Danh mục
|
Tổng đài trực tuyến 19006192
|
|
Mục lục
  • Tổng quan
  • Nội dung
  • VB gốc
  • Tiếng Anh
  • Hiệu lực
  • VB liên quan
  • Lược đồ
  • Nội dung hợp nhất 

    Tính năng này chỉ có tại LuatVietnam.vn. Nội dung hợp nhất tổng hợp lại tất cả các quy định còn hiệu lực của văn bản gốc và các văn bản sửa đổi, bổ sung, đính chính... trên một trang. Việc hợp nhất văn bản gốc và những văn bản, Thông tư, Nghị định hướng dẫn khác không làm thay đổi thứ tự điều khoản, nội dung.

    Khách hàng chỉ cần xem Nội dung hợp nhất là có thể nắm bắt toàn bộ quy định hiện hành đang áp dụng, cho dù văn bản gốc đã qua nhiều lần chỉnh sửa, bổ sung.

    =>> Xem hướng dẫn chi tiết cách sử dụng Nội dung hợp nhất

  • Tải về
Mục lục
Lưu
Đây là tiện ích dành cho tài khoản Tiêu chuẩn hoặc Nâng cao Vui lòng Đăng nhập tài khoản để xem chi tiết.
Theo dõi VB
Đây là tiện ích dành cho tài khoản Tiêu chuẩn hoặc Nâng cao Vui lòng Đăng nhập tài khoản để xem chi tiết.
Ghi chú
Báo lỗi
In

Thông tư 17/2025/TT-BTP Quy định Chế độ báo cáo thống kê ngành Tư pháp

Cơ quan ban hành: Bộ Tư pháp
Số công báo:
Số công báo là mã số ấn phẩm được đăng chính thức trên ấn phẩm thông tin của Nhà nước. Mã số này do Chính phủ thống nhất quản lý.
Đang cập nhật
Số hiệu: 17/2025/TT-BTP Ngày đăng công báo: Đang cập nhật
Loại văn bản: Thông tư Người ký: Mai Lương Khôi
Ngày ban hành:
Ngày ban hành là ngày, tháng, năm văn bản được thông qua hoặc ký ban hành.
24/10/2025
Ngày hết hiệu lực:
Ngày hết hiệu lực là ngày, tháng, năm văn bản chính thức không còn hiệu lực (áp dụng).
Đang cập nhật
Áp dụng:
Ngày áp dụng là ngày, tháng, năm văn bản chính thức có hiệu lực (áp dụng).
Đã biết
Tiện ích dành cho tài khoản Tiêu chuẩn hoặc Nâng cao. Vui lòng Đăng nhập tài khoản để xem chi tiết.
Tình trạng hiệu lực:
Cho biết trạng thái hiệu lực của văn bản đang tra cứu: Chưa áp dụng, Còn hiệu lực, Hết hiệu lực, Hết hiệu lực 1 phần; Đã sửa đổi, Đính chính hay Không còn phù hợp,...
Đã biết
Tiện ích dành cho tài khoản Tiêu chuẩn hoặc Nâng cao. Vui lòng Đăng nhập tài khoản để xem chi tiết.
Lĩnh vực: Tư pháp-Hộ tịch

TÓM TẮT THÔNG TƯ 17/2025/TT-BTP

Quy định mới về chế độ báo cáo thống kê ngành Tư pháp

Ngày 24/10/2025, Bộ Tư pháp đã ban hành Thông tư 17/2025/TT-BTP quy định chế độ báo cáo thống kê ngành Tư pháp, có hiệu lực từ ngày 01/11/2025.

Thông tư này áp dụng cho các hoạt động thống kê trong nhiều lĩnh vực thuộc ngành Tư pháp như thẩm định chính sách, xây dựng văn bản pháp luật, hòa giải ở cơ sở, công chứng, luật sư, trợ giúp pháp lý, và nhiều lĩnh vực khác. Đối tượng áp dụng bao gồm các Bộ, cơ quan ngang Bộ, Ủy ban nhân dân các cấp, các đơn vị thuộc Bộ Tư pháp, Sở Tư pháp, doanh nghiệp nhà nước, và các tổ chức hành nghề luật sư, công chứng, đấu giá tài sản, cùng các cơ quan, tổ chức liên quan khác.

- Nội dung chế độ báo cáo thống kê

  1. Biểu mẫu báo cáo: Thông tư quy định danh mục báo cáo thống kê ngành Tư pháp và hệ thống biểu mẫu báo cáo, bao gồm các khái niệm, phương pháp tính, cách ghi biểu, và nguồn số liệu.

  2. Kỳ báo cáo: Các kỳ báo cáo bao gồm kỳ báo cáo sơ bộ 6 tháng, sơ bộ năm, thống kê tròn năm, và báo cáo thống kê đột xuất. Thời điểm và nội dung cụ thể của báo cáo đột xuất sẽ do Lãnh đạo Bộ Tư pháp yêu cầu.

  3. Thời hạn và phương thức báo cáo: Thời hạn nhận báo cáo được ghi cụ thể trên từng biểu mẫu. Đơn vị báo cáo có thể gửi báo cáo qua phần mềm thống kê, văn bản điện tử, hoặc văn bản giấy.

  4. Chỉnh lý và ước tính số liệu: Đơn vị báo cáo phải chỉnh lý, bổ sung số liệu khi cần thiết. Việc ước tính số liệu thống kê trên phạm vi toàn quốc do Cục Kế hoạch - Tài chính, Bộ Tư pháp thực hiện.

- Trách nhiệm của các đơn vị liên quan

  • Cục Kế hoạch - Tài chính, Bộ Tư pháp: Là đầu mối tiếp nhận báo cáo, tổ chức phân tích, dự báo thống kê, và xây dựng báo cáo chỉ tiêu kinh tế - xã hội.
  • Các đơn vị khác thuộc Bộ Tư pháp: Phối hợp với Cục Kế hoạch - Tài chính để đảm bảo số liệu thống kê đầy đủ, chính xác.
  • Đơn vị báo cáo: Chấp hành đúng quy định, gửi báo cáo đầy đủ, đúng hạn, và chịu trách nhiệm về tính chính xác của số liệu.
  • Đơn vị nhận báo cáo: Kiểm tra, đối chiếu, tổng hợp số liệu, và yêu cầu chỉnh lý khi cần thiết.

- Thông tư này thay thế Thông tư số 03/2019/TT-BTP và có một số quy định cụ thể sẽ có hiệu lực từ ngày 01/01/2026.

Xem chi tiết Thông tư 17/2025/TT-BTP có hiệu lực kể từ ngày 01/11/2025

Tải Thông tư 17/2025/TT-BTP

Tải văn bản tiếng Việt (.pdf) Thông tư 17/2025/TT-BTP PDF (Bản có dấu đỏ)

Đây là tiện ích dành cho tài khoản thành viên. Vui lòng Đăng nhập để xem chi tiết. Nếu chưa có tài khoản, Đăng ký tại đây!

Tải văn bản tiếng Việt (.doc) Thông tư 17/2025/TT-BTP DOC (Bản Word)

Đây là tiện ích dành cho tài khoản thành viên. Vui lòng Đăng nhập để xem chi tiết. Nếu chưa có tài khoản, Đăng ký tại đây!

Tình trạng hiệu lực: Đã biết
bgdocquyen
Hiệu lực: Đã biết
Tình trạng hiệu lực: Đã biết

BỘ TƯ PHÁP
______

Số: 17/2025/TT-BTP

CỘNG HÒA XÃ HỘI CHỦ NGHĨA VIỆT NAM
Độc lập - Tự do - Hạnh phúc
______________________
Hà Nội, ngày 24 tháng 10 năm 2025

THÔNG TƯ

Quy định Chế độ báo cáo thống kê ngành tư pháp

______________

Căn cứ Luật Thống kê số 89/2015/QH13; Luật sửa đổi, bổ sung một số điều và Phụ lục Danh mục chỉ tiêu thống kê quốc gia của Luật Thống kê số 01/2021/QH15;

Căn cứ Nghị định số 94/2016/NĐ-CP của Chính phủ quy định chi tiết và hướng dẫn thi hành một số điều của Luật Thống kê;

Căn cứ Nghị định số 94/2022/NĐ-CP của Chính phủ quy định nội dung chỉ tiêu thống kê thuộc hệ thống chỉ tiêu thống kê quốc gia và quy trình biên soạn chỉ tiêu tổng sản phẩm trong nước, chỉ tiêu tổng sản phẩm trên địa bàn tỉnh, thành phố trực thuộc Trung ương;

Căn cứ Nghị định số 62/2024/NĐ-CP của Chính phủ sửa đổi, bổ sung một số điều, phụ lục của Nghị định số 94/2016/NĐ-CP của Chính phủ quy định chi tiết và hướng dẫn thi hành một số điều của Luật Thống kê và Nghị định số 94/2022/NĐ-CP của Chính phủ quy định nội dung chỉ tiêu thống kê thuộc hệ thống chỉ tiêu thống kê quốc gia và quy trình biên soạn chỉ tiêu tổng sản phẩm trong nước, chỉ tiêu tổng sản phẩm trên địa bàn tỉnh, thành phố trực thuộc trung ương;

Căn cứ Nghị định số 39/2025/NĐ-CP của Chính phủ quy định chức năng, nhiệm vụ, quyền hạn và cơ cấu tổ chức của Bộ Tư pháp;

Theo đề nghị của Cục trưởng Cục Kế hoạch - Tài chính;

Bộ trưởng Bộ Tư pháp ban hành Thông tư quy định Chế độ báo cáo thống kê ngành Tư pháp.

Điều 1. Phạm vi điều chỉnh

Đang theo dõi

1. Thông tư này quy định chế độ báo cáo thống kê ngành Tư pháp để thu thập thông tin thống kê thuộc hệ thống chỉ tiêu thống kê quốc gia do Bộ Tư pháp chịu trách nhiệm thu thập, tổng hợp; thông tin thống kê thuộc hệ thống chỉ tiêu thống kê ngành Tư pháp và thông tin thống kê khác phục vụ yêu cầu quản lý ngành, lĩnh vực.

Đang theo dõi

2. Chế độ báo cáo thống kê quy định tại Thông tư này áp dụng đối với hoạt động thống kê trong các lĩnh vực sau:

Đang theo dõi

a) Thẩm định chính sách, dự thảo văn bản quy phạm pháp luật;

Đang theo dõi

b) Xây dựng, ban hành văn bản quy phạm pháp luật;

Đang theo dõi

c) Kiểm tra văn bản quy phạm pháp luật theo thẩm quyền;

Đang theo dõi

d) Rà soát văn bản quy phạm pháp luật

Đang theo dõi

đ) Phổ biến, giáo dục pháp luật;

Đang theo dõi

e) Hòa giải ở cơ sở;

Đang theo dõi

g) Chuẩn tiếp cận pháp luật;

Đang theo dõi

h) Hộ tịch;

Đang theo dõi

i) Quốc tịch;

Đang theo dõi

k) Nuôi con nuôi;

Đang theo dõi

l) Chứng thực;

Đang theo dõi

m) Công chứng;

Đang theo dõi

n) Luật sư;

Đang theo dõi

o) Giám định tư pháp;

Đang theo dõi

p) Đấu giá tài sản;

Đang theo dõi

q) Trọng tài thương mại;

Đang theo dõi

r) Trợ giúp pháp lý;

Đang theo dõi

s) Đăng ký biện pháp bảo đảm;

Đang theo dõi

t) Tương trợ tư pháp về dân sự;

Đang theo dõi

u) Pháp chế;

Đang theo dõi

v) Hòa giải thương mại;

Đang theo dõi

x) Quản lý thanh lý tài sản;

Đang theo dõi

y) Hỗ trợ pháp lý cho doanh nghiệp nhỏ và vừa.

Đang theo dõi

3. Đối với lĩnh vực thuộc thẩm quyền quản lý của Bộ Tư pháp không quy định tại khoản 2 Điều này, hoạt động thống kê hoặc có tính chất thống kê thực hiện theo quy định tại các văn bản quy phạm pháp luật điều chỉnh lĩnh vực đó.

Đang theo dõi

Điều 2. Đối tượng áp dụng

Đang theo dõi

1. Bộ, cơ quan ngang Bộ, cơ quan thuộc Chính phủ.

Đang theo dõi

2. Ủy ban nhân dân các cấp.

Đang theo dõi

3. Đơn vị thuộc Bộ Tư pháp.

Đang theo dõi

4. Sở Tư pháp và cơ quan chuyên môn khác thuộc Ủy ban nhân dân cấp tỉnh.

Đang theo dõi

5. Doanh nghiệp nhà nước.

Đang theo dõi

6. Tổ chức hành nghề luật sư, công chứng, đấu giá tài sản, quản lý thanh lý tài sản.

Đang theo dõi

7. Tổ chức giám định tư pháp, hòa giải thương mại, trọng tài thương mại.

Đang theo dõi

8. Hòa giải viên thương mại vụ việc, Quản tài viên đăng ký hành nghề cá nhân.

Đang theo dõi

9. Cơ quan đăng ký biện pháp bảo đảm, giao dịch, tài sản.

Đang theo dõi

10. Tổ chức thực hiện trợ giúp pháp lý.

Đang theo dõi

11. Cơ quan, tổ chức khác có liên quan theo quy định của pháp luật.

Đang theo dõi

Điều 3. Nội dung chế độ báo cáo thống kê

Đang theo dõi

1. Biểu mẫu báo cáo:

Đang theo dõi

a) Danh mục báo cáo thống kê ngành Tư pháp (gồm: số thứ tự, ký hiệu biểu, tên biểu, kỳ báo cáo, đơn vị báo cáo, đơn vị nhận báo cáo) quy định tại Phụ lục I kèm theo Thông tư này;

Đang theo dõi

b) Hệ thống biểu mẫu báo cáo thống kê và nội dung giải thích biểu mẫu (gồm: khái niệm, phương pháp tính, cách ghi biểu, nguồn số liệu) quy định tại Phụ lục IV kèm theo Thông tư này.

Đang theo dõi

2. Đơn vị báo cáo và đơn vị nhận báo cáo:

Đang theo dõi

a) Đơn vị báo cáo được ghi cụ thể tại góc trên, bên phải của từng biểu mẫu báo cáo;

Đang theo dõi

b) Đơn vị nhận báo cáo được ghi cụ thể tại góc trên, bên phải của từng biểu mẫu báo cáo, dưới dòng ghi đơn vị báo cáo.

Đang theo dõi

3. Kỳ báo cáo:

Kỳ báo cáo thống kê là khoảng thời gian nhất định quy định đơn vị báo cáo thống kê phải thể hiện kết quả hoạt động bằng số liệu theo các tiêu chí thống kê trong biểu mẫu báo cáo thống kê. Kỳ báo cáo thống kê được ghi ở phần giữa của từng biểu mẫu báo cáo, dưới tên biểu. Các kỳ báo cáo thống kê gồm:

Đang theo dõi

a) Kỳ báo cáo sơ bộ 6 tháng: gồm số liệu thực tế tính từ ngày 01 tháng 01 đến hết ngày 31 tháng 5 năm báo cáo;

Đang theo dõi

b) Kỳ báo cáo sơ bộ năm: gồm số liệu thực tế tính từ ngày 01 tháng 01 đến hết ngày 31 tháng 10 năm báo cáo;

Đang theo dõi

c) Kỳ báo cáo thống kê tròn năm: gồm toàn bộ số liệu thực tế tính từ ngày 01 tháng 01 đến hết ngày 31 tháng 12 năm báo cáo;

Đang theo dõi

d) Báo cáo thống kê đột xuất: được thực hiện để Bộ Tư pháp thu thập, tổng hợp thông tin ngoài các thông tin thống kê được thu thập, tổng hợp theo định kỳ quy định tại các điểm a, b, c khoản này. Thời điểm lấy số liệu, thời hạn báo cáo, nội dung cụ thể của báo cáo thống kê đột xuất thực hiện theo yêu cầu bằng văn bản do Lãnh đạo Bộ Tư pháp ký.

Đang theo dõi

4. Thời hạn nhận báo cáo thống kê:

Thời hạn nhận báo cáo thống kê của từng đơn vị nhận báo cáo được ghi cụ thể tại góc trên, bên trái của từng biểu mẫu báo cáo thống kê, dưới dòng ký hiệu biểu mẫu. Nếu ngày cuối cùng của thời hạn nhận báo cáo trùng với ngày nghỉ lễ, tết hoặc ngày nghỉ cuối tuần, thì ngày nhận báo cáo là ngày làm việc kế tiếp.

Thời hạn nhận báo cáo được tổng hợp tại Phụ lục II kèm theo Thông tư này.

Đang theo dõi

5. Phương thức báo cáo thống kê:

Căn cứ điều kiện thực tế, đơn vị báo cáo lựa chọn một trong các hình thức sau để gửi báo cáo đến đơn vị nhận báo cáo:

Đang theo dõi

a) Báo cáo trên Phần mềm thống kê ngành Tư pháp, được xác thực bằng tài khoản cấp cho đại diện đơn vị báo cáo và nhận báo cáo;

Đang theo dõi

b) Báo cáo bằng văn bản điện tử dưới dạng tệp tin điện tử, được xác thực bằng chữ ký số của thủ trưởng đơn vị báo cáo hoặc văn bản điện tử dưới dạng ảnh của báo cáo giấy quy định tại điểm c khoản này;

Đang theo dõi

c) Báo cáo bằng văn bản giấy có chữ ký của thủ trưởng, đóng dấu của đơn vị báo cáo (nếu có), gửi đến đơn vị nhận báo cáo theo đường bưu điện hoặc gửi trực tiếp.

Đang theo dõi

6. Chỉnh lý báo cáo thống kê:

Đang theo dõi

a) Trường hợp số liệu, thông tin thống kê còn thiếu hoặc chưa đảm bảo tính chính xác, hợp lý thì đơn vị báo cáo phải chỉnh lý, bổ sung ngay sau khi tự phát hiện hoặc đơn vị nhận báo yêu cầu;

Đang theo dõi

b) Báo cáo thống kê sau khi chỉnh lý, bổ sung phải được gửi ngay đến đơn vị nhận báo cáo theo phương thức quy định tại khoản 5 Điều này.

Đang theo dõi

7. Ước tính số liệu thống kê:

Đang theo dõi

a) Việc ước tính số liệu thống kê trên phạm vi toàn quốc do Cục Kế hoạch - Tài chính, Bộ Tư pháp thực hiện. Phương pháp ước tính số liệu và cách ghi số liệu thực tế, số liệu ước tính thực hiện theo hướng dẫn chi tiết tại Phụ lục III ban hành kèm theo Thông tư này;

Đang theo dõi

b) Các cơ quan, đơn vị có thể vận dụng phương pháp ước tính số liệu quy định tại điểm a khoản này để ước tính số liệu thống kê phục vụ công tác quản lý của cơ quan, đơn vị, địa phương.

Đang theo dõi

Điều 4. Trách nhiệm của các đơn vị liên quan

Đang theo dõi

1. Trách nhiệm của Cục Kế hoạch - Tài chính, Bộ Tư pháp:

Đang theo dõi

a) Là đầu mối tiếp nhận báo cáo thống kê của các đơn vị báo cáo gửi đến Bộ Tư pháp; hướng dẫn, đôn đốc, kiểm tra việc thực hiện chế độ báo cáo thống kê quy định tại Thông tư này;

Đang theo dõi

b) Tổ chức phân tích, dự báo thống kê; tổng hợp các thông tin thống kê chủ yếu để phục vụ hoạt động sơ kết, tổng kết công tác hằng năm của Ngành và hoạt động công bố, phổ biến thông tin thống kê ngành Tư pháp theo quy định của pháp luật;

Đang theo dõi

c) Chủ trì xây dựng báo cáo thống kê chỉ tiêu kinh tế - xã hội của Bộ Tư pháp gửi Văn phòng Chính phủ phục vụ sự chỉ đạo điều hành của Chính phủ, Thủ tướng Chính phủ; báo cáo chỉ tiêu thống kê quốc gia thuộc trách nhiệm thu thập, tổng hợp của Bộ Tư pháp gửi Bộ Tài chính (Cục Thống kê) theo quy định;

Đang theo dõi

d) Chủ trì, phối hợp với Cục Công nghệ thông tin , Bộ Tư pháp và các đơn vị liên quan xây dựng Phần mềm thống kê ngành Tư pháp, hướng dẫn nghiệp vụ báo cáo thống kê trên phần mềm. Tổ chức xây dựng, quản lý cơ sở dữ liệu thống kê của Ngành.

Đang theo dõi

2. Trách nhiệm của các đơn vị khác thuộc Bộ Tư pháp:

Đang theo dõi

a) Phối hợp chặt chẽ với Cục Kế hoạch - Tài chính, Văn phòng Bộ trong việc rà soát, đối chiếu số liệu từ các báo cáo thống kê gửi đến Bộ Tư pháp, đảm bảo số liệu thống kê trong lĩnh vực quản lý của đơn vị được đầy đủ, chính xác, trung thực, khách quan, phục vụ kịp thời, hiệu quả công tác chỉ đạo, điều hành của Lãnh đạo Bộ, ngành.

Đang theo dõi

b) Kết nối, chia sẻ dữ liệu từ phần mềm, hệ thống thông tin, nền tảng số, cơ sở dữ liệu chuyên ngành do đơn vị quản lý (nếu có) với Phần mềm thống kê ngành Tư pháp.

Đang theo dõi

c) Cục Công nghệ thông tin chủ trì, phối hợp với Cục Kế hoạch - Tài chính bảo đảm hạ tầng, kỹ thuật công nghệ thông tin để Phần mềm thống kê ngành Tư pháp được vận hành thông suốt; đảm bảo quy định về an toàn, an ninh hệ thống và bảo mật thông tin theo quy định.

Đang theo dõi

3. Trách nhiệm của đơn vị báo cáo:

Đang theo dõi

a) Chấp hành đúng quy định về báo cáo thống kê quy định tại Thông tư này. Gửi đầy đủ, đúng hạn các báo cáo; chịu trách nhiệm về tính đầy đủ, chính xác của số liệu báo cáo thống kê; kịp thời chỉnh lý, bổ sung báo cáo thống kê theo yêu cầu của đơn vị nhận báo cáo hoặc khi tự phát hiện số liệu, thông tin thống kê còn thiếu hoặc chưa đảm bảo tính chính xác, hợp lý;

Đang theo dõi

b) Tổ chức thực hiện ứng dụng công nghệ thông tin để việc thu thập, tổng hợp, báo cáo số liệu theo chế độ báo cáo thống kê quy định tại Thông tư này được đầy đủ, chính xác, kịp thời;

Đang theo dõi

c) Thực hiện các trách nhiệm khác theo quy định của pháp luật về thống kê.

Đang theo dõi

4. Trách nhiệm của đơn vị nhận báo cáo:

Đang theo dõi

a) Kiểm tra, đối chiếu, tổng hợp số liệu, thông tin thống kê từ các báo cáo thống kê nhận được để xây dựng báo cáo thống kê của cấp mình;

Đang theo dõi

b) Kịp thời yêu cầu đơn vị báo cáo chỉnh lý số liệu có sai sót, bổ sung số liệu, thông tin thống kê còn thiếu hoặc giải trình, thuyết minh những vấn đề liên quan;

Đang theo dõi

c) Trong trường hợp cần thiết, phối hợp với các cơ quan, tổ chức có liên quan thực hiện đối chiếu các thông tin thống kê đã nhận được, hoặc căn cứ vào các nguồn thông tin chính thức khác để chỉnh lý, bổ sung số liệu thống kê, bảo đảm tính chính xác, toàn diện, khách quan của thông tin thống kê và chịu trách nhiệm về việc chỉnh lý, bổ sung đó;

Đang theo dõi

d) Thực hiện các trách nhiệm khác theo quy định của pháp luật về thống kê.

Đang theo dõi

Điều 5. Tổ chức thực hiện

Đang theo dõi

1. Cục Kế hoạch - Tài chính, Bộ Tư pháp giúp Bộ trưởng Bộ Tư pháp chỉ đạo, tổ chức thi hành Thông tư này trên phạm vi toàn quốc.

Đang theo dõi

2. Thủ trưởng các Bộ, cơ quan ngang Bộ, cơ quan thuộc Chính phủ, Chủ tịch Ủy ban nhân dân các cấp trong phạm vi thẩm quyền, nhiệm vụ được giao tổ chức thực hiện Thông tư này; bố trí các điều kiện đảm bảo thực hiện Thông tư phù hợp với quy định của pháp luật.

Đang theo dõi

3. Thủ trưởng các đơn vị thuộc Bộ Tư pháp, Giám đốc Sở Tư pháp, Thủ trưởng các cơ quan, tổ chức có liên quan, trong phạm vi thẩm quyền của mình có trách nhiệm tổ chức thực hiện, theo dõi, kiểm tra, đôn đốc việc thực hiện chế độ báo cáo thống kê quy định tại Thông tư này, bảo đảm hoạt động thống kê của cơ quan, đơn vị đúng quy định.

Đang theo dõi

4. Trong quá trình triển khai thực hiện Thông tư này, nếu có khó khăn, vướng mắc, đề nghị kịp thời phản ánh về Bộ Tư pháp để nghiên cứu, giải quyết.

Đang theo dõi

Điều 6. Hiệu lực thi hành

Đang theo dõi

1. Thông tư này có hiệu lực thi hành từ ngày 01 tháng 11 năm 2025.

Riêng quy định về phân tổ “Số xã, phường, đặc khu đạt chuẩn tiếp cận pháp luật” thuộc Biểu mẫu 05c/TP/HGCS-TCPL (Kết quả công tác hòa giải ở cơ sở; số xã, phường, đặc khu đạt chuẩn tiếp cận pháp luật trên địa bàn tỉnh/thành phố) và phân tổ “đối tượng theo quy định của Luật Tư pháp người chưa thành niên” thuộc Biểu mẫu 15a/TP/TGPL (Số lượt người đã được trợ giúp pháp lý) có hiệu lực thi hành từ ngày 01 tháng 01 năm 2026.

Đang theo dõi

2. Thông tư số 03/2019/TT-BTP ngày 20 tháng 3 năm 2019 của Bộ trưởng Bộ Tư pháp quy định một số nội dung về hoạt động thống kê của ngành Tư pháp hết hiệu lực kể từ ngày Thông tư này có hiệu lực thi hành./.

Đang theo dõi

 Nơi nhận:
- Ban Bí thư Trung ương Đảng;
- Thủ tướng, các Phó Thủ tướng Chính phủ;
- Các Bộ, cơ quan ngang Bộ, cơ quan thuộc Chính phủ;
- HĐND, UBND các tỉnh, thành phố;
- Văn phòng Trung ương và các Ban của Đảng;
- Văn phòng Quốc hội;
- Văn phòng Chủ tịch nước;
- Văn phòng Chính phủ;
- Tòa án nhân dân tối cao;
- Viện kiểm sát nhân dân tối cao;
- Ủy ban Trung ương Mặt trận Tổ quốc Việt Nam;
- Bộ Tư pháp: Bộ trưởng, các Thứ trưởng, các đơn vị thuộc Bộ;
- Sở Tư pháp các tỉnh, thành phố;
- Công báo; cổng thông tin điện tử Chính phủ; Cơ sở dữ liệu quốc gia về văn bản quy phạm pháp luật; cổng Pháp luật quốc gia; Công Thông tin điện tử Bộ Tư pháp;
- Lưu: VT, KHTC (05).

KT. BỘ TRƯỞNG
THỨ TRƯỞNG




Mai Lương Khôi

Tải biểu mẫu

BỘ TƯ PHÁP
______

CỘNG HÒA XÃ HỘI CHỦ NGHĨA VIỆT NAM
Độc lập - Tự do - Hạnh phúc

______________________

Phụ lục I

DANH MỤC BIỂU MẪU BÁO CÁO THỐNG KÊ NGÀNH TƯ PHÁP

(Ban hành kèm theo Thông tư số 17/2025/TT-BTP quy định Chế độ báo cáo thống kê ngành Tư pháp)

I. DANH MỤC BIỂU MẪU BÁO CÁO THỐNG KÊ NGÀNH TƯ PHÁP CHIA THEO LĨNH VỰC

STT

Ký hiệu biểu

Tên biểu

Kỳ báo cáo

Đơn vị báo cáo

Đơn vị nhận báo cáo

1

01a/TP/TĐ-BH

Số dự thảo (DT) văn bản quy phạm pháp luật (VBQPPL), số thủ tục hành chính (TTHC) tại DT VBQPPL được thẩm định; số VBQPPL được ban hành tại cấp xã

Sơ bộ 6 tháng/sơ bộ năm/tròn năm

UBND xã/phường/đặc khu

Sở Tư pháp

2

01b/TP/TĐ

Số DT VBQPPL được thẩm định; Số DT VBQPPL được thẩm định có đánh giá tác động giới; Số TTHC tại DT VBQPPL được thẩm định trên địa bàn tỉnh/thành phố

Sơ bộ 6 tháng/sơ bộ năm/tròn năm

Sở Tư pháp

Bộ Tư pháp (Cục Kế hoạch - Tài chính)

3

01c/TP/BH-TĐG

Số VBQPPL được ban hành; Số VBQPPL ban hành có đánh giá tác động giới trên địa bàn tỉnh/thành phố

Sơ bộ 6 tháng/sơ bộ năm/tròn năm

Sở Tư pháp

Bộ Tư pháp (Cục Kế hoạch - Tài chính)

4

01d/TP/TĐ-BH- TĐG

Số DT VBQPPL, số TTHC tại DT VBQPPL của bộ, cơ quan ngang bộ đã thẩm định; số VBQPPL do bộ, cơ quan ngang bộ chủ trì soạn thảo đã được ban hành, có đánh giá tác động giới

Sơ bộ 6 tháng/sơ bộ năm/tròn năm

Bộ, cơ quan ngang Bộ (Tổ chức Pháp chế Bộ/cơ quan ngang Bộ)

Bộ Tư pháp (Cục Kế hoạch - Tài chính)

5

01e/TP/TĐ-BH- TĐG

Số văn bản chính sách, DT VBQPPL do Chính phủ trình đã được Bộ Tư pháp thẩm định; số VBQPPL do Bộ Tư pháp chủ trì soạn thảo đã được ban hành, có đánh giá tác động giới

Sơ bộ 6 tháng/sơ bộ năm/tròn năm

Đơn vị thuộc Bộ Tư pháp

Bộ Tư pháp (Cục Kế hoạch - Tài chính)

6

01g/TP/TĐTTHC

Số TTHC tại DT VBQPPL đã được Bộ Tư pháp thẩm định

Sơ bộ 6 tháng/sơ bộ năm/tròn năm

Vụ Công tác xây dựng VBQPPL, Bộ Tư pháp

Bộ Tư pháp (Cục Kế hoạch - Tài chính)

7

02a/TP/KTTTQ

Kết quả kiểm tra, xử lý văn bản theo thẩm quyền trên địa bàn tỉnh/thành phố

Sơ bộ 6 tháng/sơ bộ năm/tròn năm

Sở Tư pháp

Bộ Tư pháp (Cục Kế hoạch - Tài chính)

8

02b/TP/KTTTQ

Kết quả kiểm tra, xử lý văn bản theo thẩm quyền tại các bộ, cơ quan ngang bộ

Sơ bộ 6 tháng/sơ bộ năm/tròn năm

- Bộ/cơ quan ngang Bộ

- Cục Kiểm tra văn bản và Quản lý XLVPHC (Bộ Tư pháp)

Bộ Tư pháp (Cục Kế hoạch - Tài chính)

9

03a/TP/RSVB

Kết quả rà soát văn bản quy phạm pháp luật theo căn cứ là văn bản trên địa bàn cấp xã

Sơ bộ năm/tròn năm

UBND xã/phường/đặc khu

Sở Tư pháp

10

03b/TP/RSVB

Kết quả rà soát văn bản quy phạm pháp luật theo căn cứ là văn bản trên địa bàn tỉnh/thành phố

Sơ bộ năm/tròn năm

Sở Tư pháp

Bộ Tư pháp (Cục Kế hoạch - Tài chính)

11

03c/TP/RSVB

Kết quả rà soát văn bản quy phạm pháp luật theo căn cứ là văn bản tại các bộ, cơ quan ngang bộ

Sơ bộ năm/tròn năm

- Bộ/cơ quan ngang bộ….

- Cục Kiểm tra văn bản và Quản lý XLVPHC

Bộ Tư pháp (Cục Kế hoạch - Tài chính)

12

04a/TP/PBGDPL

Kết quả công tác phổ biến giáo dục pháp luật trên địa bàn xã/phường/đặc khu

Sơ bộ 6 tháng/sơ bộ năm/tròn năm

UBND xã/phường/đặc khu

Sở Tư pháp

13

04b/TP/PBGDPL

Kết quả công tác phổ biến giáo dục pháp luật tại cơ quan, tổ chức cấp tỉnh, doanh nghiệp nhà nước do UBND cấp tỉnh quản lý

Sơ bộ 6 tháng/sơ bộ năm/tròn năm

- Cơ quan chuyên môn thuộc UBND cấp tỉnh;

- Cơ quan Ủy ban Mặt trận Tổ quốc Việt Nam cấp tỉnh;

- Doanh nghiệp nhà nước do UBND cấp tỉnh quản lý.

Sở Tư pháp

14

04c/TP/PBGDPL

Kết quả công tác phổ biến giáo dục pháp luật trên địa bàn tỉnh/thành phố

Sơ bộ 6 tháng/sơ bộ năm/tròn năm

Sở Tư pháp

Bộ Tư pháp (Cục Kế hoạch - Tài chính)

15

04d/TP/PBGDPL

Kết quả công tác phổ biến giáo dục pháp luật tại các bộ, cơ quan ngang bộ, cơ quan thuộc Chính phủ và Cơ quan Ủy ban Trung ương Mặt trận Tổ quốc Việt Nam

Sơ bộ 6 tháng/sơ bộ năm/tròn năm

- Các Bộ, cơ quan ngang Bộ, cơ quan thuộc Chính phủ;

- Cơ quan Ủy ban Trung ương Mặt trận Tổ quốc Việt Nam;

- Đơn vị thuộc Bộ Tư pháp (Vụ, Cục…).

Bộ Tư pháp (Cục Kế hoạch - Tài chính)

16

05a/TP/HGCS

Kết quả hoạt động của tổ hoà giải ở cơ sở

Sơ bộ 6 tháng/sơ bộ năm/tròn năm

Tổ hòa giải

UBND xã/phường/đặc khu

17

05b/TP/HGCS

Kết quả công tác hòa giải ở cơ sở trên địa bàn xã

Sơ bộ 6 tháng/sơ bộ năm/tròn năm

UBND xã/phường/đặc khu

Sở Tư pháp

18

05c/TP/HGCS- TCPL

Kết quả công tác hòa giải ở cơ sở; số xã, phường, đặc khu đạt chuẩn tiếp cận pháp luật trên địa bàn tỉnh/thành phố

Sơ bộ 6 tháng/sơ bộ năm/tròn năm

Sở Tư pháp

Bộ Tư pháp (Cục Kế hoạch - Tài chính)

19

06a/TP/HT

Kết quả đăng ký khai sinh, khai tử, kết hôn tại ủy ban nhân dân (UBND) cấp xã

Sơ bộ năm/tròn năm

UBND xã/phường/đặc khu

Sở Tư pháp

20

06b/TP/HT

Kết quả đăng ký khai sinh, khai tử, kết hôn trên địa bàn tỉnh/thành phố

Sơ bộ năm/tròn năm

Sở Tư pháp

Bộ Tư pháp (Cục Kế hoạch - Tài chính)

21

06c/TP/HTK

Kết quả đăng ký các việc hộ tịch khác tại ủy ban nhân dân (UBND) cấp xã

Tròn năm

UBND xã/phường/đặc khu

Sở Tư pháp

22

06d/TP/HTK

Kết quả đăng ký các việc hộ tịch khác trên địa bàn tỉnh/thành phố

Tròn năm

Sở Tư pháp

Bộ Tư pháp (Cục Kế hoạch - Tài chính)

23

07/TP/QT

Số trường hợp đã được chủ tịch nước cho nhập/trở lại/thôi quốc tịch Việt Nam

Tròn năm

Cục Hành chính tư pháp (Bộ Tư pháp)

Bộ Tư pháp (Cục Kế hoạch - Tài chính)

24

08a/TP/CNTN

Kết quả đăng ký nuôi con nuôi trong nước tại ủy ban nhân dân (UBND) cấp xã

Sơ bộ 6 tháng/sơ bộ năm/tròn năm

UBND xã/phường/đặc khu

Sở Tư pháp

25

08b/TP/CNTN

Kết quả đăng ký nuôi con nuôi trong nước trên địa bàn tỉnh/thành phố

Sơ bộ 6 tháng/sơ bộ năm/tròn năm

Sở Tư pháp

Bộ Tư pháp (Cục Kế hoạch - Tài chính)

26

08c/TP/CNTN

Kết quả giải quyết cho trẻ em Việt Nam làm con nuôi nước ngoài trên địa bàn tỉnh/thành phố

Sơ bộ 6 tháng/sơ bộ năm/tròn năm

Sở Tư pháp

Bộ Tư pháp (Cục Kế hoạch - Tài chính)

27

08d/TP/CNNN

Kết quả đăng ký nuôi con nuôi trong nước tại cơ quan đại diện Việt Nam ở nước ngoài

Tròn năm

Bộ Ngoại giao

Bộ Tư pháp (Cục Kế hoạch - Tài chính)

28

09a/TP/CT

Kết quả chứng thực tại ủy ban nhân dân (UBND) cấp xã

Sơ bộ 6 tháng/sơ bộ năm/tròn năm

UBND xã/phường/đặc khu

Sở Tư pháp

29

09b/TP/CT

Kết quả chứng thực trên địa bàn tỉnh/thành phố

Sơ bộ 6 tháng/sơ bộ năm/tròn năm

Sở Tư pháp

Bộ Tư pháp (Cục Kế hoạch - Tài chính)

30

09c/TP/CT

Kết quả chứng thực của các cơ quan đại diện Việt Nam ở nước ngoài

Tròn năm

Bộ Ngoại giao

Bộ Tư pháp (Cục Kế hoạch - Tài chính)

31

10a/TP/CC

Tổ chức và kết quả hoạt động của tổ chức hành nghề công chứng

Sơ bộ 6 tháng/sơ bộ năm/tròn năm

Phòng công chứng/Văn phòng công chứng

Sở Tư pháp

32

10b/TP/CC

Số tổ chức và kết quả hoạt động công chứng trên địa bàn tỉnh/thành phố

Sơ bộ 6 tháng/sơ bộ năm/tròn năm

Sở Tư pháp

Bộ Tư pháp (Cục Kế hoạch - Tài chính)

33

11a/TP/LSTN

Số luật sư và kết quả hoạt động của tổ chức hành nghề luật sư

Sơ bộ 6 tháng/sơ bộ năm/tròn năm

Văn phòng Luật sư/Công ty Luật

Sở Tư pháp

34

11b/TP/LSTN

Số tổ chức và kết quả hoạt động của các tổ chức hành nghề luật sư trên địa bàn tỉnh/thành phố

Sơ bộ 6 tháng/sơ bộ năm/tròn năm

Sở Tư pháp

Bộ Tư pháp (Cục Kế hoạch - Tài chính)

35

11c/TP/LSTN

Kết quả hoạt động cấp chứng chỉ hành nghề luật sư trên địa bàn tỉnh/thành phố

Sơ bộ 6 tháng/sơ bộ năm/tròn năm

Sở Tư pháp

Bộ Tư pháp (Cục Kế hoạch - Tài chính)

36

12a/TP/GĐTP

Số vụ việc đã thực hiện giám định tư pháp tại các tổ chức giám định tư pháp công lập ở trung ương/địa phương

Sơ bộ năm/tròn năm

- Tổ chức giám định tư pháp công lập (TCGĐTPCL) ở trung ương;

- TCGĐTPCL ở địa phương

- Bộ, cơ quan ngang bộ chủ quản của TCGĐTPCL cấp Trung ương: nhận báo cáo của TCGĐTPCL ở Trung ương

- Ban, ngành cấp tỉnh; cơ quan chuyên môn của UBND tỉnh quản lý lĩnh vực giám định tư pháp: nhận báo cáo của TCGĐTPCL ở địa phương

37

12b/TP/GĐTP

Số vụ việc đã thực hiện giám định tư pháp tại các tổ chức giám định tư pháp theo vụ việc ở trung ương/địa phương và Văn phòng giám định tư pháp ở địa phương

Sơ bộ năm/tròn năm

Tổ chức giám định tư pháp (TCGĐTP) theo vụ việc ở trung ương và địa phương, Văn phòng giám định tư pháp ở địa phương

- Bộ/cơ quan ngang bộ chủ quản: nhận báo cáo của Tổ chức giám định tư pháp theo vụ việc ở trung ương;

- Ban, ngành cấp tỉnh; cơ quan chuyên môn của UBND cấp tỉnh: nhận báo cáo của TCGĐTP theo vụ việc ở địa phương và Văn phòng giám định tư pháp ở địa phương;

- Sở Tư pháp: nhận báo cáo của Ban, ngành cấp tỉnh; cơ quan chuyên môn của UBND cấp tỉnh...

38

12c/TP/GĐTP

Số vụ việc đã thực hiện giám định tư pháp trên địa bàn tỉnh/thành phố

Sơ bộ năm/tròn năm

- Ban, ngành cấp tỉnh; cơ quan chuyên môn của UBND cấp tỉnh.

- Sở Tư pháp.

- Sở Tư pháp: nhận báo cáo của Ban, ngành cấp tỉnh; cơ quan chuyên môn của UBND cấp tỉnh.

- Bộ Tư pháp (Cục Kế hoạch - Tài chính): nhận báo cáo của Sở Tư pháp;

39

12d/TP/GĐTP

Số vụ việc đã thực hiện giám định tư pháp tại bộ, cơ quan ngang bộ

Sơ bộ năm/tròn năm

Bộ, cơ quan ngang bộ

Bộ Tư pháp (Cục Kế hoạch - Tài chính)

40

13a/TP/ĐGTS

Số đấu giá viên và kết quả hoạt động đấu giá tài sản của tổ chức hành nghề đấu giá tài sản

Sơ bộ năm/tròn năm

Trung tâm dịch vụ đấu giá tài sản/Doanh nghiệp đấu giá tài sản

Sở Tư pháp

41

13b/TP/ĐGTS

Số tổ chức và kết quả hoạt động đấu giá tài sản trên địa bàn tỉnh/thành phố

Sơ bộ năm/tròn năm

Sở Tư pháp

Bộ Tư pháp (Cục Kế hoạch - Tài chính)

42

14a/TP/TTTM

Số tổ chức và kết quả hoạt động của tổ chức trọng tài

Sơ bộ năm/tròn năm

Trung tâm trọng tài /Chi nhánh, Văn phòng đại diện của tổ chức trọng tài nước ngoài tại Việt Nam

Sở Tư pháp

43

14b/TP/TTTM

Số tổ chức và kết quả hoạt động của các tổ chức trọng tài trên địa bàn tỉnh/thành phố

Sơ bộ năm/tròn năm

Sở Tư pháp

Bộ Tư pháp (Cục Kế hoạch - Tài chính)

44

15a/TP/TGPL

Số lượt người đã được trợ giúp pháp lý

Sơ bộ 6 tháng/sơ bộ năm/tròn năm

- Trung tâm TGPL nhà nước tỉnh, thành phố/Tổ chức ký hợp đồng thực hiện TGPL/ Tổ chức đăng ký tham gia TGPL

- Sở Tư pháp

- Sở Tư pháp nhận báo cáo của Trung tâm TGPL nhà nước tỉnh/thành phố, Tổ chức ký hợp đồng thực hiện TGPL, Tổ chức đăng ký tham gia TGPL.

- Bộ Tư pháp (Cục Kế hoạch - Tài chính) nhận báo cáo của Sở Tư pháp

45

15b/TP/TGPL

Số vụ việc trợ giúp pháp lý (TGPL)

Sơ bộ 6 tháng/sơ bộ năm/tròn năm

- Trung tâm TGPL nhà nước tỉnh, thành phố/Tổ chức ký hợp đồng thực hiện TGPL/ Tổ chức đăng ký tham gia TGPL

- Sở Tư pháp

- Sở Tư pháp nhận báo cáo của Trung tâm TGPL nhà nước tỉnh/thành phố, Tổ chức ký hợp đồng thực hiện TGPL, Tổ chức đăng ký tham gia TGPL.

- Bộ Tư pháp (Cục Kế hoạch - Tài chính) nhận báo cáo của Sở Tư pháp

46

15c/TP/TGPL

Số tổ chức và số người thực hiện trợ giúp pháp lý (TGPL)

Sơ bộ năm/tròn năm

- Trung tâm TGPL nhà nước tỉnh, thành phố/Tổ chức ký hợp đồng thực hiện TGPL/ Tổ chức đăng ký tham gia TGPL

- Sở Tư pháp

- Sở Tư pháp nhận báo cáo của Trung tâm TGPL nhà nước tỉnh/thành phố, Tổ chức ký hợp đồng thực hiện TGPL, Tổ chức đăng ký tham gia TGPL.

- Bộ Tư pháp (Cục Kế hoạch - Tài chính) nhận báo cáo của Sở Tư pháp

47

16a/TP/ĐKBPBĐ

Kết quả đăng ký, cung cấp thông tin về biện pháp bảo đảm, hợp đồng bằng động sản (không phải là tàu bay, tàu biển, chứng khoán đã đăng ký tập trung), bằng cây hằng năm, công trình tạm

Sơ bộ năm/tròn năm

- Trung tâm Đăng ký giao dịch, tài sản của Cục Đăng ký giao dịch bảo đảm và Bồi thường nhà nước thuộc Bộ Tư pháp

- Cục Đăng ký giao dịch bảo đảm và Bồi thường nhà nước (Bộ Tư pháp)

- Cục Đăng ký giao dịch bảo đảm và Bồi thường nhà nước: nhận báo cáo của các Trung tâm Đăng ký giao dịch, tài sản

- Bộ Tư pháp (Cục Kế hoạch - Tài chính): nhận báo cáo của Cục Đăng ký giao dịch bảo đảm và Bồi thường nhà nước

48

16b/TP/ĐKBPBĐ

Kết quả đăng ký, cung cấp thông tin về biện pháp bảo đảm bằng quyền sử dụng đất, tài sản gắn liền với đất

Sơ bộ năm/tròn năm

- Văn phòng đăng ký đất đai

- Sở Tư pháp

- Sở Tư pháp: nhận báo cáo của các Văn phòng đăng ký đất đai

- Bộ Tư pháp (Cục Kế hoạch - Tài chính): nhận báo cáo của các Sở Tư pháp

49

16c/TP/ĐKBPBĐ

Kết quả đăng ký, cung cấp thông tin về biện pháp bảo đảm bằng tàu bay

Sơ bộ năm/tròn năm

Bộ Xây dựng

Bộ Tư pháp (Cục Kế hoạch - Tài chính)

50

16d/TP/ĐKBPBĐ

Kết quả đăng ký, cung cấp thông tin về biện pháp bảo đảm bằng tàu biển

Sơ bộ năm/tròn năm

Bộ Xây dựng

Bộ Tư pháp (Cục Kế hoạch - Tài chính)

51

16e/TP/ĐKBPBĐ

Kết quả đăng ký, cung cấp thông tin về biện pháp bảo đảm bằng chứng khoán đã đăng ký tập trung

Sơ bộ năm/tròn năm

Bộ Tài chính

Bộ Tư pháp (Cục Kế hoạch - Tài chính)

52

17/TP/TTTP

Số hồ sơ ủy thác tư pháp về dân sự của Bộ Tư pháp

Sơ bộ 6 tháng/sơ bộ năm/tròn năm

Vụ Pháp luật quốc tế (Bộ Tư pháp)

Bộ Tư pháp (Cục Kế hoạch - Tài chính)

53

18a/TP/PC

Số tổ chức và người làm công tác pháp chế tại Cục và tương đương thuộc bộ, cơ quan ngang bộ, cơ quan thuộc Chính phủ, Bộ chỉ huy quân sự tỉnh/thành phố, Công an tỉnh/thành phố, doanh nghiệp nhà nước và đơn vị sự nghiệp công lập tại Trung ương và địa phương

Sơ bộ năm/tròn năm

- Cục và tương đương thuộc bộ/cơ quan ngang bộ, cơ quan thuộc Chính phủ;

- Doanh nghiệp Nhà nước ở Trung ương;

- Đơn vị sự nghiệp thuộc bộ/cơ quan ngang bộ, cơ quan thuộc Chính phủ;

- Bộ chỉ huy quân sự/Công an tỉnh/thành phố;

- Doanh nghiệp nhà nước do UBND cấp tỉnh quản lý;

- Đơn vị sự nghiệp công lập do UBND cấp tỉnh quản lý;

- Đơn vị sự nghiệp công lập do cơ quan chuyên môn của UBND cấp tỉnh quản lý.

- Bộ chủ quản nhận báo cáo của Cục và tương đương, Doanh nghiệp nhà nước và đơn vị sự nghiệp do bộ quản lý; Bộ Quốc phòng, Bộ Công an nhận báo cáo của Cục và tương đương, Doanh nghiệp nhà nước và đơn vị sự nghiệp do bộ quản lý, Bộ chỉ huy quân sự/Công an tỉnh/thành phố;

- VP UBND tỉnh/thành phố nhận báo cáo của Doanh nghiệp Nhà nước và đơn vị sự nghiệp công lập trực thuộc UBND tỉnh/thành phố;

- Cơ quan chuyên môn của UBND tỉnh/thành phố nhận báo cáo của đơn vị sự nghiệp công lập thuộc quyền quản lý.

54

18b/TP/PC

Số tổ chức và người làm công tác pháp chế tại cơ quan chuyên môn thuộc UBND cấp tỉnh, doanh nghiệp nhà nước, đơn vị sự nghiệp công lập tỉnh/thành phố

Sơ bộ năm/tròn năm

- UBND tỉnh/thành phố (Văn phòng UBND)...

- Thanh tra tỉnh/thành phố...

- Sở...

Sở Tư pháp

55

18c/TP/PC

Số tổ chức và người làm công tác pháp chế trên địa bàn tỉnh/thành phố

Sơ bộ năm/tròn năm

Sở Tư pháp

Bộ Tư pháp (Cục Kế hoạch - Tài chính)

56

18d/TP/PC

Số tổ chức pháp chế và người làm công tác pháp chế tại bộ, cơ quan ngang bộ, cơ quan thuộc Chính phủ, doanh nghiệp nhà nước, đơn vị sự nghiệp công lập thuộc bộ, cơ quan ngang bộ, cơ quan thuộc Chính phủ

Sơ bộ năm/tròn năm

Bộ, cơ quan ngang bộ, cơ quan thuộc Chính phủ

Bộ Tư pháp (Cục Kế hoạch - Tài chính)

57

19a/TP/HGTM

Tổ chức và kết quả hoạt động hòa giải thương mại

Sơ bộ năm/tròn năm

Trung tâm hòa giải/Trung tâm trọng tài có đăng ký hoạt động hòa giải/Chi nhánh, Văn phòng đại diện của tổ chức hòa giải nước ngoài tại Việt Nam/Hòa giải viên thương mại vụ việc

Sở Tư pháp

58

19b/TP/HGTM

Số tổ chức và kết quả hoạt động hòa giải thương mại trên địa bàn tỉnh/thành phố

Sơ bộ năm/tròn năm

Sở Tư pháp

Bộ Tư pháp (Cục Kế hoạch - Tài chính)

59

20a/TP/QLTLTS

Số tổ chức và kết quả hoạt động QLTLTS

Sơ bộ năm/tròn năm

Doanh nghiệp quản lý, thanh lý tài sản/Quản tài viên đăng ký hành nghề cá nhân

Sở Tư pháp

60

20b/TP/QLTLTS

Số tổ chức và kết quả hoạt động QLTLTS trên địa bàn tỉnh/thành phố

Sơ bộ năm/tròn năm

Sở Tư pháp

Bộ Tư pháp (Cục Kế hoạch - Tài chính)

61

21a/TP/HTPLDN

Kết quả triển khai công tác hỗ trợ pháp lý cho doanh nghiệp nhỏ và vừa tại cơ quan chuyên môn thuộc UBND cấp tỉnh

Sơ bộ 6 tháng/sơ bộ năm/tròn năm

Cơ quan chuyên môn thuộc UBND cấp tỉnh

Sở Tư pháp

62

21b/TP/HTPLDN

Kết quả triển khai công tác hỗ trợ pháp lý cho doanh nghiệp nhỏ và vừa tại UBND cấp tỉnh

Sơ bộ 6 tháng/sơ bộ năm/tròn năm

Sở Tư pháp

Bộ Tư pháp (Cục Kế hoạch - Tài chính)

II. DANH MỤC BIỂU MẪU BÁO CÁO THỐNG KÊ NGÀNH TƯ PHÁP CHIA THEO CHỦ THỂ BÁO CÁO

STT

Ký hiệu biểu

Tên biểu

Kỳ báo cáo

Đơn vị nhận báo cáo

1. Tổ hòa giải (01 biểu)

1

05a/TP/HGCS

Kết quả hoạt động của tổ hoà giải ở cơ sở

Sơ bộ 6 tháng/sơ bộ năm/tròn năm

UBND xã/phường/đặc khu

2. UBND cấp xã (08 biểu)

1

01a/TP/TĐ-BH

Số dự thảo văn bản quy phạm pháp luật (VBQPPL), số TTHC được thẩm định; số VBQPPL được ban hành, được lồng ghép vấn đề bình đẳng giới tại cấp xã

Sơ bộ 6 tháng/sơ bộ năm/tròn năm

Sở Tư pháp

2

03a/TP/RSVB

Kết quả rà soát văn bản quy phạm pháp luật theo căn cứ là văn bản trên địa bàn cấp xã

Sơ bộ năm/tròn năm

Sở Tư pháp

3

04a/TP/PBGDPL

Kết quả công tác phổ biến giáo dục pháp luật trên địa bàn xã/phường/đặc khu

Sơ bộ 6 tháng/sơ bộ năm/tròn năm

Sở Tư pháp

4

05b/TP/HGCS

Kết quả công tác hòa giải ở cơ sở trên địa bàn xã/phường/đặc khu

Sơ bộ 6 tháng/sơ bộ năm/tròn năm

Sở Tư pháp

5

06a/TP/HT

Kết quả đăng ký khai sinh, khai tử, kết hôn tại ủy ban nhân dân (UBND) cấp xã

Sơ bộ năm/tròn năm

Sở Tư pháp

6

06c/TP/HTK

Kết quả đăng ký các việc hộ tịch khác tại ủy ban nhân dân (UBND) cấp xã

Tròn năm

Sở Tư pháp

7

08a/TP/CNTN

Kết quả đăng ký nuôi con nuôi trong nước tại ủy ban nhân dân (UBND) cấp xã

Sơ bộ 6 tháng/sơ bộ năm/tròn năm

Sở Tư pháp

8

09a/TP/CT

Kết quả chứng thực tại ủy ban nhân dân (UBND) cấp xã

Sơ bộ 6 tháng/sơ bộ năm/tròn năm

Sở Tư pháp

3. Sở Tư pháp (25 biểu)

1

01b/TP/TĐ

Số Dự thảo VBQPPL được thẩm định; số TTHC tại Dự thảo VBQPPL được thẩm định trên địa bàn tỉnh/thành phố

Sơ bộ 6 tháng/sơ bộ năm/tròn năm

Bộ Tư pháp (Cục Kế hoạch - Tài chính)

2

01c/TP/BH-TĐG

Số VBQPPL được ban hành; số VBQPPL ban hành được lồng ghép vấn đề bình đẳng giới trên địa bàn tỉnh/thành phố

Sơ bộ 6 tháng/sơ bộ năm/tròn năm

Bộ Tư pháp (Cục Kế hoạch - Tài chính)

3

02a/TP/KTTTQ

Kết quả kiểm tra, xử lý văn bản theo thẩm quyền trên địa bàn tỉnh

Sơ bộ 6 tháng/sơ bộ năm/tròn năm

Bộ Tư pháp (Cục Kế hoạch - Tài chính)

4

03b/TP/RSVB

Kết quả rà soát văn bản quy phạm pháp luật theo căn cứ là văn bản trên địa bàn tỉnh/thành phố

Sơ bộ năm/tròn năm

Bộ Tư pháp (Cục Kế hoạch - Tài chính)

5

04c/TP/PBGDPL

Kết quả công tác phổ biến giáo dục pháp luật trên địa bàn tỉnh/thành phố

Sơ bộ 6 tháng/sơ bộ năm/tròn năm

Bộ Tư pháp (Cục Kế hoạch - Tài chính)

6

05c/TP/HGCS- TCPL

Kết quả công tác hòa giải ở cơ sở; số xã, phường, đặc khu đạt chuẩn tiếp cận pháp luật trên địa bàn tỉnh/thành phố

Sơ bộ 6 tháng/sơ bộ năm/tròn năm

Bộ Tư pháp (Cục Kế hoạch - Tài chính)

7

06b/TP/HT

Kết quả đăng ký khai sinh, khai tử, kết hôn trên địa bàn tỉnh/thành phố

Sơ bộ năm/tròn năm

Bộ Tư pháp (Cục Kế hoạch - Tài chính)

8

06d/TP/HTK

Kết quả đăng ký các việc hộ tịch khác trên địa bàn tỉnh/thành phố

Tròn năm

Bộ Tư pháp (Cục Kế hoạch - Tài chính)

9

08b/TP/CNTN

Kết quả đăng ký nuôi con nuôi trong nước trên địa bàn tỉnh/thành phố

Sơ bộ 6 tháng/sơ bộ năm/tròn năm

Bộ Tư pháp (Cục Kế hoạch - Tài chính)

10

08c/TP/CNTN

Kết quả giải quyết cho trẻ em Việt Nam làm con nuôi nước ngoài trên địa bàn tỉnh/thành phố

Sơ bộ 6 tháng/sơ bộ năm/tròn năm

Bộ Tư pháp (Cục Kế hoạch - Tài chính)

11

09b/TP/CT

Kết quả chứng thực trên địa bàn tỉnh/thành phố

Sơ bộ 6 tháng/sơ bộ năm/tròn năm

Bộ Tư pháp (Cục Kế hoạch - Tài chính)

12

10b/TP/CC

Số tổ chức và kết quả hoạt động công chứng trên địa bàn tỉnh/thành phố

Sơ bộ 6 tháng/sơ bộ năm/tròn năm

Bộ Tư pháp (Cục Kế hoạch - Tài chính)

13

11b/TP/LSTN

Số tổ chức và kết quả hoạt động của các tổ chức hành nghề luật sư trên địa bàn tỉnh/thành phố

Sơ bộ 6 tháng/sơ bộ năm/tròn năm

Bộ Tư pháp (Cục Kế hoạch - Tài chính)

14

11c/TP/LSTN

Kết quả hoạt động cấp chứng chỉ hành nghề luật sư trên địa bàn tỉnh/thành phố

Sơ bộ 6 tháng/sơ bộ năm/tròn năm

Bộ Tư pháp (Cục Kế hoạch - Tài chính)

15

12c/TP/GĐTP

Số vụ việc đã thực hiện giám định tư pháp trên địa bàn tỉnh/thành phố

Sơ bộ năm/tròn năm

Bộ Tư pháp (Cục Kế hoạch - Tài chính)

16

13b/TP/ĐGTS

Số tổ chức và kết quả hoạt động đấu giá tài sản trên địa bàn tỉnh/thành phố

Sơ bộ năm/tròn năm

Bộ Tư pháp (Cục Kế hoạch - Tài chính)

17

14b/TP/TTTM

Số hình tổ chức và kết quả hoạt động của các tổ chức trọng tài trên địa bàn tỉnh/thành phố

Sơ bộ năm/tròn năm

Bộ Tư pháp (Cục Kế hoạch - Tài chính)

18

15a/TP/TGPL

Số lượt người đã được trợ giúp pháp lý

Sơ bộ 6 tháng/sơ bộ năm/tròn năm

Bộ Tư pháp (Cục Kế hoạch - Tài chính)

19

15b/TP/TGPL

Số vụ việc trợ giúp pháp lý (TGPL)

Sơ bộ 6 tháng/sơ bộ năm/tròn năm

Bộ Tư pháp (Cục Kế hoạch - Tài chính)

20

15c/TP/TGPL

Số tổ chức và số người thực hiện trợ giúp pháp lý (TGPL)

Sơ bộ năm/tròn năm

Bộ Tư pháp (Cục Kế hoạch - Tài chính)

21

16b/TP/ĐKBPBĐ

Kết quả đăng ký, cung cấp thông tin về biện pháp bảo đảm bằng quyền sử dụng đất, tài sản gắn liền với đất

Sơ bộ năm/tròn năm

Bộ Tư pháp (Cục Kế hoạch - Tài chính)

22

18c/TP/PC

Số tổ chức và người làm công tác pháp chế trên địa bàn tỉnh/thành phố

Sơ bộ năm/tròn năm

Bộ Tư pháp (Cục Kế hoạch - Tài chính)

23

19b/TP/HGTM

Số tổ chức và kết quả hoạt động hòa giải thương mại trên địa bàn tỉnh/thành phố

Sơ bộ năm/tròn năm

Bộ Tư pháp (Cục Kế hoạch - Tài chính)

24

20b/TP/QLTLTS

Số tổ chức và kết quả hoạt động quản lý thanh lý tài sản trên địa bàn tỉnh/thành phố

Sơ bộ năm/tròn năm

Bộ Tư pháp (Cục Kế hoạch - Tài chính)

25

21b/TP/HTPLDN

Kết quả triển khai công tác hỗ trợ pháp lý cho doanh nghiệp nhỏ và vừa tại UBND cấp tỉnh

Sơ bộ 6 tháng/sơ bộ năm/tròn năm

Bộ Tư pháp (Cục Kế hoạch - Tài chính)

4. Các Sở, ngành và một số tổ chức ở địa phương

4.1. Ban, ngành cấp tỉnh; cơ quan chuyên môn thuộc UBND cấp tỉnh (04 biểu)

1

04b/TP/PBGDPL

Kết quả công tác phổ biến giáo dục pháp luật tại cơ quan, tổ chức cấp tỉnh, doanh nghiệp nhà nước do UBND cấp tỉnh quản lý

Sơ bộ 6 tháng/sơ bộ năm/tròn năm

Sở Tư pháp

2

12c/TP/GĐTP

Số vụ việc đã thực hiện giám định tư pháp trên địa bàn tỉnh/thành phố

Sơ bộ năm/tròn năm

Sở Tư pháp

3

18b/TP/PC

Số tổ chức và người làm công tác pháp chế tại cơ quan chuyên môn thuộc UBND cấp tỉnh, doanh nghiệp nhà nước, đơn vị sự nghiệp công lập tỉnh/thành phố

Sơ bộ năm/tròn năm

Sở Tư pháp

4

21a/TP/HTPLDN

Kết quả triển khai công tác hỗ trợ pháp lý cho doanh nghiệp nhỏ và vừa tại cơ quan chuyên môn thuộc UBND cấp tỉnh

Sơ bộ 6 tháng/sơ bộ năm/tròn năm

Sở Tư pháp

4.2. Doanh nghiệp nhà nước do UBND cấp tỉnh quản lý (02 biểu)

1

04b/TP/PBGDPL

Kết quả công tác phổ biến giáo dục pháp luật tại cơ quan, tổ chức cấp tỉnh, doanh nghiệp nhà nước do UBND cấp tỉnh quản lý

Sơ bộ 6 tháng/sơ bộ năm/tròn năm

Sở Tư pháp

2

18a/TP/PC

Số tổ chức và người làm công tác pháp chế tại Cục và tương đương thuộc bộ, cơ quan ngang bộ, cơ quan thuộc Chính phủ, Bộ chỉ huy quân sự tỉnh/thành phố, Công an tỉnh/thành phố, doanh nghiệp nhà nước và đơn vị sự nghiệp công lập tại Trung ương và địa phương

Sơ bộ năm/tròn năm

Sở Tư pháp

4.3. Đơn vị sự nghiệp công lập do UBND cấp tỉnh/Đơn vị sự nghiệp công lập do cơ quan chuyên môn của UBND cấp tỉnh quản lý (01 biểu)

1

18a/TP/PC

Số tổ chức và người làm công tác pháp chế tại Cục và tương đương thuộc bộ, cơ quan ngang bộ, cơ quan thuộc Chính phủ, Bộ chỉ huy quân sự tỉnh/thành phố, Công an tỉnh/thành phố, doanh nghiệp nhà nước và đơn vị sự nghiệp công lập tại Trung ương và địa phương

Sơ bộ năm/tròn năm

Sở Tư pháp

4.4. Văn phòng đăng ký đất đai (01 biểu)

1

16b/TP/ĐKBPBĐ

Kết quả đăng ký, cung cấp thông tin về biện pháp bảo đảm bằng quyền sử dụng đất, tài sản gắn liền với đất

Sơ bộ năm/tròn năm

Sở Tư pháp

4.5. Trung tâm trợ giúp pháp lý nhà nước tỉnh, thành phố/ Tổ chức ký hợp đồng thực hiện TGPL/Tổ chức đăng ký tham gia trợ giúp pháp lý (03 biểu)

1

15a/TP/TGPL

Số lượt người đã được trợ giúp pháp lý

Sơ bộ 6 tháng/sơ bộ năm/tròn năm

Sở Tư pháp

2

15b/TP/TGPL

Số vụ việc trợ giúp pháp lý (TGPL)

Sơ bộ 6 tháng/sơ bộ năm/tròn năm

Sở Tư pháp

3

15c/TP/TGPL

Số tổ chức và số người thực hiện trợ giúp pháp lý (TGPL)

Sơ bộ năm/tròn năm

Sở Tư pháp

4.6. Tổ chức giám định tư pháp công lập ở cấp tỉnh (01 biểu)

1

12a/TP/GĐTP

Số vụ việc đã thực hiện giám định tư pháp tại các tổ chức giám định tư pháp công lập ở trung ương/địa phương

Sơ bộ năm/tròn năm

Ban, ngành cấp tỉnh; cơ quan chuyên môn của UBND tỉnh quản lý lĩnh vực giám định tư pháp

4.7. Tổ chức giám định tư pháp theo vụ việc ở địa phương (01 biểu)

2

12b/TP/GĐTP

Số vụ việc đã thực hiện giám định tư pháp tại các tổ chức giám định tư pháp theo vụ việc ở trung ương/địa phương và Văn phòng giám định tư pháp ở địa phương

Sơ bộ năm/tròn năm

Ban, ngành cấp tỉnh; cơ quan chuyên môn của UBND tỉnh quản lý lĩnh vực giám định tư pháp

4.8. Văn phòng GĐTP ở địa phương (01 biểu)

1

12b/TP/GĐTP

Số vụ việc đã thực hiện giám định tư pháp tại các tổ chức giám định tư pháp theo vụ việc ở trung ương/địa phương và Văn phòng giám định tư pháp ở địa phương

Sơ bộ năm/tròn năm

Ban, ngành cấp tỉnh; cơ quan chuyên môn của UBND tỉnh quản lý lĩnh vực giám định tư pháp

4.9. Trung tâm dịch vụ đấu giá tài sản/Doanh nghiệp đấu giá tài sản (01 biểu)

1

13a/TP/ĐGTS

Số đấu giá viên và kết quả hoạt động đấu giá tài sản của tổ chức hành nghề đấu giá tài sản

Sơ bộ năm/tròn năm

Sở Tư pháp

4.10. Doanh nghiệp quản lý, thanh lý tài sản/ Quản tài viên đăng ký hành nghề cá nhân (01 biểu)

1

20a/TP/QLTLTS

Số tổ chức và kết quả hoạt động quản lý thanh lý tài sản

Sơ bộ năm/tròn năm

Sở Tư pháp

4.11. Văn phòng Luật sư/Công ty Luật (01 biểu)

1

11a/TP/LSTN

Số luật sư và kết quả hoạt động của tổ chức hành nghề luật sư

Sơ bộ 6 tháng/sơ bộ năm/tròn năm

Sở Tư pháp

4.12. Phòng công chứng/Văn phòng công chứng (01 biểu)

1

10a/TP/CC

Tổ chức và kết quả hoạt động của tổ chức hành nghề công chứng

Sơ bộ 6 tháng/sơ bộ năm/tròn năm

Sở Tư pháp

4.13. Trung tâm trọng tài/Chi nhánh, Văn phòng đại diện của tổ chức trọng tài nước ngoài tại Việt Nam (01 biểu) và Trung tâm trọng tài có đăng ký hoạt động hòa giải thương mại (02 biểu)

1

14a/TP/TTTM

Số tổ chức và kết quả hoạt động của tổ chức trọng tài

Sơ bộ năm/tròn năm

Sở Tư pháp

2

19a/TP/HGTM

Tổ chức và kết quả hoạt động hòa giải thương mại

Sơ bộ năm/tròn năm

Sở Tư pháp

4.14. Trung tâm hòa giải/Chi nhánh, Văn phòng đại diện của tổ chức hòa giải nước ngoài tại Việt Nam/ Hòa giải viên thương mại vụ việc (01 biểu)

1

19a/TP/HGTM

Tổ chức và kết quả hoạt động hòa giải thương mại

Sơ bộ năm/tròn năm

Sở Tư pháp

4.15. Bộ chỉ huy quân sự tỉnh/thành phố; Công an tỉnh/thành phố (01 biểu)

1

18a/TP/PC

Số tổ chức và người làm công tác pháp chế tại Cục và tương đương thuộc bộ, cơ quan ngang bộ, cơ quan thuộc Chính phủ, Bộ chỉ huy quân sự tỉnh/thành phố, Công an tỉnh/thành phố, doanh nghiệp nhà nước và đơn vị sự nghiệp công lập tại Trung ương và địa phương

Sơ bộ năm/tròn năm

Bộ Quốc phòng/Bộ Công an

4.16. Cơ quan Ủy ban Mặt trận Tổ quốc Việt Nam cấp tỉnh (01 biểu)

1

04b/TP/PBGDPL

Kết quả công tác phổ biến giáo dục pháp luật tại cơ quan, tổ chức cấp tỉnh, doanh nghiệp nhà nước do UBND cấp tỉnh quản lý

Sơ bộ 6 tháng/sơ bộ năm/tròn năm

Sở Tư pháp

5. Bộ, cơ quan ngang Bộ, cơ quan thuộc Chính phủ và một số tổ chức ở Trung ương

5.1. Bộ, cơ quan ngang Bộ (06 biểu)

1

01d/TP/TĐ-BH- TĐG

Số DT VBQPPL, số TTHC tại DT VBQPPL của bộ, cơ quan ngang bộ đã thẩm định; số VBQPPL do bộ, cơ quan ngang bộ chủ trì soạn thảo đã được ban hành, có đánh giá tác động giới

Sơ bộ 6 tháng/sơ bộ năm/tròn năm

Bộ Tư pháp (Cục Kế hoạch - Tài chính)

2

02b/TP/KTTTQ

Kết quả kiểm tra, xử lý văn bản theo thẩm quyền tại các bộ, cơ quan ngang bộ

Sơ bộ 6 tháng/sơ bộ năm/tròn năm

Bộ Tư pháp (Cục Kế hoạch - Tài chính)

3

03c/TP/RSVB

Kết quả rà soát văn bản quy phạm pháp luật theo căn cứ là văn bản tại các bộ, cơ quan ngang bộ

Sơ bộ năm/tròn năm

Bộ Tư pháp (Cục Kế hoạch - Tài chính)

4

04d/TP/PBGDPL

Kết quả công tác phổ biến giáo dục pháp luật tại các bộ, cơ quan ngang bộ, cơ quan thuộc Chính phủ và Cơ quan Ủy ban Trung ương Mặt trận Tổ quốc Việt Nam

Sơ bộ 6 tháng/sơ bộ năm/tròn năm

Bộ Tư pháp (Cục Kế hoạch - Tài chính)

5

12d/TP/GĐTP

Số vụ việc đã thực hiện giám định tư pháp tại bộ, cơ quan ngang bộ

Sơ bộ năm/tròn năm

Bộ Tư pháp (Cục Kế hoạch - Tài chính)

6

18d/TP/PC

Số tổ chức pháp chế và người làm công tác pháp chế tại bộ, cơ quan ngang bộ, cơ quan thuộc Chính phủ, doanh nghiệp nhà nước, đơn vị sự nghiệp công lập thuộc bộ, cơ quan ngang bộ, cơ quan thuộc Chính phủ

Sơ bộ năm/tròn năm

Bộ Tư pháp (Cục Kế hoạch - Tài chính)

5.2. Cơ quan thuộc Chính phủ (02 biểu)

1

04d/TP/PBGDPL

Kết quả công tác phổ biến giáo dục pháp luật tại các bộ, cơ quan ngang bộ, cơ quan thuộc Chính phủ và Cơ quan Ủy ban Trung ương Mặt trận Tổ quốc Việt Nam

Sơ bộ 6 tháng/sơ bộ năm/tròn năm

Bộ Tư pháp (Cục Kế hoạch - Tài chính)

2

18d/TP/PC

Số tổ chức pháp chế và người làm công tác pháp chế tại bộ, cơ quan ngang bộ, cơ quan thuộc Chính phủ, doanh nghiệp nhà nước, đơn vị sự nghiệp công lập thuộc bộ, cơ quan ngang bộ, cơ quan thuộc Chính phủ

Sơ bộ năm/tròn năm

Bộ Tư pháp (Cục Kế hoạch - Tài chính)

5.3. Doanh nghiệp nhà nước ở Trung ương (01 biểu)

1

18a/TP/PC

Số tổ chức và người làm công tác pháp chế tại Cục và tương đương thuộc bộ, cơ quan ngang bộ, cơ quan thuộc Chính phủ, Bộ chỉ huy quân sự tỉnh/thành phố, Công an tỉnh/thành phố, doanh nghiệp nhà nước và đơn vị sự nghiệp công lập tại Trung ương và địa phương

Sơ bộ năm/tròn năm

Bộ chủ quản của Doanh nghiệp nhà nước ở Trung ương

5.4. Các Bộ có thêm biểu báo cáo riêng

a) Bộ Xây dựng (02 biểu)

1

16c/TP/ĐKBPBĐ

Kết quả đăng ký, cung cấp thông tin về biện pháp bảo đảm bằng tàu bay

Sơ bộ năm/tròn năm

Bộ Tư pháp (Cục Kế hoạch - Tài chính)

2

16d/TP/ĐKBPBĐ

Kết quả đăng ký, cung cấp thông tin về biện pháp bảo đảm bằng tàu biển

Sơ bộ năm/tròn năm

Bộ Tư pháp (Cục Kế hoạch - Tài chính)

b) Bộ Ngoại giao (02 biểu)

1

08d/TP/CNTN

Kết quả đăng ký nuôi con nuôi trong nước tại cơ quan đại diện Việt Nam ở nước ngoài

Tròn năm

Bộ Tư pháp (Cục Kế hoạch - Tài chính)

2

09c/TP/CT

Kết quả chứng thực của các cơ quan đại diện Việt Nam ở nước ngoài

Tròn năm

Bộ Tư pháp (Cục Kế hoạch - Tài chính)

5.5. Cơ quan Ủy ban Trung ương Mặt trận Tổ quốc Việt Nam (01 biểu)

1

04d/TP/PBGDPL

Kết quả công tác phổ biến giáo dục pháp luật tại các bộ, cơ quan ngang bộ, cơ quan thuộc Chính phủ và Cơ quan Ủy ban Trung ương Mặt trận Tổ quốc Việt Nam

Sơ bộ 6 tháng/sơ bộ năm/tròn năm

Bộ Tư pháp (Cục Kế hoạch - Tài chính)

5.6. Tổ chức giám định tư pháp công lập ở Trung ương (01 biểu)

1

12a/TP/GĐTP

Số vụ việc đã thực hiện giám định tư pháp tại các tổ chức giám định tư pháp công lập ở trung ương/địa phương

Sơ bộ năm/tròn năm

Bộ Tư pháp; Bộ, cơ quan ngang bộ chủ quản của TCGDDTPCL cấp Trung ương

5.7. Tổng công ty lưu ký và bù trừ chứng khoán Việt Nam thuộc Bộ Tài chính (01 biểu)

1

16e/TP/ĐKBPBĐ

Kết quả đăng ký, cung cấp thông tin về chứng khoán đã đăng ký tập trung

Sơ bộ năm/tròn năm

Bộ Tư pháp (Cục Kế hoạch - Tài chính)

6. Các đơn vị thuộc Bộ Tư pháp

6.1. Đơn vị thuộc Bộ (02 biểu)

1

01e/TP/TĐ-BH- BĐG

Số văn bản chính sách, DT VBQPPL do Chính phủ trình đã được Bộ Tư pháp thẩm định; số VBQPPL do Bộ Tư pháp chủ trì soạn thảo đã được ban hành, có đánh giá tác động giới

Sơ bộ 6 tháng/sơ bộ năm/tròn năm

Bộ Tư pháp (Cục Kế hoạch - Tài chính)

2

04d/TP/PBGDPL

Kết quả công tác phổ biến giáo dục pháp luật tại các bộ, cơ quan ngang bộ, cơ quan thuộc Chính phủ và Cơ quan Ủy ban Trung ương Mặt trận Tổ quốc Việt Nam

Sơ bộ 6 tháng/sơ bộ năm/tròn năm

Bộ Tư pháp (Cục Kế hoạch - Tài chính)

6.2. Các đơn vị thuộc Bộ có thêm biểu báo cáo riêng

a) Cục Kiểm tra văn bản và Quản lý XLVPHC (02 biểu)

1

02b/TP/KTTTQ

Kết quả kiểm tra, xử lý văn bản theo thẩm quyền tại các bộ, cơ quan ngang bộ

Sơ bộ 6 tháng/sơ bộ năm/tròn năm

Bộ Tư pháp (Cục Kế hoạch - Tài chính)

2

03c/TP/RSVB

Kết quả rà soát văn bản quy phạm pháp luật theo căn cứ là văn bản tại các bộ, cơ quan ngang bộ

Sơ bộ năm/tròn năm

Bộ Tư pháp (Cục Kế hoạch - Tài chính)

b) Vụ Pháp luật quốc tế (01 biểu)

1

17/TP/TTTP

Số hồ sơ ủy thác tư pháp về dân sự của Bộ Tư pháp

Sơ bộ 6 tháng/sơ bộ năm/tròn năm

Bộ Tư pháp (Cục Kế hoạch - Tài chính)

c) Cục Hành chính tư pháp (01 biểu)

1

07/TP/QT

Số trường hợp đã được chủ tịch nước cho nhập/trở lại/thôi quốc tịch Việt Nam

Tròn năm

Bộ Tư pháp (Cục Kế hoạch - Tài chính)

d) Vụ Công tác xây dựng VBQPPL (01 biểu)

1

01g/TP/TĐTTHC

Số TTHC tại DT VBQPPL đã được Bộ Tư pháp thẩm định

Sơ bộ 6 tháng/sơ bộ năm/tròn năm

Bộ Tư pháp (Cục Kế hoạch - Tài chính)

e) Cục Đăng ký giao dịch bảo đảm và Bồi thường nhà nước (01 biểu)

1

16a/TP/ĐKBPBĐ

Kết quả đăng ký, cung cấp thông tin về biện pháp bảo đảm, hợp đồng bằng động sản (không phải là tàu bay, tàu biển, chứng khoán đã đăng ký tập trung), bằng cây hằng năm, công trình tạm

Sơ bộ năm/tròn năm

Bộ Tư pháp (Cục Kế hoạch - Tài chính)

e) Trung tâm Đăng ký giao dịch, tài sản của Cục Đăng ký giao dịch bảo đảm và Bồi thường nhà nước (01 biểu)

1

16a/TP/ĐKBPBĐ

Kết quả đăng ký, cung cấp thông tin về biện pháp bảo đảm, hợp đồng bằng động sản (không phải là tàu bay, tàu biển, chứng khoán đã đăng ký tập trung), bằng cây hằng năm, công trình tạm

Sơ bộ năm/tròn năm

Cục Đăng ký giao dịch bảo đảm và Bồi thường nhà nước

Đang theo dõi
Tải biểu mẫu

BỘ TƯ PHÁP
______

CỘNG HÒA XÃ HỘI CHỦ NGHĨA VIỆT NAM
Độc lập - Tự do - Hạnh phúc

______________________

Phụ lục II

KỲ BÁO CÁO, THỜI ĐIỂM CHỐT SỐ LIỆU BÁO CÁO, THỜI HẠN NHẬN
BÁO CÁO

(Ban hành kèm theo Thông tư số 17/2025/TT-BTP quy định Chế độ báo cáo thống kê
ngành Tư pháp)

STT

Báo cáo sơ bộ 6 tháng

Báo cáo sơ bộ năm

Báo cáo tròn năm

Thời gian lấy số liệu thực tế

Thời hạn nhận báo cáo (của đơn vị nhận báo cáo)

Thời gian lấy số liệu thực tế

Thời hạn nhận báo cáo (của đơn vị nhận báo cáo)

Thời gian lấy số liệu thực tế

Thời hạn nhận báo cáo (của đơn vị nhận báo cáo)

(A)

(B)

(1)

(2)

(3)

(4)

(5)

(6)

1

UBND cấp xã

Từ ngày 01/01 đến ngày 31/5

Ngày 10/6

Từ ngày 01/01 đến ngày 31/10

Ngày 10/11

Từ ngày 01/01 đến ngày 31/12

Ngày 10/01 năm sau

2

- Các tổ chức ở địa phương: Tổ chức hành nghề luật sư; công chứng; bán đấu giá tài sản; giám định tư pháp; hòa giải thương mại; quản lý thanh lý tài sản; đăng ký giao dịch bảo đảm; trợ giúp pháp lý.

- Hòa giải viên thương mại vụ việc; Quản tài viên đăng ký hành nghề cá nhân.

Từ ngày 01/01 đến ngày 31/5

Ngày 10/6

Từ ngày 01/01 đến ngày 31/10

Ngày 10/11

Từ ngày 01/01 đến ngày 31/12

Ngày 10/01 năm sau

3

- Ban, ngành cấp tỉnh; cơ quan chuyên môn thuộc UBND cấp tỉnh;

- Doanh nghiệp nhà nước do UBND cấp tỉnh quản lý theo khoản 2 Điều 10 của Nghị định số 55/2011/NĐ-CP

Từ ngày 01/01 đến ngày 31/5

Ngày 10/6

Từ ngày 01/01 đến ngày 31/10

Ngày 10/11

Từ ngày 01/01 đến ngày 31/12

Ngày 10/01 năm sau

4

Sở Tư pháp

Từ ngày 01/01 đến ngày 31/5

Ngày 20/6

Từ ngày 01/01 đến ngày 31/10

Ngày 20/11

Từ ngày 01/01 đến ngày 31/12

Ngày 20/01 năm sau

5

- Bộ, cơ quan ngang Bộ, cơ quan thuộc Chính phủ

- Các đơn vị thuộc Bộ Tư pháp

Từ ngày 01/01 đến ngày 31/5

Ngày 20/6

Từ ngày 01/01 đến ngày 31/10

Ngày 20/11

Từ ngày 01/01 đến ngày 31/12

Ngày 20/01 năm sau

6

Tổ chức giám định tư pháp công lập ở Trung ương; Tổ chức giám định theo vụ việc; Văn phòng giám định tư pháp ở địa phương

Từ ngày 01/01 đến ngày 31/10

Ngày 05/11

Từ ngày 01/01 đến ngày 31/12

Ngày 05/01 năm sau

7

- Tổ hòa giải;

- Cục và tương đương thuộc bộ/cơ quan ngang bộ, cơ quan thuộc Chính phủ;

- Doanh nghiệp Nhà nước ở Trung ương;

- Đơn vị sự nghiệp thuộc bộ/cơ quan ngang bộ, cơ quan thuộc Chính phủ;

- Bộ chỉ huy quân sự/Công an tỉnh/thành phố;

- Đơn vị sự nghiệp công lập do UBND cấp tỉnh quản lý;

- Đơn vị sự nghiệp công lập do cơ quan chuyên môn của UBND cấp tỉnh quản lý.

Từ ngày 01/01 đến ngày 31/5

Ngày 05/6

Từ ngày 01/01 đến ngày 31/10

Ngày 05/11

Từ ngày 01/01 đến ngày 31/12

Ngày 05/01 năm sau

Đang theo dõi
Tải biểu mẫu

BỘ TƯ PHÁP
______

CỘNG HÒA XÃ HỘI CHỦ NGHĨA VIỆT NAM
Độc lập - Tự do - Hạnh phúc

______________________

Phụ lục III

HƯỚNG DẪN PHƯƠNG PHÁP ƯỚC TÍNH SỐ LIỆU THỐNG KÊ VÀ
CÁCH GHI SỐ LIỆU THỐNG KÊ THỰC TẾ, SỐ LIỆU ƯỚC TÍNH
TRONG CÁC BIỂU MẪU BÁO CÁO THỐNG KÊ

(Ban hành kèm theo Thông tư số 17/2025/TT-BTP quy định Chế độ báo cáo
thống kê ngành Tư pháp)

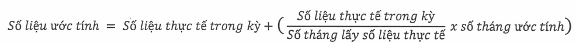
Việc ước tính số liệu thống kê quy định tại Thông tư này được thực hiện theo phương pháp bình quân số học giản đơn, có kết hợp thực tiễn, đặc thù quản lý nhà nước trong từng lĩnh vực thống kê được ước tính.

I. PHƯƠNG PHÁP BÌNH QUÂN SỐ HỌC GIẢN ĐƠN

1. Công thức chung

Phương pháp ước tính số liệu thống kê đối với kỳ báo cáo sơ bộ 6 tháng và kỳ báo cáo sơ bộ năm được xác định theo công thức như sau:

2. Công thức cụ thể

2.1. Với kỳ báo cáo sơ bộ 06 tháng

Số liệu sơ bộ 06 tháng (có số liệu thực tế từ ngày 01/01 đến hết ngày 31/5) được xác định theo công thức cụ thể như sau:

Ví dụ: Tổng số các trường hợp đăng ký khai sinh mới tại xã A từ ngày 01/01 đến hết ngày 31/5 trong năm 2025 là 550 trường hợp. Vậy số liệu ước tính đăng ký khai sinh kỳ báo cáo sơ bộ 06 tháng là:

2.2. Với kỳ báo cáo sơ bộ năm

Số liệu sơ bộ năm (có số liệu thực tế từ ngày 01/01 đến hết ngày 31/10) được xác định theo công thức cụ thể như sau:

Ví dụ: Tổng số các trường hợp đăng ký khai sinh mới tại xã A từ ngày 01/01 đến hết ngày 31/10 trong năm 2025 là 1.000 trường hợp. Vậy số liệu ước tính đăng ký khai sinh kỳ báo cáo sơ bộ năm 2025 là:

II. Kết hợp phương pháp bình quân số học giản đơn với thực tiễn, đặc thù quản lý nhà nước trong từng lĩnh vực được thống kê

Số liệu thống kê là yếu tố động, gắn với thực tiễn nên trong một số lĩnh vực cụ thể, khi ước tính cần chú ý đến yếu tố thực tiễn, đặc thù quản lý nhà nước trong lĩnh vực thống kê được ước tính.

III. Cách ghi số liệu thực tế, số liệu ước tính

Các đơn vị báo cáo (Sở Tư pháp, các Bộ, cơ quan ngang Bộ, cơ quan thuộc Chính phủ và các đơn vị thuộc Bộ Tư pháp), khi gửi báo cáo về Bộ Tư pháp chỉ báo cáo số liệu thực tế trong các kỳ báo cáo. Cục Kế hoạch - Tài chính, Bộ Tư pháp chủ động ước tính trên phạm vi cả nước.

Quy tắc làm tròn số đối với số liệu ước tính: Trường hợp các số liệu tính toán có phần số thập phân từ 0,5 trở lên thì làm tròn nguyên số lên; nếu phần số phân nhỏ hơn 0,5 thì làm tròn nguyên số.

Ví dụ: Đối với số 3.217,56 thì làm tròn lên là 3.218. Đối với số 3.217,35 thì làm tròn xuống là 3.217.

Đang theo dõi

BỘ TƯ PHÁP
______

CỘNG HÒA XÃ HỘI CHỦ NGHĨA VIỆT NAM
Độc lập - Tự do - Hạnh phúc

______________________

Phụ lục IV

HỆ THỐNG BIỂU MẪU BÁO CÁO THỐNG KÊ VÀ GIẢI THÍCH BIỂU MẪU

(Ban hành kèm theo Thông tư số 17/2025/TT-BTP quy định Chế độ báo cáo thống kê ngành Tư pháp)

Đang theo dõi
Tải biểu mẫu

Biểu số: 01a/TP/TĐ-BH
Ban hành theo Thông tư số 17/2025/TT-BTP
Ngày nhận báo cáo (BC):
BC sơ bộ 6 tháng: Ngày 10 tháng 6 năm báo cáo
BC sơ bộ năm: Ngày 10 tháng 11 năm báo cáo
BC tròn năm: Ngày 10 tháng 01 năm sau

SỐ DỰ THẢO (DT) VĂN BẢN QUY PHẠM PHÁP LUẬT (VBQPPL), SỐ THỦ TỤC HÀNH CHÍNH (TTHC) TẠI DT VBQPPL ĐƯỢC THẨM ĐỊNH; SỐ VBQPPL ĐƯỢC BAN HÀNH TẠI CẤP XÃ
(Sơ bộ 6 tháng/sơ bộ năm/tròn năm)

Kỳ báo cáo:............
(Từ ngày......tháng......năm......
đến ngày.......tháng.......năm......)

Đơn vị báo cáo:
UBND xã/phường/đặc khu ……
Đơn vị nhận báo cáo:
Sở Tư pháp ….

Số DT VBQPPL, số TTHC tại DT VBQPPL đã được thẩm định

Số VBQPPL đã được ban hành
(Văn bản)

Số DT VBQPPL đã được thẩm định
(Văn bản)

Số TTHC tại DT VBQPPL đã được thẩm định
(Thủ tục)

Tổng số

Chia theo tên loại VBQPPL

Tổng số

Chia theo
tên loại văn bản

Tổng số

Chia theo
tên loại văn bản

Số Nghị quyết của HĐND

Số Quyết định của UBND

Số DT Nghị quyết của HĐND

Số DT Quyết định của UBND

Tại DT Nghị quyết của HĐND

Tại DT Quyết định của UBND

(1)

(2)

(3)

(4)

(5)

(6)

(7)

(8)

(9)

* Ghi chú:


Người lập biểu
(Ký, ghi rõ họ, tên)


Người kiểm tra
(Ký, ghi rõ họ, tên)

…, ngày     tháng      năm
TM. ỦY BAN NHÂN DÂN
CHỦ TỊCH

(Ký, đóng dấu, ghi rõ họ, tên)

 

GIẢI THÍCH BIỂU MẪU 01a/TP/TĐ-BH

Số dự thảo VBQPPL, số TTHC tại dự thảo VBQPPL được thẩm định;
số VBQPPL được ban hành
tại cấp xã

1. Khái niệm, phương pháp tính

Biểu mẫu số 01a/TP/TĐ-BH phản ánh tình hình thẩm định dự thảo VBQPPL, ban hành VBQPPL tại Hội đồng nhân dân, Ủy ban nhân dân (HĐND, UBND) cấp xã.

- Khái niệm “văn bản quy phạm pháp luật” được quy định tại Điều 2 Luật Ban hành VBQPPL số 64/2025/QH15 được sửa đổi, bổ sung bởi Luật số 87/2025/QH.

- Dự thảo VBQPPL do cấp xã thẩm định là dự thảo VBQPPL gồm Nghị quyết của HĐND, Quyết định của UBND do Văn phòng UBND và HĐND thẩm định theo quy định tại khoản 1, 2, 3 Điều 53, khoản 1 Điều 58, khoản 4 Điều 59a, khoản 2 Điều 59b Nghị định số 78/2025/NĐ-CP được sửa đổi, bổ sung bởi định số 187/2025/NĐ-CP.

- Khái niệm “thủ tục hành chính” (TTHC) được quy định tại khoản 1 Điều 3 Nghị định số 63/2010/NĐ-CP về kiểm soát thủ tục hành chính được sửa đổi, bổ sung bởi Nghị định số 48/2013/NĐ-CP, Nghị định số 92/2017/NĐ-CP, Nghị định số 78/2025/NĐ-CP, Nghị định số 118/2025/NĐ-CP.

- Số TTHC tại dự thảo VBQPPL do cấp xã thẩm định là số lượng TTHC quy định tại dự thảo Nghị quyết của HĐND, Quyết định của UBND cấp xã đã được thẩm định.

- VBQPPL đã được ban hành là VBQPPL đã được cơ quan, người có thẩm quyền thông qua hoặc ký ban hành.

2. Cách ghi biểu

- Cột 1 = Cột (2+3)

- Cột 2: Ghi số lượng dự thảo Nghị quyết (là dự thảo VBQPPL) của Hội đồng nhân dân cấp xã đã được thẩm định trong kỳ báo cáo.

- Cột 3: Ghi số lượng dự thảo Quyết định (là dự thảo VBQPPL) của UBND cấp xã được thẩm định trong kỳ báo cáo.

- Cột 4 = Cột (5+6)

- Cột 5: Ghi số lượng TTHC quy định tại dự thảo Nghị quyết (là dự thảo VBQPPL) của HĐND cấp xã đã được thẩm định trong kỳ báo cáo.

- Cột 6: Ghi số lượng TTHC quy định tại dự thảo Quyết định (là dự thảo VBQPPL) của UBND cấp xã đã được thẩm định trong kỳ báo cáo.

- Cột 7 = Cột (8+9)

- Cột 8: Ghi số lượng Nghị quyết là VBQPPL của Hội đồng nhân dân cấp xã đã được ban hành trong kỳ báo cáo.

- Cột 9: Ghi số lượng Quyết định là VBQPPL của UBND cấp xã được ban hành trong kỳ báo cáo.

3. Nguồn số liệu

- Sổ sách ghi chép ban đầu tại UBND cấp xã theo dõi về việc thẩm định dự thảo VBQPPL, xây dựng, ban hành VBQPPL;

- Nền tảng số (cơ sở dữ liệu) về văn bản pháp luật;

- Các nguồn số liệu chính thức khác của địa phương.

Đang theo dõi
Tải biểu mẫu

Biểu số: 01b/TP/TĐ
Ban hành theo Thông tư số 17/2025/TT-BTP
Ngày nhận báo cáo (BC):
BC sơ bộ 6 tháng: Ngày 20 tháng 6 năm báo cáo
BC sơ bộ năm: Ngày 20 tháng 11 năm báo cáo
BC tròn năm: Ngày 20 tháng 01 năm sau

SỐ DT VBQPPL ĐƯỢC THẨM ĐỊNH; SỐ DT VBQPPL ĐƯỢC THẨM ĐỊNH CÓ ĐÁNH GIÁ TÁC ĐỘNG GIỚI; SỐ TTHC TẠI DT VBQPPL ĐƯỢC THẨM ĐỊNH TRÊN ĐỊA BÀN TỈNH/THÀNH PHỐ
 (Sơ bộ 6 tháng/sơ bộ năm/tròn năm)

Kỳ báo cáo:............
(Từ ngày......tháng......năm......
đến ngày.......tháng.......năm......)

Đơn vị báo cáo:
Sở Tư pháp………………
Đơn vị nhận báo cáo:
Bộ Tư pháp (Cục Kế hoạch - Tài chính)

Đơn vị tính: Văn bản

 

Số DT VBQPPL đã được thẩm định
(Văn bản)

Số TTHC quy định tại DT văn bản QPPL đã được thẩm định
(Thủ tục)

Ghi chú

Số dự thảo VBQPPL do cấp xã thẩm định

Số dự thảo VBQPPL do Sở Tư pháp thẩm định

Tại DT VBQPPL cấp xã

Tại DT VBQPPL cấp tỉnh

Tổng số

Chia theo tên loại văn bản

Tổng số

Chia theo tên loại văn bản

Tổng số

Chia theo tên loại văn bản

Tổng số

Chia theo tên loại văn bản

DT Nghị quyết của HĐND

DT Quyết định của UBND

Nghị quyết của HĐND cấp tỉnh do UBND cấp tỉnh trình

Số DT Quyết định của UBND

Số DT Quyết định của Chủ tịch UBND

Tại DT Nghị quyết của HĐND

Tại DT Quyết định của UBND

DT Nghị quyết của HĐND

DT Quyết định của UBND

DT Quyết định của Chủ tịch UBND

Tổng số

Trong đó: Số DT được thẩm định có đánh giá tác động giới

A

(1)

(2)

(3)

(4)

(5)

(6)

(7)

(8)

(9)

(10)

(11)

(12)

(13)

(14)

(15)

(16)

Tổng số trên địa bàn tỉnh

                               

I. Tại cấp tỉnh

-

-

-

         

-

-

-

         

II. Tại cấp xã

     

-

-

-

-

-

     

-

-

-

-

 

1. Tên xã/phường/đặc khu …………….

     

-

-

-

-

-

     

-

-

-

-

 

2. Tên xã/phường/đặc khu …………….

     

-

-

-

-

-

     

-

-

-

-

 

     

-

-

-

-

-

     

-

-

-

-

 

Ô có dấu “-” không phải báo cáo

* Ghi chú:


Người lập biểu
(Ký, ghi rõ họ, tên)


Người kiểm tra
(Ký, ghi rõ họ, tên, chức vụ)

…, ngày     tháng      năm
GIÁM ĐỐC
(Ký, đóng dấu, ghi rõ họ, tên)

 

GIẢI THÍCH BIỂU MẪU 01b/TP/TĐ

Số dự thảo VBQPPL được thẩm định; Số dự thảo VBQPPL được thẩm định có đánh giá tác động giới; Số TTHC tại
dự thảo VBQPPL được thẩm định trên địa bàn tỉnh/thành phố

1. Khái niệm, phương pháp tính

Biểu 01b/TP/TĐ phản ánh tình hình thẩm định dự thảo văn bản quy phạm pháp luật của các cơ quan tư pháp trên địa bàn tỉnh/thành phố.

- Khái niệm “văn bản quy phạm pháp luật” được quy định tại Điều 2 Luật Ban hành VBQPPL số 64/2025/QH15 được sửa đổi, bổ sung bởi Luật số 87/2025/QH.

- Dự thảo văn bản quy phạm pháp luật do cơ quan tư pháp thẩm định gồm:

Dự thảo Nghị quyết của HĐND cấp tỉnh, Quyết định của UBND cấp tỉnh, Quyết định của Chủ tịch UBND cấp tỉnh là dự thảo VBQPPL do các cơ quan chuyên môn của UBND cấp tỉnh chủ trì soạn thảo, do Sở Tư pháp thẩm định.

Nghị quyết của HĐND cấp xã, Quyết định của UBND cấp xã do Văn phòng UBND và HĐND cấp xã thẩm định.

- Số dự thảo Nghị quyết của HĐND cấp tỉnh được thẩm định có đánh giá tác động giới là số lượng dự thảo Nghị quyết của HĐND cấp tỉnh khi gửi thẩm định phải có Báo cáo đánh giá tác động chính sách (trong đó có đánh giá tác động giới) trong trường hợp soạn thảo Nghị quyết theo quy định tại điểm d khoản 1 Điều 21 Luật số 64/2025/QH15 được sửa đổi, bổ sung bởi Luật số 87/2025/QH.

- Khái niệm “thủ tục hành chính” (TTHC) được quy định tại khoản 1 Điều 3 Nghị định số 63/2010/NĐ-CP về kiểm soát thủ tục hành chính được sửa đổi, bổ sung bởi Nghị định số 48/2013/NĐ-CP, Nghị định số 92/2017/NĐ-CP, Nghị định số 78/2025/NĐ-CP, Nghị định số 118/2025/NĐ-CP.

- Số TTHC tại dự thảo VBQPPL do cấp xã thẩm định là số lượng TTHC quy định tại dự thảo Nghị quyết của HĐND, Quyết định của UBND cấp xã đã được thẩm định.

- Số TTHC tại dự thảo VBQPPL do cấp tỉnh thẩm định là số lượng TTHC quy định tại dự thảo Nghị quyết của HĐND, Quyết định của UBND, Quyết định của Chủ tịch UBND cấp tỉnh là dự thảo VBQPPL đã được thẩm định.

2. Cách ghi biểu

- Dòng “Tổng số trên địa bàn tỉnh” = Dòng I “Tại cấp tỉnh” + Dòng II “Tại cấp xã”.

+ Dòng I “Tại cấp tỉnh” ghi số dự thảo VBQPPL, số TTHC tại dự thảo VBQPPL do Sở Tư pháp thẩm định trong kỳ báo cáo.

+ Dòng II “Tại cấp xã” bằng tổng số của các dòng xã/phường/đặc khu theo cột tương ứng.

+ Dòng “Tên xã/phường/đặc khu…”: Lần lượt ghi tên xã/phường/đặc khu thuộc tỉnh/thành phố, số dự thảo VBQPPL, số TTHC tại dự thảo VBQPPL do Văn phòng UBND và HĐND cấp xã thẩm định trong kỳ báo cáo.

- Cột 1 = Cột (2+3).

- Cột 4 = Cột (5+7+8).

- Cột 6 là số thành phần của cột 5, cột 6 phải ≤ cột 5

- Cột 9 = Cột (10+11).

- Cột 12 = Cột (13+14+15).

Các ô có dấu “-” không phải báo cáo.

3. Nguồn số liệu

- Sổ sách ghi chép ban đầu tại UBND cấp tỉnh theo dõi về việc thẩm định dự thảo VBQPPL;

- Báo cáo của UBND cấp xã;

- Nền tảng số (cơ sở dữ liệu) về văn bản pháp luật;

- Các nguồn số liệu chính thức khác của địa phương.

Đang theo dõi
Tải biểu mẫu

Biểu số: 01c/TP/BH-TĐG
Ban hành theo Thông tư số 17/2025/TT-BTP
Ngày nhận báo cáo (BC):
BC sơ bộ 6 tháng: Ngày 20 tháng 6 năm báo cáo
BC sơ bộ năm: Ngày 20 tháng 11 năm báo cáo
BC tròn năm: Ngày 20 tháng 01 năm sau

SỐ VBQPPL ĐƯỢC BAN HÀNH; SỐ VBQPPL BAN HÀNH CÓ ĐÁNH GIÁ TÁC ĐỘNG GIỚI TRÊN ĐỊA BÀN TỈNH/THÀNH PHỐ
 (Sơ bộ 6 tháng/sơ bộ năm/tròn năm)

Kỳ báo cáo:............
(Từ ngày......tháng......năm......
đến ngày.......tháng.......năm......)

Đơn vị báo cáo:
Sở Tư pháp………………
Đơn vị nhận báo cáo:
Bộ Tư pháp (Cục Kế hoạch - Tài chính)

Đơn vị tính: Văn bản

 

Số VBQPPL đã được ban hành tại cấp xã

Số VBQPPL đã được ban hành, được đánh giá tác động giới tại cấp tỉnh

Ghi chú

Tổng số

Chia theo tên loại VBQPPL

Tổng số

Chia theo tên loại VBQPPL

Nghị quyết của HĐND

Quyết định của UBND

Nghị quyết của HĐND

Quyết định của UBND

Quyết định của Chủ tịch UBND

Tổng số

Trong đó: Số VBQPPL có đánh giá tác động giới

A

(1)

(2)

(3)

(4)

(5)

(6)

(7)

(8)

(9)

Tổng số trên địa bàn tỉnh

                 

I. Tại cấp tỉnh

-

-

-

           

II. Tại cấp xã

     

-

-

-

-

-

 

1. Tên xã/phường/đặc khu …………….

     

-

-

-

-

-

 

2. Tên xã/phường/đặc khu …………….

     

-

-

-

-

-

 

     

-

-

-

-

-

 

Ô có dấu “-” không phải báo cáo

* Ghi chú:


Người lập biểu
(Ký, ghi rõ họ, tên)


Người kiểm tra
(Ký, ghi rõ họ, tên, chức vụ)

…, ngày      tháng       năm
GIÁM ĐỐC
(Ký, đóng dấu, ghi rõ họ, tên)

 

GIẢI THÍCH BIỂU MẪU 01c/TP/BH-TĐG

Số VBQPPL được ban hành; Số VBQPPL ban hành có đánh giá tác động giới
trên địa bàn tỉnh/thành phố

1. Khái niệm, phương pháp tính

Biểu 01c/TP/BH-TĐG phản ánh tình hình ban hành văn bản quy phạm pháp luật của HĐND, UBND các cấp trên địa bàn tỉnh/thành phố; đồng thời phản ánh tình hình đánh giá tác động giới trong xây dựng, ban hành VBQPPL của HĐND cấp tỉnh.

- VBQPPL đã được ban hành là VBQPPL đã được cơ quan, người có thẩm quyền thông qua hoặc ký ban hành.

- Số Nghị quyết của HĐND cấp tỉnh được ban hành có đánh giá tác động giới là số lượng Nghị quyết HĐND cấp tỉnh đã được đánh giá tác động chính sách (trong đó có đánh giá tác động giới) trước khi ban hành trong trường hợp soạn thảo Nghị quyết theo quy định tại điểm d khoản 1 Điều 21 Luật BHVBQPPL năm 2025.

2. Cách ghi biểu

Dòng “Tổng số trên địa bàn tỉnh” = Dòng I “Tại cấp tỉnh” + Dòng II “Tại cấp xã”.

+ Dòng I “Tại cấp tỉnh” ghi số Nghị quyết của HĐND, Quyết định của UBND, Quyết định của Chủ tịch UBND cấp tỉnh đã được ban hành; Số Nghị quyết của HĐND cấp tỉnh ban hành được đánh giá tác động giới trong kỳ báo cáo.

+ Dòng II “Tại cấp xã” bằng tổng số của các dòng xã/phường/đặc khu theo cột tương ứng.

+ Dòng “Tên xã/phường/đặc khu…”: Lần lượt ghi tên xã/phường/đặc khu thuộc tỉnh/thành phố, số Nghị quyết của HĐND, Quyết định của UBND là VBQPPL đã ban hành trong kỳ báo cáo.

- Cột 1 = Cột (2+3).

- Cột 4 = Cột (5+7+8).

- Cột 6 ghi số Nghị quyết của HĐND cấp tỉnh được đánh giá tác động giới đã được ban hành trong kỳ báo cáo.

Cột 6 là số thành phần của cột 5, cột 6 phải ≤ cột 5

Các ô có dấu “-” không phải báo cáo.

3. Nguồn số liệu

- Sổ sách ghi chép ban đầu tại UBND cấp tỉnh theo dõi về việc xây dựng, ban hành VBQPPL, đánh giá tác động giới;

- Báo cáo của UBND cấp xã;

- Nền tảng số (cơ sở dữ liệu) về văn bản pháp luật;

- Các nguồn số liệu chính thức khác của địa phương.

Đang theo dõi
Tải biểu mẫu

Biểu số: 01d/TP/TĐ-BH-TĐG
Ban hành theo Thông tư số 17/2025/TT-BTP
Ngày nhận báo cáo (BC):
BC sơ bộ 6 tháng: Ngày 20 tháng 6 năm báo cáo
BC sơ bộ năm: Ngày 20 tháng 11 năm báo cáo
BC tròn năm: Ngày 20 tháng 01 năm sau

SỐ DT VBQPPL, SỐ THỦ TỤC HÀNH CHÍNH TẠI DỰ THẢO VBQPPL CỦA BỘ, CƠ QUAN NGANG BỘ ĐÃ THẨM ĐỊNH; SỐ VBQPPL DO BỘ, CƠ QUAN NGANG BỘ CHỦ TRÌ SOẠN THẢO ĐÃ ĐƯỢC BAN HÀNH, CÓ ĐÁNH GIÁ TÁC ĐỘNG GIỚI
 (Sơ bộ 6 tháng/sơ bộ năm/tròn năm)

Kỳ báo cáo:............
(Từ ngày......tháng......năm......
đến ngày.......tháng.......năm......)

Đơn vị báo cáo:
Bộ, cơ quan ngang Bộ …...
Đơn vị nhận báo cáo:
Bộ Tư pháp (Cục Kế hoạch - Tài chính)

I. KẾT QUẢ THẨM ĐỊNH DỰ THẢO VBQPPL

 

Số dự thảo Thông tư do Bộ, cơ quan ngang bộ chủ trì soạn thảo đã thẩm định (Văn bản)

Số TTHC quy định tại dự thảo Thông tư đã được thẩm định (Thủ tục)

Ghi chú

 

(1)

(2)

(3)

 

 

 

II. SỐ VBQPPL DO BỘ, CƠ QUAN NGANG BỘ CHỦ TRÌ SOẠN THẢO ĐÃ ĐƯỢC BAN HÀNH

 
 

Tổng số

Chia theo thẩm quyền trình ban hành/ban hành và tên loại văn bản

Ghi chú

 

Văn bản do bộ, cơ quan ngang bộ chủ trì soạn thảo trình cấp có thẩm quyền đã được ban hành

Văn bản bộ, cơ quan ngang bộ đã ban hành, liên tịch ban hành theo thẩm quyền

 

Bộ luật, Luật

Nghị quyết của Quốc hội

Pháp lệnh của UBTVQH

Nghị quyết của UBTVQH

Lệnh, quyết định của Chủ tịch nước

Nghị định của Chính phủ

Nghị quyết của Chính phủ

Nghị quyết liên tịch

Quyết định của Thủ tướng Chính phủ

Thông tư

Thông tư liên tịch

 
 

A

(1)

(2)

(3)

(4)

(5)

(6)

(7)

(8)

(9)

(10)

(11)

(12)

(13)

 

Tổng số VBQPPL do Bộ, cơ quan ngang Bộ chủ trì soạn thảo đã được ban hành

 

Trong đó: Số VBQPPL có đánh giá tác động giới

 

* Ghi chú:

 


Người lập biểu
(Ký, ghi rõ họ, tên)


Người kiểm tra
(Ký, ghi rõ họ, tên)

…, ngày     tháng      năm
THỦ TRƯỞNG ĐƠN VỊ
 (Ký, đóng dấu, ghi rõ họ, tên)

 

GIẢI THÍCH BIỂU MẪU 01d/TP/TĐ-BH-TĐG

Số DT VBQPPL, số TTHC tại DT VBQPPL của bộ, cơ quan ngang bộ đã thẩm định; Số VBQPPL do bộ, cơ
quan ngang bộ chủ trì soạn thảo đã được ban hành, có đánh giá tác động giới

1. Khái niệm, phương pháp tính

Biểu mẫu số 01d/TP/TĐ-BH-TĐG phản ánh kết quả thẩm định dự thảo VBQPPL của bộ, cơ quan ngang bộ; số VBQPPL do bộ, cơ quan ngang bộ chủ trì soạn thảo đã được ban hành, có đánh giá tác động giới.

- Khái niệm “văn bản quy phạm pháp luật” được quy định tại Điều 2 Luật Ban hành VBQPPL số 64/2025/QH15 được sửa đổi, bổ sung bởi Luật số 87/2025/QH.

- Dự thảo VBQPPL đã thẩm định là dự thảo Thông tư của Bộ trưởng, Thủ trưởng cơ quan ngang bộ được thẩm định theo quy định của pháp luật.

- Khái niệm “thủ tục hành chính” (TTHC) được quy định tại khoản 1 Điều 3 Nghị định số 63/2010/NĐ-CP về kiểm soát thủ tục hành chính được sửa đổi, bổ sung bởi Nghị định số 48/2013/NĐ-CP, Nghị định số 92/2017/NĐ-CP, Nghị định số 78/2025/NĐ-CP, Nghị định số 118/2025/NĐ-CP.

- Số TTHC tại dự thảo VBQPPL đã được thẩm định là số lượng TTHC được quy định tại dự thảo Thông tư đã được thẩm định.

- VBQPPL đã được ban hành là VBQPPL đã được cơ quan, người có thẩm quyền thông qua hoặc ký ban hành.

- Số VBQPPL được đánh giá tác động giới là số văn bản quy phạm pháp luật mà trong quá trình xây dựng, soạn thảo đã được đánh giá tác động chính sách (trong đó có đánh giá tác động giới) trước khi ban hành theo quy định của Luật số 64/2025/QH15 được sửa đổi, bổ sung bởi Luật số 87/2025/QH.

2. Cách ghi biểu

Phần I. Kết quả thẩm định DT VBQPPL

- Cột 1: Ghi số dự thảo Thông tư do các bộ, cơ quan ngang bộ chủ trì soạn thảo đã thẩm định.

- Cột 2: Ghi số TTHC quy định tại dự thảo Thông tư do các bộ, cơ quan ngang bộ chủ trì soạn thảo đã thẩm định.

Phần II. Số VBQPPL do bộ, cơ quan ngang bộ chủ trì soạn thảo đã được ban hành

Dòng “Tổng số VBQPPL do bộ, cơ quan ngang bộ chủ trì soạn thảo đã được ban hành” ghi tổng số và số lượng từng loại VBQPPL đã được cơ quan hoặc người có thẩm quyền thông qua hoặc ký ban hành.

Dòng “Trong đó: Số VBQPPL được đánh giá tác động giới” ghi tổng số và số lượng từng loại VBQPPL được thực hiện quy trình đánh giá tác động giới theo quy định đã được thông qua hoặc ký ban hành.

- Cột 1 = Cột (2+3+4+5+6+7+8+9+10+11+12).

- Cột 9: ghi số nghị quyết liên tịch giữa UBTVQH, Chính phủ với Đoàn Chủ tịch UBTW MTTQVN; nghị quyết liên tịch giữa Chính phủ với Đoàn Chủ tịch UBTW MTTQVN do bộ, cơ quan ngang bộ chủ trì soạn thảo đã được ban hành.

- Cột 12 “Thông tư liên tịch”: thống kê số Thông tư liên tịch do bộ, cơ quan ngang bộ chủ trì soạn thảo đã được ban hành trong kỳ báo cáo.

3. Nguồn số liệu

- Sổ sách, hồ sơ của tổ chức pháp chế bộ, cơ quan ngang bộ theo dõi về việc thẩm định DT VBQPPL; xây dựng, đánh giá tác động giới, ban hành VBQPPL;

- Nền tảng số (cơ sở dữ liệu) văn bản pháp luật (nếu có);

- Các nguồn số liệu chính thức khác của bộ, cơ quan ngang bộ.

Đang theo dõi
Tải biểu mẫu

Biểu số: 01e/TP/TĐ-BH-TĐG
Ban hành theo Thông tư số 17/2025/TT-BTP
Ngày nhận báo cáo (BC):
BC sơ bộ 6 tháng: Ngày 20 tháng 6 năm báo cáo
BC sơ bộ năm: Ngày 20 tháng 11 năm báo cáo
BC tròn năm: Ngày 20 tháng 01 năm sau

SỐ VĂN BẢN CHÍNH SÁCH, DT VBQPPL DO CHÍNH PHỦ TRÌNH ĐÃ ĐƯỢC BỘ TƯ PHÁP THẨM ĐỊNH; SỐ VBQPPL DO BỘ TƯ PHÁP CHỦ TRÌ SOẠN THẢO ĐÃ ĐƯỢC BAN HÀNH, CÓ ĐÁNH GIÁ TÁC ĐỘNG GIỚI
(Sơ bộ 6 tháng/sơ bộ năm/tròn năm)

Kỳ báo cáo:............
(Từ ngày......tháng......năm......
đến ngày.......tháng.......năm......)

Đơn vị báo cáo:
Đơn vị thuộc Bộ Tư pháp
Đơn vị nhận báo cáo:
Bộ Tư pháp (Cục Kế hoạch - Tài chính)

I. SỐ VĂN BẢN CHÍNH SÁCH, DT VBQPPL DO CHÍNH PHỦ TRÌNH ĐÃ ĐƯỢC BỘ TƯ PHÁP THẨM ĐỊNH

Đơn vị tính: Văn bản

Số văn bản có thực hiện quy trình xây dựng chính sách được thẩm định

Thẩm định dự thảo VBQPPL

Ghi chú

Tổng số

Chia theo tên loại văn bản

Tổng số

Chia theo tên loại DT VBQPPL

Bộ luật, Luật

Nghị quyết thí điểm của Quốc hội

Pháp lệnh của UBTVQH

DT Bộ luật, Luật

DT Nghị quyết của Quốc hội

DT Pháp lệnh của UBTVQH

DT Nghị quyết của UBTVQH

DT Nghị định của Chính phủ

DT Nghị quyết của Chính phủ

DT Nghị quyết liên tịch

DT Quyết định của Thủ tướng Chính phủ

DT Thông tư

(1)

(2)

(3)

(4)

(5)

(6)

(7)

(8)

(9)

(10)

(11)

(12)

(13)

(14)

(15)

II. SỐ VBQPPL DO BỘ TƯ PHÁP CHỦ TRÌ SOẠN THẢO ĐÃ ĐƯỢC BAN HÀNH

Đơn vị tính: Văn bản

 

Tổng số

Chia theo thẩm quyền trình ban hành/ban hành và tên loại văn bản

Ghi chú

Văn bản do Bộ Tư pháp chủ trì soạn thảo trình cấp có thẩm quyền đã được ban hành

Văn bản Bộ Tư pháp đã ban hành, liên tịch ban hành theo thẩm quyền

Bộ luật, Luật

Nghị quyết của Quốc hội

Pháp lệnh của UBTVQH

Nghị quyết của UBTVQH

Lệnh, quyết định của Chủ tịch nước

Nghị định của Chính phủ

Nghị quyết của Chính phủ

Nghị quyết liên tịch

Quyết định của Thủ tướng Chính phủ

Thông tư

Thông tư liên tịch

A

(1)

(2)

(3)

(4)

(5)

(6)

(7)

(8)

(9)

(10)

(11)

(12)

(13)

Tổng số VBQPPL do đơn vị thuộc Bộ chủ trì soạn thảo đã được ban hành

                         

Trong đó: Số VBQPPL có đánh giá tác động giới

                         

* Ghi chú:

                               


Người lập biểu
(Ký, ghi rõ họ, tên)


Người kiểm tra
(Ký, ghi rõ họ, tên)

…, ngày     tháng      năm
THỦ TRƯỞNG ĐƠN VỊ
 (Ký, đóng dấu, ghi rõ họ, tên)

 

GIẢI THÍCH BIỂU MẪU 01e/TP/TĐ-BH-TĐG

Số văn bản chính sách, DT VBQPPL do Chính phủ trình đã được Bộ Tư pháp thẩm định;
số VBQPPL do Bộ Tư pháp chủ trì soạn thảo đã được ban hành, có đánh giá tác động giới

1. Khái niệm, phương pháp tính

Biểu mẫu số 01e/TP/TĐ-BH-TĐG phản ánh số văn bản chính sách, dự thảo VBQPPL do đơn vị thuộc Bộ Tư pháp chủ trì thẩm định; số VBQPPL do đơn vị thuộc Bộ Tư pháp chủ trì soạn thảo đã được ban hành; được đánh giá tác động giới.

- Khái niệm “văn bản quy phạm pháp luật” (VBQPPL) được quy định tại Điều 2 Luật Ban hành VBQPPL số 64/2025/QH15 được sửa đổi, bổ sung bởi Luật số 87/2025/QH.

- Số văn bản chính sách được thẩm định gồm số văn bản chính sách của bộ luật, luật, nghị quyết của Quốc hội, pháp lệnh của UBTVQH đã được thẩm định.

- Dự thảo VBQPPL được tổ chức thẩm định tại Bộ Tư pháp gồm dự thảo bộ luật, Luật, Nghị quyết của Quốc hội; Pháp lệnh, Nghị quyết của UBTVQH; Nghị định, Nghị quyết của Chính phủ, Nghị quyết liên tịch (giữa UBTVQH với Đoàn Chủ tịch BTW MTTQVN; nghị quyết liên tịch giữa UBTVQH, Chính phủ với Đoàn Chủ tịch UBTW MTTQVN; nghị quyết liên tịch giữa Chính phủ với Đoàn Chủ tịch UBTW MTTQVN), Quyết định của Thủ tướng Chính phủ; Thông tư của Bộ Tư pháp.

- Đơn vị thuộc Bộ gồm đơn vị thuộc và trực thuộc Bộ Tư pháp (các đơn vị thuộc Bộ trong khối trường học, học viện, báo, tạp chí, Viện chiến lược khoa học pháp lý, Văn phòng Bộ không phải báo cáo biểu 01e/TP/TĐ-BH-BĐG).

2. Cách ghi biểu

Phần I. Số văn bản chính sách, DT VBQPPL do chính phủ trình đã được bộ tư pháp thẩm định

- Cột 1 = Cột (2+3+4).

- Cột 5 = Cột (6+7+8+9+10+11+12+13+14).

Phần II. Số VBQPPL do Bộ Tư pháp chủ trì soạn thảo đã được ban hành

Dòng “Tổng số VBQPPL do đơn vị thuộc Bộ chủ trì soạn thảo đã được ban hành” ghi tổng số và số lượng từng loại VBQPPL do đơn vị thuộc Bộ đã được cơ quan hoặc người có thẩm quyền thông qua hoặc ký ban hành.

Dòng “Trong đó: Số VBQPPL được đánh giá tác động giới” ghi tổng số và số lượng từng loại VBQPPL được thực hiện quy trình đánh giá tác động giới theo quy định đã được thông qua hoặc ký ban hành.

- Cột 1 = Cột (2+3+4+5+6+7+8+9+10+11+12).

- Cột 9: ghi số nghị quyết liên tịch giữa UBTVQH, Chính phủ với Đoàn Chủ tịch UBTW MTTQVN; nghị quyết liên tịch giữa Chính phủ với Đoàn Chủ tịch UBTW MTTQVN do Bộ Tư pháp chủ trì soạn thảo đã được ban hành.

- Cột 12 “Thông tư liên tịch”: ghi số Thông tư liên tịch do Bộ Tư pháp chủ trì soạn thảo đã được ban hành trong kỳ báo cáo.

3. Nguồn số liệu

- Sổ sách, hồ sơ của đơn vị thuộc Bộ theo dõi về việc thẩm định DT VBQPPL; xây dựng, đánh giá tác động giới, ban hành VBQPPL;

- Nền tảng số (cơ sở dữ liệu) văn bản pháp luật (nếu có);

- Các nguồn số liệu chính thức khác của Bộ Tư pháp.

Đang theo dõi
Tải biểu mẫu

Biểu số: 01g/TP/TĐTTHC
Ban hành theo Thông tư số 17/2025/TT-BTP
Ngày nhận báo cáo (BC):
BC sơ bộ 6 tháng: Ngày 20 tháng 6 năm báo cáo
BC sơ bộ năm: Ngày 20 tháng 11 năm báo cáo
BC tròn năm: Ngày 20 tháng 01 năm sau

SỐ TTHC TẠI DT VBQPPL ĐÃ ĐƯỢC BỘ TƯ PHÁP THẨM ĐỊNH
(Sơ bộ 6 tháng/sơ bộ năm/tròn năm)


Kỳ báo cáo:............
(Từ ngày......tháng......năm......
đến ngày.......tháng.......năm......)

Đơn vị báo cáo:
Vụ Công tác xây dựng VBQPPL, Bộ Tư pháp
Đơn vị nhận báo cáo:
Bộ Tư pháp (Cục Kế hoạch - Tài chính)

Đơn vị tính: Thủ tục

Số TTHC để thực hiện chính sách tại văn bản do Chính phủ trình đã được thẩm định

Số TTHC quy định tại dự thảo văn bản QPPL đã được thẩm định

Tổng số

Chia theo tên loại văn bản

Tổng số

Chia theo tên loại văn bản

Bộ luật, Luật

Nghị quyết thí điểm của Quốc hội

Pháp lệnh của UBTVQH

DT Bộ luật, Luật

DT Nghị quyết của Quốc hội

DT Pháp lệnh của UBTVQH

DT Nghị quyết của UBTVQH

DT Nghị định của Chính phủ

DT Nghị quyết của Chính phủ

DT Nghị quyết liên tịch

DT Quyết định của Thủ tướng Chính phủ

DT Thông tư

(1)

(2)

(3)

(4)

(5)

(6)

(7)

(8)

(9)

(10)

(11)

(12)

(13)

(14)

* Ghi chú:


Người lập biểu
(Ký, ghi rõ họ, tên)


Người kiểm tra
(Ký, ghi rõ họ, tên)

…, ngày     tháng      năm
THỦ TRƯỞNG ĐƠN VỊ
 (Ký, đóng dấu, ghi rõ họ, tên)

 

GIẢI THÍCH BIỂU MẪU 01g/TP/TĐTTHC

Số TTHC tại DT VBQPPL đã được Bộ Tư pháp thẩm định

1. Khái niệm, phương pháp tính

Biểu mẫu số 01g/TP/TĐTTHC phản ánh số thủ tục hành chính để thực hiện chính sách tại đề xuất chính sách, số thủ tục hành chính quy định tại dự thảo VBQPPL do đơn vị thuộc Bộ Tư pháp chủ trì tham mưu thẩm định.

- Khái niệm “thủ tục hành chính” (TTHC) được quy định tại khoản 1 Điều 3 Nghị định số 63/2010/NĐ-CP về kiểm soát thủ tục hành chính được sửa đổi, bổ sung bởi Nghị định số 48/2013/NĐ-CP, Nghị định số 92/2017/NĐ-CP, Nghị định số 78/2025/NĐ-CP, Nghị định số 118/2025/NĐ-CP.

- Số TTHC để thực hiện chính sách của bộ luật, luật, nghị quyết của Quốc hội, pháp lệnh của Ủy ban Thường vụ Quốc hội do Chính phủ trình đã được thẩm định gồm số lượng thủ tục hành chính để thực hiện chính sách của bộ luật, luật, nghị quyết thí điểm của Quốc hội, pháp lệnh của UBTVQH đã được đơn vị thuộc Bộ Tư pháp chủ trì tham mưu thẩm định.

- Số TTHC quy định tại dự thảo VBQPPL đã được thẩm định gồm số lượng TTHC được quy định tại dự thảo bộ luật, luật, nghị quyết của Quốc hội, pháp lệnh, nghị quyết của UBTVQH, nghị định, nghị quyết của Chính phủ, nghị quyết liên tịch (nghị quyết liên tịch giữa UBTVQH, Chính phủ với Đoàn Chủ tịch UBTW MTTQVN; nghị quyết liên tịch giữa Chính phủ với Đoàn Chủ tịch UBTW MTTQVN), quyết định của Thủ tướng Chính phủ; thông tư của Bộ Tư pháp đã được đơn vị thuộc Bộ Tư pháp chủ trì tham mưu thẩm định.

2. Cách ghi biểu

- Cột 1 = Cột (2+3+4).

- Cột 5 = Cột (6+7+8+9+10+11+12+13+14).

3. Nguồn số liệu

- Sổ sách, hồ sơ của Vụ Công tác xây dựng VBQPPL theo dõi về việc thẩm định TTHC tại dự thảo VBQPPL;

- Nền tảng số (cơ sở dữ liệu) (nếu có);

- Các nguồn số liệu chính thức khác của Bộ Tư pháp.

Đang theo dõi
Tải biểu mẫu

Biểu số: 02a/TP/KTTTQ
Ban hành theo Thông tư số 17/2025/TT-BTP
Ngày nhận báo cáo (BC):
BC sơ bộ 6 tháng: ngày 20 tháng 6 năm báo cáo
BC sơ bộ năm: Ngày 20 tháng 11 năm báo cáo
BC tròn năm: Ngày 20 tháng 01 năm sau

KẾT QUẢ KIỂM TRA, XỬ LÝ VĂN BẢN
THEO THẨM QUYỀN TRÊN ĐỊA BÀN TỈNH/THÀNH PHỐ

(Sơ bộ 6 tháng/sơ bộ năm/tròn năm)

Kỳ báo cáo:……..
(Từ ngày…….tháng……năm……
đến ngày…….tháng……năm……..)

Đơn vị báo cáo:
Sở Tư pháp...
Đơn vị nhận báo cáo:
Bộ Tư pháp (Cục Kế hoạch - Tài chính)

Đơn vị tính: văn bản

Số VBQPPL đã kiểm tra
 (bao gồm kỳ trước chuyển sang)

Số VBQPPL trái pháp luật; số VBQPPL có sai sót đã phát hiện trong kỳ báo cáo

Số VBQPPL trái pháp luật đã được xử lý

Văn bản không phải là VBQPPL nhưng có chứa quy phạm pháp luật (bao gồm cả văn bản hướng dẫn áp dụng VBQPPL vi phạm Điều 61 Luật Ban hành VBQPPL)

Tổng số

Chia ra

Tổng số

Chia ra

Số phát hiện trong kỳ báo cáo

Số phát hiện của các kỳ trước được xử lý trong kỳ báo cáo

Số VBQPPL trái pháp luật

Số VBQPPL có sai sót

Số phát hiện trong kỳ báo cáo đã được xử lý

Số phát hiện của các kỳ trước được xử lý trong kỳ báo cáo

Tổng số

Đã được xử lý

Tổng số

Trong đó: Số  ban hành trong kỳ báo cáo

Tổng số

Trong đó: Số ban hành trong kỳ báo cáo

Tổng số

Trong đó: Số ban hành trong kỳ báo cáo

Tổng
 số

Trong đó: Số ban hành trong kỳ báo cáo

(1)

(2)

(3)

(4)

(5)

(6)

(7)

(8)

(9)

(10)

(11)

(12)

(13)

(14)

* Ghi chú:


Người lập biểu
(Ký, ghi rõ họ, tên)


Người kiểm tra
(Ký, ghi rõ họ, tên, chức vụ)

…, ngày     tháng      năm
GIÁM ĐỐC
(Ký, đóng dấu, ghi rõ họ, tên)

Đang theo dõi
Tải biểu mẫu

Biểu số: 02b/TP/KTTTQ
Ban hành theo Thông tư số 17/2025/TT-BTP
Ngày nhận báo cáo (BC):
BC sơ bộ 6 tháng: ngày 20 tháng 6 năm báo cáo
BC sơ bộ năm: Ngày 20 tháng 11 năm báo cáo
BC tròn năm: Ngày 20 tháng 01 năm sau

KẾT QUẢ KIỂM TRA, XỬ LÝ VĂN BẢN THEO THẨM QUYỀN TẠI CÁC BỘ, CƠ QUAN NGANG BỘ
(Sơ bộ 6 tháng/sơ bộ năm/tròn năm)

Kỳ báo cáo:……..
(Từ ngày…….tháng……năm……
đến ngày…….tháng……năm……..)

Đơn vị báo cáo:
- Bộ/cơ quan ngang bộ;
- Cục Kiểm tra văn bản và Quản lý xử lý vi phạm hành chính (Bộ Tư pháp)
Đơn vị nhận báo cáo:
Bộ Tư pháp (Cục Kế hoạch - Tài chính)

 

Đơn vị tính: văn bản

 

Số VBQPPL đã kiểm tra (bao gồm kỳ trước chuyển sang)

Số VBQPPL trái pháp luật; số VBQPPL có sai sót đã phát hiện trong kỳ báo cáo

Số VBQPPL trái pháp luật đã được xử lý

Văn bản không phải là VBQPPL nhưng có chứa quy phạm pháp luật (bao gồm cả văn bản hướng dẫn áp dụng VBQPPL vi phạm Điều 61 Luật Ban hành VBQPPL)

Ghi chú

Tổng số

Chia ra

 

Chia ra

Số phát hiện trong kỳ báo cáo

Số phát hiện của các kỳ trước được xử lý trong kỳ báo cáo

Số VBQPPL trái pháp luật

Số VBQPPL có sai sót

Số phát hiện trong kỳ báo cáo đã được xử lý

Số phát hiện của các kỳ trước được xử lý trong kỳ báo cáo

Tổng số

Trong đó: đã được xử lý

Tổng số

Trong đó: Số ban hành trong kỳ báo cáo

Tổng số

Trong đó: Số ban hành trong kỳ báo cáo

Tổng số

Trong đó: Số ban hành trong kỳ báo cáo

Tổng
 số

Trong đó: Số ban hành trong kỳ báo cáo

A

(1)

(2)

(3)

(4)

(5)

(6)

(7)

(8)

(9)

(10)

(11)

(12)

(13)

(14)

(15)

TỔNG SỐ

                             

I. Văn bản của các Bộ, cơ quan ngang Bộ khác

                             

1

Tên Bộ, cơ quan ngang Bộ

                             

2

Tên Bộ, cơ quan ngang Bộ

                             
 

….

                             

II. Văn bản của HĐND, UBND, Chủ tịch UBND các tỉnh, thành phố

                             

1

Tên tỉnh/thành phố …

                             

2

Tên tỉnh/thành phố ….

                             
 

                             

* Ghi chú:

 

 


Người lập biểu
(Ký, ghi rõ họ, tên)


Người kiểm tra
(Ký, ghi rõ họ, tên, chức vụ)

…, ngày     tháng      năm
THỦ TRƯỞNG ĐƠN VỊ
(Ký, đóng dấu, ghi rõ họ, tên)

Đang theo dõi
Tải biểu mẫu

GIẢI THÍCH BIỂU MẪU 02a/TP/KTTTQ, 02b/TP/KTTTQ

(Kết quả kiểm tra, xử lý văn bản theo thẩm quyền)

1. Khái niệm, phương pháp tính

* Biểu mẫu 02a/TP/KTTTQ, 02b/TP/KTTTQ để thu thập thông tin thống kê về số văn bản đã được kiểm tra và xử lý theo thẩm quyền lần lượt tại cấp tỉnh và tại các bộ, cơ quan ngang bộ.

* Giải thích khái niệm:

- Khái niệm “văn bản quy phạm pháp luật” được quy định tại Điều 2 Luật Ban hành văn bản QPPL số 64/2025/QH15 được sửa đổi, bổ sung bởi Luật số 87/2025/QH.

- Khái niệm “kiểm tra văn bản QPPL theo thẩm quyền” được quy định tại khoản 1 Điều 2 Nghị định số 79/2025/NĐ-CP được sửa đổi, bổ sung bởi Nghị định số 187/2025/NĐ-CP.

- "Văn bản không phải là văn bản QPPL nhưng có chứa QPPL (bao gồm cả văn bản hướng dẫn áp dụng văn bản QPPL)” là văn bản được quy định tại khoản 4 Điều 63 Luật Ban hành văn bản QPPL số 64/2025/QH15 được sửa đổi, bổ sung bởi Luật số 87/2025/QH và khoản 2, 3 Điều 4 của Nghị định số 79/2025/NĐ-CP được sửa đổi, bổ sung bởi Nghị định số 187/2025/NĐ-CP.

2. Cách ghi biểu

2.1. Áp dụng chung đối với Biểu mẫu 02a/TP/KTTTQ, Biểu mẫu 02b/TP/KTTTQ

Cột 1: Ghi số văn bản QPPL đã kiểm tra trong kỳ báo cáo gồm cả văn bản QPPL được ban hành trong các kỳ trước chuyển sang.

Cột 2: Ghi số văn bản QPPL được ban hành trong năm báo cáo đã được kiểm tra trong kỳ (đối với những văn bản QPPL đã được kiểm tra trong kỳ nhưng được ban hành các năm trước năm báo cáo thì không thống kê vào cột này).

Cột 2 là số thành phần của cột 1 (cột 2 ≤ cột 1).

Cột 3: = Cột (4+6)

Cột 4: Ghi tổng số văn bản QPPL phát hiện trái pháp luật quy định tại khoản 1 Điều 7 Nghị định số 79/2025/NĐ-CP về kiểm tra, rà soát, hệ thống hóa và xử lý văn bản quy phạm pháp luật, được sửa đổi, bổ sung bởi Nghị định số 187/2025/NĐ-CP.

Cột 5: Ghi số văn bản QPPL được ban hành trong năm báo cáo phát hiện trái pháp luật.

Cột 5 là số thành phần của cột 4 (cột 5 ≤ cột 4)

Cột 6: Ghi số văn bản QPPL phát hiện có sai sót về căn cứ ban hành; thể thức, kỹ thuật trình bày (không bao gồm số văn bản QPPL phát hiện trái pháp luật đã thống kê tại cột 4, cột 5).

* Lưu ý:

- Việc thống kê số văn bản trái pháp luật đã được phát hiện được thực hiện theo nguyên tắc: để tránh chồng chéo về số liệu báo cáo thống kê, một văn bản có nội dung trái pháp luật chỉ được thống kê một lần (dù văn bản đó trái pháp luật về nhiều nội dung); nếu một văn bản phát hiện vừa trái pháp luật vừa có sai sót thì chỉ thống kê là 01 văn bản trái pháp luật.

- Cách thống kê văn bản trái pháp luật tại cột 4, có sai sót tại cột 6 của các biểu mẫu này như sau:

+ Cột 4: Trong trường hợp một văn bản QPPL phát hiện trái pháp luật về thẩm quyền hoặc/và nội dung, trình tự, thủ tục xây dựng, ban hành văn bản, … thì thống kê vào cột này. Nếu 01 văn bản phát hiện trái pháp luật cả về thẩm quyền ban hành và nội dung văn bản, trình tự, thủ tục xây dựng, ban hành văn bản thì cũng chỉ thống kê là 01 văn bản trái (đơn vị tính là văn bản chứ không phải là lỗi trái). 

+ Cột 6: Trường hợp văn bản QPPL phát hiện sai sót về một hoặc các vấn đề như: căn cứ pháp lý, thể thức, kỹ thuật trình bày (không trái pháp luật) thì thống kê vào cột 6.

Cột 7 = Cột (8+10)

Cột 8: Ghi tổng số văn bản QPPL trái pháp luật được phát hiện trong kỳ báo cáo đã được xử lý.

Cột 9: Ghi số văn bản QPPL ban hành trong năm báo cáo phát hiện trái pháp luật đã được xử lý trong kỳ báo cáo.

Cột 9 là số thành phần của cột 8 (cột 9 ≤ cột 8)

Cột 10: Ghi số văn bản QPPL phát hiện trái pháp luật của các kỳ trước được xử lý trong kỳ báo cáo.

Cột 11: Ghi tổng số văn bản có chứa QPPL nhưng không được ban hành bằng hình thức văn bản QPPL (bao gồm cả văn bản hướng dẫn áp dụng văn bản QPPL vi phạm Điều 61 Luật Ban hành văn bản QPPL).

Cột 12: Ghi tổng số văn bản có chứa QPPL nhưng không được ban hành bằng hình thức văn bản QPPL (bao gồm cả văn bản hướng dẫn áp dụng văn bản QPPL vi phạm Điều 61 Luật Ban hành văn bản QPPL) phát hiện trong kỳ báo cáo đã được xử lý.

Cột 12 ≤ cột 11

Cột 13: Ghi số văn bản có chứa QPPL nhưng không được ban hành bằng hình thức văn bản QPPL (bao gồm cả văn bản hướng dẫn áp dụng văn bản QPPL vi phạm Điều 61 Luật Ban hành văn bản QPPL) ban hành trong năm báo cáo đã được xử lý trong kỳ báo cáo.

Cột 13 là số thành phần của cột 12 (cột 13 ≤ cột 12)

Cột 14: Ghi số văn bản có chứa QPPL nhưng không được ban hành bằng hình thức văn bản QPPL (bao gồm cả văn bản hướng dẫn áp dụng văn bản QPPL vi phạm Điều 61 Luật Ban hành văn bản QPPL)phát hiện từ các kỳ trước được xử lý trong kỳ báo cáo.

2.2. Áp dụng riêng đối với Biểu mẫu 02b/TP/KTTTQ

Cột A ghi tên các Bộ, cơ quan ngang Bộ và các địa phương được đơn vị báo cáo tiếp nhận văn bản để kiểm tra theo thẩm quyền.

Ví dụ: Trong kỳ báo cáo, Bộ Nội vụ đã tiếp nhận và kiểm tra theo thẩm quyền các văn bản quy phạm pháp luật của các Bộ: Bộ Công an, Bộ Tư pháp… và của HĐND, UBND, Chủ tịch UBND các tỉnh/thành phố: Hà Nội, TP Hồ Chí Minh, Nghệ An… thì ghi tên các Bộ nói trên vào phần “I. Văn bản của các Bộ, cơ quan ngang Bộ khác” và ghi tên các địa phương nói trên vào phần “II. Văn bản của HĐND, UBND, Chủ tịch UBND các tỉnh, thành phố” của Cột A trong Biểu mẫu.

Dòng “Tổng số” = Dòng “I. Văn bản của các Bộ, cơ quan ngang Bộ khác” + Dòng “II. Văn bản của HĐND, UBND, Chủ tịch UBND các tỉnh, thành phố”.

Dòng “I. Văn bản của các Bộ, cơ quan ngang Bộ khác” = Tổng cộng các dòng “Tên Bộ, cơ quan ngang Bộ”.

Dòng “II. Văn bản của HĐND, UBND, Chủ tịch UBND các tỉnh, thành phố” = Tổng cộng các dòng “Tên tỉnh/thành phố”.

3. Nguồn số liệu

Biểu mẫu 02a/TP/KTTTQ: Nguồn số liệu từ hồ sơ, tài liệu của UBND cấp tỉnh.

Biểu mẫu 02b/TP/KTTTQ: Nguồn số liệu từ hồ sơ, tài liệu của các Bộ, cơ quan ngang Bộ.

Đang theo dõi
Tải biểu mẫu

Biểu số: 03a/TP/RSVB
Ban hành theo Thông tư số 17/2025/TT-BTP
Ngày nhận báo cáo (BC):
BC sơ bộ năm: Ngày 10 tháng 11 năm báo cáo
BC tròn năm: Ngày 10 tháng 01 năm sau

KẾT QUẢ RÀ SOÁT VĂN BẢN QUY PHẠM PHÁP LUẬT THEO CĂN CỨ LÀ VĂN BẢN TRÊN ĐỊA BÀN CẤP XÃ
(Sơ bộ năm/tròn năm)

Kỳ báo cáo: …………..
(Từ ngày ….. tháng…… năm …..
đến ngày ……. tháng …….. năm ……..)

Đơn vị báo cáo:
Ủy ban nhân dân xã/phường/đặc khu…

Đơn vị nhận báo cáo:
Sở Tư pháp …..

Đơn vị tính: Văn bản

Số văn bản quy phạm pháp luật (VBQPPL) phải được rà soát trong kỳ báo cáo

Kết quả xử lý VBQPPL
sau rà soát trong kỳ báo cáo

Kết quả xử lý VBQPPL chưa xử lý xong của các kỳ trước

Tổng số

Trong đó: Đã được rà soát

Tổng số

Trong đó: Đã xử lý

Tổng số

Trong đó: Đã xử lý

(1)

(2)

(3)

(4)

(5)

(6)

* Ghi chú:


Người lập biểu
(Ký, ghi rõ họ, tên)


Người kiểm tra
(Ký, ghi rõ họ, tên)

…, ngày … tháng … năm …
TM. ỦY BAN NHÂN DÂN
CHỦ TỊCH

(Ký, đóng dấu, ghi rõ họ, tên)

Đang theo dõi
Tải biểu mẫu

Biểu số: 03b/TP/RSVB
Ban hành theo Thông tư số 17/2025/TT-BTP
Ngày nhận báo cáo (BC):
BC sơ bộ năm: Ngày 20 tháng 11 năm báo cáo
BC tròn năm: Ngày 20 tháng 01 năm sau

KẾT QUẢ RÀ SOÁT VĂN BẢN QUY PHẠM PHÁP LUẬT THEO CĂN CỨ LÀ VĂN BẢN TRÊN ĐỊA BÀN TỈNH/THÀNH PHỐ
(Sơ bộ năm/tròn năm)

Kỳ báo cáo: …………….
(Từ ngày……tháng…….năm…….
đến ngày …… tháng…… năm……….)

Đơn vị báo cáo:
Sở Tư pháp...

Đơn vị nhận báo cáo:
Bộ Tư pháp (Cục Kế hoạch - Tài chính)

Đơn vị tính: Văn bản

 

Số văn bản quy phạm pháp luật (VBQPPL) phải được rà soát trong kỳ báo cáo

Kết quả xử lý VBQPPL
sau rà soát trong kỳ báo cáo

Kết quả xử lý VBQPPL chưa xử lý xong của các kỳ trước

Ghi chú

Tổng

Trong đó: Đã được rà soát

Tổng số

Trong đó: Đã xử lý

Tổng số

Trong đó: Đã xử lý

A

(1)

(2)

(3)

(4)

(5)

(6)

 

Tổng số trên địa bàn tỉnh

             

1. Tại cấp tỉnh

             

2. Tại địa bàn cấp xã

             

Tên xã/phường/đặc khu…

             

Tên xã/phường/đặc khu…

             

….

             

* Ghi chú:


Người lập biểu
(Ký, ghi rõ họ, tên)


Người kiểm tra
(Ký, ghi rõ họ, tên, chức vụ)

…, ngày … tháng … năm …
GIÁM ĐỐC
(Ký, đóng dấu, ghi rõ họ, tên)

Đang theo dõi
Tải biểu mẫu

Biểu số: 03c/TP/RSVB
Ban hành theo Thông tư số 17/2025/TT-BTP
Ngày nhận báo cáo (BC):
BC sơ bộ năm: Ngày 20 tháng 11 năm báo cáo
BC tròn năm: Ngày 20 tháng 01 năm sau

KẾT QUẢ RÀ SOÁT VĂN BẢN QUY PHẠM PHÁP LUẬT THEO CĂN CỨ LÀ VĂN BẢN TẠI CÁC BỘ, CƠ QUAN NGANG BỘ
(Sơ bộ năm/tròn năm)

Kỳ báo cáo:………….
(Từ ngày……tháng…….năm…….
đến ngày …… tháng…… năm……….)

Đơn vị báo cáo:
-
Bộ/Cơ quan ngang bộ….
- Cục Kiểm tra văn bản và Quản lý xử lý vi phạm hành chính (Bộ Tư pháp)
Đơn vị nhận báo cáo:
Bộ Tư pháp (Cục Kế hoạch - Tài chính)

Đơn vị tính: Văn bản

Số văn bản quy phạm pháp luật (VBQPPL) phải được rà soát trong kỳ báo cáo

Kết quả xử lý VBQPPL
sau rà soát trong kỳ báo cáo

Kết quả xử lý VBQPPL chưa xử lý xong của các kỳ trước

Tổng số

Trong đó: Đã được rà soát

Tổng số

Trong đó: Đã xử lý

Tổng số

Trong đó: Đã xử lý

(1)

(2)

(3)

(4)

(5)

(6)

* Ghi chú:


Người lập biểu
(Ký, ghi rõ họ, tên)


Người kiểm tra
(Ký, ghi rõ họ, tên, chức vụ)

…, ngày … tháng … năm …
THỦ TRƯỞNG ĐƠN VỊ
(Ký, đóng dấu, ghi rõ họ, tên)

Đang theo dõi
Tải biểu mẫu

GIẢI THÍCH BIỂU MẪU 03a/TP/RSVB, 03b/TP/RSVB và 03c/TP/RSVB

(Kết quả rà soát văn bản quy phạm pháp luật theo căn cứ là văn bản)

1. Khái niệm, phương pháp tính

* Biểu mẫu 03a/TP/RSVB, 03b/TP/RSVB và 03c/TP/RSVB để thu thập thông tin thống kê về kết quả rà soát văn bản quy phạm pháp luật theo căn cứ là văn bản lần lượt tại cấp xã, cấp tỉnh và các bộ, cơ quan ngang bộ.

* Giải thích khái niệm:

- Khái niệm “văn bản quy phạm pháp luật” được quy định tại Điều 2 Luật Ban hành văn bản QPPL số 64/2025/QH15 được sửa đổi, bổ sung bởi Luật số 87/2025/QH.

- Khái niệm “rà soát văn bản quy phạm pháp luật” được quy định tại khoản 5 Điều 3 Luật Ban hành văn bản QPPL số 64/2025/QH15 được sửa đổi, bổ sung bởi Luật số 87/2025/QH.

- Khái niệm “văn bản phải được rà soát” được quy định tại mục khái niệm, phương pháp tính chỉ tiêu số 0202 Phụ lục II kèm theo Thông tư số 16/2025/TT-BTP quy định Hệ thống chỉ tiêu thống kê của ngành Tư pháp.

- Kết quả xử lý văn bản QPPL sau rà soát gồm: bãi bỏ toàn bộ hoặc một phần; thay thế; sửa đổi, bổ sung; ban hành văn bản mới; tạm ngưng hiệu lực toàn bộ hoặc một phần; công bố văn bản quy định chi tiết, quy định biện pháp cụ thể để tổ chức, hướng dẫn thi hành văn bản tiếp tục có hiệu lực toàn bộ hoặc một phần quy định tại khoản 2 Điều 57 của Luật.

2. Cách ghi biểu

2.1. Áp dụng chung đối với biểu mẫu 03a/TP/RSVB, 03b/TP/RSVB và 03c/TP/RSVB

Cột 1: Ghi tổng số văn bản QPPL cần rà soát trong kỳ báo cáo (không bao gồm các văn bản cần rà soát của các kỳ trước nhưng chưa được rà soát).

Lưu ý: Chỉ thống kê các văn bản cần rà soát khi có căn cứ rà soát là văn bản (theo khoản 1 Điều 37 Nghị định số 79/2025/NĐ-CP, được sửa đổi, bổ sung bởi Nghị định số 187/2025/NĐ-CP) trong kỳ báo cáo. Không thống kê các văn bản được rà soát theo căn cứ rà soát là tình hình phát triển kinh tế - xã hội (theo khoản 2 Điều 37 Nghị định số 79/2025/NĐ-CP, được sửa đổi, bổ sung bởi Nghị định số 187/2025/NĐ-CP) hoặc yêu cầu quản lý nhà nước (theo chuyên đề, lĩnh vực, địa bàn).

Cột 2: Ghi số VBQPPL đã được rà soát trong kỳ báo cáo.

Cột 2 ≤ Cột 1

Cột 3: Ghi tổng số văn bản QPPL cần xử lý sau khi được rà soát trong kỳ báo cáo (bao gồm số văn bản cần bãi bỏ toàn bộ hoặc một phần; thay thế; sửa đổi, bổ sung; ban hành văn bản mới; tạm ngưng hiệu lực toàn bộ hoặc một phần; công bố văn bản quy định chi tiết, quy định biện pháp cụ thể để tổ chức, hướng dẫn thi hành văn bản tiếp tục có hiệu lực toàn bộ hoặc một phần. Trường hợp một văn bản được rà soát và được đề nghị xử lý nhiều lần với các hình thức xử lý, nội dung cần xử lý khác nhau thì cũng chỉ thống kê là 01 văn bản.

Cột 4: Ghi số VBQPPL cần xử lý trong kỳ báo cáo đã xử lý xong, cụ thể là cơ quan có thẩm quyền xử lý văn bản đã ban hành văn bản bãi bỏ toàn bộ hoặc một phần; thay thế; sửa đổi, bổ sung; ban hành văn bản mới; tạm ngưng hiệu lực toàn bộ hoặc một phần; công bố văn bản quy định chi tiết, quy định biện pháp cụ thể để tổ chức, hướng dẫn thi hành văn bản tiếp tục có hiệu lực toàn bộ hoặc một phần. Trường hợp văn bản có nhiều nội dung cần xử lý nhưng mới xử lý một phần thì không được tính là đã xử lý xong.

Cột 4 ≤ Cột 3

Cột 5: Ghi tổng số VBQPPL chưa xử lý xong của các kỳ trước chuyển sang để xử lý tại kỳ báo cáo này (Ví dụ: Năm thống kê hiện tại là năm 2025 thì cột số 5 sẽ thể hiện số liệu thống kê các văn bản chưa xử lý xong của các năm trước năm 2025).

Cột 6: Ghi số VBQPPL chưa xử lý xong của các kỳ trước nhưng đã xử lý xong tại kỳ báo cáo này. Trường hợp văn bản có nhiều nội dung cần xử lý nhưng mới xử lý một phần thì không được tính là đã xử lý xong.

Cột 6 ≤ Cột 5

2.2. Áp dụng riêng đối với biểu mẫu 03b/TP/RSVB

Dòng “Tổng số trên địa bàn tỉnh” ghi tổng số VBQPPL đã được rà soát trên địa bàn tỉnh, trong đó dòng 1.“Tại cấp tỉnh” ghi số VBQPPL đã được rà soát của UBND cấp tỉnh; dòng 2.“Tại địa bàn xã” ghi tổng số VBQPPL đã được rà soát của cấp cấp xã trên địa bàn tỉnh; các dòng “Tên xã…”: lần lượt ghi tên của xã/phường/đặc khu trên địa bàn tỉnh (liệt kê đầy đủ các xã, phường, đặc khu thuộc tỉnh).

Dòng “Tổng số trên địa bàn tỉnh” = dòng 1 “Tại cấp tỉnh” + dòng 2 “Tại địa bàn cấp xã”.

Dòng “2. Tại địa bàn cấp xã” = Tổng cộng các dòng “Tên xã/phường/đặc khu…”.

3. Nguồn số liệu

Biểu mẫu 03a/TP/RSVB: Nguồn số liệu từ hồ sơ, tài liệu của UBND cấp xã và cơ sở dữ liệu (nếu có).

Biểu mẫu 03b/TP/RSVB: Nguồn số liệu từ hồ sơ, tài liệu của UBND cấp tỉnh và được tổng hợp từ biểu mẫu 03a/TP/RSVB của UBND cấp xã; cơ sở dữ liệu (nếu có).

Biểu mẫu 03c/TP/RSVB: Nguồn số liệu từ hồ sơ, tài liệu của các bộ, cơ quan ngang bộ; cơ sở dữ liệu (nếu có).

Đang theo dõi
Tải biểu mẫu

Biểu số: 04a/TP/PBGDPL
Ban hành theo Thông tư số 17/2025/TT-BTP
Ngày nhận báo cáo (BC):
BC sơ bộ 6 tháng: ngày 10 tháng 6 năm báo cáo
BC sơ bộ năm: Ngày 10 tháng 11 năm báo cáo
BC tròn năm: Ngày 10 tháng 01 năm sau

KẾT QUẢ CÔNG TÁC PHỔ BIẾN GIÁO DỤC PHÁP LUẬT TRÊN ĐỊA BÀN XÃ/PHƯỜNG/ĐẶC KHU
(Sơ bộ 6 tháng/sơ bộ năm/tròn năm)
Kỳ báo cáo:............
(Từ ngày......tháng......năm......
đến ngày.......tháng.......năm......)

Đơn vị báo cáo:
- Ủy ban nhân dân xã/phường/đặc khu …
Đơn vị nhận báo cáo:
Sở Tư pháp…

Số Tuyên truyền viên pháp luật cấp xã
(Người)

Kết quả hoạt động PBGDPL

PBGDPL trực tiếp, trực tuyến

Thi tìm hiểu pháp luật

Số tài liệu PBGDPL được phát hành hoặc đăng tải
(Bản)

Số chính sách, dự thảo VBQPPL được truyền thông

Kinh phí dành cho công tác PBGDPL
(Đồng)

Tổng số

Trong đó: Số người thực hiện phổ biến pháp luật

Tổng số

Trong đó: PBGDPL trực tuyến

Số cuộc thi
(Cuộc)

Số lượt người dự thi
(Lượt người)

Tổng số kinh phí

Chia ra

Số tài liệu gốc

Số tài liệu được nhân bản để phát hành

Chính sách
(Chính sách)

Dự thảo văn bản
(Văn bản)

Kinh phí NSNN

Kinh phí từ nguồn hỗ trợ khác

Số cuộc
(Cuộc)

Số lượt người tham dự
(Lượt người)

Số cuộc
(Cuộc)

Số lượt người tham dự
(Lượt người)

Tổng số

Trong đó: số tài liệu được đăng tải trên Cổng thông tin điện tử

Số chính sách phải được truyền thông

Số chính sách đã được truyền thông

Số dự thảo văn bản quy phạm pháp luật phải được truyền thông

Số dự thảo văn bản quy phạm pháp luật đã được truyền thông

Kinh phí NSNN phân bổ thường xuyên

Kinh phí NSNN cấp theo chương trình, đề án

(1)

(2)

(3)

(4)

(5)

(6)

(7)

(8)

(9)

(10)

(11)

(12)

(13)

(14)

(15)

(16)

(17)

(18)

(19)

Cột (1), cột (2) không phải báo cáo kỳ sơ bộ 6 tháng

* Ghi chú:

 


Người lập biểu
(Ký, ghi rõ họ, tên)


Người kiểm tra
(Ký, ghi rõ họ, tên)

…, ngày........ tháng........ năm.......
TM. ỦY BAN NHÂN DÂN
CHỦ TỊCH

(Ký, đóng dấu, ghi rõ họ, tên)

Đang theo dõi
Tải biểu mẫu

Biểu số: 04b/TP/PBGDPL
Ban hành theo Thông tư số 17/2025/TT-BTP
Ngày nhận báo cáo (BC):
BC sơ bộ 6 tháng: ngày 10 tháng 6 năm báo cáo
BC sơ bộ năm: Ngày 10 tháng 11 năm báo cáo
BC tròn năm: Ngày 10 tháng 01 năm sau

KẾT QUẢ CÔNG TÁC PHỔ BIẾN GIÁO DỤC PHÁP LUẬT TẠI CƠ QUAN, TỔ CHỨC CẤP TỈNH, 
DOANH NGHIỆP NHÀ NƯỚC DO UBND CẤP TỈNH QUẢN LÝ

(Sơ bộ 6 tháng/sơ bộ năm/tròn năm)
Kỳ báo cáo:............
(Từ ngày......tháng......năm......
đến ngày.......tháng.......năm......)

Đơn vị báo cáo:
- Cơ quan chuyên môn thuộc UBND cấp tỉnh;
- Cơ quan Ủy ban Mặt trận Tổ quốc Việt Nam cấp tỉnh;
- Doanh nghiệp nhà nước do UBND cấp tỉnh quản lý
Đơn vị nhận báo cáo:
Sở Tư pháp…

Số báo cáo viên pháp luật cấp tỉnh
(Người)

Kết quả hoạt động PBGDPL

PBGDPL trực tiếp, trực tuyến

Thi tìm hiểu pháp luật

Số tài liệu PBGDPL được phát hành hoặc đăng tải
(Bản)

Số chính sách, dự thảo VBQPPL được truyền thông

Kinh phí dành cho công tác PBGDPL
(Đồng)

Tổng số

Trong đó: Số người thực hiện phổ biến pháp luật

Tổng số

Trong đó: PBGDPL trực tuyến

Số cuộc thi
(Cuộc)

Số lượt người dự thi
(Lượt người)

Tổng số kinh phí

Chia ra

Số tài liệu gốc

Số tài liệu được nhân bản để phát hành

Chính sách
(Chính sách)

Dự thảo văn bản
(Văn bản)

Kinh phí NSNN

Kinh phí từ nguồn hỗ trợ khác

Số cuộc
(Cuộc)

Số lượt người tham dự
(Lượt người)

Số cuộc
(Cuộc)

Số lượt người tham dự
(Lượt người)

Tổng số

Trong đó: số tài liệu được đăng tải trên Cổng thông tin điện tử

Số chính sách phải được truyền thông

Số chính sách đã được truyền thông

Số dự thảo văn bản quy phạm pháp luật phải được truyền thông

Số dự thảo văn bản quy phạm pháp luật đã được truyền thông

Kinh phí NSNN phân bổ thường xuyên

Kinh phí NSNN cấp theo chương trình, đề án

(1)

(2)

(3)

(4)

(5)

(6)

(7)

(8)

(9)

(10)

(11)

(12)

(13)

(14)

(15)

(16)

(17)

(18)

(19)

Cột (1), cột (2) không phải báo cáo kỳ sơ bộ 6 tháng

* Ghi chú:


Người lập biểu
(Ký, ghi rõ họ, tên)


Người kiểm tra
(Ký, ghi rõ họ, tên, chức vụ)

…, ngày........ tháng........ năm.......
THỦ TRƯỞNG ĐƠN VỊ
(Ký, đóng dấu, ghi rõ họ, tên)

Đang theo dõi
Tải biểu mẫu

Biểu số: 04c/TP/PBGDPL
Ban hành theo Thông tư số 17/2025/TT-BTP
Ngày nhận báo cáo (BC):
BC sơ bộ 6 tháng: ngày 20 tháng 6 năm báo cáo
BC sơ bộ năm: Ngày 20 tháng 11 năm báo cáo
BC tròn năm: Ngày 20 tháng 01 năm sau

KẾT QUẢ CÔNG TÁC PHỔ BIẾN GIÁO DỤC PHÁP LUẬT TRÊN ĐỊA BÀN TỈNH/THÀNH PHỐ
(Sơ bộ 6 tháng/sơ bộ năm/tròn năm)
Kỳ báo cáo:............
(Từ ngày......tháng......năm......
đến ngày.......tháng.......năm......)

Đơn vị báo cáo:
Sở Tư pháp................

Đơn vị nhận báo cáo:
Bộ Tư pháp (Cục Kế hoạch - Tài chính)

 

Số Tuyên truyền viên pháp luật cấp xã
(Người)

Số Báo cáo viên pháp luật cấp tỉnh
(Người)

Kết quả hoạt động PBGDPL

Ghi chú

PBGDPL trực tiếp, trực tuyến

Thi tìm hiểu pháp luật

Số tài liệu PBGDPL được phát hành hoặc đăng tải
(Bản)

Số chính sách, dự thảo VBQPPL được truyền thông

Kinh phí dành cho công tác PBGDPL
(Đồng)

Tổng số

Trong đó: Số người thực hiện phổ biến pháp luật

Tổng số

Trong đó: Số người thực hiện phổ biến pháp luật

Tổng số

Trong đó: PBGDPL trực tuyến

Số cuộc thi
(Cuộc)

Số lượt người dự thi
(Lượt người)

Tổng số kinh phí

Chia ra

Số tài liệu gốc

Số tài liệu được nhân bản để phát hành

Chính sách
(Chính sách)

Dự thảo văn bản
(Văn bản)

Kinh phí NSNN

Kinh phí từ nguồn hỗ trợ khác

Số cuộc
(Cuộc)

Số lượt người tham dự
(Lượt người)

Số cuộc
(Cuộc)

Số lượt người tham dự
(Lượt người)

Tổng số

Trong đó: số tài liệu được đăng tải trên Cổng thông tin điện tử

Số chính sách phải được truyền thông

Số chính sách đã được truyền thông

Số dự thảo văn bản quy phạm pháp luật phải được truyền thông

Số dự thảo văn bản quy phạm pháp luật đã được truyền thông

Kinh phí NSNN phân bổ thường xuyên

Kinh phí NSNN cấp theo chương trình, đề án

 

(1)

(2)

(3)

(4)

(5)

(6)

(7)

(8)

(9)

(10)

(11)

(12)

(13)

(14)

(15)

(16)

(17)

(18)

(19)

(20)

(21)

(22)

Tổng số trên địa bàn tỉnh/thành phố

                                           

I. Tại cấp tỉnh

-

-

                                       

1. Cơ quan chuyên môn thuộc UBND cấp tỉnh

                                           

1.1. Sở Nội vụ

-

-

                                       

1.2. Sở Tư pháp

-

-

                                       

1.3. Sở Tài chính

-

-

                                       

1.4. Sở Công thương

-

-

                                       

1.5. Sở Nông nghiệp và Môi trường

-

-

                                       

1.6. Sở Xây dựng

-

-

                                       

1.7. Sở Khoa học và Công nghệ

-

-

                                       

1.8. Sở Văn hoá, Thể thao và Du lịch

-

-

                                       

1.9. Sở Giáo dục và Đào tạo

-

-

                                       

1.10. Sở Y tế

-

-

                                       

1.11. Thanh tra tỉnh

-

-

                                       

1.12. Văn phòng UBND

-

-

                                       

1.13. Sở Ngoại vụ

-

-

                                       

1.14. Sở Dân tộc và Tôn giáo

-

-

                                       

1.15. Sở Du lịch

-

-

                                       

1.16. Sở Quy hoạch - Kiến trúc (đối với Hà Nội và thành phố Hồ Chí Minh)

-

-

                                       

2. Cơ quan Ủy ban Mặt trận Tổ quốc Việt Nam cấp tỉnh

                                           

3. Doanh nghiệp nhà nước do UBND cấp tỉnh quản lý

-

-

                                       

Doanh nghiệp...

-

-

                                       

II. Tại cấp xã

   

-

-

                                   

1. Tên xã/phường/đặc khu…

   

-

-

                                   

   

-

-

                                   

Từ cột (1) đến cột (4) không phải báo cáo kỳ sơ bộ 6 tháng

Ô có dấu "-" không phải báo cáo

* Ghi chú:


Người lập biểu
(Ký, ghi rõ họ, tên)


Người kiểm tra
(Ký, ghi rõ họ, tên, chức vụ)

…, ngày........ tháng........ năm.......
GIÁM ĐỐC
(Ký, đóng dấu, ghi rõ họ, tên)

Đang theo dõi
Tải biểu mẫu

Biểu số: 04d/TP/PBGDPL
Ban hành theo Thông tư số 17/2025/TT-BTP
Ngày nhận báo cáo (BC):
BC sơ bộ 6 tháng: ngày 20 tháng 6 năm báo cáo
BC sơ bộ năm: Ngày 20 tháng 11 năm báo cáo
BC tròn năm: Ngày 20 tháng 01 năm sau

KẾT QUẢ CÔNG TÁC PHỔ BIẾN GIÁO DỤC PHÁP LUẬT TẠI CÁC BỘ, CƠ QUAN NGANG BỘ,
CƠ QUAN THUỘC CHÍNH PHỦ VÀ CƠ QUAN UỶ BAN TRUNG ƯƠNG MẶT TRẬN TỔ QUỐC VIỆT NAM
(Sơ bộ 6 tháng/sơ bộ năm/tròn năm)

Kỳ báo cáo:............
(Từ ngày......tháng......năm......
đến ngày.......tháng.......năm......)

Đơn vị báo cáo:
- Các Bộ, cơ quan ngang Bộ, cơ quan thuộc Chính phủ:
- Cơ quan Ủy ban Trung ương Mặt trận Tổ quốc Việt Nam;
- Đơn vị thuộc Bộ Tư pháp (Vụ, Cục…).
Đơn vị nhận báo cáo:
Bộ Tư pháp (Cục Kế hoạch - Tài chính)

Số báo cáo viên pháp luật cấp Trung ương
(Người)

Kết quả hoạt động PBGDPL

PBGDPL trực tiếp, trực tuyến

Thi tìm hiểu pháp luật

Số tài liệu PBGDPL được phát hành hoặc đăng tải
(Bản)

Số chính sách, dự thảo VBQPPL được truyền thông

Kinh phí dành cho công tác PBGDPL
(Đồng)

Tổng số

Trong đó: Số người thực hiện phổ biến pháp luật

Tổng số

Trong đó: PBGDPL trực tuyến

Số cuộc thi
(Cuộc)

Số lượt người dự thi
(Lượt người)

Tổng số kinh phí

Chia ra

Số tài liệu gốc

Số tài liệu được nhân bản để phát hành

Chính sách
(Chính sách)

Dự thảo văn bản
(Văn bản)

Kinh phí NSNN

Kinh phí từ nguồn hỗ trợ khác

Số cuộc
(Cuộc)

Số lượt người tham dự
(Lượt người)

Số cuộc
(Cuộc)

Số lượt người tham dự
(Lượt người)

Tổng số

Trong đó: số tài liệu được đăng tải trên Cổng thông tin điện tử

Số chính sách phải được truyền thông

Số chính sách đã được truyền thông

Số dự thảo văn bản quy phạm pháp luật phải được truyền thông

Số dự thảo văn bản quy phạm pháp luật đã được truyền thông

Kinh phí NSNN phân bổ thường xuyên

Kinh phí NSNN cấp theo chương trình, đề án

(1)

(2)

(3)

(4)

(5)

(6)

(7)

(8)

(9)

(10)

(11)

(12)

(13)

(14)

(15)

(16)

(17)

(18)

(19)

Cột (1), cột (2) không phải báo cáo kỳ sơ bộ 6 tháng

* Ghi chú:


Người lập biểu
(Ký, ghi rõ họ, tên)


Người kiểm tra
(Ký, ghi rõ họ, tên)

…, ngày........ tháng........ năm.......
THỦ TRƯỞNG ĐƠN VỊ
(Ký, đóng dấu, ghi rõ họ, tên)

Đang theo dõi
Tải biểu mẫu

GIẢI THÍCH BIỂU MẪU SỐ 04a/TP/PBGDPL, 04b/TP/PBGDPL, 04c/TP/PBGDPL, 04d/TP/PBGDPL

(Kết quả công tác phổ biến giáo dục pháp luật)

1. Khái niệm, phương pháp tính

Các hoạt động PBGDPL được thể hiện trong kế hoạch, báo cáo, cổng/trang thông tin điện tử, phần mềm, cơ sở dữ liệu về phổ biến giáo dục pháp luật...

- Số người thực hiện phổ biến pháp luật là số người trong số tuyên truyền viên pháp luật cấp xã/báo cáo viên pháp luật cấp tỉnh/báo cáo viên pháp luật trung ương trực tiếp làm báo cáo viên, thực hiện phổ biến kiến thức pháp luật trong kỳ báo cáo.

- Phổ biến pháp luật trực tiếp là một hình thức phổ biến, giáo dục pháp luật mà người nói trực tiếp nói với người nghe  tại các hội nghị, lớp tập huấn, bồi dưỡng có nội dung phổ biến, giáo dục pháp luật nhằm truyền tải nội dung các quy định pháp luật, góp phần nâng cao nhận thức, hiểu biết và ý thức pháp luật cho người nghe, hướng người nghe có hành vi ứng xử theo các chuẩn mực pháp luật.

- Phổ biến, giáo dục pháp luật trực tuyến là hình thức phổ biến, giáo dục pháp luật được thực hiện thông qua việc ứng dụng công nghệ thông tin, internet trong quá trình thực hiện nhằm nâng cao nhận thức, hiểu biết và ý thức pháp luật cho người nghe, hướng người nghe hành động theo các chuẩn mực pháp luật.

- Thi tìm hiểu pháp luật là hoạt động do cơ quan nhà nước, tổ chức, các doanh nghiệp, trường học... tổ chức nhằm động viên, khuyến khích cán bộ, công chức, viên chức, người dân (tùy theo phạm vi tổ chức) tham gia tìm hiểu quy định của pháp luật, qua đó góp phần nâng cao hiểu biết, ý thức chấp hành pháp luật thông qua các hình thức thi viết, thi trắc nghiệm (trên giấy hoặc trực tuyến), thi sân khấu hóa…

- Số tài liệu PBGDPL được phát hành hoặc đăng tải: bao gồm sách, tờ gấp, video, chương trình, tọa đàm, phóng sự truyền hình, các tài liệu có chứa nội dung phổ biến các lĩnh vực pháp luật cụ thể được in, phát hành, đăng tải trên internet. Tài liệu gốc là tài liệu được xây dựng để phổ biến, giáo dục pháp luật. Tài liệu được nhân bản để phát hành là số tài liệu được in ấn/photocopy từ tài liệu gốc.

- Số chính sách, dự thảo văn bản quy phạm pháp luật phải được truyền thông theo quy định tại điểm b khoản 4 Điều 51 và khoản 4 Điều 68 Luật Ban hành văn bản quy phạm pháp luật số 64/2025/QH15 được sửa đổi, bổ sung bởi Luật số 87/2025/QH15, theo kế hoạch truyền thông/kế hoạch PBGDPL của các bộ, ngành, địa phương.

- Chính sách, dự thảo văn bản QPPL đã được truyền thông gồm những văn bản như: chính sách, dự thảo luật, bộ luật, nghị quyết của Quốc hội; Pháp lệnh, Nghị quyết của Ủy ban Thường vụ Quốc hội; Nghị định của Chính phủ; Quyết định của Thủ tướng Chính phủ; Thông tư của Bộ trưởng, Thủ trưởng cơ quan ngang bộ; Thông tư liên tịch giữa Bộ trưởng, Thủ trưởng cơ quan ngang bộ và Chánh án Tòa án nhân dân tối cao, Viện trưởng Viện Kiểm sát nhân dân tối cao; Nghị quyết của Hội đồng nhân dân các cấp…

- Tại giai đoạn lập đề xuất chính sách, tính theo số lượng chính sách phải được truyền thông/đã được truyền thông. Tại giai đoạn soạn thảo dự thảo văn bản: tính theo số lượng dự thảo văn bản phải được truyền thông/đã được truyền thông.

2. Phân tổ chủ yếu

- Kinh phí dành cho công tác PBGDPL:

+ Kinh phí từ ngân sách nhà nước: là số kinh phí được cấp từ nguồn ngân sách nhà nước dành cho công tác PBGDPL.

Kinh phí NSNN phân bổ thường xuyên: là kinh phí được phân bổ thường xuyên từ nguồn ngân sách nhà nước theo Luật ngân sách nhà nước dành cho công tác PBGDPL.

Kinh phí NSNN cấp theo Chương trình, đề án: là kinh phí được cấp được cấp từ nguồn ngân sách nhà nước theo các chương trình, đề án về PBGDPL.

+ Kinh phí từ nguồn hỗ trợ khác là kinh phí được hỗ trợ, đóng góp của tổ chức, doanh nghiệp, cá nhân… để triển khai thực hiện công tác PBGDPL.

- Bộ Công an, Bộ Quốc phòng sẽ báo cáo số liệu thống kê trong toàn ngành.

2. Cách ghi biểu

- Những ô đánh dấu “-” không phải báo cáo.

- Chỉ báo cáo số liệu do đơn vị chủ trì thực hiện. Không báo số liệu do phối hợp với các đơn vị khác. Ví dụ: Cuộc thi viết Tìm hiểu Hiến pháp nước Cộng hòa xã hội chủ nghĩa Việt Nam do Bộ Tư pháp tổ chức, Bộ Tư pháp sẽ là đơn vị thống kê 01 Cuộc thi; các Bộ, ngành, địa phương phát động Cuộc thi này tại Bộ, ngành, địa phương mình không phải thống kê.

- Số cuộc phổ biến pháp luật trực tiếp: Đối với các đơn vị có chức năng chính là đào tạo thì không tính các hoạt động giảng dạy chuyên môn pháp luật vào cuộc phổ biến giáo dục pháp luật trực tiếp (ví dụ các trường luật, khoa luật...)

Đơn vị tính “lượt người”: số lượt người tham gia các cuộc phổ biến pháp luật hoặc tham gia vào cuộc thi tìm hiểu pháp luật. Ví dụ: một người tham gia 02 cuộc phổ biến pháp luật thì tính là 02 lượt người; có hai cuộc phổ biến pháp luật tại địa bàn cấp xã, mỗi cuộc có 100 người tham dự, như vậy, hai cuộc được tính là có 200 lượt người tham dự.

- Việc thống kê “Số tài liệu PBGDPL được phát hành hoặc đăng tải”: Chỉ thống kê tài liệu tuyên truyền pháp luật do cơ quan, địa phương trực tiếp xây dựng và phát hành. Đơn vị tính “bản”: chỉ từng đơn vị tài liệu tuyên truyền được thể hiện dưới dạng tờ rơi, tờ gấp, sách, băng đĩa hình, băng đĩa tiếng… Ví dụ: Một tờ gấp tính là một bản, một bộ băng đĩa gồm 03 tập thì tính là 03 bản, một video, clip tính là một bản; một tài liệu dưới dạng word mà có nhiều phụ lục kèm theo chỉ tính là một bản.

- Áp dụng đối với Biểu mẫu số 04c/TP/PBGDPL (Kết quả công tác phổ biến giáo dục pháp luật trên địa bàn tỉnh/thành phố)

Dòng “Tổng số trên địa bàn tỉnh” =  Mục I “Tại cấp tỉnh” + Mục II “Tại cấp xã”. Trong đó:

+ Mục I “Tại cấp tỉnh”  = Mục 1 “Cơ quan chuyên môn thuộc UBND cấp tỉnh” + Mục 2 “Cơ quan Ủy ban Mặt trận Tổ quốc Việt Nam cấp tỉnh” + Mục 3 “Doanh nghiệp nhà nước do UBND cấp tỉnh quản lý”.

+ Mục II “Tại cấp xã” là tổng số liệu của cấp xã trên địa bàn tỉnh.

Trong đó, dòng “Tên xã/phường/đặc khu…”: Lần lượt báo cáo số liệu của cấp xã.

3. Nguồn số liệu

- Biểu số 04a/TP/PBGDPL: nguồn số liệu từ Ủy ban nhân dân cấp xã.

- Biểu số 04b/TP/PBGDPL: nguồn số liệu từ các cơ quan chuyên môn thuộc UBND cấp tỉnh; Doanh nghiệp nhà nước do UBND cấp tỉnh quản lý.

- Biểu số 04c/TP/PBGDPL: nguồn số liệu từ Sở Tư pháp và được tổng hợp từ biểu số 04a/TP/PBGDPL của UBND cấp xã, biểu số 04b/TP/PBGDPL của các Ban/ngành; cơ quan chuyên môn thuộc UBND cấp tỉnh.

- Biểu số 04d/TP/PBGDPL: nguồn số liệu từ các bộ, cơ quan ngang bộ, cơ quan thuộc Chính phủ.

Đang theo dõi
Tải biểu mẫu

Biểu số: 05a/TP/HGCS
Ban hành theo Thông tư số 17/2025/TT-BTP
Ngày nhận báo cáo (BC):
BC sơ bộ 6 tháng: ngày 05 tháng 6 năm báo cáo
BC sơ bộ năm: Ngày 05 tháng 11 năm báo cáo
BC tròn năm: Ngày 05 tháng 01 năm sau

KẾT QUẢ HOẠT ĐỘNG CỦA TỔ HÒA GIẢI Ở CƠ SỞ
(Sơ bộ 6 tháng/sơ bộ năm/tròn năm)
Kỳ báo cáo:............
(Từ ngày…...tháng.....năm…...
đến ngày.....tháng…...năm……..)

Đơn vị báo cáo:
Tổ hòa giải

Đơn vị nhận báo cáo:
Ủy ban nhân dân xã/phường/đặc khu…

Số vụ việc tiếp nhận hòa giải
 (bao gồm số vụ chưa giải quyết xong kỳ trước chuyển sang)
(Vụ việc)

Kết quả hòa giải
(Vụ việc)

Kinh phí hỗ trợ cho
tổ hòa giải/hòa giải viên

(Đồng)

Số vụ việc hòa giải thành
(Vụ việc)

Số vụ việc hòa giải không thành (Vụ việc)

Tỷ lệ
hòa giải thành
(%)

Số vụ việc chưa giải quyết xong

Tổng số

Chia theo tính chất vụ việc

Tổng số

Chia theo tính chất vụ việc

Đất đai

Hôn nhân và gia đình

Khác

Đất đai

Hôn nhân và gia đình

Khác

Tổng kinh
 phí hỗ trợ

Trong đó: Kinh phí
Chi thù lao

(1)

(2)

(3)

(4)

(5)

(6)

(7)

(8)

(9)

(10)

(11)

(12)

(13)

Ghi chú:

 

 

…, ngày........ tháng........ năm.......
TỔ TRƯỞNG TỔ HÒA GIẢI
(Ký, ghi rõ họ, tên)

Đang theo dõi
Tải biểu mẫu

Biểu số: 05b/TP/HGCS
Ban hành theo Thông tư số 17/2025/TT-BTP
Ngày nhận báo cáo (BC):
BC sơ bộ 6 tháng: ngày 10 tháng 6 năm báo cáo
BC sơ bộ năm: Ngày 10 tháng 11 năm báo cáo
BC tròn năm: Ngày 10 tháng 01 năm sau

KẾT QUẢ CÔNG TÁC HÒA GIẢI Ở CƠ SỞ TRÊN ĐỊA BÀN XÃ/PHƯỜNG/ĐẶC KHU
(Sơ bộ 6 tháng/sơ bộ năm/tròn năm)

Kỳ báo cáo:............
(Từ ngày…...tháng.....năm…...
đến ngày.....tháng…...năm……..  )

Đơn vị báo cáo:
Ủy ban nhân dân xã/phường/đặc khu …
Đơn vị nhận báo cáo:
Sở Tư pháp ........

 

Số tổ hòa giải và hòa giải viên

Số vụ việc tiếp nhận hòa giải
 (bao gồm số vụ chưa giải quyết xong kỳ trước chuyển sang)
(Vụ việc)

Kết quả hòa giải
(Vụ việc)

Kinh phí hỗ trợ cho
tổ hòa giải/hòa giải viên

(Đồng)

Số tổ hòa giải
(Tổ)

Hòa giải viên (Người)

Số vụ việc hòa giải thành
(Vụ việc)

Số vụ việc hòa giải không thành (Vụ việc)

Tỷ lệ
hòa giải thành
(%)

Số vụ việc chưa giải quyết xong
(Vụ việc)

Tổng số

Chia theo giới tính

Chia theo trình độ
chuyên môn

Trong đó

Tổng số

Chia theo tính chất vụ việc

Tổng số

Chia theo tính chất vụ việc

Tổng kinh
 phí hỗ trợ

Trong đó: Kinh phí
Chi thù lao

Nam

Nữ

Chuyên môn Luật

Chưa qua đào tạo chuyên môn Luật

Dân tộc thiểu số

Số hòa giải viên được bồi dưỡng chuyên môn, nghiệp vụ

Đất đai

Hôn nhân và gia đình

Khác

Đất đai

Hôn nhân và gia đình

Khác

A

(1)

(2)

(3)

(4)

(5)

(6)

(7)

(8)

(9)

(10)

(11)

(12)

(13)

(14)

(15)

(16)

(17)

(18)

(19)

(20)

(21)

Tổng số trên địa bàn xã/phường/đặc khu

                                         

Tổ hòa giải...

                                         

Tổ hòa giải...

                                         

                                         

Từ cột (1) đến cột (8) không phải báo cáo kỳ sơ bộ 6 tháng

Ghi chú:

Người lập biểu
(Ký, ghi rõ họ, tên)


Người kiểm tra
(Ký, ghi rõ họ, tên)

…, ngày........ tháng........ năm.......
TM. ỦY BAN NHÂN DÂN
CHỦ TỊCH

(Ký, đóng dấu, ghi rõ họ, tên)

Đang theo dõi
Tải biểu mẫu

Biểu số: 05c/TP/HGCS-TCPL
Ban hành theo Thông tư số 17/2025/TT-BTP
Ngày nhận báo cáo (BC):
BC sơ bộ 6 tháng: ngày 20 tháng 6 năm báo cáo
BC sơ bộ năm: Ngày 20 tháng 11 năm báo cáo
BC tròn năm: Ngày 20 tháng 01 năm sau

KẾT QUẢ CÔNG TÁC HÒA GIẢI Ở CƠ SỞ; SỐ XÃ, PHƯỜNG, ĐẶC KHU ĐẠT CHUẨN TIẾP CẬN PHÁP LUẬT TRÊN ĐỊA BÀN TỈNH/THÀNH PHỐ
(Sơ bộ 6 tháng/sơ bộ năm/tròn năm)

Kỳ báo cáo:............
(Từ ngày…...tháng.....năm…...
đến ngày.....tháng…...năm……..  )

Đơn vị báo cáo:
Sở Tư pháp…..
Đơn vị nhận báo cáo:
Bộ Tư pháp
(Cục Kế hoạch - Tài chính)

 

Số tổ hòa giải và hòa giải viên

Số vụ việc tiếp nhận hòa giải
 (bao gồm số vụ chưa giải quyết xong kỳ trước chuyển sang)
(Vụ việc)

Kết quả hòa giải

Kinh phí hỗ trợ cho
tổ hòa giải/hòa giải viên

(Đồng)

Số xã, phường, đặc khu đạt chuẩn tiếp cận pháp luật

Ghi chú

Số tổ hòa giải
(Tổ)

Hòa giải viên (Người)

Số vụ việc hòa giải thành
(Vụ việc)

Số vụ việc hòa giải không thành (Vụ việc)

Tỷ lệ
hòa giải thành
(%)

Số vụ việc chưa giải quyết xong
(Vụ việc)

Tổng số

Chia theo giới tính

Chia theo trình độ
chuyên môn

Trong đó

Tổng số

Chia theo tính chất vụ việc

Tổng số

Chia theo tính chất vụ việc

Nam

Nữ

Chuyên môn Luật

Chưa qua đào tạo chuyên môn Luật

Dân tộc thiểu số

Số hòa giải viên được bồi dưỡng chuyên môn, nghiệp vụ

Đất đai

Hôn nhân và gia đình

Khác

Đất đai

Hôn nhân và gia đình

Khác

Tổng kinh
 phí hỗ trợ

Trong đó:Kinh phí
Chi thù lao

Số xã

Số phường

Số đặc khu

A

(1)

(2)

(3)

(4)

(5)

(6)

(7)

(8)

(9)

(10)

(11)

(12)

(13)

(14)

(15)

(16)

(17)

(18)

(19)

(20)

(21)

(22)

(23)

(24)

 

Tổng số trên địa bàn tỉnh/thành phố

                                                 

Tên xã/phường/đặc khu...

                                                 

Tên xã/phường/đặc khu...

                                                 

……

                                                 

Từ cột (1) đến cột (8) và các cột (22), (23), (24) không phải báo cáo kỳ sơ bộ 6 tháng

Ghi chú:


Người lập biểu
(Ký, ghi rõ họ, tên)


Người kiểm tra
(Ký, ghi rõ họ, tên, chức vụ)

…, ngày........ tháng........ năm.......
GIÁM ĐỐC
(Ký, đóng dấu, ghi rõ họ, tên)

Đang theo dõi
Tải biểu mẫu

GIẢI THÍCH BIỂU MẪU 05a/TP/HGCS, 05b/TP/HGCS, 05c/TP/HGCS-TCPL

Kết quả công tác hòa giải ở cơ sở; Số xã, phường, đặc khu đạt chuẩn tiếp cận pháp luật

1. Khái niệm, phương pháp tính

- Khái niệm “tổ hòa giải” được quy định tại khoản 5 Điều 2 Luật Hòa giải ở cơ sở số 35/2013/QH13, cụ thể: là tổ chức tự quản của nhân dân được thành lập ở cơ sở để hoạt động hòa giải.

- Khái niệm “cơ sở” được quy định tại khoản 2 Điều 2 Luật số 35/2013/QH13, cụ thể: là thôn, làng, ấp, bản, buôn, phum, sóc, tổ dân phố, khu phố, khối phố và cộng đồng dân cư khác (sau đây gọi chung là thôn, tổ dân phố).

- “Hòa giải viên” là cá nhân được quy định tại khoản 4 Điều 2 Luật số 35/2013/QH13, cụ thể: là người được công nhận theo quy định tại Luật số 35/2013/QH13 để thực hiện hoạt động hòa giải ở cơ sở.

- Số tổ hòa giải ở cơ sở được tính lũy kế đến thời điểm chốt số liệu kỳ báo cáo.

- Số vụ việc tiếp nhận hòa giải là số vụ việc mới tiếp nhận trong kỳ báo cáo và số vụ việc chưa giải quyết xong từ kỳ trước chuyển sang.

- Số vụ việc hòa giải thành là số vụ việc các bên đạt được thỏa thuận theo quy định tại Điều 24 Luật số 35/2013/QH13.

- Số vụ việc hòa giải không thành là số vụ việc mà các bên không đạt được thỏa thuận và đã kết thúc hòa giải theo quy định tại khoản 2, khoản 3 Điều 23 Luật số 35/2013/QH13.

- Số vụ việc chưa giải quyết xong bao gồm số vụ việc đã tiếp nhận mà chưa giải quyết và số vụ việc đang giải quyết.

- Công thức tính tỷ lệ hòa giải thành (%) trong kỳ thống kê:

Tỷ lệ hòa giải thành (%)

=

Số vụ việc hòa giải thành

x100

Số vụ việc hòa giải thành + Số vụ việc hòa giải không thành

- Tổng kinh phí hỗ trợ cho tổ hòa giải/hòa giải viên: gồm các khoản chi thù lao cho hòa giải viên theo vụ, việc; chi hỗ trợ cho hòa giải viên khi gặp tai nạn hoặc rủi ro ảnh hưởng đến sức khỏe, tính mạng trong khi thực hiện hoạt động hòa giải; chi hỗ trợ hoạt động của tổ hòa giải gồm: chi mua văn phòng phẩm, sao chụp tài liệu, nước uống phục vụ các cuộc họp của tổ hòa giải; các khoản chi khác có liên quan trực tiếp đến công tác hòa giải ở cơ sở (nếu có)

- Kinh phí Chi thù lao: Là số kinh phí chi thù lao cho hòa giải viên theo vụ việc của tổ hòa giải/năm;

- Xã/phường/đặc khu đạt chuẩn tiếp cận pháp luật khi đạt đầy đủ các tiêu chí, chỉ tiêu theo quy định tại Điều 4 Quyết định số 27/2025/QĐ-TTg ngày 04/8/2025 quy định về xã, phường, đặc khu đạt chuẩn tiếp cận pháp luật và được Chủ tịch UBND cấp tỉnh ra Quyết định công nhận đạt chuẩn tiếp cận pháp luật.

2. Cách ghi biểu

2.1. Đối với biểu số 05a/TP/HGCS (Kết quả hoạt động của Tổ hòa giải ở cơ sở)

- Cột 1 = Cột (2+3+4).

- Cột 6 = Cột (7+8+9)

- Cột 11: Bao gồm số vụ việc đã tiếp nhận đang thực hiện hòa giải nhưng chưa hòa giải xong và số vụ việc đã tiếp nhận nhưng chưa tiến hành hòa giải.

2.2. Đối với Biểu số 05b/TP/HGCS (Số tổ hòa giải ở cơ sở và hòa giải viên trên địa bàn xã/phường/đặc khu)

- Cột A ghi dòng Tổng số trên địa bàn xã và lần lượt tên từng tổ hòa giải trên địa bàn xã.

- Cột 2 = Cột (3+4) = Cột (5+6)

- Cột 5: Ghi số Hòa giải viên có trình độ chuyên môn Luật. Trường hợp Hòa giải viên vừa có trình độ chuyên môn Luật vừa có trình độ chuyên môn khác thì chỉ thống kê vào cột có trình độ chuyên môn Luật.

- Cột 6: Ghi số hòa giải viên chưa qua đào tạo chuyên môn Luật.

- Cột 8: Ghi số hòa giải viên được bồi dưỡng nghiệp vụ hòa giải, kiến thức pháp luật trong kỳ báo cáo. Trong kỳ báo cáo, hòa giải viên tham dự từ 01 lớp bồi dưỡng nghiệp vụ hòa giải, kiến thức pháp luật trở lên (do cấp xã hoặc tỉnh tổ chức) thì hòa giải viên đó được tính là đã được bồi dưỡng. Trường hợp một người được tham gia nhiều lớp bồi dưỡng trong kỳ báo cáo thì chỉ tính là 01 (người), số người được bồi dưỡng trong kỳ phải nhỏ hơn hoặc bằng tổng số hòa giải viên.

- Cột 9 = Cột (10+11+12)

- Cột 14 = Cột (15+16+17)

- Cột 19: Bao gồm số vụ việc đã tiếp nhận đang thực hiện hòa giải nhưng chưa hòa giải xong và số vụ việc đã tiếp nhận nhưng chưa tiến hành hòa giải.

2.3. Đối với Biểu số 05c/TP/HGCS (Kết quả công tác hòa giải ở cơ sở; Số xã, phường, đặc khu đạt chuẩn tiếp cận pháp luật trên địa bàn tỉnh/thành phố)

- Cột A

Dòng “Tên xã/phường/đặc khu…”: Lần lượt ghi đầy đủ tên của xã/phường/đặc khu trên địa bàn tỉnh/thành phố.

- Cột 2 = Cột (3+4) = Cột (5+6)

- Cột 5: Ghi số Hòa giải viên có trình độ chuyên môn Luật. Trường hợp Hòa giải viên vừa có trình độ chuyên môn Luật vừa có trình độ chuyên môn khác thì chỉ thống kê vào cột có trình độ chuyên môn Luật.

- Cột 6: Ghi số hòa giải viên chưa qua đào tạo chuyên môn Luật.

- Cột 8: Ghi số hòa giải viên được bồi dưỡng nghiệp vụ hòa giải, kiến thức pháp luật trong kỳ báo cáo. Trong kỳ báo cáo, hòa giải viên tham dự từ 01 lớp bồi dưỡng nghiệp vụ hòa giải, kiến thức pháp luật trở lên (do cấp xã hoặc tỉnh tổ chức) thì hòa giải viên đó được tính là đã được bồi dưỡng. Trường hợp một người được tham gia nhiều lớp bồi dưỡng trong kỳ báo cáo thì chỉ tính là 01 (người), số người được bồi dưỡng trong kỳ phải nhỏ hơn hoặc bằng tổng số hòa giải viên.

- Cột 9 = Cột (10+11+12)

- Cột 14 = Cột (15+16+17)

- Cột 19: Bao gồm số vụ việc đã tiếp nhận đang thực hiện hòa giải nhưng chưa hòa giải xong và số vụ việc đã tiếp nhận nhưng chưa tiến hành hòa giải.

- Cột 22, 23, 24:

+ Dòng “Tổng số trên địa bàn tỉnh/thành phố”: Ghi số xã/phường/đặc khu được Chủ tịch UBND cấp tỉnh ra Quyết định công nhận đạt chuẩn tiếp cận pháp luật trong kỳ thống kê.

+  Dòng “Tên xã/phường/đặc khu…”: Ghi số “1” vào các cột (22), (23), (24) đối với xã/phường/đặc khu được Chủ tịch UBND cấp tỉnh ra Quyết định công nhận đạt chuẩn tiếp cận pháp luật trong kỳ thống kê.

3. Nguồn số liệu

- Biểu số 05a/TP/HGCS: nguồn số liệu từ sổ theo dõi kết quả hoạt động hòa giải của các tổ hòa giải trên địa bàn xã.

- Biểu số 05b/BTP/HGCS: nguồn số liệu được tổng hợp từ Biểu số 05a/TP/HGCS của UBND cấp xã

- Biểu số 05c/TP/HGCS-TCPL: nguồn số liệu được tổng hợp từ Biểu số 05b/TP/HGCS của UBND cấp xã đối với nội dung từ cột (1) đến cột (21) và Quyết định công nhận cấp xã đạt chuẩn tiếp cận pháp luật trên địa bàn tỉnh của Chủ tịch UBND cấp tỉnh đối với nội dung tại cột (22), (23), (24).

Đang theo dõi
Tải biểu mẫu

Biểu số 06a/TP/HT
Ban hành theo Thông tư số 17/2025/TT-BTP
Ngày nhận báo cáo (BC):
BC sơ bộ năm: Ngày 10 tháng 11 năm báo cáo
BC tròn năm: Ngày 10 tháng 01 năm sau

KẾT QUẢ ĐĂNG KÝ KHAI SINH, KHAI TỬ, KẾT HÔN TẠI
 ỦY BAN NHÂN DÂN (UBND) CẤP XÃ
(Sơ bộ năm/tròn năm)

Kỳ báo cáo…
(Từ ngày…...tháng…...năm…...
Đến ngày..…tháng….…năm...…)

Đơn vị báo cáo:
UBND xã/phường/đặc khu...
Đơn vị nhận báo cáo: Sở Tư pháp

I. KẾT QUẢ ĐĂNG KÝ KHAI SINH, KHAI TỬ, KẾT HÔN CÓ YẾU TỐ NƯỚC NGOÀI

Đăng ký khai sinh
(Trường hợp)

Đăng ký khai tử
(Trường hợp)

Đăng ký kết hôn

Tổng số

Trong đó: Nữ

Người nước ngoài

Công dân Việt Nam định cư ở nước ngoài

Tổng số (Cặp)

Số người kết hôn là công dân Việt Nam cư trú trong nước chia theo giới tính (Người)

Số người kết hôn chia theo quốc gia/vùng lãnh thổ của người nước ngoài mang quốc tịch/cư trú
(Người)

Tổng số

Trong đó:

Nam

Nữ

Tổng số

Trong đó:

Nữ

Dân tộc Kinh

Trung Quốc (Đại lục)

Trung Quốc (Đài Loan)

Hàn quốc

Quốc gia/
vùng lãnh thổ khác

(1)

(2)

(3)

(4)

(5)

(6)

(7)

(8)

(9)

(10)

(11)

(12)

(13)

(14)

 

II. KẾT QUẢ ĐĂNG KÝ KHAI SINH, KHAI TỬ, KẾT HÔN KHÔNG CÓ YẾU TỐ NƯỚC NGOÀI

ĐĂNG KÝ KHAI SINH
(Trường hợp)

ĐĂNG KÝ KHAI TỬ
(Trường hợp)

ĐĂNG KÝ KẾT HÔN
 (Cặp)

Đăng ký mới

Đăng ký lại

Đăng ký mới

Đăng ký lại

Đăng ký mới

Đăng ký lại

Tổng số

Chia theo giới tính và thời điểm đăng ký

Tổng số

Chia theo độ tuổi

Trong đó:

Tổng số

Trong đó: Kết hôn lần đầu

Đăng ký đúng hạn

Đăng ký quá hạn

Dưới 1  tuổi

Từ 1 tuổi đến dưới 5 tuổi

Từ 5 tuổi trở lên

Nữ

Dân tộc Kinh

Đăng ký quá hạn

Tổng số

Trong đó:

Tổng số

Trong đó:

Số trẻ em sinh ra trong năm BC

Số trẻ em sinh ra trong năm BC

Số trẻ em sinh ra trước năm BC  dưới 5 tuổi

Nam

Nữ

Nam

Nữ

Nam

Nữ

Nam

Nữ

Nam

Nữ

(1)

(2)

(3)

(4)

(5)

(6)

(7)

(8)

(9)

(10)

(11)

(12)

(13)

(14)

(15)

(16)

(17)

(18)

(19)

(20)

(21)

(22)

(23)

 

* Ghi chú:


NGƯỜI LẬP BIỂU
(Ký, ghi rõ họ, tên)


NGƯỜI KIỂM TRA
(Ký, ghi rõ họ, tên)

…, ngày… tháng… năm…
TM. ỦY BAN NHÂN DÂN
CHỦ TỊCH

(Ký, đóng dấu, ghi rõ họ, tên)

Đang theo dõi
Tải biểu mẫu

Biểu số 06b/TP/HT
Ban hành theo Thông tư số 17/2025/TT-BTP
Ngày nhận báo cáo (BC):
BC sơ bộ năm: Ngày 20 tháng 11 năm báo cáo
BC tròn năm: Ngày 20 tháng 01 năm sau

KẾT QUẢ ĐĂNG KÝ KHAI SINH, KHAI TỬ, KẾT HÔN
TRÊN ĐỊA BÀN TỈNH/THÀNH PHỐ
(Sơ bộ năm/tròn năm)

Kỳ báo cáo…
(Từ ngày…...tháng…...năm…...
Đến ngày..…tháng….…năm...…)

Đơn vị báo cáo:
Sở Tư pháp…………..
Đơn vị nhận báo cáo:
Bộ Tư pháp (Cục Kế hoạch - Tài chính)

I. KẾT QUẢ ĐĂNG KÝ KHAI SINH, KHAI TỬ, KẾT HÔN CÓ YẾU TỐ NƯỚC NGOÀI

 

Đăng ký khai sinh
(Trường hợp)

Đăng ký khai tử
(Trường hợp)

Đăng ký kết hôn

Ghi chú

Tổng số

Trong đó: Nữ

Người nước ngoài

Công dân Việt Nam định cư ở nước ngoài

Tổng số (Cặp)

Số người kết hôn là công dân Việt Nam cư trú trong nước chia theo giới tính (Người)

Số người kết hôn chia theo quốc gia/vùng lãnh thổ của người nước ngoài mang quốc tịch/cư trú
(Người)

Tổng số

Trong đó:

Nam

Nữ

Tổng số

Trong đó:

Nữ

Dân tộc Kinh

Trung Quốc (Đại lục)

Trung Quốc
(Đài Loan)

Hàn Quốc

Quốc gia/
vùng lãnh thổ khác

A

(1)

(2)

(3)

(4)

(5)

(6)

(7)

(8)

(9)

(10)

(11)

(12)

(13)

(14)

(15)

Tổng số trên địa bàn tỉnh/thành phố

                             

1. Tên xã/phường/đặc khu…

                             

2. Tên xã/phường/đặc khu…

                             

                             

II. KẾT QUẢ ĐĂNG KÝ KHAI SINH, KHAI TỬ, KẾT HÔN KHÔNG CÓ YẾU TỐ NƯỚC NGOÀI

   
 

ĐĂNG KÝ KHAI SINH
(Trường hợp)

ĐĂNG KÝ KHAI TỬ
(Trường hợp)

ĐĂNG KÝ KẾT HÔN
(Cặp)

Ghi chú

Đăng ký mới

Đăng ký lại

Đăng ký mới

Đăng ký lại

Đăng ký mới

Đăng ký lại

Tổng số

Chia theo giới tính và thời điểm đăng ký

Tổng số

Chia theo độ tuổi

Trong đó:

Tổng số

Trong đó: Kết hôn lần đầu

Đăng ký đúng hạn

Đăng ký quá hạn

Dưới 1  tuổi

Từ 1 tuổi đến dưới 5 tuổi

Từ 5 tuổi trở lên

Nữ

Dân tộc Kinh

Đăng ký quá hạn

Tổng số

Trong đó:

Tổng số

Trong đó:

Số trẻ em sinh ra trong năm BC

Số trẻ em sinh ra trong năm BC

Số trẻ em sinh ra trước năm BC  dưới 5 tuổi

Nam

Nữ

Nam

Nữ

Nam

Nữ

Nam

Nữ

Nam

Nữ

A

(1)

(2)

(3)

(4)

(5)

(6)

(7)

(8)

(9)

(10)

(11)

(12)

(13)

(14)

(15)

(16)

(17)

(18)

(19)

(20)

(21)

(22)

(23)

(24)

Tổng số trên địa bàn tỉnh/thành phố

                                               

1. Tên xã/phường/đặc khu…

                                               

2. Tên xã/phường/đặc khu…

                                               

                                               

* Ghi chú:


NGƯỜI LẬP BIỂU
(Ký, ghi rõ họ, tên)


NGƯỜI KIỂM TRA
(Ký, ghi rõ họ, tên, chức vụ)

…, ngày… tháng… năm…
GIÁM ĐỐC
(Ký, đóng dấu, ghi rõ họ, tên)

Đang theo dõi
Tải biểu mẫu

GIẢI THÍCH BIỂU MẪU SỐ 06a/TP/HT, 06b/TP/HT

(Kết quả đăng ký khai sinh, khai tử, kết hôn)

1. Khái niệm, phương pháp tính

* Biểu mẫu số 06a/TP/HT phản ánh tình hình đăng ký khai sinh, khai tử, kết hôn tại Ủy ban nhân dân (UBND) xã/ phường/đặc khu (UBND cấp xã).    

* Biểu mẫu số 06b/TP/HT phản ánh tình hình đăng ký khai sinh, khai tử, kết hôn trên địa bàn tỉnh, thành phố trực thuộc trung ương.

* Giải thích thuật ngữ:

- Đăng ký khai sinh không có yếu tố nước ngoài tại UBND cấp xã là số trường hợp đăng ký khai sinh trong nước không có yếu tố nước ngoài theo quy định về chỉ tiêu số 0501 Phụ lục I, II Thông tư số 16/2025/TT-BTP quy định Hệ thống chỉ tiêu thống kê ngành Tư pháp.

- Đăng ký khai sinh có yếu tố nước ngoài tại UBND cấp xã là số trường hợp đăng ký khai sinh trong nước có yếu tố nước ngoài theo quy định về chỉ tiêu số 0502 Phụ lục I, II Thông tư số 16/2025/TT-BTP.

- Đăng ký khai tử không có yếu tố nước ngoài tại UBND cấp xã là số trường hợp đăng ký khai tử trong nước không có yếu tố nước ngoài theo quy định về chỉ tiêu số 0503 Phụ lục I, II Thông tư số 16/2025/TT-BTP.

Số trường hợp đăng ký khai tử gồm cả trường hợp tuyên bố chết theo bản án/quyết định của tòa án và đã được ghi vào sổ việc thay đổi hộ tịch theo quy định tại Luật Hộ tịch số 60/2014/QH13.

- Đăng ký khai tử có yếu tố nước ngoài tại UBND cấp xã là số trường hợp đăng ký khai tử trong nước có yếu tố nước ngoài theo quy định về chỉ tiêu số 0504 Phụ lục I, II Thông tư số 16/2025/TT-BTP.

- Đăng ký kết hôn không có yếu tố nước ngoài tại UBND cấp xã là số trường hợp đăng ký kết hôn trong nước không có yếu tố nước ngoài theo quy định về chỉ tiêu số 0505 Phụ lục I, II Thông tư số 16/2025/TT-BTP.

- Đăng ký kết hôn có yếu tố nước ngoài tại UBND cấp xã là số trường hợp đăng ký kết hôn trong nước có yếu tố nước ngoài theo quy định về chỉ tiêu số 0506 Phụ lục I, II Thông tư số 16/2025/TT-BTP.

- Đăng ký đúng hạn: là trường hợp đăng ký sự kiện hộ tịch trong thời hạn theo quy định của pháp luật (trong vòng 60 ngày kể từ ngày sinh đối với đăng ký khai sinh; trong vòng 15 ngày kể từ ngày chết đối với đăng ký khai tử) (khoản 1 Điều 15, khoản 1 Điều 33 Luật số 60/2014/QH13).

- Đăng ký quá hạn: là trường hợp đăng ký sự kiện hộ tịch sau thời hạn quy định của pháp luật (sau 60 ngày kể từ ngày sinh đối với đăng ký khai sinh; sau 15 ngày kể từ ngày chết đối với đăng ký khai tử).

- Đăng ký lại việc sinh, tử, kết hôn: là việc khai sinh, khai tử, kết hôn đã đăng ký tại cơ quan có thẩm quyền của Việt Nam trước ngày 01/01/2016 nhưng Sổ hộ tịch và bản chính giấy tờ hộ tịch đều bị mất thì được đăng ký lại.

- Số trường hợp đăng ký khai sinh là trẻ em sinh ra trong năm báo cáo: là số trường hợp mà trẻ em được đăng ký khai sinh có ngày sinh từ ngày 01/01 đến ngày 31/12 của năm báo cáo.

- Kết hôn lần đầu: là số cặp kết hôn mà cả hai bên nam, nữ đều đăng ký kết hôn lần đầu tiên. Các trường hợp khác (một trong hai bên nam, nữ kết hôn không phải là lần đầu tiên thì coi là kết hôn lần thứ hai trở lên).

2. Cách ghi biểu

* Mục I. Kết quả đăng ký khai sinh, khai tử, kết hôn có yếu tố nước ngoài

- Số liệu cột Cột (5), (6) là một phần số liệu cột (4) (cột (5), (6) ≤ cột (4)).

- Cột (10) = Cột (11+12+13+14). Trong cặp đăng ký kết hôn, nếu người nước ngoài mang quốc tịch/cư trú tại quốc gia/vùng lãnh thổ nào thì ghi vào cột tương ứng. Ví dụ: trong cặp đăng ký kết hôn, công dân nước ngoài mang quốc tịch Trung Quốc (Đại lục) thì ghi vào cột (11). Cột (14): quốc gia/vùng lãnh thổ khác: không thuộc vào các quốc gia/vùng lãnh thổ đã liệt kê ở cột (11), (12), (13).

* Mục II. Kết quả đăng ký khai sinh, khai tử, kết hôn không có yếu tố nước ngoài

- Cột (1) = Cột (2+3+6+7)

- Cột (13) = Cột (14+15+16)

- Số liệu cột (4) là một phần số liệu cột (2) (cột (4) ≤ cột (2)).

- Số liệu cột (5) là một phần số liệu cột (3) (cột (5) ≤ cột (3)).

- Số liệu cột (8), (10) là một phần số liệu cột (6) (cột (8), (10) ≤ cột (6)).

- Số liệu cột (9), (11) là một phần số liệu cột (7) (cột (9), (11) ≤ cột (7)).

- Số liệu cột (17), (18), (19) là một phần số liệu cột (13) (cột (17), (18), (19) ≤ cột (13)).

- Số liệu cột (22) là một phần số liệu cột (21) (cột (22) ≤ cột (21)).

- Số liệu cột (1) độc lập với số liệu cột (12); số liệu cột (13) độc lập số liệu cột (20); số liệu cột (21) độc lập số liệu cột (23).

* Riêng biểu mẫu số 06b/TP/HT:

- Sau khi rà soát, kiểm tra tính chính xác của số liệu, Sở Tư pháp tổng hợp chi tiết báo cáo của từng UBND cấp xã vào các dòng tại các mục tương ứng và cộng dòng tổng từng mục, gồm: mục I (Kết quả đăng ký khai sinh, khai tử, kết hôn có yếu tố nước ngoài), mục II (Kết quả đăng ký khai sinh, khai tử, kết hôn không có yếu tố nước ngoài). 

- Trường hợp có những vấn đề cần làm rõ hơn về nội dung số liệu thống kê thì thuyết minh tại cột (15) đối với mục I và cột (24) đối với mục II.  

3. Nguồn số liệu

- Biểu mẫu số 06a/TP/HT: từ sổ sách ghi chép ban đầu về việc đăng ký khai sinh, khai tử, kết hôn tại UBND cấp xã hoặc cơ sở dữ liệu hộ tịch điện tử.

- Biểu mẫu số 06b/TP/HT: tổng hợp từ biểu mẫu số 06a/TP/HT. 

Đang theo dõi
Tải biểu mẫu

Biểu số: 06c/TP/HTK
Ban hành theo Thông tư số …../2025/TT-BTP
Ngày nhận báo cáo (BC):
BC tròn năm: Ngày 10 tháng 01 năm sau

KẾT QUẢ ĐĂNG KÝ CÁC VIỆC HỘ TỊCH KHÁC TẠI
ỦY BAN NHÂN DÂN (UBND) CẤP XÃ
(Tròn năm)

(Từ ngày ... tháng ... năm......
đến ngày ... tháng ... năm ......)

Đơn vị báo cáo:
UBND xã/phường/đặc khu.....
Đơn vị nhận báo cáo:
Sở Tư pháp……………...

Đơn vị tính: Trường hợp

I. SỐ VIỆC HỘ TỊCH KHÁC CÓ YẾU TỐ NƯỚC NGOÀI

Đăng ký
giám hộ

Đăng ký nhận cha, mẹ, con

Thay đổi hộ tịch

Cải chính hộ tịch

Bổ sung  thông tin hộ tịch

Xác định lại dân tộc

Ghi vào sổ việc hộ tịch đã được giải quyết tại cơ quan có thẩm quyền của nước ngoài

Khai sinh

Nuôi con nuôi

Kết hôn

Ly hôn/ Hủy việc kết hôn

Các thay đổi hộ tịch khác

(1)

(2)

(3)

(4)

(5)

(6)

(7)

(8)

(9)

(10)

(11)

II. SỐ VIỆC HỘ TỊCH KHÁC KHÔNG CÓ YẾU TỐ NƯỚC NGOÀI

Đăng ký
giám hộ

Đăng ký giám sát việc giám hộ

Đăng ký nhận cha, mẹ, con

Thay đổi hộ tịch

Cải chính hộ tịch

Bổ sung  thông tin hộ tịch

Ghi vào sổ các thay đổi hộ tịch khác

Cấp Giấy xác nhận tình trạng hôn nhân

Để kết hôn

Để sử dụng vào
mục đích khác

Nam

Nữ

Nam

Nữ

(1)

(2)

(3)

(4)

(5)

(6)

(7)

(8)

(9)

(10)

(11)

 

* Ghi chú:


NGƯỜI LẬP BIỂU
(Ký, ghi rõ họ, tên)


NGƯỜI KIỂM TRA
(Ký, ghi rõ họ, tên, chức vụ)

…, ngày     tháng      năm
TM. ỦY BAN NHÂN DÂN
CHỦ TỊCH

(Ký, đóng dấu, ghi rõ họ, tên)

Đang theo dõi
Tải biểu mẫu

Biểu số: 06d/TP/HTK
Ban hành theo Thông tư số 17/2025/TT-BTP
Ngày nhận báo cáo (BC):
BC tròn năm: Ngày 20 tháng 01 năm sau

KẾT QUẢ ĐĂNG KÝ CÁC VIỆC HỘ TỊCH KHÁC
TRÊN ĐỊA BÀN TỈNH/THÀNH PHỐ
(Tròn năm)

(Từ ngày ... tháng ... năm......
đến ngày ... tháng ... năm ......)

Đơn vị báo cáo:
Sở Tư pháp…………..
Đơn vị nhận báo cáo:
Bộ Tư pháp (Cục Kế hoạch - Tài chính)

Đơn vị tính: Trường hợp

I. SỐ VIỆC HỘ TỊCH KHÁC CÓ YẾU TỐ NƯỚC NGOÀI TRÊN ĐỊA BÀN TỈNH

 

Đăng ký
giám hộ

Đăng ký nhận cha, mẹ, con

Thay đổi hộ tịch

Cải chính hộ tịch

Bổ sung  thông tin hộ tịch

Xác định lại dân tộc

Ghi vào sổ việc hộ tịch đã được giải quyết tại cơ quan có thẩm quyền của nước ngoài

Ghi chú

Khai sinh

Nuôi con nuôi

Kết hôn

Ly hôn/ Hủy việc kết hôn

Các thay đổi hộ tịch khác

A

(1)

(2)

(3)

(4)

(5)

(6)

(7)

(8)

(9)

(10)

(11)

(12)

Tổng số trên địa bàn tỉnh/thành phố

1. Tên xã/phường/đặc khu…

2. Tên xã/phường/đặc khu…

                           

II. SỐ VIỆC HỘ TỊCH KHÁC KHÔNG CÓ YẾU TỐ NƯỚC NGOÀI TRÊN ĐỊA BÀN TỈNH

 

Đăng ký
giám hộ

Đăng ký giám sát việc giám hộ

Đăng ký nhận cha, mẹ, con

Thay đổi hộ tịch

Cải chính hộ tịch

Bổ sung  thông tin hộ tịch

Ghi vào sổ các thay đổi hộ tịch khác

Cấp Giấy xác nhận tình trạng hôn nhân

Ghi chú

Để kết hôn

Để sử dụng vào
mục đích khác

Nam

Nữ

Nam

Nữ

A

(1)

(2)

(3)

(4)

(5)

(6)

(7)

(8)

(9)

(10)

(11)

(12)

Tổng số trên địa bàn tỉnh/thành phố

1. Tên xã/phường/đặc khu…

2. Tên xã/phường/đặc khu…

 

* Ghi chú:


NGƯỜI LẬP BIỂU
(Ký, ghi rõ họ, tên)


NGƯỜI KIỂM TRA
(Ký, ghi rõ họ, tên, chức vụ)

…, ngày     tháng      năm
GIÁM ĐỐC
(Ký, đóng dấu, ghi rõ họ, tên)

Đang theo dõi
Tải biểu mẫu

GIẢI THÍCH BIỂU MẪU SỐ 06c/TP/HTK, 06d/TP/HTK

(Kết quả đăng ký các việc hộ tịch khác)

1. Khái niệm, phương pháp tính

* Biểu mẫu số 06c/TP/HTK: phản ánh tình hình giải quyết các việc hộ tịch khác bao gồm: đăng ký giám hộ/đăng ký việc chấm dứt, thay đổi giám hộ; đăng ký giám sát việc giám hộ/đăng ký chấm dứt giám sát việc giám hộ; nhận cha, mẹ, con; thay đổi hộ tịch; cải chính hộ tịch; bổ sung thông tin hộ tịch; xác định lại dân tộc, ghi vào sổ các thay đổi hộ tịch khác; ghi vào sổ việc hộ tịch của công dân Việt Nam đã được giải quyết tại cơ quan có thẩm quyền của nước ngoài, cấp giấy xác nhận tình trạng hôn nhân tại UBND xã/phường/đặc khu (UBND cấp xã).

* Biểu mẫu số 06d/TP/HTK: phản ánh tình hình giải quyết các việc hộ tịch khác bao gồm: đăng ký giám hộ/đăng ký việc chấm dứt, thay đổi giám hộ; đăng ký giám sát việc giám hộ/đăng ký chấm dứt giám sát việc giám hộ; nhận cha, mẹ, con; thay đổi hộ tịch; cải chính hộ tịch; bổ sung thông tin hộ tịch; xác định lại dân tộc, ghi vào sổ các thay đổi hộ tịch khác; ghi vào sổ việc hộ tịch của công dân Việt Nam đã được giải quyết tại cơ quan có thẩm quyền của nước ngoài, cấp giấy xác nhận tình trạng hôn nhân trên địa bàn tỉnh/thành phố. 

* Giải thích thuật ngữ:

- Các việc hộ tịch khác không có yếu tố nước ngoài tại UBND cấp xã là các trường hợp đăng ký giám hộ/đăng ký việc chấm dứt, thay đổi giám hộ; đăng ký giám sát việc giám hộ/đăng ký chấm dứt giám sát việc giám hộ; nhận cha, mẹ, con; thay đổi hộ tịch; cải chính hộ tịch; bổ sung thông tin hộ tịch; ghi vào sổ các thay đổi hộ tịch khác; cấp giấy xác nhận tình trạng hôn nhân thực hiện theo các quy định tại Chương II Luật Hộ tịch số 60/2014/QH13, mục 3 và mục 5 Chương III Nghị định số 123/2015/NĐ-CP quy định chi tiết một số điều và biện pháp thi hành Luật Hộ tịch, được sửa đổi, bổ sung bởi Nghị định số 07/2025/NĐ-CP.

- Các việc hộ tịch khác có yếu tố nước ngoài tại UBND cấp xã là các trường hợp đăng ký giám hộ/đăng ký việc chấm dứt, thay đổi giám hộ; nhận cha, mẹ, con; thay đổi hộ tịch; cải chính hộ tịch; bổ sung hộ tịch; xác định lại dân tộc; ghi vào sổ việc hộ tịch của công dân Việt Nam đã được giải quyết tại cơ quan có thẩm quyền của nước ngoài thực hiện theo các quy định tại Chương III Luật số 60/2014/QH13 và chương II của Nghị định số 120/2025/NĐ-CP quy định về phân định thẩm quyền của chính quyền địa phương 02 cấp trong lĩnh vực quản lý nhà nước của Bộ Tư pháp.

- Số trường hợp đăng ký giám hộ gồm các trường hợp đăng ký việc giám hộ, đăng ký việc chấm dứt, thay đổi việc giám hộ được UBND cấp xã thực hiện trong kỳ báo cáo.

- Số trường hợp đăng ký giám sát việc giám hộ gồm các trường hợp đăng ký giám sát việc giám hộ, đăng ký chấm dứt giám sát việc giám hộ được UBND cấp xã thực hiện trong kỳ báo cáo.

- Số trường hợp đăng ký nhận cha, mẹ, con gồm các trường hợp đăng ký việc nhận cha, mẹ, con được UBND cấp xã thực hiện trong kỳ báo cáo.

- Số trường hợp thay đổi hộ tịch gồm các trường hợp đăng ký thay đổi những thông tin hộ tịch của cá nhân khi có lý do chính đáng theo quy định của pháp luật dân sự hoặc thay đổi thông tin về cha, mẹ trong nội dung khai sinh đã đăng ký theo quy định của pháp luật được UBND cấp xã giải quyết trong kỳ báo cáo.

- Số trường hợp cải chính hộ tịch gồm các trường hợp sửa đổi những thông tin hộ tịch của cá nhân trong trường hợp có sai sót khi đăng ký hộ tịch được UBND cấp xã giải quyết trong kỳ báo cáo.

- Số trường hợp bổ sung thông tin hộ tịch gồm các trường hợp được UBND cập nhật thông tin hộ tịch còn thiếu cho cá nhân đã được đăng ký trong kỳ báo cáo.

- Số trường hợp xác định lại dân tộc gồm các trường hợp đăng ký xác định lại dân tộc của cá nhân theo quy định của Bộ luật dân sự số 91/2015/QH13 được UBND cấp xã giải quyết trong kỳ báo cáo.

- Số trường hợp ghi vào sổ việc hộ tịch của công dân Việt Nam đã được giải quyết tại cơ quan có thẩm quyền của nước ngoài gồm số trường hợp ghi vào sổ hộ tịch việc khai sinh; nuôi con nuôi; kết hôn; ly hôn/hủy việc kết hôn và các thay đổi hộ tịch khác (giám hộ; nhận, cha, mẹ, con; xác định cha, mẹ, con; thay đổi hộ tịch; khai tử) được UBND cấp xã thực hiện trong kỳ báo cáo.

- Số trường hợp ghi vào sổ các thay đổi hộ tịch khác gồm số trường hợp ghi vào sổ hộ tịch việc thay đổi quốc tịch; xác định cha, mẹ, con; xác định lại giới tính; nuôi con nuôi, chấm dứt việc nuôi con nuôi; ly hôn, hủy việc kết hôn trái pháp luật, công nhận việc kết hôn; công nhận giám hộ; tuyên bố hoặc hủy tuyên bố một người mất tích, đã chết, bị mất hoặc hạn chế năng lực hành vi dân sự được UBND cấp xã thực hiện trong kỳ báo cáo.

- Số trường hợp cấp giấy xác nhận tình trạng hôn nhân bao gồm các trường hợp cấp giấy xác nhận cho công dân Việt Nam sử dụng để kết hôn tại Cơ quan đại diện Việt Nam ở nước ngoài, cơ quan có thẩm quyền của nước ngoài ở nước ngoài hoặc sử dụng vào mục đích khác được UBND cấp xã thực hiện trong kỳ báo cáo.

3. Cách ghi biểu

Riêng biểu mẫu số 06d/TP/HTK:

- Sau khi rà soát, kiểm tra tính chính xác của số liệu, Sở Tư pháp tổng hợp chi tiết báo cáo của từng UBND cấp xã trên địa bàn vào các dòng tại các mục tương ứng và cộng dòng tổng từng mục, gồm: mục I (Số việc hộ tịch khác có yếu tố nước ngoài), mục II (Số việc hộ tịch khác không có yếu tố nước ngoài).

- Trường hợp cần làm rõ hơn về nội dung số liệu thống kê thì thuyết minh tại cột (11) đối với mục I, cột (12) đối với mục II.

2. Nguồn số liệu

- Biểu mẫu số 06c/TP/HTK: từ sổ sách ghi chép ban đầu về việc thay đổi, cải chính hộ tịch; bổ sung thông tin hộ tịch; nhận cha, mẹ, con; giám hộ, giám sát việc giám hộ, cấp giấy xác nhận tình trạng hôn nhân, ghi vào sổ các thay đổi hộ tịch khác tại UBND cấp xã hoặc cơ sở dữ liệu hộ tịch điện tử.

- Biểu mẫu số 06d/TP/HTK: tổng hợp từ biểu mẫu số 06c/TP/HTK.

Đang theo dõi
Tải biểu mẫu

Biểu số 07/TP/QT
Ban hành theo Thông tư số 17/2025/TT-BTP
Ngày nhận báo cáo (BC):
BC tròn năm: Ngày 20 tháng 01 năm sau

SỐ TRƯỜNG HỢP ĐÃ ĐƯỢC CHỦ TỊCH NƯỚC
CHO NHẬP/TRỞ LẠI/THÔI QUỐC TỊCH VIỆT NAM
(Tròn năm)

Kỳ báo cáo: …………….
(Từ ngày......tháng......năm......
đến ngày.......tháng.......năm......)

Đơn vị báo cáo:
Cục Hành chính tư pháp, Bộ Tư pháp
Đơn vị nhận báo cáo:
Bộ Tư pháp (Cục Kế hoạch - Tài chính)

Số trường hợp được cho nhập quốc tịch Việt Nam (Trường hợp)

Số trường hợp được cho trở lại
quốc tịch Việt Nam

(Trường hợp)

Số trường hợp được cho thôi quốc tịch Việt Nam (Trường hợp)

Ghi chú

Công dân nước ngoài

Người không quốc tịch

(1)

(2)

(3)

(4)

(5)

 

* Ghi chú:

 


Người lập biểu
(Ký, ghi rõ họ, tên)


Người kiểm tra
(Ký, ghi rõ họ, tên)

…, ngày... tháng... năm…
THỦ TRƯỞNG ĐƠN VỊ
(Ký, đóng dấu, ghi rõ họ, tên)

 

GIẢI THÍCH BIỂU MẪU SỐ 07/TP/QT

(Số trường hợp đã được Chủ tịch nước cho nhập/trở lại/thôi quốc tịch Việt Nam)

1. Khái niệm, phương pháp tính

* Biểu mẫu số 07/TP/QT phản ánh số trường hợp đã được Chủ tịch nước Cộng hòa xã hội chủ nghĩa Việt Nam quyết định cho nhập/trở lại/thôi quốc tịch Việt Nam.

* Giải thích thuật ngữ:

- Cho thôi quốc tịch Việt Nam là trường hợp công dân Việt Nam được Chủ tịch nước Cộng hòa xã hội chủ nghĩa Việt Nam quyết định cho thôi quốc tịch Việt Nam.

- Cho nhập quốc tịch Việt Nam là trường hợp công dân nước ngoài và người không quốc tịch được Chủ tịch nước Cộng hòa xã hội chủ nghĩa Việt Nam quyết định cho nhập quốc tịch Việt Nam.

- Cho trở lại quốc tịch Việt Nam là trường hợp người đã mất quốc tịch Việt Nam được Chủ tịch nước Cộng hòa xã hội chủ nghĩa Việt Nam quyết định cho trở lại quốc tịch Việt Nam.

- Khái niệm “Quốc tịch nước ngoài” được quy định tại khoản 1 Điều 3 Luật Quốc tịch Việt Nam số 24/2008/QH12 được sửa đổi, bổ sung bởi Luật số 56/2014/QH13 và Luật số 79/2025/QH15, cụ thể là quốc tịch của một nước khác không phải là quốc tịch Việt Nam.

- Khái niệm “Người không quốc tịch” được quy định tại khoản 2 Điều 3 Luật Quốc tịch Việt Nam số 24/2008/QH12 được sửa đổi, bổ sung bởi Luật số 56/2014/QH13 và Luật số 79/2025/QH15, cụ thể là người không có quốc tịch Việt Nam và cũng không có quốc tịch nước ngoài.

3. Cách ghi biểu

Trường hợp có những vấn đề cần làm rõ về nội dung số liệu thống kê thì thuyết minh tại cột (5).

2. Nguồn số liệu

Hồ sơ đăng ký hành chính hoặc cơ sở dữ liệu quốc tịch.

Đang theo dõi
Tải biểu mẫu

Biểu số: 08a/TP/CNTN
Ban hành theo Thông tư số 17/2025/TT-BTP
Ngày nhận báo cáo (BC):
BC sơ bộ 06 tháng: Ngày 10 tháng 6 năm báo cáo
BC sơ bộ năm: Ngày 10 tháng 11 năm báo cáo
BC tròn năm: Ngày 10 tháng 01 năm sau

KẾT QUẢ ĐĂNG KÝ NUÔI CON NUÔI TRONG NƯỚC
TẠI ỦY BAN NHÂN DÂN (UBND) CẤP XÃ
(Sơ bộ 6 tháng/sơ bộ năm/tròn năm)

Kỳ báo cáo: ………..
(Từ ngày… tháng… năm…
đến ngày… tháng… năm…)

Đơn vị báo cáo:
UBND xã/phường/đặc khu...
Đơn vị nhận báo cáo:
Sở Tư pháp...

Đơn vị tính: Người

Tổng số

Chia theo độ tuổi của trẻ em được nhận làm con nuôi

Chia theo nơi cư trú của trẻ em trước khi được nhận làm con nuôi

Dưới 01 tuổi

Từ 01 đến dưới 05 tuổi

Từ 05 tuổi trở lên

Cơ sở nuôi dưỡng

Gia đình

Nơi khác

Nam

Nữ

Nam

Nữ

Nam

Nữ

(1)

(2)

(3)

(4)

(5)

(6)

(7)

(8)

(9)

(10)

* Ghi chú:


Người lập biểu
(Ký và ghi rõ họ, tên)


Người kiểm tra
(Ký và ghi rõ họ, tên, chức vụ)

…, ngày … tháng … năm …
Chủ tịch UBND xã/phường/đặc khu
(Ký, đóng dấu, ghi rõ họ, tên)

Đang theo dõi
Tải biểu mẫu

Biểu số: 08b/TP/CNTN
Ban hành theo Thông tư số 17/2025/TT-BTP
Ngày nhận báo cáo (BC):
BC sơ bộ 06 tháng: Ngày 20 tháng 6 năm báo cáo
BC sơ bộ năm: Ngày 20 tháng 11 năm báo cáo
BC tròn năm: Ngày 20 tháng 01 năm sau

KẾT QUẢ ĐĂNG KÝ
NUÔI CON NUÔI TRONG NƯỚC TRÊN ĐỊA BÀN TỈNH/THÀNH PHỐ
(Sơ bộ 6 tháng/sơ bộ năm/tròn năm)

Kỳ báo cáo: ………..
(Từ ngày… tháng… năm…
đến ngày… tháng… năm…)

Đơn vị báo cáo:
Sở Tư pháp….
Đơn vị nhận báo cáo:
Bộ Tư pháp (Cục Kế hoạch - Tài chính)

Đơn vị tính: Người

 

Tổng số

Chia theo độ tuổi của trẻ em được nhận làm con nuôi

Chia theo nơi cư trú của trẻ em trước khi được nhận làm con nuôi

Ghi chú

Dưới 01 tuổi

Từ 01 đến dưới 05 tuổi

Từ 05 tuổi trở lên

Cơ sở nuôi dưỡng

Gia đình

Nơi khác

Nam

Nữ

Nam

Nữ

Nam

Nữ

A

(1)

(2)

(3)

(4)

(5)

(6)

(7)

(8)

(9)

(10)

(11)

Tổng số

                     

Tên xã/phường/đặc khu...

                     

Tên xã/phường/đặc khu...

                     

...

                     

* Ghi chú:


Người lập biểu
(Ký và ghi rõ họ, tên)


Người kiểm tra
(Ký và ghi rõ họ, tên, chức vụ)

…, ngày … tháng … năm …
GIÁM ĐỐC
(Ký, đóng dấu, ghi rõ họ, tên)

Đang theo dõi
Tải biểu mẫu

GIẢI THÍCH BIỂU MẪU 8a/TP/CNTN, 8b/TP/CNTN

( Kết quả đăng ký nuôi con nuôi trong nước )

1. Khái niệm, phương pháp tính

* Biểu mẫu phản ánh số lượng đăng ký nuôi con nuôi trong nước trên địa bàn xã/phường/đặc khu, tỉnh/thành phố trong kỳ báo cáo (Sơ bộ 6 tháng/sơ bộ năm/tròn năm).

* Giải thích thuật ngữ:

- Cột 8: Cơ sở nuôi dưỡng là cơ sở bảo trợ xã hội, cơ sở trợ giúp trẻ em, cơ sở khác được thành lập theo pháp luật Việt Nam để nuôi dưỡng, chăm sóc và giáo dục trẻ em.

- Cột 10: Nơi khác là nơi trẻ em đang được nuôi dưỡng tạm thời hoặc chăm sóc thay thế, không phải gia đình hoặc cơ sở nuôi dưỡng.

2. Cách ghi biểu

Cột 1= Cột (2+3+4+5+6+7) = Cột (8+9+10)

* Đối với biểu 8b: Dòng Tổng số = tổng số của các dòng (tên xã/phường/đặc khu…) theo cột tương ứng.

3. Nguồn số liệu

- Biểu số 8a/TP/CNTN: Nguồn số liệu từ Sổ đăng ký nuôi con nuôi tại UBND cấp xã.

- Biểu số 8b/TP/CNTN: Tổng hợp từ biểu 8a/TP/CNTN.

Đang theo dõi
Tải biểu mẫu

Biểu số: 08c/TP/CNNN
Ban hành theo Thông tư số 17/2025/TT-BTP
Ngày nhận báo cáo (BC):
BC sơ bộ 06 tháng: Ngày 20 tháng 6 năm báo cáo
BC sơ bộ năm: Ngày 20 tháng 11 năm báo cáo
BC tròn năm: Ngày 20 tháng 01 năm sau

KẾT QUẢ GIẢI QUYẾT CHO TRẺ EM VIỆT NAM LÀM CON NUÔI
 NƯỚC NGOÀI TRÊN ĐỊA BÀN TỈNH/THÀNH PHỐ
(Sơ bộ 6 tháng/sơ bộ năm/tròn năm)

Kỳ báo cáo: ………..
(Từ ngày… tháng… năm…
đến ngày… tháng… năm…)

Đơn vị báo cáo:
Sở Tư pháp...
Đơn vị nhận báo cáo:
Bộ Tư pháp (Cục Kế hoạch - Tài chính)

Đơn vị tính: Người

Tổng số

Chia theo độ tuổi của trẻ em được nhận làm con nuôi

Chia theo tình trạng sức khỏe trẻ em

Chia theo nơi cư trú của trẻ em trước khi được nhận làm con nuôi

Dưới 01 tuổi

Từ 01 đến dưới 05 tuổi

Từ 05 đến dưới 10 tuổi

Từ 10 tuổi trở lên

Bình thường

Trẻ em có nhu cầu chăm sóc đặc biệt

Cơ sở nuôi dưỡng

Gia đình

Nam

Nữ

Nam

Nữ

Nam

Nữ

Nam

Nữ

(1)

(2)

(3)

(4)

(5)

(6)

(7)

(8)

(9)

(10)

(11)

(12)

(13)

Ghi chú:


Người lập biểu
(Ký và ghi rõ họ, tên)


Người kiểm tra
(Ký và ghi rõ họ, tên, chức vụ)

…, ngày … tháng … năm...
GIÁM ĐỐC
(Ký, đóng dấu, ghi rõ họ, tên)

 

GIẢI THÍCH BIỂU MẪU 8c/TP/CNNN

Kết quả giải quyết cho trẻ em Việt Nam làm con nuôi nước ngoài trên địa bàn tỉnh/thành phố

1. Khái niệm, phương pháp tính

* Biểu mẫu phản ánh số trường hợp trẻ em Việt Nam được giải quyết cho làm con nuôi nước ngoài trên địa bàn tỉnh trong kỳ báo cáo (sơ bộ 6 tháng/sơ bộ năm/tròn năm) do Sở Tư pháp thực hiện gửi về Bộ Tư pháp (Cục Kế hoạch – Tài chính).

- Số trường hợp trẻ em Việt Nam được giải quyết cho làm con nuôi nước ngoài là số trường hợp trẻ em Việt Nam được giải quyết cho làm con nuôi của người Việt Nam định cư ở nước ngoài, người nước ngoài thường trú ở nước ngoài, người nước ngoài đang làm việc, học tập ở Việt Nam trong thời gian ít nhất là 01 năm, người nước ngoài thường trú ở Việt Nam nhận con nuôi ở Việt Nam.

- Trẻ em có nhu cầu đặc biệt là trường hợp các trẻ em được quy định tại khoản 1 Điều 3 Nghị định số 19/2011/NĐ-CP quy định chi tiết thi hành một số điều của Luật Nuôi con nuôi số 52/2010/QH12 được sửa đổi, bổ sung bởi Nghị định số 19/2011/NĐ-CP, Nghị định số 114/2016/NĐ-CP, Nghị định số 24/2019/NĐ-CP, Nghị định số 06/2025/NĐ-CP.

* Giải thích thuật ngữ:

  Cột 12: Cơ sở nuôi dưỡng là cơ sở bảo trợ xã hội, cơ sở trợ giúp trẻ em, cơ sở khác được thành lập theo pháp luật Việt Nam để nuôi dưỡng, chăm sóc và giáo dục trẻ em.

2. Cách ghi biểu

Cột 1= Cột (2+3+4+5+6+7+8+9) = Cột (10+11) = Cột (12+13)

3. Nguồn số liệu

Nguồn số liệu được tổng hợp từ Sổ đăng ký nuôi con nuôi tại Sở Tư pháp.

Đang theo dõi
Tải biểu mẫu

Biểu số: 08d/TP/CNTN
Ban hành theo Thông tư số 17/2025/TT-BTP
Ngày nhận báo cáo (BC):
BC tròn năm: Ngày 20 tháng 01 năm sau

KẾT QUẢ ĐĂNG KÝ NUÔI CON NUÔI TRONG NƯỚC
TẠI CƠ QUAN ĐẠI DIỆN VIỆT NAM Ở NƯỚC NGOÀI

(Tròn năm)
Kỳ báo cáo………..
(Từ ngày ... tháng ... năm…
đến ngày ... tháng ... năm…)

Đơn vị báo cáo:
Bộ Ngoại giao
Đơn vị nhận báo cáo:
Bộ Tư pháp (Cục Kế hoạch - Tài chính)

Đơn vị tính: Người

 

Tổng số

Chia theo độ tuổi của trẻ em được nhận làm con nuôi

Chia theo nơi cư trú của trẻ em trước khi được nhận làm con nuôi

Ghi chú

Dưới 01 tuổi

Từ 01 đến dưới 05 tuổi

Từ 05 tuổi trở lên

Cơ sở nuôi dưỡng

Gia đình

Nam

Nữ

Nam

Nữ

Nam

Nữ

A

(1)

(2)

(3)

(4)

(5)

(6)

(7)

(8)

(9)

(10)

Tổng số

                   

1. Cơ quan đại diện VN tại ...

                   

2. Cơ quan đại diện VN tại ...

                   

3. Cơ quan đại diện VN tại ...

                   

4. Cơ quan đại diện VN tại ...

                   

                   

Ghi chú:


Người lập biểu
(Ký và ghi rõ họ, tên)


Người kiểm tra
(Ký và ghi rõ họ, tên, chức vụ)

…, ngày … tháng … năm …
BỘ TRƯỞNG
(Ký, đóng dấu, ghi rõ họ, tên)

 

GIẢI THÍCH BIỂU MẪU 8d/TP/CNTN

Kết quả đăng ký nuôi con nuôi trong nước tại cơ quan đại diện Việt Nam ở nước ngoài

1. Khái niệm, phương pháp tính

Biểu mẫu phản ánh số lượng đăng ký nuôi con nuôi trong nước tại Cơ quan đại diện Việt Nam ở nước ngoài trong kỳ báo cáo tròn năm, lấy số liệu từ ngày 01/01 đến ngày 31/12 hàng năm.

2. Cách ghi biểu

- Cột A: Ghi lần lượt tên các Cơ quan đại diện Việt Nam ở nước ngoài có báo cáo trong kỳ.

- Cột 1 = Cột (2+3+4+5+6+7) = Cột (8+9)

3. Nguồn số liệu

Nguồn số liệu được Bộ Ngoại giao tổng hợp từ báo cáo của Cơ quan đại diện Việt Nam ở nước ngoài.

Đang theo dõi
Tải biểu mẫu
Biểu số: 09a/TP/CT
Ban hành theo Thông tư số 17/2025/TT-BTP
Ngày nhận báo cáo (BC):
BC sơ bộ 6 tháng: ngày 10 tháng 6 năm báo cáo
BC sơ bộ năm: Ngày 10 tháng 11 năm báo cáo
BC tròn năm: Ngày 10 tháng 01 năm sau
KẾT QUẢ CHỨNG THỰC
TẠI ỦY BAN NHÂN DÂN (UBND) CẤP XÃ
(Sơ bộ 6 tháng/sơ bộ năm/tròn năm)

Kỳ báo cáo...
(Từ ngày... tháng..... năm ....
đến ngày... tháng..... năm..... )
Đơn vị báo cáo: UBND xã/phường/đặc khu
Đơn vị nhận báo cáo: Sở Tư pháp

Chứng thực bản sao từ bản chính

Chứng thực chữ ký trong giấy tờ, văn bản

Chứng thực chữ ký người dịch

Số việc chứng thực hợp đồng, giao dịch

Số lượng bản sao được chứng thực

(Bản)

Phí chứng thực bản sao (Đồng)

Số việc chứng thực chữ ký trong giấy tờ, văn bản
(Việc)

Phí chứng thực chữ ký trong giấy tờ, văn bản (Đồng)

Số việc chứng thực chữ ký người dịch (Việc)

Phí chứng thực chữ ký người dịch (Đồng)

Số việc chứng thực hợp đồng, giao dịch (Việc)

Phí chứng thực hợp đồng, giao dịch (Đồng)

Tổng số

Trong đó: Chứng thực bản sao điện tử từ bản chính

(1)

(2)

(3)

(4)

(5)

(6)

(7)

(8)

(9)

 

* Ghi chú:

Người lập biểu

(Ký, ghi rõ họ, tên)

Người kiểm tra

(Ký, ghi rõ họ, tên, chức vụ)

…, ngày…tháng…năm…

TM. ỦY BAN NHÂN DÂN

CHỦ TỊCH

(Ký, đóng dấu, ghi rõ họ, tên)

Đang theo dõi
Tải biểu mẫu
Biểu số: 09b/TP/CT
Ban hành theo Thông tư số 17/2025/TT-BTP
Ngày nhận báo cáo (BC):
BC sơ bộ 6 tháng: ngày 20 tháng 6 năm báo cáo
BC sơ bộ năm: Ngày 20 tháng 11 năm báo cáo
BC tròn năm: Ngày 20 tháng 01 năm sau
KẾT QUẢ CHỨNG THỰC TRÊN ĐỊA BÀN TỈNH/THÀNH PHỐ
(Sơ bộ 6 tháng/sơ bộ năm/tròn năm)
Kỳ báo cáo...
(Từ ngày... tháng..... năm ....
đến ngày... tháng..... năm..... )
Đơn vị báo cáo: Sở Tư pháp ………
Đơn vị nhận báo cáo: Bộ Tư pháp (Cục Kế hoạch - Tài chính)

Chứng thực bản sao từ bn chính

Chứng thực chữ ký trong giấy tờ, văn bản

Chứng thực chữ ký người dịch

Số việc chứng thực hợp đồng, giao dịch

Ghi chú

Số lượng bản sao được chứng thực (Bản)

Phí chứng thực bản sao (Đồng)

Số việc chứng thực chữ ký trong giấy tờ, văn bản (Việc)

Phí chứng thực chữ ký trong giấy tờ, văn bản (Đồng)

Số việc chứng thực chữ ký người dịch (Việc)

Phí chứng thực chữ ký người dịch (Đồng)

Số việc chứng thực hợp đồng, giao dịch (Việc)

Phí chứng thực hợp đồng, giao dịch (Đồng)

Tổng số

Trong đó: Chứng thực bản sao điện tử từ bản chính

A

(1)

(2)

(3)

(4)

(5)

(6)

(7)

(8)

(9)

(10)

Tổng số

1. Tên xã/phường/đặc khu...

2. Tên xã/phường/đặc khu...

 

* Ghi chú:

Người lập biểu

(Ký, ghi rõ họ, tên)

Người kiểm tra

(Ký, ghi rõ họ, tên, chức vụ)

…, ngày…tháng…năm…

GIÁM ĐỐC

(Ký, đóng dấu, ghi rõ họ, tên)

 


Đang theo dõi
Tải biểu mẫu

GIẢI THÍCH BIU MẪU SỐ 09a/TP/CT, 09b/TP/CT

(Kết quả chứng thực)

1. Khái niệm

Biểu mẫu số 09a/TP/CT: phản ánh kết quả chứng thực trong kỳ báo cáo tại Ủy ban nhân dân xã, phường, đặc khu (UBND cấp xã).

Biểu mẫu số 09b/TP/CT: phản ánh kết quả chứng thực trong kỳ báo cáo trên địa bàn tỉnh/thành phố.

Giải thích thuật ngữ:

Chứng thực bản sao gồm:

+ Chứng thực bản sao từ bản chính được quy định tại Nghị định số 23/2015/NĐ-CP về cấp bản sao từ sổ gốc, chứng thực bản sao từ bản chính, chứng thực chữ ký và chứng thực hợp đồng, giao dịch được sửa đổi, bổ sung bởi Nghị định số 07/2025/NĐ-CP về sửa đổi, bổ sung một số điều của các Nghị định trong lĩnh vực hộ tịch, quốc tịch, chứng thực;

+ Chứng thực bản sao điện tử từ bản chính được quy định tại Nghị định số 45/2020/NĐ-CP về thực hiện thủ tục hành chính trên môi trường điện tử.

Chứng thực chữ ký trong giấy tờ, văn bản: là việc UBND cấp xã chứng thực chữ ký trong giấy tờ, văn bản là chữ ký của người yêu cầu chứng thực.

Chứng thực chữ ký người dịch: là việc UBND cấp xã chứng thực chữ ký của người dịch trong các giấy tờ, văn bản được dịch từ tiếng nước ngoài sang tiếng Việt, từ tiếng Việt sang tiếng nước ngoài là chữ ký của người yêu cầu chứng thực chữ ký người dịch.

Chứng thực hợp đồng, giao dịch: là việc UBND cấp xã chứng thực về thời gian, địa điểm giao kết hợp đồng, giao dịch; năng lực hành vi dân sự, ý chí tự nguyện, chữ ký hoặc dấu điểm chỉ của các bên tham gia hợp đồng, giao dịch.

Phí chứng thực bản sao là số phí mà người yêu cầu chứng thực phải nộp khi yêu cầu chứng thực bản sao từ bản chính. Mức thu phí được quy định tại Điều 4 Thông tư số 226/2016/TT-BTC quy định mức thu, chế độ thu, nộp, quản lý và sử dụng phí chứng thực.

Phí chứng thực chữ ký trong giấy tờ, văn bản là số phí mà người yêu cầu chứng thực phải nộp khi yêu cầu chứng thực chữ ký trong giấy tờ, văn bản. Mức thu phí được quy định tại Điều 4 Thông tư số 226/2016/TT-BTC.

Phí chứng thực chữ ký người dịch là số phí mà người yêu cầu chứng thực phải nộp khi yêu cầu chứng thực chữ ký người dịch. Mức thu phí được quy định tại Điều 4 Thông tư số 226/2016/TT-BTC.

Phí chứng thực hợp đồng, giao dịch là số phí mà người yêu cầu chứng thực phải nộp khi yêu cầu chứng thực hợp đồng, giao dịch. Mức thu phí được quy định tại Điều 4 Thông tư số 226/2016/TT-BTC.

2. Cách ghi biểu

Cột (1) ghi số lượng bản sao được chứng thực từ bản chính theo quy định Nghị định số 23/2015/NĐ-CP được sửa đổi, bổ sung bởi Nghị định số 07/2025/NĐ-CP và số lượng bản sao điện tử được chứng thực từ bản chính theo quy định tại Nghị định số 45/2020/NĐ-CP.

Cột (2) là cột thành phần của Cột (1) (cột (2) ≤ cột (1)).

Cột (4) ghi số việc chứng thực chữ ký trong giấy tờ, văn bản do UBND cấp xã thực hiện trong kỳ báo cáo. số việc được tính theo số giấy tờ, văn bản người yêu cầu chứng thực đã ký và đã được chứng thực. Ví dụ: 01 người ký trong 05 loại giấy tờ, văn bản (kể cả trong trường hợp 05 giấy tờ, văn bản có nội dung giống nhau) thì thống kê là 05 việc, trường hợp 05 người ký tên trong 01 văn bản (ví dụ: biên bản họp gia đình) thì thống kê là 01 việc.

Cột (6) ghi sổ việc chứng thực chữ ký người dịch do UBND cấp xã thực hiện trong kỳ báo cáo. số việc được tính theo số giấy t, văn bản người người dịch (đồng thời là người yêu cầu chứng thực) đã ký và đã được chứng thực. Ví dụ: 01 người dịch (đồng thời là người yêu cầu chứng thực) đã ký trong 05 loại giấy tờ, văn bản đã được dịch và yêu cầu chứng thực chữ ký người dịch (kể cả trong trường hợp 05 giấy tờ, văn bản có nội dung giống nhau) thì thống kê là 05 việc.

Cột (8) số việc chứng thực hợp đồng, giao dịch được tính theo số hợp đồng, giao dịch đã được chứng thực. Ví dụ: 01 người yêu cầu chứng thực một hợp đồng, giao dịch (mặc dù có thế yêu cầu thêm bản sao có chứng thực từ bản chính hợp đồng, giao dịch đã được chứng thực) vẫn được thống kê là 01 việc.

Riêng biểu mẫu số 09b/TP/CT:

+ Sau khi rà soát, kiểm tra tính chính xác của số liệu, Sở Tư pháp tổng hợp chi tiết báo cáo của từng UBND cấp xã vào các cột tương ứng và cộng dòng tổng từng cột.

+ Trường hợp có những vấn đề cần làm rõ về nội dung số liệu thống kê thì thuyết minh tại cột (10).

3. Nguồn số liệu

Biểu mẫu số 09a/TP/CT:Từ sổ sách ghi chép về việc chứng thực tại UBND cấp xã;

Biểu mẫu số 09b/TP/CT: Tổng hợp từ biểu mẫu số 09a/TP/CT.

Đang theo dõi
Tải biểu mẫu
Biểu số: 09c/TP/CT
Ban hành theo Thông tư số 17/2025/TT-BTP
Ngày nhận báo cáo (BC):
BC tròn năm: Ngày 20 tháng 01 năm sau
KẾT QUẢ CHỨNG THỰC CỦA CÁC CƠ QUAN
ĐẠI DIỆN VIỆT NAM Ở NƯỚC NGOÀI
(Tròn năm)
(Từ ngày.... tháng...... năm ....
đến ngày... tháng..... năm..... )
Đơn vị báo cáo: Bộ Ngoại giao
Đơn vị nhận báo cáo: Bộ Tư pháp (Cục Kế hoạch - Tài chính)

Chứng thực bản sao từ bản chính

Chứng thực chữ ký trong giấy tờ, văn bản

Chứng thực chữ ký người dịch

Số lượng bản sao được chứng thực (Bản)

Phí chứng thực bản sao (Đồng)

Số việc chứng thực chữ ký trong giấy tờ, văn bản (Việc)

Phí chứng thực chữ ký trong giấy tờ, văn bản (Đồng)

Số việc chứng thực chữ ký người dịch (Việc)

Phí chứng thực chữ ký người dịch (Đồng)

A

(1)

(2)

(3)

(4)

(5)

(6)

Tổng số

Cơ quan đại diện tại...

Cơ quan đại diện tại...

 

* Ghi chú:

 

 

Người lập biểu

(Ký, ghi rõ họ, tên)

Người kiểm tra

(Ký, ghi rõ họ, tên, chức vụ)

…, ngày…tháng…năm…

BỘ TRƯỞNG

(Ký, đóng dấu, ghi rõ họ, tên)

 

GIẢI THÍCH BIỂU MẪU 09c/TP/CT

Kết quả chứng thực của các cơ quan đại diện Việt Nam ở nước ngoài

1. Khái niệm

* Biểu mẫu 09c/TP/CT phản ánh kết quả chứng thực của tất cả các Cơ quan đại diện Việt Nam ở nước ngoài trong kỳ báo cáo.

* Giải thích thuật ngữ

- Chứng thực bản sao từ bản chính: là việc cơ quan đại diện Việt Nam ở nước ngoài căn cứ vào bản chính để chứng thực bản sao là đúng với bản chính theo quy định tại Nghị định số 23/2015/NĐ-CP được sửa đổi, bổ sung bởi Nghị định số 07/2025/NĐ-CP.

- Chứng thực chữ ký trong giấy tờ, văn bản: là việc Cơ quan đại diện Việt Nam ở nước ngoài chứng thực chữ ký trong giấy tờ, văn bản là chữ ký của người yêu cầu chứng thực.

- Chứng thực chữ ký người dịch: là việc Cơ quan đại diện Việt Nam ở nước ngoài chứng thực chữ ký người dịch trong các giấy tờ, văn bản được dịch từ tiếng nước ngoài sang tiếng Việt, từ tiếng Việt sang tiếng nước ngoài là chữ ký của người yêu cầu chứng thực chữ ký người dịch.

- Phí chứng thực bản sao: là số phí mà người yêu cầu chứng thực phải nộp khi yêu cầu chứng thực bản sao từ bản chính. Mức thu phí được quy định tại Điều 4 Thông tư số 226/2016/TT-BTC được sửa đổi, bổ sung bởi Thông tư số 74/2022/TT-BTC.

- Phí chứng thực chữ ký trong giấy tờ văn bản: là số phí mà người yêu cầu chứng thực phải nộp khi yêu cầu chứng thực chữ ký trong giấy tờ, văn bản. Mức thu phí được quy định tại Điều 4 Thông tư số 226/2016/TT-BTC được sửa đổi, bổ sung bởi Thông tư số 74/2022/TT-BTC.

- Phí chứng thực chữ ký người dịch: là số phí mà người yêu cầu chứng thực phải nộp khi yêu cầu chứng thực chữ ký người dịch. Mức thu phí được quy định tại Điều 4 Thông tư số 226/2016/TT-BTC được sửa đổi, bổ sung bởi Thông tư số 74/2022/TT-BTC.

2. Cách ghi biểu

- Cột A:

+ Dòng “Tổng số”: bằng tổng của các dòng “cơ quan đại diện tại...” theo cột tương ứng.

+ Dòng “Cơ quan đại diện tại... Ghi tên của Cơ quan đại diện đã báo cáo (liệt kê đầy đủ các Cơ quan đại diện đã báo cáo) và số liệu theo từng cột tương ứng.

- Cột (1); ghi số lượng bản sao đã được từng Cơ quan đại diện chứng thực trong kỳ báo cáo.

- Cột (3): ghi số lượng việc về chữ ký trong giấy tờ, văn bản đã được từng cơ quan đại diện chứng thực trong kỳ báo cáo. Số việc được tính theo số giấy tờ, văn bản người yêu cầu chứng thực đã ký và người thực hiện chứng thực đã chứng thực. Ví dụ: 01 người ký trong 05 loại giấy tờ, văn bản (kể cả trong trường hợp 05 giấy tờ, văn bản có nội dung giống nhau) thì thống kê là 05 việc, trường hợp 05 người ký tên trong 01 văn bản (ví dụ: biên bản họp gia đình) thì thống kê là 01 việc.

- Cột (5): ghi số lượng việc về chữ ký người dịch đã được từng cơ quan đại diện chứng thực trong kỳ báo cáo. số việc được tính theo số giấy tờ, văn bản đã được chứng thực chữ ký người dịch. Ví dụ: 01 người dịch (đồng thời là người yêu cầu chứng thực) đã ký trong 05 loại giấy tờ, văn bản đã được dịch và yêu cầu chứng thực chữ ký người dịch (kể cả trong trường hợp 05 giấy tờ, văn bản có nội dung giống nhau) thì thống kê là 05 việc.

3. Nguồn số liệu

Từ báo cáo của Cơ quan đại diện Việt Nam ở nước ngoài.

Đang theo dõi
Tải biểu mẫu
Biểu số: 10a/TP/CC
Ban hành theo Thông tư số 17/2025/TT-BTP
Ngày nhận báo cáo (BC):
BC 6 tháng: Ngày 10 tháng 6 năm báo cáo
BC sơ bộ năm: Ngày 10 tháng 11 năm báo cáo
BC tròn năm: Ngày 10 tháng 01 năm sau
TỔ CHỨC VÀ KẾT QUẢ HOẠT ĐỘNG CỦA TỔ CHỨC HÀNH NGHỀ CÔNG CHỨNG
(Sơ bộ 6 tháng/sơ bộ năm/tròn năm)
Kỳ báo cáo: ………….
(Từ ngày tháng năm
đến ngày tháng năm )
Đơn vị báo cáo: Phòng công chứng.../Văn phòng công chứng...
Đơn vị nhận báo cáo: Sở Tư pháp

Số công chứng viên

(Người)

Công chứng

Chứng thực

Tổng số tiền nộp vào ngân sách/thuế (Nghìn đồng)

Số việc công chứng giao dịch
(Việc)

Số tiền thu được (Đồng)

Chứng thực bản sao từ bản chính

Chứng thực chữ ký trong giấy tờ, văn bản

Chứng thực chữ ký người dịch

Tổng số

Chia ra

Phí công chứng

Phí, giá dịch vụ theo yêu cầu liên quan đến việc công chứng

Chi phí khác

Số lượng bản sao được chứng thực (Bản)

Phí chứng thực bản sao (Đồng)

Tổng số việc

Phí chứng thực chữ ký trong giấy tờ, văn bản (Đồng)

Tổng số việc (Việc)

Phí chứng thực chữ ký người dịch (Đồng)

Công chứng giao dịch về bt động sản

Công chứng giao dịch khác

Phí khai thác, sử dụng thông tin liên quan đến giao dịch theo quy định của pháp luật

Giá dịch vụ theo yêu cầu liên quan đến việc công chúng khi yêu cầu tổ chức hành nghề công chứng

Tổng số

Trong đó: chứng thực bản sao điện tử từ bản chính

Tổng số

Trong đó: công chứng giao dịch điện tử

Tổng số

Trong đó: công chứng giao dịch điện tử

(1)

(2)

(3)

(4)

(5)

(6)

(7)

(8)

(9)

(10)

(11)

(12)

(13)

(14)

(15)

(16)

(17)

(18)

 

* Ghi chú:

Người lập biểu

(Ký, ghi rõ họ, tên)

..., ngày... tháng... năm...

NGƯỜI ĐẠI DIỆN THEO PHÁP LUẬT
(Ký, đóng dấu, ghi rõ họ, tên)

Đang theo dõi
Tải biểu mẫu
Biểu số: 10b/TP/CC
Ban hành theo Thông tư số 17/2025/TT-BTP
Ngày nhận báo cáo (BC):
BC sơ bộ 6 tháng: ngày 20 tháng 6 năm báo cáo
BC sơ bộ năm: Ngày 20 tháng 11 năm báo cáo
BC tròn năm: Ngày 20 tháng 01 năm sau
SỐ TỔ CHỨC VÀ KẾT QUẢ HOẠT ĐỘNG CÔNG CHỨNG TRÊN ĐỊA BÀN TỈNH/THÀNH PHỐ
(Sơ bộ 6 tháng/sơ bộ năm/tròn năm)
Kỳ báo cáo: ………….
(Từ ngày tháng năm
đến ngày tháng năm )
Đơn vị báo cáo: Sở Tư pháp
Đơn vị nhận báo cáo: Bộ Tư pháp (Cục Kế hoạch - Tài chính)

Số công chứng viên (Người)

Công chứng

Chứng thực

Tổng số tiền nộp vào ngân sách/thuế (Đồng)

Ghi chú

Số việc công chứng giao dịch (Việc)

Số tiền thu được (Đồng)

Chứng thực bản sao từ bản chính

Chứng thực chữ ký trong giấy tờ, văn bản

Chứng thực chữ ký người dịch

Tổng số

Chia ra

Phí công chứng

Phí, giá dịch vụ theo yêu cầu liên quan đến việc công chứng

Chi phí khác

Số lượng bản sao được chứng thực (Bản)

Phí chứng thực bản sao (Đồng)

Số việc

Phí chứng thực chữ ký trong giấy t, văn

bản (Đồng)

Số việc (Việc)

Phí chứng thực chữ ký người dịch (Đồng)

Công chứng giao dịch về bất động sản

Công chứng giao dịch khác

Phí khai thác, sử dụng thông tin liên quan đến giao dịch theo quy định của pháp luật

Giá dịch vụ theo yêu cầu liên quan đến việc công chứng khi yêu cầu tổ chức hành nghề công chứng

Tổng số

Trong đó: công chứng giao dịch điện tử

Tổng số

Trong đó: công chứng giao dịch điện tử

Tổng số

Trong đó:

Chứng thực bản sao điện tử từ bản chính

A

(1)

(2)

(3)

(4)

(5)

(6)

(7)

(8)

(9)

(10)

(11)

(12)

(13)

(14)

(15)

(16)

(17)

(18)

(19)

Tổng số

I. Phòng Công chứng

II. Văn phòng Công chứng

 

- Số liệu trong báo cáo này được tổng hợp từ báo cáo của /.... Phòng công chứng.

- Số liệu trong báo cáo này được tổng hợp từ báo cáo của /.... Văn phòng công chứng đăng ký hoạt động tại Sở Tư pháp.

- Theo quản lý của Sở Tư pháp, số công chứng viên đăng ký hành nghề là ……….. công chứng viên.

* Ghi chú:

Người lập biểu

(Ký, ghi rõ họ, tên)

Người kiểm tra

(Ký, ghi rõ họ, tên, chức vụ)

…, ngày…tháng…năm…

GIÁM ĐỐC

(Ký tên, đóng dấu)

 

Đang theo dõi
Tải biểu mẫu

GIẢI THÍCH BIỂU MẪU SỐ 10a/TP/CC, 10b/TP/CC

(Tình hình tổ chức và hoạt động công chứng)

1. Khái niệm, phương pháp tính

* Biểu mẫu số 10a/TP/CC phản ánh số liệu về tình hình tổ chức và hoạt động công chứng tại Phòng công chứng và Văn phòng công chứng.

* Biểu mẫu số 10b/TP/CC phản ánh số liệu về tình hình tổ chức và hoạt động công chứng trên địa bàn tỉnh/thành phố.

* Giải thích thuật ngữ:

- Tổ chức hành nghề công chứng được quy định tại khoản 1 Điều 19 Luật Công chứng số 46/2024/QH15 bao gồm Phòng công chứng và Văn phòng công chứng được tổ chức và hoạt động theo quy định của Luật số 46/2024/QH15 và các văn bản quy phạm pháp luật khác có liên quan.

- Khái niệm “công chứng viên” được quy định tại khoản 2 Điều 2 Luật số 46/2024/QH15.

- Công chứng giao dịch về bất động sản bao gồm:

+ Các hợp đồng chuyển quyền sở hữu, quyền sử dụng tài sản (chuyển nhượng, mua bán, tặng cho...); hợp đồng bảo đảm (thế chấp, cầm cố, bảo lãnh, đặt cọc, ký cược, ký quỹ...) liên quan đến bất động sản;

+ Các giao dịch liên quan đến thừa kế (di chúc, sửa đổi, bổ sung, hủy bỏ di chúc, văn bản thỏa thuận phân chia di sản, văn bản từ chối nhận di sản...) liên quan đến bất động sản;

+ Các hợp đồng, giao dịch khác, gồm: các hợp đồng, giao dịch về động sản như: nhận lưu giữ di chúc, cấp bản sao văn bản công chứng...

- Phí công chứng được quy định tại khoản 1 Điều 70 Luật số 46/2024/QH15 bao gồm: phí công chứng giao dịch, phí nhận lưu giữ di chúc, phí cấp bản sao văn bản công chứng.

- Phí, giá dịch vụ theo yêu cầu liên quan đến việc công chứng được quy định tại khoản 1 Điều 71 Luật số 46/2024/QH15 bao gồm phí khai thác, sử dụng thông tin liên quan đếngiao dịch theo quy định của pháp luật, giá dịch vụ theo yêu cầu liên quan đến việc công chứng khi yêu cầu tổ chức hành nghề công chứng thực hiện việc soạn thảo giao dịch, đánh máy, sao chụp, dịch giấy tờ, văn bản liên quan đến giao dịch.

- Chi phí khác được quy định tại khoản 1 Điều 72 Luật số 46/2024/QH15 là các chi phí người yêu cầu công chứng phải trả khi đề nghị xác minh, yêu cầu giám định phục vụ việc công chứng; yêu cầu công chứng ngoài trụ sở của tổ chức hành nghề công chứng; yêu cầu công chứng ngoài ngày, giờ làm việc của tổ chức hành nghề công chứng; yêu cầu tổ chức hành nghề công chứng niêm yết việc tiếp nhận công chứng văn bản phân chia di sản,

- Chứng thực bản sao từ bản chính bao gồm: Chứng thực bản sao từ bản chính được quy định tại Nghị định số 23/2015/NĐ-CP về cấp bản sao từ sổ gốc, chứng thực bản sao từ bản chính, chứng thực chữ ký và chứng thực hợp đồng, giao dịch được sửa đổi, b sung bởi Nghị định số 07/2025/NĐ-CP về sửa đổi, bổ sung một số điều của các Nghị định trong lĩnh vực hộ tịch, quốc tịch, chứng thực và chứng thực bản sao điện tử từ bản chính được quy định tại Nghị định số 45/2020/NĐ-CP về thực hiện thủ tục hành chính trên môi trường điện tử.

- Phí chứng thực bản sao là số phí mà người yêu cầu chứng thực phải nộp khi yêu cầu chứng thực bản sao từ bản chính. Mức thu phí được quy định tại khoản 7 Điều 4 Thông tư số 257/2016/TT-BTC quy định mức thu, chế độ thu, nộp, quản lý, sử dng phí công chứng; phí chứng thực; phí thẩm định tiêu chuẩn, điều kiện hành nghề công chứng; phí thẩm định điều kiện hoạt động Văn phòng công chứng; lệ phí cấp thẻ công chứng viên được sửa đổi, bổ sung bởi Thông tư số 111/2017/TT-BTC.

- Chứng thực chữ ký trong giấy tờ, văn bản là việc công chứng viên chứng thực chữ ký trong giấy tờ, văn bản là chữ ký của người yêu cầu chứng thực. Việc chứng thực chữ ký cũng được áp dụng trong trường hợp chứng thực điểm chỉ khi người yêu cầu chứng thực chữ ký không ký được và trường hợp người yêu cầu chứng thực không thể ký, điểm chỉ được.

- Phí chứng thực chữ ký là số phí mà người yêu cầu chứng thực phải nộp khi yêu cầu chứng thực chữ ký trong giấy tờ, văn bản. Mức thu phí được quy định tại khoản 8 Điều 4 Thông tư số 257/2016/TT-BTC được sửa đổi, bổ sung bởi Thông tư số 111/2017/TT-BTC.

- Chứng thực chữ ký người dịch: là việc công chứng viên chứng thực chữ ký của người dịch trong các giấy tờ, văn bản được dịch từ tiếng nước ngoài sang tiếng Việt, từ tiếng Việt sang tiếng nước ngoài là chữ kỷ của người yêu cầu chứng thực chữ ký người dịch.

- Phí chứng thực chữ ký là số phí mà người yêu cầu chứng thực phải nộp khi yêu cầu chứng thực chữ ký người dịch. Mức thu phí được quy định tại khoản 8 Điều 4 Thông tư số 257/2016/TT-BTC được sửa đổi, bổ sung bởi Thông tư số 111/2017/TT-BTC.

2. Cách ghi biểu

- Cột (2) = Cột (3 + 5).

- Cột (4) là một phần số liệu cột (3) (cột (4) ≤cột (3))

- Cột (6) là một phần số liệu cột (5) (cột (6) ≤ cột (5))

- Cột (12) là một phần số liệu cột (11) (cột (12) ≤ cột (11))

- Cột (14) (số việc chứng thực chữ ký trong giấy tờ, văn bản)thốngtheo sốgiấy tờ, vănbản mà công chứngviên đã kýchứng thực (Ví dụ: Một loại giấy tờ, văn bản được lập thành 10 bản,côngchứng viênký chứngthựctrong10 giấy tờvăn bản đóthì số lượng giấy tờ, văn bản đã được chứng thực chữ ký là 10; 05 loại giấy tờ, văn bản khác nhau, mỗi loại được lập thành 01 bản, công chứng viên ký chứng thực trong 05 loại giấy tờ, văn bản đó thì số lượng giấy tờ, văn bản đã được chứng thực chữ ký là 05; 10 người ký trong một giấy tờ, văn bản, công chứng viên ký chứng thực trong giấy tờ, văn bản đó thì số lượng giấy tờ, văn bản đã được chứng thực chữ ký là 01).

- Cột (16) (số việc chứng thực chữ ký người dịch) thống kê theo số giấy tờ, văn bản người người dịch (đồng thời là người yêu cầu chứng thực) đã ký và đã được chứng thực. Ví dụ: 01 người dịch (đồng thời là người yêu cầu chứng thực) đã ký trong 05 loi giấy tờ, văn bản đã được dịch và yêu cầu chứng thực chữ ký người dịch (kể cả trong trường hợp 05 giấy tờ, văn bản có nội dung giống nhau) thì thống kê là 05 việc.

- Cột (18): Ghi tổng số tiền nộp ngân sách và nộp thuế đối với Phòng công chứng; tổng số tiền nộp thuế (gồm thuế môn bài và thuế thu nhập doanh nghiệp) đối với Văn phòng công chứng.

- Riêng biểu mẫu số 10b/TP/CC:

+ Sau khi rà soát, kiểm tra tính chính xác của số liệu, Sở Tư pháp tổng hợp chi tiết báo cáo của từng Phòng Công chứng/Văn phòng Công chứng vào các dòng tại các mục tương ứng và cộng dòng tổng từng mục, gồm: mục I (Phòng Công chứng) và mục II (Văn phòng Công chứng), Dòng Tổng số = mục I + mục II.

+ Trường hợp có những vấn đề cần làm rõ về nội dung số liệu thống kê thì thuyết minh tại cột (19).

3. Nguồn số liệu

- Biểu mẫu số 10a/TP/CC: Phòng công chứng, Văn phòng công chứng tổng hợp số liệu từ sổ công chứng, sổ chứng thực, sổ về tài chính, kế toán, các loại sổ khác theo quy định và hồ sơ công chứng, chứng thực.

- Biểu mẫu số 10b/TP/CC: Sở Tư pháp tổng hợp số liệu từ biểu mẫu số 10a/TP/CC và từ hồ sơ, tài liệu theo dõi về tình hình tổ chức và hoạt động công chứng.Đang theo dõi
Tải biểu mẫu
Biểu số: 11a/TP/LSTN
Ban hành theo Thông tư số 17/2025/TT-BTP
Ngày nhận báo cáo (BC):
BC sơ bộ 6 tháng: Ngày 10 tháng 6 năm báo cáo
BC sơ bộ năm: Ngày 10 tháng 11 năm báo cáo
BC tròn năm: Ngày 10 tháng 01 năm sau
S LUẬT SƯ VÀ KẾT QUẢ HOẠT ĐỘNG CỦA TỔ CHỨC HÀNH NGHỀ LUẬT SƯ
(Sơ bộ 6 tháng/sơ bộ năm/tròn năm)
Kỳ báo cáo: ………….
(Từ ngày tháng năm
đến ngày tháng năm )
Đơn vị báo cáo: Văn phòng Luật sư…/Công ty Luật...
Đơn vị nhận báo cáo: Sở Tư pháp...

Số luật sư hành nghề tại tổ chức

(Người)

Số việc thực hiện xong

(Việc)

Doanh thu

(Đồng)

Tổng số

Trong đó: Số luật sư nước ngoài làm việc tại tổ chức

Tổng số

Chia ra

Tổng số

Nộp thuế

Số việc tố tụng

Số việc tư vấn pháp luật và dịch vụ pháp lý khác

Số việc trợ giúp pháp lý

(1)

(2)

(3)

(4)

(5)

(6)

(7)

(8)

 

- Cột (1), (2), (8) không báo cáo trong kỳ sơ bộ 6 tháng.

* Ghi chú:

Người lập biểu

(Ký, ghi rõ họ, tên)

..., ngày... tháng... năm...

NGƯỜI ĐẠI DIỆN THEO PHÁP LUẬT
(Ký, đóng dấu, ghi rõ họ, tên)

Đang theo dõi
Tải biểu mẫu
Biểu số: 11b/TP/LSTN
Ban hành theo Thông tư số 17/2025/TT-BTP
Ngày nhận báo cáo (BC):
BC sơ bộ 6 tháng: Ngày 20 tháng 6 năm báo cáo
BC sơ bộ năm: Ngày 20 tháng 11 năm báo cáo
BC tròn năm: Ngày 20 tháng 01 năm sau
SỐ TỔ CHỨC VÀ KẾT QUẢ HOẠT ĐỘNG CỦA CÁC TỔ CHỨC HÀNH NGHỀ LUẬT SƯ TRÊN ĐỊA BÀN TỈNH/THÀNH PHỐ
(Sơ bộ 6 tháng/sơ bộ năm/tròn năm)
Kỳ báo cáo: ………….
(Từ ngày … tháng … năm …
đến ngày … tháng … năm …)
Đơn vị báo cáo: Sở Tư pháp...
Đơn vị nhận báo cáo: Bộ Tư pháp (Cục Kế hoạch - Tài chính)

Số luật sư hành nghề tại tổ chức

(Người)

Số việc thực hiện xong

(Việc)

Doanh thu

(Đồng)

Ghi chú

Tổng số

Chia ra

Tổng số

Nộp thuế

Tổng số

Trong đó: Số luật sư nước ngoài làm việc tại tổ chức

Số việc tố tụng

Số việc tư vấn pháp luật và dịch vụ pháp lý khác

Số việc trợ giúp pháp lý

A

(1)

(2)

(3)

(4)

(5)

(6)

(7)

(8)

(9)

Tổng số

I. Văn phòng Luật sư

Văn phòng...

….

II. Công ty Luật

Công ty...

….

 

- Cột (1), (2), (8) không báo cáo trong kỳ sơ bộ 6 tháng.

- Số liệu trong báo cáo này được tổng hợp từ báo cáo của ……/.....tổ chức hành nghề luật sư đăng ký hoạt động tại Sở Tư pháp.

- Số luật sư hành nghề với tư cách cá nhân đăng ký tại Sở Tư pháp là  …… người.

- Số luật sư là thành viên của Đoàn luật sư địa phương theo quản lý của Sở Tư pháp là …..người.

* Ghi chú:

Người lập biểu

(Ký, ghi rõ họ, tên)

Người kiểm tra

(Ký, ghi rõ họ, tên, chức vụ)

…, ngày      tháng      năm

GIÁM ĐỐC

(Ký, đóng dấu, ghi rõ họ, tên)

Đang theo dõi
Tải biểu mẫu

GIẢI THÍCH BIỂU MẪU 11a/TP/LSTN, 11b/TP/LSTN

(Số tổ chức và kết quả hoạt động của tổ chức hành nghề luật sư)

1. Khái niệm, phương pháp tính

- Biểu 11a/TP/LSTN phản ánh số luật sư và kết quả hoạt động của tổ chức hành nghề luật sư trong kỳ báo cáo (sơ bộ 6 tháng/sơ bộ năm/tròn năm) được sử dụng cho 02 đơn vị báo cáo, gồm: Văn phòng luật sư, Công ty luật và biểu này được gửi về Sở Tư pháp.

- Biểu 11b/TP/LSTN phản ánh số tổ chức và kết quả hoạt động của các tổ chức hành nghề luật sư trên địa bàn tỉnh/ thành phố trong kỳ báo cáo (sơ bộ 6 tháng/sơ bộ năm/tròn năm) được sử dụng cho đơn vị báo cáo là Sở Tư pháp và Biểu này được gửi về Bộ Tư pháp (Cục Kế hoạch - Tài chính).

- Tổ chức hành nghề luật sư (TCHNLS) được quy định tại Điều 32 luật Luật sư số 65/2006/QH11 được sửa đổi, bổ sung bởi Luật số 20/2012/QH13 và Bộ luật số 101/2015/QH13 bao gồm Văn phòng luật sư và Công ty luật.

+ Văn phòng luật sư được quy định tại Điều 33 Luật số 65/2006/QH11 được sửa đổi, bổ sung bởi Luật số 20/2012/QH13, Bộ luật số 101/2015/QH13.

+ Công ty luật bao gồm công ty luật hợp danh và công ty luật trách nhiệm hữu hạn (TNHH), được thành lập theo quy định tại Điều 34 Luật số 65/2006/QH11 được sửa đổi, bổ sung bởi Luật số 20/2012/QH13, Bộ luật số 101/2015/QH13.

- Số luật sư hành nghề tại tổ chức hành nghề luật sư Việt Nam là số luật sư làm việc tại tổ chức hành nghề luật sư trong kỳ báo cáo bao gồm:

+ Số luật sư Việt Nam làm việc tại tổ chức hành nghề luật sư Việt Nam.

+ Số luật sư nước ngoài làm việc tại tổ chức hành nghề luật sư Việt Nam.

- Luật sư nước ngoài làm việc tại tổ chức hành nghề luật sư Việt Nam là những luật sư được tổ chức hành nghề luật sư của Việt Nam tuyển dụng vào làm việc tại tổ chức đó theo quy định tại Điều 74 Luật số 65/2006/QH11 được sửa đổi, bổ sung bởi Luật số 20/2012/QH13, Bộ luật số 101/2015/QH13.

- Số việc thực hiện xong là những việc được thực hiện xong trong kỳ báo cáo, gồm các việc đã thực hiện xong như sau:

+ Số việc tố tụng là những việc mà luật sư làm theo yêu cầu của khách hàng và theo yêu cầu của cơ quan tiến hành tố tụng theo quy định tại Điều 27 Luật số 65/2006/QH11 được sửa đổi, bổ sung bởi Luật số 20/2012/QH13, Bộ luật số 101/2015/QH13 và đã thực hiện xong, không bao gồm số việc trợ giúp pháp lý theo quy định của Luật Trợ giúp pháp lý.

+ Số việc tư vấn pháp luật là số việc luật sư hướng dẫn, đưa ra ý kiến giúp khách hàng soạn thảo các giấy tờ liên quan đến việc thực hiện quyền và nghĩa vụ của họ theo quy định tại Điều 28 Luật số 65/2006/QH11 được sửa đổi, bổ sung bởi Luật số 20/2012/QH13, Bộ luật số 101/2015/QH13 và đã thực hiện xong.

- Số việc dịch vụ pháp lý khác bao gồm số việc giúp đỡ khách hàng thực hiện các công việc liên quan đến thủ tục hành chính, giúp đỡ pháp luật trong trường hợp giải quyết khiếu nại, dịch thuật, xác nhận giấy tờ, các giao dịch và giúp đỡ khách hàng thực hiện các công việc theo quy định của pháp luật và đã thực hiện xong theo quy định tại Điều 30 Luật số 65/2006/QH11 được sửa đổi, bổ sung bởi Luật số 20/2012/QH13, Bộ luật số 101/2015/QH13.

- Số việc trợ giúp pháp lý bao gồm số lượng việc mà luật sư tham gia trợ giúp pháp lý cho các đối tượng chính sách xã hội, không nhận thù lao của đối tượng được trợ giúp và đã thực hiện xong, gồm các hoạt động trợ giúp pháp lý theo quy định tại Điều 31 Luật số 65/2006/QH11 được sửa đổi, bổ sung bởi Luật số 20/2012/QH13, Bộ luật số 101/2015/QH13; không tính các vụ việc thực hiện trợ giúp pháp lý theo quy định của Luật Trợ giúp pháp lý.

- Doanh thu của TCHNLS là tổng số tiền thu được của TCHNLS (theo Luật doanh nghiệp).

- Số tiền nộp thuế của TCHNLS là số tiền thuế mà TCHNLS phải nộp theo quy định của Luật doanh nghiệp.

2. Cách ghi biểu

* Biểu 11a, 11b:

Số liệu từ cột 1 đến cột 8 bao gồm cả số liệu tại Chi nhánh/Văn phòng đại diện của TCHNLS (nếu có), số liệu của các chi nhánh được tính cho TCHNLS, không phải liệt kê riêng tên của chi nhánh trong báo cáo. Trường hợp chi nhánh hoạt động tại địa phương khác nơi đăng ký hoạt động của TCHNLS vẫn tính số liệu cho TCHNLS, Sở Tư pháp địa phương khác nơi chi nhánh hoạt động chỉ nhận báo cáo để biết và quản lý chứ không tổng hợp số liệu của chi nhánh đó vào biểu 1 lb/TP/LSTN.

- Cột 1: Ghi tổng số luật sư hành nghề tại tổ chức hành nghề luật sư.

- Cột 2: Ghi số luật sư nước ngoài làm việc tại tổ chức hành nghề luật sư. số liệu tại cột 2 là một phần số liệu của cột 1 (cột 2 ≤ cột 1).

Cột 1, 2, 8 chỉ báo cáo tại kỳ báo cáo năm (báo cáo năm và báo cáo năm chính thức), kỳ báo cáo 6 tháng không phải báo cáo (để trống ô số liệu).

- Cột 3 = Cột (4+5+6).

- Cột 4: Ghi số việc luật sư tham gia tố tụng trong tất cả các lĩnh vực.

*Riêng Biểu 1 lb/TP/LSTN: Sau khi rà soát, kiểm tra tính chính xác của số liệu, Sở Tư pháp tổng hợp chi tiết báo cáo của từng Văn phòng Luật sư/Công ty Luật vào các dòng tại các mục tương ứng và cộng dòng tổng từng mục, gồm: mục I (Văn phòng Luật sư) và mục II (Công ty Luật), Dòng Tổng số = mục I + mục II; đồng thời ghi chú về số liệu quản lý của Sở Tư pháp theo hướng dẫn trong biểu mẫu.

3. Nguồn số liệu

- Biểu 11a/TP/LSTN: TCHNLS tổng hợp số liệu từ sổ sách ghi chép ban đầu và hồ sơ vụ việc thực hiện tại tổ chức hành nghề luật sư và các chi nhánh (nếu có).

- Biểu 11b/TP/LSTN: Sở Tư pháp tổng hợp số liệu từ sổ sách, tài liệu theo dõi về tình hình đăng ký hoạt động luật sư tại Sở Tư pháp và tổng hợp từ biểu mẫu 11a/TP/LSTN của tổ chức hành nghề luật sư.

Đang theo dõi
Tải biểu mẫu
Biểu số: 11c/TP/LSTN
Ban hành theo Thông tư số 17/2025/TT-BTP
Ngày nhận báo cáo (BC):
BC sơ bộ 6 tháng: Ngày 20 tháng 6 năm báo cáo
BC sơ bộ năm: Ngày 20 tháng 11 năm báo cáo
BC tròn năm: Ngày 20 tháng 01 năm sau
KẾT QUẢ HOẠT ĐỘNG CẤP CHỨNG CHỈ
HÀNH NGHỀ LUẬT SƯ TRÊN ĐỊA BÀN TỈNH/THÀNH PHỐ
(Sơ bộ 6 tháng/sơ bộ năm/tròn năm)
Kỳ báo cáo: ………….
(Từ ngày … tháng … năm …
đến ngày … tháng … năm …)
Đơn vị báo cáo: Sở Tư pháp...
Đơn vị nhận báo cáo: Bộ Tư pháp (Cục Kế hoạch - Tài chính)

Đơn vị tính: Người

Số người được cấp chứng chỉ hành nghề luật sư

Số người bị thu hồi chứng chỉ hành nghề luật sư

Tổng số

Chia ra

Tổng số

Trong đó: số người được cấp CCHNLS đã từng bị kỷ luật, kết án hoặc có kết luận của cơ quan có thẩm quyền

Người đạt yêu cầu kiểm tra KQTSHNLS

Người được miễn tập sự HNLS

Người được cấp lại

(1)

(2)

(3)

(4)

(5)

(6)

 

* Ghi chú:

Người lập biểu

(Ký, ghi rõ họ, tên)

Người kiểm tra

(Ký, ghi rõ họ, tên, chức vụ)

…, ngày      tháng      năm

GIÁM ĐỐC

(Ký, đóng dấu, ghi rõ họ, tên)

 

GIẢI THÍCH BIỂU MẪU 11c/TP/LSTN

Kết quả hoạt động cấp chứng chỉ hành nghề luật sư trên địa bàn tỉnh/thành phố

1. Khái niệm, phương pháp tính

- Biểu 11c/TP/LSTN phản ánh kết quả hoạt động cấp chỉ hành nghề luật sư (CCHNLS) trên địa bàn tỉnh/thành phố trong kỳ báo cáo (sơ bộ 6 tháng/sơ bộ năm/tròn năm) được sử dụng cho đơn vị báo cáo là Sở Tư pháp và biểu này được gửi về Bộ Tư pháp (Cục Kế hoạch - Tài chính).

- Số người được cấp chứng chỉ hành nghề luật sư là người có đủ tiêu chuẩn theo quy định tại Điều 10 của Luật số 65/2006/QH11 được sửa đổi, bổ sung bởi Luật số 20/2012/QH13, Bộ luật số 101/2015/QH13, được cơ quan có thẩm quyền cấp chứng chỉ hành nghề luật sư trong kỳ báo cáo.

- Số người được cấp CCHNLS từng bị kỷ luật, kết án hoặc có kết luận của cơ quan có thẩm quyền quy định cụ thể tại khoản 2 Điều 2a Nghị định số 137/2018/NĐ-CP ngày 08/10/2018 của Chính phủ sửa đổi, bổ sung một số điều của Nghị định số 123/2013/NĐ-CP quy định chi tiết một số điều và biện pháp thi hành Luật luật sư được sửa đổi, bổ sung bởi Luật số 20/2012/QH13, Bộ luật số 101/2015/QH13.

- Số người bị thu hồi chứng chỉ hành nghề luật sư là người thuộc một trong các trường hợp quy định tại khoản 1 Điều 18 Luật số 65/2006/QH11 được sửa đổi, bổ sung bởi Luật số 20/2012/QH13, Bộ luật số 101/2015/QH13 bị cơ quan nhà nước có thẩm quyền thu hồi chứng chỉ hành nghề luật sư trong kỳ báo cáo.

2. Cách ghi biểu

- Cột (1) = Cột (3+4+5).

- Số liệu tại cột 2 là một phần số liệu của cột 1 (cột 2 < cột 1)

3. Nguồn số liệu

Sở Tư pháp tổng hợp số liệu từ sổ sách, tài liệu theo dõi về tình hình hoạt động cấp chỉ hành nghề luật sư trên địa bàn tỉnh/thành phố.

Đang theo dõi
Tải biểu mẫu
Biểu số: 12a/TP/GĐTP
Ban hành theo Thông tư số 17/2025/TT-BTP
Ngày nhận báo cáo (BC):
BC sơ bộ năm: Ngày 05 tháng 11 năm báo cáo
BC tròn năm: Ngày 05 tháng 01 năm sau
SỐ VỤ VIỆC ĐÃ THỰC HIỆN GIÁM ĐỊNH TƯ PHÁP TẠI CÁC TỔ CHỨC GIÁM ĐỊNH TƯ PHÁP CÔNG LẬP Ở TRUNG ƯƠNG/ĐỊA PHƯƠNG
(Sơ bộ năm/tròn năm)
Kỳ báo cáo: ………….
(Từ ngày tháng năm
đến ngày tháng năm )
Đơn vị báo cáo:
- Tổ chức giám định tư pháp công lập (TCGĐTPCL) ở trung ương;
- (TCGĐTPCL) ở địa phương.
Đơn vị nhận báo cáo:
- Bộ, cơ quan ngang bộ chủ quản của TCGĐTPCL cấp Trung ương: nhận báo cáo của TCGĐTPCL ở Trung ương;
- Ban, ngành cấp tỉnh; cơ quan chuyên môn của UBND tỉnh quản lý lĩnh vực giám định tư pháp: nhận báo cáo của TCGĐTPCL ở địa phương

Số vụ việc đã thực hiện giám định tư pháp

(Vụ việc)

Tổng số

Chia theo lĩnh vực

Kỹ thuật hình sự

Pháp y

Pháp y tâm thần

Khác

Tổng số

Chia ra

Tổng số

Chia ra

Giám định dấu vết đường vân

Giám định tài liệu

Giám định kỹ thuật s và điện tử

Vụ việc khác thuộc lĩnh vực kỹ thuật hình sự

Giám định thương tích

Giám định tử thi

Giám định ADN

Vụ việc khác thuộc lĩnh vực giám định pháp y

A

(1)

(2)

(3)

(4)

(5)

(6)

(7)

(8)

(9)

(10)

(11)

(12)

(13)

Tổng số

Do cơ quan tiến hành tố tụng trưng cầu

Do người yêu cầu giám định yêu cầu

Do cá nhân, tổ chức khác yêu cầu

 

* Ghi chú:

Người lập biểu

(Ký, ghi rõ họ, tên)

Người kiểm tra

(Ký, ghi rõ họ tên)

Ngày…. tháng …. năm …

THỦ TRƯỞNG ĐƠN VỊ

(Ký, đóng dấu, ghi rõ họ, tên)

 

GIẢI THÍCH BIỂU SỐ 12a/TP/GĐTP

(Số vụ việc đã thực hiện giám định tư pháp tại các tổ chc giám định tư pháp công lập ở trung ương/địa phương)

Khái niệm, phương pháp tính

Biểu số 12a/TP/GĐTP phản ánh số vụ việc đã thực hiện giám định tư pháp tại các tổ chức giám định tư pháp công lập ở trung ương/địa phương.

Số vụ việc đã thực hiện giám định là số vụ việc thực hiện giám định đã có bản kết luận giám định trong kỳ báo cáo.

Người yêu cầu giám định là người có quyền tự mình yêu cầu giám định sau khi đã đề nghị cơ quan tiến hành tố tụng, người tiến hành tố tụng trưng cầu giám định mà không được chấp nhận theo quy định tại khoản 3 Điều 2 của Luật giám định tư pháp.

- Đơn vị báo cáo (đơn vị thực hiện báo cáo Biểu số 12a/TP/GĐTP) bao gồm:

Tổ chức giám định tư pháp công lập được quy định tại khoản 1, điểm b khoản 2 và điểm b khoản 4 Điều 12 của Luật giám định tư pháp số 13/2012/QH13 được sửa đổi, bổ sung bởi Luật số 56/2020/QH14.

- Đơn vị nhận báo cáo:

Ban, ngành cấp tỉnh cấp tỉnh; cơ quan chuyên môn của Ủy ban nhân dân tỉnh quản lý lĩnh vực giám định tư pháp nhận báo cáo của TCGĐTPCL ở địa phương.

Bộ, cơ quan ngang bộ chủ quản của Tổ chức giám định tư pháp công lập cấp Trung ương nhận báo cáo của Tổ chức giám định tư pháp công lập của Trung ương.

Cách ghi biếu

- Cột 1 =Cột (2+7+12+13)

- Cột 2 = Cột (3+4+5+6)

- Cột 7 = Cột (8+9+10+11)

- Cột 13 (Cột “Khác”): Ghi số vụ việc đã thực hiện giám định tư pháp trong các lĩnh vực tài chính, văn hóa, xây dựng và các lĩnh vực khác (do tổ chức giám định tư pháp công lập (nếu có) thực hiện), không bao gồm số liệu đã thống kê từ cột 2 đến cột 12.

Nguồn số liệu

Từ sổ sách ghi chép ban đầu và hồ sơ giám định tại các tổ chức giám định tư pháp công lập ở trung ương và địa phương.

Đang theo dõi
Tải biểu mẫu
Biểu số: 12b/TP/GĐTP
Ban hành theo Thông tư số 17/2025/TT-BTP
Ngày nhận báo cáo (BC):
- Bộ/cơ quan ngang bộ chủ quản nhận:
BC sơ bộ năm: Ngày 05 tháng 11 năm báo cáo
BC tròn năm: Ngày 05 tháng 01 năm sau
- Ban/ngành; cơ quan chuyên môn của UBND cấp tỉnh nhận:
BC sơ bộ năm: Ngày 05 tháng 11 năm báo cáo
BC tròn năm: Ngày 05 tháng 01 năm sau
- Sở Tư pháp nhận:
BC sơ bộ năm: Ngày 10 tháng 11 năm báo cáo
BC tròn năm: Ngày 10 tháng 01 năm sau
SỐ VỤ VIỆC ĐÃ THỰC HIỆN GIÁM ĐỊNH TƯ PHÁP TẠI CÁC TỔ CHỨC GIÁM ĐỊNH TƯ PHÁP THEO VỤ VIỆC Ở TRUNG ƯƠNG/ ĐỊA PHƯƠNG VÀ VĂN PHÒNG GIÁM ĐỊNH TƯ PHÁP Ở ĐỊA PHƯƠNG
(Sơ bộ năm/tròn năm)
Kỳ báo cáo: ………….
(Từ ngày tháng năm
Đến ngày tháng năm )
Đơn vị báo cáo:
- Tổ chức giám định tư pháp (TCGĐTP) theo vụ việc ở trung ương;
- TCGĐTP theo vụ việc ở địa phương;
- Văn phòng giám định tư pháp ở địa phương.
Đơn vị nhận báo cáo:
- Bộ, cơ quan ngang bộ chủ quản: nhận báo cáo của Tổ chức giám định tư pháp theo vụ việc ở trung ương;
- Ban, ngành cấp tỉnh; cơ quan chuyên môn của UBND cấp tỉnh: nhận báo cáo của TCGĐTP theo vụ việc ở địa phương và Văn phòng giám định tư pháp ở địa phương;
- Sở Tư pháp: nhận báo cáo của ban, ngành cấp tỉnh; cơ quan chuyên môn của UBND cấp tỉnh ...

 

 

 

Số vụ việc đã thực hiện giám định tư pháp

(Vụ việc)

Tổng số

Chia theo lĩnh vực

Tài chính

Ngân hàng

Xây dựng

Văn hóa

Nông nghiệp và Môi trường

Khoa học và công nghệ

Công thương

Khác

(1)

(2)

(3)

(4)

(5)

(6)

(7)

(8)

(9)

Tổng số

 

 

 

 

 

 

 

 

 

Do cơ quan tiến hành tố tụng trưng cầu

 

 

 

 

 

 

 

 

 

Do người yêu cầu giám định trưng cầu

 

 

 

 

 

 

 

 

 

Do cá nhân, tổ chức khác yêu cầu

 

 

 

 

 

 

 

 

 

 

* Ghi chú:

 

 

Người lập biểu

(Ký, ghi rõ họ, tên)

 

Người kiểm tra

(Ký, ghi rõ họ, tên)

…., ngày…. tháng …. năm …

THỦ TRƯỞNG ĐƠN VỊ

(Ký, đóng dấu, ghi rõ họ, tên)

 

 

GIẢI THÍCH BIỂU SỐ 12b/TP/GĐTP

(Số vụ việc đã thực hiện giám định tư pháp tại các, tổ chức giám định tư pháp theo vụ việc ở trung ương/địa phương,
Văn phòng gi
ám định tư pháp ở địa phương)

 

1. Khái niệm, phương pháp tính

Biểu số 12b/TP/GĐTP phản ánh số vụ việc giám định tư pháp tại các tổ chức giám định tư pháp theo vụ việc ở trung ương/địa phương, Văn phòng giám định tư pháp ở địa phương.

- Tổ chức giám định tư pháp theo vụ việc là tổ chức có đủ các điều kiện theo quy định tại khoản 1 Điều 19 của Luật giám định tư pháp số 13/2012/QH13 được sửa đổi, bổ sung bởi Luật số 56/2020/QH14.

- Văn phòng giám định tư pháp là tổ chức giám định tư pháp ngoài công lập, được thành lập trong lĩnh vực tài chính, ngân hàng, xây dựng, cổ vật, di vật, bản quyền tác giả theo quy định tại khoản 1 Điều 14 Luật Giám định tư pháp.

- Số vụ việc đã thực hiện giám định là số vụ việc thực hiện giám định đã có bản kết luận giám định trong kỳ báo cáo.

- Người yêu cầu giám định là người có quyền tự mình yêu cầu giám định sau khi đã đề nghị cơ quan tiến hành tố tụng, người tiến hành tố tụng trưng cầu giám định mà không được chấp nhận theo quy định tại khoản 3 Điều 2 của Luật giám định tư pháp số 13/2012/QH13 được sửa đổi, bổ sung bởi Luật số 56/2020/QH14.

* Đơn vị báo cáo (đơn vị thực hiện báo cáo Biểu số 12b/TP/GĐTP) gồm:

- Ban, ngành cấp tỉnh; cơ quan chuyên môn thuộc Ủy ban nhân dân cấp tỉnh quản lý lĩnh vực giám định tư pháp tổng hợp số liệu báo cáo các vụ việc của cấp mình, tổ chức giám định tư pháp theo vụ việc, Văn phòng giám định tư pháp trong lĩnh vực chuyên môn thuộc thẩm quyền quản lý thực hiện để gửi Sở Tư pháp.

- Văn phòng Giám định tư pháp chỉ báo cáo số vụ việc đã thực hiện giám định tại các Cột: (2); (3) (4); (5) về Sở Tư pháp và cơ quan chuyên môn thuộc Ủy ban nhân dân cấp tỉnh theo quy định tại điểm d khoản 2 Điều 18 Nghị định số 85/2013/NĐ-CP ngày 29/7/2013 của Chính phủ quy định chi tiết và biện pháp thi hành Luật Giám định tư pháp (được sửa đổi, bổ sung bởi Nghị định số 157/2020/NĐ-CP ngày 31/12/2020 của Chính phủ).

2. Cách ghi biểu

- Cột 1 = Cột (2+3+44-5+6+7+8+9)

3. Nguồn số liệu

Tổng hợp số liệu từ tổ chức giám định tư pháp theo vụ việc và sổ sách ghi chép tại các cơ quan chuyên môn của Ủy ban nhân dân cấp tỉnh quản lý lĩnh vực giám định tư pháp.

Đang theo dõi
Tải biểu mẫu
Biểu số: 12c/TP/GĐTP
Ban hành theo Thông tư số 17/2025/TT-BTP
Ngày nhận báo cáo (BC):
Sở Tư pháp nhận:
BC sơ bộ năm: Ngày 10 tháng 11 năm báo cáo
BC tròn năm: Ngày 10 tháng 01 năm sau
Bộ Tư pháp nhận:
BC sơ bộ năm: Ngày 20 tháng 11 năm báo cáo
BC tròn năm: Ngày 20 tháng 01 năm sau
SỐ VỤ VIỆC ĐÃ THỰC HIỆN GIÁM ĐỊNH TƯ PHÁP  TRÊN ĐỊA BÀN TỈNH/THÀNH PHỐ
(Sơ bộ năm/tròn năm)

Kỳ báo cáo:……………….
(Từ ngày......tháng......năm......
đến ngày.......tháng.......năm......)
Đơn vị báo cáo:
- Ban, ngành cấp tỉnh; cơ quan chuyên môn của UBND cấp tỉnh...
- Sở Tư pháp:...
Đơn vị nhận báo cáo:
- Sở Tư pháp: nhận báo cáo của  Ban, ngành cấp tỉnh; cơ quan chuyên môn của UBND cấp tỉnh;
- Bộ Tư pháp (Cục Kế hoạch - Tài chính): nhận báo cáo của Sở Tư pháp.

   

Số vụ việc đã thực hiện giám định tư pháp tại các tổ chức giám định tư pháp công lập (TCGĐTPCL) ở cấp tỉnh
(Vụ việc)

Số vụ việc đã thực hiện giám định tư pháp tại tổ chức giám định tư pháp theo vụ việc, Văn phòng giám định tư pháp tại địa phương
 
(Vụ việc)

Tổng số

Chia theo lĩnh vực

Tổng số

Chia theo lĩnh vực

Kỹ thuật hình sự

Pháp y

Khác

Tài chính

Ngân hàng

Xây dựng

Văn hóa

Nông nghiệp và môi trường

Khoa học và công nghệ

Công thương

Khác

Tổng số

Chia ra

Tổng số

Chia ra

Giám định dấu vết đường vân

Giám định tài liệu

Giám định kỹ thuật số và điện tử

Vụ việc khác thuộc lĩnh vực kỹ thuật hình sự

Giám định thương tích

Giám định tử thi

Giám định ADN

Vụ việc khác thuộc lĩnh vực pháp y

A

B

(1)

(2)

(3)

(4)

(5)

(6)

(7)

(8)

(9)

(10)

(11)

(12)

(13)

(14)

(15)

(16)

(17)

(18)

(19)

(20)

(21)

 

TỔNG SỐ

                                         

I

Do cơ quan tiến hành tố tụng trưng cầu

                                         

1.1

Tại tổ chức giám định tư pháp công lập

                                         

1.1.1

Trung tâm pháp y

 

_

_

_

_

_

         

_

_

_

_

_

_

_

_

_

_

1.1.2

Phòng kỹ thuật hình sự

             

_

_

_

_

_

_

_

_

_

_

_

_

_

_

1.1.3

Tổ chức khác

                                         

1.2

Tại tổ chức giám định tư pháp theo vụ việc

                                         

1.3

Tại Văn phòng giám định tư pháp

                                         

II

Do người yêu cầu giám định yêu cầu

                                         

2.1

Tại tổ chức giám định tư pháp công lập

                                         

2.1.1

Trung tâm pháp y

 

_

_

_

_

_

           

_

_

_

_

_

_

_

_

_

2.1.2

Phòng kỹ thuật hình sự

             

_

_

_

_

_

_

_

_

_

_

_

_

_

_

2.1.3

Tổ chức khác

                                         

2.2

Tại tổ chức giám định tư pháp theo vụ việc

                                         

2.3.

Tại Văn phòng giám định tư pháp

                                         

III

Do yêu cầu của cá nhân, tổ chức khác yêu cầu

                                         

3.1

Tại tổ chức giám định tư pháp công lập

                                         

3.1.1

Trung tâm pháp y

 

_

_

_

_

_

             

_

_

_

_

_

_

_

_

3.1.2

Phòng kỹ thuật hình sự

             

_

-

_

_

_

_

_

_

_

_

_

_

_

_

3.1.3

Tổ chức khác

                                         

3.2

Tại tổ chức giám định tư pháp theo vụ việc

                                         

3.3

Tại Văn phòng giám định tư pháp

                                         

Ô có dấu “-” không phải báo cáo

* Ghi chú:

Người lập biểu

(Ký, ghi rõ họ, tên)

Người kiểm tra

(Ký, ghi rõ họ, tên)

Ngày…. tháng …. năm …

GIÁM ĐỐC

(Ký, đóng dấu, ghi rõ họ, tên)

 

GIẢI THÍCH BIỂU SỐ 12c/TP/GĐTP

(Số vụ việc đã thực hiện giám định tư pháp trên địa bàn tỉnh/thành phố)

Khái niệm, phương pháp tính

Biểu số 12c/TP/GĐTP phản ánh số vụ việc đã thực hiện giám định tư pháp ở các lĩnh vực trên địa bàn tỉnh, thành phố.

- Số vụ việc đã thực hiện giám định tư pháp là số vụ việc thực hiện giám định đã có bản kết luận giám định trong kỳ báo cáo.

- Người yêu cầu giám định là người có quyền tự mình yêu cầu giám định sau khi đã đề nghị cơ quan tiến hành tố tụng, người tiến hành tố tụng trưng cầu giám định mà không được chấp nhận theo quy định tại khoản 3 Điều 2 của Luật giám định tư pháp số 13/2012/QH13 được sửa đổi, bổ sung bởi Luật số 56/2020/QH14.

- Tổ chức giám định tư pháp theo vụ việc là tổ chức có đủ các điều kiện theo quy định tại khoản 1 Điều 19 của Luật giám định tư pháp số 13/2012/QH13 được sửa đổi, bổ sung bởi Luật số 56/2020/QH14 và cơ quan chuyên môn thuộc Ủy ban nhân dân cấp tỉnh chỉ thực hiện giám định tư pháp theo trưng cầu của người trưng cầu giám định theo quy định tại khoản 3 Điều 19 Luật Giám định tư pháp.

- Văn phòng giám định tư pháp là tổ chức giám định tư pháp ngoài công lập, được thành lập trong lĩnh vực tài chính, ngân hàng, xây dựng, cổ vật, di vật, bản quyền tác giả theo quy định tại khoản 1 Điều 14 Luật Giám định tư pháp.

Cách ghi biểu

Dòng  “Tổng số” = Dòng I + II + III

Dòng I = Dòng (1.1 + 1.2 + 1.3)

Dòng II = Dòng (2.1 + 2.2 + 2.3)

Dòng III = Dòng (3.1 + 3.2 + 3.3)

Cột 1 = Cột (2 + 7 + 12 + 13)

Cột 2 = Cột (3+4+5+6)

Cột 7 = Cột (8+9+10+11)

Cột 13 = Cột (14+15 + 16 + 17 + 18 +19 + 20 + 21)

Những ô đánh dấu “-” không phải báo cáo

Nguồn số liệu

Tổng hợp từ Biểu số 12a/TP/GĐTP, 12b/TP/GĐTP và từ hồ sơ, tài liệu khác theo dõi về công tác giám định tư pháp của Sở Tư pháp.

Đang theo dõi
Tải biểu mẫu
Biểu số: 12d/TP/GĐTP
Ban hành theo Thông tư số 17/2025/TT-BTP
Ngày nhận báo cáo (BC):
BC sơ bộ năm: Ngày 20 tháng 11 năm báo cáo
BC tròn năm: Ngày 20 tháng 01 năm sau
SỐ VỤ VIỆC ĐÃ THỰC HIỆN GIÁM ĐỊNH TƯ PHÁP TẠI BỘ, CƠ QUAN NGANG BỘ
(Sơ bộ năm/tròn năm)

Kỳ báo cáo:……………….
(Từ ngày......tháng......năm......
đến ngày.......tháng.......năm......)
Đơn vị báo cáo:
Bộ, cơ quan ngang bộ:...
Đơn vị nhận báo cáo:
Bộ Tư pháp (Cục Kế hoạch - Tài chính)

 

Số vụ việc đã thực hiện giám định tư pháp
(Vụ việc)

Tổng số

Chia theo lĩnh vực

Kỹ thuật hình sự

Pháp y

Pháp y tâm thần

Tài chính

Ngân hàng

Xây dựng

Văn hóa

Nông nghiệp và môi trường

Khoa học và công nghệ

Công thương

Khác

Tổng số

Chia ra

Tổng số

Chia ra

Giám định dấu vết đường vân

Giám định tài liệu

Giám định kỹ thuật số và điện tử

Vụ việc khác thuộc lĩnh vực kỹ thuật hình sự

Giám định thương tích

Giám định tử thi

Giám định ADN

Vụ việc khác thuộc lĩnh vực pháp y

(1)

(2)

(3)

(4)

(5)

(6)

(7)

(8)

(9)

(10)

(11)

(12)

(13)

(14)

(15)

(16)

(17)

(18)

(19)

(20)

Tổng số

                                       

Do cơ quan tiến hành tố tụng trưng cầu

                                       

Do người yêu cầu giám định yêu cầu

                                       

Do tổ chức, cá nhân khác yêu cầu

                       

-

-

-

-

-

-

-

 

Ô có dấu “-” không phải báo cáo

Người lập biểu

(Ký, ghi rõ họ, tên)

Người kiểm tra

(Ký, ghi rõ họ, tên)

…., ngày…. tháng …. năm …

THỦ TRƯỞNG ĐƠN VỊ

(Ký, đóng dấu, ghi rõ họ, tên)

 

GIẢI THÍCH BIỂU SỐ 12d/TP/GĐTP

(Số vụ việc đã thực hiện giám định tư pháp tại Bộ, cơ quan ngang bộ)

1. Khái niệm, phương pháp tính

Biểu số 12d/TP/GĐTP phản ánh số vụ việc giám định tư pháp đã thực hiện tại bộ, cơ quan ngang bộ

Số vụ việc đã thực hiện giám định là số vụ việc thực hiện giám định đã có bản kết luận giám định trong kỳ báo cáo.

Người yêu cầu giám định là người có quyền tự mình yêu cầu giám định sau khi đã đề nghị cơ quan tiến hành tố tụng, người tiến hành tố tụng trưng cầu giám định mà không được chấp nhận theo quy định tại khoản 3 Điều 2 của Luật giám định tư pháp số 13/2012/QH13 được sửa đổi, bổ sung bởi Luật số 56/2020/QH14.

2. Cách ghi biểu

- Cột 1 = Cột (2+7+12+13+14+15+16+17+18+19+20)

- Cột 2 = Cột (3+4+5+6)

- Cột 7 = Cột (8+9+10+11)

3. Nguồn số liệu

Tổng hợp từ Biểu số 12a/TP/GĐTP và sổ sách ghi chép ban đầu về công tác giám định tại bộ, cơ quan ngang bộ.

Đang theo dõi
Tải biểu mẫu
Biểu số: 13a/TP/ĐGTS
Ban hành theo Thông tư số 17/2025/TT-BTP
Ngày nhận báo cáo (BC):
BC sơ bộ năm: Ngày 10 tháng 11 năm báo cáo
BC tròn năm: Ngày 10 tháng 01 năm sau
SỐ ĐẤU GIÁ VIÊN VÀ KẾT QUẢ HOẠT ĐỘNG ĐẤU GIÁ TÀI SẢN
CỦA TỔ CHỨC HÀNH NGHỀ ĐẤU GIÁ TÀI SẢN
(Sơ bộ năm/tròn năm)

Kỳ báo cáo: ……..
(Từ ngày......tháng......năm......
đến ngày.......tháng.......năm......)
Đơn vị báo cáo:
Trung tâm dịch vụ đấu giá tài sản/Doanh nghiệp đấu giá tài sản...
Đơn vị nhận báo cáo:
Sở Tư pháp……

Tổng số đấu giá viên (Người)

Số cuộc đấu giá đã thực hiện
(Cuộc)

Giá của tài sản đấu giá thành
(Đồng)

Tổng số tiền giá dịch vụ đấu giá thu được                       (Đồng)

Số tiền nộp ngân sách/thuế
(Đồng)

Tổng số

Trong đó: Số cuộc đấu giá thành

Giá khởi điểm của tài sản đấu giá thành

Giá trúng đấu giá

Tổng số

Chia ra

Tổng số

Chia ra

Tổng số

Chia ra

Tài sản đấu giá là quyền sử dụng đất để giao đất có thu tiền sử dụng đất hoặc cho thuê đất

Tài sản đấu giá là quyền khai thác khoáng sản

Tài sản đấu giá là tài sản thi hành án

Tài sản đấu giá là tài sản công tại cơ quan, tổ chức, đơn vị

Tài sản đấu giá khác

Tài sản đấu giá là quyền sử dụng đất để giao đất có thu tiền sử dụng đất hoặc cho thuê đất

Tài sản đấu giá là quyền khai thác khoáng sản

Tài sản đấu giá là tài sản thi hành án

Tài sản đấu giá là tài sản công tại cơ quan, tổ chức, đơn vị

Tài sản đấu giá khác

Tài sản đấu giá là quyền sử dụng đất để giao đất có thu tiền sử dụng đất hoặc cho thuê đất

Tài sản đấu giá là quyền khai thác khoáng sản

Tài sản đấu giá là tài sản thi hành án

Tài sản đấu giá là tài sản công tại cơ quan, tổ chức, đơn vị

Tài sản đấu giá khác

(1)

(2)

(3)

(4)

(5)

(6)

(7)

(8)

(9)

(10)

(11)

(12)

(13)

(14)

(15)

(16)

(17)

(18)

(19)

(20)

(21)

(22)

                                           

* Ghi chú:

Người lập biểu

(Ký, ghi rõ họ, tên)

…, ngày…. tháng …. năm …

GIÁM ĐỐC

(Ký, đóng dấu, ghi rõ họ, tên)

Đang theo dõi
Tải biểu mẫu
Biểu số: 13b/TP/ĐGTS
Ban hành theo Thông tư số 17/2025/TT-BTP
Ngày nhận báo cáo (BC):
BC sơ bộ năm: Ngày 20 tháng 11 năm báo cáo
BC tròn năm: Ngày 20 tháng 01 năm sau
SỐ TỔ CHỨC VÀ KẾT QUẢ HOẠT ĐỘNG ĐẤU GIÁ TÀI SẢN TRÊN ĐỊA BÀN TỈNH/THÀNH PHỐ
(Sơ bộ năm/tròn năm)
Kỳ báo cáo: …...
(Từ ngày......tháng......năm......
đến ngày.......tháng.......năm......)
Đơn vị báo cáo:
Sở Tư pháp……
Đơn vị nhận báo cáo:
Bộ Tư pháp (Cục Kế hoạch - Tài chính)

 

 

Tổng số đấu giá viên (Người)

Số cuộc đấu giá đã thực hiện
(Cuộc)

Giá của tài sản đấu giá thành
(Đồng)

Tổng số tiền giá dịch vụ đấu giá thu được
(Đồng)

Số tiền nộp ngân sách/thuế
(Đồng)

Ghi chú

Tổng số

Trong đó: Số cuộc đấu giá thành

Giá khởi điểm của tài sản đấu giá thành

Giá trúng đấu giá

Tổng số

Chia ra

Tổng số

Chia ra

Tổng số

Chia ra

Tài sản đấu giá là quyền sử dụng đất để giao đất có thu tiền sử dụng đất hoặc cho thuê đất

Tài sản đấu giá là quyền khai thác khoáng sản

Tài sản đấu giá là tài sản thi hành án

Tài sản đấu giá là tài sản công tại cơ quan, tổ chức, đơn vị

Tài sản đấu giá khác

Tài sản đấu giá là quyền sử dụng đất để giao đất có thu tiền sử dụng đất hoặc cho thuê đất

Tài sản đấu giá là quyền khai thác khoáng sản

Tài sản đấu giá là tài sản thi hành án

Tài sản đấu giá là tài sản công tại cơ quan, tổ chức, đơn vị

Tài sản đấu giá khác

Tài sản đấu giá là quyền sử dụng đất để giao đất có thu tiền sử dụng đất hoặc cho thuê đất

Tài sản đấu giá là quyền khai thác khoáng sản

Tài sản đấu giá là tài sản thi hành án

Tài sản đấu giá là tài sản công tại cơ quan, tổ chức, đơn vị

Tài sản đấu giá khác

A

(1)

(2)

(3)

(4)

(5)

(6)

(7)

(8)

(9)

(10)

(11)

(12)

(13)

(14)

(15)

(16)

(17)

(18)

(19)

(20)

(21)

(22)

(23)

Tổng số

                                             

I. Trung tâm dịch vụ đấu giá tài sản tỉnh/thành phố...

                                             

II. Doanh nghiệp ĐGTS

                                             

1. Doanh nghiệp ĐGTS…

                                             

                                             

Số liệu trong báo cáo này được tổng hợp từ báo cáo của….../…... tổ chức hành nghề đấu giá tài sản trên địa bàn tỉnh/thành phố       

* Ghi chú:

 

 

Người lập biểu

(Ký, ghi rõ họ, tên)

 

Người kiểm tra

(Ký, ghi rõ họ, tên, chức vụ)

…, ngày …. tháng … năm ….

GIÁM ĐỐC

(Ký, đóng dấu, ghi rõ họ tên)

 

 

 

Đang theo dõi
Tải biểu mẫu

GIẢI THÍCH BIỂU MẪU 13a/TP/ĐGTS, 13b/TP/ĐGTS

(Tổ chức và kết quả hoạt động của tổ chức đấu giá tài sản)

1. Khái niệm, phương pháp tính

Biểu 13a/TP/ĐGTS phản ánh số liệu về tình hình tổ chức và hoạt động đấu giá tài sản của tổ chức hành nghề đấu giá tài sản trong kỳ báo cáo (năm) được sử dụng cho các đơn vị báo cáo gồm: Trung tâm dịch vụ đấu giá tài sản tỉnh/thành phố, doanh nghiệp đấu giá tài sản.

Biểu 13b/TP/ĐGTS phản ánh số liệu về tình hình tổ chức và hoạt động đấu giá tài trên địa bàn tỉnh/thành phố trong kỳ báo cáo (năm) được sử dụng cho đơn vị báo cáo là Sở Tư pháp.

Tổ chức đấu giá tài sản bao gồm: Trung tâm dịch vụ đấu giá tài sản tỉnh/thành phố và Doanh nghiệp đấu giá tài sản.

Trung tâm dịch vụ đấu giá tài sản là đơn vị sự nghiệp công lập do Ủy ban nhân dân cấp tỉnh thành lập.

Doanh nghiệp đấu giá tài sản là doanh nghiệp tư nhân, công ty đấu giá hợp danh và các doanh nghiệp đấu giá tài sản.

Số cuộc đấu giá đã thực hiện được tính theo số lượng quy chế cuộc đấu giá do Tổ chức đấu giá tài sản ban hành và đã thực hiện đầy đủ trình tự, thủ tục đấu giá (bắt đầu từ thời điểm niêm yết, thông báo đấu giá đến khi tổ chức phiên đấu giá trên thực tế).

Trường hợp một hợp đồng dịch vụ đấu giá tài sản có nhiều tài sản được bán đấu giá thì số cuộc đấu giá được tính bằng số quy chế cuộc đấu giá do tổ chức đấu giá tài sản ban hành để thực hiện hợp đồng đó.

Số cuộc đấu giá thành là số cuộc đấu giá có người trúng đấu giá. Trường hợp một cuộc đấu giá có nhiều tài sản được bán đấu giá nhưng chỉ đấu giá thành một hoặc một số tài sản thì vẫn tính vào cuộc đấu giá thành.

Giá bán của tài sản đấu giá là giá cuối cùng của người mua trúng đấu giá.

Số tiền nộp ngân sách/thuế là tổng số tiền mà Trung tâm đấu giá tài sản nộp ngân sách (không bao gồm tiền bán tài sản đấu giá) và Doanh nghiệp đấu giá tài sản nộp thuế theo quy định của pháp luật.

2. Cách ghi biểu

Cột 1: Ghi tổng số đấu giá viên đang hành nghề tại tổ chức hành nghề đấu giá tài sản.

Cột 2: Ghi tổng số cuộc đấu giá mà tổ chức hành nghề đấu giá tài sản đã thực hiện.

Cột 3: Ghi tổng số cuộc đấu giá thành. Số liệu tại cột 3 là một phần số liệu của cột 2.

Cột 3 = Cột 4 + Cột 5 + Cột 6 + Cột 7 + Cột 8

Cột 9 = Cột 10 + Cột 11 +  Cột 12 +  Cột 13 + Cột 14

Cột 15 = Cột 16 + Cột 17 + Cột 18 + Cột 19 + Cột 20

Số liệu từ cột (9) đến cột (20) là số liệu của các cuộc đấu giá thành.

* Biểu 13a/TP/ĐGTS: Trường hợp chi nhánh hoạt động tại địa phương khác nơi đăng ký hoạt động của tổ chức hành nghề đấu giá tài sản vẫn tính số liệu cho tổ chức hành nghề đấu giá tài sản. Sở Tư pháp nơi chi nhánh hoạt động chỉ nhận báo cáo để biết và quản lý chứ không tổng hợp số liệu của chi nhánh đó vào biểu 13b/TP/ĐGTS.

* Biểu 13b/TP/ĐGTS: Sau khi rà soát, kiểm tra tính chính xác của số liệu, Sở Tư pháp tổng hợp chi tiết số liệu báo cáo của Trung tâm đấu giá tài sản và từng Doanh nghiệp đấu giá tài sản vào các dòng tại các mục tương ứng và cộng dòng tổng từng mục, gồm: mục I (Trung tâm đấu giá tài sản tỉnh/thành phố…) và mục II (Doanh nghiệp đấu giá tài sản), Dòng Tổng số = mục I + mục II; đồng thời ghi chú về số liệu quản lý của Sở Tư pháp theo hướng dẫn trong biểu mẫu.

3. Nguồn số

Biểu 13a/TP/ĐGTS: Từ hồ sơ, sổ sách ghi chép của tổ chức đấu giá tài sản.

Biểu 13b/TP/ĐGTS: Tổng hợp từ biểu mẫu 13a/TP/ĐGTS và từ các hồ sơ, tài liệu khác theo dõi công tác đấu giá tài sản tại Sở Tư pháp.

Đang theo dõi
Tải biểu mẫu
Biểu số: 14a/TP/TTTM
Ban hành theo Thông tư số 17/2025/TT-BTP
Ngày nhận báo cáo (BC):
BC sơ bộ năm: Ngày 10 tháng 11 năm báo cáo
BC tròn năm: Ngày 10 tháng 01 năm sau
SỐ TỔ CHỨC VÀ KẾT QUẢ HOẠT ĐỘNG CỦA CÁC
TỔ CHỨC TRỌNG TÀI
(Sơ bộ năm/tròn năm)

Kỳ báo cáo:…………….
(Từ ngày… tháng… năm…
đến ngày… tháng… năm…)
Đơn vị báo cáo:
Trung tâm trọng tài /Chi nhánh, Văn phòng đại diện của tổ chức trọng tài nước ngoài tại Việt Nam…
Đơn vị nhận báo cáo:  Sở Tư pháp…

Số Chi nhánh của Trung tâm trọng tài
(Chi nhánh)

Số Văn phòng đại diện của Trung tâm trọng tài
(Văn phòng)

Số trọng tài viên
(Người)

Số vụ việc đã tiếp nhận
(gồm kỳ trước chuyển sang)

(Vụ việc)

Kết quả giải quyết tranh chấp bằng trọng tài (Vụ việc)

Tổng giá trị tranh chấp của các vụ việc đã có phán quyết trọng tài/hòa giải thành
(Đồng)

Tổng số phí trọng tài và các khoản thu hợp pháp khác
(Đồng)

Tổng số tiền đã nộp  thuế và nghĩa vụ tài chính
(Đồng)

Số vụ việc đã có phán quyết trọng tài /hòa giải thành

Số vụ việc chưa có phán quyết trọng tài/hòa giải thành/số vụ việc bị đình chỉ

Tổng số

Trong đó: Số phán quyết trọng tài bị tòa án hủy

(1)

(2)

(3)

(4)

(5)

(6)

(7)

(8)

(9)

(10)

                   

- Chi nhánh, Văn phòng đại diện của tổ chức trọng tài nước ngoài tại Việt Nam không phải ghi các cột (1), (2)

* Ghi chú:

Người lập biểu

(Ký, ghi rõ họ, tên)

........, ngày....tháng.....năm....

NGƯỜI ĐẠI DIỆN THEO PHÁP LUẬT

(Ký, đóng dấu, ghi rõ họ, tên)

Đang theo dõi
Tải biểu mẫu
Biểu số: 14b/TP/TTTM
Ban hành theo Thông tư số 17/2025/TT-BTP
Ngày nhận báo cáo (BC):
BC sơ bộ năm: Ngày 20 tháng 11 năm báo cáo
BC tròn năm: Ngày 20 tháng 01 năm sau
SỐ TỔ CHỨC VÀ KẾT QUẢ HOẠT ĐỘNG CỦA CÁC TỔ CHỨC TRỌNG TÀI
TRÊN ĐỊA BÀN TỈNH/THÀNH PHỐ
(Sơ bộ năm/tròn năm)

Kỳ báo cáo:…………….
(Từ ngày… tháng… năm…
đến ngày… tháng… năm…)
Đơn vị báo cáo: Sở Tư pháp……
Đơn vị nhận báo cáo:
Bộ Tư pháp (Cục Kế hoạch - Tài chính)

 

Số Chi nhánh của Trung tâm trọng tài
(Chi nhánh)

Số Văn phòng đại diện của Trung tâm trọng tài
(Văn phòng)

Số trọng tài viên
(Người)

Số vụ việc đã tiếp nhận
(gồm kỳ trước chuyển sang)

(Vụ việc)

Kết quả giải quyết tranh chấp bằng trọng tài
(Vụ việc)

Tổng giá trị tranh chấp của các vụ việc đã có phán quyết trọng tài/hòa giải thành
(Đồng)

Tổng số phí trọng tài và các khoản thu hợp pháp khác
(Đồng)

Tổng số tiền đã nộp thuế và nghĩa vụ tài chính
(Đồng)

Ghi chú

Số vụ việc đã có phán quyết trọng tài/hòa giải thành

Số vụ việc chưa có phán quyết trọng tài/hòa giải thành/số vụ việc bị đình chỉ

Tổng số

Trong đó: Số phán quyết trọng tài bị tòa án hủy

A

(1)

(2)

(3)

(4)

(5)

(6)

(7)

(8)

(9)

(10)

(11)

Tổng số

                     

I. Trung tâm trọng tài

                     

1. Trung tâm trọng tài…

                     

                     

II. Chi nhánh/Văn phòng đại diện tổ chức trọng tài nước ngoài tại Việt Nam

-

-

                 

1. Chi nhánh/ Văn phòng đại diện tổ chức trọng tài nước ngoài tại Việt Nam …

-

-

                 

-

-

                 

Số liệu trong báo cáo này được tổng hợp từ báo cáo của …../……. tổ chức trọng tài thương mại đăng ký hoạt động tại Sở Tư pháp

Ô có dấu "-" không phải báo cáo

* Ghi chú:

Người lập biểu

(Ký, ghi rõ họ, tên)

Người kiểm tra

(Ký, ghi rõ họ, tên)

…, ngày …. tháng … năm ….

GIÁM ĐỐC

(Ký, đóng dấu, ghi rõ họ tên)

Đang theo dõi
Tải biểu mẫu

GIẢI THÍCH BIỂU MẪU SỐ 14a/TP/TTTM, 14b/TP/TTTM

(Tổ chức và kết quả hoạt động của tổ chức trọng tài)

1. Khái niệm, phương pháp tính

- Biểu mẫu số 14a/TP/TTTM phản ánh tình hình tổ chức và hoạt động trọng tài của tổ chức trọng tài thương mại trong kỳ báo cáo (năm) được sử dụng cho các đơn vị báo cáo gồm: Trung tâm trọng tài/Chi nhánh, Văn phòng đại diện của tổ chức trọng tài nước ngoài tại Việt Nam.

- Biểu mẫu số 14b/TP/TTTM phản ánh tình hình tổ chức và hoạt động trọng tài thương mại trên địa bàn tỉnh/thành phốtrong kỳ báo cáo (năm) được sử dụng cho đơn vị báo cáo là Sở Tư pháp.

- Trọng tài viên là người có đủ tiêu chuẩn theo quy định tại Điều 20 Luật Trọng tài thương mại số 54/2010/QH12.

- Chi nhánh/Văn phòng đại diện là đơn vị phụ thuộc của Trung tâm trọng tài do Trung tâm trọng tài đăng ký thành lập.

- Chi nhánh/Văn phòng đại diện của tổ chức trọng tài nước ngoài tại Việt Nam được thành lập theo quy định tại Luật số 54/2010/QH12.

- Số vụ việc đã tiếp nhận là số vụ việc mà Trung tâm trọng tài/Chi nhánh của tổ chức trọng tài nước ngoài tại Việt Nam đã được các bên lựa chọn để giải quyết tranh chấp (bao gồm cả số vụ việc tiếp nhận trong kỳ và số vụ việc đang giải quyết của kỳ trước chuyển sang).

- Số vụ việc đã có phán quyết trọng tài/hòa giải thành: Số vụ việc đã có phán quyết trọng tài là số vụ việc đã được Hội đồng trọng tài giải quyết và ra phán quyết trọng tài; số vụ việc hòa giải thành là số vụ việc được Hội đồng trọng tài tiến hành hòa giải và ra quyết định công nhận sự thỏa thuận của các bên theo quy định tại Điều 58 Luật số 54/2010/QH12.

- Số vụ việc chưa có phán quyết trọng tài/hòa giải thành/số vụ việc bị đình chỉ: là số vụ việc mà Trung tâm trọng tài/Chi nhánh của tổ chức trọng tài nước ngoài tại Việt Nam đang trong quá trình xử lý chưa có kết quả hoặc bị đình chỉ.

- Tổng giá trị tranh chấp của các vụ việc đã có phán quyết trọng tài và hòa giải thành: là tổng giá trị các vụ tranh chấp đã có phán quyết trọng tài và vụ việc hòa giải thành được thống kê từ Sổ theo dõi giải quyết tranh chấp của Trung tâm trọng tài, Chi nhánh của Trung tâm trọng tài, Chi nhánh của tổ chức trọng tài nước ngoài (mẫu 26/TP-TTTM của Thông tư số 12/2012/TT-BTP ban hành một số biểu mẫu về tổ chức và hoạt động trọng tài thương mại).

- Tổng số phí trọng tài và các khoản thu hợp pháp khác: là tổng số phí trọng tài và các khoản thu hợp pháp khác của Trung tâm trọng tài, Chi nhánh Trung tâm trọng tài/Chi nhánh tổ chức trọng tài nước ngoài tại Việt Nam thu được từ hoạt động giải quyết tranh chấp bằng trọng tài, hòa giải và các hoạt động khác.

- Tổng số tiền đã nộp thuế và nghĩa vụ tài chính là số tiền tổ chức trọng tài phải nộp theo quy định pháp luật (bao gồm số tiền nộp thuế của tổ chức trọng tài và của các trọng tài viên).

2. Cách ghi biểu

- Cột (1): Ghi số Chi nhánh của Trung tâm trọng tài.

- Cột (2): Ghi số Văn phòng đại diện của Trung tâm trọng tài.

* Số liệu từ cột (3) đến cột (10) bao gồm cả số liệu tại Chi nhánh/Văn phòng đại diện của Trung tâm trọng tài (nếu có).

- Cột (3): Ghi số trọng tài viên đăng ký tại Trung tâm trọng tài /Chi nhánh, Văn phòng đại diện của tổ chức trọng tài nước ngoài tại Việt Nam.

- Cột (4): Ghi số vụ việc tiếp nhận trong kỳ báo cáo và số vụ việc đang giải quyết kỳ trước chuyển sang.

Cột (4) = cột (5) + cột (7).

- Cột (5): Ghi tổng số vụ việc đã có phán quyết trọng tài và vụ việc hòa giải thành.

Số liệu của cột (5) là một phần số liệu của cột (4) (cột (5) ≤ cột (4)).

- Cột (6): Ghi số phán quyết trọng tài bị tòa án hủy.

Số liệu của cột (6) là một phần số liệu của cột (5) (cột (6) ≤ cột (5)).

- Cột 7: Ghi số vụ việc mà Trung tâm trọng tài đã tiếp nhận nhưng đang trong quá trình xử lý chưa có kết quả hoặc bị đình chỉ.

Số liệu của cột (7) là một phần số liệu của cột (4) (cột (7) ≤ cột (4)).

- Riêng biểu mẫu số 14b/TP/TTTM:

+ Sau khi rà soát, kiểm tra tính chính xác của số liệu, Sở Tư pháp tổng hợp chi tiết báo cáo của từng Trung tâm trọng tài/Chi nhánh, Văn phòng đại diện của tổ chức trọng tài nước ngoài tại Việt Nam vào các dòng tại các mục tương ứng và cộng dòng tổng từng mục, gồm: mục I (Trung tâm trọng tài), mục II (Chi nhánh, Văn phòng đại diện của tổ chức trọng tài nước ngoài tại Việt Nam), dòng Tổng số = mục I + mục II.

+ Trường hợp có những vấn đề cần làm rõ về nội dung số liệu thống kê thì thuyết minh tại cột (11).

3. Nguồn số liệu

- Biểu mẫu số 14a/TP/TTTM: Từ hồ sơ, sổ sách ghi chép của tổ chức trọng tài thương mại.

- Biểu mẫu số 14b/TP/TTTM: Tổng hợp từ biểu mẫu số 14a/TP/TTTM và từ các hồ sơ, tài liệu khác theo dõi công tác trọng tài thương mại tại Sở Tư pháp.

Đang theo dõi
Tải biểu mẫu
Biểu số: 15a/TP/TGPL
Ban hành theo Thông tư số 17/2025/TT-BTP
Ngày nhận báo cáo (BC):
Sở Tư pháp nhận:

BC sơ bộ 06 tháng: Ngày 10 tháng 6 năm báo cáo 
BC sơ bộ năm: Ngày 10 tháng 11 năm báo cáo
BC tròn năm: Ngày 10 tháng 01 năm sau
Bộ Tư pháp (Cục Kế hoạch - Tài chính) nhận:
BC sơ bộ 06 tháng: Ngày 20 tháng 6 năm báo cáo
BC sơ bộ năm: Ngày 20 tháng 11 năm báo cáo
BC tròn năm: Ngày 20 tháng 01 năm sau
SỐ LƯỢT NGƯỜI ĐÃ ĐƯỢC TRỢ GIÚP PHÁP LÝ (TGPL)
(Sơ bộ 6 tháng/sơ bộ năm/tròn năm)

Kỳ báo cáo:…………….
(Từ ngày… tháng… năm…
đến ngày… tháng… năm…)
Đơn vị báo cáo:
- Trung tâm TGPL nhà nước tỉnh, thành phố/Tổ chức ký hợp đồng thực hiện TGPL/Tổ chức đăng ký tham gia TGPL;
- Sở Tư pháp…
Đơn vị nhận báo cáo:
- Sở Tư pháp nhận báo cáo của Trung tâm TGPL nhà nước tỉnh/thành phố, Tổ chức ký hợp đồng thực hiện TGPL, Tổ chức đăng ký tham gia TGPL;
- Bộ Tư pháp (Cục Kế hoạch - Tài chính) nhận báo cáo của Sở Tư pháp.

Đơn vị tính: Lượt người

Phân theo lĩnh vực trợ giúp pháp lý và hình thức trợ giúp pháp lý

Tổng số

Chia theo giới tính

Chia theo đối tượng được trợ giúp pháp lý

Ghi chú

Nam

Nữ

Người có công với cách mạng

Người thuộc hộ nghèo

Người dân tộc thiểu số cư trú ở vùng có điều kiện kinh tế - xã hội đặc biệt khó khăn

Trẻ em

Người bị buộc tội thuộc hộ cận nghèo

Người có khó khăn về tài chính

Đối tượng theo quy định của Luật Tư pháp người chưa thành niên

Nạn nhân, người đang trong quá trình xác định là nạn nhân của hành vi mua bán người và người dưới 18 tuổi đi cùng theo quy định của Luật Phòng, chống mua bán người

Cha mẹ đẻ, vợ, chồng, con của liệt sĩ và người có công nuôi dưỡng khi liệt sĩ còn nhỏ

Người nhiễm chất độc da cam

Người cao tuổi

Người khuyết tật

Nạn nhân trong vụ việc bạo lực gia đình

Người nhiễm HIV

Người từ đủ 16 tuổi đến dưới 18 tuổi là người bị tố giác

Người từ đủ 16 tuổi đến dưới 18 tuổi là người bị kiến nghị khởi tố

Người từ đủ 16 tuổi đến dưới 18 tuổi là người bị giữ trong trường hợp khẩn cấp

Người từ đủ 16 tuổi đến dưới 18 tuổi là người bị buộc tội

Người từ đủ 16 tuổi đến dưới 18 tuổi là bị hại

Người từ đủ 16 tuổi đến dưới 18 tuổi là người làm chứng

Người từ đủ 16 tuổi đến dưới 18 tuổi là người chấp hành biện pháp xử lý chuyển hướng

Người từ đủ 16 tuổi đến dưới 18 tuổi là phạm nhân

A

(1)

(2)

(3)

(4)

(5)

(6)

(7)

(8)

(9)

(10)

(11)

(12)

(13)

(14)

(15)

(16)

(17)

(18)

(19)

(20)

(21)

(22)

(23)

(24)

I

Phân theo lĩnh vực TGPL

1

Pháp luật hình sự

1.1

Tư vấn

1.2

Tham gia tố tụng

2

Pháp luật dân sự, hôn nhân gia đình

2.1

Tư vấn

2.2

Tham gia tố tụng

2.3

Đại diện ngoài tố tụng

3

Pháp luật hành chính

3.1

Tư vấn

3.2

Tham gia tố tụng

3.3

Đại diện ngoài tố tụng

4

Các lĩnh vực pháp luật khác

4.1

Tư vấn

4.2

Tham gia tố tụng

4.3

Đại diện ngoài tố tụng

II

Phân theo hình thức TGPL

1

Tư vấn (1.1+2.1+3.1+4.1)

2

Tham gia tố tụng (1.2+2.2+3.2+4.2)

3

Đại diện ngoài tố tụng (2.3+3.3+4.3)

* Ghi chú:

Người lập biểu

(Ký, ghi rõ họ, tên)

Người kiểm tra

(Ký, ghi rõ họ, tên, chức vụ)

…, ngày    tháng    năm

THỦ TRƯỞNG ĐƠN VỊ

(Ký tên, đóng dấu)

 

GIẢI THÍCH BIỂU MẪU SỐ 15a/TP/TGPL

Số lượt người đã được trợ giúp pháp lý

1. Khái niệm, phương pháp tính

* Biểu số 15a/TP/TGPL để thu thập thông tin về số lượt người được trợ giúp pháp lý.

Số lượt người được trợ giúp pháp lý là số lần người được trợ giúp pháp lý được cung cấp dịch vụ pháp lý miễn phí theo quy định của pháp luật trợ giúp pháp lý.

* Giải thích khái niệm: Người được trợ giúp pháp lý là người thuộc một trong các đối tượng sau:

- Người có công với cách mạng;

- Người thuộc hộ nghèo;

- Trẻ em;

- Người dân tộc thiểu số cư trú ở vùng có điều kiện kinh tế - xã hội đặc biệt khó khăn;

- Người bị buộc tội thuộc hộ cận nghèo;

- Nạn nhân, người đang trong quá trình xác định là nạn nhân của hành vi mua bán người và người dưới 18 tuổi đi cùng theo quy định của Luật Phòng, chống mua bán người (sửa đổi) số 53/2024/QH15;

- Người thuộc một trong các trường hợp sau đây có khó khăn về tài chính:

+ Cha đẻ, mẹ đẻ, vợ, chồng, con của liệt sỹ và người có công nuôi dưỡng khi liệt sỹ còn nhỏ;

+ Người nhiễm chất độc da cam;

+ Người cao tuổi;

+ Người khuyết tật;

+ Nạn nhân trong vụ việc bạo lực gia đình;

+ Người nhiễm HIV.

- Đối tượng theo quy định của Luật Tư pháp người chưa thành niên số 59/2024/QH15 bao gồm:

+ Người từ đủ 16 tuổi đến dưới 18 tuổi là người bị tố giác;

+ Người từ đủ 16 tuổi đến dưới 18 tuổi là người bị kiến nghị khởi tố;

+ Người từ đủ 16 tuổi đến dưới 18 tuổi là người bị giữ trong trường hợp khẩn cấp;

+ Người từ đủ 16 tuổi đến dưới 18 tuổi là người bị buộc tội;

+ Người từ đủ 16 tuổi đến dưới 18 tuổi là bị hại;

+ Người từ đủ 16 tuổi đến dưới 18 tuổi là người làm chứng.

+ Người từ đủ 16 tuổi đến dưới 18 tuổi là người chấp hành biện pháp xử lý chuyển hướng;

+ Người từ đủ 16 tuổi đến dưới 18 tuổi là phạm nhân

* Hình thức đại diện ngoài tố tụng tại các tiểu mục 2.3, 3.3, 4.3 phần I cột A và mục 3 phần II cột A: là việc Trợ giúp viên pháp lý, Luật sư thực hiện đại diện ngoài tố tụng cho người được trợ giúp pháp lý theo yêu cầu của người được trợ giúp pháp lý khi họ không thể tự bảo vệ được quyền, lợi ích hợp pháp của mình theo quy định của pháp luật trợ giúp pháp lý.

* Các lĩnh vực pháp luật theo quy định tại các Mục 1, 2, 3, 4 phần I cột A, gồm:

- Pháp luật hình sự bao gồm: pháp luật hình sự, tố tụng hình sự và thi hành án hình sự;

- Pháp luật dân sự, hôn nhân gia đình bao gồm: pháp luật dân sự, tố tụng dân sự, thi hành án dân sự; pháp luật hôn nhân gia đình;

- Pháp luật hành chính bao gồm: pháp luật hành chính, khiếu nại, tố cáo, tố tụng hành chính;

- Các lĩnh vực pháp luật khác bao gồm: các lĩnh vực pháp luật không thuộc ba lĩnh vực pháp luật nêu trên và không thuộc lĩnh vực kinh doanh thương mại như: pháp luật về bảo vệ người tiêu dùng, pháp luật ưu đãi người có công với cách mạng và pháp luật về chính sách ưu đãi xã hội khác, các lĩnh vực pháp luật liên quan đến chương trình mục tiêu quốc gia xóa đói giảm nghèo…

Lưu ý: Để việc thống kê bảo đảm tính chính xác, đối với các lĩnh vực pháp luật cụ thể như: pháp luật đất đai, nhà ở; pháp luật lao động, việc làm; pháp luật về trẻ em…, đề nghị các đơn vị thống kê căn cứ vào yêu cầu của người được trợ giúp pháp lý và bản chất của vụ việc trợ giúp pháp lý để thống kê vào (01) một trong (04) bốn nhóm lĩnh vực pháp luật nêu trên. Ví dụ: vụ việc liên quan đến pháp luật đất đai có thể thuộc 1 trong 3 lĩnh vực pháp luật (hành chính, dân sự, hình sự) tùy vào nội dung và bản chất vụ việc.

* Phương pháp tính

- Thống kê số lượt người đã được trợ giúp pháp lý (tương ứng với số vụ việc trợ giúp pháp lý kết thúc trong kỳ báo cáo).

- Trong một kỳ báo cáo, một người được trợ giúp pháp lý trong 01 vụ việc thì tính là 01 lượt người, trong 02 vụ việc thì được tính là 02 lượt người.

- Trong một kỳ báo cáo, nếu một người được trợ giúp pháp lý 02 lần trở lên trong 01 vụ việc thì chỉ tính là 01 lượt người được trợ giúp pháp lý.

- Nếu một người thuộc nhiều đối tượng trợ giúp pháp lý khác nhau thì chỉ thống kê theo 01 đối tượng mà người được trợ giúp pháp lý có đầy đủ giấy tờ chứng minh và cung cấp đầu tiên để lưu trong hồ sơ.

2. Cách ghi biểu

- Cột 1: Ghi tổng số lượt người đã được trợ giúp pháp lý trong kỳ báo cáo (Cột 1 Biểu số 15a/TP/TGPL = Cột 4 Biểu số 15b/TP/TGPL).

- Tổng số lượt người chia theo cột dọc và hàng ngang phải luôn luôn bằng nhau.

Dòng I cột 1= Dòng I cột (2+3)= Dòng I cột (4+5+6+7+8+9+10+11+12+13+14+15+16+17+18+19+20+21+22+23)

 = mục (1+2+3+4) phần I cột 1 = mục (1+2+3) phần II cột 1

Mục 1 phần I (Pháp luật hình sự) = tiểu mục (1.1 + 1.2) phần I (theo cột tương ứng)

Mục 2 phần I (Pháp luật dân sự, hôn nhân gia đình) = tiểu mục (2.1 + 2.2 + 2.3) phần I (theo cột tương ứng)

Mục 3 phần I (Pháp luật hành chính) = tiểu mục (3.1 + 3.2 + 3.3) phần I (theo cột tương ứng)

Mục 4 phần I (Các lĩnh vực pháp luật khác) = tiểu mục (4.1 + 4.2 + 4.3) phần I (theo cột tương ứng)

3. Nguồn số liệu

- Từ cơ sở dữ liệu về hệ thống quản lý tổ chức và hoạt động TGPL.

 - Từ báo cáo, sổ theo dõi chuyên môn:

+ Đối với đơn vị báo cáo là Trung tâm trợ giúp pháp lý nhà nước tỉnh/thành phố thì nguồn số liệu được lấy từ sổ theo dõi, thụ lý vụ việc trợ giúp pháp lý của Chi nhánh và Trung tâm trợ giúp pháp lý nhà nước trực thuộc Sở Tư pháp tỉnh/thành phố trực thuộc Trung ương;

+ Đối với đơn vị báo cáo là Tổ chức tham gia trợ giúp pháp lý thì nguồn số liệu được lấy từ sổ theo dõi, thụ lý vụ việc trợ giúp pháp lý của các Tổ chức ký hợp đồng thực hiện trợ giúp pháp lý và tổ chức đăng ký tham gia trợ giúp pháp lý;

+ Đối với đơn vị báo cáo là Sở Tư pháp thì nguồn số liệu được tổng hợp từ báo cáo của Trung tâm trợ giúp pháp lý nhà nước trực thuộc và tổ chức tham gia trợ giúp pháp lý. 

Đang theo dõi
Tải biểu mẫu

Biểu số:15b/TP/TGPL
Ban hành theo Thông tư số 17/2025/TT-BTP
Ngày nhận báo cáo (BC):
Sở Tư pháp nhận:

BC sơ bộ 06 tháng: Ngày 10 tháng 6 năm báo cáo
BC sơ bộ năm: Ngày 10 tháng 11 năm báo cáo
BC tròn năm: Ngày 10 tháng 01 năm sau
Bộ Tư pháp (Cục Kế hoạch - Tài chính) nhận:
BC sơ bộ 06 tháng: Ngày 20 tháng 6 năm báo cáo
BC sơ bộ năm: Ngày 20 tháng 11 năm báo cáo
BC tròn năm: Ngày 20 tháng 01 năm sau

SỐ VỤ VIỆC TRỢ GIÚP PHÁP LÝ (TGPL)
(Sơ bộ 6 tháng/sơ bộ năm/tròn năm)

Kỳ báo cáo:…………….
(Từ ngày… tháng… năm…
đến ngày… tháng… năm…)

Đơn vị báo cáo:
-  Trung tâm TGPL nhà nước tỉnh/thành phố/Tổ chức ký hợp đồng thực hiện TGPL/Tổ chức đăng ký tham gia TGPL;
- Sở Tư pháp ….
Đơn vị nhận báo cáo:
- Sở Tư pháp nhận báo cáo của Trung tâm TGPL nhà nước tỉnh/thành phố, Tổ chức ký hợp đồng thực hiện TGPL, Tổ chức đăng ký tham gia TGPL;
- Bộ Tư pháp (Cục Kế hoạch - Tài chính) nhận báo cáo của Sở Tư pháp.

Đơn vị tính: Vụ việc

Phân theo lĩnh vực trợ giúp pháp lý và hình thức trợ giúp pháp lý

Tổng số vụ việc thực hiện trong kỳ báo cáo

Số vụ việc kết thúc trong kỳ báo cáo

Ghi chú

Tổng số

Phân theo người thực hiện TGPL

Trợ giúp viên pháp lý

Luật sư

Tư vấn viên PL

Cộng tác viên TGPL

Tổng số

Chia ra

Tổng số

Chia ra

Tổng số

Chia ra

Kỳ trước chuyển qua

Thụ lý trong kỳ

Theo Hợp đồng của Trung tâm

Theo phân công của Tổ chức ký HĐ thực hiện TGPL

Theo phân công của Tổ chức đăng ký tham gia TGPL

Theo phân công của Tổ chức ký HĐ thực hiện TGPL

Theo phân công của Tổ chức đăng ký tham gia TGPL

A

(1)

(2)

(3)

(4)

(5)

(6)

(7)

(8)

(9)

(10)

(11)

(12)

(13)

(14)

I

Phân theo lĩnh vực TGPL

                           

1

Pháp luật hình sự

                           

1.1

Tư vấn

                           

1.2

Tham gia tố tụng

                           

-

Trong đó bào chữa

                           

2

Pháp luật dân sự, hôn nhân gia đình

                           

2.1

Tư vấn

                           

2.2

Tham gia tố tụng

                           

2.3

Đại diện ngoài tố tụng

                           

3

Pháp luật hành chính

                           

3.1

Tư vấn

                           

3.2

Tham gia tố tụng

                           

3.3

Đại diện ngoài tố tụng

                           

4

Các lĩnh vực pháp luật khác

                           

4.1

Tư vấn

                           

4.2

Tham gia tố tụng

                           

4.3

Đại diện ngoài tố tụng

                           

II

Phân theo hình thức TGPL

                           

1

Tư vấn (1.1+2.1+3.1+4.1)

                           

2

Tham gia tố tụng (1.2+2.2+3.2+4.2)

                           

3

Đại diện ngoài tố tụng (2.3+3.3+4.3)

                           

* Ghi chú:

Người lập biểu

(Ký, ghi rõ họ, tên)

Người kiểm tra

(Ký, ghi rõ họ, tên, chức vụ)

…, ngày …. tháng … năm ….

THỦ TRƯỞNG ĐƠN VỊ

(Ký tên, đóng dấu)

 

GIẢI THÍCH BIỂU MẪU SỐ 15b/TP/TGPL

Số vụ việc trợ giúp pháp lý

1. Khái niệm, phương pháp tính

- Số vụ việc trợ giúp pháp lý là số vụ việc cụ thể liên quan trực tiếp đến quyền và lợi ích hợp pháp của người được trợ giúp pháp lý, do người thực hiện trợ giúp pháp lý thực hiện cho người được trợ giúp pháp lý theo quy định của pháp luật trợ giúp pháp lý.

- Người thực hiện trợ giúp pháp lý bao gồm:

+ Trợ giúp viên pháp lý;

+ Luật sư thực hiện trợ giúp pháp lý theo hợp đồng với Trung tâm trợ giúp pháp lý nhà nước; luật sư thực hiện trợ giúp pháp lý theo phân công của tổ chức tham gia trợ giúp pháp lý;

+ Tư vấn viên pháp luật có 02 năm kinh nghiệm tư vấn pháp luật trở lên làm việc tại tổ chức tham gia trợ giúp pháp lý;

+ Cộng tác viên trợ giúp pháp lý.

* Phương pháp tính:

Khi tính số lượng vụ việc trợ giúp pháp lý, cần chú ý :

- Trong một vụ việc nếu có bao nhiêu người được trợ giúp pháp lý có đơn yêu cầu trợ giúp pháp lý thì sẽ tính là bấy nhiêu vụ việc trợ giúp pháp lý. Ví dụ: Trong vụ án cố ý gây thương tích có 4 bị cáo, trong đó có 3 bị cáo là người được trợ giúp pháp lý và họ đều có đơn yêu cầu trợ giúp pháp lý thì sẽ tính là 3 vụ việc trợ giúp pháp lý trong lĩnh vực hình sự.

- Vụ việc trợ giúp pháp lý được coi là kết thúc khi thuộc một trong các trường hợp sau đây :

+ Thực hiện xong yêu cầu hợp pháp của người được trợ giúp pháp lý theo hình thức trợ giúp pháp lý thể hiện trong đơn yêu cầu trợ giúp pháp lý;

+ Thuộc một trong các trường hợp không tiếp tục thực hiện vụ việc trợ giúp pháp lý quy định tại khoản 1 Điều 37 của Luật Trợ giúp pháp lý;

+ Bị đình chỉ theo quy định của pháp luật.

 - Trường hợp một vụ việc có nhiều người thực hiện trợ giúp pháp lý hoặc vụ việc phải thay đổi người thực hiện trợ giúp pháp lý theo quy định của pháp luật trợ giúp pháp lý thì vẫn thống kê là 01 vụ việc trợ giúp pháp lý và 01 người thực hiện trợ giúp pháp lý.

2. Cách ghi biểu         

- Cột 2 (Kỳ trước chuyển qua): Ghi số vụ việc trợ giúp pháp lý thụ lý trong kỳ trước nhưng chưa kết thúc và chuyển sang kỳ này thực hiện tiếp.

- Cột 3 (Thụ lý trong kỳ): Ghi số vụ việc được thụ lý trong kỳ báo cáo.

- Cột 4: Ghi tổng số vụ việc trợ giúp pháp lý kết thúc trong kỳ báo cáo (bao gồm cả số vụ việc thụ lý từ kỳ trước chuyển qua và số vụ việc được thụ lý trong kỳ này với điều kiện các vụ việc đều kết thúc trong kỳ báo cáo này).

- Tổng số vụ việc chia theo hàng ngang và cột dọc phải luôn bằng nhau.

Cột 1 = Cột (2+3)

Dòng 1 cột 4 = Dòng 1 cột (5+6+10+13) = Mục (1+2+3+4) phần I cột 4 = Mục (1+2+3) phần II cột 4

Cột 6 = Cột (7+8+9)

Cột 10 = Cột (11+12)

Mục 1 phần I (Pháp luật hình sự) = tiểu mục (1.1 + 1.2) phần I (theo cột tương ứng)

Mục 2 phần I (Pháp luật dân sự, hôn nhân gia đình) = tiểu mục (2.1 + 2.2 + 2.3) phần I (theo cột tương ứng)

Mục 3 phần I (Pháp luật hành chính) = tiểu mục (3.1 + 3.2 + 3.3) phần I (theo cột tương ứng)

Mục 4 Phần I (Các lĩnh vực pháp luật khác) = tiểu mục (4.1 + 4.2 + 4.3) phần I (theo cột tương ứng)

* Các lĩnh vực pháp luật theo quy định tại các Mục 1, 2, 3, 4 phần I cột A, gồm:

- Pháp luật hình sự bao gồm: pháp luật hình sự, tố tụng hình sự và thi hành án hình sự;

- Pháp luật dân sự, hôn nhân gia đình bao gồm: pháp luật dân sự, tố tụng dân sự, thi hành án dân sự; pháp luật hôn nhân gia đình;

- Pháp luật hành chính bao gồm: pháp luật hành chính, khiếu nại, tố cáo, tố tụng hành chính;

- Các lĩnh vực pháp luật khác bao gồm: các lĩnh vực pháp luật không thuộc ba lĩnh vực pháp luật nêu trên và không thuộc lĩnh vực kinh doanh thương mại như: pháp luật về bảo vệ người tiêu dùng, pháp luật ưu đãi người có công với cách mạng và pháp luật về chính sách ưu đãi xã hội khác, các lĩnh vực pháp luật liên quan đến chương trình mục tiêu quốc gia xóa đói giảm nghèo…

 Lưu ý: Để việc thống kê bảo đảm tính chính xác, đối với các lĩnh vực pháp luật cụ thể như: pháp luật đất đai, nhà ở; pháp luật lao động, việc làm; pháp luật về trẻ em…, đề nghị các đơn vị thống kê căn cứ vào yêu cầu của người được trợ giúp pháp lý và bản chất của vụ việc trợ giúp pháp lý để thống kê vào (01) một trong (04) bốn nhóm lĩnh vực pháp luật nêu trên. Ví dụ: vụ việc liên quan đến pháp luật đất đai có thể thuộc 1 trong 3 lĩnh vực pháp luật (hành chính, dân sự, hình sự) tùy vào nội dung và bản chất vụ việc.

3. Nguồn số liệu

 - Từ cơ sở dữ liệu về hệ thống quản lý tổ chức và hoạt động TGPL.

 - Từ báo cáo, sổ theo dõi chuyên môn:

+ Đối với đơn vị báo cáo là Trung tâm trợ giúp pháp lý nhà nước tỉnh/thành phố thì nguồn số liệu được lấy từ sổ theo dõi, thụ lý vụ việc trợ giúp pháp lý của Chi nhánh và Trung tâm trợ giúp pháp lý nhà nước trực thuộc Sở Tư pháp tỉnh/thành phố trực thuộc Trung ương;

+ Đối với đơn vị báo cáo là Tổ chức tham gia trợ giúp pháp lý thì nguồn số liệu được lấy từ sổ theo dõi, thụ lý vụ việc trợ giúp pháp lý của các Tổ chức ký hợp đồng thực hiện trợ giúp pháp lý và tổ chức đăng ký tham gia trợ giúp pháp lý;

+ Đối với đơn vị báo cáo là Sở Tư pháp thì nguồn số liệu được tổng hợp từ báo cáo của Trung tâm trợ giúp pháp lý nhà nước trực thuộc và tổ chức tham gia trợ giúp pháp lý.

Đang theo dõi
Tải biểu mẫu
Biểu số: 15c/TP/TGPL
Ban hành theo Thông tư số 17/2025/TT-BTP
Ngày nhận báo cáo (BC):
Sở Tư pháp nhận:
BC sơ bộ năm: Ngày 10 tháng 11 năm báo cáo
BC tròn năm: Ngày 10 tháng 01 năm sau
Bộ Tư pháp (Cục Kế hoạch - Tài chính) nhận:
BC sơ bộ năm: Ngày 20 tháng 11 năm báo cáo
BC tròn năm: Ngày 20 tháng 01 năm sau
S TỔ CHỨC VÀ S NGƯỜI THỰC HIỆN TRỢ GIÚP PHÁP LÝ (TGPL)
(Sơ bộ năm, tròn năm)
Kỳ báo cáo: ……..
(Từ ngày... tháng... năm...
đến ngày... tháng... năm...)
Đơn vị báo cáo:
- Trung tâm TGPL nhà nước tỉnh, thành phố /Tổ chức ký hợp đồng thực hiện TGPL/T chức đăng ký tham gia TGPL;
- Sở Tư pháp...
Đơn vị nhận báo cáo:
- Sở Tư pháp nhận báo cáo của Trung tâm TGPL nhà nước tỉnh/thành phố, Tổ chức ký hợp đồng thực hiện TGPL, Tổ chức đăng ký tham gia TGPL;
- Bộ Tư pháp (Cục Kế hoạch - Tài chính) nhận báo cáo của Sở Tư pháp.

I. S LƯỢNG NGƯỜI LÀM VIỆC CỦA TRUNG TÂM TRỢ GIÚP PHÁP LÝ NHÀ NƯỚC

 

Đơn vị tính: Người

Tổng số biên chế và người lao động được giao

Tổng số biên chế và người lao động hiện có

Biên chế và người lao động hiện có tại Trung tâm

Sổ người lãnh đạo

Ghi chú

Trợ giúp viên pháp lý

Chuyên viên pháp lý

Kế toán

Khác

Giám đốc Trung tâm

Trưởng Chi nhánh

Tổng số

Hạng I

Hạng II

Hạng III

Tổng số

Đã qua đào tạo luật sư

Chưa qua đào tạo luật sư

Chuyên trách

Kiêm nhiệm

A

(1)

(2)

(3)

(4)

(5)

(6)

(7)

(8)

(9)

(10)

(11)

(12)

(13)

(14)

(15)

Tổng số

Nam

Nữ

II. SỐ TỔ CHỨC, CÁ NHÂN THAM GIA THỰC HIỆN TRỢ GIÚP PHÁP LÝ

 

Đơn vị tính: Người

Tổ chức ký hợp đồng thực hiện TGPL

Tổ chức đăng ký tham gia TGPL

Cá nhân ký Hợp đồng thực hiện TGPL với Trung tâm

Ghi chú

Tổ chức

Cá nhân làm việc tại tổ chức

Tổ chức

Cá nhân làm việc tại t chức

Tổng số

Luật sư ký Hợp đồng

Cộng tác viên ký Hợp đồng

Tổng số

Hành nghề luật sư

Tư vấn pháp luật

Tổng số

Luật sư

Tư vấn viên pháp luật

Tổng số

Hành nghề luật sư

Tư vấn pháp luật

Tổng số

Luật sư

Tư vấn viên pháp luật

(1)

(2)

(3)

(4)

(5)

(6)

(7)

(8)

(9)

(10)

(11)

(12)

(13)

(14)

(15)

(16)

 

* Ghi chú:

Người lập biểu

(Ký, ghi rõ họ, tên)

Người kiểm tra

(Ký, ghi rõ họ, tên, chức vụ)

…, ngày     tháng     năm

THỦ TRƯỞNG ĐƠN VỊ

(Ký tên, đóng dấu)

 

GIẢI THÍCH BIỂU MẪU SỐ 15c/TP/TGPL

Số tổ chức và số người thực hiện trợ giúp pháp lý

1. Khái niệm, phương pháp tính

* Giải thích khái niệm:

- Số lượng người làm việc của Trung tâm trợ giúp pháp lý nhà nước gồm có Giám đốc, Phó Giám đốc, Trợ giúp viên pháp lý, viên chức và người lao động khác.

- Trợ giúp viên pháp lý hạng I, hạng II và hạng III: là người thực hiện trợ giúp pháp lý được phân hạng theo quy định tại Thông tư số 05/2022/TT-BTP ngày 05/9/2022 của Bộ trưởng Bộ Tư pháp quy định mã số, tiêu chuẩn và xếp lương đối với chức danh nghề nghiệp viên chức trợ giúp viên pháp lý.

- Tổ chức ký hợp đồng thực hiện trợ giúp pháp lý bao gồm tổ chức hành nghề luật sư, tổ chức tư vấn pháp luật ký kết hợp đồng thực hiện trợ giúp pháp lý với Sở Tư pháp theo quy định của Luật Trợ giúp pháp lý số 11/2017/QH14.

- Tổ chức đăng ký tham gia trợ giúp pháp lý bao gồm tổ chức hành nghề luật sư, tổ chức tư vấn pháp luật đăng ký tham gia trợ giúp pháp lý theo quy định của Luật số 11/2017/QH14.

- Cá nhân ký hợp đồng thực hiện trợ giúp pháp lý với Trung tâm trợ giúp pháp lý nhà nước bao gồm: luật sư và cộng tác viên ký hợp đồng thực hiện trợ giúp pháp lý với Trung tâm trợ giúp pháp lý nhà nước.

* Tại cột 10 phần I “Khác” bao gồm các biên chế khác như: cán bộ hợp đồng theo Nghị định số 111/2022/NĐ-CP ngày 30/02/2022 của Chính phủ về hợp đồng đối với một số loại công việc trong cơ quan hành chính và đơn vị sự nghiệp công lập, văn thư…

2. Cách ghi biểu

* Đối với mục I - Số lượng người làm việc của Trung tâm trợ giúp pháp lý nhà nước

- Dòng (Tổng số) = Dòng 1 (Nam) + Dòng 2 (Nữ) (theo cột tương ứng)

- Cột 1: ghi tổng số biên chế và người lao động được giao

- Cột 2: ghi tổng số biên chế và người lao động hiện có tại Trung tâm trợ giúp pháp lý nhà nước (bao gồm cả biên chế và người lao động tại Trung tâm và Chi nhánh của Trung tâm).

- Cột 2 = cột (3+7+10+11)

- Cột 3 = cột (4+5 +6)

- Cột 7 = cột (8+9)

- Lưu ý cách ghi cột 12:  đối với trường hợp Quyền Giám đốc Trung tâm vẫn thống kê vào cột này,

* Đối với mục II - Số tổ chức, cá nhân tham gia thực hiện trợ giúp pháp lý

- Cột 1: ghi tổng số tổ chức ký hợp đồng thực hiện trợ giúp pháp lý

Cột 1 = Cột (2+3)

- Cột 4: ghi tổng số cá nhân làm việc tại tổ chức

Cột 4 = Cột (5+6)

- Cột 7: ghi tổng số tổ chức đăng ký tham gia trợ giúp pháp lý

Cột 7 = Cột (8+9)

- Cột 10: ghi tổng số cá nhân làm việc tại tổ chức

Cột 10 = Cột (11+12)

- Cột 13: ghi tổng số cá nhân ký hợp đồng thực hiện trợ giúp pháp lý với Trung tâm

Cột 13 = Cột (14+15)

3. Nguồn số liệu

- Từ cơ sở dữ liệu về hệ thống quản lý tổ chức và hoạt động TGPL.

 - Từ báo cáo, sổ theo dõi chuyên môn:

 + Đối với đơn vị báo cáo là Trung tâm trợ giúp pháp lý nhà nước tỉnh/thành phố thì nguồn số liệu được lấy từ sổ theo dõi, thụ lý vụ việc trợ giúp pháp lý của Chi nhánh và Trung tâm trợ giúp pháp lý nhà nước trực thuộc Sở Tư pháp tỉnh/thành phố trực thuộc Trung ương;

+ Đối với đơn vị báo cáo là Tổ chức tham gia trợ giúp pháp lý thì nguồn số liệu được lấy từ sổ theo dõi, thụ lý vụ việc trợ giúp pháp lý của các Tổ chức ký hợp đồng thực hiện trợ giúp pháp lý và tổ chức đăng ký tham gia trợ giúp pháp lý;

+ Đối với đơn vị báo cáo là Sở Tư pháp thì nguồn số liệu được tổng hợp từ báo cáo của Trung tâm trợ giúp pháp lý nhà nước trực thuộc và tổ chức tham gia trợ giúp pháp lý.

Đang theo dõi
Tải biểu mẫu
Biểu số: 16a/TP/ĐKBPBĐ
Ban hành theo Thông tư số 17/2025/TT-BTP
Ngày nhận báo cáo (BC):
*Cục Đăng ký giao dịch bảo đảm và Bồi thường nhà nước nhận:
BC sơ bộ năm: Ngày 10 tháng 11 năm báo cáo
BC tròn năm: Ngày 10 tháng 01 năm sau
*Bộ Tư pháp nhận:
BC sơ bộ năm: Ngày 20 tháng 11 năm báo cáo
BC tròn năm: Ngày 20 tháng 01 năm sau
KẾT QUẢ ĐĂNG KÝ, CUNG CẤP THÔNG TIN VỀ BIỆN PHÁP BẢO ĐẢM, HỢP ĐNG BẰNG ĐỘNG SẢN (KHÔNG PHẢI LÀ TÀU BAY, TÀU BIỂN, CHỨNG KHOÁN ĐÃ ĐĂNG KÝ TẬP TRUNG), BẰNG CÂY HÀNG NĂM, CÔNG TRÌNH TẠM
(Sơ bộ năm, tròn năm)
Kỳ báo cáo: ……..
(Từ ngày... tháng... năm...
đến ngày... tháng... năm...)
Đơn vị báo cáo:
- Trung tâm Đăng ký giao dịch, tài sản của Cục Đăng ký giao dịch bảo đảm và Bồi thường nhà nước thuộc Bộ Tư pháp;
- Cục Đăng ký giao dịch bảo đảm và Bồi thường nhà nước.
Đơn vị nhận báo cáo:
- Cục Đăng ký giao dịch bảo đảm và Bồi thường nhà nước: nhận báo cáo của Trung tâm Đăng ký giao dịch, tài sản;
- Bộ Tư pháp (Cục Kế hoạch - Tài chính): nhận báo cáo của Cục Đăng ký giao dịch bảo đảm và Bồi thường nhà nước.

Đơn vị tính: Phiếu

Số phiếu yêu cầu đăng ký biện pháp bảo đảm, hợp đồng

Số phiếu yêu cầu đăng ký thông báo xử lý tài sản bảo đảm

Số phiếu yêu cầu cấp bản sao văn bản chứng nhận đăng ký biện pháp bảo đảm

Số phiếu yêu cầu cung cấp thông tin về biện pháp bảo đảm

Tổng số

Chia ra

Tổng số

Chia ra

Số phiếu yêu cầu đăng ký biện pháp bảo đảm, hợp đồng

Số phiếu yêu cầu đăng ký thay đổi

Số phiếu yêu cầu xóa đăng ký

Số phiếu yêu cầu đăng ký thông báo

Số phiếu yêu cầu đăng ký thay đi

Số phiếu yêu cầu xóa đăng ký thông báo

A

(1)

(2)

(3)

(4)

(5)

(6)

(7)

(8)

(9)

(10)

S tiếp nhận

Số đưc giải quyết

 

* Ghi chú:

Người lập biểu

(Ký, ghi rõ họ, tên)

Người kiểm tra

(Ký, ghi rõ họ, tên, chức vụ)

…, ngày     tháng     năm

THỦ TRƯỞNG ĐƠN VỊ

(Ký, đóng dấu, ghi rõ họ, tên)

 

GIẢI THÍCH BIỂU MẪU 16a/TP/ĐKBPBĐ

Đăng ký, cung cấp thông tin về biện pháp bảo đảm, hợp đồng bằng động sản (không phải là tàu bay, tàu biển,
chứng khoán đã đăng ký tập trung), bằng cây hằng năm, công trình tạm

1. Khái niệm, phương pháp tính

Phản ánh kết quả đăng ký, cung cấp thông tin về biện pháp bảo đảm, hợp đồng bằng động sản (không phải là tàu bay, tàu biển, chứng khoán đã đăng ký tập trung), bằng cây hằng năm, công trình tạm tại các Trung tâm Đăng ký giao dịch, tài sản thuộc Cục Đăng ký giao dịch bảo đảm và Bồi thường nhà nước, Bộ Tư pháp.

2. Cách ghi biểu

- Cột 1 = Cột (2+3+4).

- Cột 5 = Cột (6+7+8).

3. Nguồn số liệu

Từ cơ sở dữ liệu về biện pháp bảo đảm bằng động sản (không phải là tàu bay, tàu biển, chứng khoán đã đăng ký tập trung), bằng cây hằng năm, công trình tạm được đăng ký tại các Trung tâm Đăng ký giao dịch, tài sản của Cục Đăng ký giao dịch bảo đảm và Bồi thường nhà nước thuộc Bộ Tư pháp.Đang theo dõi
Tải biểu mẫu
Biểu số: 16b/TP/ĐKBPBĐ
Ban hành theo Thông tư số 17/2025/TT-BTP
Ngày nhận báo cáo (BC):
*Sở Tư pháp nhận:
BC sơ bộ năm: Ngày 10 tháng 11 năm báo cáo
BC tròn năm: Ngày 10 tháng 01 năm sau
*Bộ Tư pháp nhận:
BC sơ bộ năm: Ngày 20 tháng 11 năm báo cáo
BC tròn năm: Ngày 20 tháng 01 năm sau
KẾT QUẢ ĐĂNG KÝ, CUNG CP THÔNG TIN V BIỆN PHÁP BẢO ĐẢM BẰNG QUYỀN SỬ DỤNG ĐẤT, TÀI SẢN GN LIN VỚI ĐẤT
(Sơ bộ năm, tròn năm)
Kỳ báo cáo: ……..
(Từ ngày... tháng... năm...
đến ngày... tháng... năm...)
Đơn vị báo cáo:
- Văn phòng đăng ký đất đai;
- Sở Tư pháp...
Đơn vị nhận báo cáo:
- Sở Tư pháp: nhận báo cáo của Văn phòng đăng ký đất đai;
- Bộ Tư pháp (Cục Kế hoạch - Tài chính): nhận báo cáo của Sở Tư pháp.

Đơn vị tính: Phiếu

Số phiếu yêu cầu đăng ký biện pháp bảo đảm

Số phiếu yêu cầu đăng ký thông báo xử lý tài sản bảo đảm

Số phiếu yêu cầu chuyển tiếp đăng ký thế chấp quyn tài sản phát sinh t hợp đồng mua bán nhà ở hoặc từ hợp đồng mua bán tài sản khác gắn liền với đất

Số phiếu yêu cầu cung cấp thông tin về biện pháp bảo đảm

Tổng số

Chia ra

Tổng số

Chia ra

Số phiếu yêu cầu đăng ký biện pháp bảo đảm

Số phiếu yêu cầu đăng ký thay đổi

Số phiếu yêu cầu xóa đăng ký

Số phiếu yêu cầu đăng ký thông báo

Số phiếu yêu cầu đăng ký thay đổi

Số phiếu yêu cầu xóa đăng ký thông báo

A

(1)

(2)

(3)

(4)

(5)

(6)

(7)

(8)

(9)

(10)

Số tiếp nhận

Số được giải quyết

 

* Ghi chú:

Người lập biểu

(Ký, ghi rõ họ, tên)

Người kiểm tra

(Ký, ghi rõ họ, tên, chức vụ)

…, ngày     tháng     năm

THỦ TRƯỞNG ĐƠN VỊ

(Ký, đóng dấu, ghi rõ họ, tên)

 

GIẢI THÍCH BIỂU MẪU 16b/TP/ĐKBPBĐ

Kết quả đăng ký, cung cấp thông tin về biện pháp bảo đảm bằng quyền sử dụng đất, tài sản gắn liền với đất

1. Khái niệm, phương pháp tính

Phản ánh kết quả đăng ký, cung cấp thông tin về biện pháp bảo đảm bằng quyền sử dụng đất, tài sản gắn liền với đất thuộc thẩm quyền đăng ký của Văn phòng đăng ký đất đai.

2. Cách ghi biểu

- Cột 1 = Cột (2+3+4).

- Cột 5 = Cột (6+7+8).

3. Nguồn số liệu

Từ Sổ đăng ký, cơ sở dữ liệu về biện pháp bảo đảm bằng quyền sử dụng đất, tài sản gắn liền với đất của Văn phòng đăng ký đất đai.Đang theo dõi
Tải biểu mẫu
Biểu số: 16c/TP/ĐKBPBĐ
Ban hành theo Thông tư số 17/2025/TT-BTP
Ngày nhận báo cáo (BC):
BC sơ bộ năm: Ngày 20 tháng 11 năm báo cáo
BC tròn năm: Ngày 20 tháng 01 năm sau
KẾT QUẢ ĐĂNG KÝ, CUNG CẤP THÔNG TIN
V
BIỆN PHÁP BẢO ĐẢM BẰNG TÀU BAY
(Sơ bộ năm, tròn năm)
Kỳ báo cáo: ……..
(Từ ngày... tháng... năm...
đến ngày... tháng... năm...)
Đơn vị báo cáo:
Bộ Xây dựng
Đơn vị nhận báo cáo:
Bộ Tư pháp (Cục Kế hoạch - Tài chính)

Đơn vị tính: Phiếu

Số phiếu yêu cầu đăng ký biện pháp bảo đảm

Số phiếu yêu cầu đăng ký thông báo xử lý tài sản bảo đảm

Số phiếu yêu cầu cung cấp thông tin về biện pháp bảo đảm

Tổng số

Chia ra

Tổng số

Chia ra

Số phiếu yêu cầu đăng ký biện pháp bảo đảm

Số phiếu yêu cầu đăng ký thay đổi

Số phiếu yêu cầu xóa đăng ký

Số phiếu yêu cầu đăng ký thông báo

Số phiếu yêu cầu đăng ký thay đổi

Số phiếu yêu cầu xóa đăng ký thông báo

A

(1)

(2)

(3)

(4)

(5)

(6)

(7)

(8)

(9)

Số tiếp nhận

Số được giải quyết

 

* Ghi chú:

Người lập biểu

(Ký, ghi rõ họ, tên)

Người kiểm tra

(Ký, ghi rõ họ, tên, chức vụ)

…, ngày     tháng     năm

THỦ TRƯỞNG ĐƠN VỊ

(Ký, đóng dấu, ghi rõ họ, tên)

 

GIẢI THÍCH BIỂU MẪU 16c/TP/ĐKBPBĐ

Kết quả đăng ký, cung cấp thông tin về biện pháp bảo đảm bằng tàu bay

1. Khái niệm, phương pháp tính

Phản ánh kết quả đăng ký, cung cấp thông tin về biện pháp bảo đảm bằng tàu bay thuộc thẩm quyền của Bộ Xây dựng.

2. Cách ghi biểu

- Cột 1 = Cột (2+3+4).

- Cột 5 = Cột (6+7+8).

3. Nguồn s liệu

Từ Sổ đăng ký, cơ sở dữ liệu về biện pháp bảo đảm bằng tàu bay tại cơ quan có thẩm quyền thuộc Bộ Xây dựng.Đang theo dõi
Tải biểu mẫu
Biểu số: 16d/TP/ĐKBPBĐ
Ban hành theo Thông tư số 17/2025/TT-BTP
Ngày nhận báo cáo (BC):
BC sơ bộ năm: Ngày 20 tháng 11 năm báo cáo
BC tròn năm: Ngày 20 tháng 01 năm sau
KẾT QUẢ ĐĂNG KÝ, CUNG CẤP THÔNG TIN
V
BIỆN PHÁP BẢO ĐẢM BẰNG TÀU BIỂN
(Sơ bộ năm, tròn năm)
Kỳ báo cáo: ……..
(Từ ngày... tháng... năm...
đến ngày... tháng... năm...)
Đơn vị báo cáo:
Bộ Xây dựng
Đơn vị nhận báo cáo:
Bộ Tư pháp (Cục Kế hoạch - Tài chính)

Đơn vị tính: Phiếu

Số phiếu yêu cầu đăng ký biện pháp bảo đảm

Số phiếu yêu cầu đăng ký thông báo xử lý tài sản bảo đảm

Số phiếu yêu cầu cấp bản sao văn bản chứng nhận đăng ký biện pháp bảo đảm

Số phiếu yêu cầu cung cấp thông tin về biện pháp bảo đảm

Tổng số

Chia ra

Tổng số

Chia ra

Số phiếu yêu cầu đăng ký biện pháp bảo đảm

Số phiếu yêu cầu đăng ký thay đổi

Số phiếu yêu cầu xóa đăng ký

Số phiếu yêu cầu đăng ký thông báo

Số phiếu yêu cầu đăng ký thay đổi

Số phiếu yêu cầu xóa đăng ký thông báo

A

(1)

(2)

(3)

(4)

(5)

(6)

(7)

(8)

(9)

(10)

Số tiếp nhận

Số được giải quyết

 

* Ghi chú:

Người lập biểu

(Ký, ghi rõ họ, tên)

Người kiểm tra

(Ký, ghi rõ họ, tên, chức vụ)

…, ngày     tháng     năm

THỦ TRƯỞNG ĐƠN VỊ

(Ký, đóng dấu, ghi rõ họ, tên)

 

GIẢI THÍCH BIỂU MẪU 16d/TP/ĐKBPBĐ

Kết quả đăng ký, cung cấp thông tin về biện pháp bảo đảm bằng tàu biển

1. Khái niệm, phương pháp tính

Phản ánh kết quả đăng ký và cung cấp thông tin về biện pháp bảo đảm bằng tàu biển thuộc thẩm quyền của Bộ Xây dựng.

2. Cách ghi biểu

- Cột 1 = Cột (2+3+4).

- Cột 5 = Cột (6+7+8).

3. Nguồn số liệu

Từ Sổ đăng ký, cơ sở dữ liệu về biện pháp bảo đảm bằng tàu biển tại cơ quan có thẩm quyền thuộc Bộ Xây dựng.Đang theo dõi
Tải biểu mẫu
Biểu số: 16e/TP/ĐKBPBĐ
Ban hành theo Thông tư số 17/2025/TT-BTP
Ngày nhận báo cáo (BC):
BC sơ bộ năm: Ngày 20 tháng 11 năm báo cáo
BC tròn năm: Ngày 20 tháng 01 năm sau
KẾT QUẢ ĐĂNG KÝ, CUNG CẤP THÔNG TIN V BIỆN PHÁP BẢO ĐẢM BẰNG CHNG KHOÁN ĐÃ ĐĂNG KÝ TẬP TRUNG
(Sơ bộ năm, tròn năm)
Kỳ báo cáo: ……..
(Từ ngày... tháng... năm...
đến ngày... tháng... năm...)
Đơn vị báo cáo:
Tổng công ty lưu ký và bù trừ chứng khoán Việt Nam thuộc Bộ Tài chính
Đơn vị nhận báo cáo:
Bộ Tư pháp (Cục Kế hoạch - Tài chính)

 

 

Đơn vị tính: Phiếu

 

Số phiếu yêu cầu đăng ký biện pháp bảo đảm

Số phiếu yêu cầu cấp bản sao văn bản chứng nhận đăng ký biện pháp bảo đảm

Số phiếu yêu cầu cung cấp thông tin đăng ký biện pháp bảo đảm

Tổng số

Chia ra

Số phiếu yêu cu đăng ký biện pháp bảo đảm

Số phiếu yêu cầu thay đổi

Số phiếu yêu cầu xóa đăng ký

A

(1)

(2)

(3)

(4)

(5)

(6)

Số tiếp nhận

 

 

 

 

 

 

Số được giải quyết

 

 

 

 

 

 

 

* Ghi chú:

 

 

Người lập biểu

(Ký, ghi rõ họ, tên)

 

Người kiểm tra

(Ký, ghi rõ họ, tên, chức vụ)

…, ngày     tháng     năm

THỦ TRƯỞNG ĐƠN VỊ

(Ký, đóng dấu, ghi rõ họ, tên)

 

 

GIẢI THÍCH BIỂU MẪU 16e/TP/ĐKBPBĐ

Kết quả đăng ký, cung cấp thông tin về biện pháp bảo đảm bằng chng khoán đã đăng ký tập trung

 

1. Khái niệm, phương pháp tính

Phản ánh kết quả đăng ký và cung cấp thông tin về biện pháp bảo đảm bằng chứng khoán đã đăng ký tập trung thuộc thẩm quyền của Tổng công ty lưu ký và bù trừ chứng khoán Việt Nam thuộc Bộ Tài chính.

2. Cách ghi biểu

- Cột 1 = Cột (2+3+4).

3. Nguồn số liệu

Từ Sổ đăng ký, cơ sở dữ liệu về đăng ký biện pháp bảo đảm bằng chứng khoán đã đăng ký tập trung của Tổng công ty lưu ký và bù trừ chứng khoán Việt Nam thuộc Bộ Tài chính.

Đang theo dõi
Tải biểu mẫu
Biểu số: 17/TP/TTTP
Ban hành theo Thông tư số 17/2025/TT-BTP
Ngày nhận báo cáo (BC):
BC sơ bộ 6 tháng: Ngày 20 tháng 6 năm báo cáo
BC sơ bộ năm: Ngày 20 tháng 11 năm báo cáo
BC tròn năm: Ngày 20 tháng 01 năm sau
SỐ HỒ SƠ
ỦY THÁC TƯ PHÁP VỀ DÂN SỰ CỦA BỘ TƯ PHÁP
(Sơ bộ 6 tháng/sơ bộ năm/tròn năm)
Kỳ báo cáo: ……..
(Từ ngày... tháng... năm...
đến ngày... tháng... năm...)
Đơn vị báo cáo:
Vụ Pháp luật quốc tế (Bộ Tư pháp)
Đơn vị nhận báo cáo:
Bộ Tư pháp (Cục Kế hoạch - Tài chính)

Đơn vị tính: Hồ

Nội dung

Số hồ sơ tiếp nhận

Sổ hồ sơ có kết quả chuyển trả cơ quan yêu cầu

Ghi chú

Tổng số

Chia ra

Tổng số

Chia ra

Trả lại hoàn thiện

Chuyển thực hiện

Có Điều ước quốc tế

Chưa có Điều ước quốc tế

Chia ra

Có Điều ước quốc tế

Chưa có

Điều ước quốc tế

A

(1)

(2)

(3)

(4)

(5)

(6)

(7)

(8)

Tổng số

1

Ủy thác tư pháp Việt Nam gửi ra nước ngoài

2

Ủy thác tư pháp nước ngoài gửi đến Việt Nam

 

Người lập biểu

(Ký, ghi rõ họ tên)

Người kiểm tra

(Ký và ghi rõ họ, tên, chức vụ)

…, ngày…tháng…năm…

THỦ TRƯỞNG ĐƠN VỊ

(ký, đóng dấu, ghi rõ họ tên)

 

GIẢI THÍCH BIỂU MẪU 17/TP/TTTP

Số hồ sơ ủy thác tư pháp về dân sự của Bộ Tư pháp

1. Khái niệm, phương pháp tính

Biểu mẫu 17/TP/TTTP để thu thập thông tin thống kê số hồ sơ ủy thác tư pháp về dân sự của Bộ Tư pháp.

* Giải thích thuật ngữ:

+ Ủy thác tư pháp là yêu cầu bằng văn bản của cơ quan có thẩm quyền của Việt Nam hoặc cơ quan có thẩm quyền của nước ngoài về việc thực hiện một hoặc một số hoạt động tương trợ tư pháp theo quy định của pháp luật nước có liên quan hoặc điều ước quốc tế mà Việt Nam là thành viên.

+ Ủy thác tư pháp Việt Nam gửi ra nước ngoài: là hồ sơ ủy thác tư pháp của cơ quan có thẩm quyền của Việt Nam lập để gửi ra nước ngoài đề nghị cơ quan có thm quyền nước ngoài thực hiện một hoặc một số hoạt động tương trợ tư pháp về dân sự.

+ y thác tư pháp nước ngoài gửi vào Việt Nam: là hồ sơ ủy thác tư pháp của cơ quan có thẩm quyền của nước ngoài lập đề nghị cơ quan có thẩm quyền Việt Nam thực hiện một hoặc một số hoạt động tương trợ tư pháp về dân sự.

+ Số hồ sơ có kết quả: là số hồ sơ đã được cơ quan có thẩm quyền thực hiện và chuyển kết quả cho Bộ Tư pháp để Bộ Tư pháp chuyển trả cơ quan yêu cầu.

2. Cách ghi biểu

+ Cột 1 = Cột (2+3 +4)

+ Cột 5 = Cột (6+7)

- Cách ghi biểu:

+ Cột 2: ghi số hồ sơ Bộ Tư pháp trả lại để cơ quan có thẩm quyền bổ sung, hoàn thiện

+ Cột 3: ghi số hồ sơ Bộ Tư pháp chuyến thực hiện đến/từ các nước có điều ước quốc tế với Việt Nam

+ Cột 4: ghi số hồ sơ Bộ Tư pháp chuyến thực hiện đến/từ các nước chưa có điều ước quốc tế với Việt Nam

+ Cột 6: ghi số hồ sơ kết quả Bộ Tư pháp đã tiếp nhận đến/từ các nước có điều ước quốc tế với Việt Nam

+ Cột 7: ghi số hồ sơ kết quả Bộ Tư pháp đã tiếp nhận đến/từ các nước chưa có điều ước quốc tế với Việt Nam

3. Nguồn số liệu

Từ sổ sách ghi chép ban đầu và báo cáo thống kê của Bộ Tư pháp về tình hình thực hiện tương trợ tư pháp dân sự quy định tại Điều 62 của Luật Tương trợ tư pháp số 08/2007/QH12.

Đang theo dõi
Tải biểu mẫu
Biểu số 18a/TP/PC
Ban hành theo Thông tư số 17/2025/TT-BTP
Ngày nhận báo cáo (BC):
BC sơ bộ năm: Ngày 05 tháng 11 năm báo cáo
BC tròn năm: Ngày 05 tháng 01 năm sau
SỐ TỔ CHỨC VÀ NGƯỜI LÀM CÔNG TÁC PHÁP CHẾ TẠI CỤC VÀ TƯƠNG ĐƯƠNG THUỘC BỘ, CƠ QUAN NGANG BỘ, CƠ QUAN THUỘC CHÍNH PHỦ, BỘ CHỈ HUY QUÂN SỰ TỈNH/THÀNH PHỐ, CÔNG AN TỈNH/THÀNH PHỐ, DOANH NGHIỆP NHÀ NƯỚC VÀ ĐƠN VỊ SỰ NGHIỆP CÔNG LẬP TẠI TRUNG ƯƠNG VÀ ĐỊA PHƯƠNG
(Sơ bộ năm/tròn năm)
Kỳ báo cáo: ……..
(Từ ngày... tháng... năm...
đến ngày... tháng... năm...)
Đơn vị báo cáo:
- Cục và tương đương thuộc bộ/cơ quan ngang bộ, cơ quan thuộc Chính phù;
- Doanh nghiệp Nhà nước Trung ương;
- Đơn vị sự nghiệp thuộc bộ/cơ quan ngang bộ, cơ quan thuộc Chính phủ;
- Bộ ch huy quân Sự/Công an tnh/thành phố;
- Doanh nghiệp nhà nước do UBND cấp tỉnh quản lý;
- Đơn vị sự nghiệp công lập do UBND cấp tỉnh quản lý;
- Đơn vị sự nghiệp công lập do cơ quan chuyên môn của UBND cấp tỉnh quản lý.
Đơn vị nhn báo cáo:
- Bộ chủ qun nhận báo cáo của Cục và tương đương, Doanh nghiệp nhà nước và đơn vị sự nghiệp do bộ quản lý; Bộ Quốc phòng, Bộ Công an nhận báo cáo của Cục và tương đương, Doanh nghiệp nhà nước và đơn vị sự nghiệp do bộ quản lý, Bộ chỉ huy quân Sự/Công an tỉnh/thành phố;
- VP UBND tỉnh/thành phố nhận báo cáo của Doanh nghiệp Nhà nước và đơn vị sự nghiệp công lập trực thuộc UBND tỉnh/thành phố;
- Cơ quan chuyên môn của UBND tỉnh/thành phố nhận báo cáo của đơn vị sự nghiệp công lập thuộc quyền quản lý.

Mô hình tổ chức pháp chế

(Đơn vị)

Số công chức, viên chức làm công tác pháp chế

(Người)

Số đơn vị đã có tổ chức pháp chế

Số đơn vị chưa có tổ chức pháp chế mà tổ chức thành bộ phận pháp chế

Số đơn vị chưa có tổ chức/bộ phận pháp chế nhưng đã cừ công chức, viên chức kiêm nhiệm

Tổng số

Chia theo tính chất

Chia theo trình độ chuyên môn

Chia theo thâm niên

Chuyên trách

Kiêm nhiệm

Chuyên môn luật

Chuyên môn khác

Dưới 5 năm

Từ 5 năm trở lên

Đại học

Sau đại học

(1)

(2)

(3)

(4)

(5)

(6)

(7)

(8)

(9)

(10)

(11)

 

*Ghi chú:

Người lập biểu

(Ký, ghi rõ họ, tên)

…, ngày....tháng …..năm ……

THỦ TRƯỞNG ĐƠN VỊ
(Ký, đóng dấu, ghi rõ họ, tên)

 

GIẢI THÍCH BIỂU MẪU SỐ 18a/TP/PC

Số tổ chc và người làm công tác pháp chế tại Cục và tương đương thuộc bộ/cơ quan ngang bộ/cơ quan
thuộc Chính phủ, Bộ chỉ huy quân sự tỉnh/thành phố, Công an tỉnh/thành phố, doanh nghiệp nhà nước
và đơn vị sự nghiệp công lập tại trung ương và địa phương

1. Khái niệm, phương pháp tính

*Biểu số 18a/TP/PC phản ánh tình hình tổ chức và người làm công tác pháp chế tại Cục và tương đương thuộc bộ/cơ quan ngang bộ/cơ quan thuộc Chính phủ, Bộ chỉ huy quân sự tỉnh/thành phố, Công an tỉnh/thành phố, doanh nghiệp nhà nước và đơn vị sự nghiệp công lập

- Các doanh nghiệp nhà nước do UBND tỉnh quản lý và các doanh nghiệp nhà nước do các bộ, cơ quan ngang bộ, cơ quan thuộc Chính phủ quản lý theo quy định theo quy định tại khoản 2 Điều 10 của Nghị định số 55/2011/NĐ-CP được sửa đổi, bổ sung bởi Nghị định số 56/2024/NĐ-CP.

- Doanh nghiệp nhà nước là doanh nghiệp do Nhà nước nắm giữ trên 50% vốn điều lệ, tổng số cổ phần có quyền biểu quyết theo quy định tại khoản 11 Điều 4 Luật Doanh nghiệp số 59/2020/QH14 được sửa đổi, bổ sung bởi Luật số 76/2025/QH15.

- Các đơn vị sự nghiệp công lập do UBND tỉnh, thành phố quản lý; do các cơ quan chuyên môn thuộc UBND cấp tỉnh quản lý và do các bộ, cơ quan ngang bộ, cơ quan thuộc Chính phủ quản lý quy định tại Điều 10a Nghị định số 55/2011/NĐ-CP được sửa đổi, bổ sung bởi Nghị định số 56/2024/NĐ-CP.

2. Cách ghi biểu

Không dùng ký tự (ví dụ ký tự “x”) trong biểu báo cáo thống kê để thể hiện việc có số liệu.

Cột (1): Ghi rõ số tổ chức pháp chế; trường hợp không có tổ chức pháp chế thì ghi số 0.

Cột (2): Ghi rõ số bộ phận pháp chế; trường hợp không có bộ phận pháp chế thì ghi số 0.

Cột (3): Trường hợp chưa có tổ chức/bộ phận pháp chế nhưng cử công chức, viên chức kiêm nhiệm thì ghi số 1; không cử công chức, viên chức kiêm nhiệm thì ghi số 0.

Cột 4 = Cột (5 + 6) = Cột (7+8 + 9) = Cột (10+11)

Cột (7), (8), (9): trong trường hợp cán bộ pháp chế vừa có chuyên môn luật vừa có chuyên môn khác thì chỉ thống kê theo chuyên môn Luật.

Ví dụ: một cán bộ pháp chế vừa có bằng luật vừa có bằng kinh tế thì chỉ tính là 1 người và thống kê vào cột (7) hoặc cột (8).

3. Nguồn số liệu

Từ sổ ghi chép và hồ sơ quản lý công chức, viên chức làm công tác pháp chế tại bộ, cơ quan ngang bộ, cơ quan thuộc Chính phủ; doanh nghiệp nhà nước, đơn vị sự nghiệp công lập do các bộ, cơ quan ngang bộ, cơ quan thuộc Chính phủ quản lý.

Từ sổ ghi chép và hồ sơ quản lý công chức, viên chức làm công tác pháp chế cơ quan chuyên môn thuộc Ủy ban nhân dân cấp tỉnh, doanh nghiệp nhà nước do UBND cấp tỉnh quản lý, đơn vị sự nghiệp công lập do UBND cấp tỉnh quản lý, đơn vị sự nghiệp công lập do cơ quan chuyên môn của UBND cấp tỉnh quản lý, Bộ Chỉ huy quân sự tỉnh/thành phố, Công an tỉnh/thành phố.Đang theo dõi
Tải biểu mẫu
Biểu số 18b/TP/PC
Ban hành theo Thông tư số 17/2025/TT-BTP
Ngày nhận báo cáo (BC):
BC sơ bộ năm: Ngày 10 tháng 11 năm báo cáo
BC tròn năm: Ngày 10 tháng 01 năm sau
SỐ TỔ CHỨC VÀ NGƯỜI LÀM CÔNG TÁC PHÁP CHẾ TẠI CƠ QUAN CHUYÊN MÔN THUỘC UBND CẤP TỈNH, DOANH NGHIỆP NHÀ NƯỚC, ĐƠN VỊ SỰ NGHIỆP CÔNG LẬP Ở TỈNH/THÀNH PHỐ
(Sơ bộ năm/tròn năm)
Kỳ báo cáo: ……..
(Từ ngày... tháng... năm...
đến ngày... tháng... năm...)
Đơn vị báo cáo:
- Văn phòng UBND tỉnh/thành phố
- Thanh tra tỉnh/thành phố…
- Sở…
Đơn vị nhận báo cáo:
- Sở Tư pháp…

Mô hình tổ chức pháp chế

(Đơn vị)

Số công, chức viên chức làm công tác pháp chế

(Người)

Ghi chú

Số đơn vị đã có tổ chức pháp chế

Số đơn vị chưa có tổ chức pháp chế mà tổ chức thành bộ phận pháp chế

Số đơn vị chưa cố tổ chức/bộ phận pháp chế nhưng đã cử công chức, viên chức kiêm nhiệm

Tổng số

Chia theo tính chất

Chia theo trình độ chuyên môn

Chia theo thâm niên

Chia theo ngạch pháp chế viên và chuyên viên pháp chế

Chuyên trách

Kiêm nhiệm

Chuyên môn luật

Chuyên môn khác

Dưới 5 năm

Từ 5 năm

trở lên

Chuyên viên pháp chế

Pháp chế viên

Pháp chế viên chính

Pháp chế viên cao cấp

Đại học

Sau đại học

(1)

(2)

(3)

(4)

(5)

(6)

(7)

(8) .

(9)

(10)

(11)

(12)

(13)

(14)

(15)

(16)

Tổng số

I

Tại cơ quan chuyên môn thuộc UBND cấp tỉnh

II

Tại Doanh nghiệp nhà nước do UBND tỉnh/thành phố quản lý

-

-

-

Tên Doanh nghiệp..

-

-

-

-

-

-

III

Tại đơn vị sự nghiệp công lập do UBND tỉnh/thành phố quản lý

-

-

-

Tên đơn vị sự nghiệp công lập...

-

-

-

….

-

-

-

IV

Tại đơn vị sự nghiệp công lập do cơ quan chuyên môn của UBND cp tỉnh quản lý

-

-

-

Tên đơn vị sự nghiệp công lập...

-

-

-

-

-

-

 

Cơ quan chuyên môn thuộc UBND cấp tỉnh báo cáo số liệu tại dòng I và tổng hợp số liệu tại dòng IV; UBND cấp tỉnh báo cáo số liệu tại dòng I và tng hợp số liệu lại dòng II và dòng III; DNNN, Đơn vị sự nghiệp công lập không phát sinh số liệu tại các cột 13, 14, 15.

*Ghi chú:

Người lập biểu

(Ký, ghi rõ họ, tên)

Người kiểm tra

(Ký, ghi rõ họ, tên)

…, ngày…tháng…năm…

THỦ TRƯỞNG ĐƠN VỊ

(Ký, đóng dấu, ghi rõ họ, tên)

 

GIẢI THÍCH BIỂU MẪU 18b/TP/PC

Số tổ chức và người làm công tác pháp chế tại cơ quan chuyên môn thuộc Ủy ban nhân dân cấp tỉnh, doanh
nghiệp nhà nước, đơn vị sự nghiệp công lập ở tỉnh/thành phố

1. Khái niệm, phương pháp tính

Biểu số 18b/TP/PC phản ánh tình hình tổ chức và người làm công tác pháp chế tại cơ quan chuyên môn thuộc Ủy ban nhân dân cấp tỉnh, doanh nghiệp nhà nước, đơn vị sự nghiệp công lập ở tỉnh/thành phố theo quy định của Nghị định số 55/2011/NĐ-CP quy định chức năng, nhiệm vụ, quyền hạn và tổ chức bộ máy của tổ chức pháp chế được sửa đổi, bổ sung bởi Nghị định số 56/2024/NĐ-CP.

2. Cách ghi biếu:

Cột (1): Ghi rõ số tổ chức pháp chế tương ứng với từng đối tượng; trường hợp không có tổ chức pháp chế thì ghi số 0.

Cột (2): Ghi rõ số bộ phận pháp chế tương ứng với từng đối tượng; trường hợp không có bộ phận pháp chế thì ghi số 0.

Cột (3): Trường hợp đơn vị chưa có tổ chức/bộ phận pháp chế nhưng cử công chức, viên chức kiêm nhiệm thì ghi số 1; không cử công chức, viên chức kiêm nhiệm thì ghi số 0.

Cột 4 = Cột (5 + 6) = Cột (7+8 + 9) = Cột (10+11) = Cột (12+13+14+15).

Cột (7), (8), (9): trong trường hợp cán bộ pháp chế vừa có chuyên môn luật vừa có chuyên môn khác thì chỉ thống kê theo chuyên môn Luật.

Ví dụ: một cán bộ pháp chế vừa có bằng luật vừa có bằng kinh tế thì chỉ tính là 1 người và thống kê vào cột (7) hoặc cột (8).

3. Nguồn số liệu

Tổng hợp từ biểu mẫu 18a/TP/PC của các doanh nghiệp Nhà nước do UBND tỉnh/thành phố quản lý, đơn vị sự nghiệp công lập do UBND tỉnh/thành phố quản lý, đơn vị sự nghiệp công lập do cơ quan chuyên môn của UBND cấp tỉnh quản lý.

Đang theo dõi
Tải biểu mẫu
Biểu số 18c/TP/PC
Ban hành theo Thông tư số 17/2025/TT-BTP
Ngày nhận báo cáo (BC):
BC sơ bộ năm: Ngày 20 tháng 11 năm báo cáo
BC tròn năm: Ngày 20 tháng 01 năm sau
SỐ TỔ CHỨC VÀ NGƯỜI LÀM CÔNG TÁC PHÁP CH TRÊN ĐỊA BÀN TỈNH/THÀNH PH
(Sơ bộ năm/tròn năm)
Kỳ báo cáo: ……..
(Từ ngày... tháng... năm...
đến ngày... tháng... năm...)
Đơn vị báo cáo: Sở Tư pháp…
Đơn vị nhận báo cáo: Bộ Tư pháp (Cục Kế hoạch - Tài chính)

Tên cơ quan/ tên tỉnh, thành phố Trung ương

Mô hình tổ chức pháp chế

(Đơn vị)

Số công, chức viên chức làm công tác pháp chế

(Người)

Ghi chú

Số đơn vị đã có tổ chức pháp chế

Số đơn vị chưa có tổ chức pháp chế mà tổ chức thành bộ phận pháp chế

Số đơn vị chưa có tổ chức/bộ phận pháp chế nhưng đã cử công chức, viên chức kiêm nhiệm

Tổng số

Chiatheo tính chất

Chia theo trình độ chuyên môn

Chia theo thâm niên

Chia theo ngạch pháp chế viên và chuyên viên pháp chế

Chuyên trách

Kiêm nhiệm

Chuyên môn luật

Chuyên môn khác

Dưới 5 năm

Từ 5 năm trở lên

Chuyên viên pháp chế

Pháp chế

viên

Pháp chế viên chính

Pháp chế viên cao cấp

Đại học

Sau đại học

STT

(A)

(1)

(2)

(3)

(4)

(5)

(6)

(7)

(8)

(9)

(10)

(11)

(12)

(13)

(14)

(15)

(16)

Tng số

I

Cơ quan chuyên môn thuộc UBND cấp tỉnh

1

Sở Nội vụ

2

S Tài chính

3

Sở Công thương

4

Sở Nông nghiệp và Môi trường

5

S Xây dựng

6

Sở Khoa học và

Công nghệ

7

Sở Văn hoá, Thể thao và Du lịch

8

S Giáo dục và Đào tạo

9

SYtế

10

Thanh tra tỉnh

11

Văn phòng UBND

12

Sở Ngoại vụ (nếu có)

13

Sở Dân tộc và Tôn giáo (nếu có)

14

Sở Du lịch (nếu có)

15

Sở Quy hoạch - Kiến trúc (đối với Hà Nội và thành phố Hồ Chí Minh)

II

Doanh nghiệp nhà nước do UBND cấp tỉnh quản lý

-

-

-

Tên doanh nghiệp...

-

-

-

….

-

-

-

III

Đơn vị sự nghiệp công lập do UBND cấp tỉnh quản lý

-

-

-

Tên đơn vị...

-

-

-

….

-

-

-

IV

Đơn vị sự nghiệp công lập do cơquan chuyên môn của UBND cấp tỉnh quản lý

-

-

-

Tên đơn vị...

-

-

-

….

-

-

-

 

Ô có dấu - không phi báo cáo

*Ghi chú:

Người lập biểu

(Ký, ghi rõ họ, tên)

Người kiểm tra

(Ký, ghi rõ họ, tên)

…, ngày…tháng…năm…

GIÁM ĐỐC

(Ký, đóng dấu, ghi rõ họ, tên)

 

GIẢI THÍCH BIỂU MẪU 18c/TP/PC

Số tổ chức và ngưi làm công tác pháp chế trên địa bàn tỉnh/thành phố

1. Khái niệm, phương pháp tính

Biểu số 18c/TP/PC tổng hợp số tổ chức và người làm công tác pháp chế trên địa bàn tỉnh/thành phố, bao gồm số liệu tổng hợp tại cơ quan chuyên môn và số liệu tại các doanh nghiệp nhà nước do UBND tỉnh/thành phố quản lý, đơn vị sự nghiệp công lập do UBND tỉnh/thành phố quản lý, đơn vị sự nghiệp công lập do cơ quan chuyên môn của UBND cấp tỉnh quản lý theo quy định của Nghị định số 55/2011/NĐ-CP quy định chức năng, nhiệm vụ, quyền hạn và tổ chức bộ máy của tổ chức pháp chế được sửa đổi, bổ sung bởi Nghị định số 56/2024/NĐ-CP.

- Các doanh nghiệp nhà nước do UBND tỉnh quản lý theo quy định theo quy định tại khoản 2 Điều 10 của Nghị định số 55/2011/NĐ-CP được sửa đổi, bổ sung bởi Nghị định số 56/2024/NĐ-CP.

- Doanh nghiệp nhà nước bao gồm các doanh nghiệp do Nhà nước nắm giữ trên 50% vốn điều lệ, tổng số cổ phần có quyền biểu quyết theo quy định tại Điu 88 của Luật Doanh nghiệp số 59/2020/QH14 ngày 17/6/2020 được sửa đổi, bổ sung bởi Luật số 76/2025/QH15.

- Các đơn vị sự nghiệp công lập do UBND tỉnh, thành phố quản lý và các đơn vị sự nghiệp công lập do các cơ quan chuyên môn thuộc UBND cấp tỉnh quản lý quy định tại Điều 10a của Nghị định số 55/2011/NĐ-CP được sửa đổi, bổ sung bởi Nghị định số 56/2024/NĐ-CP.

2. Cách ghi biểu:

- Dòng Tổng số = Dòng I “Tại cơ quan chuyên môn thuộc UBND cấp tỉnh” + Dòng II “Tại Doanh nghiệp nhà nước do UBND cấp tỉnh quản lý” + Dòng III “Tại đơn vị sự nghiệp công lập do UBND cấp tỉnh quản lý” + Dòng IV “Tại đơn vị s nghiệp công lập do cơ quan chuyên môn của UBND cấp tỉnh quản lý.

Không dùng ký tự (ví dụ ký tự “x”) trong biểu báo cáo thống kê để thể hiện việc có số liệu.

Cột (1): Ghi rõ số tổ chức pháp chế tương ứng với từng đối tượng; trường hợp không có tổ chức pháp chế thì ghi số 0.

Cột (2,): Ghi rõ số bộ phận pháp chế tương ứng với từng đối tượng; trường hợp không có bộ phận pháp chế thì ghi số 0.

Cột (3): Trường hợp chưa có tổ chức/bộ phận pháp chế nhưng cử công chức, viên chức kiêm nhiệm thì ghi số 1; không cử công chức, viên chức kiêm nhiệm thì ghi số 0.

Cột 4 = Cột (5 + 6) - Cột (7+8 + 9) = Cột (10+11) = Cột (12+13+14+15).

Cột (7), (8), (9): trong trường hợp cán bộ pháp chế vừa có chuyên môn luật vừa có chuyên môn khác thì chỉ thống kê theo chuyên môn Luật.

Ví dụ: một cán bộ pháp chế vừa có bằng luật vừa có bằng kinh tế thì chỉ tính là 1 người và thống kê vào cột (7) hoặc cột (8).

3. Nguồn số liệu

Từ sổ ghi chép và hồ sơ quản lý cán bộ, công chức làm công tác pháp chế tại cơ quan chuyên môn thuộc UBND cấp tỉnh, DNNN, đơn vị sự nghiệp công lập ở tỉnh/thành phố tại biểu 18b/TP/PC.

Đang theo dõi
Tải biểu mẫu
Biểu số 18d/TP/PC
Ban hành theo Thông tư số 17/2025/TT-BTP
Ngày nhận báo cáo (BC):
BC sơ bộ năm: Ngày 20 tháng 11 năm báo cáo
BC tròn năm: Ngày 20 tháng 01 năm sau
S T CHỨC VÀ NGƯỜI LÀM CÔNG TÁC PHÁP CHTẠI BỘ, CƠ QUAN NGANG BỘ, CƠ QUAN THUỘC CHÍNH PHỦ, DOANH NGHIỆP NHÀ NƯỚC, ĐƠN VỊ SỰ NGHIP CÔNG LẬP THUỘC BỘ, CƠ QUAN NGANG B, CƠ QUAN THUỘC CHÍNH PHỦ
(Sơ bộ năm/tròn năm)
Kỳ báo cáo: ……..
(Từ ngày... tháng... năm...
đến ngày... tháng... năm...)
Đơn vị báo cáo: Bộ, cơ quan ngang bộ, cơ quan thuộc Chính phủ
Đơn vị nhận báo cáo: Bộ Tư pháp (Cục Kế hoạch - Tài chính)

Tên cơ quan/ tên doanh nghiệp

Mô hình tổ chức pháp chế

(Đơn vị)

Số công, chức viên chức làm công tác pháp chế

(Người)

Ghi chú

Số đơn vị đã có tổ chức pháp chế

Số đơn vị chưa có tổ chức pháp chế mà tổ chức thành bộ phận pháp chế

Số đơn vị chưa có t chức/bộ phận pháp chế nhưng đã cừ công chức, viên chức kiêm nhiệm

Tng số

Chia theo tính chất

Chia theo trình độ chuyên môn

Chia theo thâm niên

Chia theo ngạch pháp chế viên và chuyên viên pháp chế

Chuyên trách

Kiêm nhiệm

Chuyên môn luật

Chuyên môn khác

Dưới 5 năm

Từ 5 năm trở lên

Chuyên viên pháp chế

Pháp chế viên

Pháp chế viên chính

Pháp chế viên cao cấp

Đại học

Sau đại học

A

(1)

(2)

(3)

(4)

(5)

(6)

(7)

(8)

(9)

(10)

(11)

(12)

(13)

(14)

(15)

(16)

Tổng số

I

Bộ, cơ quan ngang bộ, cơ quan thuộc Chính phủ

1

Vụ/Cục/Ban làm công tác pháp chế và tương đương

2

Tại các Cục và tương đương

Tên Cục và tương đương...

3

Tại các đơn vị sự nghiệp thuc B

Tên đơn vị sự nghiệp...

II

DNNNTW

Tên Doanh nghiệp...

III

Bộ Chỉ huy quânsự/Công an tnh/thành phố

Tên tỉnh/thành phố...

 

* Bộ Quốc phòng, Bộ Công an báo cáo mục I, II, III; các Bộ, cơ quan ngang Bộ, cơ quan thuộc Chính phủ còn lại báo cáo mục I, II.

Người lập biểu

(Ký, ghi rõ họ, tên)

Người kiểm tra

(Ký, ghi rõ họ, tên)

…, ngày…tháng…năm…

THỦ TRƯỞNG ĐƠN VỊ

(Ký, đóng dấu, ghi rõ họ, tên)

 

GIẢI THÍCH BIỂU MẪU 18d/TP/PC

S tổ chức và người làm công tác pháp chế tại bộ, cơ quan ngang bộ, cơ quan thuộc Chính phủ, doanh nghiệp nhà
nước, đơn vị sự nghiệp công lập thuộc Bộ, cơ quan ngang bộ, cơ quan thuộc Chính phủ

1. Khái niệm, phương pháp tính

Biểu số 18d/TP/PC tổng hợp số tổ chức và người làm công tác pháp chế tại bộ, cơ quan ngang bộ, cơ quan thuộc Chính phủ.

- Các doanh nghiệp nhà nước do các bộ, cơ quan ngang bộ, cơ quan thuộc Chính phủ quản lý theo quy định theo quy định tại khoản 2 Điều 10 của Nghị định số 55/2011/NĐ-CP được sửa đổi, bổ sung bởi Nghị định số 56/2024/NĐ-CP.

- Doanh nghiệp nhà nước là doanh nghiệp do Nhà nước nắm giữ trên 50% vốn điều lệ, tng số cổ phần có quyền biểu quyết theo quy định tại khoản 11 Điều 4 Luật Doanh nghiệp số 59/2020/QH14 được sửa đổi, bổ sung bởi Luật số 76/2025/QH15.

2. Cách ghi biểu:

Không dùng ký tự (ví dụ ký tự “x”) trong biểu báo cáo thống kê để thể hiện việc có số liệu.

Cột (1): Ghi rõ số tổ chức pháp chế tương ứng với từng đối tượng; trường hợp không có tổ chức pháp chế thì ghi số 0.

Cột (2): Ghi rõ số bộ phận pháp chế tương ứng với từng đối tượng; trường hợp không có bộ phận pháp chế thì ghi số 0.

Cột (3): Trường hợp chưa có tổ chức/bộ phận pháp chế nhưng cử công chức, viên chức kiêm nhiệm thì ghi số 1; không cử công chức, viên chức kiêm nhiệm thi ghi số 0.

Cột 4 = Cột (5 + 6) = Cột (7+8 + 9) = Cột (10+11) = Cột (12+13+14+15).

Cột (7), (8), (9): trong trường hợp cán bộ pháp chế vừa có chuyên môn luật vừa có chuyên môn khác thì chỉ thống kê theo chuyên môn Luật.

Ví dụ: một cán bộ pháp chế vừa có bằng luật vừa có bằng kinh tế thì chỉ tính là 1 người và thống kê vào cột (7) hoặc cột (8).

3. Nguồn số liệu

Từ sổ ghi chép và hồ sơ quản lý cán bộ, công chức làm công tác pháp chế tại bộ, cơ quan ngang bộ, cơ quan thuộc Chính phủ và tổng hợp từ biểu số 18a/TP/PC.

Đang theo dõi
Tải biểu mẫu
Biểu số: 19a/TP/HGTM
Ban hành theo Thông tư số 17/2025/TT-BTP
Ngày nhận báo cáo (BC):
BC sơ bộ năm: Ngày 10 tháng 11 năm báo cáo
BC tròn năm: Ngày 10 tháng 01 năm sau
TỔ CHỨC VÀ KẾT QUẢ HOẠT ĐỘNG
HÒA GIẢI THƯƠNG MẠI
(Sơ bộ năm/Tròn năm)
Kỳ báo cáo:....................
(Từ ngày... tháng... năm...
đến ngày... tháng... năm...)
Đơn vị báo cáo:
Trung tâm hòa giải /Trung tâm trọng tài có đăng ký hoạt động hòa giải/Chi nhánh, Văn phòng đại diện của tổ chức hòa giải nước ngoài tại Việt Nam/ Hòa giải viên thương mại vụ việc
Đơn vị nhận báo cáo:
Sở Tư pháp….

Số Chi nhánh

(Chi nhánh)

Số Văn phòng đại diện

(Văn phòng)

Số hòa giải viên thương mại

(Người)

Hoạt động giải quyết tranh chấp bằng hòa giải thương mại

(Vụ việc)

Tổng giá trị các vụ việc đã giải quyết xong (Đồng)

Tổng số tiền thuđược

(Đồng)

Tổng số tiền đã nộp thuế và nghĩa vụ tài chính (Đồng)

Số vụ việc thực hiện hòa giải (gồm kỳ trước chuyển sang)

Trong đó:

Số vụ việc có văn bản về kết quả hòa giải thành

Số vụ việc chưa giải quyết xong

(1)

(2)

(3)

(4)

(5)

(6)

(7)

(8)

(9)

 

Hòa giải viên thương mại vụ việc không phải ghi vào các cột (1), (2), (3);

Chi nhánh/Văn phòng đại diện của tổ chức hòa giải nước ngoài tại Việt Nam không phải ghi vào các cột (1), (2).

* Ghi chú:

Người lập biểu

(Ký, ghi rõ họ, tên)

ngày....tháng …..năm ……

NGƯỜI ĐẠI DIỆN THEO PHÁP LUẬT/
A GIẢI VIÊN VỤ VIỆC
(Ký, đóng dấu, ghi rõ họ, tên)

 

Đang theo dõi
Tải biểu mẫu
Biểu số: 19b/TP/HGTM
Ban hành theo Thông tư số 17/2025/TT-BTP
Ngày nhận báo cáo (BC):
BC sơ bộ năm: Ngày 20 tháng 11 năm báo cáo
BC tròn năm: Ngày 20 tháng 01 năm sau
SỐ TỔ CHỨC VÀ KẾT QUẢ HOẠT ĐỘNG HÒA GIẢI THƯƠNG MẠI TRÊN ĐỊA BÀN TỈNH/THÀNH PHỐ
(Sơ bộ năm/tròn năm)
Kỳ báo cáo: …………………
(Từ ngày….tháng….năm ….
đến ngày …. tháng ….năm…….)
Đơn vị báo cáo: Sở Tư pháp ………
Đơn vị nhận báo cáo: Bộ Tư pháp (Cục Kế hoạch - Tài chính)

Số Chi nhánh

(Chi nhánh)

Số Văn phòng đại diện

(Văn phòng)

Số hòa giải viên thương mại (Người)

Hoạt động giải quyết tranh chấp bằng hòa giải thương mại

(Vụ việc)

Tổng giá trị các vụ việc đã giải quyết xong (Đồng)

Tổng số tiền thu được (Đồng)

Tổng số tiền đã nộp thuế và nghĩa vụ tài chính (Đồng)

Ghi chú

Số vụ việc thực hiện hòa giải (Gồm kỳ trước chuyển sang)

Trong đó:

S vụ việc có văn bản về kết quả hòa giải thành

S vụ việc chưa giải quyết xong

A

(1)

(2)

(3)

(4)

(5)

(6)

(7)

(8)

(9)

(10)

Tổng số

I. Trung tâm hòa giải thương mại

II. Trung tâm trọng tài có đăng ký hoạt động hòa giải

III. Chi nhánh/Văn phòng đại diện của tổ chức hòa giải nước ngoài tại Việt Nam

-

-

-

-

IV. Hòa giải viên thương mại vụ việc

-

-

-

-

-

 

- Số liệu trong báo cáo này được tổng hợp từ báo cáo của /..... t chức hòa giải đăng ký hoạt động tại Sở Tư pháp.

- Số liệu trong báo cáo này được tổng hợp từ báo cáo của hòa giải viên thương mại vụ việc đăng ký hoạt động tại Sở Tư pháp.

- Theo quản lý của Sở Tư pháp, số hòa gii viên thương mại của tổ chức hòa giải thương mại là người.

Ô có du “-” không phải báo cáo

* Ghi chú:

Người lập biểu

(Ký, ghi rõ họ, tên)

Người kiểm tra

(Ký, ghi rõ họ, tên)

…, ngày…tháng…năm…

GIÁM ĐỐC

(Ký, đóng dấu, ghi rõ họ, tên)

Đang theo dõi
Tải biểu mẫu

GIẢI THÍCH BIỂU MẪU S 19a/TP/HGTM, 19b/TP/HGTM

(Tổ chức và tình hình hoạt động hòa giải thương mại)

1. Khái niệm, phương pháp tính

* Biểu mẫu số 19a/TP/HGTM phản ánh tình hình tổ chức và hoạt động hòa giải thương mại của các tổ chức hòa giải thương mại/hòa giải viên thương mại vụ việc tại Trung tâm hòa giải thương mại, Trung tâm trọng tài có đăng ký hoạt động hòa giải thương mại, Chi nhánh/Văn phòng đại diện của tổ chức hòa giải thương mại nước ngoài tại Việt Nam, Hòa giải viên thương mại vụ việc.

* Biểu mẫu số 19b/TP/HGTM phản ánh số liệu về tình hình tổ chức và hoạt động động hòa giải thương mại trên địa bàn tỉnh/thành phố trực thuộc trung ương.

* Giải thích biểu mẫu:

- Hòa giải viên thương mại là người có đủ tiêu chuẩn theo quy định tại Điều 7 Nghị định số 22/2017/NĐ-CP về hòa giải thương mại được sửa đổi, bổ sung bởi Nghị định số 112/2025/NĐ-CP.

- Chi nhánh/Văn phòng đại diện là đơn vị phụ thuộc của Trung tâm hòa giải thương mại/Trung tâm trọng tài có đăng ký hoạt động hòa giải thương mại. Chi nhánh do Trung tâm hòa giải thương mại/Trung tâm trọng tài có đăng ký hoạt động hòa giải thương mại thành lập.

- Chi nhánh/Văn phòng đại diện của tổ chức hòa giải thương mại nước ngoài tại Việt Nam được thành lập theo quy định của Nghị định số 22/2017/NĐ-CP được sửa đổi, bổ sung bởi Nghị định số 112/2025/NĐ-CP.

- Số vụ việc thực hiện hòa giải là số vụ việc mà Trung tâm hòa giải thương mại/Trung tâm trọng tài có đăng ký hoạt động hòa giải thương mại/Chi nhánh, Văn phòng đại diện của tổ chức hòa giải thương mại nước ngoài tại Việt Nam/Hòa giải viên thương mại vụ việc đã được các bên lựa chọn để giải quyết tranh chấp.

- Số vụ việc có văn bản về kết quả hòagiải thành là số vụ việc đã có thỏa thuận giữa các bên tranh chấp về việc giải quyết một phần hoặc toàn bộ tranh chấp phát sinh.

- Số vụ việc chưa giải quyết xong là số vụ việc mà Trung tâm hòa giải thương mại/Trung tâm trọng tài có đăng ký hoạt động hòa giải thương mại/Chi nhánh, Văn phòng đại diện của tổ chức hòa giải thương mại nước ngoài tại Việt Nam/Hòa giải viên thương mại vụ việc đang trong quá trình xử lý chưa có kết quả.

- Tổng giá trị các vụ việc đã giải quyết xong là tổng giá trị các vụ việc có văn bản về kết quả hòa giải thành được thống kê từ Sổ theo dõi giải quyết tranh chấp của Trung tâm hòa giải thương mại/Trung tâm trọng tài có đăng ký hoạt động hòa giải thương mại/Chi nhánh, Văn phòng đại diện của tổ chức hòa giải thương mại nước ngoài tại Việt Nam/Hòa giải viên thương mại vụ việc.

- Tổng số tiền thu được là tổng số phí trọng tài và các khoản thu hợp pháp khác của Trung tâm hòa giải thương mại/Trung tâm trọng tài có đăng ký hoạt động hòa giải thương mại/Chi nhánh, Văn phòng đại diện của tổ chức hòa giải thương mại nước ngoài tại Việt Nam/Hòa giải viên thương mại vụ việc.

- Tổng số tiền đã nộp thuế và nghĩa vụ tài chính là số tiền Trung tâm hòa giải thương mại/Trung tâm trọng tài có đăng ký hoạt động hòa giải thương mại/Chi nhánh, Văn phòng đại diện của tổ chức hòa giải thương mại nước ngoài tại Việt Nam/Hòa giải viên thương mại vụ việc phải nộp theo quy định pháp luật (bao gồm số tiền nộp thuế của tổ chức hòa giải thương mại và của các hòa giải viên thương mại vụ việc).

2. Cách ghi biểu

- Cột (1): Ghi số Chi nhánh của Trung tâm hòa giải thương mại/Trung tâm trọng tài có đăng ký hoạt động hòa giải thương mại.

- Cột (2): Ghi số Văn phòng đại diện của Trung tâm hòa giải thương mại/Trung tâm trọng tài có đăng ký hoạt động hòa giải thương mại.

* Số liệu từ cột (3) đến cột (9) bao gồm cả số liệu tại Chi nhánh/Văn phòng đại diện của tổ chức hòa giải thương mại (nếu có).

- Cột (3): Ghi số hòa giải viên tại Trung tâm hòa giải thương mại/Trung tâm trọng tài có đăng ký hoạt động hòa giải thương mại/Chi nhánh, Văn phòng đại diện của tổ chức hòa giải thương mại nước ngoài tại Việt Nam.

- Cột (4): Ghi số vụ việc thực hiện hòa giải, gồm số vụ việc bắt đầu thực hiện hòa giải trong kỳ báo cáo và số vụ việc chưa giải quyết xong kỳ trước chuyn sang.

- Cột (5): Ghi số vụ việc đã có văn bản về kết quả hòa giải thành, số liệu tại cột (5) là một phần số liệu của cột (4).

- Cột (6): Ghi số vụ việc đang giải quyết, số liệu tại cột (6) là một phần số liệu của cột (4).

- Cột (7): Ghi tổng giá trị các vụ việc đã được giải quyết xong.

- Riêng biểu mẫu số 19b/TP/HGTM:

+ Sau khi rà soát, kiểm tra tính chính xác của số liệu, Sở Tư pháp tổng hợp chi tiết báo cáo của từng Trung tâm hòa giải/Trung tâm trọng tài có đăng ký hoạt động hòa giải/Chi nhánh, Văn phòng đại diện của tổ chức hòa giải nước ngoài tại Việt Nam/Hòa giải viên thương mại vụ việc vào các dòng tại các mục tương ứng và cộng dòng tổng từng mục, gồm: mục I (Trung tâm hòa giải), mục II (Trung tâm trọng tài có đăng ký hoạt động hòa giải), mục III (Chi nhánh, Văn phòng đại diện của tổ chức hòa giải nước ngoài tại Việt Nam) và mục IV (Hòa giải viên thương mại vụ việc), Dòng Tổng số = mục I + mục II + mục III + mục IV.

+Trường hợp có những vấn đề cần làm rõ về nội dung số liệu thống kê thì thuyết minh tại cột (10).

3. Nguồn số liệu

- Biểu mẫu số 19a/TP/HGTM: Từ hồ sơ, sổ sách ghi chép của tổ chức hòa giải thương mại/hòa giải viên thương mại vụ việc.

- Biểu mẫu số 19b/TP/HGTM: Tổng hợp từ biểu mẫu số 19a/TP/HGTM và từ các hồ sơ, tài liệu khác theo dõi công tác hòa giải thương mại tại Sở Tư pháp.

Đang theo dõi
Tải biểu mẫu
Biểu số: 20a/TP/QLTLTS
Ban hành theo Thông tư số 17/2025/TT-BTP
Ngày nhận báo cáo (BC):
BC sơ bộ năm: Ngày 10 tháng 11 năm báo cáo
BC tròn năm: Ngày 10 tháng 01 năm sau
S TỔ CHỨC VÀ KẾT QUẢ HOẠT ĐỘNG
QUẢN L
Ý THANH LÝ TÀI SẢN
(Sơ bộ năm, tròn năm)
Kỳ báo cáo:................
(Từ ngày... tháng... năm...
đến ngày... tháng... năm...)
Đơn vị báo cáo:
Doanh nghiệp quản lý, thanh lý tài sản/ Quản tài viên đăng ký hành nghề cá nhân
Đơn vị nhận báo cáo: Sở Tư pháp…

Số Chi nhánh của Doanh nghiệp quản lý, thanh lý tài sản (Chi nhánh)

Số Văn phòng đại diện của Doanh nghiệp quản lý, thanh lý tài sản

(Văn phòng)

Số Quản tài viên

(Người)

Số vụ việc đã tiếp nhận (gồm kỳ trước chuyển sang) (Vụ việc)

Hoạt động quản lý, thanh lý tài sản

(Vụ việc)

Số tiền thù lao thu được

(Đồng)

Số tiền nộp thuế và nghĩa vụ tài chính (Đồng)

Số vụ việc đã giải quyết xong

S vụ việc đang giải quyết

(1)

(2)

(3)

(4)

(5)

(6)

(7)

(8)

 

- Quản tài viên đăng ký hành nghề cá nhân không phải ghi vào cột (1), (2), (3).

* Ghi chú:

Người lập biểu

(Ký, ghi rõ họ, tên)

ngày....tháng …..năm ……

NGƯỜI ĐẠI DIỆN THEO PHÁP LUẬT/
QUẢN TÀI VIÊN ĐĂNG KÝ HÀNH NGH
CÁ NHÂN
(Ký, đóng dấu, ghi rõ họ, tên)

Đang theo dõi
Tải biểu mẫu
Biểu số: 20b/TP/QLTLTS
Ban hành theo Thông tư 17/2025/TT-BTP
Ngày nhận báo cáo (BC):
BC sơ bộ năm: Ngày 20 tháng 11 năm báo cáo
BC tròn năm: Ngày 20 tháng 01 năm sau
SỐ TỔ CHỨC VÀ KẾT QUẢ HOẠT ĐỘNG QUẢN LÝ THANH LÝ TÀI SẢN TRÊN ĐỊA BÀN TỈNH/THÀNH PHỐ
(Sơ bộ năm, tròn năm)
Kỳ báo cáo:.............
(Từ ngày... tháng... năm...
đến ngày... tháng... năm...)
Đơn vị báo cáo: Sở Tư pháp ………
Đơn vị nhận báo cáo: Bộ Tư pháp (Cục Kế hoạch - Tài chính)

Số Chi nhánh của Doanh nghiệp quản lý, thanh lý tài sản

(Chi nhánh)

Số Văn phòng đại diện của Doanh nghiệp quản lý, thanh lý tài sản

(Văn phòng)

SốQuản tài viên

(Người)

Số vụ việc đã tiếp nhận (gồm kỳ trước chuyển sang) (Vụ việc)

Hoạt động quản lý, thanh lý tài sản

(Vụ việc)

Tổng số tiền thù lao thu được (Đồng)

Số tiền nộp thuế và nghĩa vụ tài chính (Đồng)

Ghi chú

S vụ việc đã giải quyết xong

Số vụ việc đang giải quyết

A

(1)

(2)

(3)

(4)

(5)

(6)

(7)

(8)

(9)

Tổng số

I. Doanh nghiệp quản lý, thanh lý tài sản

II. Quản tài viên đăng ký hành nghề cá nhân

-

-

-

-

-

-

-

-

 

- Số liệu trong báo cáo này được tng hợp từ báo cáo của ...../…tổ chức quản lý thanh lý tài sản đăng ký hoạt động tại Sở Tư pháp.

- Theo quản lý của Sở Tư pháp, số quản tài viên đăng ký hành nghề cá nhân là …. người.

Ghi chú:

Người lập biểu

(Ký, ghi rõ họ, tên)

Người kiểm tra

(Ký, ghi rõ họ, tên)

…, ngày…tháng…năm…

GIÁM ĐỐC

(Ký, đóng dấu, ghi rõ họ, tên)

 

Đang theo dõi
Tải biểu mẫu

GIẢI THÍCH BIỂU MẪU 20a/TP/QLTLTS, 20b/TP/QLTLTS

(Số tổ chức và kết quả hoạt động quản lý thanh lý tài sản)

1. Khái niệm, phương pháp tính

- Biểu 20a/TP/QLTLTS phản ánh số tổ chức và hoạt động quản lý thanh lý tài sản của tổ chức quản lý thanh lý tài sản/quản tài viên đăng ký hành nghề cá nhân trong kỳ báo cáo (sơ bộ năm, tròn năm) được sử dụng cho đơn vị báo cáo, gồm: Doanh nghiệp quản lý, thanh lý tài sản, Quản tài viên đăng ký hành nghề cá nhân và Biểu này được gửi về Sở Tư pháp.

- Biểu 20b/TP/QLTLTS phản ánh số tổ chức và hoạt động quản lý thanh lý tài sản trên địa bàn tỉnh/thành phố trong kỳ báo cáo (sơ bộ năm, tròn năm) được sử dụng cho đơn vị báo cáo là Sở Tư pháp tỉnh/thành phố và Biểu này được gửi về Bộ Tư pháp.

- Doanh nghiệp quản lý, thanh lý tài sản bao gồm doanh nghiệp tư nhân và công ty hợp danh.

- Quản tài viên là cá nhân hành nghề quản lý, thanh lý tài sản của doanh nghiệp, hợp tác xã mất khả năng thanh toán trong quá trình giải quyết phá sản theo quy định tại khoản 7 Điều 4 Luật Phá sản số 51/2014/QH13 và là người có đủ tiêu chuẩn theo các quy định tại Điều 2, khoản 1 Điều 3, Điều 7 Nghị định số 22/2015/NĐ-CP quy định chi tiết thi hành một số điều của Luật Phá sản về Quản tài viên và hành nghề quản lý, thanh lý tài sản.

- Số vụ việc đã tiếp nhận là số vụ việc mà doanh nghiệp quản lý, thanh lý tài sản/Quản tài viên đăng ký hành nghề cá nhân đã thông báo nhận tham gia giải quyết vụ việc phá sản sau khi được Thẩm phán chỉ định.

- Số vụ việc đã giải quyết xong là số vụ việc mà doanh nghiệp quản lý, thanh lý tài sản/Quản tài viên đăng ký hành nghề cá nhân đã thực hiện xong việc thanh lý tài sản của doanh nghiệp phá sản.

- Số vụ việc đang giải quyết là số vụ việc mà doanh nghiệp quản lý, thanh lý tài sản/Quản tài viên đăng ký hành nghề cá nhân đang trong quá trình xử lý chưa có kết quả.

- Số tiền thù lao dịch vụ thu được là tổng mức thù lao mà doanh nghiệp quản lý, thanh lý tài sản/Quản tài viên đăng ký hành nghề cá nhân thu được theo quy định tại Điều 21 Nghị định số 22/2015/NĐ-CP.

- Số tiền đã nộp thuế và nghĩa vụ tài chính là số tiền doanh nghiệp quản lý, thanh lý tài sản/Quản tài viên đăng ký hành nghề cá nhân phải nộp theo quy định pháp luật (bao gồm số tiền nộp thuế của tổ chức và của các Quản tài viên đăng ký hành nghề cá nhân).

2. Cách ghi biểu

- Cột 1: Ghi số Chi nhánh của doanh nghiệp quản lý thanh lý tài sản.

- Cột 2: Ghi số Văn phòng đại diện của doanh nghiệp quản lý thanh lý tài sản.

* Số liệu từ cột 3 đến cột 8 bao gồm cả số liệu tại Chi nhánh/Văn phòng đại diện của Tổ chức quản lý thanh lý tài sản (nếu có).

- Cột 3: Ghi số Quản tài viên của doanh nghiệp quản lý thanh lý tài sản.

- Cột 4: Ghi số vụ việc tiếp nhận, gồm số vụ việc tiếp nhận trong kỳ báo cáo và số vụ việc đang giải quyết kỳ trước chuyển sang.

- Cột 4 = Cột (5 + 6)

- Cột 5: Ghi số vụ việc mà doanh nghiệp quản lý, thanh lý tài sản/Quản tài viên đăng ký hành nghề cá nhân đã giải quyết xong. Số liệu tại cột 5 là một phần số liệu của cột 4.

- Cột 6: Ghi số vụ việc mà doanh nghiệp quản lý, thanh lý tài sản/Quản tài viên đăng ký hành nghề cá nhân đang giải quyết. Số liệu tại cột 6 là một phần số liệu của cột 4.

- Cột 7: Ghi số tiền thù lao dịch vụ của doanh nghiệp quản lý, thanh lý tài sản/Quản tài viên đăng ký hành nghề cá nhân thu được.

- Cột 8: Ghi số tiền thuế và nghĩa vụ tài chính mà doanh nghiệp quản lý, thanh lý tài sản/Quản tài viên đăng ký hành nghề cá nhân phải nộp.

Riêng Biểu 20b/TP/QLTLTS: Sau khi rà soát, kiểm tra tính chính xác của số liệu, Sở Tư pháp tổng hợp chi tiết báo cáo của từng Doanh nghiệp quản lý, thanh lý tài sản/Quản tài viên đăng ký hành nghề cá nhân vào các dòng tại các mục tương ứng và cộng dòng tổng từng mục, gồm: mục I (Doanh nghiệp quản lý, thanh lý tài sản), mục II (Quản tài viên đăng ký hành nghề cá nhân), Dòng Tổng số = mục I + mục II; đồng thời ghi chú về số liệu quản lý của Sở Tư pháp theo hướng dẫn trong biểu mẫu.

3. Nguồn số liệu

- Biểu 20a/TP/QLTLTS: Từ hồ sơ, sổ sách ghi chép của doanh nghiệp quản lý thanh lý tài sản/quản tài viên đăng ký hành nghề cá nhân.

- Biểu 20b/TP/QLTLTS: Tổng hợp từ biểu mẫu Biểu 20a/TP/QLTLTS và từ các hồ sơ, tài liệu khác theo dõi công tác quản lý thanh lý tài sản tại Sở Tư pháp.

Đang theo dõi
Tải biểu mẫu
Biểu số: 21a/TP/HTPLDN
Ban hành kèm theo Thông tư số 17/2025/TT-BTP
Ngày nhận báo cáo (BC):
BC sơ bộ 6 tháng: ngày 10 tháng 6 năm báo cáo
BC sơ bộ năm: Ngày 10 tháng 11 năm báo cáo
BC tròn năm: Ngày 10 tháng 01 năm sau
KẾT QUẢ TRIN KHAI CÔNG TÁC HỖ TRỢ PHÁP LÝ CHO DOANH NGHIỆP NHỎ VÀ VỪA TẠI CƠ QUAN CHUYÊN MÔN THUỘC UBND CẤP TỈNH
(Sơ bộ 6 tháng/sơ bộ năm/tròn năm)
Kỳ báo cáo: …………………
(Từ ngày.. tháng..... năm....
đến ngày ……tháng ….năm…….)
Đơn vị báo cáo: Cơ quan chuyên môn thuộc UBND cấp tỉnh ….
Đơn vị nhận báo cáo: Sở Tư pháp …

Số tư vấn viên pháp luật được kiện toàn, công b, công khai (Người)

Hoạt động hỗ trợ pháp lý cho doanh nghiệp

Kinh phí dành cho công tác hỗ trợ pháp lý cho doanh nghiệp

(Đồng)

Số cuộc tập huấn, bồi dưỡng kiến thức pháp luật (Cuộc)

Số hội nghị đối thoại, diễn đàn được tổ chức

(Cuộc)

Kết quả đăng tải văn bản trả lời doanh nghiệp (Văn bản)

Số hồ sơ đề nghị hỗ trợ chi phí tư vấn pháp luật

(Hồ sơ)

Kinh phí từ ngân sách Nhà nước

Kinh phí xã hội hóa

Số văn bản trả lời của Ủy ban nhân dân cấp tỉnh đối với các vướng mắc pháp lý của doanh nghiệp

Số văn bản tư vấn pháp luật của mạng lưới tư vn viên pháp luật

Số hồ sơ được tiếp nhận

Số hồ sơ được giải quyết

Kinh phí hỗ trợ chi phí tư vấn pháp luật

Kinh phí chi các hoạt động khác

Tổng s

Chia theo loại hình doanh nghiệp

Doanh nghiệp vừa

Doanh nghiệp nhỏ

Doanh nghiệp siêu nhỏ

(1)

(2)

(3)

(4)

(5)

(6)

(7)

(8)

(9)

(10)

(11)

(12)

(13)

 

Ghi chú:

Người lập biểu

(Ký, ghi rõ họ, tên)

Người kiểm tra

(Ký, ghi rõ họ, tên, chức vụ)

…, ngày…tháng…năm…

GIÁM ĐỐC

(Ký, đóng dấu, ghi rõ họ, tên)

 

Đang theo dõi
Tải biểu mẫu
Biểu số: 21b/TP/HTPLDN
Ban hành kèm theo Thông tư số 17/2025/TT-BTP
Ngày nhận báo cáo (BC):
BC sơ bộ 6 tháng: ngày 20 tháng 6 năm báo cáo
BC sơ bộ năm: Ngày 20 tháng 11 năm báo cáo
BC tròn năm: Ngày 20 tháng 01 năm sau
KẾT QUẢ TRIN KHAI CÔNG TÁC HỖ TRỢ PHÁP LÝ CHO DOANH NGHIỆP NHỎ VÀ VỪA TẠI UBND CẤP TỈNH
(Sơ bộ 6 tháng/sơ bộ năm/tròn năm)
Kỳ báo cáo: …………………
(Từ ngày.. tháng..... năm....
đến ngày ……tháng ….năm…….)
Đơn vị báo cáo: Sở Tư pháp ………
Đơn vị nhận báo cáo: Bộ Tư pháp (Cục Kế hoạch - Tài chính)

STT

Sở/ban/ ngành

Số tư vấn viên pháp luật được kiện toàn, công bố, công khai

(Người)

Hoạt động hỗ trợ pháp lý cho doanh nghiệp

Kinh phí dành cho công tác hỗ trợ pháp lý cho doanh nghiệp (Đồng)

Ghi chú

Số cuộc tập huấn, bồi dưỡng kiến thức pháp luật (Cuộc)

Số hội nghị đối thoại, diễn đàn được tổ chức (Cuộc)

Kết quả đăng tải văn bản trả lời doanh nghiệp

(Văn bản)

Số hồ sơ đề nghị hỗ trợ chi phí tư vấn pháp luật

(Hồ sơ)

Kinh phí từ ngân sách Nhà nước

Kinh phí xã hội hóa

Số văn bản trả lời của Ủy ban nhân dân cấp tỉnh đối với các vướng mắc pháp lý của doanh nghiệp

Số văn bản tư vấn pháp luật của mạng lưới tư vấn viên pháp luật

Số hồ sơ được tiếp nhận

Số hồ sơ được giải quyết

Kinh phí hỗ trợ chi phí tư vấn pháp luật

Kinh phí chi các hoạt động khác

Tổng số

Chia theo

Doanh nghiệp vừa

Doanh nghiệp nhỏ

Doanh nghiệp siêu nhỏ

A

B

(1)

(2)

(3)

(4)

(5)

(6)

(7)

(8)

(9)

(10)

(11)

(12)

(13)

(14)

Tổng số tại cấp tính

1

Sở...

2

Sở...

STT

Sở/ban/ ngành

Số tư vấn viên pháp luật được kiện toàn, công bố, công khai

(Người)

Hoạt động hỗ trợ pháp lý cho doanh nghiệp

Kinh phí dành cho công tác hỗ trợ pháp lý cho doanh nghiệp (Đồng)

Ghi chú

Số cuộc tập huấn, bồi dưỡng kiến thức pháp luật (Cuộc)

Số hội nghị đối thoại, diễn đàn được tổ chức (Cuộc)

Kết quả đăng tải văn bản trả lời doanh nghiệp

(Văn bản)

Số hồ sơ đề nghị hỗ trợ chi phí tư vấn pháp luật

(Hồ sơ)

Kinh phí từ ngân sách Nhà nước

Kinh phí xã hội hóa

Số văn bản trả lời của Ủy ban nhân dân cấp tỉnh đối với các vướng mắc pháp lý của doanh nghiệp

Số văn bản tư vấn pháp luật của mạng lưới tư vấn viên pháp luật

Số hồ sơ được tiếp nhận

Số hồ sơ được giải quyết

Kinh phí hỗ trợ chi phí tư vấn pháp luật

Kinh phí chi các hoạt động khác

Tổng số

Chia theo

Doanh nghiệp vừa

Doanh nghiệp nhỏ

Doanh nghiệp siêu nhỏ

A

B

(1)

(2)

(3)

(4)

(5)

(6)

(7)

(8)

(9)

(10)

(11)

(12)

(13)

(14)

Tổng số tại cấp tính

1

Sở...

2

Sở...

 

Ghi chú:

Người lập biểu

(Ký, ghi rõ họ, tên)

Người kiểm tra

(Ký, ghi rõ họ, tên, chức vụ)

…, ngày…tháng…năm…

GIÁM ĐỐC

(Ký, đóng dấu, ghi rõ họ, tên)

 

Đang theo dõi
Tải biểu mẫu

GIẢI THÍCH BIỂU MẪU SỐ 21a/TP/HTPLDN, 21b/TP/HTPLDN

(Kết quả triển khai công tác hỗ trợ pháp lý cho doanh nghiệp nhỏ và vừa)

 

1. Khái niệm, phương pháp tính

- Khái niệm “tư vấn viên pháp luật”: là các luật sư, tổ chức hành nghề luật sư, tư vấn viên pháp luật, trung tâm tư vấn pháp luật đủ điều kiện hành nghề tư vấn pháp luật theo quy định của pháp luật và được Ủy ban nhân dân cấp tỉnh ra quyết định phê duyệt danh sách tư vấn viên pháp luật trên địa bàn và công bố công khai, đăng tải trên Cổng Thông tin điện tử của Ủy ban nhân dân cấp tỉnh để các doanh nghiệp nhỏ và vừa tiếp cận đề nghị tư vấn pháp luật theo quy định tại khoản 3 Điều 3 và Điều 9 của Nghị định số 55/2019/NĐ-CP về hỗ trợ pháp lý cho doanh nghiệp nhỏ và vừa; khoản 1 Điều 39 Nghị định số 121/2025/NĐ-CP quy định về phân quyền, phân cấp trong lĩnh vực quản lý nhà nước của Bộ Tư pháp.

- Khái niệm “Văn bản trả lời của Ủy ban nhân dân cấp tỉnh đối với các vướng mắc pháp lý của doanh nghiệp”: là các văn bản được Ủy ban nhân dân cấp tỉnh ban hành, cập nhật và đăng tải lên cổng thông tin điện tử của mình để tháo gỡ khó khăn, vướng mắc pháp lý cho doanh nghiệp nhỏ và vừa trong áp dụng chung về pháp luật trong phạm vi địa phương (không áp dụng đối với các yêu cầu của doanh nghiệp nhỏ và vừa về vụ việc cụ thể liên quan đến hoạt động sản xuất, kinh doanh của doanh nghiệp) theo quy định tại Điều 8 Nghị định số 55/2019/NĐ-CP.

- Khái niệm “Văn bản tư vấn pháp luật của mạng lưới tư vấn viên pháp luật”: là các văn bản tư vấn pháp luật của các tư vấn viên pháp luật đối với các vụ việc, vướng mắc pháp lý theo yêu cầu của doanh nghiệp nhỏ và vừa theo quy định tại Điều 9 Nghị định số 55/2019/NĐ-CP ngày 24/6/2019 của Chính phủ về hỗ trợ pháp lý cho doanh nghiệp nhỏ và vừa.

- Khái niệm “hồ sơ đề nghị hỗ trợ chi phí tư vấn pháp luật”: là hồ sơ của doanh nghiệp nhỏ và vừa gửi đến UBND cấp tỉnh đề nghị hỗ trợ chi phí tư vn pháp luật về vụ việc, vướng mc của mình sau khi thỏa thuận dịch vụ tư vn pháp luật với tư vấn viên pháp luật theo quy trình, thủ tục do UBND tỉnh quy định (căn cứ khoản 3 Điều 39 Nghị định số 121/2025/NĐ-CP).

2. Cách ghi biểu

Cột 11: Ghi tổng số kinh phí hỗ trợ chi phí tư vấn pháp luật đã thanh toán cho doanh nghiệp nhỏ và vừa trong trường hợp hồ sơ đáp ứng điều kiện, với định mức theo quy định tại khoản 3 Điều 9 của Nghị định số 55/2019/NĐ-CP; khoản 3 Điều 39 Nghị định s 121/2025/NĐ-CP.

Cột 12: Ghi tổng số kinh phí ngân sách nhà nước bố trí cho việc tổ chức các hoạt động hỗ trợ pháp lý cho doanh nghiệp (xây dựng, quản lý, duy trì, cập nhật, khai thác và sử dụng cơ sở dữ liệu pháp luật; trả lời vướng mắc pháp lý; tập huấn, bồi dưỡng kiến thức pháp luật; hội nghị, diễn đàn đối thoại, giải quyết các vướng mắc pháp lý cho doanh nghiệp và các hoạt động tư vấn pháp luật khác phù hp với các quy định của pháp luật; xây dựng các tài liệu phục vụ công tác hỗ trợ pháp lý cho doanh nghiệp...), không bao gồm kinh phí đã được thống kê tại cột (13).

Cột 13: Ghi tổng số kinh phí hp pháp từ nguồn xã hội hóa, huy động từ các cơ quan, tổ chức, cá nhân và doanh nghiệp để thực hiện công tác hỗ trợ pháp lý cho doanh nghiệp.

3. Nguồn số liệu

Biểu số 21a/TP/HTPLDN: nguồn số liệu từ hồ sơ, tài liệu do các cơ quan chuyên môn thuộc UBND cấp tỉnh quản lý.

Biểu số 21b/TP/HTPLDN: nguồn số liệu từ hồ sơ, tài liệu do Sở Tư pháp quản lý và tổng hợp số liệu từ biểu số 21a/TP/HTPLDN.

Đang theo dõi
Phụ lục đính kèm Văn bản này có phụ lục đính kèm. Tải về để xem toàn bộ nội dung.

Bạn chưa Đăng nhập thành viên.

Đây là tiện ích dành cho tài khoản thành viên. Vui lòng Đăng nhập để xem chi tiết. Nếu chưa có tài khoản, vui lòng Đăng ký tại đây!

Thông tư 17/2025/TT-BTP của Bộ Tư pháp quy định Chế độ báo cáo thống kê ngành Tư pháp

Bạn chưa Đăng nhập thành viên.

Đây là tiện ích dành cho tài khoản thành viên. Vui lòng Đăng nhập để xem chi tiết. Nếu chưa có tài khoản, vui lòng Đăng ký tại đây!

* Lưu ý: Để đọc được văn bản tải trên Luatvietnam.vn, bạn cần cài phần mềm đọc file DOC, DOCX và phần mềm đọc file PDF.

Văn bản liên quan Thông tư 17/2025/TT-BTP

01

Luật Thống kê của Quốc hội, số 89/2015/QH13

02

Nghị định 94/2016/NĐ-CP của Chính phủ về việc quy định chi tiết và hướng dẫn thi hành một số điều của Luật Thống kê

03

Luật sửa đổi, bổ sung một số điều và Phụ lục Danh mục chỉ tiêu thống kê quốc gia của Luật Thống kê, số 01/2021/QH15

04

Nghị định 94/2022/NĐ-CP của Chính phủ về việc quy định nội dung chỉ tiêu thống kê thuộc hệ thống chỉ tiêu thống kê quốc gia và quy trình biên soạn chỉ tiêu thống kê trong nước, chỉ tiêu tổng sản phẩm trên địa bàn tỉnh, thành phố trực thuộc trung ương

05

Nghị định 62/2024/NĐ-CP của Chính phủ sửa đổi, bổ sung một số điều, phụ lục của Nghị định 94/2016/NĐ-CP ngày 01/7/2016 của Chính phủ quy định chi tiết và hướng dẫn thi hành một số điều của Luật Thống kê và Nghị định 94/2022/NĐ-CP ngày 07/11/2022 của Chính phủ quy định nội dung chỉ tiêu thống kê thuộc hệ thống chỉ tiêu thống kê quốc gia và quy trình biên soạn chỉ tiêu tổng sản phẩm trong nước, chỉ tiêu tổng sản phẩm trên địa bàn tỉnh, thành phố trực thuộc trung ương

văn bản cùng lĩnh vực

image

Thông tư 25/2025/TT-BTP của Bộ Tư pháp quy định định mức khoán chi cho nhiệm vụ, hoạt động thẩm định, xây dựng chính sách, văn bản quy phạm pháp luật, điều ước quốc tế thuộc thẩm quyền của Bộ Tư pháp và danh mục nhiệm vụ, hoạt động, định mức khoán chi cho từng nhiệm vụ, hoạt động đối với thông tư thuộc thẩm quyền xây dựng, ban hành của Bộ trưởng Bộ Tư pháp, thông tư liên tịch do Bộ Tư pháp chủ trì xây dựng

văn bản mới nhất

Chú thích màu chỉ dẫn
Chú thích màu chỉ dẫn:
Các nội dung của VB này được VB khác thay đổi, hướng dẫn sẽ được làm nổi bật bằng các màu sắc:
Sửa đổi, bổ sung, đính chính
Thay thế
Hướng dẫn
Bãi bỏ
Bãi bỏ cụm từ
Bình luận
Click vào nội dung được bôi màu để xem chi tiết.
×