- Tổng quan
- Nội dung
- Tiêu chuẩn liên quan
- Lược đồ
- Tải về
Tiêu chuẩn quốc gia TCVN 13945:2024 Tấm đá tự nhiên lát ngoài trời
| Số hiệu: | TCVN 13945:2024 | Loại văn bản: | Tiêu chuẩn Việt Nam |
| Cơ quan ban hành: | Bộ Khoa học và Công nghệ | Lĩnh vực: | Xây dựng |
| Trích yếu: | Tấm đá tự nhiên lát ngoài trời | ||
|
Ngày ban hành:
Ngày ban hành là ngày, tháng, năm văn bản được thông qua hoặc ký ban hành.
|
16/10/2024 |
Hiệu lực:
|
Đã biết
|
| Người ký: | Đang cập nhật |
Tình trạng hiệu lực:
Cho biết trạng thái hiệu lực của văn bản đang tra cứu: Chưa áp dụng, Còn hiệu lực, Hết hiệu lực, Hết hiệu lực 1 phần; Đã sửa đổi, Đính chính hay Không còn phù hợp,...
|
Đã biết
|
TÓM TẮT TIÊU CHUẨN VIỆT NAM TCVN 13945:2024
Nội dung tóm tắt đang được cập nhật, Quý khách vui lòng quay lại sau!
Tải tiêu chuẩn Việt Nam TCVN 13945:2024
TIÊU CHUẨN QUỐC GIA
TCVN 13945:2024
TẤM ĐÁ TỰ NHIÊN LÁT NGOÀI TRỜI
Slabs of natural stone for external paving
Lời nói đầu
TCVN 13945:2024 xây dựng dựa trên cơ sở tham khảo BS EN 1341:2012
TCVN 13945:2024 do Viện Vật liệu Xây dựng biên soạn, Bộ Xây dựng đề nghị, Tổng cục Tiêu chuẩn Đo lường Chất lượng thẩm định, Bộ Khoa học và Công nghệ công bố.
TẤM ĐÁ TỰ NHIÊN LÁT NGOÀI TRỜI
Slabs of natural stone for external paving
1 Phạm vi áp dụng
Tiêu chuẩn này quy định yêu cầu kỹ thuật và phương pháp thử tương ứng cho các loại tấm đá tự nhiên dùng lát ngoài trời và hoàn thiện lề đường.
Sử dụng lát ngoài trời bao gồm tất cả các loại mặt lát điển hình của công trình đường bộ, như khu vực cho người đi bộ, khu vực đường giao thông, các quảng trường và các khu vực tương tự sử dụng trong điều kiện ngoài trời chịu sự tác động của các yếu tố thời tiết, như thay đổi nhiệt độ, mưa, băng, gió, ...
Tiêu chuẩn này cũng quy định về ghi nhãn cho sản phẩm tấm đá tự nhiên.
Tiêu chuẩn này cũng đề cập đến các đặc tính quan trọng cho thương mại.
Tiêu chuẩn này không áp dụng các tấm đá tự nhiên lát sàn và cầu thang.
2 Tài liệu viện dẫn
Các tài liệu viện dẫn sau là cần thiết khi áp dụng tiêu chuẩn này. Đối với các tài liệu viện dẫn ghi năm công bố thì áp dụng bản được nêu. Đối với các tài liệu viện dẫn không ghi năm công bố thì áp dụng phiên bản mới nhất, bao gồm các bản sửa đổi, bổ sung (nếu có).
EN 1936, Natural stone test method - Determination of real density and apparent density, and of total and open porosity (Đá tự nhiên- Phương pháp thử- Xác định khối lượng thể tích và khối lượng riêng, độ xốp hở và tổng độ xốp);
EN 12371, Natural stone test methods - Determination of frost resistance (Đá tự nhiên - Phương pháp thử- Xác định độ bền băng giá);
EN 12372, Natural stone test methods - Determination of flexural strength under concentrated load (Đá tự nhiên - Phương pháp thử - Xác định cường độ uốn dưới tải trọng tập trung);
EN 12407, Natural stone test methods - Petrographic examination (Đá tự nhiên - Phương pháp thử - Thạch học);
EN 12440, Natural stone - Denomination criteria (Đá tự nhiên - Tên gọi);
EN 13373:2003, Natural stone test methods - Determination of geometric characteristics on units (Đá tự nhiên - Phương pháp thử- Xác định đặc tính hình học);
EN 13755, Natural stone test methods - Determination of water absorption at atmospheric pressure (Đá tự nhiên - Phương pháp thử-Xác định độ hút nước tại áp suất khí quyển);
EN 14157, Natural stone test methods - Determination of abrasion resistance (Đá tự nhiên - Phương pháp thử- Xác định độ bền mài mòn);
EN 14231, Natural stone test methods - Determination of of slip by means of the pendulum tester (Đá tự nhiên - Phương pháp thử - Xác định độ chống trơn bằng con lắc Anh);
3 Thuật ngữ và định nghĩa
Trong tiêu chuẩn này sử dụng các thuật ngữ và định nghĩa sau:
3.1
Tấm đá lát ngoài trời (tấm đá) (external paving slabs)
Đơn vị đá tự nhiên được cắt hoặc xẻ sử dụng làm vật liệu lát cho các mặt lát ngoài trời và hoàn thiện đường mà có chiều rộng làm việc vượt quá hai lần chiều dày.
3.2
Mặt trên (Upper face)
Bề mặt phía trên của tấm đá được nhìn thấy khi sử dụng.
3.3
Mặt dưới (Bed face)
Bề mặt của tấm đá tiếp xúc với vật liệu đệm khi sử dụng.
3.4
Mặt cạnh (Side face)
Bề mặt đứng của tấm đá vuông góc với mặt trên.
3.5
Kích thước làm việc (Work dimension)
Kích thước của tấm đá quy định trong sản xuất mà kích thước đó thỏa mãn dung sai cho phép so với kích thước thực tế.
3.6
Kích thước thực tế (Actual dimension)
Kích thước đo được của tấm đá.
3.7
Hình dạng bất kỳ (irregular plan form)
Tấm đá có kích thước bất kỳ.
3.8
Chiều dày (thickness)
Khoảng cách giữa mặt trên và mặt dưới tấm đá.
3.9
Chiều dài tổng (Overall length)
Chiều dài của hình chữ nhật nhỏ nhất bao phủ tấm đá.
3.10
Chiều rộng tổng (Overall width)
Chiều rộng của hình chữ nhật nhỏ nhất bao phủ tấm đá.
3.11
Hoa văn bề mặt (Textured)
Tấm đá với bề mặt hoàn thiện được xử lý thứ cấp bằng cách cưa hoặc đục.
3.12
Hoa văn tinh (Fine textured)
Bề mặt gia công có chênh lệch độ cao giữa đỉnh lồi và đáy lõm không quá 1mm (ví dụ như đánh bóng, mài hoặc xẻ bằng dao hoặc lưỡi cắt kim cương).
3.13
Hoa văn thô (Coarse textured)
Bề mặt gia công có chênh lệch độ cao giữa đỉnh lồi và đáy lõm lớn hơn 1mm (ví dụ như băm, bắn hoặc gia công nhiệt).
3.14
Chẻ (Hewn)
Tấm đá có bề mặt hoặc cạnh gồ ghề (bề mặt hoặc cạnh được chẻ, tách, bửa).
3.15
Chạm (Tooled)
Hoàn thiện bề mặt bằng chạm, khắc.
3.16
Mép cạnh (arris)
Cạnh giao của hai mặt.
CHÚ THÍCH 1: ví dụ về mép cạnh nhọn, tròn và vát chỉ ra ở Hình 1
3.17
Giá trị kỳ vọng thấp hơn
LEV (lower expected value)
Giá trị (EL) tương ứng với phân vị 5% của phân bố logarit chuẩn với hệ số tin cậy 75%.
3.18
Giá trị kỳ vọng cao hơn
HEV (higher expected value)
Giá trị (EH) tương ứng với phân vị 95% của phân bố logarit với hệ số tin cậy 75%.

CHÚ DẪN:
1 Mép cạnh tròn
2 Mép cạnh vát
3 Mép cạnh nhọn.
Hình 1 - Hình minh họa cho các dạng mép cạnh
4 Yêu cầu kỹ thuật và phương pháp thử đối với tấm đá tự nhiên
4.1 Quy định chung
4.1.1 Tên gọi
Tên gọi được công bố theo EN 12440 (bao gồm tên thương mại, họ thạch học, màu sắc đặc trưng và xuất xứ chính xác nhất có thể ví dụ tọa độ địa lý).
4.1.2 Sự đa dạng về tính chất cơ lý của đá tự nhiên.
Nếu trong quá trình sản xuất tấm đá có sử dụng các phương pháp gia công làm thay đổi tính chất cơ lý của đá (ví dụ xử lý hóa học, vá, điền đầy các lỗ rỗng, khuyết tật, vết nứt tự nhiên), thì phải công bố phương pháp đã sử dụng.
Ngoài ra, các mẫu để thử nghiệm phải là mẫu đại diện cho loại đá, loại sản phẩm và cách thức gia công.
4.2 Kích thước
4.2.1 Quy định chung
Kích thước làm việc của tấm đá phải được công bố trừ khi chúng được sản xuất ở dạng chiều dài bất kỳ. Khi đó kích thước làm việc công bố sẽ bao gồm chiều rộng và chiều dày.
Kích thước được đo theo EN 13373.
4.2.2 Dung sai cho phép
4.2.2.1 Kích thước danh nghĩa (không bao gồm đá có hình dạng bất kỳ)
Kích thước danh nghĩa của tấm đá được đo theo 5.2, EN 13373:2003, sai lệch cho phép so với kích thước danh nghĩa công bố phải phù hợp với dung sai quy định trong Bảng 1.
Bảng 1 - Dung sai kích thước danh nghĩa
|
| Dung sai kích thước danh nghĩa của tấm đáa | ||
| Loại 0 | Loại 1 | Loại 2 | |
| Ký hiệu | P0 | P1 | P2 |
| Cạnh cắt | Không yêu cầu | ± 4 mm | ± 2 mm |
| Cạnh chẻ hoặc chạm | ± 10 mm | ± 10 mm | |
| a chỉ cho tấm đá tự nhiên có hình dạng xác định. | |||
Hai đường chéo của tấm đá hình chữ nhật được đo theo 5.2, EN 13373:2003, chênh lệch lớn nhất giữa chúng không vượt quá giá trị quy định ở Bảng 2.
Bảng 2 - Dung sai đường chéo
|
| Dung sai đường chéo tấm đáa | ||
| Loại 0 | Loại 1 | Loại 2 | |
| Ký hiệu | D0 | D1 | D2 |
| Cạnh cắt | Không yêu cầu | 6 mm | 3 mm |
| Cạnh chẻ hoặc chạm | 15 mm | 10 mm | |
| a chỉ cho tấm đá tự nhiên có hình dạng xác định. | |||
Dung sai chặt chẽ hơn P2, D2 có thể được công bố.
4.2.2.2 Chiều dày
Chiều dày của tấm đá được đo theo 5.2, EN 13373:2003, sai lệch cho phép so với chiều dày danh nghĩa công bố phải phù hợp với dung sai quy định trong Bảng 3.
Bảng 3 - Dung sai chiều dày
|
| Dung sai chiều dày tấm đá | ||
| Loại 0 | Loại 1 | Loại 2 | |
| Ký hiệu | T0 | T1 | T2 |
| Chiều dày ≤ 30mm | Không yêu cầua | ± 3 mm | ± 10% |
| 30 mm < chiều dày ≤ 80 mm | ± 4 mm | ± 3 mm | |
| Chiều dày > 80 mm | ± 7 mm | + 4 mm | |
| a khuyến khích nhà sản xuất công bố dung sai chiều dày được đo theo 5.2, EN 13373:2003. | |||
Khoảng cách giữa các mặt có thể được công bố trong khoảng nhỏ nhất đến lớn nhất của chiều dày danh nghĩa, ví dụ 30-60 film và dung sai công bố trên các giá trị giới hạn của khoảng này, áp dụng điển hình cho tấm đá chẻ.
Dung sai chặt chẽ hom T2 có thể được công bố.
4.2.2.3 Độ đồng đều bề mặt
Độ đồng đều bề mặt của tấm đá chẻ, được đo theo 5.3, EN 13373:2003, không được vượt quá 20 mm so với chiều dày làm việc và không được nhỏ hơn chiều dày làm việc (ví dụ +20/-0) và giá trị lớn nhất đo được phải được công bố.
4.2.2.4 Độ phẳng mặt và thẳng cạnh
4.2.2.4.1 Mép cạnh
Độ thẳng mép cạnh theo kích thước danh nghĩa của tấm đá có hoa văn bề mặt thì được đo theo 5.4, EN 13373:2003, sai lệch so với độ thẳng cạnh công bố phải phù hợp với Bảng 4.
Bảng 4 - Dung sai độ thẳng cạnh của mép cạnh
|
| Dung sai độ thẳng cạnh của mép cạnh | ||
| Cạnh dài nhất | 0,5 m | 1 m | 1,5 m |
| Hoa văn tinh | ± 2 mm | ± 3 mm | ± 4 mm |
| Hoa văn thô | ± 3 mm | ± 4 mm | ± 6 mm |
4.2.2.4.2 Các mặt
Độ phẳng và cong được đo theo 5.4, EN 13373:2003, sai lệch so với độ phẳng và cong công bố phải phù hợp với quy định với Bảng 5 trừ khí bề mặt được để thô, trong trường hợp này thông tin về sai lệch phải công bố.
Bề mặt nằm ngang của đá chẻ hoặc chạm có thể được cắt côn so với cạnh trên không lớn hơn 12 mm với tấm đá có chiều dày nhỏ hơn hoặc bằng 80 mm và không lớn hơn 15 mm với tấm đá có chiều dày lớn hơn 80 mm. Mặt nằm ngang không được cắt chóp cụt quá dung sai kích thước cho phép.
Bảng 5 - Dung sai độ phẳng mặt
| Dung sai về độ phẳng mặt | ||
| a) Bề mặt có hoa văn tinh | ||
| Chiều dài cạnh | Dung sai cong lồi lớn nhất | Dung sai cong lõm lớn nhất |
| 300 | 2,0 | 1,0 |
| 500 | 3,0 | 2,0 |
| 800 | 4,0 | 3,0 |
| 1000 | 5,0 | 4,0 |
| b) Bề mặt có hoa văn thô | ||
| Chiều dài cạnh | Dung sai cong lồi lớn nhất | Dung sai cong lõm lớn nhất |
| 300 | 3,0 | 2,0 |
| 500 | 4,0 | 3,0 |
| 800 | 5,0 | 4,0 |
| 1000 | 8,0 | 6,0 |
4.2.2.5 Mép cạnh
Mép cạnh được xem là vuông hoặc nhọn khi có độ vát với kích thước theo chiều ngang hoặc dọc không vượt quá 2 mm theo quy định của nhà sản xuất.
Đối với tấm đá có mép cạnh vát hoặc tròn, các kích thước phải được công bố, kích thước theo chiều ngang và dọc phải nằm trong khoảng ± 2 mm so với kích thước đã công bố.
4.2.2.6 Góc và các hình dạng đặc biệt
Các góc của tấm đá phải tuân theo dạng hình học đã thỏa thuận. Từng tấm có hình dạng đặc biệt hoặc bất kỳ thì phải kiểm tra phù hợp với hình dạng của một tấm mẫu cụ thể, dung sai cho phép tại bất kỳ điểm nào phải phù hợp với Bảng 1.
Dung sai chặt chẽ hơn Bảng 1 có thể được công bố.
Không cộng dung sai với nhau, ví dụ như chiều dày và độ phẳng mặt.
4.3 Độ bền chống đóng băng/tan băng
4.3.1 Đóng băng/tan băng trong điều kiện thường
Khi sử dụng tấm đá lát ở vùng có điều kiện khí hậu lạnh giá thì chỉ tiêu độ bền băng giá được xác định theo phương pháp thử trong EN 12371. Kết quả thử nghiệm là cường độ uốn trung bình trước và sau 56 chu kỳ đóng băng/tan băng (phương pháp công nghệ).
Sự phá hủy đá tự nhiên do băng giá phụ thuộc vào điều kiện khí hậu, vị trí sử dụng (quyết định độ bão hòa nước của viên đá), và tuổi thọ dự đoán của công trình, số chu kỳ thử này phù hợp với một dự án cụ thể và giúp định hướng lý giải các kết quả thử nghiệm. Việc lựa chọn đá phụ thuộc vào vùng khí hậu và/hoặc các quy phạm xây dựng
Trong vài điều kiện sử dụng đặc biệt như làm việc dưới -12 °C , phương pháp thử có thể thay đổi như đóng băng trong nước, đóng băng ở nhiệt độ thấp hoặc bao phủ mẫu bằng hạt silic không lỗ xốp hoặc tăng chu kỳ thử...như thử nghiệm định danh quy định trong EN 12371.
4.3.2 Đóng băng/tan băng khi có muối tan băng
Khi có yêu cầu, độ bền băng giá với sự ảnh hưởng của muối tan băng phải được xác định và công bố. Trong trường hợp không có phương pháp thử này, độ bền băng giá với sự ảnh hưởng của muối tan băng sẽ được xác định và công bố theo quy định quốc gia có hiệu lực tại nơi sử dụng của sản phẩm.
4.4 Độ bền uốn
Độ bền uốn được xác định theo EN12372 và giá trị kỳ vọng thấp hơn (EL) được công bố.
Thông thường, độ bền uốn được xác định theo phương pháp định danh của EN 12372. Nhưng trong trường hợp biết trước kỹ thuật hoàn thiện bề mặt, và thực hiện phép thử trên sản phẩm hoàn thiện bề mặt thì áp dụng phương pháp công nghệ của EN 12372.
CHÚ THÍCH 1: Hướng dẫn chọn chiều dày thích hợp theo mục đích sử dụng khác nhau trình bảy ở Phụ lục A.
CHÚ THÍCH 2: Ví dụ tính toán giá trị kỳ vọng thấp hơn được trình bày ở Phụ lục C.
4.5 Độ chịu mài mòn
Độ chịu mài mòn xác định theo phương pháp thử quy định trong EN 14157 và phải công bố giá trị kỳ vọng cao hơn (EH).
4.6 Độ chống trơn và độ chống trượt
4.6.1 Độ chống trơn
Độ chống trơn của những viên đá sẽ được công bố tùy thuộc vào yêu cầu quy định hoặc khi có yêu cầu và trong mọi trường hợp độ nhám bề mặt được đo theo 5.3, EN 13373: 2003, nhỏ hơn 1,0 mm.
Độ chống trơn được xác định và tính toán kết quả theo quy trình thử đối với cả hai điều kiện khô và ướt trong EN 14231.
CHÚ THÍCH 1 Các tấm đá có hoa văn thô và đá chẻ có khả năng chống trơn tốt.
CHÚ THÍCH 2: Giá trị độ chống trơn không đánh bóng liên quan đến các viên đá được sản xuất và đảm bảo đủ độ chống trơn/trượt khi lắp đặt.
CHÚ THÍCH 3: Kinh nghiệm cho thấy một phép đo giá trị độ chống trơn không đánh bóng (USRV) đo được khi sử dụng phương pháp con lắc Anh đạt ở mức lớn hơn 35 trong điều kiện ẩm có thể chấp nhận sử dụng ở các bề mặt nằm ngang hoặc có độ dốc ở mức dưới 6%.
4.6.2 Độ chống trượt
Khi có yêu cầu, độ chống trượt phải được công bố.
4.6.3 Độ bền lâu của độ chống trơn và độ chống trượt
Khi có yêu cầu, độ bền lâu của độ chống trơn và độ chống trượt phải được công bố.
4.7 Ngoại quan
4.7.1 Quy định chung
Màu sắc, vân, hoa văn... của đá tự nhiên được nhận biết trực quan, đặc trưng bởi một mẫu tham chiếu điển hình, đại diện cho loại đá đó.
Mẫu tham chiếu được cung cấp bởi nhà cung cấp như 4.7.2.
4.7.2 Mẫu tham chiếu, khuyết tật ngoại quan và tiêu chí chấp nhận.
Mẫu tham chiếu là tổ hợp một số tấm đá mà đảm bảo đủ số lượng, Kích cỡ để thể hiện được bề mặt khi hoàn thiện. Kích cỡ từng tấm ít nhất 0,01 m2 (thường thì nằm giữa 0,01 m2 đến 0,25 m2 và có thể lớn hơn), chúng phải thể hiện đầy đủ các loại màu sắc, vân, cấu trúc vật lý và bề mặt hoàn thiện. Đặc biệt, mẫu tham chiếu phải thể hiện được các đặc tính của loại đá như lỗ, vân tinh thể, vệt vô định hình, vệt sắt.
Mẫu tham chiếu không nhất thiết phải đồng nhất với nhau và nguồn cung thực tế vì trong tự nhiên luôn có sự biến đổi.
Nếu quá trình sản xuất đá sử dụng các loại vữa vá, hồ vá, chất điền đầy hay các hợp chất tương tự cho các loại lỗ, khuyết tật và vết nứt, thì mẫu đối chứng cũng phải thể hiện tương đồng tác động như trên bề mặt hoàn thiện.
Các đặc tính của mẫu tham chiếu được coi là đặc tính điển hình của loại đá đó, không kể các khuyết tật trừ khi chúng tập trung thành cụm và làm mất các đặc trưng của loại đá.
Các thông tin về nhà sản xuất, cung cấp đá, tên gọi của đá theo 4.1 và cách gia công xử lý theo 4.1.2 ở trên phải được chỉ ra rõ ràng trên mẫu tham chiếu.
Khi so sánh mẫu sản phẩm và mẫu tham chiếu thì cần đặt cạnh nhau quan sát ở khoảng cách 2 m trong điều kiện ánh sáng ban ngày. Ghi lại tất cả những khác biệt giữa chúng.
4.8 Độ hút nước
Khi có yêu cầu, độ hút nước được thử theo EN 13755 và phải công bố giá trị kỳ vọng cao hơn (EH).
4.9 Khối lượng thể tích và độ rỗng hở
Khối lượng thể tích và độ rỗng hở được thử theo EN 1936 và công bố giá trị trung bình.
4.10 Mô tả thạch học
Các mô tả thạch học phải chỉ rõ tên đá, loại đá theo EN 12407.
5 Ghi nhãn và đóng gói
Để định dạng thì trên bao gói sản phẩm phải có tối thiểu các thông tin sau:
a) Tên gọi đá theo EN 12440 (xem 4.1.2);
b) Số lượng và kích thước tấm đá.
Các thông tin nên có:
c) Khối lượng tấm đá;
d) Kích thước và khối lượng đóng gói.
Những thông tin trên cần có trên nhãn dán, lô đóng gói và trên các hồ sơ đi kèm.
Các thông tin nhận biết này có thể dùng để đặt hàng cho từng loại đá; trong trường hợp như vậy từng loại đá được ghi nhãn rõ ràng. Các nhân dân thường có số, mã (ví dụ: khi chỉ định hướng ưu tiên cho việc lắp đặt).
Đá phải sạch trước khi đóng gói.
Các bao gói phải vừa vặn, cứng, bền để đóng gói đá. Để ngăn ngừa sự di chuyển của đá trong khi vận chuyển và lưu kho, cần cố định từng tấm riêng biệt.
Các bao gói phải có khối lượng và kích cỡ phù hợp để vận chuyển, ghi rõ đầu trên và đầu dưới.
Phải đảm bảo quá trình đóng gói không làm bám bẩn tấm đá. Không sử dụng bao bì vá băng dính gây vết bẩn trên tấm đá. Bề mặt đánh bóng cần được bảo vệ bằng phoi nhựa, không sử dụng sản phẩm có thành phần chứa chất ăn da.
Phụ lục A
(tham khảo)
Tính chiều dày cho các mục đích sử dụng khác nhau
A.1 Giới thiệu
Một số phương pháp tính toán kết cấu được sử dụng để xác định chiều dày tấm đá lát cho những trường hợp cụ thể và tải trọng cụ thể. Chúng được dùng để thiết kế các mặt lát và đường bằng tấm đá tự nhiên.
Tuy nhiên, nếu yêu cầu một phương pháp đơn giản thì có thể sử dụng phương pháp miêu tả ở A..2
A.2 Công thức đơn giản tính toán chiều dày tấm đá
Chiều dày của tấm đá được tính từ tải trọng uốn gãy yêu cầu nhỏ nhất p (kN) theo công thức:
|
| (A.1) |
trong đó:
t: Chiều dày tấm đá (mm)
P: tải trọng uốn gãy cho các mục đích sử dụng dự kiến (kN)
CHÚ THÍCH: hướng dẫn tính P xem ở Bảng A.2.
L: chiều dài tấm đá (mm)
W: chiều rộng tấm đá (mm)
Rf: giá trị kỳ vọng thấp hơn (EL) của cường độ uốn tính bằng megapascal (MPa) xác định theo EN 12372
Fs: hệ số an toàn, cho ở Bảng A.1.
Bảng A.1. Tải trọng uốn gãy
| Kích thước L mm | Hệ số an toàn, Fs, cho tấm đá | ||||
| Lát lên trên | Lát trên vật kê, có khoảng hở | ||||
| Bê tông sử dụng vữa và chất kết nối (công nghệ thi công kết dính) | Lớp cát và cốt liệu (công nghệ thi công không kết dính) | Trên 4 mặt | Trên 2 mặt | Trên 4 góc | |
| ≤ 600 | 1,2 | 1,8 | 2,4 | 2,7 | 3,0 |
| > 600 | 1,8 | 2,4 | 2,7 | 3,2 | 3,5 |
A.3 Hướng dẫn cho tải trọng uốn gãy kỳ vọng
Hướng dẫn cho tải trọng uốn gãy kỳ vọng cho ở Bảng A.2.
Bảng A.2 - Tải trọng uốn gãy
| Loại | Tải trọng nhỏ nhất (kN) | Ứng dụng điển hình |
| 0 | không yêu cầu | Trang trí |
| 1 | 0,75 | Đá có vữa lót, chỉ dùng cho khu vực đi bộ |
| 2 | 3,5 | Khu vực đi bộ và xe đạp |
| 3 | 6,0 | Lối vào gara, nơi có ô tô, xe tải nhẹ và xe máy ra vào không thường xuyên |
| 4 | 9,0 | Trung tâm thương mại, khu vực đi bộ nơi có xe cấp cứu, xe chở hàng ra vào không thường xuyên |
| 5 | 14,0 | Khu vực đi bộ thường xuyên có xe tải nặng ra vào |
| 6 | 25,0 | Đường phố, trạm xăng dầu |
Phụ lục B
(tham khảo)
Hướng dẫn lấy mẫu
B.1 Quy định chung
Phụ lục này hướng dẫn cách lấy mẫu từ mỏ đá, nhà máy và công trường thi công nếu trường hợp công trường sử dụng trực tiếp đá tự nhiên do nhà cung cấp mang đến.
Mục đích của việc lấy mẫu là đảm bảo mẫu thu được mẫu đại diện cho các tính chất trung bình của lô và sự biến đổi của chúng.
Mẫu được lấy thủ công. Cách này thì bị giới hạn khi lấy mẫu ở công trường hoặc công trình xây dựng dân dụng.
Người lấy mẫu phải được đào tạo và am hiểu tiêu chuẩn này.
Trong trường hợp có tranh chấp hoặc mẫu được thử nghiệm bởi nhiều hơn một tổ chức thì các bên liên quan phải cùng giám sát lấy mẫu và thống nhất số lượng mẫu cần lấy.
B.2 Nguyên tắc lấy mẫu
Lấy mẫu và vận chuyển mẫu chính xác, cẩn thận đảm bảo độ tin cậy của kết quả thử nghiệm, số lượng mẫu phải đủ nhiều để đại diện tốt cho sự không đồng nhất trong tự nhiên của lô.
Người lấy mẫu phải được thông tin về mục đích của việc lấy mẫu.
B.3 Mẫu đại diện
Số lượng và cỡ mẫu phụ thuộc vào phương pháp thử lựa chọn, số lượng và hình dạng được quy định trong các phương pháp thử tương ứng,
B.4 Chuẩn bị kế hoạch lấy mẫu
Cần lên kế hoạch lấy mẫu trước, cần xem xét các yếu tố sau:
- Loại đá (theo EN 12440 và EN 12670);
- Mục đích lấy mẫu, bao gồm các chỉ tiêu thử nghiệm;
- Điểm lấy mẫu;
- Định hướng lấy mẫu phù hợp với nguồn đá hoặc lớp đá;
- Kích thước tương đối của mẫu;
- Số lượng mẫu;
- Dụng cụ lấy mẫu;
- Phương pháp lấy mẫu;
- Ghi nhãn, đóng gói và vận chuyển mẫu.
B.5 Dụng cụ lấy mẫu
Dụng cụ là các máy cưa cắt, khoan sao cho phù hợp với mẫu cần lấy.
B.6 Phương pháp lấy mẫu
B.6.1 Quy định chung
Phương pháp lấy mẫu bao gồm cả quy tắc cho người lấy mẫu tại mỏ đá, nhà máy hoặc công trình xây dựng. Nguyên tắc là đảm bảo an toàn và dễ dàng.
B.6.2 Lấy mẫu tại mỏ
B.6.2.1 Quy định chung
Mục tiêu chính của lấy mẫu tại mỏ là có thể thu được mẫu trung bình, thể hiện sự đa dạng và những khác biệt về cấu trúc và tính chất của đá, có tính đến các yếu tố kết cấu của đá, cấu trúc địa chất và điều kiện khai thác.
B.6.2.2 Lấy mẫu đá cứng
a) Xác định tính dị hướng và định hướng của mẫu
Nếu việc khảo sát mỏ trước đó đã ghi nhận kết cấu của đá và cấu trúc địa chất mà những thông tin này không nhất định thể hiện trên trên quy mô mẫu (ví dụ phân tầng, phân vỉa lớn, phân tấm, cát khai hoặc đứt gãy), thì mẫu phải được ghi nhãn theo kết quả khảo sát.
b) Lấy mẫu phân tích thạch học
Để phân tích thạch học, các mẫu thử thủ công phải được lấy từ tất cả loại và biến thể đặc trưng cho thành phần khoáng, kết cấu của đá, và cấu trúc địa chất.
Có thể lấy mẫu bằng cách khoan.
Ngoài các mẫu đá chưa phong hoá, cần lấy cả mẫu thể hiện được tác động của sự phong hoá.
c) Lấy mẫu kiểm tra tính chất cơ lý
Để thử nghiệm tính chất cơ lý, sử dụng các mẫu thử là đá dạng khối hoặc dạng cục. Số lượng và vị trí phụ thuộc kết quả phân tích thạch học và phương pháp thử.
Đá dạng khối phải có kích thước khoảng 0,40 m x 0,25 m x 0,25 m hoặc lớn hơn nếu đá có cấu trúc hạt thô hoặc lỗ rỗng lớn.
Các khối mẫu phải được tách ra cẩn thận. Vì vậy khuyến nghị lấy mẫu từ những tảng lớn ít chịu tác động của việc nổ mìn. Khi tách mẫu cần cẩn thận để các khối mẫu và cục mẫu không bị nứt tóc.
Mẫu còn có thể được cắt từ các khối, tấm đá. số lượng và kích cỡ phụ thuộc vào phương pháp thử.
B.6.3 Lấy mẫu từ nơi sản xuất và bán hàng.
Mẫu đại diện phải phù hợp với kích cỡ và đặc tính của loại đá về thành phần khoáng, kết cấu và cấu trúc địa chất, được lấy từ sản phẩm sau gia công (tấm đá lát đá định sẵn kích cỡ...) và xem xét đến cả mục đích sử dụng.
B.6.4 Lấy mẫu từ công trình xây dựng
Điểm lấy mẫu được lựa chọn theo nguyên tắc lấy mẫu đại diện, lưu ý những sai khác nhỏ nhất quan sát bằng mắt thường. Nếu cần cho phép lấy từng mẫu riêng lẻ có tính chất cơ lý phù hợp.
Vị trí lấy mẫu tại công trình phải nêu trong báo cáo.
B.7 Ghi nhãn, đóng gói và vận chuyển mẫu
Mẫu hoặc thùng chứa mẫu phải có nhãn ghi rõ ràng và chắc chắn, bao gồm các thông tin sau:
a) mã hiệu hoặc
b) định danh mẫu phòng thí nghiệm, nơi lấy mẫu, ngày lấy mẫu và tên gọi loại mẫu.
Các mẫu được đóng gói và vận chuyển cẩn thận để tránh các va chạm làm hư hỏng mẫu.
B.8 Báo cáo lấy mẫu
B.8.1 Người lấy mẫu phải chuẩn bị một báo cáo lấy mẫu cho từng mẫu phòng thí nghiệm hoặc từng nhóm mẫu phòng thí nghiệm khi lấy mẫu từ một nguồn. Báo cáo lấy mẫu phải nêu tên tiêu chuẩn này và bao gồm các thông tin sau:
a) Số hiệu báo cáo;
b) Ký hiệu định danh mẫu phòng thí nghiệm;
c) Ngày và nơi lấy mẫu;
d) Điểm lấy mẫu hoặc lô lấy mẫu;
f) Kế hoạch lấy mẫu theo B.4;
g) Tên người lấy mẫu.
B.8.2 Tùy vào từng trường hợp, có thể đưa thêm các thông tin liên quan khác. Bảng B.1 là ví dụ về một báo cáo lấy mẫu toàn diện:
Bảng B.1 Ví dụ về báo cáo lấy mẫu
| Số hiệu báo cáo: |
|
| Ký hiệu định danh mẫu phòng thí nghiệm: | Số đóng gói: |
Miêu tả về loại đá và nơi lấy mẫu
| Tên mỏ đá, nhà máy hoặc công trình: |
| Tên nhà sản xuất: |
| Nguồn gốc lô: |
| Mục đích sử dụng của đá: |
| Vị trí lấy mẫu: |
| Tên lô, kích cỡ lô: |
| Những thông tin khác: |
Miêu tả về phương pháp lấy mẫu
| Ngày, giờ lấy mẫu: |
| Kế hoạch lấy mẫu: |
| Phương pháp, dụng cụ lấy mẫu: |
| Mục đích lấy mẫu: |
Mẫu
| Số và kích thước mẫu: |
| Thông tin khác: |
| Hình thức vận chuyển: |
| Người lấy mẫu: (ký tên) |
Thông tin hợp đồng
| Mã hợp đồng: |
| Tên và địa chỉ cơ quan yêu cầu lấy mẫu: .................................................................................... ...................................................................................................................................................... |
| Tên cá nhân có mặt khi lấy mẫu: ................................................................................................. ..................................................................................................................................................... |
| Chữ ký: ....................................................................................................................................... .................................................................................................................................................... |
Phụ lục C
(tham khảo)
Ví dụ về tính toán giá trị kỳ vọng thấp hơn
C.1 Tổng quan
Phụ lục này hướng dẫn tính toán giá trị kỳ vọng thấp hơn (EL).
C.2 Ký hiệu và định nghĩa.
| Giá trị đo | X1, X2, ...Xi, ..., Xn |
| Số giá trị đo | n |
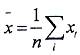
| Giá trị trung bình |
|
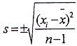
| Độ lệch chuẩn |
|
| Hệ số biến động |
|
| Trung bình logarit
|
|
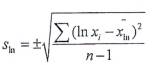
| Độ lệch tiêu chuẩn logarit |
|
Giá trị lớn nhất Max
Giá trị nhỏ nhất Min
Giá trị kỳ vọng thấp hơn
ở đây ks là hệ số phân vị cho ở Bảng C.1
Hệ số phân vị ks Xem bảng C.1
C.3 Tính toán giá trị kỳ vọng thấp hơn
Tính toán giá trị kỳ vọng thấp hơn (EL) bằng một phân phối thông thường logarit. Giá trị kỳ vọng thấp hơn tương ứng với 5 % điểm vi phân của phân phối thông thường logarit với hệ số tin cậy là 75%.
Bảng C.1 - hệ số phân vị phụ thuộc vào số lượng giá trị đo (n) tương ứng với 5% phân vị đối với mức tin cậy 75%.
| n | ks |
| 3 | 3,15 |
| 4 | 2,68 |
| 5 | 2,46 |
| 6 | 2,34 |
| 7 | 2,25 |
| 8 | 2,19 |
| 9 | 2,14 |
| 10 | 2,10 |
| 15 | 1,99 |
| 20 | 1,93 |
| 30 | 1,87 |
| 40 | 1,83 |
| 50 | 1,81 |
|
|
|
| ∞ | 1,64 |
| hệ số phân vị phụ thuộc số lượng giá trị đo (n) và tương ứng với phân vị 5% đối với mức tin cậy 75%. | |
Ví dụ dưới đây minh họa cho phương pháp tính:
Ví dụ 1:
tính toán giá trị trung bình, độ lệch chuẩn, giá trị lớn nhất và giá trị nhỏ nhất của 6 giá trị đo.
Bảng C.2 - Tính toán giá trị trung bình và độ lệch chuẩn
| số thứ tự phép đo | giá trị đo X |
| 1 | 2000 |
| 2 | 2150 |
| 3 | 2200 |
| 4 | 2300 |
| 5 | 2350 |
| 6 | 2400 |
|
| -------- |
| Giá trị trung bình | 2233 |
| Độ lệch chuẩn | 147 |
| Giá trị lớn nhất | 2400 |
| Giá trị nhỏ nhất | 2000 |
Ví dụ 2:
tính toán giá trị trung bình, độ lệch chuẩn, hệ số biến động và giá trị kỳ vọng thấp của 10 giá trị đo
Bảng C.3 - Tính toán giá trị kỳ vọng thấp hơn
| số thứ tự phép đo | giá trị đo X | (In X) |
| 1 | 2000 | (7,60) |
| 2 | 2150 | (7,67) |
| 3 | 2200 | (7,70) |
| 4 | 2300 | (7,74) |
| 5 | 2350 | (7,76) |
| 6 | 2400 | (7,78) |
| 7 | 2600 | (7,92) |
| 8 | 2750 | (7,97) |
| 9 | 2900 | (8,06) |
| 10 | 3150 |
|
|
| ------ | ---------- |
| Giá trị trung bình | 2480 | (7,807) |
| Độ lệch chuẩn | 363 | (0,143) |
| Hệ số biến động | 0,15 |
|
Từ Bảng C.1 có n = 10 thì ks= 2,1 và giá trị kỳ vọng thấp hơn là 1819.
Phụ lục D
(tham khảo)
Đánh giá sự phù hợp
D.1 Quy định chung
Sự phù hợp của sản phẩm tấm đá lát với yêu cầu kỹ thuật quy định bởi tiêu chuẩn này và sự phù hợp của các đặc tính công bố (ví dụ như loại, giá trị) với mục đích sử dụng được xác định thông qua:
a) Thử nghiệm điển hình ban đầu.
b) Kiểm soát sản xuất tại nhà máy bao gồm cả đánh giá sản phẩm.
Để phục vụ mục đích kiểm tra, các sản phẩm được phân nhóm theo đặc tính. Một hoặc nhiều đặc tính của sản phẩm trong nhóm đại diện cho đặc tính tương ứng của tất cả sản phẩm trong nhóm.
Một sản phẩm có thể ở nhiều hơn một nhóm tùy thuộc vào đặc tính được quan tâm.
D.2 Thử nghiệm điển hình ban đầu (ITT) và thử nghiệm điển hình (TT)
Thử nghiệm điển hình ban đầu và thử nghiệm điển hình, nếu cần, cho các đặc tính công bố của sản phẩm theo tiêu chuẩn này:
- Khi phát triển loại sản phẩm mới (trước khi đưa ra thị trường) hoặc
- Khi bắt đầu phương pháp sản xuất mới hoặc cải tiến phương pháp sản xuất mà có thể ảnh hưởng đến các đặc tính công bố.
Các đặc tính công bố phải đại diện cho sản phẩm hiện tại. Ví dụ như giá trị kỳ vọng thấp hơn của sản phẩm thông thường.
Mỗi khi có thay đổi đáng kể ở nguyên liệu ban đầu hoặc ở quá trình sản xuất làm thay đổi đặc tính của sản phẩm so với công bố, thì phải coi như đó là sản phẩm mới và làm bản công bố đặc tính cho sản phẩm này.
Cần đối chiếu tiêu chuẩn phương pháp thử để lựa chọn mẫu đại diện phù hợp.
Các đặc tính cần thiết, nêu ở Bảng D.1, thể hiện tính năng sản phẩm công bố thì phải thử nghiệm điển hình ban đầu.
Ngoài ra, cần thực hiện các thử nghiệm điển hình ban đầu với tất cả đặc tính sản phẩm ở Bảng D.1, khi nhà sản xuất cam kết sự phù hợp, trừ khi tiêu chuẩn đưa ra các điều khoản cho việc công bố tính năng (dữ liệu trước đó, phân loại không kiểm tra (CWFT) và tính năng chấp nhận thông thường).
Thử nghiệm điển hình ban đầu và thử nghiệm điển hình cho sản phẩm diễn ra khi:
- Lần đầu áp dụng tiêu chuẩn này hoặc bắt đầu sử dụng loại đá mới.
- Khi có thay đổi đáng kể ở vật liệu, quan sát được bằng mắt thường hoặc thông qua các kết quả trong kiểm soát sản xuất tại nhà máy (FPC).
Các kiểm tra trước đó theo tiêu chuẩn này (với cùng loại đá, cùng chỉ tiêu thử, cùng phương pháp thử, cùng cách chuẩn bị mẫu và cùng hệ thống chứng nhận phù hợp) có thể tính đến khi thử ITT.
Bảng D.1 - Các chỉ tiêu của tấm đá tự nhiên lát ngoài trời khi thử nghiệm điển hình ban đầu và thử nghiệm điển hình.
| Điều yêu cầu | Chỉ tiêu (đặc tính) | Phương pháp thử | Biểu thị kết quả |
| 4.4 | Độ bền uốn | EN 12372 | Giá trị công bố |
| 4.3.1 | Độ bền đóng băng/tan băng ở điều kiện thường, lực uốn gãy sau khi thử băng giá | EN 12371 | 2 Giá trị công bố |
| 4.3.2 | Độ bền đóng băng/tan băng khi có mặt muối tan băng, lực uốn gãy sau khi thử băng giá | xem 4.3.2 | Giá trị công bố |
| 4.6.1 | Độ chống trơn | EN 14231 | Giá trị công bố |
| 4.6.2 | Độ chống trượt | Xem 4.6.2 | Giá trị công bố |
| 4.2.2.6 | Dung sai-Góc và hình dạng đặc biệt | Xem 4.2.2.6 | Bảng 1 |
| 4.5 | Độ chịu mài mòn | EN 14157 | Giá trị công bố |
| 4.8 | Độ hút nước | EM 13755 | Giá trị công bố |
| 4.9 | Khối lượng thể tích và độ rỗng hở | EN 1936 | Giá trị công bố |
| 4.10 | Mô tả thạch học | EN 12407 | Công bố miêu tả |
Đánh giá sự phù hợp được thực hiện với cùng phương pháp (công nghệ hoặc định danh) như khi xác định các giá trị công bố.
Các đặc tính công bố có thể được lấy từ báo cáo thử nghiệm cung cấp kèm theo khối hoặc tấm đá nguyên liệu miễn là các thử nghiệm được thực hiện theo yêu cầu kỹ thuật và phương pháp thử của tiêu chuẩn này.
Kết quả các thử nghiệm lựa chọn phải được biểu thị theo quy định tại Điều 4.
D.3 Kiểm soát sản xuất tại nhà máy
D.3.1 Hệ thống kiểm soát sản xuất tại nhà máy (FPC) phải được thiết lập và ghi thành văn bản. Hệ thống này bao gồm các quy trình kiểm soát nội bộ. Các kết quả thử nghiệm trong FPC phải thể hiện rằng sản phẩm đưa ra thị trường đáp ứng tiêu chuẩn này và phù hợp với các đặc tính kỹ thuật công bố dựa trên kết quả thử ITT theo Điều 4.
Trong trường hợp quá trình gia công đá tự nhiên có khả năng làm thay đổi các đặc tính so với công bố ban đầu (ví dụ như là kết quả của phương pháp gia công, hoặc các tính chất vật lý bị thay đổi do ngâm tẩm, vá các lỗ, vết nứt, vết sứt...) thì phải xem là thuộc phạm vi quy trình FPC như quy định tại tiêu chuẩn này.
D.3.2 Kiểm soát sản xuất tại nhà máy bao gồm các phép thử và kiểm tra thường xuyên, và sử dụng các kết quả để kiểm soát nguyên liệu đầu vào (đá), thiết bị, quá trình sản xuất và sản phẩm.
Khi sử dụng các phương pháp thử thay thế cho phương pháp thử tiêu chuẩn thì mối tương quan giữa chúng phải được xác định và có sẵn để kiểm tra.
Tất cả các thiết bị thử nghiệm phải được hiệu chuẩn, quy trình, tần suất và tiêu chí chấp nhận phải được công bố.
D.3.3 Kế hoạch lấy mẫu thử nghiệm phải xác lập rõ và kết quả thử nghiệm phải được ghi lại phục vụ cho quá trình kiểm soát.
CHÚ THÍCH: Hướng dẫn lấy mẫu được nêu ở Phụ lục B.
D.3.4 Kiểm soát sản phẩm lưu kho cùng với quy trình xử lý sản phẩm không đạt yêu cầu phải cụ thể.
D.3.5 Các thông tin lưu tại nhà máy cần đảm bảo ít nhất các thông tin như sau:
a) định danh sản phẩm cần kiểm tra;
b) thông tin về mẫu kiểm tra:
1) địa điểm và thời gian lấy mẫu;
2) định dạng lô sản phẩm lấy mẫu;
3) tần suất lấy mẫu;
4) kích thước và số lượng mẫu;
c) phương pháp thử;
d) kết quả kiểm tra và đánh giá;
e) dung sai thiết bị.
D.3.6 Các quy trình thử nghiệm (tiêu chuẩn hoặc thay thế) phục vụ cho FPC đều phải có tiêu chí chấp nhận tương ứng. Trong trường hợp thử không đạt, thì phải có phương án cụ thể cho FPC. Nguyên tắc là lặp lại quy trình FPC với lượng mẫu thử hoặc sản phẩm nhiều hơn. Trường hợp kết quả thử không đạt so với đã công bố, đánh giá cuối cùng sẽ dựa trên thử nghiệm bằng phương pháp (định danh hoặc công nghệ) đã dùng để xác định các đặc tính công bố và tham khảo Bảng D.2.
Bảng D.2 - Các chỉ tiêu để kiểm soát sản xuất tấm đá lát tự nhiên tại nhà máy
| Điều yêu cầu | Chỉ tiêu (đặc tính) | Kiểm tra quá trình sản xuất | Phương pháp thử | Tần suất thử tối thiểu | Mức tiêu chuẩn |
| 4.2.1 | Kích thước | Kiểm tra liên tục thông qua hệ thống FPC tại nhà máy. | EN 13373 | từng lô | trong phạm vi sai lệch a |
| 4.2.2.1 | Dung sai-Kích thước danh nghĩa | EN 13373:2003, 5.2 | |||
| 4.2.2.2 | Dung sai - Chiều dày | EN 13373:2003, 5.2 | |||
| 4.2.2.3 | Dung sai - Độ đồng đều bề mặt | EN 13373:2003, 5.3 | |||
| 4.2.2.4.1 | Dung sai - Độ phẳng mặt và thẳng cạnh - Mép cạnh | EN 13373:2003, 5.4 | |||
| 4.2.2.4.2 | Dung sai - Độ phẳng mặt và thẳng cạnh - mặt | EN 13373:2003, 5.4 | |||
| 4.2.2.5 | Dung sai - Mép cạnh | Xem 4.2.2.2.5 | |||
| 4.2.2.6 | Dung sai - Góc và hình dạng đặc biệt | Xem 4.2.2.6c | |||
| 4.4 | Độ bền uốn | EN 12371 | 2 năm một lần b | >80% kết quả riêng lẻ thu được > giá trị công bố | |
| 4.8 | Độ hút nước | EN 13755 | >80% kết quả riêng lẻ thu được > giá trị công bố | ||
| 4.9 | Khối lượng thể tích và độ rỗng hở | EN 1936 | không yêu cầu | ||
| 4.3.1 | Độ bền đóng băng/tan băng trong điều kiện thường | EN 12371 | 10 năm một lần | trong phạm vi sai lệch a với cả hai giá trị công bố | |
| 4.3.2 | Độ bền đóng băng/tan băng khi có mặt muối tan băng | Xem 4.3.2 | trong phạm vi sai lệch a với giá trị công bố | ||
| 4.5 | Độ chịu mài mòn | EN 14157 | > 80% kết quả thu được < giá trị công bố | ||
| 4.6.1 | Độ chống trơn | EN 14231 | ≥ giá trị công bố | ||
| 3.6.2 | Độ chống trượt | Xem 4.6.2 | ≥ giá trị công bố | ||
| 4.6.3 | Độ bền lâu của độ chống trơn Độ bền lâu của độ chống trượt | Xem 4.6.3 | ≥ giá trị công bố ≥ giá trị công bố | ||
| 4.10 | Thạch học | EN12407 | phù hợp với công bố | ||
| 1) Tần suất thử nghiệm phải được thiết lập sao cho đảm bảo sự ổn định về tính năng của sản phẩm và cung cấp thông tin đáng tin cậy cho cả người dùng và nhà sản xuất.. 2) Sự kiểm tra kiểm soát từng chỉ tiêu được thực hiện bằng các phương pháp kiểm tra/thử gián tiếp thích hợp nhất, được định rỗ trong chu trình kiểm soát chất lượng của nhà máy cho các thông số, thông qua ITT, nếu có, liên quan tới các từng chỉ tiêu (ví dụ nguyên liệu đầu, thành phẩm). 3) Nếu quá trình gia công có thể làm thay đổi các đặc tính của sản phẩm cuối cùng so với nguyên liệu ban đầu (ví dụ như là kết quả của phương pháp gia công, hoặc do vá, điền đầy các lỗ, vết nứt, vết sứt...) thì phải tính đến điều này khi xác định tần suất kiểm tra. a Thường được đề cập trong các điều khoản yêu cầu. b Đại diện cho các giới hạn trên của tần suất thử (xem 1). c Chỉ tiến hành với tấm đá có hình dạng đặc biệt. | |||||
Thư mục tài liệu tham khảo
[1] EN 12058, Natural stone products - Slabs for floors and stairs - Requirements
[2] EN 12670, Natural stone - Terminology
Bạn chưa Đăng nhập thành viên.
Đây là tiện ích dành cho tài khoản thành viên. Vui lòng Đăng nhập để xem chi tiết. Nếu chưa có tài khoản, vui lòng Đăng ký tại đây!



