylic |
|
|
Mã số C.A.S. |
123-77-3 |
|
|
Công thức hóa học |
C2H4N4O2 |
|
|
Công thức cấu tạo |
|
|
|
Khối lượng phân tử |
116,08 |
|
|
3. Cảm quan |
Bột tinh thể màu vàng đến đỏ cam, không mùi |
|
|
4. Chức năng |
Chất xử lý bột |
|
|
5. Yêu cầu kỹ thuật |
||
|
5.1. Định tính |
|
|
|
Độ tan |
Không tan trong nước, không tan trong ethanol; ít tan trong dimethyl sulfoxid |
|
|
Độ nóng chảy |
Phân huỷ hoàn toàn ở nhiệt độ lớn hơn 1800C |
|
|
Oxy hoá |
Phải có phản ứng oxy hóa đặc trưng (giải phóng iod từ dung dịch KI trong môi trường acid H2SO4 10 %) |
|
|
CO2 |
Phải có phản ứng đặc trưng của carbon dioxyd. |
|
|
5.2. Độ tinh khiết |
|
|
|
Giảm khối lượng khi sấy khô |
Không được quá 0,5% (nhiệt độ sấy 500C trong 2 giờ, áp suất chân không). |
|
|
pH |
Không được nhỏ hơn 5,0 (tạo hỗn dịch theo tỷ lệ 1 : 50 bằng cách cho 2 g mẫu vào 100 ml nước và khuấy mạnh bằng máy khuấy trong 5 phút). |
|
Tro sulfat |
Không được quá 0,15% (Lấy 1,5 g mẫu, thử theo phương pháp I) |
|
Chì |
Không được quá 2,0 mg/kg. |
|
5.3. Hàm lượng |
Không được nhỏ hơn 98,6% ; hàm lượng nitrogen tính theo chất khô không được nhỏ hơn 47,2% và không được quá 48,7% |
|
6. Phương pháp thử |
|
|
6.1. Định tính |
|
|
CO2 |
Đun nóng 10 mg mẫu trong một chén sứ. Dùng đũa thuỷ tinh lấy một giọt dung dịch Ba(OH)2 hơ lên trên mẫu thử, giọt thuốc thử trở nên đục trắng. |
|
6.2. Độ tinh khiết |
|
|
Chì |
- Thử theo JECFA monograph 1 - Vol.4. - Xác định bằng kỹ thuật quang phổ hấp thụ nguyên tử thích hợp cho hàm lượng quy định. Lựa chọn cỡ mẫu thử và phương pháp chuẩn bị mẫu dựa trên nguyên tắc của phương pháp mô tả trong JECFA monograph 1 - Vol.4 phần các phương pháp phân tích công cụ. |
|
6.3. Định lượng |
|
|
|
Định lượng azodicarbonamid bằng phương pháp chuẩn độ: Cân chính xác 225 mg mẫu (trước đó đã được sấy khô trong tủ sấy chân không ở nhiệt độ 500C trong 2 giờ) cho vào bình tam giác thuỷ tinh tối màu có nút đậy dung tích 250 ml. Thêm vào đó 23 ml dimethyl sulfoxid, rửa hoàn toàn mẫu xuống phía dưới bằng dung môi, đậy nắp bình và tráng miệng bình bằng 2 ml dung môi. Thỉnh thoảng lắc cho đều dung dịch sau đó nới lỏng nút đậy để phần dung dịch dính ở trên chảy vào trong bình và rửa mẫu đã được hoà tan trong dung dịch. Thêm 5 g KI và 15 ml nước, ngay lập tức dùng pipet cho 10 ml HCl 0,5 N vào trong bình và đậy nút bình thật nhanh. Lắc đều cho đến khi KI được hoà tan và để yên từ 20 – 25 phút trong điều kiện không có ánh sáng. Chuẩn độ iod được giải phóng bằng dung dịch natri thiosulfat 0,1N cho đến khi mất màu vàng. Chuẩn độ tiếp với natri thiosulfat nếu có màu vàng xuất hiện trong 15 phút. Thực hiện xác định đối với mẫu trắng với dung dịch có chứa 25 ml dimethyl sulfoxid, 5 g KI, 15 ml nước và 5 ml HCl 0,5N và hiệu chỉnh nếu cần thiết. Mỗi ml dung dịch Na2S2O3 0,1N tương ứng với 5,804 mg C2H4N4O2. |
|
|
Định lượng nitrogen bằng phương pháp Kjeldahl: Cân chính xác 50 mg mẫu (trước đó đã được sấy khô trong tủ sấy chân không ở nhiệt độ 500C trong thời gian 2 giờ) cho vào bình Kjeldahl thể tích 100 ml, thêm vào 3 ml acid hydriodic (nồng độ tối thiểu 57%), đun trong thời gian 75 phút và bổ sung thêm nước nếu cần để duy trì đúng thể tích ban đầu. Tăng nhiệt ở giai đoạn cuối của quá trình đun và tiếp tục đun cho đến khi thể tích trong bình giảm còn một nửa. Làm nguội ở nhiệt độ phòng, thêm vào 1,5 g K2SO4 và 3 ml nước. Thêm cẩn thận 4,5 ml H2SO4 đậm đặc và gia nhiệt cho đến khi iod không bay ra nữa. Để nguội và rửa thành bình bằng nước, gia nhiệt đến khi hoá than và lại làm nguội ở nhiệt độ phòng. Thêm 40 mg thuỷ ngân (II) oxyd vào bình chứa than và gia nhiệt cho đến khi màu của dung dịch trở thành màu vàng nhạt, làm nguội, rửa thành bình bằng một vài ml nước và đun hỗn hợp trong thời gian 3 giờ. Làm nguội và thêm vào 20 ml nước không chứa amoniac, 16 ml dung dịch NaOH 50%, 5 ml dung dịch Na2S2O3 44%. Lắp bình với bộ phận chưng cất và cất, hứng dịch cất vào 10 ml dung dịch acid boric 4%. Thêm vài giọt thuốc thử đỏ methyl - xanh methylen TS và chuẩn độ bằng acid H2SO4 0,05N. Thực hiện xác định đối với mẫu trắng. Mỗi ml acid H2SO4 0,05N tương ứng với 0,7004 mg nitrogen. |

QUY CHUẨN KỸ THUẬT QUỐC GIA
VỀ PHỤ GIA THỰC PHẨM - CHẤT TẠO PHỨC KIM LOẠI
National technical regulation on Food Additive - Sequestrant
HÀ NỘI - 2010
Lời nói đầu
QCVN 4- :2010/BYT do Ban soạn thảo quy chuẩn kỹ thuật quốc gia về Phụ gia thực phẩm và chất hỗ trợ chế biến biên soạn, Cục An toàn vệ sinh thực phẩm trình duyệt và được ban hành theo Thông tư số …./2010/TT-BYT ngày …. tháng …. năm 2010 của Bộ trưởng Bộ Y tế.
QUY CHUẨN KỸ THUẬT QUỐC GIA
VỀ PHỤ GIA THỰC PHẨM - CHẤT TẠO PHỨC KIM LOẠI
National technical regulation on Food Additive – Sequestrant
I. QUY ĐỊNH CHUNG
1. Phạm vi điều chỉnh
Quy chuẩn kỹ thuật quốc gia (sau đây gọi tắt là Quy chuẩn) này quy định các yêu cầu kỹ thuật và quản lý về chất lượng, vệ sinh an toàn đối với các chất tạo phức kim loại được sử dụng với mục đích làm phụ gia thực phẩm.
2. Đối tượng áp dụng
Quy chuẩn này áp dụng đối với:
2.1. Tổ chức, cá nhân nhập khẩu, xuất khẩu, sản xuất, buôn bán và sử dụng các chất tạo phức kim loại làm phụ gia thực phẩm (sau đây gọi tắt là tổ chức, cá nhân).
2.2. Cơ quan quản lý nhà nước có liên quan.
3. Giải thích từ ngữ và chữ viết tắt:
3.1. Chất tạo phức kim loại: là phụ gia thực phẩm được sử dụng với mục đích kiểm soát lượng cation khả dụng trong thực phẩm.
3.2. JECFA monograph 1 - Vol. 4 (JECFA monographs 1 - Combined compendium of food addiditive specifications; Joint FAO/WHO expert committee on food additives; Volume 4 - Analytical methods, test procedures and laboratory solutions used by and referenced in the food additive specifications; FAO, 2006): Các yêu cầu kỹ thuật đối với phụ gia thực phẩm, Tập 4 Các phương pháp phân tích, quy trình thử nghiệm, dung dịch thử nghiệm được sử dụng (hoặc tham chiếu) trong yêu cầu kỹ thuật đối với phụ gia thực phẩm; JECFA biên soạn; FAO ban hành năm 2006.
3.3. Mã số C.A.S (Chemical Abstracts Service): Mã số đăng ký hóa chất của Hiệp hội Hóa chất Hoa Kỳ.
3.4. TS (test solution): Dung dịch thuốc thử.
3.5. ADI (Acceptable daily intake): Lượng ăn vào hàng ngày chấp nhận được.
3.6. MTDI (Maximum Tolerable Daily Intake): Lượng ăn vào hàng ngày tối đa chịu đựng được.
3.7. INS (International numbering system): Hệ thống mã số quốc tế về phụ gia thực phẩm.
II. YÊU CẦU KỸ THUẬT, PHƯƠNG PHÁP THỬ VÀ LẤY MẪU
1. Yêu cầu kỹ thuật và phương pháp thử đối với các chất tạo phức kim loại được quy định tại các phụ lục ban hành kèm theo Quy chuẩn này như sau:
|
1.1. |
Phụ lục 1: |
Yêu cầu kỹ thuật và phương pháp thử đối với isopropyl citrat |
|
1.2. |
Phụ lục 2: |
Yêu cầu kỹ thuật và phương pháp thử đối với calci dinatri ethylendiamintetraacetat |
|
1.3. |
Phụ lục 3: |
Yêu cầu kỹ thuật và phương pháp thử đối với dinatri ethylendiamintetraacetat |
|
1.4. |
Phụ lục 4: |
Yêu cầu kỹ thuật và phương pháp thử đối với tetranatri diphosphat |
|
1.5. |
Phụ lục 5: |
Yêu cầu kỹ thuật và phương pháp thử đối với tetrakali diphosphat |
|
1.6. |
Phụ lục 6: |
Yêu cầu kỹ thuật và phương pháp thử đối với pentanatri triphosphat |
|
1.7. |
Phụ lục 7: |
Yêu cầu kỹ thuật và phương pháp thử đối với pentakali triphosphat |
|
1.8. |
Phụ lục 8: |
Yêu cầu kỹ thuật và phương pháp thử đối với natri polyphosphat |
|
1.9 |
Phụ lục 9 : |
Yêu cầu kỹ thuật và phương pháp thử đối với kali polyphosphat |
|
1.10 |
Phụ lục 10 : |
Yêu cầu kỹ thuật và phương pháp thử đối với natri calci polyphosphat |
|
1.11 |
Phụ lục 11 : |
Yêu cầu kỹ thuật và phương pháp thử đối với natri gluconat |
|
1.12 |
Phụ lục 12 : |
Yêu cầu kỹ thuật và phương pháp thử đối với kali gluconat |
2. Các yêu cầu kỹ thuật quy định trong Quy chuẩn này được thử theo JECFA monograph 1 - Vol. 4, ngoại trừ một số phép thử riêng được mô tả trong các phụ lục. Các phương pháp thử được hướng dẫn trong Quy chuẩn này không bắt buộc phải áp dụng, có thể sử dụng các phương pháp thử khác tương đương.
3. Lấy mẫu theo hướng dẫn tại Thông tư 16/2009/TT-BKHCN ngày 02 tháng 6 năm 2009 của Bộ Khoa học và Công nghệ về hướng dẫn kiểm tra nhà nước về chất lượng hàng hóa lưu thông trên thị trường và các quy định khác của pháp luật có liên quan.
III. YÊU CẦU QUẢN LÝ
1. Công bố hợp quy
1.1. Các chất tạo phức kim loại phải được công bố phù hợp với các quy định tại Quy chuẩn này.
1.2. Phương thức, trình tự, thủ tục công bố hợp quy được thực hiện theo Quy định về chứng nhận hợp chuẩn, chứng nhận hợp quy và công bố hợp chuẩn, công bố hợp quy ban hành kèm theo Quyết định số 24/2007/QĐ-BKHCN ngày 28 tháng 9 năm 2007 của Bộ trưởng Bộ Khoa học và Công nghệ và các quy định của pháp luật.
2. Kiểm tra đối với chất tạo phức kim loại
Việc kiểm tra chất lượng, vệ sinh an toàn đối với các chất tạo phức kim loại phải thực hiện theo các quy định của pháp luật.
IV. TRÁCH NHIỆM CỦA TỔ CHỨC, CÁ NHÂN
1. Tổ chức, cá nhân phải công bố hợp quy phù hợp với các quy định kỹ thuật tại Quy chuẩn này, đăng ký bản công bố hợp quy tại Cục An toàn vệ sinh thực phẩm và bảo đảm chất lượng, vệ sinh an toàn theo đúng nội dung đã công bố.
2. Tổ chức, cá nhân chỉ được nhập khẩu, xuất khẩu, sản xuất, buôn bán và sử dụng các chất tạo phức kim loại sau khi hoàn tất đăng ký bản công bố hợp quy và bảo đảm chất lượng, vệ sinh an toàn, ghi nhãn phù hợp với các quy định của pháp luật.
V. TỔ CHỨC THỰC HIỆN
1. Giao Cục An toàn vệ sinh thực phẩm chủ trì, phối hợp với các cơ quan chức năng có liên quan hướng dẫn triển khai và tổ chức việc thực hiện Quy chuẩn này.
2. Căn cứ vào yêu cầu quản lý, Cục An toàn vệ sinh thực phẩm có trách nhiệm kiến nghị Bộ Y tế sửa đổi, bổ sung Quy chuẩn này.
3. Trường hợp hướng dẫn của quốc tế về phương pháp thử và các quy định của pháp luật viện dẫn trong Quy chuẩn này được sửa đổi, bổ sung hoặc thay thế thì áp dụng theo văn bản mới.
|
Phụ lục 1 YÊU CẦU KỸ THUẬT VÀ PHƯƠNG PHÁP THỬ ĐỐI VỚI HỖN HỢP ISOPROPYL CITRAT |
|
|
|
1. Tên khác, chỉ số |
Isopropyl citrat mixture INS 384 ADI = 0 – 14 mg/kg thể trọng |
|
|
2. Định nghĩa |
|
|
|
Tên hóa học |
Hỗn hợp ester của acid citric với 2-propanol. Chế phẩm thương mại là hỗn hợp monoisopropyl citrat, được phối trộn từ 38 phần isopropyl citrat với 62 phần là hỗn hợp mono và diglycerid, theo tỷ lệ khối lượng. |
|
|
Công thức cấu tạo |
Trong đó R có thể là nhóm isopropyl hoặc hydrogen. Thành phần chính của 38 phần hỗn hợp isopropyl citrat là mono-isopropyl citrat (xấp xỉ 25 phần), phần còn lại là di-isopropyl citrat (xấp xỉ 9 phần) và tri-isopropyl citrat (xấp xỉ 4 phần). Thành phần gần đúng: mono-isopropyl citrat: 27 phần khối lượng di-isopropyl citrat 9 phần khối lượng tri-isopropyl citrat 2 phần khối lượng |
|
|
3. Cảm quan |
Dạng nửa rắn hòa lẫn được với dầu. Chế phẩm thương mại là hỗn hợp mono-isopropyl citrat có dạng siro, không màu, nhớt, để yên có thể kết tinh và có thể tiến hành thử chỉ số xá phòng hóa, chỉ số acid, hàm lượng acid citric và hàm lượng isopropyl. |
|
|
4. Chức năng |
Chất chống oxy hóa, chất tạo phức kim loại. |
|
|
5. Yêu cầu kỹ thuật |
||
|
5.1. Định tính |
|
|
|
Độ tan |
Tan trong nước và ethanol. |
|
|
Citrat |
Phải có phản ứng đặc trưng của citrat. |
|
|
Isopropanol |
Phải có phản ứng đặc trưng của isopropanol. |
|
|
5.2. Độ tinh khiết |
|
|
|
Các acid khác ngoài acid citric |
Không được có. |
|
|
Các rượu khác ngoài isopropanol |
Không được có. |
|
|
Tro sulfat |
Không được quá 0,3 %. |
|
|
Chì |
Không được quá 2,0 mg/kg. |
|
|
6. Phương pháp thử |
|
|
|
6.1. Định tính |
|
|
|
Citrat |
Đun hồi lưu 3 g mẫu thử với 50 ml natri hydroxyd (TS) trong 1 giờ. Để nguội, dung dịch này được sử dụng để tiến hành các phép thử như sau: (1) Trung hòa dung dịch bằng dung dịch acid sulfuric (1/20), thêm lượng dư dung dịch thủy ngân II sulfat (TS), đun sôi, và thêm dung dung dịch kali permanganat (TS). Dung dịch permanganat sẽ mất màu và xuất hiện kết tủa trắng. (2) Trung hòa dung dịch bằng acid hydrocloric. Thêm lượng dư dung dịch calci clorid (TS) và đun sôi. Trong dung dịch xuất hiện kết tủa tinh thể trắng, tinh thể này không tan trong dung dịch natri hydroxyd (TS), nhưng tan được trong dung dịch acid hydrocloric loãng (TS). |
|
|
Isopropanol |
Đun hồi lưu 2 g mẫu thử với 50 ml natri hydroxyd (TS) trong 1 giờ. Cất lấy 20 ml. Cho vào một bình cầu 8 g crom oxid, thêm 15 ml nước cất, 2 ml acid sulfuric đặc. Lắp bình cầu cất với ống sinh hàn hồi lưu, cho từ từ 5 ml dịch cất thu được ở trên qua sinh hành hồi lưu vào bình cầu. Đun hồi lưu trong 30 phút, sau đó để nguội và cất lấy 2 ml. Thêm 3 ml nước cất và 10 ml dung dịch thủy ngân (II) sulfat (TS) vào dịch cất. Đun nóng trong bể cách thủy đang sôi trong 3 phút. Trong dung dịch xuất hiện kết tủa trắng hoặc vàng xác định sự có mặt của isopropanol trong mẫu thử. |
|
|
6.2 Độ tinh khiết |
|
|
|
Chì |
- Thử theo JECFA monograph 1 - Vol.4. - Xác định bằng kỹ thuật quang phổ hấp thụ nguyên tử thích hợp cho hàm lượng quy định. Lựa chọn cỡ mẫu thử và phương pháp chuẩn bị mẫu dựa trên nguyên tắc của phương pháp mô tả trong JECFA monograph 1 - Vol.4 phần các phương pháp phân tích công cụ. |
|
|
Phụ lục 2 YÊU CẦU KỸ THUẬT VÀ PHƯƠNG PHÁP THỬ ĐỐI VỚI CALCI DINATRI ETHYLENDIAMINTETRAACETAT |
|
|
|
1. Tên khác, chỉ số |
Calcium disodium ethylenediaminetetraacetate; calcium disodium EDTA; calcium disodium edetat INS 385 ADI=0 - 2,5 mg/kg thể trọng |
|
|
2. Định nghĩa |
|
|
|
Tên hóa học |
N,N'-1,2-Ethandiylbis[N-(carboxymethyl)-glycinat](4-)- N,N',O,O',ON,ON]calciat(2-)dinatri; Calci dinatri ethylendiamintetraacetat; Calci dinatri (ethylen-dinitrilo)-tetraacetat. |
|
|
Mã số C.A.S. |
662-33-9 |
|
|
Công thức hóa học |
C10H12CaN2Na2O8.2H2O |
|
|
Công thức cấu tạo |
|
|
|
Khối lượng phân tử |
410,31 |
|
|
3. Cảm quan |
Dạng hạt kết tinh màu trắng không mùi hoặc bột trắng đến gần trắng, háo nước nhẹ. |
|
|
4. Chức năng |
Chất tạo phức kim loại, chất bảo quản. |
|
|
5. Yêu cầu kỹ thuật |
||
|
5.1. Định tính |
|
|
|
Độ tan |
Dễ tan trong nước, khó tan trong ethanol. |
|
|
Calci |
Phải có phản ứng đặc trưng của calci. |
|
|
Natri |
Phải có phản ứng đặc trưng của natri. |
|
|
Họat tính tạo chelat với ion kim loại |
Phải có phản ứng đặc trưng tạo chelat với ion kim loại. |
|
|
5.2. Độ tinh khiết |
|
|
|
pH |
6,5-7,5 (dung dịch 1/100) |
|
|
Các phức chelat của magnesi |
Đạt yêu cầu (mô tả trong phần Phương pháp thử). |
|
|
Chì |
Không được quá 2,0 mg/kg. |
|
|
5.3. Hàm lượng C10H12CaN2Na2O8 |
Không được thấp hơn 97,0% và không được quá 102% tình theo chế phẩm khan. |
|
|
6. Phương pháp thử |
||
|
6.1. Định tính |
|
|
|
Calci |
Thử theo JECFA monograph 1 - Vol.4. |
|
|
Natri |
Thử theo JECFA monograph 1 - Vol.4. |
|
|
Họat tính tạo chelat với ion kim loại |
Cho vào một ống nghiệm 5 ml nước cất, 2 giọt dung dịch amoni thiocyanat (TS) và 2 giọt dung dịch sắt(III) clorid (TS), dung dịch có màu đỏ sẫm. Thêm khoảng 50 mg mẫu thử vào dung dịch và trộn đều. Dung dịch sẽ mất màu đỏ sẫm. |
|
|
6.2 Độ tinh khiết |
|
|
|
Các phức chelat của magnesi |
Cân 1 g mẫu thử, chính xác đến mg, cho vào một cốc nhỏ và hòa tan với 5 ml nước cất. Thêm vào cốc 5 ml dung dịch đệm (được chuẩn bị bằng cách hòa tan 67,5 g amoni clorid trong 200 ml nước cất, thêm 570 ml dung dịch amoniac đặc (TS), và pha loãng với nước cất đến đủ 1000 ml). Thêm vào dung dịch trong cốc 5 giọt dung dịch đen eriocrom (TS) và chuẩn độ với dung dịch magnesi acetat 0,1 M đến khi xuất hiện màu đỏ vang sẫm. Thể tích dung dịch magnesi acetat 0,1 M sử dụng không được quá 2,0 ml. |
|
|
Chì |
- Thử theo JECFA monograph 1 - Vol.4. - Xác định bằng kỹ thuật quang phổ hấp thụ nguyên tử thích hợp cho hàm lượng quy định. Lựa chọn cỡ mẫu thử và phương pháp chuẩn bị mẫu dựa trên nguyên tắc của phương pháp mô tả trong JECFA monograph 1 - Vol.4 phần các phương pháp phân tích công cụ. |
|
|
6.3. Định lượng |
|
|
|
|
Cân khoảng 1,2 g mẫu thử, chính xác đến mg, cho vào cốc 250 ml, hòa tan trong 75 ml nước cất. Thêm 25 ml dung dịch acid acetic loãng (TS) và 1 ml dung dịch diphenylcarbazon (1g/100 ml ethanol). Chuẩn độ chậm với dung dịch thủy ngân (II) nitrat 0,1 M(*) tới khi dung dịch bắt đầu xuất hiện màu tím. Mỗi ml dung dịch thủy ngân (II) nitrat 0,1M tương đương với 37,43 mg C10H12CaN2Na2O8.2H2O. (*) Các pha dung dịch thủy ngân (II) nitrat: Hòa tan 35 g thủy ngân (II) nitrat Hg(NO3)2.H2O trong hỗn hợp gồm 5 ml dung dịch acid nitric và 500 ml nước cất, định mức đến 1000 ml bằng nước cất. Chuẩn hóa dung dịch như sau: Lấy chính xác 20 ml dung dịch cho vào bình nón thêm 2 ml acid nitric, 2ml dung dịch sắt (III) amoni sulfat (TS). Làm mát xuống dưới 20oC và chuẩn độ với dung dịch amoni thiocyanat 0,1 N đến khi xuất hiện màu nâu nhạt bền. Tính nồng độ dung dịch. (0,1 M=32,46g Hg(NO3)2/l). |
|
|
Phụ lục 3 YÊU CẦU KỸ THUẬT VÀ PHƯƠNG PHÁP THỬ ĐỐI VỚI DINATRI ETHYLENDIAMINTETRAACETAT |
|
|
|
1. Tên khác, chỉ số |
Dinatri EDTA, dinatri edetate; Disodium ethylenediaminetetraacetate; INS 386 ADI = 0 - 2,5 mg/kg thể trọng |
|
|
2. Định nghĩa |
|
|
|
Tên hóa học |
Muối dinatri của N,N'-1,2-Ethanediylbis[N-(carboxymethyl)glycin]; dinatri dihydrogen ethylen diamin tetraacetat; dinatri dihydrogen (ethylen-dinitrilo)-tetraacetat |
|
|
Mã số C.A.S. |
139-33-3 |
|
|
Công thức hóa học |
C10H14N2Na2O8 · 2H2O |
|
|
Công thức cấu tạo |
|
|
|
Khối lượng phân tử |
372,24 |
|
|
3. Cảm quan |
Bột trắng tới trắng ngà hoặc hạt kết tinh không mùi, màu trắng |
|
|
4. Chức năng |
Chất tạo phức kim loại, tác nhân chelat hóa, tác nhân chống oxy hóa, chất bảo quản |
|
|
5. Yêu cầu kỹ thuật |
||
|
5.1. Định tính |
|
|
|
Độ tan |
Rất dễ tan trong nước, khó tan trong ethanol. |
|
|
Hấp thụ hồng ngoại
|
Phổ hồng ngoại của mẫu thử phải phù hợp với phổ hồng ngoại chuẩn đối chiếu (Phổ chuẩn đối chiếu có thể có trong Dược điển Mỹ, 12601 Twin Brook Parkway, Rockville, Maryland 20852) |
|
|
Natri |
Phải có phản ứng đặc trưng của natri. |
|
|
Hoạt tính Chelat hóa với ion kim loại
|
Phải có phản ứng của chelat hóa với ion kim loại. |
|
|
5.2. Độ tinh khiết |
|
|
|
pH |
4,3 - 4,7 (dung dịch 1/100) |
|
|
Acid nitrilotriacetic |
Đạt yêu cầu (mô tả trong phần Phương pháp thử). |
|
|
Chì |
Không được quá 2,0 mg/kg. |
|
|
5.3. Hàm lượng C10H14N2Na2O8 |
Không được nhỏ hơn 99,0% |
|
|
6. Phương pháp thử |
||
|
6.1. Định tính |
|
|
|
Natri |
Thử theo JECFA monograph 1 - Vol.4. |
|
|
Hoạt tính Chelat hóa với ion kim loại
|
Cho 5 ml nước vào một ống nghiệm và thêm 2 giọt amoni thiocyanat (TS) và 2 giọt sắt III clorid (TS). Dung dịch xuất hiện màu đỏ thẫm. Thêm khoảng 50 mg mẫu thử và lắc đều. Màu đỏ thẫm biến mất. |
|
|
6.1. Độ tinh khiết |
|
|
|
Acid nitrilotriacetic
|
Dung dịch thử gốc Cho 10 g chế phẩm thử vào bình định mức 100 ml, hòa tan trong 40 ml dung dịch kali hydroxyd 1/10, pha loãng bằng nước tới vạch, và lắc đều. Dung dịch thử gốc loãng Lấy 10 ml “dung dịch thử gốc”cho vào bình định mức 100 ml, pha loãng tới vạch bằng nước. Dung dịch thử Lấy 20 ml “dung dịch thử gốc loãng” cho vào cốc 150 ml, thêm 1 ml dung dịch kali hydroxyd 1/10, 2 ml dung dịch amoni nitrat 1/10, và khoảng 50 mg chỉ thị đen eriocrom T, và chuẩn độ bằng dung dịch cadmi nitrit 3/100 tới màu đỏ. Ghi thể tích, ml, của dung dịch chuẩn độ V, và bỏ dung dịch này. Lấy 20 ml “dung dịch thử gốc loãng” cho vào bình định mức 100 ml, thêm V ml dung dịch cadmi nitrit 3/100 như đã tiêu thụ trong chuẩn độ trên, cho dư 0,05 ml. Thêm 1,5 ml dung dịch kali hydroxyd 1/10, 10 ml dung dịch amoni nitrat 1/10, thêm 0,5 ml đỏ methyl (TS), sau đó pha loãng bằng nước tới vạch, trộn đều. Dung dịch chuẩn gốc Cho 1,0 g acid nitrilotriacetic vào bình định mức 100 ml, hòa tan trong 10 ml dung dịch kali hydroxyd 1/10, pha loãng bằng nước tới vạch, lắc đều. Dung dịch chuẩn gốc loãng Lấy 1 ml “dung dịch chuẩn gốc”và 10 ml “dung dịch thử gốc” cho vào bình định mức 100 ml, pha loãng tới vạch bằng nước, lắc đều. Dung dịch chuẩn Tiến hành theo chỉ dẫn ở phần “dung dịch thử”, sử dụng “dung dịch chuẩn gốc loãng” thay cho “dung dịch thử gốc loãng”. Đo cực phổ: Tráng cốc đo cực phổ bằng “dung dịch chuẩn”, sau đó thêm một thể tích thích hợp vào cốc đo, nhúng cốc đo vào nồi cách thủy giữ nhiệt độ không đổi ở 25 ± 0,5oC, và loại khí bằng cách sục khí nitơ không có oxy tự do vào dung dịch trong 10 phút. Cho điện cực giọt thủy ngân của máy cực phổ thích hợp, và ghi cực phổ đồ -0,6 tới -1,2 von với độ nhạy 0,006 microampe/mm, sử dụng điện cực calomel bão hòa là điện cực so sánh. Theo cách tương tự, thu được cực phổ đồ của “dung dịch thử” Đo cường độ dòng khuếch tán của “dung dịch thử”, giá trị này không được lớn hơn 10% so với hiệu số dòng khuếch tan thu được của “dung dịch chuẩn” và “dung dịch thử”. (Chú ý: Một sóng cực phổ phụ xuất hiện phía trước sóng phức hợp acid nitrilotriacetic-cadmi có thể do cadmi không tạo phức. Khi đo dòng khuếch tán không cần chú ý đến sóng này). |
|
|
Chì |
- Thử theo JECFA monograph 1 - Vol.4. - Xác định bằng kỹ thuật quang phổ hấp thụ nguyên tử thích hợp cho hàm lượng quy định. Lựa chọn cỡ mẫu thử và phương pháp chuẩn bị mẫu dựa trên nguyên tắc của phương pháp mô tả trong JECFA monograph 1 - Vol.4 phần các phương pháp phân tích công cụ. |
|
|
6.2. Định lượng |
|
|
|
|
Cho khoảng 5 g, cân chính xác, mẫu thử, vào bình định mức 250 ml, hòa tan trong nước, pha loãng tới vạch và lắc đều, thu được dung dịch thử. Cho khoảng 200 mg, cân chính xác, calci carbonat loại tinh khiết có hàm lượng đã biết vào một cốc 400 ml, thêm 10 ml nước và lắc xoáy để tạo thành vữa. Đậy cốc bằng mặt kính đồng hồ và cho 2 ml acid hydrocloric (TS) bằng pipet, luồn vào giữa miệng cốc và rìa của mặt kính đồng hồ. Lắc xoáy hỗn hợp trong cốc để hòa tan calci carbonat. Rửa bên ngoài của pipet, mặt kính đồng hồ, thành cốc, và pha loãng tới 100 ml bằng nước. Khuấy dung dịch, tốt nhất là dùng máy khuấy từ, thêm khoảng 30 ml dung dịch thử từ buret 50 ml. Thêm 15 ml natri hydroxyd (TS), 300 mg hỗn hợp chỉ thị xanh hydroxynaphthol và tiếp tục chuẩn độ bằng dung dịch thử tới khi xuất hiện màu xanh lam. Tính hàm lượng phần trăm C10H14N2Na2O8.2H2O trong mẫu thử theo công thức sau: %Dinatri EDTA = Trong đó mCaCO3 = khối lượng (g) calci carbonat; Vt = thể tích (ml) của dung dịch thử; và mt = khối lượng (g) của mẫu thử lấy định lượng |
|
|
Phụ lục 4 YÊU CẦU KỸ THUẬT VÀ PHƯƠNG PHÁP THỬ ĐỐI VỚI TETRANATRI PYROPHOSPHAT |
|
|
|
1. Tên khác, chỉ số |
Sodium pyrophosphate, tetrasodium diphosphate INS 450iii MTDI = 70 mg/kg thể trọng tính cho phospho từ các nguồn thực phẩm |
|
|
2. Định nghĩa |
|
|
|
Tên hóa học |
Tetranatri diphosphat; tetranatri pyrophosphat |
|
|
Mã số C.A.S. |
7722-88-5 |
|
|
Công thức hóa học |
Dạng khan: Na4P2O7 Dạng decahydrat: Na4P2O7.10H2O |
|
|
Khối lượng phân tử |
Dạng khan: 265,94 Dạng decahydrat: 446,09 |
|
|
3. Cảm quan |
Tinh thể trắng hoặc không màu; hoặc dạng hạt nhỏ, bột tinh thể trắng. Dạng decahydrat có thể lên hoa nhẹ trong không khí khô. |
|
|
4. Chức năng |
Chất đệm, chất tạo phức kim loại, chất nhũ hóa. |
|
|
5. Yêu cầu kỹ thuật |
||
|
5.1. Định tính |
|
|
|
Độ tan |
Tan trong nước, không tan trong ethanol. |
|
|
pH |
9,9-10,8 (dung dịch 1/100). |
|
|
Natri |
Phải có phản ứng đặc trưng của natri. |
|
|
Phosphat |
Phải có phản ứng đặc trưng của phosphat. |
|
|
5.2. Độ tinh khiết |
|
|
|
Giảm khối lượng khi nung |
Dạng khan: Không được quá 0,5% Dạng decahydrat: trong khoảng 38-42% (105oC trong 4 giờ sau đó 550o trong 30 phút). |
|
|
Các chất không tan trong nước |
Không được quá 0,2 %.
|
|
|
Fluorid |
Không được quá 10,0 mg/kg. |
|
|
Arsen |
Không được quá 3,0 mg/kg. |
|
|
Chì |
Không được quá 4,0 mg/kg. |
|
|
5.3. Hàm lượng Na4P2O7 |
Không thấp hơn 95,0% sau khi nung. |
|
|
6. Phương pháp thử |
||
|
6.1. Định tính |
|
|
|
Natri |
Thử theo JECFA monograph 1 - Vol.4. |
|
|
Phosphat |
Thử theo JECFA monograph 1 - Vol.4. |
|
|
6.2. Độ tinh khiết |
|
|
|
Các chất không tan trong nước |
Hòa tan 10 g mẫu thử trong 100 ml nước nóng. Lọc qua một chén lọc đã cân bì. Rửa cặn không tan trên chén lọc bằng nước nóng. Sấy khô tại (105oC trong 2 giờ). Để nguội và cân. |
|
|
Fluorid |
Thử theo JECFA monograph 1 - Vol.4 - phương pháp I hoặc III. |
|
|
Arsen |
Thử theo JECFA monograph 1 - Vol.4 -phương pháp II. |
|
|
Chì |
- Thử theo hướng dẫn tại JECFA monograph 1 - Vol.4. - Xác định bằng kỹ thuật quang phổ hấp thụ nguyên tử thích hợp cho hàm lượng quy định. Lựa chọn cỡ mẫu thử và phương pháp chuẩn bị mẫu dựa trên nguyên tắc của phương pháp mô tả trong JECFA monograph 1 - Vol.4 phần các phương pháp phân tích công cụ. |
|
|
6.3. Định lượng |
|
|
|
|
Cân một lượng mẫu (chính xác đến mg) tương đương với khoảng 500 mg mẫu thử khan Na4P2O7, hòa tan trong 100 ml nước trong cốc 400 ml. Chỉnh pH dung dịch về 3,8 bằng dung dịch acid hydrocloric loãng (TS), dùng pH kế để xác định pH dung dịch. Sau đó thêm 50 ml dung dịch kẽm sulfat (1/8 - 125 g ZnSO4.7H2O hòa tan trong nước, pha loãng đến đủ 1000 ml, lọc và chỉnh pH về 3,8), để yên trong khoảng 2 phút. Chuẩn độ acid tự do bằng dung dịch natri hydroxyd 0,1 N đến khi pH dung dịch lại trở về 3,8. Sau mỗi lần thêm natri hydroxyd gần đến điểm tương đương, cần để một thời gian để nếu có kết tủa kẽm hydroxyd thì kết tủa có thể tan hết. Mỗi ml natri hydroxyd 0,1 N tương đương với 13,30 mg Na4P2O7. |
|
|
Phụ lục 5 YÊU CẦU KỸ THUẬT VÀ PHƯƠNG PHÁP THỬ ĐỐI VỚI TETRAKALI PYROPHOSPHAT |
|
|
|
1. Tên khác, chỉ số |
Tetrapotassium diphosphate; Potassium pyrophosphate. INS 450v MTDI = 70 mg/kg thể trọng tính cho phospho từ các nguồn thực phẩm |
|
|
2. Định nghĩa |
|
|
|
Tên hóa học |
Tetrakali pyrophosphat, Tetrakali diphosphat; muối tetrakali của acid diphosphoric |
|
|
Mã số C.A.S. |
7320-34-5 |
|
|
Công thức hóa học |
K4P2O7 |
|
|
Khối lượng phân tử |
330,34 |
|
|
3. Cảm quan |
Dạng tinh thể hoặc hạt hoặc bột tinh thể không màu hoặc màu trắng; dễ hút ẩm |
|
|
4. Chức năng |
Chất ổn định, chất nhũ hóa, chất tạo phức kim loại |
|
|
5. Yêu cầu kỹ thuật |
||
|
5.1. Định tính |
|
|
|
Độ tan |
Tan trong nước, không tan trong ethanol. |
|
|
pH |
10,0 - 10,7 (dung dịch 1/100). |
|
|
Kali |
Phải có phản ứng đặc trưng của kali. |
|
|
Phosphat |
Phải có phản ứng đặc trưng của phosphat. |
|
|
5.2. Độ tinh khiết |
|
|
|
Giảm khối lượng khi nung |
Không được quá 2,0% (105oC trong 4 giờ, sau đó 550oC trong 30 phút) |
|
|
Các chất không tan trong nước |
Không được quá 0,2 %. |
|
|
Fluorid |
Không được quá 10,0 mg/kg (mô tả ở phần Phương pháp thử). |
|
|
Arsen |
Không được quá 3,0 mg/kg. |
|
|
Chì |
Không được quá 4,0 mg/kg. |
|
|
5.3. Hàm lượng K4P2O7 |
Không được thấp hơn 95,0 % tính theo chế phẩm sau khi nung |
|
|
6. Phương pháp thử |
||
|
6.1. Định tính |
|
|
|
Kali |
Thử theo JECFA monograph 1 - Vol.4. |
|
|
Phosphat |
Thử theo JECFA monograph 1 - Vol.4. |
|
|
6.2. Độ tinh khiết |
|
|
|
Fluorid |
Cân 5 g mẫu thử cho vào một bình cầu cất 250 ml, thêm 25 ml nước, 50 ml acid percloric, 5 giọt dung dịch bạc nitrat (1 trong 2) và vài viên bi thủy tinh. Nối bình cầu với 1 sinh hàn có gắn nhiệt kế và một ống mao quản sục khí, đầu nhiệt kế và ống mao quản phải ngập trong dung dịch chứa trong bình. Gắn một phễu nhỏ giọt chứa nước hoặc bộ sinh hơi nước vào ống mao quản. Đặt bình trên tấm amiăng có lỗ sao cho 1/3 đáy bình tiếp xúc với ngọn lửa. Tiến hành cất đến khi nhiệt độ trong bình đạt 135o. Thêm nước từ phễu vào bình hoặc cho hơi nước qua bình để duy trì nhiệt độ trong bình luôn đạt 135o-140o. Tiếp tục cất đến khi thu được 225-240 ml dịch cất sau đó pha loãng dịch cất thu được với nước đến đủ 250 ml, lắc đều. Lấy 50 ml dung dịch này cho vào một ống Nessler 100 ml. Trong một ống Nessler tương tự khác lấy 50 ml nước làm mẫu chứng. Thêm vào mỗi ống 0,1 ml dung dịch natri alizarinsulfonat (1 trong 1000) đã lọc và 1 ml dung dịch hydroxylamin (1 trong 4000) mới pha, lắc đều. Thêm từng giọt dung dịch natri hydroxyd 0,05 N vào ống chứa dịch cất, vừa thêm vừa khuấy, đến khi màu ống chứa dịch cất giống với màu ống chứng là màu hồng nhạt. Sau đó thêm vào mỗi ống chính xác 1 ml dung dịch acid hydrocloric 0,1 N và lắc đều. Sử dụng buret chia vạch 0,05 ml thêm từ từ vừa đủ dung dịch thori nitrat (1 trong 4000) vào ống chứa dịch cất để sau khi lắc đều màu của dung dịch chuyển về màu hồng nhạt. Ghi thể tích dung dịch thori nitrat (1 trong 4000) đã sử dụng, thêm chính xác lượng dung dịch thori nitrat (1 trong 4000) như vậy vào ống chứng, lắc đều. Dùng buret thêm dung dịch natri fluorid (TS) (10 µg F / ml) vào ống chứng để cho màu hai ống giống nhau sau khi pha loãng về cùng thể tích. Lắc đều, để yên cho bọt khí thoát hết trước khi so màu. Kiểm tra điểm tương đương bằng cách thêm 1-2 giọt dung dịch natri fluorid (TS) vào ống chứng. Sự thay đổi màu rõ rệt sẽ xảy ra. Ghi lại thể tích dung dịch natri fluorid (TS) đã sử dụng. Thể tích dung dịch natri fluorid (TS) sử dụng cho ống chứng không được quá 1 ml. |
|
|
Arsen |
Thử theo JECFA monograph 1 - Vol.4 -phương pháp II. |
|
|
Chì |
- Thử theo JECFA monograph 1 - Vol.4. - Xác định bằng kỹ thuật quang phổ hấp thụ nguyên tử thích hợp cho hàm lượng quy định. Lựa chọn cỡ mẫu thử và phương pháp chuẩn bị mẫu dựa trên nguyên tắc của phương pháp mô tả tại JECFA monograph 1 - Vol.4 phần các phương pháp phân tích công cụ. |
|
|
6.3. Định lượng |
|
|
|
|
Cân 600 mg (chính xác đến mg) mẫu thử, hòa tan trong 100 ml nước trong cốc 400 ml. Chỉnh pH dung dịch về đúng 3,8 bằng dung dịch acid hydrocloric loãng (TS), dùng pH kế để xác định pH dung dịch. Sau đó thêm 50 ml dung dịch kẽm sulfat (1 trong 8 - 125 g ZnSO4.7H2O hòa tan trong nước, pha loãng đến đủ 1000 ml, lọc và chỉnh pH về 3,8), để yên trong khoảng 2 phút. Chuẩn độ acid tự do bằng dung dịch natri hydroxyd 0,1 N đến khi pH dung dịch lại trở về 3,8. Sau mỗi lần thêm natri hydroxyd gần đến điểm tương đương, cần để một thời gian để nếu có kết tủa kẽm hydroxyd thì kết tủa có thể tan hết. Mỗi ml natri hydroxyd 0,1 N tương đương với 16,52 mg K4P2O7. |
|
|
Phụ lục 6 YÊU CẦU KỸ THUẬT VÀ PHƯƠNG PHÁP THỬ ĐỐI VỚI PENTANATRI TRIPHOSPHAT |
|
||
|
1. Tên khác, chỉ số |
Penta sodium tripolyphosphate, sodium triphosphate, sodium tripolyphosphae, triphosphate; INS 451i |
||
|
2. Định nghĩa |
|
||
|
Tên hóa học |
Pentanatri triphosphat, pentanatri tripolyphosphat |
||
|
Mã số C.A.S. |
7758-29-4 |
||
|
Công thức hóa học |
Na5O10P3.x H2O (x = 0 hoặc 6) |
||
|
Công thức cấu tạo |
|
||
|
Khối lượng phân tử
|
367,86 (dạng khan) 475,94 (dạng ngậm 6 phân tử nước) |
||
|
3. Cảm quan |
Dạng bột màu trắng hoặc dạng hạt hơi ẩm |
||
|
4. Chức năng |
Chất tạo phức kim loại, chất tạo kết cấu |
||
|
5. Yêu cầu kỹ thuật |
|||
|
5.1. Định tính |
|
||
|
Độ tan |
Tan hoàn toàn trong nước, không tan trong ethanol |
||
|
pH |
9,1 – 10,1 (dung dịch đo 1%) |
||
|
Phosphat |
Phải có phản ứng đặc trưng của phosphat. |
||
|
Natri |
Phải có phản ứng đặc trưng của natri. |
||
|
5.2. Độ tinh khiết |
|
||
|
Giảm khối lượng khi sấy khô |
Dạng khan: Không được quá 0,7% (nhiệt độ sấy 1050C trong 1 giờ). |
||
|
|
Dạng ngậm 6 phân tử nước: Không được quá 23,5% (nhiệt độ sấy 600C trong 1 giờ sau đó được sấy tiếp ở nhiệt độ sấy 1050C trong 4 giờ). |
||
|
Chất không tan trong nước |
Không được quá 0,1% |
||
|
Polyphosphat bậc cao |
Không được có (xem mô tả trong phần Phương pháp thử) |
||
|
Fluorid |
Không được quá 50,0 mg/kg (Phương pháp I hoặc II) |
||
|
Asen |
Không được quá 3,0 mg/kg (Phương pháp II) |
||
|
Chì |
Không được quá 4,0 mg/kg. |
||
|
5.3. Hàm lượng |
Dạng khan: Không được nhỏ hơn 85% Na5O10P3, không được nhỏ hơn 56,0% và không được vượt quá 58,0% P2O5 Dạng ngậm 6 phân tử nước : Không được nhỏ hơn 65,0% Na5O10P3 ; không được nhỏ hơn 43,0% và không được quá 45,0% P2O5 |
||
|
6. Phương pháp thử |
|
||
|
6.1. Định tính |
|
||
|
Phosphat |
Thử theo JECFA monograph 1 - Vol.4. |
||
|
Natri |
Thử theo JECFA monograph 1 - Vol.4. |
||
|
6.2. Độ tinh khiết |
|
||
|
Polyphosphat bậc cao |
- Dung môi sắc ký: Trộn 75 ml isopropanol, 10 ml nước, 20 ml dung dịch acid trichloroacetic 20% và 0,3 ml dung dịch amoniac 20%. Làm mới mỗi tuần. - Dung dịch phun sắc ký : Hoà tan 1 g amoni molypdat trong 85 ml nước, 10 ml acid HCl N và 5 ml acid perchloric 60%. - Dung dịch mẫu: Hoà tan 1 g mẫu trong 50 ml nước. - Dung dịch chuẩn đối chứng: Hoà tan 1 g mẫu chuẩn pentanatri triphosphat trong 50 ml nước |
||
|
|
- Cách tiến hành: Chấm 0,01 ml dung dịch mẫu và 0,01 ml dung dịch đối chứng lên vạch xuất phát trên giấy sắc ký và sấy bằng dòng khí ấm. Chạy sắc ký ở nhiệt độ 18 – 200C cho đến khi dung môi tăng đến khoảng 25 cm so với vạch xuất phát (khoảng 12 – 15 giờ). Sấy trong tủ sấy ở nhiệt độ 600C và phun bằng dung dịch phun sắc ký. Để giấy sắc ký dưới đèn cực tím và chiếu cho đến khi các phosphat nhìn được dưới dạng các vết màu xanh (trong khoảng 2 phút). Có 3 vết được quan sát gồm: vết thứ nhất của monophosphat (Rf = 0,69), vết thứ 2 của diphosphat (Rf = 0,44), vết thứ 3 của triphosphat (Rf = 0,29). Ngoài ra không còn có bất cứ vết nào khác. |
||
|
Chì |
- Thử theo hướng dẫn tại JECFA monograph 1 - Vol.4. - Xác định bằng kỹ thuật quang phổ hấp thụ nguyên tử thích hợp cho hàm lượng quy định. Lựa chọn cỡ mẫu thử và phương pháp chuẩn bị mẫu dựa trên nguyên tắc của phương pháp mô tả trong JECFA monograph 1 - Vol.4 phần các phương pháp phân tích công cụ. |
||
|
6.3. Định lượng |
|
||
|
|
Xác định Na5O10P3: - Dung dịch và thuốc thử: + Dung dịch đệm kali acetat (pH = 5,0): Hoà tan 78,5 g kali acetat trong 1.000 ml nước và điều chỉnh pH của dung dịch tới 5,0 bằng acid acetic. Thêm vào một vài mg thủy ngân (II) iodid để ngăn chặn sự phát triển của nấm mốc. + Dung dịch KCl 0,3M: Hoà tan 22,35 g KCl trong nước, thêm vào 5 ml dung dịch đệm kali acetat, pha loãng bằng nước đến thể tích 1.000 ml và khuấy đều. Thêm vào một vài mg thủy ngân (II) iodid. + Dung dịch KCl 0,6M: Hoà tan 44,7 g KCl trong nước, thêm vào 5 ml dung dịch đệm kali acetat, pha loãng bằng nước đến thể tích 1.000 ml và khuấy đều. Thêm vào một vài mg thủy ngân (II) iodid. + Dung dịch KCl 1M: Hoà tan 74,5 g KCl trong nước, thêm vào 5 ml dung dịch đệm kali acetat, pha loãng bằng nước đến thể tích 1.000 ml và khuấy đều. Thêm vào một vài mg thủy ngân (II) iodid. - Cột sắc ký: Sử dụng cột sắc ký chuẩn có chiều dài từ 20 – 40 cm, đường kính trong 20 – 28 mm, bên trong có đĩa thuỷ tinh dạng lỗ. Cột sắc ký có nắp kín và có van thích hợp. - Cách tiến hành: Đóng van cột sắc ký, đổ nước vào khoảng trống giữa đĩa thuỷ tinh xốp và van, nối đường dẫn chân không vào van. Chuẩn bị một lượng bột nhão 1 : 1 của nhựa trao đổi ion Dowex Fx8, hoặc tương đương, dạng clorid, nhựa trao đổi ion styrendivinylbenzen có cỡ hạt từ 100 – 200 hoặc 200 – 400 mesh, và gạn bỏ các hạt nhỏ mịn, bọt. Làm từ 2 đến 3 lần cho đến khi không nhìn thấy các hạt nhỏ lơ lửng và bọt. Cho bột nhão vào cột và mở van để tạo chân không trong trong cột đến khi các hạt nhựa lắng xuống và mực nước cao lên trên bề mặt các hạt nhựa thì đóng van cột lại. Bất kỳ lúc nào cũng không được để mực chất lỏng thấp hơn bề mặt các hạt nhựa. Lặp lại các thao tác trên cho đến khi cột chứa các hạt nhựa cao 15 cm ở phía trên đĩa thuỷ tinh. Đặt giấy lọc thành vòng tròn bên trên của lớp nhựa sau đó đặt một đĩa làm bằng nhựa polyethylen có lỗ lên trên giấy lọc. Cách khác, cắm một cái nút bằng bông thủy tinh ở bên trên. Đóng đỉnh cột với một nút cao su có chiều dài 7,6 cm và ở giữa đặt ống mao quản xuyên qua (đường kính trong 1,5 mm, đường kính ngoài 7 mm), để dư khoảng 12 mm của ống xuyên qua đáy nút. Nối đỉnh của ống mao quản với chuôi của một bình gạn thể tích 500 ml bằng ống nhựa vinyl mềm, kẹp bình gạn với giá đỡ hình khuyên trên cột. Rửa cột bằng cách thêm 100 ml nước vào bình gạn với điều kiện van của cột đã khoá. Mở van của bình gạn sau đó mở van của cột. Tốc độ dòng 5 ml/phút. Khi dung dịch trong bình gạn chảy hết thì đóng van của cột và đóng van của bình gạn lại. Cân chính xác 500 mg mẫu và cho vào bình định mức dung tích 250 ml, hoà tan và pha loãng bằng nước, trộn đều. Cho 10 ml dung dịch trên vào bình gạn, mở van và cho dung dịch chảy vào trong cột, rửa bình gạn bằng 20 ml nước. Loại bỏ phần dịch chảy ra. Thêm 370 ml dung dịch KCl 0,3M vào bình gạn và cho dung dịch chảy qua cột, loại bỏ phần đã chảy qua. Cho 250 ml dung dịch KCl 0,6M vào bình gạn và cho dung dịch chảy qua cột và giữ lại phần đã tách ra vào trong cốc thuỷ tinh dung tích 400 ml. (để đảm bảo cột sạch cho lần làm tiếp sau, rửa qua cột bằng 100 ml dung dịch KCl 1M, sau đó rửa lại bằng 100 ml nước, loại bỏ toàn bộ nước rửa). Cho 15 ml acid nitric vào cốc thuỷ tinh trên, trộn đều và đun trong thời gian 15 – 20 phút. Thêm dung dịch da cam methyl và trung hoà dung dịch bằng dung dịch amoniac đặc. Cho 1 g amoni molybdat vào và khuấy mạnh trong 3 phút hoặc thỉnh thoảng khuấy trong khoảng thời gian 10 – 15 phút. Sau đó lọc chân không qua giấy lọc đặt trên đĩa sứ (đường kính 25 mm) có lỗ kích thước 6 – 7mm. Sau khi lọc xong rửa cốc thuỷ tinh 5 lần bằng 10 ml dung dịch NaNO3 hoặc KNO3 1%, cho phần rửa qua bộ phận lọc, sau đó rửa bộ phận lọc 5 lần bằng 5 ml dung dịch rửa. Cho quay trở lại tấm lọc và phần kết tủa vào cốc thuỷ tinh, rửa phễu lọc bằng nước vào trong cốc thuỷ tinh và pha loãng tới 150 ml. Thêm vào dung dịch NaOH 0,1N từ buret cho đến khi kết tủa màu vàng tan hoàn toàn, sau đó thêm quá từ 5 -8 ml nữa. Cho vào phenolphthalein và chuẩn độ kiềm dư bằng acid nitric 0,1N. Cuối cùng, chuẩn độ bằng dung dịch NaOH 0,1N cho đến khi bắt đầu xuất hiện màu hồng. Hiệu số giữa tổng thể tích dung dịch NaOH 0,1N thêm vào và thể tích acid nitric 0,1N cần là V (ml) của dung dịch NaOH 0,1N đã tiêu thụ bởi phức photphomolybdat. Công thức tính hàm lượng Na5O10P3 có trong mẫu (%) Trong đó: a: Trọng lượng mẫu (mg) |
||
|
|
Xác định P2O5: Cân chính xác 20 g mẫu và cho vào cốc thuỷ tinh. Thêm vào 150 ml nước và 20 ml acid nitric đậm đặc. Cho vào các hạt chống trào, đậy cốc thuỷ tinh bằng tấm kính có thể quan sát được và đun nhẹ trong 1 giờ. Làm nguội tới nhiệt độ phòng. Chuyển toàn bộ dung dịch vào bình định mức dung tích 500 ml, pha loãng bằng nước, lắc đều và pha loãng đến thể tích mong muốn bằng nước. Lấy 20 ml dung dịch cho vào cốc nhựa, pha loãng với nước đến khoảng 50 ml và để cốc nhựa đó vào thiết bị chuẩn độ tự động được trang bị một pH kế. Điều chỉnh pH của dung dịch trong khoảng 2,5 – 2,8 bằng dung dịch NaOH 5 mol/l. Chuẩn độ bằng dung dịch NaOH 0,5 mol/l. Ghi lại thể tích đã sử dụng tại các điểm uốn pH = 4 (V1) và pH = 9 (V2) |
||
|
|
Công thức tính hàm lượng P2O5 (%) |
|
|
% P2O5 = [(V2 – V1)/2000] x f x 70,97 x (500/20) x (100/w) = [(V2 – V1)/w] x f x 88,71 |
|
|
Trong đó: w: Trọng lượng mẫu (g) f : Hệ số hiệu chỉnh của dung dịch NaOH 0,5 mol/l (bằng phân tử gam thực tế/0,5) |
|
Phụ lục 7 YÊU CẦU KỸ THUẬT VÀ PHƯƠNG PHÁP THỬ ĐỐI VỚI PENTAKALI TRIPHOSPHAT |
|
|
|
1. Tên khác, chỉ số |
Penta potassium tripolyphosphate, potassium triphosphate, potassium tripolyphosphate; INS 451ii MTDI = 70 mg/kg thể trọng tính theo phosphor từ các nguồn thực phẩm |
|
|
2. Định nghĩa |
|
|
|
Tên hóa học |
Pentakali triphosphat, penta kalitripolyphosphat |
|
|
Mã số C.A.S. |
13845-36-8 |
|
|
Công thức hóa học |
K5O10P3 |
|
|
Khối lượng phân tử |
448,42 |
|
|
3. Cảm quan |
Dạng bột màu trắng hoặc dạng hạt ưa ẩm |
|
|
4. Chức năng |
Chất tạo phức kim loại, chất tạo kết cấu |
|
|
5. Yêu cầu kỹ thuật |
||
|
5.1. Định tính |
|
|
|
Độ tan |
Tan hoàn toàn trong nước |
|
|
pH |
9,2 – 10,1 (dung dịch 1%) |
|
|
Phosphat |
Phải có phản ứng đặc trưng của phosphat. |
|
|
Kali |
Phải có phản ứng đặc trưng của kali. |
|
|
5.2. Độ tinh khiết |
|
|
|
Chất không tan trong nước |
Không được quá 2,0 % |
|
|
Giảm khối lượng khi nung |
Không được quá 0,4% sau khi sấy ở nhiệt độ sấy 1050C trong 4 giờ, sau đó nung ở nhiệt độ 5500C trong 30 phút. |
|
|
P2O5 |
Không được nhỏ hơn 46,5% và không được quá 48,0% (sử dụng lượng mẫu khô 1,5 g). |
|
|
Fluorid |
Không được quá 10,0 mg/kg (xem mô tả trong phần Phương pháp thử) |
|
|
Arsen |
Không được quá 3,0 mg/kg (Phương pháp II) |
|
|
Chì |
Không được quá 4,0 mg/kg. |
|
|
5.3. Hàm lượng K5O10P3 |
Không được nhỏ hơn 85% K5O10P3 tính theo chất khô, phần còn lại chủ yếu là các kali phosphat khác. |
|
|
6. Phương pháp thử |
|
|
|
6.1. Định tính |
|
|
|
Phosphat |
Thử theo hướng dẫn tại JECFA monograph 1 - Vol.4. |
|
|
Kali |
Thử theo hướng dẫn tại JECFA monograph 1 - Vol.4. |
|
|
6.2. Độ tinh khiết |
|
|
|
Fluorid |
Cho 5 g mẫu, 25 ml nước, 50 ml acid perchloric, 5 giọt dung dịch AgNO3 50% và vài hạt thủy tinh vào trong bình chưng cất dung tích 250 ml được kết nối với bình ngưng có kèm một nhiệt kế và một ống mao quản, cả hai đều phải nhúng vào chất lỏng. Nối một phễu nhỏ giọt, được đổ đầy nước, hoặc một thiết bị sinh hơi nước với ống mao quản. Đặt bình trên một tấm amiăng có một lỗ bằng khoảng một phần ba bình tới ngọn lửa. Chưng cất cho đến khi nhiệt độ đạt 1350C. Thêm nước qua phễu hoặc cho hơi nước qua mao quản để đảm bảo nhiệt độ đạt 135 – 1400C. Tiếp tục chưng cất cho đến khi lấy được 225 – 240 ml, sau đó pha loãng tới 250 ml bằng nước và lắc đều. Lấy 50 ml dung dịch thu được cho vào ống Nessler 100 ml. Trong ống Nessler tương tự khác cho 50 ml nước làm đối chứng. Thêm mỗi ống 0,1 ml dung dịch natri alizarinsulfonat 0,1% và 1 ml dung dịch hydroxylamin hydroclorid (1/4.000), và lắc đều. Thêm từng giọt dung dịch NaOH 0,05N và lắc ống có chứa phần chưng cất cho đến khi màu của nó phù hợp với màu của đối chứng - màu hồng nhạt. Sau đó thêm vào mỗi ống 1 ml dung dịch acid HCl 0,01N và lắc đều. Dùng buret có vạch định mức 0,05 ml, cho từ từ vào ống có chứa phần chưng cất dung dịch thori nitrat (1/4.000), sau đó lắc đều cho đến khi màu của dịch lỏng vừa chuyển sang màu hồng nhạt. Ghi lại thể tích dung dịch đã thêm, thêm chính xác thể tích như vậy vào ống đối chứng và lắc đều. Từ buret cho vào đối chứng dung dịch natri fluorid (10 μg F/ml) để tạo màu sắc của hai ống là như nhau sau khi pha loãng cùng một thể tích. Lắc đều và cho toàn bộ bọt khí thoát ra trước khi cho những giọt cuối cùng của dung dịch natri fluorid vào đối chứng. Sự thay đổi màu sắc sẽ xảy ra. Ghi lại thể tích dung dịch natri fluorid thêm vào. Thể tích dung dịch natri fluorid cần thiết cho dung dịch đối chứng không được quá 1,0 ml. |
|
|
Chì |
- Thử theo hướng dẫn tại JECFA monograph 1 - Vol.4. - Xác định bằng kỹ thuật quang phổ hấp thụ nguyên tử thích hợp cho hàm lượng quy định. Lựa chọn cỡ mẫu thử và phương pháp chuẩn bị mẫu dựa trên nguyên tắc của phương pháp mô tả trong JECFA monograph 1 - Vol.4 phần các phương pháp phân tích công cụ. |
|
|
6.3. Định lượng |
|
|
|
|
Dung dịch và hoá chất: |
|
|
|
- Dung dịch đệm kali acetat (pH = 5,0): Hoà tan 78,5 g kali acetat trong 1.000 ml nước và điều chỉnh pH tới 5,0 bằng acid acetic. Thêm vào một vài mg thủy ngân (II) iodid để ngăn chặn sự phát triển của nấm mốc. |
|
|
- Dung dịch KCl 0,3M: Hoà tan 22,35 g KCl trong nước, thêm vào 5 ml dung dịch đệm kali acetat, pha loãng bằng nước đến thể tích 1.000 ml và khuấy đều. Thêm vào một vài mg thủy ngân (II) iodid. - Dung dịch KCl 0,6M: Hoà tan 44,7 g KCl trong nước, thêm vào 5 ml dung dịch đệm kali acetat, pha loãng bằng nước đến thể tích 1.000 ml và khuấy đều. Thêm vào một vài mg thủy ngân (II) iodid. - Dung dịch KCl 1M: Hoà tan 74,5 g KCl trong nước, thêm vào 5 ml dung dịch đệm kali acetat, pha loãng bằng nước đến thể tích 1.000 ml và khuấy đều. Thêm vào một vài mg thủy ngân (II) iodid. |
|
|
Cột sắc ký: |
|
|
Sử dụng cột sắc ký chuẩn có chiều dài từ 20 – 40 cm, đường kính trong 20 – 28 mm, bên trong có đĩa thuỷ tinh dạng lỗ. Cột sắc ký có nắp kín và có van. |
|
|
Cách tiến hành: |
|
|
Đóng van cột sắc ký, đổ nước vào khoảng trống giữa đĩa thuỷ tinh và van, nối đường dẫn chân không vào van. Chuẩn bị một lượng bột nhão 1 : 1 của nhựa trao đổi ion Dowex Fx8, hoặc tương đương dạng clorid, nhựa trao đổi ion styrenedivinylbenzen có cỡ hạt từ 100 – 200 hoặc 200 – 400 mesh, và gạn bỏ các hạt nhỏ mịn, bọt. Làm từ 2 đến 3 lần cho đến khi không nhìn thấy các hạt nhỏ lơ lửng và bọt. Cho bùn vào cột và mở van để tạo chân không trong cột đến khi các hạt nhựa lắng xuống và mực nước cao lên trên bề mặt các hạt nhựa thì đóng van cột lại. Bất kỳ lúc nào cũng không được để mực chất lỏng thấp hơn bề mặt các hạt nhựa. Lặp lại các thao tác trên cho đến khi cột chứa các hạt nhựa cao 15 cm ở phía trên đĩa thuỷ tinh. Đặt giấy lọc thành vòng tròn bên trên của lớp nhựa sau đó đặt một đĩa làm bằng nhựa polyethylen có lỗ lên trên giấy lọc. Cách khác, cắm một cái nút bằng bông thủy tinh ở bên trên. Đóng đỉnh cột với một nút cao su có chiều dài 7,6 cm và ở giữa đặt ống mao quản xuyên qua (đường kính trong 1,5 mm, đường kính ngoài 7 mm), để dư khoảng 12 mm của ống xuyên qua đáy nút. Nối đỉnh của ống mao quản với đầu nối của một bình gạn thể tích 500 ml bằng ống nhựa vinyl mềm, kẹp bình gạn với giá đỡ hình khuyên trên cột. Rửa cột bằng cách thêm 100 ml nước vào bình gạn với điều kiện van của cột đã khoá. Mở van của bộ phận tách sau đó mở van của cột. Tốc độ dòng 5 ml/phút. Khi dung dịch trong bình gạn đã chảy hết thì đóng van của cột và đóng van của bình gạn lại. Cân chính xác 500 mg mẫu đã được sấy khô ở nhiệt độ 1050C trong 4 giờ và cho vào bình định mức dung tích 250 ml, hoà tan và pha loãng bằng nước, trộn đều. Chuyển 10 ml dung dịch trên vào bình gạn, mở van và cho dung dịch chảy vào trong cột, rửa bình gạn bằng 20 ml nước. Loại bỏ phần dịch chảy qua. Thêm 370 ml dung dịch KCl 0,3M vào bình gạn và cho dung dịch chảy qua cột, loại bỏ phần đã chảy ra. Cho 250 ml dung dịch KCl 0,6M vào bình gạn và cho dung dịch chảy qua cột và giữ lại phần đã tách ra vào trong cốc thuỷ tinh dung tích 400 ml (để đảm bảo cột sạch cho lần làm tiếp sau, rửa qua cột bằng 100 ml dung dịch KCl 1M, sau đó rửa lại bằng 100 ml nước, loại bỏ toàn bộ nước rửa). Cho 15 ml acid nitric vào cốc thuỷ tinh trên, trộn đều và đun trong thời gian 15 – 20 phút. Thêm dung dịch da cam methyl và trung hoà bằng dung dịch amoniac đặc. Cho 1 g tinh thể amoni nitrat vào và khuấy tan, để nguội. Thêm 15 ml dung dịch amoni molybdat, khuấy mạnh trong 3 phút hoặc thỉnh thoảng khuấy trong khoảng 10 – 15 phút. Sau đó lọc chân không qua giấy lọc đặt trên đĩa sứ (đường kính 25 mm) có lỗ kích thước 6 – 7mm. Sau khi lọc xong rửa cốc thuỷ tinh 5 lần bằng 10 ml dung dịch NaNO3 hoặc KNO3 1%, cho phần rửa qua bộ phận lọc, sau đó rửa bộ phận lọc 5 lần bằng 5 ml dung dịch rửa. Cho quay trở lại tấm lọc và phần kết tủa vào cốc thuỷ tinh, rửa phễu lọc bằng nước vào trong cốc thuỷ tinh và pha loãng tới 150 ml. Thêm vào dung dịch NaOH 0,1N từ buret cho đến khi kết tủa màu vàng tan hoàn toàn, sau đó thêm quá từ 5 -8 ml nữa. Cho vào phenolphthalein và chuẩn độ kiềm dư bằng acid nitric 0,1N. Cuối cùng, chuẩn độ bằng dung dịch NaOH 0,1N cho đến khi bắt đầu xuất hiện màu hồng. Hiệu số giữa tổng thể tích dung dịch NaOH 0,1N thêm vào và thể tích acid nitric cần là V (ml) của dung dịch NaOH 0,1N đã tiêu thụ bởi phức photphomolybdat. Hàm lượng K5O10P3 trong mẫu (mg) = 0,650 x 25V. |
|
Phụ lục 8 YÊU CẦU KỸ THUẬT VÀ PHƯƠNG PHÁP THỬ ĐỐI VỚI NATRI POLYPHOSPHAT |
|
|||
|
1. Tên khác, chỉ số |
Sodium hexametaphosphate, sodium tetrapolyphosphate, muối Graham INS 452i MTDI = 70 mg/kg thể trọng, tính theo phospho từ các nguồn thực phẩm |
|||
|
2. Định nghĩa |
Thu được bằng cách nấu chảy và làm lạnh kế tiếp natri orthophosphat; một nhóm các hợp chất gồm các polyphosphat vô định hình, chuỗi mạch thẳng được tạo thành từ các metaphosphat, tan trong nước. |
|||
|
Tên hóa học |
Natri tetrapolyphosphat, natri hexametaphosphat, natri polyphosphat |
|||
|
Mã số C.A.S. |
68915-31-1, 10124-56-8, 10361-03-2 |
|||
|
Công thức cấu tạo |
|
|||
|
|
Trong đó x = 2 ; 4 ; 13 – 18, 20 – 100 hoặc lớn hơn |
|||
|
3. Cảm quan |
Dạng hạt hoặc dạng bột, không màu hoặc màu trắng, dạng tiểu cầu trong suốt, |
|||
|
4. Chức năng |
Chất nhũ hoá, chất tạo phức kim loại, chất tạo kết cấu |
|||
|
5. Yêu cầu kỹ thuật |
||||
|
5.1. Định tính |
|
|||
|
Độ tan |
Tan hoàn toàn trong nước |
|||
|
Natri |
Phải có phản ứng đặc trưng của natri (dung dịch 5,0%) |
|||
|
Orthophosphat |
Phải có phản ứng đặc trưng của orthophosphat. |
|||
|
5.2. Độ tinh khiết |
|
|||
|
Giảm khối lượng khi nung |
Không được quá 1,0% |
|||
|
Chất không hoà tan |
Không được quá 0,1% |
|||
|
Fluorid |
Không được quá 10,0 mg/kg (Phương pháp I hoặc II) |
|||
|
Arsen |
Không được quá 3,0 mg/kg |
|||
|
Chì |
Không được quá 4,0 mg/kg. |
|||
|
5.3. Hàm lượng P2O5 |
Không được nhỏ hơn 60% và không được quá 71% P2O5 |
|||
|
6. Phương pháp thử |
|
|||
|
6.1. Định tính |
|
|||
|
Orthophosphat |
Hoà tan 0,1 g mẫu trong 5 ml dung dịch acid nitric loãng, nóng. Làm ấm trong nồi cách thủy trong 10 phút và làm nguội. Trung hoà bằng dung dịch NaOH có sử dụng quì tím và thêm vào AgNO3. Kết tủa màu vàng hình thành tan trong acid nitric loãng. |
|||
|
6.2. Độ tinh khiết |
|
|||
|
Chất không hoà tan |
Hoà tan 10 g mẫu trong 100 ml nước nóng và lọc. Rửa cặn không tan bằng nước nóng, sấy ở nhiệt độ 1050C trong 2 giờ, sau đó cân. |
|||
|
Chì |
- Thử theo hướng dẫn tại JECFA monograph 1 - Vol.4. - Xác định bằng kỹ thuật quang phổ hấp thụ nguyên tử thích hợp cho hàm lượng quy định. Lựa chọn cỡ mẫu thử và phương pháp chuẩn bị mẫu dựa trên nguyên tắc của phương pháp mô tả trong JECFA monograph 1 - Vol.4 phần các phương pháp phân tích công cụ. |
|||
|
6.3. Định lượng |
|
|||
|
|
Cân chính xác 800 mg mẫu và cho vào cốc thuỷ tinh dung tích 400 ml. Thêm vào 100 ml nước, 25 ml acid nitric và đậy lại bằng một kính đồng hồ, đun sôi trong 10 phút trên tấm gia nhiệt. Rửa phần ngưng trên kính đồng hồ vào cốc thuỷ tinh; làm nguội dung dịch đến nhiệt độ phòng; chuyển dung dịch đó vào bình định mức dung tích 500 ml; pha loãng bằng nước và lắc đều. Dùng pipet cho 20 ml dung dịch trên vào bình Erlenmeyer dung tích 500 ml, thêm vào 100 ml nước và gia nhiệt cho đến sôi. Bổ sung 50 ml dung dịch quimociac và khuấy đồng thời, sau đó đậy bằng một kính đồng hồ và đun sôi trong thời gian 1 phút. Làm nguội tới nhiệt độ phòng, thỉnh thoảng lắc xoáy trong quá trình làm nguội, sau đó lọc và rửa 5 lần mỗi lần 25 ml nước. Sấy ở nhiệt độ 2250C trong 30 phút, làm nguội và cân. Mỗi mg kết tủa thu được như vậy tương đương với 32,074 µg P2O5. |
|||
|
Phụ lục 9 YÊU CẦU KỸ THUẬT VÀ PHƯƠNG PHÁP THỬ ĐỐI VỚI KALI POLYPHOSPHAT |
|
||
|
1. Tên khác, chỉ số |
Potassium metaphosphate; MTDI = 70 mg/kg thể trọng, tính theo phospho từ các nguồn thực phẩm INS 452ii |
||
|
2. Định nghĩa |
Hỗn hợp dị thể các muối kali của các acid polyphosphoric trùng ngưng mạch thẳng, có công thức tổng quát là Hn+2PnO3n+1, trong đó n không bé hơn 2. |
||
|
Tên hóa học |
Kali metaphosphat, kali polymetaphosphat, kali polyphosphat |
||
|
Mã số C.A.S. |
7790-53-6 |
||
|
Công thức hóa học chung |
Hn+2PnO3n+1 |
||
|
|
Trong đó n ≥ 2 |
||
|
3. Cảm quan |
Khối màu trắng trong, dạng mảnh, dạng tinh thể hoặc dạng bột không mùi, không màu. |
||
|
4. Chức năng |
Chất nhũ hoá, chất giữ độ ẩm, chất tạo phức kim loại, chất tạo kết cấu |
||
|
5. Yêu cầu kỹ thuật |
|||
|
5.1. Định tính |
|
||
|
Độ tan |
1 g hoà tan trong 100 ml dung dịch natri acetat 4% |
||
|
Tạo gel |
Phải có phản ứng tạo gel đặc trưng. |
||
|
Kali |
Phải có phản ứng đặc trưng của kali. |
||
|
Phosphat |
Phải có phản ứng đặc trưng của phosphat. |
||
|
5.2. Độ tinh khiết |
|
||
|
Giảm khối lượng khi nung |
Không được quá 2% sau khi sấy ở nhiệt độ 1050C trong 4 giờ, sau đó nung ở 5500C trong 30 phút |
||
|
Phosphat mạch vòng |
Không được quá 8,0 % |
||
|
Fluorid |
Không được quá 10,0 mg/kg. |
|
Arsen |
Không được quá 3,0 mg/kg (Phương pháp II) |
|
Chì |
Không được quá 4,0 mg/kg. |
|
5.3. Hàm lượng P2O5 |
Không được nhỏ hơn 53,5% và không được quá 61,5% P2O5 theo khối lượng sau nung |
|
6. Phương pháp thử |
|
|
6.1. Định tính |
|
|
Tạo gel |
Cân 1 g mẫu bột nghiền mịn và thêm từ từ vào 100 ml dung dịch NaCl 2%, vừa thêm vừa khuấy mạnh. Khối gel được hình thành. |
|
Kali |
Hoà 0,5 g mẫu với 10 ml dung dịch acid nitric và 50 ml nước, đun sôi khoảng 30 phút và làm nguội. Dung dịch thu được được sử dụng cho phân tích. |
|
Phosphat |
Hoà 0,5 g mẫu với 10 ml dung dịch acid nitric và 50 ml nước, đun sôi khoảng 30 phút và làm nguội. Dung dịch thu được được sử dụng cho phân tích. |
|
6.2. Độ tinh khiết |
|
|
Fluorid |
Cho 5 g mẫu, 25 ml nước, 50 ml acid perchloric, 5 giọt dung dịch AgNO3 50% và vài hạt thủy tinh vào trong một bình chưng cất 250 ml được kết nối với bình ngưng có kèm một nhiệt kế và một ống mao quản, cả hai đều phải nhúng vào chất lỏng. Nối một phễu nhỏ giọt, được đổ đầy nước, hoặc một thiết bị sinh hơi nước với ống mao quản. Đặt bình trên một tấm amiăng có một lỗ bằng khoảng một phần ba bình tới ngọn lửa. Chưng cất cho đến khi nhiệt độ đạt 1350C. Thêm nước qua phễu hoặc cho hơi nước qua mao quản để đảm bảo nhiệt độ đạt 135 – 1400C. Tiếp tục chưng cất cho đến khi lấy được 225 – 240 ml, sau đó pha loãng tới 250 ml bằng nước và lắc đều. Lấy 50 ml dung dịch thu được cho vào ống Nessler 100 ml. Trong ống Nessler tương tự khác cho 50 ml nước làm đối chứng. Thêm mỗi ống 0,1 ml dung dịch natri alizarinsulfonat 0,1% đã được lọc và 1 ml dung dịch hydroxylamin hydroclorua (1/4.000), và lắc đều. Thêm từng giọt dung dịch NaOH 0,05N và lắc ống có chứa phần chưng cất cho đến khi màu của nó phù hợp với màu của đối chứng - màu hồng nhạt. Sau đó thêm vào mỗi ống 1 ml dung dịch acid HCl 0,1N và lắc đều. Dùng buret có vạch định mức 0,05 ml, cho từ từ vào ống có chứa phần chưng cất dung dịch thori nitrat (1/4.000), sau đó lắc đều cho đến khi màu của dịch lỏng vừa chuyển sang màu hồng nhạt. Lưu ý thể tích dung dịch đã thêm, thêm chính xác thể tích như vậy vào đối chứng và lắc đều. Từ buret cho vào đối chứng dung dịch natri fluorid (10 μg F/ml) để tạo màu sắc của hai ống sau khi pha loãng cùng một thể tích. Lắc đều và cho toàn bộ bọt khí thoát ra trước khi cho những giọt cuối cùng của dung dịch natri fluorid vào đối chứng. Kiểm tra điểm kết thúc bằng cách thêm vào 1 hoặc 2 giọt natri fluorid vào đối chứng. Sự thay đổi màu sắc sẽ xảy ra. Ghi lại thể tích dung dịch natri fluorid thêm vào. Thể tích dung dịch natri fluorid cần thiết cho dung dịch đối chứng không quá 1 ml. |
|
Chì |
- Thử theo hướng dẫn tại JECFA monograph 1 - Vol.4. - Xác định bằng kỹ thuật quang phổ hấp thụ nguyên tử thích hợp cho hàm lượng quy định. Lựa chọn cỡ mẫu thử và phương pháp chuẩn bị mẫu dựa trên nguyên tắc của phương pháp mô tả trong JECFA monograph 1 - Vol.4 phần các phương pháp phân tích công cụ. |
|
6.3. Định lượng |
Trộn 300 mg mẫu đã được cân chính xác với 15 ml dung dịch acid nitric và 30 ml nước, đun sôi trong 30 phút sau đó pha loãng bằng nước cho đến thể tích 100 ml. Gia nhiệt 600C, thêm dư dung dịch amoni molybdat và gia nhiệt 500C trong 30 phút. Lọc và rửa phần kết tủa bằng dung dịch acid nitric loãng (1/36), tiếp đó rửa bằng dung dịch KNO3 1% cho đến khi dịch lọc ra không còn acid, dùng chất chỉ thị là quì tím. Hoà tan phần kết tủa trong 50 ml dung dịch NaOH 1N, thêm vào phenolphthalein và chuẩn độ NaOH dư bằng acid H2SO4 1N. Mỗi ml dung dịch NaOH 1N tương ứng với 3,088 mg P2O5. |
|
Phụ lục 10 YÊU CẦU KỸ THUẬT VÀ PHƯƠNG PHÁP THỬ ĐỐI VỚI NATRI CALCI POLYPHOSPHAT |
|
|
|
1. Tên khác, chỉ số |
Sodium calcium polyphosphate, glassy INS 452iii MTDI = 70 mg/kg thể trọng tính cho phospho từ các nguồn thực phẩm |
|
|
2. Định nghĩa |
|
|
|
Tên hóa học |
Natri calci polyphosphat |
|
|
Công thức hóa học |
(NaPO3)n_CaO trong đó n thường là 5 |
|
|
3. Cảm quan |
Tinh thể trắng, trong, hình cầu |
|
|
4. Chức năng |
Chất tạo phức kim loại, chất ổn định, chất làm nổi, chất nhũ hóa, chất dinh dưỡng |
|
|
5. Yêu cầu kỹ thuật |
||
|
5.1. Định tính |
|
|
|
Natri |
Phải có phản ứng đặc trưng của natri. |
|
|
Phosphat |
Phải có phản ứng đặc trưng của phosphat. |
|
|
Calci |
Phải có phản ứng đặc trưng của calci. |
|
|
5.2. Độ tinh khiết |
|
|
|
Fluorid |
Không được quá 10,0 mg/kg. |
|
|
Arsenic |
Không được quá 3,0 mg/kg. |
|
|
Chì |
Không được quá 4,0 mg/kg. |
|
|
5.3. Hàm lượng P2O5 |
Không được thấp hơn 61,0% và không được quá 69,0% P2O5 tính theo chế phẩm khô. |
|
|
6. Phương pháp thử |
||
|
6.1. Định tính |
|
|
|
Natri |
Thử theo JECFA monograph 1 - Vol.4. |
|
|
Phosphat |
Thử theo JECFA monograph 1 - Vol.4. |
|
|
Calci |
Thử theo JECFA monograph 1 - Vol.4. |
|
|
6.2. Độ tinh khiết |
|
|
|
Fluorid |
Thử theo JECFA monograph 1 - Vol.4 - Phương pháp 3, sử dụng cỡ mẫu và thể tích dung dịch chuẩn thích hợp để dựng đường chuẩn). |
|
|
Chì |
- Thử theo JECFA monograph 1 - Vol.4. - Xác định bằng kỹ thuật quang phổ hấp thụ nguyên tử thích hợp cho hàm lượng quy định. Lựa chọn cỡ mẫu thử và phương pháp chuẩn bị mẫu dựa trên nguyên tắc của phương pháp mô tả trong JECFA monograph 1 - Vol.4 phần các phương pháp phân tích công cụ. |
|
|
6.3. Định lượng |
|
|
|
|
Cân khoảng 200 mg mẫu thử, chính xác đến mg, hòa tan trong 10 ml acid nitric loãng (TS) và 25 ml nước cất. Đun sôi trong khoảng 30 phút, lọc nếu cần, nếu có tủa thì rửa tủa, sau đó hòa tan tủa bằng cách thêm 1 ml acid nitric loãng (TS). Chỉnh nhiệt độ về 50oC, thêm 75 ml dung dịch amoni molybdat (TS) và đun ở 50oC trong 30 phút, thình thoảng khuấy đều. Để yên sau 16 giờ hoặc qua đêm tại nhiệt độ phòng. Gạn bỏ phần dịch phía trên qua giấy lọc, rửa tủa 2 lần, mỗi lần với 40ml nước cất, cho tủa lên phễu lọc nêu trên. Rửa tủa bằng dung dịch kali nitrat (1/100) đến khi dịch rửa không còn acid với quỳ tím. Hòa tan tủa trong 50 ml dung dịch natri hydroxyd 1N, lắc đến khi tủa tan hoàn toàn, thêm 3 giọt dung dịch phenolphtalein (TS) và chuẩn độ lượng natri hydroxyd dư bằng acid sulfuric 1N. Mỗi ml dung dịch natri hydroxyd 1N tương đương với 3,088 mg P2O5. |
|
|
Phụ lục 11 YÊU CẦU KỸ THUẬT VÀ PHƯƠNG PHÁP THỬ ĐỐI VỚI NATRI GLUCONAT |
|
|
|
1. Tên khác, chỉ số |
Sodium gluconate INS 576 ADI “không giới hạn” |
|
|
2. Định nghĩa |
|
|
|
Tên hóa học |
Natri D-gluconat |
|
|
Mã số C.A.S. |
527-07-1 |
|
|
Công thức hóa học |
C6H11NaO7 |
|
|
Công thức cấu tạo |
|
|
|
Khối lượng phân tử |
218,14 |
|
|
3. Cảm quan |
Dạng hạt hoặc bột tinh thể mịn màu trắng đến nâu. |
|
|
4. Chức năng |
Chất tạo phức kim loại, thức ăn cho nấm men |
|
|
5. Yêu cầu kỹ thuật |
||
|
5.1. Định tính |
|
|
|
Độ tan |
Rất dễ tan trong nước, ít tan trong ethanol. |
|
|
Natri |
Phải có phản ứng đặc trưng của natri. |
|
|
Gluconat |
Phải có phản ứng đặc trưng của gluconat. |
|
|
5.2. Độ tinh khiết |
|
|
|
Các hợp chất khử |
Không được quá 1,0% tính theo D-glucose. |
|
|
Chì |
Không được quá 2,0 mg/kg. |
|
|
5.3. Hàm lượng C6H11NaO7 |
Không thấp hơn 98,0%. |
|
|
6. Phương pháp thử |
||
|
6.1. Định tính |
|
|
|
Natri |
Thử theo JECFA monograph 1 - Vol.4. |
|
|
Gluconat |
Thử theo JECFA monograph 1 - Vol.4. |
|
|
6.2. Độ tinh khiết |
|
|
|
Các hợp chất khử |
Thử theo JECFA monograph 1 - Vol.4 - phương pháp I. |
|
|
Chì |
- Thử theo JECFA monograph 1 - Vol.4. - Xác định bằng kỹ thuật quang phổ hấp thụ nguyên tử thích hợp cho hàm lượng quy định. Lựa chọn cỡ mẫu thử và phương pháp chuẩn bị mẫu dựa trên nguyên tắc của phương pháp mô tả tại JECFA monograph 1 - Vol.4 phần các phương pháp phân tích công cụ. |
|
|
6.3. Định lượng |
|
|
|
|
Cân khoảng 150 mg (chính xác đến mg) mẫu thử, cho vào 1 bình nón 200 ml khô, sạch, thêm 75 ml acid acetic băng và hòa tan bằng cách đun nóng trên bếp. Làm mát và thêm dung dịch đỏ quinaldin (TS). Sử dụng microburet 10 ml, chuẩn độ với dung dịch acid percloric 0,1 N trong acid acetic băng, đến khi dung dịch mất màu. Mỗi ml dung dịch acid percloric 0,1 N tương đương với 21,81 mg C6H11NaO7. |
|
|
Phụ lục 12 YÊU CẦU KỸ THUẬT VÀ PHƯƠNG PHÁP THỬ ĐỐI VỚI KALI GLUCONAT |
|
|
|
1. Tên khác, chỉ số |
Potassium gluconate, Potassium D-gluconate INS 577 ADI “không giới hạn” |
|
|
2. Định nghĩa |
|
|
|
Tên hóa học |
Kali D-gluconat |
|
|
Mã số C.A.S. |
Dạng khan: 299-27-4 Dạng monohydrat: 35398-15-3 |
|
|
Công thức hóa học |
C6H11KO7 |
|
|
Công thức cấu tạo |
|
|
|
Khối lượng phân tử |
Dạng khan: 234,25 Dạng monohydrat: 252,26 |
|
|
3. Cảm quan |
Dạng hạt hoặc bột tinh thể màu trắng đến trắng vàng, không chảy, không mùi. |
|
|
4. Chức năng |
Chất tạo phức kim loại, chất điều chỉnh độ acid, chất dinh dưỡng bổ sung, thức ăn cho men |
|
|
5. Yêu cầu kỹ thuật |
||
|
5.1. Định tính |
|
|
|
Kali |
Phải có phản ứng đặc trưng của kali. |
|
|
Gluconat |
Phải có phản ứng đặc trưng của gluconat. |
|
|
5.2. Độ tinh khiết |
|
|
|
Giảm khối lượng khi làm khô |
Dạng khan: Không được quá 3% Dạng monohydrat: Không ít hơn 6% và không được quá 7,5%. (sấy tại 105o, trong 4 giờ, chân không). |
|
|
Các hợp chất khử |
Không được quá 1,0% tính theo D-glucose. |
|
|
Chì |
Không được quá 2,0 mg/kg. |
|
|
5.3. Hàm lượng C6H11KO7 |
Không thấp hơn 97,0% và không được quá 103,0% tính theo chế phẩm đã làm khô. |
|
|
6. Phương pháp thử |
||
|
6.1. Định tính |
|
|
|
Kali |
Thử theo JECFA monograph 1 - Vol.4. |
|
|
Gluconat |
Thử theo JECFA monograph 1 - Vol.4. |
|
|
6.2. Độ tinh khiết |
|
|
|
Các hợp chất khử |
Thử theo JECFA monograph 1 - Vol.4 - phương pháp I. |
|
|
Chì |
- Thử theo JECFA monograph 1 - Vol.4. - Xác định bằng kỹ thuật quang phổ hấp thụ nguyên tử thích hợp cho hàm lượng quy định. Lựa chọn cỡ mẫu thử và phương pháp chuẩn bị mẫu dựa trên nguyên tắc của phương pháp mô tả trong JECFA monograph 1 - Vol.4 phần các phương pháp phân tích công cụ. |
|
|
6.3. Định lượng |
|
|
|
|
Cân khoảng 175 mg (chính xác đến mg) mẫu thử, cho vào 1 bình nón 200 ml khô, sạch, thêm 75 ml acid acetic băng và hòa tan bằng cách đun nóng trên bếp. Làm mát và thêm dung dịch đỏ quinaldin (TS). Sử dụng microburet 10 ml, chuẩn độ với dung dịch acid percloric 0,1 N trong acid acetic băng, đến khi dung dịch mất màu. Mỗi ml dung dịch acid percloric 0,1 N tương đương với 23,42 mg C6H11KO7. |
|
Bạn chưa Đăng nhập thành viên.
Đây là tiện ích dành cho tài khoản thành viên. Vui lòng Đăng nhập để xem chi tiết. Nếu chưa có tài khoản, vui lòng Đăng ký tại đây!
Bạn chưa Đăng nhập thành viên.
Đây là tiện ích dành cho tài khoản thành viên. Vui lòng Đăng nhập để xem chi tiết. Nếu chưa có tài khoản, vui lòng Đăng ký tại đây!






























