- Tổng quan
- Nội dung
- VB gốc
- Tiếng Anh
- Hiệu lực
- VB liên quan
- Lược đồ
-
Nội dung hợp nhất
Tính năng này chỉ có tại LuatVietnam.vn. Nội dung hợp nhất tổng hợp lại tất cả các quy định còn hiệu lực của văn bản gốc và các văn bản sửa đổi, bổ sung, đính chính... trên một trang. Việc hợp nhất văn bản gốc và những văn bản, Thông tư, Nghị định hướng dẫn khác không làm thay đổi thứ tự điều khoản, nội dung.
Khách hàng chỉ cần xem Nội dung hợp nhất là có thể nắm bắt toàn bộ quy định hiện hành đang áp dụng, cho dù văn bản gốc đã qua nhiều lần chỉnh sửa, bổ sung.
- Tải về
Thông tư 09/2023/TT-BKHCN 2023 Quy chuẩn đối với thiết bị X-quang đo mật độ xương dùng trong y tế
| Cơ quan ban hành: | Bộ Khoa học và Công nghệ |
Số công báo:
Số công báo là mã số ấn phẩm được đăng chính thức trên ấn phẩm thông tin của Nhà nước. Mã số này do Chính phủ thống nhất quản lý.
|
Đã biết
|
| Số hiệu: | 09/2023/TT-BKHCN | Ngày đăng công báo: |
Đã biết
|
| Loại văn bản: | Thông tư | Người ký: | Lê Xuân Định |
|
Ngày ban hành:
Ngày ban hành là ngày, tháng, năm văn bản được thông qua hoặc ký ban hành.
|
25/05/2023 |
Ngày hết hiệu lực:
Ngày hết hiệu lực là ngày, tháng, năm văn bản chính thức không còn hiệu lực (áp dụng).
|
Đang cập nhật |
|
Áp dụng:
Ngày áp dụng là ngày, tháng, năm văn bản chính thức có hiệu lực (áp dụng).
|
Đã biết
|
Tình trạng hiệu lực:
Cho biết trạng thái hiệu lực của văn bản đang tra cứu: Chưa áp dụng, Còn hiệu lực, Hết hiệu lực, Hết hiệu lực 1 phần; Đã sửa đổi, Đính chính hay Không còn phù hợp,...
|
Đã biết
|
| Lĩnh vực: | Y tế-Sức khỏe |
TÓM TẮT THÔNG TƯ 09/2023/TT-BKHCN
1. Từ ngày 01/12/2023, thiết bị X-quang đo mật độ xương dùng trong y tế phải đáp ứng QCVN 24:2023/BKHCN. Đối với thiết bị X-quang đo mật độ xương đã đưa vào sử dụng trước ngày QCVN 24:2023/BKHCN có hiệu lực, yêu cầu:
- Giấy chứng nhận kiểm định còn hiệu lực tiếp tục được công nhận cho đến khi phải thực hiện kiểm định lại theo quy định tại QCVN 24:2023/BKHCN.
- Trường hợp thiết bị được sản xuất sau ngày 01/01/2017, tổ chức, cá nhân sử dụng thiết bị phải trang bị phantom đánh giá độ chính xác của mật độ xương cho từng thiết bị theo quy định tại Mục 4.1.2 của QCVN 24:2023/BKHCN trước ngày 25/5/2024.
2. Yêu cầu đối với thiết bị X-quang đo mật độ xương dùng trong y tế như sau:
- Thông tin thiết bị: Phải có nhãn hàng hóa hoặc hồ sơ thể hiện đầy đủ các thông tin về quốc gia/hãng sản xuất, năm sản xuất, mã hiệu, số xêri của thiết bị và các bộ phận chính cấu thành thiết bị (trường hợp bị mất hoặc mờ số xêri, tổ chức thực hiện kiểm định phải đánh số xêri cho thiết bị).
- Tín hiệu cảnh báo phát tia: Có tín hiện cảnh báo bằng âm thanh hoặc màu sắc khi thiết bị X-quang phát tia X.
- Nút bấm khẩn cấp: Phải hoạt động ổn định, cho phép dừng phát tia X ngay lập tức sau khi bấm nút.
- Độ lặp lại của BMD (chế độ quét xương cột sống, chế độ chiếu xương cẳng tay): Hệ số biến thiên (COV) phải nhỏ hơn hoặc bằng 3%...
2. Kiểm định thiết bị X-quang trước khi đưa vào sử dụng lần đầu, định kỳ 02 năm/lần hoặc sau khi sửa chữa, thay thế bộ phận làm ảnh hưởng đến tính năng an toàn và độ chính xác của thiết bị.
Thông tư này có hiệu lực từ ngày 15/7/2023.
Xem chi tiết Thông tư 09/2023/TT-BKHCN có hiệu lực kể từ ngày 15/07/2023
Tải Thông tư 09/2023/TT-BKHCN
|
BỘ KHOA HỌC VÀ Số: 09/2023/TT-BKHCN |
CỘNG HÒA XÃ HỘI CHỦ NGHĨA VIỆT NAM Hà Nội, ngày 25 tháng 5 năm 2023 |
THÔNG TƯ
BAN HÀNH QUY CHUẨN KỸ THUẬT QUỐC GIA ĐỐI VỚI THIẾT BỊ X-QUANG ĐO MẬT ĐỘ XƯƠNG DÙNG TRONG Y TẾ
_______________________
Căn cứ Luật Năng lượng nguyên tử ngày 03 tháng 6 năm 2008;
Căn cứ Luật Tiêu chuẩn và quy chuẩn kỹ thuật ngày 29 tháng 6 năm 2006;
Căn cứ Nghị định số 07/2010/NĐ-CP ngày 25 tháng 01 năm 2010 của Chính phủ quy định chi tiết và hướng dẫn thi hành một số điều của Luật Năng lượng nguyên tử;
Căn cứ Nghị định số 127/2007/NĐ-CP ngày 01 tháng 8 năm 2007 của Chính phủ quy định chi tiết thi hành một số điều của Luật Tiêu chuẩn và quy chuẩn kỹ thuật; Nghị định số 78/2018/NĐ-CP ngày 16 tháng 5 năm 2018 của Chính phủ sửa đổi, bổ sung một số điều của Nghị định số 127/2007/NĐ-CP ngày 01 tháng 8 năm 2007 của Chính phủ quy định chi tiết thi hành một số điều của Luật Tiêu chuẩn và quy chuẩn kỹ thuật;
Căn cứ Nghị định số 95/2017/NĐ-CP ngày 16 tháng 8 năm 2017 của Chính phủ quy định chức năng, nhiệm vụ, quyền hạn và cơ cấu tổ chức của Bộ Khoa học và Công nghệ;
Theo đề nghị của Cục trưởng Cục An toàn bức xạ và hạt nhân và Vụ trưởng Vụ Pháp chế;
Bộ trưởng Bộ Khoa học và Công nghệ ban hành Thông tư ban hành Quy chuẩn kỹ thuật quốc gia đối với thiết bị X-quang đo mật độ xương dùng trong y tế.
Điều 1. Ban hành kèm theo Thông tư này Quy chuẩn kỹ thuật quốc gia đối với thiết bị X-quang đo mật độ xương dùng trong y tế.
Số hiệu: QCVN 24:2023/BKHCN.
Điều 2. Hiệu lực thi hành
Thông tư này có hiệu lực thi hành kể từ ngày 15 tháng 7 năm 2023.
Điều 3. Lộ trình áp dụng
1. Kể từ ngày 01 tháng 12 năm 2023, thiết bị X-quang đo mật độ xương dùng trong y tế phải đáp ứng các quy định tại Quy chuẩn kỹ thuật quốc gia QCVN 24:2023/BKHCN.
2. Đối với thiết bị X-quang đo mật độ xương đã đưa vào sử dụng trước ngày QCVN 24:2023/BKHCN có hiệu lực:
a) Giấy chứng nhận kiểm định còn hiệu lực tiếp tục được công nhận cho đến khi phải thực hiện kiểm đinh lại theo quy định tại QCVN 24:2023/BKHCN;
b) Trường hợp thiết bị được sản xuất sau ngày 01 tháng 01 năm 2017, tổ chức, cá nhân sử dụng thiết bị phải trang bị phantom đánh giá độ chính xác của mật độ xương cho từng thiết bị theo quy định tại Mục 4.1.2 của QCVN 24:2023/BKHCN trước ngày 25 tháng 5 năm 2024.
Điều 4. Tổ chức thực hiện
1. Cục trưởng Cục An toàn bức xạ và hạt nhân có trách nhiệm tổ chức, hướng dẫn, phổ biến, tuyên truyền và triển khai thực hiện Thông tư này.
2. Bộ trưởng, Thủ trưởng cơ quan ngang Bộ, Chủ tịch Ủy ban nhân dân tỉnh, thành phố trực thuộc Trung ương và các cơ quan, tổ chức, cá nhân liên quan chịu trách nhiệm thi hành Thông tư này.
3. Trong quá trình thực hiện, nếu có vướng mắc, các cơ quan, tổ chức, cá nhân kịp thời phản ánh bằng văn bản về Bộ Khoa học và Công nghệ để được hướng dẫn hoặc nghiên cứu, sửa đổi, bổ sung cho phù hợp./.
|
Nơi nhận: |
KT. BỘ TRƯỞNG |
QUY CHUẨN KỸ THUẬT QUỐC GIAĐỐI VỚI THIẾT BỊ X-QUANG ĐO MẬT ĐỘ XƯƠNG DÙNG TRONG Y TẾ
National technical regulationon bone densitometry X-ray equipment in medicine
Lời nói đầu
QCVN 24:2022/BKHCN do Cục An toàn bức xạ và hạt nhân biên soạn, Tổng cục Tiêu chuẩn Đo lường Chất lượng thẩm định, Bộ trưởng Bộ Khoa học và Công nghệ ban hành kèm theo Thông tư số 09/2023/TT-BKHCN ngày 25 tháng 5 năm 2023.
QUY CHUẨN KỸ THUẬT QUỐC GIAĐỐI VỚI THIẾT BỊ X-QUANG ĐO MẬT ĐỘ XƯƠNG DÙNG TRONG Y TẾ
National technical regulationon bone densitometry X-ray equipment in medicine
1. QUY ĐỊNH CHUNG
1.1. Phạm vi điều chỉnh
Quy chuẩn kỹ thuật này quy định các yêu cầu kỹ thuật, yêu cầu quản lý đối với hoạt động kiểm định và quy trình kiểm định thiết bị X-quang đo mật độ xương dùng trong y tế (sau đây viết tắt là thiết bị X-quang).
1.2. Đối tượng áp dụng
Quy chuẩn kỹ thuật này áp dụng đối với:
1.2.1. Tổ chức, cá nhân sử dụng thiết bị X-quang (sau đây viết tắt là cơ sở).
1.2.2. Tổ chức, cá nhân thực hiện kiểm định thiết bị X-quang.
1.2.3. Cơ quan quản lý nhà nước và tổ chức, cá nhân khác có liên quan.
1.3. Giải thích từ ngữ
Trong Quy chuẩn kỹ thuật này, các từ ngữ dưới đây được hiểu như sau:
1.3.1. Thiết bị X-quang đo mật độ xương (Bone densitometry X-ray equipment) là thiết bị phát tia X được sử dụng trong y tế để xác định mật độ xương, bao gồm thiết bị có bóng phát chuyển động (với chùm tia X dạng hình quạt dải rộng, hình quạt dải hẹp hoặc hình dạng bút chì) và thiết bị có bóng phát cố định (với chùm tia X dạng hình nón hoặc hình quạt dải rộng).
1.3.2. Kiểm định thiết bị X-quang (Verification of bone densitometry X-ray equipment) là việc kiểm tra và chứng nhận các đặc trưng làm việc của thiết bị đáp ứng yêu cầu quy định tại Quy chuẩn kỹ thuật này.
1.3.3. Điện áp đỉnh (Peak kilovoltage - kVp) là giá trị điện áp cao nhất sau khi chỉnh lưu đặt vào giữa anốt và catốt của bóng phát tia X, đơn vị là kilôvôn (kV).
1.3.4. Dòng bóng phát (Tube current) là cường độ dòng điện chạy từ anốt đến catốt của bóng phát tia X trong thời gian phát tia, đơn vị là miliAmpe (mA).
1.3.5. Thời gian phát tia (Exposure time) là thời gian thực tế mà thiết bị X-quang phát tia X để quét hoặc chiếu vào bộ phận cần thăm khám của bệnh nhân, đơn vị là giây (s).
1.3.6. Liều lối ra (output dose) là giá trị liều bức xạ gây bởi chùm bức xạ phát ra từ bóng phát tia X, có đơn vị là mGy hoặc mR.
1.3.7. Bộ ghi nhận hình ảnh (Image receptor) là bộ phận có chức năng ghi nhận tia X đến và chuyển đổi thành hình ảnh.
1.3.8. Mật độ xương hay mật độ khoáng xương (Bone mineral density - BMD)là giá trị thể hiện lượng khoáng chất trong xương trên một đơn vị diện tích ảnh, đơn vị là g/cm2.
1.3.9. Hệ số biến thiên COV (Coefficient of variation) là tỉ số giữa độ lệch chuẩn và giá trị trung bình của các giá trị đo.
1.3.10. Độ lệch chuẩn (Standard deviation - SD) là đại lượng thống kê, được sử dụng để đo mức độ phân tán của giá trị đo so với giá trị trung bình của các giá trị đo.
1.3.11. Phantom xương cột sống (Spine phantom) là dụng cụ mô phỏng tính chất của xương cột sống, được sử dụng trong kiểm tra chất lượng của thiết bị X-quang.
1.3.12. Phantom xương cẳng tay (Forearm phantom) là dụng cụ mô phỏng tính chất của xương cẳng tay, được sử dụng trong kiểm tra chất lượng của thiết bị X-quang.
2. QUY ĐỊNH KỸ THUẬT
2.1. Yêu cầu đối với các đặc trưng làm việc của thiết bị X-quang
Thiết bị X-quang phải đáp ứng các yêu cầu nêu tại Bảng 1 của Quy chuẩn kỹ thuật này.
Bảng 1. Yêu cầu đối với thiết bị X-quang
|
TT |
Nội dung kiểm tra |
Loại thiết bịX-quang |
Yêu cầu |
|
|
|
Thiết bị có bóng phát chuyển động |
Thiết bị có bóng phát cố định |
||||
|
I |
Kiểm tra ngoại quan |
|
|||
|
1 |
Thông tin thiết bị |
x |
x |
Thiết bị phải có nhãn hàng hóa hoặc hồ sơ thể hiện đầy đủ các thông tin về quốc gia/hãng sản xuất, năm sản xuất, mã hiệu, số xêri của thiết bị và các bộ phận chính cấu thành thiết bị (trường hợp bị mất hoặc mờ số xêri, tổ chức thực hiện kiểm định phải đánh số xêri cho thiết bị). |
|
|
2 |
Bảng điều khiển để thiết lập thông số làm việc của thiết bị và vị trí bàn bệnh nhân. |
x |
|
Bảng điều khiển phải hoạt động tốt, rõ ràng và dễ quan sát. |
|
|
3 |
Bàn bệnh nhân, bộ phận và cơ cấucơ khí |
x |
|
Phải dịch chuyển nhẹ nhàng, chắc chắn và an toàn |
|
|
Cơ cấu nâng, hạ hệ thống bóng phát và bộ ghi nhận hình ảnh (nếu có) |
|
x |
|
||
|
4 |
Tín hiệu cảnh báo phát tia |
x |
x |
Có tín hiệu cảnh báo bằng âm thanh hoặc màu sắc khi thiết bị X-quang phát tia X. |
|
|
5 |
Nút bấm khẩn cấp |
x |
|
Nút bấm khẩn cấp phải hoạt động ổn định, cho phép dừng phát tia X ngay lập tức sau khi bấm nút. |
|
|
II |
Thời gian phát tia(Áp dụng đối với thiết bịX-quang có chùm tia X dạng hình quạt dải rộng - wide fan beam và chùm tia X dạng hình nón - cone beam) |
|
|||
|
1 |
Độ chính xáccủathời gian phát tia |
x |
x |
Độ lệch tương đối giữa giá trị thời gian đo được so với giá trị thời gian phát tia cài đặt phải nằm trong khoảng ± 20%. |
|
|
III |
Liều lối ra (Áp dụng đối với thiết bị X-quang có chùm tia X dạng hình quạt dải rộng - wide fan beam và chùm tia X dạng hình nón - cone beam) |
|
|||
|
1 |
Độ lặp lại liều lối ra |
x |
x |
Độ lệch giữa giá trị liều lối ra đo được lớn nhất và nhỏ nhất tại cùng một thông số đặt so với giá trị liều lối ra trung bình của ít nhất 3 lần đo phải nằm trong khoảng ± 20%. |
|
|
2 |
Độ tuyến tính liều lối ra |
x |
|
Độ tuyến tính liều lối ra phải nằm trong khoảng ± 20%. |
|
|
IV |
BMD |
|
|||
|
1 |
Độ chính xác của BMD (chế độ quét xương cột sống) |
x |
|
Phải đáp ứng tiêu chí chấp nhận của hãng sản xuất thiết bị X-quang |
|
|
Độ chính xác của BMD (chế độ chiếu xương cẳng tay) |
|
x |
|
||
|
2 |
Độ lặp lại của BMD (chế độ quét xươngcột sống) |
x |
|
Hệ số biến thiên (COV) phải nhỏ hơn hoặc bằng 3 %. |
|
|
|
Độ lặp lại của BMD (chế độ chiếu xương cẳng tay) |
|
x |
|
|
2.2. Phương pháp kiểm định
Phương pháp kiểm định để đánh giá các đặc trưng làm việc của thiết bị X-quang nêu tại Mục 2.1 được thực hiện theo Phụ lục A của Quy chuẩn kỹ thuật này.
3. QUY ĐỊNH VỀ QUẢN LÝ
3.1. Yêu cầu kiểm định đối với thiết bị X-quang đo mật độ xương
3.1.1. Phải kiểm định thiết bị X-quang trước khi đưa vào sử dụng lần đầu, định kỳ 02 (hai) năm một lần hoặc sau khi sửa chữa, thay thế bộ phận làm ảnh hưởng đến tính năng an toàn và độ chính xác của thiết bị.
3.1.2. Không được sử dụng thiết bị X-quang nếu thiết bị chưa được cấp Giấy chứng nhận kiểm định hoặc Giấy chứng nhận kiểm định đã hết hiệu lực.
3.2. Quy định đối với hoạt động kiểm định
3.2.1. Việc kiểm định thiết bị X-quang phải được thực hiện bởi tổ chức được Cơ quan có thẩm quyền thuộc Bộ Khoa học và Công nghệ cấp Giấy đăng ký hoạt độngdịch vụ hỗ trợ ứng dụng năng lượng nguyên tử về kiểm định thiết bị X-quang.
3.2.2. Cá nhân thực hiện kiểm định (sau đây gọi tắt là người kiểm định) phải có Chứng chỉ hành nghề dịch vụ hỗ trợ ứng dụng năng lượng nguyên tử về kiểm định thiết bị X-quang do Cơ quan có thẩm quyền thuộc Bộ Khoa học và Công nghệ cấp.
3.2.3. Thiết bị đo, dụng cụ kiểm tra phục vụ kiểm định phải phù hợp với loại thiết bị X-quang và được kiểm định, hiệu chuẩn theo quy định của pháp luật về năng lượng nguyên tử và đo lường.
3.3. Quy định đối với giấy chứng nhận và tem kiểm định
3.3.1. Chỉ cấp Giấy chứng nhận kiểm định và Tem kiểm định cho thiết bị X- quang sau khi kiểm định và được kết luận thiết bị X-quang đạt toàn bộ các yêu cầu nêu tại Bảng1 của Quy chuẩn kỹ thuật này.
3.3.2. Giấy chứng nhận kiểm định được lập theo Mẫu B.3/GCNKĐ Phụ lục Bcủa Quy chuẩn kỹ thuật này.
3.3.3. Tem kiểm định theo Mẫu B.4/TKĐ Phụ lục B của Quy chuẩn kỹ thuật này phải được dán trên thiết bị X-quang tại vị trí không bị che khuất, dễ quan sát và tránh bị tác động bất lợi của môi trường.
4. TRÁCH NHIỆM CỦA TỔ CHỨC, CÁ NHÂN
4.1. Trách nhiệm của cơ sở sử dụng thiết bị X-quang
4.1.1. Bảo đảm thiết bị đáp ứng các yêu cầu nêu tại Bảng 1 của Quy chuẩn kỹ thuật này và thực hiện các quy định quản lý tại Mục 3.1 của Quy chuẩn kỹ thuật này.
4.1.2. Phải trang bị tối thiểu 01 phantom đi kèm với thiết bị X-quang để đánh giá độ chính xác của BMD đối với thiết bị X-quang có ngày sản xuất sau ngày 01 tháng 01 năm 2017.
4.1.3. Lưu giữ bản gốc Biên bản kiểm định, Báo cáo đánh giá kiểm định và Giấy chứng nhận kiểm định.
4.2. Trách nhiệm của tổ chức, cá nhân thực hiện kiểm định
4.2.1. Bảo đảm năng lực và yêu cầu quản lý được quy định tại Mục 3.2 của Quy chuẩn kỹ thuật này.
4.2.2. Xây dựng quy trình kiểm định phù hợp với thiết bị đo, dụng cụ kiểm tra được sử dụng để kiểm định; thực hiện việc kiểm định theo đúng quy định tại Quy chuẩn kỹ thuật này; chịu trách nhiệm về kết quả kiểm định và lưu giữ bản gốc Biên bản kiểm định, Báo cáo đánh giá kiểm định và Giấy chứng nhận kiểm định.
4.2.3. Trường hợp thiết bị X-quang được kiểm định đạt toàn bộ yêu cầu nêu tại Bảng 1 của Quy chuẩn kỹ thuật này, tổ chức thực hiện kiểm định phải cấp cho cơ sở bản gốc Giấy chứng nhận kiểm định, Báo cáo đánh giá kiểm định và dán Tem kiểm định cho thiết bị X-quang trong thời hạn 15 (mười lăm) ngày làm việc kể từ ngày thông qua Biên bản kiểm định.
4.2.4. Trường hợp thiết bị X-quang được kiểm định không đạt một trong các yêu cầu nêu tại Bảng 1 của Quy chuẩn kỹ thuật này thì trong thời hạn 15 (mười lăm) ngày làm việc kể từ ngày thông qua Biên bản kiểm định, tổ chức thực hiện kiểm định phải cấp cho cơ sở bản gốc Báo cáo đánh giá kiểm định và đồng thời thông báo bằng văn bản tới Sở Khoa học và Công nghệ nơi cấp phép sử dụng thiết bị X-quang, kèm theo bản sao Biên bản kiểm định và Báo cáo đánh giá kiểm định.
5. TỔ CHỨC THỰC HIỆN
5.1. Cục An toàn bức xạ và hạt nhân có trách nhiệm phổ biến, hướng dẫn, kiểm tra và phối hợp với các cơ quan chức năng liên quan tổ chức việc thực hiện Quy chuẩn kỹ thuật này.
5.2. Căn cứ yêu cầu quản lý, Cục An toàn bức xạ và hạt nhân có trách nhiệm báo cáo Bộ Khoa học và Công nghệ sửa đổi, bổ sung Quy chuẩn kỹ thuật này phù hợp với thực tiễn.
PHỤ LỤC A
QUY TRÌNH KIỂM ĐỊNH THIẾT BỊ X-QUANG ĐO MẬT ĐỘ XƯƠNG DÙNG TRONG Y TẾ
A.1. Quy định chung
Tổ chức thực hiện kiểm định có thể sử dụng phương pháp kiểm tra và thiết bị đo, dụng cụ kiểm tra khác so với hướng dẫn tại Phụ lục này với điều kiện phải đánh giá được đầy đủ các nội dung kiểm tra như quy định tại Bảng 1 của Quy chuẩn kỹ thuật này.
A.2. Nội dung kiểm tra
Nội dung kiểm tra quy định tại Bảng 1 của Quy chuẩn kỹ thuật này phải được thực hiện đầy đủ khi kiểm định thiết bị X-quang.
A.3. Thiết bị đo, dụng cụ kiểm tra
Tổ chức thực hiện kiểm định phải có đủ và sử dụng các thiết bị đo, dụng cụ kiểm tra nêu tại Bảng A.1 dưới đây.
Bảng A.1. Thiết bị đo, dụng cụ kiểm tra phục vụ kiểm định
|
STT |
Thiết bị đo, dụng cụ kiểm tra |
|
1 |
Thiết bị đo đa chức năng hoặc thiết bị đo thời gian, thiết bị đo liều, với các thông số kỹ thuật tối thiểu: - Dải đo thời gian: (1 ÷ 500) s, độ chính xác: ± 5 % - Dải đo liều: 100nGy ÷ 100 mGy, độ chính xác: ± 5 % |
|
2 |
Phantom xương cột sống, phantom xương cẳng tay để đánh giá độ lặp lại của BMD |
|
3 |
Phantom đi kèm theo thiết bị X-quang để đánh giá độ chính xác của BMD |
A.4. Yêu cầu bảo đảm an toàn trong kiểm định
Người kiểm định phải thực hiện các biện pháp hành chính và kỹ thuật để hạn chế bị chiếu xạ không cần thiết.
Người kiểm định phải đeo liều kế cá nhân trong quá trình thực hiện việc kiểm định.
Việc vận hành thiết bị X-quang phải được thực hiện theo đúng quy trình nêu tại tài liệu hướng dẫn vận hành thiết bị.
A.5. Tiến hành kiểm định
A.5.1. Kiểm tra ngoại quan
A.5.1.1. Kiểm tra thông tin thiết bị X-quang
- Kiểm tra thông tin quốc gia/hãng sản xuất, năm sản xuất, mã hiệu, số xêri của thiết bị và các bộ phận chính cấu thành thiết bị.
- Ghi các thông tin kiểm tra vào Biên bản kiểm định (trường hợp bị mất hoặc mờ số xêri, tổ chức thực hiện kiểm định phải đánh số xêri cho thiết bị).
- Đánh giá kết quả kiểm tra theo yêu cầu nêu tại Tiểu mục 1 Mục I Bảng 1 củaQuy chuẩn kỹ thuật này và ghi vào Báo cáo đánh giá kiểm định.
A.5.1.2. Kiểm tra bảng điều khiển để đặt thông số làm việc của thiết bịX-quang và thiết lập vị trí bàn bệnh nhân
- Kiểm tra hoạt động của bảng điều khiển để đặt và hiển thị thông số làm việc của thiết bị và thiết lập vị trí bàn bệnh nhân.
- Ghi các thông tin kiểm tra vào Biên bản kiểm định.
- Đánh giá kết quả kiểm tra theo yêu cầu nêu tại Tiểu mục 2 Mục I Bảng 1 củaQuy chuẩn kỹ thuật này và ghi vào Báo cáo đánh giá kiểm định.
A.5.1.3. Kiểm tra bộ phận và cơ cấu cơ khí
- Kiểm tra sự dịch chuyển bàn bệnh nhân, đầu bóng phát và bộ ghi nhận hình ảnh đối với thiết bị có bóng phát chuyển động và cơ cấu nâng hệ thống bóng phát và bộ ghi nhận hình ảnh đối với thiết bị có bóng phát cố định.
- Ghi các thông tin kiểm tra vào Biên bản kiểm định.
- Đánh giá kết quả kiểm tra theo yêu cầu nêu tại Tiểu mục 3 Mục I Bảng 1 củaQuy chuẩn kỹ thuật này và ghi vào Báo cáo đánh giá kiểm định.
A.5.1.4. Kiểm tra tín hiệu cảnh báo phát tia
- Thực hiện phát tia và kiểm tra tín hiệu cảnh báo phát tia của thiết bị X-quang.
- Ghi các thông tin kiểm tra vào Biên bản kiểm định.
- Đánh giá kết quả kiểm tra theo yêu cầu nêu tại Tiểu mục 4 Mục I Bảng 1 củaQuy chuẩn kỹ thuật này và ghi vào Báo cáo đánh giá kiểm định.
A.5.1.5. Kiểm tra hoạt động của nút bấm khẩn cấp(Áp dụng đối với thiết bị có bóng phát chuyển động)
- Thực hiện phát tia và kiểm tra nút bấm khẩn cấp của thiết bị X-quang.
- Ghi các thông tin kiểm tra vào Biên bản kiểm định.
- Đánh giá kết quả kiểm tra theo yêu cầu nêu tại Tiểu mục 5 Mục I Bảng 1 củaQuy chuẩn kỹ thuật này và ghi vào Báo cáo đánh giá kiểm định.
A.5.2. Kiểm tra độ chính xác thời gian phát tia
A.5.2.1 Các bước kiểm tra độ chính xác của thời gian phát (Áp dụng đối với thiết bị X-quang có chùm tia X dạng hình quạt dải rộng - wide fan beam và chùm tia X dạng hình nón - cone beam)
- Gắn cố định thiết bị đo đa năng hoặc thiết bị đo thời gian lên bề mặt của bộ ghi nhận hình ảnh và tại tâm của trường xạ.
- Thực hiện phát tia ứng với thời gian phát tia thay đổi theo mỗi chế độ quét hoặc chiếu được cài đặt sẵn. Thiết bị đo phải được thiết lập lại về mức 0 sau mỗi lần đo.
- Ghi lại các thông số kiểm tra vào Biên bản kiểm định.
A.5.2.2 Đánh giá độ chính xác của thời gian phát tia
- Độ chính xác của thời gian tia được đánh giá qua độ lệch tương đối giữa giá trị thời gian đo được so với giá trị thời gian phát tia đã được cài đặt tương ứng với từng chế độ quét hoặc chiếu và được xác định theo công thức A.1:

Trong đó:
Ut: là độ chính xác của thời gian phát tia, có đơn vị là %;
Tcài đặt: là thời gian phát tia đã được cài đặt tương ứng với từng chế độ quét hoặc chiếu, đơn vị là s;
Tđo: là thời gian đo được bằng thiết bị đo, đơn vị là s.
- Đánh giá kết quả kiểm tra theo yêu cầu chấp nhận nêu tại Mục II Bảng 1 củaQuy chuẩn kỹ thuật này và ghi vào Báo cáo đánh giá kiểm định.
A.5.3. Kiểm tra liều lối ra(Áp dụng đối với thiết bị X-quang có chùm tia X dạng hình quạt dải rộng - wide fan beam và chùm tia X dạng hình nón - cone beam)
A.5.3.1. Kiểm tra độ lặp lại liều lối ra
A.5.3.1.1. Các bước kiểm tra độ lặp lại liều lối ra
- Gắn cố định thiết bị đo đa năng hoặc thiết bị đo liều lên bề mặt bộ ghi nhận hình ảnh và tại tâm của trường xạ.
- Thực hiện phát tia tối thiểu 03 lần với cùng một chế độ quét hoặc chiếu đã được cài đặt. Thiết bị đo phải được thiết lập lại về mức 0 sau mỗi lần đo.
- Ghi lại các thông tin kiểm tra vào Biên bản kiểm định.
A.5.3.1.2. Đánh giá độ lặp lại liều lối ra
- Độ lặp lại liều lối ra được đánh giá qua độ lệch tương đối giữa giá trị liều đo được lớn nhất và nhỏ nhất so với giá trị trung bình theo công thức A.2:

Trong đó:
RL: là độ lệch tương đối giữa giá trị liều lối ra đo được lớn nhất và nhỏ nhất so với giá trị liều lối ra trung bình của các lần đo, có đơn vị là %;
mGymax: là giá trị liều lối ra đo được lớn nhất, có đơn vị là mGy hoặc mR;
mGymin: là giá trị liều lối ra đo được nhỏ nhất, có đơn vị là mGy hoặc mR;
mGytb: là giá trị liều lối ra trung bình của các lần đo, có đơn vị làmGy hoặcmR.
- Đánh giá kết quả kiểm tra theo yêu cầu chấp nhận nêu tại Tiểu mục 1 Mục III Bảng 1 của Quy chuẩn kỹ thuật này và ghi vào Báo cáo đánh giá kiểm định.
A.5.3.2. Kiểm tra độ tuyến tính liều lối ra(Áp dụng đối với thiết bị có bóng phát chuyển động)
A.5.4.3.1. Các bước kiểm tra độ tuyến tính liều lối ra
- Gắn cố định thiết bị đo đa chức năng hoặc thiết bị đo liều lên bề mặt bộ ghi nhận hình ảnh và tại tâm của trường xạ.
- Thực hiện phát tia tối thiểu 03 lần tương ứng thời gian khác nhau theo từng chế độ quét đã được cài đặt sẵn. Thiết bị đo phải được thiết lập lại về mức 0 sau mỗi lần đo.
- Ghi lại các thông tin kiểm tra vào Biên bản kiểm định.
A.5.3.2.2. Đánh giá độ tuyến tính liều lối ra
- Độ tuyến tính liều lối ra được xác định theo công thức A.3:

Trong đó:
L là độ tuyến tính liều lối ra, có đơn vị là %.
Ymax là tỉ số lớn nhất giữa giá trị liều đo được và giá trị hằng số phát tia đặt tương ứng với phép đo, có đơn vị là mGy.mAs-1hoặc mR.mAs-1.
Yminlà tỉ số nhỏ nhất giữa giá trị liều đo được và giá trị hằng số phát tia đặt tương ứng với phép đo, có đơn vị là mGy.mAs-1hoặc mR.mAs-1.
Ytblà tỉ số giữa giá trị trung bình của liều lối ra đo được và giá trị trung bình của hằng số phát tia đặt tương ứng các phép đo, có đơn vị là mGy.mAs-1hoặc mR.mAs-1.
- Đánh giá kết quả kiểm tra theo yêu cầu chấp nhận nêu tại Tiểu mục 2 Mục III Bảng 1 của Quy chuẩn kỹ thuật này và ghi vào Báo cáo đánh giá kiểm định.
A.5.4. BMD
A.5.4.1. Độ chính xác của BMD
A.5.4.1.1. Các bước kiểm tra độ chính xác của BMD
Trường hợp thiết bị X-quang có bóng phát chuyển động, chọn chế độ quét xương cột sống.
- Đưa bàn bệnh nhân về vị trí quét xương cột sống.
- Đặt phantom xương cột sống đi kèm theo thiết bị X-quang lên bàn bệnh nhân tại tâm trường xạ và căn chỉnh theo hướng dẫn của nhà sản xuất phantom.
Trường hợp thiết bị X-quang có bóng phát cố định, đặt phantom xương cẳng tay đi kèm với thiết bị X-quang tại tâm trường xạ và căn chỉnh theo hướng dẫn của nhà sản xuất phantom.
- Đối với mỗi trường hợp kiểm tra, thực hiện phát tia.
- Xuất giá trị BMD đo được trên đồ thị kiểm soát chất lượng và ghi lại các thông tin kiểm tra vào Biên bản kiểm định.
- Lưu lại các ảnh kiểm tra để tham khảo cho lần kiểm định sau.
A.5.4.1.2. Đánh giá độ chính xác của BMD
- Đánh giá độ chính xác của BMD theo yêu cầu nêu tại Tiểu mục 1 Mục IV Bảng 1 của Quy chuẩn Kỹ thuật này và ghi vào Báo cáo đánh giá kiểm định.
A.5.4.2. Kiểm tra độ lặp lại của BMD
A.5.4.2.1. Các bước kiểm tra độ lặp lại của BMD
Trường hợp thiết bị X-quang có bóng phát chuyển động, chọn chế độ quét xương cột sống.
- Đưa bàn về vị trí quét xương cột sống.
- Đặt phantom xương cột sống lên bàn bệnh nhân tại tâm trường xạ và căn chỉnh theo hướng dẫn của nhà sản xuất phantom.
Trường hợp thiết bị X-quang có bóng phát cố định, đặt phantom xương cẳng tay tại tâm trường xạ và căn chỉnh theo hướng dẫn của nhà sản xuất phantom.
- Đối với mỗi trường hợp kiểm tra, thực hiện phát tia tối thiểu 5 lần.
- Ghi lại các thông tin kiểm tra vào Biên bản kiểm định.
- Lưu lại các ảnh kiểm tra để tham khảo cho lần kiểm định sau.
A.5.4.2.2. Đánh giá độ lặp lại của BMD
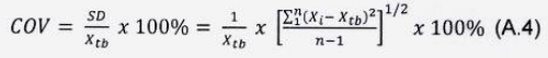
- Độ lặp lại của BMD được đánh giá thông qua hệ số biến thiên theo công thức A.4 sau đây:

Trong đó:
COV là hệ số biến thiên của n giá trị BMD;
n là số lần đo;
Xi là giá trị BMD tại lần đo thứ i, đơn vị là g/cm2;
Xtb là giá trị BMD trung bình của n lần đo, đơn vị là g/cm2.
- Đánh giá độ lặp lại của BMD theo yêu cầu nêu tại Tiểu mục 2 Mục IV Bảng 1 của Quy chuẩn kỹ thuật này và ghi vào Báo cáo đánh giá kiểm định.
A.6. Biên bản kiểm định
Kết quả kiểm tra phải được lập thành Biên bản kiểm định với đầy đủ các nội dung theo Mẫu B.1/BBKĐ Phụ lục B của Quy chuẩn kỹ thuật này.
Biên bản kiểm định phải được thông qua và được ký, đóng dấu (nếu có) ngay khi kết thúc việc kiểm tra.
A.7. Báo cáo đánh giá kiểm định
Trên cơ sở số liệu kết quả kiểm tra nêu tại Biên bản kiểm định, Người kiểm định phải tính toán, đánh giá đối với các đặc trưng làm việc của thiết bị X-quang theo hướng dẫn tại Mục A.5 Phụ lục này và lập Báo cáo đánh giá kiểm định theo Mẫu B.2/BCĐGKĐ Phụ lục B của Quy chuẩn kỹ thuật này.
Báo cáo đánh giá kiểm định phải chỉ rõ thông số nào của thiết bị X-quang đạt yêu cầu hoặc không đạt yêu cầu, các nhận xét và kiến nghị khắc phục.
Mỗi Biên bản kiểm định và Báo cáo đánh giá kiểm định được lập thành 02 (hai) bản, mỗi bên giữ 01 (một) bản.
PHỤ LỤC B
MẪU BIÊN BẢN KIỂM ĐỊNH, BÁO CÁO ĐÁNH GIÁ KIỂM ĐỊNH, GIẤY CHỨNG NHẬN KIỂM ĐỊNH VÀ TEM KIỂM ĐỊNH
|
TT |
Tên biểu mẫu |
Ký hiệu |
|
1 |
Biên bản kiểm định |
Mẫu B.1/BBKĐ |
|
2 |
Báo cáo đánh giá kiểm định |
Mẫu B.2/BCĐGKĐ |
|
3 |
Giấy chứng nhận kiểm định |
Mẫu B.3/GCNKĐ |
|
4 |
Tem kiểm định |
Mẫu B.4/TĐK |
Mẫu B.1/BBKĐ
|
TÊN TỔ CHỨC THỰC HIỆN |
CỘNG HÒA XÃ HỘI CHỦ NGHĨA VIỆT NAM ............, ngày ... tháng ... năm ... |
BIÊN BẢN KIỂM ĐỊNH
(THIẾT BỊ X-QUANG)
Số .............
Chúng tôi gồm:
1. ....................................................Số chứng chỉ hành nghề: .............................
2..................................................... Số chứng chỉ hành nghề: .............................
Thuộc tổ chức thực hiện kiểm định: .......................................................................
Số giấy đăng ký hoạt động dịch vụ của tổ chức thực hiện kiểm định: ....
Đã tiến hành kiểm định thiết bị X-quang tại:
- Cơ sở: .......................................................................
- Địa chỉ (trụ sở chính): .......................................................................
Quy trình kiểm định áp dụng: .......................................................................
Đại diện cơ sở chứng kiến kiểm định và thông qua Biên bản kiểm định:
1. .......................................................................Chức vụ: ...........................
2. ....................................................................... Chức vụ: ...........................
I. THIẾT BỊ X-QUANG ĐƯỢC KIỂM ĐỊNH
1. Thiết bị X-QUANG
Tên thiết bị: .......................................................................
Nơi đặt thiết bị: .......................................................................
Mã hiệu: .......................................................................
Số xêri: .......................................................................
Năm sản xuất: .......................................................................
Hãng/quốc gia sản xuất: .......................................................................
Điện áp đỉnh lớn nhất: .......................................................................kV
Dòng bóng phát lớn nhất: .......................................................................mA
Thiết bị có bóng phát □ chuyển động □ cố định
Hình dạng chùm tia X:
2. Đầu bóng phát tia X
Mã hiệu: .......................................................................
Số xêri: .......................................................................
Hãng/quốc gia sản xuất: .......................................................................
Năm sản xuất: .......................................................................
II. THIẾT BỊ ĐO, DỤNG CỤ KIỂM TRA SỬ DỤNG ĐỂ KIỂM ĐỊNH
Mô tả chi tiết các thiết bị đo, dụng cụ kiểm tra sử dụng để kiểm định: Mã hiệu, số xêri, thời hạn kiểm định (nếu có).
|
TT |
Thiết bị đo, dụng cụ kiểm tra |
Mã hiệu |
Số xêri |
Thời hạn kiểm định |
|
1 |
|
|
|
|
|
2 |
|
|
|
|
|
3 |
|
|
|
|
|
... |
|
|
|
|
III. HÌNH THỨC KIỂM ĐỊNH
Lần đầu □ Định kỳ □ Sau khi sửa chữa, thay thế bộ phận □
IV. KẾT QUẢ KIỂM ĐỊNH
1. Kiểm tra ngoại quan
|
TT |
Hạng mục kiểm tra |
Nhận xét |
|
1 |
Thông tin thiết bị |
|
|
2 |
Bảng điều khiển để đặt và hiển thị thông số làm việc của thiết bị và thiết lập vị trí bàn bệnh nhân |
|
|
3 |
Bộ phận và cơ cấu cơ khí |
|
|
4 |
Tín hiệu cảnh báo phát tia |
|
|
5 |
Nút bấm khẩn cấp |
|
2. Độ chính xác của thời gian phát tia
Thông số đặt khi kiểm tra:
- Điện áp đỉnh: .......kV
- Dòng bóng phát: .... mA
|
Chế độ quét hoặc chiếu |
Giá trị thời gian cài đặt(s) |
Giá trị thời gian đo được(s) |
|
Toàn thân |
|
|
|
Xương cột sống |
|
|
|
Xương đùi trái |
|
|
|
Xương cẳng tay trái |
|
|
|
... |
|
|
3. Kiểm tra liều lối ra
3.1. Độ lặp lại liều lối ra
Thông số đặt khi kiểm tra:
- Chế độ quét hoặc chiếu: .........................................
- Khoảng cách từ tiêu điểm đến thiết bị đo: .........cm
|
TT |
Thông số đặt |
Giá trị liều đo |
|
1 |
- Điện áp: .............kV - Dòng bóng phát tia: ........mA - Thời gian phát tia: ......s |
- Kết quả đo lần 1: ... - Kết quả đo lần 2: ... - Kết quả đo lần 3: ... - Kết quả đo lần 4: ... - Kết quả đo lần 5: ... |
|
2 |
- Điện áp: .............kV - Dòng bóng phát tia: ........mA - Thời gian phát tia: ......s |
- Kết quả đo lần 1: ... - Kết quả đo lần 2: ... - Kết quả đo lần 3: ... - Kết quả đo lần 4: ... - Kết quả đo lần 5: ... |
|
... |
|
|
3.2. Độ tuyến tính liều lối ra
Thông số đặt khi kiểm tra:
- Điện áp: .........................kV;
- Dòng bóng phát tia: .........mA
- Khoảng cách từ tiêu điểm đến thiết bị đo: ........cm.
|
TT |
Hằng số phát tia |
Giá trị liều đo |
|
1 |
|
|
|
2 |
|
|
|
3 |
|
|
|
... |
|
|
4. BMD
4.1. Độ chính xác của BMD
Thông số đặt khi kiểm tra:
- Điện áp đỉnh: ................kV
- Dòng bóng phát: ...........mA
- Thời gian phát tia: ...........s
- Chế độ quét: xương cột sống (đối vớithiết bị có bóng phát chuyển động) hoặc xương cẳng tay (đối với thiết bị có bóng phát cố định)
|
Kết quả đo được |
Nhật xét |
|
|
Nằm trong giới hạn cho phép của nhà sản xuất |
Nằm ngoài giới hạn cho phép của nhà sản xuất |
|
|
BMD(g/cm2) |
|
|
4.2. Độ lặp lại của BMD
Thông số đặt khi kiểm tra:
- Điện áp đỉnh: .......kV
- Dòng bóng phát: .... mA
- Thời gian phát tia: ........s
- Chế độ quét: xương cột sống (đối với thiết bị có bóng phát chuyển động) hoặc xương cẳng tay (đối với thiết bị có bóng phát cố định)
|
BD |
1 |
2 |
3 |
4 |
5 |
... |
|
BMD(g/cm2) |
|
|
|
|
|
|
|
|
|
|
|
|
|
|
Biên bản được lập ngày ...tháng ...năm .....
Tại: ..............................................................................
Biên bản được lập thành 02 bản, mỗi bên giữ 01 bản.
Chúng tôi, những người ký tên dưới đây hoàn toàn chịu trách nhiệm về tính chính xác đối với kết quả kiểm định ghi trong Biên bản này./.
|
CHỦ CƠ SỞ SỬ DỤNG
|
NGƯỜI CHỨNG KIẾN |
NGƯỜI KIỂM ĐỊNH |
Mẫu B.2/BCĐGKĐ
|
TÊN TỔ CHỨC THỰC HIỆN |
CỘNG HÒA XÃ HỘI CHỦ NGHĨA VIỆT NAM ..............., ngày ... tháng ... năm ... |
BÁO CÁO ĐÁNH GIÁ KIỂM ĐỊNH
Số .................
- Căn cứ Thông tư số 09/2023/TT-BKHCN ngày 25 tháng 5 năm 2023 của Bộ trưởng Bộ Khoa học và Công nghệ ban hành Quy chuẩn kỹ thuật quốc gia đối với thiết bị X-quang đo mật độ xương dùng trong y tế;
- Căn cứ Biên bản kiểm định số ... ngày ...........tháng .........năm ...........
I. CƠ SỞ SỬ DỤNG THIẾT BỊ X-QUANG
1. Tên cơ sở: ......................................................................
2. Địa chỉ (trụ sở chính): ......................................................................
II. THIẾT BỊ X-QUANG ĐƯỢC KIỂM ĐỊNH
1. Thiết bị X-quang
Tên thiết bị: ........................................................
Nơi đặt thiết bị: ........................................................
Mã hiệu: ........................................................
Số xêri: ........................................................
Năm sản xuất: ........................................................
Hãng/quốc gia sản xuất: ........................................................
Điện áp đỉnh lớn nhất: ........................................................kV
Dòng bóng phát lớn nhất: ........................................................mA
Thiết bị có bóng phát □ chuyển động □ cố định
Hình dạng chùm tia X:
2. Đầu bóng phát tia X
Mã hiệu: ........................................................
Số xêri: ........................................................
Hãng/quốc gia sản xuất: ........................................................
Năm sản xuất: ........................................................
III. HÌNH THỨC KIỂM ĐỊNH
Lần đầu □ Định kỳ □ Sau khi sửa chữa, thay thế bộ phận □
IV. KẾT QUẢ KIỂM ĐỊNH
1. Kiểm tra ngoại quan
|
TT |
Hạng mục kiểm tra |
Đánh giá kết quả |
|
1 |
Thông tin thiết bị |
|
|
2 |
Bảng điều khiển để đặt và hiển thị thông số làm việc của thiết bị và thiết lập vị trí bàn bệnh nhân |
|
|
3 |
Bộ phận và cơ cấu cơ khí |
|
|
4 |
Tín hiệu cảnh báo phát tia |
|
|
5 |
Nút bấm khẩn cấp |
|
-Nhận xét: ................................................................................................................
..................................................................................................................................
..................................................................................................................................
- Các kiến nghị (trong trường hợp kết quả kiểm định không đạt): ...........................
..................................................................................................................................
..................................................................................................................................
2. Độ chính xác của thời gian phát tia
Thông số đặt khi kiểm tra:
- Điện áp đỉnh: ............kV
- Dòng bóng phát: .... mA
|
Chế độ quét hoặc chiếu |
Giá trị thời gian cài đặt |
Ut |
Yêu cầu chấp nhận |
Đánh giá kết quả |
|
Toàn thân |
|
|
|
|
|
Xương cột sống |
|
|
|
|
|
Xương đùi trái/phải |
|
|
|
|
|
Xương cẳng tay trái/phải |
|
|
|
|
|
... |
|
|
|
|
- Nhận xét: ..............................................................................................................
.................................................................................................................................
- Các kiến nghị (trong trường hợp kết quả kiểm định không đạt): ..........................
.................................................................................................................................
.................................................................................................................................
3. Kiểm tra liều lối ra
3.1. Độ lặp lại liều lối ra
Thông số đặt khi kiểm tra:
- Chế độ quét hoặc chiếu: .......................
- Khoảng cách từ tiêu điểm đến thiết bị đo: .........cm
|
Thông số đặt |
RL (%) |
Yêu cầu chấp nhận |
Đánh giá kết quả (Đạt / Không đạt) |
|
- Điện áp đặt: .................kV - Dòng bóng phát tia: .................mA - Thời gian phát tia: .................s |
|
|
|
|
- Điện áp đặt: .................kV - Dòng bóng phát tia: .................mA -Thời gian phát tia: .................s |
|
|
|
- Nhận xét: .........................................................................................................
.........................................................................................................
- Các kiến nghị khi kết quả kiểm định không đạt: .............................................
.........................................................................................................
3.2. Độ tuyến tính liều lối ra
Thông số đặt khi kiểm tra:
- Điện áp đặt: ..............kV
- Dòng bóng phát tia: .........mA
- Khoảng cách từ tiêu điểm đến thiết bị đo: .........cm
|
Độ tuyến tính |
Yêu cầu chấp nhận |
Đánh giá kết quả |
|
|
|
|
|
|
|
|
- Nhận xét: .........................................................................................................
.........................................................................................................
- Các kiến nghị khi kết quả kiểm định không đạt: .............................................
.........................................................................................................
4. BMD
4.1. Độ chính xác của BMD
Thông số đặt khi kiểm tra:
- Điện áp đỉnh: ..............kV
- Dòng bóng phát:.... mA
- Thời gian phát tia: ............s
- Chế độ quét: xương cột sống (đối với thiết bị có bóng phát chuyển động) hoặc xương cẳng tay (đối với thiết bị có bóng phát cố định)
|
Kết quả BMD đo được |
Yêu cầu chấp nhận |
Đánh giá kết quả |
|
|
|
|
- Nhận xét: .........................................................................................................
.........................................................................................................
- Các kiến nghị (trong trường hợp kết quả kiểm định không đạt): ...................................
.........................................................................................................
.........................................................................................................
4.2. Độ lặp lại của BMD
Thông số đặt khi kiểm tra:
- Điện áp đỉnh: ..............kV
- Dòng bóng phát:.... mA
- Thời gian phát tia: ............s
- Chế độ quét: xương cột sống (đối với thiết bị có bóng phát chuyển động) hoặc xương cẳng tay (đối với thiết bị có bóng phát cố định)
|
TT |
COV |
Yêu cầu chấp nhận |
Đánh giá kết quả |
|
1 |
|
|
|
|
... |
|
|
|
- Nhận xét: ..............................................................................................................
................................................................................................................................
Các kiến nghị (trong trường hợp kết quả kiểm định không đạt): ............................
................................................................................................................................
................................................................................................................................
V. KẾT LUẬN VÀ KIẾN NGHỊ
1. Thiết bị X-quang được kiểm định có kết quả:
Đạt □
Không đạt □
2. Các nội dung không đạt yêu cầu:
................................................................................................................................
................................................................................................................................
................................................................................................................................
3. Các kiến nghị (trong trường hợp kết quả kiểm định không đạt):
................................................................................................................................
................................................................................................................................
................................................................................................................................
|
THỦ TRƯỞNG TỔ CHỨC
|
NGƯỜI KIỂM ĐỊNH |
Mẫu B.3/GCNKĐ
GIẤY CHỨNG NHẬN KIỂM ĐỊNH
Địa chỉ(Add.) ............ Điện thoại (Tel.) ......... GIẤY CHỨNG NHẬN KIỂM ĐỊNH Số(N°):
Tên đối tượng: Object: Mã hiệu: Số xêri: Model/Type: Serial No: Nhà sản xuất: Năm: Manufacturer: Year: Đặc trưng kỹ thuật: Specifications: Nơi đặt thiết bị: Place: Tổ chức, cá nhân sử dụng: User: Phương pháp thực hiện: Theo QCVN 24:2023/BKHCN Method of verification: According to QCVN 24:2023/BKHCN Kết luận: Đạt yêu cầu theo QCVN 24:2023/BKHCN Conclusion: Complied with QCVN 24:2023/BKHCN Số tem kiểm định: Verification stamp N0: Thời hạn đến: (*) Valid until:
(*) Với điều kiện tuân thủ các quy định về sử dụng và bảo quản.
|
Hướng dẫn cho Mẫu B.3/GCNKĐ:
1. Giấy chứng nhận được trình bày trên khổ giấy A4.
2. Phần chữ tiếng Anh phải có cỡ chữ nhỏ hơn chữ tiếng Việt.
3. Nội dung ghi phải rõ ràng, sạch, không viết tắt, không tẩy xóa. Tên và kí hiệu đơn vị đo, giá trị đại lượng phải trình bày đúng quy định về đơn vị đo pháp định.
4. Số xêri: Ghi theo số xêri của thiết bị X-quang. Trường hợp số xêri bị mờ hoặc mất, tổ chức thực hiện kiểm định phải đánh số cho thiết bị.Số xêri được đánh theo mẫu như sau: xx/20xx/Y/Z, trong đó, XX là số xêri mới (đánh theo thứ tự chữ sốẢ-rập), 20xx là năm cấp mới, Y là tên viết tắt của loại thiết bị, Z là tên viết tắt của tổ chức thực hiện kiểm định.
5. Nhà sản xuất: Ghi rõ tên nhà máy hoặc hãng sản xuất và quốc gia sản xuất của thiết bị X-quang.
6. Phần đặc trưng kỹ thuật: Ghi tóm tắt các đặc trưng kỹ thuật chính của thiết bị X-quang bao gồm điện áp (kV), dòng bóng phát (mA) và hình dạng chùm tia X, trong đó: WFB (Wide Fan Beam) là chùm tia X dạng hình quạt dải rộng; NFB (Narrow Fan Beam) là chùm tia X dạng hình quạt dải hẹp; PB (Pencil Beam) là chùm tia X dạng hình bút chì; CB (Cone Beam) là chùm tia X dạng hình nón.
7. Nơi đặt thiết bị: Ghi rõ địa điểm nơi đặt thiết bị X-quang (phòng đặt thiết bị, địa chỉ tổ chức, cá nhân sử dụng).
8. Tổ chức, cá nhân sử dụng: Ghi tên cơ sở sử dụng thiết bị X-quang như trong quyết định thành lập tổ chức, Giấy chứng nhận đăng ký kinh doanh, Giấy chứng nhận đầu tư hoặc Giấy đăng ký hành nghề.
9. Thời hạn đến: Ghi ngày cuối cùng của chu kỳ kiểm định.
10. Số tem kiểm định: Ghi số của tem kiểm định được dán cho thiết bị được kiểm định.
11. Phần ký Giấy chứng nhận kiểm định:
a) Có đủ chữ ký, họ và tên của người kiểm định;
b) Có đủ chữ ký, họ và tên, dấu chức danh của Thủ trưởng hoặc người được ủy quyền và đóng dấu hành chính của tổ chức thực hiện kiểm định.
Mẫu B.4/TKĐ
TEM KIỂM ĐỊNH

|
Chú thích: [1]. Số (số tem): là các số tự nhiên kế tiếp nhau để quản lý và theo dõi. [2]. Ngày kiểm định: ghi ngày, tháng, năm kiểm định (ví dụ: ngày 01 tháng 12 năm 2023) [3]. Thời hạn đến: ghi ngày cuối cùng của chu kỳ kiểm định (ví dụ: ngày 30 tháng 11 năm 2025). |
[4]. Màu chữ và màu số: “Tên tổ chức kiểm định”: màu đỏ; số tem: màu đỏ; các chữ và số còn lại màu đen. [5]. Nền tem màu vàng, viền màu xanh lá cây, chi tiết hoa văn của tem do tổ chức kiểm định tự chọn. [6]. Kích thước của tem: - B = 5/6 A; -C= 1/5 B; - Giới hạn kích thước của tem: 50mm ≤ A ≤ 60 mm |
Bạn chưa Đăng nhập thành viên.
Đây là tiện ích dành cho tài khoản thành viên. Vui lòng Đăng nhập để xem chi tiết. Nếu chưa có tài khoản, vui lòng Đăng ký tại đây!
Bạn chưa Đăng nhập thành viên.
Đây là tiện ích dành cho tài khoản thành viên. Vui lòng Đăng nhập để xem chi tiết. Nếu chưa có tài khoản, vui lòng Đăng ký tại đây!