- Tổng quan
- Nội dung
- Tiêu chuẩn liên quan
- Lược đồ
- Tải về
Tiêu chuẩn quốc gia TCVN 13524-1:2024 Thử nghiệm phản ứng với lửa - Tốc độ giải phóng nhiệt lượng, sinh khói và mất khối lượng - Phần 1: Tốc độ giải phóng nhiệt lượng (Phương pháp côn nhiệt lượng) và tốc độ sinh khói
| Số hiệu: | TCVN 13524-1:2024 | Loại văn bản: | Tiêu chuẩn Việt Nam |
| Cơ quan ban hành: | Bộ Khoa học và Công nghệ | Lĩnh vực: | Xây dựng |
| Trích yếu: | ISO 5660-1:2015 with Amendment 1:2019 Thử nghiệm phản ứng với lửa - Tốc độ giải phóng nhiệt lượng, sinh khói và mất khối lượng - Phần 1: Tốc độ giải phóng nhiệt lượng (Phương pháp côn nhiệt lượng) và tốc độ sinh khói (đo theo phương pháp động) | ||
|
Ngày ban hành:
Ngày ban hành là ngày, tháng, năm văn bản được thông qua hoặc ký ban hành.
|
29/10/2024 |
Hiệu lực:
|
Đã biết
|
| Người ký: | Đang cập nhật |
Tình trạng hiệu lực:
Cho biết trạng thái hiệu lực của văn bản đang tra cứu: Chưa áp dụng, Còn hiệu lực, Hết hiệu lực, Hết hiệu lực 1 phần; Đã sửa đổi, Đính chính hay Không còn phù hợp,...
|
Đã biết
|
TÓM TẮT TIÊU CHUẨN VIỆT NAM TCVN 13524-1:2024
Tiêu chuẩn Quốc gia TCVN 13524-1:2024: Thử nghiệm phản ứng với lửa ảnh hưởng đến sản phẩm vật liệu xây dựng
Tiêu chuẩn Quốc gia TCVN 13524-1:2024 ISO 5660-1:2015 với sửa đổi 1:2019, được Bộ Xây dựng ban hành, quy định các phương pháp thử nghiệm phản ứng với lửa của các sản phẩm vật liệu. Văn bản này có hiệu lực từ ngày 01/01/2024 và áp dụng cho các sản phẩm cần xác định tốc độ giải phóng nhiệt lượng, sinh khói và khả năng mất khối lượng dưới tác động của lửa.
Phạm vi áp dụng: Tiêu chuẩn này áp dụng cho các mẫu thử nằm ngang, cung cấp cách xác định tốc độ giải phóng nhiệt lượng qua việc đo tiêu thụ oxy và đồng thời xác định tốc độ sinh khói thông qua mức độ suy giảm ánh sáng laser bởi khói sinh ra trong quá trình cháy. Thời gian bắt cháy và độ mờ của khói cũng được đo trong thử nghiệm.
Chỉ tiêu quan trọng trong thử nghiệm bao gồm:
- Tốc độ giải phóng nhiệt lượng phải được đo bằng cách tính toán lượng oxy tiêu thụ.
- Tốc độ sinh khói được xác định bằng việc tính cường độ ánh sáng laser truyền qua khói trong ống thải khí.
Thiết bị thử nghiệm: Tiêu chuẩn chỉ rõ các thiết bị cần thiết để thực hiện thử nghiệm, bao gồm côn nhiệt lượng, thiết bị thu thập và phân tích dữ liệu, cùng các dụng cụ đo nhiệt độ, lưu lượng khí và độ mờ của khói. Việc thiết lập hệ thống này đảm bảo tính chính xác và hiệu quả trong việc đánh giá các sản phẩm khi tiếp xúc với lửa.
Đối tượng áp dụng: Tiêu chuẩn này hướng đến các nhà sản xuất vật liệu xây dựng, thiết kế và kiểm định chất lượng. Các sản phẩm thử nghiệm bao gồm các vật liệu như kim loại, gỗ, bê tông, và polymer, đảm bảo tính năng an toàn khi sử dụng trong điều kiện có cháy nổ.
Quy trình và yêu cầu chuẩn bị mẫu thử: Mẫu thử phải đạt được các tiêu chí về bề mặt phẳng và có thể được kiểm định theo yêu cầu cụ thể tại từng điều kiện thử khác nhau. Tiêu chuẩn hướng dẫn thực hiện thử nghiệm trên nhiều loại sản phẩm khác nhau, bao gồm các sản phẩm composite. Thiết kế mẫu cần phải được điều chỉnh sao cho bề mặt lộ lửa tuân thủ quy định kỹ thuật.
TCVN 13524-1:2024 là tiêu chuẩn quan trọng nhằm bảo đảm an toàn cho người sử dụng và giảm thiểu rủi ro trong các công trình xây dựng, góp phần nâng cao chất lượng sản phẩm trên thị trường Việt Nam. Tiêu chuẩn này sẽ thay thế các chỉ tiêu trước đây và giúp đồng bộ hóa quy chuẩn trong thử nghiệm phản ứng với lửa đối với vật liệu xây dựng.
Tải tiêu chuẩn Việt Nam TCVN 13524-1:2024
TIÊU CHUẨN QUỐC GIA
TCVN 13524-1:2024
ISO 5660-1:2015 WITH AMENDMENT 1:2019
THỬ NGHIỆM PHẢN ỨNG VỚI LỬA - TỐC ĐỘ GIẢI PHÓNG NHIỆT LƯỢNG, SINH KHÓI VÀ MẤT KHỐI LƯỢNG - PHẦN I: TỐC ĐỘ GIẢI PHÓNG NHIỆT LƯỢNG (PHƯƠNG PHÁP CÔN NHIỆT LƯỢNG) VÀ TỐC ĐỘ SINH KHÓI (ĐO THEO PHƯƠNG PHÁP ĐỘNG)
Reaction to fire tests - Heat release, smoke production and mass loss rate - Part 1: Heat release rate (cone calorimeter method) and smoke production rate (dynamic measurements)
Lời nói đầu
TCVN 13524-1:2024 hoàn toàn tương đương ISO 5660-1:2015 và sửa đổi 1:2019.
TCVN 13524-1:2024 do Viện Vật liệu xây dựng - Bộ Xây dựng biên soạn, Bộ Xây dựng đề nghị, Tổng cục Tiêu chuẩn Đo lường Chất lượng thẩm định, Bộ Khoa học và Công nghệ công bố.
THỬ NGHIỆM PHẢN ỨNG VỚI LỬA - TỐC ĐỘ GIẢI PHÓNG NHIỆT LƯỢNG, SINH KHÓI VÀ MẤT KHỐI LƯỢNG - PHẦN I: TỐC ĐỘ GIẢI PHÓNG NHIỆT LƯỢNG (PHƯƠNG PHÁP CÔN NHIỆT LƯỢNG) VÀ TỐC ĐỘ SINH KHÓI (ĐO THEO PHƯƠNG PHÁP ĐỘNG)
Reaction to fire tests - Heat release, smoke production and mass loss rate - Part 1: Heat release rate (cone calorimeter method) and smoke production rate (dynamic measurements)
1 Phạm vi áp dụng
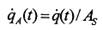
Tiêu chuẩn này quy định phương pháp xác định tốc độ giải phóng nhiệt lượng và tốc độ sinh khói theo phương pháp động của mẫu thử đặt nằm ngang dưới tác động của nguồn bức xạ nhiệt cùng với ngọn lửa mồi bên ngoài. Xác định tốc độ giải phóng nhiệt lượng bằng cách đo mức tiêu thụ khí ôxy thu được từ nồng độ khí ôxy và lưu lượng của dòng sản phẩm cháy. Thời gian bắt cháy (ngọn lửa cháy ổn định) cũng được đo trong thử nghiệm này.
Đo tốc độ sinh khói theo phương pháp động bằng cách xác định mức độ suy giảm cường độ của chùm ánh sáng laser gây ra bởi dòng sản phẩm cháy. Ghi lại độ mờ khói trong toàn bộ giai đoạn thử nghiệm bất kể mẫu đang cháy hay không.
2 Tài liệu viện dẫn
Các tài liệu viện dẫn sau là cần thiết khi áp dụng tiêu chuẩn này. Đối với tài liệu ghi năm công bố thì áp dụng bản được nêu. Đối với các tài liệu viện dẫn không ghi năm công bố thì áp dụng phiên bản mới nhất, bao gồm cả các sửa đổi, bổ sung (nếu có).
ISO 554, Standard atmospheres for conditioning and/or testing - Specifications (Khí quyển tiêu chuẩn cho ổn định và/hoặc thử nghiệm - Yêu cầu kỹ thuật);
ISO 13943, Fire safety - Vocabulary (An toàn cháy - Từ vựng);
ISO 14697, Fire tests - Guidance on the choice of substrates for building products (Các thử nghiệm phản ứng với lửa - Hướng dẫn lựa chọn vật liệu nền cho sản phẩm xây dựng).
3 Thuật ngữ và định nghĩa
Tiêu chuẩn này sử dụng các thuật ngữ, định nghĩa nêu trong ISO 13943 và các thuật ngữ, định nghĩa sau:
3.1
Bề mặt phẳng tương đối (Essentially flat surface)
Bề mặt có điểm lồi lõm tính từ mặt phẳng không vượt quá ± 1 mm.
3.2
Cháy lập loè (Flashing)
Sự tồn tại của ngọn lửa ngay trong bề mặt hoặc phía trên bề mặt mẫu trong thời gian không quá 1 s.
3.3
Bắt cháy (Ignition)
Sự bắt đầu của ngọn lửa cháy ổn định như định nghĩa trong 3.10.
3.4
Cường độ bức xạ (Irradiance)
<Tại một thời điểm trên bề mặt> bằng thương của thông lượng nhiệt bức xạ tới trên một phần từ võ cùng nhỏ của bề mặt chứa điểm đo chia cho diện tích của phần tử đó.
CHÚ THÍCH 1: Nhiệt đối lưu đối với mẫu nằm ngang là không đáng kể. Vì vậy, thuật ngữ “cường độ bức xạ” được sử dụng để thay thế thuật ngữ “thông nhiệt lượng” trong suốt tiêu chuẩn này bởi thuật ngữ này mô tả bản chất bức xạ tốt nhất của truyền nhiệt.
3.5
Vật liệu (Material)
Chất đơn lẻ hoặc hỗn hợp phân tán đồng đều.
VÍ DỤ: Kim loại, đá, gỗ, bê tông, sợi khoáng và polymer.
3.6
Định hướng (Orientation)
Mặt phẳng trong đó bề mặt lộ lửa của mẫu được đặt trong quá trình thử nghiệm theo phương thẳng đứng hoặc nằm ngang mặt hướng lên trên.
3.7
Nguyên lý tiêu thụ ôxy (Oxygen consumption principle)
Mối tương quan giữa lượng ôxy tiêu thụ trong quá trình cháy và nhiệt lượng phát ra.
3.8
Sản phẩm (Product)
Vật liệu, composite hoặc vật liệu ghép cần phải thử nghiệm để xác định thông tin.
3.9
Mẫu thử (Specimen)
Mảnh đại diện của sản phẩm được thử nghiệm cùng với mọi vật liệu nền hoặc chất xử lý.
CHÚ THÍCH: Đối với một số sản phẩm nhất định, ví dụ sản phẩm bao gồm một khe không khí hoặc mạch nối, có thể không chuẩn bị được mẫu thử là mẫu đại diện ở điều kiện sử dụng trong thực tế (xem Điều 7).
3.10
Ngọn lửa cháy ổn định (Sustained flaming)
Sự tồn tại của ngọn lửa ngay trong bề mặt hoặc phía trên bề mặt của mẫu thử trong thời gian lớn hơn 10 s.
3.11
Ngọn lửa cháy không ổn định (Transitory flaming)
Sự tồn tại của ngọn lửa ngay trong bề mặt hoặc phía trên bề mặt của mẫu thử trong thời gian từ 1 s đến 10 s.
3.12
Độ mờ khói (Smoke obscuration)
Độ suy giảm cường độ ánh sáng khi truyền qua khói, thường được biểu thị bằng phần trăm.
3.13
Hệ số cản sáng (Extinction coefficient)
Logarit tự nhiên của tỷ số giữa cường độ ánh sáng tại đầu thu với cường độ ánh sáng được phát đi, trên một đơn vị chiều dài đường truyền của ánh sáng.
3.14
Độ sinh khói (Smoke production)
Tích phân của tốc độ sinh khói trong khoảng thời gian được xem xét.
3.15
Tốc độ sinh khói (Smoke production rate)
Tích của lưu lượng thể tích khỏi với hệ số cản sáng tại điểm đo.
4 Ký hiệu
Xem Bảng 1.
Bảng 1 - Ký hiệu, định nghĩa và đơn vị đo
| Ký hiệu | Định nghĩa | Đơn vị |
| A | Diện tích bề mặt lộ lửa của mẫu thử | m2 |
| As | Diện tích bề mặt lộ lửa ban đầu của mẫu thử | m2 |
| C | Hệ số hiệu chuẩn lưu lượng kế | m1/2g1/2K1/2 |
| D' | Mật độ quang học | 1 |
| F | Hệ số hiệu chuẩn mật độ quang học | m-1 |
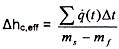
| Δhc | Nhiệt lượng thực khi cháy | KJ/g |
| Δhc, eff | Nhiệt hiệu dụng khi cháy | MJ/kg |
| l0/l | Tỷ lệ cường độ của ánh sáng được phát đi trên ánh sáng đầu thu | 1 |
| k | Hệ số hấp thụ Napieriean tuyến tính (thường gọi là hệ số cản sáng) | m-1 |
| k1 | Hệ số cản sáng hiệu chuẩn đo được | m-1 |
| k2 | Hệ số cản sáng hiệu chuẩn tính được | m-1 |
| km | Hệ số cản sáng đo được | m-1 |
| L | Độ dài đường truyền ánh sáng qua khói | m |
| m | Khối lượng mẫu thử | g |
| Δm | Tổng mất khối lượng | g |
| mf | Khối lượng mẫu thử khi kết thúc thử nghiệm | g |
| ms | Khối lượng mẫu thử tại thời điểm ngọn lửa cháy ổn định | g |
| ṁA, 10-90 | Tốc độ mất khối lượng trung bình của mẫu thử trên một đơn vị diện tích trong giai đoạn suy giảm từ 10 % đến 90 % tổng mất khối lượng | gm-2s-1 |
| m10 | Khối lượng mẫu thử tại thời điểm 10 % tổng mất khối lượng | g |
| m90 | Khối lượng mẫu thử tại thời điểm 90 % tổng mất khối lượng | g |
| ṁ | Tốc độ mất khối lượng của mẫu thử | g/s |
| ṁe | Lưu lượng theo khối lượng trong ống thải | kg/s |
| M | Khối lượng phân tử của các khí đi qua ống thải | kg/mol |
| Δp | Chênh lệch áp suất của lưu lượng kế | Pa |
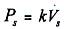
| Ps | Tốc độ sinh khói | m2/s |
| Ps, A | Tốc độ sinh khói chuẩn hoá theo diện tích mẫu | s-1 |
|
| Tốc độ giải phóng nhiệt lượng | kW |
|
| Tốc độ giải phóng nhiệt lượng trên một đơn vị diện tích | kW/m2 |
|
| Giá trị lớn nhất của tốc độ giải phóng nhiệt lượng trên một đơn vị diện tích | kW/m2 |
|
| Tốc độ giải phóng nhiệt lượng trung bình trên một đơn vị diện tích trong giai đoạn bắt đầu từ tig và kết thúc sau 180 s | kW/m2 |
|
| Tốc độ giải phóng nhiệt lượng trung bình trên một đơn vị diện tích trong giai đoạn bắt đầu từ tig và kết thúc sau 300 s | kW/m2 |
| QA,tot | Tổng nhiệt lượng giải phóng ra trên một đơn vị diện tích trong toàn bộ quá trình thử nghiệm | MJ/m2 |
| ro | Tỷ lệ khối lượng ôxy nguyên phân tử/nhiên liệu | 1 |
| S | Tổng độ sinh khói | m2 |
| Sa | Tổng độ sinh khói trên một đơn vị diện tích | m2m-2 |
| SA,1 | Tổng độ sinh khói trên một đơn vị diện tích trước khi bắt cháy | m2m-2 |
| SA,2 | Tổng độ sinh khói trên một đơn vị diện tích sau khi bắt cháy | m2m-2 |
| t | Thời gian | s |
| td | Thời gian trễ của bộ phân tích khí ôxy | s |
| tig | Thời gian bắt cháy (thời điểm bắt đầu của ngọn lửa cháy ổn định) | s |
| Δt | Khoảng thời gian lấy mẫu | s |
| t10 | Thời điểm 10 % tổng mất khối lượng | s |
| t90 | Thời điểm 90 % tổng mất khối lượng | s |
| Te | Nhiệt độ tuyệt đối của khí tại lưu lượng kế | K |
| Ts | Nhiệt độ khói tại điểm đo | K |
|
| Lưu lượng thể tích khói tại điểm đo | m3/s |
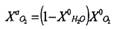
| XO2 | Số đọc trên bộ phân tích khí ôxy, phần mol ôxy còn lại | 1 |
| X0O2 | Số đọc ban đầu trên bộ phân tích khí ôxy | 1 |
| X-1O2 | Số đọc trên bộ phân tích khí ôxy, trước khi chỉnh thời gian trễ | 1 |
| ρ | Khối lượng thể tích | kg/m3 |
| σ | Diện tích cản sáng riêng | m2/kg |
CHÚ THÍCH: Giải thích chi tiết về một số thông số này và đơn vị của chúng được nêu trong tài liệu tham khảo[11].
5 Nguyên tắc
Nguyên tắc của phép thử xác định tốc độ giải phóng nhiệt lượng thường dựa theo quan sát rằng nhiệt lượng thực khi cháy tỷ lệ với lượng khí ôxy cần thiết cho quá trình cháy. Tỷ lệ này xấp xỉ (13,1 × 103) kJ nhiệt phát ra trên một kilogam khí ôxy được tiêu thụ. Mẫu thử được đốt trong điều kiện không khí ở nhiệt độ phòng đồng thời phải chịu cường độ bức xạ bên ngoài được xác định trước trong khoảng từ 0 kW/m2 đến 75 kW/m2, sau đó thực hiện các phép đo nồng độ khí ôxy và lưu lượng khí thải.
Sử dụng phương pháp thử này để đánh giá sự đóng góp vào tốc độ gia tăng nhiệt lượng của sản phẩm được thử nghiệm khi nó tham gia vào đám cháy. Những tính chất này được xác định trên các mẫu đại diện kích thước nhỏ.
Nguyên tắc của phép thử xác định tốc độ sinh khói thường dựa theo quan sát rằng cường độ ánh sáng truyền qua một khối sản phẩm cháy sẽ giảm theo hàm số mũ của khoảng cách tuân theo định luật Bouguer. Các mẫu thử được đốt trong không khí ở điều kiện môi trường bình thường đồng thời phải chịu một cường độ bức xạ bên ngoài đã được xác định trước trong khoảng từ 0 kW/m2 đến 75 kW/m2, thực hiện các phép đo độ mờ của khói, lưu lượng khói thải và tốc độ mất khối lượng mẫu thử. Độ mờ của khói được xác định là phần còn lại của cường độ ánh sáng laser truyền qua khói trong ống thải. Sử dụng phần còn lại này để tính hệ số cản sáng theo định luật Bouguer. Báo cáo kết quả thử nghiệm dưới dạng độ sinh khói và tốc độ sinh khói, cả hai đều được chuẩn hoá theo diện tích bề mặt lộ lửa của mẫu thử. Tốc độ sinh khói được tính bằng tích của hệ số cản sáng và lưu lượng thể tích khỏi trong ống thải. Tính độ sinh khói bằng cách tích phân tốc độ sinh khói trong khoảng thời gian quan sát. Các số liệu báo cáo phải được chuẩn hoá theo diện tích vì độ sinh khói tỷ lệ thuận với diện tích.
Sử dụng phương pháp thử này để đánh giá sự đóng góp vào tốc độ gia tăng khói và vào lượng khói được sinh ra của sản phẩm thử nghiệm khi nó tham gia vào một đám cháy được cấp đủ ôxy. Những tính chất này được xác định trên các mẫu đại diện kích thước nhỏ.
6 Thiết bị, dụng cụ
6.1 Quy định chung
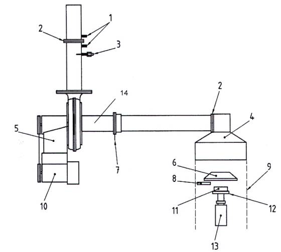
Sơ đồ thiết bị như trong Hình 1. Mô tả chi tiết các bộ phận riêng của thiết bị từ 6.2 đến 6.19.
Việc đo khí CO và CO2 có thể được thực hiện và không bắt buộc áp dụng để bổ sung cho tính tốc độ giải phóng nhiệt. Mô tả chi tiết về thiết bị, quy trình, phương pháp tính trong Phụ lục G.
Bằng cách điều chỉnh đơn giản thiết bị, mẫu thử có thể được thử nghiệm theo phương thẳng đứng. Phụ lục E nêu hướng dẫn về các điều chỉnh này.
6.2 Bộ phận gia nhiệt bức xạ bằng điện hình côn
Bộ phận chính gồm cuộn dây gia nhiệt bằng điện, có khả năng tạo ra 5000 W tại điện áp hoạt động, được quấn chặt vào hình côn (xem Hình 2). vỏ ngoài hình côn bằng thép không gỉ có kết cấu hai lớp bọc bên ngoài thiết bị gia nhiệt, lót giữa hai lớp bằng bông chịu lửa có chiều dày 13 mm và khối lượng thể tích 100 kg/m3. Cường độ bức xạ từ thiết bị gia nhiệt phải duy trì ở mức độ cài sẵn bằng cách điều chỉnh nhiệt độ trung bình của ba can nhiệt (can nhiệt loại K có vỏ bọc bằng thép không gỉ là phù hợp, tuy nhiên cũng có thể dùng can nhiệt có vỏ bọc bằng hỗn hợp của Niken hoặc vật liệu cao cấp khác) được bố trí đối xứng và tiếp xúc chứ không hàn với cuộn dây gia nhiệt (xem Hình 2). có thể sử dụng can nhiệt có vỏ bọc đường kính ngoài 3,0 mm có điểm nhận nhiệt đặt hở hoặc can nhiệt có vỏ bọc đường kính ngoài từ 1,0 mm đến 1,6 mm có điểm nhận nhiệt đặt kín.Thiết bị gia nhiệt có khả năng tạo ra cường độ bức xạ lên bề mặt mẫu thử đến 75 kW/m2. Cường độ bức xạ nhiệt phải đồng đều trong phạm vi (50 × 50) mm chính giữa bề mặt lộ lửa của mẫu thử, hoặc trong khoảng ± 2 % đối với bức xạ 50 kW/m2.
6.3 Tấm chắn bức xạ
Côn gia nhiệt được trang bị một tấm chắn bức xạ có thể dịch chuyển để che cho mẫu thử khỏi sự tác động của nhiệt bức xạ trước khi bắt đầu thử nghiệm. Tấm chắn làm từ vật liệu không cháy, tổng chiều dày không quá 12 mm. Tấm chắn tuân theo một trong những điều sau:
a) được làm mát bằng nước và phủ một lớp tấm vật liệu bền màu đen không bỏng có độ phát xạ bề mặt ε = 0,95 ± 0,05 hoặc:
b) không được làm mát bằng nước, mà có thể phủ kim loại có bề mặt phản xạ hoặc kim loại có bề mặt gốm hoặc gốm để giảm thiểu bức xạ truyền qua.
Tấm chắn được cung cấp một tay cầm hoặc các dụng cụ thích hợp khác để đặt vào và rút ra nhanh. Trang bị cho tấm đế côn gia nhiệt một cơ cấu truyền động để dịch chuyển tấm chắn vào đúng vị trí.
6.4 Điều chỉnh cường độ bức xạ
Hệ thống điều chỉnh cường độ bức xạ phải điều chỉnh được chính xác để duy trì nhiệt độ trung bình của can nhiệt trong quá trình hiệu chuẩn như mô tả theo 10.1.2 trong khoảng ± 10 °C so với mức cài đặt trước.
6.5 Cân
Cân có thang chia 0,1 g và độ chính xác ± 0,3 g, được đo theo quy trình hiệu chuẩn mô tả trong 10.2.2, có thể cân khối lượng mẫu tối thiểu 500 g. Cân phải có thời gian phản hồi với độ mất khối lượng từ 10 % đến 90 % nhỏ hơn hoặc bằng 4 s, được xác định theo quy trình hiệu chuẩn nêu trong 10.1.3. Số đọc hiển thị trên cân không được lệch quá 1 g trong khoảng thời gian 30 min, xác định theo quy trình hiệu chuẩn nêu trong 10.1.4.
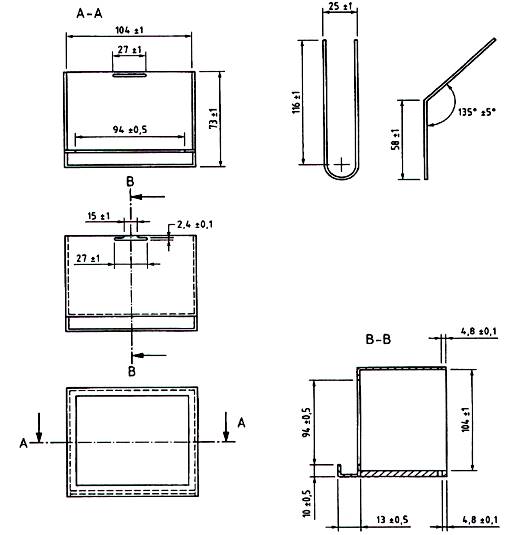
6.6 Khay giữ mẫu
Hình 3 mô tả khay giữ mẫu. Khay giữ mẫu có dạng khay hình vuông, miệng phía trên có kích thước (106 ± 1) mm × (106 ± 1) mm và sâu (25 ± 1) mm. Khay giữ mẫu được làm bằng thép không gỉ độ dày (2,4 ±0,15) mm. Khay còn có một tay cầm để thuận tiện cho quá trình đặt vào và lấy ra, một cơ cấu truyền động để đảm bảo mẫu ở vị trí trung tâm dưới côn gia nhiệt và thẳng hướng với thiết bị cân. Đáy khay lót lớp bông gốm chịu nhiệt khối lượng thể tích thấp (thường khối lượng thể tích 65 kg/m3), chiều dày tối thiểu 13 mm. Điều chỉnh để khoảng cách giữa mặt dưới của côn gia nhiệt và bề mặt mẫu thử là (25 ± 1) mm, đối với vật liệu kích thước không ổn định khoảng cách là (60 ± 1) mm (xem 7.5).
6.7 Khung cố định
Khung làm bằng thép không gỉ dày (1,9 ± 0,1) mm, dạng hình hộp kích thước bên trong mỗi cạnh là (111 ±1) mm và cao (54 ± 1) mm. Miệng khung dạng hình vuông kích thước (94,0 ± 0,5) mm nêu trong Hình 4. Khung cố định có bộ phận thích hợp để đảm bảo khung lắp vào khay giữ có mẫu ở đúng vị trí.
6.8 Hệ thống thoát khí có thiết bị đo lưu lượng
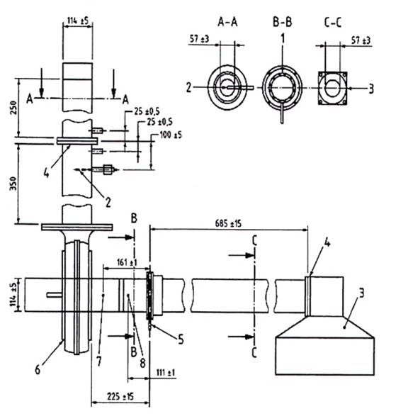
Hệ thống thoát khí bao gồm một quạt hút ly tâm chịu được nhiệt độ vận hành, chụp hút, các ống hút và ống thoát khí đối với quạt, tấm tiết lưu (xem Hình 5). Khoảng cách giữa đáy chụp hút và bề mặt mẫu là (210 ± 50) mm. Hệ thống thoát khí có khả năng tăng lưu lượng tới 0,035 m3/s dưới điều kiện nhiệt độ và áp suất tiêu chuẩn. Vị trí lắp quạt như trong Hình 5, có thể lắp quạt xa hơn về phía cuối dòng và có lỗ đo trước quạt, miễn là các yêu cầu mô tả trong phần còn lại của mục này vẫn đầy đủ.
Đặt ống thu có đường kính trong (57 ± 3) mm giữa chụp hút và đường ống để tăng cường quá trình trộn khí. Đặt một ống hút lấy mẫu khí dạng vòng trong ống hút của quạt để lấy mẫu khí, cách chụp hút (685 ± 15) mm (xem Hình 5). ống hút lấy mẫu khí có 12 lỗ nhỏ đường kính (2,2 ± 0,1) mm để lấy thành phần trung bình của dòng khí, các lỗ hướng xuôi theo dòng chảy để tránh tắc nghẽn và muội.
Đo nhiệt độ của dòng khí bằng can nhiệt có vỏ bọc đường kính ngoài từ 1,0 mm đến 1,6 mm có điểm nhận nhiệt đặt kín hoặc can nhiệt có vỏ bọc đường kính ngoài 3,0 mm có điểm nhận nhiệt đặt hở được đặt ở tâm ống thoát khí và cách tấm tiết lưu một khoảng (100 ± 5) mm về phía đầu dòng.
Xác định lưu lượng bằng cách đo độ chênh lệch áp suất qua tấm tiết lưu (đường kính trong (57 ± 3) mm, dày (1,6 ± 0,3) mm) trong ống thoát khí, cách quạt ít nhất một khoảng 350 mm về phía cuối dòng, nếu quạt được bố trí như Hình 5. Nếu lắp quạt xa hơn về phía cuối dòng so với Hình 5, có thể chấp nhận cách lắp tấm tiết lưu nằm giữa ống hút lấy mẫu khí và quạt. Tuy nhiên, trong trường hợp đó, chiều dài của đoạn ống thẳng trên cả hai mặt của tấm tiết lưu ít nhất là 350 mm.
6.9 Thiết bị lấy mẫu khí
Thiết bị lấy mẫu khí gồm có một máy bơm, một bộ lọc để ngăn chặn xâm nhập của muội, một dụng cụ để loại bỏ độ ẩm, một bộ hệ thống vòng tránh để tách tất cả các dòng ngoại trừ dòng cần thiết cho phân tích khí, thêm một bẫy hơi ẩm và một bẫy để loại bỏ khí CO2.
Sơ đồ mô tả thiết bị lấy mẫu khí được mô tả trên Hình 6. Cũng có thể bố trí theo cách khác nếu đáp ứng đầy đủ các yêu cầu trên.Thời gian trễ vận chuyển của bộ phân tích khí ôxy, td, được xác định theo 10.1.5 và không được quá 60 s.
CHÚ THÍCH: Nếu sử dụng bộ phân tích khí CO2 (tùy chọn), công thức sử dụng để tính tốc độ giải phóng nhiệt có thể khác những công thức nêu trong tiêu chuẩn này (xem Điều 12 và Phục lục G).
6.10 Hệ thống đánh lửa
Đánh lửa bên ngoài được thực hiện bằng bugi được cấp nguồn từ máy biến áp 10 kV hoặc gây cháy bằng tia lửa. Bugi đánh lửa phải có khe hở (3,0 ± 0,5) mm. Chiều dài điện cực và vị trí của bugi đánh lửa được lắp sao cho khe hở tia lửa nằm phía trên tâm mẫu thử (13 ± 2) mm, ngoại trừ đối với vật liệu không ổn định kích thước thì khoảng cách này là (48 ± 2) mm (xem 7.5).
6.11 Đồng hồ đo thời gian bắt cháy
Đồng hồ đo thời gian bắt cháy có khả năng ghi thời gian trôi qua đến đơn vị nhỏ nhất là giây và phải có độ chính xác khoảng 1 s trong 1 h.
6.12 Bộ phân tích khí ôxy
Bộ phân tích khí ôxy là loại thuận từ, dải phân tích ít nhất từ 0 % đến 25 % khí ôxy. Bộ phân tích phải hiển thị độ sai lệch không quá 50 μL/L ôxy trong khoảng 30 min và độ nhiễu không quá 50 μL/L ôxy trong khoảng 30 min này, được đo theo 10.1.6. Do bộ phân tích khí ôxy nhạy với áp lực dòng nên phải điều chỉnh áp lực dòng (phía thượng lưu của bộ phân tích) để hạn chế biến động dòng, kết quả đọc từ thiết bị phân tích được bù bằng đầu đo áp suất tuyệt đối để cho phép thay đổi áp suất khí quyển. Bộ phân tích và đầu đo áp suất tuyệt đối phải đặt trong môi trường đẳng nhiệt. Duy trì nhiệt độ môi trường không quá 2 °C so với nhiệt độ cài đặt trước từ 30 °C đến 70 °C. Bộ phân tích có thời gian phản hồi từ 10 % đến 90 % nhỏ hơn 12 s, được đo theo 10.1.5.
6.13 Đầu đo thông lượng nhiệt
Phải sử dụng đầu đo thông lượng nhiệt dùng cho thí nghiệm để hiệu chuẩn bộ phận gia nhiệt (xem 10.2.5). Đặt đầu đo ở vị trí tương ứng với tâm bề mặt mẫu thử trong suốt quá trình hiệu chuẩn.
Đầu đo thông lượng nhiệt này thuộc loại Schmidt-Boelter (pin nhiệt điện) với dải đo (100 ± 10) kW/m2. Mặt nhận nhiệt phải phẳng, hình tròn, đường kính xấp xỉ 12,5 mm, được phủ một lớp màu đen mờ, bền có hệ số phát xạ E = 0,95 ± 0,05. Làm mát thân đầu đo bằng nước. Phải tránh nhiệt độ làm mát gây nên sự ngưng tụ nước trên mặt nhận nhiệt của đầu đo thông lượng nhiệt.
Bức xạ phải truyền trực tiếp tới mặt nhận nhiệt mà không phải đi qua bất kỳ khe hở nào. Đầu đo hoạt động tốt, dễ cài đặt và sử dụng, ổn định khi hiệu chuẩn. Đầu đo có độ lặp lại trong khoảng ± 0,5 %.
Thực hiện hiệu chỉnh đầu đo thông lượng nhiệt dùng cho thí nghiệm theo 10.4.1, bằng cách so sánh hai đầu đo cùng loại với đầu đo thông lượng nhiệt dùng cho thí nghiệm và có dải đo tương tự được coi như thiết bị chuẩn và không sử dụng cho bất kỳ mục đích nào khác (xem Phụ lục F). Hàng năm, một trong những thiết bị chuẩn sẽ được hiệu chuẩn đầy đủ tại một phòng thí nghiệm tiêu chuẩn.
6.14 Đầu đốt hiệu chuẩn
Tạo đầu đốt hiệu chuẩn từ ống có lỗ vuông hoặc tròn diện tích (500 ± 100) mm2 được phủ bằng lưới thép để khí mêtan khuyếch tán qua. Lót ống bằng sợi chịu lửa để tăng độ đồng nhất của dòng. Nối đầu đốt hiệu chỉnh với nguồn cấp khí mê tan có độ tinh khiết đo được ít nhất 99,5 %. Độ chính xác của lưu lượng kế hoặc bộ phận điều chỉnh phải là ± 3 % giá trị đầu ra tương ứng với tốc độ giải phóng nhiệt 5 kW. Kiểm tra độ chính xác theo 10.4.3.
6.15 Hệ thống phân tích và thu thập dữ liệu
Hệ thống phân tích và thu thập dữ liệu phải có thiết bị để ghi giá trị đầu ra từ bộ phân tích khí ôxy, tấm tiết lưu, cặp nhiệt điện và thiết bị cân. Hệ thống thu thập dữ liệu có độ chính xác tương ứng ít nhất 50 μL/L ôxy đối với kênh đo khí ôxy, 0,5 °C đối với kênh đo nhiệt độ; 0,01 % giá trị đầu ra toàn thang đo đối với tất các kênh đầu đo khác và ít nhất 0,1 % đối với đo thời gian. Hệ thống có khả năng ghi dữ liệu ở mỗi giây, lưu trữ tối thiểu 720 dữ liệu trên mỗi tham số. Các dữ liệu thô cho mỗi lần thử nghiệm phải được lưu trữ để có thể phục hồi và sử dụng kiểm tra độ chính xác của phần mềm.
6.16 Màn chắn bên tùy chọn
Để vận hành hoặc với lý do an toàn, sử dụng màn chắn bên để bảo vệ quá trình gia nhiệt và bộ phận đỡ mẫu. Tuy nhiên, phải chứng minh được sự có mặt của màn chắn không ảnh hưởng tới thời gian bắt cháy và phép đo tốc độ giải phóng nhiệt theo quy trình như trong 10.1.7.
Nếu màn chắn tạo thành một khoang kín, cần lưu ý đến nguy cơ gây nổ thiết bị khi không hoạt động dưới điều kiện quy định trong tiêu chuẩn này, đặc biệt đối với thử nghiệm trong môi trường giàu khí ôxy. Nếu tồn tại nguy cơ cháy nổ, thực hiện biện pháp phòng ngừa thích hợp để bảo vệ người vận hành, ví dụ lắp đặt một lỗ phòng nổ hướng cách xa người vận hành.
6.17 Hệ thống đo độ mờ khói
Để đo độ suy giảm của ánh sáng laser trong ống thải khí, một hệ thống bao gồm tia laser heli- nêông (giữa 0,5 mW và 2 mW, bị phân cực), Điốt quang silic là chùm tia chính, bộ cảm biến chuẩn và thiết bị điện tử thích hợp để thu hệ số cản sáng và đặt trạng thái không ban đầu. Lắp thiết bị nằm ngang cách đầu lấy mẫu khí một khoảng (111 ± 1) mm về phía cuối dòng. Hai ống đường kính nhỏ hàn vào mỗi bên của ống thải có nhiệm vụ cản ánh sáng cho khi làm sạch và cho phép tất cả khói đi vào, mặc dù có dòng khí làm sạch, bám trên tường ống trước khi tới các phần tử quang học. Hình 7 mô tả cách bố trí hệ thống đo khói đã được công nhận.
CHÚ THÍCH: Quy trình thực nghiệm đã được thực hiện với các hệ thống sử dụng một nguồn ánh sáng trắng có ống kính chuẩn trực [12], Hệ thống như vậy thường là mang lại các kết quả tương tự [17-19], nhưng không phải trong mọi điều kiện [20]. Dự đoán lý thuyết [21] đã được kiểm chứng bằng thực nghiệm. Có thể sử dụng hệ thống ánh sáng trắng nếu thấy có độ chính xác tương đương.
6.18 Cặp nhiệt điện đo nhiệt độ khói
Cặp nhiệt điện này để đo nhiệt độ của dòng khí gần cảm biến đo khói. Đo nhiệt độ của dòng khí bằng cặp nhiệt điện có vỏ bọc đường kính ngoài từ 1,0 mm đến 1,6 mm với điểm nhận nhiệt đặt kín hoặc cặp nhiệt điện với vỏ bọc đường kính ngoài 3,0 mm có điểm nhận nhiệt đặt hở được đặt ở tâm ống thoát khí và cách cảm biến đo khói một khoảng 50 mm về phía cuối dòng như Hình 5.
6.19 Bộ lọc quang học
Để hiệu chuẩn hệ thống đo độ mờ của khói. Yêu cầu hiệu chỉnh chính xác hai kính lọc tán sắc mật độ trung tính[22] ở bước sóng laser 632,8 nm. Không sử dụng kính lọc có lớp phủ vì chúng có thể làm tăng hiệu ứng giao thoa với ánh sáng laser và có thể bị hỏng theo thời gian. Các kính lọc này có mật độ trung tính thông thường từ 0,3 đến 0,8. Giá trị tương ứng của hệ số cản sáng, k, tính từ công thức:
k = (2.303D')L-1
7 Sự phù hợp của một sản phẩm đối với phép thử
7.1 Đặc tính bề mặt
Sản phẩm có một trong các đặc tính sau đây phù hợp cho thử nghiệm:
a) bề mặt lộ lửa phẳng tương đối;
b) bề mặt không phẳng với các điểm lồi lõm được phân bố đều trên bề mặt lộ lửa với điều kiện:
1) tối thiểu 50 % bề mặt của diện tích vuông đại diện có kích thước (100 x 100) mm có độ sâu ≤ 10 mm tính từ mặt phẳng đi qua điểm cao nhất của bề mặt lộ lửa, hoặc
2) đối với bề mặt chứa vết rạn, khe nứt hoặc lỗ, không rộng quá 8 mm hoặc không sâu quá
10 mm, tổng diện tích vết rạn, khe nứt hoặc lỗ trên bề mặt không vượt quá 30 % diện tích vuông đại diện có kích thước (100 × 100) mm của bề mặt lộ lửa.
Nếu một bề mặt lộ lửa không thỏa mãn một trong hai yêu cầu 7.1 a) hoặc 7,1 b), thì có thể thử nghiệm sản phẩm dưới dạng được gia công sửa đổi để có bề mặt tương đối phẳng. Việc xử lý bề mặt đó phải được trình bày trong báo cáo.
7.2 Sản phẩm không đối xứng
Sản phẩm cho thử nghiệm này có thể có các bề mặt khác nhau hoặc gồm các lớp vật liệu khác nhau cán mỏng sắp xếp theo cách khác nhau ở hai bề mặt. Nếu cả hai bề mặt sản phẩm đều có khả năng được đặt lộ ra ngoài khi sử dụng trong một căn phòng, khoang hoặc ô trống thì cả hai bề mặt lộ lửa đều được thử nghiệm.
7.3 Vật liệu có thời gian cháy ngắn
Đối với mẫu thử có thời gian cháy ngắn (nhỏ hơn hoặc bằng 3 min), phải đo tốc độ giải phóng nhiệt lượng trong khoảng giãn cách thời gian không lớn hơn 2 s. Đối với vật liệu có thời gian cháy dài hơn, có thể đo trong khoảng giãn cách thời gian 5 s.
7.4 Mẫu composite
Các mẫu composite là phù hợp cho thử nghiệm, với điều kiện mẫu được chuẩn bị theo quy định trong 8.3 và được lộ lửa ở dạng cuối cùng khi sử dụng.
7.5 Vật liệu không ổn định kích thước
Đối với các mẫu bị phồng hoặc biến dạng dẫn đến chạm vào bugi đánh lửa trước khi bắt cháy hoặc chạm mặt dưới của côn gia nhiệt sau khi bắt cháy, phải thử nghiệm với khoảng cách giữa tấm đáy của côn gia nhiệt và mặt trên của mẫu là 60 mm. Trong trường hợp này, thực hiện hiệu chuẩn côn gia nhiệt (xem 10.2.5) bằng đầu đo thông nhiệt lượng đặt dưới tấm đáy côn gia nhiệt một khoảng 60 mm. cần phải lưu ý rằng thời gian bắt cháy đo ở khoảng cách này không thể so sánh với thời gian bắt cháy đo ở khoảng cách 25 mm. Nếu khi thử nghiệm với khoảng cách giữa tấm đáy của côn gia nhiệt và mặt trên của mẫu là 60 mm, mẫu vẫn bị phồng lên hoặc biến dạng đến mức chạm vào bugi trước khi đánh lửa hoặc bề mặt phía trên của mẫu thử chạm vào tấm đế côn gia nhiệt thì mẫu thử không phù hợp để thử nghiệm theo tiêu chuẩn này.
Đối với những sản phẩm không ổn định kích thước khác, ví dụ sản phẩm bị cong hoặc co trong quá trình thử nghiệm, sẽ được hạn chế để chống lại sự thay đổi quá mức này Thực hiện bằng cách dùng bốn dây buộc như mô tả dưới đây. Sử dụng dây kim loại đường kính (1,0 ± 0,1) mm và dài ít nhất 350 mm. Chuẩn bị mẫu theo quy trình như Điều 8. Lấy một dây quấn quanh khay giữ mẫu và khung cố định để song song với nhau và cách nhau một khoảng xấp xỉ 20 mm từ một trong bốn mặt của khay. Các đầu dây xoắn lại với nhau để kéo dây chặt vào khay giữ mẫu. cắt dây thừa khỏi phần xoắn trước khi thử nghiệm. Ba dây còn lại được quấn xung quanh khay giữ mẫu và khung cố định theo cách tương tự, song song với ba mặt còn lại.
Đối với những vật liệu bị sai lệch quá nhiều không thể giữ bằng bốn dây thì nên thử nghiệm bằng cách sử dụng lưới dây chắc chắn có đường kính (0,8 ± 0,1) mm và khoảng mắt lưới (20 ± 1) mm như trong Hình 8.
Đối với những vật liệu bị phồng trong pha lỏng mà vật liệu nóng chảy bị tràn khỏi khung cố định hoặc rỉ qua giữa khay giữ và khung cố định dẫn tới không thể thử nghiệm được, thì thử nghiệm những vật liệu này không cần khung cố định và nên bọc trong giấy nhôm dầy 0,1 mm, giấy dài hơn cạnh trên của mẫu thử 10 mm.
7.6 Vật liệu cần thử nghiệm ở trạng thái nén ép
Những vật liệu, ví dụ sợi, cần phải cả nén hoặc ép một cách tự nhiên để thử nghiệm tại mật độ lắp đặt nên được thử nghiệm trong lồng làm bằng dây thép có đường kính (1,0 ± 0,1) mm và mắt lưới (9 ± 1) mm nêu trong Hình 9 để tạo ra ranh giới nhân tạo thích hợp cho phép thử nghiệm các vật liệu (xem 8.3.3).
8 Tạo mẫu và chuẩn bị mẫu
8.1 Mẫu thử
8.1.1 Trừ khi có quy định khác, thử nghiệm ba mẫu tại mỗi mức bức xạ đã chọn và đối với mỗi bề mặt lộ lửa khác nhau.
8.1.2 Mẫu là đại diện của sản phẩm, dạng hình vuông cạnh
mm.
8.1.3 Các sản phẩm thông thường có độ dày 50 mm hoặc nhỏ hơn sẽ thử nghiệm với toàn bộ chiều dày sản phẩm.
8.1.4 Đối với các sản phẩm thông thường có độ dày lớn hơn 50 mm, tạo các mẫu bằng cách cắt gọt bề mặt không lộ lửa để giảm độ dày xuống 50 mm.
8.1.5 Khi cắt mẫu từ sản phẩm có bề mặt không đều, phải thực hiện sao cho điểm cao nhất trên bề mặt nằm ở tâm của mẫu thử.
8.1.6 Thử nghiệm các cụm vật liệu theo quy định tại 8.1.3 hoặc 8.1.4 tương ứng. Tuy nhiên, khi sử dụng các vật liệu hoặc composite mỏng trong cụm vật liệu, thì đặc điểm của mọi cấu trúc phía dưới, bao gồm cả khe không khí đều có ảnh hưởng đáng kể đến tính bắt cháy và đặc tính cháy của bề mặt lộ lửa.
Phải hiểu được sự ảnh hưởng của các lớp phía dưới và phải lưu ý để đảm bảo kết quả thử nghiệm thu được trên một cụm vật liệu bất kỳ đều phù hợp với hình thức sử dụng của cụm vật liệu đó trong thực tế.
Khi sản phẩm là vật liệu hoặc composite, thông thường đã được gắn với một vật liệu nền dễ xác định, thì thử nghiệm sản phẩm gắn với vật liệu nền bằng cách sử dụng kỹ thuật gắn theo hướng dẫn, ví dụ được gắn bằng chất kết dính thích hợp hoặc cố định bằng máy. Nếu không có vật liệu nền duy nhất hoặc vật liệu nền dễ xác định thì có thể lựa chọn vật liệu nền phù hợp để thử nghiệm theo tiêu chuẩn ISO 14697.
8.1.7 Sản phẩm mỏng hơn 6 mm phải được thử nghiệm với một vật liệu nền đại diện giống như khi sử dụng trong thực tế, như vậy tổng chiều dày mẫu thử lớn hơn hoặc bằng 6 mm. Tuy nhiên một số sản phẩm mỏng hơn 6 mm có thể thử nghiệm trong trường hợp cụ thể và đặt trực tiếp lên trên tấm bông gốm chịu lửa. Phải ghi điều này trong báo cáo thử nghiệm.
8.2 Ổn định mẫu thử
Trước khi thử nghiệm, ổn định mẫu thử đến khối lượng không đổi ở nhiệt độ (23 ± 2) °C và độ ẩm tương đối (50 ± 5) % phù hợp với ISO 554.
Khối lượng được coi là không đổi khi hai lần cân liên tiếp trong khoảng thời gian cách nhau 24 h không khác nhau quá 0,1 % khối lượng mẫu thử, hoặc khối lượng không quá 0,1 g, lấy theo giá trị lớn hơn.
Các vật liệu như poliamite, để đạt trạng thái cân bằng yêu cầu phải ổn định với thời gian lớn hơn một tuần, thử nghiệm sau khi ổn định theo ISO 291[1]. Ghi thời gian ổn định trong báo cáo thử nghiệm.
8.3 Chuẩn bị mẫu thử
8.3.1 Bọc mẫu thử
Bọc mẫu đã ổn định trong một lớp giấy nhôm có chiều dầy từ 0,025 mm đến 0,04 mm với bề mặt sáng bóng tiếp xúc với mẫu thử, cắt trước giấy nhôm sao cho kích thước bao được mặt dưới và các cạnh của mẫu đồng thời thừa ra một đoạn lớn hơn hoặc bằng 3 mm so với mặt trên của mẫu. Đặt mẫu vào giữa tấm giấy nhôm sau đó bọc mặt dưới và các cạnh bên của mẫu lại. Nếu cần thiết có thể cắt giấy thừa trên mặt trên của mẫu để nó không dài quá 3 mm. Gấp giấy thừa tại các góc tạo thành nút bịt kín xung quanh mặt trên của mẫu. Sau khi bọc xong, đặt mẫu vào khay giữ mẫu và đậy bằng khung cố định. Sau khi kết thúc quá trình bọc mẫu thử thì không còn nhìn thấy phần giấy nhôm.
Đối với mẫu dạng mềm, có thể sử dụng một mẫu giả có độ dày tương tự như mẫu thử nghiệm để cắt trước giấy nhôm.
8.3.2 Chuẩn bị mẫu thử
Thử nghiệm tất cả các mẫu (trừ các mẫu bị phồng trong pha lỏng hoặc các mẫu yêu cầu phải được nén ép lại khi thử nghiệm, theo 8.3.3) bằng khay giữ mẫu như trong Hình 4. Thực hiện các bước sau để chuẩn bị mẫu thử cho thử nghiệm:
a) đặt khung cố định xuống dưới một bề mặt phẳng;
b) chèn mẫu đã bọc giấy nhôm vào trong khung cố định với bề mặt lộ lửa quay xuống dưới;
c) đặt lớp bông gốm chịu lửa (dày 13 mm, khối lượng thể tích 65 kg/m3) lên trên cho đến khi tạo ít nhất một lớp hoàn chỉnh, và không nhiều hơn hai lớp vượt quá mép khung cố định;
d) lắp khay giữ mẫu vào khung cố định ở bên trên bông gốm chịu lửa và ấn xuống;
e) siết chặt khung cố định vào khay giữ mẫu và quay ngược khay giữ mẫu để sẵn sàng cho thử nghiệm.
8.3.3 Chuẩn bị mẫu thử từ vật liệu phải thử nghiệm ở trạng thái nén ép
a) Tạo lồng thử nghiệm mẫu nêu trong Hình 9 bằng cách uốn tấm lưới thép kích thước (241 x 101) mm làm từ dây thép đường kính (1,0 ± 0,1) mm và khoảng cách mắt lưới (9 ± 1) mm quanh một tấm cứng kích thước (10 x 100 x 100) mm.
b) Lấy tấm cứng ra sau đó chèn mẫu thử vào trong lồng mẫu để đạt được mật độ ở dạng khi sử dụng trong thực tế.
c) Thử nghiệm mẫu thử như mô tả trong 8.3.1 nhưng không sử dụng khung cố định.
9 Môi trường thử nghiệm
Đặt thiết bị ở nơi không có gió lùa, môi trường có độ ẩm tương đối từ 20 % đến 80 % và nhiệt độ từ 15 °C đến 30 °C.
10 Hiệu chuẩn
10.1 Hiệu chuẩn sơ bộ
10.1.1 Quy định chung
Các hiệu chuẩn trong phần này, ngoại trừ Điều 10.1.7, phải được thực hiện trước khi tiến hành thí nghiệm, khi chạy thử côn nhiệt lượng, sau khi bảo trì, sửa chữa hoặc thay thế lắp ráp khung gia nhiệt hay hệ thống điều chỉnh bức xạ (xem 10.1.2), cân (xem 10.1.3 và 10.1.4), bộ phân tích hàm lượng khí ôxy hoặc các thành phần chính khác của bộ phân tích khí (xem 10.1.5 và 10.1.6). Tiến hành các thử nghiệm hiệu chuẩn theo 10.1.7 để xác định ảnh hưởng của màn chắn bên cùng thời điểm lắp đặt màn chắn. Đối với một số bộ phận mới được cung cấp cùng với màn chắn thì sẽ hiệu chuẩn bởi nhà sản xuất.
10.1.2 Đặc trưng đáp ứng hệ thống điều chỉnh cường độ bức xạ
Bật công tắc côn gia nhiệt và quạt hút. Đặt mức bức xạ (50 ± 1) kW/m2 và tốc độ hút (0,024 ± 0,002) m3/s. Sau khi bộ gia nhiệt đạt trạng thái cân bằng, ghi nhiệt độ trung bình của bộ gia nhiệt. Thử nghiệm một mẫu poly metyl methacrylate màu đen (PMMA), không có khung cố định theo quy trình trong Điều 11. Mẫu PMMA dày tối thiểu 6 mm.Tính hiệu lực của phép thử phải được kiểm tra dựa vào tốc độ giải phóng nhiệt lượng trung bình ghi trong 3 min đầu tiên sau khi bắt cháy so với tốc độ giải phóng nhiệt lượng quy định của lô PMMA được cung cấp bởi nhà sản xuất. Trong quá trình thử nghiệm, cứ 5 s một lần, ghi nhiệt độ gia nhiệt trung bình.
10.1.3 Thời gian đáp ứng dụng cụ cân
Không bật côn gia nhiệt trong hiệu chuẩn này. Đặt khay giữ mẫu không chứa mẫu với một quả cân nặng (500 ± 25) g lên cân. Quả cân này xem như khung cố định không được sử dụng trong hiệu chuẩn. Ghi số đọc hiển thị trên cân và điều chỉnh bằng cơ học hoặc điện tử về số không. Nhẹ nhàng thêm một quả cân thứ hai nặng (250 ± 25) g vào trong khay giữ mẫu và ghi kết quả hiển thị trên cân. Sau khi đạt độ cân bằng, nhẹ nhàng nhấc quả cân ra khỏi khay giữ mẫu và ghi lại số đọc hiển thị trên cân. Xác định thời gian phản hồi của cân là thời gian trung bình của số đọc hiển thị trên cân thay đổi từ 10 % đến 90 % độ lệch tới hạn của nó.
10.1.4 Độ trôi số đọc hiển thị trên cân
Đặt chiều cao côn gia nhiệt ở vị trí như khi thử nghiệm mẫu thử có khung cố định. Đặt một tấm chắn nhiệt lên cân. Bật công tắc quạt hút và côn gia nhiệt. Đặt tốc độ hút (0,024 + 0,002) m3/s và cường độ bức xạ (50 ± 1) kW/m2. Sau khi bộ gia nhiệt đạt cân bằng nhiệt độ, rút tấm chắn nhiệt ra và đặt khay giữ không chửa mẫu cùng với một quả cân nặng (500 ± 25) g lên cân. Khối lượng này xem như là khung cố định mà không được sử dụng trong hiệu chuẩn. Sau khi đạt độ cân bằng, sau ít nhất là 5 s, ghi nhận kết quả hiển thị trên cân rồi điều chỉnh bằng tay hoặc bằng phần mềm về số không. Nhẹ nhàng thêm một quả cân thứ hai nặng (250 ± 25) g lên khay giữ mẫu. Sau khi đạt độ cân bằng, ghi kết quả hiển thị trên cân. Sau 30 min, ghi giá trị hiển thị trên cân. Độ trôi kết quả hiển thị trên cân là giá trị tuyệt đối độ lệch trung bình của 12 giá trị đầu và 12 giá trị cuối.
10.1.5 Thời gian đáp ứng và thời gian trễ của bộ phân tích khí ôxy
Không bật côn gia nhiệt trong hiệu chuẩn này. Bật quạt hút và đặt tốc độ (0,024 ± 0,002) m3/s. Xác định thời gian trễ của bộ phân tích khí ôxy bằng cách cấp dòng khí mêtan tốc độ tương đương (5 ± 0,5) kW đến đầu đốt hiệu chỉnh. Châm lửa đầu đốt ở bên ngoài chụp hút và để ngọn lửa ổn định. Đưa nhanh đầu đốt vào dưới chụp hút và để đầu đốt vào đúng vị trí trong vòng 3 min. Sau đó rút đầu đốt ở bên dưới chụp hút ra ngoài và ngắt nguồn cung cấp khí mêtan. Ghi số đọc hiển thị trên bộ phân tích từ thời điểm đặt đầu đốt dưới chụp hút cho đến 3 min sau khi rút đầu đốt ra ngoài. Độ trễ khi bật máy là sự chênh lệch thời gian giữa thời điểm đưa đầu đốt vào và thời điểm chỉ số khí ôxy đạt 50 % độ lệch tới hạn. Tính độ trễ khi tắt máy theo cách tương tự. Thời gian trễ td là giá trị trung bình của ít nhất ba độ trễ khi bật và khi tắt máy. Nồng độ khí ôxy tại một thời điểm xác định được tính theo nồng độ khí ôxy ghi sau khoảng thời gian td.
Tính thời gian phản hồi của bộ phân tích khí ôxy theo giá trị trung bình của thời gian thử nghiệm bật và tắt đối với số đọc hiển thị trên bộ phân tích khí ôxy thay đổi từ 10 % đến 90 % độ lệch tới hạn.
Độ lệch tới hạn là nồng độ khí ôxy trung bình từ 1 min đến 3 min sau khi đưa đầu đốt vào hoặc rút đầu đốt ra.
10.1.6 Độ trôi và độ nhiễu số đọc hiển thị trên bộ phân tích khí ôxy
Không bật côn gia nhiệt trong hiệu chuẩn này. Bật quạt hút và đặt tốc độ (0,024 ± 0,002) m3/s. Cấp khí nitơ không ôxy cho bộ phân tích khí ôxy. Sau 60 min, chuyển sang môi trường không khí khô từ ống xả với lưu lượng và áp suất thông thường như đối với khí mẫu. Sau khi đạt cân bằng, điều chỉnh số đọc hiển thị trên bộ phân tích khí ôxy đến (20,95 ± 0,01) %. Bắt đầu ghi kết quả hiển thị trên bộ phân tích khí ôxy với khoảng giãn cách tối đa 5 s trong vòng 30 min. Xác định độ trôi bằng cách sử dụng phương pháp bình phương bé nhất để vẽ một đường thẳng đi qua các điểm dữ liệu. Để phù hợp với đường thẳng, giá trị tuyệt đối của độ trôi chỉ số từ 0 min đến 30 min đại diện cho độ trôi ngắn hạn. Xác định độ nhiễu bằng cách tính căn bậc hai trung bình của độ trôi quanh đường xu hướng tuyến tính theo công thức sau:
|
| (1) |
Trong đó xi là độ trôi tuyệt đối giữa điểm dữ liệu và đường xu hướng tuyến tính.
Ghi giá trị độ nhiễu rms này dưới dạng μl/I ôxy.
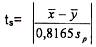
10.1.7 Ảnh hưởng của màn chắn bên
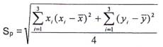
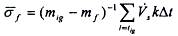
Để đánh giá ảnh hưởng của màn chắn bên tới kết quả thử nghiệm, thử nghiệm sáu mẫu poly metyl methacrylate màu đen (PMMA) độ dày từ 17 mm đến 26 mm tại mức bức xạ (50 ± 1) kW/m2 không có khung cố định, theo quy trình mô tả như Điều 11. Thử nghiệm ba mẫu đầu tiên không có tấm chắn bên và có tấm chắn bên đối với ba mẫu thử còn lại. Tấm chắn bên được chấp nhận nếu độ lệch giữa các kết quả trung bình của tig,
A,180,
A,max cho hai loại thử nghiệm trên là không đáng kể về mặt thống kê căn cứ vào phép thử t ở hai phía ứng với mức có ý nghĩa 5 %. Phép thử t này được tính cho ba biến (tig,
A,180 và
A,max ) theo quy trình sau:
a) Đối với ba thử nghiệm của hai loại thử nghiệm trên, tính giá trị trung bình qua:
|
| (2) |
| và |
|
|
| (3) |
b) Tính độ trôi chuẩn gộp, sp, theo công thức:
|
| (4) |
c) Tính giá trị thống kê của phép thử t theo:
|
| (5) |
Phép thử t được coi là đạt yêu cầu nếu giá trị thống kê của phép thử không vượt quá 2,776 hoặc nếu hai giá trị trung bình bằng nhau.
10.2 Hiệu chuẩn khi vận hành
10.2.1 Quy định chung
Thực hiện các hiệu chuẩn sau vào lúc bắt đầu thử nghiệm mỗi ngày theo trình tự nêu ra dưới đây. Thực hiện hiệu chuẩn côn gia nhiệt mỗi khi thay đổi mức cường độ bức xạ khác.
10.2.2 Hiệu chuẩn độ chính xác của cân
Hiệu chuẩn cân bằng các quả cân chuẩn nằm trong dải khối lượng mẫu thử. Tắt côn gia nhiệt và làm nguội các thiết bị xuống nhiệt độ phòng trước khi thực hiện hiệu chuẩn này. Đặt khay giữ mẫu không có mẫu cùng với một quả cân nặng (500 ± 25) g lên cân. Khối lượng này xem như là khung cố định mà không được sử dụng trong hiệu chuẩn. Đo kết quả hiển thị trên cân, điều chỉnh bằng tay hoặc phần mềm về số không. Nhẹ nhàng đặt một quả cân từ 50 g đến 200 g lên khay giữ mẫu thử và ghi số đọc hiển thị trên cân khi đạt độ ổn định. Lặp lại quy trình ít nhất bốn lần sau khi thêm các khối lượng tương tự nhau. Tại thời điểm kết thúc hiệu chuẩn, tổng khối lượng trên khay đỡ mẫu đạt ít nhất 500 g. Độ chính xác của cân đạt yêu cầu khi độ chênh lệch tối đa giữa khối lượng và số đọc hiển thị trên cân ghi trong hiệu chuẩn không lớn hơn 0,3 g.
10.2.3 Hiệu chuẩn bộ phân tích khí ôxy
Điều chỉnh về số không và hiệu chuẩn bộ phân tích khí ôxy. Việc hiệu chuẩn có thể được thực hiện khi côn đang hoạt động hoặc đang tắt,tuy nhiên không được hiệu chuẩn khi côn gia nhiệt đang ở trạng thái tăng nhiệt. Bật quạt hút và đặt tốc độ (0,024 ± 0,002) m3/s. Điều chỉnh về số không, cấp khí nitơ không ôxy cho thiết bị phân tích với áp suất và tốc độ lưu lượng tương tự như đối với khí mẫu. Điều chỉnh số đọc hiển thị trên bộ phân tích tương ứng (0,00 ± 0,01) %. Hiệu chuẩn phải đạt được tương tự như sử dụng không khí sấy khô và điều chỉnh số đọc hiển thị tương ứng (20,95 ± 0,01) %. Cẩn thận quan sát lưu lượng trên bộ phân tích và cài đặt bằng lưu lượng khi phân tích mẫu. Sau khi thử nghiệm mỗi mẫu, đảm bảo thu được mức số đọc hiển thị tương ứng (20,95 ± 0,01) % như khi sử dụng không khí khô.
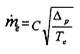
10.2.4 Hiệu chuẩn tốc độ giải phóng nhiệt lượng
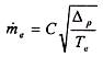
Thực hiện hiệu chuẩn tốc độ giải phóng nhiệt để xác định hằng số C của tấm tiết lưu. Việc hiệu chuẩn có thể được thực hiện khi côn đang hoạt động hoặc tắt, tuy nhiên không được hiệu chuẩn khi côn gia nhiệt đang ở trạng thái tăng nhiệt. Bật quạt hút và đặt tốc độ hút (0,024 ± 0,002) m3/s. Bắt đầu ghi dữ liệu ban đầu với khoảng giãn cách thời gian 5 s trong vòng ít nhất trong 1 min. Đưa khí mêtan vào trong đầu đốt đã hiệu chuẩn, sử dụng lưu lượng kế đã hiệu chuẩn hoặc điều chỉnh tại lưu lượng tương ứng
b = (5±0,5) kW dựa trên nhiệt lượng thực khi cháy của khí mêtan là (50,0 x 103) kJ/kg1. Để khí mêtan cháy ở tốc độ không đổi trong khoảng thời gian 3 min sau đó ghi số liệu với khoảng giãn cách thời gian 5 s trong vòng 3 min này. Tính hằng số C của tấm tiết lưu theo công thức (6) trong Điều 12, sử dụng các giá trị trung bình
b, Te, Δp đo được trong khoảng thời gian 3 min và X0 ,
là giá trị trung bình hiển thị trên bộ phân tích khí ôxy đo được ở giai đoạn ghi dữ liệu ban đầu trong khoảng thời gian 1 min.
Có thể thực hiện quy trình hiệu chuẩn khác là đốt nhiên liệu lỏng thích hợp (ví dụ etanol) trong một khay đặc biệt đặt trên cân. Tốc độ giải phóng nhiệt lượng trung bình theo lý thuyết thu được bằng tổng khối lượng nhiên liệu bị đốt cháy nhân với năng suất toả nhiệt khi cháy của nhiên liệu và chia cho thời gian cháy.
10.2.5 Hiệu chuẩn gia nhiệt
Tại thời điểm bắt đầu thử nghiệm mỗi ngày hoặc khi thay đổi sang một mức cường độ bức xạ khác, chỉnh hệ thống điều chỉnh cường độ bức xạ để côn gia nhiệt tạo ra cường độ bức xạ trong khoảng ± 2 % so với yêu cầu, xác định bằng đầu đo thông lượng nhiệt. Không sử dụng mẫu thử hoặc khay giữ mẫu khi đặt đầu đo thông lượng nhiệt vào vị trí hiệu chuẩn. Bật côn gia nhiệt ít nhất 10 min khi đã ổn định ở điểm cài đặt.
10.3 Hiệu chuẩn cảm biến đo khói
10.3.1 Hiệu chuẩn với đĩa lọc mật độ trung tính
Thiết bị đo độ mờ khói phải được hiệu chuẩn để đọc chính xác (k trong khoảng 0,1 m-1) đối với hai đĩa lọc mật độ trung tính quy định trong 6.19, và mức độ truyền quang đạt 100 %. Thực hiện hiệu chuẩn đĩa lọc mật độ trung tính này ít nhất mỗi năm một lần hoặc khi lắp lại kính quang học sau khi làm sạch và bảo trì.
10.3.2 Hiệu chuẩn trước khi thử nghiệm
Ngay trước mỗi thử nghiệm, đặt hệ số cản sáng (truyền qua 100 %) về số không bằng tay hoặc bằng phần mềm.
10.4 Các hiệu chuẩn không thường xuyên
10.4.1 Hiệu chuẩn đầu đo thông lượng nhiệt sử dụng cho thử nghiệm
Cứ tối đa 100 h làm việc thì phải kiểm tra đầu đo thông lượng nhiệt dùng cho thử nghiệm so với đầu đo thông lượng nhiệt chuẩn theo một trong các quy trình mô tả trong Phụ lục H hoặc quy trình mô tả trong ISO 14934-3. Thực hiện so sánh tại các mức cường độ bức xạ (10, 25, 35, 50, 65 và 75) kW/m2. Các kết quả từ hai đầu đo này chỉ được chênh lệch trong khoảng ± 2 %. Nếu đầu đo thông lượng nhiệt sử dụng cho thử nghiệm chênh lệch quá 2 % so với đầu đo chuẩn thì phải hiệu chuẩn lại đầu đo thông lượng nhiệt sử dụng cho thử nghiệm và kiểm tra lại so với đầu đo chuẩn. Nếu không thể khôi phục đầu đo thông lượng nhiệt để đạt được giá trị chấp nhận trong khoảng ± 2 % của toàn bộ dải đo thì phải thay thế đầu đo sử dụng cho thử nghiệm.
10.4.2 Hiệu chuẩn độ tuyến tính của các phép đo tốc độ giải phóng nhiệt
Cứ tối đa 100 h làm việc, cùng với hiệu chuẩn thiết bị tại 5 kW theo 10.2.4 thì phải thực hiện thêm hiệu chuẩn với tốc độ dòng tương ứng tại 1 kW ± 10 % và 3 kW ±10 %, sử dụng quy trình theo 10.2.4. Cùng với giá trị C từ hiệu chuẩn tại 5 kW, tốc độ giải phóng nhiệt lượng đo tại 1 kvv và 3 kW phải nằm trong khoảng ± 5 % giá trị cài đặt.
10.4.3 Độ chính xác của lưu lượng kế dùng cho đầu đốt hiệu chuẩn
Kiểm tra độ chính xác của lưu lượng kế dùng cho đầu đốt hiệu chuẩn sáu tháng một lần hoặc khi hệ số hiệu chuẩn xác định theo 10.2.4 khác quá 5 % so với giá trị thu được trong quá trình hiệu chuẩn tốc độ giải phóng nhiệt lượng ban đầu sau khi kiểm nghiệm lưu lượng kế trước đó. Kiểm tra độ chính xác của lưu lượng kế, thực hiện hiệu chuẩn đầu đốt như trong 10.2.4, bằng một lưu lượng kế chuẩn giống lưu lượng kế sử dụng cho thử nghiệm. Trong thời gian 3 min thu thập dữ liệu, cả hai lưu lượng kế được chấp thuận khi kết quả chênh lệch trong khoảng ± 3 %. Nếu kết quả chênh lệch lớn hơn ± 3 %, phải hiệu chuẩn lại lưu lượng kế sử dụng cho thử nghiệm theo hướng dẫn của nhà sản xuất.
Có thể hiệu chuẩn theo cách khác, bằng cách cài đặt dòng qua máy đo lưu lượng với tốc độ tương ứng qb = (5 ± 0,5) kW. Sau đó sử dụng van khoá ngắt khí mêtan và thay thế lưu lượng kế bằng một lưu lượng kế chuẩn. Mở khí mêtan và đo lưu lượng. Cả hai lưu lượng kế phải đảm bảo chênh lệch trong khoảng ± 3 %. Nếu kết quả chênh lệch lớn hơn ± 3 %, phải hiệu chuẩn lại lưu lượng sử dụng cho thử nghiệm theo hướng dẫn của nhà sản xuất.
11 Quy trình thử nghiệm
11.1 Lưu ý chung
CẢNH BÁO-Để đưa ra các biện pháp phòng ngừa thích hợp bảo vệ sức khoẻ, tất cả những người liên quan trong việc thử nghiệm với lửa phải lưu ý đến khả năng khi độc hoặc các khí có hại trong thời gian mẫu thử tiếp xúc với lửa.
Quy trình thử nghiệm liên quan đến nhiệt độ cao và quá trình đốt cháy. Do đó, mối nguy hiểm có thể tồn tại như bỏng hoặc bắt cháy của các đồ đạc xung quanh hoặc quần áo. Thí nghiệm viên phải sử dụng găng tay khi đặt mẫu và lấy mẫu ra khỏi thiết bị. Trong quá trình gia nhiệt, không được chạm vào côn gia nhiệt hay các bộ phận cố định liên quan, trừ trường hợp sử dụng găng tay bảo vệ. Không được chạm vào bugi đánh lửa vì có điện thế khá lớn (10 kV). Kiểm tra trạng thái hoạt động đúng của hệ thống thải khí trước khi thử nghiệm và phải tạo ra công suất thích hợp đối với hệ thống thải khí. Hoàn toàn không thể lường trước được các vật liệu nóng chảy hoặc các mảnh sắc nhọn từ một số loại mẫu có thể bắn ra khi chịu tác động của nhiệt bức xạ, vì vậy cần phải đeo thiết bị bảo vệ mắt.
11.2 Chuẩn bị ban đầu
11.2.1 Kiểm tra bẫy khí CO2 và bẫy ẩm. Thay thế chất hấp phụ nếu cần thiết. Rút hết nước đọng lại trong khoang phân tách bẫy lạnh. Nhiệt độ hoạt động thông thường của bẫy lạnh không quá 4 °C.
Nếu bất kỳ các bẫy hoặc các tấm lọc trên đường lấy mẫu khí bị hở trong quá trình kiểm tra, cần kiểm tra lại các chỗ rò rỉ trong thiết bị lấy mẫu khí (với bơm lấy mẫu ở trên), ví dụ bằng cách đưa khí nitơ tinh khiết có áp suất và lưu lượng tương tự như khí mẫu từ nguồn cung cấp khí nitơ càng gần vòng lấy mẫu khí càng tốt. Bộ phân tích khí ôxy đọc từ số không.
11.2.2 Điều chỉnh khoảng cách giữa tấm đế côn gia nhiệt và bề mặt trên của mẫu thử theo quy định trong 6.6 hoặc 7.5.
11.2.3 Bật công tắc côn gia nhiệt và quạt hút. Hàng ngày không được tắt nguồn cấp cho bộ phân tích khí, cân và đầu đo áp suất.
11.2.4 Đặt lưu lượng thải khí (0,024 ± 0,002) m3/s.
11.2.5 Thực hiện quy trình hiệu chuẩn theo yêu cầu như quy định tại 10.2. Đặt lớp chắn nhiệt lên trên thiết bị cân (ví dụ, khay mẫu không chứa mẫu cùng với tấm sợi gốm hoặc tấm chắn bức xạ được làm mát bằng nước) vào thời điểm đang nóng lên và giữa quá trình thử nghiệm để tránh truyền nhiệt dư lên thiết bị cân.
11.2.6 Trước mỗi thử nghiệm đặt hệ số cản sáng về số không.
11.2.7 Làm sạch thanh đánh lửa trước khi thử nghiệm nếu có bồ hóng hoặc các mảnh vụn khác bám trên thanh.
11.3 Quy trình thử
11.3.1 Bắt đầu thu thập dữ liệu. Thu thập dữ liệu cơ sở trong khoảng 1 min. Khoảng giãn cách thời gian quét là 5 s, ngoại trừ trường hợp dự đoán thời gian cháy ngắn (xem 7.3).
11.3.2 Đặt tấm chắn bức xạ vào vị trí (xem 6.3). Bỏ lớp chắn nhiệt đang bảo vệ cân (xem 11.2.5) ra. Đặt khay giữ mẫu có chứa mẫu, đã chuẩn bị theo Điều 8.3 lên cân.
Phải làm nguội tấm chắn bức xạ ngay lập tức xuống dưới hơn 100 °C trước thời điểm chèn.
11.3.3 Đặt bugi đánh lửa vào và di chuyển tấm chắn bức xạ ra với trình tự chính xác theo loại tấm chắn sử dụng như mô tả dưới đây:
Đối với loại tấm chắn a) (xem 6.3), di chuyển tấm chắn ra và bắt đầu thử nghiệm. Di chuyển tấm chắn trong thời gian 1 s, chèn và bật nguồn cho bộ phận đánh lửa.
Đối với loại tấm chắn b) (xem 6.3), rút tấm chắn trong vòng 15 s sau khi chèn và bắt đầu thử nghiệm. Di chuyển tấm chắn trong thời gian 1 s, chèn và bật nguồn cho bộ phận đánh lửa.
11.3.4 Ghi thời gian khi xuất hiện ngọn lửa cháy lập loè hoặc ngọn lửa không ổn định. Ghi thời gian khi xuất hiện ngọn lửa cháy ổn định, tắt tia lửa và rút bộ phận đánh lửa ra. Nếu ngọn lửa bị tắt trong khoảng thời gian nhỏ hơn 60 s sau khi tắt tia lửa, đặt lại bộ phận đánh lửa và bật tia lửa trong khoảng 5 s, không được dịch chuyển tia lửa cho đến khi kết thúc quá trình thử nghiệm. Ghi lại điều này trong bản báo cáo (Điều 13).
11.3.5 Thu thập tất cả dữ liệu cho đến khi đạt đến một trong những điều kiện sau:
a) 32 min sau thời gian xuất hiện ngọn lửa cháy ổn định (32 min bao gồm 30 min thời gian thử nghiệm, và thêm 2 min sau khi thử nghiệm để thu thập dữ liệu đó sẽ là thời gian dịch chuyển). Xử lý dữ liệu từ thời gian xuất hiện ngọn lửa cháy ổn định cộng với 30 min, hoặc:
b) 30 min trôi qua và mẫu thử không bắt cháy, hoặc:
c)
trả về giá trị lớn hơn giá trị thử nghiệm trước trừ đi 100 μL/L nồng độ khí ôxy trong 10 min. Kết thúc thử nghiệm là thời điểm bắt đầu của giai đoạn 10 min, hoặc:
d) khối lượng mẫu thử nhỏ hơn 0,1 g trong 60 s. Kết thúc thử nghiệm là thời điểm bắt đầu của giai đoạn 60 s.
Tuy nhiên trong mọi trường hợp, bất cứ điều kiện nào xảy ra trước, thì thời gian thử nghiệm tối thiểu phải là 5 min. Quan sát và ghi lại những thay đổi của mẫu như nóng chảy, phồng và nứt.
11.3.6 Lấy khay giữ mẫu và mẫu ra. Đặt tấm chắn nhiệt lên cân.
11.3.7 Thử nghiệm ba mẫu và báo cáo theo mô tả trong Điều 13. So sánh tốc độ giải phóng nhiệt lượng trung bình trong 180 s đối với ba mẫu thử. Nếu một trong các kết quả trung bình này khác nhau quá 10 % so với giá trị trung bình cộng của ba mẫu thử thì phải thử nghiệm thêm một bộ ba mẫu thử nữa trừ khi giá trị trung bình nhỏ hơn 10 kW/m2. Trong trường hợp này, ghi giá trị trung bình của sáu mẫu thử trong báo cáo thử nghiệm.
Số liệu thử nghiệm về tốc độ sinh khói sẽ không bị loại bỏ nếu không xảy ra quá trình bắt cháy thực nghiệm, vì số liệu tốc độ sinh khói có liên quan dưới điều kiện không cháy. Kiểm tra số không của hệ số cản sáng trước mỗi thử nghiệm như là một phần của quy trình quy định trong 11.2.
Các số liệu thử nghiệm ít có giá trị nếu mẫu thử bị nóng chảy tràn lên khay giữ mẫu, hoặc xảy ra hiện tượng nứt vỡ nồ hoặc mẫu bị trương phồng quá mức, chạm vào bộ phận đánh lửa hoặc tấm để của côn gia nhiệt.
CHÚ THÍCH: Các phép đo tốc độ giải phóng nhiệt lượng nêu trong tiêu chuẩn này thường sử dụng cách đánh lửa thực nghiệm. Có thể thử nghiệm phi tiêu chuẩn riêng biệt cho mục đích nghiên cứu khi không gây cháy bằng mồi lửa để đánh giá tốc độ sinh khói dưới điều kiện không cháy.
12 Biểu thị kết quả
12.1 Quy định chung
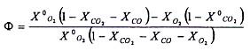
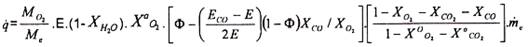
Các công thức từ 12.2 đến 12.5 giả định rằng chỉ có khí ôxy được đo theo chỉ định của hệ thống phân tích khí ở Hình 6. Tìm công thức thích hợp đối với trường hợp sử dụng bộ phân tích khi bổ sung (CO2, CO và có thể cả H2O) và khí CO2 không được lấy ra khỏi dòng lấy mẫu khí O2 ở trong phụ lục G. Nếu khí CO2 bị lấy khỏi dòng lấy mẫu khí O2 (thậm chí khi khí CO2 được đo riêng) thì sử dụng công thức từ (6) đến (8).
Công thức tính độ mờ khói nêu trong 12.6.
12.2 Tính hệ số hiệu chuẩn đối với thiết bị phân tích mức tiêu thụ ôxy
Thực hiện hiệu chuẩn tốc độ giải phóng nhiệt lượng quy định trong 10.2.4 hàng ngày để kiểm tra tình trạng vận hành đúng của thiết bị và để bù lại các thay đổi nhỏ trong quá trình xác định lưu lượng. Nếu sai lệch khác 5 % so với hiệu chuẩn trước là điều kiện bất thường và là dấu hiệu cho thấy thiết bị có thể bị trục trặc. Tính hệ số hiệu chuẩn, c, theo công thức:
|
| (6) |
Trong đó
b tương ứng với tốc độ giải phóng nhiệt lượng (tính bằng kW) của khí mêtan được cung cấp (xem 10.2.4), (12,54 x 103) kJ/kg là Δhc/r0 đối với khí mêtan, 1,10 là tỷ số giữa trọng lượng của phân tử ôxy và không khí.
12.3 Tính tốc độ giải phóng nhiệt lượng
12.3.1 Trước khi thực hiện các tính toán khác, tính số đọc trên bộ phân tích khí ôxy từ các số liệu phân tích ghi được và thời gian trễ, td, sử dụng công thức sau:
|
| (7) |
12.3.2 Tính tốc độ giải phóng nhiệt lượng, q{t), sử dụng công thức sau:
|
| (8) |
Trong đó tỷ số Δhc/r0 của mâu thử là (13,1 × 103) kJ/kg, trừ khi biết được giá trị chính xác hơn. Và
là giá trị trung bình của số đọc hiển thị trên bộ phân tích khí ôxy đo được trong khoảng thời gian 1 min.
12.3.3 Tính nhiệt lượng giải phóng ra trên một đơn vị diện tích theo công thức:
|
| (9) |
Trong đó As là diện tích lộ lửa ban đầu của mẫu thử, 0,00884 m2. Trong trường hợp không sử dụng khung cố định (xem 8.3.2), As là 0,01 m2.
12.4 Tính lưu lượng ống thải khí
Lưu lượng, tính bằng kg/s trong ống thải khí, theo công thức sau:
|
| (10) |
12.5 Tốc độ suy giảm khối lượng
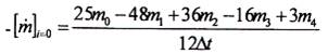
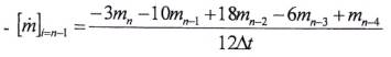
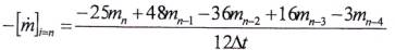
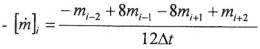
12.5.1 Tốc độ suy giảm khối lượng, -ṁ , tại mỗi khoảng thời gian có thể tính theo các công thức vi phân số 5 điểm:
Đối với lần quét đầu tiên (I =0):
|
| (11) |
Đối với lần quét thứ hai (i = 1)
|
| (12) |
Đối với lần quét bất kỳ mà 1 < i < n - 1 (trong đó n là tổng số lần quét):
|
| (13) |
Đối với lần quét trước lần cuối cùng (i= n-1):
|
| (14) |
Đối với lần quét cuối cùng (i=n)
|
| (15) |
12.5.2 Tính tốc độ mất khối lượng trong đó bao gồm giai đoạn cháy chính, tính từ 10 % của mất khối lượng tới hạn đến mất 90 % khối lượng theo công thức:
|
| (16) |
Trong đó:
Δm = ms - mf
m10= ms - 0,01 Δm
m90= ms - 0,09 Δm
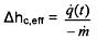
CHÚ THÍCH: Công thức tính nhiệt lượng hiệu dụng khi cháy Δhc,eff, được nêu trong Phụ lục D.
12.6 Tính độ mờ khói
12.6.1 Hệ số cản sáng, k, xác định bằng hệ thống đo độ mờ khói theo:
|
| (17) |
12.6.2 Tính tốc độ sinh khói trên một đơn vị diện tích mẫu lộ lửa theo:
|
| (18) |
Lưu lượng thể tích tại hệ thống đo độ mờ khói,
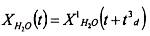
, được tính từ lưu lượng theo khối lượng đo bằng tấm tiết lưu, ṁe, như sau:
|
| (19) |
Giá trị Ts thu được từ cặp nhiệt điện mô tả trong 6.18 và không phải từ can nhiệt liên quan đến tấm tiết lưu.
Nếu có thiết bị phân tích O2, CO2, CO và H2O, tính ṁe và M từ công thức (G.9) và (G.10) trong Phụ lục G.
12.6.3 Tính tổng lượng sinh khói trên một đơn vị diện tích bề mặt mẫu lộ lửa thu được trong giai đoạn chưa xuất hiện ngọn lửa (trước khi bắt cháy) của quá trình thử nghiệm theo:
|
| (20) |
Tính tổng lượng sinh khói trên một đơn vị diện tích bề mặt mẫu lộ lửa thu được trong giai đoạn cháy (sau khi bắt cháy) của quá trình thử nghiệm tương tự theo:
|
| (21) |
Trong đó giá trị s và f của i là thời điểm bắt đầu và kết thúc của khoảng thời gian được dùng để tính trung bình. Vì vậy đối với trường hợp không có ngọn lửa, s tương ứng với thời gian bắt đầu thử nghiệm và f tương ứng với thời gian xuất hiện ngọn lửa cháy ổn định. Đối với trường hợp xuất hiện ngọn lửa (nếu có), s tương ứng với thời gian bắt đầu ngọn lửa cháy ổn định và f tương ứng với thời điểm kết thúc cháy của ngọn lửa.
13 Báo cáo thử nghiệm
Các kết quả thử nghiệm chỉ liên quan đến đặc tính mẫu thử của sản phẩm dưới điều kiện thử nghiệm cụ thể. Không nên sử dụng các kết quả này làm tiêu chí duy nhất để đánh giá nguy cơ cháy.
Báo cáo thử nghiệm nên có nhiều thông tin, phải bao gồm mọi quan sát thực hiện trong quá trình thử nghiệm và nhận xét về bất kỳ diễn biến phức tạp trong quá trình thử nghiệm, sử dụng các đơn vị định nghĩa trong Bảng 1 để ghi rõ đơn vị cho các thông số trong báo cáo.
Báo cáo thử nghiệm phải bao gồm ít nhất các thông tin sau đây:
a) tên và địa chỉ phòng thử nghiệm;
b) tên và địa chỉ của khách hàng thí nghiệm;
c) tên và địa chỉ của nhà sản xuất/nhà cung cấp;
d) ngày thử nghiệm;
e) cán bộ thử nghiệm;
f) tên thương mại và số hiệu hoặc mã ký hiệu mẫu;
g) thành phần hoặc dấu hiệu nhận biết chung;
h) chiều dày mẫu(1) tính bằng milimét (mm), và khối lượng(2) tính bằng gam (g). Đối với vật liệu composite và cụm vật liệu phải nêu chiều dày và khối lượng thể tích của từng thành phần cùng với khối lượng thể tích toàn phần;
i) màu sắc của các mẫu;
j) nêu chi tiết quá trình chuẩn bị mẫu thử trong phòng thí nghiệm;
k) lắp mẫu, kiểm tra bề mặt mẫu thử và cả các quy trình lắp mẫu đặc biệt (ví dụ đối với mẫu trương phồng) đều phải ghi trong báo cáo thử nghiệm;
l) hệ số hiệu chuẩn lưu lượng qua tấm tiết lưu C;
m) cường độ bức xạ(1) có đơn vị là kW/m2 và tốc độ hút có đơn vị m3/s;
n) số lượng mẫu thử nghiệm lặp lại trong cùng điều kiện (số lượng này tối thiểu là ba, ngoại trừ thử nghiệm thăm dò);
o) thời gian đến khi xuất hiện ngọn lửa cháy ổn định(1), tính bằng giây;
p) thời gian thử nghiệm(1), ví dụ thời gian từ lúc bắt đầu thử nghiệm và kết thúc theo 11.3.5, tính bằng giây;
q) tốc độ giải phóng nhiệt lượng (trên một đơn vị diện tích), tính bằng kW/m2, biểu diễn bằng đường cong(1), được ghi trong suốt quá trình thử nghiệm;
r) giá trị trung bình(1) trong 180 s đầu tiên (
A,180) và 300 s (
A,300) sau khi bắt cháy hoặc trong các khoảng thời gian và đỉnh 1)
A (
A,max) thích hợp khác, tính bằng kW/m2;
s) viện dẫn tiêu chuẩn này.
Những mẫu không xuất hiện ngọn lửa cháy ổn định, báo cáo kết quả trên thành bảng đối với giai đoạn bắt đầu đọc kết quả tiếp theo sau khi đọc giá trị tốc độ giải phóng nhiệt lượng âm cuối cùng vào lúc bắt đầu thử nghiệm. Trường hợp một số mẫu không hiển thị ngọn lửa cháy ổn định, nhưng có thể nhìn thấy được tốc độ giải phóng nhiệt lượng khác số không thì thường sẽ phải đọc giá trị âm vì trước khi mẫu thử bắt đầu cháy số đọc đầu ra bằng 0 ± độ nhiễu.
Tốc độ giải phóng nhiệt lượng trung bình được tính bằng cách sử dụng quy tắc tích phân hình thang, ví dụ với khoảng thời gian thu thập dữ liệu 5 s, (
A,180) được tính như sau:
1) tổng tốc độ của tốc độ giải phóng nhiệt lượng trong 35 lần quét sau lần quét gần nhất giai đoạn bắt cháy hoặc lần quét đầu tiên sau giá trị âm cuối cùng. Nếu kết quả thử nghiệm kết thúc trước giai đoạn 180 s thì sử dụng kết quả trung bình thay thế;
2) đo tiếp một nửa tốc độ giải phóng nhiệt lượng tại lần quét gần nhất với giai đoạn bắt cháy hoặc lần quét đầu tiên sau giá trị âm cuối cùng, và tại lần quét thứ 36 sau lần quét gần nhất với giai đoạn bắt cháy hoặc sau lần quét thứ nhất sau giá trị âm cuối cùng;
3) nhân tổng số thu được ở bước hai với khoảng giãn cách thời gian quét (5) và chia cho 180;
s) tổng nhiệt lượng thoát ra từ các mẫu thử(1), tính bằng MJ/m2. Tổng nhiệt lượng được tính bắt đầu tại lần đọc tiếp theo sau khi đọc giá trị tốc độ giải phóng nhiệt lượng âm cuối cùng xảy ra tại thời điểm bắt đầu thử nghiệm và tiếp tục cho đến khi đọc giá trị cuối cùng của quá trình thử nghiệm.
Tổng nhiệt lượng phát ra cũng được tính bằng cách sử dụng quy tắc hình thang để tính giá trị tích phân. Trong trường hợp này, lần quét đầu tiên được sử dụng là lần duy nhất sau khi đọc tốc độ giải phóng nhiệt lượng âm cuối cùng xảy ra tại thời điểm bắt đầu thử nghiệm;
t) khối lượng(1) trong giai đoạn cháy ổn định, ms, và khối lượng còn lại sau khi thử nghiệm, mf đều tính bằng gam (g);
u) độ suy giảm khối lượng của mẫu thử(1), tính bằng g/m2, và tốc độ suy giảm khối lượng trung bình của mẫu thử, ṁ tính bằng gm-2s-1 tính từ giai đoạn bắt cháy đến kết thúc quá trình thử nghiệm;
v) tốc độ suy giảm khối lượng trung bình của mẫu thử trên một đơn vị diện tích(1), ṁA10-90, tính bằng gm-2s-1, được tính trong khoảng thời gian từ 10 % đến 90 % mất khối lượng;
w) giá trị xác định trong mục o), p), r), s), t), u) và v),được tính trung bình cho tất cả các lần lặp lại;
x) quan sát bổ sung(1), ví dụ như ngọn lửa cháy không ổn định;
y) các vấn đề gặp phải trong thử nghiệm(1), nếu có;
z) tổng độ sinh khói trên một đơn vị diện tích mẫu thử lộ lửa trong giai đoạn không có ngọn lửa đối với mỗi mẫu thử (SA,1);
aa) tổng độ sinh khói trên một đơn vị diện tích mẫu thử lộ lửa trong giai đoạn có ngọn lửa đối với mỗi mẫu thử (SA,2);
bb) tổng độ sinh khói trên một đơn vị diện tích mẫu thử lộ lửa đối với mỗi mẫu thử (SA = SA,1+SA,2);
cc) đồ thị hiển thị tốc độ sinh khói trên một đơn vị diện tích theo thời gian cho mỗi mẫu thử(Ps,A theo thời gian), hiển thị thời gian tại thời điểm bắt đầu cháy;
dd) diện tích bề mặt lộ lửa của mẫu thử (A).
____________________________________________
1) Báo cáo những mục này cho mỗi mẫu.

CHÚ DẪN
| 1 | Cổng đo áp suất | 8 | Bugi đánh lửa |
| 2 | Tấm tiết lưu | 9 | Màn chắn tùy chọn |
| 3 | Cặp nhiệt điện (Lắp ở tâm ống thải khói) | 10 | Động cơ quạt hút |
| 4 | Chụp hút | 11 | Khung cố định và mẫu |
| 5 | Quạt hút | 12 | Khay giữ mẫu |
| 6 | Bộ phận gia nhiệt | 13 | Thiết bị cân |
| 7 | Cảm biến lấy mẫu khí dạng vòng | 14 | Vùng đo khói |
Hình 1 - Thiết bị
Kích thước tính bằng milimét

CHÚ DẪN:
| 1 Lớp lót bên trong 2 Lớp lót bông chịu lửa 3 Can nhiệt | 4 Lớp vỏ bên ngoài 5 Viên kê 6 Bộ phận gia nhiệt |
Hình 2 - Côn gia nhiệt
Kích thước tính bằng milimét

Hình 3 - Khay giữ mẫu
Kích thước tính bằng milimét

CHÚ DẪN:
1 Các lỗ có ren trong đặt ở 4 vị trí (M3 hoặc 10 x 32)
Hình 4 - Khung cố định
Kích thước tính bằng milimét

| CHÚ DẪN: |
|
|
| 1 Cảm biến lấy mẫu khí dạng vòng | 5 | Cảm biến lấy mẫu khí dạng vòng (lỗ lấy mẫu hướng về phía quạt hút) |
| 2 Cặp nhiệt điện | 6 | Quạt hút |
| 3 Chụp hút | 7 | Vị trí cặp nhiệt điện đo khói |
| 4 Tấm tiết lưu | 8 | Vị trí cảm biến đo khói |
Hình 5 - Hệ thống thải khói

CHÚ DẪN:
| 1 Cảm biến iấy mẫu khí dạng vòng 2 Bộ lọc 3 Bẫy lạnh tùy chọn 4 Bơm 5 Bẫy ẩm 6 Bẫy loại bỏ khí CO2 tùy chọn | 7 Van tiết lưu 8 Bộ phân tích khí ôxy a Đến bộ phân tích khí CO2 và CO tùy chọn b Thải khí c Vị trí thải thay thế |
Hình 6 - Ví dụ hệ thống lấy và đo mẫu khí

CHÚ DẪN:
| 1 Nút bịt 2 Bộ cách tia mẫu 3 Lỗ lọc khí 4 Khe đặt kính lọc 5 Kính opan | 6 Lớp đệm bằng bông chịu lửa a Chùm laze He-Ne (0,5 mW) b Cảm biến bù c Đến cảm biến chính d Đường dẫn quang |
Hình 7 - Mặt cắt ngang của sơ đồ lắp đặt thiết bị đo khói
Kích thước tính bằng milimét

Hình 8 - Dây lưới mịn

Hình 9 - Lồng thép cho các vật liệu phải thử nghiệm ở trạng thái nén ép
Phụ lục A
(tham khảo)
Các hướng dẫn và lưu ý đối với thí nghiệm viên
A.1 Giới thiệu
Phụ lục này nhằm cung cấp cho thí nghiệm viên và cho người sử dụng kết quả thử nghiệm các thông tin cơ bản về phương pháp, thiết bị và dữ liệu thu được.
A.2 Đo tốc độ giải phóng nhiệt
A.2.1 Tốc độ giải phóng nhiệt lượng là một trong những thông số quan trọng trong việc xác định mối nguy hiểm từ đám cháy. Trong một đám cháy điển hình, nhiều thành phần gồm nhiều bề mặt đóng góp vào sự phát triển của đám cháy, do đó việc đánh giá nguy cơ hỏa hoạn khá phức tạp. Xác định tốc độ giải phóng nhiệt lượng dựa vào mỗi bề mặt riêng biệt bắt cháy, có thể biết được quy mô của đám cháy gây bởi vật bất kỳ đang cháy nhờ vào cường độ bức xạ mà nó phát ra bên ngoài tác động lên các vật gần đó, đồng thời phải đánh giá cả tính cháy lan trên mỗi bề mặt. Tốc độ giải phóng nhiệt lượng trên toàn bề mặt được xác định khi biết tốc độ giải phóng nhiệt lượng trên một đơn vị diện tích đối với một cường độ bức xạ nhất định như là một hàm của thời gian khi đánh giá sử dụng thử nghiệm theo quy mô này. Tổng nhiệt lượng phát ra từ đám cháy liên quan đến tổng nhiệt lượng trên tất cả bề mặt đối với tất cả các vật liệu.
A.2.2 Các yếu tố phức tạp trong tính toán nhiệt phát ra từ đám cháy:
a) khoảng thời gian cháy khác nhau đối với mỗi loại vật liệu riêng biệt trong đám cháy;
b) hình dạng của mỗi bề mặt, và
c) đặc tính cháy của vật liệu, ví dụ: nóng chảy, nhỏ giọt hoặc phá vỡ cấu trúc.
A.2.3 Phương pháp thử không quy định các mức cường độ bức xạ. Các mức cường độ bức xạ này nên xác định riêng biệt đối với mỗi loại sản phẩm được đánh giá. Đối với các ứng dụng và các sản phẩm điển hình cần thiết phải thực hiện phép so sánh với một số đám cháy thực để xác định thời gian tính nhiệt lượng phát ra.
Đối với thử nghiệm thăm dò, khuyến cáo nên sử dụng bugi đánh lửa và cường độ bức xạ ban đầu là 35 kW/m2. Nếu không có yêu cầu kỹ thuật thêm từ đơn vị gửi mẫu, khuyến cáo thử nghiệm ở cường độ bức xạ 25 kW/m2, 35 kW/m2 và 50 kW/m2. Kết quả thu được là cơ sở xem xét xem liệu có phải tiến hành thử nghiệm thêm ở các mức cường độ bức xạ khác không.
Kết quả thử nghiệm có thể không có ý nghĩa thống kê trừ khi cường độ bức xạ sử dụng lớn hơn đáng kể (10 kW/m2) so với cường độ bức xạ tối thiểu cần thiết để tạo ra ngọn lửa cháy ổn định đối với mẫu thử đó.
A.3 Lựa chọn nguyên tắc vận hành
A.3.1 Một số thiết bị được chế tạo để đo tốc độ giải phóng nhiệt lượng. Cách đơn giản nhất theo truyền thống là đo trực tiếp Enthanpy dòng từ khoang nhiệt bọc kín để tạo môi trường đoạn nhiệt. Có thể sử dụng một thiết bị gia nhiệt có tấm chắn như là thiết bị đoạn nhiệt nhưng chi phí cao. Nếu sử dụng buồng đốt được cách nhiệt đơn giản thì giá trị đo nhiệt lượng thoát ra thấp hơn đáng kể, vì vậy chỉ có thể thực hiện hiệu chuẩn theo kinh nghiệm, tuy nhiên hiệu chuẩn này có thể nhạy với muội của quá trình cháy. Thiết bị đẳng nhiệt sẽ là mô hình cao cấp hơn, tốc độ giải phóng nhiệt lượng xảy ra được tạo bởi một đầu đốt có thể điều chỉnh để duy trì điều kiện đẳng nhiệt. Mô hình này cho kết quả chính xác hơn, tuy nhiên trong thực tế thực hiện phức tạp và tốn kém.
A.3.2 Rất khó để đo nhiệt lượng mà không thất thoát. Tuy nhiên việc giữ lại toàn bộ sản phẩm cháy mà không bị thất thoát và xác định hàm lượng khí ôxy trong đó thì đơn giản hơn. Lượng nhiệt phát ra có thể được tính từ các phép đo sử dụng nguyên tắc tiêu thụ khí ôxy. Nguyên tắc này cho rằng đối với một chất cháy phổ biến nhất thì với mỗi kilôgam khí ôxy tiêu thụ sẽ giải phóng ra nhiệt lượng là (13,1x103) kJ từ dòng khí. Con số này có thể thay đổi trong khoảng ± 5 % đối với chất cháy phổ biến nhất. Nguyên tắc này tạo cơ sở cho các phép thử mô tả chi tiết trong tiêu chuẩn này và vẫn có giá trị ngay cả khi một phần đáng kể của sản phẩm trở thành CO hoặc muội hơn là tạo ra CO2, trong những trường hợp này có thể áp dụng hệ số điều chỉnh.
Nồng độ CO quá cao mà bị gây nên do nguồn cung cấp khí ôxy bị hạn chế, phép thử này không thể diễn ra dưới điều kiện thông thường do lượng khí ôxy vào không bị hạn chế.
A.4 Thiết kế bộ phận gia nhiệt
A.4.1 Kinh nghiệm thực tế trong kỹ thuật đo tốc độ giải phóng nhiệt lượng khác nhau cho thấy đối với các sai số nhỏ trong cường độ bức xạ, mẫu thử chỉ nên đánh giá trong bộ phận gia nhiệt có điều chỉnh nhiệt ổn định, hoặc có tấm được làm mát bằng nước hoặc môi trường khí thông thoáng. Đối với các bề mặt gần như rắn nếu không được điều chỉnh nhiệt độ thì nhiệt độ có thể tăng do ngọn lửa đốt cháy mẫu và sau đó có thể hoạt động như nguồn bức xạ thêm quay trở lại mẫu thử dẫn tới sai số. Hơn nữa, khi sử dụng nguyên tắc đo tiêu thụ khí ôxy, một thiết bị đốt nóng bằng khí gas là không mong muốn vì có thể đóng góp vào độ nhiễu đọc khí ôxy, mặc dù có thể tạo dung sai cho phép đối với nguyên tắc tiêu thụ khí ôxy.
A.4.2 Chỉnh sửa bộ phận gia nhiệt dạng hình côn ban đầu sử dụng cho ISO 5657 để đạt các mức cường độ bức xạ, kiểm soát nhiệt độ, cải thiện lưu lượng dòng tốt hơn và thiết kế chắc chắn hơn. Theo phương ngang, dạng hình côn bao xấp xỉ đường viền chùm lửa, trong khi lỗ trung tâm cho phép dòng lửa nổi lên mà không ảnh hưởng tới côn gia nhiệt. Không khí hút vào đảm bảo ngọn lửa không chạm đến cạnh của hình côn.
A.4.3 Do hình dạng của bộ phận gia nhiệt, thiết bị thường được gọi là côn nhiệt lượng.
A.5 Đốt cháy thực nghiệm
Đốt cháy mẫu thử trong nhiều thiết bị được thực hiện bằng đốt khí gas. Tuy nhiên điều này chỉ ra những vấn đề khi đánh giá nhiệt lượng giải phóng ra do sự ảnh hưởng của nó vào nhiệt đầu ra,các lỗ thu hẹp trên tấm tiết lưu và muội khói. Thiết kế thiết bị đốt cháy bằng khí gas cũng phức tạp vì nó phải được đặt ở trung tâm để chống lại sự dập tắt do gió lùa và các chất chống cháy, và quan trọng nhất là nhiệt bổ sung không tác động lên mẫu. Bộ phận đánh lửa bằng điện sẽ khắc phục được hết các vấn đề trên và được xem như là ngọn lửa, chỉ cần làm sạch thường xuyên các bugi đánh lửa và điều chỉnh các điện cực.
A.6 Các điều kiện bề mặt sau của mẫu
Tổn thất nhiệt lượng qua bề mặt sau của mẫu thử có thể có ảnh hưởng tới tốc độ chảy gần thời điểm kết thúc quá trình cháy. Đối với các phép đo tái lặp, tổn thất nhiệt qua bề mặt sau phải được chuẩn hoá bằng cách sử dụng lớp vật liệu cách nhiệt.
A.7 Nguồn sáng
Độ mờ của ánh sáng do sol khí như khói xảy ra bởi hai hiện tượng khác nhau: Sự hấp phụ và tán xạ. Trong nghiên cứu chi tiết hơn đối với sol khí thì hai hiện tượng trên có thể được đo riêng. Tuy nhiên đối với mục đích an toàn cháy nổ thường chỉ đo tổng độ mờ khói, độ mờ khói được định nghĩa là tổng độ suy giảm do cả sự hấp thụ và tán xạ .
Hầu hết các phương pháp thử nghiệm đốt trước đây như ASTM E662[9] hoặc phương pháp thử của DIN đều sử dụng nguồn ánh sáng trắng và quang học chuẩn trực với một bộ tách sóng quang cho cảm biến năng lượng ánh sáng. Tuy nhiên theo lý thuyết, ánh sáng đa sắc không thích hợp để đo đạc như trên vì định luật Bouguer chỉ có giá trị đối với ánh sáng đơn sắc[21]. Một số nghiên cứu thực nghiệm gần đây[20] đã công nhận các sai số dự đoán theo lý thuyết khi sử dụng ánh sáng trắng.
Sử dụng bức xạ đơn sắc để tránh các sai số trên. Có thể tạo nguồn sáng đơn sắc bằng các bộ lọc hoặc máy đơn sắc, tuy nhiên sử dụng tia laser về bản chất là nguồn đơn sắc sẽ thuận lợi hơn. Tia laser helium-neon dễ dàng cung cấp một bức xạ đơn sắc tại bước sóng đỏ 632,8 nm. Tia laser còn có một ưu điểm khác là khi nguồn có chuẩn trực nội tại đủ cao thì không cần thiết có ống kính, đồng thời cũng là một chùm tia hẹp và làm giảm các sai số do nhiễu tán xạ.
A.8 Muội bám trên các ống kính
Trong thiết bị đo khói truyền thống thường tích hợp các ô kính để loại trừ khói khỏi các ống kính quang học. Điều này gây hậu quả không mong muốn vì trong quá trình thử nghiệm, muội sẽ đọng trên các ô kính này. Do đó, cần phải có thiết bị duy trì một độ lệch chuẩn và một số hiệu chỉnh sau thí nghiệm tương ứng. Nguồn sáng laser đường kính nhỏ có lợi thế cho phép thực hiện cách tiếp cận khác trong thiết kế thiết bị[23]. Để tránh phần tử bám trên kính quang học, tạo quá trình làm sạch bằng cách sử dụng quy luật là áp suất bên trong ống âm so với bên ngoài. Hơn nữa, các ống tia thường làm dài và hẹp, vì vậy bất kỳ các phần tử đi vào sẽ đọng lại trên thành ống thay vì trên kính quang học nhô ra ngoài ống.
A.9 Thiết kế hỏa quang kế
Quang kế đo khói thông thường là thiết bị đơn chùm. Vì vậy, bất kỳ thay đổi nào trong cường độ nguồn do biến động năng lượng, lão hoá,...được phản ánh trực tiếp như là một sai số trong các tín hiệu đo. Thiết kế dạng chùm tia sẽ thu được độ ổn định tốt hơn do đó cần có hai đầu đo sóng quang. Một đầu đo bức xạ ánh sáng tắt dần của khói, trong khi đầu đo thứ hai chỉ đo cường độ nguồn mà không có khói lẫn vào. Bằng cách lấy tỷ lệ của hai tín hiệu này, mức độ ổn định cao sẽ được đưa vào hệ thống đo, cách bố trí chùm tia như vậy được diễn tả trong mô tả thiết bị[24].
Quang kế được lắp với hai tấm cứng, tuy nhiên hai tấm cứng này gắn với ống thải khí bằng miếng đệm đàn hồi nhằm tách quang kế khỏi độ rung của quạt hút. Có thể sử dụng hỏa quang kế theo một trong hai cách, hoặc sử dụng một mạch điện tử có hai tín hiệu phát và cung cấp tín hiệu đầu ra trực tiếp dưới dạng hệ số cản sáng, k, hoặc bằng cách lấy hai tín hiệu dò vào trong hệ thống thu thập dữ liệu và thực hiện số học trong quá trình rút gọn dữ liệu.
Thực hiện hiệu chuẩn hỏa quang kế bằng hai bộ lọc quang học có giá trị rút gọn khác nhau chèn vào khe cắm có thiết kế đặc biệt trong hỏa quang kế. Sử dụng hai giá trị khác nhau nhằm để xác minh rằng hiệu chuẩn là tuyến tính. Quang kế có chứa một khe cắm bộ lọc thứ hai, nằm ở phía trước nguồn laser. Sử dụng khe lọc này để chứng minh rằng hai chùm tia quang học là cân bằng. Nếu kết hợp các đầu đo và điều chỉnh hệ thống đúng cách thì sự suy giảm của nguồn sẽ không ảnh hưởng tới kết quả đọc cuối cùng vì cả hai chùm tia này đều suy yếu.
Hệ thống xuyên dòng sử dụng trong thiết bị được mô tả trong tiêu chuẩn này còn giảm thiểu các vấn đề thông thường đối với thiết bị đo khói, ví dụ: sự tổn thất lớn trên tường và hiệu ứng phi tuyến tính do nhiều muội là đặc thù của hệ thống đo khói trong hộp kín. Nhiều quá trình so sánh của trung tâm nghiên cứu cháy nổ[25] đã chứng minh rằng cách bố trí như vậy giảm sai số rất nhiều.
A.10 Nguyên tắc đo tốc độ sinh khói
Tính dữ liệu ban đầu từ hỏa quang kế theo hệ số cản sáng, k, theo công thức:
|
| (A.1) |
Trong đó
I: Cường độ chùm sáng bị suy giảm.
l0: Cường độ chùm sáng khi không có khói.
L: Quãng đường truyền sáng ngang.
Tính tốc độ sinh khói, Ps, theo công thức:
|
| (A.2) |
Trong đó
s là lưu lượng thể tích
Tính tốc độ sinh khói trên một đơn vị diện tích, PS,A, theo công thức:
| PS,A= PsA-1 | (A.3) |
Trong đó A là diện tích bề mặt lộ lửa của mẫu thử.
A.11 Tính lưu lượng thể tích
Tính lưu lượng theo khối lượng trong ống thải khí ṁe theo Điều 12. Tuy nhiên, để tính tốc độ sinh khỏi cần phải biết lưu lượng thể tích.Tính giá trị này từ lưu lượng khối lượng theo công thức:
|
| (A.4) |
Trong đó ρ là khối lượng không khí tại hỏa quang kế và được tính theo công thức:
| ρ = 1,293 kg/m3 (273,15K/Ts) | (A.5) |
Mật độ không khí tại nhiệt độ và áp suất tiêu chuẩn ρ0 là 1,293 kg/m3, Ts là nhiệt độ trong ống gần với hỏa quang kế laser, đo bằng can nhiệt tại vị trí đó. Không hiệu chỉnh đối với các áp suất khác nhau.
A.12 Hiệu chuẩn hệ thống đo khói bằng hệ số hiệu chuẩn
Hiệu chuẩn có dùng các đĩa lọc giả định rằng hệ thống sử dụng để hiệu chuẩn bộ lọc là vượt trội hơn so với hệ thống quang học của cảm biến đo khói. Các Điốt quang sử dụng trong cảm biến đo khói quy định mức độ tuyến tính cao. Mật độ quang học đối với đĩa lọc thương mại thường có giá trị trung bình trên toàn bộ dải bước sóng và giá trị tần số của laser có thể không có giá trị trung bình này. Vì vậy sử dụng đĩa lọc là một cách hạn chế tốt hơn và dùng như một chương trình kiểm tra hàng ngày của hệ thống chứ không phải là hiệu chuẩn chính. Do đó, người dùng có thể hiệu chuẩn bằng cách kiểm tra giá trị số không và giá trị truyền qua 100 % và sử dụng tính tuyến tính của Điốt tách sóng quang.
Nếu sử dụng đĩa lọc đã được hiệu chuẩn ở bước sóng chính xác thì thực hiện quy trình sau đây:
Đặt một đĩa lọc trong chùm tia giữa ống dẫn và đầu dò. Thu thập dữ liệu trong khoảng thời gian 60 s. Tính hệ số cản sáng hiệu chuẩn, k1, theo công thức:
|
| (A.6) |
Trong đó L là chiều dài quãng đường truyền sáng ngang. Tính giá trị chính xác, k2,theo công thức:
| k2 = (2,303 D')L-1 | (A.7) |
Trong đó D' là mật độ quang học của đĩa lọc hiệu chuẩn.
Hệ số điều chỉnh, k2/k1, được tính từ hai giá trị này và sử dụng để chỉnh sửa cho các giá trị k tiếp theo, do đó:
| k = (k2/k1) km | (A.8) |
Trong đó km là giá trị đo.
Khi hệ số hiệu chuẩn, F, được sử dụng, nó được tính theo công thức sau:
| F=(k2/k1) L-1 | (A.9) |
Và tính giá trị k tiếp theo theo công thức:
| k = Fln(l0/l) | (A.10) |
Phụ lục B
(tham khảo)
Tính toán bổ sung - Chuẩn hoá tốc độ mất khối lượng của diện tích cản sáng riêng của mẫu thử
Đẻ đưa các dữ liệu khói vào mô hình đám cháy, đôi khi mong muốn báo cáo số liệu dưới dạng độ sinh khói trên một đơn vị mất khối lượng của mẫu, không phụ thuộc vào điều kiện dòng trong thiết bị và khối lượng mẫu. Để thực hiện điều này thì diện tích cản sáng riêng được định nghĩa là tỉ số diện tích cản sáng của khói với độ mất khối lượng mẫu thử kèm theo sinh khói.
|
| (B.1) |
trong đó:
σ là diện tích cản sáng riêng, tính bằng mét vuông trên kilôgam (m2/kg);
k là hệ số cản sáng, tính bằng mét (m);
s là lưu lượng thể tích khói tại thời điểm do theo thời gian quy định, tính bằng mét khối trên giây (m3/s).
Δm là mất khối lượng mẫu thử theo thời gian quy định, tính bằng kilôgam(kg);
t là thời gian tương ứng với Δm, tính bằng giây (s).
Tại bất kỳ thời điểm nào trong giai đoạn cháy của quá trình thử nghiệm, hệ số cản sáng có thể được tính bằng cách chia tốc độ tạo khói cho tốc độ mất khối lượng:
|
| (B.2) |
Tuy nhiên, phương trình này không nên sử dụng nếu hệ số tốc độ mất khối lượng nhỏ hơn hoặc bằng không.
Tính tốc độ mất khối lượng, ṁ, như trong 12.5.
Diện tích cản sáng riêng trung bình trong giai đoạn cháy của quá trình thử nghiệm tính theo công thức sau:
|
| (B.3) |
trong đó:
mig là khối lượng mẫu tại thời điểm bắt đầu cháy.
mf là khối lượng mẫu tại thời điểm kết thúc thử nghiệm.
Các giá trị báo cáo là:
a)
trong giai đoạn cháy đối với mỗi mẫu và
b) một đồ thị của σ là hàm thời gian đối với các mẫu
Diện tích cản sáng riêng trung bình là một tham số có giá trị trong mô hình cháy vì không phụ thuộc vào mức độ đám cháy. Vì vậy, giá trị σ thu được từ môi trường thử nghiệm sẽ gần với những gì đang thực sự diễn ra trong đám cháy, miễn là điều kiện đốt cháy tương tự nhau.
Thông tin thêm về các biến liên quan đến khói và giá trị sử dụng nêu trong tài liệu tham khảo[11] và[26].
CHÚ THÍCH: Đối với các vật liệu chứa nước hấp thụ hoặc nước liên kết trong phân tử, mất khối lượng đo được sẽ không đại diện đầy đủ sự mất khối lượng do quá trình đốt cháy.
Phụ lục C
(tham khảo)
Độ phân giải, độ chụm và độ chệch
C.1 Độ phân giải
Nghiên cứu khi hiệu chuẩn bằng khí mêtan đã chỉ ra những dao động nhất định (chủ yếu là do sự không ổn định của chính ngọn lửa) là ± 1,5 % tốc độ giải phóng nhiệt tuyến tính trong khoảng 5 % dải từ 1 kW đến 12 kW và trong khoảng 2 % trong dải từ 5 kW đến 12 kW. Hiệu chuẩn với các loại khí khác cũng cho kết quả tương tự. Có thể cấp khí hiệu chuẩn cho đầu đốt với tốc độ ổn định, tuy nhiên trong một số trường hợp điều chỉnh độ ổn định của quá trình đốt cháy nhiên liệu rắn bằng nhiệt phân ở bề mặt cho thấy những biến động đáng kể. Ví dụ, các biến động do polymethyl methacrylate thường lớn hơn so với các sản phẩm gỗ. Do đó, với vật liệu rắn, xác định độ phân giải bằng quá trình nhiệt phân mẫu chứ không phải bằng độ giới hạn của thiết bị.
C.2 Tốc độ đáp ứng
Độ giới hạn tốc độ phản ứng của bất kỳ kỹ thuật đo tốc độ giải phóng nhiệt nào đều được cài đặt bởi đơn vị phản hồi thấp nhất. Kết hợp với bộ phân tích khí ôxy thì thời gian phản hồi của đầu đo áp suất và can nhiệt thường nhanh hơn đáng kể.
C.3 Độ chụm
Tính độ lặp lại r và độ tái lập R trong C.3 và C.4 theo ISO 5725:1986 (đã bị hủy) là hợp lệ khi tiến hành thử nghiệm liên phòng.
CHÚ THÍCH: Các phiên bản hiện tại của tiêu chuẩn ISO 5725-1 báo cáo giá trị r và R là 1 x độ lệch tiêu chuẩn có liên quan, chứ không phải là 2,8 x độ lệch tiêu chuẩn.
Tập hợp các thử nghiệm liên phòng thực hiện bởi ISO/TC 92/SC 1/WG5. về mặt chức năng và quy trình thử nghiệm là tương tự như mô tả trong TCVN 13524 (ISO 5660). Các vật liệu thử nghiệm gồm: Tấm PMMA màu đen dày 25 mm (ρ = 1180 kg/m3), tấm bọt polyurethane cứng dày 30 mm (ρ = 33 kg/m3), tấm dạng hạt dày 13 mm (ρ = 640 kg/m3), tấm cứng dày 3 mm (ρ = 1010 kg/m3), tấm thạch cao dày 10 mm (ρ = 1110 kg/m3) và tấm có thành phần qua xử lý chống cháy dày 10 mm (ρ = 750 kg/m3). Mỗi mẫu thử nghiệm ba lần theo hai phương (nằm ngang và thẳng đứng) ở hai mức bức xạ (25 kW/m2 và 50 kW/m2) tại sáu đến tám phòng thử nghiệm.
Dữ liệu từ các thử nghiệm này được bổ sung bằng các dữ liệu thực hiện theo ASTM E05 SC 21 TG 60, cũng sử dụng bản dự thảo ban đầu giống nhau về công thức và mức cường độ bức xạ, thử nghiệm theo phương ngang. Dữ liệu được phân tích như một bộ dữ liệu kết hợp do nhận thấy giá trị r và R trong các thử nghiệm ASTM tương tự nhau. Dữ liệu ASTM bị loại trong trường hợp đặc biệt (ví dụ đối với
) khi hướng dẫn cho các phòng thí nghiệm khác nhau. Sáu phòng thí nghiệm thử nghiệm các loại vật liệu sau: tấm được xử lý chống cháy ABS (ρ = 325 kg/m3) dày 6 mm, tấm hạt dày 12 mm (ρ = 640 kg/m3), tấm PMMA màu đen dày 6 mm (ρ = 1 180 kg/m3), tấm polyêtylen dày 6 mm (ρ = 800 kg/m3), tấm PVC dày 6 mm (ρ = 1340 kg/m3) và bọt polyisocyanua cứng dày 25 mm (ρ = 28 kg/m3).
Tính độ lặp lại r và độ tái lập R ở mức độ tin cậy 95 % đối với toàn bộ dữ liệu hoàn chỉnh theo ISO 5725:1986 cho năm biến. Các giá trị r và R được tính bằng 2,8 nhân độ lệch chuẩn tương ứng và bao gồm các kết quả xác định là không theo quy định. Lựa chọn các biến là đại diện của các kết quả thử nghiệm: tig,
A,max,
A,180, QAtot và Δhc,eff. sử dụng mô hình hồi quy tuyến tính (Phương trình II trong ISO 5725:1986) để mô tả r và R là hàm trung bình của tất cả độ lặp lại của tất cả các phòng thí nghiệm cho mỗi năm biến nói trên. Các phương trình hồi quy tuyến tính và dải giá trị trung bình phù hợp nêu dưới đây:
Kết quả đối với tig trong dải từ 5 s đến 150 s là:
| r = 4,1 +0,125 tig | (C.1) |
| R = 7,4 +0,220 tig | (C.2) |
Kết quả đối với
A,max trong dải từ 70 kw/m2 đến 1120 kW/m2 là:
| r = 23,3 +0,131 | (C.3) |
| R = 60,4 + 0,141 | (C.4) |
Kết quả đối với
A,180 trong dải từ 70 kW/m2 đến 870 kW/m2 là:
| r = 13,3+ 0,131 | (C.5) |
| R = 25,5 + 0,151 | (C.6) |
Kết quả đối với QA,tot trong dải từ 5 MJ/m2 đến 720 MJ/m2 là
| r = 7,4 + 0,068 QA,tot | (C.7) |
| R = 11,8 + 0,088 QA,tot | (C.8) |
Kết quả đối với Δhc,eff trong dải từ 7 kJ/g đến 40 kJ/g là;
| r = 1,23 + 0,050 Δhc,eff | (C.9) |
| R = 2,42 + 0,055 Δhc,eff | (C.10) |
Ý nghĩa của các phương trình trên được minh hoạ tốt nhất bằng một ví dụ. Giả sử một phòng thí nghiệm thử nghiệm một mẫu duy nhất của một vật liệu nhất định và xác định thời gian bắt cháy là 100 s. Nếu phòng thí nghiệm cùng với người sử dụng tiến hành môt thử nghiệm thứ hai trên cùng một vật liệu, đánh giá giá trị r theo:
r = 4,1 + 0,125 x 100 = 17 s
Kết quả của các thử nghiệm thứ hai sẽ rơi vào khoảng từ 83 s đến 117 s với xác xuất 95 %.Giả sử bây giờ thử nghiệm vật liệu như vậy tại một phòng thí nghiệm khác. Tính giá trị R theo:
R = 7,4 + 0,220 x 100 = 29 s
Kết quả của thử nghiệm tại phòng thí nghiệm này sẽ rơi vào khoảng từ 71 s đến 129 s với xác xuất 95 %.
C.4 Độ chụm (quy trình thử nghiệm đối với các vật liệu bị trương phồng hoặc biến dạng)
Tiến hành một loạt thử nghiệm liên phòng đối với các vật liệu bị trương phồng hoặc biến dạng khi gia nhiệt theo ISO/TC 61/SC4/WG3. Sử dụng công thức giống như mô tả trong tiêu chuẩn, với khoảng cách giữa bề mặt mẫu và tấm đế gia nhiệt là 60 mm (thay vì khoảng cách theo tiêu chuẩn là 25 mm) như quy định trong 7.5. Các vật liệu thử nghiệm là: tấm PMMA màu đen dày 9,6 mm, tấm chống cháy polypropylene dày 3 mm, tấm polycarbonate dày 5,8 mm và tấm polycarbonate dày 7,8 mm. Thử nghiệm ba lần đối với mỗi vật liệu theo phương nằm ngang ở mức thông lượng nhiệt 50 kW/m2 tại 10 phòng thí nghiệm.
Tính độ lặp lại r và độ tái lập R tại mức độ tin cậy 95 % theo ISO 5725:1986 đối với ba biến: tig,
A,max và QA,tot. Sử dụng mô hình hồi quy tuyến tính (phương trình II trong ISO 5725:1986) để mô tả r và R là hàm trung bình của tất cả độ lặp lại của tất cả các phòng thí nghiệm cho mỗi ba biến nói trên. Các phương trình hồi quy tuyến tính và dải giá trị trung bình phù hợp nêu dưới đây:
Kết quả đối với tig trong dải từ 27 s đến 167 s là:
| r = 2,3 + 0,225 tig | (C.11) |
| R = 2,3 + 0,625 tig | (C.12) |
Kết quả đối với
A,max trong dải từ 83 kW/m2 đến 855 kW/m2 là:
| r = 36,6 + 0,125 | (C.13) |
| R = 36,6 + 0,330 | (C.14) |
Kết quả đối với QA,tot trong dải từ 27 MJ/m2 đến 319 MJ/m2 là
| r = 15,5 + 0,008 QA,tot | (C.15) |
| R = 15,5 + 0,125 QA,tot | (C.16) |
So sánh công thức (C.1) và (C.2) với (C.11) và (C.12) cho thấy độ lặp lại và độ tái lập của thời gian bắt cháy trở nên kém hơn do tăng khoảng cách giữa bề mặt mẫu và tấm đế gia nhiệt đến 60 mm. Độ lặp lại của hai biến còn lại dường như không bị ảnh hưởng (xem công thức (C.3), (C.7), (C.13), (C.15)), tuy nhiên độ tái lập lại thấp hơn so với khoảng cách 60 mm (xem công thức (C.4), (C.8), (C.14), (C.16)).
C.5 Độ chệch trong phép đo giải phóng nhiệt lượng
Đối với mẫu rắn có thành phần hoá học chưa xác định sử dụng trong vật liệu xây dựng, đồ nội thất,...,mức tiêu thụ ôxy theo tiêu chuẩn Δhc/r0 = (13,1 x 103) kJ/kg khí ôxy, mức độ không tin cậy so với dự kiến là ± 5 %. Đối với vật liệu đồng nhất chỉ có một cơ chế nhiệt phân đơn, độ chệch này có thể giảm bằng cách tính Δhc từ các phép đo bình cao áp ôxy và r0 từ phân tích thành phần cuối cùng. Đối với hầu hết thử nghiệm, điều này là không thực tế vì mẫu thử thường là dạng hỗn hợp, không đồng nhất hoặc biểu hiện một số phản ứng phân hủy. Tuy nhiên đối với những vật liệu tham khảo, xác định cẩn thận Δhc/r0 có thể làm cho mức độ không tin cậy này giảm đi đáng kể. Xem C.1, C.2 và C.3.

CHÚ DẪN:
x Thời gian bắt cháy trung bình (s)
○ r = 2,3 + 0,26 m
● R = 2,3 +0,55 m
Hình C.1 - Giá trị r và R của tig đối với vật liệu trương phồng

CHÚ DẪN:
X Tốc độ giải phóng nhiệt tại đỉnh trung bình (s)
○ r = 37 + 0,064 m
● R = 37 + 0,33 m
Hình C.2 - Giá trị r và R của
A,max đối với vật liệu trương phồng

CHÚ DẪN:
x Tổng tốc độ giải phóng nhiệt trung bình (MJ/m2)
○ r = 1 + 0,008 m
● R =16 +0,133 m
Hình C.3 - Giá trị r và R của QA,tot đối với vật liệu trương phồng
C.6 Độ chụm trong phép đo khói
Thực hiện một loạt các thử nghiệm liên phòng trong tiêu chuẩn này, trong số bảy phòng thí nghiệm, trên năm mẫu thử mô phóng vật liệu tổng hợp làm đồ nội thất bọc da theo chương trình nghiên cứu chống cháy của Châu Âu. Trong những thử nghiệm này, diện tích cản sáng riêng (m2/kg) dựa trên đo hệ số cản sáng của khói và độ mất khối lượng của mẫu trong quá trình thử nghiệm thu được ngoài dữ liệu nhiệt lượng thoát ra. Phụ lục B giải thích các thông số này. Mặc dù tham số này được quy định là tham số tham khảo, tuy nhiên kết quả của các thí nghiệm liên phòng vẫn đưa ra số liệu chính xác về phương pháp đo khói nói chung. Bảng C.1 mô tả thành phần của mẫu chứa hỗn hợp vật liệu đồ nội thất bọc da.
Bảng C.1 - Tổ hợp vật liệu đồ nội thất bọc da
| Tổ hợp 1 | Vải acrylic phủ bên dưới, 546 gm2, bọt polyurethane đàn hồi cao không chống cháy, 21 kg/m3 |
| Tổ hợp 2 | Vải cotton chống cháy 422 g/m2, bọt đàn hồi cao điều chỉnh quá trình cháy, 30 kg/m3 |
| Tổ hợp 3 | Vải polypropylene, 264 g/m2, bọt polyurethane không chống cháy, 21 kg/m3 |
| Tổ hợp 4 | Vải len sợi, 432 g/m2, bọt có tính đàn hồi cao điều chỉnh quá trình cháy, 30 kg/m3 |
| Tổ hợp 5 | Giống như hỗn hợp 1 tuy nhiên bao gồm sợi lót bên trong Kevlar, 65 g/m2 |
Bảng C.2 nêu các dữ liệu của độ lặp lại r và độ tái lập R và giá trị trung bình m. Thực hiện quá trình phân tích theo ISO 5725:1986 vẫn có giá trị khi tiến hành các thử nghiệm.
Bảng C.2 - Độ lặp lại, độ tái lập của diện tích cản sáng riêng (m2/kg)
| Mẫu thử | Kết quả báo cáo tại phòng thí nghiệm | m | r | R |
| Tổ hợp 1 | 6 | 399 | 93 | 366 |
| Tổ hợp 2 | 5 | 108 | 60 | 076 |
| Tổ hợp 3 | 6 | 499 | 91 | 112 |
| Tổ hợp 4 | 6 | 241 | 27 | 056 |
| Tổ hợp 5 | 5 | 341 | 93 | 333 |
Sử dụng mô hình hồi quy tuyến tính như quy định trong ISO 5725:1986 để mô tả r và R là hàm của giá trị trung bình. Thu được công thức sau từ các số liệu trong Bảng C.2.
| r = 28,83 + 0,14 m | (C.17) |
| R = 15,03 + 0,56 m | (C.18) |
C.7 Độ chệch trong phép đo sản phẩm khói
Không biết được độ chệch của phương pháp thử này.
Phụ lục D
(tham khảo)
Tốc độ mất khối lượng và nhiệt hiệu dụng của quá trình cháy
D.1 Nhiệt lượng thực khi cháy
Nhiệt lượng thực khi cháy không đổi trong quá trình cháy của mẫu đồng nhất có một cơ chế suy giảm và giá trị nhiệt lượng nhỏ hơn theo lý thuyết. Ví dụ vật liệu có một cơ chế suy giảm và do đó nhiệt lượng thực khi cháy không đổi hầu hết là chất lỏng hữu cơ. Ngược lại, sản phẩm xenlulô thường có nhiều cơ chế suy giảm và nhiệt lượng thực tế thay đổi. Đối với vật liệu có nhiều hơn một cơ chế suy giảm, vật liệu composite hoặc vật liệu không đồng nhất thì nhiệt lượng thực tế khi cháy không phải là hằng số. Có thể sử dụng nhiệt lượng thực khi cháy và tốc độ mất khối lượng để cung cấp thêm thông tin về đặc tính cháy của vật liệu.
CHÚ THÍCH: Đối với vật liệu chứa nước hấp thụ hoặc nước liên kết phân tử, mất khối lượng sẽ không thể hiện đầy đủ nhiệt lượng thực khi cháy.
D.2 Ký hiệu
Δhc,eff là nhiệt hiệu dụng khi cháy, tính bằng megajun trên kilôgam (MJ/kg).
D.3 Tính toán
Tính tốc độ mất khối lượng, -ṁ, cho mỗi khoảng thời gian bắt đầu từ thời điểm bắt cháy (xem 12.5.1), có thể được sử dụng để xác định một giá trị thời gian khác nhau của nhiệt hiệu dụng khi cháy:
|
| (D.1) |
Khi yêu cầu phép tính vi phân toán học để xác định tốc độ mất khối lượng thì sai số sẽ lớn hơn so với phép đo thu trực tiếp từ kết quả đọc ở thiết bị, tuy nhiên lại dễ dàng tính giá trị trung bình của Δhc,eff. Để có giá trị trung bình như vậy, tử số và mẫu số trong công thức (D.1) phải được lấy trung bình riêng biệt chứ không phải là tính trung bình của tỷ số. Ví dụ tính giá trị trung bình Δhc,eff trên toàn bộ quá trình thử nghiệm như sau:
|
| (D.2) |
Tính tổng trong suốt quá trình thử nghiệm tính từ thời điểm bắt cháy.
Phụ lục E
(tham khảo)
Thử nghiệm theo phương thẳng đứng
E.1 Giới thiệu
Các phần trình bày trong tiêu chuẩn này chỉ đề cập đến thử nghiệm theo phương nằm ngang. Thử nghiệm áp dụng ngay cả với các mẫu như ốp tường mà hướng sử dụng cuối cùng của sản phẩm là thẳng đứng. Đây là lý do mà phép thử này không đại diện cho dạng quy mô của sản phẩm theo tỷ lệ thực. Thay vào đó, thử nghiệm đáp ứng ban đầu của mẫu thử đối với bức xạ bên ngoài theo quy định.Tổng nhiệt lượng của mẫu thử là tổng của cường độ bức xạ bên ngoài cộng với thông lượng nhiệt từ bản thân mẫu cháy. Mức thông lượng nhiệt từ bản thân mẫu cháy theo hai phương sẽ khác nhau. Những điều cần được lưu ý thì không có mối liên hệ giữa thông lượng nhiệt này cho mẫu thử nhỏ với sản phẩm nguyên mẫu. Thay vào đó là mối liên hệ khác nhau theo các ứng dụng của sản phẩm. Mối liên hệ giữa tốc độ giải phóng nhiệt lượng của mẫu thử nhỏ với tốc độ giải phóng nhiệt lượng của sản phẩm theo tỷ lệ thực nên thiết lập một giá trị cường độ bức xạ thử nghiệm, giá trị này tính chính xác đối với thực tế rằng sản phẩm theo tỷ lệ thực được tiếp xúc với mức thông lượng nhiệt khác so với mẫu thử nhỏ.
Đối với hầu hết các loại mẫu thử, thử nghiệm theo phương nằm ngang sẽ hạn chế được nhiều vấn đề trong quá trình thử nghiệm như mẫu nóng chảy, nhỏ giọt hoặc rơi ra ngoài. Độ tái lập của dữ liệu bắt cháy cũng tốt hơn theo phương này do cột mô tả trạng thái nhiệt phân tại vị trí đánh lửa rộng hơn. Phương thẳng đứng dễ thực hiện vì trong các nghiên cứu chuẩn đoán nhất định, lắp đặt hỏa quang kế, can nhiệt và các thiết bị quy định khác theo phtrong đó thuận lợi hơn. Thay đổi đơn giản thiết bị và quy trình thử nghiệm theo yêu cầu để thử nghiệm theo phương thẳng đứng. Các thay đổi này được mô tả trong các mục dưới đây.
E.2 Thay đổi thiết bị
E.2.1 Bộ phận gia nhiệt hình côn
Để thử nghiệm theo phương thẳng đứng, xoay bộ phận gia nhiệt hình côn một góc lớn hơn 90° để tấm đế thẳng đứng và song song với bề mặt lộ lửa của mẫu thử.
E.2.2 Khay giữ mẫu
Yêu cầu một khay giữ mẫu khác so với mô tả trong 6.5 để thử nghiệm theo phương thẳng đứng. Khay giữ mẫu theo phương thẳng đứng mô tả trong Hình E.1 và bao gồm một khay hứng nhỏ giọt để chứa một lượng hạn chế của vật liệu nóng chảy.
E.3 Chuẩn bị mẫu thử
Bọc mẫu trong giấy nhôm như mô tả trong 8.3.1, đặt mẫu vào khay giữ mẫu theo phương thẳng đứng bằng cách làm chặt mẫu với lớp bông gốm (thường khối lượng thể tích là 65 kg/m3), chiều dày phụ thuộc vào chiều dày mẫu thử, nhưng dày ít nhất 13 mm. Đặt một lớp cứng bằng tấm cứng làm từ bông chịu lửa phía sau lớp bông chịu lửa. Chiều dày tấm cứng phải đảm bảo toàn bộ hệ thống lắp được gắn cứng với nhau cùng với một chiếc kẹp chèn phía sau tấm cứng. Đặt chiều cao côn gia nhiệt sao cho đường trung tâm khớp với tâm mẫu thử
E.4 Hiệu chuẩn bộ phận gia nhiệt
Thực hiện hiệu chuẩn bộ phận gia nhiệt như trong 10.2.5 bằng bộ phận gia nhiệt theo phương thẳng đứng. Đặt đầu đo đo thông lượng nhiệt ở vị trí mà mặt nhận nhiệt quay về phía côn gia nhiệt, tương ứng với tâm bề mặt mẫu theo phương thẳng đứng.

CHÚ DẪN: Tấm đế làm bằng thép không gỉ (4,8 ± 0,1)mm. Những loại vật liệu khác là (1,59 ± 0,1) mm
Hình E.1 - Khay giữ mẫu theo phương thẳng đứng
E.5 Quy trình thử nghiệm
Quy trình thử nghiệm theo phương thẳng đứng phần lớn giống hệt với thử nghiệm theo phương ngang như mô tả trong Điều 11. Trước mỗi một thử nghiệm, đặt khay giữ mẫu sao cho bề mặt lộ lửa của mẫu thử song song và cách tấm đế côn gia nhiệt 25 mm. Đặt bugi đánh lửa như mô tả trong 6.10 sao cho khe giữa các điện cực được đặt tại bề mặt phẳng mẫu và cách bề mặt trên của khay giữ mẫu 5 mm.
Phụ lục F
(tham khảo)
Hiệu chuẩn đầu đo thông lượng nhiệt dùng cho thử nghiệm
Có thể thực hiện so sánh giữa thông lượng nhiệt dùng cho thử nghiệm và đầu đo thông lượng nhiệt chuẩn như quy định trong 6.13 bằng cách sử dụng côn gia nhiệt (6.2), với mỗi đầu đo thông lượng nhiệt được gắn lần lượt ở vị trí hiệu chuẩn. Thực hiện cẩn thận để toàn bộ thiết bị đạt được trạng thái cân bằng nhiệt. Có thể thay thế bằng một thiết bị so sánh thiết kế đặc biệt (ví dụ như quy định trong BS 6809:1987).
Việc sử dụng hai mà không phải một thiết bị chuẩn, đưa ra cách bảo vệ tốt hơn chống lại sự biến đổi của thiết bị đối chiếu.
Phụ lục G
(tham khảo)
Tính nhiệt lượng giải phóng bằng bộ phân tích khí bổ sung
G.1 Tổng quan
Sử dụng công thức trong Điều 12 để tính tốc độ giải phóng nhiệt lượng giả thiết rằng tỷ số CO2/CO được lấy từ mẫu khí trong máy lọc thành phần hoá trước khi đo khí ôxy như nêu trong Hình 6. Một số phòng thí nghiệm được trang bị để đo tỷ số CO2/CO trong trường hợp không cần thiết loại bỏ CO2/CO từ dòng khí O2 tạo lợi thế cho việc không phải sử dụng tác nhân lọc thành phần hoá rất tốt kém và thực hiện phức tạp.
Nếu sử dụng các công thức của Phụ lục này để tính giá trị tốc độ giải phóng nhiệt lượng, thời gian phản hồi (giây) của bộ phân tích khí bổ sung sử dụng phải kết hợp chặt chẽ với thời gian phản hồi của bộ phân tích khí ôxy. Nếu yêu cầu này không được đáp ứng, thì sẽ không sử dụng phụ lục này để tính tốc độ giải phóng nhiệt lượng.Không dùng Gel Silica là tác nhân sấy nếu sử dụng một thiết bị phân tích tỷ lệ CO2/CO trong hệ thống.
Trong Phụ lục này, sử dụng công thức đã cho để đo tỷ lệ CO2/CO nhưng không lọc khỏi dòng khí. Hai trường hợp được xem xét:
- Trong trường hợp đầu tiên, chuyển một phần dòng mẫu đã sấy khô và lọc vào trong bộ phân tích CO2 và CO bằng tia hồng ngoại (xem tùy chọn trong Hình 6).
- Trong trường hợp thứ hai, thêm vào một máy phân tích hơi nước.
Để tránh sự ngưng tụ, đo nồng độ H2O trong dòng sản phẩm cháy yêu cầu một hệ thống lấy mẫu riêng biệt với bộ lọc được gia nhiệt, dòng lấy mẫu và bộ phân tích cũng được gia nhiệt.
G.2 Ký hiệu
Bảng G.1 nêu các ký hiệu mới được sử dụng trong tiêu chuẩn này.
Bảng G.1 - Ký hiệu, tên gọi và đơn vị
| Ký hiệu | Tên gọi | Đơn vị |
| E | Nhiệt cháy trên một đơn vị khối lượng khí ôxy tiêu thụ (= Δhc/r0) | MJ/kg |
| ECO | Nhiệt cháy trên một đơn vị khối lượng khí ôxy tiêu thụ cho khí CO | MJ/kg |
| H | Độ ẩm tương đối của không khí | % |
| Ma | Khối lượng phân tử của không khí | kg/kmol |
| Me | Khối lượng phân tử của sản phẩm cháy | kg/kmol |
| MO2 | Khối lượng phân tử của khí ôxy | kg/kmol |
| P | Áp suất môi trường | Pa |
| Ta | Nhiệt độ môi trường | K |
| t1d | Thời gian trễ của bộ phân tích khí CO2 | s |
| t2d | Thời gian trễ của bộ phân tích CO | s |
| t3d | Thời gian trễ của bộ phân tích H2O | s |
| X0CO2 | Kết quả đọc khí CO2 ban đầu | Không thứ nguyên |
| X0CO | Kết quả đọc khí CO ban đầu | Không thứ nguyên |
| X0H2O | Kết quả đọc H2O ban đầu | Không thứ nguyên |
| XaO2 | Phần mol khí O2 môi trường | Không thứ nguyên |
| X1CO2 | Số đọc khí CO2 trước khi hiệu chỉnh thời gian trễ | Không thứ nguyên |
| X1CO | Số đọc khí CO trước khi hiệu chỉnh thời gian trễ | Không thứ nguyên |
| X1H2O | Số đọc H2O trước khi hiệu chỉnh thời gian trễ | Không thứ nguyên |
| XCO2 | Số đọc khí CO2, phần mol | Không thứ nguyên |
| XCO | Số đọc CO, phần mol | Không thứ nguyên |
| XH2O | Số đọc H2O, phần mol | Không thứ nguyên |
| Φ | Hệ số tháo ôxy | Không thứ nguyên |
G.3 Trường hợp đo khí CO2 và khí CO
G.3.1 Thiết bị
Bộ phân tích khí CO2 thuộc loại hồng ngoại có khả năng đo ít nhất trong giải từ 0 % đến 10 % carbon dioxide. Độ tuyến tính của thiết bị là 1 % tỷ lệ thực hoặc tốt hơn. Thời gian phản hồi của thiết bị không lớn hơn 20 s (khi đo theo 10.1.5). Số liệu đầu ra từ bộ phân tích cho hệ thống dữ liệu có độ chính xác lớn hơn hoặc bằng 100 μL/L.
Bộ phân tích khí co thuộc loại hồng ngoại có khả năng đo ít nhất trong giải từ 0 % đến 10 % carbon monoxide. Độ tuyến tính của thiết bị là lớn hơn hoặc bằng 1 % tỷ lệ thực.Thời gian phản hồi của thiết bị không lớn hơn 20 s. số liệu đầu ra từ bộ phân tích cho hệ thống dữ liệu có độ chính xác lớn hơn hoặc bằng 10 μL/L.
G.3.2 Điều chỉnh bộ phân tích khí carbon dioxide
Điều chỉnh bộ phân tích khí carbon dioxide về số không và thực hiện biên độ thử nghiệm mỗi ngày, số liệu đầu ra của bộ phân tích khí carbon dioxide không nitơ là (0,00 ± 0,02) %. Độ rộng của biên độ trong khoảng 0,02 % độ rộng VCO2/Vkhí được xác định bằng sử dụng khí gas hiệu chuẩn. Có thể thực hiện quy trình điều chỉnh theo sau:
a) Điều chỉnh về số không, nạp khí carbon dioxide không nitơ vào thiết bị phân tích tại lưu lượng và áp suất tương tự như khí mẫu. Khi bộ phân tích đạt giá trị cân bằng, điều chỉnh giá trị đầu ra của bộ phân tích đến (0,000 ± 0,02) %.
b) Đối với hiệu chỉnh biên độ của khí gas quy định bằng sử dụng hàm lượng carbon dioxide trong khoảng từ 5 % đến 10 %. Nạp khí vào bộ phân tích tại lưu lượng và áp suất tương tự như khí mẫu. Khi thiết bị phân tích đạt giá trị cân bằng, điều chỉnh giá trị đầu ra của hàm lượng carbon dioxide là ± 0,02 % so với khí quy định.
G.3.3 Điều chỉnh bộ phản tích khí carbon monoxide
Điều chỉnh bộ phân tích khí carbon monoxide về số không và thực hiện biên độ thử nghiệm mỗi ngày, số liệu đầu ra của bộ phân tích khí carbon dioxide không nitơ là (0,000 ± 0,002) %. Độ rộng của biên độ trong khoảng 0,002 % độ rộng VCO2/Vkhí được xác định bằng sử dụng khí gas hiệu chuẩn. Có thể thực hiện quy trình điều chỉnh theo sau:
a) Điều chỉnh về số không, nạp khí carbon monoxide không nitơ vào thiết bị phân tích tại lưu lượng và áp suất tương tự như khí mẫu. Khi thiết bị phân tích đạt giá trị cân bằng, điều chỉnh giá trị đầu ra của thiết bị phân tích đến (0,000 ± 0,002) %.
b) Đối với hiệu chỉnh biên độ của khí gas quy định bằng cách sử dụng hàm lượng carbon monoxide trong khoảng từ 0,5 % đến 1,0 %. Nạp khí vào bộ phân tích tại lưu lượng và áp suất tương tự như khí mẫu. Khi bộ phân tích đạt giá trị cân bằng, điều chỉnh giá trị đầu ra của hàm lượng carbon monoxide là ± 0,002 % so với khí quy định.
G.3.4 Tính toán
Cũng như đối với các bộ phân tích khí ôxy, việc đo CO2 và CO sẽ là thời gian chuyển sang dành thời gian vận chuyển trong dỏng lấy mẫu tính thành:
| XO2(t) = X 1 O2 (t+td) | (G.1) |
| XCO2(t) = X 1 CO2 (t+t1d) | (G.2) |
| XCO(t) = X 1 CO (t+t2d) | (G.3) |
Thời gian trễ t1d và t2d đối với bộ phân tích khí CO2 và CO tương ứng thường khác nhau (nhỏ hơn) thời gian trễ td đối với bộ phân tích khí O2.
|
| (G.4) |
Cách tính tốc độ dòng khí thải giống trong Điều 12.3:
Có thể tính tốc độ giải phóng nhiệt lượng từ:
|
| (G.5) |
Tính hệ số xả khí ôxy Φ theo sau:
|
| (G.6) |
Tỷ lệ phần mol khí ôxy là:
|
| (G.7) |
Trong đó:
|
| (G.8) |
Hệ số thứ hai trong dấu ngoặc đơn của tử số trong phương trình (G.5) là hiệu chỉnh đối với quá trình đốt cháy không hoàn toàn của một số carbon CO thay vì CO2. Trong các thử nghiệm nhiệt lượng côn, XCO thường rất nhỏ, vì vậy thường bỏ qua trong phương trình (G.5) và (G.6). Ý nghĩa thực tiễn của điều này là một phân tích CO nói chung sẽ không dẫn tới sự gia tăng đáng kể độ chính xác của phép đo tốc độ giải phóng nhiệt lượng. Do đó phương trình (G.5) và (G.6) có thể được sử dụng ngay cả khi không có mặt máy phân tích CO, giả sử Xco đó là không đáng kể và điều chỉnh về số không.
G.4 Trong trường hợp đo cả H2O
Trong hệ thống đốt thông khí, chẳng hạn như phương pháp thử nghiệm này, không thể đo trực tiếp lưu lượng không khí đi vào hệ thống nhưng có thể được suy ra từ lưu lượng đo trong ống thải khí. Một giả thiết là cần thiết liên quan đến sự dãn nở do đốt cháy phần không khí mà khí ôxy đã bị đốt hoàn toàn. Sự dãn nở này phụ thuộc vào thành phần nhiên liệu và sự cân bằng thực tế của quá trình đốt cháy. Giá trị trung bình phù hợp cho hệ số dãn nở về thể tích là 1,105 được hiệu chỉnh cho khí mêtan. Con số này đã được đưa vào các phương trình trong 12.3.2 và phương trình (G.5). Đối với các thử nghiệm nhiệt lượng côn có thể giả định rằng 99 % sản phẩm của quá trình đốt cháy bao gồm O2, CO2, CO, H2O và khí không phản ứng (đi vào và dời đi trong dòng khí không thay đổi thành phần hoá) ký hiệu là N2. Nếu đo H2O trong ống thải, có thể sử dụng cùng các số đo O2, CO2, CO (tất cả ba số liệu này đều là của khí khô) để xác định hệ số mở rộng. Lưu lượng theo khối lượng trong ống thải khí sau đó được tính chính xác hơn theo phương trình sau:
|
| (G.9) |
Trong phương trình này, Ma có thể lấy giá trị là 29 kg/kmol. Khối lượng phân tử của sản phẩm cháy Me được tính từ công thức:
|
| (G.10) |
Tính tốc độ giải phóng nhiệt lượng theo phương trình sau:
|
| (G.11) |
Cần chú ý số đọc H2O sẽ phải là thời gian chuyển theo cách tương tự như trong phương trình từ (G.1) đến (G.3) cho các phân tích khác:
|
| (G.12) |
Phụ lục H
(tham khảo)
Tính thông lượng nhiệt tới hạn hiệu dụng của quá trình bắt cháy
H.1 Quy định chung
Thông lượng nhiệt tới hạn hiệu dụng của quá trình bắt cháy là thông lượng nhiệt nhỏ nhất cần để duy trì sự bắt cháy. Có thể xác định giá trị thông lượng nhiệt tới hạn thực tế theo kinh nghiệm khi sử dụng côn nhiệt lượng và vùng lắp đặt bắt cháy bên trong của thiết bị (hoặc của thiết bị sử dụng trong tiêu chuẩn này) bằng cách cho mẫu tiếp xúc với các mức thông lượng nhiệt khác nhau và đo thời gian bắt cháy cho ngọn lửa cháy ổn định thu được trong giai đoạn đầu. Điều này được xác định bằng phương pháp thử đúng dần bằng cách cách lặp lại thí nghiệm trong nghiên cứu thông lượng nhiệt cho quá trình không bắt cháy xảy ra trong vòng 15 min.
H.2 Quy trình
Chuẩn bị mẫu thử như đối với thử nghiệm xác định giải phóng nhiệt lượng mô tả trong Điều 8 tuy nhiên thử nghiệm không có khung cố định.
Bề mặt lộ lửa của mẫu thử mới trong mỗi thử nghiệm ứng với một mức thông lượng nhiệt khác nhau, đo và ghi thời gian xuất hiện ngọn lửa cháy ổn định đối với mỗi mức. Xác định giá trị thông lượng nhiệt nhỏ nhất bằng phương pháp đúng dần. Đầu tiên xác định ở mức thô là 5 kW/m2 và sau đó gần đến giá trị tinh là 1 kW/m2.
Xác định giá trị thông lượng nhiệt thấp nhất tại thời điểm xuất hiện bắt cháy ổn định và giá trị cao nhất tại thời điểm không xuất hiện bắt cháy. Giá trị thông lượng nhiệt nhỏ nhất đối với quá trình bắt cháy được định nghĩa theo giá trị trung bình giữa giá trị thông lượng nhiệt thấp nhất tại thời điểm bắt cháy và giá trị cao nhất tại thời điểm không bắt cháy trong vòng 15 min. Ví dụ, nếu mẫu thử bắt cháy tại 30 kW/m2 trong vòng 15 min, lặp lại quá trình thử mẫu tại 25 kW/m2, 20 kW/m2, 15 kW/m2 và 10 kW/m2 cho đến khi không có sự bắt cháy trong 15 min.
Nếu các kết quả thử nghiệm chỉ ra sự giao nhau, trong đó giá trị thông lượng nhiệt thấp nhất tại thời điểm xảy ra bắt cháy thấp hơn giá trị thông lượng nhiệt cao nhất tại thời điểm không có bắt cháy thì cần thiết thực hiện các thử nghiệm lại đối với mỗi thử nghiệm và các kết quả trung bình. Giá trị thông lượng nhiệt trung bình cao nhất khi không bắt cháy trong 15 min và giá trị thông lượng nhiệt trung bình thấp nhất khi bắt cháy trong vòng 15 min được báo cáo là giá trị thông lượng nhiệt nhỏ nhất đối với quá trình bắt cháy.
Thư mục tài liệu tham khảo
[1] ISO291:1997, Plastics -Standard atmospheres for conditioning and testing.
[2] TCVN 13953:2024 (ISO 5657:1997), Thử nghiệm phản ứng với lửa-Tính bắt cháy của vật liệu xây dựng khi sử dụng nguồn nhiệt bức xạ.
[3] ISO 5725:1986, Precision of test methods - Determination of repeatability and reproducibility for a standardtest method by inter-laboratory tests (now withdrawn).
[4] TCVN 6910-1 (ISO 5725-1) Độ chính xác (độ đúng và độ chụm) của phương pháp đo và kết quả đo - Phần 1: Nguyên tắc và định nghĩa chung.
[5] TCVN 6910-2 (ISO 5725-2), Độ chính xác (độ đúng và độ chụm) của phương pháp đo và kết quả đo - Phần 2: Phương pháp cơ bản xác định độ lặp lại và độ tái lập của phương pháp đo tiêu chuẩn.
[6] ISO/TR 3814:1989, Tests for measuring “reaction-to-fire" of building materials - Their development andapplication.
[7] ISO/TS 14934-1, Reaction-to-fire tests - Calibration and use of radiometers and heat flux meters - Part 1:General principles.
[8] ASTM E1354-99, standard Test Method for Heat and Visible Smoke Release Rates for Materials and Products Using an Oxygen Consumption Calorimeter.
[9] ASTM E 662, standard Test Method for Specific Optical Density of Smoke Generated by Solid Materials.
[10] BS 6809:1987, Method for calibration of radiometers for use in fire testing.
[11] BS 7904:1998, Guide to smoke measurement units - Their basis and use in smoke capacity test methods.
[12] DIN 50055:1989, Light measuring system for testing smoke development.
[13] BABRAUSKAS, V. Development of the cone calorimeter - A bench-scale heat release rate apparatus based on oxygen consumption, Fire and Materials, 8, 1984, pp. 81-95.
[14] TWILLEY, W.H. and BABRAUSKAS, V., User's guide for the Cone calorimeter, NBS Special Publication SP 745, National Bureau of Standards, U.S., (1988).
[15] JANSSENS, M.L. Measuring rate of heat release by oxygen consumption, Fire Technology, 27, 1991, pp. 234-249.
[16] BABRAUSKAS, V. and GRAYSON, S.J. eds., Heat release in fires. Interscien Communication Ltd, London, 1992.
[17] ӦSTMAN, B. A.-L. and TSANTARIDIS, L.D. Smoke Production in the Cone Calorimeter and the Room Fire Test,Fire Safety Journal, 17, 1991, pp. 27-43.
[18] LAUREYS, K. and SCHOONACKER F. Wetenschappelijke evaluatie van opaciteitsmeet systemen voor pyrolyseenverbrandingsgassen. (Scientific Evaluation of Smoke Opacity Measuring Systems for Pyrolysis and Combustion Gases), University of Gent Faculty of Applied Sciences, 1989.
[19] MARNIX SENNESAEL P. Wiskundige studie van het dynamisch gedrag van rookopaciteitsme etsystemen. (Mathematical study of the Dynamical Behaviour of Smoke Opacity measuring Systems), University of Gent Faculty of Applied Sciences, 1989.
[20] CHOW, W. K. and LAI, K. F. Optical Measurement of Smoke. Fire and Materials, 16, 1992, pp. 135-139.
[21] MULHOLLAND, G. How Well Are We Measuring Smoke? Fire and Materials, 6, 1982, pp. 65-67.
[22] BABRAUSKAS, V. and WETTERLUND, I. Choice of Optical Calibration Filters for Laser Photometers, Fire SafetyJournal, 24, 1995, pp. 197-199.
[23] BABRAUSKAS, V. and MULHOLLAND, G. Smoke and Soot Data Determinations in the Cone Calorimeter, pp. 83-104, in Mathematical Modeling of Fires (ASTM STP 983). American Society for Testing and Materials, Philadelphia, 1987.
[24] BABRAUSKAS, V. The Cone Calorimeter (Section 3/Chapter 3), pp. 3-37 - 3-52, in The SFPE Handbook of FireProtection Engineering, Second Edition, National Fire Protection Association, Quincy, MA, 1995.
[25] MARSHALL, N. R. and HARRISON, R. Comparison of Smoke Particles Generated within a Small Scale Hood andDuct Smoke Test Apparatus with those in a Cumulative Apparatus, BRE Note N67/91. Fire Research station, Borehamwood, 1991.
[26] SUNDSTRӦM, B., Fire Safety of Upholstered Furniture. Final report on the CBUF (Combustion Behaviour of Upholstered Furniture), (Appendix A5), pp. 307-325, Interscience Communications, London, UK.
Mục lục
1 Phạm vi áp dụng
2 Tài liệu viện dẫn
3 Thuật ngữ và định nghĩa
4 Ký hiệu
5 Nguyên tắc
6 Thiết bị
7 Sản phẩm phù hợp cho phép thử
8 Tạo mẫu và chuẩn bị mẫu
9 Môi trường thử nghiệm
10 Quy trình hiệu chuẩn
11 Quy trình thử nghiệm
12 Biểu thị kết quả
13 Báo cáo thử nghiệm
Phụ lục A (tham khảo) Các hướng dẫn và lưu ý đối với thí nghiệm viên
Phụ lục B (tham khảo) Tính toán bổ sung - Chuẩn hóa tốc độ mất khối lượng của diện tích cản sáng riêng của mẫu thử
Phụ lục C (tham khảo) Độ phân giải, độ chụm và sai lệch
Phụ lục D (tham khảo) Tốc độ mất khối lượng và nhiệt hiệu dụng của quá trình cháy
Phụ lục E (tham khảo) Thử nghiệm theo phương thẳng đứng
Phụ lục F (tham khảo) Hiệu chuẩn đầu đo thông lượng nhiệt dùng cho thử nghiệm
Phụ lục G (tham khảo) Tính nhiệt lượng giải phóng bằng bộ phận tích khí bổ sung
Phụ lục H (tham khảo) Tính thông lượng nhiệt tới hạn hiệu dụng của quá trình bắt cháy
Thư mục tài liệu tham khảo
Bạn chưa Đăng nhập thành viên.
Đây là tiện ích dành cho tài khoản thành viên. Vui lòng Đăng nhập để xem chi tiết. Nếu chưa có tài khoản, vui lòng Đăng ký tại đây!













