• Tổng quan
  • Nội dung
  • Tiêu chuẩn liên quan
  • Lược đồ
  • Tải về
Lưu
Đây là tiện ích dành cho tài khoản Tiêu chuẩn hoặc Nâng cao . Vui lòng Đăng nhập tài khoản để xem chi tiết.
Theo dõi VB
Đây là tiện ích dành cho tài khoản Tiêu chuẩn hoặc Nâng cao . Vui lòng Đăng nhập tài khoản để xem chi tiết.
Ghi chú
Báo lỗi
In

Tiêu chuẩn quốc gia TCVN 14234:2024 Quả khô - Xác định độ ẩm - Phương pháp sấy chân không

Ngày cập nhật: Thứ Ba, 18/03/2025 13:53 (GMT+7)
Số hiệu: TCVN 14234:2024 Loại văn bản: Tiêu chuẩn Việt Nam
Cơ quan ban hành: Bộ Khoa học và Công nghệ Lĩnh vực: Thực phẩm-Dược phẩm
Trích yếu: Quả khô - Xác định độ ẩm - Phương pháp sấy chân không
Ngày ban hành:
Ngày ban hành là ngày, tháng, năm văn bản được thông qua hoặc ký ban hành.
31/12/2024
Hiệu lực:
Đã biết
Tiện ích dành cho tài khoản Tiêu chuẩn hoặc Nâng cao. Vui lòng Đăng nhập tài khoản để xem chi tiết.
Người ký: Đang cập nhật
Tình trạng hiệu lực:
Cho biết trạng thái hiệu lực của văn bản đang tra cứu: Chưa áp dụng, Còn hiệu lực, Hết hiệu lực, Hết hiệu lực 1 phần; Đã sửa đổi, Đính chính hay Không còn phù hợp,...
Đã biết
Tiện ích dành cho tài khoản Tiêu chuẩn hoặc Nâng cao. Vui lòng Đăng nhập tài khoản để xem chi tiết.

TÓM TẮT TIÊU CHUẨN VIỆT NAM TCVN 14234:2024

Tiêu chuẩn quốc gia TCVN 14234:2024: Phương pháp xác định độ ẩm cho quả khô

Tiêu chuẩn quốc gia TCVN 14234:2024 được Bộ Khoa học và Công nghệ ban hành ngày 01/01/2024, có hiệu lực từ ngày 01/04/2024, áp dụng cho việc xác định độ ẩm của quả khô bằng phương pháp sấy chân không. Tiêu chuẩn này nhằm cung cấp một phương pháp chính xác và đáng tin cậy để đo lường độ ẩm trong các sản phẩm quả sấy và quả được phơi khô, giúp đảm bảo chất lượng và an toàn cho người tiêu dùng.

Phương pháp xác định độ ẩm trong tiêu chuẩn này được thực hiện bằng cách sấy mẫu trong tủ sấy chân khôngnhiệt độ 70 °C ± 1 °C với áp suất không lớn hơn 100 mmHg. Kết quả được biểu thị dưới dạng phần trăm khối lượng của mẫu khô. Điều này giúp người sản xuất và chế biến quả khô tuân thủ quy định về chất lượng sản phẩm và kiểm soát độ ẩm để tránh hư hỏng.

Việc sử dụng các thiết bị phù hợp là nguyên tắc quan trọng trong quy trình này. Tiêu chuẩn yêu cầu sử dụng cân phân tích chính xác, máy nghiền, và tủ sấy chân không có khả năng kiểm soát nhiệt độ và áp suất. Đây là các công cụ thiết yếu để đảm bảo kết quả đo lường độ ẩm chính xác.

Ngoài ra, tiêu chuẩn cũng quy định cách chuẩn bị mẫu thử. Cần phải lấy tối thiểu 100 g mẫu đại diện và nghiền nhỏ để đảm bảo độ đồng nhất trong quá trình thử nghiệm. Phương pháp lấy mẫu không được quy định cụ thể trong tiêu chuẩn, nhưng cần đảm bảo rằng mẫu không bị hư hỏng trong quá trình vận chuyển và bảo quản.

Trong quy trình thực hiện, mẫu thử phải được sấy trong 6 giờ và làm nguội trước khi cân trọng lượng. Kết quả độ ẩm cuối cùng được tính toán dựa trên sự chênh lệch trọng lượng mẫu trước và sau khi sấy. Kết quả được công bố với độ chính xác một chữ số thập phân và phải tuân thủ các quy định về độ lặp lại để đảm bảo tính nhất quán.

Báo cáo thử nghiệm cần phải ghi đầy đủ các thông tin về mẫu thử, phương pháp thử nghiệm, và kết quả đạt được. Điều này giúp tăng cường tính minh bạch và khả năng tra cứu thông tin khi cần thiết.

Tóm lại, tiêu chuẩn TCVN 14234:2024 cung cấp một cơ sở pháp lý quan trọng cho việc xác định độ ẩm trong quả khô, đảm bảo tính chất lượng và an toàn của sản phẩm trong ngành công nghiệp thực phẩm.

Tải tiêu chuẩn Việt Nam TCVN 14234:2024

Tải văn bản tiếng Việt (.pdf) Tiêu chuẩn Việt Nam TCVN 14234:2024 PDF (Bản có dấu đỏ)

Đây là tiện ích dành cho tài khoản thành viên. Vui lòng Đăng nhập để xem chi tiết. Nếu chưa có tài khoản, Đăng ký tại đây!

Tải văn bản tiếng Việt (.doc) Tiêu chuẩn Việt Nam TCVN 14234:2024 DOC (Bản Word)

Đây là tiện ích dành cho tài khoản thành viên. Vui lòng Đăng nhập để xem chi tiết. Nếu chưa có tài khoản, Đăng ký tại đây!

Tình trạng hiệu lực: Đã biết
Hiệu lực: Đã biết
Tình trạng hiệu lực: Đã biết

TIÊU CHUẨN QUỐC GIA

TCVN 14234:2024

QUẢ KHÔ - XÁC ĐỊNH ĐỘ ẨM - PHƯƠNG PHÁP SẤY CHÂN KHÔNG

Dried fruits - Determination of moisture content - Vacuum oven method

Lời nói đầu

TCVN 14234:2024 được xây dựng trên cơ sở tham khảo AOAC 934.06 Moisture in dried fruits UNECE Standards for dry and dried produce (2022);

TCVN 14234:2024 do Ban kỹ thuật tiêu chuẩn quốc gia TCVN/TC/F10 Rau quả và sản phẩm rau quả biên soạn, Viện Tiêu chuẩn Chất lượng Việt Nam đề nghị, Ủy ban Tiêu chuẩn Đo lường Chất lượng Quốc gia thẩm định, Bộ Khoa học và Công nghệ công bố.

 

QUẢ KHÔ - XÁC ĐỊNH ĐỘ ẨM - PHƯƠNG PHÁP SẤY CHÂN KHÔNG

Dried fruits - Determination of moisture content - Vacuum oven method

1  Phạm vi áp dụng

Tiêu chuẩn này quy định phương pháp sấy chân không để xác định độ ẩm của quả khô (quả sấy và quả được phơi khô).

2  Thuật ngữ và định nghĩa

Trong tiêu chuẩn này áp dụng thuật ngữ và định nghĩa sau:

2.1

Độ ẩm (moisture content)

Hao hụt khối lượng của quả khô đo được trong các điều kiện quy định trong tiêu chuẩn này.

CHÚ THÍCH: Độ ẩm được biểu thị bằng phần trăm khối lượng (g/100 g).

3  Nguyên tắc

Xác định độ m của phần mẫu thử bằng cách sấy 6 h trong tủ sấy ở nhiệt độ 70 °C ± 1 °C với áp suất không lớn hơn 100 mmHg (13,3 kPa).

4  Vật liệu thử

4.1  Vật liệu lọc sợi thủy tinh đã nghiền mịn hoặc cát sạch.

5  Thiết bị, dụng cụ

Sử dụng các thiết bị, dụng cụ của phòng thử nghiệm thông thường và cụ thể như sau:

5.1  Cân phân tích, có thể cân chính xác đến 0,001 g.

5.2  Máy nghiền hoặc máy xay.

5.3  Đĩa kim loại, không bị ăn mòn, có nắp đậy kín, đường kính khoảng 8,5 cm, cho phép trải đều phần mẫu thử khoảng 0,2 g/cm2 hoặc ít hơn.

5.4  Tủ sấy chân không sử dụng điện, có khả năng kiểm soát nhiệt độ 70 °C ± 1 °C ở áp suất không lớn hơn 100 mmHg.

5.5  Bình hút ẩm, chứa chất hút ẩm hiệu quả.

5.6  Nồi cách thủy.

5.7  Thìa trộn.

6  Lấy mẫu

Phương pháp lấy mẫu không quy định trong tiêu chuẩn này.

Mu gửi đến phòng thử nghiệm phải là mẫu đại diện và không bị hư hỏng hoặc thay đổi chất lượng trong quá trình vận chuyển và bảo quản.

7  Chuẩn bị mẫu thử

Trộn đều mẫu phòng thử nghiệm và lấy tối thiểu 100 g làm mẫu thử. Đối với quả chưa bỏ hạt (ví dụ: mơ, mận, đào, chà là v.v...), loại bỏ hạt và sử dụng phần còn lại làm mẫu thử.

Sử dụng máy nghiền hoặc máy xay (5.2), nghiền hoặc xay mẫu thử để thu được các phần nhỏ, không để mẫu bị quá nhiệt, có thể dùng dao, kéo, cối, chày hoặc dụng cụ tương tự để cắt hoặc xay bằng tay, nếu cần.

8  Cách tiến hành

Lấy từng đĩa kim loại (5.3) cùng với nắp, đưa vào t sấy (5.4) và sấy ở nhiệt độ 70 °C ± 1 °C với áp suất không lớn hơn 100 mmHg trong 2 h, sau đó làm nguội trong bình hút ẩm (5.5). Dùng cân phân tích (5.1) cân đĩa cùng với nắp và thìa trộn (5.7), m0, chính xác đến 0,001 g.

Lấy từ 5,0 g đến 10 g phần mẫu thử đã chuẩn bị (xem Điều 7), cho vào đĩa kim loại đã chuẩn bị. Dùng thìa trộn để trộn phần mẫu thử với khoảng 2 g vật liệu lọc sợi thủy tinh đã nghiền mịn hoặc cát sạch (4.1) . Cân đĩa chứa phần mẫu thử, nắp dĩa và thìa trộn, m1, chính xác đến 0,001 g.

Khi cần, làm ẩm phần mẫu thử (đã trộn với vật liệu lọc sợi thủy tinh hoặc cát sạch) với vài mililit nước, dùng thìa trộn kỹ và đun nóng đĩa đã m trên nồi cách thủy (5.6) đến gần khô.

Đưa đĩa chứa phần mẫu thử cùng với thìa trộn vào tủ sấy (5.4) và đặt nắp đĩa bên cạnh, sấy ở nhiệt độ 70 °C ± 1 °C với áp suất không lớn hơn 100 mmHg trong 6 h, sau đó làm nguội trong bình hút ẩm (5.5). Đậy nắp đĩa trước khi lấy đĩa ra khỏi tủ sấy. Cân đĩa chứa phần mẫu thử, nắp đĩa và thìa trộn, m2, chính xác đến 0,001 g.

Tiến hành hai phép xác định trên cùng một mẫu thử.

9  Tính và biểu thị kết quả

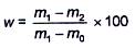
Tính độ ẩm của mẫu thử, w, biểu thị bằng phần trăm khối lượng (g/100 g), theo Công thức sau:

Trong đó:

m0

là khối lượng của đĩa, nắp đĩa và thìa trộn (cùng với vật liệu lọc sợi thủy tinh hoặc cát sạch, nếu sử dụng), tính bằng gam (g);

m1

là khối lượng trước khi sấy của đĩa chứa phần mẫu thử, nắp đĩa và thìa trộn (cùng với vật liệu lọc sợi thủy tinh hoặc cát sạch, nếu sử dụng), tính bằng gam (g);

m2

là khối lượng sau khi sấy của đĩa chứa phần mẫu thử, nắp dĩa và thìa trộn (cùng với vật liệu lọc sợi thủy tinh hoặc cát sạch, nếu sử dụng), tính bằng gam (g);

Lấy kết quả trung bình của hai phép xác định nếu chênh lệch giữa các kết quả nhỏ hơn 0,2 %. Kết quả được báo cáo đến một chữ số thập phân.

10  Độ lặp lại

Chênh lệch giữa các kết quả của hai phép xác định tiến hành song song hoặc nhanh liên tiếp do cùng một người phân tích, sử dụng cùng thiết bị và trong cùng phòng thử nghiệm, không được lớn hơn 0,2 g ẩm trên 100 g mẫu thử.

11  Báo cáo thử nghiệm

Báo cáo thử nghiệm ít nhất phải bao gồm các thông tin sau:

- mọi thông tin cần thiết đ nhận biết đầy đủ về mẫu thử;

- phương pháp lấy mẫu, nếu biết;

- phương pháp thử, viện dẫn tiêu chuẩn này;

- kết quả thử nghiệm;

- mọi thao tác không quy định trong tiêu chuẩn này hoặc được coi là tùy chọn, cùng với mọi tình huống bất thường có thể ảnh hưởng đến kết quả.

Bạn chưa Đăng nhập thành viên.

Đây là tiện ích dành cho tài khoản thành viên. Vui lòng Đăng nhập để xem chi tiết. Nếu chưa có tài khoản, vui lòng Đăng ký tại đây!

* Lưu ý: Để đọc được văn bản tải trên Luatvietnam.vn, bạn cần cài phần mềm đọc file DOC, DOCX và phần mềm đọc file PDF.

Văn bản liên quan Tiêu chuẩn Việt Nam TCVN 14234:2024

văn bản cùng lĩnh vực

văn bản mới nhất

CHÍNH SÁCH BẢO VỆ DỮ LIỆU CÁ NHÂN
Yêu cầu hỗ trợYêu cầu hỗ trợ
Chú thích màu chỉ dẫn
Chú thích màu chỉ dẫn:
Các nội dung của VB này được VB khác thay đổi, hướng dẫn sẽ được làm nổi bật bằng các màu sắc:
Sửa đổi, bổ sung, đính chính
Thay thế
Hướng dẫn
Bãi bỏ
Bãi bỏ cụm từ
Bình luận
Click vào nội dung được bôi màu để xem chi tiết.
×